Appearance
《城镇燃气设计规范》[附条文说明]GB50028-2006(2020年版)
🗓️ 实施时间: 2020-06-01
总 则
1 总 则
1.0.1 为使城镇燃气工程设计符合安全生产、保证供应、经济合理和保护环境的要求,制定本规范。
1.0.2 本规范适用于向城市、乡镇或居民点供给居民生活、商业、工业企业生产、采暖通风和空调等各类用户作燃料用的新建、扩建或改建的城镇燃气工程设计。
注:1 本规范不适用于城镇燃气门站以前的长距离输气管道工程。
2 本规范不适用于工业企业自建供生产工艺用且燃气质量不符合本规范质量要求的燃气工程设计,但自建供生产工艺用且燃气质量符合本规范要求的燃气工程设计,可按本规范执行。工业企业内部自供燃气给居民使用时,供居民使用的燃气质量和工程设计应按本规范执行。
3 本规范不适用于海洋和内河轮船、铁路车辆、汽车等运输工具上的燃气装置设计。
1.0.3 城镇燃气工程设计,应在不断总结生产、建设和科学实验的基础上,积极采用行之有效的新工艺、新技术、新材料和新设备,做到技术先进,经济合理。
1.0.4 城镇燃气工程规划设计应遵循我国的能源政策,根据城镇总体规划进行设计,并应与城镇的能源规划、环保规划、消防规划等相结合。
1.0.5 城镇燃气工程设计,除应遵守本规范外,尚应符合国家现行的有关标准的规定。
术 语
2 术 语
2.0.1 城镇燃气 city gas
从城市、乡镇或居民点中的地区性气源点,通过输配系统供给居民生活、商业、工业企业生产、采暖通风和空调等各类用户公用性质的,且符合本规范燃气质量要求的可燃气体。城镇燃气一般包括天然气、液化石油气和人工煤气。
2.0.2 人工煤气 manufactured gas
以固体、液体或气体(包括煤、重油、轻油、液体石油气、天然气等)为原料经转化制得的,且符合现行国家标准《人工煤气》GB 13612质量要求的可燃气体。人工煤气又简称为煤气。
2.0.3 居民生活用气 gas for domestic use
用于居民家庭炊事及制备热水等的燃气。
2.0.4 商业用气 gas for commercial use
用于商业用户(含公共建筑用户)生产和生活的燃气。
2.0.5 基准气 reference gas
代表某种燃气的标准气体。
2.0.6 加臭剂 odorant
一种具有强烈气味的有机化合物或混合物。当以很低的浓度加入燃气中,使燃气有一种特殊的、令人不愉快的警示性臭味,以便泄漏的燃气在达到其爆炸下限20%或达到对人体允许的有害浓度时,即被察觉。
2.0.7 直立炉 vertical retort
指武德式连续式直立炭化炉的简称。
2.0.8 自由膨胀序数 crucible swelling number
是表示煤的粘结性的指标。
2.0.9 葛金指数 Gray-King index
是表示煤的结焦性的指标。
2.0.10 罗加指数 Roga index
是表示煤的粘结能力的指标。
2.0.11 煤的化学反应性 chemical reactivity of coal
是表示在一定温度下,煤与二氧化碳相互作用,将二氧化碳还原成一氧化碳的反应能力的指标,是我国评价气化用煤的质量指标之一。
2.0.12 煤的热稳定性 thermal stability of coal
是指煤块在高温作用下(燃烧或气化)保持原来粒度的性质(即对热的稳定程度)的指标,是我国评价块煤质量指标之一。
2.0.13 气焦 gas coke
是焦炭的一种,其质量低于冶金焦或铸造焦,直立炉所生产的焦一般称为气焦,当焦炉大量配入气煤时,所产生的低质的焦炭也是气焦。
2.0.14 电气滤清器(电捕焦油器) electric filter
用高压直流电除去煤气中焦油和灰尘的设备。
2.0.15 调峰气 peak shaving gas
为了平衡用气量高峰,供作调峰手段使用的辅助性气源和储气。
2.0.16 计算月 design month
指一年中逐月平均的日用气量中出现最大值的月份。
2.0.17 月高峰系数 maximum uneven factor of monthly consumption
计算月的平均日用气量和年的日平均用气量之比。
2.0.18 日高峰系数 maximum uneven factor of daily consumption
计算月中的日最大用气量和该月日平均用气量之比。
2.0.19 小时高峰系数 maximum uneven factor of hourly consumption
计算月中最大用气量日的小时最大用气量和该日平均小时用气量之比。
2.0.20 低压储气罐 low pressure gasholder
工作压力(表压)在10kPa以下,依靠容积变化储存燃气的储气罐。分为湿式储气罐和干式储气罐两种。
2.0.21 高压储气罐 high pressure gasholder
工作压力(表压)大于0.4MPa,依靠压力变化储存燃气的储气罐。又称为固定容积储气罐。
2.0.22 调压装置 regulator device
将较高燃气压力降至所需的较低压力调压单元总称。包括调压器及其附属设备。
2.0.23 调压站 regulator station
将调压装置放置于专用的调压建筑物或构筑物中,承担用气压力的调节。包括调压装置及调压室的建筑物或构筑物等。
2.0.24 调压箱(调压柜) regulator box
将调压装置放置于专用箱体,设于用气建筑物附近,承担用气压力的调节。包括调压装置和箱体。悬挂式和地下式箱称为调压箱,落地式箱称为调压柜。
2.0.25 重要的公共建筑 important public building
指性质重要、人员密集,发生火灾后损失大、影响大、伤亡大的公共建筑物。如省市级以上的机关办公楼、电子计算机中心、通信中心以及体育馆、影剧院、百货大楼等。
2.0.26 用气建筑的毗连建筑物 building adjacent to building supplied with gas
指与用气建筑物紧密相连又不属于同一个建筑结构整体的建筑物。
2.0.27 单独用户 individual user
指主要有一个专用用气点的用气单位,如一个锅炉房、一个食堂或一个车间等。
2.0.28 压缩天然气 compressed natural gas(CNG)
指压缩到压力大于或等于10MPa且不大于25MPa的气态天然气。
2.0.29 压缩天然气加气站 CNG fuelling station
由高、中压输气管道或气田的集气处理站等引入天然气,经净化、计量、压缩并向气瓶车或气瓶组充装压缩天然气的站场。
2.0.30 压缩天然气气瓶车 CNG cylinders truck transportation
由多个压缩天然气瓶组合并固定在汽车挂车底盘上,具有压缩天然气加(卸)气系统和安全防护及安全放散等的设施。
2.0.31 压缩天然气瓶组 multiple CNG cylinder installations
具有压缩天然气加(卸)气系统和安全防护及安全放散等设施,固定在瓶筐上的多个压缩天然气瓶组合。
2.0.32 压缩天然气储配站 CNG stored and distributed station
具有将槽车、槽船运输的压缩天然气进行卸气、加热、调压、储存、计量、加臭,并送入城镇燃气输配管道功能的站场。
2.0.33 压缩天然气瓶组供应站 station for CNG multiple cylinder installations
采用压缩天然气气瓶组作为储气设施,具有将压缩天然气卸气、调压、计量和加臭,并送入城镇燃气输配管道功能的设施。
2.0.34 液化石油气供应基地 liquefied petroleum gases(LPG) supply base
城镇液化石油气储存站、储配站和灌装站的统称。
2.0.35 液化石油气储存站 LPG stored station
储存液化石油气,并将其输送给灌装站、气化站和混气站的液化石油气储存站场。
2.0.36 液化石油气灌装站 LPG filling station
进行液化石油气灌装作业的站场。
2.0.37 液化石油气储配站 LPG stored and delivered station
兼有液化石油气储存站和灌装站两者全部功能的站场。
2.0.38 液化石油气气化站 LPG vaporizing station
配置储存和气化装置,将液态液化石油气转换为气态液化石油气,并向用户供气的生产设施。
2.0.39 液化石油气混气站 LPG-air(other fuel gas)mixing station
配置储存、气化和混气装置,将液态液化石油气转换为气态液化石油气后,与空气或其他可燃气体按一定比例混合配制成混合气,并向用户供气的生产设施。
2.0.40 液化石油气-空气混合气 LPG-air mixture
将气态液化石油气与空气按一定比例混合配制成符合城镇燃气质量要求的燃气。
2.0.41 全压力式储罐 fully pressurized storage tank
在常温和较高压力下盛装液化石油气的储罐。
2.0.42 半冷冻式储罐 semi-refrigerated storage tank
在较低温度和较低压力下盛装液化石油气的储罐。
2.0.43 全冷冻式储罐 fully refrigerated storage tank
在低温和常压下盛装液化石油气的储罐。
2.0.44 瓶组气化站 vaporizing station of multiple cylinder installations
配置2个以上15kg、2个或2个以上50kg气瓶,采用自然或强制气化方式将液态液化石油气转换为气态液化石油气后,向用户供气的生产设施。
2.0.45 液化石油气瓶装供应站 bottled LPG delivered station
经营和储存液化石油气气瓶的场所。
2.0.46 液化天然气 liquefied natural gas(LNG)
液化状况下的无色流体,其主要组分为甲烷。
2.0.47 液化天然气气化站 LNG vaporizing station
具有将槽车或槽船运输的液化天然气进行卸气、储存、气化、调压、计量和加臭,并送入城镇燃气输配管道功能的站场。又称为液化天然气卫星站(LNG satellite plant)。
2.0.48 引入管 service pipe
室外配气支管与用户室内燃气进口管总阀门(当无总阀门时,指距室内地面1m高处)之间的管道。
2.0.49 管道暗埋 piping embedment
管道直接埋设在墙体、地面内。
2.0.50 管道暗封 piping concealment
管道敷设在管道井、吊顶、管沟、装饰层内。
2.0.51 钎焊 capillary joining
钎焊是一个接合金属的过程,在焊接时作为填充金属(钎料)是熔化的有色金属,它通过毛细管作用被吸入要被连接的两个部件表面之间的狭小空间中,钎焊可分为硬钎焊和软钎焊。
用气量和燃气质量
3.1 用气量
3.1 用气量
3.1.1 设计用气量应根据当地供气原则和条件确定,包括下列各种用气量:
1 居民生活用气量;
2 商业用气量;
3 工业企业生产用气量;
4 采暖通风和空调用气量;
5 燃气汽车用气量;
6 其他气量。
注:当电站采用城镇燃气发电或供热时,尚应包括电站用气量。
3.1.2 各种用户的燃气设计用气量,应根据燃气发展规划和用气量指标确定。
3.1.3 居民生活和商业的用气量指标,应根据当地居民生活和商业用气量的统计数据分析确定。
3.1.4 工业企业生产的用气量,可根据实际燃料消耗量折算,或按同行业的用气量指标分析确定。
3.1.5 采暖通风和空调用气量指标,可按国家现行标准《城市热力网设计规范》CJJ 34或当地建筑物耗热量指标确定。
3.1.6 燃气汽车用气量指标,应根据当地燃气汽车种类、车型和使用量的统计数据分析确定。当缺乏用气量的实际统计资料时,可按已有燃气汽车城镇的用气量指标分析确定。
3.2 燃气质量
3.2 燃气质量
3.2.1 城镇燃气质量指标应符合下列要求:
1 城镇燃气(应按基准气分类)的发热量和组分的波动应符合城镇燃气互换的要求;
2 城镇燃气偏离基准气的波动范围宜按现行的国家标准《城市燃气分类》GB/T 13611的规定采用,并应适当留有余地。
3.2.2 采用不同种类的燃气做城镇燃气除应符合第3.2.1条外,还应分别符合下列第1~4款的规定。
1 天然气的质量指标应符合下列规定:
1)天然气发热量、总硫和硫化氢含量、水露点指标应符合现行国家标准《天然气》GB 17820的一类气或二类气的规定;
2)在天然气交接点的压力和温度条件下:
天然气的烃露点应比最低环境温度低5℃;
天然气中不应有固态、液态或胶状物质。
2 液化石油气质量指标应符合现行国家标准《油气田液化石油气》GB 9052.1或《液化石油气》GB 11174的规定;
3 人工煤气质量指标应符合现行国家标准《人工煤气》GB 13612的规定;
4 液化石油气与空气的混合气做主气源时,液化石油气的体积分数应高于其爆炸上限的2倍,且混合气的露点温度应低于管道外壁温度5℃。硫化氢含量不应大于20mg/m3。
3.2.3 城镇燃气应具有可以察觉的臭味,燃气中加臭剂的最小量应符合下列规定:
1 无毒燃气泄漏到空气中,达到爆炸下限的20%时,应能察觉;
2 有毒燃气泄漏到空气中,达到对人体允许的有害浓度时,应能察觉;
对于以一氧化碳为有毒成分的燃气,空气中一氧化碳含量达到0.02%(体积分数)时,应能察觉。
3.2.4 城镇燃气加臭剂应符合下列要求:
1 加臭剂和燃气混合在一起后应具有特殊的臭味;
2 加臭剂不应对人体、管道或与其接触的材料有害;
3 加臭剂的燃烧产物不应对人体呼吸有害,并不应腐蚀或伤害与此燃烧产物经常接触的材料;
4 加臭剂溶解于水的程度不应大于2.5%(质量分数);
5 加臭剂应有在空气中应能察觉的加臭剂含量指标。
制 气
4.1 一般规定
4.1 一般规定
4.1.1 本章适用于煤的干馏制气、煤的气化制气与重、轻油催化裂解制气及天然气改制等工程设计。
4.1.2 各制气炉型和台数的选择,应根据制气原料的品种,供气规模及各种产品的市场需要,按不同炉型的特点,经技术经济比较后确定。
4.1.3 制气车间主要生产场所爆炸和火灾危险区域等级划分应符合本规范附录A的规定。
4.1.4 制气车间的“三废”处理要求除应符合本章有关规定外,还应符合国家现行有关标准的规定。
4.1.5 各类制气炉型及其辅助设施的场地布置除应符合本章有关规定外,还应符合现行国家标准《工业企业总平面设计规范》GB 50187的规定。
4.2 煤的干馏制气
4.2 煤的干馏制气
4.2.1 煤的干馏炉装炉煤的质量指标,应符合下列要求:
1 直立炉:
挥发分(干基)>25%;
坩埚膨胀序数;
葛金指数F~G1;
灰分(干基)<25%;
粒度<50mm(其中小于10mm的含量应小于75%)。
注:1 生产铁合金焦时,应选用低灰分、弱粘结的块煤。
灰分(干基)<10%;
粒度15~50mm;
热稳定性(TS)>60%。
2 生产电石焦时,应采用灰分小于10%的煤种,粒度要求与直立炉装炉煤粒度相同。
3 当装炉煤质量不符合上述要求时,应做工业性的单炉试验。
2 焦炉:
挥发分(干基)24%~32%;
胶质层指数(Y)13~20mm;
焦块最终收缩度(X)28~33mm;
粘结指数58~72;
水分<10%;
灰分(干基)≤11%;
硫分(干基)<1%;
粒度(<3mm的含量)75%~80%。
注:1 指标仅给出范围,最终指标应按配煤试验结果确定。
2 采用焦炉炼制气焦时,其灰分(干基)可小于16%。
3 采用焦炉炼制冶金焦或铸造焦时,应按焦炭的质量要求决定配煤的质量指标。
4.2.2 采用直立炉制气的煤准备流程应设破碎和配煤装置。
采用焦炉制气的煤准备宜采取先配煤后粉碎流程。
4.2.3 原料煤的装卸和倒运应采用机械化运输设备。卸煤设备的能力,应按日用煤量、供煤不均衡程度和供煤协议的卸煤时间确定。
4.2.4 储煤场地的操作容量应根据来煤方式不同,宜按10~40d的用煤量确定。其操作容量系数,宜取65%~70%。
4.2.5 配煤槽和粉碎机室的设计,应符合下列要求:
1 配煤槽总容量,应根据日用煤量和允许的检修时间等因素确定;
2 配煤槽的个数,应根据采用的煤种数和配煤比等因素确定;
3 在粉碎装置前,必须设置电磁分离器;
4 粉碎机室必须设置除尘装置和其他防尘措施,室内含尘量应小于10mg/m3;
排入室外大气中的粉尘最高允许浓度标准为150mg/m3;
5 粉碎机应采用隔声、消声、吸声、减振以及综合控制噪声等措施,生产车间及作业场所的噪声A声级不得超过90dB。
4.2.6 煤准备流程的各胶带运输机及其相连的运转设备之间,应设连锁集中控制装置。
4.2.7 每座直立炉顶层的储煤仓总容量,宜按36h用煤量计算。辅助煤箱的总容量,应按2h用煤量计算。储焦仓的总容量,宜按一次加满四门炭化室的装焦量计算。
焦炉的储煤塔,宜按两座炉共用一个储煤塔设计,其总容量应按12~16h用煤量计算。
4.2.8 煤干馏的主要产品的产率指标,可按表4.2.8采用。

