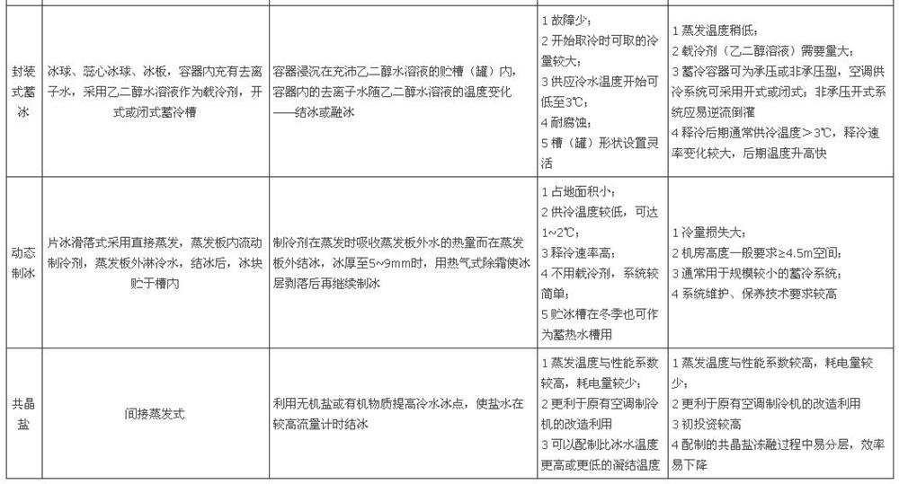
Appearance
《全国民用建筑工程设计技术措施—暖通空调·动力》(2009)
🗓️ 实施时间:
基本规定
1.1 总则
1.1.1 本《技术措施》分册是在2003版的(全国民用建筑工程设计技术措施》(暖通空调-动力)分册的基础上, 结合贯彻现阶段国家颁布的节能减排的政策, 进行的修订。
1.1.2 本《技术措施》分册适用于新建、扩建、改建的民用建筑的采暧、通风、空调、制冷、 锅炉房和燃气供应拉术。
1.1.3 本《技术措施》分册是遵循现行的国冢通设计规范、规定和有关设计节能标准编制的。使用期间, 应执行现行的国家规范、规定和标准的全部条文规定, 对其中的强制性条文必须执行。如遇新的规范、规定和标准颁布实施时, 应以新版本为准。
1.1.4 采暖、通凤和空调及其制冷设计方案应根据建筑物的用途、工艺和使用要求、室外气象条件以及能源状况等并同有关专业相配告, 通过技术经济比较确定。
1.2 室内空气计算参数
1.2.1 只设采暖系统的民用建筑的室内计算温度宜按表1.2.1确定。

注:普通住宅的卫生间宜设计成分段升温模式,平时保持18℃,洗浴时,可借助辅助加热设备(如浴霸)升温到25℃。
1.2.2 空调房间的室内设计计算参数宜符合表1.2.2的规定。

1.2.3 公共建筑主要空间的设计新风量,应符合表1.2.3的规定。

1.2.4 在设有空调的大型公共建筑物中,有放散热、湿、油烟、气味等的一些房间,一般情况下应通过热平衡计算,确定其通风换气量。当方案设计与初步设计缺乏计算通风量的资料或有其他困难时,可参考表1.2.4所列换气次数估算。

1.3 室外空气计算参数
1.3.1 采暖室外计算温度应采用平均不保证5天的日平均温度。
1.3.2 冬季通风室外计算温度应采用累年最冷月平均温度。
注:1 冬季使用的局部送风、补偿局部排风和消除有害物质的全面通风等的进风应采用采暖室外计算温度。
2 “累年”指多年(不少于3年)。特指整编气象资料时,所采用的以往一段连续年份的累计。以下各条有“累年”词的,与此同义。
1.3.3夏季通风室外计算温度应采用历年最热月14时的月平均温度的平均值。
注:“历年”指逐年。特指整编气象资料时,所采用的以往一段连续年份中的累计。以下各条有“历年”词的,与此同义。
1.3.4 夏季通风室外计算相对湿度应采用历年阳热月14时的月平均相对湿度的平均值。
1.3.5 冬季空调室外计算温度应采用历年平均不保证1天的日平均温度。
注:冬季不用空调系统面仅用采暖系统时,应采用采暖室外计算温度。
1.3.6 冬季空调室外计算相对湿度应采用累年最冷月平均相对湿度。
1.3.7 夏季空调室外计算干球温度应采用历年平均不保证50h的干球温度。夏季空调新风的计算温度采用夏季空调室外计算干球温度。
注:当室内温湿度必须全年保证时,应另行确定空调室外计算参数。
1.3.8 夏季空调室外计算湿球温度应采用平均不保证50h的湿球温度。
1.3.9 夏季空调室外计算日平均温度应采用历年平均不保证5天的日平均温度。
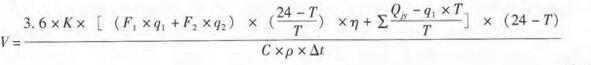
1.3.10 夏季空调室外计算逐时温度可按下式确定:

式中 tsh——室外计算逐时温度(℃);
twp——夏季空调室外计算日平均温度(℃);
β——室外温度逐时变化系数,按表1.3.10采用;
△tr——夏季室外计算平均日较差(℃);
twg——夏季空调室外计算干球温度(℃);按1.3.7条采用。

1.3.11冬季室外平均风速应采用累年最冷3个月各月平均风速的平均值;夏季室外平均风速应采用累年最热3个月各月平均风速的平均值。
1.3.12冬季室外最多风向及其频率应采用累年最冷3个月的最多风向及其平均频率;夏季室外最多风向及其频率应采用累年最热3个月的最多风向及其平均频率;年最多风向及其频率应采用累年最多风向及其平均频率。
1.3.13 冬季室外大气压力应采用累年最冷3个月各月平均大气压力的平均值;夏季室外大气压力采用累年最热3个月各月平均大气压力的平均值。
1.3.14 冬季日照百分率应采用累年最冷3个月各月平均日照百分率的平均值。
1.3.15 设计计算用采暖期天数,应按累年日平均温度稳定低于或等于采暖室外临界温度的总日数确定。
采暖室外临界温度的选取,一般民用建筑宜采用5℃。
1.3.16 山区的室外气象参数应根据就地的调查、实测与地理和气候条件相似的邻近台站的气象资料进行比较确定。
1.3.17未列入城市地区的室外气象参数应按本节的规定进行统计确定。对于冬夏两季各种室外计算温度亦可按下列的简化统计方法确定:
1 采暖室计算温度可按下式确定(化为整数):

2 冬季空调室外计算温度可按下式确定(化为整数):

3 夏季通风室外计算温度可按下式确定(化为整数):

4夏季空调室外计算干球温度可按下式确定:

5夏季空调室外计算湿球温度可按下式确定:

6夏季空调室外计算日平均温度可按下式确定:

式中twm—采暖室外计算温度(℃);
tlp—累年最冷月平均温度(℃);
twk—冬季空调室外计算温度(℃);
twf—夏季通风室外计算温度(℃);
trp—累年最热月平均温度(℃);
twg—夏季空调室外计算干球温度(℃);
tws—夏季空调室外计算湿球温度(℃);
ts·rp—与累年最热月平均温度和平均相对湿度相对应的湿球温度(℃),可在当地大气压力下的h-d图上查得;
twp—夏季空调室外计算日平均温度(℃);
tp·min—累年最低日平均温度(℃);
tmax—累年极端最高温度(℃);
ts·max—与累年极端最高温度和最热月平均相对湿度相对应的湿球温度(℃),可在当地大气压力下的h-d图上查得。
1.3.18 当局部送风系统的空气需要冷却或加热处理时,其室外计算参数,夏季应采用通风室外计算温度及室外计算相对湿度;冬季应采用采暖室外计算温度。
1.3.19 夏季太阳辐射度应根据当地的地理纬度、大气透明度和大气压力,按7月21日的太阳赤纬计算确定。
1.3.20 建筑物各朝向垂直与水平面的太阳总辐射照度可按《采暖通风与空气调节设计规范》GB50019的“附录A”采用。
1.3.21 透过建筑物各朝向垂直面与水平面标准窗玻璃的太阳直接辐射照度和散射辐射照度可按《采暖通风与空气调节设计规范》GB50019的“附录B”采用。
1.3.22 采用《采暖通风与空气调节设计规范》GB50019的“附录A”和“附录B”时,当地的大气透明度等级,应根据《采暖通风与空气调节设计规范》GB50019的“附录C”和夏季大气压力按表1.3.22确定。

采暖
2.1 一般规定
2.1.1 位于寒冷及严寒地匡的民用建筑, 宜设置集中采暧系统。
2.1.2 集中采暖系统应以热水为热媒。
2.1.3 采暖热源设备的选择, 应根据资源情况、环境保护、能源效率及用户对采暖费用可承受的能力等综合困素, 经技术经济分析比较确定。同时, 应符合以下原则:
1 应以热电厂与区域锅炉房为主要热源;在城市集中供热范围内时, 应优先采用城市集中供热提供的热源;
2 燃煤锅炉房的规模不宜过小, 独立建设的燃煤集中锅炉房中单台锅炉的容量, 不宜小于7.0MW; 对于规模较小的住宅区, 锅炉的单台容量可适当降低, 但不宜小于4.2MW。
3 模块式组告锅炉房, 宜以楼栋为单位设置, 其规模宜为4~8块, 不应超过10块;
4 位于工厂区附近时, 应充分利用工业余热及废热;
5 有条件时, 应积极利用太阳能,地热能等可再生能源;
2.1.4 居住建筑的集中采暖系统, 应按热水连续采暖进行设计口。商业、文化及其他公共建筑,可根据其使用性质、供热要求经技术经济比较确定。
2.1.5 集中采暖系统的施工图设计, 必须对每个房间进行采暖热负苘计算, 计算书中应附标有房间编号的建筑平面围, 以满足审核需要。
2.1.6 民用建筑采暖系统的热媒宜采用热水,热水的供水温度应根据建筑物性质、采暖方式、热媒性质及管材等因素确定,可参照表2.1.6的水温。

供回水温差可参照下列原则选取:
1 当热源为锅炉房时,供回水温差不得小于20℃;
2 当热源为热电联产集中供热时,供回水温差宜在15~20℃;
3 当热源为各类热泵时,供回水温差宜在10°以内。
2.1.7 当散热器采暖系统与空凋水系统共用热源时, 应分别设置独立环路。
2.1.8 在满足室内各环路水力平衡的前提下, 应尽量减少建筑物采暖系统的热力入口。
2.1.9 建筑物采暖系统的热力入口处, 必须设楼前热量表, 作为该建筑物采暖耗热量的热量结算点。对于居住建筑. 集中采暖系统, 必须设住户分户热计量(分户热分摊)的装置或设施。
2.1.10 楼栋热量表宜选用超声波或电磁式热量表,其准确度应高于3级,并有150天的日供热量储存值,或可采用数据远传的方法存储日供热量。
2.1.11 设有热计量装置的建筑物采暖系统的热力入口装置, 应符合下列要求:
1 建筑物的采系统的热力入口装置不应设于地沟内;
2 有地下室的建筑, 采暖系统的热力入口装置应设置在地下层的专用小室内,小室净高不应低于2.0m,前操作面的净宽不应小于0.8m。
3 无地下室的建筑,宜于楼梯间下部设置小室,操作面净高不应低于1.4m,前操作面的净宽不应小于1.0m; 采暖系统的热力入口装置也可设置在管道井或技术夹层内;
4 供、 回水管之间应设置旁通管, 旁通管上应装设关断阀;
5 供水总管上必须安装水过滤器; 为了减少阻力,应优先选用桶型立式直通除污器。
2.1.12 热量表的选择与应用, 应符合下列要求:
1 热量表的额定流量〔在精度等级内经常通过热表的流量〕,应按系统设计流量的80%考虑, 不得根据采暖系统管道的直径选配热量表;
2 热量表的最大流量〔在精度等级内短时间通过热表的最大流量〕〔<lh/d,<200h/a)应为额定流量的2倍;
3 最小流量 (在精度等级内允许通过热表的最小流量, 以占额定流量的比例表示〕应为额定流量的1/25~l/250;
4 在额定流量下, 热媒流经热量表的压力损失不应太大于0.025MPa;
5 热量表的流量传感器, 宜安装在回水管道上;
6 热量表的流量检测类型, 有机械式、 电磁式、 超声波式,振荡式等, 机械式流量计量热量表的价格低于非机械式流量计量的热量表; 但非机械式热量表的精度及长久稳定性优于机械式, 相应的故障及运行维护成本也低于机械式; 选用时应结合一次投资、 维护保养成本及工程具体情况等因素综合考虑确定;
7 热量表的承压等级分PN10、PN16及PN25 三种, 必须根据系统工作压力选用相应额定压力的热量表; 管道内的压力波动超过1.5倍额定压力时, 可能导致损坏流量测量元件的后果;
8 机械式热量表有旋翼式与螺翼式之别, 旋翼式热量表应水平安装,螺式热量表及超声波热量表, 可以水平安装, 也可垂直安装在立管上;
9 机械式热量表的上游, 旌保持5D~10D长度的直管段, 下游应保持2D~8D长度的直管段 (D为连接管的外径〕;超声波热量表不受上述规定的限制;
10 机械式热量表作为楼栋热量表时,入口前应设两级过滤, 初级滤网孔径宜取3mm;次级孔径宜取0.65~0.75mm;如果户内采用机械式热量表作为分户热量(费)分摊的工具,在户用热量表前应再设置一道滤径为0.65~0.75mm的过滤器;
11 热媒温度高于90℃时,热量表的计算器必须安装在墙面上或仪表盘上。
2.1.13 设计图中必须标注热量表的型号、额定流量及接口公称直径。
2.2 热负荷计算
2.2.1 民用建筑的采暖设计热负荷,应包括下列各项耗热量:
1 围护结构的温差传热耗热量(围护结构基本耗热量)(Q1);
2 地面的温差传热耗热量(Q2);
3 加热通过门、窗缝隙渗入室内的冷风耗热量(Q3);
4 加热外门开启时进入室内的冷风耗热量(Q4);
5 各项附加耗热量(Q5)。
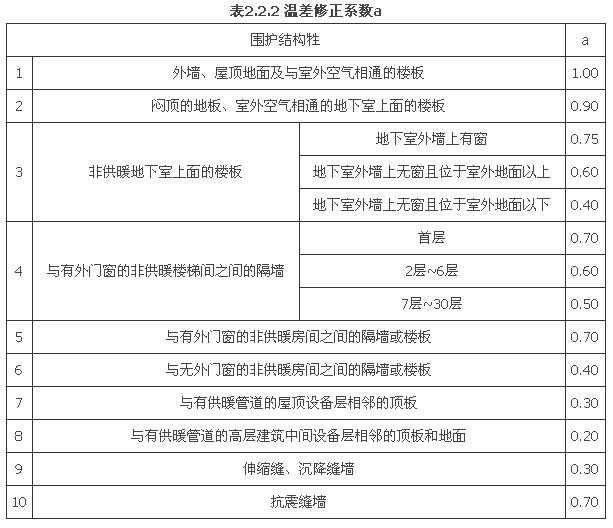
2.2.2围护结构的基本耗热量Q1(W),应按正式计算:

式中 K——该面围护结构的传热系数,[W/(㎡·℃)];
F——该面围护结构的散热面积,(㎡);
tw——采暖室外计算温度,(℃);
tn——室内采暖计算温度(见本措施表1.2.1),(℃);
α——温差修正系数(见表2.2.2)。

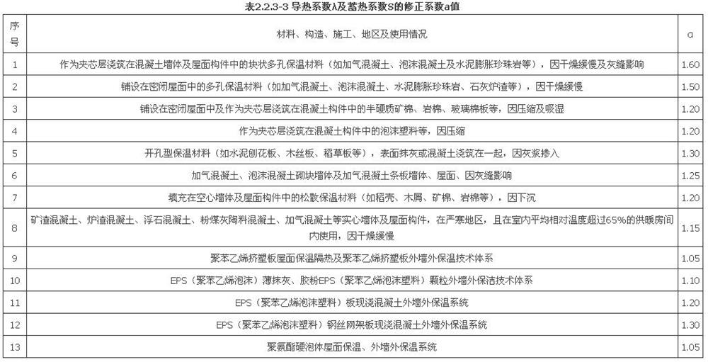
2.2.3围护结构的传热系数K[W/(㎡·℃),应按下式计算确定:

式中 R——围护结构的传热阻[(㎡·℃)/W];
αn——内表面的换热系数[W/(㎡·℃)],见表2.2.3-1;
αw——外表面的换热系数[W/(㎡·℃)],见表2.2.3-2;
δ——各层材料的厚度(m);
λ——各层材料的导热系数[W/(㎡·℃)],见附录A;
α——导热系数的修正系数,见表2.2.3-3;
Rk——空气间层的热阻[(㎡·℃)/W],见表2.2.3-4.




2.2.4 对于有顶棚的坡屋面,当以顶棚面积计算其传热量时,应按下式计算屋面和顶棚的综合传热系数k[W/(㎡·℃)]:

式中k1——屋顶的综合传热系数[W/(㎡·℃);
k2——顶棚的综合传热系数[W/(㎡·℃);
α——屋顶与顶棚间夹角的度数。
2.2.5 当建筑物采用外墙内保温时,应采用按面积加权平均法求出的墙体平均传热系数计算墙体的温差传热耗热量。
2.2.6 门、窗的传热系数应按表2.2.6确定。

2.2.7 地面的温差传热耗热量Q2(W),应按正式计算:

式中Kpj.d——非保温地面的平均传热系数[W/(㎡·℃)],见表2.2.7-1及表2.2.7-1;
Fd——房间地面总面积(㎡)。

注:1 当房间长或宽度超过6.0m时,超出部分可按表2.2.7-1查Kpj.d。
2 当房间有三面外墙时,需将房间先划分为两个相等的部分,每部分包含一个冷拐角。然后,据分割后的长与宽,使用本表。
3 当房间有四面外墙时,需将房间先划分为四个相等的部分,作法同本注2.
2.2.8围护结构的附加耗热量,应按其占基本耗热量百分数计算,各项附加百分率应按下列规定数值选用:
1 朝向修正率:
北、东北、西北:0%~10%
东、西:-5%
东南、西南:-10%~-15%
南:-15%~-30%
注:1 冬季日照率<35%时,东南、西南和南向的修正率宜取-10%~0%,东、西向不修正。
2 日照被遮挡时,南向可按东西向、其它方向按北向进行修正。
3 偏角<15°时,按主朝向修正。
2 风力附加率:建筑物位于不避风的高地、河边、湖滨、海岸、旷野时,其垂直的外围护结构的传热耗热量应附加5%.
3 窗墙面积比过大修正率:当窗墙面积比大于1:1时(墙面积中不包含窗的面积),外窗应附加10%。
4 外门开启附加率(建筑层数为n):
1)开启一般听外门(如住宅、宿舍、幼托等):
一道门 65n%
两道门(有门斗) 80n%
三道门(有两个门斗) 60n%
2)开启频繁的外门(如办公楼、学校、门诊部、商店等):
一道门 98 n%~130 n%
两道门(有门斗) 120 n%~160n%
三道门(有两个门斗) 90 n%~120 n%
3)外门的附加率,最大不应超过500%。
注:1 外门开启附加率仅适用于短时间开启的、无热风幕的外门。
2 仅计算冬季经常开启的外门。
3 外门是指建筑物底层入口的门,而不是各层各户的外门。
4 阳台门不应计算外门开启附加率。
5 两面外墙附加率:当房间有两面外墙时,宜对外墙,外门及外窗附加5%。
2.2.9房间高度大于4m时(不包括楼梯间),应在基本耗热量与附加耗热量之和的基础上,计算高度附加率;每高出1m,附加2%,最大附加率不应大于15%。
2.2.10 对于间歇使用的建筑物,宜按下列规定计算间歇附加率(附加在耗热量的总和上):
1 仅白天使用的建筑物:20%;
2 不经常使用的建筑物:30%。
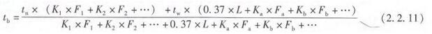
2.2.11 与供暖房间相邻的不供暖房间的室内温度tb(℃),可近似按下式计算:

式中K1、K2——不供暖房间与供暖房间之间围护物的传热系数[W/(·℃)];
Ka、Kb——不供暖的房间与室外空气相邻的围护物的传热系数[W/(㎡·℃)];
K1、K2——对应于K1、K2围护物的传热面积(㎡);
Ka、Kb——对应于Ka、Kb围护物的传热面积(㎡);
L——由渗透及通风进入不供暖房间的室外空气量(m3/h)。
2.2.12 加热通过门、窗缝隙渗入室内的冷风耗热量Q3(W),应按下列方法计算:

式中Cp——干空气的定压质量比热容[kJ/(kg·℃) ],Cp=1.0056;
Pw——室外供暖计算温度下的空气密度(kg/m3);
V——房间的冷风渗透体积流量(m3/h);
tn、tw——室内、外供暖计算温度(℃)。
2.2.13 多层民用建筑的冷风渗透量L(m3/h),可按下列方法计算确定:
1 缝隙法:忽略热压及室外风速沿高度递增的因素,只计入风压作用时的渗透冷风量V(m3/h):
式中l——房间某朝向上的可开启门、窗缝隙的长度(m);
L1——每1m门窗缝隙的渗风量[m3/(m·h)],见表2.2.13-1;
n——渗风量的朝向修正系数,见表2.2.13-2。

注:1 每1m外门缝隙的L1值为表中同类型外窗L1的2倍。
2 当有密封条时,表中数值可乘以0.5~0.6的系数。

2 换气次数法:缺乏相关数据时,多层建筑的渗透冷风量L(m3/h),可按正式近似估算:
L=N×V (2.2.13-2)
式中N——换气次数(1/h),见表2.2.13-3;
V——房间净面积(m3)。

2.2.14 高层民用建筑的冷风渗透量L(m3/h),应考虑热压与风压联合作用,以及室外网速随高度递增的原则按下列方法确定:

式中Lo——单位长度门窗缝隙渗入的理论空气量(理论渗风量)[m3/(m·h)];
l——房间某朝向上的可开启门窗缝隙的长度(m);
m——各朝向冷风渗透的综合修正系数;
b——外窗、门缝隙的渗风指数,b=0.56~0.78,无实测数据时,可取b=0.67。
2.2.15
1 单位长度门窗缝隙渗入的理论渗风量Lo[m3/(m·h)],应按下式计算:

式中α1——外门窗缝隙的渗风系数[m3/(m·h·Pa)],见表2.2.15-1;
vo——冬季室外最多风向下的平均风速(m/s);
pw——室外采暖计算温度下的空气密度(kg/ m3)。
2 建筑外窗空气渗透性能分级及缝隙渗风系数下限值,见表2.2.15-1.

3 《建筑外门窗气密、水密、抗风压性能分组及检测方法》GB/T7106-2008规定,外窗按其空气渗透性分为8级,见表2.2.15-2。

2.2.16 各朝向冷风渗透的综合修正系数m值,应按下式计算:

式中Cr——热压系数,在纯热压作用下,作用在外窗、门缝两侧的热压差占渗入或渗出总热压差的百分份额,见表2.2.16;
△Cf——风压差系数,在纯风压作用下,建筑物迎背风两侧风压差的一半;当认为迎背风面的外门、窗缝隙的 阻力状况相同,且迎背风面的空气动力系数各为1.0和-0.4时,△Cf可取为0.7;
n——在纯风压作用下渗风量的朝向修正系数,见表2.2.13-2;
C——作用于外门、窗缝隙两侧的有效热压差与有效风压差之比;
Ch——高度修正系数,可按下列原则计算确定:


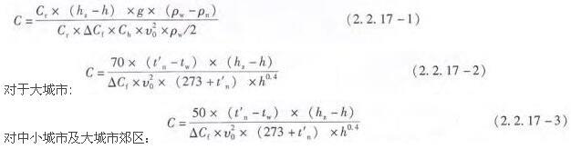
2.2.17有效热压差与有效风压差之比C,应按下式计算:

式中hz——纯热压作用下建筑物中和界的标高(m),可取建筑物总高度的1/2;
t′n——建筑物内热压竖井内的空气计算温度(℃),当走廊及楼梯间不供暖时,t′n按温差修正系数取值时,供暖时取为16℃或18℃;
tw——室外供暖计算温度;
vo——冬季室外最多风向下的平均风速(m/s).
2.2.18 取△Cf=0.7及b=0.67,根据以上诸式即可求出部分城市某朝向上每1m外窗、门缝的渗风量L1[m3/(m·h)],设计计算时可直接查用陆耀庆主编的《实用供热空调设计手册》(第二版)上册中表5.1-12.
2.2.19 根据渗风量L1[m3/(m·h)],可按正式计算出房间的渗风量L1(m/h);

式中l——房间某朝向上的可开启门窗缝隙的长度(m)。
2.2.20 通过外门缝隙渗入的冷风量,可根据缝隙实际长度按下列原则确定:
1 阳台门的冷风渗透量,可按相应朝向和级别窗户冷风渗透量的两倍计算;
2 住宅防盗门可按2级窗计算;
3 普通外门可按1级计算;
4 住宅楼梯间不供暖时,应计算户门的冷风渗透量;冷风渗透量可按2 m3/h计算。
2.2.21 当室内有每天连续使用2h以上听机械排风系统时,应对补风进入的空气按下式计算冷风渗入量L(m3/h);

式中n——每天排风的小时数(h);
Lp——排风量(m3/h)。
2.3 散热器
2.3.1散热器的选择,应符合要求:
1 产品符合现代国家标准或行业标准的各项规定;
2 承压能力满足采暖系统工作压力要求;
3 采用柱式、板式、扁管等各种类型钢制散热器及铝制散热器的采暖系统,必须采取防腐蚀措施;
4 采用铝制散热器时,必须选择内壁有可靠防腐措施的产品,且应严格控制热媒水的pH值,应保持pH(25℃) ≤9.0;
5 在同一个热水采暖系统中,不应同时采用铝制散热器与钢制散热器;
6 采用铝制散热器与铜铝复合型散热器时,应采取防止散热器接口产生电化学腐蚀的隔绝措施;
7 采用户用热量表进行分户热量(费)分摊和采用散热器温控阀的热水采暖系统中,如采用铸铁散热器采暖,必须选择内腔无砂工艺生产的产品;
8 环境湿度高的房间如浴室、游泳馆等,应优先选择采用耐腐蚀的铸铁散热器;
9 在同类产品中,应选择采用具有较高金属热强度指标的产品。
2.3.2 散热器的散热面积F(㎡),应按下式计算:

式中 Q——散热器的散热量(W);
K——在设计工况下散热器的传热系数[W/(㎡·℃)];
tp——散热器内热媒的平均温度(℃);
tn——室内采暖计算温度(℃);
β1——散热器的长度修正系数,按产品的修正系数正;
铸铁柱型散热器:6片以下时,β1=0.95;
6~10片时,β1=1.0;
11~12片时,β1=1.05;
20~25片时,β1=1.1;
β2——散热器连接方式的修正系数,见表2.3.2-1;
β3——散热器安装形式的修正系数。散热器应明装,必须暗装时,其安装形式的修正系数见表2.3.2-2。


注:1 本修正系数不适用于高度小于900mm、水在管程内流动的散热器(如钢串片散热器)。
2 高度大于900mm散热器的修正系数应由生产企业负责提供。
2.3.3 散热器的片数或长度,应按以下原则取舍:
1 双管系统:热量尾数不超过所需散热量的5%时可舍去,大于或等于5%时应进位;
2 单管系统:上游(1/3)、中间(1/3)及下游(1/3)散热器数量计算尾数分别不超过所需散热量的7.5%、5%及2.5%时可舍去、反之应进位;
3 铸铁散热器的组装片数,不宜超过下列数值:
粗柱型(包括柱翼型) 20片
细柱型 25片
长翼型 7片
2.3.4 计算散热器的散热量时,应扣除室内明装不保温采暖管道的散热量;明装不保温采暖管道的散热量Qp(W)应按下式计算:

式中 F——管道的外表面积(㎡/m),见表2.3.4-1;
K——管道的传热系数[W/(㎡·℃)];
tp——管道内热媒的平均温度(℃);
tn——室内采暖计算温度(℃);
η——管道安装位置的修正系数,沿地面敷设的管道:η=1.0;沿顶棚敷设的管道:η=0.5;立管:η=0.75。

注:括号中数字为无缝钢管时的表面积

2.3.5 串联楼层数≥8层的垂直单管系统,应考虑立管散热冷却对下游散热器散热量的不利影响,宜按下列比率增加下游散热器的数量:
1 下游的1~2层:附加15%;
2 下游的3~4层:附加10%;
3 下游的5~6层:附加5%。
2.3.6散热器的布置,应符合以下规定:
1 散热器应明装,并宜布置在外窗的窗台下。室内有两个或两个以上朝向的外时,散热器应优先布置在热负荷较大的窗台下;
2 托儿所、幼儿园、老年公寓等有防烫伤要求的场合,散热器必须暗装或加防护罩;
3 有外窗的房间,散热器不宜高位安装。进深较大的房间,宜在房间的内外侧分别布置散热器;
4 散热器暗装时,应留有足够的气流通道,并应方便维修;
5 门斗内不得设置散热器;
6 片式组对散热器的长度,底层每组不应超过1500mm(约25片),上层不宜超过1200mm(约20片),片数过多时可分组串联连接(串接组数不宜超过两组),串联接管的管径应≥25mm;供回水支管应采用异侧连接方式;
7 楼梯间的散热器,应尽量布置在底层;当底层无法布置时,可按表2.3.6进行分配。

2.3.7 警报器的外表面,应刷非金属性涂料。
2.4 散热器热水采暖系统
2.4.1 散热器热水采暖应优先采用闭式机械循环系统;环路和划分,应以便于水力平衡、有早于节省投资及能耗为主要依据,系统不宜过大,一般可采用异程式布置;有条件时宜按朝向分别设置环路。
2.4.2 热水采暖系统的形式,宜按照下列原则选择确定:

2.4.3 干管和立管(不含建筑物的采暖系统热力入口)上阀门的设置,应遵守下列规定:
1 采暖系统各并联环路,应设置关闭和调节装置;当有冻结危险时,立管或支管上的阀至干管的距离,不应大于120mm;
2 供水立管的始端和回水末端应设置立管阀,回水立管上还应设置排污、泄水装置;
3 室内共用立管与进户供回水管相连处,在进户管上应设置关断阀;
4 用于维修时关闭用的阀门,应选择采用低阻力阀,如闸阀、双偏心半球阀或蝶阀。需承担调节功能的阀门,应选择采用高阻力阀,如截止阀、平衡阀、调节阀。
2.4.4 散热器恒温控制阀及回水调节(锁闭)阀的设置,应符合下列规定:
1 垂直双管系统中每组散热器的供水支管上,应设置两通恒温控制阀,且宜采用有预设阻力功能的恒温控制阀;回水支管上应设置铜质回水调节(锁闭)阀;
2 跨越式垂直单管系统,应设置两通或三通恒温控制阀,一般宜优先采用两通恒温控制阀;
3 水平单管串联系统中的每组散热器上,应设置带恒温控制器的单管配水阀(单管H型阀或带柱塞管的单管阀);
4 水平双管系统中的每组散热器的供水支管上,应设置恒温控制阀;
5 暗装散热器以及温控器有可能被遮挡的场合,恒温控制阀应选择采用外置式(远传型)温度传感器;传感器应设置在能正确反映房间温度的部位;
6 散热器恒温控制阀的安装,必须使其阀柄及阀头(传感器)与地面保持水平,且应避免阳光直射;
7 散热器恒温控制阀的规格,应根据通过散热器的水量及压差选择确定;
8 恒温控制阀应具有带水、带压清堵或更换阀芯以及防冻设定的功能;
9 有冻结危险的楼梯间或其他有冻结危险的场所,应由单独的立、支管供暖。散热器前不得设置调节阀,立管上设阀门。
2.4.5 热水采暖系统水平管道的敷设,应保持一定的坡度i,不同管道的坡度及坡向宜符合下列规定:
1 供、回水水平干管的坡度,宜采用i=0.003,不应小于0.002;坡向应有利于空气排放和管道泄水;
2 与采暖立管连接的散热器供水支管,i≥0.01(坡向散热器);
3 与采暖立管连接的散热器回水支管,i≥0.01(坡向支管);
4 当条件限制,供回水干管(含单管水平串联的散热器连接管)无法保持必要的坡度时,允许局部无坡度敷设,但该管道内的水流速度不得小于0.25m/s。
2.4.6 采暖系统最低点的工作压力,应根据散热器的承压能力、管材及管件的特性、提高工作压力的成本等因素经综合考虑后确定,并应符合下列规定:
1 建筑物的采暖系统,高度超过50m时,宜竖向分区设置;
2 采用金属管道的散热器采暖系统,工作压力不应大于1.0MPa;
3 采用热塑性塑料管道的散热器采暖系统,工作压力不宜大于0.6MPa;
4 低温地面辐射采暖系统的工作压力,不应大于0.8MPa。
2.4.7采暖系统中供水干管末端和回水干管始端的管道直径,不宜小于DN20。供回水立管及水平串联管的管径,不宜大于DN25.
2.4.8 热水采暖系统中的最高点及有可能积聚空气的部位,应设置自动排气阀或集气罐。空气的排除,应符合以下规定:
1 上供下回采暖系统:系统中的空气应通过设置在供水干管末端的自动排气阀或集气罐集中排除;每组散热器上可不设手动放气阀;
2 下供下回采暖系统:系统中的空气应通过设置在供回水立管顶部的自动排气阀或集气罐集中排除,或在顶层的散热器上设置手动或自动排气阀。
3 水平双管或水平单管串联采暖系统:每组散热器上应设置自动或手动排气阀;
4 排气阀应优先选用阀体下部带阻断阀的铜投影立式自动排气阀,这里水管与排气阀之间的连接管上,可不装设供维修时应用的关闭阀。自动排气阀的口径,一般可采用DN15mm,系统较大时,宜采用DN20mm。
2.4.9热水采暖系统中的最低点及有可能积水的部位,应设置排污泄水装置;泄水管(附闸阀或球阀)的直径,应保持≥20mm。
2.4.10符合下列情况的采暖管道,应进行保温处理;
1 管道位于室外、非采暖房间及有冻结危险的地方的管道;
2 敷设于技术夹层、管沟、管井、阁楼及天棚内的管道;
3 必须确保输送过程中热媒参数不变的管道;
4 热媒温度等于或高于80℃、有烫伤危险的部位;
2.4.11管道布置时,必须认真考虑管道的固定与补偿,并应符合下列要求:
1 水平干管或总立管的固定点的布置,应保证分支管接点处的最大位移量不大于40mm;连接散热器的立管,应保证管道分支接点由管道伸缩引起的最大位移量不大于20mm;无分支管接点的管段,间距应保证伸缩量不大于补偿器或自然补偿所能吸收的最大补偿量;
2 采暖管道必须计算其热膨胀;计算管道膨胀量时,管道的安装温度应按冬季环境温度考虑,一般可取0~-5℃。
3 采暖系统供回水管道应充分利用自然补偿的可能性;当利用管段的自然补偿不能满足要求时,应设置补偿器;
4 补偿器应优先采用方形或Z形;并应设置于两个固定点间距的1/2~1/3范围内;
5 确定固定点的位置时,应考虑安装固定支架(与建筑物连接)的可行性;
6 垂直双管及跨越管与立管同轴的单管系统的散热器立管,长度≤20m时,可在立管中间设固定卡;长度>20m时,应采取补偿措施;
7 采用套筒补偿器或波纹补偿器时,应设置导向支架;当管径DN≥50mm时,进行固定支架的推力计算,验算支架的强度;
8 户内长度>10m的供回水立管与水平干管相连接时,以及供回水支管与立管相连接处,应设置2~3个过渡弯头或弯管,避免采用“T”形直接方式。
2.4.12 采暖管道应避免穿越防火墙,无法避免时,应预留钢套管,并在穿墙处设置固定支架。管道与套管间的空隙,应以耐火材料填封。
2.4.13 管道穿过楼板时,应预埋钢套管,套管应高出地面20mm,管道与套管之间的空隙,应以柔性防火封堵材料封堵。
2.4.14 采暖管道穿越建筑基础墙、变形缝时,应设管沟。缺乏条件时,应设置套管,并采用柔性接头。
2.4.15 敷设采暖管道的室内管沟,应符合下列规定:
1 应设计采用半通行管沟,管沟净高宜等于或大于1.2m,通道净宽宜等于或大于0.8m;连接水平支管处或有其它管道穿越处。通道净高宜大于0.5m。
2 管沟应设计通风孔,其间隔不宜大于20m。
3 管沟应设置检修人孔,且应符合下列要求:
1)人孔直径不应小于0.6m;
2)人孔间距不宜大于30m;
3)管沟长度大于20m时,人孔数不应少于2个;
4)人孔应布置在需检修的阀门和配件附近,不应设置于浴厕、有较高防盗要求的房间、人流较多的主要通道及住宅的户内,必要时可延伸到室外;
5)管沟端头宜设置人孔。
4 管沟不应与电缆沟、土建风道等相通。
2.5 居住建筑散热器集中热水采暖系统
2.5.1 进行居住建筑采暖设计时,必须遵守《严寒和寒冷地区居住建筑节能设计标准》JGJ26的各项规定。
2.5.2 居住建筑的室内采暖计算温度,不应低于下表的规定值。

2.5.3 实行分户热量(费)分摊的住宅,在计算确定户内采暖设备容量和管道时,应考虑户间传热对采暖负荷的影响,计算负荷可附加≤50%的系数。
通过户间传热引起的耗热量q(W)也可以近似按正式确定:
q=A×qh (2.5.3)
式中A——房间的使用面积(m2);
qh通过户间楼板和隔墙的单位面积平均传热量(W/ m2),一般可近似取qh=10W/ m2。
新建建筑户间楼板和隔墙,不应为减少户间传热面对户间隔墙和楼板作保温处理、
2.5.4 户间传热量q(W),仅作为确定户内采暖设备容量和管道直径的依据,不应计入户外采暖干管和立管热负荷和建筑总采暖热负荷内。
2.5.5 居住建筑的采暖系统,必须以热水为热媒,供水温度不应高于95℃。
2.5.6 居住建筑采暖系统的热力入口装置,不宜设置于室外管沟内。有地下室的建筑,宜设置在地下室的专用空间内,空间净高不应低于2.0m,前操作面净距离不应小于0.8m;对于无地下室的建筑,宜在楼梯间下部设置小室,操作面净高不应低于1.4m,前操作面净距离不应小于1.0m,该小室应设置可锁闭的门。
2.5.7 集中采暖(集中空调)系统,必须设置住户分户热计量(分户热分摊)的装置或设施。
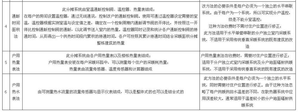
2.5.8 分户热量(费)分摊的实施,可选择采用表2.5.8中的任一方法。


2.5.9 室内的热水采暖系统,应优先采用共用立管的分户独立系统型式,干管环路布置应均匀,各组共用立管的负荷宜相近,并应符合下列要求:
1 共用立管宜采用双管下供下回式系统;
2 共用立管的顶部应设置自动排气阀;
3 共用立管应敷设于管井内,管井应邻近楼梯间或户外公共空间;各户的入口装置应设置于管井内,分集水器宜设置于户内;
4 每组共用立管连接的用户数不应过多,一般不宜超过40户,每层连接的户数不宜多于3户;
多于3户时,管井内宜分层设置分、集水器,使入户管通过分、集水器进行转接;
5 连接2层及2层以上的各层支干管和立管管径,不应小于入户管管径;
6 并联于共用立管上的各户,宜采用相同的系统形式;
7 采暖系统应进行严格的水力平衡计算,并宜符合下列要求;
1)室内共用立管的比摩阻保持为30~60Pa/m;
- 户内系统的计算压力损失(包括调节阀、户用热量表)不大于30kPa。
2.5.10 居住建筑内的公共用户或空间,如要求采暖时,应设置独立的采暖系统或环路,并应配置单独进行热计量的装置。
2.5.11 建筑物内的供回水干管及共用立管,应采用热镀锌钢管(丝扣连接)或焊接钢管(焊接连接)。
2.5.12 室内连接散热器的明装供、回水支管,宜采用金属管道(镀锌钢管)、铝合金内衬聚丁烯(PB)或铝合金内衬耐热聚乙烯(PE-RT)的管道。
2.6 低温热水地面辐射采暖系统
2.6.1 低温热水地面辐射采暖系统的设计,应遵守《地面辐射供暖系统技术规程》JGJ142的各项有关规定。
2.6.2 地面辐射采暖系统户内的供水温度,不应高于60℃;供回水温度差不宜大于10℃。当利用热泵机组提供热水时,供水温度宜采用40~45℃。
2.6.3 采用低温地面辐射采暖系统进行供暖的集中供热小区,锅炉房或小区换热站不宜直接提供温度≤60℃的热媒。
2.6.4 当外网提供的热媒温度高于60℃时(一般允许最高为90℃,宜在各户的分集水器前设置混水泵,抽取室内回水混入供水,以降低供水温度,保持其温度不高于设定值,并加大户内循环水量;混水装置也可以设置在楼栋的采暖热力入口处。
2.6.5 全面地面辐射采暖系统各采暖房间热负荷的确定,应符合以下规定:
1 室内计算温度的取值,应比传统对流采暖系统的室内计算温度低2℃;
2 不计算敷设加热管地面的热损失;
3 不计算高度附加热损失;
4 应考虑间歇供暖及户间传热等因素;
5 进深大于6m的房间,宜以距外墙6m为界,分区分别计算其热负荷。
2.6.6 局部地面辐射采暖系统的热负荷,可按整个房间全面辐射采暖所算出的热负荷乘以该区域面积与所在房间面积的比值和表2.6.6中规定的附加系数确定。

2.6.7 地面辐射采暖系统单位地面面积所需散热量qx(W/m2),应按下列公式计算:
式中 q——房间所需的地面散热量(W);
F——敷设加热管的地面面积(m2)。
2.6.8 热媒的供热量,应包括地面向房间的散热量和向下层房间(包括地面向土壤)传热的热损失量。
2.6.9 确定地面所需的散热量时,应扣除来自上层地板向下的传热量。在住宅建筑中,当各层均采用地面辐射采暖时,除顶层外,可以近似地认为来自上层地板辐射采暖房间的热量,等于本房间地板向下的传热量,即每层热媒的供热量与房间的负荷近似相等。
2.6.10 计算地面散热量时,应考虑家具及其它地面上的覆盖物对地面(散热面)遮挡所造成的散热量折减,对于住宅建筑,单位面积应增加散热量的修正系数,可参照表2.6.10确定。

注:1 引自董重成等“地面遮挡对地板辐射采暖散热量的影响研究”。《全国暖通空调制冷2004年学术文集》。
2 一股情况下,地面的遮挡率与房间面积成反比,因此面积小的房间遮挡率宜取大值。
3 面积范围可近似按内插法确定系数。
2.6.11 确定地面散热量时,应校核地表面平均温度tpj(℃)),地表面的平均温度可按正式计算:

式中 tn——室内计算温度(℃);
qx——单位地面面积所需散热量(W/ m2)。
2.6.12 地表面的平均温度不应高于表2.6.12的规定值。当房间采暖负荷过大,地表面平均温度超过下表的规定值时,应通过改善建筑热式性能或设置其他采暖设备等措施,减少地面辐射供暖系统负担的热负荷。

2.6.13地面辐射采暖系统的地面构造,宜由楼板或与土壤相邻的地面、绝热层、加热管与填充层、找平层和面层等组成,一般应符合下列要求:
1 与土壤相邻的地面,必须设绝热层,且在绝热层下部必须设防潮层;直接与室外空气相邻的楼板,也必须设置绝热层;
2 当采用模塑聚苯乙烯泡沫塑料(EPS)板作为绝热层时,其厚度不应小于表2.6.13的规定值;

3 采用EPS板作为绝热层,且以塑料卡钉固定加热管时,为了增强EPS板的表面强度,确保卡钉能将加热管牢固地固定在EPS板上,在EPS板的表面上,必须复合一层夹筋镀铝膜层;当采用其它固定方式固定加热管时,如钢丝网绑扎或采用挤塑板(XPS)作为绝热层时,可以不设置夹筋镀铝膜层;
4 潮湿房间如浴室、游泳馆、洗手间、卫生间等房间的填充层上部,应设置隔离层(防水层),以防止绝热层受潮失效;
5 当工程允许地面按双向散热进行设计时,各楼层间的楼板上可不设绝热层。
2.6.14 加热管管材的选择原则是:承压与耐湿适中、便于安装、能热熔连接、环保性好(废料能回收利用);实践中宜优先选用耐热聚乙烯(PE-RT)管和聚丁烯(PB)管,也可采用交联聚乙烯(PE-X)管及铝塑复合管。
2.6.15 在住宅建筑中,地面辐射采暖系统应按户划分系统,配置分、集水器;并根据户内房间分环路布置加热管,较小房间如卫浴的加热管,可串接在其它环路中。
2.6.16 连接在同一组分、集水器上的加热管,可串接在其它环路中。
2.6.17 加热管的管系列S值应符合表2.6.17-1的规定,其公称壁厚可按表2.6.17-2确定,同时应满足下列要求:
管径小于15mm的管材,壁厚不应小于1.8mm;
管径大于或等于15mm的管材,壁厚不应小于2.0mm;
需进行热容焊接的管材,壁厚不应小于1.9mm。

注:S值是管材环应力δ(MPa)与管内壁承受压力P(MPa)的比值,仅与管道的外径D(mm)和壁厚e(mm)有关,其关系式为S=δ/P=(D-e)/2e。

2.6.18单位地面面积的散热量和向下传热损失应根据热媒的平均温度和流速、室内空气温度、加热管管径和材质、覆盖加热管的地面层热阻、加热管管间距等因素,通过计算确定。
2.6.19当地面构造符合下列规定时:
1 加热管采用公称外径为20mm的PE-X管或PB管;
2 混凝土填充层的厚度为50mm;
3 以20mm厚的EPS板作为绝热层;
4 供回水温度差为10℃。
单位地面面积的散热量和向下传热损失,可分别按《地面辐射供暖技术规程》JGJ142附录A·1和A·2直接查出;《地面辐射供暖技术规程》条文说明中同时规定,当采用PE-RT管和PP-R管时,其单位地面面积的散热量和向下传热损失,可分别按PE-X管及PB管的数据采用。
2.6.20 室内加热管的布置,不宜采用全室等间距均布模式,应以保证室内地表面温度分布均匀为布置原则,选择采用旋转形、往复形、直列形或将这些形式组合在一起的综合布管方式,但务必将高温管段布置于室内热损失大的区域,并适当减小该区域内的布管间距。
2.6.21 加热管的敷设间距一般不应小于150mm,也不宜大于300mm;近年来随着建筑热工性能的改善,采暖负荷减少,要求管间距大于300mm的情况时有出现,这时,宜按下列方法处理:
1 按实际需要适当增大加热管的敷设间距(英国标准BS EN 1264-2中管间距规定值为450mm);
2 按照局部辐射采暖方式进行设计,在远离建筑外围护结构的内部区域(本区域内几乎没有采暖热损失),不布置加热管。
2.6.22 加热管与墙体表面间的距离,不宜小于200mm。
2.6.23 当面层采用带龙骨的架空实木地板时,加热管不应敷设在混凝土填充层内,应明敷在地板下龙骨之间的绝热层上。
2.6.24填充层的材料,宜采用C15豆石混凝土,豆石粒径为5~12mm;填充层的厚度不宜小于40mm,当地面荷载大于2.0kN/m2时,应会同结构设计人员对地面采取加固构造措施。
2.6.25 浇捣混凝土填充层时,应采用“分仓跳格”法间隔进行。
2.6.26 伸缩缝的设置,应符合下列要求:
1 地面面积超过30㎡,或长度大于6m时,每间隔5m应设置宽度≥8mm的伸缩缝;
2 在填充层与墙(含过门处)、柱等垂直构件的交接处,应预留宽度≥10mm的不间断伸缩缝;
3 在内、外墙和柱子交接处的伸缩缝,应直至地面最后装饰层的上表面为止,保持整个截面隔开;
4 所有伸缩缝,均应从绝热层的上表面开始,直到填充层的上表面为止;
5 伸缩缝,均应从绝热层的上表面开始,直到填充层的上表面为止;
6 施工图设计中,平面图上应明确的标注出需要设置伸缩缝的位置。
2.6.27 设计低温温热水地面辐射采暖系统时,应注意下列要求:
1 为了防止管道系统冲洗时脏水流入加热盘,在分水器的进水管与集水器的出水管之间应设置旁通管并配置阀门;如果在下供下回式采暖系统的供回水共用立管的顶部设置带阀的旁通管,则在分、集水器的进、出水管间可不再设旁能管;、
2 在分水器供水管上顺水流方向应安装阀门、过滤器、阀门及泄水管;在集水器出水管上应设置泄水管、平衡阀或其它可判断的调节阀;
3 分、集水器上均应设置手动或自动排气阀;
4 连接在每组分、集水器的分支环路不宜多于8个;
5 埋于垫层内的加热管不应有接头;
6 地面上的固定设备和卫生洁具下,不应布置加热管。
2.6.28 为了充分利用室内的自由热,并满足个性化的要求,地面辐射采暖系统应设计室温自控装置。
2.7 燃气红外线采暖系统
2.7.1 燃气红外线辐射采暖系统适用于耗热量大的高大空间建筑的全面采暖、局部区域或局部地点的采暖。对于排风量较大的房间、间歇性供暖的房间宜优先采用。
2.7.2 燃气红外线辐射采暖系统的燃料,可采用天燃气、人工煤气、液化石油气。燃气输配系统应符合第12章和《城镇燃气设计规范》GB50028的有关规定。燃气压力及耗气量应满足产品设计资料要求。
2.7.3 采用燃气红外线辐射采暖时,必须采取相应的防火防爆和通风换气等安全措施。
2.7.4 燃气红外线辐射采暖系统用于全面采暖时,其热负荷应取常规对流式计算热负荷的80%~90%,且不计算高度附加。
2.7.5 燃气红外线辐射采暖系统用于局部采暖时,其耗热量可按全面采暖的耗热量乘以该局部面积与所在房间面积的比值,再按下表乘以局部辐射采暖热负荷附加系数进行计算。

2.7.6 燃气红外线辐射采暖系统安装高度超过6m时,每增高0.3m,建筑围护结构的总耗热量应增加1%。
2.7.7 高大建筑空间全面采暖宜采用连续式红外线辐射加热器;面积较小,高度较低的空间,宜采用单体的低强度辐射加热器;室外工作点的采暖,宜采用单体高强度辐射加热器。
2.7.8 燃气红外线辐射采暖系统的布置以保证房间温度分布均匀为原则,并应符合下列要求:
1 布置全面辐射采暖系统时,沿四周外墙、外门处的辐射器散热量不宜少于总热负荷的60%;
2 宜按不同使用时间、使用功能的工作区域设置能单独控制的辐射器;
3 人员集中的工作区域宜适当加强辐射强度。
2.7.9 燃气红外线辐射器的安装高度,应根据人体舒适度确定,但不应低于3m。也可参照表2.7.9确定。

2.7.10 燃气红外线辐射采暖系统用于局部地点采暖时,其数量不应少于两个,且宜安装在人体两侧上方。
2.7.11 燃气红外线辐射采暖系统应与可燃物之间保持一定的距离。与可燃物之间的最小距离可参照表2.7.11确定。

2.7.12由室内供应空气的房间,应能保证燃烧器所需要的空气量。当燃烧器所需要的空气量超过该房间每小时0.5次的换气次数时,应由室外供应空气。
2.7.13 燃气红外线辐射采暖系统采用室外供应空气时,进风口应符合下列要求:
1 设在室外空气洁净区,距地面高度不低于2m;
2 距排风口水平距离大于6m;当处于排风口下方,垂直距离不小于3m;当处于排风口上方时,垂直距离不小于6m;
3 安装过滤网。
2.7.14 无特殊要求时,燃气红外线辐射采暖系统的尾气应排到室外。排风口应符合下列要求:
1 设在人员不经常通行的地方,距地面高度不低于2m;
2 水平安装的排气管,其排风口伸出墙面不少于0.5m;
3 垂直安装的排气管,其排风口调出半径为6m以内的建筑物最高点不少于1m;
4 排气管穿越外墙或屋面处加装金属套管。
注:燃气的尾气,主要是二氧化碳和水蒸气,当燃气红外线辐射供暖系统用于蔬菜、花卉等栽培温室时,尾气一般可以直接排在室内。
2.7.15燃气红外线辐射采暖系统,应在便于操作的位置设置,并与燃气泄漏报警系统联锁,可直接切断采暖系统及燃气供应系统的控制开关。利用通风机供应空气时,通风机与采暖系统应设置联锁开关。
2.8 热风采暖与热风幕
2.8.1符合下列条件之一的场合,宜采用集中送风式热风采暖系统:
1 室内允许循环空气进行采暖;
2 热风采暖系统能与机械送(补)风系统合并设置时;
3 采暖热负荷特别大、无法布置大量散热器的高大建筑;
4 设有散热器防冻值班采暖系统,又需要间歇正常供暖的房间,如学生食堂;
5 利用热风采暖经济合理的其它场合。
2.8.2集中送风式和暖风机热风采暖系统的热媒,宜采用0.1~0.1MPa的高压蒸汽或≥90℃的热水。
1 每股射流的作用宽度;平等送风时 B≤3~4H
扇形送风时 B=45°
2 每股射流的有效作用距离(半径):平等送风时 L≤9H
扇形送风时 R≤10H
式中 B——每股射流的作用宽度(m);
H——房间高度(m);
L——每股射流的有效作用距离(m);
R——扇形送风时射流的作用半径(m)。
2.8.4集中送风时的气流分布情况,可按表2.8.4确定。

2.8.5 平行送风的集中式热风采暖系统,可按表2.8.5-1所给出的步骤进行计算。


2.8.6 扇形送风的集中式热风采暖系统,可按表2.8.6-1所给出的步骤计算。


2.8.7 采用热风采暖系统时,应遵守下列规定:
1 室内的人员活动区宜处于回流区,射流末端的最小平均回流速度Vp·max宜保持:Vp·max=0.15m/s。
2 室内人员活动区的最大平均回流速度Vp·max宜取下列数值:
坐着工作时:Vp·max≤0.3 m/s;
轻体力劳动时:Vp·max≤0.5 m/s;
重体力劳动时:Vp·max≤0.75 m/s。
3 送风口的安装高度,应根据房间高度及回流区的高度等因素确定,一般不宜低于3.5m,不得高于7m;回风口底边与地面的距离,宜保持0.4~0.5m。
4 送风口的送风速度Vo(m/s),应根据送风口的高度、型式及布置经过计算确定,当送风口位于房间上部时,送风速度宜取:Vo=5~15 m/s; 当送风口位于离地不高处时,送风速度宜取:Vo=0.3~0.7 m/s.
5 回风口的回风速度,宜取:Vh=1~3m/s。
6 送风温度宜控制在35~50℃,最高不得大于70℃。
2.8.8 暖风机的最大优点是升温快、设备简单、初投资低,它主要适用于空间较大、单纯要求冬季供暖的餐厅、体育馆、商场等类型的建筑物。对噪声控制较严格的房间,不宜采用暖风机供暖。
2.8.9 暖风机宜与传统的散热器值班采暖系统配合应用;如餐厅应用时,可以沿外墙(窗)设置传统的散热器采暖系统,保持室温5℃左右,另外配置暖风机采暖系统,供用餐时升温之用(由5℃升到16℃左右),非用餐时间保持关闭状态。
2.8.10 暖风机的名义供热量,通常是根据进风温度为15℃额定的,当实际进风温度不等于15℃时,其供热量应按正式进行修正:

式中 Q——暖风机的实际供热量(W);
Qm——暖风机的名义供热量(W);
tp——热媒的平均温度(℃);
tn——实际进风温度(℃)。
2.8.11 吊挂式小型暖风机的设计与布置,应遵守下列规定:
1 室内空气每小时的循环次数,不应少于1.5次;
2 布置水平出风的小型暖风机时,应使暖风机的出口射流在平面上相互衔接,并使室内空间形成一个气流循环圈;
3 暖风机不应沿外墙布置,避免射流由外墙吹向室内;
4 布置垂直向下出风的吊顶式小型暖风机时,应保持暖风机的出口射流在活动区地面以上2m处的水平面上互相搭接;
5 水平出风小型暖风机的安装高度h(m),应符合下列要求:
当出口风速Vo=5m/s时,h=2.5~3.5m;
当出口风速Vo>5m/s时,h=4~3.5m;
6 送风温度不宜低于35℃,不应高于55℃。
2.8.12 水平出风小型暖风机的射程X(m),应根据生产企业提供的数据采用;当缺乏数据时,可近似按下式估算:

式中 Vo——暖风机的出口风速(m/s);
D——暖风机的出口当量直径(m)。
2.8.13落地式大型暖风机的设计与布置,应遵守以下规定:
1 暖风机宜沿房间的长度方向布置,其出风口与侧墙之间的距离,不应小于4m;
2 暖风机的气流射程,不应小于室内供暖区的长度;
3 在气流射程区域内,不应有任何阻挡气流流动的障碍物;
4 暖风机出口的高度h(m),应符合下列要求:
室内净高H≤8.0m时,h=3.5~6.0m;
室内净高H>8.0m时,h=5~7m;
5 暖风机进风口底部距离地面的高度,不宜大于1.0m,也不应小于0.4m;
6 当采用蒸汽作为热媒时,每台暖风机应设置疏水器。
2.8.14 符合下列条件之一的场所,宜设置空气幕或热风幕:
1 位于严寒地区的公共建筑,人员出入频繁且无条件设置门斗的主要出入口;
2 位于非严寒地区的公共建筑,人员出入频繁且无条件设置门斗的主要出入口,设置空气幕或热风幕经济合理时;
3 室外冷风侵入会导致无法保持室内设计温度时;
4 内部有很大散湿量的公共建筑(如游泳馆)的外门;
5 两侧温度、湿度或洁净度相差较大,且人员出入频率的通道。
2.8.15热风幕的送风参数,应通过计算确定,且宜符合下列要求:
1 送风温度:一般的外门不宜高于50℃,高大外门不应高于70℃;
2 送风速度: 公共建筑的外门,网速不宜大于6m/s,高大外门不应大于25m/s;
3 通过外门进入室内的混合空气的温度不应低于12℃。
2.8.16 为了防止在供汽压力或供水温度过低的情况下热风采暖系统、暖风机和热风幕投入运行,从而出现“吹冷风”的现象,宜配置恒压(温)启动自控环节,确保蒸汽压力或热水温度未达到设计值之前,热风采暖系统、暖风机和热风幕不能启动。
2.9 热水采暖系统的水力计算
2.9.1 集中供热工程设计必须进行水力平衡计算,工程竣工验收必须进行水力平衡检测。
2.9.2 室内采暖系统总压力损失的确定,应符合下列原则:
1 不大于室外热力网给定的资用压力降;
2 满足室内采暖系统水力平衡的要求;
3 室内采暖系统总压力损失宜在计算总压力损失基础上增加10%的附加值。
2.9.3采暖系统热水管道的最大流速,不应大于表2.9.3的限值。

2.9.4 热水采暖系统并联环路(不包括公共段)之间压力损失的相对差额,不应大于15%;一般可通过下列措施达到水力平衡:
1 环路布置应力求均衡对称,作用半径不宜过长,负担的立管数不宜过多;
2 尽可能通过调整管径,使并联环路之间压力损失的计算相对差额过到最小;
3 必要时设置静态或动态平衡阀。
2.9.5对于垂直双管系统、垂直分层的单管水平串联系统、同一环路而层数不同的垂直单管系统,当重力水头的作用高差大于10m时,关联环路之间的水力平衡,应按正式计算重力水头H(pa):

式中 h——计算环路散热器中心之间的高差(m);
Ps——设计供水温度下的密度(kg/m3);
Pr——设计回水温度下的密度(kg/m3);
G——重力加速度(m/s2),g=9.81(m/s2)。
2.9.6 局部压力损失△P1(Pa),可按局部阻力系数ζ(常用管道配件的局部阻力系数见表2.9.6-1)或当量长度ld(m)(见表2.9.6-2)计算确定:





2.9.7塑料管道的摩擦阻力系数λ,可按正式计算:

式中b——水的流动相似系数;
Kd——管道的当量粗糙度,塑料管:Kd=1×100-5m;
Res——实际雷诺数;
μt ——水的运动黏度(与温度有关)(m2/s);
Rez——阻力平方区的临界雷诺数。
2.9.8 进行水力计算时,可根据流量及流速由附录B塑料管及铝塑复合管水力计算表确定沿程压力损失。
附录B中的比摩阻,是根据平均水温t=60℃计算得出的;当水温不等于60℃时,应按下式进行修正:

式中R——设计温度和设计流量下的比摩阻(Pa/m);
R60——在设计流量和热水平均温度等于60℃时的比摩阻(Pa/m);
a——比摩阻修正系数,见表2.9.8。

2.9.9 塑料管附件的局部阻力系数,可按表2.9.9确定。

2.10 热水采暖系统的水质要求及防腐设计
2.10.1与热源间连接的二次水采暖系统的水质,应符合表2.10.1的要求。

注:1 硫酸根的检测,可参照《水质 硫酸盐的测定 火焰原子吸收分光光方度法》GB13196。
2 总铜量的检测,可参照《水质 铜的测定 二乙二基硫代 氨基甲酸钠分光光度法》Gb7474。
2.10.2 与锅炉房直接连接的采暖系统(无水压热水锅除外)的水质,应符合表2.10.2的要求。

注:1 当锅炉的补水采用锅外化学处理时,对补水总硬度的要求为≤0.6mmol/L。
2 当锅炉的补水采用锅外化学处理时,对补水溶氧量的要求为≤0.1(mg/L)。
2.10.3 与无压(常压)热水锅炉连接的热水采暖系统,应设置热交换器,将锅炉热水(一次水系统)与采暖系统(二次水系统)分开。二次水系统的水质同,应满足表2.10.1的各项要求。一次水系统的水处理和水质,应符合国家标准:《工业锅炉水质》GB1576第2.3条关于“常压热水锅炉”的规定(见表2.10.3)。

注:1 通过补加药剂使锅水pH值控制在=10~12。
2 额定功率≥4.2MW的承压热水锅炉给水应除氧,额定功率<4.2MW的承压热水锅炉和常压热水锅炉给水应尽量除氧。
2.10.4 热水采暖系统的水处理,应达到下列目标:
1 使系统的金属腐蚀减至最小;
2 水质达到表2.10.1的要求;
3 抑制水垢、污泥的生成及微生物的生长,防止堵塞采暖设备、管道、温控阀、机械式热量表等;
4 不污染环境,特别是不污染地下水;
5 处理方法简单,便于实施,费用较低。
2.10.5 采暖系统的水处理,宜选择表2.10.5中的方式。

2.10.6热水采暖系统的水处理装置,可选择采用下列任何一种方式:
1 人工加药装置:对热水采暖系统加防腐阻垢剂,加药装置与系统的连接,一般有下列两种方式:
1)对补水进行水处理:贮药罐人工加药装置的出口与补水泵的入口相连;
2)对循环水进行水处理:贮药罐人口加药装置的出口与循环水泵的入口和出口相连,如图2.10.6-1所示。
图2.10.6-1 人工加药装置示意图
注:1 防腐阻垢剂具有防腐、阻垢、除垢、除锈、育(保护)膜、防止人为失水、抑制细菌和藻类繁殖以及停炉保护等多种功能。使用固体防腐阻垢剂后,通常不用除氧就能有效地防腐。
2 固体防腐阻垢剂有以下三种功能:
◆ 由于除垢除锈,等于除去了电化学腐蚀的阴极,从而能有效地阻止电化学腐蚀;
◆它含有几种育膜剂,能在铁的表面生成一层黑亮的保育膜,可阻隔氧和二氧化碳的腐蚀;
◆它是碱性药剂,能迅速提高水的pH值。
3 对于采用钢制散热器的采暖系统,实际运行要控制9≤pH≤12(pH≥10时,铁处于钝化区中,腐蚀最小)就可以了。不过,运行中必须注意,一旦出现pH<9时,应迅速投药;否则会因为水中碳酸盐析出而使水系统中形成沉淀物的堆积。另外,为了降低悬浮物的浓度,每组排污阀每天应进行一次排污。
2 自动加药装置:图2.10.6-2所示为旁通式自动加药装置,它是一种根据pH值按比例自动进行加药的系统。
这种加药装置通常由pH仪、自动加药装置、袋式过滤器等组成,可以添加具有防止腐蚀和结垢的化学水处理剂,能自动控制pH值(保持pH=9.8±0.2)。

2.10.7 热水采暖系统的防腐设计,应符合表2.10.7的规定。
| 序号 | 项目 | 要求 | 备注 |
| 1 | 基本要求 | ◇ 热水采暖系统,应根据补水的水质情况、系统规模、与热源的连接方式、定压方式、设备及管道材质等按本表要求进行防腐设计; ◇ 采用铝制(包括铸铝与铝合金)及其内防腐型散热器时,热水采暖系统不宜与热水锅炉直接连接; ◇ 热水地面辐射供暖系统的加热管,宜带阻氧层; ◇ 散热器采暖系统与空调供热系统不应合在同一个热水系统里 | 非供暖季节采暖系统应充水保养; 热水地面辐射供暖系统与散热器采暖系统并联于同一热源系统时,应将它们作为一个热水采暖系统,进行防腐设计 |
| 2 | 设计说明 | ◇有条件时,应注明补水的水质资料; ◇标明采暖系统的总水容量、定压方式、给出系统的最高、最低工作压力及补水泵的启停压力 | — |
| 3 | 定压方式 | ◇采用高位膨胀水箱定压时,宜采用常压密闭水箱; ◇采用钢制散热器时,应采用闭式系统; ◇采用水泵定压方式时,宜应用变频泵; ◇户用燃气(油)热水炉(器),应选用内置隔膜膨胀水罐的产品 | 宜采用隔膜式压力膨胀水罐定压(充注惰性气体) |
| 4 | 补水量的控制 | ◇计算确定高位膨胀水箱和隔膜式压力膨胀水罐的有效容积时,应包括膨胀容积和调节容积; ◇采用普通补水泵补水时,宜按补水量的50%、100%两档设置水泵;水泵应自动控制运行; ◇热源设备的供回水管、采暖系统的分支回路、立管上,均应设置密闭性好的关断阀门;放气应采用带自闭功能的自动排气阀 | 系统的补水管上应设置水表 |
| 5 | 水处理设施 | ◇补水水质达不到表2.10.1或表2.10.2的规定时,应设补水水处理设施和/或循环水处理设施; ◇循环水水质达不到表2.10.1或表2.10.2规定时,应设循环水水处理设施; ◇补水水处理设备的小时处理水量,宜按系统总水容量的2%~2.5%设计;循环水水处理设备的小时处理水量宜按系统循环水量的10%设计; ◇对于既有采用普通补水泵定压、又用安全阀泄水卸压的采暖系统,宜增设隔膜式压力膨胀水罐定压,或改用变频泵补水定压,宜根据补水水质情况增设补水水处理设施; ◇对于既有采用高位开式膨胀水箱定压或系统中含有不阻氧塑料管的采暖系统,宜根据补水水质、循环水水质情况增设补水水处理设施、旁通式循环水水处理设施 | 补水水质符合表2.10.1或表2.10.2的规定时,可不设补水水处理设施;但宜预留水处理设施的位置 |
| 6 | 预防电化学腐蚀 | ◇热水采暖系统的供暖设备、管道与热源设备的材质应尽量一致。在同一热水采暖系统中,少量的不同金属设备无法避免混装时,其接头处应做防腐绝缘自理; ◇与热源间接连接的二次热水采暖系统中,采用铝制(包括铸铝、铝合金及内防腐型)散热器时同,与钢管连接处应有可靠的防止电化学腐蚀措施 | 热水供暖系统有条件时宜与空调水系统分开设备,以避免不同金属设备混装引发电化学腐蚀 |
| 7 | 除污器、过滤器的设置 | ◇循环水水处理设施的过滤:循环水旁通进水管上设滤径为3mm的过滤器或旁通式袋式等过滤器; ◇建筑物热力入口的供水总管上,宜设两级过滤,初级为滤径3mm;二级为滤径0.65~0.75mm的过滤器 | 除尘器的阻力远远小于Y型过滤器,为了减少系统阻力,应优先采用除污器 |
| 8 | 金属腐蚀检查片的设置 | 新建民用建筑热水采暖系统及既有热水供暖系统改造时,宜在系统中预先设置金属腐蚀检查片,以便定期检查金属的腐蚀速率、评估被腐蚀状况,并及时采取相应的水处理补救措施 | 金属腐蚀检查片应使用与金属设备相同的材质,并宜设置于热源或便于监控的管道中 |
供热与供冷管网
3.1 一般规定
3.1.1 供热、供冷介质及参数
1 采暖、通风、空调系统应采用水作供热介质。
2 当热水供热系统规模较大时,宜采用间接连接系统。间接系统一次水设计供水温度宜取115~130℃,设计回水温度应取50~80℃;二次水设计供水温度不宜高于85℃。
3 区域供冷系统宜采用较大的供回水温差,设计供水温度不宜高于5℃。
4 当用户室内系统有不同的系统型式、需要不同的介质温度、阻力差别较大或使用时间不一致时,应按不同参数耐人分别设置室外管网。当采用同一管网时,应按较高参数设计管网,在建筑物入口分系统设置调节控制装置,必要时可设温水泵或二次泵。
3.1.2 敷设方式
1 室外供热、供冷管道宜采用地下敷设。当热水、冷水管道地下敷设时,宜采用直埋敷设;蒸汽管道地下敷设时,可采用直埋敷设。
2 当地下敷设困难时,可采用地上敷设。当地上敷设管道跨越人行通道时,保温结构下表面距地面不应小于2.0m;跨越车行道时同,保温结构下表面距地面不宜小于4.5m;采用低支架时,管道保温结构下表面距地面不应小于0.3m。
3 管沟敷设时,热力管道可与自来水管道、电压10kV以下的电力电缆、通讯线路、压缩空气管道、压力排水管道和重油管道一直敷设在综合管沟内,严禁与输送易挥发、易爆、有害、有腐蚀性介质的管道和输送易燃液体、可燃气体、惰性气体的管道敷设在同一管沟内。在综合管沟布置时,热力管道应于冷水、自来水管道和重油管道,并且自来水管道应做绝热层和防水层。
3.1.3 管线布置
1 地下敷设的管道和管沟不宜小于0.002。进入建筑物的管道宜坡向干管。
2 热水、冷水、凝结水管道的设点(包括阀门划分的每个管段的高点)应安装放气装置;低点(包括阀门划分的每个管段的低点)宜安装放水装置。
3 蒸汽管道的低点、垂直升高的管段前和同一坡向的管段顺坡每隔400~500m、逆坡每隔200~300m应设启动疏水和经常疏水装置。经常疏水装置排出的凝结水宜排入凝结水管道,当不能排入凝结水时,排入下水道前应降温到40℃以下。
4 当热水、冷水系统补水能力需控制管道充水流量,或蒸汽管道启动暖管需控制蒸汽流量时, 管道阀门应装设口径较小的旁通阀作为控制门。
5 管道放气、放水、疏水、旁通管直径可参考表3.1.3.

