Appearance
《蓄能空调工程技术标准》JGJ 158-2018
🗓️ 实施时间: 2018-11-01
总 则
1 总则
1.0.1 为使蓄能空调系统在设计、施工、调试、检测、验收及运行管理,做到安全可靠、经济适用、技术先进,确保工程质量,制定本标准。
条文说明
1.0.1 条阐述了制定本标准的宗旨。建筑空调耗电是造成电网峰谷差的重要原因,随着全国建筑面积的迅速增加和空调需求快速增长,空调用电在高峰用电负荷中所占比例有持续增长的趋势。蓄能空调系统的合理应用有助于转移电力高峰、平衡电网负荷,也有助于在整个电力能源系统范围内获得节省投资、降低运行费用、节约能源和环境保护的效果。2002年以来,我国逐步推行了分时电价制度,相关部门还陆续出台了其他一些激励措施,以鼓励蓄能空调系统的推广和应用。目前,蓄能空调系统在我国得到了日益广泛的应用,项目数量有了较大的增长。据统计,截止到2014年,已建成投入运行和正在施工的工程已超过1100项。与此同时,蓄能空调系统的应用还存在很大的盲目性,很多工程项目实施环节较为粗放,影响了蓄能空调系统的运行效果和进一步推广。蓄能空调系统较常规系统更为复杂,专业性更强,为适应形势发展需要,更好地规范蓄能空调系统的设计、施工、调试、检测、验收及运行管理,确保系统经济、高效、安全、可靠的运行,将2003年发布的行业标准《蓄冷空调工程技术规程》JGJ 158进行修订,扩充了蓄热空调相关内容,并更名为《蓄能空调工程技术标准》。
1.0.2 本标准适用于新建、扩建和改建的工业与民用建筑蓄能空调系统的设计、施工、调试、检测、验收及运行管理。
条文说明
1.0.2 规定了本标准的适用范围。考虑到国际上通常将蓄冷、蓄热统一归为一个技术范畴(Thermal Energy Storage),本标准在2008版的基础上,将“蓄冷空调系统”扩展为“蓄能空调系统”,并适当补充了集中水蓄热、相变蓄热系统的相关内容,其他种类的蓄热系统暂不包括在本标准范围内。蓄热系统用于供暖热源情况,也在本标准适用范围内,但为了符合一般习惯,不再称为“蓄能供热空调系统”,而统称为“蓄能空调系统”。
共晶盐蓄冷空调系统及季节性蓄冷空调系统暂不包括在本标准范围内。共晶盐蓄冷是利用相变温度为5℃~8℃的无机盐溶液作为载冷剂的一种蓄冷方式。季节性蓄冷是指利用冬季时蓄存的冰、雪等天然冷源作为夏季空调冷源的蓄冷方式。这两种方法目前在国内应用较少。
1.0.3 蓄能空调系统的设计、施工、调试、检测、验收及运行管理,除应符合本标准外,尚应符合国家现行有关标准的规定。
条文说明
1.0.3 根据国家主管部门有关编制和修订工程建设标准、规范等的统一规定,为了精简标准内容,已有的相关国家和行业标准、规范等明确规定的内容,除确有必要明确说明的部分外,本标准均不再另设条文。本条文的目的是强调在执行本标准的同时,还应注意贯彻执行相关标准、规范等的有关规定。
术 语
2 术语
2.0.1 蓄能空调系统 thermal storage air-conditioning system
将冷量或热量以显热或潜热的形式储存在某种介质中,并在需要时释放出冷量或热量的空调系统。其中,储存、释放冷量的系统称为蓄冷空调系统;储存、释放热量的系统称为蓄热空调系统。
条文说明
2.0.1 “蓄能”是对“蓄冷”和“蓄热”的统称。本标准在2008版的基础上,将“蓄冷空调系统”扩展为“蓄能空调系统”,“蓄冷”相关的术语一般均扩展为“蓄能”。但对于特指蓄冷或蓄热的情况,如无特殊说明,均可使用“蓄冷”或“蓄热”的相关术语。例如,“蓄能介质”在只用于蓄存冷量时,可称为“蓄冷介质”;“蓄能方式”在特指蓄存冷量的方式时,可称为蓄冷方式。
2.0.2 载冷剂 coolant
在蓄冷系统中,用以传递冷量的中间介质。
条文说明
2.0.2 冰蓄冷系统中,一般是指按一定比例配制的载冷剂溶液。
2.0.3 蓄能介质 thermal storage medium
在蓄能空调系统中,以显热、潜热形式储存冷量或热量的介质。
条文说明
2.0.3 水蓄能系统以显热形式储存冷量或热量,其蓄能介质为水;冰蓄冷系统主要以冰的相变潜热形式储存冷量,其蓄能介质主要为冰;相变蓄热以相变潜热形式储存热量,蓄能介质是相变蓄热材料。
2.0.4 蓄能方式 the manner of thermal storage
蓄存冷量或热量的方式。蓄冷方式主要包括水蓄冷、冰盘管型蓄冰(内融冰、外融冰)、封装式(冰球、冰板式)蓄冰、冰片滑落式蓄冰、冰晶式蓄冰等;蓄热方式包括水蓄热、相变材料蓄热等。
2.0.5 蓄能装置 thermal storage device
由蓄能设备(如蓄冰槽、蓄冰罐、蓄水槽等)及附属阀门、配管、传感器等相关附件组成的蓄存冷量或热量的装置。
2.0.6 水蓄能系统 water thermal storage system
利用水的显热蓄存冷量或热量的蓄能空调系统。
2.0.7 冰蓄冷系统 ice thermal storage system
通过制冰方式,主要以冰的相变潜热蓄存冷量的空调系统。
2.0.8 盘管式蓄冰系统 ice-on-coil system
将金属、塑料或复合材料盘管浸没在充满水的蓄冰槽内,通过载冷剂在盘管内流动使盘管外表面结冰以蓄存冷量的冰蓄冷系统。因融冰方式不同分为外融冰和内融冰。
条文说明
2.0.8 外融冰方式的释冷过程是由温度较高的水在结冰盘管周围进行循环,水与冰直接接触并由外向内融化盘管外表面的冰层。内融冰方式的释冷过程是由温度较高的载冷剂在盘管内流动,由内向外融化盘管外表面的冰层,内融冰方式因冻结比例不同,又分为完全冻结式和不完全冻结式。
2.0.9 封装式蓄冰系统 encapsulated ice system
将封装蓄冷介质(通常为水)的蓄冷容器密集地放置在蓄冰装置中,由低温载冷剂流经蓄冰装置,使蓄冷容器内的蓄冷介质结冰来蓄存冷量的冰蓄冷系统,封装式蓄冰系统又称为冰球、冰板式蓄冰系统。
2.0.10 冰片滑落式蓄冰系统 ice harvesting system
在制冷机的板式蒸发器表面上利用周期性冻冰、融冰过程,将不断冻结的薄冰片滑落至蓄冰槽内蓄存冷量的蓄冷系统,冰片滑落式蓄冰系统又称为收冰式、片冰式蓄冰系统。
2.0.11 冰晶式蓄冷系统 ice crystals (slurry) system
将载冷剂冷却至0℃以下,产生细小而均匀的冰晶,并进入蓄冷槽内蓄存冷量的蓄冷系统。
条文说明
2.0.11 冰晶式蓄冰系统中的蓄冷介质通常为水、低浓度乙烯乙二醇溶液或低浓度丙烯乙二醇溶液等。蓄冷介质流经换热器被冷却至0℃以下,产生细小而均匀的冰晶溶液(或称为“流态冰”,冰晶直径通常小于1mm,冰晶质量浓度在2%~10%范围内),并进入蓄冰槽。冰晶在蓄冰槽内因密度差自然分离至上层并蓄存,下层蓄冷介质继续循环制取冰晶。冰晶通常不再流动,蓄冰介质循环流动直接融冰供冷。有特殊要求时,可通过机械方式将冰晶与蓄冷介质搅拌成冰浆状供冷。
2.0.12 蓄能-释能周期 period of charge and discharge
蓄能空调系统完成一个蓄能-释能循环所需的运行时间。
条文说明
2.0.12 蓄能空调系统的蓄能-释能周期一般为1d,也有一些特殊项目是以更长的时间作为一个蓄能-释能周期,如体育馆、剧院等。其中,设计蓄能-释能周期是指在进行设计计算和确定设计工况时所采用的蓄能-释能周期。
2.0.13 蓄能率(SR) storage ratio
一个蓄能-释能周期内蓄能装置提供的能量与此周期内系统累计负荷之比。
条文说明
2.0.13 蓄能率为100%时称为全负荷蓄能系统,否则为部分负荷蓄能系统。
2.0.14 双工况制冷机 refrigerating unit with dual duty
在空调工况和制冰工况下均能稳定运行的制冷机。
2.0.15 基载负荷 base load
在蓄能-释能周期内较为恒定部分的空调负荷。
条文说明
2.0.15 一般用于蓄冷系统,主要指蓄能阶段(或电力谷段)仍需要向末端持续供应的空调负荷。
2.0.16 基载制冷机 refrigerating unit for base load
为满足基载负荷需求而设置的制冷机。
2.0.17 蓄冷(热)温度 charge temperature
蓄冷(热)工况时,进入蓄能装置的介质温度称为蓄冷(热)温度。
2.0.18 释冷(热)温度 discharge temperature
释冷(热)工况时,蓄能装置的供冷(热)温度称为释冷(热)温度。
2.0.19 蓄冷速率 instantaneous storage capacity
蓄冷工况时,蓄冷装置单位时间蓄冷量的大小。
条文说明
2.0.19 蓄冷速率反映蓄冷装置短时间内的蓄冷能力,一般随蓄冷温度、运行时间以及蓄冷装置的蓄冷存量而变化。同样,释冷速率反映蓄冷装置短时间内的释冷能力,一般随释冷温度、运行时间以及蓄冷装置的蓄冷存量而变化。
2.0.20 释冷速率 instantaneous discharge capacity
释冷工况时,蓄冷装置单位时间释冷量的大小。
2.0.21 分时电价 time-of-use electricity price
把每天分为峰、平、谷等不同时段,并按不同电价收取不同时段电费的电力收费政策。也称为峰谷电价。
2.0.22 电负荷削减量 electrical load cut
采用蓄能系统后空调系统设计电负荷下降的数值。
条文说明
2.0.22 一般指冷、热源部分主要设备的设计电负荷削减量,包括制冷机、水泵、其他辅助设备等。
电负荷削减量与“削峰电负荷”存在一定的差别,后者一般是指采用蓄能系统后,电力高峰尖峰时段空调电负荷下降的数值,表征的是峰值电负荷削减的概念。主要用于衡量蓄能系统对电网的“削峰填谷”作用。
2.0.23 移峰电量 peak electricity shift
在一定时间内,蓄能空调系统转移电力高峰或平峰时段的用电量。
条文说明
2.0.23 移峰电量是衡量蓄能空调系统削峰填谷作用的重要指标。其中,比较重要的是设计蓄能-释能周期内的移峰电量,以及年移峰电量。设计蓄能-释能周期内的移峰电量,是指在设计蓄能-释能周期内,由于采用了蓄能系统,电力高峰时段的用电量的累积削减量。如果设计蓄能-释能周期为1d,则可称为设计日移峰电量。同样,年移峰电量是指由于采用了蓄能系统,电力高峰时段的用电量的全年累积削减量。
这里的比较基准是未采用蓄能的常规空调系统,比较的范围一般包括冷、热源部分主要设备的用电量。
2.0.24 低温送风 cold air distribution
送风温度不高于10℃的空调送风方式。
2.0.25 运行模式 operating mode
蓄能空调系统某种阶段性的运行状态,如冰蓄冷系统中的制冰模式、蓄冰装置单独供冷模式、蓄冰装置与主机联合供冷模式等。
2.0.26 控制策略 conlrol strategy
控制和设定制冷机、锅炉、热泵、水泵等设备或阀门的运行状态,以实现某种运行模式或控制目标的方法。
条文说明
2.0.26 控制策略包括下列两部分控制内容:
1 根据系统状态和预设置,切换运行模式;
2 根据当前运行模式和监测参数,控制和设定制冷机、锅炉、热泵、水泵、阀门等的运行状态。
设 计
3.1 一般规定
3.1 一般规定
3.1.1 在设计蓄能空调系统前,应对建筑物的空调负荷特性、系统运行时间和运行特点进行分析,并应调查当地电力供应条件和分时电价情况。
条文说明
3.1.1 本条所列内容是蓄能空调系统设计的依据,也是蓄能空调系统技术经济性比较的依据。
3.1.2 以电力制冷的空调工程,当符合下列条件之一,且经技术经济分析合理时,宜采用蓄冷空调系统:
1 执行分时电价,且空调冷负荷峰值的发生时刻与电力峰值的发生时刻接近、电网低谷时段的冷负荷较小的空凋工程;
2 空调峰谷负荷相差悬殊且峰值负荷出现时段较短,采用常规空调系统时装机容量过大,且大部分时间处于低负荷下运行的空调工程;
3 电力容量或电力供应受到限制,采用蓄冷系统才能满足负荷要求的空调工程;
4 执行分时电价,且需要较低的冷水供水温度时;
5 要求部分时段有备用冷量,或有应急冷源需求的场所。
条文说明
3.1.2 当空调系统的一次能源为除电以外的其他能源时,由于不存在较大的电力需求与用电费用,一般不宜采用蓄冷系统。除非制冷机等设备的容量能够有效地减小,获得合理的初投资和运行费用,如采用大温差低温水区域供冷时。
在对蓄冷空调系统进行技术经济分析时,应考虑下列因素对空调系统初投资的影响:
1 增加蓄冷装置、蓄冷系统、辅助设备、相应控制系统以及土建等增加的初投资;
2 制冷机、水泵等设备及输配系统容量变化所带来的投资变化;
3 采用低温送风系统时所节省的空调送风系统等初投资;
4 空调系统电力容量减小对初投资的影响;
5 当地蓄冷空调电力优惠政策对初投资的影响。
还应考虑以下因素对运行费用和节能效益的影响:
1 分时电价差对运行费用的影响;
2 夜间蓄冷时(通常为夜间)制冷机冷凝温度降低,制冷机COP值提高对运行费用和节能效益的影响;
3 蓄冷工况蒸发温度降低,制冷机COP减小对运行费用和节能效益的影响;
4 双工况制冷机COP与普通制冷机COP差异对运行费用和节能效益的影响;
5 蓄冷空调系统的冷量损失增加对运行费用和节能效益的影响;
6 水或载冷剂管路系统和风系统输配能耗变化对运行费用和节能效益的影响;
7 蓄冷系统额外的维护费用。
在对蓄冷空调系统进行节能效益分析时,除按上述第“2”、“3”、“4”、“5”款考虑本地节能效益之外,还应考虑蓄能空调系统对电力系统的宏观节能效益,即通过“移峰填谷”提高电力系统发电和输配效率、优化能源结构方面。
蓄能空调系统对电力系统的宏观节能效益主要体现在下列方面:
1 减少了低效高煤耗机组的运行时数,增加了高效低煤耗机组的运行时数。电网调度的一个重要原则是尽量增加大型高效机组的运行小时数,缩短低效机组的运行时间。根据相关数据,2010年我国6MW以上不同容量的发电机组的供电煤耗率最大相差约70g/kWh。
2 提高和稳定了火电机组负荷率,改善机组运行状况,使其更多地在高效区运行。机组负荷的高低会影响火电供电煤耗的曲线。负荷率过低时,煤耗会显著提高。
3 蓄能系统的应用是建设新电站的一种替代方法,可以减少电站和相关电力设施建设过程中的能耗和其他资源消耗。其投资比建设新电站的投资额要少很多,且建设周期短、见效快。
由于电力系统的复杂性,以上宏观节能效益难以精确量化。在蓄能空调系统的节能评价中,可以参照当地相关电力政策和数据进行估算,也可以根据年移峰电量按下式对系统的宏观一次能耗节约量进行粗略计算。

