Appearance
《干粉灭火系统设计规范[附条文说明]》GB 50347-2004
🗓️ 住房和城乡建设部 实施时间:2004-11-01
前言
中华人民共和国国家标准
干粉灭火系统设计规范
Coad of design for powder extinguishing systems
GB 50347-2004
主编部门;中华人民共和国公安部
批准部门:中华人民共和国建设部
施行日期: 2004 年 11 月 1 日
中华人民共和国建设部公告
第 266 号
建设部关于发布国家标准《干粉灭火系统设计规范》的公告
现批准《干粉灭火系统设计规范》为国家标准,编号为 GB 50347-2004 ,自 2004 年 11 月 1 日起实施。其中,第 1.0.5、3.1.2(1)、3.1.3、3.1.4、3.2.3、3.3.2、3.4.3、5.1.1(1) 、5.2.6、5.3.1(7)、7.0.2、7.0.3、7.0.7 条 ( 款 ) 为强制性条文,必须严格执行。
本规范由建设部标准定额研究所组织中国计划出版社出版发行。
中华人民共和国建设部
二○○四年九月二日
前言
根据建设部建标[1999]308 号文《关于印发“一九九九年工程建设国家标准制定、修订计划”的通知》要求,本规范由公安部负责主编,具体由公安部天津消防研究所会同吉林省公安消防总队、云南省公安消防总队、东北大学、深圳市公安消防支队、广东胜捷消防设备有限公司、杭州新纪元消防科技有限公司、陕西消防工程公司、吉林化学工业公司设计院等单位共同编制完成。
在编制过程中,编制组遵照国家有关基本建设的方针政策,以及“预防为主、防消结合”的消防工作方针,对我国干粉灭火系统的研究、设计、生产和使用情况进行了调查研究,在总结已有科研成果和工程实践经验的基础上,参考了欧洲及英国、德国、日本、美国等发达国家的相关标准,经广泛地征求有关专家、消防监督部门、设计和科研单位、大专院校等的意见,最后经专家审查定稿。
本规范共分七章和两个附录,内容包括:总则、术语和符号、系统设计、管网计算、系统组件、控制与操作、安全要求等。其中黑粗体字为强制性条文。
本规范由建设部负责管理和对强制性条文的解释,公安部负责具体管理,公安部天津消防研究所负责具体技术内容的解释。请各单位在执行本规范过程中,注意总结经验、积累资料,并及时把意见和有关资料寄规范管理组——公安部天津消防研究所 ( 地址:天津市南开区卫津南路 110 号,邮编 300381) ,以供今后修订时参考。
本规范主编单位、参编单位和主要起草人名单:
主编单位:公安部天津消防研究所
参编单位:吉林省公安消防总队 云南省公安消防总队 东北大学 深圳市公安消防支队 广东胜捷消防设备有限公司 杭州新纪元消防科技有限公司 陕西消防工程公司 吉林化学工业公司设计院
主要起草人:东靖飞 宋旭东 魏德洲 郑智 刘跃红 李深梁 何文辉 沈纹 戴殿峰 石秀芝 杨丙杰 罗兴康 丁国臣 王宝伟 伍建许
1 总则
1 总 则
1.0.1 为合理设计干粉灭火系统,减少火灾危害,保护人身和财产安全,制定本规范。
条文说明
1.0.1 本条提出了编制本规范的目的。 干粉灭火剂的主要灭火机理是阻断燃烧链式反应,即化学抑制作用。同时,干粉灭火剂的基料在火焰的高温作用下将会发生一系列的分解反应,这些反应都是吸热反应,可吸收火焰的部分热量。而这些分解反应产生的一些非活性气体如二氧化碳、水蒸汽等,对燃烧的氧浓度也具稀释作用。干粉灭火剂具有灭火效率高、灭火速度快、绝缘性能好、腐蚀性小,不会对生态环境产生危害等一系列优点。 干粉灭火系统是传统的四大固定式灭火系统 ( 水、气体、泡沫、干粉 ) 之一,应用广泛。受到了各工业发达国家的重视,如美国、日本、德国、英国都相继制定了干粉灭火系统规范。近年来,由于卤代烷对大气臭氧层的破坏作用,消防界正在探索卤代烷灭火系统的替代技术,而干粉灭火系统正是应用较成熟的该类技术之一。《中国消耗臭氧层物质逐步淘汰国家方案》已将干粉灭火系统的应用技术列为卤代烷系统替代技术的重要组成部分。 本规范的制定,为干粉灭火系统的设计提供了技术依据,将对干粉灭火系统的应用起到良好的推动作用。
1.0.2 本规范适用于新建、扩建、改建工程中设置的干粉灭火系统的设计。
条文说明
1.0.2 本条规定了本规范的适用范围,即适用于新建、扩建、改建工程中设置的干粉灭火系统的设计;目前,更多用于生产或储存场所。
1.0.3 干粉灭火系统的设计,应积极采用新技术、新工艺、新设备,做到安全适用,技术先进,经济合理。
条文说明
1.0.3 本条规定结合我国国情,规定了干粉灭火系统设计中应遵循的一般原则。 目前,由于我国干粉灭火系统主要用于重点要害部位的保护,而干粉灭火系统工程设计涉及面较广,因此,在设计时应推荐采用新技术、新工艺、新设备。同时,干粉灭火系统的设计应正确处理好以下两点: 首先设计人员应根据整个工程特点、防火要求和各种消防设施的配置情况,制定合理的设计方案,正确处理局部与全局的关系。虽然干粉灭火系统是重要的灭火设施,但是,不是采用了这种灭火手段后,就不必考虑其他辅助手段。例如易燃可燃液体储罐发生火灾,在采用干粉灭火系统扑救火灾的同时,消防冷却水也是不可少的。 其次,在防护区的设置上,应正确确定防护区的位置和划分防护区的范围。根据防护区的大小、形状、开口、通风和防护区内可燃物品的性质、数量、分布,以及可能发生的火灾类型、火源、起火部位等情况,合理选择和布置系统部件,合理选择系统操作控制方式。
1.0.4 干粉灭火系统可用于扑救下列火灾:
1 灭火前可切断气源的气体火灾。
2 易燃、可燃液体和可熔化固体火灾。
3 可燃固体表面火灾。
4 带电设备火灾。
条文说明
1.0.4 本条规定了干粉灭火系统可用于扑救的火灾类型,即可用于扑救可燃气体、可燃液体火灾和可燃固体的表面火灾及带电设备的火灾。 灭火试验的结果表明,采用干粉灭火剂扑灭上述物质火灾迅速而有效。在我国相关规范中,如现行国家标准《石油化工企业设计防火规范》 GB 50160—92 ,对干粉灭火系统的应用都作了相应规定。
1.0.5 干粉灭火系统不得用于扑救下列物质的火灾:
1 硝化纤维、炸药等无空气仍能迅速氧化的化学物质与强氧化剂。
2 钾、钠、镁、钛、锆等活泼金属及其氢化物。 (自2023年3月1日起废止该条, ▶▶点击查看: 新规《消防设施通用规范》GB 55036-2022 )
条文说明
1.0.5 同其他灭火剂一样,普通干粉灭火剂扑救的火灾类型也有局限性。也就是说普通干粉灭火剂对有些物质的火灾不起灭火作用。 普通干粉灭火剂不能扑救的火灾主要包括两大类。第一类是本身含有氧原子的强氧化剂,这些氧原子可以供燃烧之用,在具备燃烧的条件下与可燃物氧化结合成新的分子,反应激烈,干粉灭火剂的分子不能很快渗入其内起化学反应。这类物质主要包括硝化纤维、炸药等。第二类主要是化学性质活泼的金属和金属氢化物,如钾、钠、镁、钛、锆等。这类物质的火灾不能用普通干粉灭火剂来扑救。对于活泼金属火灾目前采用的灭火剂通常为干砂、石墨、氯化钠等特种干粉灭火剂。而特种干粉灭火剂目前工程设计数据不足。因此,本规范不涉及此类干粉灭火系统。
1.0.6 干粉灭火系统的设计,除应符合本规范的规定外,尚应符合国家现行的有关强制性标准的规定。
条文说明
1.0.6 本条规定中所指的国家现行的有关强制性标准,除本规范中已指明的外,还包括以下几个方面的标准: 1 防火基础标准中与之有关的安全基础标准。 2 有关的工业与民用建筑防火规范。 3 有关的火灾自动报警系统标准、规范。 4 有关干粉灭火系统部件、灭火剂标准。 5 其他有关标准。
2 术语和符号
2.1 术语
2 术语和符号
2.1 术 语
2.1.1 干粉灭火系统 powder extinguishing system
由干粉供应源通过输送管道连接到固定的喷嘴上,通过喷嘴喷放干粉的灭火系统。
2.1.2 全淹没灭火系统 total flooding extinguishing system
在规定的时间内,向防护区喷射一定浓度的干粉,并使其均匀地充满整个防护区的灭火系统。
2.1.3 局部应用灭火系统 local application extinguishing system
主要由一个适当的灭火剂供应源组成,它能将灭火剂直接喷放到着火物上或认为危险的区域。
2.1.4 防护区 protectedarea
满足全淹没灭火系统要求的有限封闭空间。
2.1.5 组合分配系统 combined distribution systems
用一套灭火剂贮存装置,保护两个及以上防护区或保护对象的灭火系统。
2.1.6 单元独立系统 unit independent system
用一套干粉储存装置保护一个防护区或保护对象的灭火系统。
2.1.7 预制灭火装置 prefabricated extinguishing equipment
按一定的应用条件,将灭火剂储存装置和喷嘴等部件预先组装起来的成套灭火装置。
2.1.8 均衡系统 balanced system
装有两个及以上喷嘴,且管网的每一个节点处灭火剂流量均被等分的灭火系统。
2.1.9 非厚均衡系统 unbalanced system
装有两个及以上喷嘴,且管网的一个或多个节点处灭火剂流量不等分的灭火系统。
2.1.10 干粉储存容器 powder storage container
储存干粉灭火剂的耐压不可燃容器,也称干粉储罐。
2.1.11 驱动气体 expellant gas
输送干粉灭火剂的气体,也称载气。
2.1.12 驱动气体储瓶 expellant gas storage cylinder
储存驱动气体的高压钢瓶。
2.1.13 驱动压力 expellant pressure
输送干粉灭火剂的驱动气体压力。
2.1.14 驱动气体系数 expellant gas factor
在干粉—驱动气体二相流中,气体与干粉的质量比,也称气固比。
2.1.15 增压时间 pressurization time
干粉储存容器中,从干粉受驱动至干粉储存容器开始释放的时间。
2.1.16 装量系数 loading factor
干粉储存容器中干粉的体积(按松密度计算值)与该容器容积之比。
2.2 符号
2.2 符号
2.2.1 几何参数符号
A oi ——不能自动关闭的防护区开口面积;
A p ——在假定封闭罩中存在的实体墙等实际围封面面积;
A t ——假定封闭罩的侧面围封面面积;
A v ——防护区的内侧面、底面、顶面(包括其中开口)的总内表面积;
A x ——泄压口面积;
d——管道内径:
