Appearance
《辐射供暖供冷技术规程 JGJ142-2012》
🗓️ 实施时间: 2013-06-01
前 言
根据住房和城乡建设部《关于印发<2010年工程建设标准规范制订、修订计划>的通知》(建标[2010]43号)的要求,规程编制组经广泛调查研究,认真总结实践经验,参考有关国际标准和国外先进标准,在行业标准《地面辐射供暖技术规程》JGJ 142-2004和广泛征求意见的基础上,修订本规程。
本规程主要内容是:1 总则;2 术语;3 设计;4 材料;5 施工;6 试运行、调试及竣工验收;7 运行与维护。
本次修订的主要技术内容是:1.增加了辐射供冷有关规定,并将标准名称改为《辐射供暖供冷技术规程》;2.增加了绝热层采用发泡水泥、预制沟槽保温板的地面供暖、预制轻薄供暖板地面供暖、毛细管网供暖供冷的有关规定;3.增加了辐射面传热量的测试方法;4.对各章节技术内容进行了全面修订。
本规程中用黑体字标志的条文为强制性条文,必须严格执行。
本规程由住房和城乡建设部负责管理和对强制性条文的解释,由中国建筑科学研究院负责具体技术内容的解释。执行过程中如有意见或建议,请寄送中国建筑科学研究院(地址:北京市北三环东路30号,邮政编码:100013)。
本规程主编单位:中国建筑科学研究院
本规程参编单位:北京市建筑设计研究院
哈尔滨工业大学
中国恩菲工程技术有限公司
中国建筑西北设计研究院有限公司
北京瑞迪北方暖通设备工程技术有限公司
丹佛斯自动控制管理(上海)有限公司
佛山市日丰企业有限公司
北京温适宝科技有限公司
安徽安泽电工有限公司
中房集团新技术中心有限公司
上海乔治费歇尔管路系统有限公司
清华大学
重庆大学
南京师范大学
北京化工大学
天津商业大学
曼瑞德自控系统(乐清)有限公司
沃茨(上海)管理有限公司
欧博诺贸易(北京)有限公司
佛山塑料集团股份有限公司经纬分公司
北京瑞贝姆辐射供热制冷系统技术有限公司
新疆宏迪节能技术有限公司
佛山威文管道系统有限公司
巴赛尔亚太咨询(上海)有限公司
陶氏化学(中国)有限公司
北京亚特伟达冷暖节能工程技术有限公司
北京新宇阳科技有限公司
北京恩斯慕天科贸有限公司
汉堡阁电热系统(上海)有限公司
宏岳塑胶集团有限公司
际高建业有限公司
浙江盛世博扬阀门工业有限公司
爱康企业集团(上海)有限公司
武汉鸿图节能技术有限公司
辽宁华源暖通工程有限公司
上海碧元采暖技术有限公司
威海嘉中进出口有限公司
本规程主要起草人员:徐伟 邹瑜 万水娥 董重成 宋波 邓有源 路宾 季伟 张毅 李晓鹏 张保红 黄维 柳松 周磊 于东明 程乃亮 齐政新 刘勇 狄洪发 卢军 王子介 冯爱荣 杜国付 徐绍宏 金梧凤 陈立楠 刘敬 浦堃 李永鸿 郑鸿宇 王凤林 吴燕 薛勤 郝磊 宋伟军 王安生 邵力君 钟思奕 郭晓玲 陈凤君 孔祥智 郑立克 桂正茂 王芳 王东青 李光宇 刘爱国
本规程主要审查人员:徐华东 李娥飞 金丽娜 朱能 于晓明 史新华 张先群 张旭 赵欣虹
总 则
1.0.1 为规范辐射供暖供冷工程的设计、施工和验收,做到技术先进、经济合理、安全适用和保证工程质量,制定本规程。
1.0.2 本规程适用于以低温热水为热媒或以加热电缆为加热元件的辐射供暖工程,及以高温冷水为冷媒的辐射供冷工程的设计、施工及验收。
条文说明
1.0.2 本规程适用范围。本规程以供暖技术内容为主,适用于一般民用与工业建筑。
本规程中,以低温热水为热媒的辐射供暖系统包括以下形式:
1 现场敷设加热管地面供暖:①混凝土填充式;②预制沟槽保温板。
2 预制轻薄供暖板地面供暖(供暖板成品厚度小于或等于13mm,保温基板内镶嵌的加热管外径小于或等于8mm)。
3 毛细管网地面、顶棚及墙面辐射供暖(毛细管网管径通常在3mm~4mm,如3.4mm×0.55mm或4.3mm×0.8mm的PP-R管或PE-RT管)。
加热电缆地面辐射供暖包括以下形式:
1 混凝土填充式;
2 预制沟槽保温板。
以高温冷水为冷媒的辐射供冷系统包括以下形式:
1 现场敷设混凝土填充式地面辐射供冷(管外径大于16mm)。
2 毛细管网地面、顶棚及墙面辐射供冷。
近年来一些新型辐射供暖供冷方式,如结构供冷(TABS)、吊顶辐射板、冷梁等在国内已有应用,因目前积累的数据及资料尚不充分,未能包含在本规程之内。另外本规程不包含室外融雪系统。
1.0.3 辐射供暖供冷工程的设计、施工和验收除应执行本规程外,尚应符合国家现行有关标准的规定。
条文说明
1.0.3 本规程为辐射供暖供冷工程的专业性全国通用技术规程。根据国家主管部门有关编制和修订工程建设标准、规范等的统一规定,为了精简规程内容,凡其他全国性标准、规范等已有明确规定的内容,除确有必要者以外,本规程均不再另设条文。本条文的目的是强调在执行本规程的同时,还应注意贯彻执行相关标准、规范等的有关规定。
术 语
2.0.1 辐射供暖供冷 radiant heating and cooling
提升或降低围护结构内表面中的一个或多个表面的温度,形成热或冷辐射面,通过辐射面以辐射和对流的传热方式向室内供暖供冷的方式。
条文说明
2.0.1 辐射面可以是地面、顶棚或墙面;工作媒介可以是热水或冷水、热空气或冷空气或电热;单独供暖时,称为辐射供暖;单独供冷时,称为辐射供冷。
2.0.2 毛细管网辐射系统 capillary mat radiant system
末端采用细小管道,加工成网状,敷设于地面、顶棚或墙面的一种以水为媒介的辐射供暖供冷系统。
2.0.3 混水装置 water mixing device
将热源的一部分高温供水和低温回水进行混合,获得户内所需供水温度的装置。
2.0.4 加热供冷管 heating and cooling pipe
用于进行热水或冷水循环并加热或冷却辐射表面的管道。
条文说明
2.0.4 本条规定的加热供冷管指不包含毛细管网的所有其他应用于地面辐射供暖供冷的室内水管道,包括铝塑复合管、聚丁烯-1管、交联聚乙烯管、耐热聚乙烯管、铜管等。
2.0.5 预制轻薄供暖板 precast light heating board
由保温基板、支撑木龙骨、塑料加热管、粘接胶、铝箔、配水和集水等装置组成,并在工厂制作的一种一体化地面供暖部件,简称供暖板。
条文说明
2.0.5 供暖板成品厚度小于或等于13mm,保温基板内镶嵌的加热管外径小于或等8mm。
2.0.6 加热电缆 heating cable
以供暖为目的、通电后能够发热的电缆。
条文说明
2.0.6 加热电缆由冷线、热线和冷、热线接头组成,其中热线由发热线芯、绝缘层、接地屏蔽层和外护套等部分组成。发热线芯为加热电缆中将电能转换为热能的金属线芯。绝缘层为加热电缆内导体质检的绝缘材料层。接地屏蔽层是包裹在发热线芯外并与发热线芯绝缘的金属层,其材质可为编织成网的金属丝,也可是沿加热电缆纵向围合的金属带。接地屏蔽层具有电磁屏蔽作用,尤其是出现意外金属穿刺时,穿刺物首先通过了地线,确保了人身安全。接地屏蔽层必须要求是密实型的,螺旋缠绕时,螺旋间距不能大于5mm,否则防穿刺触电危险的功能锐减;外护套为保护加热电缆内部不受外界环境影响(如腐蚀、受潮等)的电缆外围结构层。
2.0.7 预制沟槽保温板 pre-grooved insulation board
在工厂预制的、用于现场拼装敷设加热供冷管或加热电缆的、带有固定间距和尺寸沟槽的聚苯乙烯类泡沫塑料或其他保温材料制成的板块。
2.0.8 加热供冷部件 heating and cooling component
敷设在辐射面填充层内或预制沟槽保温板沟槽中的加热供冷管、加热电缆,以及供暖板、毛细管网等的统称。
条文说明
2.0.8 预制沟槽保温板分为不带金属均热层和带金属均热层两种,前者用于地砖、石材面层的热水地面供暖系统,后者保温板上铺设有与加热部件外径尺寸相同沟槽的金属均热层,用于需均热的木地板面层供暖地面,或用于加热电缆供暖地面,使加热电缆与绝热层不直接接触。保温板厚度一般不超过35mm。
2.0.9 混凝土或水泥砂浆填充式地面辐射供暖供冷 floating screed floor radiant heating or cooling
加热供冷部件敷设在绝热层之上,需填充混凝土或水泥砂浆后再铺设地面面层的地面辐射供暖供冷形式。简称混凝土填充式地面辐射供暖供冷。
2.0.10 预制沟槽保温板地面辐射供暖 pre-grooved insulation board floor radiant heating
将加热管或加热电缆敷设在预制沟槽保温板的沟槽中,加热管或加热电缆与保温板沟槽尺寸吻合且上皮持平,不需要填充混凝土即可直接铺设面层的地面辐射供暖形式。
2.0.11 均热层 heat distribution plates
采用预制沟槽保温板供暖地面时,铺设在加热部件之下或之上、或上下均铺设的可使加热部件产生的热量均匀散开的金属板或金属箔。
2.0.12 供暖板地面辐射供暖 precast light heating board floor radiant heating
以热水为热媒,采用预制轻薄供暖板加热地面的辐射供暖形式。
2.0.13 分水器 primary supply water manifold
用于连接集中供暖供冷系统的供水管和各加热供冷管分支环路的配水装置。
2.0.14 集水器 primary return water manifold
用于连接集中供暖供冷系统的回水管和各加热供冷管分支环路的汇水装置。
2.0.15 输配管 distribution pipe
供暖板地面辐射供暖系统中,在分水器、集水器和供暖板分水、集水装置之间,起中间输配作用的管道。
2.0.16 面层 surface course
建筑地面与室内空气直接接触的构造层,包括装饰面层及其找平层。
2.0.17 找平层 toweling course
在垫层或楼板面上进行抹平找坡的构造层。
条文说明
2.0.17 找平层的作用是为铺设装饰面层抹平地面或与面砖石材等粘接;当粘接面砖时找平层包括约20mm厚水泥砂浆和约5mm厚胶粘剂;当采用水泥地面时,找平层即为面层。
2.0.18 隔离层 isolating course
防止建筑地面上各种液体透过地面的构造层。
2.0.19 填充层 filler course
在混凝土填充式辐射供暖供冷地面绝热层上设置加热供冷部件用的构造层,起到保护加热供冷部件并使地面温度均匀的作用。
2.0.20 绝热层 insulating course
辐射供暖供冷中,用于阻挡冷热量传递,减少无效冷热损失,在现场单独铺设的构造层(不包括预制沟槽保温板和供暖板的保温基板)。绝热层分辐射面绝热层和侧面绝热层。
条文说明
2.0.20 侧面绝热层设于辐射区与非辐射区、建筑物墙体、柱、过门等结构交接处,用于防止地板冷热量渗出。墙面供暖供冷中,侧面绝热层设于辐射区与非辐射区、其他墙体、地面、顶棚、门窗口等结构交接处,用于防止墙面冷热量渗出。顶棚供暖供冷中,侧面绝热层设于辐射区与非辐射区、建筑物墙体、梁等围护结构交接处,防止顶棚冷热量渗出。辐射面绝热层一般采用聚苯乙烯等泡沫塑料板,辐射面绝热层也可用发泡水泥,侧面绝热层也可采用PE板条。侧面绝热层在填充层主要起到隔热的作用,在面层结构主要起到伸缩的作用。
2.0.21 防潮层 moisture proofing course
防止建筑地基或楼层地面下潮气透过地面的构造层。
2.0.22 伸缩缝 expansion joint
补偿混凝土填充层和面层等膨胀或收缩用的构造缝。分为填充层伸缩缝、面层伸缩缝。
条文说明
2.0.22 伸缩缝如图1所示。
2.0.23 发泡水泥 porous cement
将发泡剂、水泥、水等按配比要求制成泡沫浆料,浇筑于地面,经自然养护形成具有规定密度等级、强度等级和较低导热系数的泡沫水泥。
条文说明
2.0.23 用于地面供暖时,称为发泡水泥绝热层;水泥中掺加骨料时,称为发泡混凝土。
2.0.24 填充板 blind board
供暖板地面供暖系统中,与供暖板的保温基板的材质和厚度相同、上面粘贴铝箔的半硬质泡沫塑料板,用于敷设输配管和填充房间内未铺设供暖板的部位。
2.0.25 铝塑复合管 polyethylene-aluminum compound pipes
内层和外层为交联聚乙烯、耐热聚乙烯或聚乙烯,中间层为增强铝管,层间采用专用热熔胶,通过挤出成型方法复合成一体的管材。
2.0.26 聚丁烯-1管 polybutylene pipe-1
由聚丁烯-1树脂添加适量助剂,经挤出成型的热塑性塑料加热管,通常以PB标记。
2.0.27 无规共聚聚丁烯管 Polybutylene random copolymer pipe
以质量分数不少于85%的丁烯-1与其他烯烃单体共聚聚合而成的无规共聚物,添加适量助剂,经挤出成型的热塑性塑料加热管,通常以PB-R标记。
2.0.28 交联聚乙烯管 cross linked polyethylene pipe
以密度大于或等于0.94g/cm3的聚乙烯或乙烯共聚物,添加适量助剂,通过化学的或物理的方法,使其线型的大分子交联成三维网状的大分子结构的加热管,通常以PE-X标记。
条文说明
2.0.28 按照交联方式的不同,可分为过氧化物交联聚乙烯(PE-Xa)、硅烷交联聚乙烯(PE-Xb)、辐照交联聚乙烯(PE-Xc)。
2.0.29 耐热聚乙烯管 polyethylene of raised temperature resistance pipe
以乙烯和α烯烃共聚制成的特殊的线型高密度或中密度乙烯共聚物,添加适量助剂,经挤出成型的热塑性塑料加热管。依据其长期静液压强度曲线的不同分为PE-RT Ⅰ型和PE-RT Ⅱ型。
2.0.30 无规共聚聚丙烯管 polypropylene random copolymer pipes
以丙烯和适量乙烯的无规共聚物,添加适量助剂,经挤出成型的热塑性管材。通常以PP-R标记。
2.0.31 电热式控制阀 electrical thermal actuating valve
依靠阀门驱动器内被电加热的温包膨胀产生的推力推动阀杆,关闭或开启阀门流道的自动控制阀,简称热电阀。
2.0.32 自力式温控阀 thermostat valve
可人为设定温度,通过温包感应温度产生自力式动作,无需外界动力调节热水(冷水)流量,从而控制室温恒定的阀门,又称恒温控制阀。
条文说明
2.0.32 自力式温控阀由恒温阀头和恒温阀体组成,恒温阀头分为内置温包式、外置温包式、远程调控式。
2.0.33 温度控制器 thermostat
能够测量温度并发出控制调节信号的温度自控设备,简称温控器。
条文说明
2.0.33 温控器按照控制调节对象的不同,分为控制水路阀门开关的温控器和对加热电缆进行通断控制的温控器。温控器根据控制方式的不同主要分为室温型、地温型和双温型温控器。室温型温控器传感器和控制器为一体(传感器内置),设置在房间内反映室温的位置。地温型温控器的传感器为外置型,埋设在辐射地面或墙面或顶棚中,控制器设在房间便于操作的位置。双温型温控器兼有室温型和地温型温控器的构造和功能。采用水路自力式温控阀时,温控器即为感温原件内置、外置或远程调控的自力式恒温阀头。
设 计
3.1 一般规定
3.1.1 热水地面辐射供暖系统的供、回水温度应由计算确定,供水温度不应大于60℃,供回水温差不宜大于10℃且不宜小于5℃。民用建筑供水温度宜采用35℃~45℃。
条文说明
3.1.1 本条从地面辐射供暖的安全、寿命和舒适考虑,规定供水温度不应超过60℃。从舒适及节能考虑,地面供暖供水温度宜采用较低数值,国内外经验表明,35℃~45℃是比较合适的范围。保持较低的供水温度,有利于延长化学管材的使用寿命,有利于提高室内的热舒适感;控制供回水温差,有利于保持较大的热媒流速,方便排除管内空气,也有利于保证地面温度的均匀。故作此推荐。严寒和寒冷地区应在保证室内温度的基础上选择设计供水温度,严寒地区回水温度推荐不低于30℃。
3.1.2 毛细管网辐射系统供暖时,供水温度宜符合表3.1.2的规定,供回水温差宜采用3℃~6℃。

条文说明
3.1.2 根据不同设置位置覆盖层的热阻及遮挡因素,确定毛细管网辐射系统的供水温度。
3.1.3 辐射供暖表面平均温度宜符合表3.1.3的规定。

条文说明
3.1.3 辐射供暖时,辐射体表面平均温度要求。
对于人员经常停留的地面,美国相关标准根据热舒适理论研究得出地面温度在21℃~24℃时,不满意度低于8%;EN 15377-1:2005中推荐,经常停留地面温度上限为29℃,非经常停留地面温度上限为35℃。日本相关资料研究表明,地面温度上限为31℃时,从人体健康、舒适考虑,是可以接受。考虑到我国生活习惯,本规程将人员经常停留地面的温度上限值规定为29℃。
EN 15377-1:2005中推荐墙面温度上限范围为35℃~50℃,上限温度取决于墙面供暖系统的设置情况如:身体是否易于接触墙面,人员是否是儿童或老人等。同时还要综合考虑热损失及对邻室影响等因素。
3.1.4 辐射供冷系统供水温度应保证供冷表面温度高于室内空气露点温度1℃~2℃。供回水温差不宜大于5℃且不应小于2℃。辐射供冷表面平均温度宜符合表3.1.4的规定。