式中:ms——一次能耗年节约量(kgce/年);
α——电力系统宏观节能效益折算系数,根据当地电力数据估算,无其他依据时可在10%~25%范围内选取;
q——供电标准煤耗,取近年的统计值,2014年为0.318kgce/kWh;
E——年移峰电量(kWh/年)。
3.1.3 当符合下列条件之一,并经技术经济比较合理时,宜采用蓄热系统:
1 执行分时电价,且供暖热源采用电力驱动的热泵时;
2 供暖热源采用太阳能时;
3 采用余热供暖,且余热供应与供暖负荷需求时段不匹配时。
条文说明
3.1.3 供暖热源采用电力驱动的热泵时,若合理设置蓄热系统,一般可达到较好的经济效益和节能效益,在技术经济比较合理的条件下推荐采用蓄热系统。
太阳能受时间和天气等条件的限制,一般无法保证稳定的供应,因此当供暖热源利用太阳能时,在技术经济比较合理的条件下推荐采用蓄热系统。
采用余热供暖时(比如燃气冷、热、电联供系统),余热供应与供暖负荷需求时段往往不相匹配,此时采用蓄热系统可提高余热的利用效率。
3.1.4 当符合下列条件之一,并经技术经济比较合理时,可采用以电锅炉或电加热装置为供暖热源的蓄热系统:
1 电力供应充足,且电力需求侧管理鼓励用电时;
2 以供冷为主、供暖负荷小,无法采用电动热泵或其他形式的供暖热源,且电热锅炉或电加热装置仅在电力低谷时段启用时;
3 利用可再生能源发电,且其发电量满足自身电加热用电量需求时。
条文说明
3.1.4 本条文第1款主要参考国家标准《公共建筑节能设计标准》GB 50189-2015第4.2.2条中的相关规定。
3.1.5 蓄能空调系统设计应包括下列内容:
1 确定蓄能-释能周期,进行设计蓄能-释能周期的空调逐时负荷计算;
2 确定蓄能介质、蓄能方式、蓄能率和蓄冷(热)量;
3 确定蓄能-释能周期内的逐时运行模式和负荷分配;
4 确定系统流程,进行冷、热源设备和蓄能装置的容量计算和相关设计;
5 其他辅助设备的形式、容量和相关设计。
条文说明
3.1.5 本条列出了蓄能空调系统不同于其他空调系统的一些设计内容。由于每项具体工程设计都有其各自的特点,工程设计所包括的内容也必将各有差异。本条列出的只是蓄能空调系统设计中通常包括的内容。
3.1.6 当以节省运行费用为主要目标而采用蓄能空调系统时,应进行技术经济比较分析,相对于常规系统的增量投资,静态回收期宜小于5年。当进行技术经济分析时,应对电负荷削减量进行计算,并应计入其对初投资的影响。
条文说明
3.1.6 根据编制组对国内大量蓄冷项目的调研结果,一般运行较好的冰蓄冷项目,其静态投资回收期均在5年以内,水蓄冷项目投资回收期一般更短。另外,根据编制组对几个国内典型城市蓄冷系统进行的能耗模拟计算和经济分析结果,当采用较为合理的蓄能率、系统配置和设备效率时,蓄冷系统的静态投资回收期也均在5年以内。
为实施操作方便,本条文中增量投资范围一般指冷热源机房以内,包括冷热源主机、蓄能装置、载冷剂系统、配套水泵、机房内管路以及相关配电系统等。在设计方案论证详细、技术经济数据翔实的前提下,也可以计入由于采用蓄能技术带来的末端设备和管路系统的投资变化。技术经济分析需要考虑的其他因素参考本标准第3.1.2条文说明中的相关内容。如果当地存在电力优惠补贴政策,应根据其具体的要求计算相应的蓄能量、削峰电负荷或移峰电量等指标,并纳入经济技术分析当中。
3.1.7 在设计阶段,应根据经济技术分析和逐时冷热负荷,确定设计蓄能-释能周期内系统的逐时运行模式和负荷分配,并宜确定不同部分负荷率下典型蓄能-释能周期的系统运行模式和负荷分配。
条文说明
3.1.7 蓄能空调系统在设计蓄能-释能周期内的逐时运行模式和负荷分配是蓄能空调系统设计的基础,也是控制策略制定的重要依据,本条规定应在设计阶段根据经济技术分析和逐时冷、热负荷确定。
另外,由于蓄能空调系统在绝大多数情况是处于部分负荷运行的,因此对不同负荷率下的典型蓄能-释能周期进行分析也是十分重要的,对全年控制策略的制定和系统能效分析都具有重要意义,因此宜在设计文件中提供。一般可以按典型的部分负荷率,以图表形式给出。例如,给出最大小时负荷分别为设计负荷100%、75%、50%以及25%下典型蓄能-释能周期的系统逐时运行模式和负荷分配。实际也可以根据负荷特点和系统配置的具体情况,按更多的部分负荷率节点给出。
3.1.8 蓄能空调系统的设计蓄能率应根据蓄能-释能周期内冷(热)负荷曲线、电网峰谷时段及电价和其他经济技术指标,经最优化计算或方案比选后确定。
条文说明
3.1.8 蓄能率代表了蓄能装置承担累计负荷(设计蓄能-释能周期内)的比例。按下式计算:

式中:SR——蓄能率;
Qs——蓄能装置有效蓄冷(热)量(kWh);
n——设计蓄能-释能周期小时数;
qi——建筑物各小时冷(热)负荷(kWh)。
蓄能率的大小,决定设计中的设备配置,也直接影响蓄能空调系统的投资、运行费用以及节能指标,因此在方案阶段确定合理的蓄能率显得尤为重要。
蓄能率的确定是一个优化的过程,在具体工程中,当气象条件、用能特点、负荷、电价、设备价格等边界条件确定后,可采用全寿命周期成本(或投资回收期)最小为优化目标进行优化,确定最佳的蓄能率。也可计算几个不同蓄能率下的经济指标,采用方案比选的方式确定实际采用的蓄能率。
一般来说,对于用能时间短、峰谷价差大,并且在用电高峰时段负荷需求量相对较大的系统,可采用较高的蓄能率。对于特殊的工程,比如蓄能-释能周期较长(如一个星期),蓄能装置成本非常低时,甚至可以采用全负荷蓄能(即蓄能率为100%)。
3.1.9 当进行蓄能空调系统设计时,宜进行全年逐时负荷计算和能耗分析。对空调面积超过80000m2,且蓄能量超过28000kWh的采用蓄能空调系统的项目,应采用动态负荷模拟计算软件进行全年逐时负荷计算,并应结合分时电价和蓄能-释能周期进行能耗和运行费用分析,及全年移峰电量计算。
条文说明
3.1.9 蓄能空调系统确定蓄能率、选择蓄能方式、配置主要设备、制定运行调节策略等,都是基于全年逐时负荷基础上的系统优化问题。全年逐时负荷计算是系统优化配置的基础,因此对蓄能空调系统的优化设计非常重要。
当项目规模较大时,应采用动态负荷模拟计算软件进行全年逐时负荷计算,并结合分时电价和蓄能-释能周期进行能耗和运行费用分析,以及全年移峰电量的计算。
3.1.10 蓄冷空凋系统应利用较低的供冷温度,不应低温蓄冷高温利用。
3.1.11 当建筑物改扩建增设蓄能空调系统时,应根据设备荷载对放置部位的结构承载力进行校核。
3.1.12 具有蓄热功能的水池,严禁与消防水池合用。
条文说明
3.1.12 本条为强制性条文。热水不能用于消防,因此水蓄能系统的蓄热水池及蓄冷与蓄热共用水池,严禁与消防水池合用。
3.2 负荷计算
3.2 负荷计算
3.2.1 当进行蓄能空调系统设计时,应对设计蓄能-释能周期内的空调冷热负荷进行逐时计算。蓄能-释能周期应根据空调负荷的特点、电网峰谷时段等因素经过技术经济比较确定。
条文说明
3.2.1 一般选择以一个设计日为空调系统的蓄能-释能周期;根据空调负荷的周期变化规律,也可以更长的时间作为一个蓄能-释能周期。
3.2.2 蓄冷系统冷负荷计算方法应符合现行国家标准《民用建筑供暖通风与空气调节设计规范》GB 50736的相关规定,并应计算蓄冷-释冷周期内的逐时负荷。
条文说明
3.2.2 对于蓄冷-释冷周期大于一个设计日的蓄冷空调系统,在进行蓄冷-释冷周期内逐时负荷计算时,其室外气象参数应以当地标准年气象数据为准,并选择平均温度较高的时间段,以该时间段内的室外逐时温度作为蓄冷-释冷周期内各天的室外计算逐时温度。
3.2.3 蓄热系统设计热负荷的计算应符合现行国家标准《民用建筑供暖通风与空气调节设计规范》GB 50736的相关规定。设计蓄热-释热周期内的逐时热负荷应按下列方法之一计算:
1 应按设计热负荷的稳态方法进行计算,供暖和空调的室外逐时计算温度应按本标准附录A执行;
2 应采用动态负荷模拟计算软件进行计算,并应采用室外平均温度与室外计算温度相近时间段的逐时负荷计算结果。
条文说明
3.2.3 根据现行国家标准《民刚建筑供暖通风与空气调节设计规范》GB 50736相关规定,供暖及空调系统的冬季设计负荷计算一般采用稳态计算方法,其室外计算温度是按照一定不保证天数的日平均温度选取,并以此为基础计算各项耗热量,叠加得到系统的最大负荷,即设计热负荷。
本条给出了设计蓄热-释热周期内的逐时热负荷的计算方法。其中,按照设计热负荷的稳态计算方法,需要供暖或空调室外逐时计算温度,而现行国家标准《民用建筑供暖通风与空气调节设计规范》GB 50736及其他标准对此尚未作出规定。本标准附录A中,供暖和空调的室外计算温度及逐时温度是根据现行国家标准《民用建筑供暖通风与空气调节设计规范》GB 50736中相关规定统计得出的。
此外,也可采用软件进行动态负荷模拟计算。由于冬季热负荷受建筑构件热惰性影响较大,若仅对一个蓄热-释热周期进行动态模拟,则可能导致计算结果与实际偏差较大。因此要求对整个供暖季进行逐时模拟计算。实际上,采用目前常用的动态软件进行负荷模拟计算时,模拟时间的增加并不会提高计算的复杂程度。
动态负荷模拟计算软件一般采用典型气象年逐时室外气象参数进行计算,计算结果也是供暖季的逐时热负荷。此时,就需要选择与室外计算温度相近时间段(如果蓄能-释能周期为1d,则选择日平均温度与室外计算温度相近的1d),将这个时间段的计算结果作为蓄热-释热周期内的逐时热负荷。
3.2.4 当进行蓄冷-释冷周期的逐时负荷平衡计算时,应计入蓄冷装置、冷水管路和其他设备的得热量,及转化为空凋系统得热的水泵发热量。
条文说明
3.2.4 在常规空调制冷系统中常被忽视的相对较小的得热量,其在最大小时负荷中有可能只占很小的比例,但在蓄冷空调系统的累计负荷中却可能占有较大的比例,所以蓄冷空调的冷负荷应充分考虑各种附加得热。
在方案设计或初步设计阶段,蓄冷装置和冷水管路得热量引起的附加得热量可按设计蓄冷-释冷周期内总负荷的3%~5%进行估算。
水泵功耗最终转化为下列三个部分:
1 通过散热、振动等形式损失到环境中;
2 直接产生了水系统的温升;
3 有效功率的部分转化成了水系统的动能和势能,最终也会以热能的形式进入水系统中。
其中,后两项需要计入蓄冷系统的水泵附加得热中。
3.2.5 当进行间歇运行的蓄冷空调系统负荷计算时,应计入空调停机时段累计得热量所形成的附加冷负荷。
条文说明
3.2.5 间歇运行的空调系统在运行开始后的一段时间内,一般还要承担空调停机时段积累得热量所形成的冷负荷。这样的负荷一般不会影响常规系统容量的大小,但在蓄冷空调系统中应该考虑。应采用动态负荷模拟计算软件对间歇期和空调运行期进行模拟计算,也可采用国家标准《民用建筑供暖通风与空气调节设计规范》GB 50736-2012第8.7.2条条文说明提供的单位楼板面积、单位昼夜温差附加冷负荷表计算。
3.2.6 当进行间歇运行的蓄热空调系统负荷计算时,应根据停机时间、预热时间和保证率等因素,计入停机时段累计耗热量所形成的附加热负荷。
条文说明
3.2.6 供暖系统间歇运行时,在停机时段建筑构件本身的蓄热性能使室内外温差仍然存在,建筑仍然持续向外释放热量,建筑内表面温度也随之逐渐降低。而供暖系统恢复运行后,较低的建筑内表面温度在最初的几个小时内形成了较大的附加热负荷。因此供暖系统间歇运行时,一般需要提前一定时间开启系统,以降低峰值热负荷。
按国家标准《民用建筑供暖通风与空气调节设计规范》GB 50736-2012第5.2.8条的要求,间歇附加率按不同情况可取20%或30%。由于该附加率是平均附加率,宜根据间歇时间、预热时间、室内温度保证率等情况,合理分配逐时附加率。
当采用动态负荷模拟计算软件时,可按设计要求对间歇时间、预热时间、室内温度等日程进行设置,并进行动态计算直接得到逐时热负荷。
3.2.7 对改、扩建工程,蓄能空调负荷宜采用实测和计算相结合的方法计算。
条文说明
3.2.7 对于既有建筑物改造工程,原有负荷数据的主要来源包括:
1 原监测控制系统的历史记录;
2 原空调系统冷、热源设备的运行记录;
3 在与设计气象数据相近的条件下进行测试得到的数据;
4 根据设计气象条件下的测试数据建立数学模型,计算设计气象条件下的负荷。
3.3 蓄冷系统
3.3 蓄冷系统
3.3.1 制冷机、蓄冷装置的容量应按下列规定确定:
1 制冷机容量应在设计蓄冷时段内完成预定蓄冷量,并应在空调工况运行时段内满足空调制冷要求;
2 蓄冷装置容量应按所需要的释冷量与蓄冷装置损耗的冷量之和确定;
3 冰蓄冷空调系统的双工况制冷机应能满足空调和制冰两种工况的制冷量要求;
4 基载制冷机容量应满足蓄冷时段内空调系统基载负荷的要求。
条文说明
3.3.1 蓄冷装置的容量和制冷机制冷量可根据设计蓄冷-释冷周期逐时运行模式和负荷分配,按下列公式计算:
蓄冷装置有效容量:

蓄冷装置名义容量:

制冷机蓄冷工况下的制冷量:

式中:Qs——蓄冷装置有效容量(kWh);
qdis——蓄冷装置小时释冷量(kWh);
Qso——蓄冷装置名义容量(kWh);
n——蓄冷-释冷周期小时数;
n1——制冷机在蓄冷工况下运行的小时数(h);
cf——制冷机蓄冷时制冷能力的变化率,即蓄冷工况下的制冷量与空调工况额定制冷量的比值,参见本标准第3.3.4条规定;
qc——制冷机空调工况下的额定制冷量(kW);
qs——制冷机蓄冷工况下的制冷量(kW);
ξ——考虑蓄冷装置内无效容量和损失后的实际放大系数(无因次),一般取1.03~1.05。
3.3.2 当采用冰蓄冷系统时,设计蓄冷-释冷周期中的蓄冷时段仍需要供冷且符合下列情况之一时,宜配置基载机组:
1 基载冷负荷超过制冷主机单台空调工况制冷量的20%时;
2 基载冷负荷超过350kW时;
3 基载负荷下的空调总冷量超过设计蓄冰冷量的10%时。
条文说明
3.3.2 本条文参照国家标准《民用建筑供暖通风与空气调节设计规范》GB 50736-2012第8.7.4条的有关规定。
3.3.3 冷源系统设计时应校核不同运行模式下蓄冷装置与制冷机的进出水温度。蓄冷时,蓄冷时段内应储存充足的冷量;释冷时应输出足够的冷量,且释冷速率应能满足空调系统的用冷需求。
条文说明
3.3.3 蓄能空调系统有多种运行模式,如冰蓄冷系统中的制冰模式、蓄冰装置单独供冷模式、蓄冰装置与主机联合供冷模式等。在设计阶段应对各种运行模式中蓄冷装置与制冷机的进、出水温度进行校核,以确保系统平稳实现各个运行模式。
3.3.4 除动态制冰机组外,双工况制冷机组性能系数(COP)和制冰工况制冷量变化率(Cf)不应小于表3.3.4-1规定。双工况冷水机组空调与制冰工况参数应符合表3.3.4-2规定。



条文说明
3.3.4 近年来,我国的蓄冷空调项目数量有了较大的增长。据统计,截止到2014年,已建成投入运行和正在施工的蓄冷空调项目已超过1100项,而其中70%以上项目为蓄冰项目。
一般而言,蓄冰系统相较于常规空调系统的单位冷量电量消耗略高,蓄冰系统本身的能效受到越来越多的关注。蓄冰系统中能耗最高的部分为双工况制冷机组,而现行国家标准中并未明确规定双工况制冷机组的能效限值。本次标准修订对双工况制冷机组的能效作出限定。本次修订同时也限定了制冰工况机组制冷量变化率,即双工况制冷机组制冰工况与空调工况的制冷量之比。这是因为双工况制冷机组在制冰工况下的制冷量虽一般有折减,但如果折减过大,在设计配置时可能需要加大机组规格,也加大了系统配电容量,从而造成投资的浪费。一般而言,在相同工况下,双工况制冷机组的效率会比常规冷水机组低。这是因为双工况制冷机组蒸发器与冷凝器间的压差大于一般常规应用工况。为了适应此工况,螺杆机组通常需要采用高压缩比的压缩机,离心机组通常需要加大叶轮尺寸或是通过调整齿轮对以增加转速。此外,双工况制冷机组在制冰工况下,制冷剂的密度减小会使质量流量下降,从而造成机组的制冷量有所折减。
制定双工况冷水机组能效限值首先需明确空调和制冰工况参数。一般而言,冷水机组的空调和制冰工况应能反映冷水机组设计工况参数。双工况制冷机组特殊之处在于其空调和制冰工况与常规冷水机组差异均较大。为了更好地满足设计选型,需要调研目前蓄冰空调系统设计时通常采用的双工况制冷机组的空调工况和制冰工况。需要说明的是,双工况冷水机组空调和制冰工况仅为按照常用设计工况制定的基准,实际设计中选取的双工况冷水机组设计参数可能与此有所差别,可将主机能效折算到对应工况后再做比较。
蓄冰机组通常需要采用载冷剂,系统中也通常需采用板式换热器进行隔离,从而增加了1℃~2℃的温度损失,还有采用载冷剂(如质量浓度25%乙烯乙二醇溶液)蒸发器换热效率有一定程度的降低。根据生产厂家调研,双工况制冷机组空凋工况蒸发器侧供回水温度设计选型一般为5℃/10℃左右。双工况机组在空调工况时蒸发器侧参数若按常规冷水机组定为7℃/12℃,而实际运行在5℃/10℃,制冷机组将长期偏离设计工况,设备能效会明显降低。考虑双工况制冷机组的空调工况蒸发器侧供回水温度应尽量贴近实际运行工况,因此空调工况蒸发器侧供回水温度定为5℃/10℃。
蓄冰温度的选择应考虑主机、水泵、蓄冰设备之间的平衡。蓄冰温度越高,主机效率越高,但需要的盘管量多,水泵耗功也会增加。蓄冰温度越低,主机效率越低,需要的盘管量少,水泵功耗会下降。编制组调研了国内主要冰蓄冷设备生产厂家,目前国内冰蓄冷项目中80%以上为盘管形式,10%左右为封装冰,其他为动态制冰形式。根据调研,在民用空调领域,冰蓄冷的蓄冷温度最低约为-6.5℃,盘管和封装冰形式的蓄冰设备蓄冷温度多数为-5.6℃左右。同时,编制组也调研了国内双工况制冷机组的主要生产厂家,双工况制冷机组的蓄冰工况选型也多数在-5.6℃(22°F)左右。因此,双工况制冷机组制冰工况时的蒸发器侧出水温度定为-5.6℃。由于动态制冰形式在我国民用空调工程领域目前应用较少(5%以内),且机组工况多变,故不在本标准限定范围内。
对于水冷型机组冷凝器侧,冷却塔的出水温度一般高于湿球温度3℃~4℃。根据调研,目前我国冰蓄冷应用主要地区设计日白天最高湿球温度在28℃左右,夜间最高湿球温度在26℃左右。而且离心蓄冰双工况冷水机组由于工况恶劣,容易喘振,若按30℃工况选型,实际运行在32℃,机器很容易发生喘振。因此,双工况制冷机组的冷凝器侧工况定义为:空调工况冷凝器侧供回水温度32℃/37℃;制冰工况冷凝器侧进水温度30℃。
对于风冷型机组,冷凝器侧温度主要取决于设计日干球温度,根据调研,目前我国冰蓄冷应用主要地区设计日白天最高干球温度在35℃左右,夜间最高干球温度在28℃左右。
综合上述分析,双工况制冷机组空调和制冰工况定义如下:
对于水冷型机组,空调工况:蒸发器侧供回水温度5℃/10℃,冷凝器侧供回水温度32℃/37℃;制冰工况:蒸发器侧出水温度-5.6℃,冷凝器侧进水温度30℃。制冰工况两侧设计流量等同于空调工况。机组污垢系数与常规冷水机组相同。对于风冷型机组,蒸发器侧取值与水冷型机组一致,冷凝器侧空调工况:环境进风温度为35℃,制冰工况:环境进风温度为28℃。
双工况制冷机组能效限值制定方法主要如下:
1 调研主要设备生产厂家双工况冷水机组能效现状
本次修订过程中,编制组调研了国内主要制冷机组生产厂家,获得不同类型、不同冷量和性能水平的双工况制冷机组的性能数据库。数据库可以反映目前主流产品工艺水平。
在双工况制冷机组性能数据库的基础上,能效限值确定的原则为:使70%左右设备的能效能达到标准中规定的限值,即30℃左右的设备需要改进工艺才能满足上述限值。限值的制定旨在推动双工况制冷机组整体工艺水平的进步,进而提升行业技术水平。
2 建立动态经济模型验证调研能效限值
选取了不同气候区代表城市的典型建筑:寒冷地区选取北京;夏热冬冷地区选取上海;夏热冬暖地区选取深圳。采用动态负荷计算软件TRNSYS计算了建筑全年动态逐时负荷,并建立了不同城市不同蓄冰率时的逐时能耗计算模型,通过模型计算得到系统的逐时能耗。
根据逐时能耗和当地分时电价计算了典型系统的全年运行费用。结合蓄冰项目的初投资,计算得到各种蓄冰率时的投资回收期。
计算结果表明,在表中规定限值条件下,采取合理的蓄冰率,冰蓄冷系统的静态投资回收期均在3年~5年,符合一般项目对投资回收期的要求,也验证了上述限值的合理性。
3.3.5 当选配蓄冰系统的载冷剂循环泵时,应计算载冷剂循环泵耗电输冷比(ECR),并应标注在施工图设计说明中。蓄冰系统的载冷剂循环泵耗电输冷比应按下式计算:

式中:ECR——载冷剂循环泵的耗电输冷比;
N——载冷剂循环泵耗电功率(kW);
Q——单位时间载冷剂循环泵输送冷量(kW);
m——单位时间每台载冷剂循环泵流量(kg/s);
H——每台载冷剂循环泵对应的设计扬程(mH2O);
ηb——每台载冷剂循环泵对应的设计工作点效率;
Cp——载冷剂的比热[J/(kg·K)],根据载冷剂浓度按本标准附录B确定;
△T——规定的载冷剂计算供回液温差(℃),当载冷剂循环泵按蓄冷工况选型时,取3.4;当载冷剂循环泵按释冷工况选型且系统形式为串联时,取8;当载冷剂循环泵按释冷工况选型且系统形式 为并联时,取5;
A——与水泵流量有关的计算系数,按表3.3.5-1选取;
B——与机房载冷剂管路、冷水机组阻力、蓄冷设备阻力以及板式换热器阻力等有关的计算系数,根据系统流程以及各个阻力部件限值计算。计算过程中,各阻力部件限值按表3.3.5-2选取。


条文说明
3.3.5 本条文规定了载冷剂循环泵的耗电输冷比的限制要求。其计算方法与国家标准《民用建筑供暖通风与空气调节设计规范》GB 50736-2012中基本一致,本条文根据实际情况对计算公式及相关参数进行了调整,公式推导过程如下:

式中:m——单位时间每台载冷剂循环泵流量(kg/s);
g——重力加速度(m/s2);
Cp——载冷剂的热容[J/(kg·K)],可参照本标准附录B;
η——包括水泵、电机及传动机构在内的综合效率。