注:1 直立炉煤气其低热值为16.3MJ/m3;
2 焦炉煤气其低热值为17.9MJ/m3;
3 直立炉水分按7%的煤计;
4 焦炉按干煤计。
4.2.9 焦炉的加热煤气系统,宜采用复热式。
4.2.10 煤干馏炉的加热煤气,宜采用发生炉(含两段发生炉)或高炉煤气。
发生炉煤气热值应符合现行国家标准《发生炉煤气站设计规范》GB?50195的规定。
煤干馏炉的耗热量指标,宜按表4.2.10选用。

注:1 直立炉的指标系按炭化室长度为2.1m炉型所耗发生炉热煤气计算。
焦炉的指标系按炭化室有效容积大于20m3炉型所耗冷煤气计算。
2 水分按7%的煤计。
4.2.11 加热煤气管道的设计应符合下列要求:
1 当焦炉采用发生炉煤气加热时,加热煤气管道上宜设置混入回炉煤气装置;当焦炉采用回炉煤气加热时,加热煤气管道上宜设置煤气预热器;
2 应设置压力自动调节装置和流量计;
3 必须设置低压报警信号装置,其取压点应设在压力自动调节装置的蝶阀前的总管上。管道末端应设爆破膜;
4 应设置蒸汽清扫和水封装置;
5 加热煤气的总管的敷设,宜采用架空方式。
4.2.12 直立炉、焦炉桥管上必须设置低压氨水喷洒装置。直立炉的荒煤气管或焦炉集气管上必须设置煤气放散管,放散管出口应设点火燃烧装置。
焦炉上升管盖及桥管与水封阀承插处应采用水封装置。
4.2.13 炉顶荒煤气管,应设压力自动调节装置。调节阀前必须设置氨水喷洒设施。调节蝶阀与煤气鼓风机室应有联系信号和自控装置。
4.2.14 直立炉炉顶捣炉与炉底放焦之间应有联系信号。焦炉的推焦车、拦焦车、熄焦车的电机车之间宜设置可靠的连锁装置以及熄焦车控制推焦杆的事故刹车装置。
4.2.15 焦炉宜设上升管隔热装置和高压氨水消烟加煤装置。
4.2.16 氨水喷洒系统的设计,应符合下列要求:
1 低压氨水的喷洒压力,不应低于0.15MPa。氨水的总耗用量指标应按直立炉4m3/t(煤)、焦炉6~8m3/t(煤)选用;
2 直立炉的氨水总管,应布置成环形;
3 低压氨水应设事故用水管;
4 焦炉消烟装煤用高压氨水的总耗用量为低压氨水总耗用量的3.4%~3.6%,其喷洒压力应按1.5~2.7MPa设计。
注:1 直立炉水分按7%的煤计;
2? 焦炉按干煤计。
4.2.17 直立炉废热锅炉的设置应符合下列规定:
1 每座直立炉的废热锅炉,应设置在废气总管附近;
2 废热锅炉的废气进口温度,宜取800~900℃,废气出口温度宜取200℃;
3 废热锅炉宜设置1台备用;
4 废热锅炉应有清灰与检修的空间;
5 废热锅炉的引风机应采取防振措施。
4.2.18 直立炉排焦和熄焦系统的设计应符合下列要求:
1 直立炉应采用连续的水熄焦,熄焦水的总管,应布置成环形。熄焦水应循环使用,其用水量宜按3~4m3/t(水分为7%的煤)计算;
2 排焦传动装置应采用调速电机控制;
3 排焦箱的容量,宜按4h的排焦量计算;
采用弱粘结性煤时,排焦箱上应设排焦控制器;
4 排焦门的启闭,宜采用机械化装置;
5 排出的焦炭运出车间以前,应有大于80s的沥水时间。
4.2.19 焦炉可采用湿法熄焦和干法熄焦两种方式。当采用湿法熄焦时应设自动控制装置,在熄焦塔内应设置捕尘装置。
熄焦水应循环使用,其用水量宜按2m3/t(干煤)计算。熄焦时间宜为90~120s。
粉焦沉淀池的有效容积应保证熄焦水有足够的沉淀时间。清除粉焦沉淀池内的粉焦应采用机械化设施。
大型焦化厂有条件的应采用干法熄焦装置。
4.2.20 当熄焦使用生化尾水时,其水质应符合下列要求:
酚≤0.5mg/L;
CN-≤0.5mg/L;
CODcr≈350mg/L。
4.2.21 焦炉的焦台设计宜符合下列要求:
1 每两座焦炉宜设置1个焦台;
2 焦台的宽度,宜为炭化室高度的2倍;
3 焦台上焦炭的停留时间,不宜小于30min;
4 焦台的水平倾角,宜为28°。
4.2.22 焦炭处理系统,宜设置筛焦楼及其储焦场地或储焦设施。
筛焦楼内应设有除尘通风设施。
焦炭筛分设施,宜按筛分后的粒度大于40mm、40~25mm、25~10mm和小于10mm,共4级设计。
注:生产冶金、铸造焦时,焦炭筛分设施宜增加大于60mm或80mm的一级。生产铁合金焦时,焦炭筛分设施宜增加10~5mm和小于5mm两级。
4.2.23 筛焦楼内储焦仓总容量的确定,应符合下列要求:
1 直立炉的储焦仓,宜按10~12h产焦量计算;
2 焦炉的储焦仓,宜按6~8h产焦量计算。
4.2.24 储焦场的地面,应做人工地坪并应设排水设施。
4.2.25 独立炼焦制气厂储焦场的操作容量宜按焦炭销售运输方式不同采用15~20d产焦量。
4.2.26 自产的中、小块气焦,宜用于生产发生炉煤气。自产的大块气焦,宜用于生产水煤气。
4.3 煤的气化制气
4.3 煤的气化制气
4.3.1 本节适用于下列炉型的煤的气化制气:
1 煤气发生炉;两段煤气发生炉;
2 水煤气发生炉;两段水煤气发生炉;
3 流化床水煤气炉。
注:1 煤气发生炉、两段煤气发生炉为连续气化炉;水煤气发生炉、两段水煤气发生炉、流化床水煤气炉为循环气化炉。
2 鲁奇高压气化炉暂不包括在本规范内。
4.3.2 煤的气化制气宜作为人工煤气气源厂的辅助(加热)和掺混用气源。当作为城市的主气源时,必须采取有效措施,使煤气组分中一氧化碳含量和煤气热值等达到现行国家标准《人工煤气》GB 13612质量标准。
4.3.3 气化用煤的主要质量指标宜符合表4.3.3的规定。
表4.3.3 气化用煤主要质量指标


注:1 发生炉入炉的无烟煤或焦炭,粒度可放宽选用相邻两级。
2 两段煤气发生炉、两段水煤气发生炉用煤粒度限使用其中的一级。
4.3.4 煤场的储煤量,应根据煤源远近、供应的不均衡性和交通运输方式等条件确定,宜采用10~30d的用煤量;当作为辅助、调峰气源使用本厂焦炭时,宜小于1d的用焦量。
4.3.5 当气化炉按三班制时,储煤斗的有效储量应符合表4.3.5的要求。

注:1 备煤系统不宜按三班工作。
2 用煤量应按设计产量计算。
4.3.6 煤气化后的灰渣宜采用机械化处理措施并进行综合利用。
4.3.7 煤气化炉煤气低热值应符合下列规定:
1 煤气发生炉,不应小于5MJ/m3。
2 两段发生炉,上段煤气不应小于6.7MJ/m3;
下段煤气不应大于5.44MJ/m3。
3 水煤气发生炉,不应小于10MJ/m3。
4 两段水煤气发生炉,上段煤气不应小于13.5MJ/m3;
下段煤气不应大于10.8MJ/m3。
5 流化床水煤气炉,宜为9.4~11.3MJ/m3。
4.3.8 气化炉吨煤产气率指标,应根据选用的煤气发生炉炉型、煤种、粒度等因素综合考虑后确定。对曾用于气化的煤种,应采用其平均产气率指标;对未曾用于气化的煤种,应根据其气化试验报告的产气率确定。当缺乏条件时,可按表4.3.8选用。

4.3.9 气化炉组工作台数每1~4台宜另设一台备用。
4.3.10 水煤气发生炉、两段水煤气发生炉,每3台宜编为1组;流化床水煤气炉每2台宜编为1组;合用一套煤气冷却系统和废气处理及鼓风设备。
4.3.11 循环气化炉的空气鼓风机的选择,应符合本规范第4.4.9条的要求。
4.3.12 循环气化炉的煤气缓冲罐宜采用直立式低压储气罐,其容积宜为0.5~1倍煤气小时产气量。
4.3.13 循环气化炉的蒸汽系统中应设置蒸汽蓄能器,并宜设有备用的蒸汽系统。
4.3.14 煤气排送机和空气鼓风机的并联工作台数不宜超过3台,并应另设一台备用。
4.3.15 作为加热和掺混用的气化炉冷煤气温度宜小于35℃,其灰尘和液态焦油等杂质含量应小于20mg/m3;气化炉热煤气至用气设备前温度不应小于350℃,其灰尘含量应小于300mg/m3。
4.3.16 采用无烟煤或焦炭作原料的气化炉,煤气系统中的电气滤清器应设有冲洗装置或能连续形成水膜的湿式装置。
4.3.17 煤气的冷却宜采用直接冷却。
冷却用水和洗涤用水应采用封闭循环系统。
冷循环水进口温度不宜大于28℃,热循环水进口温度不宜小于55℃。
4.3.18 废热锅炉和生产蒸汽的水夹套,其给水水质应符合现行的国家标准《工业锅炉水质标准》GB 1576中关于锅壳锅炉水质标准的规定。
4.3.19 当水夹套中水温小于或等于100℃时,给水水质应符合现行的国家标准《工业锅炉水质标准》GB 1576中关于热水锅炉水质标准的规定。
4.3.20 煤气净化设备、废热锅炉及管道应设放散管和吹扫管接头,其位置应能使设备内的介质吹净;当净化设备相联处无隔断装置时,可仅在较高的设备上装设放散管。
设备和煤气管道放散管的接管上,应设取样嘴。
4.3.21 放散管管口高度应符合下列要求:
1 高出管道和设备及其走台4m,并距地面高度不小于10m;
2 厂房内或距厂房10m以内的煤气管道和设备上的放散管管口,应高出厂房顶4m。
4.3.22 煤气系统中应设置可靠的隔断煤气装置,并应设置相应的操作平台。
4.3.23 在电气滤清器上必须装有爆破阀。洗涤塔上宜设有爆破阀,其装设位置应符合下列要求:
1 装在设备薄弱处或易受爆破气浪直接冲击的位置;
2 离操作面的净空高度小于2m时,应设有防护措施;
3 爆破阀的泄压口不应正对建筑物的门或窗。
4.3.24 厂区煤气管道与空气管道应架空敷设。热煤气管道上应设有清灰装置。
4.3.25 空气总管末端应设有爆破膜。煤气排送机前的低压煤气总管上,应设爆破阀或泄压水封。
4.3.26 煤气设备水封的高度,不应小于表4.3.26的规定。