条文说明
3.1.4 辐射供冷系统的供水温度确定时,要考虑防结露、舒适性及控制方式等方面因素。当采用水温控制时,供水温度一般为14℃~18℃,空调负荷越大,选用水温要越低;当采用辐射面温度直接控制时,供水温度可在保证不结露的前提下,进一步降低。由于防结露的要求,辐射供冷系统供水温度通常高于常规冷冻水供水温度,所以适合采用地下水、蒸发冷却装置和高温冷水机组作为冷源,以提高能源使用效率。
辐射供冷量的大小主要取决于辐射供冷表面的温度与其他表面的温度之差,因此,减小供回水温差,降低供回水平均温度有利于提高供冷量,但供回水温差过低对节能不利。所以规定供、回水温差不宜大于5℃,且不应小于2℃。
辐射体表面温度限值参照欧洲标准EN 15377-1确定。EN 15377-1:2005中规定:人员长时间坐卧的房间地面温度下限为20℃,人员活动频繁的房间地面的温度下限为18℃。
3.1.5 辐射供冷系统应结合除湿系统或新风系统进行设计。
条文说明
3.1.5 辐射供冷建筑需增强围护结构保温、隔热、气密程度,以尽量减小冷负荷。辐射供冷系统只能除去室内的显热负荷,无法除去室内的潜热负荷。为了防止辐射面结露和增加舒适度,需要设置除湿通风系统。室内部分显热负荷由辐射供冷系统承担,送风系统承担室内的全部潜热负荷和剩余的显热负荷。
风系统不仅要满足负荷、除湿和卫生要求,还要使工作区有一定风速以满足舒适要求。要合理选用风系统形式,以便在保证卫生要求条件下,尽量多使用室内回风,增加除湿能力和节约能耗。例如,有条件的建筑物,鼓励采用分散式新(回)风系统。风系统的送风形式,可以是地面、下送、中送、上送等多种形式,要结合建筑特点和使用要求灵活掌握。可能的情况下,尽量使经干燥处理的空气贴附冷辐射面,以进一步减少冷表面结露的可能,如采用地面置换通风、顶送或上侧送的顶棚贴附送风等。风系统的末端装置,适宜采用带室内回风的空气处理装置,如采用室内(或阳台、窗外、楼梯间)安装的高静压风机盘管(或户式新回风机组),通过风管送风至各房间。
当采用温湿度独立控制时,需要单独设计。
3.1.6 辐射供暖供冷水系统冷媒或热媒的温度、流量和资用压差等参数,应同冷热源系统相匹配。冷热源系统应设置相应的控制装置。
条文说明
3.1.6 供暖时,供水温度适宜采用35℃~45℃,低于常规散热器采暖系统;而供冷时,冷水温度又高于常规供冷水温度。冷热源选择时,建议优先选用热泵、余热、废热等低温热源,冷源选用高于7℃供水温度的冷水机组,条件允许的地区,也可直接使用深井水、有一定深度的地表水等自然冷源或采用蒸发冷却装置,但冷水温度一般需低于18℃,利于提高系统的能源利用效率。
3.1.7 采用辐射供暖的集中供暖小区,当外网的热媒温度高于60℃时,宜在楼栋的采暖热力入口处设置混水装置或换热装置。
条文说明
3.1.7 辐射供暖时供回水温差较小,流量较大。如在较大的集中供暖小区直接采用低温热水循环则输送半径较大,水泵的功耗也较大,不利于节能。此条规定在集中供暖小区,适宜采用楼栋混水装置或换热装置,实现外网大温差小流量、楼内辐射供暖系统大流量小温差的运行模式。
3.1.8 对于冬季供暖夏季供冷的辐射供暖供冷系统,冷热源设备宜选用热泵机组或热回收装置。
3.1.9 辐射供暖供冷水系统应按设备、管道及其附件所能承受的最低工作压力和水力平衡要求进行竖向分区设置,并应符合下列规定:
1 现场敷设的加热供冷管及其附件应满足系统工作压力要求;
2 采用供暖板地面辐射供暖时,应根据辐射供暖系统压力选择相应承压能力的产品。供暖板的承压能力应根据产品样本确定。
条文说明
3.1.9 竖向分区设置规定。设置竖向分区主要目的是减小设备、管道及部件所承受的压力,保证系统安全运行,避免立管出现垂直失调等现象。
3.1.10 地面上的固定设备或卫生器具下方,不应布置加热供冷部件。
条文说明
3.1.10 在地面有遮挡覆盖的情况下,地面供暖系统的热量难以通过地表面充分散热,就会造成局部升温。对低温热水系统,回水温度就会升高,尽管减少了室内供暖热量,尚不至于有安全隐患;而对加热电缆系统,加热电缆仍然持续加热,可能会产生安全隐患。因此,应考虑尽量避免覆盖遮挡,在固定设备或卫生器具下方不应布置加热电缆、加热管,同时应尽量选用有腿的家具,以减少局部热阻。
3.1.11 采用地面辐射供暖供冷时,生活给水管道、电气系统管线等不得与地面加热供冷部件敷设在同一构造层内。
3.1.12 采用加热电缆地面辐射供暖时,应符合下列规定:
1 当敷设间距等于50mm,且加热电缆连续供暖时,加热电缆的线功率不宜大于17W/m;当敷设间距大于50mm时,加热电缆线功率不宜大于20W/m。
2 当面层采用带龙骨的架空木地板时,应采取散热措施;加热电缆的线功率不应大于10W/m,且功率密度不宜大于80W/㎡。
3 加热电缆布置时应考虑家具位置的影响。
条文说明
3.1.12 加热电缆的线功率要求。普通加热电缆的线功率是基本恒定的,热量不能散出来就会导致局部温度上升,成为安全的隐患。国家标准《额定电压300/500V生活设施加热和防结冰用加热电缆》GB/T 20841-2007/IEC 60800:1992规定,护套材料为聚氯乙烯的加热电缆,表面工作温度(电缆表面允许的最高连续温度)为70℃;《美国UL认证》规定,加热电缆表面工作温度不超过65℃。当面层采用塑料类材料(面层热阻R=0.075㎡·K/W)、混凝土填充层厚度35mm、聚苯乙烯泡沫塑料绝热层厚度20mm,加热电缆间距50mm,加热电缆表面温度70℃时,计算加热电缆的线功率为16.3W/m。因此,本条文作出了对加热电缆的线功率不宜超过17W/m的规定,以控制加热电缆表面温度,保证其使用寿命,并有利于地面温度均匀且不超出最高温度限制。加热电缆的线功率的选择,与敷设间距、面层热阻等因素密切相关,敷设间距越大,面层热阻越小,允许的加热电缆线功率也可适当加大;而当面层采用地毯等高热阻材料时,要选用更低线功率的加热电缆,以确保安全。
需要说明的是,17W/m的推荐限值,是在电压220V,敷设间距50mm的情况下得出的。通常情况下,加热电缆敷设间距在50mm以上,但特殊情况下,受敷设面积的限制,实际工程中存在敷设间距为50mm的情况,故从确保安全的角度,作此规定。计算表明,上述同样条件下,如加热电缆间距控制在100mm,即使采用热阻更大的厚地毯面层,加热电缆线功率的限值也可以达到20W/m以上。因此,实际工程加热电缆的线功率的选择,需要根据敷设间距、构造做法等综合考虑确定。
在采用带龙骨的架空木板作为地面时,加热电缆裸敷在架空地板的龙骨之间,需要对加热电缆有更加严格的、安全的规定。借鉴国内外大量的工程实践经验,在龙骨之间适宜敷设有利于加热电缆散热的金属均热层,且加热电缆的线功率不要大于10w/m,功率密度不宜大于80W/㎡。
采用加热电缆地面辐射供暖时,尚应考虑到家具布置的影响,加热电缆的布置要尽可能避开家具特别是无腿家具的占压区域,以免因占压区域的热损失而影响供暖效果或因占压区域的局部温度过高而影响加热电缆的使用寿命。
3.1.13 辐射供暖供冷工程应提供下列施工图设计文件:
1 设计说明;
2 楼栋内供暖供冷系统和加热供冷部件平面布置图;
3 供暖供冷系统图和局部详图;
4 温控装置及相关管线布置图,当采用集中控制系统时,应提供相关控制系统布线图;
5 水系统分水器、集水器及其配件的接管示意图;
6 地面构造及伸缩缝设置示意图;
7 供电系统图及相关管线平面图。
条文说明
3.1.13~3.1.15 为了规范设计图纸,本条对辐射供暖供冷工程施工图的设计深度、图面表达内容与要求等,作出了具体的规定,以保证最终的效果,职责分明。
3.1.14 施工图设计说明中应包括下列内容:
1 室内外计算温度;
2 采用的辐射供暖供冷系统类型;
3 房间总热负荷或冷负荷、热媒总供热量或冷媒供冷量、加热电缆总供电功率;
4 热源或楼栋集中供暖供冷系统形式和热媒或冷媒参数;
5 热水或冷水系统选用的管材或供暖板、毛细管网及其工作压力,塑料管材的管系列(S)、公称外径及壁厚;铝塑复合管和铜管的公称外径及壁厚;
6 加热电缆配电方案、类型、线功率、总长度、工作电压、工作温度等技术数据和条件;
7 绝热材料的类型、导热系数、表观密度、规格及厚度等;
8 采用的温控措施和温控器形式,及其电控系统的工作电压、工作电流等技术数据和条件;当采用集中控制系统时,应说明控制要求和原理;
9 分户热计量或电能计量方式;
10 填充层、面层伸缩缝的设置要求。
条文说明
3.1.13~3.1.15 为了规范设计图纸,本条对辐射供暖供冷工程施工图的设计深度、图面表达内容与要求等,作出了具体的规定,以保证最终的效果,职责分明。
3.1.15 楼栋内供暖供冷系统和加热供冷部件平面布置图应绘制下列内容:
1 采用水系统时,应绘制分水器、集水器位置及与其连接的供暖供冷管道;
2 采用现场敷设加热供冷部件时,应绘出各房间加热供冷部件的具体布置形式,标明敷设长度、间距、加热供冷部件管径或规格(线功率)、各加热供冷部件环路或回路的敷设长度;配电线路布置平面图(包括电气安全保护);
3 采用供暖板、毛细管网地面供暖时,应绘出铺设位置及输配管走向;
4 伸缩缝敷设平面图。
条文说明
3.1.13~3.1.15 为了规范设计图纸,本条对辐射供暖供冷工程施工图的设计深度、图面表达内容与要求等,作出了具体的规定,以保证最终的效果,职责分明。
3.2 地面构造
3.2.1 辐射地面的构造做法应根据其设置位置和加热供冷部件的类型确定,不同类型辐射供暖地面构造做法可按本规程附录A选用。辐射地面的构造应由下列全部或部分组成:
1 楼板或与土壤相邻的地面;
2 防潮层(对与土壤相邻地面);
3 绝热层;
4 加热供冷部件;
5 填充层;
6 隔离层(对潮湿房间);
7 面层。
3.2.2 直接与室外空气接触的楼板或与不供暖供冷房间相邻的地板作为供暖供冷辐射地面时,必须设置绝热层。
条文说明
3.2.2 强制性条文。为减少辐射地面的热损失,直接与室外空气接触的楼板、与不供暖房间相邻的地板,必须设置绝热层。
3.2.3 供暖供冷辐射地面构造应符合下列规定:
1 当与土壤接触的底层地面作为辐射地面时,应设置绝热层。设置绝热层时,绝热层与土壤之间应设置防潮层;
2 潮湿房间的混凝土填充式供暖地面的填充层上、预制沟槽保温板或预制轻薄供暖板供暖地面的面层下,应设置隔离层。
条文说明
3.2.3 设置绝热层、防潮层、隔离层的要求。
当地面荷载特别大时,与土壤接触的底层的绝热层有可能承载能力不够,考虑到土壤热阻相对楼板较大,散热量较小,一般情况下均应设置绝热层。
为保证绝热效果,规定绝热层与土壤间设置防潮层。对于潮湿房间,混凝土填充式供暖地面的填充层上,预制沟槽保温板或预制轻薄供暖板供暖地面的地面面层下设置隔离层,以防止水渗入。
3.2.4 地面辐射供暖面层宜采用热阻小于0.05㎡·K/W的材料。
条文说明
3.2.4 面层热阻的大小,直接影响到地面的散热量。实测证明,在相同供热条件和地板构造的情况下,在同一个房间里,以热阻为0.02㎡·K/W左右的花岗石、大理石、陶瓷砖等作面层的地面散热量,比以热阻为0.10㎡·K/W左右的木地板为面层时要高30%~60%;比以热阻为0.15㎡·K/W左右的地毯为面层时要高60%~90%。由此可见,面层材料对地面散热量的巨大影响。为了节省能耗和运行费用,采用地面辐射供暖供冷方式时,要尽量选用热阻小于0.05㎡·K/W的材料做面层。
混凝土填充式供暖地面适宜采用瓷砖或石材等热阻较小的面层,不适宜采用架空木地板面层。采用加热电缆地面供暖时,地面上不适宜铺设地毯,避免面层热阻过大,导致电缆温度过高,不仅影响电缆寿命,还易形成安全隐患。
预制沟槽保温板和供暖板供暖地面的特点是较轻薄、占据室内空间少,可直接铺设木地板,保温板或供暖板以及木地板面层均为干法施工,方便快捷,如采用瓷砖或石材面层为湿法施工,还需增加水泥砂浆找平层等厚度,且水泥砂浆均热层有腐蚀作用。因此除住宅厨房、卫生间等不适宜使用木地板的场合外,预制沟槽保温板和供暖板供暖地面均建议采用木地板面层,以避免湿作业。
3.2.5 混凝土填充式地面辐射供暖系统绝热层热阻应符合下列规定:
1 采用泡沫塑料绝热板时,绝热层热阻不应小于表3.2.5-1的数值;

2 当采用发泡水泥绝热时,绝热层厚度不应小于表3.2.5-2的数值。

条文说明
3.2.5 为了减少无效热损失和相邻用户之间的传热量,本条给出了绝热层的最低要求。当绝热层采用模塑聚苯乙烯泡沫塑料板时,其对应厚度见表1。当工程条件允许时,适宜在此基础上再增加10mm。采用其他泡沫塑料类绝热材料时,可根据其导热系数,按热阻相当的原则确定厚度。聚苯乙烯泡沫塑料板主要技术指标见本规程第4.2节。

考虑发泡水泥和聚苯乙烯泡沫塑料绝热材料供暖地面构造的不同特点,不要求两种类型的绝热层热阻相当。
3.2.6 采用预制沟槽保温板或供暖板时,与供暖房间相邻的楼板,可不设置绝热层。其他部位绝热层的设置应符合下列规定:
1 土壤上部的绝热层宜采用发泡水泥;
2 直接与室外空气或不供暖房间相邻的地板,绝热层宜设在楼板下,绝热材料宜采用泡沫塑料绝热板;
3 绝热层厚度不应小于表3.2.6的数值。

条文说明
3.2.6 预制沟槽保温板或供暖板本身由泡沫塑料绝热材料构成,由于不需设填充层,加热部件上部热阻相对较小,向上的有效散热量比例与混凝土填充式供暖地面相比差距不大,因此如下层为供暖房间,不需另外设置绝热层;如铺设在与土壤接触的底层地板上,发泡水泥绝热层厚度可比混凝土填充式地面供暖时少5mm,以免占据室内高度过多。
采用预制沟槽保温板或供暖板时,在土壤或楼板上部不宜采用泡沫塑料板作绝热层,是为了避免保温板或供暖板与聚苯乙烯泡沫塑料板铺设在一起易产生相对位移,并为了保护面层不开裂。土壤上部采用发泡水泥容易与保温板或供暖板牢固结合;直接与室外空气接触的楼板在下面做外保温可与外墙外保温连为一体;与不供暖房间相邻的地板也宜在地板下表面贴泡沫塑料绝热板。
表中绝热层厚度为最小厚度。当工程条件允许时,模塑聚苯乙烯泡沫塑料板厚度适宜再增加10mm。
3.2.7 混凝土填充式辐射供暖地面的加热部件,其填充层和面层构造应符合下列规定:
1 填充层材料及其厚度宜按表3.2.7选择确定;

2 加热电缆应敷设于填充层中间,不应与绝热层直接接触;
3 豆石混凝土填充层上部应根据面层的需要铺设找平层;
4 没有防水要求的房间,水泥砂浆填充层可同时作为面层找平层。
条文说明
3.2.7 填充层的作用主要有二:一是保护加热管或加热电缆;二是使热量能比较均衡地传至地面,从而使地面的表面温度趋于均匀。为了达到以上目的,要求填充层有一定的厚度。由于填充层的厚度,直接影响到室内的净高、结构的荷载和建筑的初投资,所以不宜太厚。
填充层材料及其厚度应根据采用的绝热层材料和加热部件类型确定。采用发泡水泥绝热层时,因绝热层相对较厚,宜减少上部填充层厚度,因此推荐采用能够做得较薄的水泥砂浆。发泡水泥绝热层和水泥砂浆填充层之间有较好的结合性,即使填充层厚度较薄,也不会产生开裂。
规定加热电缆设在填充层中间,保证加热电缆与绝热材料之间有一定的填充层材料,是为了加强电缆向四周散热,避免供暖地面上部被地毯等遮挡不能向上散热,紧贴电缆的绝热层又阻挡向下散热时,产生加热电缆局部过热现象,影响加热电缆的寿命。为此将加热电缆的豆石混凝土填充层最小厚度由原规程的35mm增至40mm。
无论采用何种填充层,如填充层施工平整度符合铺设木地板的要求,可直接铺设木地板,否则需找平后再铺木地板。豆石混凝土的豆石粒径较大,结合性不好,一般面层为地砖或石材时还需另设与面层粘接的找平层(厚度约25mm,其中最上为约5mm的粘接层)。
没有防水要求的非潮湿房间,水泥砂浆填充层可同时作为面层找平层,以减少地面上部厚度和热阻,因此水泥砂浆填充层施工要求平整度高,采用地砖或石材面层时,可直接用约5mm厚的粘接层与地砖等粘接,且水泥砂浆填充(找平)层应与面层施工同时进行。字
3.2.8 预制沟槽保温板辐射供暖地面均热层设置应符合下列规定:
1 加热部件为加热电缆时,应采用铺设有均热层的保温板,加热电缆不应与绝热层直接接触;加热部件为加热管时,宜采用铺设有均热层的保温板;
2 直接铺设木地板面层时,应采用铺设有均热层的保温板,且在保温板和加热管或加热电缆之上宜再铺设一层均热层。
条文说明
3.2.8 预制沟槽保温板均热层材料常用铝箔和铝板,均热层材料的导热系数一般要大于237W/(m·K)。均热层可使加热部件产生的热量均匀地散开,形成均匀热辐射面而不会使发热体本身温度过高,尤其是电发热体;铺设在加热电缆之下时,使加热电缆不直接接触保温板,保证热量均匀地散开。铝箔厚度的选取可参考表2。