式中:ηb——水泵设计工作点的效率;
ηd——电机效率,根据国家电动机标准中节能评价值和空调水泵电机功率范围,取0.90;
ηc——传动机构效率,有直联与联轴器两种,为方便计算,统一取0.98。
A值确定,取A=11.136/η'b≥11.136/ηb,η'b表示水泵设计工作点的效率限值,η'b取值参考国家标准《民用建筑供暖通风与空气调节设计规范》GB?50736-2012中清水泵相关规定。
B值确定,B值为与载冷剂循环泵扬程有关的限值。由于载冷剂系统一般在机房内,系统阻力计算时不考虑用户区的阻力,通常仅需要考虑载冷剂系统中的蓄冰设备、冷水机组、板式换热器以及机房内载冷剂管路和阀门等的阻力。条文中限定了各种蓄冷系统中各个阻力部件的阻力限值。在计算时,可根据系统流程计算B值。例如:当系统中载冷剂循环泵对应运行流程可能出现冷水机组、板式换热器以及蓄冷设备三者串联时,B值为表3.3.5-2中三列相加所得。当系统形式为并联,载冷剂循环泵对应运行流程仅有冷水机组和板式换热器串联、蓄冷装置和板式换热器串联以及冷水机组和蓄冷装置串联时,B值取表3.3.5-2中三列数据中任意两列数据相加的最大值。
在上述条件下可计算出载冷剂循环泵耗电输冷比。
3.3.6 当进行冷源系统设计时,宜对蓄冷-释冷周期的蓄冷设备的蓄冷和释冷速率进行逐时校核。
条文说明
3.3.6 对于冰蓄冷系统,需关注蓄冷-释冷周期的蓄冷设备的蓄冷和释冷速率。由于很多工程未注意到这个问题,导致蓄冷和释冷未达到预想的效果。
冷源系统设计时,应根据蓄冷-释冷周期的逐时负荷、制冷机制冷量以及运行模式确定蓄冷设备的逐时蓄冷和释冷速率。蓄冷装置设备设计选型时应能满足蓄冷和释冷速率要求。
3.3.7 制冷机组的制冷量宜根据白天和夜间的室外温度和湿度,选用不同的冷凝器进水温度计算。冷却塔应根据室外计算参数选型,夜间极端工况冷却水供水温度应满足夜间蓄冰工况要求。
条文说明
3.3.7 对于双工况制冷机,一般来说,冷凝温度每降低1℃,制冷量可提高1.5%左右。用于蓄冷空调系统的冷水机组,多数夜间用于蓄冷工况的运行。由于夜间室外干球和湿球温度均较白天有所下降,因此根据冷水机组夜间蓄冷运行时间长的实际情况,可选用不同的冷凝器进水温度。
对于水冷式冷水机组,选择冷水机组冷量时,冷凝器进水温度白天宜按32℃考虑,夜间蓄冷工况可按30℃考虑,或根据当地的夜间实际气象统计参数确定。
3.3.8 蓄冷系统在方案设计阶段应重点论证系统流程,并应按下列条件进行划分和选择:
1 应根据蓄冷方式和空调末端要求的进出水温度及温差确定制冷机与蓄冷装置的相互关系以及位置关系;
2 应根据冷负荷容量大小和系统运行的经济性确定功能水泵的设置形式;
3 应根据系统容量大小和空调末端的使用和连接特性选择蓄冷系统与空调末端的连接方式。
条文说明
3.3.8 蓄冷空调系统中,制冷机与蓄冷装置的相互关系可以是串联,可以是并联,相对位置关系可以制冷机上游,也可以制冷机下游。一般串联系统适宜于大温差(≥8℃)应用,在温差较小时泵耗较高。并联系统可兼顾制冷机组和蓄冷装置的热量和效率,适宜于小温差(≤6℃)应用,但是出水温度和出水量控制复杂。主机上游时一般主机效率高,能耗低,初投资小,但蓄冷装置释冷温度和释冷效率均较低,蓄冷装置初投资大。主机下游流程中,反之亦然。
功能水泵的设置可以是单泵也可以是双泵、多泵等形式。一般蓄冷系统负荷量较小时,采用合泵设置,即单泵系统;蓄冷系统负荷较大时,采用双泵或分泵系统。分泵设置时,运行能耗一般较低,但是占地面积和初投资一般有所增加。
蓄冷系统跟末端连接可以是直接连接也可以是间接连接。空调水系统规模较小,工作压力较低时,可采用载冷剂直接进入空调系统供冷;否则宜采用板式换热器的间接供冷方式。对于以全空气为主的空调系统,宜采用直接连接,降低设备的初投资和系统运行费用。当空调系统最大冷负荷大于700kW时,一般采用间接连接。
3.3.9 蓄冷空调系统的蓄冷方式应根据建筑物蓄冷周期和负荷曲线、蓄冷系统规模、蓄冷装置的特性以及现场条件等因素,经技术经济比较后确定;蓄冷装置的蓄冷温度、释冷温度和蓄冷速率、释冷速率应满足蓄冷空调系统的需求。
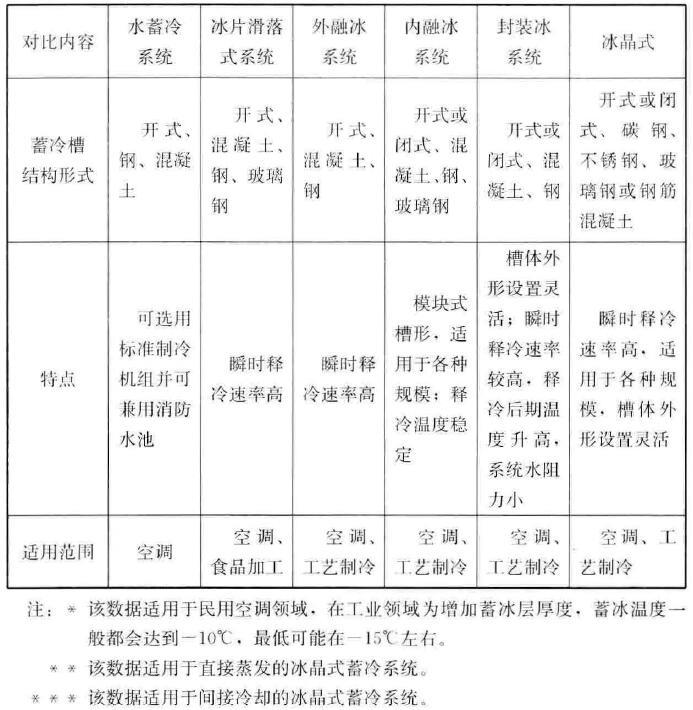
条文说明
3.3.9 目前国内应用较多,比较成熟的蓄冷方式为有水蓄冷、冰盘管式蓄冰、封装式(冰球式、冰板式)蓄冰。冰片滑落式蓄冰、冰晶式蓄冰以及共晶盐蓄冰方式目前应用不多。各种蓄冷方式的特性及特点参见表1。

需要说明的是,表中相关技术特点为近年来国内冰蓄冷发展的技术特性总结,表中技术数据仅为多数项目工程经验,不排除少数项目因为特殊情况或者由于技术的进步,不适用于上述部分参数。实际工程中应根据项目特点和各厂家产品技术特性,经济、技术综合比较后得出相关技术参数。
不同的蓄冷装置其蓄冷、释冷特性不同。同一蓄冷装置,随着蓄冷百分比的增加,蓄冷速率一般会有所下降,所需要的蓄冷温度也随之降低;释冷时,随着释冷百分比的增加,释冷速率下降,释冷温度随之上升。设计时应由制造厂商提供详细的蓄冷、释冷特性曲线图表作为设计的重要参考依据。
3.3.10 水蓄冷(热)系统的设计应符合下列规定:
1 技术经济合理时,水蓄能系统宜采用夏季蓄冷、冬季蓄热;
2 水蓄冷系统应增大蓄冷温差,蓄冷温差不宜小于7℃;
3 水蓄冷宜采用常规制冷机组,水蓄冷温度宜为4℃;
4 水系统设计时,水泵扬程的削减应计入蓄能水槽水位与冷热水输配系统最高点相对位置关系及槽内水体高度影响,输送泵的吸入压头应为正值;
5 蓄能和释能时,蓄能水槽的进水温度宜稳定。
条文说明
3.3.10 水蓄冷一般应以温度尽可能低的水来蓄冷,然而水在4℃的密度最大,若将低于4℃的水引入分层蓄冷槽体内,它就会向上浮升,造成冷热混合损失。因此,水蓄冷温度宜为4℃。
进入蓄能槽内的水温应尽量保持稳定,以避免因短时间的密度差使之在布水器处形成浮升水流。对于分阶段达到蓄能和释能温度的蓄能水槽,在各个阶段内宜保持蓄能水槽进水温度稳定。
上述条文在包含蓄冷规定的同时也包含蓄热部分规定,这是由于水蓄能经常是冷热兼蓄,且两者技术要点较为类似。后续相关水蓄能条文均为此原则,不再赘述。
3.3.11 当进行水蓄能系统设计时,蓄冷(热)水槽有效容积应按下式确定:

式中:L——水槽的有效设计容积(m3);
Q——水槽的有效设计蓄能量(kWh);
K——在一个蓄能-释能周期内水槽的输出与理论上可利用的能量之比,可取0.85~0.90;
ρ——水的密度(kg/m3);
c——水的比热容[kJ/(kg·K)];
Δt——水槽的供回水温差(K)。
条文说明
3.3.11 蓄能-释能周期内蓄能水槽蓄存的所有有效能量,包含供应建筑冷热量、蓄能水槽冷热损失以及水泵发热等。水槽的性能系数在设计阶段宜根据类似槽型或实验手段获取。当这些资料匮乏且布水器设计合理时,可取0.90。当水槽较小或者布水器设计欠佳时,可取0.85。在蓄能水槽投入运行后,应对水槽进行动态实验,校核其性能系数,从而验证所取水槽性能系数的合理性。
3.3.12 水蓄冷(热)系统设计时,水槽设置应符合下列规定:
1 蓄冷水槽与消防水池合用时,消防用水应安全;
2 蓄冷(热)水槽宜与建筑物结构结合,新建建筑宜将水槽与建筑结构一体化设计、施工;
3 蓄冷(热)水槽深度应计入水槽中冷热掺混热损失,水槽深度宜加深;
4 蓄冷(热)水槽冷热隔离宜采用水密度分层法,也可采用多水槽法、隔膜法或迷宫与折流法;
5 开式蓄冷(热)水槽应采取防止或减少环境对槽内水污染的措施,并应定时清洗水系统。
3.3.13 水蓄冷(热)系统设计时,布水器设计应符合下列规定:
1 采用分层法的蓄能水槽,应设置布水器使供回水在蓄能和释能循环中形成重力流,并应保持合理稳定的斜温层;
2 兼有蓄冷蓄热的系统,布水器设计应兼顾蓄冷和蓄热工况;
3 蓄冷(热)水槽内水斜温层宜为0.3m~0.8m;
4 上下布水器形状应相同,布水器应对称于槽的垂直轴和水平中心线,分配管上任意两个对称点处的压力应相等;
5 布水器形状宜为八角形、H形或径向圆盘形等;
6 布水器支管上孔口尺寸与间距应使布水器沿长度方向的出水流量均匀。
条文说明
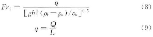
3.3.13 采用分层式蓄能水槽时,在条件允许时应尽可能加大高宽比,以减弱冷热掺混程度。水流布水器一般为八角形或H形,布水器设计主要控制弗鲁德数Fri(惯性力与浮力之比)与雷诺数Rei,一般要求Fri<2,Fri宜为1;雷诺数(Rei)应在240~850之间,流速应均匀并小于0.3m/s,分支流量分配均匀。

式中:Fri——布水器进口弗鲁德数;
q——单位布水器长度的体积流量[m3/(m·s)];
g——重力加速度(m/s2);
hi——进水口最小高度(m);
ρi——进水的密度(kg/m3);
ρa——周围水的密度(kg/m3);
Q——最大流量(m3/s);
L——布水器有效长度(对于出水方向为180°的布水器,其有效长度等于实际尺寸的2倍)(m)。

