Appearance
《大空间智能型主动喷水灭火系统技术规程》CECS 263:2009
🗓️ 住房和城乡建设部 实施时间:2010-01-01
前言
中国工程建设协会标准
大空间智能型主动喷水灭火系统技术规程
Technical specification for large-space intelligent active control sprinkler systems
CECS 263:2009
主编单位:广州市设计院
佛山市南海天雨智能灭火装置有限公司
批准单位:中国工程建设标准化协会
施行日期:2 0 1 0 年 1 月 1 日
中国工程建设标准化协会公告
第49号
关于发布《大空间智能型主动喷水灭火系统技术规程》的公告
根据中国工程建设标准化协会(2004)建标协字第31号文《关于印发中国工程建设标准化协会2004年第二批标准制、修订项目计划的通知》的要求,由广州市设计院、佛山市南海天雨智能灭火装置有限公司等单位编制的《大空间智能型主动喷水灭火系统技术规程》,经中国工程建设标准化协会防火防爆专业委员会组织审查,现批准发布,编号为CECS 263:2009,自2010年1月1日起施行。
中国工程建设标准化协会
二〇〇九年十一月三日
前言
根据中国工程建设标准化协会(2004)建标协字第31号文《关于印发中国工程建设标准化协会2004年第二批标准制、修订项目计划的通知》的要求,制定本规程。在本规程的制订过程中,遵照“预防为主、防消结合”的消防工作方针,总结了近几年来国内外已建成或在建中的会展中心、机场、大型商场等多项大空间建筑消防设计和使用方面的经验教训,结合采用我国自行开发研制的大空间智能型主动灭火装置科研成果,广泛征求科研、设计、生产、消防监督、质检等部门意见,经有关部门共同审查定稿。
本规程共分18章和8个附录。主要内容有:总则,术语和符号,设置场所及适用条件,系统选择和配置,基本设计参数,系统组件,喷头及高空水炮的布置,管道,供水,水力计算,控制系统的操作与控制,电气,施工前准备,系统安装与施工,系统试压和冲洗,系统调试,系统验收,系统维护和管理等。
根据国家计委计标[1986]1649号文《关于请中国工程建设标准化委员会负责组织推荐性工程建设标准试点工作的通知》的要求,推荐给工程建设、设计、施工等使用单位和工程技术人员采用。
本规程由中国工程建设标准化协会防火防爆专业委员会(CECS/TC14)归口管理并负责解释。在执行本规程过程中,如有意见和建议,请函至解释单位(四川省都江堰市外北街266号公安部四川消防科研所,邮编:611830)。
主编单位 :广州市设计院 佛山市南海天雨智能灭火装置有限公司
参编单位 :国家消防装备质量监督检验中心 公安部天津消防研究所 广东省公安厅消防局 辽宁省消防局 广州市公安消防局 深圳市公安消防局 佛山市公安消防局 云南省曲靖市消防支队 上海沪标工程建筑咨询有限公司 中国建筑设计研究院 中国建筑东北设计研究院 中国建筑西北设计研究院 中国建筑西南设计研究院 中国建筑中南设计研究院 中元国际工程设计研究院 中国联合工程公司 机械工业第一设计研究院 总后勤部建筑设计研究院 中国航空工业第三设计研究院 中国核工业第四研究设计院 铁道部第四设计研究院 北京市建筑设计研究院 华东建筑设计研究院 上海建筑设计研究院有限公司 重庆市设计院 广东省建筑设计研究院 江苏省建筑设计研究院有限公司 福建省建筑设计研究院 河南省建筑设计研究院 四川省建筑设计研究院 河北省建筑设计研究院 新疆建筑设计研究院 内蒙古建筑勘察设计研究院有限责任公司 华南理工大学建筑设计研究院 同济大学建筑设计研究院 中建国际(深圳)设计顾问有限公司 佛山市建筑设计院 上海菲茨机电设备有限公司
主要起草人 :赵力军 周名嘉 李顺成 王福恩 经建生 范桦 陈泽民 万明 苏志强 林楚国 沈奕辉 朱远辉 肖裔平 陈映雄 严洪 关大巍 李梅玲 陈庆沅 陈硕 姜文源 赵锂 崔长起 陈怀德 孙钢 涂正纯 黄晓家 周明潭 罗定元 王冠军 李天如 赵荣 郭旭辉 刘文镔 杨琦 徐凤 汤浩 黄显奎 符培勇 方玉妹 程宏伟 许永敏 方汝清 赵明发 张洪洲 王峰 姬仓 归谈纯 郑大华 梁波 徐丽霞 李毅 曹章坚 贺家辉 陈钟潮 陈贵青
主要审查人 :郭树林 晁海鸥 王宝伟 张国辉 王炯 胡晓文 何文辉 谭增生 贾国斌 潘复兴 王宁 张耀泽 徐建成 王耀堂 唐祝华 潘德琦 史丹梅
中国工程建设标准化协会
2009年11月3日
1 总则
1 总 则
1.0.1 为了正确、合理地对大空间智能型主动喷水灭火系统进行设计、施工和验收,保护人身和财产的安全,制定本规程。
条文说明
1.0.1 本条提出了制订本规程的目的,即为了正确、合理地设计大空间智能型主动喷水灭火系统,保护人身和财产的安全。大空间智能型主动喷水灭火系统是近年来我国科技人员独自研制开发的一种全新的喷水灭火系统。该系统采用的是自动探测及判定火源、启动系统、定位主动喷水灭火的灭火方式,与传统的采用由感温元件控制的被动灭火方式的闭式自动喷水灭火系统以及手动或人工喷水灭火系统相比,具有以下优点:
1 具有人工智能,可主动探测寻找并早期发现判定火源;
2 可对火源的位置进行定点定位并报警;
3 可主动开启系统定点定位喷水灭火;
4 可迅速扑灭早期火灾;
5 可持续喷水、主动停止喷水并可多次重复启闭;
6 适用空间高度范围广(灭火装置安装高度最高可达25m);
7 安装方式灵活,不需贴顶安装,不需集热装置;
8 射水型灭火装置(自动扫描射水灭火装置及自动扫描射水高空水炮灭火装置)的射水水量集中,扑灭早期火灾效果好;
9 洒水型灭火装置(大空间智能灭火装置)的喷头洒水水滴颗粒大、对火场穿透能力强、不易雾化等;
10 可对保护区域实施全方位连续监视。
该系统尤其适合于空间高度高、容积大、火场温度升温较慢,难以设置传统闭式自动喷水灭火系统的场所,如:大剧院、音乐厅、会展中心、候机楼、体育馆、宾馆、写字楼的中庭、大卖场、图书馆、科技馆等。
该系统与利用各种探测装置控制自动启动的开式雨淋灭火系统相比,有以下优点:
1 探测定位范围更小、更准确,可以根据火场火源的蔓延情况分别或成组地开启灭火装置喷水,既可达到雨淋系统的灭火效果,又不必像雨淋系统一样一开一片。在有效扑灭火灾的同时,可减少由水灾造成的损失。
2 在多个(组)喷头(高空水炮)的临界保护区域发生火灾时,只会引起周边几个(组)喷头(高空水炮)同时开启,喷水量不会超过设计流量,不会出现雨淋系统两个或几个区域同时开启导致喷水量成倍增加而超过设计流量的情况。
我国独自开发研制的大空间智能型主动喷水灭火系统及配套产品的出现,改变了我国在消防喷水灭火技术方面,长期以来一直模仿及参照外国系统、技术及配套产品,而缺少技术发明及创新的状况,为我国乃至世界各地大空间场所的消防扑救提供了一个全新而有效的手段。需要指出的是,尽管这一系统是一种先进的系统,但由于出现的时间较短,还未经过大量的灭火实践,尤其是至今尚未发布该系统工程设计的国家规范,世界上也无类似的规范标准可参照,造成该系统的工程设计、消防评审和验收均无章可循。2004年4月,由广州市设计院主编的广东省标准《大空间智能型主动喷水灭火系统设计规范》DBJ 15—34—2004发布实施,广东省标准的发布填补了国内外大空间智能型主动喷水灭火系统设计标准方面的空白,初步解决了大空间智能型主动喷水灭火系统设计依据问题,受到消防部门及设计部门的广泛好评。据不完全统计,广东省标准发布实施以来,全国有几百项工程按照或参照广东省标准进行了工程设计,解决了大量大空间建筑的消防设计问题。但毕竟广东省标准还是一部地方标准,在全国各地引用要事先得到消防部门的批准,且广东省标准的内容还不够完整,未能包括施工验收方面的内容,直接影响到这一系统在全国的设计采用及施工验收。制订本规程的目的,就是为了解决这些问题,为消防监督部门的监督、审查和验收工作提供依据。
本规程编写时,设计部分参考了广东省标准《大空间智能型主动喷水灭火系统设计规范》DBJ 15—34—2004的相关内容,施工验收部分参考了国家标准《自动喷水灭火系统施工及验收规范》GB 50261—2005的相关内容。本规程作为一部完整的大空间智能型主动喷水灭火系统设计施工验收规程,填补了我国乃至世界在自动消防领域的一项空白,有着重要的意义。但由于本规程的编写时间较仓促,而且缺乏较全面的实验数据及大量的工程实验及实际喷水灭火经验,以及一些理论支持,导致还存在一些问题。比如:①系统的设计水量仍然偏大。主动探测、早期发现、主动反应迅速灭火的喷水灭火方式与火灾蔓延一段时间,待火场环境温度升高后引爆喷头的被动喷水灭火方式相比,扑灭火灾的一次用水量应少一些,但应减少多少水量为合理,由于无这方面的充足实验数据及理论支持,在喷水量及喷水强度方面仍沿用了《自动喷水灭火系统设计规范》的一些数据;②持续喷水灭火时间仍较长,同样也沿用了现行国家标准《自动喷水灭火系统设计规范》GB 50084的一些数据;③用于仓库的系统如何设计不够具体等等。传统的自动喷水灭火系统出现至今虽然已有一百多年的历史,其相关的设计规范至今还在不断完善之中,尤其是在大空间场所的设计方面,大空间智能型主动喷水灭火系统出现才几年时间,所以要求其设计规程一次就达到尽善尽美是不现实的。整个规程还有待在实际工程中进一步检验、改进及完善。
1.0.2 本规程适用于新建、扩建、改建的民用与工业建筑中大空间智能型主动喷水灭火系统的设计、施工和验收。
本规程不适用于火药、炸药、弹药、火工品工厂、核电站及飞机库等特殊功能建筑中大空间智能型主动喷水灭火系统的设计、施工和验收。
条文说明
1.0.2 本条规定了本规程的适用范围及不适用范围。新建、扩建及改建的民用与工业建筑,当设置大空间智能型主动喷水灭火系统时,可按本规程的规定进行设计。但火药、炸药、弹药、火工品工厂、核电站及飞机库等性质上超出常规的特殊建筑,属于本规程的不适用范围。上述各类性质特殊的建筑设计大空间智能型主动喷水灭火系统时,应按其所属行业的规范设计。
1.0.3 大空间智能型主动喷水灭火系统的设计,应做到安全可靠、技术先进、经济合理。
条文说明
1.0.3本条主要规定了在进行大空间智能型主动喷水灭火系统设计时,要使系统的工程设计达到安全可靠、技术先进,同时又经济合理。
1.0.4 大空间灭火装置应取得国家指定检验机构强制或型式检验合格,并符合消防产品市场准入规则。
条文说明
1.0.4 本条规定系统所采用的智能型自动灭火装置应当是经过国家指定检验机构强制或型式检验合格,允许进入市场的产品,不得采用未经检验合格的产品。
1.0.5 当设置大空间智能型主动喷水灭火系统的建筑变更用途时,应校核原有系统的适用性。当不适用时,应按本规程重新设计、施工和验收,或改用其他灭火系统。
条文说明
1.0.5 本条是针对某些已配置使用大空间智能型主动喷水灭火系统的场所有可能改变使用用途的情况而制订的。当这些场所改变使用用途时,这些场所的火灾类型、物品的堆放方式、平面的布置方式、火灾危险性等都会随之改变,原系统设计配置的灭火装置类型、规格、数量、布置方式以及系统的设计水量、喷水强度和水泵组的规模等,均可能满足不了要求,应校验原系统的适用性。不适用时,应按本规程重新设计或改用其他灭火系统。
1.0.6 大空间智能型主动喷水灭火系统的设计、施工和验收,除执行本规程外,尚应符合国家现行的相关强制性标准的规定。
条文说明
1.0.6 大空间智能型主动喷水灭火系统设计涉及的专业较多,范围较广。本规程只规定了大空间智能型主动喷水灭火系统特有的技术要求。对于其他专业性较强而且已在某些相关的国家标准中作出强制性技术规定的技术要求,本规范不再作重复规定,相关现行的国家标准有《建筑设计防火规范》GB 50016、《高层民用建筑设计防火规范》GB 50045,《自动喷水灭火系统设计规范》GB 50084、《火灾分类》GB/T 4968、《火灾自动报警系统设计规范》GB 50116等。
2 术语和符号
2.1 术语
2.1 术 语
2.1.1 大空间场所 large-space site
大空间场所是指民用和工业建筑物内净空高度大于8m,仓库建筑物内净空高度大于12m的场所。
2.1.2 大空间灭火装置 large-space extinguishing device
大空间智能灭火装置、自动扫描射水灭火装置和自动扫描射水高空水炮灭火装置的统称。
2.1.3 大空间智能型主动喷水灭火系统 large-space intelligent active control sprinkler systems
由大空间灭火装置、信号阀组、水流指示器等组件以及管道、供水设施等组成,能在发生火灾时自动探测着火部位并主动喷水的灭火系统。
2.1.4 大空间智能灭火装置 large-space intelligent autosprinkler device
灭火喷水面为一个圆形面,能主动探测着火部位并开启喷头喷水灭火的智能型自动喷水灭火装置,由智能型探测组件、大空间大流量喷头、电磁阀组三部分组成。其中智能型探测组件与大空间大流量喷头及电磁阀组均为独立设置。
2.1.5 标准型大空间智能灭火装置 standard large-space intelligent auto-sprinkler device
安装高度为6m~25m,保护半径≤6m,喷水流量≥5L/s的大空间智能灭火装置。
2.1.6 自动扫描射水灭火装置 automatic-scanning sprinkler device
灭火射水面为一个扇形面的智能型自动扫描射水灭火装置。由智能型探测组件、扫描射水喷头、机械传动装置、电磁阀组四大部分组成。其中智能型探测组件、扫描射水喷头和机械传动装置为一体化设置。
2.1.7 标准型自动扫描射水灭火装置 standard automatic-scanning sprinkler device
安装高度为2.5m~6m,标准保护半径≤6m,喷水流量≥2L/s的智能型自动扫描射水灭火装置。
2.1.8 自动扫描射水高空水炮灭火装置 automatic-scanning elevated fire monitor extinguishing device
灭火射水面为一个矩形面的智能型自动扫描射水高空水炮灭火装置,由智能型探测组件、自动扫描射水高空水炮(简称高空水炮)、机械传动装置、电磁阀组四大部分组成。其中,智能型红外探测组件、自动扫描射水高空水炮和机械传动装置为一体化设置。
2.1.9 标准型自动扫描射水高空水炮灭火装置 standard automatic-scanning elevated fire monitor extinguishing device
安装高度为6m~20m,标准保护半径≤20m,喷水流量≥5L/s的智能型自动扫描射水高空水炮灭火装置。
2.1.10 保护面积 protected area
一个或多个喷头(高空水炮)在标准工作压力下实际覆盖面的面积,这个覆盖面可以是方形、矩形、圆形或任意形状。
2.1.11 配水干管 feed mains
水泵出水口或其他供水水源出口后向配水管供水的管道。
2.1.12 配水管 cross mains
向配水支管供水的管道。
2.1.13 配水支管 branch lines
直接或通过短立管向喷头(高空水炮)供水的管道。
2.1.14 配水管道 system pipes
配水干管、配水管及配水支管的总称。
2.1.15 短立管 sprig-up
连接喷头(高空水炮)与配水支管的立管。
2.1.16 信号阀 signal valve
具有输出启闭状态信号功能的阀门。
2.1.17 智能灭火装置控制器 controller for intelligent extinguishing devices
能显示大空间智能型主动喷水灭火系统的工作状态并能进行联动控制操作的设备。
条文说明
2.1.1~2.1.8、2.1.16、2.1.17 这10条术语是在其他标准中未曾出现的。在具体定义中,根据有关规定,在全面分析的基础上,突出特性,尽量做到定义准确,简明易懂。所谓“智能型”是指产品将红外传感技术、计算机技术、信号处理及判别技术和通信技术有机地结合起来,具有完成全方位监控、探测火灾、定位判定火源、启动系统、定位射水灭火、持续喷水、停水或重复启闭喷水等全过程的控制能力。
所谓“主动喷水灭火系统”既区别于传统的“手动或人工喷水灭火系统”,也区别于传统的“自动喷水灭火系统”。其灭火过程不需依赖手工操作,喷头开启也不需依赖周围环境温度的升高,具有主动判定火灾、定位及开启的能力。整个系统从发现火灾、火灾确认、启动系统、射水灭火至灭火后停止射水的全过程都是主动完成的。
2.1.18 电源装置 power supply
为大空间智能型主动喷水灭火系统提供不间断电源并具有监控功能的设备。
2.1.19 系统组件 system components
大空间智能型主动喷水灭火系统中使用的阀门、水流指示器、信号阀、节流管,减压孔板、模拟末端试水装置等专用产品的统称。
2.1.20 复位状态 reset state
大空间灭火装置在初始加电或扫描一定时间后等待工作稳定的状态。在该状态下,不进行任何火灾探测,工作指示灯也不闪烁。
2.1.21 监视状态 monitor state
大空间灭火装置经过正常复位状态后所处的状态。在该状态下,工作指示灯有规律地闪烁,对工作环境进行不间断的火灾监视。
2.1.22 自动状态 auto-control state
指电磁阀、消防水泵等系统组件完全受大空间灭火装置控制时的状态。在该状态下,一旦大空间灭火装置完成对火源的判定和定位,电磁阀、消防水泵会立即打开和启动。
2.1.23 手动状态 manmcontrol state
指电磁阀、消防水泵等系统组件除接受大空间灭火装置控制信号外,还必须接受人工手动控制信号时的状态。在该状态下,大空间灭火装置完成对火源的判定和定位,电磁阀、消防水泵不会立即打开和启动,而只有再接受到人工手动控制信号后才能打开和启动。
2.1.24 准工作状态 condition of prepare operating
大空间智能型主动喷水灭火系统的管网内充满水、各系统组件工作正常、火灾时大空间灭火装置能射水灭火的状态。
2.1.25 智能型探测组件 intelligent detection components
由火焰传感器、中央处理器、放大与滤波电路等组成,火灾时能探测火灾并发出报警及联动控制信号的部件。
2.1.26 模拟末端试水装置 tail imitating testing-device
探测及控制方式与大空间灭火装置相同,喷头为固定式,喷头的流量系数近似于大空间灭火装置上喷头(高空水炮)的流量系数,用于模拟大空间灭火装置的探测启动及检验管网末端最不利点喷头处水压及水流状况的装置。
2.2 符 号
2.2 符 号
a——喷头与喷头间的纵向间距(m);
b——喷头与喷头间的横向间距(m);
d g ——节流管的计算内径(m);
d j ——管道的计算内径(m);
d k ——减压孔板的孔口直径(m);
DN——管道公称直径(mm);
g——重力加速度;
h——系统管道沿程和局部的水头损失(MPa);
H——水泵扬程或系统入口的供水压力(MPa);
H g ——节流管的水头损失(MPa);
H k ——减压孔板的水头损失(MPa);
i——每米管道的水头损失(MPa);
k——喷头流量系数;
L——节流管的长度(m);
n——最不利点处最大一组同时开启喷头的个数(个);
P——喷头工作压力(MPa);
P 0 ——最不利点处喷头的工作压力(MPa);
q——喷头流量(L/s);
q i ——最不利点处最大一组同时开启喷头中各喷头节点的流量(L/min);
Q s ——系统设计流量(L/s);
Q P ——管段的设计流量(L/s);
S——喷头的保护面积(m 2 );
V——管道内水的平均流速(m/s);
Vg——节流管内水的平均流速(m/s);
V k ——减压孔板后管道内水的平均流速(m/s);
Z——最不利点处喷头与消防水池最低水位或系统入口管水平中心线之间的高程差(MPa);
ζ——节流管中渐缩管与渐扩管的局部阻力系数之和;