6 室外采暖计算温度低于-5℃地区露天敷设的不连续运行的凝结水管道放水阀门,室外采暖计算温度低于-10℃地区露天敷设的热水管道设备附件均不得采用灰铸铁制品。室外采暖计算温度低于-30℃地区露天敷设的热水管道,应采用钢制阀门及附件。蒸汽管道在任何条件下均应采用钢制阀门及附件。
3.2 直埋敷设
3.2.1 直埋敷设适用条件
1 直埋敷设管道应采用由专业工厂加工的预制直埋保温管。工作钢管应符合《液体输送用无缝钢管》GB/T8163或《城市供热用螺旋缝埋弧焊钢管》CJ/T3022的规定。
2 供热介质设计温度不高于130℃的直埋敷设热水、冷水及凝结水管道,应采用钢管、聚氨酯保温层、高密度聚乙烯外护管结合成一体的预制直埋保温管及管件。
3 直埋敷设蒸汽管道,应采用工作钢管相对外护管能沿轴向自由移动的预制直埋保温管及管件,保温结构中可设滑动支架、保护垫层、辐射层、空气层或真空层。外护管材料可采用钢或玻璃钢,当地下水位高于管底时,应采用钢质护管。
4 直埋保温管保温层厚度应同时满足下列条件:
1)外护管表面温度不高于50℃;
2)冷水、蒸汽介质温度降的要求;
3)管道周围土壤环境温度的要求;
4)保温计算时应计入土壤热阻,双管敷设的直埋管道应考虑管间附加热阻的影响;
5)蒸汽管道接触工作钢管的保温材料的允许使用温度应比介质温度高100℃以上,当采用复合保温结构时,内层保温材料的外表面温度不应超过外层保温材料的安全使用温度的0.8倍。
5 直埋敷设管道的最小覆土深度宜符合表3.2.1的规定,同时应满足稳定和抗浮条件。

6 直埋敷设管道的阀门、补偿器、疏水装置等宜布置在检查室内,当直埋布置时应采用预制直埋保温结构。
3.2.2 热补偿
1 直埋敷设热水管道,宜采用无补偿的敷设方式,钢管壁厚不宜小于表3.2.2的数值。应根据管道规格、布置长度、工作温度等参数,确定计算方法。选用补偿器时,补偿能力不应小于计算热伸长量的1.2倍。

2 直埋敷设蒸汽管道的工作钢管,必须采用有补偿的敷设方式,热伸长量计算与管沟敷设相同。直埋敷设蒸汽管道的钢质外护管,应采用无补偿的敷设方式。
3.2.3 管件布置
1 直埋敷设管道上的阀门应采用钢质阀门。阀门等管件应能承受管道的轴向荷载,与管道连接宜采用焊接。直埋弯头应采用机制光滑弯头。
2 直埋敷设热水、冷水管道转角宜布置为60°~90°,转角管段两侧的臂长(弯头到驻点、锚固点或固定点的距离)不应小于表3.2.3-1的数值。

3 直埋敷设热水、冷水管道,当夹角折角小于表3.2.3-2的数值和坡度小于0.02时,可视为直管段,但在距轴向补偿器12m范围内管道不应有折角和坡度变化。

4 直埋敷设蒸汽管道的工作钢管,固定支架的设置与管沟敷设相同。当采用钢质外护管时,宜采用内固定支架。
5 不抽真空的直埋敷设蒸汽管道必须设置排潮管。排潮管直径宜按表3.2.3-3选取。排潮管应设置在外护管位移的较小处。排潮管可引入专用室内,如引出地面出口应向下,出口距地面高度不宜小于0.25m。

6 直埋敷设蒸汽管道的疏水装置应设在工作钢管与外护管相对位移较小处。疏水井室宜采用主副井的布置方式,关断阀和疏水口应分别设在两个井室内。
3.2.4 固定支架作用力计算
1 直埋敷设热水、冷水管道对固定支架的作用力计算,应包括以下三部分:
1)过渡段土壤摩擦力或锚固段升温轴向力;
2)弯头升温轴向力或补偿器弹性力,摩擦力;
3)两侧管道横截面不对称产生的内压不平衡力。
2 直埋敷设热水、冷水管道固定支架两侧管段作用力合成时,应按以下原则进行:
1)当固定支架两侧管段长度不同时,土壤摩擦力随升温次数增加而下降造成的轴向力变化的差异,按最不利情况进行合成;
2)按本条第1款第1)、2)项计算的作用力相互抵消时,较小方向作用力应乘以0.8的抵消系数;
3)当固定支架两侧管段均为锚固段时,锚固段升温轴向力的抵消系数取0.9;
4)固定支架两侧管段内压不平衡力的抵消系数取1。
3 直埋敷设蒸汽管道,工作钢管对内固定支架的作用力计算与管沟敷设相同;外护管对外固定支架的作用力可按本条第1、2款计算;内固定支架的作用力计算应包括工作钢管的作用力和外护管的作用力。
3.3 管沟敷设和地上敷设
3.3.1 管道敷设
1 管沟敷设有关尺寸应条例表3.3.1的规定。

2 检查室有关尺寸应符合下列规定:
1)净空高度不应小于1.8m;
2)人行通道宽度不应小于0.6m;
干管保温结构表面与检查室地面距离不应小于0.6m;
人孔直径不应小于0.7m,人孔数量不应小于两个,并应对角布置,人孔应避开检查室内的设备,当检查室净空面积小于4m2时,可只设一个人孔;
5)检查室内至少应设一个集水坑,并应置于人孔下方;
检查室地面应低于管沟内底不小于0.3m;
检查室内爬梯高度大于4m时应设护栏或在爬梯中间设平台;
8)盖板覆土深度不应小于0.2m。
3 通行、半通行管沟应设事故人孔。设有蒸汽管道的通行管沟,事故人孔间距不应大于100m;热水、冷水管道的通行管沟,事故人孔间距不应大于400m。
4 整体混凝土结构的通行管沟,每隔200m宜设一个安装孔,安装孔宽度不应小于0.6m且应大于管沟内最大一根管道的外径加0.1m,其长度应保证6m长的管子进入管沟。当需要考虑设备进出时,安装孔宽度还应满足设备进出的需要。
5 管道进入建筑物时,管道穿墙处应封堵严密。
3.3.2 热补偿
1 管道活动端热伸长量应按下式计算:

式中△l——管段的热伸长量,(mm);
α——钢材的线膨胀系数,[m/(m·℃)];
t1——管道工作循环最高温度,(℃);
t2——管道安装温度或工作循环最低温度,(℃);
L——设计布置的管段工作长度,(m)。
采用套筒补偿器时,t2应取管道安装温度和工作循环最低温度中听较低值。采用方形补偿器、波纹管补偿器时,t2应取管道工作循环最低温度。
2 采用套筒补偿器时,应计算各种安装温度下的补偿器安装长度,并保证管道在可能出现的最高、最低温度下,补偿器留有不小于20mm的补偿余量。
3 方形补偿器、波纹管补偿器、球形补偿器安装时应进行预变形,预变形系数可取0.3~0.5.
3.3.3 管道支架设置
1 活动支架之间的距离可参考3.3.3-1选用。

2 固定支架之间的距离可参考表3.3.3-2选用。

3 采用方形补偿器或波纹管补偿器时,管道上应安装防止管道失稳的导向支架。
当采用轴向波纹管补偿器时,第一个导向支架与补偿器的距离不应大于4倍管道公称直径,第二个导向支架与第一个导向支架的距离不应大于14倍管道公称直径,其余导向支架的间距可与活动支架的间距相同。
3.3.4 管道支架作用力计算
1 活动支架的荷载应包括钢管、保温结构及管内介质的重量。蒸汽管道应考虑压力试验时的充水重量。
2 管道对固定支架的作用力计算,应包括以下三部分:
1)活动支架摩擦力。
摩擦系数可取下列数值:
钢与钢滑动摩擦 0.3;
钢与混凝土滑动摩擦 0.6;
不锈钢与聚四氟乙烯滑动摩擦 0.1;
钢与钢滚动摩擦 0.1。
2)自然补偿管段弹性力、补偿器弹性力或摩擦力。
3)两侧管道横截面不对称产生的内压不平衡力。
3 管道固定支架两侧管段作用力合成时,应按以下原则进行:
1)应考虑升温和降温过程,选择最不利工况和最大温差进行计算;
2)当固定支架承受几个支管的作用力时,应考虑几个支管作用力的最不利组合;
3)按本条第2款第1)、2)项计算的作用力相互抵消时,较小方向作用力乘以0.7的抵消系数;
4)固定支架两侧管段内压不平衡力的抵消系数取1.
4 活动支架摩擦力计算时,钢管计算重量应乘以1.1的系数;保温结构计算重量应乘以1.2的系数,蒸汽管道介质计算重量应考虑运行中可能产生的凝结水的重量。
5 管道整体压力试验时应对固定支架的承载能力进行校核,必要时采取临时加固措施。试压时管道对固定支架的作用力应包括管道或补偿器的预文治武功弹性力和按试验压力计算的内压不和。
6 在同一支架上敷设不同季节运行的多根管道时,计算其活动支架摩擦力及固定支架受力时,应根据管道的运行规律,考虑管道可能产生的最大作用力。
3.4 管网的计算
3.4.1 冷、热负荷的确定原则
1 设计冷、热负荷的确定,应综合考虑冷、热源和区域的现况及发展规划。
2 从冷、热源引出的干线总设计热负荷宜按冷、热源设计供热能力计算。
3 支线设计冷、热负荷,既有建筑应调查历年实际冷、热负荷及耗热量,新建建筑应按建筑物设计冷、热计算。
4 当同一支线各用户供热、供冷时间不一致时,应绘制冷、热负荷曲线,确定管线设计冷、热负荷。
3.4.2 热水、冷水管网水力计算
1 应根据设计流量通过水力计算确定管道管径和循环水泵扬程。当用户分期建设时,应分期进行水力计算。当管道采暖期供热和供冷期供冷时,应分别进行水力计算。
2 供应采暖、通风、空调热负荷的热水管网,应按冬季室外计算温度下的热网供、回水温度和设计热负荷计算设计流量。同时供应采暖、通风、空调热负荷和生活热水热负荷的热水管网,应按各种热负荷在不同室外温度下的流量曲线叠加得出的最大流量作为设计流量。
3 冷水管网应按设计最高日冷负荷逐时曲线叠加得出的最大冷负荷计算设计流量。
4 主干线宜按经济比摩阻确定管径。一般情况下,主干线平均比摩阻可按以下数值选用:
1)∑L≤500m 60~100Pa/m;
2)500m<∑L<1000m 50~80Pa/m;
3)∑L≥1000m 30~60Pa/m。
注:∑L为主干线供回水管的总长度。
支干线、 支线应按允许压力降确定管径, 但供热介质流速不应大于3.5m/s, 支干线比摩阻不应大于300Pa/m,支线比摩阻不宜大于400Pa/m。
5 采暧、通风、空调系统管网最不利用户的资用压头, 应考虑用户系统安装过滤装置、计量装置、调节装置的压力损失, 且不应低于50kPa.
6 钢质采暖、 通风、空凋系统管道内壁当量粗糙度应取0.5mm; 钢质生活热水管道内壁当量粗糙度应取1mm; 非金属管按相关资料取用。
7 计算管网压力降时, 应逐项计算管道沿程阻力、局部阻力和静水压差。估算时, 输配营网局部阻力与沿程阻力的比值, 可按表3.4.2的数值取用。

8 热水管网设计时, 应绘制各种主要运行方案的主干线水压图。按水压图确定系统定压方式和管网设计压力。
- 在循环水泵运行时, 管网压力应符告下列规定:
供水管道任何一点的压力不应低于供热介质的汽化压力, 当设计供水温度高于95℃时,应留有30~50kPa的富裕压力; 当设计供水温度不高于95℃时,压力不应低于10kPa。
系统中任何一点的压力不应超过系统管道及附件的允许工作压力;
循环泵吸入侧的压力, 不应低于吸入口可能达到的最高水温下的饱和蒸汽压力加50kPa,且不得低于50kPa。
- 在循环水泵停止运行时, 管网静态压力应符合下列规定:
系统任何一点的压力不应低于供热介质的汽化压力, 当设计供水温度高于95℃时, 应留有30~50kPa的富裕压力; 当设计供水温度高于65℃但不高于95℃时,压力不应低于10kPa; 当设计供水温度等于或低于65℃时, 压力不应低于5kPa。
3.4.3 蒸汽管网水力计算
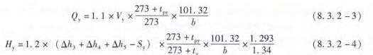
1 应根据用户和温度要求, 通过水力计算和热力计算, 确定管道管径、保温厚度、热源出口蒸汽压力。一般民用建筑用户常用蒸汽压力可按表3.4.3-1选用。

2 蒸汽管网的设计流量 , 应按各用户的最大蒸汽流之和乘以同时使用系数确定。当供热介质为饱和蒸汽时,设计流量应考虑补偿管道热损失产生的凝结水的蒸汽量。
3 计算时应按设计流量进行设计计算, 再按最小流量进行校核计算 , 保证在任何可能的工况下,满足最不利用户的压力和温度要求。当各用户间所需蒸汽参数相差较大、季节性热负荷占总热负荷比例较大或热负荷分期增长时,可采用双管或多管制。
4 蒸汽管网设计时, 应计算管段的压力损失和热损失, 当供热介质为饱和蒸汽时, 还宜计算管段的凝结水量、起点和终点蒸汽流量, 应根据计算管段起点和终点蒸汽压力、温度, 确定该管段起点和终点供热介质密度。计算管道压力降时, 供热介质密度可取计算管段的平均密度。
5 蒸汽管网应根据管线起点压力和用户需要压力确定的允许压力降选择管道直径。
6 计算保温层厚度时, 应选择蒸汽压力、温度、流量、环境温度组合的最不利工况进行计算。计算时供热介质温度应取计算管段在计算工况下的平均温度。
7 蒸汽管网供热介质的最大允许设计流速应采用表3.4.3-4数值。

8 钢质蒸汽管道内壁当量粗糙度应取0.2mm。
9 计算管网的压力损失时,应逐项计算管道沿程阻力和局部阻力。估算时,输配管网局部阻力与沿程阻力的比值,可按表3.4.3-3的数值取用。

3.4.4 凝结水管网水力计算
1 凝结水管道的设计流量, 应按蒸汽管道的设计流量乘以用户凝结水回收率确定。间接换热的蒸汽供热系统凝结水应全部回收。
2 应根据热源和用户的条件确定凝结水系统形式, 棍据设计流通过水力计确定管道管径, 水力计算时应考虑静水压差。
1)自流凝结水系统, 适用干供汽压力小、供热范围小的蒸汽供热系统。自流凝结水管道的管径,可按管网计算阻力损失不大于最小压差的0.5倍确定。
2)余压凝结水系统, 适用于高压蒸汽供热系统。余压凝结水管道应计算管网阻力损失, 按管段起点和终点最小压差选择管道直径。
3)压力凝结水系统, 应在用户处设闭式凝结水箱, 用水泵将凝结水送回热源, 井应设置安全水封保证任何时候凝结水管都充满水。压力凝结水菅道设计比摩阻可取100Pa/m。
3 钢质凝结水管道内壁当量粗糙度应取1mm; 非金属管按相关资料取用。
4 凝结水管道的压力降, 可按本章第3.4.2条第7款计算。当凝结水管内介质为汽水混合物时,应按本章第3.4.3条第4款计算介质密度。
5 压力凝结水系统设计时, 应按设计凝结水量绘制凝结水管网的水压图,按水压图确定各用户凝结水泵扬程。
3.5 管网的调节与控制
3.5.1 运行调节方式
1 采暖、通风、空调系统应采用冷、热源处集中凋节、热力站及建筑引入口处的局部调节和用热设备单独调节相结合的联合调节方式, 并宜采用自动化调节。
2 热源与用户采用间接连接的热水供热系统, 一次水的运行调节方式应按以下原则选择:
- 只有单一采暖热负荷且只有单一热源的热水供热系统, 在热源处可根据室外温度变化进行的质调节、分阶段改变流量的质调节或质一量综合凋节;
2〕当热水供热系统有采暖、 通风、空调、生活热水等多种热负荷时, 应按采暖热负荷在热源处进行集中调节; 在采暖热负荷需要的水温低于70℃阶段, 一次网应采用量调节满足不同热负荷运行水温的需要;
3〕多热源联网运行的城市热水供热系统,应按各种热源的投入顺序, 分阶段采用不同的调节方式;
- 当一次网采用改变流量的凋节方式时, 应根据各种热负荷的用热要求在热力站进行自动调节。
3 热源与室内系统采用直接连接的供热系统, 或采用间接连接的二次水系统,运行调节方式画按以下原则选择:
1〕不同系统形式、不同运行压力、不同供热时间的用户应分别设置二次水系统, 并采用不同的调节方式;
2〕采暖系统宜采用质调节; 应根据室外温度和温度调节曲线, 调节一次水流量或混合水流量, 控制二次水温度维持室外温度下的给定值;
- 空调系统应恒定供水温度, 根据室内系统控制方式采用定流量或变流量适行方式; 应调节一次水流, 控制二次水温度维持维持室外温度下的给定值;
4)当系统较太、阻力较高、各环路负荷特性或阻力相差悬殊时,可在用户侧设二次循环泵或混水泵, 循环泵和混水泵宜根据供水温度调节曲线自动调节水泵转速;
- 当同一管网供应的室内采暖系统需要不同的供水温度时, 可在建筑物人口设混水泵, 混水泵宜根据供水温度调节曲线自动调节水泵转速;
6〕当公共建筑室内系统使用时间不同时, 宜分区分时供热。
4 冷水系统应恒定供水温度。
5 蒸汽系统应恒定热源出口供汽压力。
3.5.2 管道附件的设置要求
1 一、 二网干线、支干线及一次网支线的起点应安装关断阀门。
2 当二次网系统较大、各环路负荷特性或阻力相差悬殊时, 应在支干线或主要支线上安装调节装置。
3 建筑热力入口装置:
1)室外热网与室内系统连接处应装设关断阀门; 在供、回水关断阀门前宜设连通管, 连通管管径可为供水管的0.3倍;
2)应设置自动或手动调节装置;
3)在供、回水管上应设温度计、压力表;
4)每栋建筑应设置热量计量装置,流量计前的管道上应设过渡器;
5)在供水入口和调节阀、流量计、热量计前的管道上应设过滤器;
6)必要时设干净循环泵或混水泵;
7)当室内系统使用时间不同时,宜分区设供热时间控制装置。
4 凋节装置的设计原则:
当热源、热网、 室内系统均采用质调节方式时, 在热力站一次网入口、建筑热力入口管道上,应设自力式流量控制阀或自力式压差控制阀或手动调节阀;
当热源采用质一量综合调节或多热源联网运行时. 在热力站一次网入口管道上, 应设自力式压差控制阀; 在每个二次水系统的一次水侧应设电动调节阀;
当热源采用分阶段改变流量的质调节时, 在热力站一次网入口管道上. 应设自力式压差控制阀或自力式流量控制阀: 在每个二次水系统的一次水侧应设电动调节阀; 自力式流量控制阀须随热源流量的调节, 分阶段改变流量设定值;
4)当室内系统设有室温控制装时, 在热力站一次水侧应设电动调节阀;
5〕当室内系统设置两通调节阀时, 在建筑热力人口应设自力式压差控制阀;
6〕当室内系统设置三通调节阀或无调节装置时, 在建筑热力入口应设自力式流量控制阀或自力式压差控制阀或手动调节阀;
7〕在用户侧设置二次循环泵或混水泵时. 应设变频器自动控制水泵转速;
8〕蒸汽用户应根据用热设备需要设置减压、减温装置并自行自动控制;
9〕管网关键点、热力站、 建筑热力入口处的温度、压力、 流量、 热量信号宜传至集中控制室。
通风与防火
4.1 通风的一般规定
4.1.1 建筑物通风应优先采用自然通风,但下列情况下房间应设置机械通风:
1 散发大量余热,余湿。
2 散发烟味、臭味以及有害气体等;
3 无自然通风或自然通风不能满足卫生要求;
4 人员停留时间较长,且房间无可开启的外窗。
4.1.2机械通风应优先采用局部排风,当不能满足卫生要求时,应采用全面排风
4.1.3 机械通风系统(包括与热风采暖合用的系统)的设置,应符合下列要求:
1 使用要求(包括送风参数、使用时间等)不同的房间,宜独立设置通风系统。
2 散发大量余热、余湿、臭味以及有害气体的房间,一般不应与其他房间合用系统;当条件限制必须合用时,应采取防止该类气体进入其他房间的技术措施。
3 凡属下列情况之一时,应单独设置排风系统:
1)混合后能引起燃烧或爆炸;
2)混合后能形成毒害或腐蚀性加剧;
3)混合后易使蒸汽凝结并积聚粉尘时;
4)放散强烈异味或剧毒物质的房间和设备;
5)建筑物内设有储存易燃、易爆的单独房间或有防火、防爆要求的单独房间。
4 当周围环境较差且房间空气有清洁度要求时,房间室内应保持一定的正压,排风量宜为送风量的80%~90%;放散粉尘、有害气体或有爆炸危险物质的房间,应保持一定的负压,送风量宜为排风量的80%~90%。
5 排除有毒、有害气体管道的室内段宜为负压。
6 当机械通风不能满足室内温度要求时,应采取相应的降温或加热措施。
4.1.4 机械通风系统的室外进风、排风口设置,应符合以下要求:
1 进风口应直接设置在室外空气较清洁的地点,应尽量设在排风口的上风侧且应低于排风口。
2 进、排风口的底部距室外地坪不宜小于2m,当进风口设在绿化地带时,不宜小于1m。
3 事故排风的排风口不应布置在人员经常停留或经常通行的地点。
4 事故排风的排风口与机械进风系统的进风口的水平距离不应小于20m;当进风、排风口水平距离不足20m时,排风口必须高出进风口,并不得小于6m。
5 排风管道的排出口高空排放时,宜调出屋脊,排出口的上端调出屋脊的高度一股不得小于下列规定:
1)当排出无毒、无污染气体时,宜调出屋面0.5m;
2)当排出最高允许浓度小于5mg/m3有毒气体时,应调出屋面3.0m;
3)当排出最高允许浓度大于5mg/m3有毒气体时,应调出屋面5.0m。
6 直接排入大气的有害物,应符合有关环保、卫生防疫等部门的排放要求和标准,不符合时应进行净化处理。
7 进风、排风口的噪声应符合环保部位的要求,否则应采取消专用措施。
8 进风、排风口的风速一般可按表4.1.4选取。

4.1.5 设置机械通风系统的房间,其通风换气量应按以下原则确定:
1 人员所需新风量应不小于同类型房间的空调所需新风量。
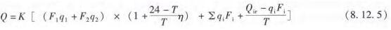
2 当采用全面排风方式消除室内余热时,通风量应按下式确定:

式中L——通风换气量(m3/h);
Q——室内显热发热量(W);
tp——室内排风设计温度(℃);
ts——送风温度(℃)。
3 当采用全面排风方式消除室内余湿和其他有害物质时,应根据余湿量、有害物质的散发量和送排风含湿量差、含尘浓度差等,以及房间有害物质的允许值,通过平衡计算或依据相关规范、标准等提供的换气次数,确定所需通风量。
4 局部排风量宜按排气罩口面积和所需风速计算确定。
4.1.6 设置集中采暖且有排风的建筑物,应按下列要求设置补风系统:
1 应首先采用自然补风,包括利用相邻房间的清洁空气进行自然补风。
2 当自然补风达不到要求时,宜设置机械补风(送风)系统。
3 每天运行不超过两小时的机械排风系统,可不设机械补风(送风)。
4 人员停留区域和不允许冻结的房间,机械送风系统的空气,冬季宜进行加热,并满足室内风量和热量的平衡要求
5 选择机械送风系统的换热器时,应按下列原则确定室外新风计算温度:
1)一般采用冬季采暖室外计算温度;
2)用于补偿消除余热、余湿的全面排风耗热量时,应采用冬季通风室外计算温度。
6 夏季为消除余热来计算通风量时,新风温度应采用夏季通风室外计算温度。
4.1.7 仅用于消除室内余热的通风系统,当采用直流系统时,夏季室内计算温度取值不宜低于夏季通风室外计算温度。
4.1.8 可能突然放散大量有害气体或有爆炸危险气体的建筑物,应设置事故通风系统或装置。事故通风量宜根据工艺设计要求通过计算确定,但换气次数应≥12次/h。排除有爆炸危险气体的通风设备应采用防爆型。
4.1.9 事故通风的通风机,应分别在室内、外便于操作的地点设置电器开关。
4.2 厨房通风
4.2.1 厨房通风系统应按全面排风(房间换气)、局部排风(油烟罩)以及补风三部分进行考虑和设计,系统设置可按以下确定:
1 当自然通风不能满足室内环境要求时,应设置全面通风的机械排风;
2 厨房炉灶间应设置局部机械排风;
3 当自然补风无法满足厨房室内温度或通风要求时,应设置机械补风。
4.2.2 对于可产生油烟和厨房设备间,应设置带有油烟过滤功能的排风罩和除油装置的机械排风系统,设计应优先选用排除油烟效率高的气幕式(或称为吹吸式)排风罩和具有清洗功能的除油装置,处理后的油烟应达到国家允许的排放标准。对于可能产生大量蒸汽的厨房设备宜单独布置在房间内,其上部应设置机械式排风罩。
4.2.3 排风罩的设计应符合下列要求:
1 排风罩的平面尺寸应比炉灶边尺寸大100mm,排风罩的下沿距炉灶面的距离不宜大于1.0m,排风罩的高度不宜小于600mm;
2 排风罩的最小排风量应按以下计算的大值选取:
1)公式计算:

式中L——排风量(m3/h);
P——罩子的周边长(靠墙侧的边不度)(m);
H——罩口距灶面的距离(m)
2)按罩口断面的吸风速度不小于0.5m/s计算风量。
4.2.4 洗碗间的排风量按排风罩断面速度不宜小于0.2m/s进行计算;一般洗碗间的排风量可按每间500m3/h选取;洗碗间的补风量宜按排风量的80%选取,可设定补风与排风联动。
4.2.5厨房机械通风系统排风量宜根据热平衡按公式(4.2.5)计算确定。
式中 tp——厨房计算排风温度(℃),冬季取15℃、夏季取35℃;
室内显热发热量Q(W),按以下计算:
Q1——厨房设备发热量(W),宜按工艺提供数据;
Q2——操作人员散热量(W);
Q3——照明灯具散热量(W);
Q4——外围护结构冷负荷(W)。
4.2.6 厨房通风系统应独立设置,局部排风应依据厨房规模、使用特点等分设系统,机械补风系统设置宜与排风系统相对应。
4.2.7 厨房通风应采用直流式系统,补风宜符合下列要求:
1 补风量宜为排风量的80%~90%;
2 当厨房与餐厅相邻时,送入餐厅的新风量可作为厨房补风的一部分,但气流进入厨房开口处的风速不宜大于1m/s;
3 当夏季厨房有一定的室温要求或有条件时,补风宜做冷却处理,可设置局部或全面冷却装置;对于严寒和寒冷地区,应对冬季补风做加热处理,送风温度可按12~14℃选取。
4.2.8 当厨房通风不具备准确计算条件时,排风量可按下列换气次数进行估算:
中餐厨房 40~60次/h
西餐厨房 30~40次/h
职工餐厅厨房 25~35次/h
注:1 上述换气次数对于大、中型旅馆、饭店、酒店的厨房较合适。
2 当按吊顶下的房间体积计算风量时,换气次数可取上限值;当按楼板下的房间体积计算风量时,换气次数可取下限值。
3 以上所指厨房为有炉灶的房间。
4.2.9 厨房送风口、排风口的布置应按下列要求确定:
1 送风口应沿排风罩方向布置,距其不宜小于0.7m;
2 全面排风口应远离排风罩;
3 设在操作间内的送风口,应采用带有可调节出风方向的风口(如旋转风口、双层百叶风口等)。
4.2.10 厨房排风系统的设计,还应符合下列要求:
1 风管宜采用1.5mm厚钢板焊接制作,其水平管段应尽可能短;风管应设不小于2%的坡度坡向排水点或排风罩;
2 风管风速不应小于8m/s,且不宜大于10m/s;排风罩接风管的喉部风速应取4~5m/s;
3 排风管设置应考虑方便维护,且宜选用外置式电机。
4.2.11 采用燃气灶具的地下室、半地下室(液化石油气除外)或地上密闭厨房,通风应符合下列要求:
1 室内应设烟气的一氧化碳浓度检测报警器;
2 房间应设置独立的机械送排风系统;通风量应满足下列要求:
1)正常工作时,换气次数不应小于6次/h;事故通风时,换气次数不应小于12次/h;不工作时换气次数不应小于3次/h;
2)当燃烧所需的空气由室内吸收时,应满足燃烧所需的空气量;
3)应满足排除房间热力设备散失的多余热量所需的空气量。
4.3 汽车库通风
4.3.1 汽车库应按下列原则确定通风方式
1 地上单排车位≤30辆的汽车库,当可开启门窗的面积≥2m2/辆且分布较均匀时,可采用自然通风方式;
2 当汽车库可开启门窗的面积≥0.3m2/辆且分布较均匀时,可采用机械排风、自然进风的通风方式;
3 当汽车库不具备自然进风条件时, 应设置机械送风、排风系统。
4.3.2 汽车库机械排风量, 可按下列两种方法计算:
1 用于停放单层汽车的换气次数
1)汽车出入较频繁的商业类等建筑,按6次/h换气选取;
2)汽车出入一般的普通建筑, 按5次/h换气选取;
3)汽车出入频率较低的住宅类等建筑, 按4次/h换气选取;
4)当层高层<3m时, 应按实际高度计算换气体积;当层高≥3m时, 可按3m高度计算换气体积。
2 当全部或部分为双层停放汽车时,宜采用单车排风量法
1)汽车出入较频繁的商业类等建筑, 按每辆500m3/h选取;
2)汽车出入一般的普通建筑. 按每400m3/h选取;
3)汽车出入频率较低的住宅类等建筑, 按每辆300m3/h选取。
4.3.3 当汽车库设置机械送风系统时, 送风量宜为排风量的80%~85%。
4.3.4 汽车库机械通风系统的送风、排风口布置, 应按下列要求确定:
1 送风、排风口的布置应使室内气流分布均匀, 避免通风死区;
2 送风口宜设置在汽车库主要通道的上部。
4.3.5 满足下列条件之一, 宜采用喷射导流式机械通风方式:
1 汽车库层高较低, 布置风管有一定难度;
2采用喷导游式机械通风方式比较经济。
4.3.6 考虑到车辆实际出、入的频繁性,为降低机械通风系统风机运行能耗,送风、排风机宜选用多台并联或变频调速。
4.3.7 地下汽车库机械通风系统,宜设置CO气体浓度传感器,其布置方式为:
1 当采用喷射导游式机械通风方式时,传感器应设在排风口处;
2 当采用常规机械通风方式时,传感器应采用多点分散设置。
4.3.8 汽车库机械通风系统在满足室内空气质量的前提下,宜采用定时启、停(台数或转速);或根据室内CO气体浓度,自动控制风机运行。
4.3.9 汽车库机械通风系统宜结合消防排烟系统设置,通风量、风机类型以及控制应同时满足两者的需要和不同功能的转换。
4.4 电气和设备用房通风
4.4.1 柴油发电机房的通风符合下列要求;
1 柴油发电机房可采用自然或机械通风,通风系统宜独立设置。
2 柴油发电机房室内各房间温湿度要求宜符合表4.4.1的规定。

3 柴油发电机房的通风量应按以下计算确定:
1)当柴油发电机采用空气冷却方式时,通风量应按公式(4.1.5)计算确定。式中Q的确定方式为
①开式机组Q为柴油机、发电机和排烟管的散热量之和;
②闭式机组Q为柴油机汽缸冷却水管和排烟管的散热量之和;
③以上数据由生产厂家提供,当无确切资料时,可按以下估算取值:
全封闭式机组取发电额定功率的0.3~0.35;
半封闭式机组取发电额定功率的0.5.
2)当柴油发电机采用水冷却方式时,通风量可按≥20m3(kW·h)的机组额定功率计算。
3)柴油发电机生产企业直接提供的通风量参数。
4 柴油发电机房的进(送)风量应为排风量与机组燃烧空气量之和,燃烧空气量按7m3(kW·h)的机组额定功率进行计算。
5 柴油发电机房内的储没间应设机械通风,风量应按≥5次/h换气选取。
6 柴油发电机与排烟管应采用柔性连接;当有多台合用排烟管时,排烟管支管上应设单向阀;排烟管应单独排到室外;排烟管应有隔热和消声措施。绝热层按防止人员烫伤的厚度计算,柴油发电机的排烟温度宜由设备厂提供。
7 柴油发电机房的通风应有消声、隔声措施。
4.4.2 变配电室(机房)的通风,应符合下列要求:
1 地面上变配电室宜采用自然通风,当不能满足要求时应采用机械通风;地面下就能配电室应设置机械通风。
2 当设置机械通风时,气流宜由高低压配电区流向变压器区,再由变压器区排到室外。
3 变配电室宜独立设置机械通风系统。
4 变配电室的通风量应按以下确定:
1)根据热平衡公式(4.1.5)计算确定,其中变形器发热量Q(kW)可由设备厂商提供或按以下计算:

式中η1——变压器效率,一般取0.98;
η2——变压器负荷率,一般取0.70~0.80;
ф——变压器功率因数,一般取0.90~0.95;
W——变压器功率(kV·A)。
2)当资料不全时可采用换气次数法确定风量,一般按:变电室5~8次/h;配电室3~4次/h。
5 变配电室的排风温度宜≤40℃。
6 下列情况变配电室可采用降温装置,但最小新风量应≥3次/h换气或≥5%的送风量:
1)机械通风无法满足变配电室的温度、湿度的要求;
2)变配电室附近有现成的冷源,且采用降温装置比通风降温合理。
7 设置在变配电室内的通风管道,应采用不燃材料制作。
4.4.3 制冷机房的通风,应符合下列要求:
1 地面上制冷机房宜采用自然通风,当不能满足要求时应采用机械通风;地面下制冷机房应设置机械通风。
2 制冷机房宜独立设置机械通风系统。
3 制冷机房的通风量应按以下确定:
1)当采用封闭或半封闭式制冷机,或采用大型水冷却电机的制冷机时,按事故通风量确定;
2)当采用开式制冷机时,应按消除设备发热的热平衡公式(4.1.5)计算的风量与事故通风量的大值选取;其中设备发热量应包括制冷机、水泵等电机的发热量,以及其他管道、设备的散热量;
3)事故通风量应根据制冷机冷媒特性和生产厂商的技术要求确定。当资料不全时,事故通风量L(m3/h)按下式确定:

式中G——机房内最大的制冷机冷媒(工质)充液量(kg);
4)当制冷机设备发热量的数据不全时,可采用换气次数法确定风量,一般取4~6次/h。
4 制冷机房设备间的室内温度,冬季宜≥10℃、夏季宜≤35℃;冬季设备停运时值班温度应≥5℃。
5 机械通风应根据制冷剂的种类设置事故排风口高度,地下制冷机房的排风口宜上、下分设。
6 制冷机房应根据制冷剂的种类特性,设置必要的制冷剂泄漏检测及报警装置,并与机房内的事故通风系统连锁,测头应安装在制冷剂最易泄漏的部位。
7 制冷机房的通风应考虑消音、隔声措施。
4.4.4 锅炉房、直燃溴化锂制冷机房(简称直燃机房)的通风,应符合下列要求:
1 锅炉间、直燃机房、水泵间、油泵间等有散发热量的房间,宜采用自然通风或机械排风与自然补风相结合的通风方式;当设置在地下或其他原因无法满足要求时,应设置机械通风。
2 锅炉间、直燃机房以及与之配套的油库、日用油箱间、油泵间、燃气调压和计量间,宜设置各自独立的通风系统,事故排风机应采用防爆型关应由消防电源供电,通风设施应安装导除静电的接地装置。
3 锅炉间、直燃机房及配套用房的通风量应按以下确定:
1)当设置在首层时,燃油锅炉间、燃油直燃机房的正常通风量应≥3次/h换气;事故通风量应≥6次/h换气;燃气锅炉间、燃气直燃机房的正常通风量应≥6次/h换气;事故通风量应≥12次/h换气。
2)当设置在半地下或半地下室时,锅炉房、直燃机房的正常通风量应≥6次/h换气;事故通风量应≥12次/h换气。
3)当设置在地下或地下室时,锅炉房、直燃机房的正常通风量应≥12次/h换气。
4)锅炉间、直燃机房的送风量应为排风量与燃烧所需空气量之和;
5)油库的通风量应为≥6次/h换气;油泵间的通风量应≥12次/h换气;计算两者换气量时,房间高度一般可取4m;
6)地下日用油箱间的通风量应≥3次/h换气;
7)燃气调压和计量间应设置连续排风系统,通风量应≥3次/h换气;事故通风量应≥12次/h换气.
4 事故通风系统应与可燃气体浓度报警器连锁,当浓度达到爆炸下限的1/4时系统启动运行。事故通风系统应有排风和通畅的进(补)风装置。
5 锅炉房、直燃机房的通风应考虑消声、隔声措施,特别是自然进(补)风口的消声、隔声。
6 燃煤锅炉房的运煤系统和干式机械排灰渣系统,应设置密闭防尘罩和局部的通风除尘装置。
4.5 洗衣房、卫生间及其它通风系统
4.5.1 洗衣房的通风应符合下列要求:
1 通风宜采用自然通风与局部排风相结合的通风方式,当自然通风不能满足室内环境要求时,应设置机械通风系统。
2 机械通风的送(补)风系统,应采用局部岗位与全面送风相结合的综合送风方式。送风系统夏季宜采用降温处理;严寒或寒冷地区冬季应采用加热处理,其它地区冬季宜按当地气象条件做相应处理。
3 机械排风系统的设置应符合以下要求:
1)洗衣机、烫平机、干洗机、压烫机、人体吹机等散热量大或有异味散出的设备上部,应设置排气罩,其罩口面风速应≥0.5m/s。
2)应根据烘干机设备的要求连接排气管道;
3)干洗机设备的排气系统应独立设置。
4 洗衣房的通风量应按以下确定:
1)按洗衣房设备的散热、散湿量计算确定,该值一般由工艺提供;
2)洗衣房室内计算温度为:冬季12~16℃,夏季≤33℃;
3)当无确切的散热、散湿量计算参数时,洗衣房可按下列换气次数估计:生产用房换气次数采用20~30次/h,当有局部通风设施时,全面排风取5次/h,补风2~3次/h;辅助用房换气次数为15次/h;生活用房按其相关规范执行;
4)洗衣房的排风量应略大于送(补)风量。
5 洗衣房内各生产用房的室内温度和相对湿度,应按表4.5.1的规定值设计。

6 设在地下室且标准要求较高的大型洗衣房,其生产用房均应设置空调降温设施。
7 洗衣房的通风气流应由“取衣”处向“收衣”赴流动, 工作区内的空气流速一般≤0.5m/s。
4.5.2 卫生间的通风, 应符告下列要求:
1 公共卫生间、住宅建筑无外窗的卫生间、 酒店客房卫生间、大于5个喷头的淋浴间以及无可开启外窗的卫生间、开水间、淋洗浴间, 应设机械排风系统。
2 卫生间排风系统宜独立设置, 当与其它房间排风合用时, 应有防止相互串气味的措施。
3 排风量宜按以下确定:
1)公共卫生间10~15次/h换气; 住宅卫生间及开水间5~10次/h换气;
2)设置有空调的酒店卫生间, 排风量取所在房间新风量的80%~90&。
4 设置竖向集中排风系统时, 宜在上部集中安装排风机; 当在每层或每个卫生间〔或开水间) 设排气扇时, 集中排风机的风量确定应考虑一定的同时使用系数。
5 住宅卫生间的门应在下部设有效截面积不小于0.02m2的固定百叶,或距地面留出不小于30mm的缝隙。
4.5.3 吸烟室应设机械排风, 排风量按10~l5次/h换气选取。
4.5.4 电梯机房夏季可采用机械通风或制冷〔自带冷源空调机〕进行降温, 采用通风降温的风量应根据设备发热量按公式〔4.1.5〕计算确定。当设备发热数据不全时, 可采用换气次数法确定风量, 一般取5~l5次/h。
4.5.5 设置气体灭火系统的防护区及储瓶间的通风, 应符合下列要求:
1 火灾时防护区内的通风、 空调风管(道)应能自动关闭;
2 火灾后防护区应进行通风换气, 地下防护区和无窗或设固定窗的地上防护区应设机械通风系统; 排风口宜设在防护区的下部且系统排气口应直通室外,排风机开启装置应设置在防护区外;
3 地下储瓶间应设机械通风,排气口应直通室外。
4.5.6 实验室的通风应符合下列要求:
1 一个排风系统所带通风柜数量不宜超过4个;
2 不同楼层的通风柜不宜合用排风系统;
3 室内排风管段应保持负压;
4 间歇使用的排风系统当风量不大时, 可采用自然进〔补〕风;连续使用的排风系统或虽间歇使用但排风量较大无法进行自然进(补)风时, 应设置机械送(补)风, 风量取排风量的70%。
4.5.7 实验室通风柜操作口处的风速, 可按表4.5.7进行选取, 对于特殊的有害气体应根据相关的使用数据要求确定。

4.5.8 暗室通风宜采用机械排风、自然进风的通风方式, 排风量宜取≥5次/h换气。排风口宜设在水池附近, 进风口应采用遮光百叶窗, 通过百叶窗的风速应<2m/s。
4.5.9 医院手术室每间排风量不宜<200m3/h, 且各手术室应设置独立的排风系统。
4.5.10 通风机房的通风设置应符合下列要求:
1 用于有爆炸危险房间和需排除有害气体的通风机房, 机房通风量应取≥1次/h换气;
2 排除有害气体的排风机不应与送风机设置在同一机房内;
3 有爆炸危险房间的通风机不应与其他通风机合设机房;
4 通风机房不宜直接设置在卧室、客房、病房、教室、录音室等,对周围声音有一定要求房间的上、下层和隔壁。
4.5.11 电影院的放映机室应设置独立的排风系统,当需与其他房间合设时,应在穿过放映机室隔墙处的风管上设置防火阀。
4.6 通风机、风管及其它
4.6.1 通风系统中风机的性能应按下列原则确定:
1 通风机风量应在系统计算风量上附加风管和设备的漏风量, 选取原则如下:
- 一般通风、空调系统的漏风附加系数可取5%~10%;
2)防排烟系统的漏风附加系数可取10%~20%;
2 通风机压力应在系统计算的总压力损失上附加一定值, 选取原则如下:
- 采用定转速通风机时, 压力损失附加系数可取:
一般通风、空调系统10%~15%; 除尘通风系统15%~20%;
2)采用变转速通风机时, 通风机压力无须进行附加, 但风机电动机的功率应在计算值上附加15%~20%。
3 风机选用的设计工况效率, 不应低于风机最高效率90%。
4.6.2 当通风系统需多台风机并联或串联安装运行时,宜选用同型号、 同性能的通风机, 旦联合工况下的风量和风压应依据风机和管道的特性曲线确定。
4.6.3 通风系统的压力损失 (包括摩擦阻力损失和局部挥阻力损失) 应通过计算确定。一般通风、 空调系统可按下式进行估算:

式中Pm——单位长度风管摩擦阻力损失(Pa);
L——风管总长度(m);
K——整个系统局部阻力损失与摩擦阻力损失的比值,一般可按以下选取:
弯头、三通等构件较少时,K=1.0~2.0;
弯头、三通等构件较多时,K=3.0~5.0。
4.6.4 多台风机并联运行的通风系统,应在各自管道上装设止回装置(即止回阀或联运风阀)。当采用止回阀时,其通过风速一般≥8m/s。
4.6.5 当通风系统使用时间较长且运行中有工况(即风量和压力)变化时,通风机宜采用双速或变频调速风机。
4.6.6 为便于调节通风机的风量和压力,其前或后应装设风量调节阀,调节阀宜选用百叶式或花瓣式。
4.6.7 当输送腐蚀性或潮湿气体时,通风系统中的钢制设备及配件应作防腐处理。当采用非金属材料制件时,必须符合建筑的防火标准应坚固和严密。
4.6.8 通风系统中支管段处应设置风量调节阀,且系统干管及各支管段之间的压力损失不宜>15%。
4.6.9 为便于系统运行前的调试和运行中的调节,在管路干管分支点前后应设置测压孔,其距局部构件的前、后距离分别不应小于5倍和3倍的管段直径;通风机出口气流稳定处的管段上应设置测压孔。
4.6.10 自然通风系统中空气流速可按表4.6.10取值。

4.6.11 机械通风及空调系统中空气流速可按表4.6.11取值。

4.6.12 风管的制作与连接应符合下列要求:
1 矩形风管的长、短边之比宜不大于4,最大不应超过10;风管的截面尺寸宜选用国家现行标准的规格;
2 风管的变径应采用渐扩或渐缩形,各边的变形角度不宜大于30°;
3 风管改变方向、变径或汇、分支路时,不宜采用方(矩)形箱式管件替代弯头、渐扩(缩)管、三通等管件;当必须使用分配气流的静压箱时,其断面风速不应大于1.5m/s。
4 弯头、渐扩(缩)管、三通、调节阀等管件之间的间距,宜有5~10倍管径长度的直管段;
5 非金属风管材料的燃烧性能应符合相关防火规范的规定要求;
6 可伸缩性金属或非金属软管的长度不宜超过2m,安装时不应有死角或塌陷;
7 柔性风管应选用防火、防腐、不透气、不宜霉变的柔性材料;
8 风管与风机、风机箱、空气处理机等设备相连处应设置柔性短管,其长度宜为150~300mm;
9 输送空气温度超过80℃的通风管道,应采取一定的保温防护措施;
10 风机传动装置的外露部位以及直通大气的进、出口,必须装设防护罩(网)或采取其他安全措施。
4.6.13 风管的设计应符合下列要求:
1 风管接口不得安装在墙内或楼板内,风管沿墙体或楼板安装时,距离墙面、楼面宜大于150mm;
2 风管内不得敷设各种管道、电线或电缆,室外立管的固定拉索严禁拉在避雷针或避雷网上;
3 风管穿过需要封闭的防火、防爆楼板或墙体时应设壁厚不小于1.6~2.0mm的预埋管或防护套管,风管与防护套管之间应采用柔性防火封堵材料封堵;
4 排除潮湿或含有油污等气体的通风管道在安装时,应有0.5%以上的坡度,且在管路系统和设备最低处设置水封或排液装置。
4.7 排风热回收
4.7.1 一般规定
1 本节主要适用于空调排风空气中热回收系统的设计。
2 当建筑物内设有集中排风系统且符合下列条件之理,宜设计热回收装置:
1)当直流式空调系统的送风量大于或等于3000m3/h,且新风、排风之间的设计温差大于8℃时;
2)当一般空调系统的新风量大于或等于4000m3/h,且新风、排风之间的设计温差大于8℃时;
3)设有独立新风和排风的系统时;
4)过渡季节较长的地区,当新风、排风之间实际温差的度时娄大于10000(℃·h)/a时。
3 使用频率较低的建筑物(体育馆)宜通过能耗与投资之间的经济分析比较来决定是否设计热回收系统;
4 有条件时应选用效率高的热回收装置。热回收装置(显热和全热)的热回收效率要求表4.7.1-1,或者应使热回收装置的性能系数(COP值)大于5[COP为回收的热量(kW)与附加的风机或水泵的耗电量(kW)的比值]。

注:1 效率计算条件:按表4.7.1-2规定的工况,且新风、排风量相等。
2 焓交换效率适用于全热交换装置,温度交换效率适用于显热交换装置。

5 新风中显热和潜热能耗的比例构成是选择显热和全热交换器的关键因素。在严寒地区宜选用显热回收装置;而在其它地区,尤其是夏热冬冷地区,宜选用全热回收装置。
6 评价热回收装置好坏的一项重要指标是热回收效率。热回收效率包括显热回收效率。潜热回收效率和全热回收效率。分别适用于不同的热回收装置。热回收装置的换热机理和冬、夏季的回收效率分别见图4.7.1和表4.7.1-3.


7 当居住建筑设置全年性空调、采暖系统,并对室内空气品质要求较高时,宜在机械通风系统中采用全热或显热热回收装置。
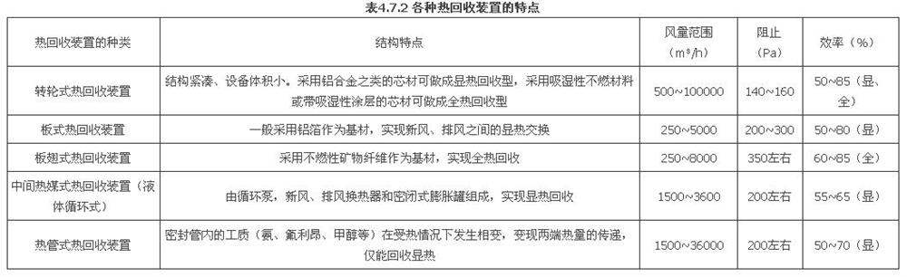
4.7.2 各种热回收装置的特点,见表4.7.2.

4.7.3 热回收系统的设计要点
1 转轮式热回收装置
1)为了保证回收效率,要求新风、排风的风量基本操持相等,最大不超过1:0.75.如果实际工程中新风量很大,多出的风量可通过旁通管旁通。
2)转轮两侧气流入口处,宜装空气过滤器。特别是新风侧,应装设效率不低于30%的粗效过滤器。
3)在冬季室外温度很低的严寒地区,设计时必须校核转轮上是否会出现结霜、结冰现象,必要时应在新风进风管上设空气预热器或在热回收装置后设温度自控装置;当温度达到霜冻点时,发出信号关闭新风阀门或开启预热器。
4)适用于排风不带有害物和有毒物质情况下。一般情况下,最好布置在负压段。
2 板式显热回收装置
1)当室外温度较低时,应根据室内空气含湿量来确定排风侧是否会结霜或结露。
2)一般来讲,新风温度不宜低于-10℃,否则排风侧会出现结霜。
3)当排风侧可能出现结霜或结露时,应在热回收装置之前设置空气预热器。
4)新风进入热回收装置之前,必须先经过过滤净化。排风进入热回收装置之差,也应装过滤器;但当排风较干净时,可不装。
3 板翅式全热回收装置
1)当排风中含有害成分时,不宜选用。
2)实际使用时,在新风侧和排风侧宜分别设有风机和粗效过滤器,以克服全热回收装置的阻力并对空气进行过滤。
3)当过渡季或冬季采用新风供冷时,应在新风道和排风道上分别设旁通风道,并装设密闭性好的风阀,使空气绕过热回收装置。
4 中间热媒式换热装置(液体循环式)
1)换热盘管的排数,选择n=6~8排。
2)换热盘管的迎面风速,宜选择Vg=2m/s。
3)作为中间热媒的循环水量,一般可根据水汽比μ确定:
n=6排时, μ=0.30
n=8排时, μ=0.25
4)当供热侧与得热侧的风量不相等时,循环水量应按数值大的风量确定。
5)为了防止热回收装置表面结霜,在中间热媒的供回水管之间设置电动三通调节阀。
5 热管式热回收装置
1)冬季使用时,低温侧 倾5°~7°。夏季时可用手动方法使其下倾10°~14°。
2)排风中应含尘土量小,且无腐蚀性。
3)迎面风速宜控制在1.5~3.5m/s之间。
4)可以垂直水平安装,即可并联,也可串联。
5)当热气流的含湿量较大时,应设计排凝水装置。
6)设计时应注明,当启动换热装置时,应使冷、热气流同时流动或使冷气流先流动;停止时,应使冷、热气流同时停止,或先停止热气流。
7)受热管和翅片上积灰等因素的影响,计算出的效率应打一定的折扣。
8)当冷却端为湿式况时,加热端的效率值应适当增加,即增加回收热量。
4.8 建筑防排烟的一般规定
4.8.1 建筑中的防烟可采用可开启外窗的自然通风方式或机械加压送风方式;排烟可采用可开启外窗的自然排烟方式或机械排烟方式。
4.8.2 民用建筑下列部位应设置防烟设施:
1 防烟楼梯间及其前室;
2 消防电梯间家室或合用前室;
3 高层建筑的封闭避难层(间);
4 人民防空工程中避难走道的前室。
4.8.3 民用建筑下列部位应设置排烟设施:
1 高层建筑面积超过100㎡、非高层建筑中建筑面积大于300㎡且经常有人停留或可燃物较多的地上房间;
2 总建筑面积大于200㎡或一个房间建筑面积大于50㎡且经常有人停留或可燃物较多的地下、半地下建筑或地下室、半地下室;
3 多层建筑设置在一、二、三层且房间建筑面积大于200㎡或设置在四层及四层以上或地下、半地下的歌舞娱乐放映游艺场所;高层建筑内设置在首层或二、三层以及设置在地下一层的歌舞娱乐放映游艺场所;
4 长度超过20m的疏散走道;多层建筑中的公寓、通廊式居住建筑长度大于40m的地上疏散走道;
5 中庭;
6 非高层民用建筑及高度大于24m的单层公共建筑中,建筑占地面积大于1000㎡的地上丙类仓库;
7 汽车库。
4.8.4 防烟与排烟系统中的管道、风口及阀门等必须采用不燃材料制作,且风道不宜采用土建风道;当防排烟系统采用金属管道时,其钢板厚度按《通风与空调工程施工质量验收规范》GB50243高压系统选用。
4.8.5 机械加压送风系统、排烟系统和补风系统的风速应符合下列规定:
1 采用金属管道时,不宜大于20m/s;
2 采用内表面光滑的混凝土等非金属管道时,不宜大于15m/s;
3 机械加压送风口不宜大于7m/s;排烟口不宜大于10m/s;机械补风口不宜大于10m/s,公共聚集场所不宜大于5m/s;自然补风口不宜大于3m/s。
4.8.6 加压送风机、排烟风机和用于排烟补风的送风机宜设置在通风机房内或室外屋面上。风机房应采用耐火极限不低于2.0h的隔墙和1.5h的楼板及甲级防火门与其他部位隔开。若确有困难时,可设置在吊顶等专用空间内,空间四周的围护结构应采用耐火极限不低于1.0h的不燃烧体,风机周围应有大于600mm的操作空间。若风机设在屋面上,应有防护措施,防止雨水、虫、鸟等异物进入。
4.8.7 防烟与排烟管道在防火阀、排烟防火阀两侧各2.0m范围内的风管应用不燃材料,以保证火灾时防火阀、排烟防火阀正常工作。
4.8.8 机械加压送风管道和用于机械排烟的补风管道不宜穿过防火分区或其他火灾危险性较大的房间,当必须穿越时,应在穿过处设置防火阀,加压送风管道防火阀的动作温度为70℃,补风管道防火阀的动作温度可为280℃。
4.8.9 防烟系统和补风系统的室外进风口宜布置在室外排烟口的下方,且高差不宜小于3.0m;当水平布置时,水平距离不宜小于10m。
4.9 建筑防排烟的自然通风方式
4.9.1 按4.8.2条规定需设置防烟设施的部位且可开启外窗面积满足自然通风要求时,宜优先采用自然通风方式:
1 除建筑高度超过50m的一类公共建筑和建筑高度超过100m的居住建筑外,靠外墙的防烟楼梯间及其前室、消防电梯间前室和合用前室;
2 防烟楼梯间前室或合用前室利用敞开的阳台、凹廊自然通风时, 该楼梯间可不设防烟设施〔如围4.9.1-1、图4.9.1-2);
3 除建筑高度超过50m的一类公共建筑和建筑高度超过100m的居住建筑外, 防烟楼梯间前室或合用前室, 如有不同朝向的可开启外窗自然通风时, 该楼梯间可不设防烟设施(如图4.9.1-3)。
4.9.2 需设排烟设施的场所. 如满足自然排烟条件时. 宜优先采用自然排烟方式:
1 按本措施4.8.3条中规定的需设置排烟设施且具备自然排烟条件的地下和地上房间等;
2 多层建筑中的中庭及高层建筑中净空高度小于l2m的中庭;
3 建筑面积小于2000㎡的地下汽车库。
4.9.3 采用自然通风方式的场所, 其自然通风口的净面积应符合下列规定:
1 防烟楼梯间前室、消防电梯间前室, 不应小于2.0㎡; 合用前室不应小于3.0㎡;
2 靠外墙的防烟楼梯间, 每五层内可开启外窗的总面积之和不应小于2.0㎡, 且顶层可开启面积不宜小于0.8㎡;

3 除建筑高度超过50m的一类公共建筑和建筑高度超过100m的居住建筑外,避难层(间)应设有两个不同朝向的或开启外窗或百叶窗,且每个朝向的自然通风面积不应小于2.0㎡;
4 中庭、剧场舞台可开启外窗的总面积不应小于该中庭、剧场舞台楼地面积的5%;
5 需要排烟的疏散走道可开启外窗面积不应小于走道面积的2%;
注:无论是《建筑设计防火规范》GB50016中所述的地上长度超过40m的疏散走道,还是《高层民用建筑设计防火规范》GB50045中所述的长度超过60m的内走道,如走道多处开窗,可将走道分段考虑,每段可开启外窗面积满足本条要求,且开窗间距满足本措施第4.9.4条第2款的要求,即可自然排烟。
6 需要排烟的房间可开启外窗面积不应小于该房间面积的2%;
7 其他场所,宜取该场所建筑面积的2%~5%;
8 建筑面积大于500㎡且净空高度大于6m的大空间场所,不应小于该场所地面面积的5%。
4.9.4 自然排烟口的设置应符合下列要求:
1 应设置在排烟区域的屋顶上或外墙上方;当设置在外墙上时,排烟口底标高不宜低于室内净高度的1/2,关应有方便开启的装置,同时自然通风口的开启方向应沿水灾气流方向开启;
2 距该防烟分区最远点的水平距离不应超过30m。
4.9.5 建筑面积大于500㎡且室内净高大于6m时的中庭、展览厅、观众厅、营业厅、体育馆、客运站、航站楼等公共场所采用自然排烟时,应设置与火灾自动报警系统联运或由其他电动设施控制启闭的自动排烟窗。自动排烟窗附近同时应设置便于操作的手动开启装置。
4.9.6 设置在外墙上的自动排烟窗其净面积按下列要求确定:
1 当开窗角大于70°时,其面积可按窗的面积计算。
2 当开窗角度小于70°时,其面积近似按公式(4.9.6)计算窗的有效排烟面积:

式中Fp——有效排烟面积(m2);
Fc——窗的面积(m2);
α——窗的开启角度。
3 当采用侧们窗时,其面积应按开启的最大窗口计算。
4 当采用百叶窗时,其面积按窗的有效面积计算。窗的有效面积为窗的净面积乘以系数。根据实际工程经验,当采用防雨百叶窗时,系数取0.6;当采用一般百叶窗时,系数宜取0.8。

4.10 机械防烟(加压送风)
4.10.1 建筑中下列场所应设置独立的机械加压送风的防烟设施:
1 建筑高度超过50m的一类公共建筑和建筑高度超过100m的居住建筑的防烟楼梯间及其前室、消防电梯前室或合用前室(符合本措施第4.9.1条第2款的情况除外);
2 不具备自然排烟条件的消防楼梯间;
3 不具备自然排烟条件的消防电梯前室或合用前室;
4 采用自然排烟措施的防烟楼梯间,其不具备自然排烟条件的前室(或合用前室);
5 不具备自然排烟条件的高层建筑的封闭避难层(间);
6 人民防空工程避难走道的前室。
4.10.2 高层建筑防烟楼梯间及其前室,消防电梯间前室或合用前室,当裙房以上部分利用可开启外窗进行自然排烟,裙房部分不具备自然排烟条件时其前室或合用前室应设置局部正压送风系统。
4.10.3 机械加压送风防烟系统的加压送风量应经计算确定。常用的基本计算方法如下:1 压差法:当疏散通道门关闭时同,加压部位保持一定的正压值所需送风量。

式中 Ly——加压送风量(m3/h);
0.827——漏风系数;
A——门、窗、缝隙的总有效漏风总面积(㎡)
门缝宽度:疏散门0.002~0.004m;
电梯门0.005~0.006m;
△P——压力差(Pa);
疏散楼梯间取40~40Pa;
前室、消防电梯前室、合用前室取25~30Pa;
n——指数(一般取2);
1.25——不严密处附加系数。
2 开启着火层疏散门时,为保持门洞处风速所需的送风量:

式中 Ly——加压送风量(m3/h);
F——一樘门开启的断面积(㎡);
v——开启门洞处的平均风速(m/s),取0.7~1.2m/s。
α——背压系数,根据加压间密封程度取0.6~1.0;
n——同时开启门和计算数量;对于多层建筑和20层以下的高层建筑取2,20层及20层以上取3.
注:1 当前室有2个或2个以上门时,其风量按计算数值乘以1.50~1.75确定,开启门时,通过门的风速不应小于0.7m/s。
2 在多层建筑中,若地下仅有一层疏散楼梯间,按上述公式计算时,公式中n取1,通过门洞处的风速v应适当加大,宜取0.9~1.2m/s。计算数值直接取用(不与表4.10.3比较)。
根据以上公式(4.10.3-1)和(4.10.3-2)分别算出的风量,取其中的大值,再与表4.10.3规定的数值相比较,取其中大值作为系统计算加压送风量。


注:1 表4.10.3的风量数值系统开启宽×高=1.6m×2.0m的双扇门为基础的计算值。当采用单扇门为基础的计算值,其风量宜按表列数值乘以0.75确定;当前室有2个或2个以上门时,其风量应按表列数值乘以1.50~1.75确定。开启门时,通过门的风速不宜小于0.7m/s。
2 风量上下限选取应按层数、风道材料、防火门漏风量等因素综合比较确定。
4.10.4 封闭避难层(间)的机械加压送风量应按避难层净面积每平米不小于30m3/h计算。
4.10.5 在改建工程中,当不具备设置加压送风竖井的条件时,楼梯间可采用直灌式加压送风系统。直灌式加压送风系统的设置应符合下列规定:
1 超过15层的高层建筑,应采用楼梯间多点送风的方式,送风口的服务半径不宜大于10层;
2 直灌式加压送风系统的送风量宜比计算数值或表4.10.3中的送风量增加20%,加压送风口不宜设在首层。
4.10.6 机械加压送风系统的全压,除计算的最不利环管道压头损失外,尚应余压。其余压值应符合下列要求:
1 封闭楼梯间、防烟楼梯间的余压值应为40~50Pa;
2 防烟楼梯间前室或合用家室、消防电梯前室、封闭避难层(间)的余压值应为25~30Pa;
3 人民防空工程避难走道的前室与走道之间的压差为25~30Pa。
4.10.7 民用建筑防烟楼梯间的加压送风口宜每隔2或3层设置一个;合用一个风道的剪刀楼梯应每层设置一个;每个风口的有效面积,应按风口数量均分系统总风量确定。
4.10.8 前室或合用前室的加压送风口应每层设置一个,每个送风口的有效面积,通常按火灾着火层及其上下相邻两层的三个风口均分计算确定(开启门时,通过门的风速不宜小于0.7m/s),也可设定为火灾着火层及其上一层的二个风口均分计算确定。
4.10.9 机械加压送风系统中需注意:
1 机械加压送风口不宜设置在被门挡住的部位;
2 防烟楼梯间和合用前室的机械加压送风系统宜分别独立设置;
3 建筑层数超过32层或建筑高度大于100m时,其送风系统及送风量应分段设计;
4 剪刀楼梯间可合用一个风道,其风量按两楼梯间风量计算,送风口应分别设置;塔式住宅设置一个前室的剪刀楼梯应分别设置加压送风系统;
5 地上和地下部分在同一位置的防烟楼梯间需设置机械加压送风时,加压送风系统宜分别设置;若合用一个风道时,风道应叠加,且均应满足地上、地下加压送风系统的要求;
6 前室的加压送风口为常闭型时,除设置由消防控制中心控制且与加压送风机联锁的自动装置外,尚应设置现场手动开启装置;手动开启装置宜设在距地面0.8~1.5m处。
7 前室的加压送风口为常开型时,其前室应采用带启闭信号的常闭防火门;并应在加压送风机的压出段上设置防回流装置或电动调节阀;
8 人民防空工程避难走道的前室、防烟楼梯间及其前室或合用前室的机械加压送风系统宜分别独立设置,当需要共用系统时,应在运管上设置压差自动调节装置;避难走道的前室的机械加压送风量应按前室入口门洞风速不小于1.2m/s计算确定;
9 采用机械加压送风的场所不应设置百叶窗,不宜设置可开启外窗;系统加压送风量应计算窗缝的漏风量;
10 防烟楼梯间的加压送风口可采用自垂百叶式或常开百叶式风口,并应在加压风机压出段上设置防回流装置或电动调节阀。
4.10.10 加压送风系统的余压值超过4.10.6条规定的数值较多时,宜设置以下超压装置:
1 设置泄压阀,且在穿越防火墙处设置70℃防火阀,泄压阀板的开启面积可用以下公式计算:

式中 F——泄压阀阀板的开启面积(㎡);
Lv——加压送风量(m3/h);
Ly——当疏散通道门关闭时,加压部位保持一定的正压值所需送风量(m3/h),即按4.10.3条1款所计算出的数值。
2 采用旁通阀
1)在楼梯间的适当位置设置压力传感器,控制加压送风机出口处的旁通泄压阀,调整楼梯间的余压值。
2)在每层防烟楼梯间前室,消防电梯前室或使用前室设置压力传感器,控制加压送风机出口处的旁通泄压阀,调整加压送风前室或合用前室的余压值。
4.10.11 未能设置在独立管道井内的加压送风管应采用耐火极限不小于1.0h的防火风管。
注:当加压送风管采用钢板制作时,宜采取适当加厚钢板厚度可采用防火板包覆等措施,以满足耐火极限不小于1.0h的要求。
4.11 机械排烟
4.11.1 需设置机械排烟设施且室内净高不超过6m的场所应划分防烟分区, 井应符合以下要求:
1 每个防烟分区的建筑面积不宜超过500㎡; 车库不宜超过2000㎡;
2 防烟分区不应跨越防火分区。一般不应跨越楼层, 特殊情况下, 宜按功能划分;
3 应采用挡烟垂壁、隔墙、顶棚下突出不小于500mm的结构梁划分防烟分区, 梁或其他挡烟垂壁距室内地面的高度不宜小干2.0m;
4 同一防烟分区应采用同一种排烟方式。
4.11.2 机械排烟系统的设置应符合下列规定:
1 横向宜按防火分区设置。
2 竖向穿越防火分区时, 与垂直风管连接的水平管道应设280℃能自动关闭的防火阀。
3 水平排烟管道穿越其他防火分区时, 应在穿越处设置280℃能自动关闭的防火阀, 其管道的耐火极限不应小于1.0h; 排烟管道不应穿越前室或搂梯间, 若必须穿越时, 管道的耐火极限不应小于2.0h, 旦不得影响人员疏散。
4 垂直管道宜设置在管井中, 其管井应采用耐火极限不小于1.0h的隔墙与相邻区域分隔, 当墙上必须设置检修门时, 应采用不低于丙级的防火门。
5 超过32层或建筑高度超过100m的高层建筑, 其排烟系统应分段设计。
6 车库宜按每个防烟分区设置。
7 机械排烟系统与通风、空气调节系统宜分开设置。当合用时, 必须采取可靠的防火安全措施,并应合机械排烟系统的相关要求:
1)系统的管道、风口、阀件和风机等均应满足排烟系统的要求;
- 管道应采用不燃材料保温。
8 当吊顶内有可燃物或难燃物时, 吊顶内的排烟管道应采用厚度不小于50mm,导热性差的不燃隔热材料进行隔热或与可燃物、难燃物保持不小于150mm距离。
9 排烟支管上应设置当烟气温度超过280℃时能自行关闭的排烟防火阀。
4.11.3 设置机械排烟设施的部位, 其排烟风机的排烟量应符合表4.11.3的规定。

4.11.4 机械排烟系统中的排烟口、排烟阀和排烟防火阀的设置应符合下列规定:
1 排烟口或排烟阀应按防烟分区设置,且应与排烟风机联锁,当任一排烟口(阀)开启时,排烟风机应能自动启动;
2 排烟口(阀)的设置宜使气流方向与人员疏散方向相反,其安装位置就设置在顶棚或靠近顶棚的墙面上,且与附近安全出口的最小距离不应小于1.5m;设在顶棚上的排烟口,距可燃构件或可燃物的距离不应小于1.0m;
3 当水灾确认后,同一排烟系统中着火的防烟分区中的排烟口(阀)应呈开启状态,其他防烟分区的排烟口应呈关闭状态;
4 在多层建筑中,设置机械排烟系统的地下、半地下场所,除歌舞娱乐放映游艺场所和建筑面积大于50㎡的房间外,排烟口可设置在疏散走道;其排烟量由收菜走道面积和需排烟的各个房间的面积比较,按其最大面积每平米不小于120m3/h计算确定;
5 防烟分区的排烟口距最远点的水平距离不应超过30m。
4.11.5 在地下建筑和地上密闭场所中设置机械排烟系统时,应同时设置补风系统,其补风量不宜小于排烟量的50%,补风系统应符合下列要求:
1 补风可采用自然补风和机械补风方式,空气宜直接从室外引入;
2 排烟区域所需的补风系统应与排烟系统联动开停;
3 送风口设置位置宜远离排烟口,二者的水平距离不应小于5m。
4.11.6 排烟见机可采用离心风机或排烟专用的轴流风机,其设置应符合下列规定:
1 排烟风机的排烟量应考虑10%~20%的漏风量;其全压满足排烟系统最不利环路和要求;
2 排烟风机应保证在280℃时能连续工作30min;
3 排烟风机宜设置在排烟系统的上部;
4 在排烟风机入口处的总管上应设置当烟气温度超过280℃时能自行关闭的排烟防火阀,且应与排烟风机连锁,当该阀关闭时,排烟风机应能停止运转;
5 当排烟风机及系统中设置有软接头时,该软接头应采用不燃材料制作,且应能在280℃的环境下连续工作不小于30min。
4.12 通风空调系统的防火、防烟和防爆
4.12.1 凡空气中含有容易起火或爆炸危险的房间,应有良好的通风室独立的机械通风设施,且其空气不应循环使用,其通风设备必须符合防火,防爆的要求。如放映室、实验室、药品库、蓄电池室、氧气瓶间、煤气表间等的排风系统应各自分设单独系统。
4.12.2 通风和空气调节系统管道的布置应符合下列规定:
1 横向高层建筑应按每个防火分区设置,非高层建筑宜按每个防火分区设置;
2 竖向不宜超过5层,高层建筑中管道设置防止回流设施或防火阀且各层设有自动喷水灭火系统时,管道可不受此限制;非高层建筑中管道设置防止回流设施或防火阀时,其管道布置可不受此限制;
3 穿过防火分区的垂直风管宜设在管井内。
4.12.3 下列情况之一的通风,空气调节系统的风管应设防火阀:
1 穿越防火分区处;
2 穿越通风、空调机房的房间隔墙和楼板处;
3 穿越重要的火灾危险性大的房间隔墙和楼板处;
4 穿越防火分隔处的变形缝两侧;
5 垂直风管与每层水平风管交接处的水平管段上,但当建筑内每个防火分区的通风、空气调节系统均独立设置时,该防火分区内的水平风管与垂直总管的交接处可不设置防火阀。
4.12.4 防火阀的设置应符合下列规定:
1 防火阀宜靠近防火分隔处设置,且距防火分隔处的距离不宜大于200mm;
2 防火阀应单独设置支、吊架;
3 除厨房排油烟风管防火阀自动关闭温度为150℃外,其他防火阀动作温度宜为70℃;
4 在重要建筑的重要部位或穿越防火分区的通风空调系统的干管处宜设置带电信号的防火阀,并将信号引入消防控制中心;在只影响个别房间的部位或建筑物内不设消防控制室时设置简易防火阀;
5 防火阀暗装时,应在安装部位设置方便检修的检修口(见图4.12.4);

6 在防火阀两侧各2m范围内的风管及其绝热材料应采用不燃材料;穿越防火分隔处的缝隙应用柔性防火封堵材料封堵;
7 防火阀应符合现行国家标准《防火阀试验方法》GB15930的有关规定。
4.12.5 通风、空气调节系统的风管等应采用不燃材料制作,但下列情况除外:
1 接触腐蚀性介质的风管和柔性接头可采用难燃材料;接触腐蚀性介质的风机采用符合难燃材料要求的材料制作;
2 体育馆、展览馆、候机(车、船)楼(厅)等大空间建筑、办公楼(高层建筑办公楼除外)等的通风、空气调节系统,当风管按防火分区设置且设置了防烟防火阀时,可采用燃烧产物毒性较小且烟密度等级小于等于25的难燃材料制作;
3 高层建筑中对于人员密集场所,当管道不穿越防火分区时,可采用符合现行《公共场所阻然制品及组件燃烧性能要求和标部分》GB20286中不低于B级的材料制作;对于其他场所,当管道不穿越防火分区时,可采用符合现行《建筑材料及制品燃烧性能分组》GB8624中不低于C级的材料制作。
4.12.6 设备和风管的绝热材料、用于加湿器的加湿材料、消声材料及其粘结剂,宜采用不燃材料,当确有困难时,可采用燃烧产物毒性较小且烟密度等级小于等于50的难燃材料。
4.12.7 燃油、燃气锅炉房应有良好的自然通风或机械通风设施,其通风量应符合本措施的第4.4.4条的规定。
空调
5.1 一般规定、建筑物围护结构建筑热工要求
5.1.1 舒适性空调建筑围护结构的各项热工指标应符合下列规定:
1 严寒和寒冷地区、夏热冬冷地区、夏热冬暖地区的居住建筑和公共建筑围护结构的传热系数、透明屋顶和外窗(包括透明幕墙)的遮阳系数、外窗和透明幕墙的气密性能,应符合现行建筑节能设计国家标准的有关规定;
2 围护结构的热工指标还应符合现行建筑节能标准的有关规定。
5.1.2 空调建筑的外窗和透明屋顶的面积不宜过大,每个朝向的建筑窗墙面积比(包括透明幕墙)以及屋顶透明部分与屋顶总面积之比,应符合上述各项标准的有关规定。
5.1.3 夏热冬冷地区、夏热冬暖地区的公共建筑以及寒冷地区的大型公共建筑,外窗(包括透明幕墙)宜设置外部遮阳。外部遮阳的遮阳系数应符合《公共建筑节能设计标准》GB50189和现行地方标准的有关规定。
5.1.4 相对湿度大于等于80%的潮热房间的围护结构,应采取避免内表面和结构内部出现结露的措施。
5.1.5 舒适性空调区人员出入频繁的外门应符合下列要求:
1 宜设置门斗、旋转门或弹簧门等,且外门应避开冬季最大频率风向;当不可避免时,应采取设置热风幕或冷热风幕等防风渗透的措施,或在严寒、寒冷地区设置散热器、立式风机盘管机组、地板辐射采暖等下部供热设施;
2 建筑外门应严密,当门两侧温差大于或等于7℃时,应采用保温门。
5.1.6 舒适性空调房间宜保持一定的正压,正压值宜取5~10Pa。医院手术室及其附属用房的正压和负压要求应符合《医院洁净手术部建筑技术规范》GB50333有关规定。
5.2 空调负荷计算
5.2.1 除在方案设计或初步设计阶段可采用热负荷和冷负荷指标进行必要的估算外,施工图阶段应对空调区进行冬季热负荷和夏季逐项逐时冷负荷计算。
5.2.2 空调区的夏季计算得热量,应根据下列各项确定:
1 围护结构传入太阳辐射热量;
2 外窗进入的太阳辐射热量;
3 人体散热量;
4 照明散热量;
5 设备、器具、管道及其他内部热源的散热量;
6 食品或物料的散热量;
7 渗透空气带入的热量;
8 伴随各种散湿过程产生的潜热量。
5.2.3 空调区的夏季冷负荷,应根据各项得热量的种类和性质以及空调区的蓄热特性,分别进行计算。
1 下列各项得热量形成的冷负荷,应按不稳定传热方法进行计算:
1)通过围护结构进入的非稳态传热量;
2)透过外窗进入的太阳辐射热量;
3)人体散热量;
4)非全天使用的设备和照明散热量。
不应将上述得热量的逐时值直接作为各相应时刻冷负荷的即时值。
2 下列各项得热量形成的冷负荷,可按稳定传热方法进行计算:
1)室温允许波动范围≥±1℃的舒适性空调区,通过非轻型外墙进入的传热量;
2)空调区与邻室的夏季温差>3℃时,通过隔墙、楼板等内围护结构进入的传热量;
3)人员密集场所、间歇供冷场所的人体散热量;
4)全天使用的照明散热量、间歇供冷空调场所的照明和设备散热量;
5)新风带来的热量。
5.2.4 空调区的夏季冷负荷,应按各项逐时冷负荷的综合最大值确定。
空调系统的夏季冷负荷,应根据所服务区的同时使用情况、空调系统的类型及调节方式,按各空调区逐时冷负荷的综合最大值或各空调区夏季冷负荷的累计修值确定,并应计入各项有关的附加冷负荷。
1 应按下列规定确定空调房间的夏季冷负荷:
1)舒适性空调区,夏季可不计算通过地面传热形成的冷负荷;工艺性空调区有外墙时,宜计算距外墙2m范围内地面传热形成的冷负荷;
2)计算人体、照明和设备等冷负荷时,应考虑人员的群集系数、同时使用系数、设备功率系数和通风保温系数等;
3)一般空调房间应以房间逐时冷负荷的综合最大值作为房间冷负荷;
4)高大空间采用分层空调时,可按全室空调逐时冷负荷的综合最大值乘以小于1的经验系数,作为空调区的冷负荷。
2 空调系统的夏季冷负荷应包括以下各项,并应按下列要求确定:
1)空调系统所服务的空调区的夏季总冷负荷,设有温度自控时,宜按所有空调房间作为一个整体空间进行逐时冷负荷计算所得的综合最大小时冷负荷确定;
2)新风冷负荷应按最小风量标准和夏季室外空调计算干、湿球温度确定;
3)空气处理过程中产生冷热抵消现象引起的冷负荷;
4)空气通过风机、风管和温升引起的冷负荷,当回风管敷设在非空调空间时,应考虑漏入风量对回风参数的影响;
5)风管漏风引起的附加冷负荷;
6)在确定空调系统的夏季冷负荷时,应考虑各空调房间在使用时间上的不同,采用小于1的同时使用系数。
3 空调冷源的容量应为空调系统的夏季冷负荷与冷水通过水泵、管道、水箱等部件的温升引起的附加冷负荷之和。
5.2.5 空气通过风机时的温升可按以下公式(5.2.5)计算:

式中△t——空气通过风机后的温升(℃);
L——风机的风量(m3/h);
H——风机的全压(Pa);
η——电动机安装位置的修正系数,当电动机安装在气流内时,η=1;当电动机安装在气流外时,η=η2;
η2——电动机效率。
当电动机的效率η2=0.85(0.8~0.9)时,△t可按表5.2.5确定。

注:1 若求空气通过风机所增加的显热冷负荷百分率时,可将上表所查的△t值除以送风温差(送风温度与空调房间内空气温度之差值)。
2 表中的温升,仅考虑了风机运行时机械能转变为热能的部分,未计入机壳传热导致的冷量损耗。
5.2.6 一般空调系统送回风管(不包括低温送风管道)的温升可如下估算确定:
1 空气通过无绝热层的方形薄钢板风管的温升或温降可参考表5.2.6-1;

2 有绝热层的方形薄钢板风管,其温升或温降可参考表5.2.6-2;

3 风管形状修正系数见表5.2.6-3。

5.2.7 送风管漏风引起的冷量损失可按下列附加率估算:
风管长度大于20m 10%
风管长度10~20m 5%
风管长度小于10m 不计
注:1 附加率的计算基数为与该风管相连的空气处理机组的计算负荷。
2 送回风管均在空调空间内时,不计此项。
3 风道阻力计算不计此项。
4 漏风的附加率还应加到空气冷却器和空气加热器的处理能力、加湿器加湿量的计算中,以及送风机的风量中。
5.2.8 冷水通过水泵后的温升和因此而引起的冷负荷附加率可按表5.2.8-1和表5.2.8-2估算。

5.2.9 传入有绝热层冷水(7/12℃)管道的热量引起的温升及冷负荷附加,可按表5.2.9-1和表5.2.9-2数值概略估算。

5.2.10 冷水箱温升引起的冷量损失计算,可根据水箱保温情况、水箱间的环境温度、水箱内冷水的平均温度,按稳定传热进行估算。
5.2.11 空调的夏季计算散湿量,应根据下列各项确定:
1 人体散湿量;
2 渗透空气带入的湿量;
3 化学反应过程的散湿量(一般民用建筑不计算此项);
4 各种潮湿表面、液面或液流的散湿量;
5 食品或气体物料的散湿量;
6 设备的散湿量;
7 地下建筑围护结构的散湿量;
确定散湿量时,应根据散湿源的种类,分别选用适宜的人员群集系数、同时使用系数以及通风系数。
5.2.12 空调系统的冬季热负荷,应根据下列各项确定:
1 通过围护结构的传热量;
2 由于室外空气侵入而散失的热量;
3 加热新风所需的热量。
以上各项均可按稳定传热计算,室外计算温度应采用冬季空调计算温度,计算方法详见第2章。
5.2.13 当建筑物有同内外分区时,建筑物内区的冬季冷负荷宜按下列原则确定:
1 当建筑物内外区有隔墙分隔时,室内照明功率、人员数量、设备功率等宜与夏季取值相同;
2 当建筑物内外区无隔墙分隔时,室内照明功率、人员数量、设备功率等的取值宜比夏季有所减少,并应根据内区面积、送风方式等因素综合确定。
5.2.14 下列情况宜采用计算机模拟软件进行全年动态负荷计算:
1 需要对空调方案进行能耗和投资等经济分析时;
2 利用热回收装置回收冷热量、利用室外新风作冷源来调节室内负荷、冬季利用冷却塔提供空调冷水等节能措施而需要计算节能效果时;
3 采用蓄冷蓄热装置,需要确定装置的容量时。
5.3 空调系统的划分、选择与设计
5.3.1 属下列情况之一者,宜分别设置空调系统:
1 使用时间不同的空调区:
2 温湿度基数和允许波动范围不同的空调区;
3 对空气的洁净要求不同的空调区;当必须为同一个系统时,洁净度要求高的区域应作局部处理;
4 噪声标准要求不同的空调区,以及有消声要求和产生噪声的空调区;当必须划分为同一系统时,应作局部处理;
5 在同一时段需分别供热和供冷的空调区;
6 空气中肯有易燃易爆物质的区域,空调风系统应独立设置。
5.3.2 空调区中存在较大需常年供冷的区域时,应根据房间进深、朝向、分隔等划分需常年供冷的区域和夏季供冷冬季供热的区域,并分别设置空调系统或末端装置。
5.3.3 空调系统的形式宜经过技术经济比较后按下列原则选择:
1 全空气定风量空调系统适用于下列空调区域:
要求温湿度波动范围小;
洁净度标准高〔例如净化房间、医院手术室等〕;
消声标准高(倒如擂音室等);
空调房间较大或室内人员较多,能设置独立的空调系统(例如商场、影剧院、展览厅、餐厅、多功能厅、体肓馆等;当各房间温湿度参数、洁净度要求、使用时间、负荷变化等基本一致时,可合用空调系统。人员密集场所单台空气处理机组风量较大时,风机宜采用变速控制。
注:人员密集场所停留人数变化较大,采用变速风机节能效果较明显。若采用双速风机进行简单的手动转换。运行时仍为定风量变风温维持室内温度恒定。也可采用变频风机. 并改为送风温度基本不变, 整体改变送风机风量维持房间温度恒定。为了与本条2款各房间设置变风量末端装置的变风量系统区别,仍在“定风量系统”的1款中叙述。
2 同一个全空气空调系统中,各空调区负荷变化较大、低负荷运行时间较长,且需要分别调节室内温度,卫生标准要求较高的建筑、如高档写字楼和用途多变的其他建筑物, 尤其是需全年送冷的空调区域等,可采用有变风量末端装置的全空气变风空调系统。
3 空调房间较多、房间内的人员密度不大,建筑层高较低,各房间温度需单独调节时,可采用风机盘管加新风系统。厨房等空气中含有较多油烟的房间,不宜采用风机盘管。
4 全空气变风量系统或采用温湿度独立控制的直流式新风系统等送风温度恒定的空调系统,有低温冷媒可利用时,可采用低温送风空调系统。对要求保持较高空气湿度或需要较大换气量的房间,不应采用低温送风系统。
5 各房间或区域负荷特性相差较大,并要求温度单独调节的办公、商业等建筑,如有较大需全年供冷的区域,在冬季或过渡季节需同时供冷与供热,且所需供冷量较大时,可采用水环式水源热泵空调系统。
6 空调房间或区域数量多、同时使用率较低,各区域要求温度独立控制,并具备设置室外机条件的中小型空调系统,可采用变制冷剂流量多联分体式空调系统。变制冷剂流量多联分体式空调系统不宜用于振动较大或产生大量油污蒸气的场所。
7 下列情况应采用直流式(全新风)空调系统:
1)卫生或工艺要求采用直流式 (全新风〕空调系统;
2)夏季空调系统的回风焓值高于室外空气焓值;
3)空调区排风大于按负荷计算出的送风量;
4)室内散发有害物质,及防火防爆等要求不允许空气循环使用。
8 下列情况可采用分散设置、有独立冷源的单元式空调机组:
1)小型独立建筑物;
2)建筑物内面积较小、布置分散的空调房间;
3)设有集中冷源的建筑物中,少数因使用温度或使用时间要求不一致的房间;
4)住宅等。
5.3.4 空调系统的新风、回风和排风设计应符合下列原则:
1 除冬季利用新风作为全年供冷区域的冷源,以及5.3.3条7款的情况外,冬夏季应采用最小新风量。最小新风量的确定应符合1.2节的要求。
2 全空气空调系统应符告下列要求:
- 除了温湿度波动范围或洁净度要求严格的房间外,应充分利用室外新风做冷源,根据室外焓值(或温度)变化改变新回风比,直至全新风直流运行;
2)人员密度较大且变化较大的房间,在采用最小设计新风量时,宜采用新风需求控制,根据室内CO2浓度检测值增加或减少新风量,在C02浓度符合卫生标准的前提下减少新风冷热负荷;当人员密度随时段有规律变化时,可采用按时段对新风量进行控制;
3)人员密集、送风量较大且最小新风比≥50%时,可设置空气-空气能量回收装置的直流式空调系统。
3 各房间采用风机盘管等空气循环空调末端设备时,集中送新风的直流系统应符合下列要求:
新风宜直接送入室内;
新风机组和新风管应满足在各季节需采用不同新风量的要求;
设有机械排风时,宜设置新风排风热回收装置。
4 新风量较大且密闭性较好,或过渡季节使用大量新风的空调区,应有排风出路;采用机械排风时应使排风量适应新风量的变化。
5.3.5 全空气空调系统的设计应符合下列原则:
1 空调送风应采用单风道系统;
2 除了温湿度波动范围要求严格的房间外,不宜在同一空气处理系统中,同时有加热和冷却过程;
3 湿度控制要求不严格的房间,当送风量大于用负荷和允许送风温差计算出的风量,以及采用下送风方式的空调风系统时,可采用避免再热损失的二次回风系统。
5.3.6 风机盘管加新风系统,应按下列原则进行冷负荷分配和选择风机盘管:
1 夏季湿度较大地区的一般房间,新风宜处理到与室内等湿的状态,负担新风冷负荷和湿负荷,以及部分房间显冷负苘;
2 医院门诊,病房等卫生标准较高的空调区,在空调冷水供水温度可能的条件下,新风机组除负担新风冷负荷和湿负荷外,还宜负担部分室内冷负菏、部分或全部室内湿负菏; 风机盘管宜干工况运行,改善卫生条件;低温新风系统的设计可参照5.12节的要求;
3 风机盘管机组宜按中档转速下的供冷(供热)量选用。
5.3.7 采用全空气空调系统的有防冻要求的房间, 宜考虑值班空调或采暖, 使室内在全空气系统不运行时维持必要的温度。
5.4 空调房间气流组织与送风量
5.4.1 空调房间的气流组织设计,应符合下列要求:
1 应进行必要的气流组织计算;
2 满足室内设计温湿度及其精度、人员活动区的允许气流速度、室内噪声标准和室内空气质量等要求;
3 与建筑装修有较好的结合;
4 气流应均匀分布,避免产生短路和死角。
5.4.2 空调区内人员主要活动区的气流速度或参考表5.4.2-1和5.4.2-2的规定。

5.4.3 上部送风形式,宜按下列原则确定:
1 一般房间宜采用百叶风口或条缝型风口从单侧或双侧送风,射流宜贴附;
2 房间的上部空间有条件时,宜采用贴附射流的散流器送风;层高较高时,可采用直片式散流器送风;
3 会堂、体育馆、影剧院等高大空间,宜采用喷口或旋流风口送风;
4 区域温差和人员活动区风速要求严格、单位面积风量较大、室温允许波动范围较小的空调房间,宜采用孔板下送风方式;
5 演播室等室内余热量大的高大空间,宜采用可伸缩的圆筒形风口下送风方式;
6 高度≥10m且体积>10000m3的高大建筑空间,如上部无温度要求,宜采用分层空调;送风宜采用侧送,回风口在同侧下部。
5.4.4 采用贴附侧送风方式时,应符合下列要求:
1 送风口上缘离吊顶距离较大时,送风口应设置向上倾斜10°~20°的导流片;
2 送风口应设置使射流不致左右偏斜的导流片;
3 射流途中不得有阻挡物。
5.4.5 采用散流器贴附顶送风方式时,应符合下列要求:
1 应根据空调房间吊顶高度、允许噪声值等确定散流器允许的最大喉部送风速度,以及散流器的型式和数量;
2 吊顶上部应有安装风管和散流器风量调节阀的足够高度;
3 布置散流器的平面位置时,应大利于送风气流对周围空气的诱导,避免产生死角,射流途中不得有阻挡物。
5.4.6 采用孔板下送风方式时,应符合下列要求:
1 孔板上部稳压层的高度应经计算确定,且净高不应小于0.2m;
2 向稳压层内送风的速度宜采用3~5m/s;当送风射程小于4m时,稳压层内可不设送风分布支管;在进风口处宜装设防止送风气流直接吹向孔板的导流片或挡板;
3 孔板布置应与室内局部热源的分布相适应;
4 利用吊顶上部空间做静压箱,在吊顶上直接设孔板或风口时,吊顶四周及顶部围护结构应保温和密封,且不应大面积采用这种送风方式。
5.4.7 采用喷口送风方式时,应符合下列要求:
1 喷口送风的射程和速度、喷口直径及数量、喷口的安装高度,应根据空调区高度和回流区的分布位置等因素通过计算确定;
2 应使人员活动区处于射流的回流区;
3 兼任热风采暖时,应具有改变射流出口角度的可能性。
5.4.8 分层空调的气流组织设计,应符合下列要求:
1 空调区宜采用喷口侧送,侧送喷口高度宜距地4~5m;当空调区跨度大于25m时,宜采用双侧送风,回风口宜布置在送风口的同侧下方;
2 侧送多股平行射流应互相搭接;当采用双侧喷口对送时,其射程可按两侧喷口中点距离的90%计算;
3 应尽量减少非空调区向空调区的热转移,必要时,可在非空调区设置送、排风装置。例如公共建筑的中庭等高大空间应能利用自然通风排除上部高温空气,必要时设置机械排风装置。
5.4.9 下部送风方式应按下列原则选择:
1 在高大房间中人员不长期停留的区域,例如文体建筑的高大休息厅廊等,可采用地板下送风方式;
2 有大面积玻璃外墙的冬、夏使用游泳馆,宜采用沿外墙地面或窗台向上送风的方式;
3 人员长期停的区域在满足下列条件时,可采用置换通风方式:
1)热源以人员、设备(计算机、复印机等)、灯光为主,且人员密度变化不大,人员活动量较轻,显热负荷不宜超过120W/㎡;
2)污染源与热源位置相近,浓度不大且稳定;
3)房间(空间)的净高宜大于2.4m;
4)全年送冷的空调区域。
注:置换通风为下部送风的一种特例,其机理是送入的冷空气层依靠热浮升力的作用上升带走热湿负荷和污染物,而非依靠风速产生送风射程,因此只适用于全年送冷的区域;当送入热风或送风速度较大时,便不再属于置换通风范畴,为一般下部送风。
5.4.10 下部送风方式的设计,应符合下列要求:
1 人员活动区域的送风速度应低于上送风方式,可参照表5.4.11-1确定;
2 人员长期停留的区域采用置换通风方式时,人脚踝处风速不宜超过0.2m/s;
3 人员活动区域的送风温差应小于上送风方式,且宜满足5.4.16的要求;
4 置换通风方式的人员头脚处空气温差,不应大于3℃。
5.4.11 送风口的出口风速,应根据建筑物的使用性质、对噪声的要求、送风口形式及安装高度和位置等确定,可参照表5.4.11-1及5.4.11-2的数值。


5.4.12 回风口和排风口的位置,应根据对人员活动区域的影响、冬夏季工况及空调房间的净高等因素确定,且应符合下列要求:
1 不应设在送风射流区和人员经常停留的地方;采用侧送时,回风口宜设在送风口的同侧下方;
2 房间高度较大且冬季送热风时,或采用孔板送风和散流器向下送风时,回风口宜设在房间下部;
3 以夏季送冷风为主的空调区域,当采用顶部送回风方式时,顶部回风口宜与灯具相结合;
4 建筑顶层、或吊顶上部存在较大发热量、或吊顶空间较大时,不宜直接从吊顶回风;
5 有走廊的多间空调房间,有条件时,可采用走廊回风,但走廊断面风速不宜过大;
6 采用置换通风方式时,回风口应置于活动区高度以上,排风口应高于回风口。
5.4.13 回风口的风速,可按表5.4.13选用;当房间内噪声标准要求较高时,回风口风速应适当降低。

