Appearance
《太阳能供热采暖工程技术规范》GB 50495-2009
🗓️ 实施时间: 2009-08-01
总 则
1 总 则
1.0.1 为规范太阳能供热采暖工程的设计、施工及验收,做到安全适用、经济合理、技术先进可靠,保证工程质量,制定本规范。
1.0.2 本规范适用于在新建、扩建和改建建筑中使用太阳能供热采暖系统的工程,以及在既有建筑上改造或增设太阳能供热采暖系统的工程。
1.0.3 太阳能供热采暖系统应与工程建设项目同步设计、同步施工、统一验收、同时投入使用。
1.0.4 太阳能供热采暖系统应做到全年综合利用,在采暖期为建筑物提供供热采暖,在非采暖期为建筑物提供生活热水或其他用热。
1.0.5 在既有建筑上增设或改造太阳能供热采暖系统,必须经建筑结构安全复核,满足建筑结构及其他相应的安全性要求,并经施工图设计文件审查合格后,方可实施。
1.0.6 设置太阳能供热采暖系统的新建、改建、扩建和既有供暖建筑物,建筑热工与节能设计不应低于国家有关建筑节能标准的规定。
1.0.7 太阳能供热采暖工程设计、施工及验收除应符合本规范外,尚应符合国家现行有关标准的规定。
术 语
2 术 语
2.0.1 太阳能供热采暖系统 solar heating system
将太阳能转换成热能,供给建筑物冬季采暖和全年其他用热的系统,系统主要部件有太阳能集热器、换热蓄热装置、控制系统、其他能源辅助加热/换热设备、泵或风机、连接管道和末端供热采暖系统等。
2.0.2 短期蓄热太阳能供热采暖系统 solar heating system with short-term heat storage
仅设置具有数天贮热容量设备的太阳能供热采暖系统。
2.0.3 季节蓄热太阳能供热采暖系统 solar heating system with seasonal heat storage
设置的贮热设备容量,可贮存在非采暖期获取的太阳能量,用于冬季供热采暖的太阳能供热采暖系统。
2.0.4 液体工质太阳能集热器 solar liquid collector
吸收太阳辐射并将产生的热能传递到液体传热工质的装置。
2.0.5 太阳能空气集热器 solar air collector
吸收太阳辐射并将产生的热能传递到空气传热工质的装置。
2.0.6 液体工质集热器太阳能供热采暖系统 solar heating system using solar liquid collector
使用液体工质太阳能集热器的太阳能供热采暖系统。
2.0.7 太阳能空气集热器供热采暖系统 solar heating system using solar air collector
使用太阳能空气集热器的太阳能供热采暖系统。
2.0.8 太阳能集热系统 solar collector loop
用于收集太阳能并将其转化为热能传递到蓄热装置的系统,包括太阳能集热器、管路、泵或风机(强制循环系统)、换热器(间接系统)、蓄热装置及相关附件。
2.0.9 直接式太阳能集热系统(直接系统) solar direct sys-tem
在太阳能集热器中直接加热水供给用户的太阳能集热系统。
2.0.10 间接式太阳能集热系统(间接系统) solar indirect system
在太阳能集热器中加热液体传热工质,再通过换热器由该种传热工质加热水供给用户的太阳能集热系统。
2.0.11 开式太阳能集热系统(开式系统) solar open system
与大气相通的太阳能集热系统。
2.0.12 闭式太阳能集热系统(闭式系统) solar closed sys-tem
不与大气相通的太阳能集热系统。
2.0.13 排空系统 drain down system
在可能发生工质被冻结情况时,可将全部工质全部排空以防止冻害的直接式太阳能集热系统。
2.0.14 排回系统 drain back system
在可能发生工质被冻结情况时,可将全部工质排回室内贮液罐以防止冻害的间接式太阳能集热系统。
2.0.15 防冻液系统 antifreeze system
采用防冻液作为传热工质以防止冻害的间接式太阳能集热系统。
2.0.16 循环防冻系统 prevent freeze with circulation
在可能发生工质被冻结情况时,启动循环泵使工质循环以防止冻害的直接式太阳能集热系统。
2.0.17 太阳能保证率 solar fraction
太阳能供热采暖系统中由太阳能供给的热量占系统总热负荷的百分率。
2.0.18 系统费效比 cost/benefit ratio of the system
太阳能供热采暖系统的增投资与系统在正常使用寿命期内的总节能量的比值(元/kWh),表示利用太阳能节省每千瓦小时常规能源热量的投资成本。
2.0.19 建筑物耗热量 heat loss of building
在计算采暖期室外平均气温条件下,为保持室内设计计算温度,建筑物在单位时间内消耗的、需由室内供暖设备供给的热量。单位为瓦(W)。
2.0.20 采暖热负荷 heating load for space heating
在采暖室外计算温度条件下,为保持室内设计计算温度,建筑物在单位时间内消耗的、需由供热设施供给的热量。单位为瓦(W)。
2.0.21 太阳能集热器总面积 gross collector area
整个集热器的最大投影面积,不包括那些固定和连接传热工质管道的组成部分。单位为平方米(m2)。
2.0.22 太阳能集热器采光面积 aperture collector area
非会聚太阳辐射进入集热器的最大投影面积。单位为平方米(m2)。
太阳能供热采暖系统设计
3.1 一般规定
3.1 一般规定
3.1.1 太阳能供热采暖系统类型的选择,应根据所在地区气候、太阳能资源条件、建筑物类型、建筑物使用功能、业主要求、投资规模、安装条件等因素综合确定。
3.1.2 太阳能供热采暖系统设计应充分考虑施工安装、操作使用、运行管理、部件更换和维护等要求,做到安全、可靠、适用、经济、美观。
3.1.3 太阳能供热采暖系统应根据不同地区和使用条件采取防冻、防结露、防过热、防雷、防雹、抗风、抗震和保证电气安全等技术措施。
3.1.4 太阳能供热采暖系统应设置其他能源辅助加热/换热设备,做到因地制宜、经济适用。
3.1.5 太阳能供热采暖系统中的太阳能集热器的性能应符合现行国家标准《平板型太阳能集热器》GB/T 6424和《真空管型太阳能集热器》GB/T 17581的规定,正常使用寿命不应少于10年。其余组成设备和部件的质量应符合国家相关产品标准的规定。
3.1.6 在太阳能供热采暖系统中,宜设置能耗计量装置。
3.1.7 太阳能供热采暖系统设计完成后,应进行系统节能、环保效益预评估。
3.2 供热采暖系统选型
3.2 供热采暖系统选型
3.2.1 太阳能供热采暖系统可由太阳能集热系统、蓄热系统、末端供热采暖系统、自动控制系统和其他能源辅助加热/换热设备集合构成。
3.2.2 按所使用的太阳能集热器类型,太阳能供热采暖系统可分为下列两种系统:
1 液体工质集热器太阳能供热采暖系统;
2 太阳能空气集热器供热采暖系统。
3.2.3 按集热系统的运行方式,太阳能供热采暖系统可分为下列两种系统:
1 直接式太阳能供热采暖系统;
2 间接式太阳能供热采暖系统。
3.2.4 按所使用的末端采暖系统类型,太阳能供热采暖系统可分为下列四种系统:
1 低温热水地板辐射采暖系统;
2 水-空气处理设备采暖系统;
3 散热器采暖系统;
4 热风采暖系统。
3.2.5 按蓄热能力,太阳能供热采暖系统可分为下列两种系统:
1 短期蓄热太阳能供热采暖系统;
2 季节蓄热太阳能供热采暖系统。
3.2.6 太阳能供热采暖系统的类型宜根据建筑气候分区和建筑物类型参照表3.2.6选择。
表3.2.6 太阳能供热采暖系统选型