——减压孔板的局部阻力系数。
条文说明
本节是根据本规程第7章喷头及水炮的布置以及第10章水力计算的要求,本着简化和必要的原则,删除简单的、常规的计算公式与符号,列出了流量、参数等28个有关的符号、名称及量纲。
3 设置场所及适用条件
3 设置场所及适用条件
3.0.1 设置大空间智能型主动喷水灭火系统场所的环境温度不应低于4℃,且不应高于55℃。
条文说明
3.0.1 本条对大空间智能型主动喷水灭火系统的适用环境温度作了限定。
3.0.2 大空间智能型主动喷水灭火系统适用于扑灭大空间场所的A类火灾。
条文说明
3.0.2 国家消防装备质量监督检验中心的试验结果表明:大空间智能型主动喷水灭火系统适用于扑灭大空间场所的A类火灾。A类火灾是指固体物质火灾。这种物质通常具有有机物性质,一般在燃烧时能产生灼热的余尽。而对于B、C、D、E、F类火灾,该系统理论上也具有一定的灭火、降温及防止火灾扩大蔓延的能力。但由于缺乏这方面的试验,暂无法将该系统对于B、C、D、E、F类的灭火效能作出判定。故本条暂规定该系统只适用于扑灭大空间场所的A类火灾。所谓A、B、C、D、E、F类火灾可按照国家标准《火灾分类》GB 4968—2008确定。
3.0.3 凡按照国家有关消防设计规范的要求应设置自动喷水灭火系统,火灾类别为A类,但由于空间高度较高,采用其他自动喷水灭火系统难以有效探测、扑灭及控制火灾的大空间场所应设置大空间智能型主动喷水灭火系统。
条文说明
3.0.3 本条对什么场所应设置大空间智能型主动喷水灭火系统进行了规定。凡按照国家有关消防设计规范,如《建筑设计防火规范》GB 50016、《高层民用建筑设计防火规范》GB 50045等规范的要求应设置自动喷水灭火系统,火灾类别为A类,但由于空间高度较高,釆用自动喷水灭火系统难以有效探测、扑灭及控制火灾的大空间场所,应设置大空间智能型主动喷水灭火系统。对于部分国家有关消防设计规范并无规定,而消防主管部门、业主或设计方面根据火灾危险性认为应当采用主动喷水灭火系统的大空间场所,如火灾类型为A类,也可采用大空间智能型主动喷水灭火系统。还有一些场所,按有关规范规定应设置自动喷水灭火系统,但由于建筑美观或结构承重的要求无法吊顶设置自动喷水灭火系统喷头及管网时,也可考虑采用大空间智能型主动喷水灭火系统。 A类火灾的大空间场所举例如表1所示。 
3.0.4 大空间智能型主动喷水灭火系统不适用于以下场所:
1 在正常情况下采用明火生产的场所;
2 火灾类别为B、C、D、E、F类火灾的场所;
3 存在较多遇水发生爆炸或加速燃烧的物品的场所;
4 存在较多遇水发生剧烈化学反应或产生有毒有害物质的物品的场所;
5 存在较多因洒水而导致喷溅或沸溢的液体的场所;
6 存放遇水将受到严重损坏的贵重物品的场所,如档案库、贵重资料库、博物馆珍藏室等;
7 严禁管道漏水的场所;
8 因高空水炮的高压水柱冲击造成重大财产损失的场所;
9 其他不宜采用大空间智能型主动喷水灭火系统的场所。
条文说明
3.0.4 本条规定了不适用大空间智能型主动喷水灭火系统的一些场所。 1 大空间智能型主动喷水灭火系统的红外探测组件对明火的探测能力很强,故在正常情况下有明火产生的场所不适合采用这种系统,以防产生误报警及误喷。 2 由于缺少该系统用于扑灭B、C、D、E、F类火灾的灭火效果实验及实际使用方面的经验,暂不将B、C、D、E、F类火灾场所列入该系统的适用场所范围。 3、4 如存在较多金属钾、钠、锂、钙、锶、氧化锂、氧化钠、氧化钙、碳化钙、磷化钙等的场所。 5 如存放一定量原油、渣油、重油等的敝口容器(罐、槽、池)等。 6~8 因水造成的损坏一般有两种情况:一种是水的浸湿破坏,因管道的漏水或管道的直接喷水造成;另一种是水的冲击破坏,因高空水炮及扫描射水喷头射水所产生的水压的冲击造成。 9 如空间高度超过了灭火装置的探测保护范围的场所,以及遮挡物较多、灭火装置无法进行有效探火及喷水灭火的场所。
3.0.5 不同类型智能型灭火装置的适用条件可按表3.0.5的要求执行。

条文说明
3.0.5 本条规定了不同类型智能型灭火装置的适用条件。图1~图9分别为不同类型智能型灭火装置在不同安装条件下的安装及喷(射)水示意图。 




4 系统选择和配置
4.1 一般规定
4.1 一般规定
4.1.1 大空间智能型主动喷水灭火系统的选择,应根据设置场所的火灾类别、火灾特点、环境条件、空间高度、保护区域的形状、保护区域内障碍物的情况、建筑美观要求及配置不同灭火装置的大空间智能型主动喷水灭火系统的适用条件来确定。
条文说明
4.1.1 本条规定了选择大空间智能型主动喷水灭火系统时应考虑的一些因素和条件。
4.1.2 大空间智能型主动喷水灭火系统设计原则应符合下列规定:
1 智能型探测组件应能有效探测和判定火源。
2 系统设计流量应保证在保护范围内设计同时开放的喷头、高空水炮在规定持续喷水时间内持续喷水。
3 大空间智能型主动喷水灭火系统的持续喷水灭火时间不应低于1h。在这一时间范围内,可根据火灾扑灭情况,人工或自动关闭系统及复位。
4 喷头、水炮喷水时,不应受到障碍物的阻挡。
条文说明
4.1.2 本条规定了大空间智能型主动喷水灭火系统的一些设计原则。
1 有些发热体如灯泡、盛开水的水杯、电炉、烟头等本身不产生明火,如果红外探测组件对这类物体无法进行判定,就会导致误喷。所以要求设计时选用的智能型探测组件不但应具有探测高温物体的能力,还要具备判定是否为明火的能力。
2 系统设计流量要保证在保护范围内所有同时开放的喷头、水炮,在规定持续喷水时间内持续喷水是很难做到的,除非保护范围的面积不大,设计同时开放的喷头、水炮数量大于或等于保护范围内可能出现的同时开启喷头、水炮的数量。故本条规定:系统设计流量应保证在保护范围内设计同时开放的喷头、高空水炮在规定持续喷水时间内持续喷水。
3 大空间智能型主动喷水灭火系统与传统的自动喷水灭火系统比较,最大的区别在于灭火装置本身具有探测判定火源并主动灭火的能力,不必等环境温度升高后再开启喷头,具有早期发现、早期扑灭火灾的能力,可以在火源还是一个点的时候就启动扑灭火灾。所以,理论上其扑灭火灾所需要的水量要少的多,持续喷水时间也要短。从国家消防装备质量监督检验中心及佛山市南海天雨智能灭火装置有限公司对A类火灾的灭火实验结果来看,也证实了这一点。实验的结果是:一般从火灾发生到扑灭只需不到3min的时间。这一条规定之所以目前仍要求系统的持续喷水灭火时间不应低于1h,是基于以下考虑:
1)系统即使短时间内扑灭了明火(表面火灾)后,也应保持一定时间的延续喷水时间以扑灭暗火(深层火灾),并继续降低火场的温度。
2)有些火灾是在暗火(深层火灾)已燃烧扩散到一定程度才转为可被探测到的明火(表面火灾)的,如堆叠式仓库、高架货架的底部发生火灾时,发现火灾的时间一般较迟,火灾已蔓延到一定范围,扑灭火灾所需的水量就要增加,扑灭火灾所需的时间也较长。
3)为了与传统自动喷水灭火系统合用一套供水系统。
4)暂时缺少对该系统合理持续喷水灭火时间的深入研究及实验结果。
4 在布置喷头、高空水炮时,应避免其喷出的水滴、水柱等在到达火源的过程中受到障碍物的阻挡。
4.1.3 设置大空间智能型主动灭火系统的场所的火灾危险等级应按现行国家标准《自动喷水灭火系统设计规范》GB 50084的规定划分。
4.2 系统选择
4.2 系统选择
4.2.1 火灾危险等级为中危险级或轻危险级的场所可采用配置各种类型大空间灭火装置的系统。
条文说明
4.2.1 对于内部可燃物品较少、可燃性低、火灾热量较低、外部增援和疏散人员较容易的轻危险级场所,以及内部可燃物数量为中等、可燃性也为中等、火灾初期不会引起剧烈燃烧的中危险场所,可采用配置各种类型大空间灭火装置的系统。
4.2.2 火灾危险等级为严重危险级的场所宜采用配置大空间智能灭火装置的系统。
条文说明
4.2.2 大空间智能灭火装置喷头的喷水范围类似于传统的喷淋喷头,为一个圆形面,水滴为离心抛射后垂直均匀地洒落。所以这种装置既具有扑灭火灾的能力,也具有一定切断及控制火灾蔓延的能力,可以用于火灾类别为A类、火灾危险性大、且可燃物品数量多、火灾时容易引起猛烈燃烧并可能迅速蔓延的严重危险级场所。自动扫描射水灭火装置及自动扫描射水高空水炮灭火装置则不同,它们的喷水范围类似于消火栓,一个是扇形面,一个是矩形面,喷水范围较少,喷水水量较集中,对着火范围较小的火灾有迅速发现并集中水量扑灭的能力,但对于切断及控制火灾的蔓延则能力有限,故不适合应用于火灾类别为A类、火灾时容易引起猛烈燃烧并可能迅速蔓延的严重危险级场所。
应当说明的是,大空间智能型主动喷水灭火系统在一定条件下也可用于大空间仓库,只是由于各种仓库的火灾危险等级不同,货物的堆放高度、堆放方式也不同,本规范暂时很难定出一个统一的标准。能否将该系统用于仓库应根据具体的情况具体分析确定。对于火灾类别为A类、仓库危险级为I、Ⅱ、Ⅲ级的仓库,可考虑采用灭火及控制火灾蔓延能力较强的大空间智能型灭火装置的大空间智能型主动喷水灭火系统。采用时,除了要保证设计喷水强度、作用面积应符合《自动喷水灭火系统设计规范》GB 50084中的规定外,还要保证智能型探测组件的探测及喷头的洒水不会受到堆积货物或高架货架的阻挡而出现探测死角或洒水死角,否则不能在仓库中采用这一装置。
对于火灾类别为A类、仓库危险等级为I级,货物为堆叠式放置而非货架式放置、货物放置高度不高,且无探测死角及洒水死角的大空间仓库,可考虑采用灭火能力较强但控制火灾蔓延能力较差的配置自动扫描射水灭火装置或自动扫描射水高空水炮灭火装置的系统。
4.2.3 舞台的葡萄架下部、演播室、电影摄影棚的上方宜采用置大空间智能灭火装置的系统。
条文说明
4.2.3 对于舞台、演播室、电影棚等场所,由于其上方有吊架、幕布、布景、灯具等各种障碍物,所以不适合采用配置射水型的自动扫描射水灭火装置或自动扫描射水高空水炮灭火装置的系统。而适合采用配置洒水型的大空间智能灭火装置的系统。
4.2.4 边墙式安装时宜采用配置自动扫描射水灭火装置或自动扫描射水高空水炮灭火装置的系统。
条文说明
4.2.4 边墙式安装时,宜选用探测组件与喷头(高空水炮)一体设置且探测及射水范围可控制在半圆形范围内的配置自动扫描射水灭火装置或自动扫描射水高空水炮灭火装置的系统。
4.2.5 灭火后需及时停止喷水的场所,应采用具有重复启闭功能的大空间智能型主动喷水灭火系统。
条文说明
4.2.5 有些场所如图书馆、书库、造纸厂的纸库、航空快件仓库等灭火后必须即时停止喷水的场所,可采用具有重复启闭功能的大空间智能型主动喷水灭火系统。应当指出,这时采用的大空间智能型主动喷水灭火系统灭火后,智能型探测组件应能判断明火是否熄灭,并在延迟喷水灭火一段时间后自动关闭系统。之后如再发生火灾(可能由未被扑灭的暗火引起),应可以再次或多次启动系统进行灭火。
4.2.6 大空间智能型主动喷水灭火系统的管网宜独立设置。
4.2.7 当大空间智能型主动喷水灭火系统的管网与湿式自动喷水灭火系统的管网合并设置时,必须满足下列条件:
1 系统设计水量、水压和一次灭火用水量应满足两个系统中最大的一个设计水量、水压及一次灭火用水量的要求;
2 应同时满足两个系统的其他设计要求,并能独立运行,互不影响。
4.2.8 当大空间智能型主动喷水灭火系统的管网与消火栓系统的管网合并设置时,必须满足下列条件:
1 系统设计水量、水压及一次灭火用水量应同时满足两个系统总的设计水量、最高水压及一次灭火用水量的要求;
2 应同时满足两个系统的其他设计要求,并能独立运行,互不影响。
条文说明
4.2.6~4.2.8 在有条件的情况下,大空间智能型主动喷水灭火系统的管网宜独立设置,这样有利于系统管网的布置、设备的选型以及系统的操作控制及检修。如考虑到造价、设置场地限制等因素,将系统管网与自动喷水灭火系统或消火栓系统管网合并设置时,则应分别满足第4.2.7条和第4.2.8条中的规定。
4.3 系统的配置
4.3 系统的配置
4.3.1 配置大空间智能灭火装置的大空间智能型主动喷水灭火系统应由下列部分或全部组件、配件和设施组成:
1 大空间大流量喷头;
2 智能型探测组件(独立设置);
3 电磁阀;
4 水流指示器;
5 信号阀;
6 模拟末端试水装置;
7 配水支管;
8 配水管;
9 配水干管;
10 手动闸阀;
11 高位水箱或气压稳压装置;
12 试水放水阀;
13 安全泄压阀;
14 止回阀;
15 加压水泵或其他供水设施;
16 压力表;
17 消防水池;
18 水泵控制箱;
19 智能灭火装置控制器;
20 声光报警器;
21 监视模块;
22 电源装置;
23 水泵接合器。
4.3.2 配置自动扫描射水灭火装置的大空间智能型主动喷水灭火系统应由下列部分或全部组件、配件和设施组成:
1 自动扫描射水灭火装置(与智能型探测组件一体式);
2 电磁阀;
3 水流指示器;
4 信号阀;
5 模拟末端试水装置;
6 配水支管;
7 配水管;
8 配水干管;
9 手动闸阀;
10 高位水箱或气压稳压装置;
11 试水放水阀;
12 安全泄压阀;
13 止回阀;
14 加压水泵或其他供水设施;
15 水泵控制箱;
16 消防水池;
17 智能灭火装置控制器;
18 压力表;
19 监视模块;
20 声光报警器;
21 电源装置;
22 水泵接合器。
4.3.3 配置自动扫描射水高空水炮的大空间智能型主动喷水灭火系统应由下列部分或全部组件、配件和设施组成:
1 自动扫描射水高空水炮灭火装置(与智能型探测组件一体式);
2 电磁阀;
3 水流指示器;
4 信号阀;
5 模拟末端试水装置;
6 配水支管;
7 配水管;
8 配水干管;
9 手动闸阀;
10 高位水箱或气压稳压装置;
11 试水放水阀;
12 安全泄压阀;
13 止回阀;
14 加压水泵或其他供水设施;
15 水泵控制箱;
16 压力表;
17 消防水池;
18 智能灭火装置控制器;
19 声光报警器;
20 监视模块;
21 电源装置;
22 水泵接合器。
条文说明
4.3.1~4.3.3 条列出了配置不同种类的大空间灭火装置时,大空间智能型主动喷水灭火系统主要系统组件或配件。应当指出,建筑机构和功能各种各样,相应的大空间智能型主动喷水灭火系统的结构和组成也是各不相同,不能千篇一律,应灵活设置。有些建筑规模较小,内部布局简单,从主要入口处能观察内部情况,在类似这样场所设置大空间智能灭火系统,建议采用各灭火装置独立工作的模式。此时,系统不设智能灭火装置控制器,报警、联动控制等功能均由智能灭火装置独立完成。以4个装置为例,其系统水路组成示意如图10: 图10中只是给出了这种简单系统水路的基本组成和布局方式。相应地,其电控组成及布局方式如图11所示。为了直观明了,图11中的各部件的布局方式尽量与图10保持一致。 从图11可以看出,该模式下控制线路非常简单,声光报警器由水流指示器提供的无源触点信号与各灭火装置提供的无源触点信号并联后控制(也可将两个无源触点信号分开来分别控制不同的警报装置);信号阀的状态由其上的无源触点信号控制闪光报警灯或其他类型的指示灯来指示;水泵电机由各灭火装置提供的无源触点信号控制;水泵控制箱能控制主泵,主泵启动失败后启动备用泵;电源装置为整个系统提供交流和直流电源。图12为对应图11的系统图。 

实际工程中,可能要增设现场控制箱、扩展端子以及控制模块等辅助配件,此时系统的配线应根据现场具体情况和产品性能作相应改变。 同样,如果采用ZSD—40(A)型大空间智能灭火装置,设计思想与上述采用自动扫描射水灭火装置(高空水炮)时的思路基本相同,主要区别在ZSD控制器和大空间大流量喷头的布局不同。图13表示了配置ZSD—40(A)大空间智能灭火装置的系统水路的基本组成(其中:1个ZSD控制器控制2个大空间大流量喷头,另外3个ZSD控制器各控制1个大空间大流量喷头)。 
相应地,其电控组成及布局方式如图14所示。为了直观明了,图14中的各部件的布局方式尽量与图13保持一致。 
图14与图11的主要区别在于ZSD控制器最多能同时控制4个电磁阀。实际工程中,可能要设置现场控制箱、控制模块等辅助配件,这要依现场具体情况和各家的产品性能而定。如果进行这样的设置,系统的电源布线作做相应考虑。 从图14中可以看出,声光报警器由水流指示器提供的无源触点信号与各ZSD控制器提供的无源触点信号并联后控制(也可将两个无源触点信号分开来分别控制不同的警报装置);信号阀的状态由其上的无源触点信号控制频闪或其他类型的指示灯来指示;水泵泵电机由各ZSD控制器提供的无源触点信号控制;水泵控制箱能控制主泵,主泵启动失败后启动备用泵;电源装置为整个系统提供交流和直流电源。图15给出了图14所对应的系统图。 
图10?图15所示内容是当系统规模较小、结构相对简单时建议采用的结构和布局形式。而当系统规模较大、结构较为复杂时,这是不能满足实际需要的。现在,火灾自动报警系统已经非常普及,其具有的高度智能化、总线结构等特点使得应用变得简单而实用。一般的建筑内部都设有火灾自动报警系统和消防控制中心或值班中心。特别是一些消防改造工程更是如此。在这样的场所安装大空间主动喷水灭火系统,除了要考虑本系统外,还要兼顾火灾自动报警系统的设置情况。最好两者综合设置,达到资源共享。这种设置能让值班人员在消防控制中心就能对各智能灭火装置的状态进行监视,有利于系统运行的可靠。既降低了系统造价,也为系统的维护提供了方便。图16表示了这样一种系统的水路实施,方案。图中以2层建筑结构为例。实际工程中,可能需要设置减压设施。 
相应地,对应图16的电控系统如图17所示。为了直观明了,图17中各部件的布局方式尽量与图16保持一致。从图16、图17可以看出,系统设置了智能灭火装置控制器。智能灭火装置控制器可以由系统专门设置,也可以由建筑物火灾自动报警系统控制器兼做。当采用总线型火灾报警控制器作为智能灭火装置控制器时,要为每个智能灭火装置配置一个监视模块。火灾时,当灭火装置完成探测、扫描和定位后,由监视模块监视智能灭火装置的工作状态并报告给控制中心的火灾报警控制器,由控制器发出进一步的联动控制指令,完成启泵、报警等操作。需要指出的是,这只是一种设计举例,实际工程中,可能要增设现场控制箱、扩展端子以及控制模块等辅助配件,此时应根据现场具体情况和产品性能对系统的配线作相应的改变。另外,报警装置的设置也应符合本规程的规定。图18是图17的电控系统图。


关于设置智能灭火装置控制器的大空间智能灭火装置系统的设计思路与图16图18所表示的设计思路相同。总之,大空间主动喷水灭火系统的设计应紧密结合工程实际并充分考虑生产厂家产品的具体性能,在满足设计规范的基础上,灵活设计、经济合理。
5 基本设计参数
5 基本设计参数
5.0.1 各种标准型大空间灭火装置的基本设计参数,应符合表5.0.1-1~表5.0.1-3的规定。
1 标准型大空间智能灭火装置的基本设计参数应符合表5.0.1-1的规定。