F——喷头孔口面积;
L——管段计算长度;
L J ——管道附件的当量长度;
L max ——对称管段计算长度最大值;
L min ——对称管段计算长度最小值;
L y ——管段几何长度;
N——喷头数量;
n——安装在计算管段下游的喷头数量;
N p ——驱动气体储瓶数量;
S——均衡系统的结构对称度;
V——防护区净容积;
V 0 ——驱动气体储瓶容积;
V c ——干粉储存容器容积;
V D ——整个管网系统的管道容积;
V g ——防护区内不燃烧体和难燃烧体的总体积;
V 1 ——保护对象的计算体积;
V v ——防护区容积;
V z ——不能切断的通风系统的附加体积;
γ——流体流向与水平面所成的角;
△——管道内壁绝对粗糙度;
κ——泄压口缩流系数。
2.2.2 物理参数符号
g——重力加速度;
K——干粉储存容器的装量系数;
K 1 ——灭火剂设计浓度;
K oi ——开口补偿系数;
m——干粉设计用量;
m c ——干粉储存量;
m g ——驱动气体设计用量;
m gc ——驱动气体储存量;
m gr ——管网内驱动气体残余量;
m gs ——干粉储存容器内驱动气体剩余量;
m r ——管网内干粉残余量;
m s ——干粉储存容器内干粉剩余量;
p 0 ——管网起点压力;
p b ——高程校正后管段首端压力;
p b '——高程校正前管段首端压力;
P c ——非液化驱动气体充装压力;
p e ——管段末端压力;
p p ——管段中的平均压力;
p X ——防护区围护结构的允许压力;
Q——管道中的干粉输送速率;
Q 0 ——干管的干粉输送速率;
Q b ——支管的干粉输送速率;
Q i ——单个喷头的干粉输送速率;
Q Z ——通风流量;
q 0 ——在一定压力下,单位孔口面积的干粉输送速率;
q v ——单位体积的喷射速率;
t--干粉喷射时间;
υ H ——气固二相流比容;
υ x ——泄放混合物比容;
α--液化驱动气体充装系数;
△p/L——管段单位长度上的压力损失;
δ—相对误差;
λ q ——驱动气体摩擦阻力系数;
μ——驱动气体系数;
ρ f ——干粉灭火剂松密度;
ρ H ——干粉—驱动气体二相流密度;
ρ Q ——管道内驱动气体密度;
ρ q ——在九压力下驱动气体密度;
ρ q0 ——常态下驱动气体密度。
3 系统设计
3.1 一般规定
3 系统设计
3.1 一般规定
3.1.1 干粉灭火系统按应用方式可分为全淹没灭火系统和局部应用灭火系统。扑救封闭空间内的火灾应采用全淹没灭火系统;扑救具体保护对象的火灾应采用局部应用灭火系统。
条文说明
3.1.1 本条包含两部分内容,一是规定了干粉灭火系统按应用方式分两种类型,即全淹没灭火系统和局部应用灭火系统。国外标准也是这样进行分类,如日本消防法施行令第 18 条§1 :“干粉灭火设备,分为固定式和移动式两种型式;固定式干粉灭火设备又分为全保护区喷放方式和局部喷放方式两种类型”。二是规定了两种系统的选用原则。关于全淹没灭火系统、局部应用灭火系统的应用,美国标准《干粉灭火系统标准》NFPA 17—1998 §4-1 :“全淹没灭火系统只有在环绕火灾危险有永久性密封的空间处采用,这样的空间内能足以构成所要求的浓度,其不可关闭的开口总面积不.能超过封闭空间的侧面、顶面和底面总内表面积的 15%。不可关闭开口面积超过封闭空间的总内表面积的 15%时,应采用局部应用系统保护”。英国标准《室内灭火装置和设备·干粉系统规范》 BS 5306 :pt7—1988 §14 :“能用全淹没系统扑灭的火灾是包括可燃液体和固体的表面火灾”;§18 :“能用局部应用系统扑灭或控制的火灾是含有可燃液体和固体的表面火灾”。 应该指出,在满足全淹没灭火系统应用条件时也可以采用局部应用灭火系统,具体选型由设计者根据实际情况决定。
3.1.2 采用全淹没灭火系统的防护区,应符合下列规定:
1 喷放干粉时不能自动关闭的防护区开口,其总面积不应大于该防护区总内表面积的15%,且开口不应设在底面。
2 防护区的围护结构及门、窗的耐火极限不应小于0.50h,吊顶的耐火极限不应小于0.25h;围护结构及门、窗的允许压力不宜小于1200Pa。 (自2023年3月1日起废止该条(1), ▶▶点击查看: 新规《消防设施通用规范》GB 55036-2022 )
条文说明
3.1.2 本条规定了全淹没灭火系统的应用条件。第 1 款等效采用国外标准数据 ( 见 3.1.1 条说明 ) 。第 2 款等效采用现行国家标准《二氧化碳灭火系统设计规范》GB 50193—93(1999 年版 ) 第 3.1.2 条数据。 规定“不能自动关闭的开口不应设在底面”出于以下考虑:国家标准规定干粉灭火剂的松密度大于或等于 0.80g/mL(kg/L) ,若设计浓度按 0.65kg/m3计算,则体积为 0.81L。因目前国内厂家没提供驱动气体系数数据,现按日本消防法施行规则§4 数据:1kg 干粉灭火剂需要 40L 标准状态下氮气 ( 标准状态下氮气密度为 1.251g/L) ,那么 0.65 kg 干粉灭火剂需要 26L(32.526g) 氮气;如是,粉雾的密度为 25.5g/L[(650+32.526)g/(26+0.81)L],显然比空气重(标准状态下空气密度为 1.293g/L ,常态下空气密度更小)。另外,一般都是从上向下喷射,带有一定动能和势能,很容易在底面扩散流失,影响灭火效果。故作此规定。干粉灭火系统是依靠驱动气体 ( 惰性气体 ) 驱动干粉的,干粉固体所占体积与驱动气体相比小得多,宏观上类似气体灭火系统,因此,可采用二氧化碳灭火系统设计数据。防护区围护结构具有一定耐火极限和强度是保证灭火的基本条件。
3.1.3 采用局部应用灭火系统的保护对象,应符合下列规定:
1 保护对象周围的空气流动速度不应大于2m/s。必要时,应采取挡风措施。
2 在喷头和保护对象之间,喷头喷射角范围内不应有遮挡物。
3 当保护对象为可燃液体时,液面至容器缘口的距离不得小于150mm。 (自2023年3月1日起废止该条, ▶▶点击查看: 新规《消防设施通用规范》GB 55036-2022 )
条文说明
3.1.3 本条规定了局部应用灭火系统的应用条件。参照国内气体灭火系统规范制定。其中空气流动速度不应大于 2m/s 是引用现行国家标准《干粉灭火系统部件通用技术条件》 GB 16668—1996 中的数据。 这里容器缘口是指容器的上边沿,它距液面不应小于150mm ; 150mm 是测定喷头保护面积等参数的试验条件。是为了保证高速喷射的粉体流喷到液体表面时,不引起液体的飞溅,避免产生流淌火,带来更大的火灾危险,所以应遵循该试验条件。
3.1.4 当防护区或保护对象有可燃气体,易燃、可燃液体供应源时,启动干粉灭火系统之前或同时,必须切断气体、液体的供应源。 (自2023年3月1日起废止该条, ▶▶点击查看: 新规《消防设施通用规范》GB 55036-2022 )
条文说明
3.1.4 喷射干粉前切断气体、液体的供应源的目的是防止引起爆炸。同时,也可防止淡化干粉浓度,影响灭火。
3.1.5 可燃气体,易燃、可燃液体和可熔化固体火灾宜采用碳酸氢钠干粉灭火剂;可燃固体表面火灾应采用磷酸铵盐干粉灭火剂。
条文说明
3.1.5 扑灭 BC 类火灾的干粉中较成熟和经济的是碳酸氢钠干粉,故予推荐; ABC 干粉固然也能扑灭 BC 类火灾,但不经济,故不推荐用 ABC 干粉扑灭 BC 类火灾。扑灭 A 类火灾只能用 ABC 干粉,其中较成熟和经济的是磷酸铵盐干粉,所以扑灭 A 类火灾推荐采用磷酸铵盐干粉。
3.1.6 组合分配系统的灭火剂储存量不应小于所需储存量最多的一个防护区或保护对象的储存量。
条文说明
3.1.6 组合分配系统是用一套干粉储存装置同时保护多个防护区或保护对象的灭火系统。各防护区或保护对象同时着火的概率很小,不需考虑同时向各个防护区或保护对象释放干粉灭火剂;但应考虑满足任何干粉用量的防护区或保护对象灭火需要。组合分配系统的干粉储存量,只有不小于所需储存量最多的一个防护区或保护对象的储存量,才能够满足这种需要。提请注意:防护区体积最大,用量不一定最多。
3.1.7 组合分配系统保护的防护区与保护对象之和不得超过8个。当防护区与保护对象之和超过5个时,或者在喷放后48h内不能恢复到正常工作状态时,灭火剂应有备用量。备用量不应小于系统设计的储存量。
备用干粉储存容器应与系统管网相连,并能与主用干粉储存容器切换使用。
条文说明
3.1.7 本条规定了组合分配系统保护的防护区与保护对象最大限度、备用灭火剂的设置条件、数量和方法。 1 防护区与保护对象之和不得大于 8 个是基于我国现状的暂定数据。防护区与保护对象为 5 个以上时,灭火剂应有备用量是等效采用《固定式灭火系统·干粉系统· pt2 :设计、安装与维护》 EN 12416—2 ; 2001 §7 的数据; 48h 内不能恢复时应有备用量是参照《二氧化碳灭火系统设计规范》 GB 50193—93(1999 年版)确定的;防护区与保护对象的数量和系统恢复时间是设置备用灭火剂的两个并列条件,只要满足其一,就应设置备用量。 应该指出,设置备用灭火剂不限于这两个条件,当防护区或保护对象火灾危险性大或为重要场所时,为了不间断保护,也可设置备用灭火剂。 2 灭火剂备用量是为了保证系统保护的连续性,同时也包含扑救二次火灾的考虑;因此备用量不应小于系统设计的储存量。 3 备用干粉储存容器与系统管网相连,与主用干粉储存容器切换使用的目的,是为了起到连续保护作用。当主用干粉储存容器不能使用时,备用干粉储存容器能够立即投入使用。
3.2 全淹没灭火系统
3.2 全淹没灭火系统
3.2.1 全淹没灭火系统的灭火剂设计浓度不得小于0.65kg/m 3 。
条文说明
3.2.1 全淹没灭火系统灭火剂设计浓度最小值取值等效采用《室内灭火装置和设备·干粉系统规范》 BS 5306 : pt7—1988§15.2和《固定式灭火系统·干粉系统·pt2:设计、安装与维护》EN 12416—2 : 2001§10.2 数据,因为我国干粉灭火剂标准规定的灭火效能不低于《非 D 类干粉灭火剂技术条件》 BS EN 615—1995 规定。另外,我国标准《碳酸氢钠干粉灭火剂》GB 4066 和《磷酸铵盐干粉灭火剂》GB 15060 分别要求碳酸氢钠干粉和磷酸铵盐干粉扑灭 BC 类火灾时,灭火效能相同。综合以上数据并考虑到多种火灾并存情况,本规范确定全淹没灭火系统灭火剂设计浓度不得小于 0.65 kg/m3。
3.2.2 灭火剂设计用量应按下列公式计算:

式中 m——干粉设计用量 (kg) ;
K 1 ——灭火剂设计浓度 (kg/m 3 ) ;
V——防护区净容积 (m 3 ) ;
K oi ——开口补偿系数 (kg/m 3 ) ;
A oi ——不能自动关闭的防护区开口面积 (m 2 ) ;
Vv——防护区容积 (m 3 ) ;
V g ——防护区内不燃烧体和难燃烧体的总体积 (m 3 ) ;
V z ——不能切断的通风系统的附加体积 (m 3 ) ;
Q z ——通风流量 (m 3 /s) ;
t——干粉喷射时间 (s) ;
A v ——防护区的内侧面、底面、顶面(包括其中开口)的总内表面积(m 2 ) 。
条文说明
3.2.2 本条系等效采用《室内灭火装置和设备·干粉系统规范》BS 5306 : pt7—1988 §15.2 和《固定式灭火系统·干粉系统·pt2:设计、安装与维护》EN 12416—2 : 2001 §10.2 规定。
3.2.3 全淹没灭火系统的干粉喷射时间不应大于 30s 。 (自2023年3月1日起废止该条(1), ▶▶点击查看: 新规《消防设施通用规范》GB 55036-2022 )
条文说明
3.2.3 本条系等效采用《室内灭火装置和设备·干粉系统规范》BS 5306 : pt7—1988 §15.3 和《固定式灭火系统·干粉系统·pt2:设计、安装与维护》EN 12416—2 : 2001 §10.3 规定。
3.2.4 全淹没灭火系统喷头布置,应使防护区内灭火剂分布均匀。
条文说明
3.2.4 本条规定可有效利用灭火剂,减少系统响应时间,达到快速灭火目的。
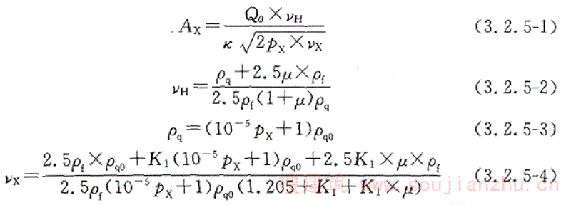
3.2.5 防护区应设泄压口,并宜设在外墙上,其高度应大于防护区净高的 2/3 。泄压口的面积可按下列公式计算: 
式中A X ——泄压口面积 (m 2 ) ;
Q 0 ——干管的干粉输送速率 (kg/s) ;
υ H ——气固二相流比容 (m 3 /kg) ;
κ——泄压口缩流系数;取 0.6 ;
p x ——防护区围护结构的允许压力 (Pa) ;
υ X ——泄放混合物比容 (m 3 /kg) ;
ρ q —— 在p x 压力下驱动气体密度 (kg/m 3 ) ;
μ——驱动气体系数;按产品样本取值;
ρ f —— 干粉灭火剂松密度 (kg/m 3 ) ;按产品样本取值;
ρ q0 ——常态下驱动气体密度 (kg/m 3 ) 。
条文说明
3.2.5 国外标准仅《室内灭火装置和设备·干粉系统规范》BS 5306 : pt7—1988 §15.2 提到泄压口,但没给出计算式。为避免防护区内超压导致围护结构破坏,应该设置泄压口;考虑到干粉灭火系统与气体灭火系统存在相似性,本条参照采用《二氧化碳灭火系统设计规范》GB 50193—93(1999 年版 ) 第 3.2.6 条制定。公式 3.2.5 是参考《二氧化碳灭火系统规范》AS 4214.3—1995 §4 导出。设:防护区内部压力为P1,防护区外部压力为P2,泄压口面积为Ax,泄放混合物质量流量为 Qx,如图 1: 
则有薄壁孔口流量公式: 
式中Qx——泄放混合物质量流量 (kg/s) ;κ——泄压口缩流系数;窗式开口取 0.5~0.7 ; Ax——泄压口面积 (m2) ; ρx——泄放混合物密度 (kg/m3) ; px——防护区围护结构的允许压力 (Pa) ;υx——泄放混合物比容 (m3/kg) 。 泄压过程中有防护区内气体被置换过程;为使问题简化,根据从泄压口泄放混合物体积流量等于喷入防护区气—固二相流体积流量数量关系,干粉真实密度ρs=2.5ρf,防护区内常态空气密度为 1.205(kg/m3) ,则有: 
应该指出:当防护区门窗缝隙、不可关闭开口及防爆泄压口面积总和不小于按公式 3.2.5-1计算值时,可不再另设置泄压口。
3.3 局部应用灭火系统
3.3 局部应用灭火系统
3.3.1 局部应用灭火系统的设计可采用面积法或体积法。当保护对象的着火部位是平面时,宜采用面积法;当采用面积法不能做到使所有表面被完全覆盖时,应采用体积法。
条文说明
3.3.1 局部应用灭火系统的设计方法分为面积法和体积法,这是国外标准比较一致的分类法。面积法仅适用于着火部位为比较平直表面情况,体积法适用于着火对象是不规则物体情况。
3.3.2 室内局部应用灭火系统的干粉喷射时间不应小于 30s ;室外或有复燃危险的室内局部应用灭火系统的干粉喷射时间不应小于 60s 。 (自2023年3月1日起废止该条, ▶▶点击查看: 新规《消防设施通用规范》GB 55036-2022 )
条文说明
3.3.2 此条系等效采用《室内灭火装置和设备·干粉系统规范》BS 5306 : pt7—1988 §3.6 规定。
3.3.3 当采用面积法设计时,应符合下列规定:
1 保护对象计算面积应取被保护表面的垂直投影面积。
2 架空型喷头应以喷头的出口至保护对象表面的距离确定其干粉输送速率和相应保护面积;槽边型喷头保护面积应由设计选定的干粉输送速率确定。
3 干粉设计用量应按下列公式计算:
m = N×Q i ×t (3.3.3)
式中 N——喷头数量;
Q i ——单个喷头的干粉输送速率 (kg/s) ;按产品样本取值。
4 喷头的布置应使喷射的干粉完全覆盖保护对象。
条文说明
3.3.3 本条各款规定说明如下: 1 由于单个喷头保护面积是按被保护表面的垂直投影方向确定的,所以计算保护面积也需取整体保护表面垂直投影的面积。 2 国内外对干粉灭火系统的研究都不够深入,定性的资料多,定量的资料少。本条借鉴了二氧化碳局部应用系统研究的成果,因二者存在相似性;同时参考了国外一些厂家的资料。架空型 ( 也称顶部型 ) 喷头是安装在油盘上空一定高度处的喷头;其保护面积应是:在 20s 内,扑灭液面距油盘缘口为 150mm 距离的着火圆形油盘的内接正方形面积;其对应的干粉输送速率即是 Q1 。实践和理论都证明,架空型喷头保护面积和相应干粉输送速率是喷头的出口至保护对象表面的距离的函数。槽边型喷头是安装在油槽侧面的侧向喷射喷头;其保护面积应是在 20s 时间内,扑灭液面距油盘缘口为 150mm 距离的着火扇形油盘的内接矩形面积;试验表明槽边型喷头灭火面积呈扇形,其大小与喷头的射程有关,喷头射程与干粉输送速率有关。基于此,作了第 2 款规定。 3 确定喷头保护面积时取喷射时间为 20s ,为安全计,使用喷头时取喷射时间为 30s ,当计算保护面积需要 N 个喷头才能完全覆盖时,故其干粉设计用量按公式 3.3.3 计算。 4 为了保证可靠灭火,喷头的布置应按被喷射覆盖面不留空白的原则执行。
3.3.4 当采用体积法设计时,应符合下列规定:
1 保护对象的计算体积应采用假定的封闭罩的体积。封闭罩的底应是实际底面;封闭罩的侧面及顶部当无实际围护结构时,它们至保护对象外缘的距离不应小于 1.5m 。
2 干粉设计用量应按下列公式计算:

式中 V 1 ——保护对象的计算体积 (m 3 ) ;
q v —— 单位体积的喷射速率 (kg/s/m 3 ) ;
A p ——在假定封闭罩中存在的实体墙等实际围封面面积(m 2 ) ;
A t ——假定封闭罩的侧面围封面面积 (m 2 ) 。
3 喷头的布置应使喷射的干粉完全覆盖保护对象,并应满足单位体积的喷射速率和设计用量的要求。
条文说明
3.3.4 本条参照了《干粉灭火装置规范·设计与安装》 VdS2111—1985 §3.2 和《二氧化碳灭火系统设计规范》 GB 50193—93(1999 年版) 制定。其中 1.5m 直接采用了《干粉灭火装置规范设计与安装》 VdS 2111—1985 §3.2 的数据; 0.04kg/(s×m3) 是根据《干粉灭火装置规范·设计与安装》VdS 2111—1985 对无围封保护对象供给量取1.2kg /m3按 30s 喷射时间求得,0.006ke/(s×m3) 是根据《干粉灭火装置规范·设计与安装》 VdS 2111—1985 对四面有围封保护对象供给量取 1.0kg/m3按 30s 喷射时求得。假定封闭罩是假想的几何体,其侧面围封面面积就是该几何体的侧面面积 At,其中包括实体墙面积和无实体墙部分的假想面积。
3.4 预制灭火装置
3.4 预制灭火装置
3.4.1 预制灭火装置应符合下列规定:
1 灭火剂储存量不得大于 150kg 。
2 管道长度不得大于 20m 。
3 工作压力不得大于 2.5MPa 。
条文说明
3.4.1 因为预制灭火装置应按试验条件使用,本条规定的灭火剂储存量和管道长度数据系采用了国内试验数据。本规范不侧重推广应用预制灭火装置,因其只能在试验条件下使用,有局限性。
3.4.2 一个防护区或保护对象宜用一套预制灭火装置保护。
条文说明
3.4.2 本条规定出于可靠性考虑。
3.4.3 一个防护区或保护对象所用预制灭火装置最多不得超过4 套,并应同时启动,其动作响应时间差不得大于 2s 。 (自2023年3月1日起废止该条, ▶▶点击查看: 新规《消防设施通用规范》GB 55036-2022 )
条文说明
3.4.3 本条规定基于国内试验数据:用6套(本规范规定为4套)预制灭火装置作灭火试验,喷射时间为20s,其动作响应时间差为3.5s-2s=1.5s,由此得δ=1.5/20 =7.5%;取 30s 喷射时间得动作响应时间差△=30×7.5%=2.25s(本规范规定为 2s)。
4 管网计算
4 管网计算
4.0.1 管网起点 ( 干粉储存容器输出容器阀出口 ) 压力不应大于2.5MPa ;管网最不利点喷头工作压力不应小于 0.1MPa 。
条文说明
4.0.1 管网起点是从干粉储存容器输出容器阀出口算起,单元独立系统和组合分配系统均如此计算。管网起点压力是干粉储存容器的输出压力。管网起点压力不应大于 2.5MPa 是依据干粉储存容器的设计压力确定的。管网最不利点所要求的压力是依据喷头工作压力规定的,这里等效采用了日本标准。日本消防法施行规则第 21 条1 指出:喷头工作压力不应小于0.1MPa 。注:本规范压力取值,除特别说明外,均指表压。
4.0.2 管网中干管的干粉输送速率应按下列公式计算:
Q 0 = m/t (4.0.2)
4.0.3 管网中支管的干粉输送速率应按下列公式计算:
Q b = n×Q i (4.0.3)
式中 Q b ——支管的干粉输送速率 (kg/s) ;
n—安装在计算管段下游的喷头数量。
4.0.4 管道内径宜按下列公式计算:

式中 d——管道内径 (mm) ;宜按附录 A 表 A-1 取值;
Q——管道中的干粉输送速率 (kg/s) 。
条文说明
4.0.4 为使干粉灭火系统管道内干粉与驱动气体不分离,干粉—驱动气体二相流要维持一定流速,即管道内流量不得小于允许最小流量 Qmin,依此等效采用了英国标准推荐数据。《室内灭火装置和设备·干粉系统规范》BS 5306:pt7—1988
7给出对应 DN25管子的最小流量Qmin为 1.5kg/s 。DN25 管子的内径 d 是 27mm ,由此得管径系数 
其他国外标准没提供管径系数KD数据,主张采用生产厂家提供的数据。在搜集到的资料中,有两组数据所得管径系数KD值与本规定接近,具体如表 1 所示: 

注:① 取自美国 Ansul 公司《干粉灭火系统》,P41 ,对应气固比μ=0.058 。 ② 取自日本《灭火设备概论》,日本工业出版社, 1972 年版, P270 ;或见《消防设备全书》,陕西科学技术出版社, 1990 年版, P1263 ,对应气固比μ=0.044 。应该指出:以上计算得到的是最大管径值,根据需要,实际管径值应取比计算值较小的恰当数值。经济流速时管径值随驱动气体系数μ而异,当μ=0.044 时,经济流速时管径系数KD=10~11 ,即其最佳管道流量是允许最小流量的 4~5 倍。另外,当厂家以实测数据给出流量 (Q)一管径 (d) 关系时,应该采用厂家提供的数据。实际管径应取系列值。
4.0.5 管段的计算长度应按下列公式计算:
L=L y + ∑L J (4.0.5-1)
L y =f(d) (4.0.5-2)
式中 L——管段计算长度 (m) ;
L y ——管段几何长度 (m) ;
L J ——管道附件的当量长度 (m) ;可按附录 A 表 A-2 取值。
条文说明
4.0.5关于管道附件的当量长度,应该按厂家给出的实测当量长度值取值,但目前实际还做不到,不给出数据又无法设计计算。按周亨达给出的管道附件的当量长度计算式为:LJ=k×d,其中是k当量长度系数(m/mm);90°弯头取0.040,三通的直通部分取0.025,三通的侧通部分取0.075。下面一同给出国外管道附件当量长度数据做比较(见表2): 
注: ① 东京消防厅《预防事务审查·检查基准》,东京防灾指导协会, 1984 年出版,P436 。 ② 美国 Ansul公司《干粉灭火系统》,图表 7 。 ③ 周亨达主编《工程流体力学》,冶金工业出版社 1995 年出版, P124~135 。 显然,按周亨达计算式计算值误差偏大。而国外数据是在一定驱动气体系数下的测定值,考虑到日本数据比 Ansul 数据通用性更好些,暂时推荐该组日本数据作为参考值。
4.0.6 管网宜设计成均衡系统,均衡系统的结构对称度应满足下列公式要求:

式中 S——均衡系统的结构对称度;
L max ——对称管段计算长度最大值 (m) ;
L min ——对称管段计算长度最小值 (m) 。
条文说明
4.0.6 设计管网时,应尽量设计成结构对称均衡管网,使干粉灭火剂均匀分布于防护区内。但在实践中,不可能做到管网结构绝对精确对称布置,只要对称度在土5%范围内,就可以认为是结构对称均衡管网,可实现喷粉的有效均衡,见图2。在系统中,可以使用不同喷射率的喷嘴来调整管网的不均衡,见图 3 。 
注:所有喷嘴均以同一流量喷射。 注:喷嘴分别以 R,2R 或 4R流量喷射。 该计算式系等效采用《室内灭火装置和设备·干粉系统规范》BS 5306:pt7—19887.2 规定。 应该指出:在调研中也见到了非均衡系统,但本规范主张管网应尽量设计成对称分流的均衡系统,所以前半句采用“宜”字;均衡系统可以是对称结构,也可以是不对称结构,结构对称与不对称的分界在对称度,所以后半句采用“应”字。
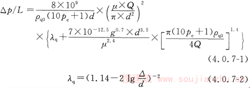
4.0.7 管网中各管段单位长度上的压力损失可按下列公式估算:

式中△P/L——管段单位长度上的压力损失 (MPa/m) ;
P e -- 管段末端压力 (MPa) ;
λ q ——驱动气体摩擦阻力系数;
g——重力加速度 (m/s 2 ) ;取 9.81 ;
△——管道内壁绝对粗糙度 (mm) 。
条文说明
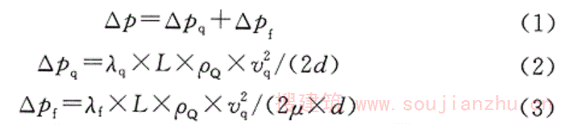
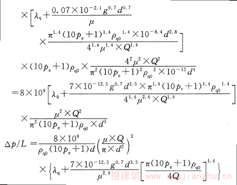
4.0.7 国外标准没提供压力损失系数△p/L 数据,主张采用生产厂家提供的数据。本计算式是依据沿程阻力的计算导出的,其推导过程如下:根据周建刚等人就粉体高浓度气体输送进行的试验研究结果( 引自周建刚、沈熙身、马恩祥等著《粉体高浓度气体输送控制与分配技术》,北京:冶金工业出版社, 1996 年出版, P109~143) ,管道中的压力损失计算式为: 
式中△p——管道中的压力损失 (Pa) ; △pq——气体流动引起的压力损失 (Pa) ; △pf——气体携带的粉状物料引起的压力损失 (Pa) ; λq——驱动气体的摩擦阻力系数; λf——干粉的摩擦阻力系数; μ——驱动气体系数; ρQ——管道内驱动气体密度 (kg/m3) ; υq——管道内驱动气体流动速度 (m/s) ; d——管道内径 (m) ; L——管段计算长度 (m) 。 把公式 (2) 和公式 (3) 代人公式 (1) 并移项得: 
式中△p/L——管段单位长度上的压力损失 (Pa/m) 。 当μ=0.0286~0.143 时,有: 
式中 g——重力加速度 (m/s2) ;取 9.81 。 在常温下得管道中驱动气体密度ρQ的表达式为: ρQ=(10pe+1)ρq0 式中ρq0——常态下驱动气体密度 (kg/m3) ; pe——计算管段末端压力 (MPa)( 表压 ) 。
驱动气体在管道中的流速 wq 可由其体积流量 QQv(QQv=μ×Q/ρQ) 和管道内径 d 表示,即有: 
将(△p/L) 以 MPa/m 作单位,pe以 MPa 作单位, d 以 mm 作单位,整理上述各式并化简得: 

由于气固二相流体在管道中的流速很大,所以沿程阻力损失系数λq。按水力粗糙管的情况计算,即:
λq=[1.14-21g(△/d)]-2 公式来自周亨达主编《工程流体力学》,北京:冶金工业出版社1995 年出版, P120 。 应该指出:当厂家以实测曲线图给出△p/L 之值时,应该采用厂家提供的数据。 4.0.8~4.0.10 在公式 (4.0.7-1) 中,取常温下管道中驱动气体密度 ρQ的表达式为:ρQ=(10Pe+1)ρq0,公式中Pe为计算管段末端压力。按理说应该取高程校正前管段平均压力Pp代替公式(4.0.7-1) 中Pe计算结果才是△p/L的真值,可那时计算管段首端压力Pb还是未知数,无法求得高程校正前管段平均压力Pp。 通过公式 (4.0.8) 已估算出高程校正前管段首端压力,故可估算出高程校正前管段平均压力Pp。 为求得高程校正前管段首端压力Pp真值,应采用逐步逼近法。逼近误差当然是越小越好,公式 (4.0.9-2) 已满足工程要求。 管道节点压力计算,有两种计算顺序:一种是从后向前计算顺序——已知管段末端压力Pe求管段首端压力Pb,这种计算顺序的优点是避免能源浪费;另一种是从前向后计算顺序——已知管段首端压力Pb求末端压力Pe,这种计算顺序方便选取干粉储存容器。当采用从前向后计算顺序时,对以上计算式移项处理即可: 
另外注意:当采用上式计算时,求取 (△p/L)i时需要用Pb代替公式 (4.0.7—1) 中的Pe。为了使设计者掌握该节点压力计算方法,下面举例说明。其中管壁绝对粗糙度厶按镀锌钢管取 0.39mm( 见周亨达主编《工程流体力学》,北京:冶金工业出版社 1995 年出版,P253) 。 [例1]已知:末端压力Pe=0.15Mpa,干粉输送速率Q=2kg/s,d(DN25)=27mm,管段计算长度L=1m。流向与水平面夹角γ=-90°,常态下驱动气体密度ρq0=1.165kg/m3,干粉松密度ρf=850kg/m3,气固比μ=0.044(如图4所示管段)。 求:管段首端压力Pb。 解: 

即:管段首端压力为:Pb=0.156Mpa [例2]已知:首端压力Pb=0.48Mpa,干粉输送速率Q=20kg/s,d=(DN65)=66mm,管段计算长度L=60m,流向与水平夹角γ=0°,常态下驱动气体密度ρq0=1.165kg/m3,干粉松密度ρf=850kg/m3,气固比μ=0.044(如图5所示管段)。 求:管段末端压力Pe。 解: 


因为γ=0 ,所以 LY×sinγ=0 ,即不需要高程校正。 即:管段末端压力Pe=Pe'+ 0 =0.2785(MPa) 。
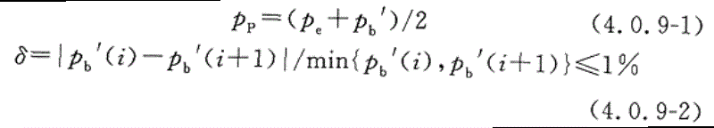
4.0.8 高程校正前管段首端压力可按下列公式估算:

式中 p b '——高程校正前管段首端压力 (MPa) 。
4.0.9 用管段中的平均压力代替公式 4.0.7-1 中的管段末端压力,再次求取新的高程校正前的管段首端压力,两次计算结果应满足下列公式要求,否则应继续用新的管段平均压力代替公式4.0.7-1 中的管段末端压力,再次演算,直至满足下列公式要求。

式中 p p ——管段中的平均压力 (MPa) ;
δ——相对误差;
i——计算次序。
4.0.10 高程校正后管段首端压力可按下列公式计算:


式中 p b ——高程校正后管段首端压力 (MPa) ;
ρ H ——干粉—驱动气体二相流密度 (kg/m 3 ) ;
γ——流体流向与水平面所成的角 (°) ;
ρ Q ——管道内驱动气体的密度 (kg/m 3 ) 。
4.0.11 喷头孔口面积应按下列公式计算:

式中 F——喷头孔口面积 (mm 2 ) ;
q 0 ——在一定压力下,单位孔口面积的干粉输送速率(kg/s/mm 2 ) 。
4.0.12 干粉储存量可按下列公式计算:

式中 m C ——干粉储存量 (kg) ;
m S ——干粉储存容器内干粉剩余量 (ks) ;
m r ——管网内干粉残余量 (kg) ;
V D ——整个管网系统的管道容积 (m 3 ) 。
条文说明
4.0.12 管网内干粉的残余量 mr的计算式是按管网内残存的驱动气体的质量除以驱动气体系数而推导出来的,管网内残存的驱动气体质量为: ρQVD ,当Pp以 MPa 作单位时, PQ= (10pp+1)ρq0 所以有: mr=VD(10pp+1)ρq0/μ 应该指出:理论上讲,干粉储存容器内干粉剩余量为: ms = Vc(10p0 + 1)ρq0/μ 式中Vc——干粉储存容器容积 (m3) 。 但此时Vc是未知数;另外,驱动气体系数卢是理论上的平均值,实肛上对单元独立系统和组合分配系统中干粉需要量最多的防护区或保护对象来说,到喷射时间终了时,气固二相流中含粉量已很小,按公式 (4.0.12-2) 计算得到的管网内干粉残余量已含很大裕度。因此,按 m+mr之值初选一干粉储存容器,然后加上厂商提供的ms,值作为mc。值,可以说够安全。
4.0.13 干粉储存容器容积可按下列公式计算:

式中 V e ——干粉储存容器容积 (m 3 ) ,取系列值;
K——干粉储存容器的装量系数。
4.0.14 驱动气体储存量可按下列公式计算:
1 非液化驱动气体