5.4.14 有空调系统和机械排风系统的建筑物,其送风口、回风口和排风口的设置应有利于维持房间内所需要的空气相对静压值:
1 除医院传染病房等有特殊要求的房间外,建筑物内的空调房间应维持正压;
2 建筑物内的厕所,盥洗间及散发气味、有害气体或温度较高的设备用房等应维持负压;
3 餐厅的前厅应维持正压,厨房应维持负压,餐厅内的空气压力应处于前厅和厨房之间。
5.4.15 医院洁净手术室的气流组织应遵守《医院洁净手术部建筑技术规范》GB50333的有关规定。
5.4.16 空调房间夏季总送风量,应能消除室内最大余热和余湿,按室内最大冷负荷及送风焓差确定。在满足舒适的条件下,应尽量加大夏季送风焓差,但送风温差宜符合下列要求:
1 送风口高度>5m,送风温差宜≤15℃;
2 2m<送风口高度≤5m时,送风温差宜≤10℃;
3 送风口高度≤2m时,送风温差宜≤6℃;
4 下列情况下的送风温差应经计算确定:
1)送风口高度>10m;
2)人员活动区处在下送气流扩散区;
3)采用置换通风方式。
5.4.17 舒适性空调系统的新风量和新风比,应按下列要求确定:
1 新风量应不小于下列两项中的较大值:
1)按本措施第1.2.3条规定的人员设计新风量;
2)补偿排风和保持室内压力所需新风量。保持正压所需风量,宜按缝隙法计算,可参照表5.4.17估算确定。
2 全空气空调系统必须服务于不同新风比的多个空调区域时,不应采用新风比最大区域的数值作为系统的总新风比。系统的新风量应按下列公式确定:

式中 Y——修正后的系统新风量在送风量中的比例;
Vot——修正后的总新风量(m3/h);
Vst——总送风量,即系统中所有房间送风量之和(m3/h);
X——未修正的系统新风量在送风量中的比例;
Von——系统中所有房间的新风量之和(m3/h);
Z——需求最大的房间的新风比;
Voc——需求最大的房间的新风量(m3/h);
Vsc——需求最大的房间的送风量(m3/h);

5.5 空气处理
5.5.1 除采用直接蒸发式空气冷却器进行空气冷却的空调系统外,集中空调系统宜采用水冷式空气冷却器,必要时可采用淋水室或带淋水的空气冷却器处理空气。低温送风空调系统应符合5.12节的要求,一般常温送风空调系统应符合下列要求:
1 空气与冷媒应逆向流动;
2 冷媒进口温度应比空气的出口干球温度至少低3.5℃;
3 冷媒的温升宜取5~10℃,其流速宜取0.6~1.5m/s;
4 空气通过冷却器的迎风面质量流速宜采用2.5~3.5kg/(㎡·s);当大于3.0kg/(㎡·s)时,应在空气冷却器后设挡水板;
5 医院手术室洁净空调系统中,空气冷却器的迎风风速不应大于2m/s。
5.5.2 集中空调系统的热媒应采用热水。当某些房间的温湿度需要单独控制,室内温度的允许波动范围小于±1.0℃时,调节室温的二次加热设备可采用电加热器。
5.5.3 两管制空调水系统空气处理机组的空气加热器和空气冷却器可以合用,但应分别计算各自所需换热面积,并取其大值。当加热过程与冷却过程的水量或所需换热面积相差很大时,宜按5.5.4条分别设置空气加热器、冷却器和调节阀。
5.5.4 寒冷和严寒地区冬季使用的集中空调系统及新风系统的热水空气加热器,应采取防冻保护措施,必要时可采用下列方法:
1 设置热媒温度达到下限时自动关闭风机的控制环节;新风入口密闭调节阀的启闭与风机的开停联锁。
2 当空气处理机组的空气加热器设有水路电动调节阀时,宜采取下列措施:
1)设置热水阀先于风机和风阀开启,后于风机和风阀关闭的联锁装置;
2)设热水调节阀最小开充限制,并在空气加热器出水温度达下限时开大热水调节阀;
3)两管制水系统当冷却和加热水流量相关悬殊时,宜根据冷热水流量分别设置冷水调节阀和热水调节阀。
3 必要时可采取下列保证换热盘管流速的措施:
1)当两管制水系统冷却和加热水流量相关悬殊时,可根据冷热量分别设置换热盘管,或设置两组冷却器盘管并联使用,冬季使用靠近进风侧的一组盘管作为加热盘管;
2)设置末端循环小水泵;
3)设置空气预热器,预热器水路上不设自动调节阀。
5.5.5 高层建筑空调系统采用的水冷式空气冷却器、热水式空气加热器和预热器等设备的允许承压能力,必须大于所在位置的工作压力。
5.5.6 舒适性空调系统的新风和回风,应经过滤处理,且宜符合下列要求:
1 不宜采用油过滤器;
2 卫生标准较高时,宜设置粗效过滤器和中效过滤器等,进行两级过滤处理;
3 过滤器应能方便地拆装和更换;
4 宜装过滤器阻力检测、报警装置;
5 空气过滤器阻力应满足下列要求:
1)粗效过滤器(粒径≥5.0μm,效率:80%>E>20%):初阻力≤50Pa,终阻力≤100Pa;
2)中效过滤器(粒径≥1.0μm,效率:70%>E>20%):初阻力≤80Pa,终阻力≤160Pa;
3)应按终阻力计算过滤器阻力。
5.5.7 医院洁净手术室空气净化装置应符合下列要求:
1 送风系统应至少设三级空气过滤;每一级宜设置在新风口,每二级应设置在系统的正压段,每三级应设置在送风末端或附近;
2 末级净化设施不得采用静电空气净化装置;
3 回风口必须设过滤器;
4 净化空调系统中的空气处理部件、材料等要求应遵守《医院洁净手术部建筑技术规范》GB50333的有关规定。
5.5.8 对冬季有湿度要求的房间,空调系统应设置加湿装置。
1 当有蒸汽可利用时,应首先选用干蒸汽加湿器;医院洁净手术室净化空调系统宜采用以蒸汽为热源,间接加热纯净水产生干蒸汽。
2 无蒸汽汽源,但对湿度及控制精度要求严格时,可通过经济比较采用电极式或电热式蒸汽加湿器。
3 空气湿度及其控制精度要求不高时可采用高压喷雾加湿器。
4 对湿度控制精度要求不高且经济条件许可时,可以采用湿膜加湿器或高压微雾加湿装置。
5 小型空调系统可以采用超声波加湿器,且宜使用纯水。
6 医院等卫生要求较高的空调系统不应采用循环高压喷雾加湿器和湿膜加湿器。
7 加湿器供水水质应达到生活饮用水卫生标准。
注:1 蒸汽加湿器没有对被加湿空气的湿度饱和率的要求,加湿效率接近100%,加湿效果和卫生条件最好。
2 电蒸汽加湿器可实现加湿量的连续调节,控制精度较高;但用电量大,一次投资和运行费用都较高。电极式蒸汽加湿器一般比电热式蒸汽加湿器价格低,但采用硬度较高的自来水时需经常更换电极。有自动除垢装置电热式蒸汽加湿器价格较高,但使用时间相对较长。
3 高压喷雾加湿器价格便宜,但要求被加湿的空气湿度饱和率≤50%,且加湿效率较低。例如北京地区在设计条件下要求送入室内20℃的新风时,相对湿度只能处理到30%以下;当新风被处理到20%时,加湿效率仅有33%,66%的水将被排除。因此当送风湿度要求较高时,不能采用高压喷雾加湿器;加湿水直流时,如不作为中水等回收利用,不符合节水原则。
4 湿膜加湿器价格较贵,水质硬度较高时易硬化降低寿命;加湿空气所需的湿度饱和率在80%以下时,均可以采用,应按湿度饱和率选择湿膜厚度;其加效率也较低,一般为30%~50%,水直流时也宜回收利用。无论是直流还是循环使用,含水状态的加湿模块易产生微生物,因此应有相应的对策。
5 高压微雾加湿设备通过高压柱塞泵将水加压并传送到喷嘴,以3~15μm的微雾向空气加湿,加湿效率可达80%以上,但价格很贵。
6 超声波加湿器使用纯水是为了防白粉。
7 湿度饱和率——其数值为:(空气加湿前干球温度-加湿后干球温度)/(加湿前干球温度-加湿后空气湿球温度),其物理概念为:等焓加湿过程中,空气加湿到所需湿度的含湿量增值,占空气加湿到饱和状态(φ=100%)的含湿量增值的比率。
8 加湿效率——空气吸收的水量/加湿器给水量,应通过产品的实验曲线查取。
5.5.9 采用干蒸汽加湿器时应符合下列设计要求:
1 应根据产品要求对高压蒸汽进行减压;
2 加湿器入口应设过滤器;
3 应采用逆喷方式;
4 应设置凝结水的排放、回收装置。
5.5.10 采用电极式或电热式蒸汽加湿器时应符合下列要求:
1 电极式蒸汽加湿器不得使用纯水;
2 电热式蒸汽加湿器宜采用纯水,使用自来水时宜选择有自动除垢装置的产品;
3 应根据产品的要求确定是否使用软水。
注:电极式加湿器如采用软化水,当NA+浓度过高时易产生泡沫,有可能影响水位和加湿量的控制精度;电热加湿器也有类似问题;因此对水质软化的要求应根据产品的要求确定。
5.5.11 采用高压喷雾加湿器时就符合下列要求:
1 采用直排水加湿时,排水宜回收利用;
2 用循环喷雾加湿时,应选用有灭菌措施的产品;
3 加湿段应具有满足产品要求的蒸发吸收距离;
4 应根据产品要求确定是否设挡水板。
5.5.12 采用湿膜加湿器时应符合下列设计要求:
1 应根据产品要求确定迎面风速;
2 宜采用软水;
3 采用直流水加湿时,排水宜回收利用;
4 应选择有灭菌措施的产品,且应定期清洗。
5.5.13 采用高压微雾加湿装置时应符合下列要求:
1 应采用软水;
2 一台高压微雾加湿主机服务的区域或空气处理机组数量按产品要求确定;
3 选用的主机供水量和喷嘴出雾量不应小于所需总加湿量的1.25倍;
4 在空气处理机级加湿段加湿应采用专用微雾挡水板,并应设置排水装置。
5.5.14 空气加湿设计还应符合下列要求:
1 冬季加湿量应经计算确定,舒适性空调系统可忽略室内散湿量,按室内外空气的含湿量差和新风量进行计算;
2 应在加热后进行加湿;
3 采用空气处理机组时,宜设置加湿段,不宜在风管中加湿。
5.6 空气输送、空调机房与管道层
5.6.1 全空气空调系统符合下列情况之一时,宜设回风机:
1 新风量需连续变化、其他排风方式不能适应风量变化要求;
2 回风系统阻力较大,设置回风技术,经济合理。
5.6.2 设置回风机的空调系统,其新风口和排风口应按最大风量设置,新回风混合室的新风入口,应全年处于负压状态。
5.6.3 空调风系统应设置下列调节装置:
1 风系统各支路应设置调节风量的手动调节阀,可采用多叶调节阀等。
2 送风口宜设调节装置,要求不高时可采用双层百叶风口。
3 空气处理机组的新风入口、回风入口和排风入口处,应设置具有开闭和调节功能的密闭对开式多叶调节阀,当需频率改变阀门开度时,应采用电动对开式多叶调节阀。
5.6.4 空调系统风机的单位风量耗功率应按下式计算,并不应大于表5.6.4的规定。

式中 Ws——单位风量耗功率[W/(m3/h)];
P——风机全压值(Pa);
η1——包含风机、电机及传动效率在内的总效率(%)。

注:1 普通机械通风系统中不包括厨房等需要特定过滤装置的通风系统。
2 严寒地区增设预热盘管时,单位风量耗功率过增加0.035[W/(m3/h)]。
3 低温送风空气处理机组单位风量耗功率增加可参照上述数值》
4 当空气处理机组内采用湿膜加湿时,单位风量耗功率可增加0.053[W/(m3/h)]。
5.6.5 空调风系统应采取以下减少风机耗功率的措施:
1 宜合理布置和划分风系统的服务区域,风道作用半径不宜过大;高层民用建筑在其层高允许的情况下,宜分层设置空调系统;当需要在垂直方向设置空调系统(如新风系统)时,应符合4.12.2的防火要求;当符合4.12.2要求,层数不受限制时,每个系统所辖层数也不宜超过10层;
2 风道设计与连接应符合4.6节的要求;
3 风管内风速不应过大,可根据空调区域的噪声要求按9.1.5的规定确定;
4 应合理选用空调通风系统的风机;
1)风机压头和空气处理机组机外余压应计算确定,不应选择过大;
2)应采用高效率的风机和电机;
3)有条件时宜优先选用直联驱动的风机。
5.6.6 空调机房不宜作为空调系统的静压使用,当条件所限必须作为静压室时,应符合下列要求:
1 不应作设备送风侧的静压室;
2 空调机房应有较好的隔声和密闭性,当与室外相邻时,应有较好的保温措施;
3 应考虑设备发热量、机房围护结构冷负荷和其他热量引起的回风温升。
5.6.7 空调机房应符合下列要求:
1 空调机房宜邻近所服务的空调区;
2 空调机房的面积和净高应根据系统负荷、设备大小确定,应保证有适当的操作空间、检修通道和设备吊装空间;
3 无窗的空调机房,宜有通风措施;
4 空调机房不宜与空调房间共用一个出入口,机房应根据邻近房间的噪声和振动要求,采取相应的隔声、吸声措施;通风等转动设备应设减振装置;
5 空调机房的外门和窗应向外开启;大型空调机房应有单独的外门及搬运设备的出入口;设备构件过大不能由门出入时,应预留安装孔洞;
6 空气处理设备(不包括风机盘管等小型设备)不宜安装在空调房间内;
7 空调机房内应考虑排水设施。
5.6.8 空调管道或与其他管道共同敷设于管道层时,管道层应符合下列要求:
1 净高不应低于1.8m;当管道层内有结构梁时,梁下净高不应低于1.2m;层高≤2.2m的管道层内不宜安装空气处理机组及其他需要经常维修的空调通风设备;
2 应设置人工照明,宜有自然通风;
3 隔墙上安装各种管道后,人行通道净宽不应小于0.7m,净高不应低于1.2m;
4 应考虑排水设施。
5.7 空调冷热水系统的形式与分区
5.7.1 除设蓄冷蓄热水池等直接供冷供热的蓄能系统及用喷水室处理空气的开式系统外,空调水系统宜采用以膨胀水箱或其他设备定压的闭式循环系统。用喷水室处理空气的开式系统应设蓄水箱,蓄水箱的水量宜按系统循环水量的5%~10%确定。
5.7.2 空调冷热水系统的制式,应符合下列原则:
1 当建筑物所有区域只要求按季节同时进行供冷和供热转换时,应采用两管制水系统;
2 当建筑物内一部分区域的空调系统需全年供应空调冷水、基它区域仅要求按季节进行供冷和供热转换时,可采用分区两管制水系统;内外区集中送新风的风机盘管加新风系统的分区两管制系统形式可参考图5.7.2;

3 当空调水系统的供冷和供热工况转换频率或需同时使用时,宜采用四管制水系统。
5.7.3 空调冷热水系统的设备配置形式和调节方式,应经技术经济比较后确定。
1 水温要求一致且各区域管路压力损失相差不大的中小型工程,可采用冷源侧定流量、负荷侧变流量的一次泵系统(简称一次泵系统),见图5.7.3-1。

2 负荷侧系统较大、阻力较大时,宜采用在冷源侧和负荷侧分别设置一级泵(定流量)和二级泵(变流量)的二次泵系统;当各区域管路阻力相关悬殊(超过0.05MPa)或各系统水温要求不同时,宜按区域或按系统分别设置二级泵,见图5.7.3-2。

3 具有较大节能潜力的空调系统,在确保设备的适应性、控制方案和运行管理可靠的前提下,可采用冷源侧和负荷侧均变流量的一次泵(变频)变流量水系统,见图5.7.3-3。

4 采用换热器加热或冷却的空调热水或冷水系统,其负荷侧二次水应采用二次泵变频调节的变流量系统,见图5.7.3-4。

注:1 本节二次泵系统专指冷源侧和负荷侧各级水泵直接串联的空调冷水系统。为与采用换热器间接连接的水系统区别,本节将直接串联连接的冷源侧和负荷侧水泵分别称为一级泵和二级泵,将间接连接的换热器前、后一次水循环泵和二次水循环泵分别简称为一次泵和二次泵。
2 本节对电动控制的两通阀门的称谓:除注明者外,“电动两通阀”包括双位控制和连续调节阀门,其中连续调节阀门,按习惯特称为“两通调节阀”。
5.7.4 一次泵空调水系统设计应符合下列要求:
1 末端空气处理装置的回水支管中宜设置电动两通阀;
2 当末端空气处理装置采用电动两通阀时,应在冷热源侧和负荷侧的集、分水器(或总供、回水管)之间设旁通管和电动两通调节阀,旁通管和旁通阀的设计流量应取单台最大冷水机组的额定流量,见图5.7.3-1;
3 冷水机组与冷水循环泵之间,宜采用一对一独立接管的连接方式;机组数量较少时,宜在各组设备连接管之间设置互为备用的手动转换阀,见图5.7.4-1和5.7.4-2;

4 冷水机组与冷水循环泵之间采取一对一连接有困难时,可采用共用集管的连接方式。当冷水泵停止运行时,应隔断对应冷水机组的冷水通路;当采用集中自动控制系统时,每台冷水机组的进水或出水管道上应设置与对应的冷水机组和水泵联锁开关的电动两通阀(隔断阀),见图5.7.4-3。

5.7.5 二次泵空调水系统设计应符合下列要求:
1 空调末端装置的回水运管上应采用电动两通阀;
2 应在冷热源侧和负荷侧的分、集水器(或总供、回水管)之间设平衡管(旁通管)或耦合管,旁通管不不设阀门,旁通管管径不宜小于总供、回水管管径,见图5.7.3-2。
3 一次泵与冷水机组之间的接管和转换、控制阀门的设置应符合第5.7.4条每3、4款的要求;
4 二次泵宜采用变频调速泵。
5.7.6 一次泵)变频)变流量空调冷水系统的设计应符合下列要求:
1 空调末端装置的回水支管上应采用电动两通阀。
2 冷水机组与冷水循环消耗配置可不一一对应,并应采用共用集管连接方式。冷水机组和冷水循环水泵的台数变化及其运行与启停,应分别独立控制。
3 冷水循环泵应采用变频调速泵。
4 冷水机组的进水或出水管道上应设置与冷水机组联锁开关的电动两通阀(隔断阀)。
5 在总供、回水管之间应设旁通管和电动两通调节阀,旁通管和旁通阀的设计流量应取单台最大冷水机组允许的最小流量。
6 系统流量变化范围应按下列原则确定:
1)应考虑蒸发器最大许可的水压降和水流对蒸发器管束的侵蚀因素,确定冷水机组的最大流量;
2)冷水机组的最小流量不应影响到蒸发器换热效果和运行安全性
7 冷水机组应按下列要求选择和配置:
1)宜选择允许水流量变化范围大、适应冷水流量快速变化(允许流量变化率大)的冷水机组;
2)冷水机组应具有减少出水温度波动的控制功能,例如:除根据出水温度变化调节机组负荷的常规控制外,还具有根据冷水机组进水温度变化来预测和补偿空调负荷变化对出水温度影响的前馈控制功能等;
3)采用多台冷水机组时,应选择在设计流量下蒸发器水压降相同或接近的冷水机组。
5.7.7 空调水系统的冷水机组、末端装置及管路部件的工作压力不应大于其承压能力,必要时应采取相应的防超压措施:
1 设备、管件、管路承受的压力应按系统运行时的压力考虑;
2 空调冷水泵宜安装在冷水机组蒸发器的进水口侧(水泵压入式);当冷水机组进水口侧承受的压力大于所选冷水机组蒸发器的承压能力,但系统静水压力在冷水机组蒸发器承压能力以内,且末端空调设备和管件、管路等能够承受系统压力时,可将水泵安装在冷水机组蒸发器的出水口侧(水泵抽吸式),水系统竖向可不分区;
注:当空调冷水泵设在冷水机组蒸发器的出水口侧,但定压点设在进水口侧时,如机组阻力较大,建筑和膨胀水箱高度较低,水泵入口有可能产生负压。因此一般情况下空调冷水泵宜安装在冷水机组蒸发器的进水口侧。
3 当系统静水压力大于标准型冷水机组的承压能力(一般电压缩式冷水机组为1.0MPa,吸收式冷水机组为0.8MPa)时,应选用工作压力更高的设备,或经过经济比较,采用竖向分区的闭式循环系统。
5.7.8 空调水系统的竖向分区可采用以下方式:
1 高、低区冷热源分开设置,并应符合下列要求:
1)高、低区冷热源设备都集中设置在地下机房时,市区系统应选择承压较高的设备及配件;
2)市区冷热源设备布置在中间设备层或顶层楼板上时,应妥善解决设备的消声、隔振问题。
2 高、低区采用同一冷热源,在中间设备层内布置水一水换热器供高区使用,应符合下列要求:
1)高区二次空调冷水供水水温宜高于一次水供水水温1~1.5℃;
2)高区二次空调热水供水水温宜低于一次水水温2~3℃。
注:高区空气处理机组或风机盘管应按二次水水温进行选择设计。
3 高区的空调负荷较小或与低区的使用性质和使用时间不同时,可单独设置冷热源设备,例如采用自带冷热源的空调机组或风冷热泵机组等。
5.7.9 空调冷热水系统循环水泵的输送能效比(ER),应符合下列规定:
1 输送能效比(ER)不应大于表5.7.9中规定的限值:

式中 H——水泵设计扬程(mH2O);
△T——供回水温差(℃)
η——水泵在设计工作点的效率(%)。

注:1 表中的数据适用于独立建筑物内的空调冷热水系统,最远环路总长度一般在200~500m范围内。区域供冷(热)管道或总长更长的水系统可参照执行。
2 两管制热水管道数值不适用于采用直燃型溴化锂吸收式冷(温)水机组、空气源热泵、地源热泵等作为热源,供回水温差小于10℃的系统。
5.8 空调冷热水温度、水力计算和管路平衡
5.8.1 舒适性空调的冷热参数,应考虑对冷热源装置、末端设备、循环水泵功率的影响等因素确定,并应保证技术可靠、经济合理,可按以下原则确定:
1 空调冷水供回水温差不应小于5℃;冷水机组直接供冷系统的空调冷水供回水温度可按冷水机组空调额定工况取7/12℃;循环水泵功率较大的工程,宜适当降低供水温度,加大供回水温差,但应校核降低水温对冷水机组性能系数和制冷量的影响;
2 采用蓄冷装置的供冷系统,空调冷水供水温度应根据采用的蓄冷介质和蓄冷、取冷方式等参考表5.8.1确定;当采用冰蓄冷装置能获得较低的供水温度时,应尽量加大供加水温差;
3 采用换热器加热空调热水时,其空调热水供水温度宜采用60~65℃,供回水温差不应小于10℃;
4 采用直燃式冷(温)水机组、空气源热泵、地源热泵等作为热源,供回水温度和温差应按设备要求确定;
5 当空调冷水或热水采用大温差时,应校核流量减少对采用定型盘管和末端设备(如风机盘管等)传热系数和传热量的影响,所用的风机盘管机组的性能应经过测试。

5.8.2 空调系统的水流量可按下式计算:
1 计算管段的水量应按下式计算:

式中 G——计算管段的水量(m3/h);
Q——计算管段的空调负荷(kW);
△t——供回水温差(℃)。
2 计算管段的水量可按所接空气处理机组和风机盘管和额定流量的叠加值进行简化计算,当其总水量达到与水泵流量相等时,干管水流量值不再增加。
5.8.3 空调冷水系统的阻力计算应符合下列规定:
1 管道每米长摩擦阻力可按下式计算:

中 Hi——计算管段的比摩阻(kPa/m);
dj——管道计算内径(m);
qs——设计秒流量(m3/s);
Ch——海澄-威廉系数,钢管闭式系统取Ch=120,开式系统取Ch=100。
2 比摩阻宜控制在100~300Pa/m,不应大于400Pa/m;且空调房间内空调管道流速不宜超过5.8.3-1的限值。

3 系统局部阻力可下列要求计算
1)阀门(包括电动阀)阻力通过产品的流通能力和流量按下式确定:

式中 △Pv——阀门的阻力(Pa);
Gs——通过阀门的设计水量(m3/h);
Kv——阀门的流通能力,应根据产品提供的数据确定。
2)一般阀门和其他管件局部阻力当量长度,可参考表5.8.3-2。


4 各种设备(包括空调末端设备、过滤设备等)阻力应根据产品提供的数据确定。
5.8.4 四管制系统管道阻力应按空调冷水和热水管路分别计算,空调热水管路阻力的计算方法同采暖系统。
5.8.5 两管制系统可按供冷流量确定管径,冬季空调热水系统的阻力可根据冷水管路阻力按下式进行估算:

式中 HR——冬季空调热水系统的阻力(kPa);
α——在相同水量和管径时,热水由于粘滞系数小等因素的修正系数,可取α=0.9~0.95;
GR——空调热水流量(m3/h);
GL——空调冷水流量(m3/h);
HL——空调冷水的管路阻力(不包括蒸发器阻力)(kPa);
HJ——加热器阻力(kPa)。
5.8.6 空调水系统的水力平衡应符合下列要求:
1 应通过系统布置和管径选择,减少并联环路之间的压力损失差值;
2 因温差引起的重力水头,计算中可忽略不计;
3 当异程系统并联环路和计算不平衡率大于15%时,应设置必要的流量调节或水力平衡装置。
5.8.7 需要用阀门调节进行平衡的空调水系统,应在每个并联支环路设置可测量数据的流量调节或水力平衡装置,且支环路上并联和末端设备之间阻力的不平衡率计算值不应大于15%。
5.9 空调冷热水系统循环泵及附件
5.9.1 空调冷热水循环泵,应按下列原则配置:
1 除空调热水和空调冷水的流量的管网和管网阻力相吻合的情况外,两管制空调水系统应分别设置冷水和热水循环泵;
2 除采用模块式等小型机组和采用一次泵(变频)变流量系统的情况外,一次泵系统循环水泵及二次泵系统中一级冷水泵,应与冷水机组的台数和流量相对应;
3 二次泵系统中的二级冷水泵,应按系统的分区和每个分区的流量及运行调节方式确定,每个分区不宜少于2台,且应采用变频调速泵;
4 热水循环泵的台数应根据空调热水系统的规模和运行调节方式确定,不应少于2台;寒冷和严寒地区,当台数少于3台时宜设备用泵。当负荷侧为变流量运行时应采用变频调速泵。
5.9.2 循环水泵的流量应按下式计算:

式中 G——水泵的流量(m3/h)
Q——水泵所负担的冷(热)负荷(kW);
K——水泵流量附加系数,取1.05~1.1;
△t——供回水温差(℃)。
5.9.3 循环水泵的扬程,应按下列方法计算确定:
1 一次泵系统:
1)闭式循环系统应按管路和管件阻力、自控阀及过滤器阻力、冷水机组的蒸发器(或换热器)阻力、末端设备的换热器阻力之和计算;
2)开式系统除上述阻力之外,还应包括从蓄水池或蓄冷水池最低水位到末端设备之间的高差,如设喷淋室,末端设备的换热器阻力应以喷嘴前的必要压头代替。
2 二次泵系统:
1)闭式循环系统一级泵扬程应按冷源侧的管路和管件阻力、自控阀及过滤器阻力、冷水机组的蒸发器阻力之和计算;
2)开式系统一级泵扬程除第1)项的阻力之外,还应包括从蓄水池或蓄冷水池最低水位到冷水机组的蒸发器之间的高差;
3)闭式循环系统二级泵扬程应按负荷侧的管路和管件阻力、自控阀与过滤器阻力、末端设备的换热器阻力之和计算;
4)开式系统二级泵扬程除第3)项的阻力之外,还应包括从蓄水池或蓄冷水池最低水位到末端设备之间的高差,如设喷淋室、末端设备的换热阻力应以喷嘴前的必要压头代替。
3 水泵扬程应增加5%~10%的附加值。
5.9.4 循环水泵的选型,应符合下列要求:
1 空调水系统宜选用低比转数的单级离心泵;
2 选型及订货应明确提出水泵的承压要求。
5.9.5 多路供水的空调水系统宜设置分、集水器,其直径宜大于最大接管直径的2倍。
5.9.6 冷水机组、换热器、水泵、电动调节阀等设备的入口管道上,应安装过滤器或除污器,宜优先选用除污器;各设备相距不远时可不重复设置。过滤器孔径宜如下确定:
1 水泵进口:4mm;
2 空气处理机组和新风机组进口:2.5mm;
3 风机盘管进口:1.5mm。
5.9.7 空调水系统应在下列部位设置阀门:
1 空气处理机组(或风机盘管)的供回水管道;
2 垂直系统每对立管和水平系统每一环路和供回水支管;
3 分、集水器处供回水干管;
4 水泵的吸水管和出水管应设阀门,闭式循环系统各并联水泵的出水管上,以及开式系统供水管阀门前(水泵出口与阀门之间)还应设止回阀;
5 冷水机组、换热器等设备的供回水管。
5.9.8 应按下列要求设置温度计或压力表:
1 冷水机组进出口应设压力表及温度计;
2 换热器一、二次侧进出口应设压力表及温度计;
3 分、集水器处应设压力表及温度计;
4 集水器各分路阀门个的管道上应设温度计、压力表,分水器各分路阀门个应设压力表;
5 水泵进出口应设压力表;
6 过滤器或除污器的前后应设压力表;
7 空气处理机组出水支管应设温度计。
5.9.9 空调冷热水管道及设备均应保温。保温层厚度应保证其外表面不结露,冷水管道及设备保温层外应设隔汽层,保温材料及厚度等应符合本措施10.2节、10.3节和10.4节的有关规定。
5.9.10 空调水系统管道的坡度、空气排除、泄水、以及管道的伸缩和固定可参照第2章的有关规定。
5.10 空调冷凝水管道
5.10.1 冷凝水盘的泄水支管沿水流方向的坡度不应小于0.01;冷凝水水平干管不宜过长,其坡度不应小于0.003,且不允许有积水部位,必要时可在中途加设提升泵。
5.10.2 当空调设备的冷凝水盘位于机组内的正压段或负压段时同,冷凝水盘的出水口处均应设置水封。
5.10.3 冷凝水管排入污水系统时,应有空气隔断措施。冷凝水管不得与室内雨水系统直接连接。
5.10.4 冷凝水管道宜采用排水塑料管或热镀锌钢管,并应采取防结露措施,保持材料及厚度等应符合本措施10.2节和10.3节的有关规定。
5.10.5 冷凝水的水平干管末端应设便于定期冲洗的清扫口,立管顶部宜设通气管。
5.10.6 冷凝水管的管径应按冷凝水流量和管道坡度,按非满流管道经水力计算确定,民用建筑也可按表5.10.6估算。

5.10.7 住宅空调器冷凝水宜设置立管集中排放。
5.11 变风量空调系统
5.11.1 变风量空调系统一般应由变风量末端装置、集中空气处理机组及其送回风系统组成,末端装置的选型、分类和适用性见表5.11.1.

注:1 变风量末端装置均为一次风风阀节流型,诱导型、旁通型等末端装置未列入。
2 进行冷热风混合等不常用的双风道型末端装置未列入。
5.11.2 采用变风量系统的空调工程,应合理划分空调区域,并按以下原则选择空调方案:
1 负荷特性不同的房间宜纳入不同的变风量空调系统中;
2 内区采用全年送冷的变风量空调系统,外区设置风机盘管、散热器、定风量全空气系统等空调采暖设施,或采取呼吸幕墙,通过夏季通风冬季保暖的措施实现无外区化;
3 内外区合用变风量集中空气处理机组,外区宜采用再热型变风量末端装置,再热装置宜采用热水盘管;
4 内外区分别设置变风量集中空气处理机组,内区全年供冷,外区按季节转换供冷或供热;外区集中空气处理机组宜按朝向分别设置,使每个系统中各末端装置服务区域的转换时间一致;
5 当空调区域需要新风量恒定时,宜采用独立新风系统;新风机组负担新风负荷和部分室内负荷,送风量恒定,送风温度一般低于室内设计温度3℃;变风量系统负担其余室内负荷;末端装置可采用双风道型。
5.11.3 末端装置的选择,应符合下列基本原则:
1 应选用压力无关型,且应根据空调区域的特性按表5.11.1选择合适的类型;
2 应合理划分末端装置所负担的温度控制区域,根据温度控制区域的冷、热负荷经计算确定末端装置规格,不应考虑设计余量而放大其规格,以避免末端装置风量的可调比减小;
3 应选择箱体及其控制装置在末端装置专业生产厂进行整体性能测试与整定的产品,不得在工地现场组装,以确保变风量系统风量检测与控制的精确性。
5.11.4 末端装置的一次风风量,应按下列原则确定:
1 一次风的最大设计送风量,应按所服务空调区域的逐时显热冷负荷综合最大值和送风温差经计算确定;寒冷地区应校核冬季送风温度,一般不宜高于室内设计温度8℃;
2 一次风的最小送风量,由末端装置本身的可调范围、温度控制区域的最小新风量和新风分配均匀性要求,以及气流分布要求和加热器的送风温差要求等因素确定;一般可选最大设计送风量的30%~40%,新风需求量较大且稳定的区域(如会议室等)最大可按80%考虑;
3 串联式风机动力型末端装置的内置风机风量为一次风和室内回风风量的总和;内置风机风量应按供冷工况根据室内舒适度要求和送风口特性确定混合后的送风温度,并根据一次风最大设计风量和温度、室内回风温度、混合风送风温度经计算确定,一般为一次风最大设计风量的100%~130%;
4 并联式风机动力型末端装置内置风机的风量,应按下列方法确定:
1)内区采用单冷末端装置时,宜取一次风最大设计送风量的40%~50%;
2)外区末端装置风机应按冬季工况确定,应按风口特性和室内舒适度要求确定末端装置的送风温度,并根据一次风最小风量和温度、室内回风温度、末端装置的供热量及送风温度计算末端装置见机风量(即室内回风风量);末端装置风机风量一般为一次风最大设计风量的50%~80%。
5.11.5 风机动力型装置内置风机的压力,应按下列原则确定:
1 串联式风机动力型末端装置内置风机的风机静压,应能克服风机下游风管与风口阻力(再热型含加热盘管的阻力);
2 并联式风机动力型末端装置内置风机的静压,应等于一次风在最小风量时调节风阀之后的余压。
5.11.6 变风量末端装置一次风入口处的最小风速,应根据末端装置风速传感器类型确定。对于皮托管式风速传感器的末端装置,其一次风入口处的最小风速不应小于3m/s;对于螺旋桨式风速传感器、超声波式风速传感器、霍耳效应电磁式风速传感器、热线(热膜)式风速传感器等的末端装置,其一次风入口处的最小风速不应小于1m/s。
5.11.7 集中空气处理机组的设计,应符合下列要求:
1 最大送风量应根据系统的逐时冷负荷的综合最大值确定,并根据工程实际情况考虑一定的同时使用系数;送风温差不宜小于8℃。
2 最小送风量应根据负荷变化范围,房间卫生、正压、气流组织要求,末端装置可变风量范围等因素确定;可取最大送风量的30%~80%,且不应小于设计新风量。
3 最大负荷时的设计新风量应按1.2节的规定计算确定。
4 除独立送新风的系统外,应采取保证卫生要求的最小新风量的措施。
5 应具备最大限度地利用新风作冷源的条件,见本措施第5.3.4条第2款1)项。
6 空气处理机组风机静压除克服送、回风管阻力外,还应满足变风量末端装置入口静压的要求;
1)采用串联式风机动力型末端装置时,空气处理机组风机的静压应能克服末端装置的一次风阀的阻力;
2)采用单风道型、并联式风机动力型末端装置时,空气处理机组风机的静压还应能克服末端装置及其下游风管与送风口的阻力。
7 空气处理机组的送风机应符合下列要求:
1)应采用离心通风机;大风量高静压情况下,宜采用后倾式离心通风机;
2)风机的风量一风压曲线应平滑,应采取避免风机运行工作点进入风机不稳定区的措施,风机运行时最高效率点应设置在风机设计最大送风量的70%~80%范围内;
3)系统变风量宜通过风机变频调速实现。
5.11.8 变风量空调系统应按下列要求设计:
1 变风量系统送风宜采用环形风管,以降低并均化风管中静压,为将来增加或调整变风量末端装置提供灵活性。
2 变风系统风管计算宜按下列方法进行:
1)低速中压风管系统宜采用等摩阻法(流速控制法〕;
2)高速高压风管系统宜采用静压复得法或摩阻缩减法。
3 系统风管均应按所服务的空调区域最大送风量设计。
4 回风宜采用吊顶回风静压箱, 以均衡各空调区域的静压, 易于变风量末端装置风量控制。
5 主风管与末端装置支风管连接时, 应光滑连接, 以降低接口处的局部阻力。接末端装置的支风管应有一定长度的直管段。
6 为了避免湍流对末端装置风速传感器的干扰和减小末端装置调节风阀的阀权度,末端装置的进风支管上不宜设置调节风阀。
7 末端装置出风口至送风管之间的软管长度不宜大于2m。
5.11.9 应按下列要求控制变风空调系统的噪声:
1 空气处理机组的风机应在整个风量变化范围内能高效、稳定地运行;
2 应选用质量高、噪声小、运行平稳的变风量末端装置;
3 末端装置内风机的机外静压不宜大于80Pa;热水再热盘管和排数不宜大于2排,吊顶材料的密度不宜小于560kg/m3;
4 宜在末端装置出口到送风口之间接一段不超过2m长的消声软管;
5 回风口位置应尽可能远离变风量末端装置,必要时在回风口处设置消声装置。
5.11.10 变风量空调系统的气流组织,应符合下列要求:
1 送风口 (不包括串联式风机驱动型等送风口处风量恒定的末端装置〕,应具有在风量变化时与室内空气充分混合的性能, 应能满足空调房间的温度、风速、噪声和空气品质的要求, 且宜进行详细的设计选型计算, 必要时可进行计算机模拟。对于满足送风量和射程长度要求的风口, 宜校核风口在设计风量下产生的噪声值与压力降。
2 在存在内、外分区的空调房间内, 如内、外区的单位面积送风量相差较大,内、外区不宜采用
相同规格的送风口;在单值面积负荷较小、变化较大的内区,宜选用小风量、长射程的送风口。
3 送风口的风应如下确定:
1)采用单风道型末端装置的系统, 最大设计送风量应为末端装置一次风最大设计风量;
2)采用串联式风机动力型末端装置的系统, 最大设计送风量应为末端装置内置风机的风量;
3)采用并联式风机动力型变风量末端装置的系统,最大设计送风量应取一次风最大设计风量,以及按末端装置最小一次风风量与内置风机的风量之和计算出的风量,二者中的较大值;
4)采用单风道型、并联式风机动力型末端装置的系统, 送风口最小送风量应为一次风最小风量。
4 变风量系统的气流组织宜采用上送上回或上送下回的送、回风形式;回风口与送风口的距离不应小于送风口的射程。
5 变风量系统的气流组组应注意新风分布的均匀性;房间分内外区时, 回风口宜布置在人员密度较高、冷负荷相对较小、新风短缺的区域, 例如办公内区、人员密集的会议室等。
5.11.11 变风量系统室温控制应符告下列要求:
1 应根据的设定的室内温度改变末端装置的一次风送风量;
2 采用并联式风机动力型末端装置时,应根据一次风风量和室内温度控制末端装置风机的启停;
3 采用带再热器的末端装置,应根据室内温度控制再热量;再热时,末端装置的一次风量应为最小风量;
4 当外区集中空气处理机组送冷和送热工况互换时,变风量末端装置的温控器应相应地变换其作用方向;
5 变风量末端装置的温感器应按下列要求设置;
1)变设置在温控区域内通风、避免阳光直射处,并避免受附近发热体的影响;
2)在有内、外分区的房间内,内区温感器不应设置在受外区热风影响处,外区温感器不应设置在受内区冷风影响处或窗边冷气流下降处;
3)墙置式温感器的设置高度应能代表该温度控制区域人员工作区的温度。吊顶式温感器的设置位置应能反映该温度控制区域的状况,且应注意吊顶处空气温度与人员工作区空气温度的差异。
5.11.12 集中空气处理机组的控制应符合下列要求:
1 一般监控要求详见11.6节。
2 集中空气处理机组送风温度设定值应按下列要求确定:
1)当用于全年送冷的内区时,应根据不同季节室内不同温度要求计算出送风温度设定值;
2)当用于夏季送冷冬季送热的内区时,应按供冷和供热工况分别确定;
3)内区和外区宜分设空调系统;当无条件需合用集中空气处理机组时,冬季应按内区所需确定送风温度,外区采用末端再热装置。
3 风机风量应适应末端风量的需求。若采用控制系统静压方式实现对机组送风量的调节,风管内的静压传感器宜置于送风机与最远末端装置之间75%距离的气流稳定段,静压设定值应根据系统阻力计算确定。
4 空气处理机组的风机应采用变频调速控制,变频装置应具有防产生谐波干扰的措施。
5 应具有确保卫生要求的最小新风量和最大限度地利用新风作冷源的相应控制措施。
5.12 低温送风空调系统
5.12.1 低温送风空调系统设计参数的确定和负荷计算应符合下列要求:
1 送风温度范围宜为4~11℃,直接膨胀式不应低于7℃;冷源形式与低温送风温度的范围见表5.12.1;

2 变风量系统采用低温送风时,室内相对湿度宜在30%~50%范围内,室内设计干球温度宜比常温空调系统提高1℃。
3 应对渗漏空气、空调送、回风机散热、风管得热及串联式风机动力型末端装置内置风机散热引起的附加冷负荷进行详细计算;估算时送风设备和管道温升可取3℃;
4 应对送风口处空气温度和房间的设计参数进行校核计算,保证在室内湿度条件下风口不结露,送风口表面温度应高于室内露点温度1~2℃。
5.12.2 低温送风系统空气处理机组的空气冷却器应按下列要求设计选用:
1 空气冷却器的出风温度与冷媒的进口温度之差不宜小于3℃,其温度对应关系可参考表5.12.2-1.

2 空气处理机组的设计选型应充分考虑以下与常温空调系统的差异:
1)进入盘管的冷水温度和离开盘管的空气温度较低,盘管的进水温度和出风温度比较接近,冷水(或二次冷媒)的温升较大;
2)冷却盘管的排数和单位长度翅片数较多,冷却盘管的面风速较低,宜采用1.5~2.3m/s;
3)通过冷却盘管水侧和空气侧的压降变化范围较大;
4)在部分负荷条件下,尤其在进水温度和出风温度非常接近和大温差水系统中,冷水侧的流动易处于层流和紊流转换之间,造成系统出风温度不稳定,设计时应予避免;
5)盘管冷凝水量大,在叠放式盘管之间需设置中间冷凝水盘;
6)低温送风系统与常温空调系统空气冷却器的性能与技术参数比较可参考表5.12.2-2.

3 低温送风系统空气冷却器排数与冷水供、回水温差的关系可参照表5.12.2-3~表5.12.2-6。当设计数据超出表中数值早,应调整设计。




注:表5.12.2-3~表5.12.2-6中的技术数据摘自《实用供热空调设计手册》第二版,表中各符号代表意义如下:
◆符号☆表示满足要求但需采用乙烯乙二醇溶液或其他二次冷媒;
◆符合×表示不能满足要求;
◆符号○表示可以满足要求;
◆符号#表示无法得到冷水温差;
◆符合△表示经过冷却盘管的冷媒温差需经空调器厂家进行计算。
5.12.3 低温送风系统送风口设计选型应符合下列要求:
1 变风量低温送风系统采用串联式风机驱动型末端装置时,可采用常温散流器,但应结合送风散流器的类型和特性,确定送风温度,计算末端风机风量,确保风口不产生凝露;
2 低温空气直接送入室内时,应合理选配散流器的射程、贴附长度和房间特征长度,使送风与房间空气充分混合。送风口表面温度应高于室内露点温度1~2℃,常用送风口所适合的送风温度及适用场合可参考表5.12.3。

5.12.4 变风量空调系统采用低温送风时,新风量和各空调区域的新风分布设计应符合下列要求:
1 舒适性空调一般区域的新风量应大于排风量,使室内能有效地控制正压值;
2 应通过系统分区、风口布置等措施,力求新风分布能满足各区域室内人员卫生要求;当不能满足时,可考虑采用独立新风系统,,将所需新风量直接送入各空调区域或末端装置的送风管内;
3 当送风温度较低、送风量过滤、一些区域的新风量不能满足室内人员卫生要求时,宜提高送风温度以增大送风量;
4 当区域送风量较小而新风量不足时,不宜采用增加整个空调系统的新风量,或通过末端装置加热增加送风量等增加能耗的措施;宜采用串联式风机动力型末端,提高区域通风效率。
5.12.5 变风量低温送风系统的空调区域的划分、空调方案和系统形式的确定、末端装置和集中空气处理机组的设计选用、气流组织设计、系统的控制等,应符合5.11节的要求。
5.12.6 低温送风管应符合下列要求:
1 空气处理机组至送风口处的所有设备与管件必须进行严格的保冷与隔汽,保冷层厚度应经计算确定,详见10.4节;
2 风管的允许漏风量应比常温空调系统低,应符合现行国家标准《通风与空调工程施工质量验收规范》GB50243中对中压系统风管的要求。
5.12.7 低温送风系统的运行应符合下列要求:
1 向空调房间直接送低温冷风的空调系统,初始运行时或经过夜晚、周末、节假日等长时间停运后重新启动时,为避免房间内表面结露,应采取软启动措施:系统开始运行时,采用常规送风温度,然后逐步降低送风温度,直到达到设计工况;
2 如低温送风系统采用串联式风机动力型末端装置,且当一次风与吊顶内二次回风混合后的送风温度接近或高于常温空调系统的送风温度时,可不采取软启动措施;
3 为了避免产生冷热抵消、造成能量浪费,当系统冷负荷减小时,低温送风系统应具有送风温度再设定功能。
5.13 水环热泵空调系统
5.13.1 水环热泵空调系统的设计应符合下列一般规定:
1 循环水供水温度应符合产品技术要求,可参考表5.13.1-1所示的范围;
2 当采用地表水、地下水或地埋管循环水为冷热源时,应选用低温型机组;当循环水有结冰可能时,应在循环水中加注防冻剂;
3 水源热泵机组设计或运行工况与名义工况不一致时,应根据性能曲线对其实际出力作修正;机组名义制冷工况为:风侧进风干球温度27℃,湿球温度19℃;水侧进水温度30℃,出水温度35℃;名义制热工况为:风侧进风干球温度20℃,水侧进水温度20℃;机组水流量为按名义制冷工况确定的水流量;
4 所选用的水源热泵机组的性能系数与能效比应大于表5.13.1-2中的规定值。

注:1 本节所指水源热泵机组为水环热泵空调系统中的水源型冷热风机组。
2 机组能效比(EER):在名义制冷工况和规定条件下,水源热泵机组的制冷量与机组消耗功率之比值。
3 性能系数(COP):在名义制热工况和规定条件下,水源热泵机组的制热量与机组消耗功率之比值。
5.13.2 水环热泵机组选择设计应符合下列要求:
1 应根据建筑各部位的负荷特点划分内区和外区,并分设室内末端水源热泵机组;一台水源热泵机组不应同时服务于内区和外区;
注:当采用热回收型设制冷剂流量多联分体式水环热泵空调系统时,一台水源热泵机组多联各房间分别设置的多台室内机,各房间可同时分别供冷或供热并进行热回收,因此共用的水源热泵机组不需按内外分区设置,但水源热泵机组所带的各室内机应分区设置。
2 外区的水源热泵机组应同时满足夏季供冷与冬季供热的要求,一般可根据夏季空调设计冷负荷选择水源热泵机组,根据冬季空调设计热负荷进行校核;内区的水源热泵机组可以只按夏季空调设计冷负荷选择计算;
3 所选水源热泵机组应有可靠的水源侧防冻等安全措施,包括与水源热泵机组出水管段所设电动两通阀的联动、断水保护等;
4 选用的水源热泵机组噪声值应能满足应用场所的要求,并应对水源热泵机组采取有效的隔振及消声措施,详见5.13.8条;
5 吊装高静压水源热泵机组凝结水管应设高度为50mm左右的水封;
6 不同用户单元的水源热泵机组应分设电表,以便于系统运行管理与收费计量。
5.13.3 新风系统设计应符合下列要求:
1 宜选用适用新风工况的专用水源热泵机组对系统的新风进行处理。
2 当采用普通水源热泵机组用作处理新风时,应符合下列要求:
1)冬季应对新风进行预热,或采用30%左右的回风混合,使新风进风温度不低于12℃;
2)选择室内末端水源热泵机组时,应考虑分担部分新风负荷。
3 新风宜经排风热回收装置进行预冷(热)处理,且设旁通风道,在过渡季节不经过热回收装置直接引进新风。
5.13.4 系统冷热源应按下列原则选择设计:
1 应根据建筑物特点、周围环境条件、当地能源政策与能源价格、环保等要求,通过技术经济比较确定水环热泵空调系统的冷却方式与热源形式;
1)条件允许时,应优先利用废热、地源热等作为热源;
2)不应直接采用电锅炉(电热水器)作为热源;如当地有较大峰谷电价差,经技术经济比较后,可采用谷电蓄热方式提供系统所需热量;
3)技术经济比较合理时,可采用太阳能集热系统作为辅助热源加热,以节省锅炉或热风等热源的供热量。
2 水源热泵机组的水系统宜采用闭式循环;采用冷却塔方式排热时,宜选用闭式冷却塔。当采用开式冷却塔与板式换热器间接冷却时,宜按水源热泵机组冷却水进水温度不超过33℃选配冷却塔与换热器。
3 当采用锅炉为热源时,宜选用能在低水温(15~30℃)条件下安全运行的锅炉或热水器(真空热水锅炉等)直接供热;当采用其他锅炉或高温热源供热时,应设中间换热设备或可靠的混水装置,确保水源热泵机组供水温度不超过30℃。
4 采用土壤源、地下水或地表水作冷(热)源时,应符合下列要求:
1)直接引用地下水或地表水时,应设中间换热器;
2)应考虑地埋管换热器或地表水换热器的设计工作压力;循环水系统最高处与换热器最低点的高度差不宜超过100m;
3)高层建筑循环水系统的工作压力超过允许值时,应竖向分区;市区系统应设置板式换热器与地埋管换热器或地表水换热器系统间接换热。
5.13.5 应按下列要求进行循环水系统设计:
1 循环水系统的水力计算和平衡应符合5.8节的要求。
2 循环水泵的设计流量应按系统各末端水源热泵机组的设计循环水量的累计值与末端水源热泵机组同时开启系数的乘积确定。同时开启系数应根据建筑规模的大小、建筑各部分负荷特点确定,一般可取0.75~0.9。
3 循环水系统较大,经技术经济比较合理时,可按建筑各区域使用功能(运行时段)的不同、距离远近或末端水源热泵机组水侧阻力的不同因素,分设若干个循环回路;各循环回路阻力相关较大时同,宜分别配置循环水泵。
4 循环水泵的最大输送能效比(ER)应符合5.7.9的要求。
5 末端水源热泵机组运行时,流经机组的水流量应恒定;系统宜根据末端水源热泵机组的运行数量采用变流量的运行方式;当水系统变流量运行时,应采取下列措施:
1)末端水源热泵机组出水管段应设电动二通阀,并与机组联动开闭;
2)循环水泵应可变频调速和恒压差控制。
6 闭式循环水系统应采取过滤、缓蚀等水处理措施。采用开式冷却塔时,水系统应采取过滤、缓蚀、杀菌、灭藻等水处理措施。
5.13.6 系统冬季加热量确定
1 当建筑物冬季空调负荷无内外区特征,全部需要供热时,水环热泵空调系统加热量应按公式(5.13.6- 1)计算,或按(5.13.6-2)估算。

2 当建筑物冬季空调负荷有内外区特征,需同时供冷与供热时,水环热泵空调系统加热量,应为各末端水源热泵机组从循环水中取热总量和向循环水中排热总量之差值,可按公式(5.13.6-3)计算,或按式(5.13.6-4)估算。

本条各式中 Q——空调系统冬季加热量(kW);
Qr——空调房间或区域的冬季设计热负荷(包括围护结构热负荷和新风热负荷)(kW);
Nr——水源热泵机组制热时的输入功率(kW),Nr=Qr/COP(COP为所选水源热泵机组制热性能系数,参见表5.13.1-2);估算时可取Nr=0.25Qr;
QL——内区冬季冷负荷(kW),计算灯光、人体等散热量时应考虑小于1的同时使用系数;
NL——内区末端机组制冷时的输入功率(kW),NL=QL/EER(EER为水源热泵机组制冷能效比,参见表5.13.1-2);估算时可取NL=0.3QL。
5.13.7 系统管道绝热应符合第10章的规定,并应按下列原则确定:
1 水环热源空调系统室内部分循环水管道应按冬季、过渡季水源热泵机组制热工况下水管表面防结露要求确定保温层厚度,在确保不结露的前提下可不保温;
2 暴露在室外空气中的热水管道、可能出现冻结的水管与设备(膨胀水箱等)应作保温;
3 设于室外的冷却水管应避免太阳直晒,否则冷却塔出水管的室外管路部分宜保温;
4 表面温度高于环境温度的热源水管道应保温;
5 凝结水管应按防结露要求保温;
6 分体式水源热泵机组的制冷剂管道应保温;
7 制冷剂管道保温应采用符合防火要求的柔性泡沫橡塑材料,厚主不宜小于20mm,并应有可靠的包扎保护措施;
8 室内部分的循环水管道与凝结水管的保温材料宜采用符合防火要求的柔性泡沫橡塑。
5.13.8 水源热泵机组应采取以下隔振降噪措施:
1 吊装水源热泵机组应设减振吊架;
2 水源热泵机组与风系统、水系统均应通过软接头或软管连接、电线导管应采用软管;
3 对噪声要求较高的场所宜采用分体式水源热泵机组;分体式水源热泵机组的主机应置于走道吊顶内或设备间等噪声要求不高的区域;
4 高静压水源热泵机组送回风管段宜有消声措施;水源热泵机组所在范围的吊顶宜有良好的吸声与隔声性能。
5.14 变制冷剂流量多联分体式空调系统
5.14.1 符合本措施第5.3.3条第6款条件的下列建筑,可采用变制冷剂流量多联分体式空调系统:
1 办公楼、饭店、学校等具有舒适性要求的中小建筑;
2 上述可就近安置室外机组和新风处理机组的较大型建筑;
3 中、高档住宅;
4 设有集中供冷、供热系统的建筑中,使用时间和要求不同的少数房间;
5 有空调要求,但不允许冷热水管道进入的房间;
6 要求独立计费的用户。
5.14.2 设备类型和规格选择应按下列原则:
1 就制冷剂流量多联分体式空调系统宜采用压缩机就能压缩容量控制技术;
2 全年中具有供冷和供热两种需求、冬季室外空气设计温度的地区,宜采用热泵式机组;
3 仅用于供冷的变制冷剂流量多联分代表式空调系统宜选择水冷却型机组;
4 在同一变制冷剂流量多联分体式空调系统中同时需要供冷和供热时,宜选择热回收型机组;
5 应根据使用地区的气候条件选择空气源机组的室外机类型;
6 室内机选型时应在负荷计算的基础上进行温度修正、连接率修正、连接管长度与高差修正;
7 在用于冬季供热时,应根据实际室外气象条件和融霜对制热量的影响因素校核机组的实际制热量,不满足要求时应作调整;
8 在条件许可情况下,应尽可能地采用性能系数较高的小规格多联机组。
5.14.3 空气源机组性能应满足以下要求:
1 机组应在产品性能测试条件下,具有较高满负荷能效比;
2 设计采用的多联式空调(热泵)机组在规定制冷能力试验条件下的制冷综合性能系数[IPLV(C)]不应低于《多联式空调(热泵)机组能效限定值及能源效率等级》GB21454-2008中的2级标准;多联式空调(热泵)机组的能源效率等级见表5.14.3;

3 在冬季制热条件下,室外机融霜应快速、合理,具有较高的综合制热能效比。当冬季设计工况下的制热COP值低于1.80时,应采用其他供热方式。
5.14.4 系统设计应符合下列要求:
1 空调系统划分应合理,宜将经常使用和不经常使用的房间组合在一个空调系统中,使系统同时使用率或满负荷控制在40%~80%;
2 应优化室外机与室内的配管布置,减少配管长度;配管等效长度不宜超过70m;或通过产品技术资料核定,在规定制冷能力试验条件及配管实际长度下的满负荷的性能系数不低于2.80;
3 室内机之间、室内与室外机之间的高度差不能超过产品允许的最大落差,且应尽可能小;
4 同一系统内的室内数量不能超过室外机允许连接的数量;
5 室内、室外机的容量配比系数宜参考表5.14.4选择。

5.14.5 当无其他冷、热源对新风进行处理时,变制冷剂流量多联分体式空调系统宜采用适应新风工况的专用直接蒸发式机组作为系统的新风处理机组。
5.14.6 室外机的设置应符合下列要求:
1 室外机的进、排风应通畅,且不能形成气流短路;
2 远离热气、含油蒸汽、污浊气体和腐蚀性气体;
3 建筑物内安装的室外机,其换热器排风通过外墙百叶排出时,必须通过计算,保证排风道的阻力不大于机组的排风余压;同时外墙百叶片有效流通面积不宜小于0.65,与水平线的角度不宜超过15°;高层建筑每层同一位置放置室外机时,宜将进风与排风百叶的水平位置错开;
4 室外机的散热翅片应避免太阳直射,必要时可设置遮阳板;
5 可方便地对室外机的换热器进行清扫;
6 对周围环境不造成热污染和噪声污染;
7 支架稳固,不存在安全隐患。
5.14.7 系统应具有以下自动监控功能:
1 应具有的功能;
1)每个空调房间的温度控制;
2)根据系统负荷要求自动调整运行状态;
3)设备运行状态记录与显示;
4)故障自动报警或显示;
5)空调权限管理;
2 宜具有以下功能:
1)周/月/年的日程控制功能;
2)具有图形化可视界面;
3)闭式网关或国际通用标准协议的开放式网关。
5.15 蒸发冷却空调系统
5.15.1 一般规定
1 在满足使用要求的前提下,对于夏季空调室外空气计算湿球温度较低、干球温度日较差大且水资源条件允许的地区,空气的冷却处理,宜采用直接蒸发冷却、间接蒸发冷却或直接蒸发冷却与间接蒸发冷却相结合的二级或三级冷却方式。
2 在气候比较干燥的西部和北部地区如新疆、青海、西藏、甘肃、宁夏、内蒙古、黑龙江的全部、吉林的大部分地区、陕西、山西的北部、四川、云南的西部等地,空气的冷却处理,宜采用直接蒸发冷却、间接蒸发冷却或直接蒸发冷却与间接蒸发冷却相结合的二级或三级冷却方式。
3 在不同夏季室外空气设计干、湿球温度下,空气处理机组应采用不同的蒸发冷却功能段。图5.15.1-1将不同的夏季室外空气状态点在h-d图划分了五个区域,其中点N、O分别代表室内空气状态点、理想的送风状态点。各区的特征如下:

1)夏季室外空气设计状态点W在象限Ⅰ区,即室外空气焓值小于送风焓值,室外空气含湿量小于送风状态点的含湿量(hw<ho,dw<do),经等焓加湿即可达到要求的送风状态点,应使用直接蒸发冷却空调,并取100%新风。见图5.15.1-2。

2)状态点W在象限Ⅱ区,即可室外空气焓值大于送风焓值,室外空气含湿量小于送风含湿量(hw>ho,dw≤do),需先经间接蒸发冷却,再经直接蒸发冷却即可达到要求的送风状态点,即采用二级或三级蒸发冷却。由于室外空气焓值小于室内空气焓值,所以宜取100%新风。见图5.15.1-3、图5.15.1-4。

3)状态点W在象限Ⅲ区,即室外空气焓值大于送风焓值,室外空气含湿量大于送风含湿量(hw>ho,dw≥do),处于热湿比ε上部的状态点原则上可通过加大通风量的直接蒸发冷却来实现室内环境控制。对于这种室外设计参数,实际上大多数时间室外状态出现在左侧两区,因此也应采用间接蒸发冷却。处于热湿比ε下部的状态点则不能单独使用蒸发冷却空调。可采用蒸发冷却联合冷却方式。参见图5.15.1-5、图5.15.1-6。

4)状态点W在象限Ⅳ区,即室外空气焓值大于室内空气的焓值,室外空气含湿量小于室内空气含湿量(hW>hN,dW<dN)。当室外空气状态点远离dN时,可采用多级(或带排风热回收)的蒸发冷却方式。当室外空气状态点距离dN太近时,由于处理的送风温度太高、温度太大,不能单独使用蒸发冷却空调。可采用蒸发冷却联合冷却方式。参见图5.15.1-6.

5)夏季设计室外空气状态点W在象限Ⅴ区,即室外空气焓值大于室内空气的焓值,室外空气含湿量大于室内空气含湿量(hW>hN,dW>dN),此时处理的送风温度太高、湿度太大,不能单独使用蒸发冷却空调。可采用蒸发冷却联合冷却方式,参见图5.15.1-7。

4 蒸发冷却空调的送风温度取决于当地的干、湿球温度,适宜或适用蒸发冷却空调的理论计算送风温度绝大多数在16~20℃之间,详见表5.15.1-1。

5 两级蒸发冷却空调系统,通常适用在湿球温度低于20℃的地区,如我国新疆、青海及甘肃部分地区;适用于湿球温度低于22℃的地区,如云南、宁夏、内蒙等地。
6 三级蒸发冷却空调系统,一般适用在湿球温度低于21℃的地区,如我国新疆、青海、甘肃、内蒙等地区;适用于湿球温度低于23℃的地区,如云南、贵州、宁夏、黑龙江北部、陕西北部的榆林、延安等地。
7 直接蒸发冷却器在不同的室外空气状态参数下所能达到的理论出风温度不同;表5.15.1-2给出了不同室外空气状态参数下直接蒸发冷却器可达到的理论出风温度。


(例如:室外空气温度是35℃,相对湿度是15%,那么蒸发冷却器的出风温度应该是22.2℃。任何比灰框里的数据小的出风温度应该是舒适的,比灰框里的数据大的出风温度应该是不舒适的)。
8 表5.15.1-3给出了部分适合采用蒸发冷却空调地区的参数及理论出风温度。



5.15.2 蒸发冷却空调系统的设计原则。
1 蒸发冷却技术有广泛的应用空间,但也同时存在自身的不足,如:受气候环境因素的制约、缺乏除湿功能等。科学客观地研判是否采用蒸发冷却空调系统和采用何种形式的蒸发冷却空调系统显得尤为重要。
2 满足室内舒适度的要求
1)由于蒸发冷却空调系统的送风量较传统空调系统的送风量大,风感较强。一般在相同舒适条件下室内空气设计干球温度的设定值可高于传统空气系统的设定值。
2)正确地确定蒸发冷却的级数,合理控制送风除湿能力,以满足室内的相对湿度。
3)蒸发冷却空调系统的换气次数较大,空气品质好,合理的气流组织(如:下送风、置换通风等)会带来更舒适的空气环境。
4)蒸发冷却系统的室外空气采集口(进风口)是决定室内空气品质的重要因素。
3 设计参数的选择
1)室内空气设计干球温度一般可比传统空气温度舒适区高2~3℃,室内空气设计的相对湿度在允许范围内取较大的值,以合理的降低空调系统的换气次数。
2)蒸发冷却器的迎面网速一般采用2.2~2.8m/s,通常每平方米迎风面积按10000m3/h设计,即对应的额定迎面风速为2.7m/s。
3)为保障系统正常运行,蒸发冷却的循环水要进行连续或定时泄水排污,一般取设计泄水量等于蒸发量,实际运行可根据当地水质情况减少泄水量。
4)一、二次风量对比间接蒸发冷却器的效率影响较大,实践表明,二次风量为送风量的60%~80%之间时,换热效率较高,系统运行最经济,所以总进风量应考虑为送风量的1.6~1.8倍。目前工程中常用的二次风参数与一次风参数相同,但也可以考虑当室内回风焓值小于一次风焓值时用回风作为二次风,效果会更好。也就是二次进风口与回风管道相连,此时间接蒸发冷却器的总送风量就是实际的送风量。
5)蒸发冷却器的换热效率(蒸发冷却效率)取决于具体产品的性能。间接蒸发冷却器的换热效率一般为50%~80%。直接蒸发冷却器中金属填料的综合性能较好,换热效率一般为70%~90%。
6)不得按一般资料介绍的换气次数法确定系统送风量,其大小与建筑物性质、室外空气状态、舒适性空调、蒸发冷却空调机组处理空气的送风状态等因素相关,应根据热、湿平衡公式准确计算确定。
7)在餐椅、舞厅、会议厅等高密度人流场所等工程中,为了避免室内湿度过大,应采用多级蒸发冷却,降低送风的含湿量,增强送风的除湿能力,以便有效地降低室内相对湿度。
4 蒸发冷却空调系统设计同时要考虑地区的水资源条件,保证用水质量。系统设计时要明确定期对水质的管理和系统的维护以更好的控制蒸发冷却水系统的硬度,减少水垢的产生。
5.16 地板送风空调系统
5.16.1 房间已经采用架空地板体系,岗位或个人的局部热环境需要调节的办公等民用建筑舒适性空调系统,可采用以架空地板下空间为压箱的地板送风系统。
5.16.2 地板送风空调系统应由空气处理机组、地板静压箱、末端送风装置、回风排风系统(或排风出路)组成。空调系统形式和空气处理过程可采用下列方式:
1 当房间温度标准要求不高时,可采用一次回风系统,其系统组成和空气处理过程见图5.16.2-1;
2 当一次回风系统不能满足房间湿度要求时,湿度控制要求不严格的房间,可采用避免再热损失的二次回风系统,其系统组成和空气处理过程见图5.16.2-2.


5.16.3 地板送风空调房间和空调系统的夏季冷负荷可按5.2节的要求进行计算,并应满足下列要求:
1 应分析热源位置、对流热和辐射热成分,根据热力分层高度,分别计算以下3部位室内冷负荷;热力分层以下工作区冷负荷、热力分层以上非工作区冷负荷、架空地板和楼板传给地板静压箱的热量;
2 非工作区域内的对流热量不应计入工作区域内的空调冷负荷;
3 办公室内典型热源对流与辐射热量分配可参考表5.16.3;
4 工作区的热力分层高度根据人员的坐、站姿态确定,宜为1.2~1.8m;
5 应考虑架空地板、楼板传给地板静压箱的附加热量。

注:1 本表数值根据ASHRAE手册整理。
2 所有的数值基于室温为24 ℃,当室温为27℃时,显热减少约20%,潜热值相应增加。
5.16.4 空调系统通过地板送风静压箱的送风有效距离不宜大于18m,其温升可参考表5.16.4或按0.1~0.3℃/m估算。

注:1 表5.16.4中的数值来源某产品技术手册。
2 表中系统配置参数列中“基本配置”参数为:
◆从地板送风口送入房间的空气温湿度为:15.6℃、80%RH;
◆楼板下空气温度:26.7℃;
◆人员工作区地毯表面温度:22.8℃;
◆架空地板名义高度:305mm,静压箱高度:273mm;
◆内部区域单位地板面积标准送风量:3.0(L/s)/㎡;
◆单位外围护结构长度标准送风量:41.8(L/s)/㎡;
◆混凝土结构楼板厚度:152mm。
3 表中“系统配置参数”列中的其他栏为某项数据调整后的配置参数。
4 表中“内区”指需全年送冷区域,“外区”指夏季送冷冬季送热区域。
5.16.5 地板送风空调系统房间气流组织和送风量应按下列要求确定:
1 送风口的出口风速和送风温差、回风(排风)口布置、风速等要求见5.4节。
2 进入地板送风静压箱的空调送风温度宜为16~18℃,地板送风口的送风温度宜为17~18℃。
3 工作区域内头部到脚部的温差不宜大于3℃。
4 房间送风量应按以下公式确定:

式中 L——房间送风量(m3/h);
Qgq——房间工作区全热冷负荷(W);
Qgx——房间工作区显热冷负荷(W);
p——空气平均密度(kg/m3),标准状态下取1.2kg/m3;
C——空气定压比热,取C=1.01[kJ/(kg·℃)];
hn——室内焓值(kJ/kg);
ho——送风焓值(kJ/kg);
tn——室内工作区设定平均温度(℃);
to——送风温度(℃)。
5 房间回风温度应按下式确定:

式中 th——房间回风温度(℃);
Qf——非工作区显热冷负荷(W);
其他符号同公式(5.16.5-1)。
6 当采用有压地板送风静压箱时,空调系统送风量应考虑静压箱漏风量,可取送风量的10%~30%。
5.16.6 送风地板静压箱应满足下列要求:
1 应符合建筑防火和架空地板的有关规定;
2 地板静压箱的高度应满足静压箱内系统装置最大部件的安装、空气流动和电气布线的要求,并应考虑建筑层高(使用净高)、经济性等因素;
3 有压地板送风静压箱应整体密封,以减少地板块之间及施工质量引起的空气渗漏;
4 应根据空调区域的划分,并考虑减少架空地板和楼板向地板静压箱传热形成的空调送风热衰减,合理确定地板送风静压箱的隔断设置与进风口设置。
注:1 地板送风静压箱的测试结果表明:高度为100mm时,静压箱内仍能够获得较好的气流分布。当电气布线与地板送风系统综合使用时,地板送风静压箱的典型高度为300~4500mm。
2 用于地板送风的架空地板根据用途一般分为以下3种:
◆有压地板送风静压箱:静压箱相对房间的正压值一般维持在12.5~25Pa,用于克服地板送风口的阻力;
◆无压(或零压)地板送风静压箱:静压箱维持与房间基本相同的压力值,地板送风口的阻力靠末端装置风机克服;
◆架空地板:作为空调风管与末端装置的布置空间。
5.16.7 地板送风装置的选型与布置,应符合下列规定:
1 为个人/岗位服务的送风口宜邻近使用人员布置;
2 应根据房间送风量、内外分区、工作岗位分布情况等确定地板送风口的数量和送风量;
3 应根据热力分层高度、有压地板送风静压箱的静压值(采用被动式送风口时),按产品提供的送风装置的性能参数选择;风速为0.25m/s的送风射流末端高度宜接近热力分层高度;
4 应根据房间热负荷分配状况、热舒适性和控制要求及地板送风口的特性等因素,经技术经济比较后选用地板送风装置形式,常用地板送风装置类型和特征见表5.16.7。

5.16.8 地板送风空调系统应合理分区,并就在通过经济技术比较,采用合理的系统组合方式。
1 全年送冷的区域,送风装置常采用以下型式:
1)采用可调的被动式地板送风口,风口阻力由有压静压箱克服;
2)采用单风道型末端装置+被动式地板送风口;由全空气空气处理机组通过敷设在架空地板内的送风管道,向风口送风并提供压力;由单风道型末端装置调节送风量;
3)采用串联式见机动力型末端装置+被动式地板送风口;末端装置调节一次风风量,送入房间风量恒定;由末端装置风机克服地板送风口的阻力;
4)采用主动式地板送风装置,风量调节一般由送风装置所带变速风机实现,并克服风口阻力。
2 夏季送冷冬季送热的区域,送风装置常采用以下型式:
1)当该区域采用被动式地板送风口时,应与全年送冷区域分别设置空调机组,冬季送热;
2)可采用带电加热器或热水盘管的风机动力型末端装置+被动式地板送风口;
3)冬季供热可采用风机盘管或散热器。
注:变风量末端装置的分类、选择,以及变风量系统的设计见5.11节。
5.17 温湿度独立控制空调系统
5.17.1 室内空气品质和舒适性要求较高、设置集中空调系统的建筑,有条件且经技术经济比较合理时,可采用由下列主要部分组成的温湿度独立控制空调系统,其原理见图5.17.1;
1 用于调节室内湿度的新风处理机组,以及新风输送系统和送风装置;
2 用于调节室内温度的房间末端装置,以及冷热源和输配系统。
注:温湿度独立控制空调系统的主要特点如下:
1 降温与除湿处理要求的冷源温度不同:处理潜热(除湿)时,采用冷冻除湿方式,要求有低于室内空气露点温度的低温空调冷水;而处理显热(降温)时,仅要求冷水温度低于室内空气的干球温度,冷水来自自然冷源或COP值较高的高温冷水机组;
2 温度控制系统的末端装置干工况运行,避免了室内盘管表面滋生细菌,卫生条件好;末端装置一般采用水作为冷媒,输送能耗比输送空气能耗低;
3 湿度控制系统的干燥新风承担所有的潜热负荷,比温湿度同时控制的常规空调系统能够更好地控制房间湿度和满足室内热湿比的变化,房间湿度控制标准严格时避免了再热损失。

5.17.2 温湿度独立控制空调系统应根据工程所在的气候分区采取不同的形式。各城市的气候分区可参考表5.17.2和图5.17.2。


5.17.3 干燥地区(Ⅰ区)新风宜采用蒸发冷却进行降温(或降温加湿)处理,可按5.15确定蒸发冷却方式。
5.17.4 潮湿地区(Ⅱ区)新风可采用冷却除湿、溶液除湿、转轮除湿和联合除湿等处理方式(典型系统的组成和新风状态变化过程见图5.17.4-1~图5.17.4-7),系统设计应符合下列要求:
1 新风宜采用排风热回收设施时行预冷(见图5.17.4-1和图5.17.4-2)。
2 新风采用冷却除湿时,当除湿后的新风送风温度偏低需要进行等湿再热时,应采用自身再热方式;当室内设置集中排风系统时,宜利用排风进行再热(见图5.17.4-2);当无排风热回收可利用时,可采用液体工质选购进行预冷和再热(见图5.17.4-3);不应采用热水、电加热等外部热源再热方式。
注:冷却除湿指利用低温冷水通过表冷器盘管,使空气温度降低到露点以下进行除湿。
3 采用溶液除湿时,可根据下列原则采取不同的除湿方式:
1)当有≥70℃的余热可利用时,宜采用余热驱动式溶液除湿方式,也可采用室内排风喷水冷却溶液除湿(见图5.17.4-4),和采用冷却塔的冷却水进行冷却除湿(见图5.17.4-5);余热驱动的溶液除湿方式,可采用分散除湿、集中再生的方式,将再生浓缩后的浓溶液分别输送到各台新风中(见图5.17.4-6);在新风除湿机与再生器之间常设置储液罐,可实现较高的能量蓄存功能,缓解再生器对于持续热源的需求;
2)当无可直接利用的热源时,可采用热泵驱动式溶液除湿方式(见图5.17.4-7)。
注:1 热泵式溶液除湿新风机组的性能系数(新风获得冷量/压缩机和溶液泵耗电量)COP可超过5.0。例如在新风温度和相对湿度分别为36.0℃、68%(含湿量25.8g/kg)的高温高湿工况,以及30.0℃、65%(含湿量17.4g/kg)的一般工况,如室内排风为26.0℃、相对湿度60%(含湿量12.6g/kg),送风工况为17.3℃、74%或78%(9.1g/kg或9.6g/kg),则热泵式溶液除湿机组的COP分别为5.0和5.9。
2 采用排风喷水冷却除湿过程的溶液除湿机组的性能系数(新风获得冷量/再生加热量)COPr为1.2~1.5;采用冷却水冷却除湿过程的溶液除湿机组的COPr为0.8~0.95.溶液除湿系统的蓄能密度一般在500MJ/m3以上,蓄能密度随着储液罐的浓溶液与稀溶液之间的浓度差的增加而增大。
4 采用转轮除湿时,宜采用室内排风热回收对新风进行预冷(见图5.17.4-8)。







5.17.5 新风量应按以下原则确定:
1 应满足卫生和除湿要求,按二者计算结果取较大值。
2 新风送风量和送风含湿量应按以下关系式确定:

式中do——新风送风的含湿量(g/kg);
dn——室内设计含湿量(g/kg);
D——室内总湿负荷(g/h);
p——空气密度(kg/m3);
L——新风送风量(m3/h)。
3 干燥地区(Ⅰ区)采用蒸发冷却方式处理新风时,宜充分利用新风冷量,适当增大新风量。
4 潮湿地区(Ⅱ区)可按满足卫生要求确定新风量;采用冷却除湿时,应校核冷源水温是否能满足要求,必要时可增大新风量。
5.17.6 新风送风气流组织和送风装置应符合下列要求:
1 采用排风全热热回收预冷装置的冷却除湿系统,如不采用再热且送风温度较低时,宜采用高诱导比低温送风口、塑料散流器等;
2 新风处理采用其他方式且送风温度接近室温时,宜采用置换通风、地板送风等下送风方式。
5.17.7 房间末端装置可采用辐射板(墙)、冷梁、风机盘管干工况运行等,供冷量应按下列要求确定:
1 新风送风温度低于室内温度时,末端装置供冷量应扣除新风所承担的房间显热负荷。
2 新风送风温度高于室内温度时,末端装置供冷量应增加新风带入的显热负荷。
3 末端装置采用辐射板时,供冷、供热量可按下式进行估算:

式中 q——供热地板或供冷顶板表面总散热量(W/㎡);
θs·m——供热地板表面或供冷顶板表面温度(℃);
θi——室内设计温度(℃)。
4 干工况风机盘管,单位风量的供冷量约在2.0~2.4W/(m3/h)。
5 采用干工况运行的风机盘管,其供冷能力可按正式进行估算:

式中 Qe.干工况——干工况供冷量(W);
Qh.标准——标准供热工况时供热量(W);
△tm.c——干工况供冷时风侧和水侧的逆流对数平均温差(℃);
△tm.h标准——标准供热工况时风侧和水侧的逆流对数平均温差(℃)。
注:1 风机盘管标准工况时冬季供热量和夏季供冷量采用的水流量相同,即在相同风量时,盘管传热系数和传热面积相同;因此同样可采用干工况显热交换的标准供热量,通过风侧和水侧的逆流对数平均温差的比值进行换热量的修正估算。
2 当冷水温度为15~19℃时,风机盘管干工况供冷能力约为标准湿工况供冷能力的30%~45%。
5.17.8 冷源水温宜采用下列数值:
1 用于末端装置处理显热的冷水温度宜为15~19℃,应用于潮湿地区(Ⅱ区)的辐射板可干工况风机盘管的冷水温度应保证供冷表面的温度高于室内露点温度;
2 采用冷却除湿方式处理潜热的新风系统的低温冷水温度宜为5~7℃。
5.17.9 应优先采用自然冷源制取高温冷水:
1 Ⅰ区干燥地区可采用间接蒸发冷却冷水机组作为冷源,其原理见图5.17.9-1,机组设计出水温度见表5.17.9;
注 1) 间接蒸发冷却冷水机组的出水温度低于室外湿球温度,可达到室外空气的湿球温度和露点温度的平均值。
- 机组的性能系数COP可超过10,且室外起干燥,机组COP越高。
2 Ⅱ区潮湿地区有条件时,可采用地下水、土壤源等自然资源为房间末端装置提供夏季高温冷水,采用土壤源换热器的工作原理见图5.17.9-2。
注:1) 10米以下的地下水水温一般接近当地的年平均温度,当使用地的年平均温度低于16℃时,可通过抽取深井水作为冷源,但利用过的地下水必须回灌。
- 采用土壤源系统时,夏季很多时间可以直接利用土壤天然冷源得到15~19℃的高温冷水,而不必开启热泵;冬季则应利用热泵方式从地下埋管中进取热量,以保证土壤全年的热平衡。土壤源换热器可以为垂直埋管形式,也可以是水平埋管方式。当采用垂直埋管形式时,埋管深度一般在100m左右,管与管间距在5m左右。当采用大量垂直埋管时,夏季的冷却温度就不再与当地年平均气温有关,而是由冬夏的热量平衡和冬季取热蓄冷时的蓄冷温度决定。



5.17.10 采用人工冷源时,对于采用冷冻除湿方式处理潜热负荷的温湿度独立控制空调系统,当建筑规模较小时,处理显热和潜热系统的冷源可合用,其冷水温度应按处理潜热系统的要求确定;当建筑规模较大时,宜设置高、低温冷水机组或双工况冷水机组,分别用于处理显热、潜热的空调系统。
注:采用运动制冷机组,当冷水的供水温度从常规空调系统的5~7℃提高到15~19℃时,制冷机组的COP约提高20%~35%。
5.17.11 潮湿地区(Ⅱ区)使用的辐射板或干式风机盘管的高温冷水系统,应对室内温湿度进行监测,并采取确保设备表面不结露的自动控制,有结露危险时(室内露点温度高于冷表面温度)可加大新风量,必要时关闭末端装置冷水阀。
空调系统的冷热源
6.1 冷热源方案与设备的选择
6.1.1 空调系统的冷(热)源,首先应考虑利用夭然冷(热)源; 无条件利用天然冷(热〕源时,可采用人工冷(热〕源。
6.1.2 采用人工冷〔热)源时, 宜采用集中设的冷〔热)水机组或供热、换热设备。
6.1.3 机组或设备的选择, 应根据建筑规模、使用特征, 结合当地能源结构及其价格政策、环保规定等按下列原则经综合论证后确定:
1 有城市集中供热或工厂余热可利用的地区, 宜采用作为空调系统的冷热源;
2 具有热电厂的地区, 宜推广利用电厂余热的供热、供冷技术;
3 具有充足的天然气供应的地区, 宜推广应用分布式热电冷联供和燃气空调撞术, 实现电力和天然气的削峰填谷, 提高能源的综合利用率;
4 电力供应充足的地区, 可采用电动压缩式冷水机组供冷;
5 有余热或废热可以利用时, 可采用溴化锂吸收式冷(温)水机组供冷和供热;
6 电力供应紧缺的地区, 宜采用燃油、燃气吸收式冷水机组及燃油、燃气锅炉供冷和供热;
7 附近有长期稳定、充足的江、河、湖、海、浅层地下水等天然水资源, 或有工业废水、热电厂冷却水、污水处理厂等排出的再生水资源可以利用, 且水温适宜时, 宜采用地表水水源热泵系统供冷和供热;不具备集中供热条件, 经技术经济论证认为合理且能确保同层回灌时, 可采用地下水水源热泵系统供冷和供热; 不具备集中供热条件, 经技术经济论证及全年负荷分析认为合理且有充足的地面供埋管时, 可采用地埋管地源热泵系统供冷和供热;
8 各区域负荷特性相差较大, 全年需要空调常年有稳定的大量余热, 并需长时间同时供冷和供热的建筑物, 经技术经济比较认为合理时, 宜采用水环热泵空调系统供冷和供热;
9 如有合适的蒸汽源时, 宜采用汽轮机驱动的离心式冷水机组, 并利用其排气作为吸收式冷(温)水机组的热源, 通过联合运行提高能源的利用率;
10 具有多种能源(热、电、燃气等)的地区, 宜采用复合式能源供冷和供热;
11 夏季空调室外计算湿球温度较低. 干湿球温度差较大, 且当地水源比较丰富的地区, 宜采用直接或间接蒸发冷却方式;
12 采用区域供冷方式时, 必须经过认真、细致的技术经济分析论证, 务必确保能达到理想的节省能源与降低初投资的目的。
6.1.4 除了符告下列条件之一者外,不得设计采用电热锅炉、电热水机组、电热水器直接作为空调系统的热源:
1 电力供应充足、供电政策支持、电价优惠的地区;
2 以供冷为主, 供热负荷较小, 且无法利用热泵提供热源的建筑:
3 无集中供热与燃气源, 用煤或油等燃料又受到环保或消防限制的建筑;
4 夜间可利用低谷电进行蓄热, 且蓄热式电锅炉在白天用电高峰时段和平段时间不启动运行的建筑;
5 利用可再生能源发电地区的建筑;
6 内、外区合一的变风量系统中需要对局部外区进行加热的建筑;
7 高精度恒温恒湿空调系统室温控制环节的空气加热器。
6.1.5 确定冷水机组的装机容量时,应充分考虑不同朝向和不同用途房间空调峰值负荷同时出现的机率,以及各建筑空调工况的差异,对空调负荷乘以小于1的修正系数。该修正系数一般可取0.70~0.90;建筑规模大时宜取下限,规模小时宜取上限。
6.1.6 蒸气压缩循环冷水(热泵)机组名义工况时的温度/流量条件,应符合表6.1.6的规定。