2 标准型自动扫描射水灭火装置的基本设计参数应符合表5.0.1-2的规定。

3 标准型自动扫描射水高空水炮灭火装置的基本设计参数应符合表5.0.1-3的规定。

条文说明
5.0.1 本条规定了各种灭火装置的基本设计参数不应低于表5.0.1-1~表5.0.1-3中规定的数值。 1 标准型大空间智能灭火装置的基本设计参数应符合表5.0.1-1中规定的数值。采用表5.0.1-1时应注意以下几点: 1)表中设置场所的火灾危险等级应根据《自动喷水灭火系统设计规范》GB 50084确定。 2)在一个周围有防火墙分隔的火灾无法蔓延的保护区域,如果该区域的面积不超过一个标准装置的保护半径范围,且不存在探测死角的条件下,可以采用一个标准型灭火装置进行保护。 3)在一个区域的面积超过一个标准装置的保护半径范围、火灾有可能由一个灭火装置的保护区域蔓延至另一个区域而需要设置2个及2个以上的标准灭火装置进行保护时,应按表中标准矩形保护范围及面积一栏中规定的数值布置灭火装置,并考虑火灾的危险等级。 4)按表中规定的尺寸布置标准灭火装置可保证要保护的区域均在标准灭火装置的保护区域内,且区域内的平均喷水强度符合《自动喷水灭火系统设计规范》GB 50084的要求。 2 标准型自动扫描射水灭火装置的基本设计参数应符合表5.0.1-2中规定的数值。采用表5.0.1-2时应注意以下几点: 1)表中设置场所的火灾危险等级应根据《自动喷水灭火系统设计规范》GB 50084确定。 2)对于不同的喷水强度应采用不同的扫射角度,扫射角度可以由产品供应商根据选用要求调整设定。 3)在一个周围有防火墙分隔的火灾无法蔓延的保护区域,如果该区域的面积不超过一个标准装置的保护半径范围,且不存在喷射及探测死角的条件下,可以采用一个标准型灭火装置进行保护。 4)在一个区域的面积超过一个标准装置的保护区域,火灾有可能由一个灭火装置的保护区域蔓延至另一个区域而需要设置2个及2个以上的标准灭火装置进行保护时,应按表中标准矩形保护范围及面积一栏中规定的数值布置灭火装置,并根据火灾的危险等级选用不同的扫射角度的产品。 5)按表中规定的尺寸布置标准灭火装置可保证要保护的区域均在标准灭火装置的保护区域内,且扫射角度内区域的平均喷水强度符合《自动喷水灭火系统设计规范》GB 50084的要求。 3 标准型自动扫描射水高空水炮的基本设计参数应符合表5.0.1-3中规定的数值。采用表5.0.1-3时应注意以下几点: 1)表中设置场所的火灾危险等级应根据《自动喷水灭火系统设计规范》GB 50084确定。 2)在一个周围有防火墙分隔的火灾无法蔓延的保护区域,如果该区域的面积不超过一个标准装置的保护半径范围,且不存在喷射及探测死角的条件下,可以采用一个标准型灭火装置进行保护。 3)在一个区域的面积超过一个标准装置的保护区域,火灾有可能由一个灭火装置的保护区域蔓延至另一个区域而需要设置2个及2个以上的标准灭火装置进行保护时,应按表中标准矩形保护范围及面积一栏中规定的数值布置灭火装置。
5.0.2 配置各种标准型灭火装置的大空间智能型主动喷水灭火系统的设计流量应按表5.0.2-1~表5.0.2-3确定。
1 配置标准型大空间智能灭火装置的大空间智能型主动喷水灭火系统的设计流量应符合表5.0.2-1的规定。


2 配置标准型自动扫描射水灭火装置的大空间智能型主动喷水灭火系统的设计流量应符合表5.0.2-2的规定。


3 配置标准型自动扫描射水高空水炮灭火装置的大空间智能型主动喷水灭火系统的设计流量应符合表5.0.2-3的规定。

条文说明
5.0.2 本条规定了配置各种灭火装置的大空间智能型主动喷水灭火系统的设计流量不应低于表5.0.2-1表5.0.2-3中规定的数值。 1 配置标准型大空间智能灭火装置的大空间智能型主动喷水灭火系统的设计流量应按表5.0.2-1确定。表中的设计同时开启喷头数是根据以下几方面的因素综合考虑确定的: 1)设计同时开启喷头的总的作用面积应大于或等于《自动喷水灭火系统设计规范》GB50084中规定的作用面积,即轻、中危险级≥160m2,严重危险级≥260m2。 2)火灾发生在2个及2个以上红外探测组件探测范围的共同覆盖区域时所可能引起的同时开启喷头的数量(包括1个探测组件控制1个或2~4个喷头)。比如:1行4列4个喷头,1个探测组件控制2个喷头布置时,临界区发生火灾可能引起的同时开启喷头的数量为4个。又比如:4行4列16个喷头,1个探测组件控制4个喷头布置时,临界区发生火灾可能引起的同时开启喷头的数量为16个。 3)假定火灾会在最大纵向4行到横向4列喷头的保护区域内被扑灭,否则火灾的蔓延区域已太大,即使再要增加开启喷头的数量、提供足够的灭火水量,也很难保证能控制火灾。 2 配置标准型自动扫描射水灭火装置的大空间智能型主动喷水灭火系统的设计流量应按表5.0.2-2确定,表中的设计同时开启喷头数是根据以下几方面的因素综合考虑确定的: 1)设计同时开启喷头的总的作用面积应大于或等于《自动喷水灭火系统设计规范》GB 50084中规定的作用面积,即轻、中危险级≥160m2。 2)火灾发生在2个及2个以上红外探测组件探测范围的共同覆盖区域时所可能引起的同时开启喷头的数量。 3)假定火灾会在最大纵向4行到横向4列喷头的保护区域内被扑灭,否则火灾的蔓延区域已太大,即使再要增加开启喷头的数量、提供足够的灭火水量,也很难保证能控制火灾。 3 配置标准型自动扫描射水高空水炮灭火装置的大空间智能型主动喷水灭火系统的设计流量应按表5.0.2-3确定。表中的设计同时开启高空水炮数是根据以下几方面的因素综合考虑确定的: 1)设计同时开启水炮的总的作用面积应大于或等于《自动喷水灭火系统设计规范》GB 50084中规定的作用面积,即轻、中危险级≥160m2。 2)火灾发生在2个及2个以上红外探测组件探测范围的共同覆盖区域时所可能引起的同时开启高空水炮的数量。 3)假定火灾会在最大纵向3行到横向3列水炮的保护区域内被扑灭,否则火灾的蔓延区域已太大,即使再要增加开启水炮的数量、提供足够的灭火水量,也很难保证能控制火灾。
6 系统组件
6.1 喷头及高空水炮
6.1 喷头及高空水炮
6.1.1 设置大空间智能型主动喷水灭火系统的场所,当喷头或高空水炮为平天花或平梁底吊顶设置时,设置场所地面至天花底或梁底的最大净空高度不应大于表6.1.1的规定。

条文说明
6.1.1 本条对几种标准型喷头及高空水炮平天花或平梁底吊顶设置时,设置场所地面至天花底或梁底的最大净空高度进行了限定。应当指出的是,这一高度是根据目前已取得国家指定检验机构检验合格的几种标准型产品的参数确定的,将来如有允许设置高度大于这一高度的产品出现时,这一限定高度可进行相应的修定。
6.1.2 设置大空间智能型主动喷水灭火系统的场所,当喷头或高空水炮为边墙式或悬空式安装,且喷头及高空水炮以上空间无可燃物时,设置场所的净空高度可不受限制。
条文说明
6.1.2 大空间智能型主动喷水灭火系统的喷头及高空水炮与传统的自动喷水灭火系统的闭式喷头的启动原理不同,因不需依靠喷头周围的环境温度来引爆喷头,故不一定非要安装在天花下或集热罩下,也可悬空安装或边墙安装。当采用悬空式或边墙安装时,如喷头及高空水炮以上的空间无可燃物时,设置场所的净空高度可不受限制。
6.1.3 各种喷头和高空水炮应下垂式安装。
条文说明
6.1.3 这类喷头及水炮目前还未有直立式或水平式安装的产品。
6.1.4 同一个隔间内宜采用同一种喷头或高空水炮,如需混合采用多种喷头或高空水炮,且合用一组供水设施时,应在供水管路的水流指示器前,将供水管道分开设置,并根据不同喷头的工作压力要求、安装高度及管道水头损失来考虑是否设置减压装置。
条文说明
6.1.4 同一个隔间内,当空间高度相同且使用功能相同时,宜采用同一种喷头或高空水炮,这样管路系统及操作控制系统比较简单,建筑外观上也比较美观。当同一个隔间内的空间高度不相同或不同部位的使用功能不相同时,可混合采用两种或两种以上的喷头或高空水炮。如两种或两种以上的喷头或高空水炮合用一组供水设施时,应在供水管路的水流指示器前将供水管道分开设置,以便报警系统对不同喷头或高空水炮的保护区进行监控。另外,由于不同喷头及高空水炮的标准工作压力、安装高度、流量以及配水管入口处的水压要求均不同,为保证正常供水,应对不同系统的管路分别设计且应复核是否要设置减压装置。
6.1.5 大空间智能型主动喷水灭火系统应有备用智能型灭火装置,其数量不应少于总数的1%,且每种型号均不得少于1只。
条文说明
6.1.5 设置系统备用件,利于检修时不影响系统正常工作。
6.2 智能型探测组件
6.2 智能型探测组件
6.2.1 大空间智能灭火装置的智能型探测组件与大空间大流量喷头为分体式设置,其安装应符合下列规定:
1 安装高度应与喷头安装高度相同;
2 一个智能型探测组件最多可覆盖4个喷头(喷头为矩型布置时)的保护区;
3 设在舞台上方时每个智能型探测组件控制1个喷头;设在其他场所时一个智能型探测组件可控制1~4个喷头;
4 一个智能型探测组件控制1个喷头时,智能型探测组件与喷头的水平安装距离不应大于600mm;
5 一个智能型探测组件控制2~4个喷头时,智能型探测组件距各喷头布置平面的中心位置的水平安装距离不应大于600mm。
条文说明
6.2.1 本条对智能型探测组件与大空间大流量喷头为分体式设置的大空间智能型主动喷水灭火系统大空间智能灭火装置的安装进行了规定。
1 探测组件的安装高度不同时,其探测区域不同,只有当其与喷头的安装高度相同时才能保证探测组件的探测区域完全覆盖喷头的保护区域;
2 一个探测组件的探测区域是有限的,过大会出现探测死角,且各个探测器探测区域相互覆盖,一旦在共同探测覆盖的区域发生火灾,就会导致多组喷头同时喷水,不必要地加大了系统的设计流量;
3 在障碍物不多的大空间场所,为了减少探测组件的设置数量和降低工程造价,可以采用一个探测组件控制2~4个喷头的方式,对于舞台等有幕布、布景等障碍物遮挡的场所,应采用1控1的方式设置探测组件,以防出现探测死角;
4 一个探测组件控制1个喷头时,探测组件应尽量靠近喷头安装,以保证探测区域覆盖喷头保护区域;
5 一个探测组件控制2~4个喷头时,探测组件应尽量靠近各个喷头布置平面的中心位置安装,以保证探测区域覆盖多个喷头的保护区域。
6.2.2 自动扫描射水灭火装置和自动扫描射水高空水炮灭火装置的智能型探测组件与扫描射水喷头(高空水炮)为一体设置,智能型探测组件的安装应符合下列规定:
1 安装高度与喷头(高空水炮)安装高度相同;
2 一个智能型探测组件的探测区域应覆盖1个喷头(高空水炮)的保护区域;
3 一个智能型探测组件只控制1个喷头(高空水炮)。
条文说明
6.2.2 本条对智能型探测组件与扫描射水喷头(高空水炮)为一体设置的自动扫描射水灭火装置与自动扫描射水高空水炮的安装进行了规定。
6.2.3 智能型探测组件应平行或低于天花、梁底、屋架底和风管底设置。
条文说明
6.2.3 智能型探测组件平行或低于天花、梁底、屋架底和风管底安装,可防止火灾信号被遮挡而出现探测死角。
6.3 电磁阀
6.3 电 磁 阀
6.3.1 大空间智能型主动喷水灭火系统灭火装置配套的电磁阀,应符合下列条件:
1 阀体应采用不锈钢或铜质材料,内件应采用不生锈、不结垢、耐腐蚀材料;
2 阀心应采用浮动阀心结构;
3 复位弹簧应设置于水介质以外;
4 电磁阀在不通电条件下应处于关闭状态;
5 电磁阀的开启压力不应大于0.04MPa;
6 电磁阀的公称压力不应小于1.6MPa。
条文说明
6.3.1 电磁阀是整个系统能否正常运作的关键组件,所以对系统配套的电磁阀有一定的要求: 1 阀体及内件应采用强度高、耐腐蚀的材料制作,以保证阀门在长期不动作条件下仍能随时开启。 2 传统的电磁阀有膜片式和活塞式两种,因构造及启闭方式的限制,这两种电磁阀都存在着一些缺陷,如:①阀的先导孔、卸压孔过小,容易被水管剥落的锈块、垢块和水中的杂质、沙粒及自身结垢堵塞,导致电磁阀失灵;②复位弹簧设置在阀盖内,长期浸泡于水中,容易锈蚀,导致电磁阀失灵等。浮动阀芯电磁阀的构造及启闭方式都与传统电磁阀完全不同,彻底地解决了传统电磁阀所存在的缺陷,长期浸泡于水中仍能够正常使用,具备了启闭快、不生锈、不结垢、不堵塞、密封性能好、使用寿命长等优点。 3 避免复位弹簧因长期浸泡于水中而锈蚀,导致电磁阀失灵。 4 阀门在不通电条件下应处于关闭状态,以防在突然停电情况阀门开启、喷头误喷。 5 阀门的开启压力不应太大。 6 阀门的公称压力应适当大于系统的工作压力。
6.3.2 电磁阀宜靠近智能型灭火装置设置。严重危险级场所如舞台等,电磁阀边上宜并列设置一个与电磁阀相同口径的手动旁通闸阀,并宜将电磁阀及手动旁通闸阀集中设置于场所附近便于人员直接操作的房间或管井内。
条文说明
6.3.2 电磁阀越靠近智能型灭火装置设置,其阀后与灭火装置连接管道的长度就越短,阀门打开后阀后空管充水的时间就越短,越有利于迅速扑灭火灾。但有的情况下由于要满足建筑美观或检修的要求,不允许将大量的电磁阀悬吊于天花上时,也可将电磁阀设置在保护区域外的其他位置,但也宜尽量靠近灭火装置设置,以减少阀后空管的长度,缩短充水时间、降低工程造价。严重危险级场所如舞台等,火灾危险性大、可燃物品数量多、火灾时容易引起猛烈燃烧并可能迅速蔓延,为防止灭火时电磁阀操作控制失灵,保证及时供水,电磁阀边上宜并列设置一个与电磁阀相同口径的手动旁通闸阀,并宜将电磁阀及手动旁通闸阀集中设置于场所附近便于人员直接操作的房间或管井内。以便于管理人员紧急情况下可手动直接开启手动旁通闸阀向喷头供水。
6.3.3 若电磁阀设置在吊顶内,宜设置在便于检查维修的位置,在电磁阀的位置应预留检修孔洞。
条文说明
6.3.3 电磁阀也属于会损坏或发生故障的组件,一般不宜设置在人员无法进入的吊顶内,否则不方便维修及更换。如一定要设在吊顶内,则应留有足够让维护人员进行检修及更换工作的孔洞。
6.3.4 各种灭火装置配套的电磁阀的基本参数应符合表6.3.4 的规定。

条文说明
6.3.4 —个阀只控制一个喷头,一个探测组件控制2~4个喷头时,探测组件应具有同时打开2~4个电磁阀的功能。电磁阀前的手动闸阀主要用于检测电磁阀及电磁阀漏水时紧急断水时采用,该阀平时应处于常开状态。
6.4 水流指示器
6.4 水流指示器
6.4.1 水流指示器的性能应符合现行国家公共安全行业标准《自动喷水灭火系统 水流指示器的性能要求和试验方法》GA 32的要求。
条文说明
6.4.1 本条对水流指示器的性能提出了要求。
6.4.2 每个防火分区或每个楼层均应设置水流指示器。
条文说明
6.4.2 各个灭火装置本身已带有智能型探测组件,本身已可以报告火灾的发生部位并报警。设置水流指示器的目的是为了增加一套辅助的报警措施,以对火灾的区域及楼层进行报告。此类似于传统自动喷水灭火系统中采用的水流指示器加报警阀的二级报警体制。需要指出的是,大空间智能型主动喷水灭火系统不再设置报警阀就是考虑到其已有了二级报警体制,没有必要再增加一套报警体制,否则工程造价太高,系统也过于复杂,不利于这一系统的推广应用。
6.4.3 大空间智能型主动喷水灭火系统与其他自动喷水灭火系统合用一套供水系统时,应独立设置水流指示器,且应在其他自动喷水灭火系统湿式报警阀或雨淋阀前将管道分开。
条文说明
6.4.3 本条规定是基于以下考虑:
1 两个系统的启动方式不同。自动喷水灭火系统的水泵是由湿式报警阀延迟器上的压力开关控制自动启动并报警的,而大空间智能型主动喷水灭火系统的水泵是由智能型探测组件控制自动启动并报警的,一个是延时启动,一个是即时启动;
2 喷头的工作压力不同。大空间智能型主动喷水灭火系统的三种标准喷头(高空水炮)的标准工作压力都比自动喷水灭火系统标准的喷头的工作压力要高,合在一起设置,系统压力难以同时满足两个系统各自的要求;
3 两个系统的设计流量不一样。
6.4.4 水流指示器应安装在配水管上、信号阀出口之后。
条文说明
6.4.4 本条规定的目的是为了避免在检修更换水流指示器时,要关闭整个管道系统,而将关闭的管道系统限制在信号阀的局部区域内。
6.4.5 水流指示器公称压力不应小于系统的工作压力。
条文说明
6.4.5 本条对水流指示器的公称压力作了规定。
6.4.6 水流指示器应安装在便于检修的位置。
条文说明
6.4.6 水流指示器也会出现故障或损坏,所以宜将其安装在便于检修或更换的位置,如安装在吊顶内,吊顶上应预留检修孔洞。
6.5 信号阀
6.5 信 号 阀
6.5.1 每个防火分区或每个楼层均应设置信号阀。
条文说明
6.5.1 为使系统维修关停的范围不致过大,规定在每个防火分区或每个楼层的水流指示器入口前设置检修阀门。为了防止因该阀门出现误操作而造成配水管道断水,规定该阀门应采用可显示阀门开启状态的信号阀。
6.5.2 大空间智能型主动喷水灭火系统与其他自动喷水系统合用一套供水系统时,应独立设置信号阀,且应在其他自动喷水灭火系统湿式报警阀或雨淋阀前将管道分开。
6.5.3 信号阀应安装在配水管上。
6.5.4 信号阀正常情况下应处于开启位置。
6.5.5 信号阀的公称压力不应小于系统工作压力。
6.5.6 信号阀应安装在便于检修的位置,且应安装在水流指示器前。
6.5.7 信号阀的公称直径应与配水管管径相同。
条文说明
6.5.2~6.5.7 对信号阀的安装位置、开启状态、公称压力、公称直径等作了规定。
6.6 模拟末端试水装置
6.6 模拟末端试水装置
6.6.1 每个压力分区的水平管网末端最不利点处应设模拟末端试水装置,但在满足下列条件时,可不设模拟末端试水装置,但应设直径为50mm的试水阀:
1 每个水流指示器控制的保护范围内允许进行试水,且试水不会对建筑、装修及物品造成损坏的场地;
2 试水场地地面有完善排水措施。
条文说明
6.6.1 为了检验系统的可靠性,要求在每个系统最不利处水平管网的末端设模拟末端试水装置。模拟末端试水装置测试的内容包括水流指示器、配水管道是否畅通,最不利点处喷头(高空水炮)在正常工作状态下的水压是否足够等。与传统自动喷水灭火系统闭式喷头不同的是,大空间智能灭火装置可以多次重复使用,故在一些允许喷水且地面有完善的排水措施的场所,可以不设末端试水装置而直接利用最不利点处的灭火装置进行喷水报警试验。
6.6.2 模拟末端试水装置应由压力表、试水阀、电磁阀、智能型探测组件、模拟喷头(高空水炮)及排水管组成。
条文说明
6.6.2 本条规定了模拟末端试水装置的组成。图19为模拟末端试水装置组成的示意图。 
图19 模拟末端试水装置组成示意图
1—安装底座;2—智能型探测组件;3—最不利点水管;4—电磁阀;5—截止阀;6—压力表;7—模拟喷头;8—排水漏斗
6.6.3 试水装置的智能型探测组件的性能及技术要求应与各种灭火装置配置的智能型探测组件相同,与模拟喷头为分体式安装。
条文说明
6.6.3 本条要求分体式安装主要考虑到:
1 一体化设置的自动扫描射水灭火装置及自动扫描射水高空水炮灭火装置的构造复杂,价格较高,仅为了检测用没有必要设置整套完整的装置,以降低建造成本;
2 探测组件如与喷头(高空水炮)为一体式安装,试水用的排水口的设置会比较困难,接高了会遮挡探测组件,接低了喷水会溅到周围。
6.6.4 电磁阀的性能及技术要求应与各种灭火装置的电磁阀相同。
条文说明
6.6.4 本条规定了电磁阀应符合的性能及技术要求。
6.6.5 模拟喷头(高空水炮)为固定式喷头(高空水炮),模拟喷头(高空水炮)的流量系数应与对应的灭火装置上的喷头(高空水炮)相同。
条文说明
6.6.5 所谓模拟喷头(高空水炮)即流量系数与真的喷头(高空水炮)相同,构造较简单、无转动部件、价格较低的固定式喷头(高空水炮)。
6.6.6 模拟末端试水装置的出水应采取间接排水方式排入排水管道。
条文说明
6.6.6 当模拟末端试水装置的出水口直接与管道或软管连接时,将改变试水接头出水口的水量状态,影响测试结果。所以本条规定了模拟末端试水装置的出水应采取间接排水的方式排入排水管道。
6.6.7 模拟末端试水装置宜安装在卫生间、楼梯间等便于进行操作测试的地方。
条文说明
6.6.7 模拟末端试水装置宜安装在较隐蔽、有操作测试空间、有排水设施(管道)的地方。
6.6.8 模拟末端试水装置应符合表6.6.8规定的技术要求。