注:表中“●”为可选用项。
3.2.7 液体工质集热器太阳能供热采暖系统可用于现行国家标准《采暖通风与空气调节设计规范》GB 50019中规定采用热水辐射采暖、空气调节系统采暖和散热器采暖的各类建筑。太阳能空气集热器供暖系统可用于建筑物内需热风采暖的区域。
3.3 供热采暖系统负荷计算
3.3 供热采暖系统负荷计算
3.3.1 对采暖热负荷和生活热水负荷分别进行计算后,应选两者中较大的负荷确定为太阳能供热采暖系统的设计负荷,太阳能供热采暖系统的设计负荷应由太阳能集热系统和其他能源辅助加热/换热设备共同负担。
3.3.2 太阳能集热系统负担的采暖热负荷是在计算采暖期室外平均气温条件下的建筑物耗热量。建筑物耗热量、围护结构传热耗热量、空气渗透耗热量的计算应符合下列规定:
1 建筑物耗热量应按下式计算:

式中 QH——建筑物耗热量,W;
QHT——通过围护结构的传热耗热量,W;
QINF——空气渗透耗热量,W;
QIH——建筑物内部得热量(包括照明、电器、炊事和人体散热等),W。
2 通过围护结构的传热耗热量应按下式计算:

式中 QHT——通过围护结构的传热耗热量,W;
ti——室内空气计算温度,按《采暖通风与空气调节设计规范》GB 50019中的规定范围的低限选取,℃;
te——采暖期室外平均温度,℃;
ε——各个围护结构传热系数的修正系数,参照相关的建筑节能设计行业标准选取;
K——各个围护结构的传热系数,W/(m2·℃);
F——各个围护结构的面积,m2。
3 空气渗透耗热量应按下式计算:

式中 QINF——空气渗透耗热量,W;
cP——空气比热容,取0.28W·h/(kg·℃);
ρ——空气密度,取te条件下的值,kg/m3;
N——换气次数,次/h;
V——换气体积,m3/次。
3.3.3 其他能源辅助加热/换热设备负担在采暖室外计算温度条件下建筑物采暖热负荷的计算应符合下列规定:
1 采暖热负荷应按现行国家标准《采暖通风与空气调节设计规范》GB 50019中的规定计算。
2 在标准规定可不设置集中采暖的地区或建筑,宜根据当地的实际情况,适当降低室内空气计算温度。
3.3.4 太阳能集热系统负担的热水供应负荷为建筑物的生活热水日平均耗热量。热水日平均耗热量应按下式计算:

式中 QW——生活热水日平均耗热量,W;
m——用水计算单位数,人数或床位数;
qr——热水用水定额,根据《建筑给水排水设计规范》GB 50015规定,按热水最高日用水定额的下限取值,L/(人·d)或L/(床·d);
cW——水的比热容,取4187J/(kg·℃);
ρW——热水密度,kg/L;
tr——设计热水温度,℃;
tl——设计冷水温度,℃。
3.4 太阳能集热系统设计
3.4 太阳能集热系统设计
3.4.1 太阳能集热系统设计应符合下列基本规定:
1 建筑物上安装太阳能集热系统,严禁降低相邻建筑的日照标准。
2 直接式太阳能集热系统宜在冬季环境温度较高,防冻要求不严格的地区使用;冬季环境温度较低的地区,宜采用间接式太阳能集热系统。
3 太阳能集热系统管道应选用耐腐蚀和安装连接方便可靠的管材。可采用铜管、不锈钢管、塑料和金属复合热水管等。
3.4.2 太阳能集热器的设置应符合下列规定:
1 太阳能集热器宜朝向正南,或南偏东、偏西30°的朝向范围内设置;安装倾角宜选择在当地纬度—10°~+20°的范围内;当受实际条件限制时,应按附录A进行面积补偿,合理增加集热器面积,并应进行经济效益分析。
2 放置在建筑外围护结构上的太阳能集热器,在冬至日集热器采光面上的日照时数应不少于4h。前、后排集热器之间应留有安装、维护操作的足够间距,排列应整齐有序。
3 某一时刻太阳能集热器不被前方障碍物遮挡阳光的日照间距应按下式计算:

式中 D——日照间距,m;
H——前方障碍物的高度,m;
h——计算时刻的太阳高度角,°;
γ0——计算时刻太阳光线在水平面上的投影线与集热器表面法线在水平面上的投影线之间的夹角,°。
4 太阳能集热器不得跨越建筑变形缝设置。
3.4.3 确定太阳能集热器总面积应符合下列规定:
1 直接系统集热器总面积应按下式计算:

式中 AC——直接系统集热器总面积,m2;
QH——建筑物耗热量,W;
JT——当地集热器采光面上的平均日太阳辐照量,J/(m2·d),按附录B选取;
f——太阳能保证率,%,按附录B选取;
ηcd——基于总面积的集热器平均集热效率,%,按附录C方法计算;
ηL——管路及贮热装置热损失率,%,按附录D方法计算。
2 间接系统集热器总面积应按下式计算:

式中 AIN——间接系统集热器总面积,m2;
AC——直接系统集热器总面积,m2;
UL——集热器总热损系数,W/(m2·℃),测试得出;
Uhx——换热器传热系数,W/(m2·℃),查产品样本得出;
Ahx——间接系统换热器换热面积,m2,按附录E方法计算。
3.4.4 太阳能集热系统的设计流量应按下列公式和推荐的参数计算。
1 太阳能集热系统的设计流量应按下式计算:

式中 GS——太阳能集热系统的设计流量,m3/h;
g——太阳能集热器的单位面积流量,m3/(h·m2);
A——太阳能集热器的采光面积,m2。
2 太阳能集热器的单位面积流量应根据太阳能集热器生产企业给出的数值确定。在没有企业提供相关技术参数的情况下,根据不同的系统,宜按表3.4.4给出的范围取值。
表3.4.4 太阳能集热器的单位面积流量

3.4.5 太阳能集热系统宜采用自动控制变流量运行。
3.4.6 太阳能集热系统的防冻设计应符合下列规定:
1 在冬季室外环境温度可能低于0℃的地区,应进行太阳能集热系统的防冻设计。
2 太阳能集热系统可采用的防冻措施宜根据集热系统类型、使用地区参照表3.4.6选择。
表3.4.6 太阳能集热系统的防冻设计选型

注:表中“●”为可选用项。
3 太阳能集热系统的防冻措施应采用自动控制运行工作。
3.5 蓄热系统设计
3.5 蓄热系统设计
3.5.1 太阳能蓄热系统设计应符合下列基本规定:
1 应根据太阳能集热系统形式、系统性能、系统投资,供热采暖负荷和太阳能保证率进行技术经济分析,选取适宜的蓄热系统。
2 太阳能供热采暖系统的蓄热方式,应根据蓄热系统形式、投资规模和当地的地质、水文、土壤条件及使用要求按表3.5.1进行选择。
表3.5.1 蓄热方式选用表

注:表中“●”为可选用项。
3 短期蓄热液体工质集热器太阳能供暖系统,宜用于单体建筑的供暖;季节蓄热液体工质集热器太阳能供暖系统,宜用于较大建筑面积的区域供暖。
4 蓄热水池不应与消防水池合用。
3.5.2 液体工质蓄热系统设计应符合下列规定:
1 根据当地的太阳能资源、气候、工程投资等因素综合考虑,短期蓄热液体工质集热器太阳能供暖系统的蓄热量应满足建筑物1~5天的供暖需求。
2 各类太阳能供热采暖系统对应每平方米太阳能集热器采光面积的贮热水箱、水池容积范围可按表3.5.2选取,宜根据设计蓄热时间周期和蓄热量等参数计算确定。
表3.5.2 各类系统贮热水箱的容积选择范围