3.2.9 采用供暖板时,房间内未铺设供暖板的部位和敷设输配管的部位应铺设填充板。采用预制沟槽保温板时,分水器、集水器与加热区域之间的连接管,应敷设在预制沟槽保温板中。
3.2.10 当地面荷载大于供暖地面的承载能力时,应会同土建设计人员采取加固措施。
3.3 房间热负荷与冷负荷计算
3.3.1 辐射供暖供冷房间热负荷与冷负荷应按现行国家标准《民用建筑供暖通风及空气调节设计规范》GB 50736的有关规定进行计算。
3.3.2 全面辐射供暖室内设计温度可降低2℃。全面辐射供冷室内设计温度可提高0.5℃~1.5℃。
条文说明
3.3.2 辐射供暖供冷系统室内设计温度。实践证实,人体的舒适度受辐射影响很大,欧洲的相关实验也证实了辐射和人体舒适度感觉的相互关系。根据国内外资料和国内一些工程的实测,辐射供暖用于全面供暖时,在相同热舒适条件下的室内温度可比对流供暖时的室内温度低2℃。供冷时,室内温度高于采用对流方式的供冷系统(0.5~1.5)℃,可达到同样舒适度。
3.3.3 局部辐射供暖系统的热负荷应按全面辐射供暖的热负荷乘以表3.3.3的计算系数的方法确定。

条文说明
3.3.3 当辐射供暖用于局部供暖时,热负荷计算还要乘以表3.3.3所规定的计算系数(局部供暖的面积与房间总面积的面积比大于75%时,按全面供暖耗热量计算)。

3.3.4 进深大于6m的房间,宜以距外墙6m为界分区,分别计算热负荷和冷负荷,并进行管线布置。
条文说明
3.3.4 为适应外区较大热负荷的需求,确保室温均匀,对进深较大房间作此规定。例如:住宅内通户门的大起居室,距外墙6m以内无围护结构传热负荷,但有户门开启负荷,需分别加以计算。
3.3.5 对敷设加热供冷部件的建筑地面和墙面,不应计算其传热损失。
条文说明
3.3.5 敷设加热供冷部件的地面或墙面,不存在通过地面或墙面向外的传热负荷,因此房间外围护结构热负荷不包括敷设加热供冷部件辐射面的传热负荷。辐射面向外的传热负荷应计算在辐射供暖供冷房间热(冷)媒的供热(冷)量中,见本规程第3.4.8条。
3.3.6 当采用地面辐射供暖的房间(不含楼梯间)高度大于4m时,应在基本耗热量和朝向、风力、外门附加耗热量之和的基础上,计算高度附加率。每高出1m应附加1%,但最大附加率不应大于8%。
条文说明
3.3.6 原规程中规定地面供暖房间热负荷计算时,可不考虑高度附加。但实际工程的高大空间,尤其是间歇供暖时,常存在房间升温时间过长甚至供热量不足问题。原因之一与不计算高度附加有关:一是地面供暖向房间散热有将近一半仍依靠对流形式,房间高度方向也存在一些温度梯度;二是同样面积时,高大空间外墙等外围护结构比一般房间多,“蓄冷量”较大,供暖初期升温相对需热量较多。因此本次修订要求考虑高度附加率,高度附加率按散热器供暖计算值的50%取值。
3.3.7 采用分户热计量或分户独立热源的辐射供暖系统,应考虑间歇运行和户间传热等因素。
条文说明
3.3.7 对于采用加热电缆的住宅辐射供暖系统、集中热源分户热计量或采用分户独立热源的热水辐射供暖系统,其热负荷计算时需考虑间歇供暖附加值和户间传热负荷,考虑附加后房间热负荷可参考下式计算。
Q=α·Qj+qh·M (1)
式中: Q——考虑附加后房间热负荷(W);
Qj——房间热负荷(W);
α——考虑间歇供暖的修正系数,应根据热源和供暖方式、分户计量收费方式、供暖地面的热容量等因素确定,无资料时可参考表3取值。
qh——房间单位面积平均户间传热量(W/㎡),可取qh=7W/㎡;
M——房间使用面积(㎡)。
计算集中供暖系统的供暖立干管和建筑物总热负荷,以及供电干线和建筑物的总用电负荷时,不考虑户间传热量qh·M,则房间热负荷可按下式计算:
Q=α·Qj (2)
式中: α——考虑间歇供暖的修正系数,取α=1.1。
公共建筑如采用间歇供暖形式,可参考表3,对房间基本热负荷考虑一定的间歇供暖负荷修正。
3.4 辐射面传热量的计算
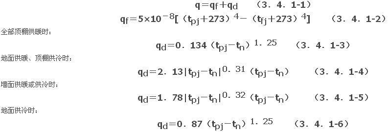
3.4.1 辐射面传热量应满足房间所需供热量或供冷量的需求。辐射面传热量应按下列公式计算:

式中:q——辐射面单位面积传热量(W/㎡);
qf——辐射面单位面积辐射传热量(W/㎡);
qd——辐射面单位面积对流传热量(W/㎡);
tpj——辐射面表面平均温度(℃);
tfj——室内非加热表面的面积加权平均温度(℃);
tn——室内空气温度(℃)。
条文说明
3.4.1 美国供暖制冷空调工程师协会ASHRAE在大量研究工作基础上提出了辐射传热量计算方法,计算原理清晰易懂,国内设计院多已采用,并已经过实际工程检验,认为可行,故本规程推荐采用此方法。条文中计算公式引自ASHRAE手册(2008年版)。辐射面向上传热量即辐射面向上的供热量或供冷量。
3.4.2 混凝土填充式热水辐射供暖地面向上供热量和向下传热量应通过计算确定。当辐射供暖地面与供暖房间相邻时,其单位地面面积向上供热量和向下传热量可按本规程附录B确定。
条文说明
3.4.2 附录B为按本规程第3.4.1条规定的方法计算得出的。由于篇幅所限,附录B列出了采用混凝土填充式热水供暖地面时,聚苯乙烯塑料板绝热层和发泡水泥绝热层上敷设PE-X管、PB管,以及铜管采用聚苯乙烯塑料板绝热层时的计算数据。其他管材可根据其实际导热系数参照选用。若绝热层采用其他绝热材料,可根据其热阻值参照选用。附录B给出的数据均为供暖地面与供暖房间相邻时的计算结果,不包括与土壤接触、与不采暖房间或与室外空气相邻的情况。
3.4.3 辐射供冷地面向上供冷量应根据地面构造、供冷管敷设间距、供回水温度、室内空气温度等通过计算确定。
条文说明
3.4.3 辐射供冷地面向上供冷量应根据地面构造、供冷管敷设间距、供回水温度、室内空气温度等不同,按本规程第3.4.1条给出的公式计算确定。表4为采用混凝土填充式辐射供冷地面时,某工况下计算得到的单位地面面积向上供冷量。

注:供冷量计算条件:填充层为50mm厚混凝土;绝热层为20mm厚聚苯乙烯塑料板;管材为PEX,管径ф20×2mm;平均水温17℃;室内空气温度26℃。
3.4.4 预制沟槽保温板、供暖板及毛细管网辐射表面向上供热量或供冷量,以及向下传热量应按产品检测数据确定。
条文说明
3.4.4 预制沟槽保温板、供暖板及毛细管网辐射供暖供冷表面与混凝土填充式供暖地面的构造不同,辐射表面内部传热规律也不尽相同。各生产企业因采用的材料、厚度及其铺设的均热层厚度不同等各种因素,传热量也不相同。因此应按各产品样本提供的测试数据确定辐射表面向上供热量或供冷量,以及向下传热量。
3.4.5 房间所需单位地面面积向上供热量或供冷量应按下列公式计算:

式中:q1——房间所需单位地面面积向上供热量或供冷量(W/㎡);
Q1——房间所需地面向上的供热量或供冷量(W);
Fr——房间内敷设供热供冷部件的地面面积(㎡);
β——考虑家具等遮挡的安全系数;
Q——房间热负荷或冷负荷(W);
Q2——自上层房间地面向下传热量(W)。
3.4.6 确定供暖地面向上供热量时,应校核地表面平均温度,确保其不高于本规程第3.1.3条规定的限值。地表面平均温度宜按下式计算:

式中:tpj——地表面平均温度(℃);
tn——室内空气温度(℃);
q——单位地面面积向上的供热量(W/㎡)。
条文说明
3.4.6 校核供暖地面地表面平均温度的近似公式是由ASHRAE手册提供的计算方法,经回归得到的。如果表面平均温度高于本规程第3.1.3条规定的限值,应改善建筑热工性能或设置其他辅助供暖设备,减少地面辐射供暖系统负担的热负荷,满足限值要求。
3.4.7 确定辐射面向上供冷量时,应校核辐射表面平均温度,确保其不低于本规程第3.1.4条规定的限值。顶棚辐射供冷表面平均温度可按式(3.4.7-1)计算,地面辐射供冷表面平均温度可按式(3.4.7-2)计算:

式中:tpj——辐射表面平均温度(℃);
tn——室内空气温度(℃);
q——单位辐射面积向上供冷量(W/㎡)。
条文说明
3.4.7 校核辐射表面平均温度的近似公式是根据ASHRAE手册提供的计算方法,经回归得到的。其中,地面辐射供冷多工况计算条件为:管材为PE-X,管径ф20×2mm;管间距分别为100mm、200mm、300mm、400mm、500mm;面层分别为瓷砖、塑料面层、木地板、地毯;聚苯乙烯塑料板绝热层厚度20mm;填充层为50mm厚混凝土;室内空气温度26℃;平均水温15℃~19℃。顶棚辐射供冷多工况计算条件为:填充层为20mm厚砂浆;管材为PE-X,管径ф14×1.5mm;管间距分别为100mm、200mm、300mm、400mm、500mm;聚苯乙烯塑料板绝热层厚度20mm;室内空气温度为26℃;平均水温15℃~19℃。
3.4.8 辐射供暖供冷房间热媒供热量或冷媒供冷量,应包括辐射面向上供热量或供冷量和向下传热量或向土壤的传热损失。
3.4.9 当辐射系统为冬季供暖和夏季供冷共用时,为了同时满足夏季供冷与冬季供暖的需要,应综合考虑房间冷热负荷和辐射面的供冷量与供热量。
3.5 水系统设计
3.5.1 集中供暖空调系统的水质及其保证措施应符合国家现行有关标准的要求。供暖板地面辐射供暖系统应设置脱气除污器。毛细管网辐射系统应独立设置系统,并设置脱气除污器。
条文说明
3.5.1 供暖板管径小易堵塞,设置脱气除污器以防止堵塞。毛细管网地面供暖系统管径则更小,为防止堵塞,规定毛细管网系统应与常规系统分开,独立设置,并设置脱气除污器。
3.5.2 户内系统的热媒温度、压力或资用压差等参数与热源不匹配时,应根据需要采取设置换热器或混水装置等措施。换热器或混水装置宜接近终端用户。
3.5.3 采用集中热源或冷源的住宅建筑,楼内供暖供冷系统设计应符合下列规定:
1 应采用共用立管的分户独立系统形式;
2 同一对立管宜连接负荷相近的户内系统;
3 一对共用立管在每层连接的户数不宜超过3户;
4 共用立管接向户内系统的供、回水管应分别设置关断阀,其中一个关断阀应具有调节功能;
5 共用立管和分户关断调节阀门,应设置在户外公共空间的管道井或小室内;
6 每户的分水器、集水器,以及必要时设置的热交换器或混水装置等入户装置宜设置在户内,并应远离卧室等主要功能房间;
7 采用分户热计量的系统应安装相应的热计量或热量分摊装置。
条文说明
3.5.3 住宅建筑中按户划分系统,可以方便地实现按户热计量;同一对立管连接负荷相近的户内系统,利于水力平衡;限制共用立管每层连接的户内系统数量,是为了管井内分户阀门、计量(分摊)设备等的设置和管理。接向户内系统的供、回管上设置具有关断功能的阀门,是物业管理和检修的需要。当难以实现“同一对立管连接负荷相近的户内系统”时,面积较小套型的分户热表和户内系统的阻力会较小,阀门的调节功能可适应水力平衡的要求,因此要求其中一个关断阀具有调节功能,可根据户内系统的控制方式采用相对应的平衡控制装置,满足水力平衡要求。
共用立管和可关断和调节的阀门设置在户外,符合《住宅设计规范》关于公共功能管道的设置要求和物业管理需要。
每户分水器、集水器等入口装置仅为本户使用,维修时可以入户,且可方便居民自己设定户内水系统水温和室内温度。
3.5.4 对设置独立冷热源的户内系统,循环水泵的流量、扬程应符合户内供暖供冷系统的要求,系统定压值应符合加热供冷部件的承压要求。
3.5.5 分支环路的设置应符合下列规定:
1 连接在同一分水器、集水器的相同管径的各环路长度宜接近;现场敷设加热供冷管时,各环路管长度不宜超过120m;当各环路长度差距较大时,宜采用不同管径的加热供冷管,或在每个分支环路上设置平衡装置;
2 每个主要房间应独立设置环路,面积小的附属房间内的加热供冷管、输配管可串联;
3 进深和面积较大的房间,当分区域计算热负荷或冷负荷时,各区域应独立设置环路;
4 不同标高的房间地面,不宜共用一个环路。
3.5.6 对于冬季供暖夏季供冷的地面辐射系统,卫生间等地面温度不宜过低的房间,应独立设置环路。
条文说明
3.5.6 卫生间等地面温度不宜过低的房间单独布置回路,使其能在供冷时关闭。
3.5.7 加热供冷管的敷设间距和供暖板的铺设面积,应根据房间所需供热量或供冷量、室内计算温度、平均水温、地面传热热阻等确定。
条文说明
3.5.7 混凝土填充式地面供暖系统可参照附录B确定;预制沟槽保温板、供暖板及毛细管网辐射系统应按产品测试数据确定。
3.5.8 加热供冷管距离外墙内表面不得小于100mm,与内墙距离宜为200mm~300mm。距卫生间墙体内表面宜为100mm~150mm。
3.5.9 现场敷设的加热供冷管应根据房间的热工特性和保证地面温度均匀的原则,并考虑管材允许的最小弯曲半径,采用回折型或平行型等布管方式。热负荷或冷负荷明显不均匀的房间,宜将高温管段或低温管段优先布置于房间热负荷或冷负荷较大的外窗或外墙侧。
条文说明
3.5.9 布管方式如图2至图4所示。
3.5.10 加热供冷管应按系统实际工作条件确定,并应符合本规程附录C的规定。
3.5.11 加热供冷管和输配管流速不宜小于0.25m/s。
条文说明
3.5.11 加热管和输配管的敷设是无坡度的,因此管内流速不宜小于0.25m/s,以保证空气能够被水流带走并在集水器处排除。住宅卫生间等一些流量较小的支环路,如不满足流速要求,可将2个房间串联以加大流量,或选择较小直径的管道。常用的水流速为(0.25~0.5)m/s。
3.5.12 输配管宜采用与供暖板内加热管相同的管材。
3.5.13 每个环路进、出水口,应分别与分水器、集水器相连接。分水器、集水器最大断面流速不宜大于0.8m/s。每个分水器、集水器分支环路不宜多于8路。每个分支环路供回水管上均应设置可关断阀门。
3.5.14 分水器前应设置过滤器;分水器的总进水管与集水器的总出水管之间宜设置清洗供暖系统时使用的旁通管,旁通管上应设置阀门。设置混水泵的混水系统,当外网为定流量时,应设置平衡管并兼作旁通管使用,平衡管上不应设置阀门。旁通管和平衡管的管径不应小于连接分水器和集水器的进出口总管管径。
条文说明
3.5.14、3.5.15 旁通管、平衡管及阀门等设置,可参考图5~图10所示。分水器、集水器上下位置,热计量装置设置在供水管或回水管,均可根据工程情况确定。
3.5.15 分水器、集水器上均应设置手动或自动排气阀。
条文说明
3.5.14、3.5.15 旁通管、平衡管及阀门等设置,可参考图5~图10所示。分水器、集水器上下位置,热计量装置设置在供水管或回水管,均可根据工程情况确定。
3.5.16 加热供冷管出地面与分水器、集水器连接时,其外露部分应加黑色柔性塑料套管。
3.5.17 辐射供冷用分水器、集水器表面应做防结露处理。
3.5.18 每个分支环路埋设部分不应设置连接件。
3.6 管道水力计算
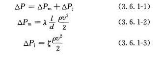
3.6.1 管道的压力损失可按下列公式计算:

式中:ΔP——加热管的压力损失(Pa);
ΔPm——摩擦压力损失(Pa);
ΔPj——局部压力损失(Pa);
λ——摩擦阻力系数;
d——管道内径(m);
l——管道长度(m);
ρ——水的密度(kg/m3);
υ——水的流速(m/s);
ζ——局部阻力系数。
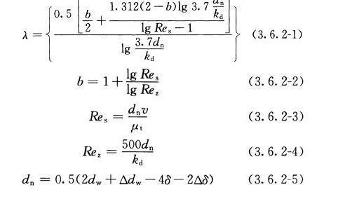
3.6.2 铝塑复合管及塑料管的摩擦阻力系数,可按下列公式计算:

式中:λ——摩擦阻力系数;
b——水的流动相似系数;
Res——实际雷诺数;
υ——水的流速(m/s);
μt——与温度有关的运动黏度(㎡/s);
Rez——阻力平方区的临界雷诺数;
kd——管子的当量粗糙度(m),对铝塑复合管及塑料管,kd=1×10-5(m);
dn——管子的计算内径(m);
dw——管外径(m);
Δdw——管外径允许误差(m);
δ——管壁厚(m);
Δδ——管壁厚允许误差(m)。
条文说明
3.6.2 该计算方法引自俄罗斯1999年出版的设计与施工规范《采用铝塑复合管供暖系统的设计与安装》。该方法是专门针对铝塑复合管制定的,其他塑料管材可参照计算。计算公式中引入了水的流动相似系数,使比摩阻公式适合于整个湍流区,同时管道内径计算公式考虑了管径与壁厚的制造公差,因此水力计算结果更加符合实际。
该方法还给出了铝塑复合管常用的局部阻力系数,为局部阻力的计算提供了条件。
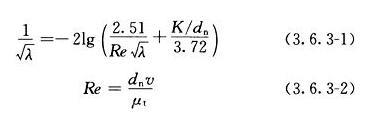
3.6.3 铜管的摩擦系数可按下式计算:

式中:λ——摩擦阻力系数;
Re——雷诺数;
dn——管子的计算内径(m);
K——管子的当量粗糙度(m),对铜管,K=1×10-5(m);
υ——水的流速(m/s);
μt——与温度有关的运动黏度(㎡/s)。
3.6.4 塑料管及铝塑复合管单位长度摩擦压力损失可按本规程附录D选用。
3.6.5 供暖板、毛细管网的压力损失应根据产品检测报告确定。
条文说明
3.6.6 加热供冷管和供暖板输配管的局部压力损失应通过计算确定,其局部阻力系数可按本规程附录D选用。
3.6.7 热水地面辐射供暖系统分水器、集水器环路的总压力损失不宜大于30kPa。
条文说明
3.6.8 对于冬季供暖夏季供冷的辐射供暖供冷系统,水系统设计时,应以夏季供冷工况确定的水流量进行水力计算。
3.7 加热电缆系统的设计
3.7.1 加热电缆热线间距不宜小于100mm。加热电缆热线与外墙内表面距离不得小于100mm,与内墙表面距离宜为200mm~300mm。
条文说明
3.7.1 下限建议值是出于安全需要,避免间距过小,出现搭接现象。
3.7.2 加热电缆长度和布线间距应按下列公式计算:

式中:L——按加热电缆产品规格选定的电缆总长度(m);
δ——向下传热量占加热电缆供热功率的比例,根据地面构造按表3.7.2取值;
β——考虑家具等遮挡的安全系数;
Q1——房间所需地面向上的散热量(W),按本规程第3.4.5条计算确定;
Px——加热电缆额定电阻时的线功率(W/m),根据加热电缆产品规格选取;
S——加热电缆布线间距(mm);
Fr——敷设加热电缆的地面面积(㎡)。

注:计算条件为:加热电缆外表面温度为45℃、敷设间距为200mm;采用聚苯乙烯泡沫塑料板时,绝热层厚度为20mm,填充层厚度为40mm;采用发泡水泥时,绝热层厚度为40mm,填充层厚度为35mm。
3.7.3 每个房间宜独立设置加热电缆回路。当房间所需供热功率和加热电缆总长度超过产品规格中单根加热电缆的最大总功率或总长度时,应将电缆分设成2个或多个独立回路。每个回路加热电缆的最大总功率或总长度确定时,还应符合下列规定:
1 不宜超过所选温控器的额定工作电流;
2 不应超过产品规格限制。
3.7.4 加热电缆宜采用平行型布置。
条文说明
3.7.4 加热电缆的布置局限性较低温热水系统小,低温热水系统由于水温随行程而变化,需要尽可能将高温段设在热负荷较大的区域,而加热电缆由于线功率比较恒定,不必考虑温度差别的影响;同时加热电缆有单导线和双导线形式,单导线安装时加热电缆必须形成回路,两端与电源连接,双导线产品本身自成回路,只需一端连接电源,布置更加灵活。加热电缆布置方式如图11~图13所示。
3.8 温控与热计量
3.8.1 新建住宅热水辐射供暖系统应设置分户热计量和室温调控装置。
条文说明
3.8.1 强制性条文。采用热水辐射供暖系统的住宅,应设分户热计量装置,并应符合《供热计量技术规程》JGJ 173的规定。现有的辐射供暖工程出现了大量过热的现象,既不舒适又浪费了能源;为避免出现过热,需要温度调控装置进行调节,以满足使用要求。因此本规程要求设置室内温度调控装置。对于不能采用室温传感器时,如大堂中部等,可采用自动地面温度优先控制。
3.8.2 辐射供暖系统应能实现气候补偿,自动控制供水温度。辐射供冷系统宜能实现气候补偿,自动控制供水温度。
条文说明
3.8.2 国家现行标准《严寒和寒冷地区居住建筑节能设计标准》JGJ 26及《供热计量技术规程》JGJ 173都强制规定热源和热力站应设置供热量控制装置。气候补偿器是供热量自动控制装置的一种形式,比较简单和经济,主要用在热力站。它能够在保持室内温度的前提下,根据室外气候变化自动调节供热出力,从而实现按需供热,节能效果明显。气候补偿器还可以根据需要设成分时控制模式,如针对办公建筑,可以设定不同时间段的不同室温需求,在上班时间设定正常供暖,在下班时间设定值班供暖。结合气候补偿器的系统调节作法比较多,也比较灵活,监测的对象除了用户侧供水温度之外,还可能包含回水温度和代表房间室内温度,控制的对象可以是热源侧的电动调节阀,也可以是水泵的变频器。
对于辐射供冷系统,采用气候补偿联合控制,也会起到更好节能效果。
3.8.3 地面辐射供暖供冷水系统室温控制可采用分环路控制和总体控制两种方式,自动控制阀宜采用电热式控制阀,也可采用自力式温控阀和电动阀,并应符合下列规定:
1 当采用分环路控制时,应在分水器或集水器处的各个分支管上分别设置自动控制阀,控制各房间或区域的室内空气温度;
2 当采用总体控制时,应在分水器或集水器总管上设置自动控制阀,控制整个用户或区域的室内空气温度。
条文说明
3.8.3 也有将温度传感器设在总回水管上,通过感知回水温度间接控制室温的做法,控制系统比较简单,但地面被遮盖等情况会使回水温度升高,同时回水温度为各支路回水混合后的总体反映,因此回水温度不能直接和正确反映室温,会形成室温较高的假象,控制相对不准确。因此推荐将温度控制器设在被控温的房间或区域内,以房间温度作为控制依据。对于不能感受到所在区域的空气温度,如一些开敞大堂中部,可采用地面温度作为控制依据。
分环路控制是指对每个房间或功能区域分别进行温度控制,达到对每个房间或功能区域温度控制的目的。
分环路控制主要以电动控制方式为主,在每个房间或功能区域分别安装房间温控器,并与分集水器各个环路上的热电执行器相连,对每个环路水量进行开关控制。控制阀可内置于集水器中(见图14),也可外接于集水器各环路上(见图15)。

图14 分环路控制(控制阀内置于集水器中)
分环路控制采用自力式温控阀时,可将各环路加热管在房间内从地面引高至墙面一定高度,安装控制阀,控制阀的局部高点处应有排气装置。
总体控制是指在典型房间或典型区域安装房间温控器,与分水器前端控制阀相连,通过设定和调节典型房间或区域的温度,来达到控制整个户内温度基本均衡的目的。总体控制主要以电动控制方式为主。总体控制示意图见图16。

总体控制也可采用远程设定式自力式温控阀,但不可采用内置温包型自力式温控阀。因为控制阀直接安装在分水器进口的总管上,恒温阀头感受的是分水器处的较高温度,很难感知室温,因此一般不予采用。
热电阀是依靠驱动器内被电加热的温包膨胀产生的推力推动阀杆关闭流道,信号来源于室内温控器。热电阀相对于电动阀,其流通能力更适合于小流量的地面采暖系统使用,且具有无噪声、体积小、耗电量小、使用寿命长、设置较方便等优点,因此在以住宅为主的地面供暖系统中推荐使用,分环路控制和总体控制都可以使用。
总体控制时,应核定热电阀的关闭压差的大小是否能满足系统工况要求。热电阀的关闭压差不宜小于1.5bar,必要时需采用自力式压差阀保证其正常动作,否则出现阀门关闭不上的情况。而自力式温控阀的关闭压差较小,在做总体控制时,建议配套自力式压差阀一同使用保证其正常关闭。
3.8.4 当采用加热电缆辐射供暖时,每个独立加热电缆辐射供暖环路对应的房间或区域应设置温控器。
条文说明
3.8.4 有特殊要求的房间,温控器可以与定时时钟区域编程器串联连接,实现智能化控制;
负荷较小的房间,当仅需一根电缆就能满足要求时,可采用一个温控器;
负荷较大的房间,需敷设两根或两根以上电缆时,可采用温控器和接触器相结合的控制方式;
几个温度相同的房间统一进行温度控制时,可采用温控器和接触器相结合的控制方式。
3.8.5 温控器设置及选型应符合下列规定:
1 室温型温控器应设置在附近无散热体、周围无遮挡物、不受风直吹、不受阳光直晒、通风干燥、周围无热源体、能正确反映室内温度的位置,且不宜设在外墙上;
2 在需要同时控制室温和限制地表面温度的场合,应采用双温型温控器;
3 当加热电缆辐射供暖系统仅负担一部分供暖负荷或作为值班供暖时,可采用地温型温控器;
4 对开放大空间场所,室温型温控器应布置在所对应回路的附近,当无法布置在所对应的回路附近时,可采用地温型温控器;
5 地温型温控器的传感器不应被家具、地毯等覆盖或遮挡,宜布置在人员经常停留的位置且在加热部件之间;
6 对浴室、带沐浴设备的卫生间、游泳池等潮湿区域,室温型温控器的防护等级和设置位置应符合国家现行相关标准的要求;当不能满足要求时,应采用地温型温控器;
7 温控器的控制器设置高度宜距地面1.4m,或与照明开关在同一水平线上。
条文说明
3.8.5 双温型温控器同时感应室温探测器和地面温度探测器,做对比信号输出控制。地温感温探头在安装前,应对探头进行外观检测,然后先铺设ф16的预埋管,并用塑料捆扎绳固定住,再将感温探头设在预埋管里;最后将预埋管管道末端封堵。
3.8.6 辐射供冷系统应设置防止辐射面结露的控制装置,并应符合下列规定:
1 住宅建筑宜采用分室多点控制,在温湿度最不利的房间及变化最大的房间应分别设置;公共建筑宜选用分区控制方式;
2 防结露控制可采用露点传感器直接探测露点的方法,也可采用温湿度传感器探测并计算出露点的方法;
3 采用露点探测方法时,埋设点应靠近最易结露的位置,传感器可固定在冷水管表面,也可埋设在辐射体表面;
4 采用温湿度探测方法时,安装位置不宜靠近门窗等结露风险较大的区域。
条文说明
3.8.6 采用露点探测方法时,要考虑探测露点和真实露点间存在一定的滞后性,经修正计算后,确定供水温度或采取通断水措施。
采用温湿度探测方法时,安装保存运输调试运行过程中,注意保护不应使温湿度器结露,而引起的传感器失调。
3.8.7 壁挂炉辐射供暖系统宜采用混水装置,并宜采用室内温控、循环水泵及壁挂炉联动的整体控制方式。
条文说明
3.8.7 实现室内温控、超温保护、系统节能为一体的整体控制。
3.9 电气设计
3.9.1 配电设计应符合下列规定:
1 电度表的设置应符合当地供电部门规定并满足节能管理的要求;
2 当加热电缆辐射供暖系统用电需要单独计费时,该系统的供电回路应单独设置,并应独立设置配电箱和电度表;
3 当加热电缆辐射供暖系统与其他用电设备合用配电箱时,应分别设置回路;
4 加热电缆辐射供暖系统配电回路应装设过载、短路及剩余电流保护器。剩余电流保护器脱扣电流应为30mA。
条文说明
3.9.1 有一些地区实行峰谷电价,有些地区对冬季供暖电耗有优惠政策,在这些情况下,电热供暖系统回路需单独设置和计费,以适应优惠政策。
电热系统负荷为季节性负荷,与其他照明、电力等负荷分开回路配电,便于设备停运、检修和独立控制。
3.9.2 加热电缆辐射供暖系统应采用电压等级为220V/380V的交流供电方式。
3.9.3 加热电缆辐射供暖系统应做等电位连接,且等电位连接线应与配电系统的地线连接。
条文说明
3.9.3 强制性条文。
用于辐射供暖的加热电缆系统必须做到等电位连接,且等电位连接线应与配电系统的PE线连接,才能保障加热电缆辐射供暖运行的安全性。
3.9.4 当加热电缆辐射供暖系统配电导线设计时,应合理布置温控器、接线盒等位置,减少连接管线,并应符合下列规定:
1 导线应采用铜芯导线;导体截面应按敷设方式、环境条件确定,且导体载流量不应小于预期负荷的最大计算电流和按保护条件所确定的电流;
2 固定敷设的电源线的最小芯线截面不应小于2.5mm2;
3 电气线路的敷设方式应符合安全要求,导线穿管应满足国家现行相关标准的要求,与加热电缆系统的设备或元件连接的部分宜采用柔性金属导管敷设,其长度应满足国家现行相关标准的要求。
条文说明
3.9.4 对配电导线的要求不包括温控开关或接触器出线端配至每组加热电缆系统设备的导线,以及温度传感器的控制线,这部分线缆由设备供应商配套提供,其规格应满足相关产品标准要求。
3.9.5 温控器的工作电流不得超过其额定工作电流;当所控制回路的工作电流大于温控器的额定工作电流时,可采用温控器与接触器等其他控制设备相结合的形式实现控制功能。
3.9.6 热水系统电驱动式自动调节阀和户内混水泵等用电设备的电气设计应符合下列规定:
1 电源回路应设置过载、短路及剩余电流保护器;
2 当采用220V或380V交流电压为热水系统用电设备供电时,不得将相关电气线路、接线端子等部分外露;用电设备外壳等外露可导电的部分,均应进行保护接地;
3 当采用24V交流电压为热水供暖系统用电设备供电时,其电气元件、线路应与220V交流电压等级的电器元件、线路相互隔离。
3.9.7 地温传感器穿线管、自动调节阀电源穿线管等均应选用硬质套管。
材 料
4.1 一般规定
4.1.1 辐射供暖供冷系统中所使用的材料,应根据系统工作温度、系统工作压力、建筑荷载、建筑设计寿命、现场防水、防火以及施工性能等要求,经综合比较后确定。
条文说明
4.1.1 施工性能不仅指安装施工的难易,主要应考虑在安装时或安装后材料可能产生的变化及对工程可能产生的潜在影响等。如加热管受到弯曲,在弯曲部位会产生较大内应力,对其使用寿命产生影响。
4.1.2 辐射供暖供冷系统中所使用的材料均应符合国家现行相关标准的规定。
条文说明
4.1.2 辐射供暖供冷系统中所用材料相关产品标准包括:
绝热层和填充层材料:《绝热用模塑聚苯乙烯泡沫塑料》GB/T 10801。1、《绝热用挤塑聚苯乙烯泡沫塑料》GB/T 10801。2、《通用硅酸盐水泥》GB 175;
管材:《冷热水系统用热塑性塑料管材和管件》GB/T 18991、《热塑性塑料管材通用壁厚表》GB/T 10798、《冷热水用交联聚乙烯(PE-X)管道系统》GB/T 18992、《冷热水用聚丁烯(PB)管道系统》GB/T 19473、《冷热水用无规共聚聚丁烯管材及管件》CJ/T 372、《冷热水用耐热聚乙烯(PE-RT)管道系统》GB/T 28799、《冷热水用聚丙烯管道系统》GB/T 18742、《铝塑复合压力管》GB/T 18997、《无缝铜水管和铜气管》GB/T 18033等;
加热电缆:《额定电压300/500V生活设施加热和防结冰用加热电缆》GB/T 20841-2007/IEC 60800:1992等; 温控器:《温度指示控制仪》JJG 874、《家用和类似用途电自动控制器 第十部分:温度敏感控制器的特殊要求》GB 14536.10等;
水路自动调节阀:《家用和类似用途电自动控制器 第一部分:通用要求》GB 14536.1、《家用和类似用途电自动控制器:电动水阀的特殊要求及机械要求》GB 14536.9、《家用和类似用途电自动控制器 电起动器的特殊要求》GB 14536.16、《散热器恒温控制阀》JG/T 195等。
4.2 绝热层材料
4.2.1 绝热层材料应采用导热系数小、难燃或不燃,具有足够承载能力的材料,且不应含有殖菌源,不得有散发异味及可能危害健康的挥发物。
4.2.2 辐射供暖供冷工程中采用的聚苯乙烯泡沫塑料板材主要技术指标应符合表4.2.2的规定。

注:1)模塑Ⅱ型密度范围在20kg/m3~30kg/m3之间,Ⅲ型密度范围在30kg/m3~40kg/m3之间;
2)W200为不带表皮挤塑材料,X150为带表皮挤塑材料;
3)压缩强度是按现行国家标准《硬质泡沫塑料压缩性能的测定》GB/T 8813要求的试件尺寸和试验条件下相对形变为10%的数值;
4)导热系数为25℃时的数值;
5)模塑断裂弯曲负荷或弯曲变形有一项能符合指标要求,熔结性即为合格。
条文说明
4.2.2 表中数据摘自《绝热用模塑聚苯乙烯泡沫塑料》GB/T 10801。1-2002和《绝热用挤塑聚苯乙烯泡沫塑料》GB/T 10801。2-2002。国家标准《建筑材料及制品燃烧性能分级》GB 8624-2006已经对材料的燃烧性能进行了新的分级,但由于对应聚苯乙烯泡沫塑料的标准还未进行修改,仍引用其燃烧性能的数据。
从表4.2.2可看出,挤塑材料绝热性等指标均好于模塑材料,宜优先选用,但价格较高。采用预制沟槽保温板的供暖地面上部无填充层均衡地面压力,因此规定采用密度和压缩强度较高的材料。
4.2.3 预制沟槽保温板及其金属均热层的沟槽尺寸应与敷设的加热部件外径吻合,且应符合下列规定:
1 保温板总厚度不应小于表4.2.3的要求;
2 均热层最小厚度宜满足表4.2.3的要求,并应符合下列规定:
1)均热层材料的导热系数不应小于237W/(m·K);
2)加热电缆铺设地砖、石材等面层时,均热层应采用喷涂有机聚合物的,具有耐砂浆性的防腐材料。

注:1 地砖等面层,指在敷设有加热管或加热电缆的保温板上铺设水泥砂浆找平层后与地砖、石材等粘接的做法;木地板面层,指不需铺设找平层,直接铺设木地板的做法。
2 单层均热层,指仅采用带均热层的保温板,加热管或加热电缆上不再铺设均热层时的最小厚度;双层均热层,指采用带均热层的保温板,加热管或加热电缆上再铺设一层均热层时每层的最小厚度。
条文说明
4.2.3 为尽量增加加热管或加热电缆向上的有效散热量,且不影响木地板的直接铺设,规定预制沟槽保温板及其均热层的沟槽尺寸应与敷设的加热管或加热电缆外径吻合。
限定保温板总厚度是为了限定最薄处最小厚度,以控制向下的传热损失。
限定均热层最小厚度为0.1mm,主要是为了保证均热层的牢固性。
均热层要求其导热效果好,一般采用薄铝板或铝箔,因此采用其导热系数作为金属材料的最小限值。
水泥砂浆找平层对均热层有腐蚀作用,参照预制轻薄供暖板的产品标准,要求采用防腐均热层。
4.2.4 发泡水泥绝热层材料应符合下列规定:
1 水泥宜用硅酸盐水泥、普通硅酸盐水泥、复合硅酸盐水泥;当条件受限制时,可采用矿渣硅酸盐水泥;水泥抗压强度等级不应低于32.5;
2 发泡水泥绝热层材料的技术指标应符合表4.2.4的规定。