条文说明
6.6.8 本条对模拟末端试水装置的技术要求作了规定。
7 喷头及高空水炮的布置
7.1 大空间智能灭火装置喷头的平面布置
7.1 大空间智能灭火装置喷头的平面布置
7.1.1 标准型大空间智能灭火装置喷头间的布置间距及喷头与边墙间的距离不应超过表7.1.1的规定。

条文说明
7.1.1 标准型大空间智能灭火装置喷头间的布置间距及喷头与边墙间的距离不应超过表7.1.1的规定。喷头与喷头间以及喷头与边墙间的距离如图20所示。 
当喷头间或喷头与边墙间的距离刚好处于二行数值之间时可采用内插法求行。
7.1.2 标准型大空间智能灭火装置喷头布置间距不宜小于2.5m。
条文说明
7.1.2 本条规定的目的是防止喷头间的布置间距过小,间距太小会导致出现以下问题:
1 不同的灭火装置的智能型探测组件探测区域重复覆盖,一旦发生火灾会同时引发几个喷头或几组喷头同时开启喷水,出现喷水流量大于总设计流量的情况,从而导致管网压力下降,喷头无法正常工作;
2 工程造价增加;
3 系统的设计流量增加。
7.1.3 喷头应平行或低于天花、梁底、屋架和风管底设置。
条文说明
7.1.3 本条规定的目的是避免天花、网架、梁、屋架等障碍物对大水滴喷头水平甩出的水滴、扫描射水喷头射出的水帘造成阻挡。各种智能型灭火装置喷头的开启方式与传统的闭式喷头的开启方式不同,不需要利用上升的热气流来启动喷头,故在进行这些喷头的布置时,其设置高度可以灵活掌握,既可贴顶板、天花面,也可架空或沿边墙(喷头上方无可燃物时)设置。
7.2 自动扫描射水灭火装置喷头的平面布置
7.2 自动扫描射水灭火装置喷头的平面布置
7.2.1 标准型自动扫描射水灭火装置喷头间的布置间距及喷头与边墙的距离不应超过表7.2.1的规定。

条文说明
7.2.1 本条的解释参照7.1.1条的条文解释。
7.2.2 标准型自动扫描射水灭火装置喷头间的布置间距不宜小于3m。
条文说明
7.2.2 本条的解释参照7.1.2条的条文解释。
7.2.3 喷头应平行或低于天花、梁底、屋架和风管底设置。
条文说明
7.2.3 本条的解释参照7.1.3条的条文解释。
7.3 自动扫描射水高空水炮灭火装置水炮的平面布置
7.3 自动扫描射水高空水炮灭火装置水炮的平面布置
7.3.1 标准型自动扫描射水高空水炮灭火装置水炮间的布置间距及水炮与边墙的距离不应超过表7.3.1的规定。


条文说明
7.3.1 本条的解释参照7.1.1条的条文解释。
7.3.2 标准型自动扫描射水高空水炮灭火装置水炮间的布置间距不宜小于10m。
条文说明
7.3.2 本条的解释参照7.1.2条的条文解释。
7.3.3 高空水炮应平行或低于天花、梁底、屋架和风管底设置。
条文说明
7.3.3 本条的解释参照7.1.3条的条文解释。
8 管道
8 管 道
8.0.1 配水管的工作压力不应大于1.2MPa,并不应设置其他用水设施。
条文说明
8.0.1 系统配水管道的工作压力与《自动喷水灭火系统设计规范》GB 50084的规定相同,定为不大于1.2MPa。为保证系统的用水量,规定水流指示器出口后的配水管道上不能设置其他用水设施。
8.0.2 室内管道应采用内外壁热镀锌钢管或符合现行国家、行业标准,并经国家认定的检测机构检测合格的涂覆其他防腐材料的钢管以及铜管、不锈钢管,不得采用普通焊接钢管、铸铁管和各种塑料管。
条文说明
8.0.2 管道的质量好坏,直接影响到管道的使用寿命及系统的正常进行。因此,要求室内管道应采用不易锈蚀、耐高温的管材。
8.0.3 室外埋地管道应采用内外壁热镀锌钢管或符合现行国家、行业标准的内衬不锈钢热镀锌钢管、涂塑钢管、球墨铸铁管、塑料管和钢塑复合管,不得采用普通焊接钢管、普通铸铁管。
条文说明
8.0.3 室外埋地管道不受到火场高温的影响,故不要求一定采用金属管道,也可采用塑料管道。应当指出的是,所采用的塑料管材及接口的工作压力应大于或等于系统的工作压力。
8.0.4 室内管道的直径不宜大于200mm,当管道的直径大于200mm时宜采用环状管双向供水。
条文说明
8.0.4 室内管道的管径不宜太大,否则管道占用的空间高度较多,高空安装不方便,也不美观。
8.0.5 室内管道系统镀锌钢管、涂覆钢管的连接,应采用沟槽式连接件(卡箍)或丝扣、法兰连接。室外埋地塑料管道应采用承插、热熔或胶粘方式连接。铜管、不锈钢管应采用配套的支架、吊架。
条文说明
8.0.5 本条规定对室内外管道的连接方式作了规定。要求系统中的室内外金属管道采用沟槽式管道连接件(卡箍)、丝扣或法兰连接,不允许管段之间采用焊接,以防止管道接口处出现锈蚀,影响管道的使用寿命。
8.0.6 系统中室内外直径大于或等于100mm的架空安装的管道,应分段采用法兰或沟槽式连接件(卡箍)连接。水平管道上法兰(卡箍)间的管道长度不宜大于20m;立管上法兰(卡箍)间的距离,不应跨越3个及以上楼层。净空高度大于8m的场所内,立管上应采用法兰或沟槽式连接(卡箍)。
条文说明
8.0.6 为便于检修,本条对管径大于或等于100mm的室内外金属管道采用什么连接方式作了规定,并对水平、垂直管道中法兰(卡箍)间的管段长度提出了要求。
8.0.7 管道的直径应根据水力计算的规定计算确定。配水管道的布置应使配水管入口的压力接近均衡。各种配置不同灭火装置系统的配水管水平管道入口处的压力上限值应符合表8.0.7的规定。

条文说明
8.0.7 单凭管道布置来保证每个分区、每个楼层的系统配水管水平管道入口处的压力均衡是难做到的,除非另外增加设置减压稳压措施。表8.0.7给出了各种配置不同灭火装置的系统的配水管水平管道入口处的压力上限值。
8.0.8 配水管水平管道入口处的压力超过表8.0.7的限定值时,应设置减压装置,或采取其他减压措施。
条文说明
8.0.8 配水管水平管道入口处的压力超过表8.0.7的限定值时,宜设置减压装置或采取其他减压节流措施进行减压及节流。
8.0.9 室外埋地金属管或金属复合管应考虑采取适当的外防腐措施。
条文说明
8.0.9 一些埋地金属管道,如热镀锌管、内涂塑镀锌钢管等抗外腐蚀的能力较差,为提高管道的使用寿命,作出此条规定。
9 供水
9.1 水源
9.1 水 源
9.1.1 水源可由市政生活、消防给水管道供给,也可由消防水池供给。
条文说明
9.1.1 本条未提及可采用天然水源,主要是基于以下考虑:
1 随着我国国民经济的发展,城市自来水的普及率已非常高,一般都可以直接采用自来水作为水源;
2 消防用水属临时用水,用水量不大,一次使用成本并不高;
3 天然水源水质状况较复杂,难以提出最低的统一水质要求;
4 有些天然水源的水如不经处理直接采用,水中的砂石等杂物会对电磁阀等阀门的关闭造成影响,对水泵、管道也会造成损害。所以,在有条件的地方应优先采用城市自来水作为水源。
9.1.2 大空间智能型主动喷水灭火系统的水源,应确保持续喷水时间内系统用水量的要求。
条文说明
9.1.2 无论采用什么水源,水源的贮水量或持续供水量都应能确保火灾延续时间内系统用水量的要求,这是扑灭火灾的最基本保证。
9.1.3 当采用市政自来水直接供水时,应符合下列规定:
1 应从两条市政给水管道引入,当其中一条进水管发生故障时,其余进水管应仍能保证全部用水量;
2 市政进水管的水量及水压应能满足整个系统的水量及水压要求;
3 市政进水管与系统管道的连接处应设置检修阀门及倒流防止器。
条文说明
9.1.3 本条对采用市政自来水直接供水时应满足的一些条件进行了规定。
9.1.4 当采用屋顶水池、高位水池直接供水时,可不再另设高位水箱,但应符合下列规定:
1 有效容量应满足在火灾延续时间内系统用水量的要求;
2 应与生活水池分开设置;
3 设置高度应能满足整个系统的压力要求;
4 补水时间不宜超过48h。
条文说明
9.1.4 本条对采用屋顶水池、高位水箱直接供水时应满足的一些条件进行了规定。
9.1.5 消防水池应符合下列要求:
1 有效容量应满足在火灾延续时间内系统用水量的要求;
2 在火灾情况下能保证连续补水时,消防水池的容量可减去火灾延续时间内补充的水量;
3 消防水池的补水时间不宜超过48h;
4 消防用水与其他用水共用的水池,应有确保消防用水不作他用的技术设施。
条文说明
9.1.5 本条对采用消防水池加压供水时应满足的一些条件进行了规定。
9.1.6 寒冷地区,对消防水池、屋顶水池、高位水池及系统中易受冰冻影响的部分,应采取防冻措施。
条文说明
9.1.6 寒冷地区冬天会出现冰冻,这些地区采用这一系统时应对消防水池、屋顶水池、高位水池及系统中容易受到冰冻影响部分,如:露天设置的管道、阀门等采取防冻措施。
9.2 水 泵
9.2 水 泵
9.2.1 当给水水源的水压水量不能同时保证系统的水压及水量要求时,应设置独立的供水泵组。供水泵组可与其他自动喷水灭火系统合用,此时供水泵组的供水能力应按两个系统中最大者选取。
条文说明
9.2.1 本条规定的目的是为了保证系统供水的可靠性。
9.2.2 工作主泵及备用泵应按一运一备或二运一备的比例设置。备用泵的供水能力不应低于一台主泵。
条文说明
9.2.2 在电机功率不大的情况下可采用一运一备的配泵方式。电机功率较大时,为了减小水泵的启动电流,可以采用二运一备、分段投入的配泵方式。按一运一备及二运一备方式设置备用泵,比例较合理且便于管理。
9.2.3 系统的供水泵、稳压泵,应采用自灌式吸水方式。
9.2.4 每组供水泵的吸水管不应少于2根。
条文说明
9.2.3、9.2.4 规定的目的是为了保证水泵开泵时能够马上吸到水并能投入正常工作。
9.2.5 供水泵的吸水管应设控制阀;出水管应设控制阀、止回阀、压力表和直径不小于65mm的试水阀。必要时,应安装防止系统超压的安全泄压阀。
条文说明
9.2.5 供水泵的吸水管及出水管上设置控制阀,是为了便于水泵的安装、检修及操作;设置止回阀是为了防止水的倒流;设置压力表是为了检查水泵的供水压力;设置试水阀是为了检测水泵的出水情况;设置安全泄压阀是为了防止系统出现超压。
9.3 高位水箱或气压稳压装置
9.3 高位水箱或气压稳压装置
9.3.1 非常高压系统应设置高位水箱或气压稳压装置。
条文说明
9.3.1 为保证电磁阀至水泵间的管道平时处于满水状态,规定非常高压系统应设置高位水箱或气压稳压装置。
9.3.2 高位水箱底的安装高度应大于最高一个灭火装置的安装高度1m。
9.3.3 高位水箱的容积不应小于1m 3 。
条文说明
9.3.2、9.3.3 大空间智能型主动喷水灭火系统与传统的自动喷水灭火系统的启动方式不同,该系统从主动寻找着火点到发信号启动水泵开始灭火所需的时间很短,一般只需要几十秒钟。设置高位水箱的目的只是为了保证系统管道电磁阀至水泵出口之间的管段平时处于湿式满水状态,火灾时,减少水流在管道中的流经时间,达到快速灭火的目的。需要指出的是,如果高位水箱、水池的设置高度可满足火灾整个系统的压力要求,且水池的有效容积可满足火灾延续时间内系统用水量的要求时,也可以作为供水水源而直接向系统供水。
9.3.4 高位水箱可以与自动喷水灭火系统或消火栓系统的高位水箱合用,但应满足下列要求:
1 当与自动喷水灭火系统合用一套供水系统时,高位水箱出水管可以合用;
2 当与自动喷水灭火系统分开设置供水系统时,高位水箱出水管应独立设置;
3 消火栓系统的高位水箱出水管应独立设置;
4 出水管上应设置止回阀及检修阀。
条文说明
9.3.4 建筑物(群)同时设有自动喷水灭火系统或消火栓系统时,可利用这些系统的高位水箱作为补水箱。为防止几种系统在工作及检修时互相影响,本条对水箱出水管及止回阀、检修阀的设置提出了要求。
9.3.5 高位水箱应与生活水箱分开设置。
条文说明
9.3.5 本条与《建筑给水排水设计规范》GB 50015中的有关条文相对应,目的是防止系统中的死水对生活饮用水箱造成二次污染。
9.3.6 高位水箱应设补水管、溢流管及放空管。
条文说明
9.3.6 水箱应设有:
1 用于补水的补水管;
2 用于溢流排水的溢流管;
3 用于放空水池的放空管。
9.3.7 高位水箱宜采用钢筋混凝土、不锈钢、玻璃钢等耐腐蚀材料建造。
条文说明
9.3.7 水箱体采用耐腐蚀的材料建造,可提高水箱的使用寿命,并防止铁锈以及脱落的砂石阻塞管道系统及影响阀门的关闭。
9.3.8 高位水箱应定期清扫,水箱人孔、溢流管处应有防止蚊虫进入的措施。
条文说明
9.3.8 本条规定的目的是保持水箱的清洁、干净,防止水箱成为蚊虫的滋生地。
9.3.9 寒冷地区,可能遭受冰冻的水箱,应采取防冻措施。
9.3.10 水箱出水管的管径不应小于50mm。
条文说明
9.3.10 本条规定的目的是缩短系统的充水时间,防止管道受异物阻塞。
9.3.11 无条件设置高位水箱时或水箱高度不能满足第9.3.2条规定时,应设置隔膜式气压稳压装置。稳压泵流量宜为1个喷头(水炮)标准喷水流量,压力应保证最不利一个灭火装置处的最低工作压力要求。气压罐的有效调节容积不应小于150L。
条文说明
9.3.11 在建筑物的屋顶无法设置高位水箱时,应设置气压补压装置,其目的也是为了保证系统电磁阀至水泵之间的管路平时处于满水状态。
9.4 水泵接合器
9.4 水泵接合器
9.4.1 系统应设水泵接合器,其数量应按系统的设计流量确定,每个水泵接合器的流量宜按10L/s~15L/s计算。
条文说明
9.4.1 水泵接合器是用于外部增援供水的措施,当系统供水泵不能正常供水时,由消防车连接水泵接合器向系统的管道供水。
9.4.2 当水泵接合器的供水能力不能满足系统的压力要求时,应采取增压措施。
条文说明
9.4.2 受消防车供水压力的限制,超过一定高度的建筑,通过水泵接合器由消防车向建筑物的较高部位供水将难以实现一步到位。为解决这个问题可以设置接力供水设施。
10 水力计算
10.1 系统的设计流量
10.1 系统的设计流量
10.1.1 大空间智能型主动喷水灭火系统的设计流量应根据喷头(高空水炮)的设置方式,喷头(高空水炮)布置的行数及列数、喷头(高空水炮)的设计同时开启数分别按表5.0.2-1~表5.0.2-3来确定。
10.1.2 系统的设计流量也可按下列公式计算:

式中: Q S ——系统设计流量(L/s);
q i ——系统中最不利点处最大一组同时开启喷头(高空水炮)中各喷头(高空水炮)节点的流量(L/min);
n——系统中最不利点处最大一组同时开启喷头(高空水炮)的个数。
条文说明
10.1.1、10.1.2 系统的设计流量应根据灭火装置的种类,如大空间智能灭火装置、自动扫描射水灭火装置、自动扫描射水高空水炮灭火装置等,喷头(高空水炮)的设置方式(行数及列数)以及喷头(高空水炮)的设计同时开启数分别按表5.0.2-1~表5.0.2-3确定,也可按公式(10.1.2)计算确定。 
举例:图21为某单层会展中心工程,每个大空间展厅均设置配置标准型智能灭火装置的大空间智能型主动喷水灭火系统;其中最远一个展厅内共设置6行7列喷头,试求该系统的系统设计流量。
解:该系统均采用的是标准型大空间智能灭火装置,查表5.0.2-1得出最不利点处最大一组同时开启喷头的个数为:
4(行)×4(列)=16(个)
故求得:系统设计流量:Qs=16×5=80(L/s)
10.2 喷头的设计流量
10.2 喷头的设计流量
10.2.1 喷头(高空水炮)在标准工作压力时的标准设计流量可根据表10.2.1确定。


10.2.2 喷头(高空水炮)在其他工作压力下的流量按下式计算:

式中:q——喷头(高空水炮)流量(L/s);
P——喷头(高空水炮)工作压力(MPa);
K——喷头(高空水炮)流量系数(按表10.2.2确定)。

条文说明
10.2.1、10.2.2 标准型喷头(高空水炮)在标准工作压力时的标准设计流量可根据表10.2.1确定,而非标准压力下的流量可以根据喷头(高空水炮)的流量系数按公式(10.2.2)计算得出。
需要指出的是,由于目前还没有这类灭火装置的国家或地方产品统一标准,该系数暂参照南海天雨智能灭火装置有限公司产品的系数,将来有了统一标准后,该系数应以产品的统一标准为准。
10.3 管段的设计流量
10.3 管段的设计流量
10.3.1 配水支管的设计流量等同于其所接喷头(高空水炮)的设计流量,可根据表10.2.1或根据公式(10.2.2)计算确定。
条文说明
10.3.1 连接一个喷头(高空水炮)的配水支管的设计流量就是喷头(高空水炮)的设计流量,可根据表10.2.1或公式(10.2.2)直接确定。
10.3.2 配水管及配水干管的设计流量可根据该管段所负荷的喷头(高空水炮)的设置方式、喷头(高空水炮)布置的行数及列数、喷头(高空水炮)的设计同时开启喷头(高空水炮)数按表5.0.2-1~表5.0.2-3确定。
10.3.3 配水管和配水干管管段的设计流量也可根据公式(10.3.3)确定:

式中:Q p ——管段的设计流量(L/s);
q i ——与该管段所连接的后续管道中最不利点处最大一组同时开启喷头(高空水炮)中各喷头(高空水炮)节点的流量(L/min);
n——与该管道所连接的后续管道中最不利店的最大一组同时开启喷头(高空水炮)的个数。
10.3.4 配置大空间智能灭火装置的大空间智能型主动喷水灭火系统的配水管和配水干管管段的管径可根据表10.3.4确定。

10.3.5 配置自动扫描射水灭火装置的大空间智能型主动喷水灭火系统的配水管和配水干管管段的管径可根据表10.3.5确定。


10.3.6 配置自动扫描射水高空水炮灭火装置的大空间智能型主动喷水灭火系统的配水管和配水干管管段的设计流量及配管管径也可根据表10.3.6确定。

条文说明
10.3.2~10.3.6 配水管和配水干管管段的设计流量可根据该管段上负荷的灭火装置的种类、最不利点喷头(高空水炮)的设置方式(行数及列数)以及喷头(高空水炮)的设计同时开启数分别按表5.0.2-1~表5.0.2-3确定,也可按公式(10.3.3)计算确定。 配水管和配水干管管段的管径可根据管段的设计流量查表10.3.4~表10.3.6确定。 举例:图21中各管段的设计流量及管径如表2所示。 
10.4 管道的水力计算
10.4 管道的水力计算
10.4.1 配水支管、配水管、配水干管的管道内平均流速,应按下式计算:

式中:V——管道内水的平均流速(m/s);
Q——管道内的设计流量(L/s);
d j ——管道的计算内径(m),取值应按管道的内径减1mm确定(管道公称直径根据表10.2.1、表10.3.4~表10.3.6确定)。
条文说明
10.4.1 根据管段的设计流量和表10.2.1、表10.3.4~表10.3.6中查出管段的配管公称管径的内径,按公式(10.4.1)即可计算出管道内的平均流速。需要指出的是,同样公称管径的不同管材,管道的内径是不同的,计算时应注意。
10.4.2 采用镀锌钢管时每米管道的水头损失应按下式计算:

式中:i——每米管道的水头损失(MPa/m);
V——管道内水的平均流速(m/s);
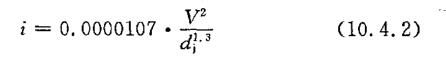
d j ——管道的计算内径(m),取值应按管道的内径减1mm确定。
10.4.3 当采用其他类型的管道时,每米管道的水头损失可按照其各自有关的设计规范、规程中的计算公式计算。
10.4.4 管道的沿程水头损失应按下式计算:
h=iL (10.4.4)
式中:h——沿程水头损失(MPa);
i——每米管道的水头损失(管道沿程阻力系数)(MPa/m);
L——管道长度(m)。
10.4.5 管道的局部水头损失宜采用当量长度法计算。各种管件和阀门的当量长度可按附录A执行。当采用新材料和新阀门等能产生局部水头损失的部件时,应根据产品的要求确定管件的当量长度。
条文说明
10.4.2~10.4.5 为了保证与自动喷水灭火系统合用一套供水系统及管道时,计算结果的一致性,本条所给出的镀锌钢管的水头损失计算公式仍采用了现行的《自动喷水灭火系统设计规范》GB 50084中所采用的计算公式,而未采用《建筑给水排水设计规范》GB 50015—2003中所采用的海澄——威廉公式。当系统采用其他管材时,管道水头损失,可按现行的《建筑给水排水设计规范》GB 50015-2003中的计算公式计算,或按照其他管材的有关标准中的计算公式计算。
管道局部水头损失与现行国家标准《自动喷水灭火系统设计规范》GB 50084一样,推荐采用当量长度法计算,附录A与现行的《自动喷水灭火系统设计规范》GB 50084附录中的数值一致,并根据需要增加了DN200、DN250、DN300规格管件及阀门的当量长度,以及信号碟阀、信号闸阀、U形过滤器、Y形过滤器的当量长度。
10.4.6 水泵扬程或系统入口的供水压力应按下式计算:
H=∑h+P 0 +Z (10.4.5)
式中: H——水泵扬程或系统入口的供水压力(MPa);
∑h——管道沿程和局部水头损失的累计值(MPa),水流指示器取值0.02MPa。马鞍型水流指示器的取值由生产厂提供;
P 0 ——最不利点处喷头的工作压力(MPa);
Z——最不利点处喷头与消防水池的最低水位或系统入口管水平中心线之间的高程差,当系统入口管或消防水池最低水位高于最不利点处喷头时,Z应取负值(MPa)。
条文说明
10.4.6 本条规定了水泵扬程或系统入口供水压力的计算方法。计算中按照相关的现行标准对水流指示器局部水头损失的取值作了规定。如采用不符合现行标准的水流指示器,其局部水头损失应以厂家提供的数据为准。
10.5 减压措施
10.5 减压措施
10.5.1 减压孔板应符合下列规定:
1 应设在直径不小于50mm的水平直管段上,前后管段的长度均不宜小于该管段直径的5倍;
2 孔口直径不应小于设置管段直径的30%,且不应小于20mm;
3 应采用不锈钢板材制作。
10.5.2 节流管应符合下列规定:
1 直径宜按上游管段直径的1/2确定;
2 长度不宜小于1m;
3 节流管内水的平均流速不应大于20m/s。
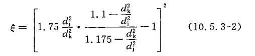
10.5.3 减压孔板的水头损失应按下式计算:

式中:H k ——减压孔板的水头损失(10 -2 MPa);
V k ——减压孔板后管道内水的平均流速(m/s);
ξ——减压孔板的局部阻力系数,取值应按公式(10.5.3-2)计算或表(10.5.3)确定。

式中:d k ——减压孔板的孔口直径(m)。

10.5.4 节流管的水头损失,应按下式计算:

式中:H g ——节流管的水头损失(10 -2 MPa);
ζ——节流管中渐缩管与渐扩管的局部阻力系数之和,取值0.7;
V g ——节流管内水的平均流速(m/s);
d g ——节流管的计算内径(m),取值应按节流管内径减1mm确定;
L——节流管长度(m)。
条文说明
10.5.1~10.5.4 直接引用了现行国家标准《自动喷水灭火系统设计规范》GB 50084中减压措施一节的有关条文及计算方式,以保证减压措施计算结果的一致性。
10.5.5 减压阀应符合下列规定:
1 应设在电磁阀前的信号阀入口前;
2 减压阀的公称直径应与管道管径相一致;
3 应设置备用减压阀;
4 减压阀节点处的前后应装设压力表。
条文说明
10.5.5 与自动喷水灭火系统不同,大空间智能型主动喷水灭火系统不设置湿式报警阀,故要求减压阀组应设在电磁阀前的信号阀入口前。
11 控制系统的操作与控制
11 控制系统的操作与控制
11.0.1 大空间智能型主动喷水灭火控制系统应由下列部分或全部部件组成:
1 智能灭火装置控制器;
2 智能型探测组件;
3 电源装置;
4 火灾警报装置;
5 水泵控制箱;
6 其他控制配件。
条文说明
11.0.1 本条规定了大空间主动喷水灭火控制系统的主要组成部件。随着电子技术特别是计算机技术和信号处理技术的不断进步,智能型灭火装置的体积将更加小巧,而功能则更加强大,系统的组成形式也更加灵活,设计人员会有更多的选择。本条列出的部件,在实际系统中可能只采用其中的一部分,也可能全部采用或增加设置一些其他部件。一些场所,装置数量较少、系统也不复杂、结构简单、系统不再设立智能灭火装置控制器,这种系统的功能结构组成示意如图22: 
上述系统的工作过程可简述为:
当智能型探测组件探测到火灾后,直接控制火灾警报装置发出警报,同时发出启动水泵信号给水泵控制箱,启动水泵向管网供水。报警、联动控制过程都由智能型探测组件直接进行。另外一些场所,建筑布局较为复杂,装置数量较多,此时,系统中应设立智能灭火装置控制器或与建筑内的火灾报警系统综合配置,这种系统的功能结构组成示意如图23: 
上述系统的工作过程可简述为:
当智能型探测组件探测到火灾发生时,立即向智能灭火装置控制器(或建筑物火灾自动报警及联动控制器)报告,由控制器发出指令,联动控制器启动火灾警报装置和各种联动设备。图形显示器则立即显示火灾发生的部位,打印机则对火灾信息和历史数据进行打印。
11.0.2 大空间智能型主动喷水灭火系统可设置专用的智能灭火装置控制器,也可纳入建筑物火灾自动报警及联动控制系统,由建筑物火灾自动报警及联动控制器统一控制。当采用专用的智能灭火装置控制器时,应设置与建筑物火灾自动报警及联动控制器联网的监控接口。
条文说明
11.0.2 火灾自动报警系统目前已经非常普及,其高度智能化、总线结构等特点使得应用变得简单而实用。一般的建筑物都设有火灾自动报警和联动控制系统以及消防控制中心或消防控制室。在这样的场所安装大空间主动喷水灭火系统,除了要考虑本系统外,建议与火灾自动报警和联动控制系统统一考虑,综合设置,达到资源共享。也就是说,利用建筑物火灾自动报警和联动控制器兼作智能灭火装置控制器,统一由消防控制中心的火灾自动报警和联动控制器对各智能灭火装置的状态进行监视和控制,以提高系统运行的可靠性,既降低了系统造价,也为系统的维护提供了方便。当大空间智能型主动喷水灭火系统单独设置智能灭火装置控制器时,大空间智能型主动喷水灭火系统应作为建筑物火灾自动报警系统的一个子系统,由智能灭火装置控制器对大空间智能型主动喷水灭火系统进行监视和控制,同时将火灾报警信号及其他相关信号送至建筑物消防控制中心,火灾自动报警系统控制器报警和显示。大空间智能型主动喷水灭火系统的 智能灭火装置控制器与建筑物火灾自动报警系统联网,以保证建筑物消防控制中心对大空间智能型主动喷水灭火系统的统一管理和监控。
11.0.3 大空间智能型主动喷水灭火系统应在开启一个喷头、高空水炮的同时自动启动并报警。
条文说明
11.0.3 大空间智能型主动喷水灭火系统的优势之一就是为了在火灾初期阶段系统就能启动,以有效地扑灭火灾和控制火灾的蔓延。本条的目的是确保系统在开放一只喷头或高空水炮时立即启动并报警,对及时扑救火灾、人员的疏散和人工辅助灭火具有重要意义。
11.0.4 大空间智能型主动喷水灭火系统中的电磁阀应有下列控制方式(各种控制方式应能进行相互转换):
1 由智能型探测组件自动控制;
2 消防控制室手动强制控制并设有防误操作设施;
3 现场人工控制(严禁误喷场所)。
条文说明
11.0.4 本条对大空间智能型主动喷水灭火系统的电磁阀的控制方式作出了规定。有些严禁误喷场所内设置的场所,如:演出过程中可能产生正常道具用焰火的舞台,演出时,应使电磁阀处于现场人工控制状态,待演出完毕,再转换为自动控制状态。而有些场所,如:存放遇水会产生较严重损失的物品的场所,电磁阀的开启要由智能型探测组件发出的控制信号和人工控制信号的“与”来实现。若上述控制失效,在消防控制室应能进行强制启动,以确保既可防止误喷,又能在火灾发生时启动电磁阀。为防止消防控制室值班人员无意中误触启动按钮,设置防误操作措施。
11.0.5 大空间智能型主动喷水灭火系统的消防水泵应同时具备自动控制、消防控制室手动强制控制和水泵房现场控制三种控制方式;
条文说明
11.0.5 本条直接引用了现行国家标准《自动喷水灭火系统设计规范》GB 50084相关章节及条文。目的是确保消防水泵的可靠启动。
11.0.6 在舞台、演播厅、可兼作演艺用的体育比赛场馆等场所设置的大空间智能型主动喷水灭火系统应增设手动与自动控制的转换装置。当演出及排练时,应将灭火系统转换到手动控制位;在演出及排练结束后,应恢复到自动控制位。
条文说明
11.0.6 在这些场所进行演出及排练时,为达到某种演出效果往往要施放烟火,或采用各种特效照明灯光。这些烟火以及光谱波长近似于火焰的灯光,容易引起智能型探测组件的误报警及引起系统误喷。为防止出现这种情况,演出及排练时,应将系统转为手动控制,智能型探测组件此时转为只报警而不自动控制系统的启动。系统的启动由舞台管理人员或其他消防值班人员根据现场火灾的确认结果进行手动启动。
11.0.7 智能灭火装置控制器及电源装置应设置在建筑物消防控制室(中心)或专用的控制值班室内。
条文说明
11.0.7 本条是为了便于监控和管理。
11.0.8 消防控制室应能显示智能型探测组件的报警信号;显示信号阀、水流指示器工作状态,显示消防水泵的运行、停止和故障状态;显示消防水池及高位水箱的低水位信号。
条文说明
11.0.8 本条参考了现行国家标准《自动喷水灭火系统设计规范》GB 50084相关章节及条文,强调对报警信号、信号阀、水流指示器、消防水泵工作状态、消防水池和水箱的低水位信号的监视,以保证系统的正常工作,保证灭火工作的顺利进行。
11.0.9 大空间智能型主动喷水灭火系统应设火灾警报装置,并应满足下列要求:
1 每个防火分区至少应设一个火灾警报装置,其位置宜设在保护区域内靠近出口处;
2 火灾警报装置应采用声光报警器;
3 在环境噪声大于60dB的场所设置火灾警报装置时,其声音警报器的声压级至少应高于背景噪声15dB。
条文说明
11.0.9 本条规定了在建筑中设置火灾警报装置的种类、数量、安装位置及警报声压等级,以便在发生火灾时,能可靠、清晰地发出火灾警报信号,提醒人员进行疏散。
12 电气
12.1 电源及配电
12.1 电源及配电
12.1.1 大空间智能型主动喷水灭火系统的供电电源应采用消防电源。
条文说明
12.1.1 大空间智能型主动喷水灭火系统是重要的灭火系统,要求系统电源按照相应等级的消防电源设置。
12.1.2 大空间智能型主动喷水灭火系统的供电电源应设SPD电涌保护器。
条文说明
12.1.2 设置SPD电涌保护器是为了防止雷击电磁脉冲损害系统控制设备,防止因雷击造成系统瘫痪或误动作。
12.1.3 大空间智能型主动喷水灭火系统供电电源的保护开关不应采用漏电保护开关,但可采用具有漏电报警功能的保护开关。
条文说明
12.1.3 大空间智能型主动喷水灭火系统漏电所造成的危害与系统供电可靠性相比,后者更重要。采用具有报警功能的漏电保护开关,既能做到及时掌握系统漏电情况,迅速排除故障,又不影响系统正常供电。
12.1.4 由电源装置引至智能灭火装置的供电电源宜按楼层或防火分区分回路设置。
条文说明
12.1.4 本条是为了方便系统的调试和维护而提出的。
12.2 布线
12.2 布 线
12.2.1 大空间智能型主动喷水灭火系统的供电、控制和信号传输线路应采用穿金属管或封闭式金属线槽保护方式布线。金属管和封闭式金属线槽应作防火处理和保护接地。
条文说明
12.1.1 现行国家标准《火灾自动报警系统设计规范》GB 50116规定采用穿金属管、经阻燃处理的硬质塑料管或封闭式线槽保护方式布线。考虑到大空间智能型主动喷水灭火系统的供电和信号传输线路的安全和高可靠性要求,减少电磁辐射干扰,本条规定采用穿金属管或封闭式金属线槽保护方式布线。金属管和封闭式金属线槽一般是明敷,故规定作防火保护。要求金属管和封闭式金属线槽要作保护接地(与电气保护接地干线PE相连接)是为了保护人身安全。
12.2.2 从接线盒、线槽等处引到智能探测组件和电磁阀的线路应加金属软管保护,金属软管的长度不宜超过0.8m。
条文说明
12.2.2 本条规定主要是为了防止供电和信号传输线路受到机械损伤。
12.3 其他
12.3 其 他
12.3.1 大空间智能型主动喷水灭火系统的电气设计除满足上述要求外,还应符合现行国家规范《火灾自动报警系统设计规范》GB 50116的规定。
条文说明
12.3.1 现行国家标准《火灾自动报警系统设计规范》GB 50116是在积累多年实际经验教训的基础上提出的,设置本条是为了充分利用这一成果,少走弯路。
13 施工前准备
13.1 质量管理
13.1 质量管理
13.1.1 大空间智能型主动喷水灭火系统的分部、分项工程应按本规程附录B划分。
条文说明
13.1.1 按大空间智能型主动喷水灭火系统的特点,对分部、分项工程进行划分。
13.1.2 大空间智能型主动喷水灭火系统的施工必须由具有相应等级资质的施工队伍承担。
13.1.3 系统施工应按设计要求编写施工方案。施工现场应具有必要的施工技术标准、健全的施工质量管理体系和工程质量检验制度,并应按本规程附录C的要求填写有关记录。
条文说明
13.1.3 本条参照《自动喷水灭火系统施工及验收规范》GB 50261—2005第3.1.3条的规定。
13.1.4 大空间智能型主动喷水灭火系统施工前应具备下列条件:
1 平面图、系统图(展开系统原理图)、接线图、施工详图及说明书、设备表、材料表等技术文件应齐全;
2 设计单位应向施工、建设、监理单位进行技术交底;
3 系统组件、管件及其他设备、材料,应能保证正常施工;
4 施工现场及施工中使用的水、电、气应满足施工要求,并应保证连续施工。
条文说明
13.1.4 本条参照《自动喷水灭火系统施工及验收规范》GB 50261—2005第3.1.4条的规定。在原来条文规定的基础上,特别提出要提供接线图。接线图对系统的施工有很重要的指导意义,施工员能否按照接线图准确接线,直接关系到系统调试的成败。
13.1.5 大空间智能型主动喷水灭火系统的施工,应按照批准的工程设计文件和施工技术标准进行施工。施工图纸修改应有设计单位的变更通知书。
条文说明
13.1.5 此条是为了保证施工质量,并为今后的工程维护打好基础。
13.1.6 大空间智能型主动喷水灭火系统工程的施工过程质量控制,应按下列规定进行:
1 各工序的施工应按本规程及设计要求进行质量控制,每道工序完成后,应进行检查,检查合格后方可进行下道工序;
2 相关各专业工种之间应进行交接检验,并经监理工程师签证后方可进行下道工序;
3 安装工程完工后,施工单位应按相关专业调试规定进行调试;
4 调试完工后,施工单位应向建设单位提供质量控制资料和各类施工过程质量检查记录;
5 施工过程质量检查组织由监理工程师组织施工单位人员组成;
6 施工过程质量检查记录按本规程附录D的要求填写。
13.1.7 大空间智能型主动喷水灭火系统质量控制资料按本规程附录E的要求填写。
13.1.8 大空间智能型主动喷水灭火系统施工前,应对系统组件、管件及其他设备、材料进行现场检查,检查不合格者不得使用。
13.1.9 分部工程质量验收应由建设单位负责人组织施工单位项目负责人、监理工程师和设计单位项目负责人等进行,并按本规程附录F的要求填写大空间智能型主动喷水灭火系统工程验收记录。
条文说明
13.1.6~13.1.9 参照《自动喷水灭火系统施工及验收规范》GB 50261—2005第3.1.6条~第3.1.9条的规定。
13.2 材料、设备管理
13.2 材料、设备管理
13.2.1 大空间智能型主动喷水灭火系统施工前应对采用的系统组件、管件及其他设备、材料进行现场检查,并应符合下列要求:
1 大空间智能型灭火装置、水流指示器、消防水泵、电磁阀、水泵接合器、信号阀等系统主要组件,应经国家消防产品质量监督检验中心强制或型式检测合格;稳压泵、止回阀、手动闸阀、安全泄压阀、沟槽式管接头等,应经相应国家产品质量监督检验中心检测合格。
2 系统组件、管件及其他设备、材料,应符合设计要求和国家现行有关标准的规定,并具有出厂合格证或质量认证书。
条文说明
13.2.1 本条参照《自动喷水灭火系统施工及验收规范》GB 50261—2005第3.2.1条的规定,增加了电磁阀也应经国家消防产品质量监督检验中心强制或型式检测合格的要求。
13.2.2 管材、管件应进行现场外观检查,并应符合下列要求:
1 表面应无裂纹、缩孔、夹渣、折叠和重皮;
2 螺纹密封面应完整、无损伤、无毛刺;
3 镀锌钢管应为内外壁热镀锌钢管,钢管内外表面的镀锌层不得有脱落、锈蚀等现象;钢管的内外径与壁厚等应符合现行国家标准《低压流体输送用焊接钢管》GB/T 3091或现行国家标准《输送流体用无缝钢管》GB/T 8163的规定;
4 外镀锌内涂塑钢管的外表面的镀锌层不得有脱落、锈蚀等现象;钢管的内涂塑层必须光滑、没有伤痕、针孔和沾附异物等妨碍使用的缺陷,钢管的外径与壁厚等应满足《给水涂塑复合钢管》CJ/T 120-2008的规定;
5 管道外壁应喷有产品标记、生产企业名称、执行标准号等;
6 非金属密封垫片应质地柔韧、无老化变质或分层现象,表面应无折损、皱纹等缺陷;
7 法兰密封面应完整、光洁,不得有毛刺及径向沟槽;螺纹法兰的螺纹应完整、无损伤;
8 沟槽式管接头规格、尺寸、公称压力、材质应符合国家标准要求,橡胶密封圈应无破损及变形。
条文说明
13.2.2 本条参照《自动喷水灭火系统施工及验收规范》GB 50261—2005第3.2.2条的规定,增加了对外镀锌内涂塑钢管的外观检查要求。
13.2.3 大空间灭火装置的现场检验应符合下列要求:
1 大空间智能型灭火装置的商标、型号、规格、制造厂及生产年月等标志应齐全,并有产品合格证;
2 型号、规格应符合设计要求;
3 外观应无加工缺陷和机械损伤,无脱漆,手动可转动部件应转动灵活;
4 螺纹密封面应完整、光洁、无损伤、无缺丝和断丝现象。
条文说明
13.2.3 本条参照《自动喷水灭火系统施工及验收规范》GB 50261—2005第3.2.3条的规定。将原条文中对“喷头”的要求改成对“大空间灭火装置”的要求。另外,大空间灭火装置与自动喷水灭火系统喷头相比,不论在密封概念上,还是在具体的工作压力等参数上都有很大不同,在现场对大空间灭火装置进行密封检验是有较大困难的。故本条款未提出进行大空间灭火装置的现场密封性能检验,其密封检验则留在系统调试时进行。
13.2.4 阀门及其附件的现场检验应符合下列要求:
1 阀门商标、型号、规格、制造厂及生产年月等标志应齐全,并有产品合格证;
2 阀门的型号、规格、数量、材质、公称压力应符合设计要求;
3 阀门及其附件应配备齐全,不得有加工缺陷和机械损伤;
4 电磁阀无电时应处于“常闭”状态,工作电压和电流应符合设计要求;
5 压力开关、水流指示器、自动排气阀、减压阀、止回阀、多功能水泵控制阀、信号阀、安全泄压阀、水泵接合器等及水位、水压、阀门限位等自动监测装置应有清晰的铭牌、安全操作指示标志和产品说明书;水流指示器、水泵接合器、减压阀、止回阀、安全泄压阀、多功能水泵控制阀、尚应有水流方向的永久性标志;安装前应逐个进行主要功能检查;
6 比例式减压阀的减压比应符合设计要求。
条文说明
13.2.4 本条参照《自动喷水灭火系统施工及验收规范》GB 50261—2005第3.2.4条和第3.2.5条的规定。
14 系统安装与施工
14.1 一般规定
14.1一般规定
14.1.1 大空间智能型主动喷水灭火系统的布线应符合现行国家标准《建筑电气工程施工质量验收规范》GB 50303、《火灾自动报警系统施工及验收规范》GB 50166以及本规程的有关规定。
14.1.2 消防水泵、稳压泵的安装,应符合现行国家标准《机械设备安装工程施工及验收通用规范》GB 50231、《压缩机、风机、泵安装工程施工及验收规范》GB 50275的有关规定。
14.1.3 消防水池、消防水箱的施工和安装应符合现行国家标准《给水排水构筑物工程施工及验收规范》GB 50141、《建筑给水排水及采暖工程施工质量验收规范》GB 50242的有关规定。
条文说明
14.1.1~14.1.3 这几条分别规定了系统布线、消防水泵、消防水池等施工与安装应执行的现行国家标准。与现行国家标准《火灾自动报警系统施工及验收规范》GB 50166和《自动喷水灭火系统施工及验收规范》GB 50261等相应条款一致。
14.1.4 供水设施安装时,环境温度不应低于5℃;当环境温度低于5℃时,应采取防冻措施。
14.2 布线
14.2 布 线
14.2.1 大空间智能型主动喷水灭火系统的布线,应根据《火灾自动报警系统设计规范》GB 50116以及本规程的规定,对导线的种类、电压等级及穿线管、线槽的材质等进行检查。
条文说明
14.2.1 本条参照《火灾自动报警系统施工及验收规范》GB 50166—92第2.2.2条的规定。大空间主动喷水灭火系统的布线质量对整个系统的可靠性具有非常重要的影响。如果布线质量不过关,不但会造成系统调试的困难,严重时会造成系统无法开通运行。正是基于这一考虑,本规程中明确规定大空间主动喷水灭火系统的导线应穿金属管或穿金属线槽保护,布线时对导线、穿线管或线槽进行接地保护检查是必要的。
14.2.2 在管内或线槽内的穿线,应在建筑抹灰及地面工程结束后进行。在穿线前,接头处应将管内或线槽内的积水及杂物清除干净。
14.2.3 不同系统、不同电压等级、不同电流类别的线路,不应穿在同一管内或线槽的同一槽孔内。
14.2.4 同一系统内不同用途的导线应采用不同的颜色;相同用途导线的颜色应一致。
条文说明
14.2.4 不同用途的导线应采用不同颜色,是为了便于接线和系统调试,同时,可有效地防止错接。相同用途的导线颜色应一致的规定是为了工程的统一性和日后维护管理的方便。
14.2.5 管内或线槽内的导线不应有接头或扭结。导线接头应在接线盒内采用焊接或压接的方式。当采用焊接方式时,不得使用带腐蚀性的助焊剂,焊点不得有尖刺,接头处应采用电工绝缘胶布或其他电工绝缘材料密封。
条文说明
14.2.5 本条参照《火灾自动报警系统施工及验收规范》GB 50166—92第2.2.5条的规定。本条是为了确保系统传输导线的可靠性而提出的。管内或线槽内导线的接头或扭结,影响导线的机械强度,也是线路故障的因素之一;规定接线盒内的导线接头采用焊接或压接的方式,当采用焊接方式时,不得使用带腐蚀性的助焊剂,主要是为了保证导线连接的可靠性和使用寿命,焊点的尖刺易造成线路短路现象,给系统埋下故障隐患,应避免。
14.2.6 敷设在多尘或潮湿场所的管路的管口和管子连接处,均应做密封处理。
14.2.7 管路超过下列长度时,应在便于接线处装设接线盒:
1 管子长度每超过45m,无弯曲时;
2 管子长度每超过30m,有1个弯曲时;
3 管子长度每超过20m,有2个弯曲时;
4 管子长度每超过12m,有3个弯曲时。
14.2.8 管子入盒时,盒外侧应套锁母,内侧应装护口。在吊顶内敷设时,盒的内外两侧均应套锁母。
14.2.9 在吊顶内敷设各类管路和线槽时,宜采用单独的卡具吊装或支撑物固定。
14.2.10 线槽的直线段应每隔1.0m~1.5m设置吊点或支点,在下列部位也应设置吊点或支点:
1 线槽接头处;
2 距接线盒0.2m处;
3 线槽走向改变或转角处。
14.2.11 吊装线槽的吊杆直径不应小于6mm。
14.2.12 管线经过建筑物的变形缝(包括沉降缝、伸缩缝、抗震缝等)处,应采取补偿措施,导线跨越变形缝的两侧应固定,并留有适当余量。
14.2.13 线管或线槽应可靠接地,管或槽的连接处两端采用卡接固定跨接接地软铜线。
条文说明
14.2.13 本条为保证穿线管或金属线槽具有良好的接地和屏蔽性能,同时保证人身安全。
14.2.14 导线敷设后,应用500V的兆欧表测量每根导线对地绝缘电阻,其值不应小于20MΩ。
条文说明
14.2.14 本条参照《火灾自动报警系统施工及验收规范》GB 50166—92第2.2.13条的规定。
14.3 管网的安装
14.3 管网的安装
14.3.1 管网采用钢管时,其材质应符合现行国家标准《输送流体用无缝钢管》GB/T 8163、《低压流体输送用焊接钢管》GB/T 3091的要求。当使用铜管、不锈钢管等其他管材时,应符合国家现行有关标准的要求。
14.3.2 管道连接后不应减小过水断面面积。热镀锌钢管安装应采用螺纹、沟槽式管件或法兰连接。
14.3.3 管网安装前应校直管道,并清除管道内部的杂物;在具有腐蚀性的场所,安装前应按设计要求对管道、管件等进行防腐处理;安装时应随时清除已安装管道内部的杂物。
14.3.4 沟槽式管件连接应符合下列要求:
1 选用的沟槽式管件应符合《沟槽式管接头》CJ/T 156的要求,其材质应为球墨铸铁,并符合现行国家标准《球墨铸铁件》GB/T 1348要求;橡胶密封圈的材质应为三元乙丙胶(EPDN),并符合《金属管道系统快速管接头的性能要求和试验方法》ISO 6182-12的要求。
2 沟槽式管件连接时,其管道连接沟槽和开孔应用专用滚槽机和开孔机加工,并应做防腐处理;连接前应检查沟槽和孔洞尺寸,加工质量是否符合技术要求;沟槽、孔洞处不得有毛刺、破损性裂纹和脏物;
3 橡胶密封圈应无破损及变形;
4 沟槽式安装的内涂塑热镀锌钢管,其标准长度直管及管件宜采用先加工沟槽后涂塑的成品。现场开槽的非标准长度直管、管件,应在管道开槽处的涂层破坏处及管道切口涂敷厂家提供的专用涂敷涂料,以防管道出现脱皮及锈蚀;
5 沟槽式管件的凸边应卡进沟槽后再紧固螺栓,两边应同时紧固,紧固时发现橡胶圈起皱应更换新橡胶圈;
6 机械三通连接时,应检查机械三通与孔洞的间隙,各部位应均匀,然后再紧固到位;机械三通开孔间距不应小于500mm,机械四通开孔间距不应小于1000mm;机械三通、机械四通连接时支管的口径应满足表14.3.4的规定。