3 应合理布置太阳能集热系统、生活热水系统、供暖系统与贮热水箱的连接管位置,实现不同温度供热/换热需求,提高系统效率。
4 水箱进、出口处流速宜小于0.04m/s,必要时宜采用水流分布器。
5 设计地下水池季节蓄热系统的水池容量时,应校核计算蓄热水池内热水可能达到的最高温度;宜利用计算软件模拟系统的全年运行性能,进行计算预测。水池的最高水温应比水池工作压力对应的工质沸点温度低5℃。
6 地下水池应根据相关国家标准、规范进行槽体结构、保温结构和防水结构的设计。
7 季节蓄热地下水池应有避免池内水温分布不均匀的技术措施。
8 贮热水箱和地下水池宜采用外保温,其保温设计应符合国家现行标准《采暖通风与空气调节设计规范》GB 50019及《设备及管道绝热设计导则》GB/T 8175的规定。
9 设计土壤埋管季节蓄热系统之前,应进行地质勘察,确定当地的土壤地质条件是否适宜埋管,是否宜与地埋管热泵系统配合使用。
3.5.3 卵石堆蓄热设计应符合下列规定:
1 空气蓄热系统的蓄热装置——卵石堆蓄热器(卵石箱)内的卵石含量为每平方米集热器面积250kg;卵石直径小于10cm时,卵石堆深度不宜小于2m,卵石直径大于10cm时,卵石堆深度不宜小于3m。卵石箱上下风口的面积应大于8%的卵石箱截面积,空气通过上下风口流经卵石堆的阻力应小于37Pa。
2 放入卵石箱内的卵石应大小均匀并清洗干净,直径范围宜在5~10cm之间;不应使用易破碎或可与水和二氧化碳起反应的石头。卵石堆可水平或垂直铺放在箱内,宜优先选用垂直卵石堆,地下狭窄、高度受限的地点宜选用水平卵石堆。
3.5.4 相变材料蓄热设计应符合下列规定:
1 空气集热器太阳能供暖系统采用相变材料蓄热时,热空气可直接流过相变材料蓄热器加热相变材料进行蓄热;液体工质集热器太阳能供暖系统采用相变材料蓄热时,应增设换热器,通过换热器加热相变材料蓄热器中的相变材料进行蓄热。
2 应根据太阳能供热采暖系统的工作温度,选择确定相变材料,使相变材料的相变温度与系统的工作温度范围相匹配。常用相变材料特性可参见附录G。
3.6 控制系统设计
3.6 控制系统设计
3.6.1 太阳能供热采暖系统的自动控制设计应符合下列基本规定:
1 太阳能供热采暖系统应设置自动控制。自动控制的功能应包括对太阳能集热系统的运行控制和安全防护控制、集热系统和辅助热源设备的工作切换控制。太阳能集热系统安全防护控制的功能应包括防冻保护和防过热保护。
2 控制方式应简便、可靠、利于操作;相应设置的电磁阀、温度控制阀、压力控制阀、泄水阀、自动排气阀、止回阀、安全阀等控制元件性能应符合相关产品标准要求。
3 自动控制系统中使用的温度传感器,其测量不确定度不应大于0.5℃。
3.6.2 系统运行和设备工作切换的自动控制应符合下列规定:
1 太阳能集热系统宜采用温差循环运行控制。
2 变流量运行的太阳能集热系统,宜采用设太阳辐照感应传感器(如光伏电池板等)或温度传感器的方式,应根据太阳辐照条件或温差变化控制变频泵改变系统流量,实现优化运行。
3 太阳能集热系统和辅助热源加热设备的相互工作切换宜采用定温控制。应在贮热装置内的供热介质出口处设置温度传感器,当介质温度低于“设计供热温度”时,应通过控制器启动辅助热源加热设备工作,当介质温度高于“设计供热温度”时,辅助热源加热设备应停止工作。
3.6.3 系统安全和防护的自动控制应符合下列规定:
1 使用排空和排回防冻措施的直接和间接式太阳能集热系统宜采用定温控制。当太阳能集热系统出口水温低于设定的防冻执行温度时,通过控制器启闭相关阀门完全排空集热系统中的水或将水排回贮水箱。
2 使用循环防冻措施的直接式太阳能集热系统宜采用定温控制。当太阳能集热系统出口水温低于设定的防冻执行温度时,通过控制器启动循环泵进行防冻循环。
3 水箱防过热温度传感器应设置在贮热水箱顶部,防过热执行温度应设定在80℃以内;系统防过热温度传感器应设置在集热系统出口,防过热执行温度的设定范围应与系统的运行工况和部件的耐热能力相匹配。
4 为防止因系统过热而设置的安全阀应安装在泄压时排出的高温蒸汽和水不会危及周围人员的安全的位置上,并应配备相应的措施;其设定的开启压力,应与系统可耐受的最高工作温度对应的饱和蒸汽压力相一致。
3.7 末端供暖系统设计
3.7 末端供暖系统设计
3.7.1 液体工质集热器太阳能供热采暖系统可采用低温热水地板辐射、水-空气处理设备和散热器等末端供暖系统。
3.7.2 空气集热器太阳能供热采暖系统应采用热风采暖末端供暖系统,宜采用部分新风加回风循环的风管送风系统,系统运行噪声应符合国家相关规范的要求。
3.7.3 太阳能供热采暖系统的末端供暖系统设计应符合国家现行标准《采暖通风与空气调节设计规范》GB 50019和《地面辐射供暖技术规程》JGJ 142的规定。
3.8 热水系统设计
3.8 热水系统设计
3.8.1 太阳能供热采暖系统中热水系统的供热水范围,应根据所在地区气候、太阳能资源条件、建筑物类型、功能,综合业主要求、投资规模、安装等条件确定,并应保证系统在非采暖季正常运行时不会发生过热现象。
3.8.2 热水系统设计应符合现行国家标准《建筑给水排水设计规范》GB 50015、《民用建筑太阳能热水系统应用技术规范》GB 50364的规定。
3.8.3 生活热水系统水质的卫生指标,应符合现行国家标准《生活饮用水卫生标准》GB 5749的要求。
3.9 其他能源辅助加热/换热设备设计选型
3.9 其他能源辅助加热/换热设备设计选型
3.9.1 其他能源加热/换热设备所使用的常规能源种类,应符合现行国家标准《采暖通风与空气调节设计规范》GB 50019、《公共建筑节能设计标准》GB 50189的规定。
3.9.2 其他能源加热/换热设备的选择原则和设备的综合性能应符合现行国家标准《公共建筑节能设计标准》GB 50189的规定。
3.9.3 其他能源加热/换热设备的设计选型应符合现行国家标准《采暖通风与空气调节设计规范》GB 50019、《锅炉房设计规范》GB 50041的规定。
太阳能供热采暖工程施工
4.1 一般规定
4.1 一般规定
4.1.1 太阳能供热采暖系统的施工安装不得破坏建筑物的结构、屋面、地面防水层和附属设施,不得削弱建筑物在寿命期内承受荷载的能力。
4.1.2 太阳能供热采暖系统的施工安装应单独编制施工组织设计,并应包括与主体结构施工、设备安装、装饰装修等相关工种的协调配合方案和安全措施等内容。
4.1.3 太阳能供热采暖系统施工安装前应具备下列条件:
1 设计文件齐备,且已审查通过;
2 施工组织设计及施工方案已经批准;
3 施工场地符合施工组织设计要求;
4 现场水、电、场地、道路等条件能满足正常施工需要;
5 预留基础、孔洞、设施符合设计图纸,并已验收合格;