2 液化驱动气体

式中 m gc —— 驱动气体储存量 (kg) ;
N p ——驱动气体储瓶数量;
V 0 ——驱动气体储瓶容积 (m 3 ) ;
P c ——非液化驱动气体充装压力 (MPa) ;
p 0 ——管网起点压力 (MPa) ;
m g ——驱动气体设计用量 (kg) ;
m gs ——干粉储存容器内驱动气体剩余量 (kg) ;
m gr ——管网内驱动气体残余量 (kg) ;
α——液化驱动气体充装系数 (k/m 3 ) 。
条文说明
4.0.14 非液化驱动气体在储瓶内遵从理想气体状态方程,所以可按公式 (4.0.14-1) 和公式 (4.0.14-2) 计算驱动气体储存量。液化驱动气体在储瓶内不遵从理想气体状态方程,所以应按公式(4.0.14-3) 和公式 (4 。 0.14-4) 计算驱动气体储存量。
4.0.15 清扫管网内残存干粉所需清扫气体量,可按 10 倍管网内驱动气体残余量选取;瓶装清扫气体应单独储存;清扫工作应在48h 内完成。
条文说明
4.0.15 清扫管道内残存干粉所需清扫气体量取 10 倍管网内驱动气体残余量为经验数据。当清扫气体采用储瓶盛装时,应单独储存;若单位另有清扫气体气源采用管道供气,则不受此限制。 要求清扫工作在 48h 内完成是依据干粉灭火系统应在 48h 内恢复要求规定的。
5 系统组件
5.1 储存装置
5 系统组件
5.1 储存装置
5.1.1 储存装置宜由干粉储存容器、容器阀、安全泄压装置、驱动气体储瓶、瓶头阀、集流管、减压阀、压力报警及控制装置等组成。并应符合下列规定:
1 干粉储存容器应符合国家现行标准《压力容器安全技术监察规程》的规定;驱动气体储瓶及其充装系数应符合国家现行标准《气瓶安全监察规程》的规定。
2 干粉储存容器设计压力可取 1.6MPa 或 2.5MPa 压力级;其干粉灭火剂的装量系数不应大于0.85 ;其增压时间不应大于30s 。
3 安全泄压装置的动作压力及额定排放量应按现行国家标准《干粉灭火系统部件通用技术条件》 GB 16668 执行。
4 干粉储存容器应满足驱动气体系数、干粉储存量、输出容器阀出口干粉输送速率和压力的要求。 (自2023年3月1日起废止该条(1), ▶▶点击查看: 新规《消防设施通用规范》GB 55036-2022 )
条文说明
5.1.1 干粉储存容器的工作压力,国外一些标准未加明确规定。考虑到国内干粉灭火系统应用不普遍,系统组件不够标准化,为了规范市场,简化系统组件的压力级别,使其生产标准化、通用化和系列化。根据国内一些生产厂家的实际经验规定了两个设计压力级别,即 1.6MPa 或 2.5MPa 。此压力基本上能满足不同场合的使用要求并与各类阀门公称压力一致。平时不加压的干粉储存容器,可根据使用场合不同选择 1.6MPa 或 2.5MPa 。之所以规定设计压力而不规定工作压力,是因为在国家现行标准《压力容器安全技术监察规程》中,压力容器是按设计压力分级的。 干粉灭火剂的装量系数不大于0.85 。是为了使干粉储存容器内留有一定净空间,以便在加压或释放时干粉储存容器内的气粉能够充分混合,这是试验所证明的。日本消防法施行规则§3也作了类似的规定。 增压时间对于抓住灭火战机来说自然是越快越好。由于驱动气体储瓶输气通径一般为ф10mm ,对于大型装置来讲,用较多气瓶组合来扩大输气速度应考虑减压阀的输送流量及制造成本。 《干粉灭火装置规范·设计与安装》VdS 2111—1985 §9.2 规定不应超过 20s ,综合《干粉灭火系统部件通用技术条件》 GB 16668—1996 规定和国外数据取增压时间为不大于 30s 。 安全泄压装置是对干粉储存容器而言,一般设置在干粉储存容器上。虽然驱动气体先经过减压阀后输进干粉储存容器,从安全角度考虑为防止干粉储存容器超压而设置安全阀,并执行 GB 16668 有关规定。
5.1.2 驱动气体应选用惰性气体,宜选用氮气;二氧化碳含水率不应大于 0.015% (m/m) ,其他气体含水率不得大于 0.006%(m/m) ;驱动压力不得大于干粉储存容器的最高工作压力。
条文说明
5.1.2 驱动气体应使用惰性气体,国内外生产厂家多采用氮气和二氧化碳气体。氮气和二氧化碳比较,氮气物理性能稳定,故本规范规定驱动气体宜选用氮气。驱动气体含水率指标等效采用《固定式灭火系统·干粉系统· pt2 :设计、安装与维护》 EN 12416—2 :2001 §4.2 数据。 驱动压力是输送干粉的压力,此压力不得大于干粉储存容器的最高工作压力,是出于安全考虑的。 这里“最高工作压力”,按国家现行标准《压力容器安全技术监察规程》定义,是指压力容器在正常使用过程中,顶部可能出现的最高压力,它应小于或等于设计压力。
5.1.3 储存装置的布置应方便检查和维护,并宜避免阳光直射。其环境温度应为 -20~50℃。
条文说明
5.1.3 避免阳光直射可防止装置老化和温差积水影响使用功能。环境温度取值等效采用《干粉灭火系统部件通用技术条件》 GB 16668—1996 第 10.6.4 条数据。
5.1.4 储存装置宜设在专用的储存装置间内。专用储存装置间的设置应符合下列规定:
1 应靠近防护区,出口应直接通向室外或疏散通道。
2 耐火等级不应低于二级。
3 宜保持干燥和良好通风,并应设应急照明。
条文说明
5.1.4 本条是对储存装置设置的部位提出的要求,是从使用、维护安全角度而考虑的。等效采用《二氧化碳灭火系统设计规范》GB 50193—93(1999 年版 ) 第 5.1.7 条。
5.1.5 当采取防湿、防冻、防火等措施后,局部应用灭火系统的储存装置可设置在固定的安全围栏内。
5.2 选择阀和喷头
5.2 选择阀和喷头
5.2.1 在组合分配系统中,每个防护区或保护对象应设一个选择阀。选择阀的位置宜靠近干粉储存容器,并便于手动操作,方便检查和维护。选择阀上应设有标明防护区的永久性铭牌。
条文说明
5.2.1 在组合分配系统中,每个防护区或保护对象的管道上应设一个选择阀。在火灾发生时,可以有选择地打开出现火情的防护区或保护对象管道上的选择阀喷放灭火剂灭火。选择阀上应设标明防护区或保护对象的永久性铭牌是防止操作时出现差错。
5.2.2 选择阀应采用快开型阀门,其公称直径应与连接管道的公称直径相等。
条文说明
5.2.2 由于干粉灭火系统本身的特点,要求选择阀使用快开型阀门,如球阀。其通径要求主要考虑干粉系统灭火时,管道内为气固二相流,为使灭火剂与驱动气体无明显分离,避免截留灭火剂。前苏联标准中规定该阀应采用球阀。
5.2.3 选择阀可采用电动、气动或液动驱动方式,并应有机械应急操作方式。阀的公称压力不应小于干粉储存容器的设计压力。
条文说明
5.2.3 这三种驱动方式是目前普遍采用的驱动方式,三种驱动方式可以任选其一;但无论哪种驱动方式,机械应急操作方式是必不可少的,目的是防止电动、气动或液动失灵时可采取有效的应急操作,确保系统的安全可靠。选择阀的公称压力不应小于储存容器的设计压力是从安全角度考虑的。
5.2.4 系统启动时,选择阀应在输出容器阀动作之前打开。
条文说明
5.2.4 灭火系统动作时,如果选择阀滞后于容器阀打开会引起选择阀至储存容器之间的封闭管段承受水锤作用而出现超压,故作此规定。《干粉灭火装置规范·设计与安装》VdS 2111—1985 §9.4.7 也作了相同规定。
5.2.5 喷头应有防止灰尘或异物堵塞喷孔的防护装置,防护装置在灭火剂喷放时应能被自动吹掉或打开。
条文说明
5.2.5 喷头装配防护装置的主要目的是防止喷孔堵塞。此外,干粉需在干燥环境中储存,若接触空气会吸收空气中的水分而潮解,失去灭火作用,而且潮解后的干粉会腐蚀储存容器和管道,所以为了保持储存容器及管道不进入潮气,也需在喷嘴上安装防护罩。《干粉灭火系统标准》NFPA 17—1998 §2—3.1.4 及其他国外规范也作了类似规定。
5.2.6 喷头的单孔直径不得小于 6mm 。 (自2023年3月1日起废止该条, ▶▶点击查看: 新规《消防设施通用规范》GB 55036-2022 )
条文说明
5.2.6 此条系等效采用《干粉灭火装置规范·设计与安装》VdS2111—1985§9.6.4 的规定。
5.3 管道及附件
5.3 管道及附件
5.3.1 管道及附件应能承受最高环境温度下工作压力,并应符合下列规定:
1 管道应采用无缝钢管,其质量应符合现行国家标准《输送流体用无缝钢管》 GB/T 8163 的规定;管道规格宜按附录 A 表 A—1取值。管道及附件应进行内外表面防腐处理,并宜采用符合环保要求的防腐方式。
2 对防腐层有腐蚀的环境,管道及附件可采用不锈钢、铜管或其他耐腐蚀的不燃材料。
3 输送启动气体的管道,宜采用铜管,其质量应符合现行国家标准《拉制铜管》 GB 1527 的规定。
4 管网应留有吹扫口。
5 管道变径时应使用异径管。
6 干管转弯处不应紧接支管;管道转弯处应符合附录 B 的规定。
7 管道分支不应使用四通管件。
8 管道转弯时宜选用弯管。
9 管道附件应通过国家法定检测机构的检验认可。 (自2023年3月1日起废止该条(7), ▶▶点击查看: 新规《消防设施通用规范》GB 55036-2022 )
条文说明
5.3.1 本条各款规定说明如下: 1 采用符合 GB/T 8163 规定的无缝钢管是为了使管道能够承受最高环境温度下的压力。表 A-1 系等效采用《二氧化碳灭火系统设计规范》 GB 50193—93(1999 年版 ) 附录 J 。为了防止锈蚀和减少阻力损失,要求管道和附件内外表面做防腐处理,热固性镀膜或环氧固化法都是目前能够达到热镀锌性能要求而在环保和使用性能上优之的防腐方式。 2 当防护区或保护对象所在区域内有对防腐层腐蚀的气体、蒸汽或粉尘时,应采取耐腐蚀的材料,如不锈钢管或铜管。 4 灭火后管道中会残留干粉,若不及时吹扫干净会影响下次使用,规定留有吹扫口是为了及时吹出残留于管道内的剩余干粉。 6 由于干粉灭火系统在管道中流动为气固二相流,在弯头处会产生气固分离现象,但在 20 倍管径的管道长度内即可恢复均匀。附录 B 等效采用《干粉灭火系统标准》 NFPA 17—1998§A-3-9.1 。 7 干粉灭火系统管网内是气固二相流,为避免流量分配不均造成气固分离,影响灭火效果,宜对称分流;四通管件的出口不能对称分流,故管道分支时不应使用四通管件。 8 此款等效采用《室内灭火装置和设备·干粉系统规范》 BS5306:pt7—1988 §7.1 规定。管道转弯时,如果空间允许,宜选用弯管代替弯头,不宜使用弯头管件;根据现行国家标准《工业金属管道工程施工及验收规范》 GB 50235—97 中第 4.2.2 条规定,弯管的弯曲半径不宜小于管径的 5 倍。若受空间限制,可使用长半径弯头,不宜使用短半径弯头。 9 经国家法定检测机构检验认可的项目包括附件的产品质量及其当量长度等。
5.3.2 管道可采用螺纹连接、沟槽 ( 卡箍 ) 连接、法兰连接或焊接。公称直径等于或小于 80mm 的管道,宜采用螺纹连接;公称直径大于 80mm 的管道,宜采用沟槽 ( 卡箍 ) 或法兰连接。
条文说明