7 配水干管(立管)与配水管(水平管)连接,应采用沟槽式管件,不应采用机械三通;
8 埋地的沟槽式管件的螺栓、螺帽应做防腐处理。水泵房内的配管及埋地管道连接应采用挠性接头。
条文说明
14.3.4 本条参照《自动喷水灭火系统施工及验收规范》GB 50261—2005第5.1.4条的规定,增加了采用沟槽式管件安装内涂塑热镀锌钢管时的技术要求。
14.3.5 螺纹连接应符合下列要求:
1 管子宜采用机械切割,切割面不得有飞边、毛刺;管道螺纹密封面应符合现行国家标准《普通螺纹 基本尺寸》GB/T 196、《普通螺纹 公差》GB/T 197、《普通螺纹 管路系列》GB/T 1414的有关规定。
2 当管道变径时,宜采用异径接头;在管道弯头处不宜采用补芯;当需要采用补芯时,三通上可用1个,四通上不应超过2个;公称直径大于50mm的管道不宜采用活接头。
3 螺纹连接的密封填料应均匀附着在管道的螺纹部分;拧紧螺纹时,不得将填料挤入管道内;连接后,应将连接处外部清理干净。
14.3.6 法兰连接可采用焊接法兰或螺纹法兰。热镀锌钢管用法兰连接时,焊接法兰焊接处应重新镀锌后连接。涂塑钢管焊接法兰焊接处应重新涂塑后连接。焊接应符合现行国家标准《工业金属管道工程施工及验收规范》GB 50235、《现场设备、工业管道焊接工程施工及验收规范》GB 50236的有关规定。螺纹法兰连接应预测对接位置,清除外露密封填料并在切口处涂敷防锈涂料后再紧固、连接。
14.3.7 管道的安装位置应符合设计要求。当设计无要求时,管道的中心线与梁、柱、楼板等的最小距离应符合表14.3.7的规定。

14.3.8 管道支架、吊架、防晃支架的安装应符合下列要求:
1 管道应固定牢固;管道支架或吊架之间的距离不应大于表14.3.8-1的规定:

2 管道支架、吊架、防晃支架的型式、材质、加工尺寸及焊接质量等应符合设计要求和国家现行有关标准的规定;
3 管道支架、吊架的安装位置不应妨碍大空间灭火装置的喷水效果和机械传动;管道支架、吊架与大空间灭火装置之间的距离不宜小于300mm;与末端大空间灭火装置之间的距离不宜大于750mm;
4 短立管应采用支架固定牢固,喷水时不得晃动;
5 配水支管上设置的吊架均不宜少于1个,吊架的间距不宜大于3.6m;
6 每段配水管上设置的吊架均不宜少于1个;
7 当管子的公称直径大于或等于50mm时,每段配水支管、配水管及配水干管设置的防晃支架不应少于1个,且防晃支架的间距不宜大于15m;当管道改变方向时,应增设防晃支架;
8 竖直安装的配水干管除中间用管卡固定外,还应在其始端和终端设防晃支架或采用管卡固定,其安装位置距地面或楼面的距离宜为1.5 m~1.8m。
条文说明
14.3.8 本条参照《自动喷水灭火系统施工及验收规范》GB 50261—2005第5.1.8条的规定,同时结合大空间灭火装置的自身特性而提出的。
14.3.9 管道穿过建筑物的变形缝时,应采取抗变形措施。穿过墙体或楼板时应加设套管,套管长度不得小于墙体厚度;穿过楼板的套管其顶部应高出装饰地面20mm;穿过卫生间或厨房楼板的套管,其顶部应高出装饰地面50mm,且套管底部应与楼板底面相平。套管与管道的间隙应采用不燃烧材料填塞密实。穿越地下室外墙时应设防水套管。
条文说明
14.3.9 本条参照《自动喷水灭火系统施工及验收规范》GB 50261—2005第5.1.9条的规定,增加了管道穿过地下室外墙时应设防水套管的内容。
14.3.10 管道横向安装宜设不小于0.002~0.005的坡度,且应坡向排水管;当局部区域难以利用排水管将水排净时,应采取相应的排水措施。当喷头数量小于或等于5只时,可在管道低凹处加设堵头;当喷头数量大于5只时,宜装设带阀门的排水管。
14.3.11 配水支管、配水管及配水干管应做红色或红色环圈标志。红色环圈标志,宽度不应小于20mm,间隔不宜大于4m,在一个独立的单元内环圈不宜少于2处,并应有与消火栓系统管道及自动喷水灭火系统管道区别的文字等标识。
14.3.12 管网在安装中断时,应将管道的敞口封闭。
条文说明
14.3.11 本条参照《自动喷水灭火系统施工及验收规范》GB 50261—2005第5.1.11条的规定。强调应设置与消防栓及自动喷水灭火系统管道相区别的文字等标识,是为了区分管道,便于管理和维护。
14.4 阀门的安装
14.4 阀门的安装
14.4.1 信号阀应安装在水流指示器前的管道上,与水流指示器之间的距离不应小于300mm。
14.4.2 手动闸阀的规格、型号和安装位置均应符合设计要求;安装方向应正确,阀内应清洁、无堵塞、无渗漏;应有明显的启闭标志;隐蔽处的手动闸阀应在明显处设有指示其位置的标志。
条文说明
14.4.2 本条参照《自动喷水灭火系统施工及验收规范》GB 50261—2005第5.4.2条的规定,提出手动闸阀应有明显的启闭标志,是为了方便人工观察和操作,防止在系统处于准工作状态时由于误关闭而造成火灾时不能出水。
14.4.3 大空间灭火装置前的手动闸阀与装置之间的安装距离不应小于300mm。
条文说明
14.4.3 本条编制的目的是为了检修及更换的方便。
14.4.4 排气阀的安装应在系统管网试压和冲洗合格后进行;排气阀应安装在配水干管顶部、配水管的末端,且应确保无渗漏。
14.4.5 止回阀的安装应与水流方向保持一致。
条文说明
14.4.5 本条编制的目的是为保证止回阀的正确使用。
14.4.6 信号阀、电磁阀、水流指示器的引出线应用防水套管锁定。
条文说明
14.4.6 为了防止信号阀、电磁阀、水流指示器的引出线进水,影响其性能,编制了本条。
14.4.7 减压阀的安装应符合下列要求:
1 减压阀的安装应在供水管网试压、冲洗合格后进行;
2 减压阀安装前应检查:其规格型号应与设计相符;阀外控制管路及导向阀各连接件不应有松动;外观应无机械损伤,并应清除阀内异物;
3 减压阀水流方向应与供水管网水流方向一致;
4 应在进水侧安装过滤器,并宜在其前后安装控制阀;
5 可调式减压阀宜水平安装,阀盖应向上;
6 比例式减压阀宜垂直安装。当水平安装时,对于单呼吸孔减压阀,其孔口应向下;对于双呼吸孔减压阀,其孔口应呈水平位置;
7 安装自身不带压力表的减压阀时,应在其前后相邻部位安装压力表。
14.5 水流指示器的安装
14.5 水流指示器的安装
14.5.1 水流指示器的安装应在管道试压和冲洗合格后进行,水流指示器的规格、型号应符合设计要求。
14.5.2 水流指示器应使电器元件竖直安装在水平管道上侧,其动作方向应和水流方向一致;安装后的水流指示器的浆片、膜片应动作灵活,不应与管壁发生碰擦。
条文说明
14.5.1、14.5.2 条文直接引用《自动喷水灭火系统施工及验收规范》GB 50261-2005中相关条款。
14.6 节流装置和减压孔板的安装
14.6 节流装置和减压孔板的安装
14.6.1 节流装置应安装在公称直径不小于50mm的水平管段上。
14.6.2 减压孔板应安装在管道内水流转弯处下游一侧的直管上,且与转弯处的距离不应小于管子公称直径的2倍。
条文说明
14.6.1、14.6.2 减压孔板和节流装置是使大空间智能型主动喷水灭火系统某一局部水压符合规范要求而采用的较经济的压力调节设施。
14.7 模拟末端试水装置的安装
14.7 模拟末端试水装置的安装
14.7.1 模拟末端试水装置应安装在每一压力分区水平管网末端最不利点处。
条文说明
14.7.1 将模拟末端试水装置安装在系统分区水平管网末端最不利点处,是为了进行以下内容的测试:水流指示器、配水管道是否畅通,最不利点处喷头(水炮)在正常工作状态下的水压是否足够等。
14.7.2 模拟末端试水装置的安装位置应便于进行火灾模拟试验,且安装环境应具备良好的排水设施。
条文说明
14.7.2 当模拟末端试水装置进行试水时,会有大量的水流出,若安装环境不具备良好的排水设施,会产生水害。
14.7.3 模拟末端试水装置的电磁阀应在系统管网试压冲洗合格后安装在靠近模拟喷头的水平管段上;管道的水流方向与电磁阀体上要求的水流方向相一致。
条文说明
14.7.3 本条与对大空间灭火装置的电磁阀安装要求是一样的。
14.7.4 模拟末端试水装置的压力表的安装方向应便于观察。
14.7.5 模拟末端试水装置的手动闸阀的安装位置应便于人工操作。
条文说明
14.7.4、14.7.5 编制的目的是为了试水的方便。
14.7.6 模拟末端试水装置的模拟喷头的流量系数应与对应压力分区内的大空间灭火装置的流量系数相一致。
条文说明
14.7.6 本条是为了使模拟喷头(高空水炮)试验时的水流状况尽量接近真的喷头(高空水炮)实际喷射时的水流状况。
14.7.7 模拟末端试水装置的安装现场应设置电源控制开关,平时处于关闭状态,开关宜安装在距地面2m~2.5m的高度。
条文说明
14.7.7 模拟末端试水装置只有在进行试验时才开启。因此,设立电源开关是为了方便操作和管理。平时使模拟末端试水装置电源开关处于关闭状态是防止由于人为因素而造成误启动。电源开关设置在一定的高度是为了在一定程度上避免闲杂人员的误操作。
14.8 大空间灭火装置的安装
14.8 大空间灭火装置的安装
14.8.1 大空间灭火装置在安装前应通电进行复位状态,监视状态、启动、机械转动、联动控制等功能的模拟检查,不合格者,不得安装。
条文说明
14.8.1 大空间灭火装置的安装场所由于净空较高,一旦在安装完毕后发现问题,近距离的调试相对困难。大空间灭火装置在包装、运输过程中,有可能造成一定程度的损伤。因此,本条规定了大空间灭火装置在安装前应接电进行复位状态、监视状态、启动、机械转动、联动控制等功能的模拟检查,及时发现问题,避免工程上的重复和浪费,不合格者,不得安装。
14.8.2 大空间灭火装置应在系统管网试压冲洗合格后进行安装。
条文说明
14.8.2 避免冲洗试压过程对大空间灭火装置造成损害。
14.8.3 当大空间灭火装置平天花或平梁底吊顶安装时,安装场所地面至天花底或梁底的最大净空高度应满足表14.8.3中的规定。

条文说明
14.8.3 这是由大空间灭火装置的应用参数决定的。
14.8.4 大空间灭火装置的智能型探测组件应平行或低于天花、梁底、屋架底和风管底安装。其周围不应有影响探测视角的障碍物。
条文说明
14.8.4 本条规定的目的是:
1 最大限度地发挥大空间灭火装置红外探测组件的探测性能,减少组件的布置密度,减少工程造价;
2 保持红外探测组件的探测区域与大空间大流量喷头射水保护区域的一致性;
3 防止火灾信号被遮挡而出现探测死角。
14.8.5 天花下安装时,天花板的开口不应妨碍大空间灭火装置的转动。
条文说明
14.8.5 在有天花板的场所安装时,大空间灭火装置(指自动扫描射水灭火装置和自动扫描射水高空水炮灭火装置)安装处的天花板开孔应够大,否则,会阻碍到装置的扫描转动。
14.8.6 大空间灭火装置的进水管应与地平面保持垂直。
条文说明
14.8.6 本条规定大空间灭火装置的进水管应与地平面保持垂直,是为了便于大空间灭火装置的安装定位,从而保证探测和射水定位的准确性。
14.8.7 大空间智能灭火装置的智能型探测组件与大空间大流量喷头的安装间距应满足表14.8.7中的规定。