注:发生炉煤气钟罩阀的放散水封的有效高度应等于煤气发生炉出口最大工作压力(以Pa表示)乘0.1加50mm。
4.3.27 生产系统的仪表和自动控制装置的设置应符合下列规定:
1 宜设置空气、蒸汽、给水和煤气等介质的计量装置;
2 宜设置气化炉进口空气压力检测仪表;
3 宜设置循环气化炉鼓风机的压力、温度测量仪表;
4 宜设置连续气化炉进口饱和空气温度及其自动调节;
5 宜设置气化炉进口蒸汽和出口煤气的温度及压力检测仪表;
6 宜设置两段炉上段出口煤气温度自动调节;
7 应设置汽包水位自动调节;
8 应设置循环气化炉的缓冲气罐的高、低位限位器分别与自动控制机和煤气排送机连锁装置,并应设报警装置;
9 应设置循环气化炉的高压水罐压力与自动控制机连锁装置,并应设报警装置;
10 应设置连续气化炉的煤气排送机(或热煤气直接用户如直立炉的引风机)与空气总管压力或空气鼓风机连锁装置,并应设报警装置;
11 应设置当煤气中含氧量大于1%(体积)或电气滤清器的绝缘箱温度低于规定值、或电气滤清器出口煤气压力下降到规定值时,能立即切断高压电源装置,并应设报警装置;
12 应设置连续气化炉的低压煤气总管压力与煤气排送机连锁装置,并应设报警装置;
13 应设置气化炉的加煤的自动控制、除灰加煤的相互连锁及报警装置;
14 循环气化系统应设置自动程序控制装置。
4.4 重油低压间歇循环催化裂解制气
4.4 重油低压间歇循环催化裂解制气
4.4.1 重油制气用原料油的质量,宜符合下列要求:
碳氢比(C/H)<7.5;
残炭<12%;
开口闪点>120℃;
密度900~970kg/m3。
4.4.2 原料重油的储存量,宜按15~20d的用油量计算,原料重油的储罐数量不应少于2个。
4.4.3 重油低压间歇循环制气应采用催化裂解工艺,其炉型宜采用三筒炉。
4.4.4 重油低压间歇循环催化裂解制气工艺主要设计参数宜符合下列要求:
1 反应器液体空间速度:0.60~0.65m3/(m3·h);
2 反应器内催化剂层高度:0.6~0.7m;
3 燃烧室热强度:5000~7000MJ/(m3·h);
4 加热油用量占总用油量比例:小于16%;
5 过程蒸汽量与制气油量之比值:1.0~1.2(质量比);
6 循环时间:8min;
7 每吨重油的催化裂解产品产率可按下列指标采用:
煤气:1100~1200m3(低热值按21MJ/m3计);
粗苯:6%~8%;
焦油:15%左右;
8 选用含镍量为3%~7%的镍系催化剂。
4.4.5 重油间歇循环催化裂解装置的烟气系统应设置废热回收和除尘设备。
4.4.6 重油间歇循环催化裂解装置的蒸汽系统应设置蒸汽蓄能器。
4.4.7 每2台重油制气炉应编为1组,合用1套冷却系统和鼓风设备。
冷却系统和鼓风设备的能力应按1台炉的瞬时流量计算。
4.4.8 煤气冷却宜采用间接式冷却设备或直接-间接-直接三段冷却流程。冷却后的燃气温度不应大于35℃,冷却水应循环使用。
4.4.9 空气鼓风机的选择,应符合下列要求:
1 风量应按空气瞬时最大用量确定;
2 风压应按油制气炉加热期的空气废气系统阻力和废气出口压力之和确定;
3 每1~2组炉应设置1台备用的空气鼓风机;
4 空气鼓风机应有减振和消声措施。
4.4.10 油泵的选择,应符合下列要求:
1 流量应按瞬时最大用量确定;
2 压力应按输油系统的阻力和喷嘴的要求压力之和确定;
3 每1~3台油泵应另设1台备用。
4.4.11 输油系统应设置中间油罐,其容量宜按1d的用油量确定。
4.4.12 煤气系统应设置缓冲罐,其容量宜按0.5~1.0h的产气量确定。缓冲气罐的水槽,应设置集油、排油装置。
4.4.13 在炉体与空气系统连接管上应采取防止炉内燃气窜入空气管道的措施,并应设防爆装置。
4.4.14 油制气炉宜露天布置。主烟囱和副烟囱高出油制气炉炉顶高度不应小于4m。
4.4.15 控制室不应与空气鼓风机室布置在同一建筑物内。控制室应布置在油制气区夏季最大频率风向的上风侧。
4.4.16 油水分离池应布置在油制气区夏季最小频率风向的上风侧。对油水分离池及焦油沟,应采取减少挥发性气体散发的措施。
4.4.17 重油制气厂应设污水处理装置,污水排放应符合现行国家标准《污水综合排放标准》GB?8978的规定。
4.4.18 自动控制装置的程序控制系统设计,应符合下列要求:
1 能手动和自动切换操作;
2 能调节循环周期和阶段百分比;
3 设置循环中各阶段比例和阀门动作的指示信号;
4 主要阀门应设置检查和连锁装置,在发生故障时应有显示和报警信号,并能恢复到安全状态。
4.4.19 自动控制装置的传动系统设计,应符合下列要求:
1 传动系统的形式应根据程序控制系统的形式和本地区具体条件确定;
2 应设置储能设备;
3 传动系统的控制阀、自动阀和其他附件的选用或设计,应能适应工艺生产的特点。
4.5 轻油低压间歇循环催化裂解制气
4.5 轻油低压间歇循环催化裂解制气
4.5.1 轻油制气用的原料为轻质石脑油,质量宜符合下列要求:
1 相对密度(20℃)0.65~0.69;
2 初馏点>30℃;终馏点<130℃;
3 直链烷烃>80%(体积分数),芳香烃<5%(体积分数),烯烃<1%(体积分数);
4 总硫含量1×10-4(质量分数),铅含量1×10-7(质量分数);
5 碳氢比(质量)5~5.4;
6 高热值47.3~48.1MJ/kg。
4.5.2 原料石脑油储存应采用内浮顶式油罐,储罐数量不应少于2个,原料油的储存量宜按15~20d的用油量计算。
4.5.3 轻油低压间歇循环催化裂解制气装置宜采用双筒炉和顺流式流程。加热室宜设置两个主火焰监视器,燃烧室应采取防止爆燃的措施。
4.5.4 轻油低压间歇循环催化裂解制气工艺主要设计参数宜符合下列要求:
1 反应器液体空间速度:0.6~0.9m3/(m3·h);
2 反应器内催化剂高度:0.8~1.0m;
3 加热油用量与制气用油量比例,小于29/100;
4 过程蒸汽量与制气油量之比值为1.5~1.6(质量比);有CO变换时比值增加为1.8~2.2(质量比);
5 循环时间:2~5min;
6 每吨轻油的催化裂解煤气产率:
2400~2500m3(低热值按15.32~14.70MJ/m3计);
7 催化剂采用镍系催化剂。
4.5.5 制气工艺宜采用CO变换方案,两台制气炉合用一台变换设备。
4.5.6 轻油制气增热流程宜采用轻质石脑油热增热方案,增热程度宜限制在比燃气烃露点低5℃。
4.5.7 轻油制气炉应设置废热回收设备,进行CO变换时应另设置废热回收设备。
4.5.8 轻油制气炉应设置蒸汽蓄能器,不宜设置生产用汽锅炉。
4.5.9 每2台轻油制气炉应编为一组,合用一套冷却系统和鼓风设备。
冷却系统和鼓风设备的能力应按瞬时最大流量计算。
4.5.10 煤气冷却宜采用直接式冷却设备。冷却后的燃气温度不宜大于35℃,冷却水应循环使用。
4.5.11 空气鼓风机的选择,应符合本规范第4.4.9条的要求,宜选用自产蒸汽来驱动透平风机,空气鼓风机入口宜设空气过滤装置。
4.5.12 原料泵的选择,应符合本规范第4.4.10条的要求,宜设置断流保护装置及连锁。
4.5.13 轻油制气炉宜设置防爆装置,在炉体与空气系统连接管上应采用防止炉内燃气窜入空气管道的措施,并应设防爆装置。
4.5.14 轻油制气炉应露天布置。
烟囱高出制气炉炉顶高度不应小于4m。
4.5.15 控制室不应与空气鼓风机布置在同一建筑物内。
4.5.16 轻油制气厂可不设工业废水处理装置。
4.5.17 自动控制装置的程序控制系统设计,应符合本规范第4.4.18条的要求,宜采用全冗余,且宜设置手动紧急停车装置。
4.5.18 自动控制装置的传动系统设计,应符合本规范第4.4.19条的要求。
4.6 液化石油气低压间歇循环催化裂解制气
4.6 液化石油气低压间歇循环催化裂解制气
4.6.1 液化石油气制气用的原料,宜符合本规范第3.2.2条第2款的规定,其中不饱和烃含量应小于15%(体积分数)。
4.6.2 原料液化石油气储存宜采用高压球罐,球罐数量不应小于2个,储存量宜按15~20d的用气量计算。
4.6.3 液化石油气低压间歇循环催化裂解制气工艺主要设计参数宜符合下列要求:
1 反应器液体空间速度:0.6~0.9m3/(m3·h);
2 反应器内催化剂高度:0.8~1.0m;
3 加热油用量与制气用油量比例:小于29/100;
4 过程蒸汽量与制气油量之比为1.5~1.6(质量比),有CO变换时比值增加为1.8~2.2(质量比);
5 循环时间:2~5min;
6 每吨液化石油气的催化裂解煤气产率:
2400~2500m3(低热值按15.32~14.70MJ/m3计算);
7 催化剂采用镍系催化剂。
4.6.4 液化石油气宜采用液态进料,开关阀宜设置在喷枪前端。
4.6.5 制气工艺中CO变换工艺的设计应符合本规范第4.5.5条的要求。
4.6.6 制气炉后应设置废热回收设备,选择CO变换时,在制气后和变换后均应设置废热回收设备。
4.6.7 液化石油气制气炉应设置蒸汽蓄能器,不宜设置生产用汽锅炉。
4.6.8 冷却系统和鼓风设备的设计应符合本规范第4.5.9条的要求。
煤气冷却设备的设计应符合本规范第4.5.10条的要求。
空气鼓风机的选择,应符合本规范第4.5.11条的要求。
4.6.9 原料泵的选择,应符合本规范第4.5.12条的要求。
4.6.10 炉子系统防爆设施的设计,应符合本规范第4.5.13条的要求。
4.6.11 制气炉的露天布置应符合本规范第4.5.14条的要求。
4.6.12 控制室不应与空气鼓风机室布置在同一建筑物内。
4.6.13 液化石油气催化裂解制气厂可不设工业废水处理装置。
4.6.14 自动控制装置的程序控制系统设计,应符合本规范第4.4.18条的要求。
4.6.15 自动控制装置的传动系统设计应符合本规范第4.4.19条的要求。
4.7 天然气低压间歇循环催化改制制气
4.7 天然气低压间歇循环催化改制制气
4.7.1 天然气改制制气用的天然气质量,应符合现行国家标准《天然气》GB 17820二类气的技术指标。
4.7.2 在各个循环操作阶段,天然气进炉总管压力的波动值宜小于0.01MPa。
4.7.3 天然气低压间歇循环催化改制制气装置宜采用双筒炉和顺流式流程。
4.7.4 天然气低压间歇循环催化改制制气工艺主要设计参数宜符合下列要求:
1 反应器内改制用天然气空间速度:500~600m3/(m3·h);
2 反应器内催化剂高度:0.8~1.2m;
3 加热用天然气用量与制气用天然气用量比例:小于29/100;
4 过程蒸汽量与改制用天然气量之比值:1.5~1.6(质量比);
5 循环时间:2~5min;
6 每千立方米天然气的催化改制煤气产率:
改制炉出口煤气:2650~2540m3(高热值按12.56~13.06MJ/m3计)。
4.7.5 天然气改制煤气增热流程宜采用天然气掺混方案,增热程度应根据煤气热值、华白指数和燃烧势的要求确定。
4.7.6 天然气改制炉应设置废热回收设备。
4.7.7 天然气改制炉应设置蒸汽蓄热器,不宜设置生产用汽锅炉。
4.7.8 冷却系统和鼓风设备的设计应符合本规范第4.5.9条的要求。
天然气改制流程中的冷却设备的设计应符合本规范第4.5.10条的要求。
空气鼓风机的选择,应符合本规范第4.5.11条的要求。
4.7.9 天然气改制炉宜设置防爆装置,并应符合本规范第4.5.13条的要求。
4.7.10 天然气改制炉的露天布置应符合本规范第4.5.14条的要求。
4.7.11 控制室不应与空气鼓风机布置在同一建筑物内。
4.7.12 天然气改制厂可不设工业废水处理装置。
4.7.13 自动控制装置的程序控制系统设计应符合本规范第4.4.18条的要求。
4.7.14 自动控制装置的传动系统设计,应符合本规范第4.4.19条的要求。
4.8 调峰
4.8 调峰
4.8.1 气源厂应具有调峰能力,调峰气量应与外部调峰能力相配合,并应根据燃气输配要求确定。
在选定主气源炉型时,应留有一定余量的产气能力以满足用气高峰负荷需要。
4.8.2 调峰装置必须具有快开、快停能力,调度灵活,投产后质量稳定。
4.8.3 气源厂的原料和产品的储量应满足用气高峰负荷的需要。
4.8.4 气源厂设计时,各类管线的口径应考虑用气高峰时的处理量和通过量。混合前、后的出厂煤气,均应设置煤气计量装置。
4.8.5 气源厂应设置调度室。
4.8.6 季节性调峰出厂燃气组分宜符合现行国家标准《城市燃气分类》GB/T 13611的规定。
净 化
5.1 一般规定
5.1 一般规定
5.1.1 本章适用于煤干馏制气的净化工艺设计。煤炭气化制气及重油裂解制气的净化工艺设计可参照采用。
5.1.2 煤气净化工艺的选择,应根据煤气的种类、用途、处理量和煤气中杂质的含量,并结合当地条件和煤气掺混情况等因素,经技术经济方案比较后确定。
煤气净化主要有煤气冷凝冷却、煤气排送、焦油雾脱除、氨脱除、粗苯吸收、萘最终脱除、硫化氢及氰化氢脱除、一氧化碳变换及煤气脱水等工艺。各工段的排列顺序根据不同的工艺需要确定。
5.1.3 煤气净化设备的能力,应按小时最大煤气处理量和其相应的杂质含量确定。
5.1.4 煤气净化装置的设计,应做到当净化设备检修和清洗时,出厂煤气中杂质含量仍能符合现行的国家标准《人工煤气》GB 13612的规定。
5.1.5 煤气净化工艺设计,应与化工产品回收设计相结合。
5.1.6 煤气净化车间主要生产场所爆炸和火灾危险区域等级应符合本规范附录B的规定。
5.1.7 煤气净化工艺的设计应充分考虑废水、废气、废渣及噪声的处理,符合国家现行有关标准的规定,并应防止对环境造成二次污染。
5.1.8 煤气净化车间应提高计算机自动监测控制系统水平,降低劳动强度。
5.2 煤气的冷凝冷却
5.2 煤气的冷凝冷却
5.2.1 煤气的冷凝冷却宜采用间接式冷凝冷却工艺。也可采用先间接式冷凝冷却,后直接式冷凝冷却工艺。
5.2.2 间接式冷凝冷却工艺的设计,宜符合下列要求:
1 煤气经冷凝冷却后的温度,当采用半直接法回收氨以制取硫铵时,宜低于35℃;当采用洗涤法回收氨时,宜低于25℃;
2 冷却水宜循环使用,对水质宜进行稳定处理;
3 初冷器台数的设置原则,当其中1台检修时,其余各台仍能满足煤气冷凝冷却的要求;
4 采用轻质焦油除去管壁上的萘。
5.2.3 直接式冷凝冷却工艺的设计,宜符合下列要求:
1 煤气经冷却后的温度,低于35℃;
2 开始生产及补充用冷却水的总硬度,小于0.02mmol/L;
3 洗涤水循环使用。
5.2.4 焦油氨水分离系统的工艺设计,应符合下列要求:
1 煤气的冷凝冷却为直接式冷凝冷却工艺时,初冷器排出的焦油氨水和荒煤气管排出的焦油氨水,宜采用分别澄清分离系统;
2 煤气的冷凝冷却为间接式冷凝冷却工艺时,初冷器排出的焦油氨水和荒煤气管排出的焦油氨水的处理:当脱氨为硫酸吸收法时,可采用混合澄清分离系统;当脱氨为水洗涤法时,可采用分别澄清分离系统;
3 剩余氨水应除油后再进行溶剂萃取脱酚和蒸氨;
4 焦油氨水分离系统的排放气应设置处理装置。
5.3 煤气排送
5.3 煤气排送
5.3.1 煤气鼓风机的选择,应符合下列要求:
1 风量应按小时最大煤气处理量确定;
2 风压应按煤气系统的最大阻力和煤气罐的最高压力的总和确定;
3 煤气鼓风机的并联工作台数不宜超过3台。每1~3台,宜另设1台备用。
5.3.2 离心式鼓风机宜设置调速装置。
5.3.3 煤气循环管的设置,应符合下列要求:
1 当采用离心式鼓风机时,必须在鼓风机的出口煤气总管至初冷器前的煤气总管间设置大循环管。数台风机并联时,宜在鼓风机的进出口煤气总管间,设置小循环管;
注:当设有调速装置,且风机转速的变化能适应输气量的变化时可不设小循环管。
2 当采用容积式鼓风机时,每台鼓风机进出口的煤气管道上,必须设置旁通管。数台风机并联时,应在风机出口的煤气总管至初冷器前的煤气总管间设置大循环管,并应在风机的进出口煤气总管间设置小循环管。
5.3.4 用电动机带动的煤气鼓风机,其供电系统应符合现行的国家标准《供配电系统设计规范》GB 50052的“二级负荷”设计的规定;电动机应采取防爆措施。
5.3.5 离心式鼓风机应设有必要的连锁和信号装置。
5.3.6 鼓风机的布置,应符合下列要求:
1 鼓风机房安装高度,应能保证进口煤气管道内冷凝液排出通畅。当采用离心式鼓风机时,鼓风机进口煤气的冷凝液排出口与水封槽满流口中心高差不应小于2.5m(以水柱表示)。
2 鼓风机机组之间和鼓风机与墙之间的通道宽度,应根据鼓风机的型号、操作和检修的需要等因素确定。
3 鼓风机机组的安装位置,应能使鼓风机前阻力最小,并使各台初冷器阻力均匀。
4 鼓风机房宜设置起重设备。
5 鼓风机应设置单独的仪表操作间;仪表操作间可毗邻鼓风机房的外墙设置,但应用耐火极限不低于3h的非燃烧体实墙隔开,并应设置能观察鼓风机运转的隔声耐火玻璃窗。
6 离心鼓风机用的油站宜布置在底层,楼板面上留出检修孔或安装孔。油站的安装高度应满足鼓风机主油泵的吸油高度。鼓风机应设置事故供油装置。
7 鼓风机房应设煤气泄漏报警及事故通风设备。
8 鼓风机房应做不发火花地面。
5.4 焦油雾的脱除
5.4 焦油雾的脱除
5.4.1 煤气中焦油雾的脱除设备,宜采用电捕焦油器。电捕焦油器不得少于2台,并应并联设置。
5.4.2 电捕焦油器设计,应符合下列要求:
1 电捕焦油器应设置泄爆装置、放散管和蒸汽管,负压回收流程可不设泄爆装置;
2 电捕焦油器宜设有煤气含氧量的自动测量仪;
3 当干馏煤气中含氧量大于1%(体积分数)时应进行自动报警,当含氧量达到2%或电捕焦油器的绝缘箱温度低于规定值时,应有能立即切断电源的措施。
5.5 硫酸吸收法氨的脱除
5.5 硫酸吸收法氨的脱除
5.5.1 采用硫酸吸收进行氨的脱除和回收时,宜采用半直接法。当采用饱和器时,其设计应符合下列要求:
1 煤气预热器的煤气出口温度,宜为60~80℃;
2 煤气在饱和器环形断面内的流速,应为0.7~0.9m/s;
3 饱和器出口煤气中含氨量应小于30mg/m3;
4 循环母液的小时流量,不应小于饱和器内母液容积的3倍;
5 氨水中的酚宜回收。酚的回收可在蒸氨工艺之前进行;蒸氨后的废氨水中含氨量,应小于300mg/L。
5.5.2 硫铵工段布置应符合下列要求:
1 硫铵工段可由硫铵、吡啶、蒸氨和酸碱储槽等组成,其布置应考虑运输方便;
2 硫铵工段应设置现场分析台;
3 吡啶操作室应与硫铵操作室分开布置,可用楼梯间隔开;
4 蒸氨设备宜露天布置并布置在吡啶装置一侧。
5.5.3 饱和器机组布置宜符合下列要求:
1 饱和器中心与主厂房外墙的距离,应根据饱和器直径确定,并宜符合表5.5.3-1的规定;
2 饱和器中心间的最小距离,应根据饱和器直径确定,并宜符合表5.5.3-2的规定;