注:1 上表引自国家标准:《蒸气压缩循环冷水(热泵)机组》每一部分:工业或商业及类似用途的冷水(热泵)机组GB/T18430.1-2001。
2 机组名义工况时,水侧的污垢系数:蒸发器为0.018(㎡.℃)/kW;冷凝器为0.044(㎡.℃)/kW;大气压力为101kPa。新机组蒸发器和冷凝器的水侧被认为是清洁的,测试时污垢系数考虑为0(㎡.℃)/kW。
3 冷水机组的冷水供、回水设计温差不应小于5℃。在技术可靠、经济合更换前提下宜尽量加大冷水供、回水温差(引自《公共建筑节能设计标准》GB50189)。
6.1.7 冷水机组类型的选择,应结合工程具体情况按表6.1.7进行。


6.1.8 冷水(热泵)机组的单台容量及台数的选择,应能适应空调负荷全年变化规律,满足季节及部分负荷要求。当空调冷负荷大于528kW时,机组的数量不宜小于2台。
6.1.9 冷水机组的台数宜为2~4台,一般不必考虑备用。小型工程只需一台机组时,应采用多机头机型。
6.1.10 选择冷水机组时,不仅应保证其供冷量满足实际运行工况条件下的要求,运行时的噪声与振动符合有关标准的规定外,还必须考虑和满足下列各项性能要求:
1 热力学性能:运行效率高、能耗少(主要体现为COP值的大小);
2 安全性:要求毒性小,不易燃,密闭性好,运行压力低;
3 经济性:具有较高的性能价格比;
4 环境友善性:具有消耗臭氧层潜值ODP(Ozone Deplition Potential)低、全球变暖潜值GWP(Global Warming Potential)小、大气寿命短等特性。
6.1.11 电动压缩循环冷水(热泵)机组,在名义制冷工况条件下,性能系数不得低于表6.1.11-1的规定值;有条件时,应优先选择采用表6.1.11-2中能效等级为2级或1级的节能型产品。


6.1.12 水冷式电动蒸汽敢压缩循环冷水(热泵)机组的综合部分负荷性能系数(IPLV)宜按下式计算和检测条件检测:
IPLV=2.3%×A+41.5%×B+46.1%×C+10.1%×D (6.1.12)
式中 A——100%负荷时的性能系数(W/W),冷却水里水温度30℃;
B——75%负荷时的性能系数(W/W),冷却水里水温度26℃;
C——50%负荷时的性能系数(W/W),冷却水里水温度23℃;
D——25%负荷时的性能系数(W/W),冷却水里水温度19℃。
注:1 IPLV仅是评价单台冷水机组在满负荷及部分负荷条件下按时间百分比加权平均的能效指标,不能准确反映单台机组的全年能耗,因为它未考虑机组负荷对冷水机组全年耗电量的权重影响。
2 IPLV计算法则不适用于多台冷水机组系统。在许多工程中,多台冷水机组以群控方式运行,每台冷水机组大部分时间在70%~90%或以上的高负荷区运行。因此,若简单的比较冷水机组全年节能效果,则冷水机组满负荷能效(COP)的权重大于IPLV的权重。
3 IPLV的计算法则有利于多机头机组,不能反映多机机组实际运行的能效。
4 应根据实际项目中冷水机组全年运行工况,结合实际气象数据、建筑负荷特性、机组数量、机组运行时间及负荷、分时电价等,通过系统模拟或专业计算方法,算出冷水机组全年耗电量及电费。
6.1.13 蒸气压缩循环冷水(热泵)机组的综合部分性能系数IPLV不宜低于表6.1.13的规定值(IPLV值是基于单台主机运行工况)。

6.1.14 名义制冷量大于7100W,采用电机驱动压缩机的单元式空调机、风管送风式和屋顶式空调机组时,在名义制冷工况条件下,其能效等级(EER)不应低于表6.1.14中的4级(不包括多联机)。有条件时,应优先选择采用2级或1级的产品。

6.1.15 离心式冷水机组有单级与多级、开式与闭式之别,一般宜结合工程具体情况根据表6.1.15进行选择。


6.1.16 螺杆式冷水机组有开启式与封闭式、单机头与多机头之别,一般宜结合工程具体情况根据表6.1.16进行选择。


6.1.17 螺杆式冷水机组可以配置不同的蒸发器和节流装置,设计选型时应结合工程具体情况根据表6.1.17选择。


6.1.18 选择制冷剂时,除了应考虑保护臭氧层外,还必须考虑其对全球气候变暖的影响。按照科学原理选用大气寿命短、ODP与GWP值均小、热力学性能优良(COP值高)、并在一定条件下能确保安全使用的制冷剂(见表6.1.18)。

注:1 ODP、GWP、大气寿命г数据源自2003年联合国《蒙特利尔议定书》臭氧层科学评估报告书。
2 理论COP源自REFPROP program from NIST,(1994)(工况:蒸发温度4.4℃,冷凝温度37.8℃,饱和条件)。
6.1.19 我国《环境标品技术要求》HJBZ41-2001消耗臭氧层物质(ODS)替代产品标准规定:凡是ODP值小于等于0.11的制冷剂,在现阶段都是环保的。
6.1.20 《中国逐步淘汰消耗臭氧层物质国家方案》(修订稿)中,对工商制冷行业中制冷剂替代的技术路线是:
对于透平式制冷机,HCFC-123可以替代CFC-11;
对于单元式空调机中制冷量为22~140kW的中型半封闭制冷压缩机,HCFC-22可以替代CFC-12。
6.1.21 2007年6月我国国家环保总局发布的“环保总局修订消耗臭氧层物质(ODS)替代品推荐目录”中,对常用制冷剂作了如表6.1.21所示的规定。

6.1.22 2007年9月蒙特利尔议定书第十九次缔约方大会上,做出了以下加速淘汰HCFC的调整方案:
1 把HCFC生产量与消费量的冻结从2016年提前至2013年;
2 把用于新设备的HCFC生产与消费淘汰期限从2040年提前到2030年;
3 消减步骤为:到2015年削减10%;到2020年削减35%;到2025年削减67.5%;直至2030~2040年,允许保留年平均2.5%数量供维修用。
注:《蒙特利尔议定书》缔约方第19次会议达成分阶段加速淘汰氢氯氟烃(HCFCs)的调整方案,时间表整体上提前了大约10年,但最终淘汰日期未变,对使用回收和再生制冷剂的淘汰日期没有限定。目前我国超过80%的工商制冷空调设备使用HCFC-22制冷剂,全球范围内至今尚未找到完全理想的HCFC的替代物,HFCs因其具有较高的GWP值被《京都议定书》明确列入实施减排的温室气体目录。就长远的发展趋势而言,HFCs在未来的消费淘汰也是不可避免的,唯一尚不能确定的是这一替代进程的时间进度。寻找零ODP且GWP值较低的环保制冷剂也成为全球的共同责任,因此若以HFCs替代HCFCs,这种技术方向和时间上的不确定性对于我国制冷空调业而言,存在巨大的风险和挑战。
环保性还与冷水机组的节能性相关,冷水机组耗电产生CO2排放,造成全球气候变暖的间接影响。95%的全球变暖潜在影响是由于设备能耗产生的CO2排放。
6.1.23 基于对HCFC,尤其是高GWP的HCFC-22替代技术与替代方案,国际上至今尚未明朗的事实,发展中国家不应盲目提前淘汰HCFC和HFC。相反,应该充分利用给予发展中国家的10年宽容期,即可推迟到2040年一次性淘汰HCFC。在此之前,应按照科学原理选用大气寿命短、ODP值和GWP值均小、热力学性能优良(COP值高)、并在一定条件下确保安全使用的制冷剂,如HCFC-123、HFC-134a及HCFC-22为制冷剂的冷水机组。
6.2 冷(热)源机房的设置原则
6.2.1 冷(热)源机房应设置在靠近冷(热)负荷中心处,以便尽可能减少冷(热)媒的输送距离;同时,应符合下列要求:
1 有地下层的建筑,应充分利用地下层房间作为机房,且应尽量布置在建筑平面的中心部位;
2 无地下层的建筑,应优先考虑布置在建筑物的一层;当条件限制,无法设置在主机建筑内时,也可设置在裙房内,或与主体建筑脱开的独立机房内;
3 对于超高层建筑,除应充分利用本建筑地下层以外,还应利用屋顶层或设置专用设备层作为机房;
4 变配电站及水泵房宜靠近制冷机房;
5 机房内设备的布置,应考虑各类管道的进、出与连接,减少不必要的交叉;
6 机房布置时,应充分考虑并妥善安排好大型设备的运输和进出通道、安装与维修所需的起吊空间;
7 大中型机房内,应设置观察控制室、维修间及洗手间;
8 机房内应有给排水设施,满足水系统冲洗、排污等要求;
9 机房内仪表集中处,应设置局部照明;在机房的主要出入口处,应设事故照明。
6.2.2 冷(热)源机房内部设备的布置,应符合下列要求:
1 设备布置应符合管道布置方便、整齐、经济、便于安装维修等原则;
2 机房主要通道的净宽度,不应小于1.5m;
3 机组与墙之间的净距不应小于1.0m,与配电柜的距离不应小于1.5m;
4 机组与机组或其它设备之间的净距,不应小于1.2m;
5 机组与其上方管道、烟道、电缆桥架等的净距,不应小于1.0m;
6 应留出不小于蒸发器、冷凝器等长度的清洗、维修距离。
6.2.3 燃气溴化锂吸收式冷(温)水机组的机房设计,除应遵守现行有关的国家标准、规范、规程的各项规定外,还应符合下列要求:
1 机房的人员出入口不应少于2个;对于非独立设置的机房,出入口必须有1个直通室外;
2 设独立的燃气表间;
3 烟囱宜单独设置;
4 当需要两台或两台以上机组合并烟囱时,应在每台机组的排烟支管上加装闸板阀;
5 机房及燃气表间应分别独立设置燃气浓度报警器与防爆排风机,防爆风机应与各自的燃气浓度报警器联锁(当燃气浓度达到爆炸下限1/4时报警,并启动防爆排风机排风)。
6.2.4 不论冷水机组采用何种组分的制冷剂,制冷机房内必须设置事故通风装置;事故通装置的通风量Q(m3/h),可统一按本措施的公式(4.4.3)计算。
6.2.5 由于制冷剂的比重几乎都大于空气,一旦泄漏就能很快的取代室内占有的容积,从而导致室内人员窒息而死亡。所以,不论采用何种组分的制冷剂,都应根据不同的制冷剂,选择采用不同的检漏报警装置,并与机房内的事故通风系统连锁,测头应安装在制冷剂最易泄漏的部位。
6.2.6 各台制冷机组的安全阀出口或安全爆破膜出口,应用钢管并联起来,并接到室外,以便发生超压破裂时将制冷剂引至室外上空释放,确保冷冻机房运行管理人员的人身安全。
6.3 区域供冷
6.3.1 建筑容积率大、空调冷负荷密度高、冷负荷曲线相对平缓、同时使用率低的区域可采用区域供冷方式。
6.3.2 采用区域供冷时,必须进行全年能耗计算以及技术、经济分析认证。
6.3.3 区域供冷宜利用天然能源、可再生能源、宜采用蓄能、分布式供能等高效节能的系统。
6.3.4 进行容量计算时,应根据各分区的功能与用冷特点,确定同时使用系数及不保证率。一般情况下,同时使用系数宜取0.5~0.8。
6.3.5 区域供冷管道传热面积较大,绝热设计时,宜采取必要的加强措施,如控制总体输送能耗、散冷量、温升损失等,以减少管道传热损失。
6.3.6 区域供冷系统中,宜结合采取多级泵、大温差小流量、变流量运行控制、直供等措施以降低水力输送能耗。
6.4 蓄冷蓄热系统的设计
6.4.1 蓄冷蓄热技术应用,受建筑物使用功能、空调负荷特性、蓄能设备的技术特点,工程所在地能源政策、电力峰谷时间段、投资回收年限等因素的影响和制约,因此其方案应经技术、经济比较确定。
6.4.2 当空调工程有以下特性时,可考虑采用蓄冷系统:
1 仅有白天负荷或昼夜负荷,峰谷负荷悬殊时;
2 无电力增容条件或限制增容时;
3 某一时段限制空调制冷用电时;
4 需设置备用冷源时;
5 采用大温差低温供水或低温送风时;
6 采用区域集中供冷时;
7 在新建或改建项目中,具有放置蓄冷装置的空间条件;
8 执行峰谷电价且电价差较大的地区;
9 技术经济比较合理,采用蓄冷系统确能获得经济效益时。
6.4.3 工程中常用的蓄冷介质有下列三种,设计时就根据介质特性及工程具体情况确定:
1 水:利用水的温度变化储存显热量,蓄冷温度一般取4~6℃,蓄冷温差为5~11℃。水的单位体积蓄冷量较小[5.8~12.77(kW·h)/m3],蓄冷所占容积较大。与常规空调系统相比,水蓄冷系统通常可减少制冷设备容量的25%~35%,适宜有条件设置蓄冷水池的空调工程。
为了提高蓄冷槽的利用率、体现蓄能系统的经济性,可将蓄冷槽设计为冬季蓄热,夏季蓄冷。
2 冰:利用冰的溶解潜热储存冷量,制冰温度一般取-4~-8℃;冰的单位体积蓄冷量较大[40~50(kW·h)/m3],冰蓄冷贮槽所占容积较水蓄冷小。冰蓄冷可提供较低的供水温度,适宜大温差低温供水、低温送风、区域供冷和无条件设计水蓄冷的空调工程,但制冷机在制冰期间的效率会有所下降。
3 共晶盐:无机盐与水的混合物称为共晶盐,共晶盐的相变温度一般为5~7℃。该蓄冷方式的单位体积蓄冷量约为20.8(kW·h)/m3,所需蓄冷槽的体积介于冰蓄冷和水蓄冷之间。制冷机可按常规空调工况运行。
6.4.4 冰蓄冷系统的模式,应根据工程具体情况确定:
1 全负荷蓄冷——蓄冷装置的冷量满足全部空调负荷,冷水机组在用冷时停止运行;全负荷蓄冷系统的运行费用较低,但蓄冷设备的初投资高,适宜空调运行时段较短或限制制冷用电的空调工程;
2 部分负荷蓄冷——蓄冷装置的冷量仅满足部分空调负荷,不足部分仍由冷水机组提供。部分负荷蓄冷系统的初投资较全负荷蓄冷系统低,能充分发挥系统能力,但运行费用较全负荷蓄冷系统高。可以根据冷水机组与蓄冷装置的相互位置分为并联、串联两种型式。
6.4.5 冰蓄冷装置的形式很多,且各有特点,设计时可根据工程具体情况参照表6.4.5选择。
表6.4.5 常用冰蓄冷装置的技术特点


6.4.6 选择双工况制冷机组时,应注意下列事项:
1 制冷机应能适应空调和制冰两种工况,其制冷量应按不同工况的蒸发温度、冷凝温度的载冷剂的传热特性由生产厂商分别计算;
2 选用制冷机时应复核载冷剂的最低供液温度是否满足蓄冷——放冷同期内所需载冷剂的最低供液温度(见表6.4.6)。

注:1 空调工况冷却水的进出水温度32/37℃,载冷剂供回液温度7/12℃;蓄冷工况冷却水进出水温度30/33℃,载冷剂供液温度-5.5℃。
2 上表列出的机组COP值是参考范围值,实际选用机组时,应根据工程的使用条件,以产品生产厂提供具体机组电脑选型计算书为准。
3 双工况机组的Cf值(制冰工况与空调工况制冷量的比值)一般为0.60~0.75,数值高的机组性能较好。
4 选用离心式冷水机组时应注意对冷却水温度的要求。
6.4.7 蓄冷系统应根据建筑物类型及设计日冷负荷曲线、空调系统规模及蓄冷装置特性等因素参考以下原则确定:
1 蓄冷时段仍需供冷且负荷较大时,宜另设直接向空调系统供冷的制冷机——基载主机,且与蓄冷机组并联设置;
2 当蓄冷时段所需冷量较少时,也可不设基载主机,由蓄冷系统同时蓄冷和供冷;
3 空调水系统规模较小,工作压力较低时,可直接采用乙二醇水溶液循环;当空调水系统规模较大、工作压力较高时,宜设置板式换热器向空调系统供冷;
4 冰蓄冷系统形式:
1)并联系统——双工况制冷机与蓄冰装置并联设置。见图6.4.7-1。

主机和蓄冰装置均处在高温段,可兼顾制冷主机与蓄冰装置的效率。但供水温度较高,供回水温差较小,不能用于大温差和低温供水、低温送风空调系统。冷负荷的增减变化由制冷主机与蓄冰装置并联分担,温度控制及冷量分配需要有相对复杂的控制系统。
并联系统的供回水温差一般为5~6℃,在基载机组性能系数满足节能规范要求的情况下,也可为8℃。
2)串联系统——双工况主机与蓄冰装置串联布置,供水温度低,供回水温差大,适用于大温差、低温供水和低温送风空调系统。系统工作特性明确,系数参数不仅在设计工况时可以预计到,而且在任何部分负荷运行点上都可以预计到。控制简单,运行稳定,主机优先和融冰优先的控制策略较易实现。
①主机上游(见图6.4.7-2)——制冷机处于高温端,制冷效率高,而蓄冰装置处于低温端,充分利用了冰的低温能量,但融冰效率较低。适合融冰性能好、能满足设计要求的融冰出水温度和融冰速率的蓄冰装置。

②主机下游(见图6.4.7-3)——制冷机处于低温端,蒸发温度随之降低,因而影响制冷效率。一般每降低1℃蒸发温度,制冷量会衰减2%~3%。而蓄冰装置处于高温端,可取得较高的融冰速率,但其低温能量将被浪费。该系统适合融冰性能较差、出水温度不稳定的蓄冰装置。

6.4.8 蓄冷系统的负荷,应根据设计日逐时气象数据、建筑围护结构、人员、照明、内部设备以及工作制度,采用动态计算法逐时计算,绘制全日冷负荷曲线图,按正式计算确定设计日空调总冷量:

式中 Q——设计日空调总冷量,(kW·h)或(RT·h);
qi——设计日i时刻冷负荷,(kW)或(RT);
n——设计日空调系统运行小时数。
在方案设计或初步设计阶段,可采用系数法或平均法,根据峰值负荷估计日逐时冷负荷。
1 系数法:利用常规制冷估算负荷方法计算设计日峰值负荷,乘以不同功能建筑逐时冷负荷系数求得逐时冷负荷。
qi=k×qmax (6.4.8-2)
式中k——逐时冷负荷系数,见表6.4.8;
qmax——峰值小时冷负荷(kW)(RT)。


注:1 摘自彦启森,赵庆珠编《冰蓄冷系统设计》。
2 宾馆的夜间冷负荷系数取值时还应考虑客房部分空调负荷所占整个建筑物空调负荷的比例。
2 平均法:设计日总冷负荷量应按下式计算:

式中 Q——设计日总冷负荷,(kW·h)或(RT·h);
qi——i时刻空调冷负荷(kW);
qmax——峰值小时冷负荷(kW);
qp——日平均冷负荷(kW);
n——设计日空调系统运行小时数(h);
m——平均负荷系数,等于日平均冷负荷与峰值小时冷负荷的比值,一般取0.75~0.85.
6.4.9 蓄冰装置容量,可按下列方法计算确定:
1 全蓄冰系统:
1)蓄冰装置容量:

式中 Qs——蓄冰装置容量,(kW·h)或(RT·h);
Q——设计日总冷负荷,(kW·h)或(RT·h);
ε——蓄冰装置的实际放大系数,一般取1.03~0.15.
2)制冷机容量:

式中qc——空调工况制冷机制冷量,(kW)或(RT);
Qs——蓄冰装置容量,(kW·h)或(RT·h);
Cf——制冷机制冰工况系数,即制冰工况与空调工况制冷能力的比值,一般为0.6~0.75;应根据工程的使用条件,以产品生产厂商提供的参数为准;
n2——制冷机制冰工况下的运行小时数(h),一般取所在城市低谷电价时数。
2 部分蓄冰系统:
1)制冷机容量:

式中 n1——白天制冷机在空调工况下的运行小时数(h);
其他符号同公式(6.4.9-2)。
2)蓄冰装置容量:

3 蓄冰系统的运行温度:根据双工况主机和蓄冰装置特性及蓄冰系统形式确定:
1)常温制冷供回水温度7℃/12℃,低温大温差供冷供回水温度3℃/13℃;
2)蓄冰装置:常规空调系统供水温度3~5℃,低温送风系统供水温度1~3℃;
3)双工况主机:制冰工况时制冷剂供回温度-5~-7℃/-1~-3℃,空调工况时制冷剂供回温度3~6℃/8~11℃。
以上温度参数确定后,需经蓄冰装置的蓄冰和融冰供冷特性曲线校核计算。由于双工况主机在蓄冰过程中其载冷剂的出液温度和机组的制冷量是一个逐渐降低和减少的过程,所以应复核这两个参数是否能满足蓄冰装置的需要。不能满足时,应调整蓄冰装置的换热面积或容量以保证空调系统的正常使用。这类复核计算,应在设计配合下,由产品生产厂或供应商完成。
4 不同形式的蓄冷装置,采用的压降值亦有不同,选择封装式蓄冷装置(冰球)时,压降值宜控制在25~50kPa,选择蛇形盘管; 蓄冷装置等其他形式的蓄冰装置,压降值宜控制在70~100kPa,最大不应超过120kPa,实际数值需经生产厂家校核。板式换热器的压降一般不大于100kPa。
6.4.10 蓄冷系统的控制应配置较完善的检测及自动控制装置,进行优化控制,解决各工况的转换操作、蓄冷系统供冷温度和空调供水的温度控制以及双工况主机制冷和蓄冷装置供冷负荷的合理分配。
6.4.11 部分负荷蓄冷系统的下列关键点,应设置自动检测与控制:
1 串联系统控制点,见图6.4.11-1。

1)主机蓄冰工况——V1、V3全闭,V2、V4全开,封装式蓄冰装置根据检测的进出口温差和流量等参数累计蓄冰量,盘管根据液位变化测定蓄冰量,蓄到预定值时停机;
2)主机单独供冷——V2全闭,V1、V3全开,根据T1恒定来控制主机能量调节;
3)蓄冷装置单独供冷——根据设定温度T1,调节V1、V2开度,改变进入冰槽载冷剂流量,控制融冰供冷量;
4)联合供冷——设定主机出口温度,控制主机供冷量;根据设定温度T1,调节V1、V2开度,改变进入冰槽载冷剂流量,控制融冰供冷量;
5)冷水供冷控制——以上2)、3)、4)工况,T2恒定,调节V3、V4开度,改变进入板式换热器的载冷剂流量;恒定负荷侧压差△P,改变冷水泵B的频率,以均衡负荷侧供冷量。
2 并联系统特点,见图6.4.11-2。

1)主机蓄冰工况——V1、V3、V4全闭,V2全开,BY2泵停,BY1泵开,冰槽液位测定蓄冰量或是由冰厚度传感器测定蓄冰量,蓄到预定值时停机;
2)主机单独供冷——V2、V3、V5全闭,V1、V4全开,BY2泵停,BY1泵开,根据T1恒定来控制主机能量调节;
3)蓄冰装置单独供冷——V1、V2、V4、V6全闭,V3、V5全开,BY1泵停,恒定T2,融冰乙二醇泵变频控制,改变进入冰槽载冷剂流量;
4)联合供冷——V1~V6,BY1、BY2全开,恒定T1,控制主机能量调节;恒定T2,融冰乙二醇泵变频控制,改变进入冰槽载冷剂流量;
5)冷水供冷控制——恒定负荷侧压差△P,改变冷水泵B频率,以均衡负荷侧供冷量。
6.4.12 载冷剂系统的设计,应注意下列事项:
1 设计中应明确规定载冷剂种类和浓度要求,乙二醇水溶液的质量比,宜取25%~30%(采用该载冷剂后双工况主机的制冷量一般下降约2%,板式换热器传热系数下降约10%)。计算载冷剂系统管道阻力和流量、乙二醇泵流量时,应按下列参数进行修正:
1)25%乙二醇水溶液(质量比),相变温度-10.7℃,在同样载冷量和温度条件下,所需流量约是水的1.08倍;管道阻力修正系数:5℃时为1.22倍,-5℃时为1.36倍;
2)30%乙二醇水溶液(质量比),相变温度-14.1℃,在同样载冷量和温度条件下,所需流量约是小的1.1倍。管道阻力修正系数:5℃时为1.257倍,-5℃时为1.386倍;
2 应确保系统的密闭性。
4 乙二醇与锌有化学反应,不应采用内侧镀锌的钢管及含锌材质的设备。
6.4.13 溶液膨胀及补液装置的容积和容量,应按下列规定计算确定:
1 对于无相变影响的内融冰、外融冰等系统的计算
1)闭式溶液膨胀装置的容积:

2)开式溶液膨胀装置的容积:

式中V——膨胀装置的有效容(m3);
Vs——在最低温度t1下,系统载冷剂的容量(m3);
P1——最低温度t1时,载冷剂的密度(kg/(m3);
P2——最高温度t2时,载冷剂的密度(kg/(m3);
α1——最低温度t1时,膨胀装置下部的剩余空间,一般α1=10%;
α2——最高温度t2时,膨胀装置上部的气体空间,一般α2=20%。
2 系统补液装置的容量
冰蓄冷空调系统补液装置的容量可按常规系统的计算运行。系统补液量取系统水量的2%;补液泵流量取补液量的2.5~5倍,泵的扬程应附加30~50kPa,并设置用泵。
3 载冷剂储液箱的容量
载冷剂储液箱容量的选取,宜按系统储存0.5~1.0h的补水泵水量或2~3倍的系统膨胀的有效容积在大值进行计算。
6.4.15 确定水蓄冷的类型时,应充分考虑下列情况:
1 全负荷蓄冷的运行费用最省,但建设费用高,占地面积大,应有条件采用;
2 部分负荷蓄冷的建设费用比常规空调系统略高,运行费用相对较低,故应用较广泛;其中完全电力削峰蓄冷形式的单位体积蓄冷量的运行费用最低;
3 具有足够大的场地放置蓄水槽。
6.4.16 水蓄冷槽主要有以下几种形式,设计时应根据工程具体情况选择不同形式的蓄冷水槽。
1 温度自然分层式:利用水温在4℃以上时,水温升高密度减小,在0~4℃范围内,水温降低密度增大的原理,达到冷温水自然分层的目的。
在蓄冷罐中下部冷水与上部温水之间由于温差导热会形成温度过渡层即斜温层(见图6.4.16-1);

2 隔膜式:在蓄水罐内部安装一个活动的柔性隔膜或一个可移动的刚性隔板,来实现冷热水的分离。通常隔膜或隔板为水平布置。这样的蓄水罐可以不用散流器,但隔膜或隔板的初投资和运行维护费用与散流器相比并不占优势。隔膜式水蓄冷罐示意见图6.4.16-2。

3 迷宫式:采用隔板将蓄冷冷水槽分成很多个单元格,水流按照设计的路线依次流过每个单元格。迷宫法能较好地防止冷热水混合,但在蓄冷和放冷过程中有一个是热水从底部进口进入或冷水从顶部进口进入,这样易因浮力造成混合;另外,水的流速过高会导致扰动及冷热水混合;流速过低会在单元格中形成死区,减小蓄冷容量。迷宫式蓄冷罐示意见图6.4.16-3。

4 多槽式水蓄冷系统:冷水的热水分别储存在不同的罐中,以保证送至负荷侧的冷水温度维持不变。多个蓄水罐有不同的连接方式,一种是空罐方式,如图6.4.16-4(a)所示。它保持蓄水罐系统中总有一个罐在蓄冷或放冷循环开始时是空的。随着蓄冷或放冷的进行,各罐依次倒空。另一种连接方式是将多个罐串联连接或将一个蓄水罐分隔成几个相互连通的分格。如图6.4.16(b)所示,图中表示蓄冷时的水流方向。蓄冷时,冷水从第一个蓄水罐的底部入口进入罐中,顶部溢流的热水送至第二个罐的底部入口,依次类推,最终所有的罐中均为冷水;放冷时,水流动方向相反,冷水由每一个罐的底部流出。回流温水从最后一个罐的顶部送入。由于在所有的罐中均为温水在上,冷水在下,利用水温不同产生的密度差就可防止冷温水混合。多罐系统在运行时其个别蓄水罐可以从系统中分离出来进行检修维护,但系统的管路和控制较复杂,初投资和运行维护费用较高。

6.4.17 水蓄冷空调系统的设计,可按下列步骤进行:
1 设计者需掌握的基本资料:当地电价政策、建筑物的类型及使用功能、可利用空间(放置水蓄冷设备)等;
2 确定建筑物空调设计日空调逐时冷负荷及设计日总冷负荷;
3 根据工程项目的实际情况,确定蓄能类型和运行参数;
4 根据建筑物的具体条件,确定蓄冷水池的形状与大小;
5 确定制冷机组和蓄冷设备的容量;
6 确定蓄冷系统的运行模式与控制策略;
7 进行技术经济分析,计算出水蓄冷系统的投资回收期。
6.4.18 蓄冷水池的设计,应符合下列规定:
1 蓄冷水池宜采用分层法,也可采用多水槽法、隔膜法或迷宫法与折流法。采用分层法时,如条件允许,蓄冷水池应尽可能加深,水池中的水流布水器应设计合理,使供、回水在和放冷循环中在池内产生重力流,形成并保持一个斜温层,其厚度不宜大于0.5m。蓄冷水池的容积计算方法如下:

式中 V——蓄冷水池容积(m3);
Kd——冷损失附加率,一般取1.01~1.03;
Qs——总蓄冷量(kW·h);
η——水池容积率,一般取0.95;
p——蓄冷水密度(kg/m3),取1000kg/m3;
△t——蓄冷水池进、出水温差,一般取6~10℃;
Cp——水的定压比热[kJ/(kg·℃)]
φ——蓄冷水槽完善度,考虑冷斜层和混合的影响,一般取0.85~0.90。
2 根据自然分层蓄冷水槽内的热力特性和蓄、放冷时蓄冷水槽内水的流态要求,蓄冷水槽内的温度以4℃较合适,因此时水的比重最大。为减少蓄冷水槽建设费用和提高蓄冷密度,在条件允许时,蓄冷水槽进、出水温差应尽量选取较大值。
3 充分利用工程项目的消防水池,将其改造成蓄冷水池,少占建筑面积和空间。蓄冷水池用于冬天蓄热时应另设置消防水池。
4 选择蓄冷槽材料需要考虑初投资、槽体泄漏的可能性、地下布置的可能性和现场条件等因素。常用的蓄冷槽可以是焊接钢槽、装配式预应力混凝土或现场浇筑混凝土槽。
5 温度自然分层水蓄冷罐一般有圆柱型和长方形两种。相同蓄水体积时圆柱型表面积与体积比量小,冷损失较少,投资较低。圆柱型蓄冷槽的高度直径比是设计时需要考虑的形状参数,一般通过技术经济比较来确定。斜温层的厚度与蓄冷槽的尺寸参数无关,提高高度直径之比能够减小斜温层在蓄冷槽中所占的份额,有利于提高蓄冷的效率,但这却双限制了布水器的长度,给布水器的设计增加了难度。由于立方体和长方体的蓄水槽建造方便,并且可以与建筑物结构相结合在一起,节省基建投资,因而了得到广泛的使用。
6 水蓄冷槽的绝热
在进行槽壁的绝热层厚度计算时,可取槽内水温为4℃,并要求绝热层表面温度不低于水槽周边空气的露点。
在进行绝热设计时要考虑蓄冷槽底部,槽壁的绝热。如果由底部传入的热量大于从侧壁导入的热量,则可能形成水温分布的逆转从而诱发对流,破环分层效果。对于露天布置的蓄冷槽,在绝热层外还需覆盖防潮层、防护层。为减少太阳辐射作用,防护层外还需施加带有反射效果的涂层。
6.4.19 冷水机组的容量,可按下列各式计算确定:
1 全负荷蓄冷方式:

式中 qc——冷水机组的制冷量(kW);
Qc——设计日空调负荷总冷量(kW·h);
K——冷损失附加率,取1.01~1.02;
n2——晚间蓄冷运行时间(h)。
2 部分负荷蓄冷方式:

式中 n1——白天空调冷水机组运行时间(h)。
6.4.20 水蓄冷系统设备配置有:冷水机组在蓄冷水池下游的串联形式、冷水机组在蓄冷水池上游的串联形式及冷水机组与蓄冷水池并联三种形式。
当采用冷水机组在蓄冷水池下游的串联形式时,为了保证下游主机COP值,主机的进水温度不可太低,蓄冷罐的蓄冷温度就必须高于4℃,其蓄冷能力不能充分利用;当采用冷水机组在蓄冷水池上游的串联形式时,由于释冷是一个动态的过程,蓄冷罐的出水温度难以稳定在设计值,这会影响末端的空调效果,因此,一般不推荐使用串联形式,宜采用并联方式。
当采用冷水主机和水蓄冷罐并联形式时,若水槽的水位低于建筑物的高度,蓄冷罐内的水必须通过板式换热器与系统空调水换热释冷,见图6.4.20(a)。若水槽的水位高于建筑物的高度,可不设板式换热器,蓄冷罐内的水直接进入系统空调末端,见图6.4.20(b)。如果用户在蓄冷时段内有稳定的空调负荷,须另设基载主机。

6.4.21 水蓄冷系统的自控,除应具备常规空调系统所有的技术条件外,还应满足以下要求:
1 水蓄冷系统应能进行下列五种工作模式:
1)蓄冷水槽蓄冷;
2)冷水机组供冷;
3)蓄冷水槽供冷;
4)冷水机组供冷+蓄冷水槽供冷;
5)冷水机组供冷+蓄冷水槽蓄冷。
自控装置必须满足以上工作模式的自动切换和相关设备的启停和阀门开关等控制。
2 根据空调负荷的变化,完成制冷机和蓄冷装置间的供冷负荷分配。
3 在水蓄冷控制系统中,采用的是标准温度传感器、压力传感器和流量计。在分层蓄冷槽中,用垂直排列的温度传感器或单独壳式安装的传感器来检测冷水与温水的水位,以确定当时的蓄冷存量和斜温层的厚度。一般情况下,选用传感器的数量不少于20个,不管水的总深度为多少,它对蓄冷存量的检测精度可达5%。传感器也可按高度方法布置,距离应根据检测的精度要求确定。
水位传感器用于检测系统的容积,并在需要补水时发出信号。
未被换热器隔离的非加压水槽需要在槽的入口和出口处设压力保持阀,以将水槽的静压与冷水输配系统的剩余部分隔离开。
多槽系统需要相对复杂的阀门与控制器,使水流在适当的槽中流动,并将热水与冷水相互分离。
4 补水应该从上部布水器或其他途经引入,以不干扰斜温层为原则。
5 槽内冷水的停用时间不应无谓延长,对体积较小的水槽尤应如此。
6.4.22 电水蓄热的设计,应符合下列规定:
1 全负荷或蓄热适用于全天热负荷较小的建筑物和峰谷电价差较大的地区;利用夜间低谷电进行蓄热,日间用电高峰和平段时间不启用电锅炉,建筑物所需负荷全部由蓄热装置提供;
2 部分负荷蓄热是利用夜间低谷电进行蓄热,日间的空调负荷由蓄热装置和电热锅炉共同承担。但根据《公共建筑节能设计标准》GB50189-2005第5.4.2条的规定“夜间可利用低谷电进行蓄热、且蓄热式电锅炉不在日间用电高峰和平段时间启用的建筑”可采用电热锅炉、电热水器作为直接采暖和空气调节系统的热源。因此,部分负荷蓄热目前在国内仅能使用在低谷时间没有热负荷要求,在高峰和平峰段才有热负荷要求的项目中。消防水池不得用于电热。
6.4.23 不同的蓄热温度适用于不同的供热对象,一般可按表6.4.23选择确定。

6.4.24 电锅炉的选择,必须符合《工业锅炉通用技术条件》JB/T10094-2002的要求,确保安全、经济和合理;电锅炉的平均运行热效率不应低于97%。
多台电锅炉总功率:

式中 N——电锅炉总功率(kW);
Q1——用电高峰和平段时的总热负荷,一般采用热负荷乘以供热时间(kW·h);
Q2——谷时的总热负荷,一般采用热负荷乘以供热时间(kW·h);
η1——当地的低谷电时间(h);
k——热损失附加率,一般取1.05~1.10;
η——电锅炉的热效率。
6.4.25 蓄热装置的有效容积应按下列公式计算:

式中 V——蓄热装置的有效面积(m3);
△T——蓄热温差(℃);可按照表6.4.25取值;
蓄热装置的设计容积计算:
V′=V×φ (6.4.25-2)
式中 φ——有效容积的放大系数,1.05~1.10。

6.4.26 蓄热装置的设计应考虑温水混合、死水空间和储存效率等问题,蓄热装置的热量利用率不宜低于90%。蓄热装置的形式有:迷宫式、隔膜式、多槽式和温度分层式等,其中温度分层式是最常用的方式。
温度分层式蓄热装置是根据水在不同的温度下具有不同的密度、会产生不同浮力的原理,使冷热水自行分离的系统。它主要有三种形式:无隔板式温度分层、水平分隔式温度分层和管道垂直分隔槽式。
蓄热装置布水器的设计可参见水蓄冷的相关内容。
6.4.27 蓄热系统与用热系统一般应通过换热器进行隔离,换热器宜采用板式的。板式换热器的换热量,宜取采暖或空调尖峰热负荷,热水二次侧(末端侧)供回水温度根据系统需求选取,热水一次侧(蓄热侧)供回水温度选取见表6.4.25。
6.4.28 蓄热循环水泵的选择,应符合下列要求:
1 蓄热循环水泵选用时应特别注意水泵的工作温度,采用专门的热水泵;
2 在满足加热需要的前提下,宜降低系统的内循环量,如将水一次加热到设计温度,以减少水泵能耗;
3 在高温蓄热系统中,应采取防止水泵因入口温度过高而产生汽化的技术措施;
4 电蓄热系统应采用水泵变频技术。
6.4.29 电水蓄热系统的选择,应考虑下列原则:
1 并联的电水蓄热系统,因投资较高、控制较复杂、热效率低,而较少使用;
2 电锅炉在下游的串联电水蓄热系统(图6.4.29),因蓄热装置的斜温层区域的温水能由电锅炉的再加热而获得较高的热效率;并可采用大温差蓄热、供热,减少水泵及配件投资,降低了运行费用。

6.4.30 自控系统应保证蓄热系统安全、可靠、高效运行。
1 电锅炉应设置超温、超压、缺水、过流、短路、漏电、过电压和缺相等多种保护。
2 电锅炉应设置电热元件分组投入运行和退出的自行控制装置。
3 电锅炉应设置负荷自动调节装置,根据负荷变化自动减少或增加输入功率。
4 电蓄热系统应具备调节供水温度和蓄热温度的功能。
6.4.31 设计电水蓄热系统时,应注意下列事项:
1 蓄热温度高于沸点温度的高温蓄热装置应符合《压力容器安全技术监察规程》,系统应有多重保护措施;
2 蓄热装置不应与消防水池合用;
3 蓄热装置宜采用钢制,形式可以因地制宜采用矩形或圆形,有卧室或立式,并设置有一定的高度以利于温度分层;
4 在满足用热要求的前提下,宜降低蓄热或供热温度,以减少热损失;
5 电蓄热系统中的设备及管道保温应确保完好、严密,以减少热损失;
6 开式系统的蓄热温度应低于95℃,以免发生汽化;
7 开式系统的蓄热罐应设置通向室外安全地区的透汽管,以避免蒸汽在机房内弥漫;
8 蓄热装置绝热可参照本措施每10章的表10.4.11选用。
6.5 溴化锂吸收式制冷
6.5.1 溴化锂吸收式冷(温)水机组的设计,应遵循以下原则:
1 有废热蒸汽压力不低于30kPa或废热热水温度不低于80℃的热水等适宜的热源可利用;
2 制冷量大于或等350kW、所需冷水温度不低于5℃;
3 电力增容有困难,又无合适热源可利用,以及要求振动小的建筑,可采用直燃型溴化锂吸收式制冷;
4 无其它热源可利用时,不应采用专配锅炉为驱动热源的溴化锂吸收式制冷。
6.5.2 溴化锂吸收式冷(温)水机组的类型,应根据用户具有的热源条件按表6.5.2选择确定。

6.5.3 蒸汽、热水型溴化锂吸收式冷水机组及直燃型溴化锂吸收式冷(温)水机组应选用能量调节装置灵敏、可靠的机型,在名义工况下的性能参数应符合表6.5.3的规定。

6.5.4 直燃型溴化锂吸收式冷(温)水机组的选型,应遵守下列原则:
1 根据冷负荷选择机型;
2 当热负荷大于机组的供热量时,不应采取加大机型方式增加供热量;宜采取加大高压发生器和燃烧器的方式增加机组供热量,但增加的供热量,不宜大于机组原供热量的50%;
3 当生活热水负荷较小且用热量较稳定时,可采用三用直燃型机组同时供冷(热水)和供生活热水;
4 当生活热水负荷大、波动大、且使用要求高时,不宜采用三用直燃型机组同时供冷(热水)和供生活热水,应另行设置专用的热水机组;
6.5.5 燃烧轻质柴油的直燃机房的供油系统,应由运输、卸油、室外贮油罐、油泵、室内日用油箱及管路等组成,见图6.5.5。

6.5.6 室外贮油罐与建筑物的防火间距应符合《建筑设计防火规范》GB50016-2006和《高层民用建筑设计防火规范》GB50045-95(2005年版)的有关规定。
6.5.7 从室外贮油罐至直燃型溴化锂吸收式冷(温)水机组的供油系统的设计,应符合下列要求:
1 室外贮油罐的容量,可按下列方法计算确定:

式中 V——室外贮油罐的容量(m3);
G——直燃机房最大日耗测量(t/d);
P——燃油的密度(t/m3);
A——燃油的储存天数:火车及船运输取20~30d;汽车运输取5~10d;油管输送取3~5d。
2 室外贮油罐可以直埋或放置于室外地下油罐室。当放置于室外地下油罐室时,应设检查井,供布置泄油、排污、各种阀门及部件等。
3 地下直埋油罐宜采用双层壳体的油罐,并应设置阳极保护装置作为防腐措施。
4 输油泵不应少于2台(一用一备)。其流量不应小于直燃机房最大计算耗油量的110%;泵的扬程由输油管线总阻力和室外贮油罐与室内日用油箱的液位差组成,并附加10%的裕量。输油泵宜采用自吸式离心泵或齿轮泵。
5 输油泵进口母管上应设置油过滤器2个(一用一备)。油过滤器的网孔宜为8~12目/cm(齿轮泵为16~32目/cm),流通面积宜为油管的8~10倍。
6 室外贮油罐到输油泵房之间的管沟,应有防止油品流散和水灾蔓延的隔绝措施。
7 直燃机房的室内日用油箱应布置在专用房间,且应设防火墙和甲级防火门;油箱的设置高度应保证燃烧器的供油泵有足够的灌注压头,最低油位高于燃烧器油泵的的轴线高度。油箱严禁设置在直燃机上方。
8 室内日用油箱、室外贮油罐、非自吸式离心油泵三者的安装高度应保持:室内日用油箱高于室外贮油罐,油罐高于油泵。当油泵是自吸式离心油泵或齿轮油泵时,油泵可高于室外贮油罐,但其高度应小于油泵的吸上高度。
9 室内日用油箱容积不应大于1m3。
10 室内日用油箱应采用钢制焊接闭式油箱,油箱上部应设直通室外的阻火通气管,通气管出口处应有可靠的防静电接地措施和设DN50阻火呼吸阀。排气口应设在室外,应高出屋面1m,与门窗的距离不得小于4m。
11 油箱宜采用可就地显示和远控联锁的电子式液位计,不得采用玻璃管液位计。
12 油箱进油管宜装防爆型自动启闭阀,并和油箱液位计联锁。
13 油箱的进油管和回油管宜从顶部插入,出口均应位于油箱液位以下(距油箱底部200mm左右)。
14 油箱底部应设紧急排空阀,排空阀应设在安全和便于操作处。泄油管可按到贮油罐或事故泄油坑。当油箱底部低于室外贮油罐或事故泄油坑时,泄油系统应设防爆型自动启闭阀门和防爆型泄油泵,且能就地启动和在防灾中心遥控启动。
15 燃烧器入口处设细过滤器,网孔不宜小于20目/cm,流通面积宜为油管的2倍。
16 输油管道宜采用地上敷设,当采用地沟敷设时,在地沟进建筑物的连接处应用耐火材料隔断。
6.5.8 直燃机房的燃气系统原理图,见图6.5.8。

6.5.9 直燃机房中的燃气系统设计,应满足以下要求:
1 燃烧器前的供气压力应按产品制造厂家提供的要求确定,一般供气压力为10~35kPa。
2 室内燃气管道宜采用无缝钢管焊接,管道与设备、阀件、仪表等宜采用法兰连接。
3 室内燃气管道宜明装。
4 阀门的设置:
1)应在安全和便于操作的地点设置引入管和总快速切断阀(电磁阀);
2)每台机组的燃气干管上,均应设关闭阀和快速切断阀;
3)每个燃烧器前的供气支管上应装设手动关闭阀,阀后应串联装设两个电磁阀;
4)点火用的燃气管道上,宜从本台机组的供气干管上的关闭阀后或燃烧器前的关闭阀前引出,并应在其管道上装设手动关闭阀,阀后串联装设两个电磁阀。
5 燃气管道上装设的放散管,应引至室外,其排出口应高出屋脊2m以上,与门窗的距离不应小于3.5m,应有防雨设施,并确保不周围环境造成影响。
6 直燃机房的燃气计量装置宜单机配置,宜集中布置通风良好的煤气表间内。
6.5.10 溴化锂吸收式制冷机房宜设贮液器,其容积应按贮存制冷系统中的全部溴化锂溶液量计算。安装时,贮液器的液位不高于设备放液口4~4.5m。采用铬酸盐作缓蚀剂的溴化锂溶液不应直接排入下水道。
6.5.11 溴化锂吸收式机组的冷却水、补充水的水质要求应符合6.6节的有关规定。
6.6 冷却水系统
6.6.1 水冷式冷水机组和整体式空调器的冷却水必须循环使用,冷却水的热量宜回收利用。
6.6.2 空调用冷水机组和水冷整体式空调器的冷却水水温宜按下列要求确定:
1 冷水机组的冷却水进口温度不宜高于33℃;
2 冷却水进口最低温度应按冷水机组的要求确定,电动压缩式冷水机组不宜低于15.5℃,溴化锂吸收式冷水机组不宜低于24℃;冷却水系统,尤其是全年运行的冷却水系统,宜采取保证冷却水供水温度的措施,控制要求见11.5.8;
3 冷却水进出口温差应按冷水机组的要求确定,电动压缩式冷水机组宜取5℃,溴化锂吸收式冷水机组宜为5~7℃。
6.6.3 冷却水泵的选用和设置应符合下列要求:
1 集中设置的冷水机组的冷却水泵的流量和台数应与冷水机组相对应。
2 冷却水泵的扬程应为以下各项的总和:
1)冷却塔集水盘水位至布水器的高差(设置冷却水箱时为水箱水位至冷却塔布水器的高差);
2)冷却塔布水管处所需自由水头,由生产厂技术资料提供,缺乏资料时可参考表6.6.3;

3)冷凝器等换热设备阻力,由生产厂技术资料提供;
4)吸入管道和压出管道阻力(包括控制阀、除污器等局部阻力);
5)附加以上各项总和的5%~10%。
3 冷却水泵的选型和承压等,与5.9.4条规定的空调水循环泵的设计要求相同。
6.6.4 采用分散设置的水冷整体式空调器或小型户式机组,可以合用冷却水系统,当开式冷却塔不能满足冷凝器水质要求时,可设置中间换热器或采用闭式冷却塔,并应按以下原则设计:
1 闭式冷却水系统应设置定压膨胀装置;
2 总循环水量可根据系统规模和使用情况乘以1~0.75的同时使用系数;
3 冷却水泵和中间换热器台数不宜少于2台;
4 中间换热器宜采用板式换热器。
6.6.5 冷水机组和冷却水泵之间的位置和连接应符合下列要求:
1 冷却水泵应自灌吸水,冷却塔集水盘或冷却水箱最低水位与冷却水泵吸水口的高差应大于管道、管件(包括过滤器)、设备的阻力;
2 冷却水泵宜设置在冷水机组冷凝器的进水口侧(水泵压入式);当冷却水泵设置在冷水机组冷凝器的进水口侧,使冷水机组冷凝器进水口侧承受的压力大于所选冷水机组冷凝器的承压能力,但冷却水系统的静水压力不超过冷凝器的允许工作压力,且管件、管路等能够承受系统压力时,冷却水泵可设置在冷凝器的出水口侧(水泵抽吸式);
3 2台和2台以上冷水机组和冷却水泵之间的连接要求同空调冷水泵,见本措施第5.7.4条3、4款。
6.6.6 严寒和寒冷地区冬季运行的制冷系统,以及使用多台冷却塔的大型冷却水系统,可设置冷却水集水箱;集水箱或冷却塔集水底盘应符合下列设计要求:
1 间歇运行系统冷却塔底盘或集水箱的有效存水容积应大于以下两项水量之和:
1)湿润冷却塔填料等部件所需水量,由冷却塔生产厂提供,或按冷却塔的小时循环水量进行估算,逆流塔为循环水量的1.2%,横流塔为1.5%;
2)停泵时靠重力流入的管道水容量。
注:停泵时靠重力流入的管道水容量,不设集水箱时,为冷却上部进水水平管的容量;设集水箱时,为冷却塔上部进水水平管的容量和下部底盘至水箱的水管容量之和。设集水箱且冬季不需防冻时,如管道水容量过大,可采取停泵时使管内存水的措施,以减少冷却水箱容积。
2 成品冷却塔底盘容积不符合上述要求时,应向生产厂提出加大底盘容积。
6.6.7 冷却水箱宜按图6.6.7所示设计,并应符合下列要求:

1 进水管采用浮球阀时,不宜少于两个,且进水标高应一致;
2 冷却水泵吸水口应设喇叭口;喇叭口下边缘距池底的净距,不应小于0.8倍吸水管管径,且不应小于0.1m;喇叭口边缘与水箱壁的净距不宜小于1.5倍吸水管管径;
3 水池最低水位高于吸水管喇叭口不宜小于0.5m;
4 应采取以下防止冷却水落入水箱产生大量气泡和避免水泵吸入空气的措施:
- 冷却水进水管应插入水箱下部最低水位线以下;
2)宜尽量增大冷却水进水管和冷却水泵吸水口之间距离;
3)冷却水进水管和冷却水泵吸水口之间宜设置挡水板,挡水板上边缘宜调出最低水位线0.5m以上,挡水板下边缘不应低于吸水喇叭口下边缘。
6.6.8 冷却塔的选用和设置,应符合下列要求:
1 冷却塔的出口水温、进出口水温差和循环水量,在夏季空气调节室外计算湿球温度条件下,应满足冷水机组的要求;当工程实际参数与冷却塔名义工况不同时,应对其名义工况下的冷却水量时行修正。
2 对进口水压有要求的冷却塔的台数,宜与冷却水泵台数相对应;横流式冷却塔,可合用一组冷却塔。
3 冷却塔的设置位置应通风良好;当冷却塔设在地下或用围墙、顶板等遮挡时,宜采用能将高温气流送至远离冷却塔进风处的塔型,并应配合生产厂进行冷却塔气流组织计算,避免热空气回流、确保足够的进风面积。
4 冷却塔应远离厨房排风等高温或有害气体,并应避免飘水对周围环境影响。
5 选用的冷却塔噪声应符合第9章的规定。
6 冷却塔的噪声对环境的影响,应符合国家现行《声环境质量标准》GB3096规定的城市各类区域或环境噪声标准值的要求。冷却塔的空间衰减,可按距离每增大1倍噪声值衰减5dB计算。多台冷却塔声源的合成声压级,应按对数进行计算。
7 经合理确定冷却塔位置后,设计和选用的低噪声冷却塔仍不能满足要求时,可采取以下消声、隔声措施:
1)采用变频调速风机满足夜间环境的低噪声要求;
2)改变水池结构型式或水面材料降低落水噪声;
3)在冷却塔的进、排风口外设消声装置降低风机和落水噪声;
4)设置隔声屏障等。
8 冷却塔应采用阻燃型材料制作,并应符合防水要求。
6.6.9 当多台开式冷却塔采用共用集管并联运行时,其接管应符合下列要求:
1 不设集水箱时,为避免在运行过程中各冷却塔出现超量补水或溢水现象,应采取下列措施:
1)应使各台冷却塔和水泵之间管段的压力损失大致相同,共用集管不宜变径;
2)各冷却塔集水盘之间应设置连通管,或在各冷却塔底部设置公用集水盘(槽);
3)冷却塔连接的连通管管口内底宜与冷却塔集水盘底相平,管径不应小于单台冷却塔出水管管径,当连接的冷却塔台数超过4台时,总连通管管径宜适当放大;
4)当无集水箱或公用集水盘(槽),冷却塔的出水管上应设置与对应冷却水泵连锁开闭的电动阀。
2 冷却塔进水管上,进水口有余压要求的冷却塔应设置电动阀,进水口无余压要求的横流塔等宜设置电动阀,电动阀应与对应的冷却水泵联锁。
6.6.10 冷却水系统应采取下列防冻、保温、隔热措施:
1 有冻结危险的地区,冬季不使用的冷却水系统,应设置将冷却塔集水盘及设于屋面的补水管、冷却水供回水管内水泄空的装置。
2 有冻结危险的地区,冬季运行的冷却水系统,不宜在室外补水。
3 有冻结危险的地区。冬季运行的冷却塔应采用以下防冻、保温措施:
1)宜单独设置,且应采用防冻型冷却塔;
2)设在屋面及不采暖房间的补水管、冷却水供回水管应保温并做伴热,存水的冷却塔底盘也应设置伴热设施。
4 设于室外阳面的冷却水管可考虑受太阳照射产生温升的管道长度等因素做隔热处理;
冬季不使用的冷却水系统,设于室外背阴面或室内的冷却水管可不做隔热层。
6.6.11 冷却水管路和流速宜按表6.6.11确定。

6.6.12 冷却水补水管设置应符合下列规定:
1 设置集水箱的冷却水系统,宜在冷却水箱处补水、泄水、溢水;不设集水箱的冷却水系统,应在冷却塔处补水、泄水、溢水;
2 应设置自动补水水管和手动补水管,并应符合下列要求:
1)自动补水管应能自动控制集水箱或冷却塔底盘最低水位;
2)自动补水管管径应按补水量确定,管中流速可参考表6.6.12取值;
3)手动补水管应设置在集水箱或冷却塔底盘最高水位以上,集水箱的手动补水管管径宜比自动补水管管径大2号。

6.6.13 开式冷却水系统补水量占系统循环水量的百分数,可如下计算确定:
1 蒸发损失,夏季可近似按每1℃水温降为0.16%估算;
2 漂溢损失,宜按生产厂提供数据确定,无资料时可取0.2%~0.3%;
3 排污、漏水损失、宜根据补水水质、冷却水浓缩倍数要求,飘逸损失量等经计算确定,估算时可取0.3%;
4 在冷却水湿降为5℃时,其补水量可近似取系统循环水量的1.5%。
6.6.14 冷却水的水质可参考表6.6.14,且应符合有关产品对水质的要求,应按下列要求设计:

1 应采取稳定冷却水系统水质的有效水处理措施;
2 水泵或冷水机组的入口管道上应设置过滤器或除污器;
3 冷却水补水可采用市政自来水,当中水水质和水量能满足要求时,也可以采用中水。
6.6.15 对冬季存在较大供冷需求的建筑物内区等场所,当利用新风做冷源不能满足供冷要求,采用分区两管制或四管制水系统冬季供冷时,宜利用冷却塔提供空调冷水,并应按下列要求进行设计:
1 寒冷和严寒地区应采取防冻措施,见6.6.10条;
2 应综合以下因素,确定冷却塔供冷系统的各项参数和设备规格:
1)末端盘管的供冷能力,应在所能获得的空调冷水的最高计算供水温度和供回水温差条件下,满足冬季冷负荷需求;宜尽可能提高计算供水温度,延长利用冷却塔供冷时间;
2)应根据冷负荷需求、空调冷水计算温度、冷却塔在冬季室外气象参数下的冷却能力(由生产厂提供或参考有关资料)、换热器的换热温差,计算确定冷却塔的最高计算供冷水温和温差及冬季供冷冷却塔的台数;
3)开式冷却塔应设置板式换热器,换热温差可取1~2℃;闭式冷却塔可直接供水;
4)冬季供冷的空调冷水循环泵、板式换热器、冷源水(冷却水)循环泵等设备的规格、台数,应与冬季供冷工况相匹配。
6.7 换热器的选择与设置
6.7.1 换热器应用于分隔或混合不同种类或不同压力、温度流体并实现流体间的热交换。换热器对经过的流体产生阻力损失、温差损失,并需要安装及维护空间,所以应结合考虑解决相关问题的其它方法以综合判断设置换热器的合理性。
6.7.2 利用外部能源中心提供的能源时,应了解外部能源中心系统的性能特点、运行管理模式及安全可靠性要求等,必要时设置换热器。
6.7.3 换热器容量应根据计算负荷确定,台数及单台容量的设置应满足建筑防冻的安全要求及负荷变化的正常需求。一般服务于同一区域的换热器不宜少于2台,当其中一台停止工作时,其余换热器的换热量满足采暖、空调系统负荷的70%。
6.7.4 服务于同一区域的换热器宜采用同一规格。当采用不同规格时,系统应采取必要的流体流量分配控制措施。
6.7.5 换热器两侧流体额定进出温度、阻力损失主要取决于空调系统的设计、能源中心系统的性能,系统设计时应考虑换热器这一因素的影响。
6.7.6 换热器应采用高效、紧凑、便于维护、使用寿命长的表面式的产品,空调冷水用换热器采用板式换热器。
6.8 换热站的工艺设计
6.8.1 换热站的规模和设计应遵循以下原则:
1 换热站的位置宜选在负荷中心区;
2 换热站的供热半径不宜大于500m;
3 换热站的供热规模不宜大于20万㎡(供热面积),单个供热系统的供热规模不宜大于10万㎡(供热面积);
4 换热站的站房可以是独立建筑,也可设置在锅炉房附属用房或其它建筑物内;既可设在地上也可设在地下,但应优先考虑设置在地上建筑物内;
5 当换热站的热源为蒸汽或水-水换热站的长度超过12m时,应设置两个外开的门,且门的间距应大于换热站长度的1/2;
6 换热站应考虑预留设备出入口;
7 换热站净空高度和平面布置,应能满足设备安装、检修、操作、更换的要求和管道安装的要求,净空高度一般不宜小于3m。
6.8.2 换热站热负荷的计算,应遵循以下的原则:
1 采暖、通风和空调系统的热负荷,宜采用经核实的建筑物设计热负荷;
2 当缺乏建筑物设计热负荷数据时,应按照《城市热力网设计规范》CJJ34-2002第3.1节的要求,并根据建筑物的围护结构的实际情况进行估算;
3 生活热水热负荷,应根据系统的卫生器具数量、设计热负荷应按卫生器具的秒流量计算;
4 换热站的总热负荷,应在各系统设计热负荷累计后根据用户的用热性质和要求乘以0.6~1.0的同时使用系数。
6.8.3 换热站工艺设计,应遵循下列原则:
1 工艺设计的总体要求:
1)工艺设计时应优先选用换热机组;
2)当采暖用户二次系统有不同的用热温度要求时,宜分别设置换热系统;当用热系统所需资用压头差别较大时,可考虑采用二次泵系统;
3)加于水-水换热站,当采暖系统一次回水温度高于60℃时,在合理经济的前提下,可考虑利用温度梯度对低温水系统进行预热,以充分利用一次管网输送的热能。
2 加热介质侧的设备设置要求:
1)根据用户要求装设热量计时装置;
2)对于加热水需要设增压泵或混水泵的水-水换热站,水泵应根据外网水力工况分析的结果来设置,以不影响其它用户的水力工况为原则;
3)当用户系统有2个或2个以上时,宜设置分集水器或分汽缸;
4)当加热介质为蒸汽时,站内主蒸汽管上应设自动切断阀和安全阀,每组换热器的蒸汽入口须设切断阀和调节装置;
5)加热介质调节装置和计量装置前应设过滤器;
6)当加热介质为蒸汽或高温水时,加热母管和分支阀门宜选用焊接阀门;
7)汽-水换热站应设置凝结水回收系统;
8)管壳式换热器上应设置安全阀。
3 被加热水侧设备设置要求:
1)当换热站单个供热系统有多个循环回路时,应设置集分水器,并在每个回水分支上装设流量调节装置或水力平衡装置;
2)循环水泵前回水母管上应设置除尘器,当站内条件不允许时,也可在循环水泵进口设置扩散式除污器,除污器前后应安装压力表及旁通阀;
3)循环水泵进出口侧母管之间应设置连通管,连通管上应安装止回阀,止回阀的水流方向是从泵进口至泵出口,以防止突然停泵时发生水锤现象;连通管的口径不小于母管截面积1/2;
4)对于闭式循环系统,循环水泵前回水母管上须设置安全阀,安全阀应设置在水流稳定的直管段上;
5)生活热水系统安全阀的设置,需符合《城市热力网设计规范》CJJ34-2002第10.3.11条第4项的要求,同时对日用热水量大于10m3的热水供应系统应设置压力膨胀罐。
4 换热站水处理系统要求:
1)采暖、空调系统被加热水、补给水一般应进行软化处理,宜选用离子交换软化水设备;对于原水水质较好、供热系统较小、用热设备对水质要求不高的系统,也可采用化学水处理;与热源间接连接的二次水供暖系统的水质应达到相关的水质标准;
2)非循环使用的热水加热系统,当直接使用的原水硬度很高,容易在换热设备和管道中严重结垢时,可采用电磁水处理或加药处理,适当降低原水硬度;
3)当采暖设备或用户对循环水的含氧量有较高要求时,补给水系统应设置除氧设备,可采用解析除氧或还原除氧、真空除氧等方式。
6.8.4 换热站的主要设备,应根据下列原则设置与选择:
1 换热器选型:
1)应根据热源介质的类别、设计参数和用热性质合理选择换热器的类型;
2)换热器单台出力和配置台数的组合,应能满足换热站总设计供热负荷及其调节的要求;
3)汽水换热站宜选用换热后凝结水出水温度在80℃以下的换热设备,当选用的汽水换热器凝结水温度达不到这一要求时,应设凝水换热器,使二次水系统的回水首先通过凝水换热器对凝结水冷却,然后再进入蒸汽换热器;
4)换热器选型时应优先选用结构紧凑、传热效率高的设备;
5)换热器水侧阻力应在设备选型计算时加以控制,一般不宜大于7m;
6)换热器的承压和耐温能力应能满足系统设计要求;
7)换热器的材质应能满足换热介质的耐腐蚀要求。
2 循环水泵的选型:
1)每个独立的采暖系统、循环水泵均应设置一台备用泵。循环水泵的并联使用台数应能满足系统运行调节的需要,并联使用台数一般不应超过3台,且应选用型号相同的水泵。
2)循环水泵的总流量应大于设计流量的5%~10%。
3)循环水泵的动力消耗应予以控制,其耗电输热比EHR值应符合(6.8.4-1)、(6.8.4-2)式的要求:

式中 EHR——设计条件下输送单位热量的耗电量,无因次;
N——水泵在设计工况点的轴功率(kW);
Q——建筑供热负荷(kW);
η——考虑电机和传动部分的效率(%),按表6.8.4选取;
△t——设计供回水温度差(℃),按照设计要求选取;
A——与热负荷有关的计算系数,按表6.8.4选取;
∑L——室外管网主干线(包括供回水管)总长度(m);
α——与∑L有关的计算系数,按如下选取或计算;
当∑L≤400m时,α=0.0115;
当400m<∑L<1000m时,α=0.003833+3.067∑L;
当∑L>1000m,α=0.0069。

4)循环水泵宜选用变频调速控制。
5)当循环水泵采用变频调速运行时,应选择一用一备的设计模式。
6)循环水泵的承压和耐温能力应能满足系统设计要求。
6.8.5 换热站自控系统设计要点
1 对于由城市热力网和区域锅炉房提供热源的水-水换热站应根据热力网总调度要求在一次回水总管上设置流量控制或压差控制装置。采暖系统加热介质分支上应装设带气候补偿器的调节装置,以便根据室外温度的变化调节采暖供水温度。
2 汽-水换热站主蒸汽管上应设置自动切断阀,并根据一定的设计约束条件设定连锁控制。
3 汽-水换热站每台换热器蒸汽入口处应设置电动调节阀;对于立式管壳式换热器,也可在凝结水出口处设置电动调节阀,通过被加热介质的出水温度控制电动调节阀的开度。
4 应根据用户的要求针对不同的系统采用不同的控制方式。
1)住宅采暖采用分户计量的供热系统、地板采暖系统、空调系统的循环水泵宜采用变频调速控制。水泵频率一般由被加热水供回水压差控制,取压点优先选在末端建筑的入口,条件不允许时可用换热站被加热水总供回水管压差来控制。
2)公共建筑采暖系统循环水泵的频率应按照用户的使用要求进行分时控制。
3)空调系统、地板采暖系统,生活热水系统、游泳池加热系统等设计时应在加热介质上设置温度调节装置,并通过被加热介质的出水温度控制温度调节装置的开度。
4)生活热水系统和开式游泳池加热系统的循环水泵应根据设定的回水温度的下限和上限值进行水泵的启停控制。
5 供热系统采用补水泵变频定压补水时补水泵的频率由循环水系统上的电接点压力表控制。
6 供热系统二次水补水泵的启停应与软化水箱的液位进行联锁控制。
7 凝结水泵的启停应由凝结水箱的液位进行控制。
8 换热站监测。
6.8.6 换热站安全保护、环保设计要点
1 换热站值班室位置应邻近站出入口,以便于值班人员在紧急情况时逃生。
2 对于常年有人值班的换热站应设置通风装置。通风次数可参照制冷站的具体要求执行。
3 对于设置于住宅或办公用房、公建附近的换热站,在设计时应考虑设置如下减振降噪装置:
1)水泵基础上应设置减振器,水泵进出水管道上应设置软接头;
2)蒸汽管道和容易引起振动的热水管道应设置带阻尼装置的支吊架;
3)蒸汽管道和蒸汽管道上的调节阀应采用有隔声效果的保温材料;
4)换热站的墙壁和顶棚应安装吸声板;
5)换热站的门窗应采用隔声门窗;
6)换热站的通风口应设置消声装置。
4 换热站蒸汽系统的安全阀应采用全启式弹簧安全阀;水路系统的安全阀应采用微启式弹簧安全阀。
5 换热站应设置如下报警装置:
1)加热介质超温超压报警;
2)被加热介质超温超压报警;
3)水泵故障报警;
4)水箱超低、超高水位报警;
5)换热站环境温度超高报警。
6.9 采暖空调循环水系统的补水、定压、膨胀
6.9.1 换热器产生的被加热水、采暖热水、空调冷热水的循环水系统的小时泄漏量、宜按系统水容量的1%计算。系统水容量应经计算确定,供冷和采用空调器供热的空调水系统可按表6.9.1估算,室外管线较长时应取较大值。

6.9.2 循环水系统的补水点,宜设在循环水泵的吸入侧母管上;当补水压力低于补水点压力时,应设置补水泵。
注:当仅夏天使用的空调冷水等不设置软化设备的系统,如市政自来水水压大于系统的静水压力时,则可用自来水直接补水,不设补水泵。
6.9.3 补水泵应按下列要求选择和设定:
1 补水泵扬程应保证补水压力比系统补水点压力高30~50Pa;
2 补水泵总小时流量宜为系统水容量的5%;系统较大时宜设置2台泵,平时使用1台,初期上水或事故补水时2台水泵同时运行;
注:系统较大时补水泵流量过大,全使膨胀水箱(或膨胀罐)调节容积过大;当采用变频泵时,水泵长期在低转速下运行效率较低。因此,建议设置2台补水泵。
6.9.4 闭式循环水系统的定压和膨胀方式,应根据建筑条件,经技术经济比较后确定,并宜符合以下原则:
1 条件允许时,尤其是当系统静水压力接近冷热源设备所能承受的工作压力时,宜采用高位膨胀水箱定压;
2 当设置高位膨胀水箱有困难时,可设置补水泵和气压罐定压;
3 当采用对系统含氧量要求严格的散热设备时,宜采用能容纳膨胀水量的下列闭式定压方式或其他除氧方式:
1)采用高位常压密闭膨胀水箱定压;
2)采用隔膜式气压罐定压,且宜根据不同水温时气压罐内的压力变化确定补水泵的启泵和停泵压力,见本措施第6.9.7条第2款。
注:由于以下原因,会使空气不断进入系统,使循环水中含氧量升高,腐蚀钢制散热器等:
1 高位开式膨胀水箱的水面接触大气。
2 采用补气式膨胀罐,空气与水直接接触。
3 采用膨胀罐或变频泵,将膨胀水量回收到接触大气的开式补水箱时,水面接触大气,且又不断地向系统补水。
因此,为减少系统含氧量,宜采用能容纳膨胀水量的密闭式定压方式。常压密闭水箱示意见图6.9.4,详见国标图集98R4.1-1或产品样本。

6.9.5 闭式循环水系统的定压和膨胀应按下列原则设计:
1 定压点宜设在循环水泵的吸入侧,定压点最低压力应符合下列要求:
1)循环水温度60℃≤t≤95℃的水系统,可取系统最高点的压力高于大气压力10kPa;
2)循环水温度t≤60℃的水系统,可取系统最高点的压力高于大气压力5kPa。
2 系统的膨胀水量应能够回收。
3 膨胀管上不得设阀门,膨胀管的公称直径可参照表6.9.5确定。

6.9.6 设置高位膨胀水箱的定夺补水系统如图6.9.6所示,且应符合下列要求:
1 膨胀水箱最低水位应满足6.9.5条的要求。
2 膨胀水箱容积应按下式计算:

式中 V——水箱的实际有效容积(L);
Vmin——水箱的最小有效容积(L);
Vt——水箱的调节容积(L),不应小于3min平时运行的补水泵流量,且应保证水箱调节水位高差不小于200mm;
Vp——系统最大膨胀水量(L),按公式(6.9.6-2)确定。
3 循环水系统的膨胀水量Vp应按公式(6.9.6-2)确定;常用系统单位水容量的最大膨胀量可参考表6.9.6-1估算;两管制空调系统热水和冷水使用膨胀水箱时,应取其较大值。

式中 P1、P2——水受热膨胀前、后的密度(kg/m3),可按表6.9.6-2确定;
Vc——系统水容量(m3)。


6.9.7 设置气压罐定压但不容纳膨胀水量的补水系统,可参照图6.9.7设置,且应符合下列要求:
1 气压罐容积应按下式确定:

式中 V——气压罐实际总容积(L);
Vmin——气压罐最小容积(L);
Vt——调节容积(L),应不小于3min平时运行的补水泵流量(当采用变频泵时,上述补水泵流量可按额定转速时补水泵流量的1/3~1/4确定);
β——容积附加系数,隔膜式气压罐取1.05;
αs——压力比, P1和P2为补水泵启动压力和停泵压力(表压kPa),应综合考虑气压罐容积和系统的最高运行工作压力的因素取值,宜取0.65~0.85.
2 气压罐工作压力值(表压kPa)应如下确定:
1)安全阀开启压力P4,不得使系统内管网和设备承受压力超过其允许工作压力;
2)膨胀水量开始流回补水箱时电磁阀的开启压力P3,宜取P3=0.9P4;
3)补水泵启动压力P1(表压kPa),应满足6.9.5条定压点的最低压力要求,并增加10kPa的裕量;
4)补水泵停泵压力P2,也为膨胀水量停止流回补水箱时电磁阀的关闭压力,宜取P2=0.9P3;
5)补水泵启动压力P1和停泵压力P2的设计压力比α1宜满足第1款的规定。
注:计算例题见附录C。

6.9.8 设置隔膜式气压罐定压且容纳膨胀水量的补水系统,应符合下列要求:
1 容纳膨胀水量的气压罐容积应如下确定:

式中 Vz——气压罐实际总容积(L);
Vzmin——气压罐最小总容积(L);
Vxmin——气压罐应吸纳的最小容积(L),同公式(6.9.6-1)中Vmin;
Po——无水时气压罐的起始充气压力(表压kPa);
P2max——气压罐正常运行的最高压力(表压kPa),即最高水温时的停泵压力。
2 气压罐工作压力值应如下确定:
1)充气压力Po,应满足6.9.5条定压点的最低压力要求;
2)安全阀开启压力P3,不得使系统内管网和设备承受压力超过其允许工作压力;
3)正常运行时最高压力P2max,宜取P2max=0.9P3;
4)不同温度时补水泵的开启压力P1和停泵压力P2,可参考附录C确定。
6.9.9 补水的水质和水处理,应符合下列要求:
1 热水锅炉的补水水质和水处理方法应符合8.6节的有关要求。
2 换热器供暖水系统被加热循环水补给水的水质及水处理设施的选择就根据用热设备和用户的使用要求,并按下列原则确定:
1)水质标准见本措施的第2.10.1条;
2)补给水应进行软化处理;
3)当用热设备或对循环水的含氧量要求严格时,补给水应设置除氧设施;
4)循环水泵和补水泵入口就能设置过滤器。
3 溴化锂吸收式冷(温)水机组的补水水质应符合表6.9.9的规定。
4 仅作为夏季供冷用的空调水系统,补水可不进行软化处理。
5 化学软化水设备的选择设置可参考8.6.3条4款的有关要求。

6.9.10 补水箱或软水箱的容积应按下列原则确定:
1 水源或软水能够连续供给系统补水量时,水箱补水贮水容积Vb可取30~60min的补水泵流量,系统较小时取较大值;
2 当膨胀水量回收到补水箱时,水箱的上部应留有相当于系统最大膨胀量Vp的泄压排水容积,见图6.9.7。
热泵系统
7.1 空气源热泵系统
7.1.1 空气源热泵机组的应用,应遵循下列原则:
1 主要适用于夏热冬冷地区及无集中供热与燃气供应的寒冷地区的中、小型建筑;
2 寒冷地区不宜采用空气源热泵机组,当必须采用时,其冬季运行性能系数COP应大于1.8;
注:冬季运行性能系数指冬季室外空气调节计算温度时的机组供热量(W)与机组输入功率(W)之比。
3 空气源热泵机组供热时的允许最低室外温度, 应与冬季空调室外计算干球温度相适应; 室外计算干球温度低于-10℃的地区, 应采用低温空气源热泵机组;
4 对于夏热冬暖及夏热冬冷地区, 机组的制冷和制热容量, 应根据冬季热负荷选型, 不足冷量可由性能系数 (COP〕较高的水冷却冷水机组提供。
7.1.2 热回收式热泵机组的应用, 宜按下列原则确定:
1 适用于需要保持恒温恒湿的场所, 如美术馆、博物馆、计算机房、手术室等;
2 适用于水系统为四管制的建筑, 如高级办公楼、高档宾馆等;
3 适用于夏热冬暖地区及冬、夏季均需供应生活热水的场所;
4 在夏热冬冷及寒冷地区, 为生活热水提供热源时, 应进行技术经济比较。
7.1.3 空气源热泵机组的选择, 应遵守下列原则:
1 在额定制冷工况和规定条件下, 性能系数 (COP〕不应低于表6.1.11-1的规定值; 有条件时,应优先选择采用表6.1.11-2中的节能型产品(能效等级为2级或1级)。
2 热泵机组的单台容量及台数的选择, 应能适应空气调节负荷全年变化规律, 满足季节及部分负荷要求。当空气调节负荷大于528kW时不宜少于2台。
3 空气源热泵机组的选型, 应符合下列要求:
1)机组名义工况制冷、制热性能系数应高于国家现行标准;
2)具有先进可靠的融霜控制, 融霜所需时间总和不应超过运行周期时间的20%;
3)在冬季寒冷、潮湿的地区, 需连续运行或对室内温度稳定性有要求的空气调节系统, 应按当地平衡点温度确定辅助加热装置的容量;
4)对于夏热冬冷、夏热冬暖、温和地区, 可采用复合式冷却的热泵机组;
5)对于有同时供冷、供热要求场合, 可选用热回收热泵机组。
注:复合式冷却机组设有风冷冷疑器和水冷却将冷凝器,夏季一般使用水冷却冷凝器,冬季时则切换至风冷冷凝器。
4 确定空气源热泵机组冬季的制热量时, 应根据实际室外空气调节计算温度和融霜情况, 按下式进行修正:
Q=q×K1×K2 (7.1.3)
式中 Q——机组制热量(kW);
q——产品样本中的瞬时制热量(标准工况: 室外空气干球温度7℃、湿球温度6℃)(kW);
K1——使用地区室外空气调节计算干球温度的修正系数, 按产品样本选取;
K2——机组融霜修正系数, 每小时融霜一次取0.9, 两次取0.8。
5 采用热回收式热泵机组时应注意以下事项:
1)热回收器热水供水温度一般为45~60℃;
2)当热水使用与热回收非同时运行, 或热回收能力小于小时最大耗热水量时, 应设置热水储水箱;
3)当热回收直接提供生活热水时, 热回收器的所有连接水管应采用不锈钢管或铜管。
7.1.4 空气源制冷(热泵)机组室外机的设置,应符合下列要求:
1 布置热泵机组时, 必须充分考虑周围环境对机组进风与排风的影响, 确保进风流畅, 排风不受阻碍, 并应防止进排风气流产生短路;
2 机组进风口处的进气速度宜控制在1.5~2.0m/s; 排风口的排气速度不宜小于7m/s; 进、排风口之间的距离应尽可能大;
3 应优先考虑选用噪声低、振动小的机组; 应注意防噪声对周围环境的影响, 必要时, 应采取降低噪声措施;
4 机组之间及机组与周围建筑物之间净距应满足设备厂商要求, 如无数据时可参照以下要求: 机组进风侧与建筑物墙面间≥1.5m, 机组控制柜面与建筑物墙面间≥1.2m, 机组顶部净空≥15m, 两台机组之间≥2m, 两台机组进风侧之间≥3.0m;
5 多台机组分前后布置时. 应避免位于主导风上游的机组排出的冷/热气流对下游机组吸气的影响;
6 机组的排风出口前方, 不应有任何受限, 以确保射流能充分扩展;
7 安装机组的支架应稳固, 不存在安全隐患; 机组的设置, 应满足能方便地对室外机的换热器进行清扫的要求;
8 热泵机组基础高度一般应大于300mm, 布置在可能有积雪的地方时, 基础高度需加高;
9 当受条件限制, 机组必须装置在建筑物内时, 宜采用下列方式:
1)将设备层在高度方向分隔成上、下两层, 机组布置在下层, 机组的排风通过风管排至上层, 在上、下两层的外墙上设置进、排风百叶窗; 此外, 应注意避免进、排风短路;
2)将机组布置在设备层内,该层四周的外墙上设有进风百叶窗,而机组的排风通过风管或加装的轴流风机排到室外。
7.2 地下水地源热泵系统
7.2.1 地下水地源热泵系统的应用,应符合下列要求:
1 在进行地下水地源热泵系统方案设计前,应了解当地政策、法规是否允许开采地下水。地下水的开采、利用应符合当地地下水开发利用保护规划。
2 在当地政策、法规许可并符合规划要求的条件下,应进行工程场地状况调查,通过调查获取工程场地的水文地质资料。
3 向当地水资源管理部门提出申请,按相关管理规定办理取水许可证。
4 必须取得下列水文地质勘察资料,作为进行地下水换热系统设计的依据:
1)地下水的类型、水质、水温及其分布;
2)含水层岩性、分布、埋深及厚度;
3)含水层的富水性和渗透性;
4)地下水径流方向、速度及水力坡度;
5)地下水水质;
6)地下水水位动态变化。
5 地下水换热系统勘察应进行下列水文地质试验:
1)抽水和回灌试验;
2)测量出水温度;
3)取分层并化验分析分层水质;
4)水流方向试验;
5)渗透系数计算。
6 水源温度冬季不宜低于10℃,夏季不宜高于30℃。
7 地下水换热系统地下水的持续出水量,应满足地源热泵系统最大吸热量或释热量的要求。
8 地下水换热系统,应采用闭式循环,宜奕流量调节。同时,必须采取可靠的回灌措施,确保置换冷/热后的地下水全部回灌到同一含水层,并不得对地下水资源造成浪费及污染。
9 系统投入运行后,应对抽水量,回灌量及其水质进行定期监测。
10 热源井的设计与施工,应由具有水文地质勘察设计资质及相应施工资质的单位承担。
7.2.2 地下水地源热泵系统的水处理方式,可根据下列原则确定:
1 可直接进入热泵机组的地下水地源热泵用地下水的水质标准,宜符合表7.2.2的规定;