条文说明
14.8.7 本条规定是为了保证大空间智能灭火装置的红外探测组件的探测区域与大空间大流量喷头射水保护区域相一致。
14.8.8 大空间灭火装置的对外引线金属软管不得妨碍大空间灭火装置的机械转动。
条文说明
14.8.8 大空间灭火装置的对外引线金属软管,可在不影响性能的情况下避免导线裸露在外面,起到阻火、阻水,防虫及防鼠咬的作用。接地是为了增加抗干扰能力。
14.8.9 电磁阀应安装在喷头附近的水平配水支管上;管道的水流方向与电磁阀体上要求的水流方向相一致。
条文说明
14.8.9 本条规定了电磁阀的安装要求,是由电磁阀的性能决定的。
14.9 智能灭火装置控制器的安装
14.9 智能灭火装置控制器的安装
14.9.1 壁挂式智能灭火装置控制器在墙上安装时,其底边距地(楼)面高度宜为1.3m~1.5m,其靠近门轴的侧面距墙不应小于0.5m,正面操作距离不应小于1.2m;当安装在轻质墙上时,应采取加固措施。
14.9.2 琴台式、柜式智能灭火装置控制器落地安装时,正面操作距离不应小于1.5m,其底宜高出地面0.1m~0.2m,当需要在背面检修时其检修距离不宜小于1.0m,其中的一个侧面应留有不小于800mm的过道。
条文说明
14.9.2 本条参照《火灾自动报警系统设计规范》GB 50116—98中第6.2.5.1、6.2.5.3款和《火灾自动报警系统施工及验收规范》GB 50166—92第2.5.1条的规定。
14.9.3 智能灭火装置控制器应安装牢固,不得倾斜。
条文说明
14.9.3 本条参照《火灾自动报警系统施工及验收规范》GB 50166—92第2.5.2条的规定,以保证工程质量。
14.9.4 智能灭火装置控制器及配线金属管或线槽应做接地保护,接地应牢固,并有明显标志。
14.9.5 进入智能灭火装置控制器的电缆或导线,应符合下列要求:
1 配线整齐,避免交叉,并应固定牢固;
2 电缆芯线和所配导线的端部均应标明编号,并与图纸一致,字迹清晰不易退色;
3 端子板的每个接线端,接线不得超过2根;
4 电缆芯和导线,应留有适当余量;
5 导线引入线穿线后,金属管或金属线槽与智能灭火装置控制器的接口处应做封堵;
6 智能灭火装置控制器的电源引入线,应直接与消防电源连接,严禁使用电源插头。电源引入线应有明显标志。
条文说明
14.9.4、14.9.5 这两条参照《火灾自动报警系统施工及验收规范》GB 50166—92第2.5.3?2.5.5条,结合系统的具体情况作出规定。
14.10 消防控制设备的安装
14.10 消防控制设备的安装
14.10.1 消防控制设备在安装前,应进行功能检查,不合格者,不得安装。
14.10.2 消防控制设备(箱、盘、柜等)内不同电压等级、不同电流类别的端子,应分开设置;内部的各功能部件,应有不易退色、易于观察、便于理解的标志。
条文说明
14.10.2 本条参照《火灾自动报警系统施工及验收规范》GB 50166—92第2.6.4条,设置不易退色、易于观察、便于理解的标志,便于系统安装调试和维修。
14.10.3 消防控制设备外接导线的端部,应有明显标志,且与设计图纸一致。
14.10.4 消防控制设备的外接导线,当采用金属软管作套管时,其长度不宜大于2m,且应采用管卡固定,其固定点间距不应大于0.5m。金属软管与消防控制设备(箱、盘、柜等)应采用锁母固定,并与消防控制设备一起作保护接地。
条文说明
14.10.4 本条参照《火灾自动报警系统施工及验收规范》GB 50166—92第2.6.2条的规定。
14.11 电源装置的安装
14.11 电源装置的安装
14.11.1 电源装置的交流输入应直接引自消防电源,不得采用插座供电。
条文说明
14.11.1 这一规定是为了保证系统的安全运行和供电的可靠性。
14.11.2 电源装置输出端的中性线(N极),必须与由接地装置直接引来的接地干线相连接,做重复接地。
条文说明
14.11.2 电源装置一般配置有UPS不间断电源装置,故本条参照《建筑电气工程施工质量施工验收规范》GB 50303—2002第9.1.4条作出规定。
14.11.3 电源装置的金属外壳应作保护接地。
条文说明
14.11.3 本条规定是为了保障操作人员的人身安全。
14.12 接地装置的安装
14.12 接地装置的安装
14.12.1 大空间主动喷水灭火系统的接地体,应按照现行国家标准《火灾自动报警系统设计规范》GB 50116的相关规定进行安装。
条文说明
14.12.1 大空间主动喷水灭火系统与火灾自动报警系统相类似,其接地方式和要求是相同的。
14.12.2 系统接地线应采用铜芯绝缘导线或电缆,不得利用镀锌扁铁或金属软管。
14.12.3 由消防控制室专用接地板引至接地体的专用接地干线应穿钢管或硬质塑料管埋设至接地体。
条文说明
14.12.3 本条参照《火灾自动报警系统施工及验收规范》GB 50166—92第2.7.2条的规定。
14.12.4 接地装置施工完毕后,应及时做隐蔽工程验收。隐蔽工程验收应包括下列内容:
1 检查施工质量;
2 测量接地电阻,并做好记录(专用接地装置接地电阻不应大于4Ω,共用接地装置不应大于1Ω)。
条文说明
14.12.4 本条参照《火灾自动报警系统施工及验收规范》GB 50166—92第2.6.4条,结合大空间主动喷水灭火系统的实际情况,按照火灾自动报警系统的相关规定作出相应规定。
14.13 消防水泵的安装
14.13 消防水泵的安装
14.13.1 消防水泵、消防水箱、消防水池、消防气压给水设备、消防水泵接合器等供水设施及其附属管道的安装,应清除其内部污垢和杂物。安装中断时,其敞口处应封闭。
14.13.2 消防水泵的规格、型号应符合设计要求,并应有产品合格证和安装使用说明书。
14.13.3 消防水泵的出水管上应安装止回阀、控制阀和压力表,并应安装检查和试水用的放水阀门;系统的总出水管上还应安装压力表,必要时安装防止系统超压的泄压阀;安装压力表时应加设缓冲装置。压力表和缓冲装置之间应安装旋塞;压力表的量程应为工作压力的2~2.5倍。
条文说明
14.13.3 本条参照《自动喷水灭火系统施工及验收规范》GB 50261—2005第4.2.4条的规定。
14.13.4 吸水管及其附件的安装应符合下列要求:
1 吸水管上的控制阀应在消防水泵固定于基础上之后再进行安装,其直径不应小于消防水泵吸水口直径,且不应采用没有可靠锁定装置的蝶阀,蝶阀应采用沟槽式或法兰式蝶阀;
2 当消防水泵和消防水池位于独立的两个基础上且相互为刚性连接时,吸水管上应加设柔性连接管;
3 吸水管水平管段上不应有气囊和漏气现象,变径连接时,应采用偏心异径管件并应采用管顶平接。
条文说明
14.13.4 本条参照《自动喷水灭火系统施工及验收规范》GB 50261—2005第4.2.3条的规定。
14.14 消防水箱安装和消防水池的施工
14.14 消防水箱安装和消防水池的施工
14.14.1 消防水箱、消防水池的容积、安装位置应符合设计要求。安装时,池(箱)外壁与建筑本体结构墙面或其他池壁之间的净距,应满足施工或装配的需要。无管道的侧面,净距不宜小于0.7m;安装有管道的侧面,净距不宜小于1.0m,且管道外壁与建筑本体墙面之间的通道宽度不宜小于0.6m;设有人孔的池顶,顶板面与上面建筑本体板底的净空不应小于0.8m。
14.14.2 消防水池、消防水箱的溢流管、泄水管不得与生产或生活用水的排水系统直接相连,应采用间接排水方式。
14.14.3 钢筋混凝土消防水池或消防水箱的进水管、出水管应加设防水套管,对有振动的管道尚应加设柔性接头。组合式消防水池或消防水箱的进水管、出水管接头宜采用法兰连接,采用其他连接时应做防锈处理。
14.15 消防气压给水设备和稳压泵的安装
14.15 消防气压给水设备和稳压泵的安装
14.15.1 消防气压给水设备的气压罐,其容积、气压、水位及工作压力应符合设计要求。
14.15.2 消防气压给水设备上的安全阀、压力表、泄水管、水位指示器、压力控制仪表等的安装应符合产品使用说明书的要求。
14.15.3 消防气压给水设备安装位置、进水管及出水管方向应符合设计要求;出水管上应设止回阀,安装时其四周应设检修通道,其宽度不宜小于0.7m,消防气压给水设备顶部至楼板或梁底的距离不宜小于0.6m。
14.15.4 稳压泵的规格、型号应符合设计要求,并应有产品合格证和安装使用说明书。
14.15.5 稳压泵的安装,应符合现行国家标准《机械设备安装工程施工及验收通用规范》GB 50231、《压缩机、风机、泵安装工程施工及验收规范》GB 50275的有关规定。
14.16 消防水泵接合器的安装
14.16 消防水泵接合器的安装
14.16.1 组装式消防水泵接合器的安装,应按接口、本体、连接管、止回阀、安全阀、放空管、控制阀的顺序进行。止回阀的安装方向应使消防用水能从消防水泵接合器进入系统;整体式消防水泵接合器的安装,应按使用安装说明书进行。
14.16.2 消防水泵接合器的安装应符合下列规定:
1 应安装在便于消防车接近的人行道或非机动车行驶地段,距室外消火栓或消防水池的距离宜为15m~40m;
2 地下消防水泵接合器应采用铸有“消防水泵接合器”标志的铸铁井盖或无机材料井盖,并在附近设置指示其位置的永久性固定标志;
3 大空间智能型主动喷水灭火系统的消防水泵接合器应设置与自动喷水灭火系统、消火栓系统消防水泵接合器区别的永久性固定标志;
4 墙壁消防水泵接合器的安装应符合设计要求。设计无要求时,其安装高度距地面宜为0.7m;与墙面上的门、窗、孔、洞的净距离不应小于2.0m,且不应安装在玻璃幕墙下方。
条文说明
14.16.2 本条参照《自动喷水灭火系统施工及验收规范》GB 50261—2005第4.5.2条的规定。
14.16.3 地下消防水泵接合器的安装,应使进水口与井盖底面的距离不大于0.4m,且不应小于井盖的半径。
14.16.4 地下消防水泵接合器井的砌筑应有防水和排水措施。
15 系统试压和冲洗
15.1 一般规定
15.1 一般规定
15.1.1 管网安装完毕后,应对其进行强度试验、严密性试验和冲洗。
15.1.2 强度试验和严密性试验宜用水进行。
条文说明
15.1.2 本条参照《自动喷水灭火系统施工及验收规范》GB 50261—2005第6.1.2条的规定。由于大空间主动喷水灭火系统目前还没有干式和预作用系统类型,故大空间主动喷水灭火系统的管网在验收时不要求做相应的气压试验。
15.1.3 系统试压前应具备下列条件:
1 埋地管道的位置及管道基础、支墩等经复查应符合设计要求;
2 试压用的压力表不应少于2只;精度不应低于1.5级,量程应为试验压力值的1.5倍~2倍;
3 试压冲洗方案已经批准;
4 对不能参与试压的设备、仪表、阀门及附件应加以隔离或拆除;加设的临时盲板应具有突出于法兰的边耳,且应做明显标志,并记录临时盲板的数量及安装位置。
15.1.4 系统试压过程中,当出现泄漏时,应停止试压,并应放空管网中的试验介质;消除缺陷后,重新再试。
15.1.5 系统试压完成后,应及时拆除所有临时盲板及试验用的管道,并应与记录核对无误,且应按本规程附录D中表D.0.2的格式填写记录。
15.1.6 管网冲洗应在试压合格后分段进行。冲洗顺序应先室外,后室内;先地下,后地上;室内部分的冲洗应按配水干管、配水管、配水支管的顺序进行。
15.1.7 管网冲洗宜用水进行。冲洗前,应对系统的仪表采取保护措施。
15.1.8 冲洗前,应对管道支架、吊架进行检查,必要时应采取加固措施。
15.1.9 对不能经受冲洗的设备应加以隔离或拆除,冲洗完毕后应复位;冲洗后可能存留脏物、杂物的管段和设备,应进行清理。
条文说明
15.1.9 本条参照《自动喷水灭火系统施工及验收规范》GB 50261—2005第6.1.9条的规定。
15.1.10 冲洗直径大于100mm的管道时,应对其死角和底部进行敲打,但不得损伤管道。
15.1.11 管网冲洗合格后,应按本规程附录D中表D.0.3的格式填写记录。
15.1.12 水压实验和水冲洗宜采用生活用水进行,不得使用海水或含有腐蚀性化学物质的水。
15.2 水压试验
15.2 水压试验
15.2.1 水压试验时环境温度不宜低于5℃,当低于5℃时,水压试验应采取防冻措施。
15.2.2 当系统设计工作压力小于或等于1.0MPa时,水压强度试验压力应为设计工作压力的1.5倍,并不应低于1.4MPa;当系统设计工作压力大于1.0MPa时,水压强度试验压力应为该工作压力加0.4MPa。
15.2.3 水压强度试验的测试点应设在系统管网的最低点。对管网注水时,应关闭电磁阀,将管网内的空气排净,并应缓慢升压,达到试验压力后,稳压30min,目测管网应无泄漏、无变形,且压力降不应大于0.05MPa。
条文说明
15.2.3 本条参照《自动喷水灭火系统施工及验收规范》GB 50261—2005第6.2.2条的规定。
15.2.4 水压严密性试验应在水压强度试验和管网冲洗合格并在安装好大空间灭火装置的电磁阀(电动阀)后进行。试验压力应为设计工作压力,稳压24h,应无泄漏。
条文说明
15.2.4 本条参照《自动喷水灭火系统施工及验收规范》GB 50261—2005第6.2.3条的规定。
15.2.5 大空间智能型主动喷水灭火系统的水源干管、进户管和室内埋地管道应在回填前单独或与系统一起进行水压强度试验和水压严密性试验。
条文说明
15.2.5 本条参照《自动喷水灭火系统施工及验收规范》GB 50261—2005第6.2.5条的规定。
15.3 冲洗
15.3 冲 洗
15.3.1 管网冲洗宜设临时专用排水管道,其排放应畅通和安全。排水管道的截面面积不得小于被冲洗管道截面面积的60%。
15.3.2 管网冲洗的水流流速、流量不应小于系统设计的水流流速、流量;管网冲洗宜分区、分段进行,水平管网冲洗时,其排水管位置应低于配水支管。
15.3.3 管网的地上管道与地下管道连接前,应在配水干管底部加设堵头后,对地下管道进行冲洗。
15.3.4 管网冲洗应连续进行。当出口处水的颜色、透明度与入口处水的颜色基本一致时,冲洗方可结束。
15.3.5 管网冲洗的水流方向应与灭火时管网的水流方向一致,
15.3.6 管网冲洗结束后,应将管网内的水排除干净,必要时可采用压缩空气吹干。
16 系统调试
16.1 一般规定
16.1 一般规定
16.1.1 系统调试应在建筑内部装修和系统施工完成后进行。
条文说明
16.1.1 本条要求在建筑内部装修和系统施工完成后进行系统调试。这是为了避免其他施工可能对系统造成干扰或损害。同时,若系统施工还未进行完毕就进行调试,易造成调试工作的断断续续,不利于保证工程质量。
16.1.2 系统调试应具备下列条件:
1 由本规程第13.1.4条第1款所列出的文件和图纸齐全;
2 系统供电正常;
3 消防水池、消防水箱已储备设计要求的水量;
4 系统管网内已充满水;阀门均未泄漏;
5 消防气压给水设备的水位、气压符合设计要求;
6 大空间智能型主动喷水灭火控制系统处于工作状态。
条文说明
16.1.2 本条列出了系统调试必须具备的基本条件。只有在这些条件具备的情况下,系统才能真正进入准工作状态,其调试结果才具有代表性和可信的。
16.2 调试内容和要求
16.2 调试内容和要求
16.2.1 系统调试应包括下列内容:
1 水源测试;
2 消防水泵调试;
3 稳压泵调试;
4 水流指示器和信号阀调试;
5 排水装置调试;
6 电源装置调试;
7 大空间智能灭火装置调试;
8 自动扫描射水灭火装置调试;
9 自动扫描射水高空水炮灭火装置调试;
10 智能灭火装置控制器调试。
条文说明
16.2.1 本条确定了系统调试应包括的内容。这些内容基本上包含了大空间主动喷水灭火系统最主要的部分,其调试的成功与否直接关系到整个系统的成败。可靠、充足的水源是系统能否有效灭火的基本保证;作为临时高压给水系统来讲,消防水泵是主要供水设施,其工作的稳定可靠与否关系到管网压力、水流等能否满足系统需要;水流指示器和信号阀关系到能否实现系统的二级报警,同时也是系统调试顺利进行和日后区域维护的重要部件;排水装置是系统调试过程中和日后系统维护、测试所必需的部件;电源装置的稳定可靠是整个系统能否正常工作的前提;因为现场环境千变万化,大空间灭火装置必须经过现场调试后再正式运行,才能保证其探测和射水性能;智能灭火装置控制器是系统的管理控制中心,必须经过调试才能投入运行。
16.2.2 水源测试应符合下列要求:
1 当采用地下消防水池作水源时,按设计要求核实消防水池的容积、水质以及消防储水不作它用的技术措施;
2 当采用市政自来水直接供水时,按设计要求核实市政自来水的水压、水质、进水管数量,各进水管的供水量、是否设置了检修阀门和倒流防止器;
3 当采用屋顶水箱、高位水池直接供水时,按设计要求核实屋顶水箱、高位水池的储水容积、水质、设置高度、补水时间以及消防储水不作它用的技术措施,
4 按设计要求核实消防水泵接合器的数量和供水能力,并通过移动式消防水泵做供水试验进行验证。
条文说明
16.2.2 本条提出了采用不同水源时的相应调试要求:消防供水量及水压满足设计要求是共同的要求;水质好坏对防止火灾时管路出现堵塞非常重要;采取消防储水不作它用的技术措施是为了保证火灾时供水安全;当采用市政自来水直接供水时,核对进水管数量是为了保证进水管路的安全可靠;由于消防用水长期处于不使用状态,出于维护和保障生活用水质量的需要,检修阀门和倒流防止器也是检查的重要内容;当采用屋顶水箱、高位水池直接供水时,其补水时间关系到系统能否再次及时投入使用。
通过移动式消防水泵对消防水泵接合器做供水试验是为了验证火灾时当供水设备发生故障或消防用水不足时临时供水设施的供水能力。
16.2.3 消防水泵调试应符合下列要求:
1 消防水泵的供电电源应采用消防电源;
2 以手动方式启动消防水泵时,消防水泵应在手动按钮按下后20s内投入正常运行;当大空间灭火装置自动启动时,消防水泵应在大空间灭火装置发出报警信号后20s内投入正常运行;
3 以备用电源切换方式或备用泵切换起动消防水泵时,消防水泵应在20s内投入正常运行。
条文说明
16.2.3 本条对消防水泵调试作出了规定。
1 要求消防水泵的供电电源应采用消防电源是为了保证火灾时消防水泵的供电安全,而这一点对系统灭火的成败是非常关键的。
2 消防泵启动时间是指从电源接通到消防泵达到额定工况的时间。大空间主动喷水灭火系统的主要优点是早期发现、早期灭火。当大空间灭火装置发现火灾并发出报警及联动控制信号后,及时启动水泵供水是能否发挥大空间灭火装置优点的关键。故本条规定,不管由手动启动或由大空间灭火装置自动启动,消防水泵应在信号发出后20s内投入正常运行。这段时间已经考虑了因水泵电机功率太大而需要进行延迟启动的时间,并与国家标准《消防泵》GB 6245—2006中第9.9.10条要求相一致。
16.2.4 稳压泵应按设计要求进行调试。当达到设计启动条件时,稳压泵应立即启动;当达到系统设计压力时。稳压泵应自动停止运行;当消防主泵启动时,稳压泵应停止运行。
16.2.5 水流指示器和信号阀调试应符合下列要求:
1 大空间灭火装置射水灭火时,水流指示器应输出报警信号;
2 信号阀应准确发出阀门打开或关闭的电信号。
条文说明
16.2.5 本条提出了对水流指示器和信号阀的要求。
16.2.6 试验过程中,系统排出的水应通过排水设施全部排走,或排回消防水池。
条文说明
16.2.6 本条参照《自动喷水灭火系统施工及验收规范》GB 50261—2005第7.2.6条的规定。
16.2.7 电源装置调试应符合下列要求:
1 电源装置的容量应符合设计和现行有关国家标准的要求;
2 电源装置的交流输入和直流备用输入(蓄电池组)应能自动切换;
3 电源装置的交流输入和直流备用输入切换时,不应影响大空间智能灭火装置的工作状态;
4 电源装置的直流备用输入(蓄电池组)充放电功能正常。
条文说明
16.2.7 电源装置是大空间主动喷水灭火系统的关键组件之一。其功能好坏直接关系到整个系统能否可靠工作。本条提出了电源装置几个主要的测试内容。其中对电源容量的要求包括两个方面,一方面是指正常情况下要满足整个系统的用电需求,这一指标在系统设计时要对各个功能组件所需电量进行详细计算才能得到。另一方面是指当交直流电源切换后,直流备用输入(蓄电池组)应能满足一定时间内(一般指监视状态下24h)整个系统的用电需求。电源装置交流输入和直流备用输入(蓄电池组)自动切换的功能核实是必要的,这也是保证系统供电正常的举措。由于在切换过程中可能产生干扰,而这一干扰不能对大空间智能灭火装置的工作状态产生任何影响。否则,可能会产生误喷水,造成损失。直流备用输入(蓄电池组)充放电功能正常与否关系到蓄电池组能否长期而稳定地工作,进行充放电功能的检查是必要的。
16.2.8 大空间智能灭火装置调试应符合下列要求:
1 大空间智能灭火装置的调试应逐个进行;
2 通电后复位状态、监视状态正常;
3 使系统处于手动状态,在大空间智能灭火装置进入监视状态后,在其保护范围内,模拟火灾发生,待火源稳定燃烧后,在规定的时间内,大空间智能灭火装置应发出报警、启动水泵、打开电磁阀等信号。此时使系统变为自动状态,则水泵应立即启动、电磁阀应立即打开、喷头应立即喷水灭火。火源熄灭后,可人工复位大空间智能灭火装置,使其重新处于监视状态;
4 大空间智能灭火装置的大流量喷头在喷水过程中转动均匀、灵活。
16.2.9 自动扫描射水灭火装置调试应符合下列要求:
1 自动扫描射水灭火装置的调试应逐个进行。
2 通电后复位状态、监视状态正常。
3 使系统处于手动状态,在自动扫描射水灭火装置进入监视状态后,在其保护范围内,模拟火灾发生,待火源稳定燃烧后,在规定的时间内,自动扫描射水装置应完成对火源的扫描和定位并发出报警、启动水泵、打开电磁阀等信号。此时使系统变为自动状态,则水泵应立即启动、电磁阀应立即打开、喷头应立即喷水灭火。
射出的水帘应直接击中或覆盖火源,且分布均匀,与地平面呈垂直状。火源熄灭后,可人工复位自动扫描射水灭火装置,使其重新处于监视状态。
4 自动扫描射水灭火装置在复位、扫描旋转过程中应转动均匀、灵活。
16.2.10 自动扫描射水高空水炮灭火装置调试应符合下列要求:
1 自动扫描射水高空水炮灭火装置的调试应逐个进行;
2 通电后复位状态、监视状态正常;
3 使系统处于手动状态,在自动扫描射水高空水炮灭火装置进入监视状态后,在其保护范围内,模拟火灾发生,待火源稳定燃烧后,在规定的时间内,自动扫描射水高空水炮装置应完成对火源的扫描和定位并发出报警、启动水泵、打开电磁阀等信号。此时使系统变为自动状态,则水泵应立即启动、电磁阀应立即打开、喷头应立即喷水灭火。射出的水柱应直接击中或覆盖火源。火源熄灭后,可人工复位自动扫描射水高空水炮灭火装置,使其重新处于监视状态;
4 自动扫描射水高空水炮灭火装置在复位、扫描旋转过程中应转动均匀、灵活。
条文说明
16.2.8~16.2.10 条文对不同类型的大空间灭火装置的调试内容提出了要求。首先规定,大空间灭火装置的调试应逐个进行。由于大空间灭火装置是机电一体化设备,功能较多,结构也是较为复杂的,在其运输与安装过程中难免出现机械损伤或部分功能的损坏,只有经过逐一调试才能发现问题并及时得以纠正。条文中提出的各种不同状态,都是大空间灭火装置实际运行过程中所经过的。特别指出,条文中所说的模拟火灾发生,指的是模拟火源可以是多种形式。既可以在大空间灭火装置的保护范围内点燃一定的燃烧物(油盘、木垛等),也可以在大空间灭火装置的近处用打火机、蜡烛等进行火源模拟,这样的规定为系统联调带来了一定的方便性。因为现场环境各种各样,有的环境根本不允许进行现场点火试验,即使允许进行点火,也不允许喷水。而有的环境可以进行各种形式的实际灭火试验。因此,为了确保大空间灭火装置功能的完好,同时又照顾到现场实际情况,条文中没有强制规定火源类型以及灭火时间上的限制,并指出了可进行人工复位,防止由于喷水过多而产生不必要的损失。
16.2.11 智能灭火装置控制器调试应作下列功能检查并符合相关要求:
1 自检功能;
2 消音复位功能;
3 故障报警功能;
4 报警显示、记忆和打印功能;
5 对大空间灭火装置的状态显示和操作功能;
6 联动控制功能。
条文说明
16.2.11 本条主要是在参考了火灾报警控制器调试时的要求与规定,又考虑到大空间灭火装置的实际运行情况而提出的。其中对大空间灭火装置的操作指的是在消防控制中心就能对大空间灭火装置进行扫描、定位、射水等方面的控制;联动控制指的是对消防水泵、声光报警器、电磁阀等设备的自动和手动控制。
16.2.12 大空间灭火装置和智能灭火装置控制器调试完成后,应按本规程附录D中表D.0.4填写联动试验记录。
条文说明
16.2.12 本条提出了大空间灭火装置和智能灭火装置控制器调试完成后,应按本规程附录D填写联动试验记录的要求,是工程管理的需要,有利于系统维护。
16.2.13 大空间主动喷水灭火系统应在安全连续运行120h后,按本规程附录G中的表G填写调试报告。
条文说明
16.2.13 本条参考了火灾报警系统的验收规定而提出的。之所以规定系统在运行一定的时间以后才能填写验收报告,是为了确实保证系统能连续不间断的运行。
17 系统验收
17.1 一般规定
17.1 一般规定
17.1.1 系统竣工后,必须进行工程验收,验收不合格不得投入使用。
条文说明
17.1.1 本条直接引用《自动喷水灭火系统施工及验收规范》GB 50261—2005第8.0.1条的规定。该条的最终目的是使得验收过的工程能真正起到扑救火灾、保护人身和财产安全的作用。
17.1.2 系统验收时,施工单位应提供下列资料:
1 竣工验收申请报告、设计变更通知书、竣工图;
2 工程质量事故处理报告;
3 施工现场质量管理检查记录;
4 大空间智能型主动喷水灭火系统施工过程质量管理检查记录;
5 大空间智能型主动喷水灭火系统质量控制检查资料。
17.1.3 大空间智能型主动喷水灭火系统工程验收应按本规程附录F中的表F的要求填写。
17.2 系统供水水源验收
17.2 系统供水水源验收
17.2.1 当采用消防水箱或水池供水时,应检查消防水箱和水池的容量、设置位置、设置高度、水质以及消防储水不作它用的技术措施,均应符合设计要求。
17.2.2 当采用市政给水管网供水时,应检查室外给水管网的进水管管径及供水能力。其水量、水质、水压应符合设计要求,并应检查防止污染生活用水的技术措施。
条文说明
17.2.1、17.2.2 条文确定了采用不同水源时的验收内容。供水水源的可靠与否,直接关系到系统能否发挥应有的灭火作用。当采用消防水箱或水池供水时,应检查消防水箱和水池的容量、设置位置、设置高度、水质以及消防储水不作它用的技术措施等。当采用市政管网供水时,特别提出要检验系统是否设置了防止生活水源被污染的设施,以确实保障生活用水的水质。否则,会产生非常不良的影响。
17.3 系统的流量、压力验收
17.3 系统的流量、压力验收
17.3.1 系统流量、压力的验收,应通过系统流量压力检测装置进行放水试验,系统流量、压力应符合设计要求。
条文说明
17.3.1 本条直接引用《自动喷水灭火系统施工及验收规范》GB 50261—2005第8.0.11条的规定。
17.4 消防泵房验收
17.4 消防泵房验收
17.4.1 消防泵房的建筑防火要求应符合相应的建筑防火设计规范的规定。
17.4.2 消防泵房设置的应急照明、安全出口应符合设计要求。
17.4.3 备用电源、自动切换装置的设置应符合设计要求。
条文说明
17.4.1~17.4.3 条文直接引用《自动喷水灭火系统施工及验收规范》GB 50261—2005中相关条款的规定。
17.4.4 消防水泵的电机驱动电源应采用消防电源。
17.5 消防水泵接合器验收
17.5 消防水泵接合器验收
17.5.1 消防水泵接合器数量及进水管位置应符合设计要求。
17.5.2 消防水泵接合器应进行充水试验,且系统最不利点的压力、流量应符合设计要求。
条文说明
17.5.1、17.5.2 条文直接引用《自动喷水灭火系统施工及验收规范》GB 50261-2005相关条款的规定。
17.6 消防水泵验收
17.6 消防水泵验收
17.6.1 工作泵、备用泵、吸水管、出水管及出水管上的泄压阀、水锤消除设施、止回阀等的规格、型号、数量应符合设计要求;吸水管、出水管上的控制阀应锁定在常开位置,并有明显标记。
17.6.2 消防水泵应采用自灌式引水或其他可靠的引水措施。
17.6.3 自动状态下,在系统的每一个末端试水装置处模拟火灾发生,消防水泵应自动启动;水流指示器等信号装置的功能均应符合设计要求。
17.6.4 手动状态下,打开消防水泵出水管上试水阀,按下启动开关,当采用主电源启动消防水泵时,消防水泵应启动正常;关掉主电源,主、备电源应能正常切换。
17.6.5 消防水泵停泵时,水锤消除设施后的压力不应超过水泵出口额定压力的1.3~1.5倍。
条文说明
17.6.1~17.6.5 条文参照《自动喷水灭火系统施工及验收规范》GB 50261-2005相关条款的规定。
17.6.6 对消防气压给水设备,当系统气压下降到设计最低压力时,通过压力变化信号应启动稳压泵。
17.6.7 消防水泵启动控制应置于自动启动挡。
17.6.8 消防水泵出水管上应安装试验用的放水阀及排水管。
17.7 管网验收
17.7 管网验收
17.7.1 管道的材质、管径、接头、连接方式及采取的防腐、防冻措施,应符合国家现行有关标准及设计要求。
17.7.2 管网排水坡度和辅助排水设施,应符合本规程的规定。
17.7.3 系统中的模拟末端试水装置、试水阀,应符合设计要求。
17.7.4 管网不同部位安装的闸阀、止回阀、电磁阀、信号阀、水流指示器、减压孔板、节流管、减压阀、柔性接头、排水管、排气阀、泄压阀等均应符合设计要求。
17.7.5 系统管网上不应安装有其他用途的支管或水龙头。
17.7.6 配水干管、配水管、配水支管、短立管设置的支架、吊架、防晃支架应符合本规程的规定。
条文说明
17.7.1~17.7.6 条文参照《自动喷水灭火系统施工及验收规范》GB 50261-2005第8.0.8条,取消了原条文中对干式和预作用式灭火系统的相关要求,也不涉及报警阀问题。对管道的各种固定支架问题,在原来条文的基础上增加了对短立管的固定要求,这是由于大空间灭火装置的工作压力较高,短立管能否固定安稳,直接关系到大空间灭火装置的射水精度。
17.8 模拟末端试水装置验收
17.8 模拟末端试水装置验收
17.8.1 系统中模拟末端试水装置的设置部位应符合本规程的设计要求。
条文说明
17.8.1 模拟末端试水装置是为了对系统末端的压力、流量等参数进行测量,对系统报警、联动功能进行模拟的重要组件。只有在分区或楼层的最不利点设置模拟末端试水装置,模拟过程应尽量反映系统真实的工作状态和灭火能力。
17.8.2 系统中的所有模拟末端试水装置均应作下列功能或参数的检验并应符合设计要求:
1 模拟末端试水装置的模拟火灾探测功能;
2 报警、联动控制信号传输与控制功能;
3 流量、压力参数;
4 排水功能;
5 手动与自动相互转换功能。
条文说明
17.8.2 本条提出了模拟末端试水装置需要模拟的主要功能和参数。虽然与真正的大空间灭火装置有较大区别,但模拟末端试水装置的火灾探测原理、探测所使用的元器件都是相同的,水的压力、流量也相近。因此,在一定程度上,模拟末端试水装置能够较真实地反映大空间灭火装置的工作状态和系统的工作参数。本条确定了几项主要的参数和功能。其中,信号传输与控制功能直接反映了整个系统的报警和控制的可靠性,而手动与自动相互转换功能则说明在两种不同状态下工作的可靠性以及两者的相互转换是否正常。对有些场所而言,这点是非常重要和实用的。对流量、压力等参数的测量,可直接检验系统末端的水压及流量能否满足系统需要,管网是否通畅。
17.9 大空间灭火装置验收
17.9 大空间灭火装置验收
17.9.1 大空间灭火装置的规格、型号、安装间距等应符合设计要求。
条文说明
17.9.1 不同型号的大空间灭火装置具有不同的应用特性。系统设计时,设计人员会根据使用场所的具体情况来进行型号选择。应用时不能随意改变型号,如此才能有效发挥大空间灭火装置的性能。本条对此特别加以强调。
17.9.2 大空间灭火装置应进行模拟灭火功能试验,且应符合下列要求:
1 参数测量应在模拟火源稳定后进行;
2 喷射和扫射水面应覆盖火源;
3 水流指示器动作,消防控制中心有信号显示;
4 消防水泵启动,消防控制中心有信号显示;
5 其他消防联动控制设备投入运行;
6 智能灭火装置控制器有信号显示。
条文说明
17.9.2 本条提出了验收大空间灭火装置时应进行的模拟试验内容和要求。在模拟火源稳定后进行参数测量是为了保证测量的准确性。比如说对启动时间的测量,一般来说,大空间灭火装置会在起火后立即启动扫描,但由于火源还没有达到一定规模,可能不能完成定位。只有经过一定的时间,待火源稳定燃烧且具有一定的规模后才能完成全部动作,此时的测量才有意义;喷射和扫射水面覆盖火源是为了保证有效灭火,同时又能防止火灾的蔓延。虽然大空间灭火装置出厂时已经进行了全面的射水灭火试验,但由于安装及运输过程可能造成射水精度的变化,该项验收也在另一方面对工程施工质量(主要指管道安装的水平、垂直度)进行了考核;其他几项的验收主要涉及信号传输及显示、联动控制等方面,对保证系统正常工作有很大意义。
18 系统维护和管理
18 系统维护和管理
18.0.1 大空间主动喷水灭火系统应具有管理、检测、维护规程,并应保证系统处于准工作状态。定期检查和维护管理应按本规程附录H的要求进行。
18.0.2 维护管理人员应经过消防专业培训,并熟悉大空间智能型主动喷水灭火系统的原理、性能和操作维护规程。
18.0.3 维护管理人员每天应对水源控制阀进行外观检查,并应保证控制阀处于无故障状态。
18.0.4 水源的供水能力应每年进行一次测定。
18.0.5 消防水池、消防水箱及消防气压给水设备应每月检查一次,并应检查其消防储备水位及消防气压给水设备的气体压力。同时,应采取措施保证消防用水不作它用,并应每月对该措施进行检查,发现故障应及时进行处理。
18.0.6 消防水池、消防水箱、消防气压给水设备内的水应根据当地环境、气候条件不定期更换。
18.0.7 寒冷季节,消防储水设备的任何部位均不得结冰。
18.0.8 每年应对消防储水设备进行检查,修补缺损和重新油漆。
18.0.9 钢板消防水箱和消防气压给水设备的玻璃水位计,两端的角阀在不进行水位观察时应关闭。
18.0.10 消防水泵或内燃机驱动的消防水泵应每月启动运转一次。当消防水泵为自动控制启动时,应每月模拟自动控制的条件启动运转一次。
18.0.11 电磁阀应每季度检查并应作启动试验,动作失常时应及时更换。
18.0.12 每个季度应对水泵出口处的放水试验阀进行一次供水试验,验证系统的供水能力。
18.0.13 系统上所有的控制阀门均应采用铅封或锁链固定在开启或规定的状态。
每月应对铅封、锁链进行一次检查,当有破坏或损坏时应及时修理更换。
18.0.14 室外阀门井中,进水管上的控制阀门应每个季度检查一次,核实其处于全开启状态。
18.0.15 消防水泵接合器的接口及附件应每月检查一次,并应保证接口完好,无渗漏、闷盖齐全。
18.0.16 每两个月应利用末端试水装置对火灾探测、供水管网、联动控制、水流指示器等进行功能检验。
18.0.17 每月应对大空间灭火装置进行一次外观检查,发现有不正常的应及时更换;当大空间灭火装置上有异物时应及时清除。更换或安装时均应使用专用扳手。
18.0.18 各种不同规格的大空间灭火装置均应有一定数量的备用品,其数量不应小于安装总数的1%,且每种备用大空间灭火装置不应少于1个。
18.0.19 大空间主动喷水灭火系统发生故障,需停水进行修理前,应向主管值班人员报告,取得维护负责人的同意,并临场监督,加强防范措施后方能动工。
18.0.20 建筑物、构筑物的使用性质或贮存物安放位置、堆存高度的改变,影响到系统功能而需要进行修改时,应在修改前报经公安消防监督机构批准后方能对系统作相应的修改。
条文说明
本章主要参照了《自动喷水灭火系统施工及验收规范》GB 50261—2005“维护管理”一节。增加了对电磁阀和大空间灭火装置的定期检查。检查时应充分考虑安全因素,有条件的场所可进行实际射水。应定期利用末端试水装置对火灾探测、供水管网、联动控制、水流指示器等进行功能检验。这对那些不具备实际射水条件的场所内安装的大空间主动喷水灭火系统的正常运行有重要意义。实践证明,定期、有序、专门的系统维护和管理,不但能及时查出各种安全隐患,保证系统在火灾时能发挥效能,同时也能有效地保证系统各个功能组件的使用寿命。本条的目的就是使得系统维护和管理工作有章可循,维护过程标准而统一。在监督、使用、设计部门的共同努力下,使大空间主动喷水灭火系统这一新兴事物尽快走向完善,更好地保护人民生命和财产的安全。
附录A各种管件和阀门的当量长度
附录A 各种管件和阀门的当量长度