3 饱和器锥形底与防腐地坪的垂直距离应大于400mm;
4 泵宜露天布置。
5.5.4 离心干燥系统设备的布置宜符合下列要求。
1 硫铵操作室的楼层标高,应满足下列要求:
1)由结晶槽至离心机母液能顺利自流;
2)离心机分离出母液能自流入饱和器。
2 2台连续式离心机的中心距不宜小于4m。
5.5.5 蒸氨和吡啶系统的设计应符合下列要求:
1 吡啶生产应负压操作;
2 各溶液的流向应保证自流。
5.5.6 硫铵系统设备的选用和设置应符合下列要求:
1 饱和器机组必须设置备品,其备品率为50%~100%;
2 硫铵系统宜设置2个母液储槽;
3 硫铵结晶的分离应采用耐腐蚀的连续离心机,并应设置备品;
4 硫铵系统必须设置粉尘捕集器。
5.5.7 设备和管道中硫酸浓度小于75%时,应采取防腐蚀措施。
5.5.8 离心机室的墙裙、各操作室的地面、饱和器机组母液储槽的周围地坪和可能接触腐蚀性介质的地方,均应采取防腐蚀措施。
5.5.9 对酸焦油、废酸液等应分别处理。
5.6 水洗涤法氨的脱除
5.6 水洗涤法氨的脱除
5.6.1 煤气进入洗氨塔前,应脱除焦油雾和萘。进入洗氨塔的煤气含萘量应小于500mg/m3。
5.6.2 洗氨塔出口煤气含氨量,应小于100mg/m3。
5.6.3 洗氨塔出口煤气温度,宜为25~27℃。
5.6.4 新洗涤水的温度应低于25℃;总硬度不宜大于0.02mmol/L。
5.6.5 水洗涤法脱氨的设计宜符合下列要求:
1 洗涤塔不得少于2台,并应串联设置;
2 两相邻塔间净距不宜小于2.5m;当塔径超过5m时,塔间净距宜取塔径的一半;当采用多段循环洗涤塔时,塔间净距不宜小于4m;
3 洗涤泵房与塔群间净距不宜小于5m;
4 蒸氨和黄血盐系统除泵、离心机和碱、铁刨花、黄血盐等储存库外,其余均宜露天布置;
5 当采用废氨水洗氨时,废氨水冷却器宜设置在洗涤部分。
5.6.6 富氨水必须妥善处理,不得造成二次污染。
5.7 煤气最终冷却
5.7 煤气最终冷却
5.7.1 煤气最终冷却宜采用间接式冷却。
5.7.2 煤气经最终冷却后,其温度宜低于27℃。
5.7.3 当煤气最终冷却采用横管式间接式冷却时,其设计应符合下列要求:
1 煤气在管间宜自上向下流动,冷却水在管内宜自下向上流动。在煤气侧宜有清除管壁上萘的设施;
2 横管内冷却水可分为两段,其下段水入口温度,宜低于20℃;
3 冷却器煤气出口处宜设捕雾装置。
5.8 粗苯的吸收
5.8 粗苯的吸收
5.8.1 煤气中粗苯的吸收,宜采用溶剂常压吸收法。
5.8.2 吸收粗苯用的洗油,宜采用焦油洗油。
5.8.3 洗油循环量,应按煤气中粗苯含量和洗油的种类等因素确定。循环洗油中含萘量宜小于5%。
5.8.4 采用不同类型的洗苯塔时,应符合下列要求:
1 当采用木格填料塔时,不应少于2台,并应串联设置;
2 当采用钢板网填料塔或塑料填料塔时,宜采用2台并宜串联设置;
3 当煤气流量比较稳定时,可采用筛板塔。
5.8.5 洗苯塔的设计参数,应符合下列要求:
1 木格填料塔:煤气在木格间有效截面的流速,宜取1.6~1.8m/s;吸收面积宜按1.0~1.1m2/(m3·h)(煤气)计算;
2 钢板网填料塔:煤气的空塔流速,宜取0.9~1.1m/s;吸收面积宜按0.6~0.7m2/(m3·h)(煤气)计算;
3 筛板塔:煤气的空塔流速,宜取1.2~2.5m/s。每块湿板的阻力,宜取200Pa。
5.8.6 系统必须设置相应的粗苯蒸馏装置。
5.8.7 所有粗苯储槽的放散管皆应装设呼吸阀。
5.9 萘的最终脱除
5.9 萘的最终脱除
5.9.1 萘的最终脱除,宜采用溶剂常压吸收法。
5.9.2 洗萘用的溶剂宜采用直馏轻柴油或低萘焦油洗油。
5.9.3 最终洗萘塔,宜采用填料塔,可不设备用。
5.9.4 最终洗萘塔,宜分为两段。第一段可采用循环溶剂喷淋;第二段应采用新鲜溶剂喷淋,并设定时定量控制装置。
5.9.5 当进入最终洗萘塔的煤气中含萘量小于400mg/m3和温度低于30℃时,最终洗萘塔的设计参数宜符合下列要求:
1 煤气的空塔流速0.65~0.75m/s;
2 吸收面积按大于0.35m2/(m3·h)(煤气)计算。
5.10 湿法脱硫
5.10 湿法脱硫
5.10.1 以煤或重油为原料所产生的人工煤气的脱硫脱氰宜采用氧化再生法。
5.10.2 氧化再生法的脱硫液,应选用硫容量大、副反应小、再生性能好、无毒和原料来源比较方便的脱硫液。
5.10.3 当采用氧化再生法脱硫时,煤气进入脱硫装置前,应脱除油雾。
当采用氨型的氧化再生法脱硫时,脱硫装置应设在氨的脱除装置之前。
5.10.4 当采用蒽醌二磺酸钠法常压脱硫时,其吸收部分的设计应符合下列要求:
1 脱硫液的硫容量,应根据煤气中硫化氢的含量,并按照相似条件下的运行经验或试验资料确定;
注:当无资料时,可取0.2~0.25kg(硫)/m3(溶液)。
2 脱硫塔宜采用木格填料塔或塑料填料塔;
3 煤气在木格填料塔内空塔流速,宜取0.5m/s;
4 脱硫液在反应槽内停留时间,宜取8~10min;
5 脱硫塔台数的设置原则,应在操作塔检修时,出厂煤气中硫化氢含量仍能符合现行的国家标准《人工煤气》GB?13612的规定。
5.10.5 蒽醌二磺酸钠法常压脱硫再生设备,宜采用高塔式或喷射再生槽式。
1 当采用高塔式再生设备时,其设计应符合下列要求:
1)再生塔吹风强度宜取100~130m3/(m2·h)。空气耗量可按9~13m3/kg(硫)计算;
2)脱硫液在再生塔内停留时间,宜取25~30min;
3)再生塔液位调节器的升降控制器,宜设在硫泡沫槽处;
4)宜设置专用的空气压缩机。入塔的空气应除油。
2 当采用喷射再生设备时,其设计宜符合下列要求:
1)再生槽吹风强度,宜取80~145m3/(m2·h);空气耗量可按3.5~4m3/m3(溶液)计算;
2)脱硫液在再生槽内停留时间,宜取6~10min。
5.10.6 脱硫液加热器的设置位置,应符合下列要求:
1 当采用高塔式再生时,加热器宜位于富液泵与再生塔之间。
2 当采用喷射再生槽时,加热器宜位于贫液泵与脱硫塔之间。
5.10.7 蒽醌二磺酸钠法常压脱硫中硫磺回收部分的设计,应符合下列要求:
1 硫泡沫槽不应少于2台,并轮流使用。硫泡沫槽内应设有搅拌装置和蒸汽加热装置;
2 硫磺成品种类的选择,应根据煤气种类、硫磺产量并结合当地条件确定;
3 当生产熔融硫时,可采用硫膏在熔硫釜中脱水工艺。熔硫釜宜采用夹套罐式蒸汽加热。
硫渣和废液应分别回收集中处理,并应设废气净化装置。
5.10.8 事故槽的容量,应按系统中存液量大的单台设备容量设计。
5.10.9 煤气脱硫脱氰溶液系统中副产品回收设备的设置,应按煤气种类及脱硫副反应的特点进行设计。
5.11 常压氧化铁法脱硫
5.11 常压氧化铁法脱硫
5.11.1 脱硫剂可选择成型脱硫剂、也可选用藻铁矿、钢厂赤泥、铸铁屑或与铸铁屑有同样性能的铁屑。
藻铁矿脱硫剂中活性氧化铁含量宜大于15%。当采用铸铁屑或铁屑时,必须经氧化处理。
配制脱硫剂用的疏松剂宜采用木屑。
5.11.2 常压氧化铁法脱硫设备可采用箱式或塔式。
5.11.3 当采用箱式常压氧化铁法时,其设计应符合下列要求:
1 当煤气通过脱硫设备时,流速宜取7~11mm/s;当进口煤气中硫化氢含量小于1.0g/m3时,其流速可适当提高;
2 煤气与脱硫剂的接触时间,宜取130~200s;
3 每层脱硫剂的厚度,宜取0.3~0.8m;
4 氧化铁法脱硫剂需用量不应小于下式的计算值:

式中?V——每小时1000m3煤气所需脱硫剂的容积(m3);
Cs——煤气中硫化氢含量(体积分数);
f——新脱硫剂中活性氧化铁含量,可取15%~18%;
ρ——新脱硫剂密度(t/m3)。当采用藻铁矿或铸铁屑脱硫剂时,可取0.8~0.9。
5 常压氧化铁法脱硫设备的操作设计温度,可取25~35℃。每个脱硫设备应设置蒸汽注入装置。寒冷地区的脱硫设备,应有保温措施;
6 每组脱硫箱(或塔),宜设一个备用。连通每个脱硫箱间的煤气管道的布置,应能依次向后轮环输气。
5.11.4 脱硫箱宜采用高架式。
5.11.5 箱式和塔式脱硫装置,其脱硫剂的装卸,应采用机械设备。
5.11.6 常压氧化铁法脱硫设备,应设有煤气安全泄压装置。
5.11.7 常压氧化铁法脱硫工段应设有配制和堆放脱硫剂的场地;场地应采用混凝土地坪。
5.11.8 脱硫剂采用箱内再生时,掺空气后煤气中含氧量应由煤气中硫化氢含量确定。但出箱时煤气中含氧量应小于2%(体积分数)。
5.12 一氧化碳的变换
5.12 一氧化碳的变换
5.12.1 本节适用于城镇煤气制气厂中对两段炉煤气、水煤气、半水煤气、发生炉煤气及其混合气体等人工煤气降低煤气中一氧化碳含量的工艺设计。
5.12.2 煤气一氧化碳变换可根据气质情况选择全部变换或部分变换工艺。
5.12.3 煤气的一氧化碳变换工艺宜采用常压变换工艺流程,根据煤气工艺生产情况也可采用加压变换工艺流程。
5.12.4 用于进行一氧化碳变换的煤气应为经过净化处理后的煤气。
5.12.5 用于进行一氧化碳变换的煤气,应进行煤气含氧量监测,煤气中含氧量(体积分数)不应大于0.5%。当煤气中含氧量达0.5%~1.0%时应减量生产,当含氧量大于1%时应停车置换。
5.12.6 变换炉的设计应力求做到触媒能得到最有效的利用,结构简单、阻力小、热损失小、蒸汽耗量低。
5.12.7 一氧化碳变换反应宜采用中温变换,中温变换反应温度宜为380~520℃。
5.12.8 一氧化碳变换工艺的主要设计参数宜符合下列要求:
1 饱和塔入塔热水与出塔煤气的温度差宜为:3~5℃;
2 出饱和塔煤气的饱和度宜为:70%~90%;
3 饱和塔进、出水温度宜为:85~65℃;
4 热水塔进、出水温度宜为:65~80℃;
5 触媒层温度宜为:350~500℃;
6 进变换炉蒸汽与煤气比宜为:0.8~1.1(体积分数);
7 变换炉进口煤气温度宜为:320~400℃;
8 进变换炉煤气中氧气含量应≤0.5%;
9 饱和塔、热水塔循环水杂质含量应≤5×10-4;
10 一氧化碳变换系统总阻力宜≤0.02MPa;
11 一氧化碳变换率宜为:85%~95%。
5.12.9 常压变换系统中热水塔应叠放在饱和塔之上。
5.12.10 一氧化碳变换工艺所用热水应采用封闭循环系统。
5.12.11 一氧化碳变换系统宜设预腐蚀器除酸。
5.12.12 循环水量应保证完成最大限度地传递热量,应满足喷淋密度的要求,并应使设备结构和运行费用经济合理。
5.12.13 一氧化碳变换炉、热水循环泵及冷却水泵宜设置为一开一备。
5.12.14 变换炉内触媒宜分为三段装填。
5.12.15 一氧化碳变换工艺过程中所产生的热量应进行回收。
5.12.16 一氧化碳工艺生产过程应设置必要的自动监控系统。
5.12.17 一氧化碳变换炉应设置超温报警及连锁控制。
5.13 煤气脱水
5.13 煤气脱水
5.13.1 煤气脱水宜采用冷冻法进行脱水。
5.13.2 煤气脱水工段宜设在压送工段后。
5.13.3 煤气脱水宜采用间接换热工艺。
5.13.4 工艺过程中的冷量应进行充分回收。
5.13.5 煤气脱水后的露点温度应低于最冷月地面下1m处平均地温3~5℃。
5.13.6 换热器的结构设计应易于清理内部杂质。
5.13.7 制冷机组应选用变频机组。
5.13.8 煤气冷凝水应集中处理。
5.14 放散和液封
5.14 放散和液封
5.14.1 严禁在厂房内放散煤气和有害气体。
5.14.2 设备和管道上的放散管管口高度应符合下列要求:
1 当放散管直径大于150mm时,放散管管口应高出厂房顶面、煤气管道、设备和走台4m以上。
2 当放散管直径小于或等于150mm时,放散管管口应高出厂房顶面、煤气管道、设备和走台2.5m以上。
5.14.3 煤气系统中液封槽液封高度应符合下列要求:
1 煤气鼓风机出口处,应为鼓风机全压(以Pa表示)乘0.1加500mm;
2 硫铵工段满流槽内的液封高度和水封槽内液封高度应满足煤气鼓风机全压(以Pa表示)乘0.1要求;
3 其余处均应为最大操作压力(以Pa表示)乘0.1加500mm。
5.14.4 煤气系统液封槽的补水口严禁与供水管道直接相接。
燃气输配系统
6.1 一般规定
6.1 一般规定
6.1.1 本章适用于压力不大于4.0MPa(表压)的城镇燃气(不包括液态燃气)室外输配工程的设计。
6.1.2 城镇燃气输配系统一般由门站、燃气管网、储气设施、调压设施、管理设施、监控系统等组成。城镇燃气输配系统设计,应符合城镇燃气总体规划。在可行性研究的基础上,做到远、近期结合,以近期为主,并经技术经济比较后确定合理的方案。
6.1.3 城镇燃气输配系统压力级制的选择,以及门站、储配站、调压站、燃气干管的布置,应根据燃气供应来源、用户的用气量及其分布、地形地貌、管材设备供应条件、施工和运行等因素,经过多方案比较,择优选取技术经济合理、安全可靠的方案。
城镇燃气干管的布置,应根据用户用量及其分布,全面规划,并宜按逐步形成环状管网供气进行设计。
6.1.3A 城镇燃气应具有稳定可靠的气源和满足调峰供应、应急供应等的气源能力储备。当采用天然气气源时,气源能力储备还应符合国家现行相关政策的规定。
6.1.3B 城镇燃气气源能力储备设施建设应因地制宜、合理布局、统筹规划,宜采用集中设置区域性储备设施的方式,天然气还宜符合下列规定:
1 具备地质条件时,宜采用地下储气库方式;
2 具备岸线和港口条件时,宜采用液化天然气接收站等方式;
3 在不具备建设地下储气库和液化天然气接收站条件的内陆地区,宜采用集约化布局的液化天然气储备基地方式。
6.1.4 城镇燃气采用天然气作气源时,逐月用气不均匀性平衡和应急供气应由气源方统筹调度解决;逐日用气不均匀性平衡应按国家现行相关政策要求由气源方与需气方根据用户、气源调节和储气方式等情况共同协商解决;逐小时用气不均匀性平衡,应由需气方设置调峰储气设施统筹调度解决。
需气方对城镇燃气用户应进行用气量预测,在各类用户全年综合用气负荷资料的基础上,制定逐月、逐日用气量计划,并与气源方协商签订供气合同,供气合同应明确供需双方的气量计划。
.1.5 用于调峰供应的气源能力储备的规模,应根据计算月平均日用气总量、用户结构、供气和用气不均匀情况、运行稳定性和供气调度规律等因素,在充分利用气源可调量的基础上综合确定。
储备方式的选择应经方案比较,择优选取技术经济合理、安全可靠的方案;对来气压力较高的天然气输配系统宜采用管道储气的方式。
6.1.5A 气源能力储备设施与城镇燃气管网之间应设有能力和可靠性满足要求的输送系统。当气源能力储备设施设置在异地时,应采取措施保证储备气源能够可靠、按需输送至城镇燃气管网,并应实现连续、稳定供气。
6.1.5B 当采用人工制气气源时,人工制气厂站的设计产量宜按设计规模的计算月最大日用气量确定,设计产量中的基本气量和调峰气量应符合现行国家标准《人工制气厂站设计规范》GB 51208的有关规定。
.1.5C 当城镇燃气设置可替代气源作为气源能力储备时,其供气能力及原料储备应与承担的供气和储备规模相适应。可替代气源与主气源的气质应具备满足要求的互换性。
6.1.5D 城镇燃气气源能力储备采用地下储气库方式时,地下储气库及其地面设施的设计应符合国家现行标准《地下储气库设计规范》SY/T 6848、《输气管道工程设计规范》GB 50251及国家现行其他相关标准的规定。
6.1.6 城镇燃气管道的设计压力(P)分为7级,并应符合表6.1.6的要求。

6.1.7 燃气输配系统各种压力级别的燃气管道之间应通过调压装置相连。当有可能超过最大允许工作压力时,应设置防止管道超压的安全保护设备。
6.2 燃气管道计算流量和水力计算
6.2 燃气管道计算流量和水力计算
6.2.1 城镇燃气管道的计算流量,应按计算月的小时最大用气量计算。该小时最大用气量应根据所有用户燃气用气量的变化叠加后确定。
独立居民小区和庭院燃气支管的计算流量宜按本规范第10.2.9条规定执行。
6.2.2 居民生活和商业用户燃气小时计算流量(0℃和101.325kPa),宜按下式计算:

式中 Qh——燃气小时计算流量(m3/h);
Qa——年燃气用量(m3/a);
n——年燃气最大负荷利用小时数(h);
Km——月高峰系数,计算月的日平均用气量和年的日平均用气量之比;
Kd——日高峰系数,计算月中的日最大用气量和该月日平均用气量之比;
Kh——小时高峰系数,计算月中最大用气量日的小时最大用气量和该日小时平均用气量之比。
6.2.3 居民生活和商业用户用气的高峰系数,应根据该城镇各类用户燃气用量(或燃料用量)的变化情况,编制成月、日、小时用气负荷资料,经分析研究确定。
工业企业和燃气汽车用户燃气小时计算流量,宜按每个独立用户生产的特点和燃气用量(或燃料用量)的变化情况,编制成月、日、小时用气负荷资料确定。
6.2.4 采暖通风和空调所需燃气小时计算流量,可按国家现行的标准《城市热力网设计规范》CJJ 34有关热负荷规定并考虑燃气采暖通风和空调的热效率折算确定。
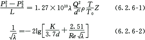
6.2.5 低压燃气管道单位长度的摩擦阻力损失应按下式计算:

式中 △P——燃气管道摩擦阻力损失(Pa);
λ——燃气管道摩擦阻力系数,宜按式(6.2.6-2)和附录C第C.0.1条第1、2款计算;
l——燃气管道的计算长度(m);
Q——燃气管道的计算流量(m3/h);
d——管道内径(mm);
ρ——燃气的密度(kg/m3);
T——设计中所采用的燃气温度(K);
T0——273.15(K)。
6.2.6 高压、次高压和中压燃气管道的单位长度摩擦阻力损失,应按式(6.2.6-1)计算:

式中?P1——燃气管道起点的压力(绝对压力,kPa);
P2——燃气管道终点的压力(绝对压力,kPa);
Z———压缩因子,当燃气压力小于1.2MPa(表压)时,Z取1;
L——燃气管道的计算长度(km);
λ——燃气管道摩擦阻力系数,宜按式(6.2.6-2)计算;
K——管壁内表面的当量绝对粗糙度(mm);
Re——雷诺数(无量纲)。
注:当燃气管道的摩擦阻力系数采用手算时,宜采用附录C公式。
6.2.7 室外燃气管道的局部阻力损失可按燃气管道摩擦阻力损失的5%~10%进行计算。
6.2.8 城镇燃气低压管道从调压站到最远燃具管道允许阻力损失,可按下式计算:

式中 △Pd——从调压站到最远燃具的管道允许阻力损失(Pa);
Pn——低压燃具的额定压力(Pa)。
注:△Pd含室内燃气管道允许阻力损失,室内燃气管道允许阻力损失应按本规范第10.2.11条确定。
6.3 压力不大于1.6MPa的室外燃气管道
6.3 压力不大于1.6MPa的室外燃气管道
6.3.1 中压和低压燃气管道宜采用聚乙烯管、机械接口球墨铸铁管、钢管或钢骨架聚乙烯塑料复合管,并应符合下列要求:
1 聚乙烯燃气管道应符合现行的国家标准《燃气用埋地聚乙烯管材》GB 15558.1和《燃气用埋地聚乙烯管件》GB 15558.2的规定;
2 机械接口球墨铸铁管道应符合现行的国家标准《水及燃气管道用球墨铸铁管、管件和附件》GB/T 13295的规定;
3 钢管采用焊接钢管、镀锌钢管或无缝钢管时,应分别符合现行的国家标准《低压流体输送用焊接钢管》GB/T 3091、《输送流体用无缝钢管》GB/T 8163的规定;
4 钢骨架聚乙烯塑料复合管道应符合国家现行标准《燃气用钢骨架聚乙烯塑料复合管》CJ/T 125和《燃气用钢骨架聚乙烯塑料复合管件》CJ/T 126的规定。
6.3.2 次高压燃气管道应采用钢管。其管材和附件应符合本规范第6.4.4条的要求。地下次高压B燃气管道也可采用钢号Q235B焊接钢管,并应符合现行国家标准《低压流体输送用焊接钢管》GB/T3091的规定。
6.3.2 次高压燃气管道应采用钢管。其管材和附件应符合本规范第6.4.4条的要求。地下次高压B燃气管道也可采用钢号Q235B焊接钢管,并应符合现行国家标准《低压流体输送用焊接钢管》GB/T3091的规定。

次高压钢质燃气管道直管段计算壁厚应按式(6.4.6)计算确定。最小公称壁厚不应小于表6.3.2的规定。
6.3.3 地下燃气管道不得从建筑物和大型构筑物(不包括架空的建筑物和大型构筑物)的下面穿越。
地下燃气管道与建筑物、构筑物或相邻管道之间的水平和垂直净距,不应小于表6.3.3-1和表6.3.3-2的规定。


注:1 当次高压燃气管道压力与表中数不相同时,可采用直线方程内插法确定水平净距。
2 如受地形限制不能满足表6.3.3-1和表6.3.3-2时,经与有关部门协商,采取有效的安全防护措施后,表6.3.3-1和表6.3.3-2规定的净距,均可适当缩小,但低压管道不应影响建(构)筑物和相邻管道基础的稳固性,中压管道距建筑物基础不应小于0.5m且距建筑物外墙面不应小于1m,次高压燃气管道距建筑物外墙面不应小于3.0m。其中当对次高压A燃气管道采取有效的安全防护措施或当管道壁厚不小于9.5mm时,管道距建筑物外墙面不应小于6.5m;当管壁厚度不小子11.9mm时,管道距建筑物外墙面不应小于3.0m。
3 表6.3.3-1和表6.3.3-2规定除地下燃气管道与热力管的净距不适于聚乙烯燃气管道和钢骨架聚乙烯塑料复合管外,其他规定均适用于聚乙烯燃气管道和钢骨架聚乙烯塑料复合管道。聚乙烯燃气管道与热力管道的净距应按国家现行标准《聚乙烯燃气管道工程技术规程》CJJ 63执行。
4 地下燃气管道与电杆(塔)基础之间的水平净距,还应满足本规范表6.7.5地下燃气管道与交流电力线接地体的净距规定。
6.3.4 地下燃气管道埋设的最小覆土厚度(路面至管顶)应符合下列要求:
1 埋设在机动车道下时,不得小于0.9m;
2 埋设在非机动车车道(含人行道)下时,不得小于0.6m;
3 埋设在机动车不可能到达的地方时,不得小于0.3m;
4 埋设在水田下时,不得小于0.8m。
注:当不能满足上述规定时,应采取有效的安全防护措施。
6.3.5 输送湿燃气的燃气管道,应埋设在土壤冰冻线以下。
燃气管道坡向凝水缸的坡度不宜小于0.003。
6.3.6 地下燃气管道的基础宜为原土层。凡可能引起管道不均匀沉降的地段,其基础应进行处理。
6.3.7 地下燃气管道不得在堆积易燃、易爆材料和具有腐蚀性液体的场地下面穿越,并不宜与其他管道或电缆同沟敷设。当需要同沟敷设时,必须采取有效的安全防护措施。
6.3.8 地下燃气管道从排水管(沟)、热力管沟、隧道及其他各种用途沟槽内穿过时,应将燃气管道敷设于套管内。套管伸出构筑物外壁不应小于表6.3.3-1中燃气管道与该构筑物的水平净距。套管两端应采用柔性的防腐、防水材料密封。
6.3.9 燃气管道穿越铁路、高速公路、电车轨道或城镇主要干道时应符合下列要求:
1 穿越铁路或高速公路的燃气管道,应加套管。
注:当燃气管道采用定向钻穿越并取得铁路或高速公路部门同意时,可不加套管。
2 穿越铁路的燃气管道的套管,应符合下列要求:
1)套管埋设的深度:铁路轨底至套管顶不应小于1.20m,并应符合铁路管理部门的要求;
2)套管宜采用钢管或钢筋混凝土管;
3)套管内径应比燃气管道外径大100mm以上;
4)套管两端与燃气管的间隙应采用柔性的防腐、防水材料密封,其一端应装设检漏管;
5)套管端部距路堤坡脚外的距离不应小于2.0m。
3 燃气管道穿越电车轨道或城镇主要干道时宜敷设在套管或管沟内;穿越高速公路的燃气管道的套管、穿越电车轨道或城镇主要干道的燃气管道的套管或管沟,应符合下列要求:
1)套管内径应比燃气管道外径大100mm以上,套管或管沟两端应密封,在重要地段的套管或管沟端部宜安装检漏管;
2)套管或管沟端部距电车道边轨不应小于2.0m;距道路边缘不应小于1.0m。
4 燃气管道宜垂直穿越铁路、高速公路、电车轨道或城镇主要干道。
6.3.10 燃气管道通过河流时,可采用穿越河底或采用管桥跨越的形式。当条件许可时,可利用道路桥梁跨越河流,并应符合下列要求:
1 随桥梁跨越河流的燃气管道,其管道的输送压力不应大于0.4MPa。
2 当燃气管道随桥梁敷设或采用管桥跨越河流时,必须采取安全防护措施。
3 燃气管道随桥梁敷设,宜采取下列安全防护措施:
1)敷设于桥梁上的燃气管道应采用加厚的无缝钢管或焊接钢管,尽量减少焊缝,对焊缝进行100%无损探伤;
2)跨越通航河流的燃气管道管底标高,应符合通航净空的要求,管架外侧应设置护桩;
3)在确定管道位置时,与随桥敷设的其他管道的间距应符合现行国家标准《工业企业煤气安全规程》GB 6222支架敷管的有关规定;
4)管道应设置必要的补偿和减振措施;
5)对管道应做较高等级的防腐保护;
对于采用阴极保护的埋地钢管与随桥管道之间应设置绝缘装置;
6)跨越河流的燃气管道的支座(架)应采用不燃烧材料制作。
6.3.11 燃气管道穿越河底时,应符合下列要求:
1 燃气管道宜采用钢管;
2 燃气管道至河床的覆土厚度,应根据水流冲刷条件及规划河床确定。对不通航河流不应小于0.5m;对通航的河流不应小于1.0m,还应考虑疏浚和投锚深度;
3 稳管措施应根据计算确定;
4 在埋设燃气管道位置的河流两岸上、下游应设立标志。
6.3.12 穿越或跨越重要河流的燃气管道,在河流两岸均应设置阀门。
6.3.13 在次高压、中压燃气干管上,应设置分段阀门,并应在阀门两侧设置放散管。在燃气支管的起点处,应设置阀门。
6.3.14 地下燃气管道上的检测管、凝水缸的排水管、水封阀和阀门,均应设置护罩或护井。
6.3.15 室外架空的燃气管道,可沿建筑物外墙或支柱敷设,并应符合下列要求:
1 中压和低压燃气管道,可沿建筑耐火等级不低于二级的住宅或公共建筑的外墙敷设;
次高压B、中压和低压燃气管道,可沿建筑耐火等级不低于二级的丁、戊类生产厂房的外墙敷设。
2 沿建筑物外墙的燃气管道距住宅或公共建筑物中不应敷设燃气管道的房间门、窗洞口的净距:中压管道不应小于0.5m,低压管道不应小于0.3m。燃气管道距生产厂房建筑物门、窗洞口的净距不限。
3 架空燃气管道与铁路、道路、其他管线交叉时的垂直净距不应小于表6.3.15的规定。

注:1 厂区内部的燃气管道,在保证安全的情况下,管底至道路路面的垂直净距可取4.5m;管底至铁路轨顶的垂直净距,可取5.5m。在车辆和人行道以外的地区,可在从地面到管底高度不小于0.35m的低支柱上敷设燃气管道。
2 电气机车铁路除外。
3 架空电力线与燃气管道的交叉垂直净距尚应考虑导线的最大垂度。
4 输送湿燃气的管道应采取排水措施,在寒冷地区还应采取保温措施。燃气管道坡向凝水缸的坡度不宜小于0.003。
5 工业企业内燃气管道沿支柱敷设时,尚应符合现行的国家标准《工业企业煤气安全规程》GB 6222的规定。
6.4 压力大于1.6MPa的室外燃气管道
6.4 压力大于1.6MPa的室外燃气管道
6.4.1 本节适用于压力大于1.6MPa(表压)但不大于4.0MPa(表压)的城镇燃气(不包括液态燃气)室外管道工程的设计。
6.4.2 城镇燃气管道通过的地区,应按沿线建筑物的密集程度划分为四个管道地区等级,并依据管道地区等级作出相应的管道设计。
6.4.3 城镇燃气管道地区等级的划分应符合下列规定:
1 沿管道中心线两侧各200m范围内,任意划分为1.6km长并能包括最多供人居住的独立建筑物数量的地段,作为地区分级单元。
注:在多单元住宅建筑物内,每个独立住宅单元按一个供人居住的独立建筑物计算。
2 管道地区等级应根据地区分级单元内建筑物的密集程度划分,并应符合下列规定:
1)一级地区:有12个或12个以下供人居住的独立建筑物。
2)二级地区:有12个以上,80个以下供人居住的独立建筑物。
3)三级地区:介于二级和四级之间的中间地区。有80个或80个以上供人居住的独立建筑物但不够四级地区条件的地区、工业区或距人员聚集的室外场所90m内铺设管线的区域。
4)四级地区:4层或4层以上建筑物(不计地下室层数)普遍且占多数、交通频繁、地下设施多的城市中心城区(或镇的中心区域等)。
3 二、三、四级地区的长度应按下列规定调整:
1)四级地区垂直于管道的边界线距最近地上4层或4层以上建筑物不应小于200m。
2)二、三级地区垂直于管道的边界线距该级地区最近建筑物不应小于200m。
4 确定城镇燃气管道地区等级,宜按城市规划为该地区的今后发展留有余地。
6.4.4 高压燃气管道采用的钢管和管道附件材料应符合下列要求:
1 燃气管道所用钢管、管道附件材料的选择,应根据管道的使用条件(设计压力、温度、介质特性、使用地区等)、材料的焊接性能等因素,经技术经济比较后确定。
2 燃气管道选用的钢管,应符合现行国家标准《石油天然气工业 输送钢管交货技术条件 第1部分:A级钢管》GB/T 9711.1(L175级钢管除外)、《石油天然气工业 输送钢管交货技术条件 第2部分:B级钢管》GB/T 9711.2和《输送流体用无缝钢管》GB/T 8163的规定,或符合不低于上述三项标准相应技术要求的其他钢管标准。三级和四级地区高压燃气管道材料钢级不应低于L245。
3 燃气管道所采用的钢管和管道附件应根据选用的材料、管径、壁厚、介质特性、使用温度及施工环境温度等因素,对材料提出冲击试验和(或)落锤撕裂试验要求。
4 当管道附件与管道采用焊接连接时,两者材质应相同或相近。
5 管道附件中所用的锻件,应符合国家现行标准《压力容器用碳素钢和低合金钢锻件》JB 4726、《低温压力容器用低合金钢锻件》JB 4727的有关规定。
6 管道附件不得采用螺旋焊缝钢管制作,严禁采用铸铁制作。
6.4.5 燃气管道强度设计应根据管段所处地区等级和运行条件,按可能同时出现的永久荷载和可变荷载的组合进行设计。当管道位于地震设防烈度7度及7度以上地区时,应考虑管道所承受的地震荷载。
6.4.6 钢质燃气管道直管段计算壁厚应按式(6.4.6)计算,计算所得到的厚度应按钢管标准规格向上选取钢管的公称壁厚。最小公称壁厚不应小于表6.3.2的规定。

式中?δ——钢管计算壁厚(mm);
P——设计压力(MPa)
D——钢管外径(mm);
σs——钢管的最低屈服强度(MPa);
F——强度设计系数,按表6.4.8和表6.4.9选取;
ф——焊缝系数。当采用符合第6.4.4条第2款规定的钢管标准时取1.0。
6.4.7 对于采用经冷加工后又经加热处理的钢管,当加热温度高于320℃(焊接除外)或采用经过冷加工或热处理的钢管煨弯成弯管时,则在计算该钢管或弯管壁厚时,其屈服强度应取该管材最低屈服强度(σs)的75%。
6.4.8 城镇燃气管道的强度设计系数(F)应符合表6.4.8的规定。

6.4.9 穿越铁路、公路和人员聚集场所的管道以及门站、储配站、调压站内管道的强度设计系数,应符合表6.4.9的规定。
表6.4.9 穿越铁路、公路和人员聚集场所的管道以及门站、储配站、调压站内管道的强度设计系数(F)

6.4.10 下列计算或要求应符合现行国家标准《输气管道工程设计规范》GB 50251的相应规定:
1 受约束的埋地直管段轴向应力计算和轴向应力与环向应力组合的当量应力校核;
2 受内压和温差共同作用下弯头的组合应力计算;
3 管道附件与没有轴向约束的直管段连接时的热膨胀强度校核;
4 弯头和弯管的管壁厚度计算;
5 燃气管道径向稳定校核。
6.4.11 一级或二级地区地下燃气管道与建筑物之间的水平净距不应小于表6.4.11的规定。

注:1 当燃气管道强度设计系数不大于0.4时,一级或二级地区地下燃气管道与建筑物之间的水平净距可按表6.4.12确定。
2 水平净距是指管道外壁到建筑物出地面处外墙面的距离。建筑物是指平常有人的建筑物。
3 当燃气管道压力与表中数不相同时,可采用直线方程内插法确定水平净距。
6.4.12 三级地区地下燃气管道与建筑物之间的水平净距不应小于表6.4.12的规定。