4.2.5 当采用其他绝热材料时,其技术指标应按本规程表4.2.2的规定选用同等效果的绝热材料。
4.3 填充层材料
4.3.1 豆石混凝土填充层材料强度等级宜为C15,豆石粒径宜为5mm~12mm。
4.3.2 水泥砂浆填充层材料应符合下列规定:
1 应选用中粗砂水泥,且含泥量不应大于5%;
2 宜选用硅酸盐水泥或矿渣硅酸盐水泥;
3 水泥砂浆体积比不应小于1:3;
4 强度等级不应低于M10。
4.4 水系统材料
4.4.1 加热供冷管应满足设计使用寿命、施工和环保性能要求,并应符合下列规定:
1 加热供冷管的使用条件应满足现行国家标准《冷热水系统用热塑性塑料管材和管件》GB/T 18991中的4级;
2 加热供冷管的工作压力不应小于0.4MPa;
3 管道质量必须符合国家现行相关标准的规定;加热供冷管的物理力学性能应符合本规程附录E的规定;
4 加热管宜使用带阻氧层的管材。
4.4.2 供暖板应符合产品标准的规定,其输配管应符合加热管的相关规定。
条文说明
4.4.2、4.4.3 预制轻薄供暖板及采暖空调用冷、热水分集水器装置相关产品标准正在编制中。
4.4.3 分水器、集水器应符合产品标准的规定。
4.5 加热电缆辐射供暖系统材料和温控设备
4.5.1 辐射供暖用加热电缆产品必须有接地屏蔽层。
条文说明
4.5.1 强制性条文。屏蔽接地是为了保证人身安全,防止人体触电和受到较强的电磁辐射。
4.5.2 加热电缆冷、热线的接头应采用专用设备和工艺连接,不应在现场简单连接;接头应可靠、密封,并保持接地的连续性。
条文说明
4.5.2 加热电缆的冷线和热线接头为其薄弱环节,为满足至少50年的非连续正常使用寿命,加热电缆接头应做到安全可靠。为此,要求冷、热线的接头应由专用设备和工艺方法加工,不允许在现场简单连接,以保证其连接的安全性能、机械性能和使用寿命达到要求。连接方法除保证牢固可靠外,还应做好密封,避免接头处渗水漏电;此外,连接时还必须保持接地的连续性,确保用电安全。
4.5.3 加热电缆外径不宜小于5mm。
条文说明
4.5.3 加热电缆作为系统的重要组成部分,是决定该系统安全、舒适和使用寿命的关键,从系统舒适和安全角度考虑,应采用低温加热电缆作为加热元件。通常的电缆外表面温度限定低于65℃,发热量的大小就取决于电缆外径(决定了外表面积大小)了,而电缆的线功率限定低于20W/m,其外径就应近似为6mm;此外,电缆外径还与产品材料、性能和工艺相关。从目前的应用情况看,国产加热电缆外径均不小于6mm,国外线径5mm的加热电缆也有应用。近十几年已经推出线功率较小,线径更细的高品质热缆,线径仅2.5mm。因此本规程对电缆外径建议不小于5mm。
4.5.4 加热电缆的型号和商标应有清晰标志,冷、热线接头位置应有明显标志。
条文说明
4.5.4 加热电缆的检测应为冷热线以及接头为一体检测,还应对接头位置设明显标志,予以特别注意。加热电缆的标志包括商标和电缆型号。
4.5.5 加热电缆应经国家质量监督检验部门检验合格。产品的电气安全性能、机械性能应符合本规程附录F的规定。
条文说明
4.5.5 目前国内还没有针对地面辐射供暖系统中使用的加热电缆生产的标准,市场上的加热电缆多数为国外进口产品,也有引进技术国产化的电缆,均以《额定电压300/500V生活设施加热和防结冰用加热电缆》GB/T 20841-2007/IEC 60800:1992作为检验标准,具体内容见附录F,附录F中列出的内容和技术指标比较IEC 60800原文已经简化。检测电缆的机构必须具有国家认可的检验资质。
4.5.6 温控器应符合国家相关标准,外观不应有划痕,应标记清晰、面板扣合开启自如、温度调节部件使用正常。
条文说明
4.5.6、4.5.7 温控器、自动调节阀产品标准见本规程第4.1.2条的条文说明。
4.5.7 热水地面供暖温度控制用自动调节阀应符合相关产品标准的规定。
施 工
5.1 一般规定
5.1.1 施工单位应具有相应的施工资质,工程质量验收人员应具备相应的专业技术资格。
5.1.2 施工图深化设计单位应具有相应的设计资质,修改设计应有设计单位出具的设计变更文件,并经原工程设计单位批准后方可施工。
5.1.3 施工安装前所具备条件应符合下列规定:
1 施工组织设计或施工方案应已批准,采用的技术标准和质量控制措施文件应齐全并已完成技术交底;
2 材料进场检验应已合格并满足安装要求;
3 施工现场应具有供水或供电条件,应有储放材料的临时设施;
4 土建专业应已完成墙面粉刷(不含面层),外窗、外门应已安装完毕,地面应已清理干净,卫生间应做完闭水试验并经过验收;
5 相关电气预埋等工程应已完成。
条文说明
5.1.3 本条规定了施工前应具备的必要条件,如不具备这些条件,不能进行施工。
5.1.4 加热供冷部件的运输、存储应符合下列规定:
1 应进行遮光包装后运输,不得裸露散装;
2 运输、装卸和搬运时,应小心轻放,不得抛、摔、滚、拖;
3 不得曝晒雨淋,宜储存在温度不超过40℃且通风良好和干净的库房内;
4 应避免因环境温度和物理压力受到损害,并应远离热源。
条文说明
5.1.4 本条主要对加热供冷部件的运输、装卸和储存的条件作了原则性的规定,目的是防止在这些过程中损坏材料。
5.1.5 施工过程中应防止油漆、沥青或其他化学溶剂接触污染加热供冷部件的表面。
条文说明
5.1.5 作为加热供冷管,无论PE-X、PB或PE-RT,它们虽然都具有较强的耐酸碱腐蚀的能力,但是,油漆、沥青和化学溶剂对它们有较强的破坏作用,这种情况对于加热电缆同样存在,因此必须严格防止接触这类物质。
5.1.6 施工过程中,加热电缆间有搭接时,严禁电缆通电。
条文说明
5.1.6 强制性条文。目的在于保护加热电缆,以免搭接时温度过高损坏电缆。
5.1.7 施工时不宜与其他工种交叉施工作业,所有地面留洞应在填充层施工前完成。
5.1.8 辐射面应平整、干燥、无杂物、无积灰。
5.1.9 施工过程中,加热供冷部件敷设区域,严禁穿凿、穿孔或进行射钉作业。
条文说明
5.1.9 强制性条文。目的在于保护加热供冷管、加热电缆等加热供冷部件,免遭损坏。
5.1.10 施工的环境温度不宜低于5℃;在低于0℃的环境下施工时,现场应采取升温措施。
条文说明
5.1.10 塑料管和加热电缆的普遍特性是随着环境温度的降低,其韧性变差,抗弯曲性能变坏,因此很难施工。同时,当环境温度低于5℃时,混凝土填充层的施工和养护质量也较难保证。当然,这也可以通过采取某些技术措施来确保混凝土的施工质量,但工程造价将相应增加,非万不得已不宜这么做。
5.1.11 施工结束后应绘制竣工图,并应准确标注加热供冷部件敷设位置及地温传感器埋设地点。
5.2 施工方案及材料、设备检查
5.2.1 施工单位应编制施工组织设计或施工方案,方案经批准后方可施工。
5.2.2 施工组织设计或施工方案应包括下列内容:
1 工程概况;
2 施工节点图、原始工作面至面层的剖面图、伸缩缝的位置等;
3 主要材料、设备的性能技术指标、规格、型号及保管存放措施;
4 施工工艺流程及各专业施工时间计划;
5 施工质量控制措施及验收标准,包括绝热层铺设、加热供冷部件安装、填充层铺设、面层铺设、分水器和集水器施工质量,水压试验(电阻测试和绝缘测试),隐蔽前、后综合检查,环路、系统试运行调试和竣工验收等;
6 施工进度计划、劳动力计划;
7 安全、环保、节能技术措施。
条文说明
5.2.2 施工组织设计或施工方案中应包括基本信息和涉及安全、环保及其他信息,工程概况需包括工程名称、地点、层数、面积、工程量、工期及现场施工条件等。
5.2.3 辐射供暖供冷系统所使用的主要材料、设备组件、配件、绝热材料必须具有质量合格证明文件,其性能技术指标及规格、型号应符合国家现行有关标准和设计文件的规定,并具有国家授权机构提供的有效期内的检验报告。进场时应做检查验收并经监理工程师核查确认。
5.2.4 管材及管件、分水器和集水器及其连接件进场前应对其外观损坏等进行现场复验。
5.2.5 加热供冷管应符合下列规定:
1 管道内外表面应光滑、平整、干净,不应有可能影响产品性能的明显划痕、凹陷、气泡等缺陷;
2 管径及壁厚应符合国家现行有关标准和设计文件的规定。
5.2.6 分水器、集水器及其连接件应符合下列规定:
1 分水器、集水器材料宜为铜质,应包括分、集水干管、主管关断阀或调节阀、泄水阀、排气阀、支路关断阀或调节阀和连接配件等;
2 内外表面应光洁,不得有裂纹、砂眼、冷隔、夹渣、凹凸不平及其他缺陷。表面电镀的连接件色泽应均匀,镀层应牢固,不得有脱镀的缺陷;
3 金属连接件间的连接和过渡管件与金属连接件间的连接密封应符合现行国家标准《55°密封管螺纹》GB/T 7306的规定;永久性的螺纹连接可使用厌氧胶密封粘接;可拆卸的螺纹连接可使用厚度不超过0.25mm的密封材料密封连接;
4 铜制金属连接件与管材之间的连接结构形式宜采用卡套式、卡压式或滑紧卡套冷扩式夹紧结构。
条文说明
5.2.6 分水器、集水器为管道系统的分路装置,设有排气阀、泄水阀及关断阀等,属重要部件,应按设计要求进行检查。
5.2.7 预制沟槽保温板、供暖板和毛细管网进场后,应对辐射面向上供热量或供冷量及向下传热量进行复验;加热电缆进场后,应对辐射面向上供热量及向下传热量进行复验。复验应为见证取样送检。每个规格抽检数量不应少于一个。检验方法应符合本规程附录G的规定。
5.2.8 阀门、分水器、集水器组件安装前应做强度和严密性试验,并应符合下列规定:
1 试验应在每批数量中抽查10%,且不得少于1个;对安装在分水器进口、集水器出口及旁通管上的旁通阀门应逐个作强度和严密性试验,试验合格后方可使用。
2 强度试验压力应为工作压力的1.5倍,严密性试验压力应为工作压力的1.1倍;强度和严密性试验持续时间应为15s,其间压力应保持不变,且壳体、填料及阀瓣密封面应无渗漏。
5.3 绝热层的铺设
5.3.1 铺设绝热层的原始工作面应平整、干燥、无杂物,边角交接面根部应平直且无积灰现象。
条文说明
5.3.1 地面平整与否,会影响到绝热层的铺设质量和加热供冷部件的安装质量。如不平整度较大,应由建筑公司用适当办法找平,不能用松散的砂粒找平。
5.3.2 泡沫塑料类绝热层、预制沟槽保温板、供暖板的铺设应平整,板间的相互接合应严密,接头应用塑料胶带粘接平顺。直接与土壤接触或有潮湿气体侵入的地面应在铺设绝热层之前铺设一层防潮层。
条文说明
5.3.2 本条规定了绝热层的铺设要求。绝热层接合应严密,多层绝热层要错缝铺放。
5.3.3 在铺设辐射面绝热层的同时或在填充层施工前,应由供暖供冷系统安装单位在与辐射面垂直构件交接处设置不间断的侧面绝热层,侧面绝热层的设置应符合下列规定:
1 绝热层材料宜采用高发泡聚乙烯泡沫塑料,且厚度不宜小于10mm;应采用搭接方式连接,搭接宽度不应小于10mm;
2 绝热层材料也可采用密度不小于20kg/m3的模塑聚苯乙烯泡沫塑料板,其厚度应为20mm,聚苯乙烯泡沫塑料板接头处应采用搭接方式连接;
3 侧面绝热层应从辐射面绝热层的上边缘做到填充层的上边缘;交接部位应有可靠的固定措施,侧面绝热层与辐射面绝热层应连接严密。
条文说明
5.3.3 采用地面供暖时,与地面相接处的墙内表面温度会升高,为了减少无效热损失和相邻用户之间的传热量,同时考虑施工方便,规定与内外墙、柱及过门等交接处伸缩缝宽度不宜小于10mm。
5.3.4 发泡水泥绝热层的施工现场应具备下列设备:
1 平整发泡水泥绝热层和水泥砂浆填充层表面的装置;
2 适应不同工艺特点的专用搅拌机;
3 活塞式泵或挤压式泵,或其他可满足要求的发泡水泥或水泥砂浆输送泵。
5.3.5 浇注发泡水泥绝热层之前的施工准备应符合下列规定:
1 对设备、输送泵及输送管道进行安全性检查;
2 根据现场使用的水泥品种进行发泡剂类型配方设计后方可进行现场制浆;
3 在房间墙上标记出发泡水泥绝热层浇筑厚度的水平线。
5.3.6 发泡水泥绝热层现场浇筑宜采用物理发泡工艺,并应符合下列规定:
1 施工浇筑中应随时观察检查浆料的流动性、发泡稳定性,并应控制浇筑厚度及地面平整度;发泡水泥绝热层自流平后,应采用刮板刮平;
2 发泡水泥绝热层内部的孔隙应均匀分布,不应有水泥与气泡明显的分离层;
3 当施工环境风力大于5级时,应停止施工或采取挡风等安全措施;
4 发泡水泥绝热层在养护过程中不得振动,且不应上人作业。
条文说明
5.3.6 发泡水泥现场浇筑有物理发泡和化学发泡两种工艺流程:
1 物理发泡工艺流程
2 化学发泡工艺流程
5.3.7 发泡水泥绝热层应在浇筑过程中进行取样检验;宜按连续施工每50 000㎡作为一个检验批,不足50 000㎡时应按一个检验批计。
5.3.8 预制沟槽保温板铺设应符合下列规定:
1 可直接将相同规格的标准板块拼接铺设在楼板基层或发泡水泥绝热层上;
2 当标准板块的尺寸不能满足要求时,可用工具刀裁下所需尺寸的保温板对齐铺设;
3 相邻板块上的沟槽应互相对应、紧密依靠。
5.3.9 供暖板及填充板铺设应符合下列规定:
1 带木龙骨的供暖板可用水泥钉钉在地面上进行局部固定,也可平铺在基层地面上;填充板应在现场加龙骨,龙骨间距不应大于300mm,填充板的铺设方法与供暖板相同;
2 不带龙骨的供暖板和填充板可采用工程胶点粘在地面上,并在面层施工时一起固定;
3 填充板内的输配管安装后,填充板上应采用带胶铝箔覆盖输配管。
条文说明
5.3.9 供暖板采用聚苯乙烯类泡沫塑料材质时,均设置龙骨,采用硬度很大的其他泡沫塑料材质时,一般不配龙骨。用钉子固定比较结实牢靠,有条件时宜采用,但需保证板的伸缩需求。地面下垫层内有其他管道时,应避开管道的位置以防钉坏管道。
填充板安装输配管后采用带胶铝箔覆盖,是为了使地面传热均匀。
5.4 加热供冷管系统的安装
5.4.1 加热供冷管应按设计图纸标定的管间距和走向敷设,加热供冷管应保持平直,管间距的安装误差不应大于10mm。加热供冷管敷设前,应对照施工图纸核定加热供冷管的选型、管径、壁厚,并应检查加热供冷管外观质量,管内部不得有杂质。加热供冷管安装间断或完毕时,敞口处应随时封堵。10-6
条文说明
5.4.1 本条贯彻了必须按照设计图纸施工的基本要求,旨在确保热水地面辐射供暖系统的供暖效果。管间距误差不大于10mm,实践证明是可以做到的。为了避免安装好后,一旦发现问题而引起返工,要求安装前作详细检查。
5.4.2 加热供冷管及输配管切割应采用专用工具,切口应平整,断口面应垂直管轴线。
条文说明
5.4.2 管道切割不好,断口不平整,与管轴线不垂直,都会影响管道的连接质量,造成渗漏或通过截面减小,为此,提出了规范化的操作要求和质量标准。
5.4.3 加热供冷管及输配管弯曲敷设时应符合下列规定:
1 圆弧的顶部应用管卡进行固定;
2 塑料管弯曲半径不应小于管道外径的8倍,铝塑复合管的弯曲半径不应小于管道外径的6倍,铜管的弯曲半径不应小于管道外径的5倍;
3 最大弯曲半径不得大于管道外径的11倍;
4 管道安装时应防止管道扭曲;铜管应采用专用机械弯管。
条文说明
5.4.3 加热供冷管、输配管应做到自然释放,不允许出现扭曲现象,以免管道处于非正常受力状态,影响加热供冷管的使用寿命。管道允许最小弯曲半径与安装的环境温度有关,且弯曲半径过小,会造成机械损伤,以及弯处出现“死折”,使水流不通畅。平行型布置的管间距决定了加热供冷管所需的最大弯曲半径,当不满足最小弯曲半径限制时可采用回折型布置,在中心区较小范围内,因弯曲半径的限制可能减少了一点布管长度,但对环路总长影响不大。弯曲半径也不能过大,以免造成实际敷设长度小于设计值过多。在弯曲过程中,若对圆弧顶部不加力予以限制,则极易出现“死折”,即无弧度的折弯。
5.4.4 混凝土填充式供暖地面距墙面最近的加热管与墙面间距宜为100mm;每个环路加热管总长度与设计图纸误差不应大于8%。
条文说明
5.4.4 工程实践证明,仅要求按设计间距施工,仍然会出现加热管总长度与设计严重不符、使房间供热量不足的现象。因此保证加热管长度的其他措施除按第5.4.3条控制最大弯曲半径,选择适宜的布置方式之外,还应注意墙面旁边的加热管不得距离墙面过远,宜保持在100mm。最后应核对每个环路加热管长度与设计图纸的最大误差不应大于8%。
5.4.5 埋设于填充层内的加热供冷管及输配管不应有接头。在铺设过程中管材出现损坏、渗漏等现象时,应当整根更换,不应拼接使用。
条文说明
5.4.5 根据我国现状,即使热熔连接也会因质量问题而漏水,为了消除隐患,规定埋于填充层内的加热供冷管和输配管不应有接头(不包括输配管与供暖板配、集水装置之间的接头)。同时与《建筑给水排水及采暖工程施工质量验收规范》GB 50242相一致。
5.4.6 施工验收后,发现加热供冷管或输配管损坏,需要增设接头时,应符合下列规定:
1 应报建设单位或监理工程师,提出书面补救方案,经批准后方可实施;
2 塑料管和铝塑复合管增设接头时,应根据管材,采用热熔或电熔插接式连接,或卡套式、卡压式铜制管接头连接;采用卡套式、卡压式铜制管接头连接后,应在铜制管接头外表面做防腐处理,并应采用橡胶软管套,且两端做好密封;装饰层表面应有检修标识;
3 铜管宜采用机械连接或焊接连接;
4 应在竣工图上清晰表示接头位置,并记录归档。
条文说明
5.4.6 本条提出施工验收后发现加热供冷管损坏需要增设接头时,为确保各种接头与加热供冷管具有相同的使用寿命应采取的补救措施,为防止接头再一次渗漏,规定在装饰层表面留出检修标识。
5.4.7 加热供冷管应设固定装置。加热供冷管弯头两端宜设固定卡;加热供冷管直管段固定点间距宜为500mm~700mm,弯曲管段固定点间距宜为200mm~300mm。
条文说明
5.4.7 加热供冷管固定的目的是使其定位,防止在铺设填充层或面层时产生位移。加热供冷管固定装置有多种方法,目前国内外比较典型的常采用的几种通常做法如下:
1 混凝土填充式辐射供暖供冷地面的加热供冷管:
1)用固定卡将加热供冷管直接固定在发泡水泥绝热层或泡沫塑料类绝热层(包括设有复合面层的绝热板)上;
2)用扎带将加热供冷管固定在泡沫塑料类绝热层上的钢丝网格上;
3)直接将加热供冷管卡在泡沫塑料类绝热层表面的专用管架或管卡上。
2 采用预制沟槽保温板辐射供暖地面时,用铝箔板将敷设在保温板沟槽内的加热供冷管表面与保温板粘接固定。
3 采用供暖板辐射供暖地面,填充板需现场开槽时,应采用开槽器;敷设在填充板的凹槽内的输配管,在其上方局部用铝箔胶带与填充板粘接固定。
预制轻薄供暖板供暖地面,固定输配管的填充板可预开槽或在现场开槽,当现场开槽时使用开槽器,可使尺寸准确、槽内光滑,便于输配管安装。输配管用带胶铝箔与填充板固定,是为了避免拐弯处等起鼓。
本条对固定点间距作了规定。固定点间距过大,加热供冷管反弹较大;不易定形的管材,其固定点的间距应根据需要加密。
5.4.8 加热供冷管或输配管穿墙时应设硬质套管。
5.4.9 在分水器、集水器附近以及其他局部加热供冷管排列比较密集的部位,当管间距小于100mm时,加热供冷管外部应设置柔性套管。
条文说明
5.4.9 在分水器、集水器附近往往汇集较多的管道,其他如门洞、走道等部位,有时也会有较多加热管通过,由于管道过多,容易形成局部地面温度过高,设置套管后,随着热阻的增大,地面温度将相应降低。一般采用聚氯乙烯或高密度聚乙烯波纹套管。
5.4.10 加热供冷管或输配管出地面至分水器、集水器连接处,弯管部分不宜露出面层。加热供冷管或供暖板输配管出地面至分水器、集水器下部阀门接口之间的明装管段,外部应加装塑料套管或波纹管套管,套管应高出面层150mm~200mm。
条文说明
5.4.10 为了保护加热供冷管,露明部分管道通常应加套聚氯乙烯(PVC)塑料管。
5.4.11 加热供冷管或输配管与分水器、集水器连接应采用卡套式、卡压式挤压夹紧连接,连接件材料宜为铜质。铜质连接件直接与PP-R塑料管接触的表面必须镀镍。
条文说明
5.4.11 用于一般采暖或生活热水埋地管材的PP-R管中的PP数值对铜离子非常敏感,铜离子会使PP的降解(老化)速度成百倍的增加,温度越高,越为严重,因此规定铜质连接件直接与PP-R接触的表面必须镀镍。
5.4.12 加热供冷管的环路布置不宜穿越填充层内的伸缩缝,必须穿越时,伸缩缝处应设长度不小于200mm的柔性套管。
条文说明
5.4.12 本条提出加热供冷管穿越伸缩缝时,必须设置一定长度的柔性套管。这项措施是确保加热管在填充层内发生热胀冷缩变化时的自由度。
5.4.13 分水器、集水器宜在加热供冷管敷设之前进行安装。水平安装时,宜将分水器安装在上,集水器安装在下,中心距宜为200mm,集水器中心距地面不应小于300mm。
条文说明
5.4.13 分水器、集水器在开始铺设加热供冷管之前安装的目的是保证柔性加热供冷管精确转向和通入分水器、集水器内。分水器、集水器安装示意图如图17所示。