6 既有建筑经结构复核或法定检测机构同意安装太阳能供热采暖系统的鉴定文件。
4.1.4 太阳能供热采暖系统连接管线、部件、阀门等配件选用的材料应耐受系统的最高工作温度和工作压力。
4.1.5 进场安装的太阳能供热采暖系统产品、配件、材料有产品合格证,其性能应符合设计要求;集热器应有性能检测报告。
4.2 太阳能集热系统施工
4.2 太阳能集热系统施工
4.2.1 太阳能集热器的安装方位应符合设计要求并使用罗盘仪定位。
4.2.2 太阳能集热器的相互连接以及真空管与联箱的密封应按照产品设计的连接和密封方式安装,具体操作应严格按产品说明书进行。
4.2.3 安装在平屋面专用基座上的太阳能集热器,应按照设计要求保证基座的强度,基座与建筑主体结构应牢固连接;应做好防水处理,防水制作应符合现行国家标准《屋面工程质量验收规范》GB 50207的规定。
4.2.4 埋设在坡屋面结构层的预埋件应在结构层施工时同时埋入,位置应准确。预埋件应做防腐处理,在太阳能集热系统安装前应妥善保护。
4.2.5 带支架安装的太阳能集热器,其支架强度、抗风能力、防腐处理和热补偿措施等应符合设计要求或国家现行标准的规定。
4.2.6 太阳能集热系统管线穿过屋面、露台时,应预埋防水套管。
4.2.7 太阳能集热系统的管道施工安装应符合现行国家标准《建筑给水排水及采暖工程施工质量验收规范》GB 50242、《通风与空调工程施工质量验收规范》GB 50243的规定。
4.3 太阳能蓄热系统施工
4.3 太阳能蓄热系统施工
4.3.1 用于制作贮热水箱的材质、规格应符合设计要求;钢板焊接的贮热水箱,水箱内、外壁应按设计要求做防腐处理,内壁防腐涂料应卫生、无毒,能长期耐受所贮存热水的最高温度。
4.3.2 贮热水箱制作应符合相关标准的规定;贮热水箱保温应在水箱检漏试验合格后进行,保温制作应符合现行国家标准《工业设备及管道绝热工程质量检验评定标准》GB 50185的规定;贮热水箱内箱应做接地处理,接地应符合现行国家标准《电气装置安装工程接地装置施工及验收规范》GB 50169的规定。
4.3.3 贮热水箱和支架间应有隔热垫,不宜直接刚性连接。
4.3.4 蓄热地下水池现场施工制作时,应符合下列规定:
1 地下水池应满足系统承压要求,并应能承受土壤等荷载;
2 地下水池应严密、无渗漏;
3 地下水池及内部部件应作抗腐蚀处理,内壁防腐涂料应卫生、无毒,能长期耐受所贮存热水的最高温度;
4 地下水池选用的保温材料和保温构造做法应能长期耐受所贮存热水的最高温度。
4.3.5 太阳能蓄热系统的管道施工安装应符合现行国家标准《建筑给水排水及采暖工程施工质量验收规范》GB 50242、《通风与空调工程施工质量验收规范》GB 50243的规定。
4.4 控制系统施工
4.4 控制系统施工
4.4.1 系统的电缆线路施工和电气设施的安装应符合现行国家标准《电气装置安装工程电缆线路施工及验收规范》GB 50168和《建筑电气工程施工质量验收规范》GB 50303的相关规定。
4.4.2 系统中全部电气设备和与电气设备相连接的金属部件应做接地处理。电气接地装置的施工应符合现行国家标准《电气装置安装工程接地装置施工及验收规范》GB 50169的规定。
4.5 末端供暖系统施工
4.5 末端供暖系统施工
4.5.1 末端供暖系统的施工安装应符合现行国家标准《建筑给水排水及采暖工程施工质量验收规范》GB 50242、《通风与空调工程施工质量验收规范》GB 50243的相关规定。
4.5.2 低温热水地板辐射供暖系统的施工安装应符合现行行业标准《地面辐射供暖技术规程》JGJ 142的相关规定。
太阳能供热采暖工程的调试、验收与效益评估
5.1 一般规定
5.1 一般规定
5.1.1 太阳能供热采暖工程安装完毕投入使用前,应进行系统调试。系统调试应在竣工验收阶段进行;不具备使用条件时,经建设单位同意,可延期进行。
5.1.2 系统调试应包括设备单机、部件调试和系统联动调试。系统联动调试应按照实际运行工况进行,联动调试完成后,应进行连续3天试运行。
5.1.3 太阳能供热采暖系统工程的验收应分为分项工程验收和竣工验收。分项工程验收应由监理工程师(建设单位技术负责人)组织施工单位项目专业质量(技术)负责人等进行;竣工验收应由建设单位(项目)负责人组织施工单位、设计、监理等单位(项目)负责人进行。
5.1.4 分项工程验收宜根据工程施工特点分期进行,对于影响工程安全和系统性能的工序,必须在本工序验收合格后才能进入下一道工序的施工。
5.1.5 竣工验收应在工程移交用户前,分项工程验收合格后进行;竣工验收应提交下列验收资料:
1 设计变更证明文件和竣工图;
2 主要材料、设备、成品、半成品、仪表的出厂合格证明或检验资料;
3 屋面防水检漏记录;
4 隐蔽工程验收记录和中间验收记录;
5 系统水压试验记录;
6 系统生活热水水质检验记录;
7 系统调试及试运行记录;
8 系统热工性能检验记录。
5.1.6 太阳能供热采暖工程施工质量的保修期限,自竣工验收合格日起计算为二个采暖期。在保修期内发生施工质量问题的,施工企业应履行保修职责,责任方承担相应的经济责任。
5.2 系统调试
5.2 系统调试
5.2.1 太阳能供热采暖工程的系统调试,应由施工单位负责,监理单位监督,设计单位与建设单位参与和配合。系统调试的实施单位可以是施工企业本身或委托给有调试能力的其他单位。
5.2.2 太阳能供热采暖工程的系统联动调试,应在设备单机、部件调试和试运转合格后进行。
5.2.3 设备单机、部件调试应包括下列内容:
1 检查水泵安装方向;
2 检查电磁阀安装方向;
3 温度、温差、水位、流量等仪表显示正常;
4 电气控制系统应达到设计要求功能,动作准确;
5 剩余电流保护装置动作准确可靠;
6 防冻、过热保护装置工作正常;
7 各种阀门开启灵活,密封严密;
8 辅助能源加热设备工作正常,加热能力达到设计要求。
5.2.4 系统联动调试应包括下列内容:
1 调整系统各个分支回路的调节阀门,使各回路流量平衡,达到设计流量;
2 调试辅助热源加热设备与太阳能集热系统的工作切换,达到设计要求;
3 调整电磁阀使阀前阀后压力处于设计要求的压力范围内。
5.2.5 系统联动调试后的运行参数应符合下列规定:
1 额定工况下供热采暖系统的流量和供热水温度、热风采暖系统的风量和热风温度的调试结果与设计值的偏差不应大于现行国家标准《通风与空调工程施工质量验收规范》GB 50243的相关规定;
2 额定工况下太阳能集热系统的流量或风量与设计值的偏差不应大于10%;
3 额定工况下太阳能集热系统进出口工质的温差应符合设计要求。
5.3 工程验收
5.3 工程验收
5.3.1 太阳能供热采暖工程的分部、分项工程可按表5.3.1划分。
表5.3.1 太阳能供热采暖工程的分部、分项工程划分表