式中:Rei——布水器进口雷诺数;
υ——水的运动黏度(m2/s)。
3.3.14 盘管式蓄冰系统设计应符合下列规定:
1 当系统出水温度为1℃~2℃时,宜选用外融冰系统;当系统出水温度为3℃~4℃时,宜选用不完全冻结式盘管内融冰系统;
2 外融冰蓄冰槽应采用合理的蓄冷温度,并应防止管簇间形成冰桥,内融冰蓄冰槽应防止膨胀容积形成冰帽;
3 空气泵应设置除油过滤器,空气泵的发热量应计入蓄冰槽的冷量损失;
4 钢制蓄冰槽和钢制盘管应防腐:
5 应监控蓄冰单元的冰层厚度或蓄冰量;外融冰系统应在蓄冰设备上安装冰厚度传感器,传感器宜沿蓄冰池长度依次分层布置,并应分组对应各自的载冷剂控制阀门,实现控制阀门联动;
6 一个蓄冷-释冷周期内的蓄冷量残留率不宜超过总蓄冰量的5%。
条文说明
3.3.14 外融冰冰蓄冷系统可提供1℃~2℃的供水温度,冰层厚度应根据供水温度要求和制冷系统工作温度合理配置。冰桥会导致释冷周期内部分冰不能融化,造成效率损失,还会影响冰盘管安全运行,因此应采取合理措施和控制策略加以避免。配置搅拌装置,并采用合理的蓄冷温度和控制,可防止管簇间形成冰桥;当一个蓄冰槽内有多个蓄冰单元时,应安装折流板,使冷水蜿蜒均匀地流过盘管。当采用制冷剂直接制冰的外融冰蓄冷系统时,需对制冷剂管路进行合理的设计,并应符合现行国家标准《冷库设计规范》GB 50072中有关制冷部分的规定。
关于外融冰系统中对冰层厚度的控制:
外融冰系统中蓄冰池内水与冰直接接触取冷,所以蓄冰池内水的流程应该保证水与冰充分接触,即相邻的冰层不应出现相互搭接的现象,此外,如果相邻冰层相互搭接,有可能会损伤蓄冰盘管,造成泄漏。因此应特别注意冰层厚度的控制,应在蓄冰装置上选取适当的点位安装冰层厚度传感器,且要与此蓄冰装置对应的载冷剂管道上的控制阀门联动。当冰层厚度达到设定上限时,应及时关闭阀门,确保冰槽内各蓄冰装置上的冰层厚度均匀,冰水有足够的流通通道,以及蓄冰装置自身安全。
一般而言,外融冰蓄冰池尺寸较大,池内冰水沿着池底长度方向流动。在靠近冰槽进水口区域,由于水温相对较高,此区域内的冰较易融化,而靠近冰槽出水口的区域,由于水温相对较低,此区域内的冰较难融化。在上述情况下,很有可能,在融冰循环结束时,蓄冰池内的蓄冰装置上剩冰厚度不一致,导致在制冰循环开始时,各组蓄冰装置的制冰起点并不相同。所以,在布置冰层厚度传感器时应考虑此因素,宜沿蓄冰池长度(即冰水流动方向)依次分层布置冰层厚度传感器,并分组对应载冷剂控制阀门。
3.3.15 封装式蓄冰系统设计应符合下列规定:
1 宜采用闭式蓄冰装置,当采用开式蓄冰槽时,应防止载冷剂溢流;
2 当封装冰容器配置板式蓄冰装置时,不冻液在板与板之间应通畅,板的膨胀和收缩不应产生短路循环;
3 当配置矩形封装冰容器时,槽内中间高度宜加装折流板;加装折流板的蓄冰槽,流体的进出口压差不应过大;
4 当配置球形封装冰容器时,宜采用冰球隔网保护,蓄冰槽进出口应设集管或布水器。
条文说明
3.3.15 封装冰容器一般是表面带凹凸波纹的软质容器,或是由高密度聚氯乙烯制成的硬质容器。当采用软质容器时,应考虑冰-水相变体积膨胀挤占载冷剂容积。加装折流板的蓄冰槽,当冷水进出口压差过大时,可能使折流板受损。由于封装冰容器的移动内保温可能会产生磨损,因此当采用内保温时,应确保内表面有足够的硬度。在槽内中间高度加装折流板,可改善传热效果。蓄冰槽的进出口应设集管或布水器,使流体能均匀流通。
3.3.16 冰晶式蓄冷系统设计应符合下列规定:
1 当单机空调工况制冷量不大于6300kW时,宜采用直接蒸发的冷水机组;当单机空调工况制冷量大于6300kW时,可采用双工况冷水机组,应通过冰晶生成器间接冷却制取冰晶;
2 载冷剂介质宜采用体积浓度为3%~4%的乙烯乙二醇或丙烯乙二醇溶液;
3 蓄冷介质宜采用低温、大温差、低循环量直接向空调末端供冷的方式;
4 在设备进口应设置过滤器;
5 当蓄冰槽出口蓄冰介质设计温度高于4℃~5℃时,宜采用进液管布置在液面中下部的方式;当设计出水温度低于3℃~4℃时,宜采用进液管布置在液面之上的方式。开式蓄冰槽可单独或组合采用两种方式;闭式蓄冰槽应采用进液管布置在液面中下部的方式。
条文说明
3.3.16 冰晶式蓄冷系统是近年来在国内兴起和推广的蓄能形式。为促进该技术的推广,丰富蓄能系统形式,本次修订增加了相关技术的条文,供该技术推广和应用参考。
直接蒸发系统较间接冷却系统效率高、系统简约。但是,当单机空调工况制冷量大于6300kW时,直接蒸发系统设备外形尺寸偏大,机房布置困难,此时可用双工况冷水机组通过冰晶生成器,间接冷却制取冰晶蓄冷。若工程需要,单机空调工况制冷量不大于6300kW时,也可采用间接冷却方式制取冰晶蓄冷。
乙烯乙二醇溶液作为蓄冷介质较为经济。当设计蓄冷介质与供冷介质合二为一直接向空调末端供冷时宜采用综合性能好的丙烯乙二醇溶液。蓄冷介质浓度降低,系统效率提高,但稳定性降低,反之亦然。工程应用中蓄冷介质乙烯乙二醇、丙烯乙二醇溶液体积浓度宜控制在3%~4%。
蓄冰介质直接向空调末端供冷可免设一次泵与板式换热器,简化冷源水系统,也减少了蓄冷、释冷、供冷过程多次间接换热损失以及循环泵耗。选择合适的空调末端,可提高空调末端出口循环介质温度,相应提高制冷机组进口循环介质温度,最终提高制冷机组效率。
冰晶蓄冰槽适应性强,可以是开式或闭式;材质可为碳钢、不锈钢、玻璃钢或钢筋混凝土;形状可为方形、圆形或其他形状。保持蓄冰介质清洁无杂质,可延长冰晶生成器运动摩擦副更换周期,提高整机使用寿命。
蓄冰槽进液管分为两种形式,布置在液面之上的进液管称为喷淋式进液管;布置在液位中下部的进液管称为涌泉式进液管。蓄冰槽进液管采用喷淋式,容易控制供水温度,适合低温供水;采用涌泉式,蓄冰槽利用率高。
涌泉喷口截面积之和约为流通主管截面的70%:蓄冰槽内每10m2液面涌泉管口个数不少于1个,泉口向上直段约200mm。涌泉管管道中心高度在液面高度下部1/4~1/3处。喷淋管形状宜为八角形、H形、径向圆盘形等。全部喷淋孔流通截面之和约为主管流通截面的40%~45%。蓄冰槽内每平方米冰面均匀布置约2.5个喷淋口,喷淋口与管截面中心线约成30°夹角。喷淋管下沿距满冰层顶面高度约300mm。
槽内吸水管设计流速低有利于冰晶与溶液分离,也有利于均匀融冰释冷。蓄冰槽内吸水管应均匀布置在蓄冰槽底,管内流速宜小于1.8m/s。吸水孔开在吸水管侧下部,开孔均匀、适当密布,吸水孔流通截面之和为主吸水管流通截面的3倍~4倍。吸水管最下沿距池底约200mm。
3.3.17 冰片滑落式蓄冰系统设计应符合下列规定:
1 应合理设置制冰与融霜循环周期;
2 应减少蓄冰槽内空穴形成;
3 出水集管宜设置在槽底贴外壁;当其立管位于槽体内部时,应防止冰片划伤管道;
4 冷却塔应满足蒸发温度较高时制冷机组的排热量要求和蓄冰时最低出水温度要求。
条文说明
3.3.17 采用冰片滑落式蓄冰装置时,冰片是靠自重落入蓄冷槽内且堆积形成冰锥形,其静角宜在20°~40°的范围内。蓄冷槽内的起止水位对槽内冰的分布也有影响,应选择合适的起止水位。水位过高会使冰浮起,在蓄冷槽底部形成空白区;而水位过低会增加冰锥的静止角。为减少蓄冰槽内形成空穴,可增加槽体高度、采用多个落冰口、降低初次充水水位或采用机械手段落冰。当槽体采用内保温时,应确保内表面有足够的硬度。根据蓄冷-释冷周期,合理设置制冰与融霜周期,使融霜能及时剥落,并保证效率。
3.3.18 蓄冷装置与管道保冷层厚度应按下列规定计算确定:
1 蓄冷装置与管道保冷层厚度应按现行国家标准《设备及管道绝热设计导则》GB/T 8175中经济厚度和防止表面结露的保冷层厚度方法计算,并应取大值;
2 蓄冷-释冷周期内,蓄冷装置的冷量损失不应超过总蓄冷量的2%。
条文说明
3.3.18 蓄冷装置与管道的冷量损失取决于表面积、蓄冷装置与管道导热系数、蓄冷装置与管道周围环境温度和蓄冷介质温度。保冷应采用闭孔型材料。设置在室外的蓄冷装置应在外表面做防水处理。暴露于阳光下的蓄冷装置,表面应为浅色或反射面,以减少辐射得热。
在进行保冷设计时要考虑蓄冷装置底部、侧壁的绝热。对于水蓄冷槽,如果由底部传入的热量大于侧壁传入的热量,则可能形成水温分布的逆转从而诱发对流,破坏分层效果,因此应特别注意。
本条文第2款规定了蓄冷-释冷周期内蓄冷装置的冷量损失不应超过总蓄冷量的2%。对于一般的蓄冷装置,在以24h为一个蓄冷-释冷周期时,这个要求不难达到。但是当蓄冷装置的体形系数较大、单位冷量的蓄冷容积较大(如水蓄冷)或蓄冷-释冷周期较长时,则需要更大的保冷层厚度,对此应进行校核计算。
3.3.19 开式蓄冷槽现场制作时,可采用钢板、混凝土或玻璃钢,并应符合下列规定:
1 蓄冷槽应满足系统承压要求,埋地蓄冷槽还应承受土壤等荷载;
2 蓄冷槽应严密、无渗漏;
3 蓄冷槽及内部件应进行抗腐蚀处理;
4 蓄冷槽应进行槽体结构和保温结构设计。
条文说明
3.3.19 蓄冷槽一般用钢板、混凝土、玻璃纤维或塑料制作,为确保建筑物的安全,当采用建筑物的外围护结构作蓄冷槽池壁时,应先与土建工程师进行商榷,对于湿陷性黄土地上的建筑物尤为重要。
3.3.20 土建蓄冷槽宜采用内保温,其他蓄冷装置宜采用外保温,且不应出现冷桥。
条文说明
3.3.20 外保温易形成冷桥导致凝结水外渗。土建蓄冷槽宜采用内保温,采用内保温时,应特别注意防水层的设计和施工。其他形式蓄冷装置如封装冰中的蓄冷罐,因能有效避免冷桥,宜采用外保温。在有条件的前提下,也可采用内、外双重保温。
3.3.21 当开式系统的最高点高于蓄冷(热)装置的液面时,宜采用板式换热器间接供冷(热);当高差大于10m时,应采用板式换热器间接供冷(热)。当采用直接供冷(热)方式时,管路设计应采取防止倒灌的措施。
条文说明
3.3.21 本条文参照国家标准《民用建筑供暖通风与空气调节设计规范》GB 50736-2012第8.7.7条的有关规定。
内融冰蓄冷一般是安装在一个闭式、有压的系统中,封装冰可采用密闭槽或开式无压槽,其他蓄冷技术采用开式槽。在外融冰和水蓄冷系统中,采用开式或闭式系统应根据系统供水温度、水泵能耗以及系统造价等因素确定。
如果采用开式系统直接连接蓄冷(热)槽与空调末端时,当水泵停止运行时应保证系统管路与设备不发生倒空,应在接入蓄冷槽之前的回液管上设置自力式恒压阀或将回液管抬高后再接入系统。当采用自力式恒压阀时,阀前压力应大于最高点静压35kPa以上。
3.3.22 间接连接的蓄冰系统换热器二次水侧应采取下列防冻措施:
1 载冷剂侧应设置关断阀和旁通阀;
2 当载冷剂侧温度低于2℃时,应开启二次侧水泵。
条文说明
3.3.22 载冷剂侧除应设置手动关断阀外,还应设置与自动控制系统联动的电动关断阀和旁通阀。
3.3.23 当进行冰蓄冷系统设计时,应明确载冷剂种类及其溶液的浓度,且应兼顾抑制剂、防腐剂和水所占的比例。载冷剂选择应符合下列规定:
1 溶液的凝固点应低于制冷机组制冰时的蒸发温度,溶液的沸点应高于系统最高温度;
2 物理化学性能应稳定;
3 应比热大,密度小,黏度低,导热好;
4 应具有安全性和环境友好性;
5 应添加防腐剂和防泡沫剂;
6 乙烯乙二醇溶液和丙烯乙二醇溶液的物理性质应按本标准附录B确定。
条文说明
3.3.23 乙烯乙二醇、丙烯乙二醇溶液物理性质参照本标准附录B,表中未列出的物理性质参数值可采用线性插值确定。
3.3.24 载冷剂浓度宜根据制冷机组、蓄冷装置技术性能和蓄冰系统工作温度范围确定。当采用乙烯乙二醇溶液作为冰蓄冷系统的载冷剂时,应选用为空调系统专业配方的工业级缓蚀性乙烯乙二醇溶液。
条文说明
3.3.24 冰蓄冷空调系统中最常用的载冷剂为乙烯乙二醇溶液。非缓蚀性乙烯乙二醇溶液腐蚀性较强,因此不应采用。冰蓄冷系统经常采用的乙烯乙二醇溶液,除动态制冰系统外,质量浓度一般为25%~30%。
3.3.25 载冷剂管路系统水力计算应根据选用的载冷剂的物理性质进行计算,其中沿程阻力可按本标准附录C进行修正。
条文说明
3.3.25 不同浓度的载冷剂水溶液,其密度、黏度、比热、传热系数等物理性质也不同,它们对管路系统的水力计算影响较大,故不应按常规的水管路进行计算。而应将选用载冷剂的实际物理性质参数代入相应的公式进行计算。
载冷剂系统管道的沿程阻力和流量也可以按常规系统的计算方法进行计算,但需要按本标准附录C给出的修正系数进行修正,制冷机组和换热器等主要设备局部阻力应由设备厂商提供。
3.3.26 双工况制冷机组的制冷量和换热器的传热量应根据选用的载冷剂的传热特性进行修正。
条文说明
3.3.26 溶液浓度对制冷机组的制冷量和板式换热器的传热系数有影响。一般而言,双工况制冷机组制冷量和板式换热器传热系数随载冷剂浓度增加而下降,所以在满足蓄冰温度的前提下,应尽可能降低溶液浓度。
双工况制冷机组的制冷量和换热器的传热量应根据选用的载冷剂物理性质由设备厂商进行修正。
3.3.27 载冷剂管路系统应设置存液箱、补液泵、膨胀箱等设备。膨胀箱(罐)宜采用闭式,溢流管应与溶液收集箱连接。载冷剂系统的膨胀量应根据蓄冷形式、载冷剂性质和定压方式等计算确定。
条文说明
3.3.27 由于冰蓄冷系统中的载冷剂遇空气后易降解或分解,所以建议系统采用闭式循环和定压补液系统。蓄冰空调系统的载冷剂溶液由于价格较高且有一定的毒性,所以系统膨胀时的载冷剂须回收。
冰蓄冷过程中温度变化较大,且载冷剂的膨胀系数又大于水,而且在蓄冷过程中往往伴随相变的发生,所以蓄冷系统的膨胀量较大,不应按常规空调系统的膨胀量来估算。
闭式系统溶液膨胀及补液装置的容积计算方法如下:
1 无相变(盘管式蓄冰)系统溶液膨胀装置的有效容积V(m3),可按下列公式计算:
隔膜膨胀罐:

开式膨胀水箱:

式中:Vs——系统载冷剂的容量(m3);
ρ1——最低温度时,载冷剂的密度(kg/m3);
ρ2——最高温度时,载冷剂的密度(kg/m3);
β——容积附加系数,隔膜式膨胀取1.05;
P1——最低压力,一般为系统最高工作点静压+35kPa(即补水泵启动压力)(kPa);
P2——最高压力,系统承受的最高工作压力(即补水泵停泵压力)(kPa)。
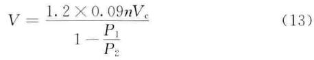
2 有相变(封装式蓄冰)系统溶液膨胀装置的有效容积V(m3),按下列公式计算:
隔膜膨胀罐:

开式膨胀水箱:

式中:Vc——封装蓄冰装置内单元容积的体积(m3/个);
n——封装蓄冰装置内单元容积的数量(个);
1.2——系统裕量系数;
0.09——相变凝固时的体积膨胀系数。
在有相变的冰蓄冷空调系统中,由于载冷剂温差引起的膨胀与蓄冰体(如冰球)相变所产生的膨胀相比,膨胀量较小,且膨胀、收缩过程相反,所以在有相变的系统中,温差膨胀可不予以考虑。
3.3.28 乙烯乙二醇的载冷剂管路系统严禁选用内壁镀锌或含锌的管材及配件。
条文说明
3.3.28 本条为强制性条文。乙烯乙二醇溶液与含锌的材料接触易发生化学反应,易腐蚀活动性较强的金属锌。冰蓄冷空调系统的载冷剂管路系统除不应采用镀锌或含锌钢管外,其余管材的选用均与常规空调水系统基本相同。
3.3.29 乙烯乙二醇载冷剂管路系统中的阀门宜采用金属硬密封,阀门与管件应具有严密性。
3.3.30 载冷剂管路系统的循环泵宜采用机械密封型或屏蔽型。
3.3.31 载冷剂循环泵性能参数应满足不同工况要求,其流量和扬程不宜附加裕量,载冷剂循环泵宜采用变频控制。
条文说明
3.3.31 载冷剂循环泵选取的流量和扬程,通常是兼顾多种工况的最不利状况,即流量和阻力都最大,为使系统在低流量和低阻力工况下水泵的运行富余不致过大,其流量和扬程不宜附加裕量。初选的循环泵应对所有出现的运行工况进行校核,以免出现水泵超出正常的流量和扬程范围。一般循环泵应设置变频控制,在不同工况时将水泵变频调速到理想的工作状态,节约水泵能耗的同时运行安全。
3.3.32 当多台蓄冰装置并联时.宜采用同程式配管;当采用异程式配管时,每个蓄冰槽进出液管宜采取流量平衡措施。
3.4 蓄热系统
3.4 蓄热系统
3.4.1 蓄热系统的蓄热量应根据建筑物供暖负荷状况、热源类型、当地能源政策及分时电价等因素,经技术经济比较确定。
3.4.2 当蓄热系统热源采用电热锅炉时,应采用全负荷蓄热方式。电热锅炉热效率不应低于97%,电热锅炉功率应按下式计算:

式中:N——电热锅炉功率(kW);
qi——蓄热装置承担的建筑物各小时热负荷(kWh);
n——设计蓄能-释能周期小时数;
n1——低谷时段时间(h);
k——热损失附加率,取1.05~1.10;
η——电热锅炉的热效率(%)。
条文说明
3.4.2 根据国家标准《公共建筑节能设计标准》GB 50189-2015第4.2.2条规定,利用电热锅炉作为供暖热源时,电热锅炉不允许在高峰和平峰段运行,因此,采用电热锅炉时蓄热系统应采用全负荷蓄热模式。
为提高蓄热系统的能效,本标准根据相关规定给出了电热锅炉的热效率要求。
3.4.3 水蓄热系统的设计应符合下列规定:
1 蓄热温差应根据系统形式、热源和蓄热装置的类型等条件,经技术经济比较确定,宜采用较大的蓄热温差;
2 常压水蓄热系统蓄热温度不应高于95℃;
3 水蓄热系统的设计应符合本标准第3.3.10条的规定;
4 蓄热装置有效容积的确定应符合本标准第3.3.11条的规定。
条文说明
3.4.3 蓄热温差是水蓄热系统设计中较为重要的参数,应根据热源类型、蓄热装置类型及系统形式等条件确定。在技术经济合理条件下,加大蓄热温差有利于节能目标的实现,也可以减少蓄热装置、水泵及配件等初投资,最大可能降低运行费用,实现系统经济运行的目的。
3.4.4 当采用电热锅炉水蓄热方式时,蓄热系统设计应符合下列规定:
1 蓄热装置数量不宜小于2台;
2 系统形式宜采用电热锅炉位于下游的串联方式。
条文说明
3.4.4 电热锅炉水蓄热系统分为串联与并联两种系统形式。并联方式由于投资较高、控制较复杂、系统能效较低等原因,实际工程中应用较少。而采用电热锅炉位于下游的串联方式一般可以获得较高的系统能效,因此推荐采用。
3.4.5 水蓄热装置设计应符合下列规定:
1 承压蓄热装置应有多重保护措施;
2 蓄热装置有效蓄热量应计入冷热水混合、斜温层导热或存在死区等因素的影响,其有效蓄热量比例不应低于90%;
3 常压蓄热装置应设置通向室外的透气管;
4 蓄热装置的设计还应符合本标准第3.3.12条、第3.3.13条和第3.3.21条的相关规定。
条文说明
3.4.5 蓄热装置分常压与承压两种形式,常压蓄热装置的形式包括迷宫式、隔膜式、多槽式和温度分层式等,其中温度分层式是最常用的方式。承压蓄热装置和高温水蓄热的蓄热装置参考现行行业标准《固定式压力容器安全技术监察规程》TSG 21的相关安全技术规定。
蓄热装置中冷热水间的混合、斜温层导热或存在死区等因素,会造成有效蓄热量比例下降,为提高蓄热装置蓄热率及经济性,要求蓄热装置的有效蓄热量比例不应低于90%。如计入与外界的换热损失,则不应低于85%。
常压蓄热装置设置通向室外的透气管主要是防止热水产生的蒸汽散发在机房内,不利于机房的环境安全。
3.4.6 蓄热系统循环水泵宜采用变频技术。高温蓄热系统应采取定压等措施防止水泵入口处产生汽化。
3.4.7 蓄热系统的自控系统应安全、可靠、高效运行。当热源采用电热锅炉时,电热锅炉的控制应符合下列规定:
1 应具备超温、超压、短路、漏电、过流、过电压等多种保护功能;
2 应具备电热元件分组投入运行和退出功能;
3 应具备负荷自动调节功能,并应根据热负荷变化自动调节输入功率。
3.4.8 当采用相变蓄热装置时,蓄热介质应符合下列规定:
1 应选择单位质量潜热高、密度大、比热大、导热好、相变过程体积变化小的蓄热介质;
2 蓄热介质凝固时应无过冷现象或过冷程度很小,相变材料变形应小;
3 蓄热介质应具有化学稳定性好、不易发生分解、使用寿命长的特点;对构件材料应无腐蚀作用;并应无毒性、不易燃烧、无爆炸性;
4 应选择价格低廉、储量丰富、制备方便的蓄热介质。
条文说明
3.4.8 相变潜热蓄热与显热蓄热相比,其最大优点是单位容积的蓄热量大,所占用的机房空间也小。蓄热介质(如无机盐水混合物、石蜡等)选择主要考虑其热力学特性、化学特性及经济性三个方面。蓄热介质的热力学性质主要包括相变潜热、熔点温度、导热率等;化学性质主要包括腐蚀、毒性、可燃、稳定性等;经济性主要是指成本。选择时应根据标准要求,综合考虑与利用,实现技术可靠、经济合理。
3.4.9 相变蓄热装置的工作温度范围、蓄热介质的相变温度应与蓄热温度、释热温度相匹配。
条文说明
3.4.9 根据材料的相变温度不同,相变蓄热材料可分为低温相变材料、中温相变材料和高温相变材料。低温相变蓄热材料的相变温度一般为-50℃~90℃,其中低于15℃的材料主要应用于空调制冷,而相变温度在15℃~90℃(之间的材料广泛应用于太阳能储热领域。中温相变蓄热材料的相变温度范围一般为90℃~400℃,此温度段足够为其他设备或应用场合提供热动力高温热源,近年来在太阳能热发电、移动蓄热技术中就广泛应用了中温相变蓄热材料。高温相变蓄热材料的相变温度在400℃以上,主要应用于小功率电站、太阳能发电、工业余热回收等方面。
3.4.10 蓄热装置与管道的保温层厚度应符合下列规定:
1 蓄热装置与管道的保温层厚度应按现行国家标准《设备及管道绝热设计导则》GB/T 8175中经济厚度的计算方法确定;
2 蓄热装置的热损失不应超过蓄热-释热周期蓄热量的5%。
条文说明
3.4.10 本条文第2款规定了蓄热-释热周期内蓄热装置的热损失不应超过蓄热量的5%。蓄热装置的热损失主要取决于其表面积、周围环境温度和蓄热介质温度。同时,蓄热装置单位容积的蓄热量,也直接影响热损失占总蓄热量的比例。在蓄热装置设计时,应根据上述条件,对保温设计进行校核计算,表2列出了几种不同环境温度、蓄热介质温度、蓄热-释热温差和蓄热装置尺寸时,5%热损失对应的聚氨酯保温层厚度。

3.5 末端空调系统
3.5 末端空调系统
3.5.1 蓄冷空调系统宜采用大温差供水或低温送风空调系统。
条文说明
3.5.1 蓄冷空调系统应充分利用较低的供冷温度,避免低温蓄冷高温利用的情况。采用低温送风有利于节省风机和水泵的输送能牦,但是低温送风后,会造成室内相对湿度偏低,因此对于有特殊要求的工艺性空调不宜使用低温送风系统。
3.5.2 当采川风机盘管机组的低温送风系统时,风机盘管机组应进行专项设计。且应符合现行国家标准《风机盘管机组》GB/T 19232在相应低温工况下的性能要求。
条文说明
3.5.2 低温送风系统采用的风机盘管机组,进水温度和出风温度偏低。因此,其性能指标不同于普通型风机盘管机组,表冷盘管迎风面风速一般采用1.5m/s~2.3m/s,低于普通风机盘管机组。此外,其凝露条件更为恶劣。因此,低温送风系统宜选用专用机组,并满足现行国家标准《风机盘管机组》GB/T 19232在相应低温工况下的性能要求。
3.5.3 低温送风系统的空气处理机组,应符合现行国家标准《组合式空调机组》GB/T 14294的规定,并应满足低温设计工况下的性能要求。
3.5.4 低温送风空调系统采用送风末端装置时应避免送风口结露。
条文说明
3.5.4 普通风口易造成吹风感,送风温度偏低也易在风口产生凝露和吹雾现象,所以应采取相应的技术措施加以避免,例如采用高扩散诱导风口。
3.5.5 低温送风系统的送风管道保冷层厚度应按设计送风温度确定,保冷层应设隔汽层。送风管道的法兰、阀门及其他连接附件应采取保温措施,并应符合现行国家标准《民用建筑供暖通风与空气节设计规范》GB 50736的规定。
条文说明
3.5.5 低温送风系统风道中的送风温度更低,风管及其配件的保温要求相应提高。
3.5.6 低温送风风管系统的严密性应符合现行国家标准《通风与空调工程施工质量验收规范》GB 50243的相关规定。
条文说明
3.5.6 风管漏风会造成大量的能量损失,而且在泄漏点会造成凝露。为了将能量损失控制在一定范围内,低温送风的漏风量应小于常规送风温度同样压力下的风管漏风量。
3.5.7 低温送风空调系统在每次启动后应采用逐渐降低送风温度的控制方案。
条文说明
3.5.7 当房间初始温、湿度较高时,较低的送风温度可能导致风口等部位发生结露,为避免产生这种现象,可采用渐调末端空气处理设备旁通水量或风量的方法。
3.6 系统监测与控制
3.6 系统监测与控制
3.6.1 蓄能空调系统应配置自动控制系统,控制内容应符合现行国家标准《民用建筑供暖通风与空气调节设计规范》GB 50736的规定,并宜实现下列控制内容:
1 冷热源设备和蓄能装置的控制;
2 各运行模式的实现和转换控制;
3 根据当前的电力峰谷时段、运行季节、空调负荷率等数据,切换不同的运行模式,调整系统及设备设定值或设备优先级别,实现节约运行费用或其他控制目标;根据历史记录和实时监测数据对空调负荷进行预测;
4 冷热量和用电量的分项、分设备计量与管理,运行费用的统计计算;
5 蓄能系统自动保护控制与报警。
条文说明
3.6.1 监测及自动控制系统应根据蓄能-释能周期内系统状态、负荷状况和时段切换运行模式(如制冷机组蓄冷、蓄冷装置单独供冷、制冷机组与蓄冷装置联合供冷等),采取相应的控制策略。
3.6.2 蓄能空调系统的检测内容应符合现行国家标准《民用建筑供暖通风与空气调节设计规范》GB 50736的规定,采样时间间隔应根据数据规律设定,且记录时间间隔不宜大于15min,并宜对下列参数和设备状态进行监测:
1 蓄能装置的进出口温度和流量,瞬时蓄冷(热)量和释冷(热)量;
2 蓄能装置储存的剩余蓄冷(热)量;
3 蓄能装置的其他状态参数及故障报警信息;
4 制冷机组或其他冷、热源设备的进、出口温度和流量,空调供回水温度和流量;
5 系统相关的电动阀门的阀位状态;
6 系统当前所处的电力峰谷时段、负荷率、运行模式等状态信息;
7 系统蓄冷(热)量、供冷(热)量的瞬时值和累计值,各设备分项能耗的瞬时值和累计值;
8 其他应检测的设备状态参数。
条文说明
3.6.2 对于水蓄冷系统,一般在蓄冷水槽内垂直方向设置温度传感器,检测垂直方向的水温分布,并由此得到蓄冷量和斜温层的厚度;传感器间距不宜大于200mm。
对于冰盘管式蓄冰装置,一般设置水位传感器、冰量传感器或冰层厚度传感器,当蓄冰槽内配置有空气泵时,应考虑其对水位传感器的影响。对于外融冰系统,在释冷过程中由于蓄冰池有冰水流入、流出,且空气泵对蓄冰池水位存在影响,因此仅根据监测水位变化或部分蓄冰盘管冰层厚度得到的剩余蓄冰量是不准确的,宜在自控系统中增加剩余蓄冰量的逐时计算,通过多种途径得到较为客观的剩余蓄冰量。
对于封装式蓄冰设备,一般根据蓄冰槽是开式或闭式、封装冰容器是硬质或软质、有无波纹等情况,采用监测静压水位或监测膨胀蓄液槽水位的方法,也可采用监测蓄冰槽的流量与温度的方法,对蓄冰量进行监测。
3.6.3 冷水机组的电机、压缩机、蒸发器、冷凝器等内部设备的自动控制和安全保护宜由设备自带的控制系统进行监控。蓄能监控系统应具有进行数据交换的数据总线通信接口。
条文说明
3.6.3 建立冷水机组控制器通信接口,可使集中监控系统的中央主机系统能够监控冷水机组的运行参数,并使冷水系统能量管理更加合理。
3.6.4 用于蓄能量测试的温度、温差、流量传感器精度应满足表3.6.4的要求。