2 应根据不同的水质,采取相应的下列水处理技术措施:
1)为避免机组和管网遭受磨损,可在水系统中加装旋流除砂器;如果工程场地面积较大,也可修建沉淀池除砂;
2)当水中含铁量大于0.3mg/L时,应在水系统中安装除铁处理设备;
3)通常在地下水循环管路中安装综合电子水处理仪,除去地下水的Ca2+、Mg2+离子,同时,还可利用综合电子水处理仪杀菌灭藻;
4)对浑浊度大的水源,应安装净水器或过滤器对其进行有效过滤;
5)对于地下水矿化度较高,对金属的腐蚀性较强,采用水处理的办法费用较高时,宜采用板换热器间接换热的方式。当地下水的矿化度不大于350mg/L时,水源系统可以不加换热器,采用直接连接。当地下水矿化度为350~500mg/L时,可以安装不锈钢板式换热器。当地下水矿化度>500mg/L时, 应安装抗腐蚀性较强的钛合金板式换热器。
7.2.3 地下水地源热泵系统的设计, 应遵守下列原则:
1 地下水系统宜采用变流量设计, 根据空调负荷的变化, 动态调节地下水用水量。
2 采用集中设置的机组时, 应根据水源水质条件确定采用直接或间接式系统; 采用分散小型单元式机组时, 应设板式换热器间接换热。
3 当水温不能满足水源热泵机组使用要求时, 可通过混水或设置中间换热器进行调节. 满足机组使用要求。
4 地下水地源热泵机组应具备能量自动调节功能, 蒸发器出口应设防冻保护装置, 机组本身各环节的控制和安全保护装应设置齐全。
5 通过空调水路系统进行冷、热转换的地下水地源热泵系统应在水系统管路上设置冬、夏季节的功能转换阀门, 转换阔门应性能可靠, 严密不漏. 并应作出明显标识。
6 地下水直接进人热泵机组时, 应在水系统管路上预留机组清洗用旁通阀。地下水遇过板式换热器间接与热泵机组换热时, 在板式换热器与热泵机组循环回路上应设置开式膨胀水箱或闭式稳压补水装置。
7 地下水地源热泵系统在供冷、供热的同时, 宜利用热泵机组的热回收功能提供〔或预热)生活热水, 不足部分由其他方式补充。生活热水的制备可以采用制冷剂环路加热或水路加热的方式。
8 建筑物内系统循环水泵的流量, 应按热泵机组蒸发器和冷凝器额定流的较大值确定, 水泵扬程应取管路、管件、末端设备、热泵机组蒸发器或冷凝器〔选取较大值) 的阻力之和。
9 采用间接式系统时, 板式换热器与热泵机组侧循环水泵的流量G〔m3/h〕可按下式确定:

式中 Q——板式热交换器需要提供的冷(热)量(kW);
△t——地下水的设计温升或温降(℃)。
水泵扬程应取管路、管件、板式换热器、热泵机组的蒸发器或冷凝器(选取较大值)的阻力之和。
10 板式换热器和热泵机组的热交换温差应由机组运行参数和经济比较确定,一般可取2℃对数温差。
7.3 地表水地源热泵系统
7.3.1 地表水地源热泵系统的应用,应符合下列规定:
1 应符合国家和当地政策、法规及当地地表水开发利用保护规划要求;
2 地表水换热系统设计前,应对工程场区地表水源的水文状况进行勘察,并应对地表水地源热泵系统运行对水环境的影响进行评估;
3 地表水换热系统设计方案应根据水面用途, 地表水深度、面积, 地表水水质、水位、水温情况综合确定;
4 地表水换热盘管的换热量, 应满足设计工况下系统的最大吸热量或释热量的需要。
7.3.2 地表水换热盘管的换热量,应满足设计工况下系统的最大吸热量或释热量的需要。
1 对地表水体的温度影响, 应限制在周平均最大温升≤1℃, 周平均最大温降≤2℃范围内;
2 无进流和出流的地表水源不宜采用水源热泵系统; 对于江河水源热泵系统, 设计时应考虑江河的丰水、枯水季节的水位差, 并进行综合经济性比较;
3 对于开式系统, 应注意各部分设备安装标高, 避免过高的水泵提升能耗或管道放空; 制冷机房宜设置于地下低于水面的位置. 以避免水泵提升耗功;无条件时, 可在低于水面的位置设换热器, 制冷机与换热器之间闭式循环;
4 在冬季有冻结可能的地区,水源输送系统或地表水换热系统应有防冻措施;
5 在夏季空调设计工况下,系统的设计供回水温差应≥5℃,水泵的输送能效比(EER)应≤0.0241;水泵宜采用变频调节;
6 建筑物同时有空调冷负荷或生活热水需求时,宜选用具备热回收功能的水源热泵机组;
7 地表水换热盘管设置处及供、回水管进入地表水源处应设明显标志。
7.3.3 设计地表水源热泵系统时,应对水源的水文状况进行勘察,取得以下资料:
1 地表水水源性质、水面用途、深度、面积及其分布;
2 不同深度的地表水水温、水位动态变化;
3 水源的补给与排泄, 地表水流速和流量动态变化, 潮汐流向变化;
4 地表水水质及其动态变化;
5 季节性水位、水温动态变化;
6 地表水利用现状;
7 防洪设施的设置情况及对地表水取水的要求;
8 地表水取水和回水的适宜地点及路线。
7.3.4 当地表水水质较好或水体深度、温度等不适宜采用闭式地表水换热系统、并经环境影响评估符合要求时, 宜采用开式地表水地源热泵系统, 直接从地表水体抽水和向地表水体排水; 开式系统的设计, 应遵循以下规定:
1 开式地表水换热系统的取水口, 应选择水位较深、水质较好的位置, 同时应位于回水口的上游旦远离回水口, 避免取水与回水短路;取水方式可根据水体情况选用直接式、沉井式或船坞式等, 但取水口均应设置污物沉淀、过滤和保护装置, 取水口流速不宜大于1m/s;
2 开式地表水换热系统应根据水质条件和水质分析结果采取相应的过滤、灭藻、防腐蚀等可靠的水处理措施, 同时选用适应水质条件的材质制造的冷剂-水换热器或中间水-水换热器, 并选择合适的换热器污垢系数; 经过处理后的排放水不应污染水体;
3 开式地表水换热系统中间换热器宜选用板式换热器, 换热器地表水侧宜设反冲洗装置;
4 开式地表水换热系统中间换热器选用板式换热器时, 设计接近温度 (进换热器的地表水温度与出换热器的 热泵侧循环水温度之差)不应大于2℃。中间换热器阻力宜为70~80kPa, 不应大于100kPa。
7.3.5 当地表水体环境保护要求较高或水质复杂,且水体面积较大、水位较深时,宜采用闭式地表水地源热泵系统,通过沉于地表水体的换热器同水体进行热量交换;闭式系统的设计,应遵循以下规定:
1 闭式地捌换热系统由若干并联的地表水换热器单元(组〕与连接各地表水换热单元(组〕的环路分集水管、环路集管、供回水干管及循环水泵等组成。闭式地表水换热器单元的换热特性与规格应通过计算或试验确定。
2 闭式地表水换热系统宜采用同程式, 每个环路集管内的换热环路数宜相同, 且宜并联连接; 环路集管布置与水体形状相适应, 供、回水管应分开布置。
3 闭式地表水换热器选择计算时,水温差宜取下列数值:
1)换热器出水温度与水体的温差: 夏季工况5~l0℃;冬季工况3~5℃;
2)换热器进水温度: 夏季工况30~32℃; 冬季工况6~8℃。
4 当地表水换热系统有低于0℃的可能性时, 应采取防冻措施。
5 闭式地表水换热器底部河(湖)水面的距离不应小于3m。换热器单元间应保持一定的距离,供回水集管间距离不宜小于2m。地表水换热器应有固定措施, 以克服浮力, 避 免飘移。
6 闭式地表水换热系统地表水换热器单元的阻力不应大于100kPa。环路集管比摩阻不大于100~150Pa/m,流速不宜大于1.5m/s。系统供回水管比摩阻不宜大于200Pa/m,流速不大于3.0m/s。
7 闭式地表水换热器水下管道应采用化学稳定性好、耐腐蚀、比摩阻小、强度高的非金属管材与管件。所选用的管材应符合相关国家标准或行业标准。地表水换热艇设置处水体的静压应在换热盘管的承压范围内。
7.4 海水源热泵系统
7.4.1 在进行海水源热泵系统方案设计前,应进行详细的技术经济对比分析,确定系统实施的可行性和经济性,分析时应考虑如下的因素:
1 建筑物距离海水源侧的距离、建筑物的性质及负荷特性,末端特性、海水源热泵系统拟供热(或供冷)区域的现状及远期发展规划;
2 工程所在地航运的情况,海水的水文地质条件,如海水温度的变化规律、水质、浪涌、潮汐及潮位等;
3 工程所在地,与系统设计有关的气象参数的变化规律。
7.4.2 工程所在地, 与系统设计有关的气象参数的变化规律。
1 海水的利用方式应根据海水温度的变化规律、热泵机组性能, 并综合考虑投资、运行费用、系统的预期寿命等因素确定; 在沿海区域一般不宜采用井水源热泵, 以防止海水侵蚀陆地、地层沉降及建筑物地基下沉等;
2 海水源热泵系统应通过技术经济分析, 确定是否设置冷热源调峰:设调峰冷热源时, 其年总供热、供冷量占系统总供热、供冷量的比例不宜大于40%;
3 应通过技术经济分析, 确定海水源热泵系统采用集中式、半集中式或分散式的系统形式; 集中式海水源热泵系统的热泵机组站房及半集中式和分散式系统的换热站宜靠近海水源侧;
4 在海水温度适宜的地区, 过渡季和建筑物的内区可考虑经与海水换热后的媒介水直接供冷;
5 海水源热泵系统取/排水管道施工时, 严禁破坏海底电缆及其他既有设施; 系统安装完成后,应在换热区域做出警示标志, 以防管线遭到破坏;
6 海水设计温度应根据近30年取水点区域的海水温度统计资料进行选取;
7 海水源热泵系统设计应进行全年动态负苘计算, 最小计算周期为1年;
8 海水取水/排水最大温差不宜超过7℃;
9 直接利用后的海水, 需排入海水后处理装置, 经过无害化处理、过滤处理, 控制使用后的海水温度指标和含氯浓度, 以免影响海洋的生态环境;
10 在有可能出现冻结的地区, 应采取可靠的防冻措施。
7.4.3 设计海水取水口时, 应注意以下几点:
1 开式系统中的海水取水口与排水口相隔一定距离, 且取水外网设置不应影响该区域的海洋景观或船只等的航线;
2 取水口应能抵抗大风和海水的潮汐引起的水流应力, 且距离海底高度宜大于2.5m处, 以避免引入海水时吸入其它海底杂物, 取水口的设置深度应根据海水水深温度特性进行优化后确定;
3 海水取水口的最大允许流速为2m/s;
4 在海水取水口处应设置过滤器, 以及杀菌、防生物附着装置。
7.4.4 海水源热泵机组的选择应满足:
1 热泵机组性能应符合现行国家标准《水源热泵机组》GB/T19409的相关规定, 且应能满足海水源热泵系统运行参数的要求;
2 保证设计最低进水温度下能正常运行,设计最低进水温度工况下机组供热工况的COP宜大于等于3.0;
3 热泵机组性能,应用供热季节性能系数(HSPF)和供冷季节能效比(SEER)来评价。
7.4.5 海水换热器的选用应注意以下几点:
1 换热器的设计应满足系统最大换热量的要求;
2 海水换热器的进出口温差应根据海水温度确定,冬季应避免水温过低出现结冰现象;
3 海水换热器应选用板式换热器,材质宜为钛,换热器应具备可拆卸性。
7.4.6 海消耗材质应具有耐海水腐蚀和抗污损能力,如潜水泵宜采用不锈钢材质,循环泵可采用牺牲阳极保护法。
7.4.7 对于海水输配管道及与海水接触的设备, 应考虑采取防止海洋生物附着的措施, 如采用海水电解杀菌祛藻、加氯祛藻、加药祛藻等方法。
靠近海边设置的热泵站房内的外表面接触大气的量备、管道及金属结构应采取适合海滨空气特征的防腐蚀措施。通常涂刷环氧类防腐材料, 如环氧富锌、防锈环氧云铁、环氧沥青等。
7.4.8 海水管道的设计应注意下列事项:
1 材质: 管径小于600mm时, 宜采用高密度聚乙烯塑料管; 大于600mm时,可采用混凝土管道或钢管,并应考虑防腐措施, 如采取内刷防腐、祛生物附着涂料和阴极保护相结合的防腐措施, 防止管道腐蚀、泄漏;
2 海水源热泵应考虑冬、夏季变温差运行, 防止冬季海水结冰、夏季海水赤潮。其管程的设计应按海水最大流量设计,并应根据投资及运行的经济性分析确定海水的经济流速。
7.4.9 在海水源热泵系统中的下列参数,应进行监测:
1 海水的供回水温度及其流量;
2 空调系统的供回水温度及其流量;
3 空调系统供回水干管压差;
4 热泵机组的进出水温度、压力及流量;
5 载冷剂的供回水温度、浓度及流量;
6 室外空气的温、湿度;
7 海水泵、循环水泵的流量、进出口压力;
8 水过滤器前后压差;
9 防生物附着装置的运行参数;
10 热泵机组、水泵、水阀等设备的工作状态及故障报警;
11 热泵机组宜选用带有监测蒸发器、冷凝器的水流状态功能的机组;
12 水泵采用软启动, 按照均衡运行时间原则控制水泵的运行。
7.5 地埋管地源热泵系统
7.5.1 地埋管地源热泵系统的应用,应符合下列要求:
1 在进行地埋管地源热泵系统方案设计前,应进行工程场地状况调查,并应对浅层地热能资源和岩土体地质条件进行勘察;
2 应根据工程勘察结果,评估地埋管换热系统实施的可行性及经济性;
3 地埋管换热系统设计和施工时,应采取有效措施保护地下含水层原有结构,避免施工过程中对地下水造成污染;
4 地埋管换热系统施工时,应了解地埋管场地内已有地下管线、地下构筑物的功能及准确位置,并进行清理和保护,严禁损坏既有地下管线及构筑物;
5 地埋管换热器安装完成后,应采用现场的两个永久性目标进行定位,并应在埋管区域作出标志或表明管线的定位带;
6 需经当地主管部门批准。
7.5.2 地埋管地源热泵系统设计原则
1 当有合适的地源热泵可用资源, 足够的地埋管场地, 经过技术经济比较后, 可优先采用地埋管地源热泵系统。
2 在现场工程勘察结果的基础上, 综合现场可用地表面积、岩土类型和热物性参数以及钻孔费用等因素, 确定地埋管换热器采用水平埋管还是竖直埋管方式。
3 当可利用地表面积较大, 浅层岩土体的温度及热物性受气候、雨水、埋设深度影响较小, 且无坚硬岩石, 宜采用水平地埋管换热器。否则, 宜采用竖直地埋管换热器。
4 有条件时可以结合建筑桩基形式利用桩孔进行地埋管设置,或将U形管捆扎在基桩的钢筋网架上,然后浇灌混凝土,全U形管固定在基桩内。
5 地埋管换热系统设计前, 应明确待埋管区域内各种地下管线的种类、准确位置及埋深, 井预留以后地下管线的埋管空间及埋管区域内进出重型设备的车道位置。
6 地埋管换热系统设计应进行全年动态负荷计算, 最小计算周期不得小于1年, 在此计算周期内,地源热泵系统总释热量和总吸收量宜相平衡。
地源热泵系统最大释热量与空调设计冷负荷相对应。供冷工况下释放到循环水中的总热量, 包括:各空调分区内水源热泵机组或集中式水源热泵机组释放到循环传热介质中的热量 (空调冷负荷和机组压缩机功耗), 传热介质在输送过程中的得热以及水泵释放到传热介质中的热量。即最大释热量=∑[空调冷负荷×(1+1/EER)]+∑输送过程得热量+∑水泵释放热量。
地源热泵系统最大吸热量与空调设计热负荷相对应。供热工况下循环水的总吸热量包括:各空调分区内水源热泵机组或集中式水源热泵机组从传热介质中吸收的热量 (空调热负荷, 并扣除机组压缩机功耗),传热介质在输送过程中的失热量以及扣除水泵释放到传热介质中的热量。即: 最大吸热量=∑[空调热负荷×(1-1/COP)]+∑输送过程失热量--∑水泵释放热量。
7 最大释热量和最大吸热量相差不大的工程, 应分别按供冷与供热工况进行地埋管换热器的长度计算,并取其较大者确定地埋管换热器的长度; 当两者相差较大时, 宜进行技术经济比较, 通过增加辅助热源或增加冷却塔辅助散热的措施来解决。
8 最大释热量和最大吸热量相差较大时, 还可以通过水源热泵机组间歇运行来调节;也可以采用热回收机组, 降低供冷季节的释热量, 增大供暖季节的吸热量。
9 地埋管换热器宜以机房为中心或靠近机房设置, 其埋管敷设位置应远离水井、水渠及室外排水设置。
10 应根据建筑物的特点和使用功能经过技术经济比较来确定地埋管地源热泵机组的形式,并应根据不同地区具体工程的地埋管换热器性能来确定机组合理的运行工况,提高地埋管地源热泵系统的整体运行性能。
11 地埋管水源热泵机组性能应符合现行国家标准《水源热泵机组》GB/T19409的相关规定,且应满足地埋管地源热泵系统运行参数的要求。
12 地埋管水源热泵机组应具备能量自动调节功能,蒸发器出口应设防冻保护装置,机组本身各环节的控制和安全保护装置应设置齐全。
13 地埋管换热系统宜采用变流量设计,以充分降低系统运行能耗。
14 通过空调水路系统进行冷、热转换的地埋管地源热泵系统应在水系统管路上设置冬、夏季节的功能转换阀门,转换阀门应性能可靠,严密不漏,并作出明显标识。
15 地埋管地源热泵系统在供冷、供热的同时,宜利用地源热泵系统的热回收功能提供(或预热)生活热水,不足部分由其他方式补充。生活热水的制备可以采用制冷剂环路加热或水路加热的方式。生活热水的供应,应按照现行国家标准《建筑给水排水设计规范》GB50015的规定执行。
16 建筑物内系统循环水泵的流量,应按地源热泵机组蒸发器和冷凝器额定流量的较大值确定,水泵扬程为管路、管件、末端设备、地源热泵机组蒸发器或冷凝器(选取较大值)的阻力之和。
17 建筑物末端空调系统形式应根据建筑物的特点和使用功能进行确定,可以采用风机盘管系统、冷暖顶/地板辐射系统或全空气系统。末端设备应按地源热泵机组提供的实际运行参数进行选型。
18 根据建筑物的使用功能和负荷分配情况,通过技术经济比较后,可采用蓄冷(热)或其他节能设备。当采用标准型地源热泵机组不能满足建筑物使用功能要求时,应选用高温型地源热泵机组。
7.5.3 地埋管地源热泵系统设计要点
1 工程场地状况调查应包括下列内容;
1)场地规划面积、形状及坡度;
2)场地内已有建筑物和规划建筑物的占地面积及分布;
3)场地内树木植被、池塘、排水沟及架空输电线、电信电缆的分布;
4)场地内已有的、计划修建的地下管线和地下构筑物的分布及埋深;
5)场地内已有水井的位置。
2 工程勘察应由具有勘察资质的专业队伍承担。工程勘察完成后,应编写工程勘察报告,并对场地内浅层地热资源可利用情况提出建议。
3 地埋管换热系统工程勘察应包括以下内容:岩土层的结构及分布、岩土体的热物性参数、岩土体的初始温度;地下水温度、静水位、径流方向、流速、水质及分布;冻土层的厚度。
4 拟采用地埋管地源热泵系统的工程项目,当总的应用建筑面积在3000~5000㎡,宜进行岩土热物性参数测试;当总的应用建筑面积大于等于5000㎡,应进行热响应试验。
5 岩土热响应试验单位应取得国家计量许可证;测试方法应符合《地源热泵系统工程技术规范》GB50366附录C的规定。
6 地埋管换热器的施工队伍应具有相应的施工资质,地埋管钻孔的施工应由工程地质专业人员进行监理。地埋管换热器的设计、施工、监理均应符合现行国家标准《地源热泵系统工程技术规范》GB50366及相关国家标准、规范的规定。
7 地埋管换热器设计计算应根据现场热响应试验实测岩土体及回填料的热物性参数,采用专用软件进行。该软件应具有以下功能:能计算或输入建筑物全年动态负荷;能计算当地岩土体平均温度及地表温度波幅;能计算岩土体、传热介质及换热管的热物性;能模拟岩土体与换热管间的热传递及岩土体长期储热效果;能对所设计系统的地埋管换热器的结构进行模拟(如钻孔直径、换热器类型、灌浆情况等)。
8 垂直地埋管换热器的设计也可按《地源热泵系统工程技术规范》GB50366附录B给出的方法进行计算。
9 地埋管换热器的设计应符合以下要求:夏季运行工况条件下,地埋管换热器侧出水温度不高于35℃;冬季运行工况条件下,添加防冻剂的地埋管换热器侧进水温度宜高于-2℃;不添加防冻剂的地埋管换热器侧进水温度宜高于4℃。
10 岩土体类型、热特性、热传导性、密度、温度等是影响地埋管换热系统性能的主要因素。就地表而言, 垂直地表土方向的导热性大于水平方向的导热性, 岩土特性值见表7.5.3。

11 地埋管换热器计算时,环路集管不应包括在地埋管换热器长度内。
12 水平地埋管主要有单沟单管、单沟双管、单沟二层双管、单沟二层四管、单沟二层六管等埋管形式(见图7.5.3-1),近年国外又新开发了垂直、水平排圈式和螺旋状管的埋管形式(见图7.5.3-2)。

13 水平地埋管换热器可不设坡度敷设。最上层埋管顶部应在冻土层以下0.4m,且距地面不宜小于0.8m。单层管最佳埋设深度为1.2~2.0m,双层管为1.6~2.4m。
14 水平地埋管的埋设视岩土情况,可采用挖沟或大面积开挖方法,可借助水利工程相关施工机械如开渠机等。水平地埋管换热铺设及回填应符合现行国家标准《埋地聚乙烯给水管道工程技术规范》CJJ101的要求。
15 竖直进管一般有单U形管、双U形管、W形管、套管式管等多种形式,按埋设深度不同可分为浅埋(≤30m)、中埋(31~80m)和深埋(>80m)。竖直埋管的埋设深度应根据工程场地地质情况埋管区域大小、投资及使用的钻机和施工条件, 进行综合考虑。
16 竖直埋管换热器埋管深度宜大于20m, 钻孔孔径宜大干0.11m,为满足换热需要, 钻孔间距应通过计算确定,一般宜为3~6m。水平环路集管距地面不宜小于1.5m, 且应在冻土层以下0.6m。
17 套管式换热器的外管直径一般为100~200mm, 内管为φ15~φ25mm, 其换热效率较U形管提高30%左右。但套管式换热器随着管长和流量的增加. 其热短路现象较明显. 因此仅适用于深度≤30m的竖直浅埋管。
18 钻孔钻好且孔壁固化后应立即进行U形管的安装, 当钻孔孔壁存在洞穴、孔洞或不牢固时,应设护壁套管。下管一般采用人工下管与机械下管相结合的方式, U形管内应充满水, 并宜采取措施将U形管两分支管分开, 以提高热交换效果。
19 U形管安装完毕后, 应立即灌浆回填封孔。灌浆回填料应根据地质特征确定回填料配方, 回填料的导热系数不宜低于钻孔外岩土体的导热系数。竖直地埋管濯浆回填料一般采用膨润土和细砂〔或水泥〕的混合浆或专用配方灌浆材料,当地埋管换热器设在坚硬的岩土体中时, 灌浆回填宜采用水泥基料。
20 地埋管换热器系统环路可根据钴孔深度, 管道敷设位置、初投资和施工工期等因素的综合比较,采取串联或并联方式。一般来说, 中、深埋管采用并联方式居多, 浅埋管则大多采用串联方式。
21 为确保地埋管换热器及时排气和强化换热,地埋管换热器内流体应保持紊流状态、单U形管不宜小于0.6m/s,双U形管不宜小于0.4m/s,水平环路集管应敷设不小于0.002的坡度。
22 竖直地埋管环路两端应分别与水平供、回水环路集管相连接, 且采取可靠的平衡措施, 平衡各环路的水流量和降低其压力损失, 每对水平供、回水环路集管连接的竖直地埋管环路数宜相等。水平供、回水环路集管的间距不宜小于0.6m。
23 竖直地埋管环路也可采取二级分、集水器联接的方式. 一定数量的地埋管环路供、回水管分别接入相应的二级分、集水器, 二级分、集水器宜有平衡和调节各地埋管环路流量的措施, 二级分、集水器应设检查井。
24 地埋管换热系统设计时应考虑地埋管换热器的承压能力, 地埋管换热器的承压能力可按下式计算确定:
P=Po+ρ×g×h+0.5×Ph (7.5.3)
式中 P——管路最大压力(Pa);
Po——当地大气压力(Pa);
ρ——地理管中液体密度(kg/m3);
g——重力加速度(m/s2);
h——地理管最低点与闭式循环系统最高点的高度差(m);
Ph——水泵扬程(m).
25 采用分散式系统时, 若建筑物内系统压力超过地埋管换热器的承压能力时, 应设中间换热器,以满足地埋管换热器的承压要求。
26 一般来说, 地埋管换热器的环路压力损失宜控制在30~50kPa/100m, 最大不超过50kPa/100m.在同程系统中, 选择压力损失最大的热泵机组所在环路作为最不利环路进行阻力计算。
27 地埋管最不利环路的压力损失, 再加上热泵机组、平衡阀和其它设备管件的压力损失, 并考虑一定的安全裕量, 即可确定地埋管侧循环水泵的扬程。根据系统总流量和水泵扬程, 选择满足要求的水泵型号和台数。
28 地埋管换热系统应设自动补水及泄漏报警系统。一般应在分水器或集水器上预留补水管, 在系统循环回路上设开式膨胀水箱或闭式稳压罐, 安装压力表、温度计、流量计等测量仪器。
29 地埋管换热器安装前后均应对管道进行冲洗。地埋管换热系统宜设置反冲洗系统, 冲洗流量宜为工作流量的2倍。
30 地埋管换热系统施工及调试过程中,应按《地源热泵系统工程技术规范》GB50366的要求进行水压试验,水压试验应有详细文字记录。
7.5.4 地埋管管材与传热介质设计要点
1 地埋管管材及管件应符合设计要点,且应具有质量检验报告和出厂合格证。
2 地埋管管材及管件应采用相同材料,且应具有化学稳定性好,耐腐蚀,导热系数大、流动阻力小等质量特性,一般采用高密度聚乙烯管(PE80或PE100)或聚丁烯管(PB),不宜采用聚氯乙烯(PVC)管。
3 地埋管质量应符合国家现行标准中的各项规定。聚乙烯管应符合《给水用聚乙烯(PE)管材》GB/J13663的要求;聚丁烯管应符合《冷热水用聚丁烯(PB)管道系统》GB/T194732的要求。管材的公称压力及使用温度应满足设计要求,且管材的公称压力不宜小于1.0MPa。地埋管外径及壁厚可按表7.5.4-1、7.5.4-2的规定选用。



4 埋地管道应采用热熔或电熔连接。聚乙烯管道的连接应符合国家现行标准《埋地聚乙烯给水管道工程技术规程》CJJ101的有关规定。
5 地埋管宜根据设计中选用的管材长度由厂家成捆供货, 以减少埋管接头数量。竖直地埋管U形管的组对长度应能满足插人钻孔后与水平环路集管连接的要求。组对好的U形管的两接头部位应及时密封。
6 竖直地埋管换热器的U形管接头, 宜选用定型的U形弯头成品件, 不宜采用直管道煨制弯头,有条件时宜由生产厂冢将弯头或定型连接件与U形管连接好, 成套供货。
7 地埋管换热器施工过程中, 应严格检查并做好管材保护工作。当室外环境温度低于0℃时, 不宜进行地埋管换热器的施工。
8 地埋管换热器的传热介质一般为水, 在有可能冻结的地区, 应在水中添加防冻剂。添加防冻剂后的传热介质的冰点宜比设计最低运行水温低3~5℃, 以防止管路结冰。
9 选择防冻剂时, 应同时考虑防冻剂对管材与管件的腐蚀性, 防冻剂的安全性、经济性及其换热特性。目前应用较多的防冻剂主要有:
- 盐类溶液: 氯化钙和氯化钠水溶液;
2)乙二醇溶液: 乙烯基乙二醇和丙烯基乙二醇水溶液;
3)酒精水溶液: 甲醇、异丙基、乙醛水溶液;
4)钾盐水溶液: 醋酸钾和碳酸钾水溶液。
10 添加的防冻剂的类型、浓度及有效期应在水系统充注阀处注明。
11 地埋管换热系统设计时应根据实际选用的传热介质的水力特性进行水力计算。国内目前塑料管的比摩阻均是以水为传热介质, 对添加防冻剂的水溶液均无相应数据, 水力计算时可按《地源热泵工程技术指南》(Ground-source heat pump engineering manual)推荐的方法进行。
确定管内流体的流量、公称直径和流体特性。
根据公称直径, 确定地埋管的内径。
计算地埋管的断面面积A:

式中 A——地埋管的断面面积(㎡);
dj——地埋管的内径(m)。
- 计算管内液体的流速V:

式中 V——管内液体的流速(m/s);
G——管内液体的流量(m3/h)。
5)计算管内液体的雷诺数Re,Re应该大于2300以确保紊流:

式中 Re——管内流体的雷诺数;
p——管内流体的密度(kg/m3);
μ——管内流体的动力黏度[(N·s)/㎡]。
6)计算管段的沿程阻力(Pa);

式中Py——计算管段的沿程阻力(Pa);
Pd——计算管段单位管长的沿程阻力(Pa/m);
L——计算管段的长度(m)。
7)计算管段的局部阻力Pj:

式中 Pj——计算管段的局部阻力(Pa);
Lj——计算管段管件的当量长度(m)。
管件的当量长度可按表7.5.4-3计算。

8)计算管段的总阻力Pz:

式中 Pz——计算管段的总阻力(Pa)。
12 在相同管径、相同流速下,雷诺数大小依次为:水、CaCl2水溶液、乙二醇溶液,其临界流速比为1:2.12:2.45。为了保持管内的紊流流动,CaCl2水溶液、乙二醇溶液需采用比水大的流速和流量。
13 在相同管径、相同流速下,水的换热系统最大,其大小依次为:水、CaCl2水溶液、乙二醇溶液,其具体比值与管径与流速有关,其大小比值约为:1:(0.47~0.62):(0.41~0.56).
14 由于地埋管换热器内传热介质的流动一般均在紊流或紊流光滑(过渡)区内,即2300<Re<105。在此范围内,在相同管径、相同流速下,CaCl2水溶液、乙二醇水溶液管路沿程阻力为水的1.44倍和1.28倍。
7.6 污水源热泵系统
7.6.1 一般规定
1 用污水(即城市污水处理厂二级水、中水与原生污水)作为低位热源时,接入水源热泵机组或中间换热器的污水,应满足《城市污水再生利用 工业用水水质》FB/T19923或《城市污水再生利用城市杂用水水质》GB/T18920等标准的要求。特殊情况下,应作污水应用的环境安全与卫生防疫安全评估,并应取得当地环保与卫生防疫部门的批准。
2 在确定采用污水源热泵系统前,应进行详细的技术经济分析,分析时应考虑如下因素:
1)工程所在地,污水温度的变化规律;
2)工程所在地,与系统设计有关的气象系数变化规律;
3)拟空调建筑距污水源侧的距离;
4)拟空调建筑的冷、热负荷设计指标与预测的系统全年总供热、供冷量。
3 污水的利用方式应根据污水温度及流量的变化规律、热泵机组产品性能与投资,系统预期寿命等因素确定。
4 污水源热泵系统应根据技术应根据技术经济分析决定是否设置冷、热源调峰。设调峰冷、热源时,其年总供热、供冷量点系统年总供热、供冷量的比例不宜大于40%。
5 污水源热泵系统的热泵机组站房宜靠近拟空调建筑的负荷中心设置。
6 汗水源热泵机组的选择应满足:在设计最低进水温度下正常运行,对应设计最低进水温度的热泵机组供热工况COP宜大于等于3.0。
7 污水温度适宜的地区,应考虑过渡季利用污水直接供冷;过渡季和冬季对建筑物的内区,可用污水直接供冷。
8 利用原生污水的污水源热泵系统,设计前必须对原生污水的流量与温度随时间的变化规律进行调研和预测。对应系统最大原生污水需求量时段的实测流量应至少大于需求量的25%。
7.6.2 污水源热泵系统的组成分直接式与间接式两种:
1 污水源热泵系统的组成分直接式与间接式两种:
1)直接式污水源热泵系统主要由污水循环泵、污水输配管道、过滤及遏制藻类装置、热泵机组、空调水循环泵和控制设备等部分组成;
2)间接式污水源热泵系统主要由污水循环泵、污水输配管道、过滤及遏制藻类装置、板式换热器、二次水循环泵、热泵机组、空调水循环泵和控制设备等部分组成。
2 污水的利用方式
1)闭式利用:污水源侧水系统封闭,通常采用充注换热介质的高密度聚乙烯塑料管作为热交换器直接置于污水中,根据污水温度与设计需要,换热介质为自来水或15%~20%的乙烯乙二醇溶液。
系统可靠性高,但利用成本与运行费用较高,热泵站房必须设在城市污水处理厂内,只适合小型系统,不适合原生污水。
2)开式直接利用:污水经污水循环泵进入热泵机组蒸发器(或冷凝器),换热后的污水直接排入城市管网。热泵机组蒸发器(或冷凝器)需要采用特殊材质如:铜镍合金。
系统初投资与运行费用相对较低,但可靠性稍差,较适合大型系统;不适合原生污水。
3)开式间接利用:
对于二级水或中水,采用板式换热器实现热泵机组与污水的间接换热,即:污水经污水循环泵进入换热器一次侧,经与热泵源二次水侧进行换热交换后,被直接排入城市管网。
对于原生污水,采用壳管式换热器实现热泵机组与污水的间接换热,即:原生污水经连续反冲洗防堵装置及污水循环泵进入换热器一次侧,与热泵源二次水侧进行热交换后,再经连续反冲洗防堵装置排入城市管网。
系统可靠性很高,但初投资与运行费用相对较高,适合大型系统。
7.6.3 污水源热泵系统的设计原则
1 应进行全年动态冷、热负荷计算,分析冷、热负荷随时间的分布规律。
2 污水计算温度应根据污水处理厂统计资料选取。
3 热泵机组空调水侧供热工况的设计出水温度不宜高于60℃,温差宜取为10℃。
4 污水进、出换热器或热泵机组的温差不宜超过7℃。
5 原生污水取水口设计:取水口处应设置连续反冲洗防堵装置,通过连续反冲泡防堵装置的污水进水最大允许流速宜小于0.5m/s;通过连续反冲洗防堵装置的污水出水最小流速宜大于2.0m/s。
6 二级水或中水换热器应选用板式,材质的抗腐蚀性能应优于不锈钢S316,建议采用00Gr20Nil8Mo6CuN;换热器应具备可拆卸性。
7 二级水或中水管道室外部分可采用承压水泥管,站房内可采用普通焊接管。
8 添加防冻剂的换热介质涉及的管道及阀件,其与介质直接接触部件材质均不应含有金属锌。
9 换热介质中添加的防冻剂,应考虑对管道、设备的腐蚀性、化学稳定性、物理特性以及毒性等因素,建议采用工业抑制型乙烯乙二醇;添加防冻剂的换热介质冰点温度,宜比设计最低温度低3~5℃。
7.6.4 污水源热泵系统的经济性分析的原则
1 分析污水源热泵系统经济性时,应以污水温度变化规律及空调供水温度优化为基础,计算热泵机组的全年能效比COPn;以COPn为基础计算污水源热泵系统的全年能效比COPn′。
2 由于初投资较高,污水源热泵系统经济性分析必须综合考虑资金成本、投资回收年限、运行费用等因素。
锅炉房
8.1 一般规定
8.1.1 本章适用于单台锅炉容量和额定参数符合表8.1.1规定的民用锅炉房设计。

8.1.2 民用锅炉房设计方案的确定, 应考虑以下因素和要求:
1 锅炉房设计应根据批准的建设区域的总体规划和热力规划进行, 做到远近期结合, 以近期为主, 并宜留有扩建余地; 对改、扩建民用锅炉房, 应合理利用原有建筑物、构筑物、设备和管道, 同时应与原有生产系统、设备及管道的布置、建筑物、构筑物形式相协调;
2 民用建筑用热的供应, 应根据所在区域的供热规划确定; 当不能由区域热电站、区域锅炉房或其他单位的锅炉房供应, 且不具备热电联产条件时, 宜自设锅炉房;
3 锅炉房的建设, 应优先考虑能源的综合利用, 提倡冷、热、电三联供, 分布式能源等能源梯级利用系统;
4 锅炉房燃料的选用应根据当地的具体条件确定; 有条件或有要求时, 宜优先选用清洁能源; 设在民用建筑物内的锅炉房, 应选用燃油或燃气燃料; 地下、半地下、地下室、半地下室锅炉房, 严禁选用液化石油气或相对密度大于或等于0.75的气体燃料;
5 对于要求常年供热 (含热水、蒸汽)的用户, 以城市集中供热为主热源时, 宜建辅助锅炉房。辅助锅炉房的容量应能满足城市热网检修期间本用户所需用热量的要求。
8.1.3 锅炉房设计必须采取减轻废气、废水、固体废渣和噪声对环境影响的有效措施, 排出的有害物和噪声应符合国家现行有关标准、规范的规定。并应符合当地有关标准、规范的规定。节约能源、环境保护、职业安全、工业卫生等工程与主体工程应同时设计。
8.1.4 独立建设的燃煤锅炉房, 锅炉的单台热功率不宜小于7.0MW, 供热面积不宜小于10万㎡。对于规模较小的居住区, 锅炉的单台热功率不宜小于4.2MW。
8.1.5 独立建设的民用锅炉房, 各建筑物、构筑物的平面布置和空间组合, 应紧凑合理, 功能分区明确, 建筑造型美观, 符合安全运行要求和运输方便, 有利安装运转和检修的要求。锅炉房区域内的建筑物主立面, 宜面向主要道路, 民用和区域锅炉房应与所在城镇建筑风格协调。
8.1.6 民用锅炉房的总图布置应符合下列要求:
1 锅炉房宜为独立的建筑物; 在受条件限制并经当地消防、安全、环保等管理部门许可, 可与主体建筑贴邻或设置在主体建筑的首层或地下一层; 也可设置在小区绿地的地下;
2 独立建筑的民用锅炉房与其它建筑的间距, 应符合《建筑设计防火规范》GB50016和《高层建筑设计防火规范》GB50045的规定;
3 锅炉房和主体建筑贴邻或设置在其内部时, 锅炉使用的介质、容量、运行压力、温度、燃料,以及工艺设计和建筑设计都应符合《建筑设计防火规范》GB500165、《高层民用建筑设计防火规范》GB50045、《锅炉房设计规范》 GB50041以及所在地区地方标准的有关规定;
4 当锅炉房和其他建筑物相连或设置在其内部时,严禁设置在人员密集场所和重要部门的上一层、下一层、贴邻位置以及主要通道、疏散口的两旁,并应设置在首层或地下室一层靠建筑物外墙部位;
5 住宅建筑物内,不宜设置锅炉房;
6 锅炉房(蒸汽、热水)不得与甲、乙类及使用可燃液体的丙类火灾危险性房间相连。与其他生产厂房相连时,应用防火墙隔开。
8.1.7 集中供热区域锅炉房宜设置在地上独立的建筑物内, 并应力求满足下列要求:
1 靠近热负荷比较集中的地区;
2 便于燃料贮运和灰渣的排送, 并宜使人流和燃料、灰渣运输途径分开;
3 应有利于减少烟尘、有害气体、噪声和灰渣对居民区和主要环境保护区的影响;全年运行的锅炉房应设置于总体最小频率风向的上风侧;季节性运行的锅炉房应设置于该季节最大频率风向的下风侧, 并应符合环境影响报告;
4 有利于室外管道的布置和凝结水的回收;
5 有利于锅炉房的自然通风和采光;
6 区域锅炉房设计, 应根据本地区热力建设规划, 对近期和远期供热规模统一考虑. 并宜留有扩建余地。
8.1.8 建设在居住小区内燃用清洁燃料的锅炉房,可布置在小区绿地的地下, 其出入口、泄爆面、烟囱等, 可采取建筑手法装饰或隐蔽。
8.2 锅炉房设计及设备选型
8.2.1 锅炉房区域内各建筑物、构筑物,以及燃料、灰渣场地等的平面布置应符合下列要求:
1 锅炉间、煤场、灰渣场、贮水煤浆罐、贮油罐、燃气调压站之间以及和其它建筑物、构筑物之间的间距, 应符合现行国家标准《建筑设计防火规范》GB500l6、《高层民用建筑设计防火规范》GB50045、《城镇燃气设计规范》GB50028及有关标准规范的规定;
2 各种设备布置合理, 力求缩短燃料、灰渣、排烟系统和各种管道的流程;
3 运煤系统的布置应利用地形, 使提升高度小, 运输距离短;煤场和灰渣场宜位于主要建筑物全年最小频率风向的上风侧;
4 产生噪声的设备应尽量布置在远离住宅和环境安静要求高的建筑, 锅炉间和辅助间的主要立面应尽可能面向主要道路。
8.2.2 锅炉间、辅助间和生活间的设置应符合下列要求:
1 应根据规模大小和工艺布置需要, 设计锅炉间、辅助间(机械上煤间、日用油箱间、燃气调压计量间、给水和水处理间、风机和除尘设备间、维修间、仪表校验间、控制室、化验室、贮存室等〕和生活间 (厕所、浴室、休息室、值班室、更衣间、办公室等),产生高噪声的设备, 宜分别集中布置在隔声房间内;
2 单台蒸汽锅炉额定蒸发量为1~20t/h或单台热水锅炉额定热功率为0.7~14MW的锅炉房, 其辅助间和生活间宜贴邻锅炉间固定端一侧布置;单台热水锅炉额定热功率>14MW的锅炉房, 其辅助间和生活间根据具体情况, 可贴邻锅炉间或单独布置;
3 需要扩建的锅炉房, 应考虑燃料运输设施的布置对扩建的影响, 燃煤锅炉房运煤系统的布置宜使煤自固定端运入锅炉炉前;
4 锅炉房集中仪表控制室应与锅炉间运行层同层布置,宜布置在便于司炉人员观察和操作的炉前适中位置,室内光线应柔和、布置在除氧器和给水箱下面及水泵间上面时,应采取有效的防振防火措施,应采用隔声门,朝锅炉操作面方向应采用隔声玻璃大观察窗;
5 容量大的水处理系统、换热系统、运煤系统,宜分别设置各系统的就地机柜室;
6 化验室应布置在采光较好,噪声和振动影响较小处,并便于取样操作;
7 热力除氧设备和真空除氧设备间的布置高度,应保证锅炉给水泵有足够的灌注头,防止发生汽蚀;采用特殊锅炉给水泵或加装增压泵时,热力除氧水箱宜低们布置,其高度应按设备要求确定;
8 燃气锅炉房的燃气调压间、计量间与相邻房间的隔墙应为无门窗洞口的防火墙;
9 燃油、燃气锅炉间与控制值班室之间的观察窗应采用具有一定抗爆能力的固定玻璃窗;
10 锅炉房建筑物室内底层标高和构筑物基础顶面标高,应高出室外地坪0.15m以上。锅炉间和同层的辅助间地面标高宜一致。
8.2.3 锅炉房的设备布置应符合下列原则:
1 应确保设备安装、操作运行、维护检修的安全和方便,工艺流程合理,整齐紧凑,便于监测,并力求风、烟、汽、水管道短、配件弯头少,料、灰渣流程畅通;
2 锅炉操作地点和通道的净空高度不应<2m,并应满足起吊设备操作高度的要求;在锅筒,省煤器及其它发热部位的上方,当不需要操作和通行时,其净空高度可为0.7m;分汽(水)缸、水箱等设备前,应有操作和更换阀门的空间;
3 锅炉的前后端及两侧面与建筑物之间的净距应符合表8.2.3的要求;

注:1 当需要在炉前更换锅管时,炉前净距应满足操作要求。
2 >6t/h的蒸汽锅炉或>4.2MW的热水锅炉,当炉前设置仪表控制间时,锅炉前端到仪表控制间的净距可减为3m。
3 当锅炉需要吹灰、拨火、除渣、安装或检修螺旋出渣机时,通道净距应能满足操作要求。
4 装有快装锅炉的锅炉房, 应有更新整装锅炉时能顺利通过的通道。
5 锅炉后通道的距离应根据后烟箱能否旋转开启为根据确定。
4 烟道和墙壁、基础之间应保持70mm宽的膨胀间隙, 间隙用玻璃纤维绞绳填充, 两端应用不燃材料封堵;
5 锅炉之间的操作平台可以根据需要加以连通;锅炉房内所有高位布置的辅助设施和热工监测、控制装置及阀门等, 当操作、维护高度超过1.5m时,应设置平台和扶梯, 阀门可设置传动装置引至偻〔地〕面进行操作;
6 炎热地区的锅炉间操作层,可采用半敞开布置或在其前墙开门。操作层为楼层时, 门外应设置阳台。
8.2.4 民用锅炉房设备不宜露天布置。
8.2.5 在抗震设防烈度为6度至9度地区建设锅炉房时,其建筑物、构筑物和管道设计, 均应采取符合地区抗震设防标准的措施。
8.2.6 锅炉房的设计总容量宜根据锅炉负担的用户热负荷,并考虑管道输送效率,按8.2.6-1式计算:
QB=Qo/η (8.2.6-1)
式中 QB——锅炉房总装机容量(t/h)(蒸汽炉)或(MW)(热水炉);
Qo——用户设计热负荷(t/h)(蒸汽炉)或(MW)(热水炉);用户设计热负荷宜在绘制出热负荷曲线或热平衡系统图,并计入各项热损失、锅炉房自用热量和可供利用的全热量后进行计算确定;
η——室外管网输送效率,一般取0.92。
当缺少热负荷曲线或热平衡系统图时, 锅炉房总装机容量可根据生产、采暖通风和空调、生活小时耗热量, 并分别计入各项热损失、余热利用量和同时使用系数, 按8.2.6-2式计算:
QB=K(K1Q1+K2Q2+K3Q3+K4Q4) (8.2.6-2)
式中 QB——同上;
Q1、Q2、Q3、Q4——用户生产、采暖、通风和空调、生活小时耗热量(t/h)(蒸汽炉)或(MW)(热水炉);
K——管道热损失及锅炉房自用热系数,一般取1.1~1.2;
K1——生产热负荷同时使用系数, 根据具体情况取0.7~0.9;
K2——采暖热负荷同时使用系数, 一般取1.0;
K3——通风热负荷同时使用系数, 根据具体情况取0.7~1.0;
K4——生活热负荷同时使用系数, 可采用0.5~0.8。
8.2.7 民用锅炉房供热介质的种类和参数,应根据供热建筑类型,热用户要求,经技术经济比较后确定。可按以下原则选择:
1 民用用建筑用热主要有: 建筑物采腰、通风、空调热负荷, 生活热水用热负荷, 洗衣房用热负荷,食堂用热负荷, 医院用热负荷等, 其中:采暧、通风、空调要求热水介质——散热器供回水温度85/60℃, 风机盘管供回隶温度60/50℃, 地面辐射采暖供水温度≤60℃ 大型公建采暖、空调所用一次热源的供回水温度115/70℃; 生活热水用热要求将冷水加热至55~60℃, 加热介质可以是热水或蒸汽; 洗衣房,食堂, 医院等建筑, 除有热水介质要求外, 尚有蒸汽介质需求;
2 专供采暖、通风、空调和生活用热的民用锅炉房,宜采用热水作供热介质;对于供热半径大的大型区域供热民用锅炉房,应采用130℃高温热水介质间接供热;对于供热半径小于1Km的小型民用锅炉房,宜采用95℃热水介质间接或直接供热;
3 只有洗衣房,食堂,医院等工艺用蒸汽和生活用热的民用锅炉房,宜采用蒸汽锅炉,蒸汽压力要求参见表8.2.7;

4 对于既有采暖、通风、空调热负荷, 又有蒸汽热负荷的民用锅炉房, 应经技术经济比较选用蒸汽或蒸汽、热水作供热介质。对于区域供热锅炉房, 如蒸汽负荷小,蒸汽用户分散, 蒸汽用户距离锅炉房远, 锅炉房宜采用热水介质, 可在蒸汽用户附近设燃用清洁燃料的蒸汽锅炉房。
8.2.8 锅炉的供热参数、锅炉的承压能力, 应符合供热系统对锅炉的要求。
1 蒸汽锅炉的供汽压力应满足用户用汽设备所需最大用汽压力和管网阻力之和。
2 热水锅炉的出口压力不应小于循环水系统最高静水压力与系统总阻力之和。
3 对于钢制热水锅炉, 热水出口压力不应低于最高供水温度加20℃的饱和水压力; 对于铸铁热水锅炉,热水出口压力不应低于最高供水温度加40℃的饱和水压力。
8.2.9 民用锅炉房燃料的选择应遵循下列原则:
1 燃煤锅炉有煤烟污染问题,适用于环境保护划定的允许燃煤的地区、建设大中型区域集中供热燃煤锅炉房;
2 型煤在加工过程中已采取了固硫措施,燃烧产生的烟尘、氮氧化合物也较直接燃煤少,因此,燃用型煤其环保效果比直接燃煤好;但型煤受生产加工的限制, 价格较直接燃煤贵, 其运行方式目前仅适用于小型锅炉;在有型煤供应的地区, 对于用热量小的民用锅炉房, 在满足当地烟气排放指标的前提下, 可考虑采用型煤锅炉;
3 水煤浆的燃烧方式与燃油相同, 在有水煤浆供应的地区, 可作为油的替代燃料;
4 对于要求使用清洁燃料的地区, 当有城市燃气 (城市煤气、天然气) 管网通过, 并有足够的燃气量可供锅炉房使用时, 应首先考虑采用燃气作锅炉的燃料;
5 如无管道煤气而有瓶装高压天然气、瓶装液化石油气供应时, 也可将瓶装高压天然气减压后或液化石油气气化后供锅炉使用;
6 在没有燃气供使用的地区, 可选轻柴油作锅炉的燃料;
7 在采用燃气、燃油都有困难的地区, 并且有足够的电量可供锅炉使用时, 可考虑采用电热锅炉, 但应符合下例条件之一:
1)电力充足、供电政策支持和电价优惠地区的建筑;
2)以供冷为主、采暖负荷极小、且无法利用热泵提供热源的建筑;
3)无燃气源, 用煤、油等燃料受到环保或消防严格限制的建筑;
4)夜间可利用低谷电进行蓄热、且蓄热式电锅炉不在昼间用电高峰时段启用的建筑;
5)利用可再生能源发电地区的建筑;
6)内、外区合一的变风量系统中需要对局部外区进行加热的建筑。
8.2.10 民用锅炉选型尚应符合下列原则:
1 集中供热的大中型燃煤锅炉, 应按当地长期供应的煤种选择炉型。并宜选择链条炉排、带分层燃烧装置、带膜式水冷壁的水管锅炉或水火管锅炉。结焦性强的煤种及碎焦不应采用链条炉排。居民区、风景名胜区和其他环境保护区不应选择煤粉锅炉, 居民区不宜选择循环流化床锅炉。
2 燃油燃气锅炉应选用带比例调节燃烧器和具有可靠的燃烧安全保护装置的全自动锅炉。对于较较小的锅炉房选用其他锅炉有困难时, 可选用模块式锅炉。有条件时, 可选用冷凝型锅炉。
3 锅炉台数和容量的确定, 应根据锅炉房的设计容量和全年 (采暧季) 负荷低峰期运行工况的安全运行, 合理选配锅炉台数和单炉容量。所有运行锅炉在额定蒸发量 (热功率〕时, 能满足锅炉房最大计算热负荷, 并保证当其中最大一台锅炉检修时, 其余锅炉能满足下列要求:
1)连续生产用热所需的最低热负荷;
2)采暖通风、空调和生活用水所需的最低热负荷。
锅炉台数一般不宜少于2台, 宜采用2~3台。新建锅炉房不宜超过5台, 改、扩建时总台数不宜超过7台;民用建筑内的锅炉房, 锅炉台数不宜超过4台。
模块式锅炉宜以楼栋为单位设置。总供热面积较大, 且不能以楼栋为单位设置时, 锅炉房也应分散设置。每个锅炉房的模块台数宜为4~8块, 不应大于10块,总供热量宜≤1.4MW;
锅炉的出力、台数和其他性能均应能适应热负荷的变化, 单台燃煤锅炉的运行负荷不应低于锅炉额定负荷的50%, 单台燃油、燃气锅炉的运行负荷不应低于锅炉额定负荷30%。
4 设计选用的锅炉应符合以下要求: 所采用的燃料应能有效的燃烧, 有较高的热效率和能适应负荷的变化;锅炉其额定热效率应符合《严寒和寒冷地区居住建筑节能设计标准》 JGJ26 (见表8.2.10)的规定;应有利于环境保护; 应使基建投资和运行管理费用最低;应选用机械化、自动化程度较高的锅炉;宜选用容量和燃烧设备相同的锅炉, 当选用不同容量和不同类型的锅炉时, 其容量和类型均不宜超过两种。

8.3 锅炉房烟风系统设计
8.3.1 锅炉的鼓风机、引风机宜单炉配置。风机应优先用变转速调节控制方式。每台锅炉的烟道与总烟道的连接处,应设置密封性能好的烟道阀门。
8.3.2 锅炉鼓、引风机的选择应符合下列要求:
1 应选用高效、节能和低噪声风机, 常年运行都能处于较高效率范围。
2 风机的风量和风压, 应根据锅炉额定蒸发量或额定热功率、燃料品种、燃烧方式和通风系统的阻力计算确定, 并按当地气压及空气、烟气的温度和密度对风机特性进行修正。风量的富余不小于计算风量的10%; 风压的富余量不小于计算风压的20%。鼓风机的风压, 应取锅炉炉排鼓风阻力加上风道阻力。引风机的风压, 应取锅炉烟气阻力 (锅炉受热面、省煤器、空气预热器) 加上锅炉烟道阻力(包括除尘、脱硫、脱氮设备的全部阻力)。如应用于海拔高度超过300m的地区时. 还应考虑大气压力降低的影响。
3 单台额定热功≥29MW的热水锅炉(40t/h), 其鼓风机(含一次风机、二次风机) 和引风机的电机宜调速,并与燃烧控制协调。
4 鼓风机的风量、风压按下式计算:

5 引风机风量、风压按下式计算:

式中 Qg——鼓风机风量(m3/h);
Vg——锅炉厂提供的额定条件下的空气量 (m3/h);
tk——空气温度(℃);
b——当地大气压力(kPa),根据当地海拔高度查表8.3.2-1;
Hg——鼓风机风压〔Pa〕;
△h1——炉排阻力 (Pa〕;
△h2——风道阻力 (Pa〕;
Qy——引风机风量(m3/h);
Vy——锅炉厂提供的额定条件下的烟气量(m3/h);
tpy——排烟温度(℃);
Hy——引风机风夺〔Pa〕;
△h3——锅炉阻力 (Pa〕;
△h4——除尘、脱硫、脱氮阻力 (Pa〕;
△hs——烟道总阻力 (Pa〕;
Sy——烟囱抽力 (Pa〕;
ty——引风机铭牌上给出的气体温度(℃);一般采用200℃。

当缺乏锅炉厂提供的鼓、引风量数据或估算时,锅炉产生1t/h蒸汽或0.7MW热量的豉风量和排烟量可按表8.3.2-2估算。

二次风机的风量及风压宜按锅炉厂提供的数据取用,对一般层燃锅炉,二次风机风量约占总风量的8%~15%,当燃料挥发分较大时取较高值,当挥发分较小时取较低值。一般二次风机风压约占2.5~4.0kPa,风压与风嘴风速及射程关系参见表8.3.2-3。

6 风机及其配用电动机的功率按下式计算:

式中 N——风机所需功率〔kW);
Q——风机风量(m3/h);
H——风机风压(Pa);
ηf——在全压下的风机效率〔%);
ηc——传动效率,当风机和电动机直联时, 取ηc=l.0, 当风机和电动机用联轴器连接时, 取ηc=0.95~0.98; 当风机和电动机用三角皮带传动时, 取ηc=0.90~0.95;
Nd——电动机功率〔kW);
ηd——电动机效率, 取ηd=0.9;
k——储备系数,按表8.3.2-4取值。

8.3.3 燃煤锅炉房烟道和风道的设计应符合下列要求:
1 多台锅炉共用1条总烟道时, 支烟道上应装设能全开全闭、气密性好的闸板阀或调风阀。
2 多台锅炉共用2条烟囱时、每台锅炉宜采用单独烟道接入烟囱。多台锅炉合用1条总烟道时,应保证每台锅炉排烟时互不影响。总烟道内各截面处的流速宜接近。单台锅炉配置两侧风道或两条烟道时,宜对称布置,使每侧风道或每个烟道的阻力均衡。
3 烟道和风道的布置,应力求简短平直、附件少、阻力小、气密性好。转角应平滑,弧形或斜角过渡,或设导流板(墙)。总烟道汇合处应避免气流对撞。
4 烟道和热风道应考虑膨胀和热补偿措施。烟道和砖烟囱连接处应设置伸缩缝。
5 金属烟道和热风道应进行保温。钢烟囱在人员能接触到的部分也应进行保温隔热。
6 燃烧锅炉宜采用地上烟道,并应在适当的位置设置清灰人孔。砖烟道的净高不宜小于1.5m。净宽不宜小于0.6m。
7 在烟道的适当位置应按《锅炉烟尘测试方法》GB546G8的要求, 设置永久采样孔,并安装用于测量采样的固定装置。
8 钢制冷风道可采用2~3mm厚钢板, 钢制烟道和热风道可采用3~5mm厚的钢板, 矩形或圆形烟风道应具备足够的强度和刚度, 必要时应设加强筋。
9 室外布置的烟道和风道, 应设置防雨和防曝晒的设施。当锅炉房使用含硫量高的燃料时, 除需有烟气脱硫措施外, 烟道和烟囱内壁应采取防腐措施。
10 鼓风机的进风口应设安全网, 防止硬物或纤维杂物被吸入风机。
11 风机吸风口的位置宜满足下列要求:
1)燃煤锅炉房的鼓风机进风可采用部分或全部室内进风, 室内吸风口的位置可靠近锅炉房的高温区域, 对于全年运行的锅炉房, 吸风口可设置到锅炉房顶部空间;
2)室外吸风口的位置应避免吸入雨水、废汽和含沙尘的空气。
12 烟风门及其传动装置的布置, 应满足下列要求:
1)风门的布置应便于操作或传动装置的设置;
2)电动、气动调节或远传远控的风门, 应布置在热位移较小的管段上;
3)需同时进行配合操作的多个手动风门, 各风门的操作装置宜集中布置;
4)当烟风门的操作手轮水平布置时, 手轮面与操作层的距离宜为900mm;当垂直布置时, 手轮中心与操作层的距离宜为900~1200mm。
8.3.4 燃煤锅炉房烟道、风道的断面尺寸, 应按下式计算:

式中 F——烟道或风道流通截面积 (㎡);
V——空气或烟气流量(m3/h);
ω——空气或烟气流速 (m/s),可按表8.3.4-1取值。

各种容量锅炉房的烟道、风道截面尺寸及烟囱出口处内径可参见表8.3.4-2。


8.3.5 燃煤锅炉房烟道、风道的阻力, 可按下列式计算:
1 锅炉烟气系统总阻力
∑△h=△hL+△hbt+△hsm+△hky+△hc.c+△hyd+△hys (8.3.5-1)
式中 ∑△h——气系统总阻力(Pa);
△hL——炉膛出口处的负压(Pa),有鼓风机时,一般取△hL=20~40Pa, 无鼓风机时, 取△hL=20~30Pa;
△hbt——锅炉本体受热面阻力(Pa), 由锅炉厂提供;
△hsm——省煤器阻力(Pa), 由锅炉制造厂提供;
△hky——空气预热器阻力(Pa), 由锅炉厂提供;
△hc.c——除尘器阻力Pa, 按除尘设备厂提供资料确定;旋风除尘器阻力约为600~800Pa, 多管除尘器阻力约为800~1000Pa, 水膜除尘器阻力约为800~1200Pa, 电除尘器阻力每级约300~300Pa, 一般1~3级, 布袋除尘器阻力与积灰厚度和清灰频率有关, 设计可按500~1200Pa考虑;
△hyd——烟道阻力(Pa),△hyd包括摩擦阻力△hm(Pa) 和局部阻力△hj (Pa);△hm和△hj按本条第3款计算;
△hys——烟囱阻力(Pa)。
2 锅炉空气系统的总阻力
∑△h=△hfd+△hky+△hLp+△hr (8.3.5-2)
式中 ∑△h——空气系统总阻力〔Pa〕;
△hfd——风道阻力 (Pa), 包括摩擦阻力△hm和局部阻力△hj,见本条第3款;
△hky——空气预热器阻力(Pa),由制造厂提供;
△hLp——炉排阻力(Pa),由制造厂提供;
△hr——燃料层阻力(Pa),由制造厂提供。
3 烟道和风道的阻力

式中 △hd ——烟道或风道阻力(Pa);
△hm、△hj——烟道或风道的摩擦阻力和局部阻力(Pa);
λ——摩擦阻力系数,见表8.3.5;
L——管道长度(m);
d——管段直径(m);对非圆形管道采用当量直径dd,dd=4F/U ;(F、U分别为管道截面的面积和周长);
ξ——局部阻力系数;
ω——气体流速(m/s);
ρo——气体(空气或烟气)密度(标态)(kg/Nm3),空气ρo=1.293 kg/Nm3,烟气ρo=1.34 kg/Nm3;
t——气体(空气或烟气)温度(℃)。
烟道、风道的摩擦阻力,可取其断面不变且长度较大的一段进行估算,求出每米长度的摩擦阻力,然后乘以烟道或风道总长度求得总的摩擦阻力。对于水平砖烟道,当烟气流速为3~4m/s时,摩擦阻力约为0.8Pa/m;烟气流速为6~8m/s,约为3.2 Pa/m。
8.3.6 燃油、燃气锅炉通风系统的设计,除与燃烧锅炉通风系统相同的一般规定外,还应符合下列要求:
1 机械通风时, 鼓风顺单炉匹配, 吸风口不得布置在聚焦可燃气体和有爆炸危险的区域;
2 对单台锅炉出力≥10t/h或7MW的锅炉房,鼓风机和燃烧器宜分开设置, 鼓风机宜集中布置在隔音机房内,也可布置在燃烧机下方的地下室内,进几道设计应成消声风道:
3 对于微正压燃烧的燃油、燃气锅炉, 水平烟道的长度, 应根据现场情况和烟囱抽力确定, 并应维持锅炉微正燃烧的要求;
4 当烟囱抽力不足时, 应由锅炉厂家提高燃烧机组和炉膛的燃烧正压;
5 对于设置在高层建筑内的锅炉房,当烟囱抽力过大时,应考虑烟道、烟囱断面尺寸, 提高流速, 增加阻力, 适应平衡; 或在烟道系统设置高风控制器,调节阻力平衡。
8.3.7 燃油、燃气锅炉房的烟道除与燃煤锅炉房相同的一般要求外,还应考虑下列要求:
1 燃油燃气锅炉的烟道一般宜单炉配置,不宜共用总烟道,但当条件限制,多台锅炉共用1座烟囱或1个总烟道时,每个锅炉烟道出口处应装设防爆装置;
2 在烟气容易聚焦的地方,应装防爆装置;
3 防爆装置位置应有利于泄压;
4 当单台锅炉独立设置烟囱,且烟道自锅炉出口直通大气时(无转弯或只有一个弯头)可不设防爆门和烟道闸门;
5 燃油、燃气锅炉的烟道应采用钢制或钢筋混凝土构筑;
6 燃气锅炉烟道最低点应装设水封式冷凝水排水管道;
7 燃油、燃气锅炉水平烟道宜有0.01坡向锅炉或排水点听坡度。
8.3.8 防爆门的布置应遵守下列规定:
1 防爆门应布置在靠近被保护的设备或管道, 膜板前的短管长度不应大干10倍的短管当量直径;
2 锅炉出口接往总烟道的烟道防爆门, 应安装在锅炉排烟阀门的后面;
3 防爆门宜布置在便于检修的管段上, 其上方如有维护平台、应为无孔平台; 爆炸喷出物应采用引出管, 将气流引至安全地点或室外;
4 烟道防爆门和防爆膜直径不应小于200mm, 防爆门和防爆膜均宜是可靠的定型产品;
5 引出管的防爆门, 膜板前的短管长度不大于2倍的短管当量直径,膜板后的引出管长度不大于10倍的引出管当量直径; 引出管宜尽量减少转弯, 其截面积不得小于防爆门的截面积; 在紧邻防爆门上方的引出管处设置检查孔; 当引出管引至室外, 其端部向上时应装设防雨罩;
6 防爆门前的短管宜垂直布置, 当倾斜布置时, 其与水平面的倾斜角不宜小于45℃;
7 室外防爆门的膜板面应与水平面成45°的夹角,否则应有防雨雪的措施。
8.3.9 烟风管道穿过墙壁、楼板或屋面时, 所设预留孔的内壁与管道表面 (包括加固肋及保温层) 之间的间隙, 一般为30~50mm, 当管道的径向热位移较大时, 应另加考虑。管道穿过屋面或各层楼板时应有防雨或挡水措施。
钢制烟风管道中的介质温度大于50℃或由于防冻需要应给予保温。保温层的厚度若小于加固肋的高度, 则应对保温层和加固肋进行调整。对经常操作或检修的管道零部件,如防爆门、人孔、锁气器、手孔等,宜设置维护平台。平台一般由格栅钢板制成, 荷载按2kN/m2设计。
8.3.10 新建锅炉房的烟囱设计应符合下列要求:
1燃煤锅炉房烟囱的规定:
1)每个新建燃煤锅炉房只允许设一根烟囱, 烟囱高度可按表8.3.10-1规定设计;

2)锅炉房装机总容量>28MW时,其烟囱高度应按批准的环境影响报告书(表)要求确定,但不得低于45m。 新建锅炉房烟囱周围半径200m距离内有建筑物时, 其烟囱应高出最高建筑物3m 以上。
2 燃油、燃气锅炉的烟囱宜单炉配置, 使每台锅炉可调节在最佳效率运行状态。当多台锅炉共用
1 座烟囱时, 除每台锅炉宜采用单独烟道接入烟囱外, 每个烟道尚应安装密封可靠的烟道门。多台锅炉合用烟囱还应满足以下要求:
1)多台负压燃烧的燃油燃气锅炉可以合用烟囱, 但在气流组织设计中应避免互相干扰;
- 燃油、燃气锅炉和燃煤锅炉不得合用烟囱;
3)正压燃烧锅炉和负压燃烧锅炉之间,不应使用烟囱。
3 燃气、燃油(轻柴油)锅炉烟囱高度应按批准的环境影响报告书(表)要求确定,但不得低于8m,并应满足地方标准的要求。烟囱高度不宜设置过高,以免烟囱抽力过大,使锅炉能耗增加(且不安全)。
4 各种锅炉烟囱高度如果达不到上述规定时,其烟尘、SO2。Nox最高允许排放浓度,应按相应区域和时段排放标准值50%执行。
5 出力≥1t/h或0.7MW的各种锅炉烟囱,应按《锅炉烟尘测试方法》GB5468和《固定污染源排气中颗粒物测定与气态污染物采样方法》GB/T16157的规定,设置便于永久采样孔及其相关设施。
6 锅炉房烟囱高度及烟气排放指标除应符合上述1~4款(摘自《锅炉大气污染物排放标准》GB13271-2001)的规定外,尚能满足锅炉房所在地区的地方排放标准或规定的要求。
7 烟囱出口内径应保证在锅炉房高负荷时, 烟气流速不致过高, 以免阻力过大; 在锅炉房最低
负荷时, 烟囱出口流速不低于2.5~3m/s,以防止空气倒灌。烟囱出口烟气流速参见表8.3.10-2,烟囱出口内径参见表8.3.10-3和表8.3.10-4。

8 当烟囱位于飞机航道或飞机场附近时, 烟囱高度不得超过有关航空主管部门的规定, 且烟囱上应装信号灯, 并刷标志颜色。
9 自然通风的锅炉, 烟囱高度除应符合上述规定外, 还应保证烟囱产生的抽力, 能克服锅炉机组和烟道系统的总阻力。对于负压燃烧的炉膛, 还应保证在炉膛出口处有20~40Pa的负压。每米烟囱高度产生的烟气抽力参见表8.3.10-5。

10 燃油、燃气锅炉烟囱的最低点,应设置水封式泄油或泄水装置。
11 燃油、燃气锅炉采用钢制烟囱时,烟囱出口的排烟温度宜高于烟气露点,且高于15℃。
8.3.11 对于在不同季节或不同时段热负荷变化大,采用一个烟囱不能满足8.3.10条第7款要求的锅炉房,烟囱设置可采取下列方案:
1 每台锅炉分别设置独立烟囱。
2 当锅炉房有多台锅炉,但只允许建一座烟囱时,可采取下列措施:
1)将锅炉独立的排烟管组成外形一体的组合烟囱;
2)在圆筒形或矩形烟囱内设置隔板,分成各自独立的流道,分别连通各台锅炉的排烟管,构成分流烟囱。
3 在烟囱出口设置能防护高空气流影响的烟囱帽罩,帽罩结构宜不影响排烟的抬升高度。
8.3.12 烟囱出口内径d(m)可按正式计算:

式中 Bj——每台锅炉计算的燃料消耗量(kg/h)或(m3/h),对不同炉型的锅炉房应分别计算:
n——合用同一烟囱的锅炉台数;
Vy——烟囱出口计入漏风系数的烟气量(标态)(Nm3/h)或(Nm3/m3);
tc——烟囱出口处烟气温度(℃);
ωo——烟囱出口处流速 (m/s),可按表8.3.10-2选用。
或按下式估算:

式中 nd——由一个烟囱负担的锅炉在额定出力下的总蒸发量值 (t/h);
Vyj——每小时产生1t蒸汽估算烟气量(m3/h〕,可查表8.3.2-2;
ωo——烟囱出口处流速 (m/s),可按表8.3.10-2选用。
8.3.13 烟囱的阻力计算
1烟囱的摩擦阻力Pycm(Pa):

式中 λ——烟囱出口阻力系数,A=1.0;
dpj——烟囱平均直径(m),
,式中d1、d2烟气出口、入口的内径;
H——烟囱高度(m);
ω2pj——烟筒内烟气平均流速(m/s);
ρpj——烟囱内烟气平均密度(kg/m3)。
2 烟囱出口阻力Pycc(Pa):

式中 A——烟囱出口阻力系数,A=1.0;
ωc——烟囱出口烟气流速 (m/s);
ρc——烟囱出口处烟气密度(kg/ m3)。
3 烟囱总阻力Pyc(Pa):

8.3.14 砖烟囱和钢筋混凝土烟囱的结构应符合下列要求:
1 砖烟囱的最大高度不宜超过40m;
2 烟囱下部应设清灰孔, 清灰孔在锅炉运行期间应严密封好 (可用黄泥砖砌);
3 烟囱底部应设比水平烟道入口低0.5~1.0m的积灰坑;
4 当烟囱和水平烟道有两个接入口时, 两个接口一般应相对布置, 并用与水平烟道成45°角的隔板分开,隔板高出水平烟道的部分, 不得小于水平烟道高度的1/2。
5 烟囱应设置维修爬梯和避雷针, 以及必要的热工及环保测点;
6 锅炉采用湿法脱硫除尘时, 烟囱应采取防腐措施。
8.3.15 钢烟囱的设计应符合下列要求:
1 钢烟囱应有足够的强度和刚度,烟囱壁厚要考虑一定量的腐蚀裕度,当烟囱高度为20~40m,直径为0.2~1.0m时,无内衬的筒体壁厚取4~10mm,有内衬的壁厚取8~18mm;
2 当烟囱高度和直径之比超过20时,必须设置可靠的牵引拉绳,拉绳沿圆周等弧度布置3~4根;为0.2~1.0m时,无内衬的筒体壁厚取4~10mm,有内衬的壁厚取8~18mm。
3 烟囱与基础连接部分一般作成锥形,支承板厚度一般为20~40mm;
4 带内衬的钢烟囱,内衬可分段支承,每段长4~6m,内衬和筒体之间保持20~50mm的间隙,并应在顶部装防护环板将内衬盖住;
5 钢烟囱宜选用由专业厂加工制造的焊制不锈钢烟囱。
8.4 蒸汽锅炉房的汽水系统设计
8.4.1 蒸汽锅炉房一般设置一根给水母管。对常年不间断供汽的锅炉房,宜采用双母管一泵一炉的给水母管。同类型的给水泵,当流量和扬程特性曲线相同可相似时,允许并联运行,可采用同一根给水母管;当给水泵的类型不同或类型虽然相同,但特性曲线不同时,不应并联运行,应采用不同的给水母管。
8.4.2 锅炉给水泵进水母管或除氧水箱出水母管,应采用不分段的单母管;对常年不间断供汽,且除氧箱多于2台的锅炉房,宜采用分段的单母管。
8.4.3 锅炉给水泵的选择和设置应符合下列要求:
1 水泵的台数应能适应锅炉房全年热负荷变化的要求, 并应设置备用。不宜少于2台, 并联运行的台数不宜超过4台。
2 当流量最大一台绐水泵停止运行时, 其余给水泵的总流量应能满足所有运行锅炉在额定蒸发量时所需给水量的110%。
3 采用非一级电力负荷的锅炉房,在停电后可能会造成锅炉事故时,应采用汽动给水泵作为事故备用泵。事故备用泵的流量,应能满足所有运行锅炉在额定蒸发量时所需给水量的20%~40%。
4 一级电力负荷或停电后锅炉停止给水不会造成锅炉缺水事故的锅炉房(如有自动保护装置的燃油、燃气锅炉房),可不设置汽动备用泵。
5 采用汽动给水泵作为备用泵时,如果不与电动给水泵同时运行,可合用一根给水管。
6 额定蒸发量≤1t/h、额定出口蒸汽压力≤0.7MPa的锅炉,可用注水器作为常用或备用给水装置。注水器应单炉配置。
7 锅炉房所需给水总流量可按下式计算:
G=k×(G1+G2) (8.4.3-1)
式中 G——锅炉房所需总绐水量 (m3/h);
G1——有运行锅炉在额定蒸发量时所需的绐水量 (含连续排污耗水量)(m3/h);
G2——锅炉房减温器、蓄热器等其它设备所需给水量 (m3/h);
k——富裕系数, 取k=l.10。
8 给水泵的扬程按下式计算:
H=k×(H1+H2+H3) (8.4.3-2)
式中 H——水泵的扬程(m);
H1——锅炉锅筒在设计使用条件下安全阀的开启压力(m);
H2——省煤器和给水系统的压力损失(m);
H3——给水系统的水位差 (m);
k——裕量系数, 一般取k=1.10。
8.4.4 多台水泵并联运行的给水系统, 应根据并联运行时水泵的总性能曲线核算选用水泵的供水能力。
8.4.5 全自功燃气(油)蒸汽锅炉给水泵宜每炉单独配置, 以便锅炉自动控制。
8.4.6 锅炉房给水箱的设置应符合下列要求:
1 给水箱的数量和容积: 季节性运行的锅炉房, 一般只设置一个给水箱, 但如果在绐水箱内加药软化给水时, 宜设置两个给水箱, 以便轮换清洗; 常年不间断运行的锅炉房或容量大的锅炉房应设置两个给水箱〔或除氧水箱〕或一个中间带隔板的可分别进行清洗的隔板水箱; 给水箱的总有效容量宜为所有运行锅炉在额定蒸发量时20~60min所需的给水量 (小容量锅炉房取较大值, 大容量锅炉房取其较小值);
2 给水箱应配置下列附件:
1)开式水箱:水位计、温度计、进出口水管、排污管、溢流装置、排气管和人孔; 水箱顶部安装高度>l.5m的水箱应设外爬梯, 水箱内部高度>1.5m的应设置内爬梯;
2)热力除氧水箱: 水位计、压力表、安全阀(安全水封)、排污管、进出水口、溢流水封装置、温度计等, 有条件时, 还可配置水位变送器、高低水位报警器、压力变送器等。在水箱底部沿长度方向布置带孔(φ4~φ6)的再沸腾加热蒸汽管.在两台并联工作的除氧水箱之间应分别设置汽连通管和水连通管、其管径按除氧水箱制造厂给定尺寸, 也可参照表8.4.6选用。

8.4.7 锅炉给水箱或除氧水箱的布置高度应满足在设计最大流量且水箱水位最低时,保证给水泵不发生汽蚀。其值不应小于下列四项的代数和:
1 给水泵进水口处水的汽化压力和给水箱的工作压力之差;
2 给水泵的汽蚀余量(由制造厂提供);
3 给水泵进水管的压力损失;
4 附加3~5kPa的富裕量。
采用特殊锅炉给水泵或加装增压泵时,热水除氧水箱宜低位布置,其高度应按设备要求确定。
8.4.8 锅炉绐水系统应配备下列安全保护装置和控制装置:
1 每台给水泵入口应安装切断阀, 出口依次安装止回阀、调节阀;
2 锅炉的每个进水管上应安装一个截止阀 (靠近锅炉〕和一个止回阀; 额定蒸发量大于4t/h的锅炉还应装设自动给水调节阀, 并在司炉便于操作的地点装设手动控制给水装置;
3 在不可分式省煤器入口的给水管上应安装切断阀 (靠近省煤器〕和止回阀; 在可分式省煤器的入口处和通向锅筒 (壳) 的给水管上都应分别装设切断阀和止回阀, 可分式省煤器的出口管上应安装安全阀, 安全阀的开启压力为装设处工作压力的1.1倍, 安全阀的排放管应接至安全排放点 (如开式水箱), 安全阀排放管上不得安装阀门;
4 在省煤器可能聚集空气的位应装放气管, 省煤器最低处应装放水管和阀门, 在省煤器的出口处还应装设接至给水箱的放水管和切断阀, 以供锅炉启动、停炉及低负荷运行时保证省煤器有必要的水流速度, 防止汽化;
5 对于配有可分式省煤器的锅炉, 应设有不通过省煤器直接向汽包供水的旁通给水管及切断阀。
8.4.9 锅炉房蒸汽系统的设计, 应考虑下列要求:
1 有多路蒸汽供应时宜设置分汽缸;
2 锅炉房内运行参数相同的锅炉, 蒸汽管宜采用单母管, 对常年不间断供汽的锅炉房可采用分段双母管;
3 每台锅炉的蒸汽管与蒸汽母管〔或分汽缸) 连接时, 应安装两个阀门, 其中一个靠近母管(或分汽缸), 另一个紧靠锅炉汽包 (或过热器出口), 两个切断阀之间应有通向大气的疏水管和阀门, 其内径不得小于18mm。
8.4.10 蒸汽系统安全阀的设置应符合下列要求:
1 蒸汽系统采用的安全阀应选用全启弹式或杠杆式和控制式〔脉冲式、气动式、液动式和电磁式等)。选用的安全阀应符合有关技术标准的规定。
额定蒸汽压力≤0.1MPa的锅炉可采用静重式安全阀或水封式安全装置。水封装置的水封管内径不应小于25mm, 且不得装设阀门, 同时应有防冻措施。
2 蒸汽安全阀的排放量应按照下列方法迸行计算:
E=0.235×A×(10.2×P+1)×k (8.4.10-1)
式中 E——安全阀的理论排放量(kg/h〕;
A——安全阀的流道面积(mm2),可用(π*d2)/4计算;d为安全阀的流道直径(mm);流道直径与公称直径的关系参见表8.4.10-1;
P——安全阀入口处的蒸汽压力(表压)(MPa);
K——安全阀入口处蒸汽比容修正系数,按下式计算:
K=Kp×Kg (8.4.10-2)
式中 Kp——压力修正系数;
Kg——过热修正系数;
K、Kp、Kg——系数,按表8.4.10-2选用或计算。