5.4.14 填充层伸缩缝设置应与加热供冷管的安装同步或在填充层施工前进行,并应符合下列规定:
1 当地面面积超过30㎡或边长超过6m时,应按不大于6m间距设置伸缩缝,伸缩缝宽度不应小于8mm;伸缩缝宜采用高发泡聚乙烯泡沫塑料板,或预设木板条待填充层施工完毕后取出,缝槽内满填弹性膨胀膏;
2 伸缩缝宜从绝热层的上边缘做到填充层的上边缘;
3 伸缩缝应有效固定,泡沫塑料板也可在铺设辐射面绝热层时挤入绝热层中。
条文说明
5.4.14 混凝土填充层设置伸缩缝,是为了防止地面热胀冷缩而被破坏,是热水地面供暖工程设计中非常重要的部分。
混凝土的线膨胀系数约为10×10^-6m/(m·℃),间距为6m时,其膨胀量约为2.7mm;考虑施工方便,规定伸缩缝宽度不宜小于8mm。
采用聚乙烯泡沫塑料板时应采用压缩强度较小的材料,例如可采用密度不大于20kg/m³的模塑聚苯乙烯泡沫塑料。 伸缩缝填充材料的设置方法举例: 1 采用高发泡聚乙烯泡沫塑料或满填弹性膨胀膏时,可用8mm×80mm(高)木板先做伸缩缝,填充层终凝后取出,再填充高发泡聚乙烯泡沫塑料或内满填弹性膨胀膏。 2 采用聚乙烯泡沫塑料板时,可在铺设泡沫塑料类绝热层时留出伸缩缝位置,将聚乙烯泡沫塑料板插入其内,泡沫塑料类绝热层起到固定伸缩缝填充材料的作用。
5.4.15 输配管与其配水、集水装置的接头连接时,应采用专用工具将管道套到接头根部,再用专用固定卡子卡住,使其紧密连接。
条文说明
5.4.15 供暖板配水、集水装置的接头为倒锥锯齿形,与加热管和输配管的连接只能采用专用工具才能将管道套到接头根部,再用专用固定卡子卡住,使连接非常紧密;连接后可承受极高的水压而不发生泄漏,采用明装或暗装都没有问题。施工单位应严格按此规定操作,否则会存在漏水隐患,给用户造成损失,检修处理也很困难。
5.4.16 供暖板的配水、集水装置可采用暗装方式,也可采用明装方式。采用暗装方式时,宜与供暖板一起埋在面层下;采用明装方式时,配水、集水装置宜单独安装在外窗下的墙面上。
条文说明
5.4.16 暗装的供暖板配水、集水装置出厂前与供暖板内的加热管已连接固定,位于供暖板内,施工时只需与输配管相连接,最后与供暖板一起埋在地面面层下。
明装供暖板配水、集水装置结构简单,价格相对便宜。采用明装方式时,一般将配水、集水装置单独安装在外窗下的墙面上,并将其接头分别与供暖板内留出的足够长的小加热管以及输配管相连接,最后用装饰物加以遮盖。
5.5 加热电缆系统的安装
5.5.1 加热电缆应按照施工图纸标定的电缆间距和走向敷设。加热电缆应保持平直,电缆间距的安装误差不应大于10mm。敷设前应对照施工图纸核定型号,并应检查外观质量。
5.5.2 加热电缆出厂后严禁剪裁和拼接,有外伤或破损的加热电缆严禁敷设。
条文说明
5.5.2 强制性条文。一般在加热电缆出厂时,冷线热线及其接头应该已加工完成,每根电缆的长度和功率都应是确定的,电缆内可能是双导线自成回路,也可能是单导线需要在施工中连接成回路;冷线与热线也是在制造中连接好的,按照设计选型现场安装,不允许现场裁减和拼接,现场裁减或拼接不但不能调节发热功率,而且会造成电缆损坏,通电后会造成严重后果。如在竣工验收后,意外情况下出现电缆破损,必须由电缆厂家用专业设备和特殊方法来处理,以减少接头处存在的安全隐患。
5.5.3 加热电缆安装前后应测量加热电缆的标称电阻和绝缘电阻,并做自检记录。
条文说明
5.5.3 测试检查每根电缆的电阻和绝缘电阻,是为了确定加热电缆无断路、短路现象。电阻和绝缘电阻测试在施工和验收过程中应进行3次:加热电缆安装前及安装后隐蔽前(见本条),填充层施工后(见本规程第5.7.10条)。
5.5.4 加热电缆施工前,应确认加热电缆冷线预留管、温控器接线盒、地温传感器预留管、供暖配电箱等预留、预埋工作已完毕。
5.5.5 加热电缆的弯曲半径不应小于生产企业规定的限值,且不得小于6倍电缆直径。
5.5.6 采用混凝土填充式地面供暖时,加热电缆下应铺设金属网,并应符合下列规定:
1 金属网应铺设在填充层中间;
2 除填充层在铺设金属网和加热电缆的前后分层施工外,金属网网眼不应大于100mm×100mm,金属直径不应小于1.0mm;
3 应每隔300mm将加热电缆固定在金属网上。
条文说明
5.5.6 加热电缆不同于热水加热管,热水在加热管中处于流动状态,如果局部热阻较大,只能导致该处不能充分散热,导致该处热水的温差较小;而加热电缆线功率基本恒定,表面均匀散热,如果被压入绝热材料中,热阻很大,仍然恒定发热就会导致局部升温过高,影响电缆的寿命。要求金属网设在加热电缆下填充层中间,是为了使加热电缆与绝热层不直接接触,又有防裂和均热的作用。当在填充层铺设前铺设金属网和加热管时(填充层不分层施工),需要在铺设填充层时将金属网抬起,使填充层漏到金属网之下,加热电缆与绝热层不直接接触,金属网应具有一定强度,因此对其网眼尺寸和金属直径作出规定。
5.5.7 加热电缆的热线部分严禁进入冷线预留管。
条文说明
5.5.7 强制性条文。目的是防止热线在套管内发热,影响寿命和安全性能。
5.5.8 加热电缆的冷线与热线接头应暗装在填充层或预制沟槽保温板内,接头处150mm之内不应弯曲。
条文说明
5.5.8 加热电缆的冷热线接头在地面下暗装的目的,是防止热线在地面上发热,形成安全隐患。同时,电缆出地面后就难以保证间距。接头处避免弯曲是为了确保接头通电时产生的应力能充分释放。
5.5.9 伸缩缝的设置应符合本规程第5.4.14条的规定。
5.5.10 加热电缆供暖系统和温控系统的电气施工应符合现行国家标准《电气装置安装工程1kV及以下配线工程施工及验收规范》GB 50254和《建筑电气工程施工质量验收规范》GB 50303的规定。
5.6 水压试验
5.6.1 管道敷设完成,经检查符合设计要求后应进行水压试验,水压试验应符合下列规定:
1 水压试验应在系统冲洗之后进行,系统冲洗应对分水器、集水器以外主供、回水管道进行冲洗,冲洗合格后再进行室内供暖系统的冲洗;
2 水压试验之前,应对试压管道和构件采取安全有效的固定和保护措施;
3 水压试验应以每组分水器、集水器为单位,逐回路进行;
4 混凝土填充式地面辐射供暖户内系统试压应进行两次,分别在浇筑混凝土填充层之前和填充层养护期满后进行;预制沟槽保温板、供暖板和毛细管网户内系统试压应进行两次,分别在铺设面层之前和之后进行;
5 冬季进行水压试验时,在有冻结可能的情况下,应采取可靠的防冻措施,试压完成后应及时将管内的水吹净、吹干。
条文说明
5.6.1 辐射供暖供冷系统水压试验是检验其应具备的承压能力和严密性,以确保系统的正常运行。系统水压试验程序是为了确保水压试验得以正确地进行。为了保证除去管道中杂物,使用安全,强调水压试验前冲洗。先冲洗分水器、集水器以外主供、回水管道,以保证较大管道中的杂物不进入室内的加热供冷管系统。
由于加热供冷管是在填充层及壁面内隐蔽敷设,一旦发生渗漏,将难以处理,因此要求系统隐蔽前和隐蔽后各试压一次。
冬季在有冻结的地区应采取可靠的防冻措施,以免系统冻损。
5.6.2 水压试验压力应为工作压力的1.5倍,且不应小于0.6MPa。在试验压力下,稳压1h,其压力降不应大于0.05MPa,且不渗不漏。
条文说明
5.6.2 辐射供暖供冷系统试验压力和检验方法,引自《建筑给水排水及采暖工程施工质量验收规范》GB 50242。
5.7 填充层施工
5.7.1 填充层施工前应具备下列条件:
1 加热电缆经电阻检测和绝缘性能检测合格;
2 侧面绝热层和填充层伸缩缝已安装完毕;
3 加热供冷管安装完毕且水压试验合格、加热供冷管处于有压状态;
4 温控器的安装盒、加热电缆冷线穿管已经布置完毕;
5 通过隐蔽工程验收。
条文说明
5.7.1 对填充层施工的时机作了明确规定,即未通过隐蔽工程验收之前,不得施工。
5.7.2 混凝土填充层施工,应由有资质的土建施工方承担,供暖供冷系统安装单位应密切配合。填充层施工过程中不得拆除和移动伸缩缝。
条文说明
5.7.2 为了保证工程质量,从分工上明确规定了填充层应由土建承包单位负责施工,同时对安装单位的配合也作了具体规定。尤其是供暖系统安装单位设置伸缩缝并验收合格后,工程中常有土建做下道工序(填充层)施工时不注意保护上道工序的成品,出现拆除和移动伸缩缝的现象,因此特别强调应予以避免。
5.7.3 地面辐射供暖供冷工程施工过程中,埋管区域应设施工通道或采取加盖等保护措施,严禁人员踩踏加热供冷部件。
条文说明
5.7.3 目的在于保护加热管、加热电缆等加热供冷部件,免遭损坏。
5.7.4 水泥砂浆填充层应与发泡水泥绝热层结合牢固,单处空鼓面积不应大于0.04c㎡,且每个自然房间不应多于2处。
5.7.5 水泥砂浆填充层表层的抹平工作应在水泥砂浆初凝前完成,压光或拉毛工作应在水泥砂浆终凝前完成。
5.7.6 混凝土填充层施工中,加热供冷管内的水压不应低于0.6MPa;填充层养护过程中,系统水压不应低于0.4MPa。
条文说明
5.7.6 管内保持一定压力,既可以防止加热供冷管因挤压而变形,又可以及时发现管道的损坏。
5.7.7 填充层施工中,严禁使用机械振捣设备;施工人员应穿软底鞋,使用平头铁锹。
5.7.8 系统初始供暖、供冷前,水泥砂浆填充层养护时间不应少于7d,或抗压强度应达到5MPa后,方可上人行走;豆石混凝土填充层的养护周期不应少于21d。养护期间及期满后,应对地面采取保护措施,不得在地面加以重载、高温烘烤、直接放置高温物体和高温设备。
条文说明
5.7.8 对水泥砂浆填充层的要求引自现行国家标准《建筑地面工程施工质量验收规范》GB 50209的有关规定;豆石混凝土填充层不受干扰的凝固和硬化时间:一般不加特殊掺合料的混凝土填充层为21d。最早48h以后才能踩踏。在此时间内,不得对加热供冷部件进行加热供冷及放置任何形式的荷载,以免造成填充层开裂。由于塑料管的熔点较低,多数都在(150~180)℃左右,很容易被电炉、喷灯等烤化,因此,施工中应对地面妥加保护。本条的这些要求,都是实践中教训的总结,必须引起足够的重视并严格遵守。
5.7.9 填充层应在铺设过程中进行取样检验;宜按连续施工每10000㎡作为一个检验批,不足10000㎡时按一个检验批计。
5.7.10 填充层施工完毕后,应进行加热电缆的标称电阻和绝缘电阻检测验收并做好记录。
5.8 面层施工
5.8.1 面层施工前,填充层应达到面层需要的干燥度和强度。面层施工除应符合土建施工设计图纸的各项要求外,尚应符合下列规定:
1 施工面层时,不得剔、凿、割、钻和钉填充层,不得向填充层内楔入任何物件;
2 石材、瓷砖在与内外墙、柱等垂直构件交接处,应留10mm宽伸缩缝;木地板铺设时,应留不小于14mm的伸缩缝;伸缩缝应从填充层的上边缘做到高出面层上表面10mm~20mm,面层敷设完毕后,应裁去伸缩缝多余部分;伸缩缝填充材料宜采用高发泡聚乙烯泡沫塑料;
3 面积较大的面层应由建筑专业计算伸缩量,设置必要的面层伸缩缝。
条文说明
5.8.1 在实际工程中,出现过很多在施工面层时损坏加热供冷部件的事故,而这些事故本来是完全可以避免的,因此在本条中对面层施工提出了一些具体的注意事项。
5.8.2 以木地板作为面层时,木材应经过干燥处理,且应在填充层和找平层完全干燥后进行木地板施工。
条文说明
5.8.2 木地板出现翘裂的现象较多,究其原因,大致有以下三种情况:第一种情况是地板本身质量不好,未经严格干燥处理(含水率应低于20%),致使含水率过高,经过使用后,随着含水率的降低,木材收缩,产生裂纹。其实,这种地板,即使用在不是地暖供暖的室内,也同样会开裂。第二种情况是在填充层尚未完全干燥的情况下,过早的铺贴木地板。由于木地板铺贴后,混凝土中的水分仍在不断蒸发,使本来比较干燥的木地板的含水率升高,从而膨胀鼓翘。第三种情况是在铺贴木地板时,在地板与墙、柱等交接处未留伸缩缝,所以在地板受热产生膨胀时,由于没有补偿膨胀位移的出路,从而产生鼓翘。
5.8.3 以瓷砖、大理石、花岗岩作为面层时,填充层伸缩缝处宜采用干贴施工。
条文说明
5.8.3 干贴的目的是为了防止地面加热时拉断面层。
5.8.4 采用预制沟槽保温板或供暖板时,面层可按下列方法施工:
1 木地板面层可直接铺设在预制沟槽保温板或供暖板上,可发性聚乙烯(EPE)垫层应铺设在保温板或供暖板下,不得铺设在加热部件上;
2 采用带木龙骨的供暖板时,木地板应与木龙骨垂直铺设;
3 铺设石材或瓷砖时,预制沟槽保温板及其加热部件上,应铺设厚度不小于30mm的水泥砂浆找平层和粘接层;水泥砂浆找平层应加金属网,网格间距不应大于100mm,金属直径不应小于1.0mm。
条文说明
5.8.4 EPE(Expandable Polyethylene),是可发性聚乙烯,又称珍珠棉。是非交联闭孔结构,它是以低密度聚乙烯(LDPE)为主要原料挤压生成的高泡沫聚乙烯制品。
5.8.5 采用发泡水泥绝热层和水泥砂浆填充层时,当面层为瓷砖或石材地面时,填充层和面层应同时施工。
5.9 卫生间施工
5.9.1 卫生间应做两层隔离层。
条文说明
5.9.1 卫生间设地面供暖会使人感到很舒适,但因担心漏水问题,影响了地面供暖系统在卫生间的应用。为避免漏水发生,作本条规定。卫生间地面构造示意图见图18。