条文说明
3.6.4 蓄能系统一般需要根据监测的温度、流量、负荷率、蓄能量或释能量等数据进行系统和设备的控制,并实现特定的控制策略,因此相比常规系统需要更高质量的流量、温度传感器。相比整个控制系统总成本,高质量的流量、温度传感器的投资有限,但对降低系统整体运行费用和全寿命周期成本却非常有价值。
表3.6.4参考了ASHRAE手册推荐给出的传感器的精确度、精密度、分辨率要求,表中数据是按照蓄能量或释能量的不确定度(uncertainty)为±10%计算得到的。当精度要求更严格时,设计人员应另外进行不确定性计算,以确定单个传感器的精度。除此之外,还应该考虑测试数据传输和反馈过程中的准确性问题。
精确度系指被测对象的测得值之间的一致程度以及与其“真值”的接近程度。精密度系指在相同条件下,对被测量进行反复测量,测得值之间的一致(符合)程度。分辨率是仪器准确测量和显示测量值的最小刻度。
3.6.5 设计文件中应说明蓄能空调系统可实现的各种运行模式和实现各运行模式的控制动作,控制动作应适用相应运行模式下的各种负荷率和工况。
条文说明
3.6.5 蓄能空调系统的运行模式是指阶段性的运行状态,如冰蓄冷系统中的制冰模式、蓄冰装置单独供冷模式、蓄冰装置与主机联合供冷模式等,在设计文件中应加以说明。另外,还应说明实现各种运行模式的控制动作,如各设备的开关、调节和设定值的改变,阀门动作(开关或调节)等。
3.6.6 冰蓄冷系统的控制系统中应设置换热器二次侧防冻保护。
条文说明
3.6.6 本标准第3.3.22条规定了蓄冰系统中换热器二次侧应采取防冻措施。在控制系统中应针对各种可能的运行工况,自动实现这些保护功能。
3.6.7 蓄能系统中,载冷剂循环泵宜配置变频器,并宜符合下列规定:
1 宜通过调试确定各设计工况对应的变频器频率设定值;
2 宜按系统控制要求,根据压差或温度监测值和设定值,调节变频器以改变系统流量。
条文说明
3.6.7 蓄冷系统一般较常规系统增加了中间换热循环管路和相应的水泵。水泵的耗电量还有相当部分将转换成蓄冷系统的得热,增加了系统的能耗和冷量损失。蓄冷系统配置变频器并进行相应控制,可以在很大程度上减少这部分的能耗和冷量损失。当一组循环泵设计功率超过7.5kW或单台泵功率超过3.7kW时,一般应按本条要求设置变频器。
一般实际运行工况的系统阻力损失和水泵工况点与设计值存在差别,因此需要通过调试找到系统设计工况对应的变频器频率,在进行变流量控制时,以这个最大频率设定值为基础进行控制调节。另外,蓄冷系统的水泵一般需要适应诸如蓄冷、释冷等多种设计工况,也需要通过调试确定各工况对应的频率设定值,在运行模式切换时,可直接调整到对应的频率设定值。
3.6.8 当蓄冷空调系统运行模式为制冷机组与蓄冷装置联合供冷时,宜根据系统效率、运行费用及系统流程选择下列控制策略之一:
1 制冷机组优先,即设定制冷机组出口温度,使其满负荷运行或限定制冷机制冷量运行;当空调系统的负荷超出制冷机组的制冷量时,调节蓄冷装置的流量,实现供水温度的恒定。
2 蓄冷装置优先,即设定蓄冷装置的进、出水流量,使其满负荷运行或限定释冷量运行;当空调系统的负荷超出释冷量时,按设定的出口温度开启并运行制冷机组,实现供水温度的恒定。
3 比例控制,即根据蓄冷装置的剩余冷量和融冰率,按单位时段调节制冷机组与蓄冷装置的投入比例。投入比例可通过调节限定制冷机组制冷量,或调节限定的蓄冷装置释冷量。
条文说明
3.6.8 “制冷机组与蓄冷装置联合供冷”模式一般在部分负荷蓄冷系统的电力高峰时段启动。制冷机组优先的控制策略和控制方法简单,但宜采取有效方法充分地利用蓄冷装置的蓄冷量,例如在负荷预测的基础上限定制冷机组的制冷量。
采用蓄冷装置优先的控制策略时,应防止蓄冷量过早释放,以致空调负荷高峰时供水温度和供冷量失控,因此应在负荷预测基础上采取限定制冷机组制冷量的优化控制方法。
比例控制方法是根据系统的负荷预测和实际监测到的蓄冷装置的剩余冷量和融冰率,控制制冷机或蓄冷装置的限定值,调整制冷机组与蓄冷装置的投入比例。
3.6.9 设计文件中应对系统的运行策略进行描述,并应包括不同时间段、负荷率等条件下的运行模式选择、设备优先级别设定以及其他控制和调节措施。
3.6.10 蓄能-释能周期内的运行策略应根据空调负荷和电价制定;全年运行策略应根据全年负荷、电价及运行费用变化情况进行相应调整。3.6.5 设计文件中应说明蓄能空调系统可实现的各种运行模式和实现各运行模式的控制动作,控制动作应适用相应运行模式下的各种负荷率和工况。
3.6.6 冰蓄冷系统的控制系统中应设置换热器二次侧防冻保护。
3.6.7 蓄能系统中,载冷剂循环泵宜配置变频器,并宜符合下列规定:
1 宜通过调试确定各设计工况对应的变频器频率设定值;
2 宜按系统控制要求,根据压差或温度监测值和设定值,调节变频器以改变系统流量。
3.6.8 当蓄冷空调系统运行模式为制冷机组与蓄冷装置联合供冷时,宜根据系统效率、运行费用及系统流程选择下列控制策略之一:
1 制冷机组优先,即设定制冷机组出口温度,使其满负荷运行或限定制冷机制冷量运行;当空调系统的负荷超出制冷机组的制冷量时,调节蓄冷装置的流量,实现供水温度的恒定。
2 蓄冷装置优先,即设定蓄冷装置的进、出水流量,使其满负荷运行或限定释冷量运行;当空调系统的负荷超出释冷量时,按设定的出口温度开启并运行制冷机组,实现供水温度的恒定。
3 比例控制,即根据蓄冷装置的剩余冷量和融冰率,按单位时段调节制冷机组与蓄冷装置的投入比例。投入比例可通过调节限定制冷机组制冷量,或调节限定的蓄冷装置释冷量。
3.6.9 设计文件中应对系统的运行策略进行描述,并应包括不同时间段、负荷率等条件下的运行模式选择、设备优先级别设定以及其他控制和调节措施。
3.6.10 蓄能-释能周期内的运行策略应根据空调负荷和电价制定;全年运行策略应根据全年负荷、电价及运行费用变化情况进行相应调整。
施工安装
4.1 一般规定
4.1 一般规定
4.1.1 蓄能空调工程施工前应有完备的施工图纸、技术文件、完善的施工组织设计和施工方案,并应已完成技术交底。
4.1.2 进场材料、设备的产品合格证和技术文件应齐全,标志应清晰,外观检查应合格,抽样检测结果应合格。
4.2 设备安装
4.2 设备安装
4.2.1 当重大设备运输及吊装时,应制定专项方案并采取防护措施,并应做到施工安全。
条文说明
4.2.1 当吊装设备属于《关于实施<危险性较大的分部分项工程安全管理规定>有关问题的通知》(建办质[2018]31号)要求范围时,施工单位需要根据其要求编制专项方案。
4.2.2 冷热源主机、蓄能设备及其他设备安装前准备应符合下列规定:
1 机组安装前应进行设备基础验收,基础应满足设备承重要求,表面平整;
2 设备到场后,建设单位、监理单位、施工单位及生产厂家应联合进行设备开箱验收,并应进行验收记录;
3 当设备临时存放时,应采取防潮、防磕碰等措施;制冷机组不应在高温、低温环境下长时间存放;
4 安装人员进入现场后,应按设备、电气、给水排水等图纸核对预留孔洞及预埋件标高与位置、设备基础等;
5 设备安装应符合说明书及安装手册要求。
条文说明
4.2.2 设备开箱验收主要包括:设备型号及参数是否与设计相符、机组外观是否完好、机组有无漏油、机组有无锈蚀等。
基础验收要求:基础定位位置、外形尺寸、标高、预留孔洞尺寸及深度须满足设计及厂家技术文件要求;基础面坡度不大于0.2%,无坑洼等情况。在基础干燥程度达到75%以上后,方可进行机组就位安装。
蓄能设备检验项目主要包括:
1 外观应无磕碰、变形等缺陷;
2 各管路接口无变形,封堵严密;
3 随机配件无缺失;
4 现行国家标准《压力容器》GB 150中设备气压试验的相关要求。
4.2.3 蓄冷装置安装应符合下列规定:
1 盘管式蓄冷设备运输及安装宜水平;
2 封装式蓄冷设备中的冰球(或冰板)装罐时,应防止冰球(冰板)与人孔、钢铁件、混凝士等物体碰击或冰球(冰板)间互棚撞击;安装时应防止杂物进入罐内;
3 整装蓄冷设备在临时存放及运输过程中,与设备底面接触的地面应平整;
4 整装蓄冷设备的基础应平整,倾斜度不应大于1/1000;
5 设备安装应采用加垫片的方式进行找平;
6 蓄冰设备进出液管路间应设试压和冲洗用旁路;
7 蓄冷装置安装完毕应进行水压试验和气密性试验。
4.2.4 开式蓄冰装置现场制作时应符合下列规定:
1 顶部应预留检修口;
2 槽内宜设置集水坑;
3 排水泵可采用固定安装或移动安装方式;
4 应安装注水(液)管;最低处应设置排污管,排污管应没阀门。
条文说明
4.2.4 蓄冰槽顶部可根据不同蓄冰装置要求,预留不同形式的检修口。排水泵可以固定安装在集水坑内,排水管从蓄冰槽上引出至排放位置;排水泵应用时也可将其放入蓄冰槽的集水坑内,用排水软管将水引至最近的排水位置。采用后者时,应在集水坑对应的蓄冰槽顶部预留检修口。
4.2.5 闭式蓄冰槽应符合现行国家标准《压力容器》GB 150的规定。
4.2.6 当冰片滑落式蓄冷系统的散装机组现场安装时,布水器水平度误差不应大于1/1000,蒸发板垂直误差不应大于1/1000,各管道应按设备说明书连接。
4.2.7 大温差低温供水的风机盘管,应具有按现行国家标准《风机盘管机组》GB/T 19232在相应低温工况下逐项检验合格的检验报告。
4.2.8 低温送风系统的风管和风口,均应具有可证明在设计送风温度下表面不发生结露的检验报告。
条文说明
4.2.8 安装于低温送风系统的风管和风口抗凝露性检验应按现行行业标准《通风空调风口》JG/T 14执行。
4.2.9 低温送风系统漏风量测试应按现行国家标准《通风与空调工程施工质量验收规范》GB 50243执行。
4.2.10 载冷剂管路系统应无冷桥现象,管道支架、阀门、法兰等绝热施工应符合设计中对于载冷剂管路系统安装的要求。
4.2.11 系统投入使用前应进行清洗,清洗环节应符合下列规定:
1 应从蓄冷槽、管路、过滤器中除去系统中的残渣、废料以及脏物等;应使冲洗水分段充满管段后排放,管路铁锈、残渣不应进入蓄冷系统。
2 应将清洁水注入系统,开通系统中所有阀门和管路,工频开启循环泵,使清洁水在整个管路系统中高速循环。
3 添加清洗剂溶液时,清洗剂溶液应在管路系统中充分溶解和扩散,不应在系统中的任何部位沉淀;清洗时间宜为8h~24h。同时应检查过滤器、除污器的堵塞情况;应在水路高速循环时打开系统低处的放水阀排出清洗溶液,并应避免同体废物在系统中沉淀。
4 系统重新充水,开始漂清循环时应确保系统清洁。当有污染物留存时应重复清洗、排放;全面清洗完成后,应注入新水漂洗循环,排出漂洗水,再注入新水,至没有清洗液痕迹为止。
5 系统处于清洁状态后,应注入新水,并应对金属表面进行钝化处理和镀膜。
4.3 控制系统安装
4.3 控制系统安装
4.3.1 蓄能控制系统的安装应根据设计文件进行控制系统深化设计,并应在系统安装前提供深化设计图纸。
条文说明
4.3.1 根据住房和城乡建设部编制的《建筑工程设计文件编制深度规定》2016版要求,承担控制系统安装的承包方,应提供控制系统的深化设计图纸,设计单位负责审查与此相关的深化设计图。控制系统的安装还用满足现行的有关技术标准与规范。
4.3.2 当蓄冷系统低温液体管路控制设备安装时,传感器应采取防结露措施,应防止电动控制阀与传感器、发送器、执行器进水,并应对测量电路采取隔离与绝热措施。
条文说明
4.3.2 对于双工况制冷机组的控制与运行参数监测通常有下列两种连接方式:
1 直接通过机组控制柜上预留的远程接点(启停、状态、故障、温度等),单点连接到现场控制器上。
2 通过各制冷机组生产厂商提供的通信接口,直接连接到管理计算机,监测机组各工况时的运行参数。
系统的调试、检测及验收
5.1 一般规定
5.1 一般规定
5.1.1 蓄能空调系统调试与检测应在设备、管道、绝热、配套电气施工全部完成,且设备单机试运转完成后进行。
5.1.2 蓄能空调系统的联合调试宜在最冷(热)月或与设计室外参数相近的条件下进行。当系统为冷热兼蓄时,应在冬季和夏季分别进行调试与检测。冬季进行测试时,系统应有可靠的防冻措施。
条文说明
5.1.2 系统调试应有足够的负荷以消耗调试过程的制冷(热)量,保证调试正常运行;调试不宜安排在过渡季进行。
5.1.3 系统调试完成后应提供书面报告。
条文说明
5.1.3 系统调试应由各相关专业进行,并做好调试记录,建设单位负责验收。
5.2 设备调试
5.2 设备调试
5.2.1 蓄能空调系统调试前,应进行冷热源主机、水泵、蓄冷(热)装置、换热器、冷却塔、末端空调系统等单体设备的试运行和调试。
条文说明
5.2.1 蓄能空调系统中重要设备的调试应做好调试记录并进行最终验收。蓄能装置是蓄能系统中的主要设备,调试的重点是保证蓄能装置的蓄能及释能能力满足设计要求。
5.2.2 当蓄冰空调系统首次启动制冰循环前,应符合下列规定:
1 蓄冰空调系统所用载冷剂的性质及浓度应符合设计要求;
2 制冷机组应已完成制冰工况参数设定;
3 循环水泵应试运行完毕;
4 操作和安全控制器接线应正确;
5 蓄冰空调系统应有足够的负荷消耗冰槽内所有蓄冰量;
6 混凝土蓄冷槽初次使用时,槽内水温应逐渐降到设计参数;
7 蓄冰槽应已完成闭水试验,防水性能应合格;
8 蓄冰设备的水位、冰层厚度等传感器应调试完成且性能正常,并应完成其与自控系统的连接。
条文说明
5.2.2 本条第6款是为了避免槽内水温骤变引起槽体开裂导致渗漏水。
5.3 控制系统调试
5.3 控制系统调试
5.3.1 控制系统调试前应符合下列规定:
1 系统设备已安装完毕,线路敷没和接线应符合设计要求;
2 系统的受控设备、子系统单体及自身系统的调试已结束,设备或子系统的测试数据应符合设计和工艺要求;
3 系统的调试环境和工业卫生条件(温度、湿度、防静电、电磁干扰等)应符合设备技术文件要求。
条文说明
5.3.1 主控设备应设置在防静电的场所内,现场控制设备和线路敷设应避开电磁干扰源,与干扰源线路垂直交叉或采取防干扰措施。环境相对湿度:10%~85%,环境中无结露现象;环境温度:0℃~40℃。
控制系统的调试一般在水系统和风系统静态调试后进行。
5.3.2 控制系统设备单体调试应符合下列规定:
1 设备的外观和安装状况应符合设计要求;
2 按控制器的要求应已完成运行可靠性测试;
3 控制系统的传感器应已校对,且应读数准确,工作正常;
4 控制器、输入输出组件和监控点元件的硬件、接线位置应与软件的地址、型号、状态一致,完成控制程序编写并下载到控制器中;
5 应使用计算机或现场测试仪器,对控制器和现场控制设备以手动控制方式,按设计要求测试模拟量、数字量的输入输出,并作记录;
6 现场网络通信系统应稳定可靠。
条文说明
5.3.2 控制系统设备的单体调试包括下列内容:
1 控制器单体设备点对点测试;
2 数字量输入测试;
3 数字量输出测试;
4??模拟量输入测试;
5 模拟量输出测试;
6 控制器功能测试。
5.3.3 控制系统调试后应符合下列规定:
1 应具备与其他子系统通信能力;
2 对蓄能系统内各类设备控制应安全、可靠;
3 应具备实时采集、记录并应保存设备、关键点运行数据的能力,并应方便导出;
4 应有历史记录存储容量和保存时间,应满足趋势分析要求:
5 应具备故障诊断和报警功能;
6 应具有良好的可扩展性和上下兼容性,在系统升级或有新设备接入后,能方便集成到控制系统中。
5.4 系统调试和验收
5.4 系统调试和验收
5.4.1 当兑制载冷剂时,宜选用蒸馏水、去离子水或冷凝水;水的总硬度应低于100mg/L,氯化物和硫酸盐的含量宜分别小于25mg/L。
条文说明
5.4.1 乙烯乙二醇或丙烯乙二醇溶液宜采用蒸馏水兑制,现场不具备条件的应满足本条规定的水质要求。载冷剂兑制应在补液箱中进行,采用密度计进行相对密度检测。载冷剂的性能参数是保证冰蓄冷系统正常运行的要素,应严格地按照设计文件及厂家技术文件的要求进行载冷剂配制及充注。盘管式蓄冰槽中的水采用洁净自来水,并要求不做或尽量少做水处理,以保证水具有一定的抗腐蚀性和抗氧化性。不宜使用化学物质处理蓄冰槽中的水,否则会改变水的凝固点温度,影响系统的蓄冰效果。蓄冰槽中的水应保证水的正常冰点温度,以洁净的自来水为宜。若蓄冰槽中杂质较多,在水充灌前应进行冲洗,以保证水的洁净度;若蓄冰槽长时间不运行,每个供暖空调季应检查水质、水量,根据需要对蓄冰槽进行加水或放水;如有必要,应更换蓄冰槽内水,防止水变质或氧化。
5.4.2 载冷剂充灌应在系统冲洗和试压完毕后进行,充灌前管路及设备中的水和冲洗液应已排净、泄水阀关闭、排气阀开启。
条文说明
5.4.2 采用载冷剂补液泵进行载冷剂充注,应使系统充满并达到设计工作压力。载冷剂充灌前管路系统应进行多次清洗,确保过滤器无脏物。系统冲洗时,应避免使用强酸性清洗剂。
5.4.3 载冷剂充注前宜进行水压试验和水溶液的试运行。并应确保整个系统运行正常。
5.4.4 当多台蓄冰装置并联时。应在首次制冰循环完成后,检查每个蓄冰槽中液位一致性,应调节冰槽入口阀门使每个冰槽的流量均衡。
5.4.5 蓄能-释能周期的工况检测和验收应包括下列内容:
1 系统的运行模式;
2 冷热源主机、蓄能装置、水泵、阀门等的运行状态;
3 载冷剂及空调供回水温度、流量及压力;
4 冷热源主机、水泵等设备的耗电量、变频水泵运行频率。
5.4.6 制冷机组(热泵机组)单独供冷(热)工况调试和验收应符合下列规定:
1 系统连续运行正常、平稳,水泵压力及电流无大幅波动,系统运行噪声应符合设计要求;
2 各水系统压力、温度、流量应符合设计要求;
3 当多台制冷机组(热泵机组)及冷却塔并联运行时,各机组及冷却塔的水流量与设计流量的偏差不应大于10%。
5.4.7 制冷机组蓄冷(热泵机组蓄热)及蓄能装置单独供冷(热)工况的调试和验收应符合下列规定:
1 系统载冷剂的流量、压力、温度应符合设计要求;
2 系统实际蓄冷(热)量和释冷(热)量应符合设计要求;
3 系统的蓄冷(热)速率和释冷(热)速率应符合设计要求;
4 系统在蓄冷(热)、释冷(热)过程中运行应正常、平稳,水泵压力及电流应无大幅波动,系统运行噪声应符合设计要求。
5.4.8 蓄能空调系统联合调试和验收应符合下列觇定:
1 单体设备及主要部件联动应符合设计要求,动作应协调、正确,无异常;
2 各运行模式下系统运行应正常、平稳,运行参数应满足设计要求;各运行模式转换时动作应灵敏、正确;
3 系统运行过程中管路应无泄漏及产生凝结水等现象;
4 系统各保护动作反应应灵敏、动作应可靠;
5 各自控计量、检测元件及执行机构应工作正常,对系统各项参数的反馈及动作应正确、及时。
5.5 系统检测
5.5 系统检测
5.5.1 当载冷剂浓度检测及调整时,应开启载冷剂循环泵,并应从不同的泄水点取液进行相对密度检测。应根据浓度进行补液调整,且系统中载冷剂的浓度应达到设计要求。
条文说明
5.5.1 载冷剂浓度检测时的循环泵运行时间,应根据系统容量大小确定,目的是使载冷剂浓度充分均匀,然后再从不同的泄水点取液。
5.5.2 蓄能空调系统联合调试前,应按设计要求对各运行模式进行试运行。试运行一个蓄能-释能周期结束后,应进行不少于两个蓄能-释能周期的工况测试。
5.5.3 蓄能空调系统在调试阶段应至少进行一个蓄能-释能周期的系统性能试验,蓄冰装置和制冷机组性能参数应按本标准附录D对相关数据进行检测和记录。
条文说明
5.5.3 系统性能试验时,应尽可能接近设计蓄能-释能周期工况。其中,冰蓄冷系统的检测应包含下列内容:
1 蓄冰装置:①蓄冰存量(kWh);②在蓄冷和释冷循环中使用的传热流体类型;③蓄冷-释冷周期内蓄冷和释冷速率(kW);④蓄冷-释冷周期内通过蓄冷装置的传热流体压降(kPa)。
2 制冷装置:①制冷期蒸发器的制冷量(kW);②制冷期内进出蒸发器的传热流体类型、温度(℃)以及流量(m3/h);③冷凝器的进出口温度(℃)。
其中冷凝器进出口温度若无法获得详细数据,可参照本标准条文说明第3.3.7条,白天制冷工况进水温度按32℃考虑,夜间蓄冷工况进水温度按30℃考虑。
5.5.4 在调试阶段宜对槽体内外表面温度进行检测,并宜对槽体绝热层构造和厚度进行验算和核实。
5.5.5 对现场制作的蓄能槽防水层应进行24h漏水检测。
运行管理
6 运行管理
6.0.1 蓄冷(热)空调系统应经过调试验收后投入运行。
6.0.2 运行人员应经培训、考核合格,并应按规定取得相应级别的操作证后持证上岗。运行操作应符合技术文件以及设计文件的规定。
6.0.3 系统全年运行策略应根据冷热负荷特点、系统特性及电力供应状况等因素经技术经济比较确定,并应制定相应的操作标准。在日常运行中,应根据日冷热负荷变化选择运行模式。
6.0.4 蓄能空调系统应利用电网低谷时段电力蓄能,并应根据负荷变化情况调整和优化平价时段的运行模式。
6.0.5 蓄能空调系统中在用电低谷时段,应利用基载制冷(热泵)机组直接供能;在用电高峰时段,宜少开或停止制冷(热泵)机组的直接供能。
条文说明
6.0.5 当需要开启蓄能空调系统中的蓄能制冷(热泵)机组或基载制冷(热泵)机组供能时,因基载主机较蓄能主机在相同供能量时的性能系数(COP)高,所以在需要主机供能时应尽可能先开启基载主机,而尽量少开启蓄能主机。
6.0.6 每个供暖空调季应监测和分析设备能效、系统综合效率、移峰电量、单位供能运行费用等指标,并应据此调整蓄能系统运行策略。
6.0.7 冷热源设备每个供暖空调季应检修、保养,提高实际制冷(热)性能系数(COP)。
6.0.8 水、空气输送系统每年应进行检查和维修。
6.0.9 蓄能装置维护应符合下列规定:
1 每个供暖空调季应检查蓄能装置,内外紧固件应牢固,槽体构架和支撑架应不被腐蚀;
2 每个供暖空调季应检查蓄能装置内部管束的结垢和腐蚀情况;
3 每个供暖空调季应检查、维护高低液位报警装置;
4 每个供暖空调季应对蓄能装置水位、冰层厚度、储冰量传感器进行校准。
6.0.10 对表冷器、板式换热器、风机盘管机组、冷却塔、水过滤器及空气过滤器,每个供暖空调季应检查清洗,并应保持良好的工作性能。
6.0.11 蓄冷空调系统的载冷剂应每年进行一次抽样测试分析,并应根据测试结果制定维护计划。系统中的载冷剂溶液浓度、缓蚀剂量、pH值和碱度应符合设计要求。
6.0.12 盘管式蓄冰槽无冰时的液位应符合技术文件要求。检查液位量时,应将冰槽中的冰完全融化,检查视管中的液位,并应根据需要对冰槽补水或放水。
6.0.13 蓄能装置和输送管道绝热性能每个供暖空调季应检查和改善,并应符合现行国家标准《设备及管道绝热效果的测试与评价》GB/T 8174的规定。
6.0.14 冷冻水和冷却水应符合现行国家标准《工业循环冷却水处理设计规范》GB/T 50050的规定。
6.0.15 自动控制设备及监测计量仪表每个供暖空调季应维修、校核,应导出历史记录数据并妥善保存。
6.0.16 应建立蓄能系统运行管理、维修等规章制度、运行日志和设备技术的档案。
附录A 供暖及空调室外逐时计算温度
附录A 供暖及空调室外逐时计算温度
A.0.1 供暖室外逐时计算温度应按表A.0.1选取。