5.3.2 太阳能供热采暖系统中的隐蔽工程,在隐蔽前应经监理人员验收及认可签证。
5.3.3 太阳能供热采暖系统中的土建工程验收前,应在安装施工中完成下列隐蔽项目的现场验收:
1 安装基础螺栓和预埋件;
2 基座、支架、集热器四周与主体结构的连接节点;
3 基座、支架、集热器四周与主体结构之间的封堵及防水;
4 太阳能供热采暖系统与建筑物避雷系统的防雷连接节点或系统自身的接地装置安装。
5.3.4 太阳能集热器的安装方位角和倾角应满足设计要求,安装误差应在±3°以内。
5.3.5 太阳能供热采暖工程的检验、检测应包括下列主要内容:
1 压力管道、系统、设备及阀门的水压试验;
2 系统的冲洗及水质检测;
3 系统的热性能检测。
5.3.6 太阳能供热采暖系统管道的水压试验压力应为工作压力的1.5倍,工作压力应符合设计要求。设计未注明时,开式太阳能集热系统应以系统顶点工作压力加0.1MPa作水压试验;闭式太阳能集热系统和采暖系统应按现行国家标准《建筑给水排水及采暖工程施工质量验收规范》GB 50242的规定进行。
5.4 工程效益评估
5.4 工程效益评估
5.4.1 太阳能供热采暖系统工作运行后,宜进行系统能耗的定期监测。
5.4.2 太阳能供热采暖工程的节能、环保效益的分析评定指标应包括:系统的年节能量、年节能费用、费效比和二氧化碳减排量。
5.4.3 计算太阳能供热采暖系统的年节能量、系统全寿命周期内的总节能费用、费效比和二氧化碳减排量,可采用附录F中的公式评估。
附录A 不同地区太阳能集热器的补偿面积比
附录A 不同地区太阳能集热器的补偿面积比
A.0.1 太阳能集热器的面积补偿应按下式计算:

式中 AB——进行面积补偿后实际确定的太阳能集热器面积;
AC——按集热器方位正南,倾角为当地纬度,用本规范式(3.4.3-1)、式(3.4.3-2)计算得出的太阳能集热器面积;
RS——太阳能集热器补偿面积比。
A.0.2 代表城市的太阳能集热器补偿面积比RS可选用表A.0.2-1和表A.0.2-2中的对应值,表A.0.2-1适用于短期蓄热系统,表A.0.2-2适用于季节蓄热系统。表中未列入的城市,可选用与该表中距离最近,而且纬度最接近的城市的RS对应值。
表A.0.2-1 代表城市的太阳能集热器补偿面积比RS(适用于短期蓄热系统)


















表A.0.2-2 代表城市的太阳能集热器补偿面积比RS(适用于季节蓄热系统)


















附录B 代表城市气象参数及不同地区太阳能保证率推荐值
附录B 代表城市气象参数及不同地区太阳能保证率推荐值
B.0.1 太阳能供热采暖系统设计采用的气象参数可按照表B.0.1选取。
表B.0.1 代表城市气象参数



注:Hha:水平面年平均日辐照量,MJ/(m2·d);
HLa:当地纬度倾角平面年平均日辐照量,MJ/(m2·d);
Hht:水平面12月的月平均日辐照量,MJ/(m2·d);
HLt:当地纬度倾角平面12月的月平均日辐照量,MJ/(m2·d);
Ta:年平均环境温度,℃;
Td:12月的月平均环境温度,℃;
Th:计算采暖期平均环境温度,℃;
Sy:年平均每日的日照小时数,h;
Sd:12月的月平均每日的日照小时数,h。
B.0.2 太阳能供热采暖系统在不同资源区内的太阳能保证率f可按表B.0.2的推荐范围选取。
表B.0.2 不同地区太阳能供热采暖系统的太阳能保证率f的推荐选值范围

附录C 太阳能集热器平均集热效率计算方法
附录C 太阳能集热器平均集热效率计算方法
C.0.1 太阳能集热器的集热效率应根据选用产品的实际测试效率公式(C.0.1-1)或(C.0.1-2)进行计算。

式中 η——以T*为参考的集热器热效率,%;
η0——T*=0时的集热器热效率,%;
U——以T*为参考的集热器总热损系数,W/(m2·K);
T*——归一化温差,(m2·K)/W。

式中 a1——以T*为参考的常数;
a2——以T*为参考的常数;
G——总太阳辐照度,W/m2。

式中 ti——集热器工质进口温度,℃;
ta——环境温度,℃。
C.0.2 短期蓄热太阳能供热采暖系统计算太阳能集热器集热效率时,归一化温差计算的参数选择应符合下列原则:
1 直接系统的ti取供暖系统的回水温度,间接系统的ti等于供暖系统的回水温度加换热器的换热温差。
2 ta取当地12月的月平均室外环境空气温度。
3 总太阳辐照度G应按下式计算。

式中 Hd——当地12月集热器采光面上的太阳总辐射月平均日辐照量,kJ/(m2·d);
Sd——当地12月的月平均每日的日照小时数,h。
C.0.3 季节蓄热太阳能供热采暖系统计算太阳能集热器集热效率时,归一化温差计算的参数选择应符合下列原则:
1 直接系统的ti取供暖系统的回水温度,间接系统的ti等于供暖系统的回水温度加换热器的换热温差。
2 ta取当地的年平均室外环境空气温度。
3 总太阳辐照度G应按下式计算。

式中 Hy——当地集热器采光面上的太阳总辐射年平均日辐照量,kJ/(m2·d);
Sy——当地的年平均每日的日照小时数,h。
附录D 太阳能集热系统管路、水箱热损失率计算方法
附录D 太阳能集热系统管路、水箱热损失率计算方法
D.0.1 管路、水箱热损失率ηL可按经验取值估算,ηL的推荐取值范围为:
短期蓄热太阳能供热采暖系统:10%~20%
季节蓄热太阳能供热采暖系统:10%~15%
D.0.2 需要准确计算时,可按D.0.3~D.0.5条给出的公式迭代计算。
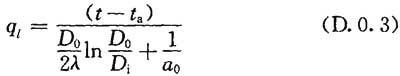
D.0.3 太阳能集热系统管路单位表面积的热损失可按下式计算:

式中 ql——管路单位表面积的热损失,W/m2;
Di——管道保温层内径,m;
D0——管道保温层外径,m;
ta——保温结构周围环境的空气温度,℃;
t——设备及管道外壁温度,金属管道及设备通常可取介质温度,℃;
a0——表面放热系数,W/(m2·℃);
λ——保温材料的导热系数,W/(m·℃)。
D.0.4 贮水箱单位表面积的热损失可按下式计算:

式中 q——贮水箱单位表面积的热损失,W/m2;
δ——保温层厚度,m;
λ——保温材料导热系数,W/(m·℃);
a——表面放热系数,W/(m2·℃)。
对于圆形水箱保温:

D.0.5 管路及贮水箱热损失率ηL可按下式计算:

式中 A1——管路表面积,m2;
A2——贮水箱表面积,m2;
AC——系统集热器总面积;
G——集热器采光面上的总太阳辐照度,W/m2;
ηcd——基于总面积的集热器平均集热效率,%,按附录C方法计算。
附录E 间接系统热交换器换热面积计算方法
附录E 间接系统热交换器换热面积计算方法
E.0.1 间接系统热交换器换热面积可按下式计算:

式中 Ahx——间接系统热交换器换热面积,m2;
ηL——贮热水箱到热交换器的管路热损失率,一般可取0.02~0.05:
Qhx——热交换器换热量,kW;
ε——结垢影响系数,0.6~0.8;
Uhx——热交换器传热系数,按热交换器技术参数确定;
△tj——传热温差,宜取5~10℃,集热器热性能好,温差取高值,否则取低值。
E.0.2 热交换器换热量可按下式计算:

式中 Qhx——热交换器换热量,kW;
k——太阳辐照度时变系数,取1.5~1.8,取高限对太阳能利用有利,但会增加造价;
f——太阳能保证率,%,按附录B选取;
Q——太阳能供热采暖系统负担的采暖季平均日供热量,kJ;
Sy——当地的年平均每日的日照小时数,h。
E.0.3 太阳能供热采暖系统负担的采暖季平均日供热量可按下式计算:

式中 Q——太阳能供热采暖系统负担的采暖季平均日供热量,kJ;
QH——建筑物耗热量,kW。
附录F 太阳能供热采暖系统效益评估计算公式
附录F 太阳能供热采暖系统效益评估计算公式
F.0.1 太阳能供热采暖系统的年节能量可按下式计算:

式中 △Qsave——太阳能供热采暖系统的年节能量,MJ;
Ac——系统的太阳能集热器面积,m2;
JT——太阳能集热器采光表面上的年总太阳辐照量,MJ/m2;
ηcd——太阳能集热器的年平均集热效率,%;
ηc——管路、水泵、水箱和季节蓄热装置的热损失率。
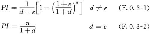
F.0.2 太阳能供热采暖系统寿命期内的总节能费可按下式计算:

式中 SAV——系统寿命期内的总节能费用,元;
PI——折现系数;
Cc——系统评估当年的常规能源热价,元/MJ;
A——太阳能热水系统总增投资,元;
DJ——每年用于与太阳能供热采暖系统有关的维修费用,包括太阳集热器维护,集热系统管道维护和保温等费用占总增投资的百分率;一般取1%。
F.0.3 折现系数PI可按下式计算:

式中 d——年市场折现率,可取银行贷款利率;
e——年燃料价格上涨率;
n——分析节省费用的年限,从系统开始运行算起,取集热系统寿命(一般为10~15年)。
F.0.4 系统评估当年的常规能源热价Cc可按下式计算:

式中 C′c——系统评估当年的常规能源价格,元/kg;
q——常规能源的热值,MJ/kg;
Eff——常规能源水加热装置的效率,%。
F.0.5 太阳能供热采暖系统的费效比可按下式计算:

式中 B——系统费效比,元/kWh。
F.0.6 太阳能供热采暖系统的二氧化碳减排量可按下式计算:

式中 Qco2——系统寿命期内二氧化碳减排量,kg;
W——标准煤热值,29.308M.1/kg;
Fco2——二氧化碳排放因子,按表F.0.6取值。
表F.0.6 二氧化碳排放因子

附录G 常用相变材料特性
附录G 常用相变材料特性
表G 常用相变材料特性

本规范用词说明
本规范用词说明
1 为便于在执行本规范条文时区别对待,对要求严格程度不同的用词说明如下:
1)表示很严格,非这样做不可的:
正面词采用“必须”,反面词采用“严禁”;
2)表示严格,在正常情况下均应这样做的:
正面词采用“应”,反面词采用“不应”或“不得”;
3)表示允许稍有选择,在条件许可时首先应这样做的:
正面词采用“宜”,反面词采用“不宜”;
表示有选择,在一定条件下可以这样做的,采用“可”。
2 条文中指明应按其他有关标准执行的写法为:“应符合……的规定(或要求)”或“应按……执行”。
引用标准名录
引用标准名录
1 《生活饮用水卫生标准》GB 5749
2 《设备及管道绝热设计导则》GB/T 8175
3 《建筑给水排水设计规范》GB 50015
4 《采暖通风与空气调节设计规范》GB 50019
5 《锅炉房设计规范》GB 50041
6 《电气装置安装工程电缆线路施工及验收规范》GB 50168
7 《电气装置安装工程接地装置施工及验收规范》GB 50169
8 《工业设备及管道绝热工程质量检验评定标准》GB 50185
9 《公共建筑节能设计标准》GB 50189
10 《屋面工程质量验收规范》GB 50207
11 《建筑给水排水及采暖工程施工质量验收规范》GB 50242
12 《通风与空调工程施工质量验收规范》GB 50243
13 《建筑电气工程施工质量验收规范》GB 50303
14 《民用建筑太阳能热水系统应用技术规范》GB 50364
15 《平板型太阳能集热器》GB/T 6424
16 《真空管型太阳能集热器》GB/T 17581
17 《严寒和寒冷地区居住建筑节能设计标准》JGJ 26
18 《夏热冬冷地区居住建筑节能设计标准》JGJ 134
19 《地面辐射供暖技术规程》JGJ 142