5.9.2 卫生间过门处应设置止水墙,在止水墙内侧应配合土建专业做防水。加热供冷管穿止水墙处应采取隔离措施。
条文说明
5.9.2 设止水墙目的是防止卫生间积水渗入绝热层,并沿绝热层渗入其他区域。
5.10 质量验收
5.10.1 加热供冷管、加热电缆、供暖板安装完毕,混凝土填充式的填充层或预制沟槽保温板、供暖板的面层施工前,应按隐蔽工程要求,由工程承包方提出书面报告,由监理工程师组织各有关人员进行中间验收。工程质量检验表可按本规程附录H进行填写。
条文说明
5.10.1 加热电缆、加热供冷管、供暖板均隐蔽埋置在填充层或面层内,因此应按隐蔽工程要求进行质量检验及验收,只有经检验合格后才允许隐蔽。
5.10.2 辐射供暖供冷水系统检查和验收应包括下列内容:
1 加热供冷管、预制沟槽保温板或供暖板、输配管、分水器、集水器、阀门、附件、绝热材料、温控及计量设备等的质量;
2 原始工作面、填充层、面层、隔离层、绝热层、防潮层、均热层、伸缩缝等施工质量;
3 管道、分水器、集水器、阀门、温控及计量设备等安装质量;
4 管路冲洗;
5 隐蔽前、后水压试验。
5.10.3 加热电缆系统检查和验收应包括下列内容:
1 加热电缆、温控及计量设备、绝热材料等的质量;
2 原始工作面、填充层、面层、隔离层、绝热层、防潮层、均热层和伸缩缝等施工质量;
3 隐蔽前、后加热电缆标称电阻和绝缘电阻检测;
4 加热电缆、温控及计量设备安装质量。
5.10.4 发泡水泥绝热层验收应符合下列规定:
1 发泡水泥绝热层施工完毕后,在填充层施工前,应按隐蔽工程要求,由施工方会同监理单位进行分项中间验收;
2 干体积密度验收应符合现行国家标准《蒸压加气混凝土性能试验方法》GB/T 11969的规定;
3 7d、28d抗压强度应符合现行国家标准《蒸压加气混凝土性能试验方法》GB/T 11969的规定;
4 导热系数应符合现行国家标准《绝热材料稳态热阻及有关特性的测定 防护热板法》GB 10294的规定。
5.10.5 辐射供暖供冷系统中间验收应符合下列规定:
1 供暖供冷地面施工前,地面的平整、清洁状况符合施工要求;
2 绝热层的厚度、材料的物理性能及铺设应符合设计要求;
3 伸缩缝应按设计要求敷设完毕;
4 供暖板表面应平整,接缝处应严密。
5 加热供冷管、输配管、加热电缆的材料、规格及敷设间距,弯曲半径及固定措施等应符合设计要求;
6 填充层内加热供冷管、输配管不应有接头,弯曲部分不得出现硬折弯现象;
7 隐蔽敷设的加热电缆的发热区域不应裁剪和破损;加热电缆之间不应在任何地方有相互接触,交叉或者重叠的现象;
8 加热供冷管、输配管、分水器、集水器及其连接处在试验压力下无渗漏;
9 加热电缆系统每个环路应无短路和断路现象,电阻及绝缘电阻测试符合要求;
10 阀门启闭灵活,关闭严密;
11 温控及计量装置、分水器、集水器及其连接件等安装后应有成品保护措施;
12 供暖地面按要求铺设防潮层、隔离层、均热层、钢丝网等;
13 填充层、找平层、面层平整,表面无明显裂缝。
条文说明
5.10.5 本条具体规定了中间验收应检验的项目。需根据各项工序完成后逐项验收,并有完整的检验及验收记录。 对加热电缆裁剪和破损可导致产品自身屏蔽接地层失效,影响用电安全。搭接时会导致局部温度过高,损坏加热电缆,造成安全隐患。需对加热电缆安装的各环节进行检验,并测试每一环路的电阻,确保系统无断路、短路现象。检验标准为测试每一回路的直流电阻及冷态绝缘电阻,并应符合产品规定和国家现行标准《民用建筑电气设计规范》JGJ 16、《建筑电气工程施工质量验收规范》GB 50303中的相关规定。
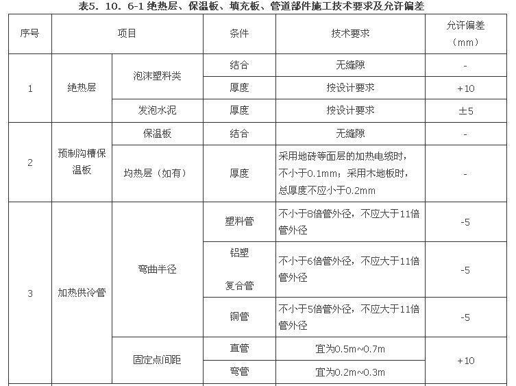
5.10.6 绝热层、预制沟槽保温板、加热供冷管、加热电缆、供暖板及分水器和集水器施工技术要求及允许偏差应符合表5.10.6-1的规定;原始工作面、填充层、面层施工技术要求及允许偏差应符合表5.10.6-2的规定。



试运行、调试及竣工验收
6.1 试运行与调试
6.1.1 辐射供暖供冷系统未经调试,严禁运行使用。
条文说明
6.1.1 强制性条文。为了避免对系统造成损坏,在未经调试与试运行过程之前,应严格限制随意启动运行。
6.1.2 辐射供暖供冷系统的试运行调试,应在施工完毕且养护期满后,且具备正常供暖供冷和供电的条件下,由施工单位在建设单位配合下进行。
条文说明
6.1.2 调试与试运行的目的,是使系统的水力工况和热力工况达到设计要求,为此,具备正常供暖供冷和供电条件是进行调试的必要条件。若暂时不具备正常供暖供冷和供电条件时,调试工作应推迟进行。
6.1.3 初始供暖时,水温变化应平缓。供暖系统的供水温度应控制在高于室内空气温度10℃左右,且不应高于32℃,并应连续运行48h;以后每隔24h水温升高3℃,直至达到设计供水温度,并保持该温度运行不少于24h;在设计供水温度下应对每组分水器、集水器连接的加热管逐路进行调节,直至达到设计要求。
条文说明
6.1.3、6.1.4 初始供热或供冷调试,是确保并进一步考核和检验工程设计与施工质量的一个重要环节,必须认真进行。试运行时,初次加热或供冷的水温应严格控制;同时,升温或降温过程一定要保持平稳和缓慢,确保建筑构件对温度变化有一个逐步变化的适应过程。
6.1.4 初始供冷调试应在新风系统调试后进行,水温变化应平缓。供冷系统的供水温度应控制在高于室内空气露点温度2℃以上,逐渐降低直至达到设计供水温度,并保持该温度运行不少于24h。在设计供水温度下应对每组分水器、集水器连接的供冷管逐路进行调节,直至达到设计要求。
条文说明
6.1.3、6.1.4 初始供热或供冷调试,是确保并进一步考核和检验工程设计与施工质量的一个重要环节,必须认真进行。试运行时,初次加热或供冷的水温应严格控制;同时,升温或降温过程一定要保持平稳和缓慢,确保建筑构件对温度变化有一个逐步变化的适应过程。
6.1.5 加热电缆辐射供暖系统初始通电加热时,应控制室温平缓上升,直至达到设计要求。
条文说明
6.1.5 加热电缆的功率控制基本上都是开关调节控制方式,即只要是在通电状态下,电缆的发热功率就基本恒定,实现全功率加热,实际发热功率的调节是靠通电断电的时间周期比例关系来实现的。因此,在实际应用中,加热电缆表面的温度无法加以具体的控制;而且,比较热水形式的辐射供暖系统形式,加热电缆加热时的应力变化和对填充层的影响较小。因此,本条对升温速度不作具体规定,在初始通电加热时应保持室温尽量平缓地升高。
6.1.6 辐射供暖供冷系统调试完成后,宜对下列性能参数进行检测,并应符合下列规定:
1 辐射体表面平均温度满足本规程第3.1.3条和第3.1.4条的规定;
2 室内空气温度满足设计要求;
3 辐射供暖供冷系统进出口水温度及温差满足设计要求。
6.1.7 辐射体表面平均温度测定应符合下列规定:
1 温度计应与辐射体表面紧密粘贴;
2 温度测点数量不应少于5对,其中一半测点应沿热媒流程均匀设置在加热供冷管上,另一半测点应设在加热供冷管之间且沿热媒流程均匀布置;
3 辐射体表面平均温度应取各测点温度的算术平均值;
4 温度测量系统准确度应为±0.2℃。
条文说明
6.1.7 辐射供暖供冷表面平均温度不易测定,尤其是预制沟槽保温板和预制轻薄供暖板。所以测试辐射供暖供冷表面的平均温度时,应尽量多布置温度计测点,取其平均值;另外,由于温度是沿热媒流动方向逐渐变化,且加热管上和两管道之间温度差别比较大,因此,本条规定出温度计的设置数量和布置方式。图19是辐射供暖供冷表面平均温度测试时温度计布置示意图。
6.1.8 辐射供暖供冷系统室内空气温度检测应符合下列规定:
1 辐射供暖时,宜以房间中央离地0.75m高处的空气温度作为评价依据;
2 辐射供冷时,宜以房间中央离地1.1m高处空气温度作为评价依据;
3 温度测量系统准确度应为±0.2℃。
条文说明
6.1.8 辐射供暖供冷时,由于有辐射传热和对流传热同时作用,效果评价应以反映辐射和对流综合作用的黑球温度作为评价和考核的依据。但考虑目前工程检测技术条件,同时由于设计工况是以室内空气的干球温度作为设计的依据,缺乏黑球温度评价标准。为此,考虑实际工程的可操作性,本条规定以室内空气的干球温度作为评价的依据。欧洲标准EN 14037《水温低于120℃的吊顶安装辐射板》在进行供暖测试时,以离地0.75m处温度作为参考温度,EN 14240《建筑通风-冷却吊顶-测试及评定》在进行供冷测试时,以离地1.1m处温度作为参考温度。本规程在参考以上标准的同时,也考虑到头冷脚热的人体热舒适性要求,所以对于供暖和供冷的室内温度测点高度的规定是不同的。
6.1.9 辐射供暖供冷系统进出口水温测点宜布置在分水器、集水器上,温度测量系统准确度应为±0.1℃。
6.2 竣工验收
6.2.1 竣工验收应在辐射供暖供冷系统性能检测合格后进行。
6.2.2 竣工验收时,应提供下列文件:
1 施工图、竣工图和设计变更文件;
2 主要设备和管材、配件等主要材料的出厂合格证及检验报告;
3 辐射供暖供冷系统性能检测报告;
4 中间验收记录;
5 冲洗和试压记录;
6 工程质量检验评定记录;
7 系统试运行和调试记录;
8 材料和产品的现场复验报告;
9 工程使用维护说明书。
运行与维护
7.0.1 辐射供暖供冷系统首次运行注水前应充分排气。系统每年首次运行时,需确保户外户内阀门开启到位,过滤器无堵塞,立管进回水放气通畅,加热供冷管内无气堵。
条文说明
7.0.1 充分排气可防止因积气导致循环不畅。检查过滤器以防止杂物对流动的影响。
7.0.2 辐射供暖供冷系统加热供冷管在非供暖或非供冷季应进行满水保护。在有冻结可能的地区应排水、泄压。
条文说明
7.0.2 充水保护是为了防止管材干裂,缩短系统使用寿命。排水、泄压是防止低温造成加热供冷管冻结,造成破坏或缩短使用寿命。
7.0.3 加热电缆辐射供暖系统每年供暖期使用前,应检查温控器及电路系统是否正常。
条文说明
7.0.3 非采暖季由于保护不当或积灰等原因,可能会造成采暖季初次运行不安全,因此应对温控器和电路系统进行检查。
7.0.4 辐射供暖供冷系统的表面上应有明显的标识,不得进行打洞、钉凿、撞击、高温作业等工作。
条文说明
7.0.4 本条规定是为了保证使用安全。
附录A 辐射供暖地面构造图示
A.0.1 混凝土填充式供暖地面构造可按图A.0.1-1和图A.0.1-2设置:

图A.0.1-1 采用塑料绝热层(发泡水泥绝热层)的混凝土填充式热水供暖地面构造
1—加热管;2—侧面绝热层;3—抹灰层;4—外墙;5—楼板或与土壤相邻地面;
6—防潮层(对与土壤相邻地面);7—泡沫塑料绝热层(发泡水泥绝热层);
8—豆石混凝土填充层(水泥砂浆填充找平层);9—隔离层(对潮湿房间);
10—找平层;11—装饰面层

图A.0.1-2 采用泡沫塑料绝热层(发泡水泥绝热层)的混凝土填充式加热电缆供暖地面构造
1—金属网;2—加热电缆;3—侧面绝热层;4—抹灰层;5—外墙;6—楼板或与土壤相邻地面;
7—防潮层(对与土壤相邻地面);8—泡沫塑料绝热层(发泡水泥绝热层);9—豆石混凝土填充
层(水泥砂浆填充找平层);10—隔离层(对潮湿房间);11—找平层;12—装饰面层
A.0.2 预制沟槽保温板式供暖地面构造可按图A.0.2-1~图A.0.2-4设置:




A.0.3 预制轻薄供暖板供暖地面构造可按图A.0.3-1~图A.0.3-4设置:
<ignore_js_op></ignore_js_op>




附录B 混凝土填充式热水辐射供暖地面单位面积散热量
B.1 采用聚苯乙烯塑料板绝热层的混凝土填充式热水辐射供暖地面单位面积散热量
B.1.1 当采用导热系数为0.38W/(m·K)的PE-X管时,单位地面面积的向上供热量和向下传热量可按表B.1.1-1~表B.1.1-4取值。

注:1 计算条件为加热管公称外径20mm,填充层厚度50mm,聚苯乙烯泡沫塑料绝热层导热系数0.041W/(m·K)、厚度20mm,供回水温差10℃;
2 水泥、石材或陶瓷面层热阻为0.02㎡·K/W。

注:1 计算条件为加热管公称外径20mm,填充层厚度50mm,聚苯乙烯泡沫塑料绝热层导热系数0.041W/(m·K)、厚度20mm,供回水温差10℃;
2 塑料类材料面层热阻为0.075㎡·K/W。

注:1 计算条件为加热管公称外径20mm,填充层厚度50mm,聚苯乙烯泡沫塑料绝热层导热系数0.041W/(m·K)、厚度20mm,供回水温差10℃;
2 木地板材料面层热阻为0.1㎡·K/W。

注:1 计算条件为加热管公称外径20mm,填充层厚度50mm,聚苯乙烯泡沫塑料绝热层导热系数0.041W/(m·K)、厚度20mm,供回水温差10℃;
2 铺厚地毯面层热阻为0.15㎡·K/W。
B.1.2 当采用导热系数为0.23W/(m·K)的PB管时,单位地面面积的向上供热量和向下传热量可按表B.1.2-1~表B.1.2-4取值。

注:1 计算条件为加热管公称外径20mm,填充层厚度50mm,聚苯乙烯泡沫塑料绝热层导热系数0.041W/(m·K)、厚度20mm,供回水温差10℃;
2 水泥、石材或陶瓷面层热阻为0.02㎡·K/W。

注:1 计算条件为加热管公称外径20mm,填充层厚度50mm,聚苯乙烯泡沫塑料绝热层导热系数0.041W/(m·K)、厚度为20mm,供回水温差10℃;
2 塑料类材料面层热阻为0.075㎡·K/W。

注:1 计算条件为加热管公称外径20mm,填充层厚度50mm,聚苯乙烯泡沫塑料绝热层导热系数0.041W/(m·K)、厚度为20mm,供回水温差10℃;
2 木地板材料面层热阻为0.1㎡·K/W。

注:1 计算条件为加热管公称外径20mm,填充层厚度50mm,聚苯乙烯泡沫塑料绝热层导热系数0.041W/(m·K)、厚度为20mm,供回水温差10℃;
2 铺厚地毯面层热阻为0.15㎡·K/W。
B.1.3 当采用导热系数为386W/(m·K)的铜管时,单位地面面积的向上供热量和向下传热量可按表B.1.3-1~表B.1.3-4取值。

注:1 计算条件为加热管公称外径/内径22/19mm,填充层厚度50mm,聚苯乙烯泡沫塑料绝热层导热系数0.041W/(m·K)、厚度为20mm,供回水温差10℃;
2 水泥、石材或陶瓷面层热阻为0.02㎡·K/W。
注:1 计算条件为加热管公称外径/内径22/19mm,填充层厚度50mm,聚苯乙烯泡沫塑料绝热层导热系数0.041W/(m·K)、厚度为20mm,供回水温差10℃;
2 塑料类材料面层热阻为0.075㎡·K/W。

注:1 计算条件为加热管公称外径/内径22/19mm,填充层厚度50mm,聚苯乙烯泡沫塑料绝热层导热系数0.041W/(m·K)、厚度为20mm,供回水温差10℃;
2 木地板材料面层热阻为0.1㎡·K/W。

注:1 计算条件为加热管公称外径/内径22/19mm,填充层厚度50mm,聚苯乙烯泡沫塑料绝热层导热系数0.041W/(m·K)、厚度为20mm,供回水温差10℃;
2 铺厚地毯面层热阻为0.15㎡·K/W。
B.2 采用发泡水泥绝热层的混凝土填充式热水辐射供暖地面单位面积散热量
B.2.1 当采用导热系数为0.38W/(m·K)的PE-X管时,单位地面面积的向上供热量和向下传热量可按表B.2.1-1~表B.2.1-4取值。

注:1 计算条件为加热管公称外径20mm,填充层厚度40mm,发泡水泥绝热层导热系数0.08W/(m·K)、厚度40mm,供回水温差10℃;
2 水泥、石材或陶瓷面层热阻为0.02㎡·K/W。