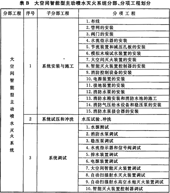
附录B大空间智能型主动喷水灭火系统分部、分项工程划分
附录B 大空间智能型主动喷水灭火系统分部、分项工程划分
大空间智能型主动喷水灭火系统分部、分项工程可按表B划分。

附录C施工现场质量管理检查记录
附录C 施工现场质量管理检查记录
施工现场质量管理检查记录应由施工单位质量检察员按表C填写,监理工程师进行检查,并作出检查结论。

附录D大空间智能型主动喷水灭火系统施工过程质量检查记录
附录D 大空间智能型主动喷水灭火系统施工过程质量检查记录
D.0.1 大空间智能型主动喷水灭火系统施工过程质量检查记录应由施工单位质量检查员按表D.0.1填写,监理工程师进行检查,并作出检查结论。

D.0.2 大空间智能型主动喷水灭火系统试压记录应由施工单位质量检查员填写,监理工程师(建设单位项目负责人)组织施工单位项目负责人等进行验收,并按表D.0.2填写。

D.0.3 大空间智能型主动喷水灭火系统管网冲洗记录应由施工单位质量检查员填写,监理工程师(建设单位项目负责人)组织施工单位项目负责人等进行验收,并按表D.0.3填写。

D.0.4 大空间智能型主动喷水灭火系统联动试验记录应由施工单位质量检查员填写,监理工程师(建设单位项目负责人)组织施工单位项目负责人等进行验收,并按表D.0.4填写。


附录E大空间智能型主动喷水灭火系统工程质量控制资料检查记录
附录E 大空间智能型主动喷水灭火系统工程质量控制资料检查记录
大空间智能型主动喷水灭火系统工程质量控制资料检查记录应由监理工程师(建设单位项目负责人)组织施工单位项目负责人等进行验收,并按表E填写。

附录F大空间智能型主动喷水灭火系统工程验收记录
附录F 大空间智能型主动喷水灭火系统工程验收记录
大空间智能型主动喷水灭火系统工程验收记录应由建设单位填写,综合验收结论由参加验收的各方共同商定并签章。

附录G大空间智能型主动喷水灭火系统调试报告
附录G 大空间智能型主动喷水灭火系统调试报告
大空间智能型主动喷水灭火系统调试报告应由监理工程师(建设单位项目负责人)组织施工单位项目负责人等进行验收,并按表G填写。

附录H大空间智能型主动喷水灭火系统维护管理工作检查项目
附录H 大空间智能型主动喷水灭火系统维护管理工作检查项目
大空间智能型主动喷水灭火系统维护管理工作应按表H进行。

本规程用词说明
本规程用词说明
1 为便于在执行本规程条文时区别对待,对要求严格程度不同的用词说明如下:
1)表示很严格,非这样做不可的:
正面词采用“必须”;反面词采用“严禁”。
2)表示严格,在正常情况下均应这样做的:
正面词采用“应”;反面词采用“不应”或“不得”。
3)表示允许稍有选择,在条件许可时首先应这样做的:
正面词采用“宜”;反面词采用“不宜”。
4)表示有选择,在一定条件下可以这样做的,采用“可”。
2 规程中指明应按其他有关标准执行的写法为“应按……执行”或“应符合……要求或规定”。
引用标准名录
引用标准名录
《建筑设计防火规范》 GB 50016
《火灾自动报警系统设计规范》 GB 50116
《给水排水构筑物工程施工及验收规范》 GB 50141
《火灾自动报警系统施工及验收规范》 GB 50166
《机械设备安装工程施工及验收通用规范》 GB 50231
《工业金属管道工程施工及验收规范》 GB 50235
《现场设备、工业管道焊接工程施工及验收规范》 GB 50236
《建筑给水排水及采暖工程施工质量验收规范》 GB 50242
《压缩机、风机、泵安装工程施工及验收规范》 GB 50275
《建筑电气工程施工质量验收规范》 GB 50303
《给水涂塑复合钢管》 CJ/T 120-2008
《沟槽式管接头》 CJ/T 156
《普通螺纹 基本尺寸》 GB/T 196
《普通螺纹 公差》 GB/T 197
《球墨铸铁件》 GB/T 1348
《普通螺纹 管路系列》 GB/T 1414
《低压流体输送用焊接钢管》 GB/T 3091
《输送流体用无缝钢管》 GB/T 8163