注:1 当对燃气管道采取有效的保护措施时,δ<9.5mm的燃气管道也可采用表中B行的水平净距。
2 水平净距是指管道外壁到建筑物出地面处外墙面的距离。建筑物是指平常有人的建筑物。
3 当燃气管道压力与表中数不相同时,可采用直线方程内插法确定水平净距。
6.4.13 高压地下燃气管道与构筑物或相邻管道之间的水平和垂直净距,不应小于表6.3.3-1和6.3.3-2次高压A的规定。但高压A和高压B地下燃气管道与铁路路堤坡脚的水平净距分别不应小于8m和6m;与有轨电车钢轨的水平净距分别不应小于4m和3m。
注:当达不到本条净距要求时,采取有效的防护措施后,净距可适当缩小。
6.4.14 四级地区地下燃气管道输配压力不宜大于1.6MPa(表压)。其设计应遵守本规范6.3节的有关规定。
四级地区地下燃气管道输配压力不应大于4.0MPa(表压)。
6.4.15 高压燃气管道的布置应符合下列要求:
1 高压燃气管道不宜进入四级地区;当受条件限制需要进入或通过四级地区时,应遵守下列规定:
1)高压A地下燃气管道与建筑物外墙面之间的水平净距不应小于30m(当管壁厚度δ≥9.5mm或对燃气管道采取有效的保护措施时,不应小于15m);
2)高压B地下燃气管道与建筑物外墙面之间的水平净距不应小于16m(当管壁厚度δ≥9.5mm或对燃气管道采取有效的保护措施时,不应小于10m);
3)管道分段阀门应采用遥控或自动控制。
2 高压燃气管道不应通过军事设施、易燃易爆仓库、国家重点文物保护单位的安全保护区、飞机场、火车站、海(河)港码头。当受条件限制管道必须在本款所列区域内通过时,必须采取安全防护措施。
3 高压燃气管道宜采用埋地方式敷设。当个别地段需要采用架空敷设时,必须采取安全防护措施。
6.4.16 当管道安全评估中危险性分析证明,可能发生事故的次数和结果合理时,可采用与表6.4.11、表6.4.12和6.4.15条不同的净距和采用与表6.4.8、表6.4.9不同的强度设计系数(F)。
6.4.17 焊接支管连接口的补强应符合下列规定:
1 补强的结构形式可采用增加主管道或支管道壁厚或同时增加主、支管道壁厚、或三通、或拔制扳边式接口的整体补强形式,也可采用补强圈补强的局部补强形式。
2 当支管道公称直径大于或等于1/2主管道公称直径时,应采用三通。
3 支管道的公称直径小于或等于50mm时,可不作补强计算。
4 开孔削弱部分按等面积补强,其结构和数值计算应符合现行国家标准《输气管道工程设计规范》GB 50251的相应规定。其焊接结构还应符合下述规定:
1)主管道和支管道的连接焊缝应保证全焊透,其角焊缝腰高应大于或等于1/3的支管道壁厚,且不小于6mm;
2)补强圈的形状应与主管道相符,并与主管道紧密贴合。焊接和热处理时补强圈上应开一排气孔,管道使用期间应将排气孔堵死,补强圈宜按国家现行标准《补强圈》JB/T 4736选用。
6.4.18 燃气管道附件的设计和选用应符合下列规定:
1 管件的设计和选用应符合国家现行标准《钢制对焊无缝管件》GB 12459、《钢板制对焊管件》GB/T 13401、《钢制法兰管件》GB/T 17185、 《钢制对焊管件》SY/T 0510和《钢制弯管》SY/T 5257等有关标准的规定。
2 管法兰的选用应符合国家现行标准《钢制管法兰》GB/T 9112~GB/T 9124、《大直径碳钢法兰》GB/T 13402或《钢制法兰、垫片、紧固件》HG 20592~HG 20635的规定。法兰、垫片和紧固件应考虑介质特性配套选用。
3 绝缘法兰、绝缘接头的设计应符合国家现行标准《绝缘法兰设计技术规定》SY/T 0516的规定。
4 非标钢制异径接头、凸形封头和平封头的设计,可参照现行国家标准《钢制压力容器》GB 150的有关规定。
5 除对焊管件之外的焊接预制单体(如集气管、清管器接收筒等),若其所用材料、焊缝及检验不同于本规范所列要求时,可参照现行国家标准《钢制压力容器》GB 150进行设计、制造和检验。
6 管道与管件的管端焊接接头形式宜符合现行国家标准《输气管道工程设计规范》GB 50251的有关规定。
7 用于改变管道走向的弯头、弯管应符合现行国家标准《输气管道工程设计规范》GB 50251的有关规定,且弯曲后的弯管其外侧减薄处厚度应不小于按式(6.4.6)计算得到的计算厚度。
6.4.19 燃气管道阀门的设置应符合下列要求:
1 在高压燃气干管上,应设置分段阀门;分段阀门的最大间距:以四级地区为主的管段不应大于8km;以三级地区为主的管段不应大于13km;以二级地区为主的管段不应大于24km;以一级地区为主的管段不应大于32km。
2 在高压燃气支管的起点处,应设置阀门。
3 燃气管道阀门的选用应符合国家现行有关标准,并应选择适用于燃气介质的阀门。
4 在防火区内关键部位使用的阀门,应具有耐火性能。需要通过清管器或电子检管器的阀门,应选用全通径阀门。
6.4.20 高压燃气管道及管件设计应考虑日后清管或电子检管的需要,并宜预留安装电子检管器收发装置的位置。
6.4.21 埋地管线的锚固件应符合下列要求:
1 埋地管线上弯管或迂回管处产生的纵向力,必须由弯管处的锚固件、土壤摩阻或管子中的纵向应力加以抵消。
2 若弯管处不用锚固件,则靠近推力起源点处的管子接头处应设计成能承受纵向拉力。若接头未采取此种措施,则应加装适用的拉杆或拉条。
6.4.22 高压燃气管道的地基、埋设的最小覆土厚度、穿越铁路和电车轨道、穿越高速公路和城镇主要干道、通过河流的形式和要求等应符合本规范6.3节的有关规定。
6.4.23 市区外地下高压燃气管道沿线应设置里程桩、转角桩、交叉和警示牌等永久性标志。
市区内地下高压燃气管道应设立管位警示标志。在距管顶不小于500mm处应埋设警示带。
6.5 门站和储配站
6.5 门站和储配站
6.5.1 本节适用于城镇燃气输配系统中,接受气源来气并进行净化、加臭、储存、控制供气压力、气量分配、计量和气质检测的门站和储配站的工程设计。
6.5.2 门站和储配站站址选择应符合下列要求:
1 站址应符合城镇总体规划的要求;
2 站址应具有适宜的地形、工程地质、供电、给水排水和通信等条件;
3 门站和储配站应少占农田、节约用地并注意与城镇景观等协调;
4 门站站址应结合长输管线位置确定;
5 根据输配系统具体情况,储配站与门站可合建;
6 储配站内的储气罐与站外的建、构筑物的防火间距应符合现行国家标准《建筑设计防火规范》GB 50016的有关规定。站内露天燃气工艺装置与站外建、构筑物的防火间距应符合甲类生产厂房与厂外建、构筑物的防火间距的要求。
6.5.3 储配站内的储气罐与站内的建、构筑物的防火间距应符合表6.5.3的规定。

注:1 低压湿式储气罐与站内的建、构筑物的防火间距,应按本表确定;
2 低压干式储气罐与站内的建、构筑物的防火间距,当可燃气体的密度比空气大时,应按本表增加25%;比空气小或等于时,可按本表确定;
3 固定容积储气罐与站内的建、构筑物的防火间距应按本表的规定执行。总容积按其几何容积(m3)和设计压力(绝对压力,102kPa)的乘积计算;
4 低压湿式或干式储气罐的水封室、油泵房和电梯间等附属设施与该储罐的间距按工艺要求确定;
5 露天燃气工艺装置与储气罐的间距按工艺要求确定。
6.5.4 储气罐或罐区之间的防火间距,应符合下列要求:
1 湿式储气罐之间、干式储气罐之间、湿式储气罐与干式储气罐之间的防火间距,不应小于相邻较大罐的半径;
2 固定容积储气罐之间的防火间距,不应小于相邻较大罐直径的2/3;
3 固定容积储气罐与低压湿式或干式储气罐之间的防火间距,不应小于相邻较大罐的半径;
4 数个固定容积储气罐的总容积大于200000m3时,应分组布置。组与组之间的防火间距:卧式储罐,不应小于相邻较大罐长度的一半;球形储罐,不应小于相邻较大罐的直径,且不应小于20.0m;
5 储气罐与液化石油气罐之间防火间距应符合现行国家标准《建筑设计防火规范》GB 50016的有关规定。
6.5.5 门站和储配站总平面布置应符合下列要求:
1 总平面应分区布置,即分为生产区(包括储罐区、调压计量区、加压区等)和辅助区。
2 站内的各建构筑物之间以及与站外建构筑物之间的防火间距应符合现行国家标准《建筑设计防火规范》GB 50016的有关规定。站内建筑物的耐火等级不应低于现行国家标准《建筑设计防火规范》GB 50016“二级”的规定。
3 站内露天工艺装置区边缘距明火或散发火花地点不应小于20m,距办公、生活建筑不应小于18m,距围墙不应小于10m。与站内生产建筑的间距按工艺要求确定。
4 储配站生产区应设置环形消防车通道,消防车通道宽度不应小于3.5m。
6.5.6 当燃气无臭味或臭味不足时,门站或储配站内应设置加臭装置。加臭量应符合本规范第3.2.3条的有关规定。
6.5.7 门站和储配站的工艺设计应符合下列要求:
1 功能应满足输配系统输气调度和调峰的要求;
2 站内应根据输配系统调度要求分组设置计量和调压装置,装置前应设过滤器;门站进站总管上宜设置分离器;
3 调压装置应根据燃气流量、压力降等工艺条件确定设置加热装置;
4 站内计量调压装置和加压设备应根据工作环境要求露天或在厂房内布置,在寒冷或风沙地区宜采用全封闭式厂房;
5 进出站管线应设置切断阀门和绝缘法兰;
6 储配站内进罐管线上宜设置控制进罐压力和流量的调节装置;
7 当长输管道采用清管工艺时,其清管器的接收装置宜设置在门站内;
8 站内管道上应根据系统要求设置安全保护及放散装置;
9 站内设备、仪表、管道等安装的水平间距和标高均应便于观察、操作和维修。
6.5.8 站内宜设置自动化控制系统,并宜作为输配系统的数据采集监控系统的远端站。
6.5.9 站内燃气计量和气质的检验应符合下列要求:
1 站内设置的计量仪表应符合表6.5.9的规定;
2 宜设置测定燃气组分、发热量、密度、湿度和各项有害杂质含量的仪表。

注:表中“+”表示应设置。
6.5.10 燃气储存设施的设计应符合下列要求:
1 储配站所建储罐容积应根据输配系统所需储气总容量、管网系统的调度平衡和气体混配要求确定;
2 储配站的储气方式及储罐形式应根据燃气进站压力、供气规模、输配管网压力等因素,经技术经济比较后确定;
3 确定储罐单体或单组容积时,应考虑储罐检修期间供气系统的调度平衡;
4 储罐区宜设有排水设施。
6.5.11 低压储气罐的工艺设计,应符合下列要求:
1 低压储气罐宜分别设置燃气进、出气管,各管应设置关闭性能良好的切断装置,并宜设置水封阀,水封阀的有效高度应取设计工作压力(以Pa表示)乘0.1加500mm。燃气进、出气管的设计应能适应气罐地基沉降引起的变形;
2 低压储气罐应设储气量指示器。储气量指示器应具有显示储量及可调节的高低限位声、光报警装置;
3 储气罐高度超越当地有关的规定时应设高度障碍标志;
4 湿式储气罐的水封高度应经过计算后确定;
5 寒冷地区湿式储气罐的水封应设有防冻措施;
6 干式储气罐密封系统,必须能够可靠地连续运行;
7 干式储气罐应设置紧急放散装置;
8 干式储气罐应配有检修通道。稀油密封干式储气罐外部应设置检修电梯。
6.5.12 高压储气罐工艺设计,应符合下列要求:
1 高压储气罐宜分别设置燃气进、出气管,不需要起混气作用的高压储气罐,其进、出气管也可合为一条;燃气进、出气管的设计宜进行柔性计算;
2 高压储气罐应分别设置安全阀、放散管和排污管;
3 高压储气罐应设置压力检测装置;
4 高压储气罐宜减少接管开孔数量;
5 高压储气罐宜设置检修排空装置;
6 当高压储气罐罐区设置检修用集中放散装置时,集中放散装置的放散管与站外建、构筑物的防火间距不应小于表6.5.12-1的规定;集中放散装置的放散管与站内建、构筑物的防火间距不应小于表6.5.12-2的规定;放散管管口高度应高出距其25m内的建构筑物2m以上,且不得小于10m;
7 集中放散装置宜设置在站内全年最小频率风向的上风侧。

6.5.13 站内工艺管道应采用钢管。燃气管道设计压力大于0.4MPa时,其管材性能应分别符合现行国家标准《石油天然气工业输送钢管交货技术条件》GB/T 9711、《输送流体用无缝钢管》GB/T 8163的规定;设计压力不大于0.4MPa时,其管材性能应符合现行国家标准《低压流体输送用焊接钢管》GB/T 3091的规定。
阀门等管道附件的压力级别不应小于管道设计压力。
6.5.14 燃气加压设备的选型应符合下列要求:
1 储配站燃气加压设备应结合输配系统总体设计采用的工艺流程、设计负荷、排气压力及调度要求确定;
2 加压设备应根据吸排气压力、排气量选择机型。所选用的设备应便于操作维护、安全可靠,并符合节能、高效、低振和低噪声的要求;
3 加压设备的排气能力应按厂方提供的实测值为依据。站内加压设备的形式应一致,加压设备的规格应满足运行调度要求,并不宜多于两种。
储配站内装机总台数不宜过多。每1~5台压缩机宜另设1台备用。
6.5.15 压缩机室的工艺设计应符合下列要求:
1 压缩机宜按独立机组配置进、出气管及阀门、旁通、冷却器、安全放散、供油和供水等各项辅助设施;
2 压缩机的进、出气管道宜采用地下直埋或管沟敷设,并宜采取减振降噪措施;
3 管道设计应设有能满足投产置换,正常生产维修和安全保护所必需的附属设备;
4 压缩机及其附属设备的布置应符合下列要求:
1)压缩机宜采取单排布置;
2)压缩机之间及压缩机与墙壁之间的净距不宜小于1.5m;
3)重要通道的宽度不宜小于2m;
4)机组的联轴器及皮带传动装置应采取安全防护措施;
5)高出地面2m以上的检修部位应设置移动或可拆卸式的维修平台或扶梯;
6)维修平台及地坑周围应设防护栏杆;
5 压缩机室宜根据设备情况设置检修用起吊设备;
6 当压缩机采用燃气为动力时,其设计应符合现行国家标准《输气管道工程设计规范》GB 50251和《石油天然气工程设计防火规范》GB 50183的有关规定;
7 压缩机组前必须设有紧急停车按钮。
6.5.16 压缩机的控制室宜设在主厂房一侧的中部或主厂房的一端。控制室与压缩机室之间应设有能观察各台设备运转的隔声耐火玻璃窗。
6.5.17 储配站控制室内的二次检测仪表及操作调节装置宜按表6.5.17规定设置。

注:表中“+”表示应设置。
6.5.18 压缩机室、调压计量室等具有爆炸危险的生产用房应符合现行国家标准《建筑设计防火规范》GB 50016的“甲类生产厂房”设计的规定。
6.5.19 门站和储配站内的消防设施设计应符合现行国家标准《建筑设计防火规范》GB 50016的规定,并符合下列要求:
1 储配站在同一时间内的火灾次数应按一次考虑。储罐区的消防用水量不应小于表6.5.19的规定。

注:固定容积的可燃气体储罐以组为单位,总容积按其几何容积(m3)和设计压力(绝对压力,102kPa)的乘积计算。
2 当设置消防水池时,消防水池的容量应按火灾延续时间3h计算确定。当火灾情况下能保证连续向消防水池补水时,其容量可减去火灾延续时间内的补水量。
3 储配站内消防给水管网应采用环形管网,其给水干管不应少于2条。当其中一条发生故障时,其余的进水管应能满足消防用水总量的供给要求。
4 站内室外消火栓宜选用地上式消火栓。
5 门站的工艺装置区可不设消防给水系统。
6 门站和储配站内建筑物灭火器的配置应符合现行国家标准《建筑灭火器配置设计规范》GB 50140的有关规定。储配站内储罐区应配置干粉灭火器,配置数量按储罐台数每台设置2个;每组相对独立的调压计量等工艺装置区应配置干粉灭火器,数量不少于2个。
注:1 干粉灭火器指8kg手提式干粉灭火器。
2 根据场所危险程度可设置部分35kg手推式干粉灭火器。
6.5.20 门站和储配站供电系统设计应符合现行国家标准《供配电系统设计规范》GB 50052的“二级负荷”的规定。
6.5.21 门站和储配站电气防爆设计符合下列要求:
1 站内爆炸危险场所的电力装置设计应符合现行国家标准《爆炸和火灾危险环境电力装置设计规范》GB 50058的规定。
2 其爆炸危险区域等级和范围的划分宜符合本规范附录D的规定。
3 站内爆炸危险厂房和装置区内应装设燃气浓度检测报警装置。
6.5.22 储气罐和压缩机室、调压计量室等具有爆炸危险的生产用房应有防雷接地设施,其设计应符合现行国家标准《建筑物防雷设计规范》GB 50057的“第二类防雷建筑物”的规定。
6.5.23 门站和储配站的静电接地设计应符合国家现行标准《化工企业静电接地设计规程》HGJ 28的规定。
6.5.24 门站和储配站边界的噪声应符合现行国家标准《工业企业厂界噪声标准》GB 12348的规定。
6.6 调压站与调压装置
6.6 调压站与调压装置
6.6.1 本节适用于城镇燃气输配系统中不同压力级别管道之间连接的调压站、调压箱(或柜)和调压装置的设计。
6.6.2 调压装置的设置应符合下列要求:
1 自然条件和周围环境许可时,宜设置在露天,但应设置围墙、护栏或车挡;
2 设置在地上单独的调压箱(悬挂式)内时,对居民和商业用户燃气进口压力不应大于0.4MPa;对工业用户(包括锅炉房)燃气进口压力不应大于0.8MPa;
3 设置在地上单独的调压柜(落地式)内时,对居民、商业用户和工业用户(包括锅炉房)燃气进口压力不宜大于1.6MPa;
4 设置在地上单独的建筑物内时,应符合本规范第6.6.12条的要求;?
5 当受到地上条件限制,且调压装置进口压力不大于0.4MPa时,可设置在地下单独的建筑物内或地下单独的箱体内,并应分别符合本规范第6.6.14条和第6.6.5条的要求;
6 液化石油气和相对密度大于0.75燃气的调压装置不得设于地下室、半地下室内和地下单独的箱体内。
6.6.3 调压站(含调压柜)与其他建筑物、构筑物的水平净距应符合表6.6.3的规定。