5.3.2 本条规定了管道的连接方式,对于公称直径不大于 80 mm的管道建议采用螺纹连接,也可采用沟槽 ( 卡箍 ) 连接;公称直径大于 80mm 的管道可采用法兰连接或沟槽 ( 卡箍 ) 连接,主要是考虑强度要求和安装与维修方便。
5.3.3 管网中阀门之间的封闭管段应设置泄压装置,其泄压动作压力取工作压力的(115±5)%。
条文说明
5.3.3 本条系参照国外相关标准制定,日本消防法施行规则第21 条§4 规定:“当在储存容器至喷嘴之间设置选择阀时,应该在储存容器与选择阀之间设置符合消防厅长官规定的安全装置或爆破膜片”。泄压动作压力取值参照《干粉灭火系统部件通用技术条件》GB 16668—1996 第 6.1.6 条制定。
5.3.4 在通向防护区或保护对象的灭火系统主管道上,应设置压力信号器或流量信号器。
条文说明
5.3.4 设置压力信号器或流量信号器的目的是为了将灭火剂释放信号及释放区域及时反馈到控制盘上,便于确认灭火剂是否喷放。
5.3.5 管道应设置固定支、吊架,其间距可按附录 A 表 A-3 取值。可能产生爆炸的场所,管网宜吊挂安装并采取防晃措施。
条文说明
5.3.5 管网需要支撑牢固,如果支撑不牢固,会影响喷放效果,如果喷头安装在装饰板外,会破坏装饰板。表 A-3 系等效采用《室内灭火装置和设备·干粉系统规范》 BS 5306 :pt7—1988 表 4 。可能产生爆炸的场所,管网吊挂安装和采取防晃措施是为了减缓冲击,以免造成管网破坏。国外标准也是这样规定的,如 BS 5306 :pt7—1988 §32.2 规定:“如果管网被装置在潜在的爆炸危险区域,管道系统宜吊挂,其支撑是很少移动的”。
6 控制与操作
6 控制与操作
6.0.1 干粉灭火系统应设有自动控制、手动控制和机械应急操作三种启动方式。当局部应用灭火系统用于经常有人的保护场所时可不设自动控制启动方式。
条文说明
6.0.1 本条规定了干粉灭火系统的三种启动方式。干粉灭火系统的防护区或保护对象大多是消防保护的重点部位,需要在任何情况下都能够及时地发现火情和扑灭火灾。干粉灭火系统一般与该部位设置的火灾自动报警系统联动,实现自动控制,以保证在无人值守、操作的情况下也能自动将火扑灭。但自动控制装置有失灵的可能,在防护区内或保护对象有人监控的情况下,往往也不需要将系统置于自动控制状态,故要求系统同时应设有手动控制启动方式。手动控制启动方式在这里是指由操作人员在防护区或保护对象附近采用按动电钮等手段通过灭火控制器启动干粉灭火系统,实施灭火。考虑到在自动控制和手动控制全部失灵的特别情况下也能实施喷放灭火,系统还应设有机械应急操作启动方式。应急操作可以是直接手动操作,也可以利用系统压力或机械传动装置等进行操作。 在实际应用中,有些场所是无须设置火灾自动报警系统的,如局部应用灭火系统的保护对象有的能够做到始终处于专职人员的监控之下;有些工业设备只在人员操作运行时存在火灾危险,而在设备停止运行后,能够引起火灾的条件也随之消失。对这样的场所如果确实允许不设置火灾自动探测与报警装置,也就失去了对灭火系统自动控制的条件。因此,规范对这两种特别情况作了弹性处理,允许其不设置自动控制的启动方式。
6.0.2 设有火灾自动报警系统时,灭火系统的自动控制应在收到两个独立火灾探测信号后才能启动,并应延迟喷放,延迟时间不应大于 30s ,且不得小于干粉储存容器的增压时间。
条文说明
6.0.2 本条对采用火灾探测器自动控制灭火系统的要求和延迟时间进行了规定。在实际应用中,不论哪种类型的探测器,由于受其自身的质量和环境的影响,在长期运行中不可避免地存在出现误报的可能。为了提高系统的可靠性,最大限度地避免由于探测器误报引起灭火系统误动作,从而带来不必要的经济损失,通常在保护场所设置两种不同类型或两组同一类型的探测器进行复合探测。本条规定的“应在收到两个独立火灾探测信号后才能启动”,是指只有当两种不同类型或两组同一类型的火灾探测器均检测出保护场所存在火灾时,才能发出启动灭火系统的指令。 即使在自动控制装置接收到两个独立的火灾信号发出启动灭火系统的指令,或操作人员通过手动控制装置启动灭火系统之后,考虑到给有关人员一定的时间对火情确认以判断是否确有必要喷放灭火剂,以及从防护区内或保护对象附近撤离,亦不希望立即喷放灭火剂。当然,干粉灭火系统在喷放灭火剂之前要先对干粉储存容器进行增压,这也决定了它无法立即喷放灭火剂,因此,规范作了延迟喷放的规定。延迟时间控制在 30s 之内,是为了避免火灾的扩大,也参照了习惯的做法,用户可以根据实际情况减少延迟时间,但要求这一时间不得小于干粉储存容器的增压时间,增压是在接到启动指令后才开始的。
6.0.3 全淹没灭火系统的手动启动装置应设置在防护区外邻近出口或疏散通道便于操作的地方;局部应用灭火系统的手动启动装置应设在保护对象附近的安全位置。手动启动装置的安装高度宜使其中心位置距地面 1.5m 。所有手动启动装置都应明显地标示出其对应的防护区或保护对象的名称。
条文说明
6.0.3 本条对手动启动装置的安装位置作了规定。手动启动装置是防护区内或保护对象附近的人员在发现火险时启动灭火系统的手段之一,故要求它们安装在靠近防护区或保护对象同时又是能够确保操作人员安全的位置。为了避免操作人员在紧急情况下错按其他按钮,故要求所有手动启动装置都应明显地标示出其对应的防护区或保护对象的名称。
6.0.4 在紧靠手动启动装置的部位应设置手动紧急停止装置,其安装高度应与手动启动装置相同。手动紧急停止装置应确保灭火系统能在启动后和喷放灭火剂前的延迟阶段中止。在使用手动紧急停止装置后,应保证手动启动装置可以再次启动。
条文说明
6.0.4 手动紧急停止装置是在系统启动后的延迟时段内发现不需要或不能够实施喷放灭火剂的情况时可采用的一种使系统中止的手段。产生这种情况的原因很多,比如有人错按了启动按钮;火情未到非启动灭火系统不可的地步,可改用其他简易灭火手段;区域内还有人员尚未完全撤离等等。一旦系统开始喷放灭火剂,手动紧急停止装置便失去了作用。启用紧急停止装置后,虽然系统控制装置停止了后继动作,但干粉储存容器增压仍然继续,系统处于蓄势待发的状态,这时仍有可能需要重新启动系统,释放灭火剂。比如有人错按了紧急停止按钮,防护区内被困人员已经撤离等,所以,要求做到在使用手动紧急停止装置后,手动启动装置可以再次启动。强调这一点的另一个理由是,目前在用的一些其他的固定灭火系统的手动启动装置不具有这种功能。
6.0.5 干粉灭火系统的电源与自动控制应符合现行国家标准《火灾自动报警系统设计规范》 GB 50116 的有关规定。当采用气动动力源时,应保证系统操作与控制所需要的气体压力和用气量。
条文说明
6.0.5 在现行国家标准《火灾自动报警系统设计规范》 GB 50116—98 中,对电源和自动控制装置的有关内容都有明确的规定。干粉灭火系统的电源与自动控制装置除了满足本规范的功能要求之外,还应符合 GB 50116 的规定。
6.0.6 预制灭火装置可不设机械应急操作启动方式。
条文说明
6.0.6 由于预制灭火装置的启动设施一般是直接安装在储存装置上,对于全淹没灭火系统一般设置在防护区内,不具备手动机械启动操作的基本条件,故本规范对这一类装置做了弹性处理。
7 安全要求
7 安全要求
7.0.1 防护区内及入口处应设火灾声光警报器,防护区入口处应设置干粉灭火剂喷放指示门灯及干粉灭火系统永久性标志牌。
条文说明
7.0.1 每个防护区内设置火灾声光警报器,目的在于向在防护区内人员发出迅速撤离的警告,以免受到火灾或施放的干粉灭火剂的危害。防护区外入口处设置的火灾声光警报器及干粉灭火剂喷放标志灯,旨在提示防护区内正在喷放灭火剂灭火,人员不能进入,以免受到伤害。防护区内外设置的警报器声响,通常明显区别于上下班铃声或自动喷水灭火系统水力警铃等声响。警报声响度通常比环境噪声高 30dB 。设置干粉灭火系统标志牌是提示进入防护区人员,当发生火灾时,应立即撤离。
7.0.2 防护区的走道和出口,必须保证人员能在 30s 内安全疏散。 (自2023年3月1日起废止该条, ▶▶点击查看: 新规《消防设施通用规范》GB 55036-2022 )
条文说明
7.0.2 干粉灭火系统从确认火警至释放灭火剂灭火前有一段延迟时间,该时间不大于 30s 。因此通道及出口大小应保证防护区内人员能在该时间内安全疏散。
7.0.3 防护区的门应向疏散方向开启,并应能自动关闭,在任何情况下均应能在防护区内打开。 (自2023年3月1日起废止该条, ▶▶点击查看: 新规《消防设施通用规范》GB 55036-2022 )
条文说明
7.0.3 防护区的门向外开启,是为了防止个别人员因某种原因未能及时撤离时,都能在防护区内将门开启,避免对人员造成伤害。门自行关闭是使防护区内释放的干粉灭火剂不外泄,保持灭火剂设计浓度有利于灭火,并防止污染毗邻的环境。
7.0.4 防护区入口处应装设自动、手动转换开关。转换开关安装高度宜使中心位置距地面 1.5m 。
条文说明
7.0.4 封闭的防护区内释放大量的干粉灭火剂,会使能见度降低,使人员产生恐慌心理及对人员呼吸系统造成障碍或危害。因此,人员进入防护区工作时,通过将自动、手动开关切换至手动位置,使系统处于手动控制状态,即使控制系统受到干扰或误动作,也能避免系统误喷,保证防护区内人员的安全。
7.0.5 地下防护区和无窗或设固定窗扇的地上防护区,应设置独立的机械排风装置,排风口应通向室外。
条文说明
7.0.5 当干粉灭火系统施放了灭火剂扑灭防护区火灾后,防护区内还有很多因火灾而产生的有毒气体,而施放的干粉灭火剂微粒大量悬浮在防护区空间,为了尽快排出防护区内的有毒气体及悬浮的灭火剂微粒,以便尽快清理现场,应使防护区通风换气,但对地下防护区及无窗或设固定窗扇的地上防护区,难以用自然通风的方法换气,因此,要求采用机械排风方法。
7.0.6 局部应用灭火系统,应设置火灾声光警报器。
条文说明
7.0.6 设置局部应用灭火系统的场所,一般没有围封结构,因此只设置火灾声光警报器,不设门灯等设施。
7.0.7 当系统管道设置在有爆炸危险的场所时,管网等金属件应设防静电接地,防静电接地设计应符合国家现行有关标准规定。 (自2023年3月1日起废止该条, ▶▶点击查看: 新规《消防设施通用规范》GB 55036-2022 )
条文说明
7.0.7 有爆炸危险的场所,为防止爆炸,应消除金属导体上的静电,消除静电最有效的方法就是接地。有关标准规定,接地线应连接可靠,接地电阻小于 100Ω 。
附录A管道规格及支、吊架间距
附录 A 管道规格及支、吊架间距



附录B管网分支结构
附录 B 管网分支结构

本规范用词说明
本规范用词说明
1 为便于在执行本规范条文时区别对待,对要求严格程度不同的用词说明如下:
表示很严格,非这样做不可的用词:
正面词采用“必须”,反面词采用“严禁”。
表示严格,在正常情况下均应这样做的用词:
正面词采用“应”,反面词采用“不应”或“不得”。
表示允许稍有选择,在条件许可时首先应这样做的用词:
正面词采用“宜”,反面词采用“不宜”;
表示有选择,在一定条件下可以这样做的用词,采用“可”。
2 本规范中指明应按其他有关标准、规范执行的写法为“应符合……的规定”或“应按……执行”。