注:1
亦可使用
代替。
表中Vg为过热蒸汽比容(m3/kg);Vb为饱和蒸汽比容(m3/kg);Tg为过热度(℃)。
2 按照安全阀制造单位提供的计算公式及数据计算。
3 对于额定蒸汽压力≤1.6MPa的锅炉,安全阀的流道直径不应小于25mm。
4 安全阀应垂直安装,并应安装在被保护设备的最高位置。在安全阀的被保护设备之间,不得安装取y用蒸汽的管道和阀门。
5 多个安全阀共同装在一个短管上时,短管和流通截面积不应小于所有安全阀流道面积之和。
6 采用螺纹连接的弹簧式安全阀, 其规格应符合《弹式安全参数》JB2202 要求。安全阀应与带有螺纹的短管相连接, 而短管与被保护设备之间应采用焊接连接。
7 安全阀应装设有足够流通截面积的排汽管 (直接通安全地点), 底部应装置接到安全地点的疏水管, 排汽管和疏水管上都不得装置阀门, 并应进行可靠的固定。
如排汽管露天布置而影响安全阀的正常动作时, 应加装防护罩。防护罩的安装应不妨碍安全阀的正常动作与维修。
8 安全阀排汽管上如装有消音器, 应有足够的流通截面积。消音板或其它元件的结构应避免因结垢而减少蒸汽的流通截面积。
9 安全阀上必须有下列装置:
1)杠杆式安全阀应有防止重锤自行移动的装置和限制杠杆越出的导架;
2)弹簧式安全阀应有提升手把和防止随便拧动调整螺钉的装置;
3)静重式安全阀应有防止重片飞脱的装置;
4)控制式安全阀必须有可靠的动力源和电源:
① 脉冲式安全阀的冲量接入导管上的阀门应保持全开并加铅封;
② 用压缩气体控制的安全阀须有可靠的气源和电源;
③ 液压控制式安全阀须有可靠的液压传送系统和电源;
④ 电磁控制式安全阀须有可靠的电源。
10 安全阀启闭压差一般应为整定压力的4%~7%, 最大不超过10%。当整定压力小于0.3MPa时, 最大启闭压差为0.03MPa。
8.4.11 凝结水系统的设计应考虑下列原则:
1 蒸汽供热系统的凝结水应回收利用, 但加热有强腐蚀性物质的凝结水不应回收利用; 加热油槽和有毒物质的凝结水, 严禁回收利用, 并应在处理达标后排放;
2 凝结水回收系统宜采用闭式系统;
3 回收的凝结水应符合锅炉给水水质要求《工业锅炉水质》GB1576的规定;
4 根据用汽设备的性质和凝结水被污染程度,确定是否应设置除铁处理、加药处理或其它处理装置;
5 对可能被污染的凝结水,应设置监测仪表装置。
8.4.12 凝结水泵的设置应符合下列要求:
1 凝结水泵宜设置2台,其中一台备用。每台凝结水泵的流量应能满足系统凝结水最大回收量的要求。
2 选用的水泵, 应能适应所需输送凝结水的温度和压力要求。
3 当凝结水和软化补充水在凝结水箱混合后用泵输送至除氧系统或锅炉时, 运行水泵总流量应能满足所有运行锅炉在额定蒸发量下所需给水量1.1倍。
4 凝结水泵的扬程可按下式计算确定:
H=P+H1+H2+H3 (8.4.12)
式中 H——水泵扬程(m);
P——水泵出口侧设备压力, 当凝结水送至开式给水箱时, 取P=0; 当凝结水送至热力除氧水箱时, 取P =2~3m;
H1——凝结水管路系统阻力(m);
H2——凝结水箱最低水位和泵出口侧水箱 (绐水箱或除氧水箱〕内最高水位之间的高差 (m);
H3——富裕压头,取H3=5m。
8.4.13 凝结水箱的设置应符合下列要求:
1 凝结水箱宜设置一个, 常年不间断运行的宜设二个或一个中间带隔板的可分别进行清洗的隔板水箱;
2 凝结水箱的总有效容量按系统20~40min最大凝结水回收考虑; 当软化水直接进人凝结水箱时, 水箱容积应根据处理设备的设计出力和运行方式适当加大;
3 凝结水箱应配置进出水管、排污管、排气管等管接头, 还应设置水封溢流装置、水位计、温度计、高低水位控制器、人孔等附件, 爬梯设置要求同8.4.6条的第2款;
4 凝结水箱和凝制水管应进行保温;
5 当凝结水温度高于90℃时, 水箱内宜设置冷却降温排管; 凝结水管的进水口宜接至水箱最低水位以下, 但应有防止进水管产生虹吸或倒流的措施;
6 凝结水箱间应有良好的自然通风或机械通风。地下凝结水箱间应设置积水坑和排水设施。
8.4.14 蒸汽系统的下述地点应装疏水器和疏入水管道:
1 在汽水分离器、汽水换热器、分汽缸等设备的下部、饱和蒸汽管和蒸汽伴热管的低点, 以及蒸气管道的鞍形弯曲段等处应设置疏水器、疏放水管道以及相应的关断、放水阀门;
2 在蒸汽干管末端、蒸汽立管底部、减压阀和自动调节阀及流量孔板的两侧应装疏水阀和疏放水管;
3 顺坡水平蒸汽干管每隔150~200m, 逆坡水平蒸汽干管每隔100~200m, 水平蒸汽伴热管每隔50m左右, 应设疏水点, 配疏水器、阀和疏放水管道。
8.4.15 疏水器的选择和安装应符合下列要求:
1 根据凝结水排量和疏水器进口和出口的压差, 由各种疏水器的排水量线图查找型号。疏水器排水能力和背压可按下式计算:
G=n1+G1 (8.4.15-1)
PB=n2×(△P+H1+H2) (8.4.15-2)
式中 G——疏水器排水能力(t/h);
G1——实际凝结水排量(t/h);
n1——流量安全系数,取n1=2~3;
PB——疏水器到排放终点之间的管道系统阻力(MPa);
n2——压力富裕系数,取n2=1.3~2.0;
△P——疏水器到排放终点之间的管道系统阻力(MPa);
H1——排放终点,疏水接受容器内压力(MPa);
H2——疏水管出口侧管道提升高度产生的水柱静压力(MPa)。
2 疏水器水平安装在蒸汽管道或用汽设备的下方; 安装在蒸汽管道下的疏水器, 前方应有直径较大的存水短管。
3 启动时有大量凝结水的疏水点, 疏水器处应装旁通管, 旁通管和疏水器应水平安装。
4 当疏水器排出的凝结水需要向上提升至某一高度后与凝结水干管连接时, 疏水器后的支管上应装置止回阀, 且支管应接至干管的上游。
5 当有多种压力不同的疏水支管时, 宜将压力相近的支管接到同一疏水母管。压差>0.3MPa的不同参数的疏水支管, 不宜合并输送, 可先引入疏水扩容器、二次蒸发箱, 分离出二次蒸汽梯级利用, 再合管输送。
6 疏水管、放水管和排气管的管径, 可参照表8.4.15选取。

8.4.16 锅炉房各系统疏放水, 应按下列规定分别接至各类水箱:
1 锅炉及各热力设备疏水应接入凝结水箱;
2 热力设备、管道的放水, 宜根据其温度及压力等级接至各类水箱;
3 热力除氧给水箱的溢流管、放水管宜接至凝结水箱或软水箱。
8.5 热水锅炉房的水系统设计
8.5.1 锅炉机组范围内的阀门和其它附件应锅炉制造厂的规定进行布置安装。锅炉本体直接相连的安全阀、压力表、排污阀(或放水阀)、排气阀必须齐全。热水锅炉出口至热水母管直到分水缸范围的管道属锅炉范围管道,其材质要求应与锅炉管道相同。锅炉本体外的阀门和附件必须符合《热水锅炉安全技术监察规程》的规定。每台热水锅炉的进(出)水管道应装设方便操作的关断阀门,如电动调节阀,以便将不参加运行的锅炉从运行系统中排除。
对于未配带安全阀的小型进口热水锅炉,设计部门应在系统设计时,于锅炉出水管上增加安全阀的配置,安全阀的口径应符合《热水锅炉安全技术监察规程》的规定。
8.5.2 热水系统安全阀的设置应符合下列要求:
1 应采用微启式安全阀。
2 容器和管道的安全阀可按下式计算:
Ws=5.1**×K**×A**×
式中 Ws——安全阀的排放能力(kg/h);
K——排放系数,与安全阀结构有关,应根据实验数据确定;
无参考数据时,可按下述规定选取:
带调节圈的微启式安全阀K=0.40~0.501;
不带调节圈的微启式安全阀K=0.25~0.35;
A——安全阀最小排气截面积(mm2);
微启式安全阀,即 时,平面密封:
其中h为安全阀的开启高度(mm);
d为安全阀的阀口直径(mm);
△P——阀门前后压力降(MPa);
△P=Pd-Po,Pd=1.2×Ps+0.1
其中Pd为安全阀的排放压力(绝压)(MPa);
Ps为安全阀启始压力(表压)(MPa);
Po为安全阀的出口侧压力(绝压)(MPa);
p——阀门入口侧温度下的液体密度(kg/m3)。
3 安全阀应装设泄放管,泄放管上不允许装设阀门。泄放管应直通安全地点或水箱, 并有足够的截面积和防冻措施, 保证排放畅通。
8.5.3 热水锅炉应有防止或减轻因热水系统的循环水泵突然停运后造成锅水汽化和水击的措施,可采取以下措施之一:
1 在循环水进水管道上接自来水管;
2 设置备用电源。
8.5.4 有多个供热点的锅炉房宜设置分水缸(器)、集水缸(器)。
8.5.5 锅炉房内连接循环水泵、锅炉、分(集)水缸的供回水母管宜采用单母管。运行参数(压力、温度〕相同的热水锅炉和循环水泵可合用一个循环管路系统; 运行参数不同的热水锅炉和循环水泵应分别设置循环水管路系统。
8.5.6 钢制热水锅炉的热水出水压力, 不应低于“额定出口热水温度+20℃”时的饱和压力; 铸铁锅炉的热水出水压力不应低于“额定出口热水温度+40℃”时的饱和压力。
8.5.7 热水锅炉房循环水系统的设计应符合下列要求:
1 在循环水泵上游的进口母管上〔或水泵进水管上〕应装设除污器和安全阀, 安全阀宜安装在除污器出口一侧, 安全阀的排水管可接至开式水箱或排水沟; 在除污器的前后管路上应配置压力表和切断阀,并应设旁通管和旁通阀;
2 在循环水泵进出口侧的母管之间, 应设置带止回阀的旁通管, 旁通管截面积不得小于母管截面积的l/2; 止回阀的安装方向是在循环水泵停运时, 能使进水母管中的水流向水泵的出水母管;
3 在循环水泵进口母管上, 宜装设高于系统静压的泄压放气管;
4 循环水管路系统的最高处及易聚集气体的部位, 应设置自动排气装置; 在系统的最低处或低凹处, 应设置排水管和排水阀。
8.5.8 循环水泵的设计应符合下列要求:
1 循环水泵的总流量:

式中 G——循环水泵总流量(t/h);
Q——供热系统总热负荷(W);
C——热水的平均比热[kJ/(kg·℃)];
t1、t2——供热循环水系统供、回水温度(℃);
Go——锅炉出口母管和循环水泵进口母管之间旁通管的循环流量(t/h);不设旁通管时,取Go=0。
2 循环水泵的扬程:
H=K×(H1+H2+H3+H4) (8.5.8-2)
式中 H——循环水泵扬程(m);
H1——热水锅炉的流阻压力降(m),该值应由锅炉制造厂提供(5.6MW以下的强制循环热水锅炉, 约为8~15m);
H2——锅炉房内循环水管道系统〔含分/集水缸和除污器) 的压力损失(m), 根据系统大小可按5~10m考虑;
H3——室外热网供、回水管道系统的压力损失(m);
H4——最不利的用户内部循环水系统压力损失(m);
K——裕量系数, 一般取K=1.05~1.10。
3 循环水泵的台数应根据供热系统规模, 结合管网设计和运行调节方式确定。采用集中质调时,台数不应少于2台, 当一台停止运行时, 其余水泵的总流量应满足最大循环水量的需要; 采用分阶段改变流量调节的设计系统时, 循环水泵可按各阶段的流量、扬程要求配置, 其台数不宜少于3台, 可不设备用, 其流量、扬程不宜相同。采用改变流量的中央质、量调节时, 宜选用调速水泵。
4 并联运行的循环水泵不宜超过3台, 应选用型号相同且流量特性曲线平缓且相同的水泵。
5 水泵的承压能力和耐温能力, 应不低于循环水系统的设计压力和设计温度。
6 循环水泵宜采用变频调速, 实现系统量调节。
7 在热网循环水泵出水母管和热网供水母管之间, 加设三通调节阀, 根据温度补偿器调控三通阀开度, 控制混水量, 达到系统质调节的目的。同时锅炉供、回水管之间宜加设循环水泵, 以保证锅炉的循环水量和锅炉回水温度。
8 当热网系统包括生产和生活热负荷时, 宜增设非采暖期管网, 并另设相适应的循环水泵。
8.5.9 热水采暧供热系统的一、二次水的动力消耗应予控制, 其耗电输热比EHR值应作计算, 见本措施第6.8.4条。
8.5.10 热水供热系统的定压, 应符合下列要求:
1 热水系统的恒压装置和加压方式, 应根据系统规模、供水温度和使用条件等具体情况确定。通常≤95℃的热水系统可采用高位开式膨胀水箱定压或补给水泵定压; 高温热水系统可采用补给水泵加压装置定压。
2 采用高位膨胀水箱时:
1)高位膨胀水箱与热水系统的连接位置, 宜设在循环水泵进口母管上; 连接管上, 不应装设阀门;
2)高位膨胀水箱的最低水位, 应高于热水系统最高点1m以上, 并应保证循环水泵停止运行时系统不汽化;
3)设置在露天的高位膨胀水箱及其管道应有防冻措施。高位膨胀水箱设置自循环水管, 应接至热水系统回水母管上, 并与膨胀管接点相距2m以上。
3 采用补给水泵时:
1)循环水泵运行时, 应使系统内水不汽化; 循环水泵停止运行时. 宜使系统内水不汽化;
2)当引入锅炉房的绐水压力高于热水系统静压线, 在循环水泵停止运行时, 宜采用结水保持静压;
3)定压补给水泵宜采用调频变速泵,连续补水;变速泵在最低转速时的扬程,应大于系统定压点压力的要求;
4)当循环水系统漏水量很小时,如锅炉和换热器均设置在锅炉房的一次水系统,宜采用低们式控制的定压罐装置(高水位停泵,低水位开泵);在补水泵停止运行期间,热水系统的压力降低,不得导致系统汽化或系统最高点缺水;
5)热水系统应设置超压泄压装置, 泄压水宜接至补给水箱。
8.5.11热水供热的补水泵和补水箱的设计应符合下列要求:
1 补给水泵的流量, 应根据热水系统的正常补给水量和事故补给水确定; 一次热网系统补水量不应大于系统循环水量的l%。补给水泵的流量宜为正常补水量的4~5倍;
2 补给水泵的扬程, 不应小于补水点压力加30~50kPa的富裕量;
3 补给水泵的台数不宜少于2台,其中l台为备用;
4 补水点的位置一般宜设在循环水泵吸人侧母管上;
5 补给水箱的有效容量, 应根据热水系统的补水量和锅炉房软化水设备的具体情况确定, 但不应小于1~1.5h的正常补水量;
6 常年供热的锅炉房, 补给水箱宜采用带中间隔板可分开清洗的隔板水箱;
7 水箱应配备进、出水管和排污管, 溢流装置、人孔、水位计等附件;
8 热水系统宜配置闭式膨胀水罐。
8.6 锅炉水处理
8.6.1 锅炉的给水、锅水、补给水、循环水的水质, 应符合现行国家标准《工业锅炉水质》GB1576的规定。
1 蒸汽锅炉和汽水两用锅炉的给水, 应采用锅外化学水处理, 水质应符合表8.6.1-1的规定。
2 额定蒸发量≤2t/h, 且额定蒸汽压力≤1.0MPa的蒸汽锅炉和汽水两用锅炉(如对汽、水品质无特殊要求〕也可采用锅内加药处理。但必须对锅炉的结垢、腐蚀和水质加强监督, 认真做好加药、排污和清洗工作, 其水质应符合表8.6.1-2的规定。
3 承压热水锅炉给水应进行锅外水处理, 对于额定功率≤4.2MW非管架式承压的热水锅炉和常压热水锅炉, 可采用锅内加药处理, 但必须对锅炉的结垢、腐蚀和水质加强监督, 认真做好加药工作, 其水质应符合表8.6.1-3的规定。
4 直流 (贯流〕锅炉给水应采用锅外化学水处理, 其水质按表8.6.1-1中额定蒸汽压力为>1.6MPa、≤2.5MPa的标准执行。
5 余热锅炉及电热锅炉的水质指标应符合同类型、同参数锅炉的要求。

注:1 硬度mmol/L的基本单元为c(1/Ca2+、1/2Mg2+),下同。
2 碱度mmol/L的基本单元为c(OH-、1/2CO32-、HCO3-),下同。
对蒸汽品质要求不高,且不带过热器的锅炉,使用单位在报当地锅炉压力容器安全监察机构同意后,碱度指标上限值可适当放宽。
3 当锅炉额定蒸发量大于等于6t/h时应除氧,额定蒸发量小于6t/h的锅炉如发现局部腐蚀时,给水应采取除氧措施,对于供汽轮机用汽的锅炉给水含氧量应小于等于0.005mg/L。
4 如测定溶解固形物有困难时,可采用测定电导率或氯离子(CI-)的方法来间接控制,但溶解固形物与电导率或与氯离子(CI-)的比值关系应根据试验确定,并应定期复试和修正此比值关系。
5 全焊接结构锅炉相对碱度可不控制。
6 仅限燃油、燃气锅炉。

注:1 通过补加蕴含剂使水pH值控制在10~12.
2 额定功率大于等于4.2MW的承压热水锅炉给水应除氧,额定功率小于4.2MW的承压热水锅炉和常压热水锅炉给水应尽量除氧。
8.6.2 锅炉水处理方式应符合下列要求:
1 民用锅炉房的给水一般采用自来水、悬浮物一般已达标;水处理方式宜尽量选择系统简单、操作方便的水处理方式,应根据原水水质和锅炉给水、锅水标准,凝结水的回收量及锅炉排污率及投资建设方的具体情况确定水处理方式;
2 处理后的锅炉给水,不应使锅炉产生的蒸汽对生产或生活使用造成有害影响;
3 当原水水压不能满足水处理工艺要求时,应设置原水加压措施。
8.6.3 民用锅炉房化学水处理设备的选择应考虑下列原则:
1 采用锅外化学水处理时,蒸汽锅炉的排污率不宜大于10%。
2 蒸汽锅炉房化学水处理设备的出力可按下式计算:

式中 D——水处理设备出力(t/h);
D1——蒸汽用户凝结水损失(t/h);
D2——锅炉房自用蒸汽凝结水损失(t/h);
D3——锅炉排污水损失(t/h);
D4——室外蒸汽管道和凝结水管道的漏损(t/h);
D5——采暖热水系统的补给水量(t/h);
D6——水处理系统的自用化学水量(t/h);
D7——其它用途的化学水消耗量(t/h);
K——富裕系数,取K=1.1~1.2。
3 热水锅炉房化学水处理设备的出力可按下式计算:

式中 D——处理设备出力(t/h);
D1——次水系统补水量(t/h);
D2——锅炉房换热站二次水补水量(t/h);
D3——水处理系统的自用化学水量(t/h);
D4——其它用途的化学水消耗量(t/h);
K——富裕系数,取K=1.1~1.2。
4 化学软化水设备的类型可按下列原则选择:
1)进水总硬度≤6.5mmol/L时, 宜采用固定床逆流再生离子交换器; 进水总硬度<2mmol/L时,可采用固定床顺流再生离子交换器;
2)固定床离子交换器的设置不宜少于2台, 其中1台为再生备用, 每台再生周期宜按12~24h设计; 当软水的消耗较少时, 可设置1台, 但其设计出力应满足离子交换器运行和再生时的软水消耗量需要;
3)出力小于10t/h的固定床离子交换器, 宜选用全自动软水装置,其再生周期宜为6~8h;
4)进水总硬度>6.5mmol/L, 当一级钠离子交换器出水达不到水质标准时, 可采用二级串联的钠离子交换系统;
5)进水碳酸盐硬度较高, 且允许软化水残余碱度为1.0~1.4mmol/L时, 可采用钠离子交换后加酸处理;加酸后的软化水应经除二氧化碳器脱气,软化水的pH值就应能进行连续监测;
进水碳酸盐硬度较高或有负硬度, 且允许软化水残留碱度为0.35~0.5mmol/L时, 可采用弱酸性阳离子交换树脂或不足量酸再生氢——钠离子串联系统, 其氢离子交换器应采用固定床顺流再生; 氢离子交换器出水应经除二氧化碳器脱气, 氢离子交换器及其出水、排水管道应防腐;
6)除二氧化碳器的填料层高度, 应根据填料的品种和尺寸, 进出水中二氧化碳的含量、水温和所选定淋水密度下的实际解折系数等困素确定。
除C02器风机的通风量, 可按每1m3水耗用15~20m3空气计算。
8.6.4 化学软化水再生还原系统的设计,应符合下列要求:
1 钠离子交换再生用的食盐可采用干法或湿法贮存, 当采用湿法贮存时, 应符合下列要求:
1)浓盐液池和稀盐液池各设1个,且宜采用混凝土建造,内壁贴防腐材料内衬;
2)浓盐液池的有效容积宜为5~10天食盐消耗量,其底部应设置慢滤层或设置过滤器;
3)稀盐液池的有效容积不应小于最大一台钠离子交换器一次再生盐液的消耗量;
4)宜设装卸平台和起吊设备;
5)盐液泵应选用耐碱腐蚀的泵型。
2 酸再生系统的设计应符合下列要求:
1)酸槽的贮量,应按酸液每昼夜的消耗量, 交通运输条件和供应情况等因素确定,宜按贮存15~30天的消耗量设计;
2)酸计量箱的有效容积,不应小于最大一台离子变换器一次再生所需酸液的消耗量;
3)酸泵宜设一台, 应选用耐酸腐蚀的泵型, 卸放酸宜利用自流或采用酸液泵抽吸;
4)输送并稀释再生用酸液,宜采用酸喷射器;
5)贮存和输送酸液的设备、管道、阀门及其附件, 应采取防腐和防护措施;
6)酸贮存设备布置宜靠近水处理间, 贮存罐地上布置时, 其周围应设有能容纳最大贮存罐110%容积的防护堰, 当围堰有排放设施时, 其容积可适当减小;
7)酸贮存罐和计量箱应采用液面密封设施, 排气应接入酸雾吸收器;
8)酸贮存区内应设操作人员安全冲洗设施;
9)磷酸盐溶液的制备宜采用溶解器和溶液箱。应设置溶解器的搅拌设施, 溶液箱的有效容积不宜小于锅炉房1天的药液消耗量, 配制溶液应用软化水或除盐水。
3 除盐水系统排出的清洗水宜回收利用;酸、碱废水应综合利用,或经中和处理合格后排放。
8.6.5 软化或除盐水箱和中间水箱的有效容量,应符合下列要求:
1 软化或除盐水箱和总有效容量,应根据水处理设备的设计出力和运行方式确定;当设有备用再生设备时,软化或除盐水箱的总有效容量宜为30~60min的软化或除盐水消耗量。
2 中间水箱总有效容量宜为水处理设备设计出力的15~30min贮水量,且其内壁应防腐蚀措施。
8.6.6 软化或除盐水泵以及中间水泵的选择,应符合下列要求:
1 应有一台备用泵, 当一台泵停止运行时, 其余泵的总流量应满足系统水量的要求;
2 凝结水泵和软化除盐水泵可合用1台备用泵;
3 中间水泵应选用耐腐蚀泵。
8.6.7 锅炉的汽包与锅炉管束为胀管连接时. 所选择的化学水处理系统应能维持锅水的相对碱度小于20%。当达不到要求时, 应设置向锅水中加入缓蚀剂的设施。
8.6.8 热水、蒸汽锅炉的加药系统, 应按照各自的工艺条件设置:
1 热水锅炉房应在一次水、二次水的每个系统上, 设置加药设施, 分别调节各个系统循环水的pH值在l0~12范围内;
2 蒸汽锅炉房宜采用向蒸汽管道喷药的加药设施,以提高凝结水的pH值。
8.6.9 锅炉给水和补给水的溶解氧含量应符合第8.6.1条的规定。除氧方式符合下列规定:
1 蒸汽锅炉宜采用旋膜式热力除氧或喷雾式热力除氧方式; 当要求除氧后的水温不超过60℃时,也可采用解吸除氧、真空除氧、树脂除氧等方式, 不宜采用海绵铁除氧方式;
2 热水锅炉可采用解吸除氧、真空除氧、海绵铁除氧、树脂除氧或化学除氧方式, 不宜采用热力除氧等高温除氧方式。
8.6.10 采用热力除氧方式时, 宜采用大气喷雾式热力除氧器, 并应符合下列要求:
1 热力除氧负荷调节的有效范围, 宜保持在除氧器设计额定出力的30%~120%;
2 除氧器的进汽管上应装设自动调压装置, 调压器的调节信号应取自除氧头 (器),运行时保证除氧器内蒸汽压力在0.02~0.03MPa(水温约104℃);
3 除氧器进水管上应装流量调节装置, 保持连续均匀给水, 并保持除氧水箱内一定水位;
4 除氧水箱下部宜装设沿长度方向的再沸腾用的蒸汽加热管;
5 多台除氧并联运行时,在除氧水箱之间应设置汽的连通管和水的平衡管;
6 除氧水箱的布置高度,应保证锅炉给水泵在运行中不产生气蚀。除氧水箱应配置便于操作、维修的平台、扶梯。设备上方应设置起吊装置。
8.6.11 采用树脂除氧方式时应符合下列要求:
1 对于有直接用蒸汽的锅炉房, 其树脂除氧的还原剂宜采用亚硫酸钠;
2 采用水合肼作还原剂时, 应注意水合肼的毒性, 生产的蒸汽不应用于食堂、医院等直接用蒸汽的场合。
8.6.12 采用还原过滤除氧方式时应符合下列要求:
1 应选用配备有还原铁除氧器和树脂除铁(Fe2+)器的定型产品或具有上述两个功能的组合装置, 保证进入锅炉的除氧水不含铁离子(Fe2+);
2 原铁应选用含铁量高、强度较大、不易粉化、不易板结的多孔性海绵铁粒(其堆积密度约为1.4t/m3) ;
3 除铁器内宜装充Na型强酸阳树脂滤料;
4 系统设计时, 应合理控制流经过滤层的水流压力和流速,当设备制造厂未提运行要求时, 一般可控制流经海绵铁层的流速为15m/h左右, 流经树脂滤层的速度为25m/h左右;
5 除氧水箱应采用密闭水箱。
8.6.13 采用真空除氧方式时, 应符合下列要求:
1 真空除氧器内应保持足够的真空度和水温, 使除氧器内的水处于相应真空度下的饱和温度;
2 喷射真空除氧器的喷射器入口蒸汽压力和流量或喷射水压和水流量应满足喷射器的设计要求;
3 真空除氧器进水管上应装设温度自动调节装置, 保证给水温度略高于除氧器相应压力下的饱和温度;
4 除氧水箱应装设液位自动调节装置;
5 为避免喷射器堵塞, 汽、水管道上应设置过滤器;
6 真空除氧系统的设备和管道应保持高度的气密性, 管道连接应采用焊接, 尽量减少螺纹连接件。
8.6.14 采用解析除氧方式时, 应符合下列要求:
1 喷射器的进口水压应满足喷射器设计要求, 一般不得低于0.4MPa;
2 当水温超过50℃时, 在解析器的气体出口管道应加装冷凝器, 防止水蒸汽进人反应器;
3 除氧系统及其下游的设备和管道应保持高度的严密性, 管道系统除必须采用法兰或螺纹连接外, 应采用焊接连接, 除氧水箱应为密闭式水箱;
4 除氧水泵的流量应大于锅炉给水泵的流量, 流量比宜为1.2~1.5。
8.4.15 采用化学药剂除氧时, 应符合下列要求:
1 化学除氧方式药剂耗量高,运行费用高,只宜用于≤4t/h(2.8MW)的小型蒸汽锅炉给水或热水锅炉补给水除氧;常用药剂有亚硫酸钠(Na2SO3)采用Na2SO3除氧时,应监测水中的硫酸根含量;
2 药剂制配输送系统的设备和管道必须严密防止空气渗入;
3 采用亚硫酸钠除氧时, 配置液质量浓度一般为5%~10%, 溶液箱容积不宜小于一天的药液用量,压力式加药罐容积宜小于8小时的药液用量。
8.6.16 水处理设备的布置, 应根据工艺流程和同类设备尽量集中的原则确定, 并应便于操作、维修和减少主操作区的噪声。水处理间主要操作通道的净宽不应小于1.5m, 辅助设备操作通道的净距不宜小于0.8m。其它通道均应适应检修的需要。
8.6.17 锅炉房应设置化验室, 化验设备配置应考虑下述要求 (一般化验设备见表8.6.17):
1 蒸汽锅炉房应配备测定悬浮物、总硬度、总碱度、pH值、溶解氧、溶解固形物、硫酸根、氯化物、含铁量、含油量等项目的设备和药品;当采用磷酸盐锅内水处理时,尚应配备能测定磷酸根含量的设备;
2 热水锅炉房应设置测量悬浮物、总硬度、pH值、含油量等的仪表设备;采用锅外化学水处理时,尚应配备测定溶解氧的设备;
3 化验室宜配备测定烟气中含氧量或CO2、NOx、SO2等含量的设备;燃油,燃气锅炉房还宜配备测定烟气氢、碳氢化合物等可燃物含量的仪表设备;
4 总热功率大于14MW的燃煤锅炉房,宜能对煤进行工业分析及发热量测定,对飞灰和炉渣进行可燃物含量的测定。总热功率大于42MW的锅炉房,尚宜能进行燃料元素分析。


8.6.18 化验取样设备及取样方式应符合下列要求:
1 额定出力≥1t/h或0.7MW的锅炉应设锅水取样装置;对蒸汽品质有要求时,还应设蒸汽取样装置;取样装置和取样点应保证取出的水、汽样品有代表性和时效性;
2 除氧水、给水的取样管道,应采用不锈钢管;
3 高温除氧水、锅炉给水、锅水及疏水的取样系统必设冷却器,水样温度应在30~40℃之间,水样流量为500~700ml/min;
4 测定溶解氧和除氧水的取样阀的盘根和管道,应严密不漏气。
8.7 锅炉排污
8.7.1 蒸汽锅炉应根据锅炉本体的设计情况配置连续排污装置和管道。蒸汽和热水锅炉的锅筒(锅壳)、立式锅炉的下脚圈、每组水冷壁下集箱的最低处、省煤器下联箱等应设定期排污装置和排污管道。排污水应在排污除湿池除湿至40℃以下后,才可排入室外管沟或下水管。
8.7.1 蒸汽锅炉的连续排污设计,应符合下列规定:
1 蒸汽锅炉连续排污率应按下式计算:

连续排污量为:
式中 P——续排污率(%), 取上述两式中较大的计算值;
Ao——锅炉给水的碱度 (mmol/L);
So——锅炉给水的溶解固形物含量 (mg/L) ;
S——锅水所允许的溶解固形物指标 (mg/l), 其值见表8.6.1-1和表8.6.1-2;
A——锅水允许碱度指标 (mmol/L〕;
p——锅炉补水率(或凝结水损失率)以小数表示;
DLP——锅炉连续排污量(kg/h);
D——锅炉蒸发量(kg/h)。
2 采用锅外化学水处理时, 蒸汽锅炉蒸汽压力≤2.5MPa时, 单台容量<20t/h, 锅炉排污率不宜大于10%。
3 蒸汽锅炉的连续排污水的热量应合理利用。锅炉房宜根据总的连续排污设置连续排污扩容器和排污水换热器。连续排污扩容器的容积按下式计算确定:

式中 VLP——连续排污扩容器容积(m3);
k——富裕系数,取k=1.3~1.5;
v——二次蒸汽比容(m3/kg);
W——扩容器分离强度[m3/m3·h)],一般取W=800m3/(m3·h);
D2——二次蒸汽蒸发量(kg/h);可按下式计算:

DLP——连续排污水量(kg/h);
i——锅炉饱和水焓(kJ/kg);
i1——扩容器出水焓(kJ/kg);
i2——二次蒸汽的焓(kJ/kg);
η——排污管热损失系数,取η=0.98;
χ——二次蒸汽的干度,取χ=0.97。
8.7.3 锅炉定期排污的排污量,应按下式计算:
1 采用锅外水处理时(每次排污量按上锅筒水位变化控制):

式中 Gd——每台锅炉一次定期排污量(m3/次);
n——每台锅炉上锅筒个数(个);
D——上锅筒直径(m);
L——上锅筒长度(m);
h——上锅筒水位排污前后高差,一般取h=0.1m。
2 采用锅内加药水处理时:

式中 Gd——每台锅炉一次定期排污量(m3/次);
g1——给水溶解固形物的含量(mg/L);
g2——加药量(mg/L);
G——排污间隔时间内的给水量(m3);
g——锅炉最大允许溶解固形物含量(mg/L),见表8.6.1-1和表8.6.1-2。
8.7.4 锅炉排污管道系统的设计应符合下列要求:
1 锅炉上的排污管和排污阀不允许采用螺纹连接,排污管不应高出锅筒或联箱相应排污口的高度;
2 每台锅炉宜采用独立的定期排污管道,并分别接至排污扩容器或排污降温池,排污管尽量减少弯头,保证排污畅通;
3 当每台锅炉的定期排污管使用排污母管时,在每台锅炉接到排污母管的干管上必须装设切断阀,在切断阀前宜装设止回阀,在排污母管上不得装设任何阀门。
4 每台蒸汽锅炉的连续排污管道,应分别接至连续排污膨胀器。在锅炉出口的连续排污管上,应安装节流阀,在锅炉出口和连续排污扩容器进口处,应各设一个切断阀。2~4台锅炉可合设一台连续排污扩容器(又称连续排污膨胀器),连续排污扩容器上应装设安全阀。
8.7.5 锅炉连续排污扩容器和定期排污扩容器后的排污水应予利用,宜设排污水换热器加热生水。经排污扩容器或排污水换热器后的排污水,可用于热水热网补充水或排入脱硫循环水池。
8.8 燃煤锅炉房运煤、除渣
8.8.1 煤的贮运应充分考虑下列问题:
1 运煤系统的布置应在满足运煤工艺流程要求的前提下,合理地进行设备及装置的组合,协调系统、设备布置,尽量缩短工艺流程,减少物料倒运次数;
2 进厂的原煤应计量,应设置可累计进厂原煤总量的计量装置,如铁路轨道衡、汽车衡等,计量装置的配置应考虑称量范围及计量的准确性;
3 民用锅炉房贮煤场的设计,应力求节约用地,减少煤灰对环境的污染。露天煤场宜设置实体围墙。在多雨地区,宜将煤场的一部分设为干煤棚。其容量宜为4~8天锅炉房最大计算用煤量。对于用地紧张和环保要求很高的用户,必要时可设置地上或地下煤仓或煤库。
8.8.2 煤场(或煤库)的容量,应根据锅炉房日用耗煤量、煤源远近及运输方式确定。
1 火车和船舶运煤时,宜为10~25天的锅炉房最大计算耗煤量。
2 汽车运煤时,宜考虑5~10天的锅炉房最大计算耗煤量。
对于采暖用煤要求一次供给的地区与供煤部门有特定协议的用户,煤场容量可学按1、2款确定。
3 露天煤场的面积,可按下式计算:

式中 F——煤场面积(m2);
B——锅炉房最大小时耗煤量(t/h);
t——锅炉每昼夜运行时间(h);
m——贮煤天数,按上述相关条款确定;
n——考虑煤场通道的系数,一般取n=1.5~1.6;火车运煤时,取n=1.3;
H——煤场高度,按装卸设备选定,见表8.8.3;
p——煤的堆积密度(t/m3);
φ——堆角系数,梯形堆取φ=0.75~0.80;三角形堆φ=0.45。
8.8.3 煤场装卸设施和转运设备应根据锅炉房耗煤量和来煤运输方式确定,应符合下列要求:
1 火车运煤时,应采用机械化方式卸煤;
2 汽车运煤时,应利用社会运力,当无条件时,应设置自备汽车及卸煤的辅助设施;常用煤场设备见表8.8.3;

3 从煤场到锅炉房和锅炉房内部的运煤可采用下列方式:
1)运煤量<1t/h时,采用人工装卸和手推车运煤;
2)运煤量为1~6t/h时,采用间歇机械化设备装卸和间隙或连续机械化设备运煤;
3)运煤量6~15t/h时,采用连续机械设备装卸和运煤;
4)运煤量15~60t/h时,宜采用单路带式输送机运煤,其驱动装置宜有备用;
5)运煤量>60t/h时,可采用双路带式输送机运煤。
8.8.4 煤场建筑和配套设施设计应符合下列要求:
1 煤场场地应平整坚实,地坪应高出地下水位0.5m以上,场地应有不小于0.005的排水坡度;
2 露天煤堆与周围建筑的防水间距应符合表8.8.4的规定;
3 煤场应配备洒水和排水设施
4 煤棚的屋架下弦净高(至地面)一般取3~3.5m。如采用翻斗汽车卸煤或采用堆土机倒堆时,屋架下弦高度应按工艺要求确定。

8.8.5 锅炉房的运煤方式应按8.8.3条所述原则确定, 常用运煤系统见表8.8.5。系统小时运煤量〔即运煤能力〕, 应根据锅炉房日最大计算耗煤量和运煤系统运行制度下式计算:

式中 Q——系统设备运煤能力(t/h);
B——锅炉房最大小时耗煤量, 需要扩建的锅炉房,应计人扩建后的耗煤量(t/h〕;
m——不平衡系数, 取m=1.1~1.2;
t——煤系统每天作业时间 (h〕。
一班运煤工作制时, 取t≤6h;
两班运煤工作制时, 取t≤11h;
三班运煤工作制时, 取t≤l6h。

8.8.6 运煤系统的设计应符合下列要求:
1 煤场受煤斗设计应符合下列要求:
1)受煤斗应尽量靠近贮煤场中间, 以减少煤的倒运距离及倒运次数; 在条件许可的情况下, 尽量将受煤系统、厂外运输系统和煤输送系统有机结合;
2)受煤斗进口尺寸应与装卸设备协调, 受煤斗的容积应能装纳装卸设备2~4次加煤;
3)钢受煤斗倾角≮55°, 混凝土受煤斗倾角≮60°; 受煤斗内壁应光滑耐磨, 相邻壁面宜作成半径200mm的圆弧;
4)受煤斗进煤口应配筛箅, 其孔格不大于160mm×200mm; 出煤口应设置可调开度的闸门;
5)露天煤场的受煤斗,其上方应设雨棚盖。
2 从受煤斗的卸料到带式输送机、多斗提升机或埋刮板输送机之间,宜设置均匀给料的装置。
3 对于供应块煤的锅炉房,当原煤块度不符合锅炉燃烧设备的粒度要求时,应设置煤块破碎装置。经破碎筛选后的煤块粒度,链条炉不宜大于50mm。在破碎装置前应设置煤的磁选和筛选装置。
4 固定筛和振动筛的设置应符合下列要求:
1)煤进入筛网的落差不能过高;
2)固定筛的网眼应比筛下煤的料径大1.2~1.3倍;安装倾角一般取为40°~50°;
3)筛分设备的能力应按运煤系统输送量的1.25~1.35倍考虑。
5 采用带式输送机运煤的系统设计应符合下列要求:
1)胶带宽度不宜小于500mm;
2)输送原煤时,胶带倾角一般不宜大于16°,输送破碎或筛分后的细煤时,最大倾角不宜大于18°,当在倾斜胶带上卸料时,其倾角不宜大于12°;
3)采用大倾角挡边带式输送机,在运原煤时,最大倾角不大于70°,一般不超过55°;
4)卸料段长度超过30m时,在胶带上方应设置人行过桥。
6 带式输送机的栈桥设计应符合下述要求:
1)在寒冷和风沙地区应采用封式栈桥,或一体式钢结构栈桥;在气象条件适合的地区,可采用敞开式、半敞开式或轻型封闭式栈桥;
2)敞开式栈桥的运煤胶带上应设置防雨围罩;
3)寒冷地区的封闭式栈桥内应有采暖设施;
4)封闭式栈桥和地下栈桥的净高不应小于2.5m,人行通道的净宽不应小于1.0m,检修通道的宽度不应小于0.7m;
5)在倾斜栈桥上的人行通道应有防滑措施,倾角超过12°的通道应做成踏步;
6)胶带输送机栈桥应封底。
7 采用多斗提升机运煤时,应有不小于连续8h的检修时间,当不能满足其检修时间时,应设置备用设备。
8 机械化连续运煤系统各设备之间应设置微机集中控制或电气自动联锁,并应符合下列要求:
1)各设备岗位应设置启动、运行、生产联系和事故信号,其中启动和生产联系信号必须有反馈系统。
2)机械运煤系统的电气联锁应符合下列操作程度:
①启动系统时,应自系统的终端设备开始,逆物料输送方向,依次启动各运转设备;
②停机时,先停给料设备,从供料系统的超始设备开始,顺物料输送方向依次停机;
③当某一设备发生故障时,逆物料输送方向,在它前面的设备应自动停机,在其后面的设备仍应继续运转,直到物料输送完毕。
3)装有三台或三台以上设备的机械化运输系统,所有设备的启动和停机,宜采用集中操作控制,并应设置局部联锁和解除联锁的装置。采用集中控制的系统,各设备还应设置就地停机的开关。
4)少于三台设备的机械化运输系统,设备的启动和停机宜采用机旁操作,但各设备之间应设置联锁和解除联锁的装置。
单头、单轨运输系统和电动葫芦上煤装置等间歇运煤系统,应设置终端限位开关和事故停机装置,保证运转安全。
9 锅炉炉前煤仓(即炉前煤斗)的设计应符合下列要求:
1)炉前煤仓的容量,根据运煤的工作班制和运煤设备检修所需的时间确定,并宜符合下列要求:
① 一班制运煤时为16~20h的锅炉额定耗煤量;
② 两班制运煤时为10~12h的锅炉额定耗煤量;
③ 三班制运煤时为1~6h的锅炉额定耗煤量;
2)煤仓内壁应光滑耐磨,煤仓溜煤倾角,应根据煤的水分和颗粒组成确定,壁面倾角不宜小于60°,相邻两壁的交线与水平面的夹角不应小于55°;相邻壁交角的内侧应做成圆弧形,圆弧半径不应小于200mm。
3)原煤仓出口的截面, 不应小于500mm×500mm,其下部宜设置圆形双曲线金属小煤斗。
4)额定出力≥10t/h(7MW)的层燃炉, 炉前煤斗下部宜配分层给煤燃烧装置。
5)炉前煤仓的溜煤管与水平面的倾角不应小于60°, 应采用消堵措施。溜煤管的截面尺寸按下式计算, 但不得小于表8.8.6-1中规定的尺寸。

式中 F——溜煤管的截面积(m2);
Qm——输煤量(t/h);
v——溜煤管内煤流速度(m/s),一般取v=1.5m/s;
p——煤的堆积密度(t/m3),见表8.8.6-2;
φ——充满系数,一般取=0.3~0.35.

10 运煤系统的转运部位必须设置防护罩, 转动机械的外露加端加护盖。建筑设计和系统布置应考虑面积(尺寸)足够的设备安装孔和操作、检修场地。运煤系统的地下构筑物应防水, 地坑内应有排除积水的措施。
11 锅炉房燃用多种煤并需混煤时, 应设置混煤设施。
12 运煤系统应装设煤的计量装置,如皮带秤、冲击流量秤等。
13 运煤系统的破碎、筛分、转卸处应设置效果良好的除尘措施。
14 运煤系统应根据具体情况, 设置设备安装检修起吊设施和场地。
8.8.7 锅炉房茨渣排量与燃煤的灰分含量及燃烧方式有关。除灰渣系统小时排灰渣量应根据锅炉房昼夜的最大计算灰渣量、扩建时增加的灰渣量、除茄渣系统昼夜的作业时间和1.1~1.2不均衡系数等因素确定。
8.8.8 锅炉房灰渣堆场的设计, 一般应符合下列要求:
1 灰渣场的面积: 人工运渣时, 堆场贮渣量按10天锅炉房最大排渣量考虑; 机械化的出渣系统,按锅炉房3~5天最大计算排渣量考虑; 当锅炉房设置有集中灰渣斗时, 不宜再设灰渣场;
2 干式出渣的锅炉房, 灰渣堆和煤堆之间应保持不小于l0m的间距;
3 灰渣场应平整坚实, 应有运渣车辆进出的通道。
8.8.9 集中灰渣斗设计应符合下列要求:
1 灰渣斗的总容量,宜为锅炉房1~2天计算最大排灰渣量。
2 灰渣斗出口应装闸门,其尺寸不应小于0.6m×0.6m。
3 严寒地区灰渣斗应配置排水和防冻措施。
4 灰渣斗内壁应光滑耐磨,壁面倾角不宜小于60°,相邻两壁的交线与水平面的夹角不应小于55°,交角应为圆弧形,圆弧半径不应小于200mm。
5 灰渣斗排出口与地面的净高为:
1)采用汽车运灰渣时,应根据汽车罐的高度和接口装置的尺寸确定,一般不小于2.3m;
2)采用水车运灰渣时,不应小于5.3m,当机车不通过灰渣斗下部时,其净高可为3.5m。
6 干式除灰渣系统的灰渣斗底部宜设置库底汽化装置。
7 灰渣斗出口处应设置检修排料设备的平台和梯子。
8 灰渣系统宜就地控制。
8.8.10 锅炉房除灰渣系统及其设备的选择,一般应考虑下述原则:
1 除灰渣系统的选择,应根据锅炉房的灰渣排量、灰渣特性、输送距离、地势、气候条件及运输方式等因素确定;有条件时,还应考虑灰渣分队,综合利用;
2 除灰渣系统及其配置设备,应适合锅炉炉型,有利于操作管理和降低劳动强度;一般对于锅炉,最大小时排渣量≥1t/h的用户,宜采用机械灰渣或水力除灰渣系统;常用机械设备有刮板出渣机、重型链条出渣机、框链式除渣机、皮带运输机等;出渣机可不设备用,但应考虑应急措施,驱动装置应有备件;
3 水力除灰渣系统的设计,应符合下列要求:
1)灰渣池的有效容积,宜根据锅炉房1~2天最大计算排灰渣量设计;灰渣池宜分两个渣沉淀池,一个沉渣,一个抓渣;两个灰沉淀池,一个沉灰,一个抓灰,交替使用;
2)灰渣池应配置机械抓灰渣设备;
3)灰渣泵应设置备用;
4)灰渣沟应力求短而直,并保证有一定坡度;设置激流喷嘴时,灰沟坡度≮1%;渣沟坡度≮1.5%;渣沟拐弯处应设喷嘴,直沟长度每10~15m增设一个喷嘴;渣沟应采用铸石壤板或用耐磨、耐腐蚀材料衬砌;
5)冲灰渣水应循环使用;
6)除尘器的排灰和水力冲灰渣系统宜统一设计;
7)冲灰渣水管应采用耐磨衬塑钢管。
8.9 水煤浆锅炉房设计
8.9.1 水煤浆概述
1 水煤浆是由65%~70%的煤粉和29%~34%的水及1%左右的微量化学添加剂制备而成的浆体。具有良好的流动性,可以长距离管道输送或汽车槽车、铁路罐车及船舶运输。其雾化性能好,可以稳定着火燃烧。和煤相比,它的燃烧效率高(一般均在98%以上),储存运输方便,保留了煤的燃烧特性,又具备液态燃烧应用特点。在工业锅炉、电站锅炉和工业窑炉、民用锅炉等领域可以替代油或煤、所燃用。目前国家推广使用世界先进的洁净煤技术中包括水煤浆技术。
2 水煤浆的热值为20100kJ/kg,水煤浆锅炉热效率在85%左右。
8.9.2 水煤浆锅炉房工艺系统
水煤浆锅炉房燃料、燃烧工艺系统包括:锅炉本体、燃烧装置、供浆系统、通风系统等几部分。
1 水煤浆锅炉
由于水煤浆燃料的燃烧特性类似于燃油,因此水煤浆锅炉的燃烧器、炉膛燃烧室的结构类同燃油锅炉;但又由于水煤浆的灰分比油中灰分高, 因此炉底的出灰渣、尾部受热面的结构又比较接近燃煤锅炉。目前燃用水煤浆的锅炉有燃油锅炉改造、燃煤锅炉改造和水煤浆专用锅炉等。
1)燃油锅炉改造为水煤浆锅炉, 可以充分利用原有的燃烧器及炉膛部分, 增加炉底的出灰渣部分, 重新测算烟、风流速及阻力, 增加引风机及除尘装置等。
2)燃煤锅炉改造为水煤浆锅炉, 要重新配置水煤浆燃烧器, 改造炉膛结构。尾部受热面及除尘、出灰等基本不需要大的改造。
3)水煤浆专用锅炉是针对水煤浆的组分、特性设计的, 燃烧自动化程度高, 燃烧效率、热效率等基本技术措标接近油炉水平。
4)水煤浆锅炉在锅炉房的布置和燃煤、燃油锅炉相似, 有水煤浆供应系统和燃烧器; 有除渣除尘脱硫脱硝系统; 有送、吸风系统。设计水煤浆锅炉房. 应合理选择水煤浆的供应系统和燃烧系统, 其余要求和燃煤锅炉房类似。
2 水煤浆系统流程
水煤浆由管道或汽车运送, 卸入水煤浆储罐。由泵抽送经搅拌、过滤送至炉前燃烧器, 由空气(或蒸气) 雾化并与送风机送入的空气混合后进入炉膛燃烧。空气进燃烧器前经空气预热器加热。锅炉燃烧产物——烟气经除尘、脱硫、脱硝后由吸风机送入烟囱。
8.9.3 水煤浆的贮存
1 水煤浆产品可采用地上式或地上与地下相结合的储浆罐储存。
2 储浆总容量的确定应符合下列规定:
1)采用公路运输来浆时,不宜小于全厂7天耗浆量;
2)当制浆与钢炉房合建时,可与制浆共用储浆设备;
3)采用不经中转的管道输送时,在确保供浆的条件下,可适当减少储浆容量;
4)以汽车运输为唯一来浆方式时,储浆容量应大于汽车运输可能的最大连续中断天数的耗浆量。
3 锅炉房用储浆罐数量不应少于2座。
4 储浆罐设计应符合下列要求:
1)储浆罐的结构形式可选择钢结构或钢筋混凝土结构;
2)宜配置不同形式的搅拌装置;应安装供清洗、检修用的设施和管路;钢结构储罐内壁应进行除锈后涂附着较为牢固的防腐蚀材料;
3)对大型(3000m3以上)成品储罐,应在不同高度位置设2个以上出浆口和取样点;宜设环形人梯,应有检修清理孔(门)、排污管、浆位测量装置和防雷接地等措施;
4)应根据地域不同采取保温措施;在严寒地区,对室外布置的储浆罐、管道、阀门等,必须采取加热、保温、保湿等防冻措施;
5)来浆品种不同时,宜分别储存,避免混浆;
6)水煤浆储罐的储存系数为0.9,水煤浆储罐的高径比宜为1:1。
8.9.4 水煤浆的运输
1 民用锅炉房采用水煤浆为燃料时, 水煤浆的运输一般采用汽车罐车和管道运输方式。、
2 条件具备时. 应优先采用管道输送方式。
3 水煤浆运输用的罐体、管道和装卸口, 应采取有效的防冻、防沉淀和宜清理设施。
8.9.5 水煤浆供应系统
1 水煤浆供应系统包括: 卸浆、输浆和炉前供浆。
2 水煤浆的卸浆应符合以下规定:
1)汽车运输供浆时, 卸浆站台应同时容纳2辆以上汽车罐车的卸车;
2)管道输送水煤浆, 宜采用架空敷设方式;
3)卸浆方式应考虑以下规定;
①公路来浆宜采用重力自流方式;
②卸浆泵宜选用低转速、大流量的容积式泵;
③卸浆泵工作台数不应少于2台, 当1台泵停用时, 其余泵的总流量应能满足在规定时间内完成设计的正常卸载量的要求;
④卸浆泵的扬程应按卸浆预计达到最大粘度时的工况考虑, 扬程裕量应为30%;
⑤严寒地区可设置卸车加热的辅助装置。
3 水煤浆的输送
1)输浆泵台数应根据全厂最大用浆量及泵的输浆流经计算确定。并应设一台备用泵。输浆泵的流量和扬程裕量不宜小于15%。输浆泵必须配调速装置。
2)车间及厂区输浆管道设计规定:
①输浆管道的流速一般取0.5~1.0m/s;
②输浆管道宜架空敷设, 也可采用地沟敷设方式;
③条件许可时, 输浆管道宜与蒸汽、水等管道一起敷设;
④尽可能减少弯头、三通、膨胀节等增加阻力、积浆的环节, 必要时可加大弯曲半径、采用斜向三通、套筒补偿等措施;
⑤管道顶部应设置冲洗口, 最低点应设排污口;
⑥易积浆部位设置易拆卸、检修的法兰短节;
⑦在管道易积气部位应设排气阀;
⑧严寒地区, 宜采用热水伴热管。
3 为防止水煤浆的沉积, 宜采取以下措施:
①合理布管道、阀门, 设置必要的排污口;
②分段设置管道冲洗系统。
4 炉前供浆系统
1)炉前供浆设置的水煤浆缓冲搅拌桶 (罐), 数量不应少于2个, 总容量按系统最大燃浆量计算,保证燃用4h以上。
2)炉前供浆系统设水煤浆过滤设备, 根据所选设备的处理能力, 按一用一备或两用一备配置。单台过滤设备处理能力的裕应大于20%。应能定时清洗排渣。
3)供浆泵宜选择泵出口压力波动范围小、低转速的容积式泵。供浆泵应配调速装置。
4)供浆泵房至炉前应设环形管道. 并宜架空敷设。
8.9.6 水煤浆燃烧系统
1 水煤浆燃烧系统在不投油时的最低稳燃负荷等指标, 应满足民用供热厂系统运行的要求。
2 锅炉点火与低负荷助燃用油或可燃气应有可靠的来源。
3 当最大一台容量的锅炉停用时, 其余锅炉应满足冬季采暖、通风和生活用热的60%~75%,严寒地区取上限。
4 一般情况下锅炉不宜少于2台, 并保证当其中最大一台锅炉检修时, 其余锅炉的出力应能满足冬季采暖、通风和生活用热所需的最低热负荷。
5 锅炉鼓、引风机各一台, 其中:
1)鼓风机的风量裕量不宜小于计算的10%; 压头裕量不宜小于计算压头的20%;
2)引风机的风量裕量宜为计算风量的10%; 压头裕量宜为计算压头的20%。
6 水煤浆锅炉的省煤器应考虑防磨损措施; 宜考虑足够的空气预热器受热面, 并考虑防磨措施;在锅炉易积灰的部位, 应装设吹灰装置。
7 烟气排放的粉尘量及其各项指标浓度应符合国家和地方现行的环境保护指标。并满足灰渣综合利用要求。
8 点火助燃燃料的选择:
1)一般情况下,锅炉的点火及助燃(低负荷燃烧)可采用轻柴油;
2)锅炉房附近有可燃气供应时,也可采用可燃气点火和低负荷燃烧。
9 点火及助燃能力的确定应符合下列规定:
1)锅炉点火油量应根据锅炉所配点火枪数量,同时使用最大燃油量确定。
2)锅炉启动助燃油量一般可取锅炉最大连续蒸发量工况下输入热量的5%选取。
3)锅炉低负荷稳燃油量宜按锅炉最大连续蒸发量工况下输入热量的5%选取。
4)系统回油量不小于系统设计出力的10%。
5)全厂点火及助燃油系统能力为燃油量与最小回油量之和,其裕量宜为10%。
6)点火和启动助燃油油罐的个数及容量应符合下列规定:
①35t/h锅炉,全厂设置1个20m3油罐;
②65t/h锅炉以上,130t/h以下锅炉,全厂设置1~2个50~100m3油罐。
7)点火供油泵宜为2台,供油泵的出力,宜按容量最大的一台锅炉在100%负荷时所需燃料的20%~30%选择。
8)供油泵的流量裕量宜不小于10%,扬程裕量不宜小于5%。计算中燃油管道系统总阻力裕量不宜小于30%。
8.10 锅炉房燃油,燃气系统设计
8.10.1 民用建筑的燃油锅炉房宜使用轻柴油。
8.10.2 民用锅炉房燃油系统宜采用以下工艺流程:来油自流或经卸油泵(油槽车配带)卸至室外贮油罐(轻油罐不宜少于2个),然后用输油泵将油送到日用油箱,再通过供油管道接至燃烧器内的加压泵,加压泵出口的油一部分通过燃油喷咀喷入炉膛燃烧,一部分返回日用油箱。
8.10.3 锅炉房贮油罐的总容量宜符合下列要求:
1 火车或船舶运输: 20~30天锅炉房最大计算耗油量;
2 汽车油槽车运输: 3~7天锅炉房最大计算耗油量;
3 油管输送: 3~5天锅炉房最大计算耗油量。
8.10.4 油罐区布置及与其它建筑物、构筑物的防火间距应符合《建筑设计防火规范》GB500l6、《高层民用建筑设计防火规范》GB50045、《汽车加油气站设计与施工规范》 GB50156、《石油库设计规范》GB50074等的规定。设置轻油罐的场所, 宜设有防止轻油流失的设施。
8.10.5 锅炉房供油管系统的设计应考虑下列要求:
1 锅炉房的供油管道一般采用单母管、但常年不间断运行的锅炉房供油系统宜用双母管, 每根母管的流量按锅炉房最大计算耗油量和回油量之和的75%计算。回油母管应采用单母管。
2 采用单机组配套的全自动燃油锅炉 ,应保持其燃烧自控的独立性,并按其要求配置燃油管道系统。
3 供油管道的计算流量应按锅炉房最大计算耗油量和回油量之和考虑,回油量和回油管路应满足下列要求:
1)喷油咀的回油量应根据锅炉制造厂的技术规定取值,一般为喷油咀额定出力的15%~50%;
2)确定回油量时, 应保证锅炉在热负荷变化的调节范围内, 油系统和燃烧系统能安全、经济运行;
3)回油管路应设置调节阀, 根据锅炉热负荷变化调节回油量。
4 输油管路宜采用输送流体的无缝钢管, 并应符合国家标准《流体输送用无缝钢菅》GB/T8l63的有关规定.除设备、附件等连接处需要法兰连接外、其余采用氩弧焊打底的焊接连接。法兰连接时,宜设有防止漏油事故的集油措施。管内平均流速:泵吸入管≤1.5m/s,泵压出管≤2.5m/s。
燃油系统附件严禁采用能被燃油腐蚀或溶解的材料。
5 锅炉配置机械雾化燃烧器时,在日用油箱与燃烧器之间的管段上应设置油过滤器。其过滤网网目不宜小于20目/cm,滤网流通截面积不宜小于其进口管截面积的2倍。
6 每台锅炉的供油干管上,应设关闭阀和快速切断阀。每个燃烧器前的燃油支管上,应设关闭阀。当2台或2台以上锅炉共用回油管时,在每台锅炉的回油干管上应设止回阀。
7 供油管道宜顺坡敷设,管道坡度不应小于0.3%。
8 接入锅炉房的室外油管道, 宜采用地上敷设。当采用地沟敷设时, 地沟与建筑物的外墙连接处应填砂或用耐火材料隔断。
9 燃油管道垂直穿越建筑楼层时, 应设置在管道井内, 并应靠外墙敷设; 管道井的检修门应采用丙级防火门; 燃油管道穿越每层楼板处, 应设置相当于楼板耐火极限的防火隔断; 管道井底部, 应设深度为300mm填砂集油坑。
10 燃油管道穿越楼板、隔墙时应敷设在套管内, 套管的内径与油管的外径四周间隙不应小于20mm, 套管内管段不得有接头, 管道与套管之间的空隙应用麻丝填实,并应用不燃材料封口。管道穿越楼板的套管, 上端应高出楼板60~80mm, 套管下端与楼板底面(吊顶底面〕平齐。
11 与蒸汽管道上下平等布置的燃油管道,应位于蒸汽管道的下方。
8.10.6 日用油箱的设计应符合下列要求:
1 锅炉房日用油箱应布置在专用房间, 与其它房间的隔墙应是防火墙, 通往其它房间的门应是能自动关闭的甲级防火门。
2 燃油锅炉房室内油箱的总容量, 轻油不超过1m3。室内油箱应安装在单独的房间内。当锅炉房总蒸发量大于等于30t/h, 或总热功率大于等于21MW时, 室内油箱应采用连续供油的自动控制装置。当锅炉房发生火灾事故时, 室内油箱应自动停止进油。
3 室内油箱应采用闭式油箱。油箱上应装设直通室外的通气管, 通气管上应装设阻火器和防雨设施。油箱上不应采用玻璃管式油位计。
4 油箱设计应符合下列要求:
1)油箱布置高度,宜使供油泵有足够的灌注头。
2)油箱通气口应高出屋面1m以上,与门窗之间的距离不得小于3.5m。
3)日用油箱的进油管和回油管,宜从顶部插入,出口均应位于油箱液位以下(一般插至离油箱底部200mm左右)。
4)油箱上的液位计,宜采用可就地显示和远近联锁的电子式液位计,不得使用玻璃管液位计。
5)室内油箱应装设将油排放到室外的紧急排放管,日用油箱上的溢油管和紧急排放管应接到室外事故油罐或室外地下贮油罐的底部。室外事故油罐的容积应大于等于室内油箱的容积,且宜埋地安装。
①排放油管上并列装设手动和自动紧急排油阀。
②排放油管上的阀门应装设在安全和便于操作的地点。
③对地下(室)锅炉房, 室内油箱直接排油有困难时, 应设事故排油泵。
④设置在民用建筑内的燃油锅炉房, 自动紧急排油阀应有就地启动、集中控制室遥控启动或消防防灾中心遥控启动的功能。
6)油箱底部宜设置油水分离装置。
7)油箱液位计应与输油泵联锁,低油位时启动输油泵,高油位时停泵。
8)当室内油箱和贮油罐的油位高差,可能产生虹吸作用时,应采用措施避免虹吸。
9)油箱的接管均宜采用无缝钢管焊接。
8.10.7 从锅炉房贮油罐输油到室内日用油箱的输油泵,不应少于2台,其中1台备用。输油泵的容量不应小于锅炉房小时最大计算耗油量的110%。在输油泵的进口母管上应装设油过滤器2台,其中1台备用。油过滤器网孔宜为8~12目/cm,滤网流通截面积为其进口管截面积的8~12倍。
8.10.8 燃油锅炉房的油罐区、日用油箱间、油泵间的所有电力设备和电气设施,如油泵、事故排风机、电气仪表、电动电磁阀门、灯具、电气插座等都应符合《爆炸和火灾危险环境电力装置设计规范》的规定,正确安装布置。
8.10.9 室内油箱间、油泵间、锅炉间等处应设置可燃气体浓度报警系统,该系统应和事故排风机联锁。
8.10.11 民用锅炉使用的气体燃料主要有天然气、焦炉煤气、液化石油气等。设计时应按实际使用气源的详细技术数据,根据气体燃料的特性、布置的特点选择燃气锅炉。
8.10.12采用大气式燃烧的小型锅炉宜按低压供气设计; 采用燃烧机的锅炉宜按中压供气设计。燃用液化石油气供气压力较高, 一般为30~100kPa。当缺少锅炉设计数据时, 可参照表8.10.12考虑。

8.10.13 锅炉房燃气宜从城市中压供气管道上铺设专用管道供给,并应经过滤、调压后使用。燃气锅炉房应设置专用的调压设施和供气系统,以保证锅炉房安全有效运行。燃气调压站(间)或调压箱的设计,除应符合本措施第12章的规定外,还应符合下列规定:
1 调压装置进气压力不大于0.4MPa时, 可设置在锅炉房的单层专用毗连建筑物内:
1)该建筑与相邻房间用无门窗和洞口的防火墙隔开, 与其他建筑物、构筑物的间距, 应符合《城镇燃气设计规范》GB50028的要求;
2)该建筑耐火等级符合现行国家规范《建筑设计防火规范》GB50016不低于“二级”的设计规定, 并应具有轻型结构屋顶爆炸泄压口和向外开启的门窗;
3)地面为不发生火花的材料, 泄爆面积符合《建筑设计防火规范》的规定;
4)通风换气次数要求见本措施第4.4.4条的有关规定;
5)所有电气设施, 均应符合《爆炸和火灾危险环境电力装置设计规范》GB50058中“I区”的设计规定。
2 调压装置进气压力不大于0.4MPa压时, 调压装置可设置在单层建筑的锅炉间内; 调压装置进气压力不大于0.8MPa时, 调压装置可设置在单独、单层建筑的锅炉间内. 但应符合下列条件:
1)符合本条第1款的2)、4)项的规定;
2)调压器进、出口管径不大于DN80;
3)调压装置宜设不燃烧体护栏;
4)调压装置除在室内设进口阀门外, 还应在室外引入管上设置阀门。
3 通风良好的燃气调压室、计量室的爆炸危险区域等级和范围的划分按建筑物内部及建筑物外壁4.5m内, 屋顶(以放散管管口计〕以上7.5m内的范围为2区。
8.10.14 锅炉房燃气管道系统的设计,除应符合本措施第12章的有关规定外,还应满足下列要求:
1 在引入锅炉房的室外燃气管上, 在安全和便于操作的地点, 应装设与锅炉房燃气浓度报警装置联动的总切断阀, 阀后应装设压力表; 当调压站距锅炉较远时, 总切断阀宜加装过滤器;
2 锅炉房的燃气计量装置宜单炉配置, 集中布置在一个单独的房间; 台数较多的小锅炉 (如模块炉), 也可在锅炉房的燃气计量间内设置总的计量装置;
3 燃气管道应采用输送流体的无缝钢管, 并符合国家标准《流体输送用无缝钢管》GB/T8l63, 管道连接采用氩弧焊打底的焊接连接, 管道与设备、阀件、仪表等的连接可采用法兰连接;
燃气管道与附件严禁使用铸铁件; 在防火区内使用的阀门, 应具有耐火性能;
4 锅炉房的燃气管道宜架空敷设; 输送相对密度<0.75的燃气管道,应设在空气流通的高处; 输送相对密度>0.75的燃气管道, 宜装设在锅炉房外墙和便于检修的位置;
5 燃用液化石油气的锅炉间和由液化石油气管道穿越的室内地面处,严禁设有能通向室外的管沟(井)或地道等设施;
6 锅炉房的燃气管道不应穿越易燃品或易爆品仓库,值班室、配变电室、电缆沟(井)、楼梯间、通风沟、风道、烟道和具有腐蚀性质的场所;
7 燃气管道穿越楼板或隔墙时,应符合《城镇燃气设计规范》GB50028中第10.2.38条的规定;
8 燃气管道垂直穿越建筑物楼层时,应设置在独立的管道井内,并应靠外墙敷设。管道竖井要求见本措施第12.6.29条。
8.10.15 燃气管道系统应按下列规定设置放散管,取样口和吹扫口等:
1 放散管、取样口和吹扫口的数量和位置应能满足将管道内的燃气或空气吹净的要求;
2 放散管应引至室外, 其排出口应高出锅炉房屋脊2m以上, 与门窗之间的距离不应小于3.5m;
3 密度比空气大的燃气放散, 应采用高空或火炬排放, 井应满足最小频率上风侧区域的安全和环保要求;
4 放散管管径可按表8.10.15选用。吹扫量可按吹扫段容积的10~20倍计算,吹扫时间可采用15~50min。

8.10.16 锅炉房的高压间、燃气表间、锅炉间的事故排风机、照明灯具、电气插座等均应采用防爆型产品。
8.10.17 燃气调压间、燃气表间、锅炉间以及其它有燃气设施的房间,应设置可燃气体浓度报警系统并和相应部位的事故排风机联锁控制。
8.10.18 燃气系统的设备、管道以及烟囱等应设置防静电、防雷击的接地装置
8.11 常压热水锅炉、真空相变锅炉及模块炉锅炉房设计
8.11.1 常压热水锅炉房可用于供水温度≤95℃的热水介质供热系统,锅炉的单台功率≤2.8MW。常压锅炉用于高层建筑供热时,应认真核算其能耗,进行技术经济分析,合理确定供热系统方案。
8.11.2 常压锅炉的制造厂家必须具备由省(市)级质量技术监督行政部门颁布的、有效期内的“常压锅炉制造许可证”,其产品质量和出厂技术文件应符合《常压热水锅炉通用技术条件》TB/17985的各项规定。
8.11.3 燃油、燃气的常压热水锅炉应有性能可靠的燃烧装置和完备的程序控制与安全保护设施。
8.11.4 常压热水锅炉本体最高处必须有直通大气的开孔,最高水位处应设置超水位溢流管。
1 通大气孔的当量直径,不得小于按正式计算出的数值:

式中 De——开孔当量直径(mm);
Q——常压锅炉额定热功率(MW)。
2 通大气管道直径(含锅炉本体连接开口水箱连接管径)按上式计算取值圆整数,见表8.11.4.

3 通大气管的布置力求平直,与大气畅通,管上不得安装任何阀门。
4 锅炉本体连接开口水箱时, 水箱必须为开式, 其最高水位不应超过锅筒最高水位, 且有可靠的防冻措施。
8.11.5 常压热水锅炉房循环水系统的设计, 应有防止锅炉和高位膨胀水箱 “跑水”、循环水泵汽蚀、管道系统产生水击或振动的有效措施, 保证供热系统安全、稳定经济运行。
8.11.6 当常压锅炉房需要同时向低层建筑和高层建筑供热, 或需要向两种不同供水温度的用户 (如采暖和空调系统〕供热时, 可采用带换热设备的二次间接供热系统。
8.11.7 常压热水锅炉系统循环水泵的配置, 应符合下列规定:
1 循环水泵的流量, 可采用与承压热水锅炉房设计相同的方法计算〔见本措施第8.5.8条)。
2 循环水泵的扬程, 应根据不同情况按下式确定:
1)当锅炉循环水供热系统的最高点高于锅炉的最低水位时:
H=h+△h1++△h2++△h3++△h4 (8.11.7-1)
式中 H——循环水泵扬程(m);
h——循环水泵轴线至循环水系统最高点之间的位差(m);当系统采用高位膨胀水箱定压时,取循环水泵轴线与高位膨胀水箱最高水位之间的位差值(m);
△h1——循环系统最不利环路的供、回水母管的阻力(m);
△h2——循环系统最不利用户内部的阻力或调节要求压差值(m);
△h3——锅炉房内部管道系统阻力(m);
△h4——设计富裕量,取2~5m。
2)当锅炉房设置在供热系统最高建筑的屋顶, 或循环水泵的安装高度高于供热系统的最高点时:
H=h′+△h1++△h2++△h3++△h4 (8.11.7-2)
式中 H、△h1、△h2、△h3、△h4与公式(8.11.7-1)相同;
h′——循环水泵轴线和锅炉(或与锅炉通气管连为一体的锅炉水箱)的最高水位的位差(m)。
3 当锅炉房设置有多台锅炉, 热水系统采用母管制时, 循环水泵的流量应考虑与锅炉出力相匹配, 避免在锅炉启动时, 将锅炉“抽空”或将水位线降到最低水位以下。
4 循环水泵安装在锅炉的高温水侧, 宜采用热水泵。
5 循环水泵的安装位置, 应力求水泵进水口中线比锅炉最低水位低2.0m.
6 从锅炉出水口至水泵进水口之间的管道, 力求短直、阻力小, 水泵进口阀门应采用阻力小的闸阀或球阀, 不得使用调节阀。
7 循环水泵不应少于2台, 当其中任何一台停止运行时, 其余水泵的总流量应满足最大循环水流量的需要。
8 并联运行的循环水泵, 应选用型号和特性曲线相同的水泵。
9 循环水泵宜采用调频控制。
8.11.8 常压热水锅炉进水管上安装的阻力调节阀, 宜选用调节范围大的专用阻力调节阀, 不宜用闸阀、球阀等调程短的阀门。
8.11.9 常压热水锅炉循环水泵出口、回水管道的启闭阀进口应设置压力表;循环水泵入口应设置量程为-0.1~0.06MPa的压力真空表。
8.11.10 真空相变锅炉仅适用于水温≤85℃的热水供热系统; 对该类锅炉的管理可按照常压热水锅炉的规定执行, 单台出力限定在2.8MW以内,一般只宜用于中、小型锅炉房。
8.11.11 真空相变锅炉可根据用户要求在一台锅炉内设置多个换热单元. 供应不同参数和用途的热水,但调节管理较复杂, 难以同时满足各系统的运行要求。因此, 不宜采用一台锅炉内直接供应多个不同供热参数的系统方案。
8.11.12 真空相变锅炉的内置换热器, 当以不锈钢或铜质管材作换热元件时,应符合下列规定:
1 对于铜质换热器, 要求水中氯离子CI-含量<200mg/L, 氨离子含量NH4+<1.0mg/L, 水中残留氯和铁均<1.0mg/L。
2 对于不锈钢换热器,要求水中氯化物离子和氟化物离子的合计含量<200mg/L。
3 钛管换热器对水质要求不受1、2款条件的限制。
8.11.13 真空相变锅炉及其管件的安装设计应符合下列要求:
1 锅炉前端离墙净距应满足换热器检修折卸的要求,锅炉两侧及尾部应有运行操作配套仪表、阀件的通道;
2 锅炉基座和基础之间宜设置减振橡胶垫圈,并用螺栓固定;
3 换热器的进出水管道应设置支吊架, 及重量和热变形不得影响锅炉机组的出入口部位, 锅炉不能直接承受扭曲和冲击;
4 锅炉换热器进出水接口处应设置挠性承压软管,炉前管段应采用在折卸换热器时可折卸的法兰连接。当锅炉房循环水系统为母管制时,在每根支管的折卸处应设置切断阀门。
8.11.15 模块式锅炉可用供热总负荷不大的锅炉房, 在一个锅炉房内模块式锅炉台数不应超过10台。总供热量宜≤1.4MW, 且不宜设置于地下、半地下室。
8.11.16 模块式锅炉一般采用负压燃烧、自然通风, 在同一水平烟道上要连接多个支烟道。因此烟道要力求阻力小, 防止不同模块排出的气流互相干扰。烟囱应有足够的抽力, 烟囱烟道应进行保温。
8.11.17 模块式锅炉容量小、数量多, 当使用气体燃料或燃油时, 管道接口多, 漏气泄油的概率大。因此, 锅炉房要保证自然通风良好, 安全报警检漏设备齐全, 应设置事故排风设置。
8.11.18 模块式锅炉进出水管道及燃料供应管道等与总管采用可折卸的法兰连接, 保证检修时设备取装方便。
8.11.19 模块式锅炉房循环水总管和各模块的进口水管的连接力求水力平衡, 保证模块进出口水管及其配件装卸方便, 水流阻力小。
8.11.20 锅炉前端有不小于1.5m宽的运行操作通道, 且应满足维修要求; 背对型安装的锅炉应考虑中间烟道和管道及其配件的操作维修方便,每隔3~4m应设置不小于1.0m的跨排通道。
8.12 电锅炉房设计
8.12.1 电能为高级能源,拟用作供热源时,应根据国家政策和当地条件,并进行技术经济比较后才可考虑建电锅炉房作供热热源。应符合8.2.9条第7款的条件。
8.12.2 电锅炉房的工艺设计应符合《锅炉房设计规范》GB50041、《蒸汽锅炉安全技术监察规程》、《热水锅炉安全技术监察规程》、《工业锅炉水质》GB1579及其它有关的现行国家标准规范的规定。
8.12.3 供热电锅炉房,应按或蓄热式供热系统设计。尽可能使用低谷电。
对于因此条件限制,不能设置足够容量的蓄热容器满足全用低谷电的用户,在经技术经济比较后,可按合理比例设计谷电+平电运行方式的部分蓄热电锅炉房。
8.12.4 电锅炉房设计,应力求准确计算供热系统的最大小时用热量和全日总热负荷,作为合理可靠选用设备,确定锅炉房规模的依据。
8.12.5 蓄热式电热锅炉房的设计规模和总热负荷应根据用户供热系统的热负荷曲线和蓄热量比例及锅炉运行方式合理确定,一般可正式估算:

式中 Q——锅炉房总负荷(W);
K——室外管网热损失系数,同8.2.6条;
F1——采暖供热面积(m2);
F2——空调供热面积(m2);
Fi——生活、生产等非24h连续供热用户的建筑面积(m2);
q1——采暖供热指标(W/m2),由采暖设计提供;
q2——空调供热指标(W/m2),由空调设计提供;
qi——生活、生产等非24h连续供热用户的建筑面积(W/m2);
η——采暖、空调供热时段不平衡正系数,一般取η=0.7~0.8,办公楼、学校可取较小值,医院、住宅、宾馆等取较大值;
T——蓄热时间(h);
Qir——生活、生产等非24h连续用户全日用热量(W)。
8.12.6 锅炉房宜采用高温蓄热系统,而供热系统宜采用较低的供水温度(与室内采暖设计协调);蓄热水最低运行温度应比供热系统(二次水系统)的供水温度高10℃左右。
8.12.7 电热锅炉选型, 应综合考虑下列要求:
1 在锅炉房布置条件许可时, 宜选用制热蓄热一体化、蓄热温度高的承压电锅炉;
2 电锅炉应配备高质量、使用寿命长的电热元件; 电热元件组件应装卸方便, 且配置有逐级投入—退出的步进式控制程序, 在启动和运行中, 不致对电网造成冲击;
3 电锅炉应具有先进完善的自动控制系统, 应配置安全可靠的超温、超压、缺水、低水位等参数的自动保护装置; 电路系统应配备过流、过载、缺相、短路、断路等项目的自动保护装置, 在保护装置动作时应有相应的报警信号显示;
4 电锅炉应配置完整的阀件仪表, 宜配备可靠的辅助设备;
5 电锅炉的单台容量应和电力变压器的容量相匹配,同一台锅炉不宜由多台变压器供电,但多台小容量电锅炉及其它电气设备可共用一台变压器; 单台锅炉的功率不宜大于2.4MW;
6 锅炉房宜设置两台或两台以上的电锅炉。
8.12.8 蓄热电锅炉房的蓄热水温度. 在运行中会不断降低, 为保证供热系统供回水温度要求, 可采用如下控制措施:
1 对于由蓄热水直供的供热系统, 可调节循环水泵进水侧回水量和蓄热水量的比例达到供水温度要求; 对于电热锅炉直供的供水温度可通过改变电热管组投入数量自动调节供水温度;
2 对于蓄热水〔含边蓄边供〕和供热水各自分开的锅炉房热力系统, 可调节通过换热器的一次水流量, 控制一、二次水之间的换热量, 达到二次水的供水温度要求。对一次水的流量调节宜采用如下措施:
1)一次水循环水泵选用变频调节水泵,根据二次水供水管上温度传感器的输出讯号进行调频, 使水泵在换热要求的流量工况下运行;
2)在一次水循环水泵的进水侧管道上设置电动调节阀或自力式自动调节阀, 根据供热系统供水或
回水管上的温度传感器输出的信号,按设定参数要求, 调节阀门开度, 控制进水流量。
8.12.9 专用于蓄热时驱动电热锅炉和蓄热水箱之间的循环水泵设置, 应符合下列要求:
1 水泵允许介质温度, 应比锅炉额定出水温度高10~15℃;
2 水泵流量按电锅炉额定出力条件下, 进出水温差为10℃时. 计算流量的1.1倍考虑 (当锅炉制造厂另有规定时, 按锅炉厂规定);
水泵扬程按该循环系统中电锅炉、蓄热水箱及管路系统三部分的阻力之和, 再加2~5m的富裕压头确定;
4 循环水泵不宜少于两台, 当其中任何一台停止时, 其余水泵的总流量应能满足最大循环水流量的需要;
5 并联运行的循环水泵应为相同型号。
8.12.10 兼任蓄热水泵和高温水(一次热水)侧循环水泵使用时应符合下列要求:
1 水泵允许工作介质温度,应比锅炉额定出水温度高5~10℃。
2 循环水泵台数:对低温蓄热的锅炉房,不宜少于2台,对高温蓄热的锅炉房不宜少于3台;当其中任何一台停止时,其余水泵的并联运行总流量应能满足最大循环水流量的要求。
3 循环水泵并联运行的总流量按下列两种计算值较大值的1.1倍考虑:
1)电热锅炉额定出力条件下, 进出水温差为10℃的计算流量;
2)按换热系统所有换热器在额定出力条件下, 换热中高温水 (即蓄热水) 的进出口温差为15℃,且高温水的出口温度比二次供热水回水温度高5~10℃时的高温水计算流量。
4 循环水泵的扬程, 按该循环水系统中最大流量时电锅炉、换热器、热水箱等项的内部水流阻力和管道系统的阻力之和, 再加2~5m的富裕压头确定。
5 并联运行的循环水泵应为相同型号。
8.12.11 电热锅炉房对土建、通风采暖和给排水设施的要求与其它锅炉房设计的通用要求基本相同。
8.12.12 电锅炉房蓄热水箱(罐)总有效容积,可按下式计算:

式中 V——蓄热水箱(罐)有效计算容积(m3);
C——水的比热[kJ/(kg·℃)];
p——水的密度(kg/m3);
△t——蓄热水箱内开始蓄热水温和蓄热最高水温之差(℃)。
其它符合含义同8.12.6条。
8.12.13 蓄热水箱(罐)的设计应符合下列要求:
1 蓄热水箱采用钢质材料,焊接加工制造;
2 蓄热水箱(罐)应有足够的强度和刚度,常压水箱(罐)的设计制造应符合《钢制焊接常压容器》JB/T7435的规定;承压蓄热水箱(罐)的设计制造应符合《钢制压力容器》GB150的规定;
3 蓄热水箱(罐)应配置进出水管、排污管、水位计、温度计等, 常压水箱(罐)还应设置溢流管, 承压水箱(罐)还应配置压力表、安全阀及相关的温度、压力传感器; 各种管接头和测试点的位置应合理布置, 保证蓄热和供热时箱内水流和温度场分布合理;
4 蓄热水箱应配置检修人孔,必要时还应配内外爬梯, 水箱内部应考虑设置在蓄热时防止进出水流短路、运行时防止箱内温度场不合理的措施 (布水器);
5 蓄热水箱(罐)内外表面应刷防锈油漆, 外表面应保温、其保温外壳表面温度宜控制在25~30℃左右, 室外设置的蓄热水箱(罐)还应有可靠的防雨防冻措施;
6 锅炉房蓄热水箱不宜少于2个。大型方形水箱可设计成隔板水箱, 以便于水流加温和分段排污及检修。
8.12.14 电锅炉房的位置宜靠近本地区或本部门的总变配电站, 当锅炉单独设置变配电设备时, 锅炉房和变配电设施宜靠近高压电网布置。
8.12.15 电热锅炉房的电气设计应符合下列基本要求:
1 电热锅炉房宜按一、二级负荷设计;
2 电锅炉额定工作电压一般为380V, 工作电压的波动应控制在90%~110%的范围内;
3 电热锅炉和大型用电设备应设可靠的接地装置;
4 对危及工作人员安全或电热装置正常运行的静电荷,应采取接地、屏蔽或提供足够距离等措施;
5 电锅炉房对电气设计的其它要求和一般锅炉房相同。
8.13 烟气净化、噪声治理、烟气余热利用
8.13.1 锅炉房排放的大气污染物,应符合现行标准《锅炉大气污染物排放标准》GB13271和所在地有关大气污染物排放标准的规定。
8.13.2 锅炉大气污染物的排放量,可按下列公式计算:
1 燃煤锅炉烟尘排放量和排放浓度的计算:
1)单台燃煤锅炉烟尘排放量可按正式计算:

式中 Mai——单台燃煤锅炉烟尘排放量(mg/s);
B——锅炉耗煤量(t/h);
ηc——除尘效率(%);
Aar——燃料的收到基含灰量(%);
q4——机械未完全燃烧热损失(%);
Qnet·ar——燃料的收到基低位发热量(kJ/kg);
αfh——锅炉排烟带出的飞灰份额,链条炉燃用烟煤取0.2,燃用无烟煤取0.3。
2)多台锅炉共用一个烟囱的烟尘总排放量按正式计算:

式中 MA——多台锅炉共用一个烟囱的烟尘总排放量(mg/s);
Mai——单台锅炉烟尘排放量(mg/s)。
3)多台锅炉共用一个烟囱出口处烟尘的排放浓度按正式计算:

式中 CA——多台锅炉共用一个烟囱出口处烟尘的排放浓度(标态)(mg/Nm);
∑Qi——排入同一烟囱的每台锅炉烟气总量(m3/h);
t——烟囱出口处烟温(℃);
P——当地大气压(kPa);
2 燃煤锅炉二氧化硫排放量的计算:
1)单台锅炉二氧化硫排放量可按正式计算:

式中 MSO2——单台锅炉二氧化硫排放量(mg/s);
B——锅炉耗煤量(t/h);
c——含硫燃料燃烧后生成SO2的份额,承受燃烧方式而定,链条炉取0.8~0.85;
ηSO2——脱硫率(%),干式除尘器取ηSO2=0,其它脱硫除尘器可参照产品特性选取;
Sar——燃料的收到基含硫量(%);
64——SO2相对分子质量;
32——S相对分子质量。
2)多台锅炉共用烟囱的二氧化硫总排放量和烟囱出口处二氧化硫的排放浓度可参照烟尘排放的计算方法进行计算。
3 燃煤链条炉排锅炉氮氧化物排放量的计算:
①单台锅炉氮氧排放量可按正式计算:

式中 GNO2——单台锅炉氮氧化物排放量(mg/s);
B——锅炉耗煤量(t/h);
β——燃烧时氮向燃料型NO2的转变率(%),与燃料含氮量n有关,一般层燃炉取25%~50%;
η——燃料中氮的含量(质量分数)(%),燃煤为0.5%~2.5%,取平均值1.5%;
Vy——燃烧生成的烟气量(标态)(Nm3/kg);
CNO2——燃烧时生成的温度型NO2的浓度(标态)(mg/Nm),一般取93.8mg/Nm3。
②多台锅炉共用一个烟囱的氮氧化物总排放量和烟囱出口处氮氧化物的排放浓度或参照烟尘排放的计算方法进行计算。
8.13.3 锅炉房除尘设备及其系统的选择和设计应考虑下列基本原则:
1 除尘装置和锅炉机组宜一对一配。当锅炉容量较大时, 也可一台锅炉配二台或多台除尘器并联运行,并联的除尘器之间, 烟量分配应尽量均匀, 灰斗之间不得窜风。
2 除尘器的选型, 应根据锅炉额定出力时的烟尘初始排放浓度、燃料成分、烟尘性质和除尘器对负荷的适应性等技术经济因素确定。应选用高效、低阻、负荷变化适应性好、耐磨耐蚀、价格合理, 能满足烟气排放标准的除尘装置。
3 在满足烟气排放标准的前提下, 宜优先考虑干式旋风除尘器 (其体积小,价格较低)。单台额定蒸发量≤6t/h或单台热功率≤4.2MW的层燃室燃煤锅炉, 宜采用干式除尘器。
当干式除尘装置达不到烟气排放标准时, 可采用湿式除尘系统。使用碱性水质的湿式除尘器(如麻石水膜除尘器等),兼备除尘和脱硫效果, 效率较高; 当湿式除尘仍达不到烟尘排放标准时, 可采用除尘效率更高的袋式除尘或静电除尘设施。
4 除尘器及其附属设施应符合下述要求:
1)除尘器及其附属设施应有防腐蚀和防磨损的措施;
2)除尘器应设置可靠的密封排灰措施;
3)除尘器排出的灰尘应设置妥善运输和存放的设施, 有条件时, 灰尘可进行综合利用。对于采用重型链条出渣机和水力冲灰渣的锅炉房, 宜将除尘器收集的烟尘用水冲入除渣系统一起排出。
5 露天布置的除尘器及排烟管道, 应有防雨和防腐蚀措施。
8.13.4 湿式除尘的系统设计应考虑下列要求:
1 湿式除尘系统应采用闭式循环系统, 设置灰、水分离设施, 循环用水;
2 湿式除尘器及其除尘器后的排烟管道应有可靠的防腐措施;
3 除尘器后应设置烟气脱水装置〔如旋流板、脱水副筒), 采取防止烟气带水排放和在后部烟道及引风机结露的措施;
4 在严寒地区的灰、水处理系统应有防冻措施;
5 除尘系统排放的含尘废水, 必须经无害化处理, 符合《污水综合排放标准》GB8978后, 才能排入下水道;
6 湿式除尘的补充水尽量利用锅炉的排污水和其它工业碱性废水;
7 应有PH值、液气比和S02出口浓度的监测和自控装置。
8.13.5 为保证锅炉房排烟中的SO2和NOx的含量符合排放标准要求,可考虑下列措施:
1 采用低硫优质煤作锅炉燃料;
2 选择合适的锅炉炉型和燃烧设备,减少在燃烧过程中产生的SO2和NOx,如选用配置有向燃烧室喷射石灰石粉的循环流化床锅炉;炉膛出口过量空气系数小、燃料和空气混合好、炉膛火焰中心温度较低,配置有二次送风装置的锅炉等;
3 配置专用的脱硫、脱氮氧化物装置,如湿式电气脱硫设备,低氮燃烧器、根据催化还原法,吸收法或固体吸附法制造的脱SO2和NOx装置;
4 锅炉房配置具有除尘、脱硫作用的湿式除尘系统,如利用锅炉连续排污水,或其它碱性水(如NaOH、Ca(OH)2……的碱性水)作喷淋水的麻石除尘器系统。
8.13.6 位于城市的锅炉房, 其噪声控制应符合现行国家标准《声环境质量标准》GB3096的规定。锅炉房噪声对厂界的影响, 应符合现行国家标准《工业企业厂界噪声标准》GBl2348的规定。锅炉房内噪声, 应符合《工业企业设计卫生标准》GBZI的有关规定, 见表8.13.6-1和表8.13.6-2。

8.13.7 锅炉房的噪声治理, 应考虑下列措施:
1 合理布置锅炉房的设备分区, 尽可能将产生噪声大的设备集中布置, 并远离对环境噪声要求严格的方位和房间;
2 锅炉房的风机、多级水泵、燃油、燃气燃烧器和煤的破碎、筛选装置等设备, 应选用噪声较低的设备, 并应采取降噪和减振措施;
3 对风机、原煤破碎机、多级水泵、燃烧器、传动机械和其它电动机等高噪声设备应分别加隔吸声罩, 或集中布置在隔声间内, 隔声间应采用隔声门窗(如双层真空玻璃窗),墙壁贴吸声材料等隔声措施;
4 设置在民用建筑内的锅炉房及宾馆、医院和精密仪器车间附近的锅炉房, 其风机、多级水泵等设备与其基础之间应设置隔振器, 设备与管道连接应采用柔性接头连接, 管道支承采用弹性支吊架;
5 设置在民用建筑内的锅炉房的墙、楼板、隔声门窗的隔声量,应不小于35dB(A);
6 在鼓风机的吸入口、噪声设备的隔声间或隔声罩的进风口等个宜设置消声器; 进风量大的鼓风机进风道可设计成消声进风道;
7 消声器额定风量应≥鼓风进风量, 消声器阻力≤设备允许阻力;
8 燃油、燃气锅炉房烟囱, 如高度较低, 与建筑物较近时, 其烟囱上宜设置消声装置。
8.13.8 燃煤锅炉烟气余热利用
1 燃煤锅炉排烟温度较高时, 可设烟气余热回收装置。排烟温度的降低受锅炉尾部受热面低温腐蚀的限制, 烟气温度不应低于烟气的露点温度。
2 增加烟气余热回收的燃煤锅炉, 必须复核其引风机抽力对尾部受热面增加的烟气阻力的适应性。
8.13.9 燃气锅炉烟气余热利用
1 锅炉烟气余热回收装置的排烟温度不应高于100℃,要采取措施防止锅炉尾部受热面低温腐蚀。
2 以下情况应设余热回收装置:
1)热水温度不高于60℃的低温供热系统;
2)散热器采暖系统。
3 增加烟气余热回收装置的燃气锅炉,必须复核其燃烧器(燃烧系统)对尾部受热面增加的烟气阻力的适应性。
8.14 锅炉房的热工监测和热工控制
8.14.1 锅炉机组必须按下述规定装设监测各运行参数
1 蒸汽锅炉:
1)蒸汽锅炉必须装设指示仪表监测下列安全运行参数:
①锅炉蒸汽压力;
②铜筒水位;
③锅筒进口给水压力;
④省煤器进、出口水温和水压;
⑤单台额定蒸发量大于等于20t/h的蒸汽锅炉,除应装设本条①、②款参数的指示仪表外,尚应装设记录仪表。
注:1 采用的水位计应有双色水位或电接点水位计的一种。
2 锅炉有省煤器时,可不监测给水压力。
2)蒸汽锅炉机组应装设的监测安全、经济运行参数的仪表见表8.14.1-1。

注:1 表中“√”为需装设,“—”为不需装设。
2 4t/h<Q<20t/h火管及水火管锅炉,当不便装设烟风系统参数仪表时,可不监测。
3 带空气预热器时,排烟温度是指空气预热器出口烟气温度。
4 4t/h<Q<20t/h锅炉有条件可装设检测排烟含氧量的仪表。
2 热水锅炉:
热水锅炉机组应装设的监测安全、经济运行参数的仪表见表8.14.1-2。

3 燃油锅炉、燃气锅炉除配备上述第1、2款规定的监测仪表外,还必须装设下列参数的指示仪表:
1)燃气锅炉:
①燃烧器前的燃气压力;
②锅炉后或锅炉尾部受热面后的烟气温度。
2)燃油锅炉:
①燃烧器前的油温和油压;
②带中间回油的回油油压;
③燃烧器前的空气压力;
④锅炉后或锅炉尾部受热面后的烟气温度。
8.14.2 锅炉房各辅助设备应按表8.14.2的规定装设仪表,监测各运行介质的参数。

8.14.3 锅炉房必须装设表8.14.3所列举的报警信号装置。

8.14.4 锅炉房应装设表8.14.4所列举的供经济核算的计量仪表。

8.14.5 热工监测和热式控制仪表的设置应符合下列要求:
1 温度测试取源部件应安装在介质温度变化灵敏和具有代表性的位置,在管道上安装时,取源部件的轴线应与管道轴线相交;热电偶的取源部件宜远离强磁场;
2 压力测试取源部件应安装在介质流速稳定的位置,其端部不应超过设备或管道的内壁;在管道上安装时,测气体压力应布置在管道的上半部;测蒸汽压力应布置在管道水平轴线成0°~45°夹角的上半部或下半部;
3 流量测试取源部件(孔板、喷嘴或文丘里管)的安装位置要求和测压取源部件安装要求相同。同时要求在其上下游侧管道保持一定的直管段。测蒸汽流量时,两个冷凝器的安装标高必须一致。
8.14.6 锅炉房下列设备和工艺系统应设置自动调节装置:
1 蒸汽锅炉应设置给水自动调节装置; 额定蒸发量≤4t/h的蒸汽锅炉可设置位式给水自动调节装置; 额定蒸发量≥64t/h的蒸汽锅炉宜设连续绐水自动调节装置;
采用给水自动调节时, 备用电动给水泵宜装设自动投入装置;
2 热水系统应设置自动补水装置; 加压膨胀水箱应设置水位和压力自动调节装置;
3 燃油、燃气锅炉应装设燃烧过程自动调节装置;
4 热网供热系统宜装设温度补偿器;
5 换热站(间)一次水管宜设置加热介质流量自动调节装置; 由温度补偿器按室外温度凋节一次水的流量, 以控制二次水的供水温度;
6 热力除氧设备应设置水位自动调节装置和蒸汽压力自动调节装置;
7 真空除氧设备应设置水位自动调节装置和进水温度自动调节装置;
8 锅炉房内多台锅炉应综合协调自动控制, 宜采用集散控制系统;
9 燃煤锅炉鼓引风机应装设变频调节转速装置;
10 电力驱动的设备、阀门和烟风道阀门可按需要设置远距离控制装置;
11 燃油燃气锅炉, 应设置点火程序控制和熄火保护装置;、
12 采用备用电动给水泵宜装设自动投入装置;
13 热水系统的循环泵、补给水泵应装设变频调节转速装置。
8.14.7 锅炉房的下列设备和工艺系统应设电气联锁装置:
1 燃油、燃气锅炉,应设置下列电气联锁装置;
1)鼓风机故障时,自动切断燃料供应;
2)燃油、燃气压力低于规定值时,自动切断燃料供应;
2 连续机械化运煤系统的各运煤设备之间应设置电气联锁装置。
3 连续机械除灰渣系统的各设备之间应进行联锁控制。
4 运煤和煤制备设备应有其局部通风和降尘装置联锁。
5 燃油、燃气锅炉和配备燃烧自动控制的燃煤锅炉,对其燃料供应系统和通风系统的设备,应按程序控制要求,实现自动联锁控制。
6 层燃锅炉的鼓风机、引风机和锅炉炉排减速箱等加煤设备之间,应装设电气联锁装置。
7 锅炉的鼓风机和引风机之间,应设置自动联锁装置。启动时先开引风机,停机时先停鼓风机。
8.14.8 锅炉房的下列设备和工艺系统应设置自动保护装置:
1 蒸汽锅炉应设置极限低水位保护装置,蒸发量≥6t/h的锅炉,应设置蒸汽超压保护装置;
2 热水锅炉应设置在锅炉运行压力降低到热水可能气化、水温升高超过规定值或循环水泵突然停止运行时,能自动切断燃料供应和停止鼓、引风机运行的保护装置;
3 燃油、燃气锅炉,应设置点火程序控制和熄火保护装置。
8.15 锅炉房对土建、电气、采暖、通风及给排水专业的设计要求
8.15.1 锅炉房的火灾危险性分类和耐火等级应符合下列要求
1 锅炉房应属于丁类厂房,单台蒸汽锅炉额定蒸发量大于4t/h或单台热水锅炉额定热功率大于2.8MW时,锅炉间建筑不应低于二级耐火等级;单台蒸汽锅炉额定蒸发量小于等于4t/h或单台热水锅炉额定热功率小于等于2.8MW时,锅炉间建筑不应低于三级耐火等级;
设在其他建筑物内的锅炉房,锅炉间的耐火等级,均不应低于二级耐火等级;
2 轻柴油的油箱间和油泵间应属于丙类生产厂房,其建筑物均不应低于二级耐火等级, 上述房间布置在锅炉房辅助间内时, 应设置防火墙与其它房间隔开; 通向其它房间的门窗必须为甲级防火门窗,并应能自行关闭;
3 燃气调压间应属于甲类生产厂房, 其建筑物不应低于二级耐火等级, 与锅炉房贴邻的调压间应设置防火墙与锅炉房隔开, 其门窗应向外开启并不应直接通向锅炉房, 地面应采用不产生火花地坪。
8.15.2 锅炉房的外墙、楼地面或屋面, 应有相应的防爆措施, 并应有相当于锅炉间占地面积10%的泄压面积, 泄压方向不得朝向人员聚集的场所、房间和人行道, 泄压处也不得与这些地方相邻。地下锅炉房采用竖井泄爆方式时, 竖井的净横断面积, 应满足泄压面积的要求。
注: 泄压面积可将玻璃窗、天窗、质量小于等于60kg/m2的轻质屋顶和薄弱墙等面积包括在内。
8.15.3 燃油、燃气锅炉房锅炉间与相邻的辅助间之间的隔墙, 应为防火墙; 隔墙上开设的门应为甲级防火门; 朝锅炉操作面方向开设的玻璃大观察门, 应采用具有抗能力的固定窗。
燃用液化石油气的锅炉间和由液化石油气管道穿越的室内地面处,严禁设有能通向室外的管沟(井)或地道等设施。
8.15.4 锅炉房的建筑结构设计应符合下列要求:
1 锅炉房为多层布置时, 锅炉基础与楼板地面接缝处应采用能适应沉降的处理措施。
2 锅炉房的柱距、跨度和室内地坪至柱顶的高度, 在满足工艺要求的前提下, 应尽量符合现行国家标准《厂房建筑摸数协调标准》的规定。
3 锅炉房楼板地面和屋面的荷载, 应根据工艺设备安装和检修的荷载要求确定。提不出详细资料时, 可按表8.15.4选用。

4 锅炉房出入口的设置,必须符合下列规定:
1)出入口不应少于2个; 但对独立锅炉房, 当炉前走道总长小于12m. 且总建筑面积小于200m2时. 其人员出入口必须有1个直通室外;
2)非独立锅炉房, 其人员出入口必须有1个直通室外;
3)锅炉房为多层布置时, 其各层的人员出入口不应少干2个; 楼层上的人员出入口,应有直接通向地面的安全梯;
4)设在建筑物顶层的锅炉房, 其出入口必须有2个直通安全出口或露天避灾平台。
5 锅炉房通向室外的门应向外开启, 锅炉房内的工作间或生活间直通锅炉间的门应向锅炉间开启。
6 锅炉间外墙的开窗面积, 应满足通风、泄压、采光的要求。锅炉房门、窗或外墙上应开设保证锅炉燃烧所需风量的百叶进风口或其它消音进风口。
7 锅炉房应预留能通过设备最大搬运件的安装洞, 安装洞可与门窗洞或非承重墙结合考虑。
8 锅炉房和其它建筑物相邻时, 其相邻的墙应为防火墙。
9 油泵的地面应有防油措施;有酸侵蚀的水处理间地面,地沟、混凝土水箱和水池等,应有防酸措施。应符合《工业建筑防腐蚀设计规范》GB50046的规定,其地面应有防滑措施。
10 化验室的地面和化验台的防腐蚀设计,应符合《工业建筑防腐蚀设计规范》GB50046的规定,其地面应有防滑措施。化验室的墙面应为白色、不反光,窗户宜防尘。化验台应有洗涤设施。化验场地应作防震、防噪的处理。
11 锅炉房内装有振动较大的设备时, 应采取隔振措施。
12 地震区锅炉房建筑应有抗震措施。
13 需要扩建的锅炉房, 土建设计应考虑便于扩建的措施。
14 对于燃煤锅炉房, 钢筋混凝土烟囱和砖烟道的混凝土底板等内表面, 其设计温度高于100℃的部位应采取隔热措施。烟囱和烟道连接处, 应设置沉降缝。
15 钢筋混凝土煤仓的内壁应光滑耐磨, 壁交角处应做成圆弧形, 并应设置有盖人孔和爬梯。
16 设备吊装孔、灰渣池及高位平台周围应设置防护栏杆。
17 平台和扶梯应使用不燃烧的防滑材料。操作平台宽不应小于800mm, 扶梯宽度不应小于600mm, 栏杆高度一般不小于1.2m, 平台和扶梯上方净高不应小于2m, 经常使用的钢梯坡度宜小于60°。
18 锅炉房生活间的卫生设施设计,应符合现行国家标准《工业企业设计卫生标准》GBZI的规定。
8.15.5 设置在主体建筑内的锅炉房. 土建设计除应符合本措施第8.15.1~8.15.4条的规定外, 尚应满足下列要求:
1 锅炉房应靠外墙设置, 宜有良好的自然通风; 与相邻房间用防爆墙 (耐火极限>2h) 和现浇楼板 (耐火极限>1.5h)隔开;
注: 抗爆能力按0.27~0.34MPa计算。
2 锅炉房的日用油箱间、油泵间应分别用耐火极限≥2h 的墙和≥1.5h的楼板与相邻房间隔开,隔墙上的门应为能自行关闭的甲级防火门(向疏散方向开启的平开门, 且能从任何一侧手动开启), 油箱、油泵间应有挡油门槛;
3 锅炉房设置在主体建筑的首层、地下一层时,外墙开口部位上沿 (如门、窗、设备入口等) 应设宽度不小于1.0m的防火挑檐 (不燃材料〕。
8.15.6 锅炉房电气设计应符合下列要求:
1 电动机、启动控制设备、灯具和导线形式的选择, 应与锅炉房各个不同的建筑物和构筑物的环境分类相适应;
燃油、燃气锅炉房的锅炉间、燃气调压间、燃油泵房、煤粉制备间、粉碎机间和运煤走廊等有爆炸和火灾危险场所的等级划分, 必须符合现行国家标准《爆炸和火灾危险环境电力装置设计规范》GB50058的有关规定;
2 锅炉房的供电负荷级别和供电方式, 应根据工艺要求, 锅炉容量、热负荷的重要性以及环境特征等因素, 按现行国家标准《供配电系统设计规范》的有关规定确定;
3 单台蒸汽锅炉额定蒸发量≤6t/h,热水锅炉额定出力≥4.2MW的锅炉房, 宜在锅炉房设置低压配电室, 当有6kV或10kV高压用电设备时宜设置高压配电室; 锅炉容量小于上述值时, 可不设配电室;
4 锅炉房的配电宜采用放射式为主的方式, 当有数台锅炉机组时, 宜按锅炉机组为单元分组配电;
5 ≤4t/h(2.8MW)锅炉的控制屏或控制箱宜采用与锅炉成套的设备, 并宜装设在炉前或便于操作的地方;
6 锅炉机组采用集中控制时, 在各电动机旁应设置事故停机按钮; 运煤皮带每隔20m宜设置一个事故停机按钮;
7 控制室、变压器室和高低压配电室不应设置在浴室、卫生间、用热水加热空气的通风室,以及潮湿的生产房间的下面,也不应设在有腐蚀性介质的管道下面;
8 电气线路宜采用穿金属管线或电缆桥架布线,不宜沿锅炉、热风道、烟道、热水箱及其它热体表面敷设;当需要沿载热体表面通过时,应采取隔热措施;在煤场下面和构筑物内不宜有电缆通过;
9 砖烟囱和钢筋混凝土烟囱应设置避雷针或避雷带, 可利用烟囱的金属爬梯作其引下线, 但必须有可靠的连接;
10 钢烟囱也应设避雷针, 当以钢烟囱自身作引下线时, 如果烟囱是用法兰连接的各段组成, 并在法兰之间有非金属垫圈时, 则应用扁钢作跨接线焊在法兰上;
11 应根据当地航空部门的要求在烟囱上设置飞行标志障碍灯;
12 锅炉房应设置通讯设施。
8.15.7 锅炉房的照明设计应符合下列要求:
1 锅炉房各房间及构筑物工作面的照明照度, 应符合现行国家标准《建筑照明设计标准》GB5UO34的规定;
2 锅炉水位表、锅炉压力表, 仪表屏和其它照度要求高的部位, 应设置局部照明;
3 在装设锅炉水位表、锅炉压力表、给水泵地点以及其它主要操作区和通道,宜设置事故照明灯;
4 照明电源电压应符合下列要求:
1)安装在地下凝结水箱间、出灰渣地点、热水箱、锅炉本体、金属平台等处的灯具, 当距地面或平台工作面小于2.5m时, 应采用≤36V的电压或有防触电措施;
2)手提行灯的电压不应超过36V, 在本款的l)所述场所的狭窄地点或接地良好的金属面 (如锅筒内〕上工作时, 所用手提行灯的电压不应超过12V。
8.15.8 燃油、燃气锅炉房的电气设计还应满足下列要求:
1 在燃气放散管的顶端或其附近应设置避雷针, 其针尖应高出管顶3m以上, 旦其保护范围应高出管顶lm以上;
2 气体和液体燃料的管道应设静电接地措施, 其接地导线, 可与防雷接地线或电气系统其它接地线相连, 接地电阻>10Ω时, 不另设静电接地装置;
3 金属油顶板厚度不小于4mm时, 可不装设避雷针, 但必须设接地线, 接地点不应少于2处;
当油罐装有呼吸阀和放散管时, 其防雷设施应符合本条第1款的规定;
覆土层厚度在0.5m以上的地下油罐, 可不设防雷措施, 但当有通气管引出地面时, 在通气管处应作局部防雷处理;
4 燃气调压间、燃气表间、及锅炉间应设置可燃气体浓度报警系统, 并和燃气进口总管上的紧急切断阀、相关房间的事故排风机等联锁, 当报警系统启动时, 自动关闭该紧急切断阀, 事故排风机立即启动;
报警地点和声光报警讯号宜在锅炉房总控制柜上显示,报警系统应设置备用电源;
5 设置在民用建筑内的锅炉房, 应设置火灾自动报系统, 并接至总消防控制室, 消防中心应有显示其报警器和事故排风机工作状态的装置, 并能显示报警点的位置; 能显示紧急切断阀的启闭状态,并能遥控紧急切断阀启闭。
8.15.9 锅炉房的冬季采暖室内计算温度应符合表8.15.9的要求, 在不经常有人操作场所, 冬季室内计算温度也不宜低于5℃。

注:1 在有设备散热的房间,当散热量不能保证表中规定温度时,应设置采暖散热器。
2 常年运行的锅炉房,其控制室,化验室等宜配置夏季降温设备。
8.15.10 燃煤锅炉房的通风设计应符合下列要求:
1 锅炉间、风机间、除尘间、凝结水箱间、水泵间、油泵间以及换热设备间,宜采用有组织的自然通风,当自然通风不能满足通风散热要求时,应设置机械通风,锅炉间和风机间的通风量应满足锅炉燃烧所需要的空气量;
2 锅炉间经常有人工作的地点,当其热辐射强度≥350W/m2时,应设置局部送风;
3 运煤系统的转运处、破碎、筛选处,以及干式机械排灰渣出口,应设置防止粉尘扩散的封闭措施和局部通风除尘装置。
8.15.11 燃油燃气锅炉房的通风还应符合下列要求:
设在其他建筑物内的燃油、燃气锅炉房的锅炉间、应设置独立的送排风系统, 其通风装置应防爆,新风量必须符合下列要求:
1 送入锅炉房的新风总量, 必须大于锅炉房3次的换气量;
2 送入控制室的新风量, 应按最大班操作人员计算;
注: 换气量中不包括锅炉燃烧所需空气量。
3 除此之外,燃油燃气锅炉房的通风应符合第4.4.4条。
8.15.12 锅炉房的给水设计应符合下列要求:
1 锅炉房可一路进水, 但当中断给水会引起重大损失时, 应采用两路从室外环网的不同管段或不同水源分别接入的进水管;
当一路进水时, 应设置水箱或水池, 保证排除故障期间用水, 其总容量包括原水箱、软化或除盐水箱、除氧水箱和中间水箱等的容量, 并不应小于2h锅炉房计算用水量:
2 煤场煤库应设置用于洒水和消除煤堆自燃的给水点。
8.15.13 锅炉房的排水设计应符合下列要求:
1 锅炉房排放的各类废水, 应符告现行国家标准《污水综合排放标准》GB8987和《地表水环境质量标准》GB3838的规定, 并应符合受纳水系的接纳要求;
2 贮存酸设备的化学水处理间, 应有人身和地面粘溅后简易冲洗措施;
3 锅炉排污应设排污降温池, 排污水应降至40℃后方可排入室外排水系统;
4 锅炉房的操作层、出灰层和水泵、水处理间应有排水措施;
5 湿法除尘、水力除灰渣、燃油系统等排出的废水和水处理间排出的含酸、碱废水, 应进行处理,使其符合国家有关工业废水排放标准的要求;
6 锅炉及其辅机的冷却水,宜用于除渣机或冲灰渣用补充水,锅炉房冷却水应循环使用;
7 地下室设备间应设置积水坑并配置排除积水的装置。
8.15.14 锅炉房消防设计应符合下列要求:
1 锅炉房的消防设计, 消防用水量及消火栓的设置, 应符合《建筑设计防火规范》GB50016、《高层民用建筑设计防火规范》GB50045的规定;
2 民用小区内的锅炉房宜与小区统一设置消防给水系统, 区域锅炉房应有独立的消防给水系统;
3 锅炉房的消防给水, 可采用与生产、生活水合并的给水系统;
4 设置在民用建筑内的锅炉房和单台蒸汽锅炉额定蒸发量≥10t/h或总额定蒸发量≥40t/h及单台热水锅炉额定热功率≥7MW 或总额定热功率≥28MW的锅炉房, 应设置火灾探测器和自动报警装置,火灾探测器的选择及其设置的位置, 火灾自动报警系统的设计和消防控制设备及其功能,应符合《火灾自动报警系统设计规范》GB50016的有关规定; 设置在民用建筑内的锅炉房, 尚应装设自动喷水灭火系统;
5 锅炉房、输煤栈桥、转运站、碎煤机室等处, 宜设置室内消防给水点, 其相连接处宜设置水幕防火隔离设施;
6 燃油泵房、燃油管区宜采用泡沫灭火、其系统设计应符合《低倍数泡沫灭火系统设计规范》GB50l51的规定;
7 锅炉房的燃油、燃气的丙类、乙类及甲类生产房间的灭火装置, 应符合《建筑设计防火规范》GB50016、《高层民用建筑设计防火规范》GB50045的规定, 并宜设置消防给水;
8 锅炉房应设置室外消火栓给水系统; 贮煤场、油罐区的周围, 应设置环状消防给水管网; 进环状管网的输水管应不少于2条, 当其中l条管道故障时, 其余输水管应仍能通过消防用水总量, 环状管道应采用阀门分成若干区段;
9 锅炉房内灭火器的配置, 应符合《建筑灭火器配置设计规范》GB50140的规定;
10 设置在民用建筑内锅炉房的灭火系统, 当建筑物设有防灾中心时, 该系统应受防灾中心集中监控:
11 消防集中控制盘宜设在仪表控制室内。
消声隔震
9.1 一般规定
9.1.1 通风空调机房的位置应符合下列要求:
1 冷、热源机房宜设于建筑的地下室或其它对空调房间噪声影响较小的地点, 或单独建设;
2 分散于各层设置的通风空调机房,不宜与对振动和噪声要求标准较高的房间相邻。
9.1.2 机房的隔声与吸声应符合下列要求:
1 机房内表面 (包括墙面和顶板) 应做好吸声和围护结构的隔声处理,围护结构的隔声量应根据机房邻室的噪声要求通过计算确定,吸声结构的降噪系数必须大于0.7;
注:降噪系数(NRC)为250Hz、500Hz、1kHz、4kHz四个倍频程频率吸声系数的平均值。计算式为:NRC=(α250+α500+α1k+α4k)/4。
2 冷、热源机房设于地下室时,机房内人员操作区8小时等效连续声级不宜超过85dB(A);最大不应超过90dB(A);值班控制室内噪声应≤75dB(A);
3 通风空调机房集中设置于地下室时,机房内噪声不宜大于80dB(A);通风空调机房分层设置时, 机房内噪声不宜大于75dB(A);
4 穿越机房围护结构的所有管道与安装洞周围的缝隙,应采用柔性防火封堵材料封堵严密;
5 机房开向公共区域的门,应采用防火隔声门,隔声量应大于35dB。
9.1.3 通风空调设备的布置应符合以下原则:
1 设备本身的基本噪声超过空调房间对噪声的要求时,不应直接设于空调房间内;当其设于该房间的吊顶内时, 应采取可靠的隔声措施来保证室内的噪声要求;噪声要求严格的房间 (如演播室等),所有空调设备都不应设于该房间之中的任何地点;
2 噪声或振动较大的设备,应设于专用的机房内,并采取必要的隔声、减振、吸声及消声措施;
3 设于室外的通风空调设备,应根据周围环境的要求进行适当的隔声处理。
9.1.4 空调通风设备的选择应符合下列要求
1 应选择高效率、低噪声设备;
2 每个通风空调系统风量及风阻力等不宜过大。空调机组出风口处的声功率级,宜控制在≤85dB。
9.1.5 风管及附件的设计,应符合下列规定:
1 风管内的风速设计有所控制,见表9.1.5-1;

注:通风机与消声装置之间的风管,其风速不宜超过10m/s。
2 冷水机组、水泵、通风机、空调机组等设备的进出口(包括水管和风管)应采用柔性接头;
3 圆形风管弯管的曲率半径(以中心线计)宜按表9.1.5-2确定;

4 矩形风管弯管的曲率半径,可采用一个平面边长的内外同心弧形弯管;若采用其它形式的弯管,当其平面边长大500mm时, 必须设置弯管导流叶片;
5 支风管与主风管连接时,应有相当于内半径100mm以上的圆弧或45°倾斜过渡,不应垂直连接;
6 风管断面的气流流速应均匀,风管内气流方向的变化应较为稳定、顺畅;
7 进出通风空调机房风管上的阀门等部件,宜设于机房内。当不得不设于机房外时,应根据机房外房间的噪声要求对这些部件采取适当的隔声措施(如设置隔声罩或隔声板等)。
9.2 噪声与振动的控制标准
9.2.1 民用建筑的室内允许噪声标准,应符合表9.2.1-1到表9.2.1-7的规定。





9.2.2 环境噪声等效声级限值,应符合表9.2.2的规定。

注:1 0类声环境功能区:指康复疗养区等特别需要安静的区域。
2 1类声环境功能区:指以居民居住、医疗卫生、文化教育、科研设计、行政办公为主要功能,需要保持安静的区域。
3 2类声环境功能区:指以商业金融、集市贸易为主要功能,或者居住、商业、工业混杂,需要维护住宅安静的区域。
4 3类声环境功能区:指以工业生产、仓储物流为主要功能,需要防止工业噪声对周围环境产生严重影响的区域。
5 4类声环境功能区:指交通干线两侧一定距离之内,需要防止交通噪声对周围环境产生严重影响的区域,包括4a类和4b类两种类型。4a类为高速公路、一级公路、二级公路、城市快速路、城市主干路、城市次干路、城市轨道交通(地面段)、内河航道两侧区域;4b类为铁路干线两侧区域。
9.2.3 减振设计时,各类建筑和设备所需的振动传递比宜符合表9.2.3的规定。

9.3 设备噪声及隔声处理
9.3.1 风机设备的噪声值应由生产厂商提供,当缺少实测资料时可按公式估算。
1 离心式通风机:
Lw=Lwc+10lgL+20lgH-20 (9.3.1-1)
式中 Lw——通风机的声功率级(dB);
Lwc——通风机的比声功率级(dB),可查表9.3.1-1;
L——通风机的风量(m3/h);
H——通风机的全压(Pa)。
当未知风机比声功率级时,其声功率级可按式9.3.1-2估算,它与实测值的误差在±4dB以内。
Lw=4+10lgL+20lgH (9.3.1-2)
式中符号同公式(9.3.1-1)。
当已知风机的功率N(kW)和风压H(Pa)时,其声功率级可按下式估算:
Lw=77+10lgN+10lgH (9.3.1-3)
当风机转速n不同时,其声功率级可按下式估算:
(Lw)2=(Lw)1+50lg(n2/n1) (9.3.1-4)
当得到风声功率级后,可按下式计算风机各倍频带的声功率级:
(Lw)Hz=Lw+△b (9.3.1-5)
式中△b——通风机各频带声功率级修正值(dB),见表9.3.1-2.
2 轴流式通风机的声功率级可按正式确定
Lw=19+10lgL+25lgH+δ (9.3.1-6)
式中δ——工况修正值(dB),见表9.3.1-3。



9.3.2 多台风机联合工作时的总声功率级,可按下列公式先计算两台风机的总声功率级,再与第三台叠加,依此类推。
Lwz=Lwg+△β (9.3.2)
式中 Lwz——总声功率级(dB);
Lwg——两台中声功率级较高的风机的声功率级(dB);
△β——声功率附加值(dB),见表9.3.2。

9.3.3 水泵噪声主要取决于其所配的电机噪声,当缺乏实测数据时可按以下公式估算:
一般小型电梯(100kW以下):LWA=19+20lgN+13.3lgn (9.3.3-1)
大、电型电机(100kW以上):LWA=14+20lgN+13.3lgn (9.3.3-2)
式中 LWA——电机噪声[dB(A) ];
N——电机功率(kW);
n——电机转速(rpm)。
采用介质冷却电机的水泵,如屏蔽泵,其噪声比普通水泵低10~15dB。
9.3.4 冷水机组噪声分为压缩机噪声和电机噪声,设计时考虑下列因素:
1 随着机组制冷量的增大,噪声增加;
2 开式电机比全封闭电机噪声高5~8dB;
3 降低式缩机转速(如采用多级压缩)可降低机组噪声5~8dB;
4 直燃式溴化锂机组噪声主要来自燃烧器鼓风机,一般在80dB以下,鼓风机加隔声罩可降低8~10dB。
9.3.5 风机传动方式选择应优先选直联,其次联轴器传动和三角皮带传动;风机布置时应保持风机入口气流均匀,出口直管段一米之内不宜设阀门等附件。
9.3.6 空调通风设备应考虑做隔声处理, 如加隔声罩、在设备壳体内衬吸声材料、在风机进出口装消声器、在机房对外开口部位装隔声门、隔声窗、消声百叶窗等措施。采用围护结构隔声时, 宜选用材料比重大的及有隔声结构的墙体,若墙体隔声量不足时,可在其内表面贴吸声材料。
9.3.7 当机房内噪声超过人员劳动条件要求 (要求八小时等效连续声级不大于 85dB时, 应设独立的值班室。值班室开向机房的门应采用隔声门,面向机房的观察窗应密封良好,并应采用厚度大于6mm的玻璃或双层玻璃。
9.4 风管系统的消声设计
9.4.1 通风空调风管的消声措施,应根据声源噪声及风管内空气气流的附加噪声,并考虑了噪声衰减后,与使用房间或周边环境允许噪声标准的差值,再结合其噪声的频谱特点,选择消声器型式和段数。
9.4.2 有消声要求的系统, 在通风空调机组的进出口风管上, 至少应设置一段消声器, 以防止风管出机房后一些部件的隔声量不够所引起的传声。当机房外的风管有足够的直管长度时, 其余的消声器宜设于此风管上(主管或支管〕。当所有消声器均设于机房内时, 从消声器至风管出机房围护结构之间的风管应做好隔声处理, 防止机房噪声二次传入风管。
9.4.3 当一个风系统带有多个房间时, 应尽量加大相邻房间风口的管路距离,当对噪声有较高要求时, 宜在每个房间的送、回风及排风支管上进行消声处理, 以防止房间串声。声学要求高的房间宜设置独立的空调通风管道系统。
9.4.4 消声器的选择应遵循以下原则:
1 消除高频噪声应采用阻性消声器和弯头消声器;
2 消除中低频噪声应采用抗性消声器和消声静压箱;
3 当要求提供较宽的消声频谱范围时,应采用阻抗复合消声器;
4 高温、高湿、高速等环境应采用抗性消声器;
5 消声器选择还应考虑其防火、防散、防霉等性能;
6 消声器内空气流速宜小于6m/s;确有困难时, 不应超过8m/s;
7 对于噪声控制要求高的房间, 应计算消声器的气流噪声, 并尽量降低管道及风口的气流噪声。
9.5 减振设计
9.5.1 民用建筑通风空调系统的减振设计应包括:
1 设备减振:冷水机组、空调机组、水泵、风机(包括落地式安装和吊装风机)以及其它可能产生较大振动的设备;
2 管道的减振:主要是防止设备的振动通过水管及风管进行传递。
9.5.2 减振台座设计,应符合下列要求:
1 宜采用钢筋混凝土预制件或型钢架做减振台座,其尺寸应满足设备安装(包括地脚螺栓长度)的要求;
2 减振台座采用钢筋混凝土预制件时, 可采用“平板"型或“T”型,当设备重心较低时, 宜采用“平板"型;当设备重心较高时, 宜采用“T" 型;
3 减振台座的重量, 不宜小于设备重量 (包括电机) 的1.5倍(随设备自带的减振台座除外);
4 对于地震区, 应有防止减振台座水平位移的措施。
9.5.3 减振器的自动频度fo(Hz),应按以下方法确定:
1 按表9.2.3的要求, 确定合理的隔振传递率T;
2 减振器自振频度fo(Hz),可按下式计算:

式中 f——设备运行时的振动频度(Hz),f=n/60;
n——设备转速(r/min)。
9.5.4 减振器的类型,宜按下列原则确定:
1 当fo<5Hz时,应采用金属弹簧减振器(预应力阻尼型)或空气弹簧减振器;
2 当5Hz≤fo<12Hz时,宜采用金属弹簧减振器(预应力阻尼型)、空气弹簧减振器或橡胶剪切型减振器;
3 当fo≥12Hz时,可采用金属弹簧减振器(预应力阻尼型)、空气弹簧减振器、橡胶剪切型减振器或橡胶隔振垫。
9.5.5 冷水机组等重量较大(数吨以上)设备,可以不设减振台座,设备直接设于减振器之上。
9.5.6 每台设备所配的减振器设置数量宜为4~6个,底座较大或重量较大的设备减震器设置数量应视实际需要而定。每个减振器的受力及变形应均匀一致。
9.5.7 振动较大的设备〔如风机) 吊装时,应采用金属弹簧或金属弹簧—橡胶复合型减振吊钩;振动较小的设备 (如风机盘管等〕吊装时, 若有必要, 可采用橡胶减振吊钩。
9.5.8 冷热源机房的上层为噪声和振动要求标准较高的房间时,机房内水管宜采用橡胶减振吊钩吊装。
9.5.9 空调机组设在最底层地下室时, 可直接采用橡胶隔振垫隔振;安装在楼层时宜采用金属弹簧减震器。
绝热
10.1 一般规定
10.1.1 为减少设备、管道及其附件在工作过程中的冷、热损失,保证介质的状态、参数和安全运行,改善工作环境,设备在管道在下列情况下应保温、保冷;
1 不保温、保冷,冷、热损耗量大,且不经济时;
2 管道内输送的冷、热介质必须保证一定状态或参数时;
3 供热介质温度高于50℃的管道及设备;
4 敷设在有冻结危险场所的管道;
5 管道或设备不绝热时,散发的冷热量会对房间温、湿度参数产生不利影响或不安全因素;
6 对于输送低温介质的管道,需防止其表面结露时;
7 对表面温度高于60℃,且敷设在下列容易使人烫伤的地方,应设置防烫保温措施;
1)距离地面或工作平台的高度小于2.1m;
2)设置在工作平台附近, 且距离小于0.75m。
10.1.2 保温、保冷材料的选择应符合下列要求:
1 保温材料的平均温度为350℃时,其导热系数不得大于0.1W/ (m·K);保冷材料的平均温度为27℃时, 导热系数不得大于0.064W/(m·K);泡沫塑料及其制品常温时的导热系数不大于0.044W/(m·K);
2 用于保温的硬质绝热制品密度不得大于220kg/m3,半硬质绝热制品密度不得大于200kg/m3,软质绝热制品密度不得大于150kg/m3,用于保冷的绝热材料及其制品的密度不得大于180kg/m3。
3 硬质无机成型绝热制品的抗压强度不得小于0.3MPa;用于保温的有机成型绝热制品的抗压强度不得小于0.2MPa;用于保冷的有机成型绝热制品的抗压强度不得小于0.15MPa;
4 保温材料的含水率不得大于7.5% (重量比);保冷材料的含水率不得大于1% (重量比〕;
5 保冷应优先采用导热系数小、湿阻因子大、吸水率低、密度小、耐低温性能好的绝热材料, 如闭孔泡沫橡塑保温材料或硬质聚氨酯发泡材料;
6 冰蓄冷系统的保冷材料应采用闭孔型材料和对异型部位保冷简便的材料;
7 保温材料的允许使用温度应高于介质温度;
8 保温材料应选择符合国家《建筑材料燃烧性能分级方法》GB8624标准规定的燃烧等级的产品;
9 用于与奥氏体不锈钢表面接触的保温材料应符合《工业设备及管道绝热工程施工规范》GB50126有关氯离子含量的规定。
10.1.3 空调冷、热管道绝热层厚度的计算应按下列原则进行:
1 单热管道应采用经济厚度法计算,必要时也可按允许表面热损失法计算;
2 单冷管道应按防结露方法计算,再按经济厚度法核算,对比后取其中较大值;
3 冷热合用管道, 应分别按冷管道与热管道的计算方法计算绝热层厚度, 对比后取较大值;
4 当选用本章绝热厚度表外的其它绝热材料, 或导热系数与表中所列数值相差较大时, 绝热层厚度应按式10.1.3修正;

式中δ′——修正后的绝热层厚度(mm);
δ——查表得到的绝热层厚度(mm);
λ′——实际选用的绝招材料的导热系数[W/ (m·K)];
λ——表中所用绝热材料的导热系数[W/ (m·K)]。
10.1.4 保温、保冷结构应符合下列要求:
1 保温层结构应包括绝热层和保护层;保冷层结构应包括绝热层、隔汽层和保护层。保护层应具有防止外力损坏绝热层的能力, 并应符合施工方便、防火、抗大气腐蚀、抗老化、耐久、美观、无毒等要求, 室外 设置时还应具有防雨雪能力。
2 管道与设备的保温、保冷结构应符合下列要求:
1)保冷层外表面不得产生空气冷凝水;
2)冷管道与托架之间应采用绝热型支架, 防止产生“冷轿”;热管道宜用绝热型支架;
3)穿越墙体或楼板处的管道绝热层应保持连续不断;
4)设备、直管道、管件等无需检修处,宜采用固定式保温结构;法兰、阀门、人孔等处宜采用可拆卸式的保温结构;
5)保温层厚度大于或等于100mm,保冷层厚度大于或等干80mm时,同一种绝热制品宜按双层或多层考虑,内外层接缝应彼此错开。
3保温层的支撑及紧固
1)高于3m的立式设备、垂直管道以及与水平夹角大于45°,长度超过3m的管道应设支撑圈,其间距一般为3~6m;
2)硬质材料施工时应预留伸缩缝;
3)保温层应采用适当措施进行紧固。
4 隔汽层与保护层的设置应根据保温、保冷材料、使用环境等因素确定,并应符合下列要求:
1)采用非闭孔材料保冷时,外表面必须设隔汽层和保护层;
2)保温时,外表面应设保护层;
3)室内保护层可采用难燃型的玻璃钢、铝箔玻璃钢薄板或玻璃布;
4)室外管道保护层一般采用金属薄板,宜采用0.5~0.7mm厚的镀锌钢扳或0.3~0.5mm防锈铝板制成外壳,外壳的接缝必须顺坡搭接,以防雨水进入。
5)室内防潮层可采用阻燃型聚乙烯薄膜、复合铝箔等;条件恶劣时,可采用CPU防水防腐面材料。
10.2 圆管道保温
10.2.1 热介质管道的柔性泡沫橡塑经济绝热厚度,可参照表10.2.1中的厚度选择。
表10.2.1 热水管柔性泡沫橡塑经济绝热厚度

注:1 柔性泡沫橡塑的导热系数λ=0.034+0.00013tm [W/(m·K)]。
2 热价为85元/GJ;还贷6年,利息10%。
3 室内环境温度取20℃,风速0m/s;室外温度取0℃,风速3m/s,当室外温度非0℃时,须用公式10.2.5进行修正。
4 使用共用按120天,2880小时。
10.2.2 热介质管道的硬质酚醛泡沫经济绝热厚度,可参照表10.2.2中的厚度选择。

注:1 酚醛泡沫导热系数λ=0.026+0.00013tm [W/(m·K)]。
2 热价为85元/GJ;还贷6年,利息10%。
3 室内环境温度取20℃,风速0m/s;室外温度取0℃,风速3m/s,当室外温度非0℃时,须用公式10.2.5进行修正。
4 使用共用按120天,2880小时。
10.2.3 热介质管道的硬质聚氨酯泡沫经济绝热厚度,可参照表10.2.3中的厚度选择。

注:1 硬质聚氨酯导热系数λ=0.024+0.00014tm [W/(m·K)]。
2 热价按为85元/GJ;还贷6年,利息10%。
3 室内环境温度取20℃,风速0m/s;室外温度取0℃,风速3m/s,当室外温度非0℃时,须用公式10.2.5进行修正。
4 使用共用按120天,2880小时。
10.2.4 热介质管道的玻璃棉经济绝热厚度,可参照表10.2.4中的厚度选择。
10.2.5 在热介质管道经济厚度计算中,当室外环境温度非0℃时,应根据当地使用期的室外平均温度,对按表10.2.1、10.2.2、10.2.3、和10.2.4查得的保温厚度用下式进行修正:

式中δ′——实际采用厚度(mm);
δ——室外环境温度0℃时的查表厚度(mm);
To——管内介质温度(℃);
T′w——实际使用期平均环境温度(℃)。
表10.2.4 热管道离心玻璃棉经济绝热厚度

注:1 离心玻璃棉导热系数λ=0.031+0.00017tm [W/(m·K)]。
2 热价按为85元/GJ;还贷6年,利息10%。
3 室内环境温度取20℃,
4 室外温度取0℃,风速3m/s;当室外温度非0℃时,须用公式10.2.5进行修正。
5 使用共用按120天,2880小时。
10.3 圆管道保冷
10.3.1 保冷材料室外防结露厚度的选择应按下列步骤进行:
1 按公式(10.3.1-1)计算出城市所在地的潮湿系数θ:

式中 Ts——绝热层外表面温度, 应高于环境点温度0.3℃以上, Ts=Td+0.3(℃);
Td——取当地气象条件下最热月的露点温度(℃);
To——管道或设备的外表面温度, 当为金属管道时, 取管内的介质温度(℃);
Ta——取当地气象条件下夏季空气调节室外计算干球温度(℃)。
2 根据选用的保冷材料, 在图10.3.1-1、10.3.1-2或10.3.1-3中查得最小防结露厚度δ′。



3 按公式10.3.1-2计算实际选用材料的厚度:
δ=B·δ′ (10.3.1-2)
式中 δ——实际选用材料的厚度 (mm〕;
B——按材料的性质、耐老化性能、阻湿性能、施工质量等因素决定的修正系数, 通常为1.10~1.40。
10.3.2 室内空调冷水管道(介质温度≥5℃)保冷最小绝热层厚度应符合表10.3.2的规定。

注:1 按满足防结露要求与经济厚度计算确定,冷价为75元/GJ,还贷6年,利息10%。
2 柔性泡沫橡塑导热系数λ=0.034+0.00013tm[W/(m·K)];安全系数取1.18。
3 离心玻璃棉导热系数λ=0.031+0.00017tm[W/(m·K)];安全系数取1.25。
10.3.3 室内蓄冰系统管道(介质温度≥-10℃)保冷最小绝热层厚度应符合表10.3.3的规定。

注:1 按满足防结露要求与经济厚度计算确定,冷价为75元/GJ,还贷6年,利息10%。
2 柔性泡沫橡塑导热系数λ=0.034+0.00013tm[W/(m·K)];安全系数取1.18。
3 硬质聚氨酯发泡导热系数λ=0.0275+0.00009tm[W/(m·K)];安全系数取1.25。
4 室内环境系指温度不高于300℃,相对湿度不大于80%的房间。
10.3.4 空调冷凝水管道宜采用柔性泡沫橡塑保冷,最小绝热厚度应符合表10.3.4的规定。

10.4 平面绝热
10.4.1 室内空气调节风管绝热最小热阻应符合表10.4.1的要求。

注:1 建筑物内环境温度:冷风时26℃,暖风时20℃。
2 冷价为75元/GJ;热价为85元/GJ。
3 以玻璃棉为代表材料,导热系数λ=0.031+0.00017tm[W/(m·K)]。
10.4.2 室外空调冷风管绝热应按防结露和经济厚度方法计算,采用其中较大值。防结露工可查表10.4.3和表10.4.4确定;经济厚度可查表10.4.5和表10.4.6确定。
10.4.3 室外空调冷风管玻璃棉绝热防结露厚度应符合表10.4.3的要求。

注:1 潮湿系数θ应根据绝热工程所在地气候条件及管道内介质温度,按公式(10.3.1-1)计算得到。
2 玻璃棉导热系数采用λ=0.031+0.00017tm[W/(m·K)];B为修正系数,见本文第10.3.1条第3款说明。
3 最小厚度取20mm。
10.4.4 室外空调风管酚醛泡沫绝热防结露厚度应符合表10.4.4的要求。

注:1 潮湿系数θ应根据绝热工程所在地气候条件及管道内介质温度,按公式(10.3.1-1)计算得到。
2 酚醛泡沫系数采用λ=0.026+0.00013tm[W/(m·K)];B为修正系数,见本文第10.3.1条第3款说明。
3 最小厚度取20mm。
10.4.5 室外空调冷风管玻璃棉绝热经济厚度见表10.4.5。

注:1 室外环境温度按夏季最热月平均温度取值,非太阳直射情况。
2 以经济厚度计算:冷价为75元/GJ;还贷6年,利息10%。
3 玻璃棉导热系数采用λ=0.031+0.00017tm[W/(m·K)]。
10.4.6 室外空调冷风管酚醛泡沫热经济厚度见表10.4.6。

注:1 室外环境温度按夏季最热月平均温度取值,非太阳直射情况。
2 以经济厚度计算:冷价为75元/GJ;还贷6年,利息10%。
3 酚醛泡沫导热系数采用λ=0.026+0.00013tm[W/(m·K)]。
10.4.7 室外空调热风管玻璃棉绝热经济厚度见表10.4.7。

注:1 室外环境温度按冬季供热期平均温度取值;风速按3m/s,超过时绝热层应适当加厚。
2 以经济厚度计算:冷价为75元/GJ;还贷6年,利息10%。
3 酚醛泡沫导热系数采用λ=0.026+0.00013tm[W/(m·K)]。
10.4.8 室外空调热风管酚醛泡沫绝热经济厚度见表10.4.8。

注:1 室外环境温度按冬季供热期平均温度取值;风速按3m/s,超过时绝热层应适当加厚。
2 以经济厚度计算:热价为75元/GJ;还贷6年,利息10%。
3 酚醛泡沫导热系数采用λ=0.026+0.00013tm[W/(m·K)]。
10.4.9 低温送风系统风管离心玻璃棉绝招应符合表10.4.9的要求。

注:1离心玻璃棉导热系数采用λ=0.031+0.00017tm[W/(m·K)],密度≥40kg/m3。
2 按防结露厚度和经济厚度原则计算,选用二者中的大值;防结露厚度计算中的修正系数取1.40。
3 经济厚度计算中:冷价为75元/GJ;还贷利息按年10%;还贷年为6年。
10.4.10 低温送风系统风管酚醛泡沫绝热应符合表10.4.10的要求。

注:1酚醛泡沫导热系数采用λ=0.026+0.00013tm[W/(m·K)],密度50~140kg/m3。
2 按防结露厚度和经济厚度原则计算,选用二者中的大值;防结露厚度计算中的修正系数取1.30。
3 经济厚度计算中:冷价为75元/GJ;还贷利息按年10%;还贷年为6年。
10.4.11 热设备表面保温层经济厚度可参照表10.4.11选用。

注:1 制表条件:热价为85元/GJ;20℃为室内环境温度,风速0m/s;0℃为室外环境温度,风速3m/s;冬季运行时间:使用期120天,2880小时。
2 当室外环境温度非0℃时,可根据使用期的室外平均温度,采用公式10.2.5进行修正。
监测与控制
11.1 一般规定
11.1.1 应根据建筑物的功能和标准、系统的类型、设备运行时间以及工艺对管理要求等因素,经技术经济比较选取以下监测与控制的全部或部分内容;
1 参数检测;
2 参数和设备状态及故障显示;
3 自动调节与控制;
4 工况自动转换;
5 设备联锁及自动保护;
6 能量计量;
7 中央监控与管理。
11.1.2 符合下列条件之一时,宜采用集中监控系统:
1 系统规模大,设备台数多,采用集中监控系统可减少运行维护工作量,提高管理水平;
2 系统各部分相距较远且关联, 采用集中监控系统便于工况转换和运行调节;
3 采用集中监控系统可合理利用能量实现节能运行;
4 采用集中监控系统方能防止事故, 保证设备和系统运行安全可靠。
11.1.3 不具备采用集中监控系统条件, 当符合下列条件之一时, 宜采用就地的自动监控系统:
1 工艺或使用条件有一定要求;
2 需防止事故, 保证安全;
3 可合理利用能量, 实现节能运行。
11.1.4 设备设置联动、联锁等保护措施时, 应符合下列规定:
1 当采用集中监控系统时, 联动、联锁等保护措施应由集中监控系统实现;
2 当采用就地自动控制系统时, 联动、联锁等保护措施应为自控系统的一部分或独立设置;
3 当无集中监控或就地自动控制系统时, 应设置专门联动、联锁等保护措施。
11.1.5 采用集中监控系统控制的动力设备应设就手动动控制装置, 并通过远动/手动转换开关实现远动与就地手动控制的转换, 并且应在使用就地控制时, 切断远程控制。远动/手动转换开关状态应作为集中监控系统的输入参数。
11.1.6暖通空调-动力专业监测与控制系统的设计包括以下范围:
1 应在便于观察的地点, 设置反映代表性参数的就地观测仪表;
2 确定各系统的控制方案, 配合设计各系统的控制软件;
3 确定监测控制点及联动联锁环节;
4 确定和提供传感器和执行器的设置位置;
5 配合选择和设置传感器、控制器、执行器, 进行水路和蒸汽自动控制阀的计算和选择。或向自动控制阀的生产厂提供自动控制阀的选型参数;
6 提供典型设备及典型系统的控制原理图及监控要求,包括工况转换分析及边界条件、控制点设计参数值等;
7 宜提供运行管理的节能控制方案。
11.1.7 采用集中监控系统时,对自带控制系统的机电一体化设备(例如:冷水机组、变频调机组等),可只对其运行状态等进行监控。有条件时,宜建立集中监控系统与设备控制器之间的通讯,实现集中监控系统中央主机对设备的控制和对其运行参数的监测。
11.1.8 锅炉房应符合8.14节的监控要求。
11.2 传感器、执行器
11.2.1 传感器应按下列基本原则选择:
1 测量物理参数、具有连续输的传感器的输出可以是4~20mA电流(0~10V电压)信号、频率或脉冲宽度信号,以及采用某种通讯协议的直接数字信号;
2 仅用于安全保护的设备状态监测时,宜选择温度开关、压力开关、气流开关、水流开关、压差开关、水位开关等以开关量形式输出手传感器,不宜使用连续量输出信号;
3 易燃易爆环境应采用防燃防爆型传感器;
4 选型应力求操作方便、运行可靠、经济、合理,并在同一工程中尽量减少仪表的品种和规格。
11.2.2 温度传感器的选用和安装,应满足下列条件:
1 温度传感器测量范围应为测点得可能出现的的温度范围的1.2~l.5倍,传感器测量范围和精度应与二次仪表匹配, 并应高于工艺要求的控制和测量精度;
2 壁挂式空气温度传感器应安装在空气流通, 能反映被测房间空气状态的位置;风道内温度传感器应保证插入深度, 不得在测头与风道外侧形成热桥; 插入式水管温度传感器应保证测头深度在水流的主流区范围内;
3 空调机器露点温度传感器应安装在挡水板后有代表性的位置, 并应避免辐射热、振动、水滴及二次回风的影响。
11.2.3 湿度传感器应安装在空气流通, 能反映被测房间或风管空气状态的位置, 安装位置附近不应有热源、水滴。
11.2.4 压力 (压差〕传感器的选用和安装, 应满足下列条件:
1 选择压力 (压差〕传感器的工作压力 (压差) 应大于该点可能出现的最大压力(压差) 的1.5倍,量程的上限值应为该点压力 (压差)正常变化范围的1.2~1.3倍;
2 在同一建筑层的同一水系统上安装的压力〔压差〕传感器宜处在同一标高上;
3 测压点应选在直管段上不会形成旋涡的地方,测量液体时,取压点应在管道下部; 测量气体时. 取压点应在管道上部;
4 水系统压差传感器的两端接管应连接在水流速较稳定的管路上。
11.2.5 流量传感器的选用和安装, 应满足下列条件:
1 量程的上限值应为系统最大工作流量的1.2~1.3倍;
2 安装位置前后应有保证产品所要求的直管段长度或其他安装条件;
3 应选用具有瞬态值输出的流量传感器;
4 应选用具有较低水流阻力的产品。
11.2.6 用于冷热量检测的仪表应满足下列条件:
1 计量结算点的检测仪表误差不宜超过5%;
注:ASHRAE手册提出的冷量计量精度为3%, 因冷量计量与流量和温度差两个仪表精度相关, 目前实际工程中的测量精度过低 {误差可达20%),暂做此项要求。
2 应根据冷/热量检测仪表的误差要求确定流量和温差测量仪表的精度等扳;
注:间接测量值的测量误差遵守误差传播定律,冷热量、温差之间关系和测量所得的相对误差关系如下:

式中 Q——冷热量(kW);
C——水的比热[kJ/(kg·℃) ];
W——水流量(kg/s);
△t——水进口温差(℃);
δ——各物理量的相对误差(%)。
3 用于检测系统供、回水管温差的两个温度传感器应对选用,且温度偏差系数应同为正或负,以使温差的测量误差满足需要。
11.2.7 执行器应按下列基本原则选择:
1 电加热器、加湿器的容量量调节宜采用开关输出,主要方式为通过触点开关实现通断控制, 要求调节精度很高时可采用无触点电子开关通过控制启停比实现。
2 电动机的控制调节可根据其容量大小、供电系统配置和系统要求的调节方式等选用以下方式:
1)直接启停控制为一个开关量输出;
2)降压启动为两个开关量输出;
3)变频控制调节为模拟量输出(或与其控制器直接数字通讯)。
3 阀门根据执行器动力源可采用电动式或气动式执行器,一般民用建筑宜采用电动式。
4 仅工作于通断两种状态的电动阀应采用开关输出的电磁阀或电动通断阀, 用于对流量连续调节的电动阀宜采用模拟量输出的电动调节阀。
5 采用集中监控的电动阀执行器应同时配有现场手动控制, 选择开关应设在现场, 操作人员就地开、关阀门时, 集中监控系统应能得到选择开关的状态信息。
11.2.8 阀门执行器电源可根据阀门工况按下列原则确定:
1 集中空凋冷热源系统管道采用大口径通断阀并采用集中控制的, 宜采用HC/220V(或380V〕电源, 执行器应带2个无源触点;
2 风机盘管水路通断阀采用室内温控器就地控制的,宜采用AC/220V电源;当采用集中控制时宜采用AC/24V电源;
3 比例调节的阀门采用集中控制时, 宜采用AC/220V电源,可输出0~10V电压或4~20mA电流信号显示阀门开度;
4 风阀与消防控制连接时宜采用DC/24V电源;
5 风阀与空凋设备联锁时宜采用AC/220V(或380V)电源;
6 风阀执行器的额定工作电流应不大于0.7A/m2。
11.3 控制阀的选择计算
11.3.1 应按下列要求选择不同流量特性的水 (汽〕自动控制阀:
1 当被调对象调节精度要求不高 (例如风机盘管、控制精度要求不高的蒸汽加湿器等), 或用于水〔汽〕路转换、开闭时,应采用双位控制的电动阀或电磁阀。
2 用于控制水(汽〕流量, 且压力损失比S较大时. 宜采用直线特性的两通调节阀, 例如:
1)两侧无较大水流阻力的水路旁通调节阀; 当所选阀门的流通能力大于计算值较多时, 应选用等百分比特性或抛物线特性的两通调节阀;
注:空调系统旁通调节阀所在串联管路(旁通管)的总压差△P一般较大; 例如一次泵系统压差控制的空调冷水旁通阀, △P为分集水器之后系统负荷侧管网阻力:温度控制的冷却水旁通阔. △P为室外气温和水温过低需旁通时运行的水泵流量所计算出的管网阻力和冷却塔所需压力之和。但旁遇管和检修阀等其他阻力较小,调节阀压力损失比S值很大,按此选择的阀门相对于流量口径很小、流速很大、可能会发生对阀门磨损较大等问题;因此工程中常比计算流通数值放大2号以上选择过大的阀门,阀门调节性能变差,此时应选择调节性能更好的等百分比特性或抛物线特性的两通调节阀。建议旁通管流速选较高值,电动调节阀两侧可设置高阻力、调节性能较好的检修阀,以增加阻力,减少旁通调节阀两侧压差。
2)比例控制的蒸汽调节阀。
3 用于控制水流量, 且压力损失比S较小时, 宜采用等百分比特性的两通调节阀, 例如用于调节换热器 (包括空气处理机组的换热器〕水流量的两通阀。
4 采用三通阀调节换热器水流量时, 换热器应接在三通阀的直流支路上, 且宜采用直流支路为等百分比特性, 旁流支路为直线特性的非对称型阀门。一个三通阀也可用二个两通阀代替, 与换热器串联支路的两通阀宜采用等百分比特性, 旁流支路的两通阀宜为直线特性。
注: 调节阀的压力损失比(也称阀权度)按下式确定:

式中 S——压力损失比;
△Pv——调节阔的设计压差, 即阀门全开时的压力损失(Pa);
△Pr——被控对象(换热器)及所接附件的水流阻力(Pa), 当有多个对象并联时, 应取并联支路中最大的△Pr值;
△P——调节阀所在串联支路的设计总压力损失(Pa)。
11.3.2 控制阀的设计压差△Pv应如下确定:
1 用于控制换热器〔包括空气处理机组和风机盘管的换热器〕的水流量时:采用等百分比特性调节阀时, 其压力损失比S不应小于0.3, 宜大于0.5, 可按△Pv≥△Pr确定;采用双位控制阀时, 宜取△Pv=0.25△Pr。
2 用于调节蒸汽流量时:
1)采用直线特性调节阀时, 宜取△Pv=0.8(P1-P2), 且△Pv不应大于0.5P1;
P1——蒸汽进口绝对压力(Pa);
P2——凝结水回口绝对压力(Pa)。
采用双位阀控制时宜取△Pv=0.2(P1-P2)。
3 旁通调节阀工作压差△Pv应在水路水力计算完成后, 按阀门两端的计算压差值确定。
11.3.3 控制阀的口径应如下确定:
1 采用双位控制阀时,可按所接管道直径直接确定阀门口径。
2 选择水量调节阀时,应按下式计算其流通能力:

3 选择蒸汽调节阀时,应按下式计算其流通能力:
1)P2>0.5P1时

2)P2≤0.5P1时

式中(11.3.3-1)~(11.3.3-3)中
Kv——阀门的流通能力;
Gs——通过阀门的设计水量(m3/h);
△Pv——阀门的设计压差(Pa);
Gq——通过阀门的设计蒸汽流量(kg/h);
P1——阀门进口绝对压力(Pa);
P2——凝结水回水绝对压力(Pa);
ρ2——在P2压力下t1温度时阀后的蒸汽密度(kg/ m3);
ρ2c——超临界流动状态(P2≤0.5P1)时,阀出口截面上的蒸汽密度(kg/ m3),取0.5P1压力下t1温度时的蒸汽密度;
t1——P1压力下的饱和蒸汽温度(℃)。
4 实际所选阀门的Kv值应大于且接近上述公式计算所得值,也可根据实际情况适当放大一档。
5 可将调节阀的工作压力及设计流量提供给阀门厂商进行选型,初设阶段可参考表11.3.3选择口径。

注:1 本表根据相关产品技术资料整理。
2 Cv值为采用英制单位计算出的阀门流通能力,Cv=1.167Kv。
11.3.4 水 (汽) 控制阀的选择和设置还应符合以下要求:
1 蒸汽和其他要求关闭严密的系统, 应采用单座阀;
2 阀门的承压能力和阀门最大允许开阀 (或关阀) 压差 (即保证阀正常开启 (或关闭〕时所允许的阀两端最大压降) 应符合系统的要求;
注:1 为避免执行器转矩不够, 阀门关闭不严或打不开, 应按系统要求确定阀门最大允许压差。
2 一般双座阀阀芯两方所受压力可相互抵消, 因此具有较大的允许开阀(或关阀) 压差。
3 三通分流阀不应用作三通混合阀, 三通混合阀不宜用作三通分流阀;
4 阀门部件材料应适用于系统介质, 并满足系统温度的要求;
5 选择阀门时, 应注明是常开还是常闭, 不工作时应能自动复位;
6 电动控制阀宜安装在水平管道上, 且执行机构位置应高干阀体;
7 用于控制水系统压差的旁通阀应设于总供、回水管路中压力〔或压差〕相对稳定的位置;
8 使用蒸汽的调节回路, 宜在调节阀前装恒压调节装;
9 当仅以开关形式用于设备或系统水路的切换时,应采用双位控制阀,不得采用调节阀。
11.3.5 调节风量用风阀宜选用对开多叶调节阀。风阀执行器的转矩应能在所受风压下打开风阀,常温20℃不同风压下打开风阀所需转矩可参考表11.3.5.

注:1 此表根据相关产品技术资料整理。
2 本节对阀门的称谓:电动阀统称为“控制阀”或“电动控制阀”,包括双位控制和连续调节的阀门;“调节阀”均指连续调节的阀门;双位控制的阀门称为“双位控制阀”。
11.4 现场控制器和中央监控管理系统
11.4.1 现场控制器的选择和设置应符合下列要求:
1 控制点的性质与控制器的功能相匹配;
2 应充分利用控制器的点数及功能,并根据前期规划留出少量备用点;
3 同一系统中,相互有关联的控制点宜放进同一控制器内;
4 现场传感器、执行器的信号类型应与现场控制器输入、转出接口相匹配;
5 控制器宜安装在被控系统或设备附近;当采用集中监控系统时,应设置控制室;就地控制环节和仪表较多时,宜设置控制室。
11.4.2 应根据工程规模、投资、建设标准、系统类型及工艺管理要求等因素, 选择适当的中央监控系统; 通常宜选择由现场传感器、执行器, 现场控制器, 通讯网络和中央管理工作站等组成的集散式中央监控管理系统。
11.4.3 中央级管理系统应具有以下功能:
1 应能以多种方式显示各系统运行参数和设备状态的当前值与历史值;
2 应能以与现场测量仪表相同的时间间隔与测量精度连续记录各系统运行参数和设备状态, 其存储介质和数据库应能保证记录连续一年以上的运行参数, 并可以多种方式进行查询;
3 应能计算和定期统计系统的能量消耗、各台设备连续和累计运行时间, 并能以多种形式显示;
4 应能改变各控制器的设定值和各受控设备的“远动/自动”状态,并能对设置为“自动"状态的设备直接进行启/停和调节;
5 应能根据预定的时间表或依据节能控制程序自动进行系统或设备的启停;
6 应设立安全机制,能将操作者设置成具有不同权限,并能对操作者所做的各种操作进行记录;
7 应有参数越线报警、事故报警及报警记录功能, 宜设有系统或设备故障诊断功能;
8 中央级监控管理系统兼有信息管理 (MIS〕功能, 为所管辖的建筑设备建立设备档案, 供运行管理人员查询;
9 宜设有系统集成接口,以实现大楼内弱电系统数据共享;
10 宜设互联网接口。
11.5 冷热源和空调水系统的监测与控制
11.5.1 空调冷热源和空调水系统,应对下列参数进行监测:
1 冷水机组蒸发器进/出口水温、压力;
2 冷水机组冷凝器进/出口水温、压力;
3 换热器一二次侧进/出口温度、压力;
4 分、集水器温度、压力(或压差),集水器各回水支管温度;
5 水泵进出口压力;
6 水过滤前后压差;
7 冷(热)水机组、水阀、水泵、冷却塔风机等设备的工作状态和故障报警;
8 高位膨胀水箱、软水箱、冷却塔的高/低液位;
9 采用闭式气压罐定压方式时, 气压罐压力;
10 宜监测室外空气温度、相对湿度 (湿球温度);
11 宜监测冷水机组蒸发器、冷凝器的水流状态;
12 宜监测冷热水流量;
13 宜监测冷水机组、水泵等设备的启停次数、累计运行时间, 以及设定定时检修提示;
14 应对建筑物的水、暖、电、气等能源消耗的总量进行计量。对于单台电功率大于100kW的制冷机和其它水泵、风机等设备安装专门电表计量电耗。采用区域性冷源和热源时, 应在用户冷源和热源入口处, 设置冷量和热量计量装置。公共建筑内部归属不同使用单位的各部分, 宜分别设置冷量和热量计量装置。
11.5.2 蓄冷、或蓄热系统,应对下列参数进行监测:
1 蓄热水槽的进/出口水温;
2 电锅炉的进/出口水温;
3 冰槽进/出口溶液温度;
4 蓄冰槽液位;
5 运行工况显示;
6 调节阀的阀位显示;
7 流量计量与显示;
8 故障报警;
9 冷、热量计量。
注:蓄冷、蓄热系统的控制环节见本措施每6.4节。
11.5.3 当空调冷 (热) 源水系统采用自动方式运行时,设备及控制阀应进行下列联锁控制:
1 冷水机组及其相关设备应按下列顺序启动:电动水阀、冷却水泵、空调冷水泵、冷却塔风机应先于冷水机组启动,冷水机组在冷水水流得以证实后启动; 系统停机时上述顺序应相反;
注:当采用停开冷却塔风机控制冷却水温时, 冷却塔风机应能在冷水机组运行过程中受水温控制启停。
2 2台和2台以上冷水机组和一级冷水泵或冷却水泵之间通过共用集管连接和运行时, 每台冷水机组入口或出口管道上的电动隔断阀 (见图5.7.4-3和图5.7.4-3),应与对应运行的冷水泵和冷却水泵联锁开闭;
3 2台和2台以上冷却塔通过共用集管连接和运行,并在每台冷却塔支管设置电动隔断阀时,电动隔断阀应与对应运行的冷却水泵联锁开闭。
11.5.4 设置多台冷水机组的水系统,宜根据系统冷量变化控制冷水机组的运行台数,应符合下列要求:
1 测量冷量的传感器应设于负荷侧的供回水总管上,并符合11.2.6的规定;
2 空凋冷水一次泵为定流量运行的系统, 可将冷量变化简化为供回水温差或回水温度的变化;
3 对于节能要求高的系统,可采用综合效率优化的冷机运行控制策略。
注:系统的“综合效率"为系统总能耗与总制冷量之比。“综合效率优化的运行控制策略”是根据冷机和相关的冷水泵、冷却水泵、冷却塔风机的容量和调节特性,得出给定的冷水、冷却水温度条件下,系统不同冷量需求时的冷量——能耗曲线,并从当前工况出发执行最佳,即在满足冷量需要的前提下制冷能耗最低的运行方案。此控制策略要求的设备参数全面,自控设计和管理水平较高。详见江亿、姜子炎著《建设备自动化》。
11.5.5 空调冷水一次泵系统总供、回水管之间的旁通调节阀应采用压差控制, 压差测点宜设在总供、回水管路中压力相稳定的位置压差设定值应按11.3.2条第3款的要求经计算确定。
11.5.6 空调冷水二次系统二级冷水泵运行台数宜采用流量控制方式, 频率或转速宜根据系统压差变化控制, 系统压差定点宜设置在最不利环路干管靠近末端处。
11.5.7 一次泵(变频)变流量冷水系统的控制应符合下列要求:
1 总供、回水管之间的旁通调节阀可采用流量或压差控制;
2 水泵的台数和频率与11.5.6条二级冷水泵的控制方式相同;
3 系统宜采用以下精确控制流量和降低流量快速变化的控制和管理措施:
1)应采用高精度的流量测定装置;
2)应采用合理的群控方案避免频繁加臧机, 冷水机组的台数加减控制应合理, 例如: 以系统供水温度或以压缩机运行电流为依据加机, 以压缩机运行电流为依据减机, 在加机前先对原运行机组卸载等;
3)冷水机组的电动隔断阀应缓慢动作, 避免减机时流量瞬间变化过大;
4)旁通阀的流量和开度应成线性关系,尽可能减少控制延迟时间, 并在设计压力下确保不漏;
5)负荷侧多台设备的启停时间宜错开,设备盘管的水阀应选择“慢开"型。
注:空调水系统形式、设备配置、自控阀设置、旁通管流量,以及末端装置自控阀的设置要求等内容详见5.7节。
11.5.8 冷却水系统,尤其是全年运行的冷却水系统,宜对冷却水的供水温度采取调节措施:
1 可采用根据冷却塔出水温度控制冷却塔风机转速或开启台数的方法;
2 室外湿球温度较低的冬季或过渡季运行的冷却塔,宜在冷却水供回水管之间设置旁通调节阀,控制旁通水量, 调节混合比控制水温;
3 冷却水的温度应符合本措施第6.6.2条的要求;
注:过渡季运行的冷却塔是否设置旁通调节阀,应根据使用期间室外湿球温度和冷水机组对冷却水的温度要求确定,电压缩式冷水机组最低水温限制的数值较低,如采用停开冷却塔风机的方法可以满足要求,则不必设置旁通阀。
11.5.9 空调热水和空调冷水的换热系统应采用下列控制方式:
1 宜根据换热器二次水的供水温度控制一次热媒 (或一次冷水〕的流量;
2 二次水循环泵应采用台数和转速调节; 且宜根据流量变化控制运行台数, 根据系统压差控制水泵转速;
3 当多台换热器和二次循环泵一对一设置并采用共用集管连接和运行时,每台换热器宜设置与水泵开闭联锁的电动阀。
11.5.10 空调水系统补水定压设计详见本措施每6.9节,设置补水泵补水时应符合下列控制要求:
1 采用开式膨胀水箱定压时,应由膨胀水箱液位控制补水泵启停;
2 采用闭式气压罐定压时, 应由气压罐压力控制补水泵启停和膨胀电磁阀的开闭;
3 当设置离子交换软化设备和软水箱时,宜根据软水箱液位高低进行下列控制:
1)控制软化装置电源开关;
2)软水箱最低水位控制补水泵停机;
3)软化装置采用自来水补水,且有可能自来水水压超过软化装置的工作压力时,控制软化装置进水电动阀开闭;
4)软化装置采用专用供水泵供水时,控制水泵的启停。
11.6 空调系统和空气处理装置的监测与控制
11.6.1 舒适性空调系统中,应对下列参数进行监测:
1 室内外温度;
2 空气冷却器出口的冷水温度;
3 加热器进出口的热媒温度和压力;
4 空气过滤器进出口静压差的超限报警;
5 新风/空气处理机组的出风温度;
6 风机、水泵、转轮换热器、加湿器等设备运行状态、手动/自动状态和故障报警;
7 加热盘管低温防冻报警;
8 宜监测室内外、新风/空气处理机组的出风相对湿度或露点温度。
11.6.2 当受调节对象纯滞后、时间常数及热湿扰量变化的影响. 采用单回路调节不能满足调节参数要求时, 空气调节系统宜采用串级调节。

串级调节原理如图11.6.2。
注:主调节目标为房间的温(湿) 度, 副调节目标为空气处理装置的送风参数, 由于空气处理装置的调节特性与房间参数的调节特性(特别是时同常数) 有很大不同,采用串级调节将两个调节过程分解开, 可以更好地实现控制调节。详见江亿、姜子炎著《建筑设备自动化》。
11.6.3 传感器的设置位置应符合下列规定:
1 空凋 (新风〕机组送风温(湿)度传感器应设于送风处的稳定气流段;
2 一般空调系统房间温 (湿〕度传感器宜设于被控房间的典型区域; 采用置换遇风或利用地板静压箱下送风时. 应设于被控房间的工作区。
11.6.4 空气加湿量应根据加湿器产品和执行器的类型确定控制方式。
注:加湿器类型详见5.5.8控制方式应符合产品的要求。例如: 干蒸汽加湿器一般控制蒸汽阀的开闭或开度;电极加湿器控制电源的启停或调节通电水位的高低; 电热加湿器控制电热器的启停或功率;高压喷雾加湿器控制高压水泵的启停;湿膜加湿器控制水阀的开闭;循环水湿膜加湿器控制水泵的启停; 高压微雾加湿系统可服务于多台空调设备, 每台空调设备控制喷雾阀开闭,加湿主机水泵根据管路压力进行变频调节等。
11.6.5 空调系统的电加热器应与送风机联锁, 并应设无风断电、超温断电保护装; 设置电加热器的金属风管应接地。
11.6.6 空气处理装的电动风阀、电动水阀和加湿器等均应与送风机进行电气联锁。
11.6.7 全空气空调系统应最大限度地利用新风做冷源,不同气候条件地区新风免费供冷(增大新风比)工况的判别方法应按表11.6.7确定。