注:1 当调压装置露天设置时,则指距离装置的边缘;
2 当建筑物(含重要公共建筑)的某外墙为无门、窗洞口的实体墙,且建筑物耐火等级不低于二级时,燃气进口压力级别为中压A或中压B的调压柜一侧或两侧(非平行),可贴靠上述外墙设置;
3 当达不到上表净距要求时,采取有效措施,可适当缩小净距。
6.6.4 地上调压箱和调压柜的设置应符合下列要求:
1 调压箱(悬挂式)
1)调压箱的箱底距地坪的高度宜为1.0~1.2m,可安装在用气建筑物的外墙壁上或悬挂于专用的支架上;当安装在用气建筑物的外墙上时,调压器进出口管径不宜大于DN50;
2)调压箱到建筑物的门、窗或其他通向室内的孔槽的水平净距应符合下列规定:
当调压器进口燃气压力不大于0.4MPa时,不应小于1.5m;
当调压器进口燃气压力大于0.4MPa时,不应小于3.0m;
调压箱不应安装在建筑物的窗下和阳台下的墙上;不应安装在室内通风机进风口墙上;
)安装调压箱的墙体应为永久性的实体墙,其建筑物耐火等级不应低于二级;
4)调压箱上应有自然通风孔。
2 调压柜(落地式)
1)调压柜应单独设置在牢固的基础上,柜底距地坪高度宜为0.30m;
2)距其他建筑物、构筑物的水平净距应符合表6.6.3的规定;
3)体积大于1.5m3的调压柜应有爆炸泄压口,爆炸泄压口不应小于上盖或最大柜壁面积的50%(以较大者为准);爆炸泄压口宜设在上盖上;通风口面积可包括在计算爆炸泄压口面积内;
4)调压柜上应有自然通风口,其设置应符合下列要求:
当燃气相对密度大于0.75时,应在柜体上、下各设1%柜底面积通风口;调压柜四周应设护栏;
当燃气相对密度不大于0.75时,可仅在柜体上部设4%柜底面积通风口;调压柜四周宜设护栏。
3 调压箱(或柜)的安装位置应能满足调压器安全装置的安装要求。
4 调压箱(或柜)的安装位置应使调压箱(或柜)不被碰撞,在开箱(或柜)作业时不影响交通。
6.6.5 地下调压箱的设置应符合下列要求:
1 地下调压箱不宜设置在城镇道路下,距其他建筑物、构筑物的水平净距应符合本规范表6.6.3的规定;
2 地下调压箱上应有自然通风口,其设置应符合本规范第6.6.4条第2款4)项规定;
3 安装地下调压箱的位置应能满足调压器安全装置的安装要求;
4 地下调压箱设计应方便检修;
5 地下调压箱应有防腐保护。
6.6.6 单独用户的专用调压装置除按本规范第6.6.2和6.6.3条设置外,尚可按下列形式设置,但应符合下列要求:
1 当商业用户调压装置进口压力不大于0.4MPa,或工业用户(包括锅炉)调压装置进口压力不大于0.8MPa时,可设置在用气建筑物专用单层毗连建筑物内:
1)该建筑物与相邻建筑应用无门窗和洞口的防火墙隔开,与其他建筑物、构筑物水平净距应符合本规范表6.6.3的规定;
2)该建筑物耐火等级不应低于二级,并应具有轻型结构屋顶爆炸泄压口及向外开启的门窗;
3)地面应采用撞击时不会产生火花的材料;
4)室内通风换气次数每小时不应小于2次;
5)室内电气、照明装置应符合现行的国家标准《爆炸和火灾危险环境电力装置设计规范》GB 50058的“1区”设计的规定。
2 当调压装置进口压力不大于0.2MPa时,可设置在公共建筑的顶层房间内:
1)房间应靠建筑外墙,不应布置在人员密集房间的上面或贴邻,并满足本条第1款2)、3)、5)项要求;
2)房间内应设有连续通风装置,并能保证通风换气次数每小时不小于3次;
3)房间内应设置燃气浓度检测监控仪表及声、光报警装置。该装置应与通风设施和紧急切断阀连锁,并将信号引入该建筑物监控室;
4)调压装置应设有超压自动切断保护装置;
5)室外进口管道应设有阀门,并能在地面操作;
6)调压装置和燃气管道应采用钢管焊接和法兰连接。
3 当调压装置进口压力不大于0.4MPa,且调压器进出口管径不大于DN100时,可设置在用气建筑物的平屋顶上,但应符合下列条件:
1)应在屋顶承重结构受力允许的条件下,且该建筑物耐火等级不应低于二级;
2)建筑物应有通向屋顶的楼梯;
3)调压箱、柜(或露天调压装置)与建筑物烟囱的水平净距不应小于5m。
4 当调压装置进口压力不大于0.4MPa时,可设置在生产车间、锅炉房和其他工业生产用气房间内,或当调压装置进口压力不大于0.8MPa时,可设置在独立、单层建筑的生产车间或锅炉房内,但应符合下列条件:
1)应满足本条第1款2)、4)项要求;
2)调压器进出口管径不应大于DN80;
3)调压装置宜设不燃烧体护栏;
4)调压装置除在室内设进口阀门外,还应在室外引入管上设置阀门。
注:当调压器进出口管径大于DN80时,应将调压装置设置在用气建筑物的专用单层房间内,其设计应符合本条第1款的要求。
6.6.7 调压箱(柜)或调压站的噪声应符合现行国家标准《城市区域环境噪声标准》GB 3096的规定。
6.6.8 设置调压器场所的环境温度应符合下列要求:
1 当输送干燃气时,无采暖的调压器的环境温度应能保证调压器的活动部件正常工作;
2 当输送湿燃气时,无防冻措施的调压器的环境温度应大于0℃;当输送液化石油气时,其环境温度应大于液化石油气的露点。
6.6.9 调压器的选择应符合下列要求:
1 调压器应能满足进口燃气的最高、最低压力的要求;
2 调压器的压力差,应根据调压器前燃气管道的最低设计压力与调压器后燃气管道的设计压力之差值确定;
3 调压器的计算流量,应按该调压器所承担的管网小时最大输送量的1.2倍确定。
6.6.10 调压站(或调压箱或调压柜)的工艺设计应符合下列要求:
1 连接未成环低压管网的区域调压站和供连续生产使用的用户调压装置宜设置备用调压器,其他情况下的调压器可不设备用。
调压器的燃气进、出口管道之间应设旁通管,用户调压箱(悬挂式)可不设旁通管。
2 高压和次高压燃气调压站室外进、出口管道上必须设置阀门;
中压燃气调压站室外进口管道上,应设置阀门。
3 调压站室外进、出口管道上阀门距调压站的距离:
当为地上单独建筑时,不宜小于10m,当为毗连建筑物时,不宜小于5m;
当为调压柜时,不宜小于5m;
当为露天调压装置时,不宜小于10m;
当通向调压站的支管阀门距调压站小于100m时,室外支管阀门与调压站进口阀门可合为一个。
4 在调压器燃气入口处应安装过滤器。
5 在调压器燃气入口(或出口)处,应设防止燃气出口压力过高的安全保护装置(当调压器本身带有安全保护装置时可不设)。
6 调压器的安全保护装置宜选用人工复位型。安全保护(放散或切断)装置必须设定启动压力值并具有足够的能力。启动压力应根据工艺要求确定,当工艺无特殊要求时应符合下列要求:
1)当调压器出口为低压时,启动压力应使与低压管道直接相连的燃气用具处于安全工作压力以内;
2)当调压器出口压力小于0.08MPa时,启动压力不应超过出口工作压力上限的50%;
3)当调压器出口压力等于或大于0.08MPa,但不大于0.4MPa时,启动压力不应超过出口工作压力上限0.04MPa;
4)当调压器出口压力大于0.4MPa时,启动压力不应超过出口工作压力上限的10%。
7 调压站放散管管口应高出其屋檐1.0m以上。
调压柜的安全放散管管口距地面的高度不应小于4m;设置在建筑物墙上的调压箱的安全放散管管口应高出该建筑物屋檐1.0m;
地下调压站和地下调压箱的安全放散管管口也应按地上调压柜安全放散管管口的规定设置。
注:清洗管道吹扫用的放散管、指挥器的放散管与安全水封放散管属于同一工作压力时,允许将它们连接在同一放散管上。
8 调压站内调压器及过滤器前后均应设置指示式压力表,调压器后应设置自动记录式压力仪表。
6.6.11 地上调压站内调压器的布置应符合下列要求:
1 调压器的水平安装高度应便于维护检修;
2 平行布置2台以上调压器时,相邻调压器外缘净距、调压器与墙面之间的净距和室内主要通道的宽度均宜大于0.8m。
6.6.12 地上调压站的建筑物设计应符合下列要求:
1 建筑物耐火等级不应低于二级;
2 调压室与毗连房间之间应用实体隔墙隔开,其设计应符合下列要求:
1)隔墙厚度不应小于24cm,且应两面抹灰;
2)隔墙内不得设置烟道和通风设备,调压室的其他墙壁也不得设有烟道;
3)隔墙有管道通过时,应采用填料密封或将墙洞用混凝土等材料填实;
3 调压室及其他有漏气危险的房间,应采取自然通风措施,换气次数每小时不应小于2次;
4 城镇无人值守的燃气调压室电气防爆等级应符合现行国家标准《爆炸和火灾危险环境电力装置设计规范》GB 50058“1区”设计的规定(见附录图D-7);
5 调压室内的地面应采用撞击时不会产生火花的材料;
6 调压室应有泄压措施,并应符合现行国家标准《建筑设计防火规范》GB 50016的有关规定;
7 调压室的门、窗应向外开启,窗应设防护栏和防护网;
8 重要调压站宜设保护围墙;
9 设于空旷地带的调压站或采用高架遥测天线的调压站应单独设置避雷装置,其接地电阻值应小于10Ω。
6.6.13 燃气调压站采暖应根据气象条件、燃气性质、控制测量仪表结构和人员工作的需要等因素确定。当需要采暖时严禁在调压室内用明火采暖,但可采用集中供热或在调压站内设置燃气、电气采暖系统,其设计应符合下列要求:
1 燃气采暖锅炉可设在与调压器室毗连的房间内;
调压器室的门、窗与锅炉室的门、窗不应设置在建筑的同一侧;
2 采暖系统宜采用热水循环式;
采暖锅炉烟囱排烟温度严禁大于300℃;烟囱出口与燃气安全放散管出口的水平距离应大于5m;
3 燃气采暖锅炉应有熄火保护装置或设专人值班管理;
4 采用防爆式电气采暖装置时,可对调压器室或单体设备用电加热采暖。电采暖设备的外壳温度不得大于115℃。电采暖设备应与调压设备绝缘。
6.6.14 地下调压站的建筑物设计应符合下列要求:
1 室内净高不应低于2m;
2 宜采用混凝土整体浇筑结构;
3 必须采取防水措施;在寒冷地区应采取防寒措施;
4 调压室顶盖上必须设置两个呈对角位置的人孔,孔盖应能防止地表水浸入;
5 室内地面应采用撞击时不产生火花的材料,并应在一侧人孔下的地坪设置集水坑;
6 调压室顶盖应采用混凝土整体浇筑。
6.6.15 当调压站内、外燃气管道为绝缘连接时,调压器及其附属设备必须接地,接地电阻应小于100Ω。
6.7 钢质燃气管道和储罐的防腐
6.7 钢质燃气管道和储罐的防腐
6.7.1 钢质燃气管道和储罐必须进行外防腐。其防腐设计应符合国家现行标准《城镇燃气埋地钢质管道腐蚀控制技术规程》CJJ 95和《钢质管道及储罐腐蚀控制工程设计规范》SY 0007的有关规定。
6.7.2 地下燃气管道防腐设计,必须考虑土壤电阻率。对高、中压输气干管宜沿燃气管道途经地段选点测定其土壤电阻率。应根据土壤的腐蚀性、管道的重要程度及所经地段的地质、环境条件确定其防腐等级。
6.7.3 地下燃气管道的外防腐涂层的种类,根据工程的具体情况,可选用石油沥青、聚乙烯防腐胶带、环氧煤沥青、聚乙烯防腐层、氯磺化聚乙烯、环氧粉末喷涂等。当选用上述涂层时,应符合国家现行有关标准的规定。
6.7.4 采用涂层保护埋地敷设的钢质燃气干管应同时采用阴极保护。
市区外埋地敷设的燃气干管,当采用阴极保护时,宜采用强制电流方式,并应符合国家现行标准《埋地钢质管道强制电流阴极保护设计规范》SY/T 0036的有关规定。
市区内埋地敷设的燃气干管,当采用阴极保护时,宜采用牺牲阳极法,并应符合国家现行标准《埋地钢质管道牺牲阳极阴极保护设计规范》SY/T 0019的有关规定。
6.7.5 地下燃气管道与交流电力线接地体的净距不应小于表6.7.5的规定。

6.8 监控及数据采集
6.8 监控及数据采集
6.8.1 城市燃气输配系统,宜设置监控及数据采集系统。
6.8.2 监控及数据采集系统应采用电子计算机系统为基础的装备和技术。
6.8.3 监控及数据采集系统应采用分级结构。
6.8.4 监控及数据采集系统应设主站、远端站。主站应设在燃气企业调度服务部门,并宜与城市公用数据库连接。远端站宜设置在区域调压站、专用调压站、管网压力监测点、储配站、门站和气源厂等。
6.8.5 根据监控及数据采集系统拓扑结构设计的需求,在等级系统中可在主站与远端站之间设置通信或其他功能的分级站。
6.8.6 监控及数据采集系统的信息传输介质及方式应根据当地通信系统条件、系统规模和特点、地理环境,经全面的技术经济比较后确定。信息传输宜采用城市公共数据通信网络。
6.8.7 监控及数据采集系统所选用的设备、器件、材料和仪表应选用通用性产品。
6.8.8 监控及数据采集系统的布线和接口设计应符合国家现行有关标准的规定,并具有通用性、兼容性和可扩性。
6.8.9 监控及数据采集系统的硬件和软件应有较高可靠性,并应设置系统自身诊断功能,关键设备应采用冗余技术。
6.8.10 监控及数据采集系统宜配备实时瞬态模拟软件,软件应满足系统进行调度优化、泄漏检测定位、工况预测、存量分析、负荷预测及调度员培训等功能。
6.8.11 监控及数据采集系统远端站应具有数据采集和通信功能,并对需要进行控制或调节的对象点,应有对选定的参数或操作进行控制或调节功能。
6.8.12 主站系统设计应具有良好的人机对话功能,宜满足及时调整参数或处理紧急情况的需要。
6.8.13 远端站数据采集等工作信息的类型和数量应按实际需要予以合理地确定。
6.8.14 设置监控和数据采集设备的建筑应符合现行国家标准《计算站场地技术要求》GB 2887和《电子计算机机房设计规范》GB 50174以及《计算机机房用活动地板技术条件》GB 6550的有关规定。
6.8.15 监控及数据采集系统的主站机房,应设置可靠性较高的不间断电源设备及其备用设备。
6.8.16 远端站的防爆、防护应符合所在地点防爆、防护的相关要求。
液化天然气供应
9.1 一般规定
9.1 一般规定
9.1.1 本章适用于液化天然气总储存容积不大于2000m3的城镇液化天然气供应站工程设计。
9.1.2 本章不适用于下列液化天然气工程和装置设计:
1 液化天然气终端接收基地;
2 油气田的液化天然气供气站和天然气液化工厂(站);
3 轮船、铁路车辆和汽车等运输工具上的液化天然气装置。
9.2 液化天然气气化站
9.2 液化天然气气化站
9.2.1 液化天然气气化站的规模应符合城镇总体规划的要求,根据供应用户类别、数量和用气量指标等因素确定。
9.2.2 液化天然气气化站的储罐设计总容积应根据其规模、气源情况、运输方式和运距等因素确定。
9.2.3 液化天然气气化站站址选择应符合下列要求:
1 站址应符合城镇总体规划的要求。
2 站址应避开地震带、地基沉陷、废弃矿井等地段。
9.2.4 液化天然气气化站的液化天然气储罐、集中放散装置的天然气放散总管与站外建、构筑物的防火间距不应小于表9.2.4的规定。
9.2.5 液化天然气气化站的液化天然气储罐、集中放散装置的天然气放散总管与站内建、构筑物的防火间距不应小于表9.2.5的规定。
表9.2.4 液化天然气气化站的液化天然气储罐、天然气放散总管与站外建、构筑物的防火间距(m)