A.0.2 冬季空气调节室外逐时计算温度应按表A.0.2选取。




附录B 乙烯乙二醇、丙烯乙二醇溶液物理性质
附录B 乙烯乙二醇、丙烯乙二醇溶液物理性质
B.0.1 乙烯乙二醇和丙烯乙二醇溶液冰点、沸点应按表B.0.1选取。


条文说明
B.0.1 本标准附录B乙烯乙二醇、丙烯乙二醇溶液物理性质摘自2009ASHRAE Handbook-Fundamentals(SI)的Physical Properties of Secondary Coolants(Brines)。
B.0.2 乙烯乙二醇和丙烯乙二醇溶液物理性质参数应按表B.0.2-1、B.0.2-2选取。




附录C 载冷剂系统的管道流量和沿程阻力修正
附录C 载冷剂系统的管道流量和沿程阻力修正
C.0.1 乙烯乙二醇、丙烯乙二醇溶液管道的流量修正系数应按表C.0.1选取。

C.0.2 管道的阻力修正系数应按表C.0.2选取。



条文说明
C.0.1、C.0.2 载冷剂系统的管道流量和阻力计算可在常规水路水力计算的基础上对其流量和管道阻力进行修正。
表C.0.1给出了相同负荷时,-5℃的乙烯乙二醇、丙烯乙二醇溶液相对于20℃水的流量修正系数;表C.0.2给出了相同体积流量时,-5℃的乙烯乙二醇、丙烯乙二醇溶液相对于20℃水的沿程阻力修正系数。
乙烯乙二醇、丙烯乙二醇溶液流量与沿程阻力修正系数计算所需密度、黏度、比热等物理性质参照附录B。
第C.0.2条计算采用了ASHRAE Handbook中的摩擦阻力计算公式:

式中:λ——摩擦阻力系数;
D——管道直径(m);
Re——雷诺数;
ε——管道内表面的当量绝对粗糙度(m),按普通钢管0.1mm取值。
附录D 蓄冰装置和制冷机组性能参数
附录D 蓄冰装置和制冷机组性能参数



本标准用词说明
本标准用词说明
1 为便于在执行本标准条文时区别对待,对要求严格程度不同的用词说明如下:
- 表示很严格,非这样做不可的:
正面词采用“必须”;反面词采用“严禁”;
- 表示严格,在正常情况下均应这样做的:
正面词采用“应”;反面词采用“不应”或“不得”;
- 表示允许稍有选择,在条件许可时首先应这样做的:
正面词采用“宜”;反面词采用“不宜”;
- 表示有选择,在一定条件下可以这样做的:采用“可”。
2 标准中指明应按其他有关标准执行时,写法为:“应符合……的规定”或“应按……执行”。
引用标准名录
引用标准名录
1 《工业循环冷却水处理设计规范》GB/T 50050
2 《通风与空调工程施工质量验收规范》GB 50243
3 《民用建筑供暖通风与空气调节设计规范》 GB 50736
4 《压力容器》GB 150
5 《设备及管道绝热效果的测试与评价》GB/T 8174
6 《设备及管道绝热设计导则》GB/T 8175
7 《组合式空调机组》GB/T 14294
8 《风机盘管机组》GB/T 19232