注:1 计算条件为加热管公称外径20mm,填充层厚度40mm,发泡水泥绝热层导热系数0.08W/(m·K)、厚度40mm,供回水温差10℃;
2 木地板材料面层热阻为0.1㎡·K/W。

注:1 计算条件为加热管公称外径20mm,填充层厚度40mm,发泡水泥绝热层导热系数0.08W/(m·K)、厚度40mm,供回水温差10℃;
2 铺厚地毯面层热阻为0.15㎡·K/W。
B.2.2 当采用导热系数为0.23W/(m·K)的PB管时,单位地面面积的向上供热量和向下传热量可按表B.2.2-1~表B.2.2-4取值。

注:1 计算条件为加热管公称外径20mm,填充层厚度40mm,发泡水泥绝热层导热系数0.08W/(m·K)、厚度40mm,供回水温差10℃;
2 水泥、石材或陶瓷面层热阻为0.02㎡·K/W。

注:1 计算条件为加热管公称外径20mm,填充层厚度40mm,发泡水泥绝热层导热系数0.08W/(m·K)、厚度40mm,供回水温差10℃;
2 塑料类材料面层热阻为0.075㎡·K/W。

注:1 计算条件为加热管公称外径20mm,填充层厚度40mm,发泡水泥绝热层导热系数0.08W/(m·K)、厚度40mm,供回水温差10℃;
2 木地板材料面层热阻为0.1㎡·K/W。

注:1 计算条件为加热管公称外径20mm,填充层厚度40mm,发泡水泥绝热层导热系数0.08W/(m·K)、厚度40mm,供回水温差10℃;
2 铺厚地毯面层热阻为0.15㎡·K/W。
附录C 管材的选择
C.1 塑料管的选择
C.1.1 塑料管材质和连接方法的选择应以保证工程长期运行的安全可靠为原则,根据塑料管的抗蠕变能力的强弱、许用环应力的大小、工程环境等因素,经综合比较后确定。
条文说明
C.1.1 管材选择时,除考虑许用环应力指标外,还应考虑管材的抗划痕能力、透氧率、蠕变特性和价格等因素,经综合比较后确定。目前,常用塑料管材有PE-X、PE-RTⅡ型、PE-RTⅠ型、PB、PB-R。PP-R管由于所需管壁较厚不易弯曲,地面供暖的加热管不宜采用,常用于生活热水和一般供暖埋地管道。
管材的蠕变特性对保证管材长期安全可靠的运行至关重要,蠕变数据是材料研发和工程选材的重要依据,蠕变性能好的管材,其在数十年的运行过程中承压能力变化不大。反之,运行时间越长,管材承压能力下降也越严重。塑料管的抗蠕变能力的强弱,可根据塑料管材国家标准中的预测强度参照曲线选择;塑料管许用环应力的大小,可根据表C.1.2-2确定。
塑料管的连接方式包括熔接式、电熔式和机械式。
关于管材透氧率,DIN4726的规定值为0.1g/(m3·d)。
C.1.2 塑料管管系列应按表C.1.2-1中使用条件4级以及设计压力选择;管系列值可按表C.1.2-2确定。

注:* 仅当Tmal不超过65℃时才可使用;
** 当TD、Tmax和Tmal超出本表所给出的值时,不能用本表。
1 表中所列各使用条件级别的管道系统均应同时满足在20℃和1.0MPa条件下输送冷水,达到50年使用寿命;
2 所有加热系统的介质只能是水或者经处理的水。

条文说明
C.1.2 表C.1.2-1数据引自《冷热水系统用热塑性塑料管材和管件》GB/T 18991-2003;表C.1.2-2数据根据《冷热水用聚丁烯(PB)管道系统》CB/T 19473.2-2004、《冷热水用无规共聚聚丁烯管材及管件》CJ/T 372-2011、《冷热水用交联聚乙烯(PE-X)管道系统》CB/T 18992.2-2003及《冷热水用耐热聚乙烯(PE-RT)管道系统》CB/T 28799-2012确定。
管材的最大允许工作压力可用下面的公式进行计算:
PPMS=σD×2en/(dn-en)
其中:PPMS:最大允许工作压力,MPa;
σD:对应使用条件级别下的设计应力,MPa;
dn:公称外径,mm;
en:公称壁厚,mm
示例1:dn20×en2.0的PB型管材,应用于使用条件级别4的低温辐射地面采暖领域,最大允许工作压力计算如下:
PPMS=σD×2en/(dn-en)
=5.46×2×2.0/(20-2.0)
=1.21MPa
示例2:dn20×en2.0的PB-R型管材,应用于使用条件级别4的低温辐射地面采暖领域,最大允许工作压力计算如下:
PPMS=σD×2en/(dn-en)
=4.34×2×2.0/(20-2.0)
=0.96MPa
示例3:dn20×en2.0的PE-X型管材,应用于使用条件级别4的低温辐射地面采暖领域,最大允许工作压力计算如下:
PPMS=σD×2en/(dn-en)
=4.0×2×2.0/(20-2.0)
=0.89MPa
示例4:dn20×en2.0的PE-RTⅡ型管材,应用于使用条件级别4的低温辐射地面采暖领域,最大允许工作压力计算如下:
PPMS=σD×2en/(dn-en)
=3.6×2×2.0/(20-2.0)
=0.8MPa
示例5:dn20×en2.0的PE-RTⅠ型管材,应用于使用条件级别4的低温辐射地面采暖领域,最大允许工作压力计算如下:
PPMS=σD×2en/(dn-en)
=3.25×2×2.0/(20-2.0)=0.72MPa
C.1.3 塑料管公称壁厚应根据本规程第C.1.2条选择的管系列及施工和使用中的不利因素综合确定。管材公称壁厚应符合表C.1.3的要求,并应同时符合下列规定:
1 对管径大于或等于15mm的管材,壁厚不应小于2.0mm;
2 需要进行热熔焊接的管材,其壁厚不得小于1.9mm。

条文说明
C.1.3 考虑目前国内地暖系统施工现状,保证应用的安全性,对管径大于或等于15mm的管材,仍保留了原规程中对于塑料管材壁厚再行加厚的要求。
表中数值根据《冷热水用聚丁烯(PB)管道系统》GB/T 19473.2-2004、《冷热水用无规共聚聚丁烯管材及管件》CJ/T 372-2011、《冷热水用交联聚乙烯(PE-X)管道系统》GB/T 18992.2-2003及《冷热水用耐热聚乙烯(PE-RT)管道系统》GB/T 28799-2012确定。
C.1.4 塑料管的公称外径、最小与最大平均外径,应符合表C.1.4的规定。

条文说明
C.1.4 数据取自《冷热水用聚丁烯(PB)管道系统》GB/T 19473、《冷热水用交联聚乙烯(PE-X)管道系统》GB/T 18992、《冷热水用耐热聚乙烯(PE-RT)管道系统》GB/T 28799、《冷热水用无规共聚聚丁烯管材及管件》CJ/T 372、《冷热水用聚丙烯管道系统》GB/T 18742。
C.2 铝塑复合管的选择
C.2.1 铝塑复合管可采用搭接焊和对接焊两种形式。
条文说明
C.2.1 铝塑复合管是由聚乙烯材料和铝材两种杨氏模量相差很大的材料组成的多层管,在承受内压时,厚度方向的管环应力分布是不等值的,因此不能用S值来选用管材或确定管材的壁厚。内外塑料层和铝管层的最小壁厚取决于管径,壁厚和管径为固定尺寸关系,只能根据长期工作温度和允许工作压力选择不同类别的铝塑管,无法考虑各种使用温度的累计作用。铝塑复合管根据铝管焊接方法不同,分为搭接焊和对接焊两种形式。
C.2.2 铝塑复合管长期工作温度和允许工作压力应符合下列规定:
1 搭接焊式铝塑复合管长期工作温度和允许工作压力应符合表C.2.2-1的规定。

注:1 A系指采用中密度聚乙烯(乙烯与辛烯特殊共聚物)材料生产的复合管;
2 PAP为聚乙烯/铝合金/聚乙烯,XPAP为交联聚乙烯/铝合金/交联聚乙烯。
2 对接焊式铝塑复合管长期工作温度和允许工作压力应符合表C.2.2-2的规定。

注:1 XPAP1:一型铝塑管 聚乙烯/铝合金/交联聚乙烯;
2 XPAP2:二型铝塑管 交联聚乙烯/铝合金/交联聚乙烯;
3 PAP3:三型铝塑管 聚乙烯/铝/聚乙烯;
4 PAP4:四型铝塑管 聚乙烯/铝合金/聚乙烯;
5 RPAP5:五型铝塑管 耐热聚乙烯/铝合金/耐热聚乙烯。
条文说明
C.2.2 表C.2.2-1引自《铝塑复合压力管》GB/T 18997.1;C.2.2-2引自《铝塑复合压力管》GB/T 18997.2和《铝塑复合压力管(对接焊)》CJ/T 159。
C.2.3 铝塑复合管的公称外径、壁厚与偏差,应符合表C.2.3的规定。
条文说明
C.2.3 表中数据引自现行国家标准《铝塑复合压力管》GB/T 18997。
C.3 无缝铜管的选择
C.3.1 无缝铜管状态和类型的选择应满足系统工作压力。管径小于22mm时,宜选用软态铜管;管径为22mm或28mm时,应选用半硬态铜管。
C.3.2 无缝铜管的公称外径、壁厚与偏差,应符合表C.3.2的规定。

条文说明
C.3.2 表中数据引自现行国家标准《无缝铜水管和铜气管》GB/T 18033。

条文说明
C.3.3 表中数据引自现行国家标准《无缝铜水管和铜气管》GB/T 18033。
附录D 管道水力计算
D.0.1 塑料管及铝塑复合管单位长度摩擦压力损失(比摩阻)可按表D.0.1计算。

D.0.2 当热媒平均温度不等于55℃时,可由表D.0.2查出比摩阻修正系数,并按下式进行修正。
Rt=R×a (D.0.2)
式中:Rt——热媒在设计温度和设计流量下的比摩阻(Pa/m);
R——查表D.0.1得到的比摩阻(Pa/m);
a——比摩阻修正系数。

D.0.3 塑料管及铝塑复合管局部阻力系数(ζ)值可按表D.0.3选用。

附录E 加热供冷管管材物理力学性能
E.0.1 塑料管的物理力学性能应符合表E.0.1的规定。

注:过氧化物交联(PE-Xa)交联度大于或等于70%;硅烷交联(PE-Xb)交联度大于或等于65%;辐照交联(PE-Xc)交联度大于或等于60%。
E.0.2 铝塑复合管的物理力学性能应符合表E.0.2的规定。

注:1 交联度要求:硅烷交联大于或等于65%;辐照交联大于或等于60%;
2 热熔胶熔点大于或等于120℃;
3 搭接焊铝层拉伸强度大于或等于100MPa,断裂伸长率大于或等于20%;
对接焊铝层拉伸强度大于或等于80MPa,断裂伸长率应不小于22%;
4 铝塑复合管层间粘合强度,按规定方法试验,层间不得出现分离和缝隙。
E.0.3 铜管机械性能应符合表E.0.3的规定。

附录F 加热电缆的电气和机械性能要求

附录G 辐射面传热量的测试
G.0.1 以水为媒介的辐射供暖供冷系统供热量或供冷量的测试系统及测试方法可按现行国家标准《采暖散热器散热量测定方法》GB/T 13754的规定确定。
条文说明
G.0.1 由于混凝土填充式系统向上供热量和向下传热量可通过计算确定,而预制沟槽保温辐射面、预制轻薄供暖辐射板、毛细管网辐射面的供热或供冷量尚无法通过计算确定,只能进行实际测试,目前国家标准《辐射供冷及供暖装置热性能测试方法》正在编制过程中,供热量或供冷量的测试系统、测试参数和测试方法等还未曾形成正式标准,因此,本标准中选择参照《采暖散热器散热量测定方法》GB/T 13754中相关要求执行。测试辐射供热量或供冷量需要检测的参数已经确定,即室内空气温度、供回水温度和水流量,通过计算得出相应产品的辐射供热或供冷量。
G.0.2 测试小室内空气温度测点布置应符合本规程第6.1.8条的规定。
G.0.3 测试样品规格及其安装应符合下列规定:
1 测试样品边长宜为3m±0.1m,在闭式小室内居中对称铺设;
2 测试时应按样品使用状态将其安装在模拟楼板上,样品的周边应设置绝热材料,样品安装宜按图G.0.3进行。

G.0.4 以水为媒介的辐射系统辐射供热量或供冷量标准特征公式应按下式计算:
Q=KM·ΔTn (G.0.4)
式中:Q——测试样品的辐射供热量或供冷量(W);
ΔT——过余温度(K);
KM,n——针对测试样品的常数,通过最小二乘法求得。
条文说明
G.0.4 用特征公式表示辐射装置的供热供冷量的意义在于,特征公式表征了装置在一定流量下不同过余温度的供热供冷量,设计人员在设计过程中可在不同过余温度下按照特征公式进行设计选型,也无需按照不同设计温度进行多次测试。
G.0.5 热水辐射供暖系统辐射供热量标准特征公式至少应在过余温度分别为15K±3K、24K±3K和33.5K±1K三个测试工况的基础上确定。标准测试工况应符合下列规定:
1 过余温度为33.5K±1K;
2 基准点空气温度为18℃;
3 装置进口水温为55℃,出口水温为48℃;
4 小室大气压力为标准大气压力。
条文说明
G.0.5 辐射供暖装置依据设计以及工程应用过程中辐射供暖供冷的供回水和室内温度参数来确定,设计中要求“热水地面辐射供暖系统的供、回水温度应由计算确定,供水温度不应大于60℃,供回水温差不宜大于10℃,且不宜小于5℃。民用建筑供水温度宜采用35℃~45℃。”工程中常采用的比较高的供水温度55℃,回水温度48℃,所以,本规程将供回水温度55℃/48℃定为高温工况(标准工况),在《采暖散热器散热量测定方法》GB/T 13754中规定室内基准温度为18℃,本规程仍沿用此温度,则过余温度为33.5K;而按照设计中“民用建筑供水温度宜采用35℃~45℃。”,则第二工况供水温度定为45℃,一般回水温度会在39℃左右,过余温度为24K;第三工况供水温度定为35℃,回水一般会在31℃左右,过余温度为15K。
G.0.6 冷水辐射供冷系统辐射供冷量的标准特征公式至少应在过余温度分别为10.5K±1K、8.5K±2K和6.5K±2K三个测试工况的基础上确定。标准测试工况应符合下列规定:
1 过余温度为10.5K±1K;
2 基准点空气温度为26℃;
3 装置进口水温为14℃,出口水温为17℃;
4 小室大气压力为标准大气压力。
条文说明
G.0.6 德国斯图加特大学IKE/LHR研究所测试毛细管网天花板制冷的参数,标准工况为进水温度13.5℃,出水温度15.5℃,基准点温度为26℃,其过余温度为11.5K。
在此参考其标准测试工况,同时考虑我国不同地区温湿度差异比较大的实际情况,为了减少结露的情况发生,将标准测试工况定为进水温度14℃,出水温度17℃,基准点温度为26℃,则过余温度为10.5K±1K。
本规程中要求“辐射供冷系统的供水温度应高于室内空气露点温度0.5℃以上,并小于20℃;供回水温差宜为2℃~4℃,不应小于2℃”。
在此将第三工况供水温度设定为19℃,一般回水温度会升高1.5℃左右,则过余温度取为6.5K,偏差为±2K。
第二工况取第一和第三工况供水温度的中间值,则供水温度16.5℃,回水温度升高约2.5℃左右,过余温度为8.5K,偏差为±2K。
G.0.7 加热电缆辐射供暖系统功率应采用不低于1.0级的电功率计测量。
G.0.8 辐射面向下传热量可通过测定模拟楼板上表面和下表面平均温度,并经计算获得。模拟楼板上表面和下表面平均温度测定方法应符合本规程第6.1.7条的规定。辐射面向下传热量可按下式计算:

式中:Q1——辐射面向下传热量(W);
tu——模拟楼板上表面平均温度(℃);
td——模拟楼板下表面平均温度(℃);
R——模拟楼板热阻((㎡·℃)/W);
S——测试样品的面积(㎡)。
条文说明
G.0.8、G.0.9 目前,国内外测试辐射供暖供冷系统向上传热量普遍采用热流计的方法,如日本标准《住宅部件性能试验方法——供热供冷系统的地板采暖辐射装置》BLT HS/B-b-8:2007,中提出测试地面辐射板向上的散热量,试验方法是地面辐射装置正面上部全部安装热流计(如果可以认为与全面设置的效果等同时,可以不受此限)。在美国标准《辐射吊顶显热显冷量的测试方法》ASHRAE 138-2009中向上及向下传热量也是采用热流计测试。国内实验室常用的方法也是采用热流计进行测试。
但是,当辐射表面温度均匀性较差的系统,由加热供冷部件上到加热供冷部件之间的热流密度变化梯度较大,且变化是非线性的,尤其是预制沟槽保温板和预制轻薄供暖板系统,利用热流计测量向上供热量时,除非在辐射面上部全部安装热流计,测试结果才能相对准确,但是从技术和经济上此方法很难实现。通过对多种方法进行比对,最终选定利用测量楼板上下表面温差,计算楼板向下传热量,再从热媒供热量减去向下传热量,得出辐射面向上供热量或供冷量的方法。
G.0.9 辐射面向上供热量或供冷量可按下式计算:

式中:Q2——辐射面向上供热量或供冷量(W);
Q——测试样品的辐射供热量或供冷量或电功率(W)。
附录H 工程质量检验表


本规程用词说明
1 为便于在执行本规程条文时区别对待,对要求严格程度不同的用词说明如下:
1)表示很严格,非这样做不可的:
正面词采用“必须”,反面词采用“严禁”;
2)表示严格,在正常情况下均应这样做的:
正面词采用“应”,反面词采用“不应”或“不得”;
3)表示允许稍有选择,在条件许可时首先应这样做的:
正面词采用“宜”,反面词采用“不宜”;
4)表示有选择,在一定条件下可以这样做的采用“可”。
2 条文中指明应按其他有关标准执行的,写法为:“应符合……的规定”或“应按……执行”。
引用标准名录
1 《电气装置安装工程1kV及以下配线工程施工及验收规范》GB 50254
2 《建筑电气工程施工质量验收规范》GB 50303
3 《民用建筑供暖通风及空气调节设计规范》GB 50736
4 《55°密封管螺纹》GB/T 7306
5 《硬质泡沫塑料压缩性能的测定》GB/T 8813
6 《绝热材料稳态热阻及有关特性的测定 防护垫板法》GB 10294
7 《蒸压加气混凝土性能试验方法》GB/T 11969
8 《采暖散热器散热量测定方法》GB/T 13754
9 《冷热水系统用热塑性塑料管材和管件》GB/T 18991