注:1 本表摘自ASHRAE标准90.1-2001,twb和tdb分别为该标准定义的夏季空调设计湿球温度和夏季空调设计干球温度。
2 判别方法说明如下:
◆焓差法是比较室外新风焓值hW焓值hR的大小,以hW≤hR作为启动新风免费供冷工况的启动条件。
◆固定焓法是比较室外新风焓值hW与某一固定焓值hs(例如室内设计状态:干球温度24℃,相对湿度50%,则hs=47kJ/kg)的大小,以hW≤hR作为启动新风免费供冷工况的启动条件。
◆电子焓法是用等温线与等焓线将焓-湿图分成四个区域,新风状态点位于左下区域,作为启动新风免费供冷工况的启动条件。
◆温差法是比较室外新风温度tW回风温度tR的大小,以tW≤tR作为启动新风免费供冷工况的启动条件。
◆固定温度法是比较室外新风温度tW与某一固定温度ts大小,以tW≤ts为启动新风免费供冷工况的启动条件。其中ts是根据不同地区的相对湿度对应于hs的干球温度。对于干燥地区、适中地区和潮湿地区,其相对湿度分别为50%、64%和86%,对应于hs=47kJ/kg的ts分别为24℃,21℃和18℃。
◆焓差法的节能性最好,但需要的传感器多,且湿度传感器误差大、需要经常维护,实施较困难。
◆固定温度法的检测稳定可靠,实施最为简单方便,可在实际工程中采用。
11.6.8 严寒和寒冷地区冬季使用的空气处理装置应按5.5.4条的要求采取防冻控制措施。
11.6.9 风机盘管应设室温控制装置,且应符合下列要求:
1 空调水系统采用二次泵和一次泵(变频)变流量时,应通过控制电动水阀开停实现对室温的控制;
2 空调水系统采用一次泵系统时,宜通过控制电动水阀开停实现对室温的控制;
注:如采用温控器控制风机三速开关实现对室温控制的简易方法,风机停开时房间温度不均匀,控制精度很差;且当冷水机组和水泵台数调节时,需冷量较大房间的水量相应减少,回水温度升高,降低去湿能力,因此不推荐采用。
3 风机盘管电动水阀宜采用常闭式开关阀,由控器就地控制,且应与风机电源联锁;
4 当两管制风机盘管冬夏季分别供热水和冷水时,温控器应设冷热转换开关。
11.6.10 冬季和夏季需要改变送风方向的风口(包括散流器和远程投射喷口)应设置转换装置实现冬/夏季转换。
11.6.11 变风量、水环热泵、变制冷剂流量多联分体式空调系统的主要控制要求分别详见本措施每5.11、5.13、5.14节。
11.7 采暖、通风与防排烟系统的监测与控制
11.7.1 采暖、通风系统应对下列参数进行监测:
1 采暖系统的供水、供汽和回水干管中的热媒温度和压力;
2 热风采暧系统的室内温度、送风温度和热媒参数;
3 兼作热风采暖的送风系统的室内外温度、送风温度和热媒参数;
4 除尘系统的除尘器进出口净压差;
5 风机等设备的运行状态、手动/自动状态和故障状态。
11.7.2 采暖系统的控制调节应符合下列要求:
1 集中采暖系统供暖用户入口应根据系统形式采用相应的调控装置,确保各供暖用户系统的水力平衡;
2 散热器应按本措施第2.4节的要求设备温控装置进行局部调节;
3 集中采暖系统的热源应设供热量自动控制装置,根据室外气温的变化自动改变用户侧供(回)水温度,对用户侧系统进行总体质调节;
4 采暖水系统的补水定压控制详见11.5.10。
11.7.3 采暖系统应按本措施笫2.1节的要求在供暖用户入口和要求分户计量的住宅的入户支管上设置热计量装置。
11.7.4 通风机控制应符合下列要求:
1 对于厨房、实验室等需在工作点控制风机启停且风机远离工作点时,应在工作点设置远距离控制开关。
2 事故通风应满足下列控制要求:
1)通风机应分别在室内、外便于操作的地点设置电器开关;
2)通风装置与可燃气体泄漏、事故等探测器联锁开启。
3 风量需要经常变化,且需维持房间风量平衡和压力的场合,送风机和排风机宜联锁启停; 当采用双速或变速风机时,风机排风量应满足房间风量平衡的要求。举例如下:
1)厨房炉灶排风机和对应送风机的联锁启停; 当多台排风机对应一台补风机时, 补风机风量根据排风机开启台数变速运行;
2)地下锅炉房锅炉鼓风机和为满足燃烧空气量所设对应送风机的联锁启停; 当多台锅炉对应一台补风机时,补风机风量根据排风机开启台数变速运行;
3)空调系统的空气处理机组和对应排风机的联锁启停: 当新风量变化时, 应进行排风机的台数调节或变速运行。
11.7.5 通风系统宜进行以下节能控制:
1 在人员密度相对较大且变化较大的房间, 可根据室内CO₂浓度或人数检测值, 实现改变最小新风比或最小新风量的控制;
2 地下停车库的通风系统, 可根据使用情况对通风机设置定时启停或台数控制, 或根据车库内的C0浓度或车辆数检测值进行自动运行控制; 车库送热风时, 应根据车库内的C0浓度或车辆数检测值进行自动运行控制;
3 变配电室等发热量和通风量较大的机房, 宜根据使用情况或室内温度设置风机定时启停、台数或双速运行控制。
11.7.6 通风系统防火监控应符合有关防火设规范和第4章的有关规定, 并应符合下列要求:
1 通风空调风道上宜设置带电信号的防火阀, 并能显示其开闭状态;
2 火灾时应通过消防控制室切断相关部位空调通风设备的电源;
3 与防排烟系统合用的通风空调系统应符合下列要求:
1)所有通风设备应有平时/消防两路供电;
2)合用的风机和转换风阀等由消防控制室控制, 火灾时转入火灾控制状态。
11.7.7 设有气体灭火、细水雾灭火系统防护区的空调通风、排烟系统的控制应符合下列要求:
1 风道或风口上应设有常开的电动防火阀, 并应在灭火系统启动前关闭, 电动防火阀应由消防中心控制;
2 气体灭火房间的事故排风系统应在防护区外便于操作的位置设置就地启动开关。
11.7.8 机械排烟系统的控制应符合下列要求:
1 排烟风机应由消防中心手动或由火灾探测系统连锁自动启停, 并与排烟口 (阀) 开启联锁启动;
2 排烟风机应设于风机前的280℃防火阀动作后联锁停机;
3 排烟口或排烟阀应按所负担的防烟分区进行开启控制;
4 排烟补风机宜与对应的排烟风机联锁启停。
11.7.9 加压送风系统的控制应符合下列要求:
1 楼梯间采用常开风口 (包括自垂百叶) 时, 加压送风机应由消防控制室手动或自动启停;
2 前室或告用前室设置常闭型加压送风口时, 应设置现场手动和在消防控制室远控的电动开启装置;
3 限压装置的设置和控制宜符合本措施第4.10节的规定。
燃气供应
12.1 一般规定
12.1.1 本章适用于使用天然气、液化石油气、人工煤气的新建、扩建或改建的居住小区及其民用建筑室内外燃气供应设计。
12.2.2 本章适用于供气压力不大于0.4MPa的中、低压室内燃气系统以及室外燃气管道供气系统设计, 液化石油气瓶组、气化站、混气站和瓶装供应站的设计。
12.1.3 本章适用于下列用气设备:
1 居民和公共建筑厨房燃气设备;
2 居民和公共建筑热水用燃气设备;
3 分散或集中民用燃气供热锅炉、直燃机、热泵等供冷暧谩备;
4 燃气分布式供能系统设备。
12.1.4 燃气供应设计应遵守国家标准《城镇燃气设计规范》GB50028和其它有关规范。当本措施与国冢规范不同时, 应服从国家规范, 并应尊重建设地区相关部门的规定和要求, 做到安全、可靠、使用方便。
12.2 燃气供应方式的选择
12.2.1 燃气供应方式应根据燃气供应来源、用户所需燃气压力和用量,结合市政管网供气条件,经方案比较后,择优选取技术经济合理、安全可靠的方案。
1 用户所需燃气压力为低压且城市低压管网有能力供气时, 宜采用低压管网直接供气方式; 低压管网不能满足用户要求时, 宜采用从城市中压管网接入燃气经调压后低压供气方式。
2 用户只需中压燃气且有专用调压设施时, 宜采用城市中压管网直接供气方式。
3 用户所需燃气压力为中、低压不同压力且周边无低压管网时, 宜采用直接引入城市中压燃气经分别调压后, 以不同压力供气的方式。
4 用户需要中、低压不同压力, 且周围有中、低压管网并能保证供气时, 宜采用中、低压管网分别供气方式。
12.2.2 民用建筑的室外燃气管道, 宜采用枝状布置方式; 但根据规模大小也可采用环状布置方式。
12.2.3 高层建筑根据建筑高度和气源种类可采用中压供气, 分户调压供气方式; 也可采用竖向分区低压供气方式。
12.3 燃气用气量和计算流量
12.3.1 燃气用气量
民用建筑燃气用气量包括:居民生活用气量、商业用气量、采暖及通风空调用气量。
1 用户的燃气用气量,应考虑燃气规划发展量,根据当地的用气量指标确定。
2 居民生活和商业的用气量指标,应根据当地居民生活和商业用气量的统计数据分析确定。当缺乏实际统计资料时, 结合当地情况参考选用附录D中附表D.1-1、附表D.1-2、附表D.1-3、附表D.l-4数据。
3 采暖用气量, 可根据当地建筑物耗热量指标确定 (方案和初步设计阶段也可按附录D中附表D.1-5中数据估算〕。
4 通风空调用气量, 取冬季热负荷与夏季冷负荷中的大值确定 (方案和初步设计阶段也可按附录D中附表D.1-6中数据估算)。
5 居住小区集中供应热水用气量, 参照《建筑给水排水设计规范》GB50015中的耗热量计算。
12.3.2 燃气计算流量
1 燃气管道的计算流量, 应为小时最大用气量。
2 居民生活和商业用户
1)已知各用气设备的额定流量和台数等资料时,小时计算流量按以下方法确定:
①居民生活用燃气计算流量:
Qh=∑KNQn (12.3.2-1)
式中 Qh——民用户燃气计算流虽(m3/h);
K——用气设备同时工作系数, 可参照附录E中附表E.1-1附表E.1-2的数据;
N——同种设备数目;
Qn——单台用气设备的额定流量(m3/h)。
②商业用户(包括宾馆、饭店、餐馆、医院、食堂等〕的燃气计算流量, 一般按所有用气设备的额定流量并根据设备的实际使用情况确定。
2)当缺乏用气设备资料时, 可按以下方法估算燃气小时计算流量 (0℃, 101325Pa, 以下同):

式中 Qhl——燃气小时计算流量(m3/h);
Qa——年燃气用量(m3/a);
n——年燃气最大负荷利用小时数(h);
Km——月高峰系数,计算月的日平均用气量和年的日平均用气量之比;
Kd——日高峰系数,计算月中的日最大用气量和该月日平均用气量之比;
Kh——小时高峰系数,计算月中最大用气量日的小时最大用气量和该日小时平均用气量之比。
注:1 年燃气用量应根据当地居民生活和商业的用气量指标确定, 当缺乏资料时. 可参考附录D中附表D.1-1、附表D.l_2、附表D.1-3、附表D.1-4中数据计算。
2 用气高峰系数根据用户的燃气用量或燃料用量的变化情况. 统计分折确定。当缺乏实际统计资料时. 结合当地情况参考选用下列数据:Km=1.1~1.3;Kd=1.05~1.2;Kh=2.2~3.2。
3 采暖、通风空调及生活热水用户
1)已知用气设备的额定流量和台数等资料时, 集中设置的燃气锅炉房、直燃机或分布式供能机组的燃气计算流量. 应按各用气设备的额定流量, 在考虑了设备备用情况之后, 叠加确定。
2)当缺乏用气设备资料时, 可按以下方法进行估算:
①采暖燃气小时计算流量:

式中 Qh2——采暖用户小时燃气计算流量((Nm3/h);
qh——采暖热指标[W/(m2·h)],见附录D中附表D.1-5;
A——采建筑面积 (m2);
QR——燃气低热值(kJ/m3);
η——供热设备热效率,应按设备厂提供的数据选用。
②通风空调燃气小时计算流量:

式中 Qh3——空调用户小时燃气计算流量((Nm3/h);
qc——空调冷指标[W/(m2·h)],见附录D中附表D.1-6;
A——空调建筑面积(m2);
QR——燃气低热值(kJ/m3);
COP——吸收式制冷机的制冷系数,可取0.7~1.2.
③小区生活热水燃气小时计算流量:

式中 Qh4——生活热水用户小时燃气计算流量(Nm3/h);
QW——生活热水设计小时耗热量(W/h),按《建筑给水排水设计规范》计算;
QR——燃气低热值(kJ/m3);
η——供热设备热效率,应按设备厂提供的数据选用。
12.4 燃气管道水力计算
12.4.1 室外燃气管道的局部阻力损失可按燃气管道摩擦阻力损失的5%~10%进行计算; 室内燃气管道的局部阻力损失宜按实际情况计算, 也可按燃气管道摩擦阻力损失的l5%~20%进行计算。
12.4.2 计算低压燃气管道阻力损失时, 对地形高差大或高层建筑立管应考虑因高程差而引起的燃气附加压力。燃气的附加压力可按下式计算:
△H=9.8×(ρk-ρm)×h (12.4.2)
式中 △H——燃气的附加压力(Pa);
ρk——空气的密度(kg/m3);
ρm——燃气的密度(kg/m3);
h——燃气管道终、起点的高程差(m)。
12.4.3 中压燃气管道从上游调压站(箱)的出口至下游调压站(箱)的入口间的压力降,应保证下游调压装置的入口压力大于其允许压力的低限,并应留到有适当的压力储备值。
12.4.4 燃气低压管道从中低压调压站到最远燃具的管道允许阻力损失可按下式计算:
△Pd=0.75×Pn+150 (12.4.4)
式中 △Pd——从中低压调压站到最远燃具的管道允许阻力损失(Pa);
Pn——低压燃具的额定压力(Pa)。
12.4.5 中低压调压站(箱)后的低压燃气管道允许压力损失分配推荐值见表12.4.5。

注:1 供气态液化石油气的小区,考虑将来使用天然气的可能时同时按天然气系统的要求设计。
2 燃气表按膜式燃气表压损设定,采用其它类型的表时应按实际压损另行分配。
12.5 室外埋地燃气管道设计
12.5.1 地下燃气管道不得从建筑物和大型构筑物(不包括架空的建筑物和大型构筑物)下面穿越。
12.5.2 地下燃气管道与建筑物、构筑物或相邻管道之间的水平和垂直净距,不应小于表12.5.2-1、表12.5.2-2以及表12.5.2-3、表12.5.2-4的规定。


注:1 如受地形限制不能满足表12.5.2-1和表12.5.2-2时,经与有关部门协商,可采取加大管道壁厚、提高防腐等级、提高管道焊口拍片率、加强阴极保护等安全措施后,表中规定的净距,均可适当缩小,但低压管道不应影响建(构)筑物和相邻管道基础的稳固性,中压管道距建筑物基础不应小于0.5m且距建筑物外墙面不应小于1m。
2 表12.5.2-1和表12.5.2-2不适用于地下聚乙烯燃气管道和钢骨架聚乙烯塑料复合管燃气管道与热力管的净距。

12.5.3 地下燃气管道埋设的最小覆土厚度(路面至管顶)应符合下列要求:
1 埋设在机动车道下时, 不得小于0.9m;
2 埋设在非机动车车道〔含人行道〕下时, 不得小于0.6m;
3 埋设在不能行驶和停放机动车之地下时, 钢管不得小于0.3m, 聚乙烯管道和钢骨架聚乙烯复合管道不得小于0.5m;
4 埋设在水田下时, 不得小于0.8m。
12.5.4 输送湿燃气的燃气管道, 应埋设在土壤冰冻线以下。燃气管道坡向凝水缸的坡度不宜小于0.003。
12.5.5 地下燃气管道的基础宜为原土层。凡可能引起管道不均匀沉降的地段, 其基础应进行处理。
12.5.6 地下燃气管道不得从建筑物及在堆积易燃、易爆材料和具有腐蚀性液体的场地下面穿越, 不应与电缆同沟敷设且不宜与其他管道同沟敷设。
12.5.7 地下燃气管道从排水管〔沟)、热力管沟、隧道及其他各种用途沟槽内穿过时, 应将燃气管道敷设于套管内。套管伸出构筑物外壁不应小于表12.5.2-1中燃气管道与该构筑物的水平净距。套管两端应采用柔性的防腐、防火材料密封。
12.5.8 在中压燃气干管上,应设置分段阀门,并应在阀门两侧设置放散管。在燃气运管的起点处,应设置阀门。
12.5.9 中低压调压站(柜)进口管道上应设阀门,阀门距调压站(柜)宜为10~100m,当通向调压站(柜)的支管阀门距离调压站(柜)小于100m时,支管阀门与调压站(柜)进口阀门可合为一个。低压燃气管上可不设阀门。
12.5.10 地下燃气管道上的检测管,凝水缸的排水管、水封阀和阀门,均应设置护罩或护井。
12.5.11 室外架空的燃气管道,可沿建筑物外墙或支柱敷设,并应符合下列要求:
1 中压和低压燃气管道,可沿建筑物耐火等级不低于二级的住宅或公共建筑的外墙敷设;
2 沿建筑物外墙的燃气管道距住宅或公共建筑物中不应敷设燃气管道的房间门、窗洞口的净距;中压管道不应小于0.5m,低压管道不应小于0.3m;
3 输送湿燃气的管道应采取排水措施,在寒冷地区还应采取保温措施。燃气管道坡向凝水缸的坡度不宜小于0.03.
12.5.12 钢质燃气管道必须进行防腐。其防腐设计应符合国家标准《城镇燃气埋地钢质管道腐蚀控制技术规程》CJJ95。
12.5.13 地下燃气管道的外防腐涂层的种类,根据工程的具体情况,可选用石油沥青、聚乙烯防腐胶带、环氧煤沥青、聚乙烯防腐层、环氧粉末喷涂等。当选用上述涂层时,应符合国家现行有关标准的规定。
12.5.14 防腐等级应根据土壤的腐蚀性、管道的重要程度及所经地段的地质、环境条件确定。
12.5.15 公称直径大于或等于100mm的中压钢制管道和公称直径大于或等于200mm的低压钢制管道,在采用防腐层的同时还应采用阴极保护,并符合国家现行标准《城镇燃气埋地钢制管道腐蚀控制技术规程》CJJ95的有关要求。
12.5.16 市区内或地下管道及地下构筑物较多的小区一般采用牺牲阳极法,并应符合国家现行标准《埋地钢制管道牺牲阳极阴极保护设计规范》SY/T0019的有关规定。
12.5.17 新建管道的阴极保护设计、施工应与管道的设计、施工同时进行,并同时投入使用。
12.6 室内燃气管道设计
12.6.1 民用建筑室内燃气管道的最高压力, 商业用户不得超过0.4MPa, 居民用户不得超过0.2MPa。
12.6.2 燃气管道的供气压力应根据用户设备燃烧器的额定压力及其允许的压力波动范围确定。民用低压用气设备燃烧器的额定压力可按表12.6.2采用。
低压用气设备燃烧器的额定压力可按表12.6.2采用。

12.6.3 室内燃气管道宜选用钢管, 也可选用铜管、不锈钢管、铝塑复合管和连接用软管。
12.6.4 选用钢管时应符合下列要求:
1 钢管的选用:
1)低压燃气管道应选用热浸镀锌钢管, 其质量应符合现行国家标准《低压流体输送用焊接钼管》GB/T309l的规定;
2)中压燃气管道应选用无缝钢管,其质量应符合现行国家标准《输送流体用无缝钢管》GB/T8163的规定;也可选用热浸镀锌焊接钢管。
2 钢管壁厚:
1)选用符合《低压流体输送用焊接钢管》GB/T3091标准的焊接铝管,低压宜采用普通管,中压宜采用加厚管;
2)选用无缝钢管,其壁厚不得小于3mm,用于引入管时不得小于3.5mm;
3)在避雷保护范围以外的屋面上的燃气管道和高层建筑沿外墙架设的燃气管道, 采用焊接钢管或无缝钢管时其管道壁厚均不得小于4mm。
3 钢管螺纹连接:
1)室内低压燃气管道(地下室、半地下室等部位除外)、室外压力小于或等于0.2MPa的燃气管道, 可采用螺纹连接; 管道公称直径大于DN100时不宜选用螺纹连接;
2)管道公称压力PN≤0.01MPa时,可选用可锻铸铁螺纹管件;管道公称压力PN≤0.2MPa时,应选用钢或铜合金螺纹管件;
3)管道公称压力PN≤0.02MPa时,应采用《55°密封螺纹第2部分:圆锥内螺纹与圆锥外螺纹》GB/T7306.2规定的螺纹(锥/锥)连接;
4)密封填料, 宜采用聚四氟乙烯生料带、尼龙密封绳等性能良好的填料。
4 钢管焊接或法兰连接:
公称直径大于DN100的低压燃气管道和中压燃气管道, 宜采用焊接, 阀门等处宜采用法兰连接,并应符合有关标准的规定。
12.6.5 选用铜管时应符合下列要求:
1 铜管的质量应符合现行国家标准《无缝铜水管和铜气管》GB/T18033的规定;
2 铜管道采用硬钎焊接, 宜采用不低于1.8%的银 (铜-磷基)焊料(低银铜磷钎料),铜管接头和焊接工艺可按现行国家标准《铜管接头》GB/T11618 的规定执行; 铜管道不得采用对焊、螺纹或软钎焊 (熔点小于500℃〕连接;
3 埋入建筑物地板和墙中的铜管应是覆塑铜管或带有专用涂层的铜管, 塑铜管或带有专用涂层的铜管的质量应符合有关标准的规定;
4 燃气中硫化氢含量小于或等于7mg/m3时, 中低压燃气管道可采用现行国家标准《无缝铜水管和铜气管》GB/T18033中表3-1规定的A型管或B型管;
5 燃气中硫化氢含量大于7mg/m3而小于20mg/m3时, 中压燃气管道应选用带耐腐蚀内衬的铜管;无耐腐蚀内衬的铜管只允许在室内的低压燃气管道中采用;
6 铜管必须有防外部损坏的保护措施。
12.6.6 选用不锈钢时应符合下列要求:
1 薄壁不锈钢管:
1)薄壁不锈钢管的壁厚不得小干0.6mm(DN15及以上), 其质量应符合现行国家标准《流体输送用不锈钢焊接钢管》 GB/Tl2771的规定;
2)薄壁不锈钢管的连接方式, 应采用承插氩弧焊式管件连接或卡套式管件机械连接, 并宜优先选用承插氩弧焊式管件连接, 承插氩弧焊式管件和卡套式管件应符合有关标准的规定。
2 不锈钢波纹管:
1)不锈钢波纹管的壁厚不得小于0.2mm,其质量应符合国家现行标准《燃气用不锈钢波纹软管》CJ/T197的规定;
2)不锈钢波纹管应采用卡套式管件机械连接, 卡套式管件应符合有关标准的规定。
3 薄壁不锈钢管和不锈钢波纹管必须有防外部损坏的保护措施。
12.6.7 选用铝塑复合管应符合下列要求:
1 铝塑复合管的质量应符合现行国家标准《铝塑复合压力管第1部分: 铝管搭接焊式铝塑管》GB/T18997.1或《铝塑复合压力管第2部分:铝管对接焊式铝塑管》GB/T18997.2的规定。
2 铝塑复合管应采用卡套式管件或承插式管件机械连接,承插式管件应符合国家现行标准《铝塑复合管用承插式铜制管接头》CJ/T110的规定,卡套式管件应符合国家现行标准《铝塑复合管用卡套式铜制管接头》CJ/T111和《铝塑复合管用卡压式管件》CJ/T190的规定;
3 铝塑复合管安装时必须对铝塑复合管材进行防机械损伤、防紫外线(UV)伤害及防热保护,并应符合下列规定:
1)环境温度不应高于60℃;
2)工作压力应小于10kPa;
3)在户内的计量装置 (燃气表)后安装。
12.6.8 选用软管时应符合下列要求:
1 燃气用具连接部位、实验室用具或移动式用具等处可采用软管连接;
2 中压燃气管道上应采用符合现行国家标准《波纹金属软管通用技术条件》GB/T14525、《液化石油气(LPG〕用橡胶软管和软管组合件》GB10546 或同等性能以上的软管;
3 低压燃气管道上应采用符合国家现行标准《家用煤气软管》HG2486或国家现行标准《燃气用不锈钢波纹软管》CJ/T197规定的软管;
4 软管最高允许工作压力不应小于管道设计压力的4倍;
5 软管与家用燃具连接时, 其长度不应超过2m, 并不得有接口;
6 软管与移动式的工业燃具连接时, 其长度不应超过30m, 接口不应超过2个;
7 软管与管道、燃具的连接处应采用压紧螺帽 (锁母〕或管卡 {喉箍) 固定, 在软管的上游与硬管的连接处应设阀门;
8 橡胶软管不得穿墙、天花板、地面、窗和门。
12.6.9 燃气引入管敷设位置应符合下列规定:
1 燃气引入管不得设在卧室、卫生间、易燃或易爆品的仓庠、有腐蚀性介质的房间、发电间、配电间、变电室、不使用燃气的空调机房、通风机房、计算机房、电缆沟、暖气沟、烟道和进风道、垃圾道等地方;
2 住宅燃气引入管宜设在厨房、外走廊、与厨房相连的阳台内 (寒冷地区输送湿燃气时阳台应封闭〕等便于检修的非居住房间内; 当确有困难, 可从楼梯间引入(高层建筑除外), 但应采用金属管道且引入管阀门宜设在室外;
3 商业的燃气引入管宜设在使用燃气的房间或燃气表间内;
4 燃气引入管宜沿外墙地面上穿墙引入。室外露明管段的上端弯曲处应加不小于DN15清扫用三通和丝堵, 并做防腐处理。寒冷地区输送湿燃气时应保温。
引入管可埋地穿过建筑物外墙或基础引入室内。引入管进入建筑物后应沿墙直接出室内地面, 不得在室内地面下水平敷设。
12.6.10 燃气引入管穿墙与其他管道的平行净距应满足安装和维修的需要, 当与地下管沟或下水道距离较近时, 应采取有效的防护措施。
12.6.11 燃气引入管穿过建筑物基础、墙或管沟时,均应设置在套管中,并应考虑沉降的影响,必要时应采取补偿措施。
套管与基础、墙或管沟等之间的间隙应填实, 其厚度应为被穿过结构的整个厚度。
套管与燃气引入管之间的间隙应采用柔性防腐、防水材料密封。
12.6.12 建筑物设计沉降量大于50mm 时, 可对燃气引入管采取如下补偿措施:
1 加大引入管穿墙处的预留洞尺寸;
2 引入管穿墙前水平或垂直弯曲2次以上;
3 引入管穿墙前设置金属柔性管或波纹补偿器。
12.6.13 燃气引入管的最小公直径应符合下列要求:
1 输送人工煤气和矿井不应小于25mm;
2 输送天然气不应小于20mm;
3 输送气态液化石油气不应小于15mm;
12.6.14 燃气引入管阀门宜设在建筑物内操作方便的位置,安装高度一般为1.5m左右;设在外墙上的引入管阀门应阀门箱保护,阀门高度宜为1.8m左右。重要用户除在室内阀门外还应在室外另设阀门。
12.6.15 输送湿燃气的引入管,埋设深度应在土壤冰冻线以下,并宜有不小于0.01坡向室外管道的坡度。
12.6.16 燃气水平干管不得穿过易燃易爆品仓库、配电间、变电室、电缆沟、烟道、进风道和电梯井等。
12.6.17 燃气水平干管不得敷设在潮湿或有腐蚀性介质的房间内, 当必须敷设时应采取防腐措施。
湿燃气干管敷设在室温0℃的房间, 或输送气相液化石油气管道的室温低于其露点温度时, 采取防冻保温措施。
输送干燃气的水平管道可不设坡度, 输送湿燃气 (包括气相液化石油气) 的管道, 其敷设坡度不应小于0.002, 特殊情况下不得小于0.0015。
12.6.18 燃气管道敷设在地下室、半地下室、设备层和地上密闭房间时, 应符合下列要求:
1 房间净高不宜小于2.2m;
2 房间应有良好的通风设施, 房间换气次数不得小于3次f/h;并应有独立的事故机械通风设施,其换气次数不应小于6次/h;
3 应有固定的防爆照明设备;
4 应采用非燃烧体实体墙与电话间、变配电室、修理间、储藏室、卧室、休息室隔开;
5 应按第12.12.1、12.12.2条设置燃气监控设施;
6 燃气管道应符合第12.6.19条要求;
7 当燃气管道与其他管道平行敷设时, 应敷设在其他管道的外侧;
8 地下室内燃气管道末端应设放散管, 并应引出地上。放散管的出口位置应保证吹扫放散时的安全和卫生要求。
12.6.19 燃气管道设在地下室、半地下室、设备层和地上密闭房间以及竖井、住宅汽车库 (不使用燃气, 并能设置钢套管的除外〕时, 应符合下列要求:
1 管材、管件及阀门、阀件的公称压力应按提高一个压力等级进行设计;
2 管道宜采用钢号为10#、20#的无缝钢管或具有同等及同等以上性能的其他金属管材;
3 除阀门、仪表等部位和采用加厚管的低压管道外, 均应焊接和法兰连接; 应尽量减少焊缝数量, 钢管道的固定焊口应进行100%射线照相检验,活动焊口应进行10% 射线照相检验, 其质量不得低于现行国家标准《现场设备、工业管道焊接工程施工及验收规范》GB50236中的Ⅲ级; 其他金属管材的焊接质量应符合相关标准的规定。
12.6.20 液化石油气管道和烹调用液化石油气燃烧设备不应设置在地下室、半地下室内。当确需要设置在地下一层、半地下室时, 应针对具体条件采取有效的安全措施, 并进行专题技术论证。
12.6.21 燃气水平干管宜明设, 当建筑设计有特殊美观要求时可敷设在能安全操作、通风良好和检修方便的吊顶内, 管道应符合第12.6.19条的要求;当吊顶内设有可能产生明火的电气设备或空调回风管时, 燃气干管宜设在与吊顶底平的独立密封∩型管槽内, 管槽底宜采用可卸式活动百叶或带孔板。
12.6.22 燃气水平干管不宜穿过建筑物的沉降缝, 当必须穿过时. 根据结构变形量大小, 在穿墙处开适当的洞, 并在变形鏠两侧的管道上加装金属软管或波纹管。
12.6.23 燃气水平干管严禁穿过防火墙。
12.6.24 民用建筑室内燃气水平干管,不得暗埋在地下土层或地面混凝土层内。
12.6.25 燃气水平干管应考虑在工作环境温度下的极限变形,尽量采取自然补偿方式,当自然补偿不能满足要求时,应设补偿器。补偿器的选择和补偿量的计算温差见第12.6.32条的规定。
12.6.26 水平干管的支承间距应不大于表12.6.26的数据。

12.6.27 室内燃气立管不得穿过易燃易爆品仓库、配电间、变电室、电缆沟、烟道、进风道、通风机房和电梯井等。
12.6.28 燃气立管不得敷设在卧室或卫生间内。立管穿过通风不良的吊顶时应设在套管内。
12.6.29 燃气立管宜明设, 也可设在便于安装和检修的管道竖井内,但应符合下列要求:
1 燃气立管可与空气、惰性气体、上下水、热力管道等设在一个公用竖井内, 但不得与电线、电气设备或氧气管、进风管、回风管、排气管、排烟管、垃圾道等共用一个竖井;
2 坚井内的燃气管道不设或少设阀门等附件, 竖井内的燃气管道的最高压力不得大于D.2MPa; 燃气管道应涂黄色防腐识别漆;
3 穿越建筑物楼层的管道井每隔2层或3层, 应设置相当于楼板耐火极限的防火隔断; 相邻2个防火隔断的下部, 应设丙级防火检修门; 建筑物底层管道井防火检修门的下部, 应设带有电动防火阀的进风百叶; 管道井顶部应设置通大气的百叶窗; 管道井应采用自然通风, 管道竖井墙体应为耐火极限不低干1.0h的不燃烧体;
4 每隔4~5层设一燃气浓度检测报警器, 上、下两个报警器的高度差不应大20m。
12.6.30 沿外墙设的干燃气立管, 宜设在方便检修处,与建筑物门窗洞的水平净距. 中压管道不小于0.5m, 低压管道不小于0.3m, 并应采取防腐措施。
12.6.31 燃气立管应有承受自重和热伸缩推力的固定支架和活动支架。
12.6.32 高层建筑立管应考虑工作环境温度下的极限变形,当自然补偿不能满足要求时,应设置补偿器;补偿器宜采用Ⅱ形或波纹管型,不得采用填料型。补偿量计算温差可按下列条件选取:
1 有空气调节的建筑物内取20℃;
2 无空气调节的建筑物内取40℃;
3 沿外墙和屋面敷设时可取70℃。
12.6.33 当立管的附加压头超过燃具允许使用压力范围时, 应采取以下措施之一:
1 增加或减少管道阻力;
2 按建筑物高度分区, 以各区所需压力分别调压供气;
3 采用中压或较高的低压供气, 设用户调压器进行调压。
12.6.34 输送湿燃气的立管底部应采取排冷凝液的措施。
12.6.35 立菅支承间距, 当管道公称直径不大于DN25时, 宜每层中设一个;大于DN25时. 按需要设置。
12.6.36 室内燃气支管宜明设。燃气支管不宜穿起居室(厅)。敷设在起居室(厅)、走道内的燃气管道不宜有接头。当穿过卫生间、阁楼或壁柜时,燃气管道应采用焊接连接(金属软管不得有接头),并应设在钢套管内。
12.6.37 燃气表前后的湿燃气水平支管应分别坡向立管和燃具。
12.6.38 住宅内暗埋的燃气支管应符合下列要求:
1 暗埋部分不宜有接头, 且不应有机械接头, 暗埋部分宜有涂层或覆塑等防腐蚀措施;
2 暗埋的管道应与其他金属管道或部件绝缘, 暗埋的柔性管道应采用厚度δ=1.2mm角钢或钢盖板保护;
3 暗埋管道必须在气密性试验合格后覆盖;
4 覆盖层厚度不应小于10mm;
5 覆盖层面上应有明显标志, 标明管道位置, 或采取其他安全保护措施。
12.6.39 住宅内暗封的燃气支管应符合下列要求:
1 暗封管道应设在不受外力冲击和暖气烘烤的部位;
2 暗封部位应可拆卸, 检修方便, 并应通风良好。
12.6.40 公共建筑室内暗燃气运管应符合下列要求:
1 可暗封在管沟内, 管沟应设活动盖板. 并填充干砂;
2 燃气管道不得暗封在可以渗入腐蚀性介质的管沟中;
3 当暗封燃气管道的管沟与其他管沟相交时, 管沟之间应密封, 燃气管道应设套管。
12.6.41 室内燃气管道的下列部位应设置阀门:
1 燃气引入管;、
2 调压器前和燃气表前;
3 燃气用具前;
4 测压计前;
5 放散管起点。
12.6.42 室内燃气管道阀门宜采用球阀。
12.6.43 室内燃气管道在锅炉、直燃机等大型设备的炉前燃气管道上应设置放散菅, 放散管口应高出屋面2m以上, 或设置在地面上安全处, 并采取防雨雪进入管内和放散物进入房间的措施。
12.6.44 为便于拆装, 螺纹连接的燃气立管宜每层距地面1.2~1.5m高度设活接头。遇有螺纹连接的阀门时应在阀门后设活接头。
12.6.45 室内燃气管道与电气设备、相邻管道之间的净距不应小于12.6.45的规定。

注:1 当明装电线加绝缘套管且套管的两端各伸出燃气管道100mm时,套管与燃气管道的交叉净距或降到10mm。
2 当布置确有困难,在采取有效措施后,可适当减小净距。
12.6.46 沿墙、柱、楼板和加热设备构件上明设的燃气管道应采用管支架、管卡或吊卡固定。管支架、管卡、吊卡等固定件的安装不应妨碍管道的自由膨胀和收缩。
12.6.47 室内燃气管道穿过承重墙、地板或楼板时必须加钢套管,套管内管道不得有接头,套管与承重墙、地板或楼板之间的间隙应填实,套管与燃气管道之间的间隙应采用柔性防腐、防火材料密封。
12.6.48 室内燃气管道的防腐和涂漆要求:
1 引入管埋地部分按室外管道要求防腐;
2 室内管道采用焊接钢管或无缝钢管时,应在除锈后刷二道防锈漆;
3 管道表面一般涂刷二道黄色漆或按当地规定执行。
12.6.49 当建筑物位于防雷区之外时,放散管的引线应接地,其防雷接地装置的冲击接地电阻应小于10Ω。
12.7 调压设施的选择与布置
12.7.1 燃气供应系统中不同压力级别的燃气管道之间通过调压设施相连。调压设施包括:调压站、调压箱(柜)和调压装置。
12.7.2 调压系统由过滤器、调压器、安全保护装置以及两端的控制阀门组成。
1 过滤器前后应设压力表以显示其堵塞状况。
2 安全保护装置有超压切断装置和超压放散装置, 宜选用人工复位型。超压切断装置也可与调压器一体组装。超压放散装置宜采用弹簧全启式安全放散阀, 出口压力为低压时也可采用水封式放散。
3 低压管网不成环的区域性调压站和连续工作使用的用户调压箱宜设备用调压器, 其他情况下的调压器可不设备用。
4 调压器前后均应设置压力表。
5 调压器进、出口压差较大时, 其工作时的噪声值应符合现行的国家标准《声环境质量标准》 GB3096的规定。
12.7.3 调压器的选择应符合下列要求:
1 调压器应能满足其进口燃气的最大波动范围;
2 调压器进出口的压力差. 应根据调压器前管道的最低压力与调压后燃气管道压力之差值确定;
3 调压器的计算流量应按其所承担的管网小时最大输送量的1.2倍确定。
12.7.4 中低压调压站与其他建筑物、构筑物的水平净距应符合表12.7.4的规定。

注:1 当调压装置露天设置时, 则指距离装置的边缘。
2 当达不到上表净距要求时, 采取有效措施, 可适当缩小净距。
12.7.5 调压站工艺系统应符合下列要求:
1 设置备用调压器时, 两套设备的供气量应均按100%设计;
2 放散管管口应高出其屋檐1.0m以上, 管口宜采取防雨雪措施;
3 站内应根据工艺要求设置压力、流量、温度等数据采集远传装置;
4 调压站进口管道上距调压站10~100m范围内应设置阀门;
5 与调压站相接的进出口管线上设有阴极保护时,应在调压站前后加装绝缘接头,站内调压器及其附属设备必须接地,其静电接地体的接地电阻应小于100Ω;
6 调压器的水平安装高度应便于维护检修。平行布置2台以上调压器时,相邻调压器外缘净距、调压器与墙面之间的净距和室内主要通道的宽度均宜大于0.8m。
12.7.6 调压站的建筑物设计应符合现行国家标准《城镇燃气设计规范》GB50028中的要求。
12.7.7 调压站采暖根据当地气象条件、燃气性质、控制测量仪表结构和人员工作的需要等因素确定。
当需要采暖时严禁在调压室内用明火采暖, 可采用集中供热或在站内设置燃气、电气采暖系统, 其设计应符合现行国家标准《城镇燃气设计规范》GB50023中的要求。
12.7.8 燃气调压箱可分为落地式调压箱(或柜)、悬挂式调压箱和地下调压箱。调压箱 (或柜〕的
设置应合告下列要求:
1 调压箱 (或柜〕或露天调压装置的环境温度应能保证调压器活动部件正常工作; 当输送湿燃气时, 无保温防冻措施的环境温度应大于〇℃; 当输送气态液化石油气时的环境温度应大干气态液化石油气的露点;
2 调压箱(或柜) 的安装位置应能满足调压器安全装置的安装要求;
3 调压箱 (或柜) 的安装位置应使调压箱 (或柜) 不破碰撞, 在开箱〔或柜〕作业时不影响交通。
12.7.9 落地式调压箱(或柜)的布置要求:
1 落地式调压箱 (或柜〕距其他建筑物、构筑物的水平净距应符合表12.7.9的规定。

注:当建筑物(含重要公共建筑)的某外墙为无门、窗洞口的实体墙,且建筑物耐火等级不低于二级时,调压箱(或柜)一侧或两侧(非平行),可贴靠上述外墙设置。
2 落地式调压箱(或柜)应单独设置在牢固的基础上,柜底距地坪高度宜为0.30m。
3 体积大于1.5m3的落地式调压箱 (或柜)应有爆炸泄压口, 爆炸泄压口不应小于上盖或最大箱(柜〕壁面积的50% (以较大者为准); 爆炸泄压口宜设在上盖上; 通风口面积可包括在计算爆炸泄压口面积内。
4 落地式调压箱 (或柜〕上应有自然通风口, 其设置应符合下列要求:
当燃气相对密度大于0.75时. 应在柜体上、下各设l%柜底面积通风口, 调压柜四周应设护栏;
当燃气相对密度不大于0.75时, 可仅在柜体上部设4%柜底面积通风口, 调压柜四周宜设护栏。
5 落地式调压箱 (或柜〕的安全放散管管口距地面的高度不应小于4m。
12.7.10 悬挂式调压箱的布置要求:
1 调压器进出口管径不宜大于DN50,调压箱的箱底距地坪的高度宜为1.0~l.2m,可安装在用气建筑物的外墙壁上或悬挂于专用的支架上;
2 调压箱到建筑物的门、窗或其他通向室内的孔槽的水平净距不应小于1.5m;
3 调压箱不应安装在建筑物的窗下和阳台下的墙上;不应安装在室内通风机进风口墙上;
4 安装调压箱的墙体应为永久性的实体墙, 其建筑物耐火等级不应低于二级;
5 调压箱上应有自然通风孔。
12.7.11 地下式调压箱的布置要求:
1 地下调压箱不宜设置在城镇道路下, 距其他建筑物、构筑物的水平净距应符合表12.7.11的规定;

2 地下调压箱上应有自然通风口,其设置应符合12.7.9条第4款规定;
3 安装地下调压箱的位置应能满足调压器安全装置的安装要求;
4 地下调压箱设计应方便检修;
5 地下调压箱应有防腐保护。
12.7.12 单独用户的专用调压装置可设置在用气建筑物专用单层毗连建筑物内、公共建筑的顶层房间内,用气建筑物的平屋顶上以及锅炉房,直燃机房内。
12.7.13 专用高压装置设置在用气建筑物专用单层毗连建筑物内时,其进口压力不应大于0.4MPa,建筑、通风等设计应符合现行国家标准《城镇燃气设计规范》GB50028中的要求。
12.7.14 专用调压装置设置在公共建筑物的顶层房间内时应符合下列要求:
1 进口压力不大于0.2MPa;
2 调压装置应设有超压自动切断保护装置;
3 室外进口管道应设有阀门,并能在地面操作;
4 调压装置和燃气管道应采用钢管焊接和法兰连接;
5 应设连续通风换气,每小时不应小于3次。
12.7.15 专用调压装置设置在用气建筑物的平屋顶上应符合下列要求:
1 调压装置进口压力不大于0.4MPa;
2 调压器进出口管径不大于DN100;
3 该建筑屋顶结构的承重应满足设备安装和运行的要求,且建筑物耐火等级不应低于二级;
4 建筑物应有通向屋顶的楼梯;
5 调压装置于建筑物烟囱的水平净距不应小于5m。
12.8 燃气计量装置选择与布置
12.8.1 用户燃气计量表的选择应符合下列要求:
1 计量表的公称流量应与耗气量相当;
2 计量表的最小流量和最大流量应能准确反映燃气设备的流量变化范围,确保计量准确。
12.8.2 由管道供应燃气的用户,应单独设置计量表,并应符合下列要求:
1 居民用户应每户设燃气表;
2 商业用户应按计量单位设燃气表;锅炉、直燃机等用气设备,宜每台设备安装一个流量计, 单台设备用气量大于等于100m3/h时 应每台设备安装一个流量计,模块锅炉巨分组设流量计;
3 燃气使用压力不同时应按不同压力系统分别设置燃气表;
4 计费价格不同时,应按不同计费价格分别设置燃气表;
12.8.3 流量计在中压工况下工作时应有温度、主力补偿装置。
12.8.4 燃气流量计应配根据燃气的运行压力、温度、流量范围、允许的压力降 (阻力损失)和温度条件等进行选择。常用的流量计形式有:膜式表、涡轮式流量计、回转式流量计、涡街式流量计。
1 低压燃气用户且流量小于或等于100m3/h时,一般选用膜式表。
2 中压燃气用户宜选用回转式、涡轮式或涡街式流量计。
3 要求远传流量等信号时,选用配有远传系统的流量计。
12.8.5 用户燃气表的安装位置,应符合下列要求:
1 宜安装在不燃或难燃结构的室内通风良好和便于查表、检修的地方。
2 严禁安装在下列场所:
1)卧室、卫生间及更衣室内;
2)有电源、电器开关及其他电器设备的管道井内,或有可能滞留泄漏燃气的隐蔽场所;
3)环境温度高于45℃的地方;
4)经常潮湿的地方;
5)堆放易燃易爆、易腐蚀或有放射性物质等危险的地方;
6)有变、配电等电器设备的地方;
7)有明显震动影响的地方;
8)高层建筑中避难层及安全疏散楼梯间内。
3 燃气表的环境温度,当使用人工煤气和天然气时,应高于0℃;当使用液化石油气时,应高于其露点5℃以上。
4 住宅内燃气表可安装在厨房内,当有条件时也可设置在户外。
住宅内高位安装燃气表时,表底距地面不宜小于1.4m;表侧面与燃气灶的水平净距不得小于300mm。低位安装时,表底距地面不得小于100mm。采用高位表的多块表安装在同一面墙上时,表体之间净距不小于150mm。
5 燃气表暗设时,应具有安全、通风及便于安装、检修的条件。当燃气表安装在厨柜内时,该厨柜该是相对独立的,不得与其它厨柜相通,且燃气表应有固定措施;当低柜中安装燃气表时,表底距地面不得小于100mm。
6 公共建筑的燃气表宜集中布置在单独房间内,当设有专用调压室时可与调压器同室布置。
12.8.6 燃气表的阀门安装应符合下列要求:
1 燃气表小于50m3/h时,表进口设一个阀门,表出口可不设阀门;
2 燃气表等于或大于50m3/h时,表的进出口均应设阀门。
12.8.7 商业用户的燃气表布置在温度较高的设备附近时,其净距不应小于表12.8.7的规定。不能满足表中要求时应加隔热板。

12.8.8 燃气表保护装置的设置应符合下列要求:
1 当输送燃气过程中产生尘粒时,宜顺燃气表前设置过滤器;
2 当使用加氧的富氧燃烧器或使用鼓风机向燃烧器供给空气时,应在燃气表后设置止回阀或泄压装置。
12.9 液化石油气供应
12.9.1 当需要供气的建筑或居民小区不具备城市燃气管网供气条件时,可采用液化石油气瓶装供应站,瓶组气化站、气化站及混气站等供应方式。
12.9.2 居民用户室内液化石油气气瓶的布置应符合下列要求:
1 气瓶不得设置在地下室、半地下室或通风不良的场所;
2 气瓶与燃具的净距不应小于0.5m;
3 气瓶与散热器的净距不应小于1m,当散热器设置隔热板时,可减少到0.5m。
12.9.4 单户居民用户使用的气瓶设置在室外时,宜设置在贴邻建筑物外墙的专用小室内。
12.9.5 商业用户使用的气瓶组严禁与燃气燃烧器具布置在同一房间内。
12.9.6 居民小区的瓶装液化石油气供应站宜为Ⅱ、Ⅲ级站。Ⅱ级站供应范围宜为l000~5000户, 气瓶总容积lm3<V≤6m3;Ⅲ级站供应范围宜为1000 以下, 气瓶总容积V≤1m3。
注: 气瓶总容积按实瓶个数和单瓶几何容积的乘积计算。
12.9.7 液化石油气气瓶严禁露天存放。
Ⅱ级液化石油气瓶装供应站的瓶库宜采用敞开或半敞开式建筑。瓶库内的气瓶应分区存放,即分为实瓶区和空瓶区。
12.9.8 Ⅱ级瓶装液化石油气供应站的四周宜设置非实体围墙, 其底部实体部分高度不应低于0.6m。围墙应采用不燃烧材料。
12.9.9 Ⅱ级瓶装供应站的瓶库与站外建、构筑物的防火间距不应小于表12.9.9的规定。

12.9.10 Ⅱ级瓶装液化石油气供应站由瓶库与营业室组成。两者宜合建成一幢建筑,其间应采用无门、窗洞口的防火墙隔开。
12.9.11 Ⅲ级瓶装液化石油气供应站可将瓶库设置在与建筑物(住宅、重要公共建筑和高层民用建筑除外)外墙毗连的单层专用房间,并应符合下列要求:
1 房间的设置应符合以下的规定:
1)建筑物耐火等级不应低于二级;
2)应通风良好, 并设有直通室外的门;
3)与其他房间相邻的墙应为无门、窗洞口的防火墙;
4)应配置燃气浓度检测报警器;
5)室温不应高于45℃, 且不应低于0℃。
2 室内地面的面层应是撞击时不发生火花的面层。
3 相邻房间应是非明火、非散发火花地点。
4 照明灯具和开关应采用防爆型。
5 至少应配置8kg干粉灭火器2具。
6 与道路的防火间距应符合第12.9.9条。
7 非营业时间瓶库内存有液化石油气气瓶时,应有人值班。
12.9.12 瓶组气化站的气瓶应由使用瓶和备用瓶组成。气瓶的配置数量宜符合下列要求:
1 采用强制气化方式供气时, 瓶组气瓶的配置数量可按1~2天的计算月最大日用气量确定;
2 采用自然气化方式供气时, 使用瓶组的气瓶配置数量应根据高峰用气时间内平均小时用气量、高峰用气持续时间和高峰用气时间内单瓶小时自然气化能力计算确定;
3 备用瓶组的气瓶配置数量宜与使用瓶组的气瓶配置数量相同。当供气户数较少时, 备用瓶组可采用临时供气瓶组代替。
12.9.13 当采用自然气化方式供气, 且瓶组气化站配置气瓶的总容积小于1**m3**而时, 瓶组间可设置在与建筑物(住宅、重要公共建筑和高层民用建筑除外〕外墙毗连的单层专用房闻内, 井应符合第12.9.11条的规定。
注:瓶组间独立设置,且面向相邻建筑的外墙为无门,窗洞口的防火墙,其防火间距不限。
12.9.14 当瓶组气化站配置气瓶的总容积超过1**m3**时, 应将其设置在高度不低于2.2m的独立瓶组间内。独立瓶组间与建、构筑物的防火间距不应小于表12.9.14的规定。

注:1 气瓶总容积应按配置气瓶个数与单瓶几何容积的乘积计算。
2 瓶组间、气化间与值班室的防火间距不限。当两者毗连时, 应采用无门、窗洞口的防火墙隔开。
12.9.15 瓶组气化站的瓶组间不得设置在地下室和半地下室内。
12.9.16 瓶组气化站的气化间宜与瓶组间合建一幢建筑, 两者间的隔墙不得开门、窗洞口, 旦隔墙耐火级限不应低于3h。瓶组间、气化间与建、构筑物的防火间距应按表12.9.14的规定执行。
12.9.17 设置在露天的空温式气化器与瓶组间的防火间距不限, 与明火、散发火花地点和其它建、构筑物的防火间距应按表12.9.14气瓶总容积小于或等干2**m3**一档确定。
12.9.18 瓶组气化站的四周宜设置非实体围墙, 其底部实体部分高度不应低于0.6m。围墙应采用不燃烧材料。
12.9.19 气化装置的总供气能力应根据高峰小时用气量确定。气化装置的配置台数不应少于2台, 且应有1台备用。
12.9.20 气化站和混气站的液化石油气罐设计总容量, 应符合下列要求:
1 由液化石油气生产厂供气时, 其储罐设计总容量宜根据供气规模、气源情况、运输方式和运距等因素确定;
2 由液化石油气供应基地供气时, 其储罐设计总容量可按计算月平均日3天左右的用气量计算确定。
12.9.21 气化站和混气站站址宜选择在所在地区全年最小频率风向的上风侧, 且应是地势平坦、开阔、不易积存液化石油气的地段。同时, 应避开地震带、地基沉陷和废弃矿井等地段。
12.9.22 气化站和混气站的液化石油气储罐与站外建、构筑物的防火间距不应小于表12.9.22的规定。

注:1 防火间距应按本表总容积或单罐容积较大者确定,间距的计算应以储罐外壁为准。
2 居住区、村镇系指1000人或300户以上者。以下者按本表民用建筑执行。
3 当采用地下储罐时,其防火间距可按本表减少50%。
4 与本表规定以外的其他建、构筑物的防火间距应按现行的国家标准《建筑设计防火规范》GB50016执行。
5 气化装置气化能力不大于150kg/h的瓶组气化混气站的瓶组间、气化混气间与建、构筑物的防火间距可按表12.9.14执行。
12.9.23 气化站和混气站的液化石油气储罐与站内建、构筑物的防火间距不应小于表12.9.23的规定。

注:1 防火间距应按本表总容积或单罐容积较大者确定,间距的计算应以储罐外壁为准。
2 地下储罐单罐容积小于或等于50m3,且容积小于或等于400m3时,其防火间距可按本表减少50%。
3 与本表规定以外的其他建、构筑物的防火间距应按现行的国家标准《建筑设计防火规范》GB50016执行。
4 燃气热火炉间是指室内设置微正压室燃式燃气热水炉的建筑。当设置其它燃烧方式的燃气热火炉时,其防火间距不应小于30m。
5 与空温式气化器的防火间距,从地上储罐区的防护墙或地下储罐室外侧算起不应小于4m。
12.9.24 液化石油气气化站和混气站平面应按功能分区进行布置, 即分为生产区 (包括储罐区、气化、混气区〕和辅助区。
生产区宜布置在站区全年最小频率风向的上风侧或上侧风侧。
12.9.25 液化石油气气化站和混气站的生产区应设置高度不低于2m的不燃烧体实体围墙, 辅助区可设置不燃烧体非实体围墙。
储总容积等于或小于50**m3**的气化站和混气站, 其生产区与辅助区之间可不设置分区隔墙。
12.9.26 液化石油气气化站和混气站的生产区应设置环形消防车道或设置尽头式消防车道和面积应小于12mx12m的回车场, 消防车道宽度不应小于4m。对外出入口宽度不应小于4m。
12.9.27 气化站和混气站的液化石油气储罐不应少于2台。储罐区的布置应符合下列要求:
1 地上储罐之间的净距不应小于相邻较大罐的直径;
2 储罐组四周应设置高度为1m的不燃烧实体防护墙;
3 储罐与防护墙的净距: 球形储罐不宜小于其半径, 卧式储罐不宜小于其直径, 操作侧不宜小于3.0m;
4 地上卧式储罐宜设联合钢梯平台;
5 地下储罐宜设置在钢筋混凝土槽内, 槽内应填充干砂。储罐罐顶与槽盖内壁净距不宜小于0.4m; 各储罐之间设置隔墙, 储罐与隔墙和槽壁之间的净距不宜小于0.9m。
12.9.28 气化间、混气间与站外建、构筑物之间的防火间距应符合现行国家标准《建筑设计防火规范》GB50016中甲类厂房的规定。
12.9.29 气化间、混气间与站内建、构筑物的防火间距应小于表12.9.29的规定。

注:1 空温式气化器的防火间距可按本表规定执行。
2 压缩机室可与气化间、混气间合建成一幢建筑物,但其间应采用无门、窗洞口的防火墙隔开。
3 燃气热水炉间的门不得面向气化间、混气间。
4 燃气热火炉间是指室内设置微正室燃式燃气热火炉的建筑。当采用其他燃烧方式的热水炉时,其防水间距不应小于25m。
12.9.30 液化石油气储罐总容积等于或小于100的气化站、混气站,其汽车槽车装卸柱可设置在压缩室山墙一侧,其山墙应是无门、窗洞口的防火墙。
12.9.31 燃气热水炉间与压缩机室、汽车槽车库和汽车槽装卸台柱之间的防火间距不应小于15m。
12.9.32 气化、混气装置的总供气能力应根据高峰小时用气量确定。
当设有足够的储气设施时,其总供气能力可根据高峰小时用气量确定。
12.9.33 气化、混气装置配置台数不应少于2台,旦至少应有1台备用。
12.9.34 气化间、混气间可合建成一幢建筑物。气化、混气装置亦可设置在同一房间内。
1 气化间的布置宜符合下列要求:
1)气化器之间的净距不宜小于0.8m;
2)气化器操作侧与内墙之间的净距不宜小于1.2m;
3)气化器其余各侧与内墙的净距不宜小于0.8m。
2 混气间的布置宜符合下列要求:
1)混合器之间的净距不宜小于0.8m;
2)混合器操作侧与内墙的净距不宜小于1.2m;
3)混合器其余各侧与内墙的净距不宜小于0.3m。
3 调压、计量装置可设置在气化间或混气间内。
12.9.35 液化石油气可与空气或其他可燃气体混合配制成所需的混合气。混气系统的工艺设计应符合下列要求:
1 液化石油气与空气的混合气体中, 液化石油气的体积百分含量必须高于其爆炸上限的2倍;
2 混合气作为代用其它气源时, 应与代用气源具有良好的燃烧互换性;
3 混气系统中应设置当参与混合的任何一种气体突然中断或液化石油气体积百分含量接近爆炸上限的2倍时, 能自动报警并切断气源的安全联锁装置;
4 混气装置的出口总管上应设置检测混合气热值的取样管。其热值仪宜与混气装置联锁, 并能实时调节其混气比例。
12.9.36 热值仪应靠近取样点设置在混气间内的专用隔间或附属房间内,并应符合下列要求:
1 热值仪间应设有直接通向室外的门, 且与混气间之间的隔墙应是无门、窗洞口的防火墙;
2 采取可靠的通风措施,使其室内可燃气体浓度低于其爆炸下限的20%;
3 热值仪间与混气间门、窗之间的距离不应小于6m;
4 热值仪间的室内地面应比室外地面高出0.6m。
12.9.37 采管管道供应气态液化石油气或液化石油气与其他气体的混合气时,其露点应比管道外壁温度低5℃以上。
12.9.38 液化石油气储罐接管上安全阀件的配置应符合下列要求:
1 储罐必须设置安全阀和检修用的放散管;
2 液相进口管必须设置止回阀;
3 储罐容积大于或等于50m3时,其液相出口管和气相管必须设置紧急切断阀;储罐容积大于20m3,但小于50时m3,宜设置紧急切断阀。
4 排污管应设置两道阀门, 其间应采用短管连接。并应采取防冻措施。
12.9.39 储罐安全阀的设置要求:
1 必须选用弹簧封闭全启式,其开启压力不应大于储罐设计压力,安全阀的最小排气截面积的计算应符合国家现行《压力容器安全技术监督规程》的规定;
2 安全阀应设置放散管,其管径不应小于安全阀的出口管径;
地上储罐安全阀放散管管口应高出储罐操作平台2m 以上,且应高出地面5m以上;
地下储罐安全阀放散管訾口应高出地面2.5m以上;
3 安全阀与储罐之间应装设阀门, 且阀口应全开, 并应铅封或锁定。
12.9.40 液化石油气气液分离器、缓冲罐和气化器可设置弹簧封闭式安全阀。
12.9.41 液态液化石油气管道和设计压力0.4MPa的气态液化石油气管道应采用钢号10、20的无缝钢管,并应符合现行国家标准《输送流体用无缝铜管》GB/T8163的规定, 或符合不低于上述标准相应技术要求的其他钢管标准的规定。
设计压力不大于0.4MPa的气态液化石油气、气态液化石油气与其它气体的混合气管道可采用钢号Q235B的焊接钢管, 并应符合现行国家标准《低压流体输送用焊接钢管》GB/T3091的规定.
12.9.42 站内液化石油气管道宜采用焊接连接、管道与储罐、容器、设备及阀门可采用法兰或纹连接。
12.9.43 液态液化石油气输送管道和站内液化石油气储罐、容器、设备、管道上配的阀门及附件的公称压力 (等级〕应高于其设计压力。
12.9.44 液化石油气管道系统上采用耐油胶管时, 最高允许工作压力不应小于6.4MPa。
12.9.45 液化石油气储罐必须设置就地指示的液位计、压力表及温度计。
12.9.46 爆炸危险场所应设置可燃气体浓度检测器,报警器应设在值班室或仪表间等有值班人员的场所。报警器的报警浓度值应取其可燃气体爆炸下限的20%。
12.9.47 具有爆炸危险的封闭式建筑应采取良好的通风措施。事故通风量每小时换气不应少于12次。当采用自然通风时. 其遇风口总面积按每平方米房屋地面面积不应少于0.03m2计算确定。通风口不应少于2个, 并应靠近地面设置。
12.9.48 气化站和混气站在同一时间内的火灾次数按一次考虑, 其消防用水量应按储罐区一次最大小时消防用水量确定。
12.9.49 气化站和混气站生产区的排水系统应采取防止液化石油气排入其他地下管道或低洼部位的措施。
12.9.50 液化石油气气化站、混气站的供电系统设计应符合现行固家标准《供配电系统设计规范》GB50052中“二级负荷"的规定。防雷设计应符合现行国家标准《建筑物防雷设计规范》 GB50057中“第二类防雷建筑物"的有关规定。静电接地设计符合国家现行标准《化工企业静电接地装置设计规范》HGJ28的规定。
12.10 用气设备的设置要求
12.10.1 居民生活的各类用气设备应采用低压燃气,用气设备前(灶前)的燃气压力应在0.75~1.5Pn的范围内(Pn为燃具的额定压力)。
12.10.2 居民生活用气设备严禁设置在卧室内。
12.10.3 家用燃气灶的设置应符合下列要求:
1 燃气灶应安装在有自然通风和自然采光的厨房内;利用卧室的套间(厅)或利用与卧室连接的走廊作厨房时,厨房应设门并与卧室隔开;
2 安装燃气灶的房间净高不宜低于2.2m;
3 燃气灶与墙面的净距不得小于100mm, 当墙面为可燃或难燃材料时, 应加防火隔热板;
燃气灶的灶面边缘和烤箱的侧壁距木质家具的净距不得小于200mm, 当达不到时, 应加防火隔热板;
4 放置燃气灶的灶台应采用不燃烧材料, 当采用难燃材料时, 应加防火隔热板;
5 厨房为地上暗厨房 (无直通室外的门和窗) 时, 应选用带有自动熄火保护装置的燃气灶, 并应
设置燃气浓度检测报警器、自动切断阀和机械通风设施, 燃气浓度检测报警器与自动切断阀和机械通风设施联锁。
12.10.4 家用燃气热水器的设置应符合下列要求:
1 燃气热水器应安装在通风良好的非居住房间,过道或阳台内;
2 有外墙的卫生间内, 可安装密闭式热水器, 但不得安装其他类型热水器;
3 装有半密闭式热水器的房间, 房间门或墙的下部应设有效截面积不小于0.02㎡的格栅, 或在门与地面之间留有不小于30mm的间隙;
4 房间净高宜大于2.4m;
5 可燃或难燃烧的墙壁和地板上安装热水器时, 应采取有效的防火隔热措施;
6 热水器的给排气筒宜采用金属管道连接。
12.10.5 单户住宅采暖和制冷系统采用燃气时,应符合下列要求:
1 应有熄火保护装置和排烟设施;
2 应设置在通风良好的走廊、阳台或其他非居住房间内;
3 设置在可燃或难燃烧的地板和墙壁上时, 应采取有效的防火隔热措施。
12.10.6 居民生活用燃具的安装应符合国家现行标准《家用燃气器具安装及验收规程》CJJ12的规定。
12.10.7 居民生活用燃具在选用时,应符合现行国家标准《燃气燃烧器具安全技术条件》GB16914的规定。
12.10.8 商业用气设备宜采用低压燃气。
12.10.9 商业用气设备应安装在通风良好的专用房间内;商业用气设备不得安装在易燃易爆物品的堆存处,亦不应设置在兼做卧室的警卫室、值班室、人防工程等处。
12.10.10 商业用气设备设置在地下室、半地下室(液化石油气除外)或地上密闭房间内时,应符合下列要求:
1 燃气引入管应设手动快速切断阀和紧急自动切断阀;紧急自动切断阀停电时必须处于关闭状态(常开型)。
2 用气设备应有熄火保护装置。
3 用气房间应设置燃气浓度检测报警器,并由管理室集中监视和控制。
4 宜设烟气一氧化碳浓度检测报警器。
5 应设置独立的机械排风系统; 通风量应满足下列要求:
1)正常工作时, 换气次数不应小于6次/h; 事故通风时, 换气次数不应小于12次/h: 不工作时换气次数不应小于3次/h;
2)当燃烧所需的空气由室内吸取时,应满足燃烧所需的空气量,并补充相应新风量;、
3)应满足排除房间热力设备散失的多余热量所需的空气量。
6 应有独立的防爆照明设备。
12.10.11 商业用气设备的布置应符合下列要求:
1 用气设备之间及用气设备与对面墙之间的净距应满足操作和检修的要求;
2 用气设备与可燃或难燃的墙壁、地板和家具之间应采取有效的防火隔热措施。
12.10.12 商业用气设备的安装应符合下列要求:
1 大锅灶和中餐炒菜灶应有排烟设施, 大锅灶的炉膛或烟道处应设爆破门;
2 大型用气设备的烟道、封闭炉膛均屈设置泄爆装置, 泄爆装置的泄压口应设在安全处。
12.11 燃烧烟气的排放设计要求
12.11.1 燃气燃烧所产生的烟气必须排出室外。设有直排式燃具的室内容积热负荷指标超过207W/m3时,必须设置有效的排气装置将烟气排至室外(有直通洞口或哑口的毗邻房间的容积也可一并做为室内容积计算)。
12.11.2 家用燃具排气装置的选择应符合下列要求:
1 灶具和热水器〔或采暖炉) 应分别采用竖向烟道进行排气;
2 住宅采用自然换气时, 排气装置应按国家现行标准《家用燃气燃烧器具安装及验收规程》CJJl2 -99中A.0.1的规定选择;
3 住宅采用机械换气时, 排气装置应按国家现行标准《家用燃气燃娆器具安装及验收规程》CJJl2 -99中A.0.3的规定选择
12.11.3 浴室用燃气热水器的给排气口应直接通向室外, 其排气系统与浴室之间必须有防止烟气泄漏的措施。
12.11.4 商业用户厨房中的燃具上方应设排气扇或排气罩。
12.11.5 燃气用气设备的排烟设施应符合下列要求:
1 不得与使用固体燃料的设备共用一套排烟设施;
2 每台用气设备宜采用单独烟道; 当多台设备合用一个总烟道时, 应保证排烟时互不影响;
3 在容易积聚烟气的地方, 应设置泄爆装置;
4 应设有防止倒风的装置;
5 从设备顶部排烟或设置排烟罩排烟时, 其上部应有不小于0.3m的垂直烟道方可接水平烟道;
6 有防倒风排烟罩的用气设备不得设置烟道闸板; 无防倒风排烟罩的用气设备, 在至总烟道的每个支管上应设置闸板, 闸板上应有直径大于15mm的孔;
7 安装在低于0℃房间的金属烟道应采取保温措施。
12.11.6 水平烟道的设置应符合下列要求:
1 水平烟道不得通过卧室;
2 居民用气设备的水平烟道长度不宜超过5m, 弯头不宜超过4个(强制排烟式除外〕; 商业用户用气设备的水平烟道长度不宜超过6m;
3 水平烟道应有大于或等于0.01坡向用气设备的坡度;
4 多台设备合用一个水平烟道时, 应顺烟气流动方向设置导向装置;
5 用气设备的烟道距难燃或不燃顶棚或墙的净距不应小于50mm; 距燃烧材料的顶棚或墙的净距不应小于250mm (当有防火保护时,其距离可适当减小)。
12.11.7 烟囱的设置应符合下列要求:
1 住宅建筑的各层烟气排出可合用一个烟囱, 但应有防止串烟的措施; 多台燃具共用烟囱的烟气进口处, 在燃具停用时的静压值应小于或等于零。
2 当用气设备的烟囱伸出室外时. 其高度应符合下列要求:
1)当烟囱离屋脊小于1.5m时(水平距离), 应高出屋脊0.6m;
2)当烟囱离屋脊1.5~3.0m时(水平距离〕, 烟囱可与屋脊等高;
3)当烟囱离屋脊的距离大于3.0m时 (水平距离},烟囱应在屋脊水平线下10°的直线上;
4)在任何情况下, 烟囱应高出屋面0.6m;
5)当烟囱的位置临近高层建筑时, 烟囱应高出沿高层建筑物45°的阴影线。
3 烟囱出口的排烟温度应高于烟气露点15℃以上。
4 烟囱出口应有防止雨雪进入和防倒风的装置。
12.11.8 用气设备排烟设施的烟道抽力(余压)应符合下列要求:
1 热负荷30kW以下的用气设备, 烟道的抽力(余压)不应小于3Pa;
2 热负荷30kW以上的用气设备, 烟道的抽力(余压)不应小于10Pa。
12.11.9 排气装置的出口位置应符合下列规定:
1 建筑物内半密闭自然排气式燃具的竖向烟囱出口应符合第12.11.7条第2款的规定;
2 建筑物壁装的密闭式燃具的给排气品距上部窗口和下部地面的距离不得小于0.3m;
3 建筑物壁装的半密闭强制排气式燃具的排气口距门、窗洞口和地面的距离应符合下列要求:
1)排气口在窗的下部和门的侧部时, 距相邻卧室的窗和门的距离不得小于1.2m,距地面的距离不得小于0.3m;
2)排气口在相邻卧室的窗的上部时, 距窗的距离不得小于0.3m;
3)排气口在机械(强制〕进风口的上部. 且水平距离小于3.0m时, 距机械进风口的垂直距离不得小于0.9m。
12.11.10 高海拔地区安装的排气系统的最大排所能力,应按在海平面使用时的额定热负荷确定,高海拔地区安装的排气系统的最小排气能力,应按实际热负荷(海拔的减小额定值)确定。
12.12 燃气的监控设施及防雷、防静电设计要求
12.12.1 在下列场所应设置燃气浓度检测报警器:
1 建筑物内专用的封闭式燃气调压、计量间;
2 地下室、半地下室和地上密闭的用气房间;
3 燃气管道竖井;
4 地下室、半地下室引入管穿墙处;
5 有燃气管道的管道层。
12.12.2 燃气浓度检测报警器的设置应符合下列要求:
1 当检测比空气轻的燃气时,检测报警器与燃具或阀门的水平距离不得大于8m,安装高度应距顶棚0.3m以内,且不得设在燃具上方。
2 当检测比空气重的燃气时,检测报警器与燃具或阀门的水平距离不得大于4m, 安装高度应距地面0.3m以内;
3 燃气浓度检测报警器的报警浓度应按国家现行标准《家用燃气泄漏报器》 CJ3057的规定确定;
4 燃气浓度检测报器宜与排风扇等排气设备联锁;
5 燃气浓度检测报警器蘸中管理监视;
6 报器系统应有备用电源。
12.12.3 在下列场所宜设置燃气紧急自动切断阀:
1 地下室、半地下室和地上密闭的用气房间;
2 一类高层民用建筑;
3 燃气用量大、人员密集、流动人口多的商业建筑;
4 重要的公共建筑;
5 有燃气管道的管道层。
12.12.4 燃气紧急自动切断阀的设置应符合下列要求:
1 紧急自动切断阀应设在用气场所的燃气入口管、干管或总管上;
2 紧急自动切断阀宜设在室外;
3 紧急自动切断阀前应设手动切断阀;
4 紧急自动切断阀宜采用自动关闭、现场人工开启型、当浓度达到设定值时, 报警后关闭。
12.12.5 燃气管道及设备的防雷、防静电设计应符合下列要求:
1 进出建筑物的燃气管道的进出口处, 室外的屋面管、立管、放散管、引入管和燃气设备等处均应有防雷、防静电接地设施;
2 防雷接地设施的设计应符合现行国家标准《建筑物防雷设计规范》GB50057的规定;
3 防静电接地设施的设计应符合国家现行标准《化工企业静电接地设计技术规程》HGJ28的规定。
12.12.6 燃气应用设备的电气系统应符合下列规定:
1 燃气应用设备和建筑物电线、包括接地线之间的电气连接应符合有关国家电气规范的规定;
2 电点火、燃烧器控制器和电气通风装置的设计,在电源中断情况下或电源重新恢复时, 不应使燃气应用设备出现不安全工作状况;
3 自动操作的主燃气控制阀、自动点火器、室温恒温器、极限控制器或其他电气装置 (这些都是和燃气应用设备一起使用的〕使用的电路应符合随设备提供的接线图的规定;
4 使用电气控制器的所有燃气应用设备, 应将控制器连接到永久带电的电路上,不得使用照明开关控制的电路。
附录A 常用建筑材料热物理性能计算参数


注:1 在正常使用条件下,材料的热物理性能计算参数可按附表A.0.1直接采用。
2 在有表2.2.3-3所列情况者,材料的导热系数计算值应按下式修正:
λc=λ·α
Sc=S·α
式中λ、S——材料的导热系数和蓄势系数,按附表A-01采用;α——修正系数,按表2.2.3-3采用。
3 在供暖期平均相对湿度为50%以下的干燥地区,重砂浆砌筑的粘土砌体导热系数可采用λ=0.76W/(m·K),蓄热系数可采用S=10.16W(m2·K );轻砂浆砌筑的粘土砖砌体导热系数可采用λ=0.70W/(m·K),蓄热系数可采用S=9.47W(m2·K )。
4 在附表A.0.1中比热容C的单位为法定单位。但在实际计算中比热容C的单位应取W·h/(kg·K),因此,表中数值应乘以换算系数0.2778。
5 在附表A.0.1中带*号者为测定值,试验温度为20℃左右,未扣除两侧边界层蒸汽渗透阻的影响。
附录B 塑料及铝塑复合管水力计算


附录C设置隔膜式气压罐定压的采暖空调系统设备选择
C.1 例题一
某两管制空调系统冬季采用60/50℃热水, 系统水容量约75m3; 定压补水点设在循环水泵入口, 根据空调设备和管网允许工作压力, 确定循环水泵人口最高允许工作压力为1.0MPa (1000kPa); 采用不容纳膨胀水量的隔膜式气压定压; 补水箱与系统最高点高差为45m; 试进行定压补水设备的选择计算。
C.1.1 根据本措施6.9节的有关规定和公式进行计算,各公式和图示中容积和压力名称如下:
Vp——系统的最大膨胀水量(L);
Vt——气压罐计算调节容积 (L〕;
Vmin——气压罐最小总容积 (L);
Vz——气压罐实际总容积 (L);
P1——补水泵启动压力 (表压 kPa〕;
P2——补水泵停泵压力 (电磁阀的关闭压力)〔表压kPa);
P3——膨胀水量开始流回补水箱时电磁阀的开启压力 (表压 kPa〕;
P4——安全阀开启压力 (表压kPa);
α1——水泵启动压力P1和停泵压力P2的设计压力比;
β——容积附加系数, 隔膜式气压罐取1.05。
C.1.2 补水泵选择计算
1 系统定压点最低压力为P1=45+0.5+1=46.5(m)=465(kPa)。
2 考虑到补水泵的停泵压力P2. 确定补水泵扬程为 (P1+P2〕/2=(465+810) /2=638(kPa〕(P2数值见C.1.3 条3款), 高于P1压力173kPa, 满足6.9.3条1款要求。
3 补水泵设计总流量应不小于75×5%=3.75(m3/h)。
4 选用2台流量为2.0m3/h, 扬程为640kPa (扬程变化范围为465~810kPa)的水泵, 平时使用l台,初期上水或事故补水时2台水泵同时运行。
C.1.3 气压罐选择计算
1 调节容积不宜小于3min补水设计流量。
1)当采用定速泵时Vt≥2.0(m3/h)×3/60(h)=0.1(m3)=100(L)。
2)当采用变频泵时Vt≥2.0(m3/h)×1/3×3/60(h)=0.033(m3)=33(L)。
2 系统最大膨胀量为:Vp=14.51(L/m3)×75(m3)=1088(L)(单位容积膨胀量见6.9.6条注释), 此水量回收至补水箱。
3 气压最低和最高压力确定:
1)安全阀开启压力取P4=1000(kPa〕(补水点处允许工作压力〕;
2)膨胀水量开始流回补水箱时电磁阀的开启压力 P3 =0.9P4 =0.9×1000=900(kPa〕;
3)补水泵启动压力P1=465(kPa〕;
4)补水泵停泵压力(电磁阀的关闭压力〕P2=0.9P3=0.9×1000==810〔kPa〕;
5)压力比
,满足6.9.7条1款的规定。
4 当采用定速泵时,气压罐最小总容积
,选择 5QL600×1.0隔膜式立式气压罐,罐直径600mm, 承压1.0MPa, 高1962mm, 实际总容积Vz=368(L)。当采用变速泵时, 气压罐最小总容积
, 选择SQL400x1.0隔膜式立式气压罐, 直径400mm, 承压1.0MPa, 高1490mm, 实际总容积Vz=1l8 (L)。
注:气压罐规格是根据厂家的技术贤料选取。
C.2 例题二
某85/60℃热水采暖系统, 采用承压为0.8MPa的钢制柱形散热器; 系统水容量约75m3;定压补水点设在循环水泵入口, 经计算该处允许最高工作压力为0.7MPa(700kPa); 采用容纳膨胀水量的隔膜式气压罐定压; 补水箱与系统最高点高差为40m; 试进行定压补水役备的选择计算。
C.2.1 采用容纳膨胀水量的隔膜式气压罐定压,其容积与压力的关系见图C.2.1。

C.2.2 棍据本措施6.9节的有关规定和公式进行计算, 各公式和图示中容积和压力名称如下:
Vp——系统的最大膨胀水量 (L);
Vpi——平均水温为i时,系统的膨胀水量(L);
Vt——气压罐计算调节容积 (L);
Vt——气压罐实际调节容积 (L);
Vxmin——气压罐能够吸纳的最小水容积(L);
Vx——气压罐实际能够吸纳的水容积(L);
Vzmin——气压罐最小总容积(L);
Vz——气压罐实际总容积(L);
Po——无水时气压罐的充气压力(表压kPa);
P1i——系统平均水温为i时,水泵启泵压力(表压kPa〕;
P2i——系统平均温度为i时,水泵停泵压力(表压kPa);
P1max——最高水温时水泵启泵压力〔表压kPa);
P2max——气压罐正常运行的最高压力. 即最高水温时水泵停泵压力(表压kPa);
P3——安全阀开启压力(表压kPa〕。
C.2.3 补水泵选择计算
1 系统定压点最低压力为P1=40+1+1=42(m) =420 (kPa〕。
2 考虑到补水泵的最大停泵压力P2max, 确定补水泵扬程为(P1+P2〕/2= (420+630〕/2=525(kPa) (P2=P2max数值见C.2.4条4款〕, 高于P1压力105kPa, 满足6.9.3条1款要求。
3 补水泵设计总流量应不小于75×5%=3.75(m3/h〕。
4 选用2台流量为2.0m3/h, 扬程为5.25kPa (扬程变化范围为420~630kPa〕的水泵, 平时使用1台, 初期上水或事故补水时2台水泵同时运行。
C.2.4 气压罐选择计算
1 调节容积不宜小于3min补水泵设计流量。
1)当采用定速泵时Vt≥2.0(m3/h)×3/60(h)=0.100(m3)=100(L)。
2)当采用变频泵时Vt≥2.0(m3/h)×1/3×3/60(h)=0.033(m3)=33(L)。
2 系统最大膨胀量为: Vp=24.22(L/m3)×75(m3)=1817(L)(单位容积膨胀量见6.9.6条注释〕。
3 能够吸纳的最小水容积
1)当采用定速泵时 Vxmin=Vt+Vp=100+1817=1917(L)。
- 当采用变频泵时 Vxmin=Vt+Vp=33+1817=1850(L)。
4 气压罐最低和最高压力确定:
1)充气压力Po=420(kPa) (定压点最低压力〕;
2)安全阀开启压力P3=700(kPa〕(补水点处允许工作压力);
3)正常运行时最高压力P2max=0.9P3=0.9×700=630(kPa)。
5 气压罐最小总容积:
1)当采用定速泵时:
2)当采用变频泵时:
均选择SQL1400×1.0隔膜式立式气压罐2台,罐直径1400mm,承压1.0MPa,高3380mm,实际总容积Vz=3643×2=7286(L)。
气压罐实际能够吸纳水容量Vx和实际调节容积Vt′可通过下式计算得出:

注:气压罐规格是根据厂家的技术资料选取。
C.2.5 水泵工作压力计算
系统采用不同水温进行质调节时, 其膨胀量和对应的罐内压力也随之变化, 补水泵应根据水温设定其启停泵压力, 以使系统不会因大量泄压补水带进太量空气。因此应计算不同水温时的补水泵启停泵压力, 并进行相应的自动控制。
1 系统平均水温为i时,水泵启泵压力P1i:

2 系统平均水温为i时,水泵停泵压力P2i:

3 根据公式(C.2.5-1)、公式(C.2.5-2)和公式(6.9.6-2),计算出不同水温时水的膨胀量和水泵的启停压力如表C.2.5。

注:1 根据计算结果绘制出的气压罐和补水泵工作压力曲线图如图C.2.5。
2 通过上述计算可以看出,较太的采暧系统采用能够容纳膨胀量的隔膜式气压罐定压,主要容积为膨胀量,且罐总容积Vzmin数值很大(例中为6664L〕; 因此当具有设置高位膨胀水箱条件时. 可采用高位常压密闭水箱, 其容积满足Vxmin(例中为1917L〕即可。
3 当启停泵压力的计算结果接近时,需要精度较高的压力传感器精确控制,因此可采用恒压变频补水泵使压力稳定在P1i和P2i之间的某压力值。

附录D居民和公共建筑

注:1 本表系指一户装有一个燃气表的用户,在住宅内做饭和热水的用气量。不适用于瓶装液化石油气居民用户。
2 “采暖”系指非燃气采暖。
3 燃气热值按低热值计算。

注:1 职工食堂的用气量指标包括做副食和热水在内。
2 燃气热值按低热值计算。


注:1 炒菜灶配套应由炒菜台、炮台、汤锅组成。其中炮台应根据饮食的经营特色,配置相应的只数;当炒菜灶套数为奇数时,汤锅的只数应进为号数计算,如3套炒菜灶应配2只汤锅。
2 燃具的配备可根据饮食让的操作习惯进行适当调整。如:使用蒸饭灶相应减少大锅灶;配备烧水器用于洗涤消毒,相应减少消毒灶。
3 燃具的配备可根据供应品种等因素配置适当的特种燃具。如烤鸭炉、烘箱、砂锅灶、火锅等。
4 供应面食点心的饮食可根据点心的品种数量,配置相应的燃具。如,蒸灶、煎饼灶、面锅、风车炉等并相应减少炒菜灶的设备。
5 可适当配置供应茶水、保暖等燃具。如沸水器、铁莲蓬等。
6 如有外卖食品可酌情增配相适应的燃气设备。
7 当Ni出现小数时,可考虑进行为整数计算。例:当S=150时,n=150/60=-2.5,应取3。
8 当餐厅面积小于表内所示时,燃具额定总流量仍可按计算式进行配备,各类燃具应按需要合理配置。
当餐厅面积大于表内所示时,仍可按燃具配备计算方式进行配置。

注:1 表中数值适用于我国东北、华北、西北地区。
2 热指标中已包括给5%的管网热损失在内。

注:1 表中数值适用于我国东北、华北、西北地区。
2 寒冷地区热指标取较小值,冷指标取较大值;严寒地区热指标取较大值,冷指标取较小值。
附录E 居民生活用燃具的同时工作系数

注:1 表中“燃气双眼灶”是指一户居民装设一个双眼灶的同时工作系数;当一户居民装设二个单眼灶时,也可参照本表计算。
2 参中“燃气双眼灶和快速热火器”是指一户居民装设一个双眼灶和一个快速热水器的同时工作系数。



附录F 城市燃气种类及参考热值

附录G 主要依据的标准规范和参考文献
1.《建筑设计防火规范》GB50016-2006
2.《采暖通风与空气调节设计规范》GB50019-2003
3.《城镇燃气设计规范》GB50028-2006
4.《锅炉房设计规范》GB50041-2008
5.《高层民用建筑设计防火规范》GB50045-95(2005年版)
6.《住宅设计规范》GB50096-1999
7.《工业设备及管道绝热工程施工规范》GB50126-2008
8.《采暖通风与空气调节术语标准》GB50155-92
9.《民用建筑热工设计规范》GB50176-93
10.《公共建筑节能设计标准》GB50189-2005
11.《建筑给水排水及采暖工程施工质量验收规范》GB5042-2002
12.《通风与空调工程施工质量验收规范》GB50243-2002
13.《工业设备及管道绝热工程设计规范》GB50264-97
14.《医院洁净手术部建筑技术规范》GB50333-2002
15.《地源热系统工程技术规范》GB50366-2005
16.《住宅建筑规范》GB50368-2005
17.《建筑节能工程施工质量验收规范》GB50411-2007
18.《民用建筑电器设计规范》JCJ16-2008
19.《严寒和寒冷地区居住建筑节能设计标准》JGJ26-(报批稿)
20.《夏热冬暖地区居住建筑节能设计标准》JCJ75-2003
21.《夏热冬冷地区居住建筑节能设计标准》JGJ134-2001
22.《地面辐射供暖技术规程》JCJ142-2004
23.《供热计量技术规程》JGJ173-2009
24.《城市热力网设计规范》CJJ34-2002
25.《城镇直埋供热管道工程技术规程》CJJ/T81-98
26.陆耀庆主编,《实用供热空调设计手册》(第二版)上册、下册.北京:中国建筑工业出版社,2007
27.建设部工程质量安全监督与行业发展司,中国建筑标准设计研究所编。《全国民用建筑工程设计技术措施》(暖通空调·动力)。北京:中国计划出版社,2003.2
28.建设部工程质量安全监督与行业发展司,中国建筑标准设计研究院编。《全国民用建筑工程设计技术措施——节能专篇》(暖通空调·动力)。北京:中国计划出版社,2007.3
29.北京市建筑设计研究院编曲,《建筑设备专业技术措施》。北京:中国建筑工业出版社,2005
30.彦启森,赵庆珠编,《冰蓄冷系统设计》北京:全国蓄冷空调节能技术工程中心,1999.7
31.江亿,姜子炎编,《建筑设备自动化》北京:中国建筑工业出版社,2007.6