注:1 居住区、村镇系指1000人或300户以上者,以下者按本表民用建筑执行;
2 与本表规定以外的其他建、构筑物的防火间距应按现行国家标准《建筑设计防火规范》GB 50016执行;
3 间距的计算应以储罐的最外侧为准。
表9.2.5 液化天然气气化站的液化天然气储罐、天然气放散总管与站内建、构筑物的防火间距(m)

注:1 自然蒸发气的储罐(BOG罐)与液化天然气储罐的间距按工艺要求确定;
2 与本表规定以外的其他建、构筑物的防火间距应按现行国家标准《建筑设计防火规范》CB 50016执行;
3 间距的计算应以储罐的最外侧为准。
9.2.6 站内兼有灌装液化天然气钢瓶功能时,站区内设置储存液化天然气钢瓶(实瓶)的总容积不应大于2m3。
9.2.7 液化天然气气化站内总平面应分区布置,即分为生产区(包括储罐区、气化及调压等装置区)和辅助区。
生产区宜布置在站区全年最小频率风向的上风侧或上侧风侧。
液化天然气气化站应设置高度不低于2m的不燃烧体实体围墙。
9.2.8 液化天然气气化站生产区应设置消防车道,车道宽度不应小于3.5m。当储罐总容积小于500m3时,可设置尽头式消防车道和面积不应小于12m×12m的回车场。
9.2.9 液化天然气气化站的生产区和辅助区至少应各设1个对外出入口。当液化天然气储罐总容积超过1000m3时,生产区应设置2个对外出入口,其间距不应小于30m。
9.2.10 液化天然气储罐和储罐区的布置应符合下列要求:
1 储罐之间的净距不应小于相邻储罐直径之和的1/4,且不应小于1.5m;储罐组内的储罐不应超过两排;
2 储罐组四周必须设置周边封闭的不燃烧体实体防护墙,防护墙的设计应保证在接触液化天然气时不应被破坏;
3 防护墙内的有效容积(V)应符合下列规定:
1)对因低温或因防护墙内一储罐泄漏着火而可能引起防护墙内其他储罐泄漏,当储罐采取了防止措施时,V不应小于防护墙内最大储罐的容积;
2)当储罐未采取防止措施时,V不应小于防护墙内所有储罐的总容积;
4 防护墙内不应设置其他可燃液体储罐;
5 严禁在储罐区防护墙内设置液化天然气钢瓶灌装口;
6 容积大于0.15m3的液化天然气储罐(或容器)不应设置在建筑物内。任何容积的液化天然气容器均不应永久地安装在建筑物内。
9.2.11 气化器、低温泵设置应符合下列要求:
1 环境气化器和热流媒体为不燃烧体的远程间接加热气化器、天然气气体加热器可设置在储罐区内,与站外建、构筑物的防火间距应符合现行国家标准《建筑设计防火规范》GB 50016中甲类厂房的规定。
2 气化器的布置应满足操作维修的要求。
3 对于输送液体温度低于-29℃的泵,设计中应有预冷措施。
9.2.12 液化天然气集中放散装置的汇集总管,应经加热将放散物加热成比空气轻的气体后方可排入放散总管;放散总管管口高度应高出距其25m内的建、构筑物2m以上,且距地面不得小于10m。
9.2.13 液化天然气气化后向城镇管网供应的天然气应进行加臭,加臭量应符合本规范第3.2.3条的规定。
9.3 液化天然气瓶组气化站
9.3 液化天然气瓶组气化站
9.3.1 液化天然气瓶组气化站采用气瓶组作为储存及供气设施,应符合下列要求:
1 气瓶组总容积不应大于4m3。
2 单个气瓶容积宜采用175L钢瓶,最大容积不应大于410L,灌装量不应大于其容积的90%。
3 气瓶组储气容积宜按1.5倍计算月最大日供气量确定。
9.3.2 气瓶组应在站内固定地点露天(可设置罩棚)设置。气瓶组与建、构筑物的防火间距不应小子表9.3.2的规定。

注:气瓶总容积应按配置气瓶个数与单瓶几何容积的乘积计算。单个气瓶容积不应大干410L。
9.3.3 设置在露天(或罩棚下)的空温式气化器与气瓶组的间距应满足操作的要求,与明火、散发火花地点或其他建、构筑物的防火间距应符合本规范第9.3.2条气瓶总容积小于或等于2m3一档的规定。
9.3.4 气化装置的总供气能力应根据高峰小时用气量确定。气化装置的配置台数不应少于2台,且应有1台备用。
9.3.5 瓶组气化站的四周宜设置高度不低于2m的不燃烧体实体围墙。
9.4 管道及附件、储罐、容器、气化器、气体加热器和检测仪表
9.4 管道及附件、储罐、容器、气化器、气体加热器和检测仪表
9.4.1 液化天然气储罐、设备的设计温度应按-168℃计算,当采用液氮等低温介质进行置换时,应按置换介质的最低温度计算。
9.4.2 对于使用温度低于-20℃的管道应采用奥氏体不锈钢无缝钢管,其技术性能应符合现行的国家标准《流体输送用不锈钢无缝钢管》GB/T 14976的规定。
9.4.3 管道宜采用焊接连接。公称直径不大于50mm的管道与储罐、容器、设备及阀门可采用法兰、螺纹连接;公称直径大于50mm的管道与储罐、容器、设备及阀门连接应采用法兰或焊接连接;法兰连接采用的螺栓、弹性垫片等紧固件应确保连接的紧密度。阀门应能适用于液化天然气介质,液相管道应采用加长阀杆和能在线检修结构的阀门(液化天然气钢瓶自带的阀门除外),连接宜采用焊接。
9.4.4 管道应根据设计条件进行柔性计算,柔性计算的范围和方法应符合现行国家标准《工业金属管道设计规范》GB 50316的规定。
9.4.5 管道宜采用自然补偿的方式,不宜采用补偿器进行补偿。
9.4.6 管道的保温材料应采用不燃烧材料,该材料应具有良好的防潮性和耐候性。
9.4.7 液态天然气管道上的两个切断阀之间必须设置安全阀,放散气体宜集中放散。
9.4.8 液化天然气卸车口的进液管道应设置止回阀。液化天然气卸车软管应采用奥氏体不锈钢波纹软管,其设计爆裂压力不应小于系统最高工作压力的5倍。
9.4.9 液化天然气储罐和容器本体及附件的材料选择和设计应符合现行国家标准《钢制压力容器》GB 150、《低温绝热压力容器》GB 18442和国家现行《压力容器安全技术监察规程》的规定。
9.4.10 液化天然气储罐必须设置安全阀,安全阀的开启压力及阀口总通过面积应符合国家现行《压力容器安全技术监察规程》的规定。
9.4.11 液化天然气储罐安全阀的设置应符合下列要求:
1 必须选用奥氏体不锈钢弹簧封闭全启式;
2 单罐容积为100m3或100m3以上的储罐应设置2个或2个以上安全阀;
3 安全阀应设置放散管,其管径不应小于安全阀出口的管径。放散管宜集中放散;
4 安全阀与储罐之间应设置切断阀。
9.4.12 储罐应设置放散管,其设置要求应符合本规范第9.2.12条的规定。
9.4.13 储罐进出液管必须设置紧急切断阀,并与储罐液位控制连锁。
9.4.14 液化天然气储罐仪表的设置,应符合下列要求:
1 应设置两个液位计,并应设置液位上、下限报警和连锁装置。
注:容积小于3.8m3的储罐和容器,可设置一个液位计(或固定长度液位管)。
2 应设置压力表,并应在有值班人员的场所设置高压报警显示器,取压点应位于储罐最高液位以上。
3 采用真空绝热的储罐,真空层应设置真空表接口。
9.4.15 液化天然气气化器的液体进口管道上宜设置紧急切断阀,该阀门应与天然气出口的测温装置连锁。
9.4.16 液化天然气气化器或其出口管道上必须设置安全阀,安全阀的泄放能力应满足下列要求:
1 环境气化器的安全阀泄放能力必须满足在1.1倍的设计压力下,泄放量不小于气化器设计额定流量的1.5倍。
2 加热气化器的安全阀泄放能力必须满足在1.1倍的设计压力下,泄放量不小于气化器设计额定流量的1.1倍。
9.4.17 液化天然气气化器和天然气气体加热器的天然气出口应设置测温装置并应与相关阀门连锁;热媒的进口应设置能遥控和就地控制的阀门。
9.4.18 对于有可能受到土壤冻结或冻胀影响的储罐基础和设备基础,必须设置温度监测系统并应采取有效保护措施。
9.4.19 储罐区、气化装置区域或有可能发生液化天然气泄漏的区域内应设置低温检测报警装置和相关的连锁装置,报警显示器应设置在值班室或仪表室等有值班人员的场所。
9.4.20 爆炸危险场所应设置燃气浓度检测报警器。报警浓度应取爆炸下限的20%,报警显示器应设置在值班室或仪表室等有值班人员的场所。
9.4.21 液化天然气气化站内应设置事故切断系统,事故发生时,应切断或关闭液化天然气或可燃气体来源,还应关闭正在运行可能使事故扩大的设备。
液化天然气气化站内设置的事故切断系统应具有手动、自动或手动自动同时启动的性能,手动启动器应设置在事故时方便到达的地方,并与所保护设备的间距不小于15m。手动启动器应具有明显的功能标志。
9.5 消防给水、排水和灭火器材
9.5 消防给水、排水和灭火器材
9.5.1 液化天然气气化站在同一时间内的火灾次数应按一次考虑,其消防水量应按储罐区一次消防用水量确定。
液化天然气储罐消防用水量应按其储罐固定喷淋装置和水枪用水量之和计算,其设计应符合下列要求:
1 总容积超过50m3或单罐容积超过20m3的液化天然气储罐或储罐区应设置固定喷淋装置。喷淋装置的供水强度不应小于0.15L/(s·m2)。着火储罐的保护面积按其全表面积计算,距着火储罐直径(卧式储罐按其直径和长度之和的一半)1.5倍范围内(范围的计算应以储罐的最外侧为准)的储罐按其表面积的一半计算。
2 水枪宜采用带架水枪。水枪用水量不应小于表9.5.1的规定。

注:1 水枪用水量应按本表总容积和单罐容积较大者确定。
2 总容积小于50m3且单罐容积小于等于200m3的液化天然气储罐或储罐区,可单独设置固定喷淋装置或移动水枪,其消防水量应按水枪用水量计算。
9.5.2 液化天然气立式储罐固定喷淋装置应在罐体上部和罐顶均匀分布。
9.5.3 消防水池的容量应按火灾连续时间6h计算确定。但总容积小于220m3且单罐容积小于或等于50m3的储罐或储罐区,消防水池的容量应按火灾连续时间3h计算确定。当火灾情况下能保证连续向消防水池补水时,其容量可减去火灾连续时间内的补水量。
9.5.4 液化天然气气化站的消防给水系统中的消防泵房,给水管网和供水压力要求等设计应符合本规范第8.10节的有关规定。
9.5.5 液化天然气气化站生产区防护墙内的排水系统应采取防止液化天然气流入下水道或其他以顶盖密封的沟渠中的措施。
9.5.6 站内具有火灾和爆炸危险的建、构筑物、液化天然气储罐和工艺装置区应设置小型干粉灭火器,其设置数量除应符合表9.5.6的规定外,还应符合现行国家标准《建筑灭火器配置设计规范》GB 50140的规定。

注:8kg和35kg分别指手提式和手推式干粉型灭火器的药剂充装量。
9.6 土建和生产辅助设施
9.6 土建和生产辅助设施
9.6.1 液化天然气气化站建、构筑物的防火、防爆和抗震设计,应符合本规范第8.9节的有关规定。
9.6.2 设有液化天然气工艺设备的建、构筑物应有良好的通风措施。通风量按房屋全部容积每小时换气次数不应小于6次。在蒸发气体比空气重的地方,应在蒸发气体聚集最低部位设置通风口。
9.6.3 液化天然气气化站的供电系统设计应符合现行国家标准《供配电系统设计规范》GB 50052“二级负荷”的规定。
9.6.4 液化天然气气化站爆炸危险场所的电力装置设计应符合现行国家标准《爆炸和火灾危险环境电力装置设计规范》GB 50058的有关规定。
9.6.5 液化天然气气化站的防雷和静电接地设计,应符合本规范第8.11节的有关规定。
燃气的应用
10.1 一般规定
10.1 一般规定
10.1.1 本章适用于城镇居民、商业和工业企业用户内部的燃气系统设计。
10.1.2 燃气调压器、燃气表、燃烧器具等,应根据使用燃气类别及其特性、安装条件、工作压力和用户要求等因素选择。
10.1.3 燃气应用设备铭牌上规定的燃气必须与当地供应的燃气相一致。
10.2 室内燃气管道
10.2 室内燃气管道
10.2.1 用户室内燃气管道的最高压力不应大于表10.2.1的规定。

注:1 液化石油气管道的最高压力不应大于0.14MPa;
2 管道井内的燃气管道的最高压力不应大于0.2MPa;
3 室内燃气管道压力大于0.8MPa的特殊用户设计应按有关专业规范执行。
10.2.2 燃气供应压力应根据用户设备燃烧器的额定压力及其允许的压力波动范围确定。
民用低压用气设备的燃烧器的额定压力宜按表10.2.2采用。

10.2.3 室内燃气管道宜选用钢管,也可选用铜管、不锈钢管、铝塑复合管和连接用软管,并应分别符合第10.2.4~10.2.8条的规定。
10.2.4 室内燃气管道选用钢管时应符合下列规定:
1 钢管的选用应符合下列规定:
1)低压燃气管道应选用热镀锌钢管(热浸镀锌),其质量应符合现行国家标准《低压流体输送用焊接钢管》GB/T 3091的规定;
2)中压和次高压燃气管道宜选用无缝钢管,其质量应符合现行国家标准《输送流体用无缝钢管》GB/T 8163的规定;燃气管道的压力小于或等于0.4MPa时,可选用本款第1)项规定的焊接钢管。
2 钢管的壁厚应符合下列规定:
1)选用符合GB/T 3091标准的焊接钢管时,低压宜采用普通管,中压应采用加厚管;
2)选用无缝钢管时,其壁厚不得小于3mm,用于引入管时不得小于3.5mm;
3)当屋面上的燃气管道和高层建筑沿外墙架设的燃气管道,在避雷保护范围以外时,采用焊接钢管或无缝钢管时其管道壁厚均不得小于4mm。
3 钢管螺纹连接时应符合下列规定:
1)室内低压燃气管道(地下室、半地下室等部位除外)、室外压力小于或等于0.2MPa的燃气管道,可采用螺纹连接;
管道公称直径大于DN100时不宜选用螺纹连接。
2)管件选择应符合下列要求:
管道公称压力PN≤0.01MPa时,可选用可锻铸铁螺纹管件;
管道公称压力PN≤0.2MPa时,应选用钢或铜合金螺纹管件。
3)管道公称压力PN≤0.2MPa时,应采用现行国家标准《55°密封螺纹第2部分:圆锥内螺纹与圆锥外螺纹》GB/T 7306.2规定的螺纹(锥/锥)连接。
4)密封填料,宜采用聚四氟乙烯生料带、尼龙密封绳等性能良好的填料。
4 钢管焊接或法兰连接可用于中低压燃气管道(阀门、仪表处除外),并应符合有关标准的规定。
10.2.5 室内燃气管道选用铜管时应符合下列规定:
1 铜管的质量应符合现行国家标准《无缝铜水管和铜气管》GB/T 18033的规定。
2 铜管道应采用硬钎焊连接,宜采用不低于1.8%的银(铜-磷基)焊料(低银铜磷钎料)。铜管接头和焊接工艺可按现行国家标准《铜管接头》GB/T 11618的规定执行。
铜管道不得采用对焊、螺纹或软钎焊(熔点小于500℃)连接。
3 埋入建筑物地板和墙中的铜管应是覆塑铜管或带有专用涂层的铜管,其质量应符合有关标准的规定。
4 燃气中硫化氢含量小于或等于7mg/m3时,中低压燃气管道可采用现行国家标准《无缝铜水管和铜气管》GB/T 18033中表3-1规定的A型管或B型管。
5 燃气中硫化氢含量大于7mg/m3而小于20mg/m3时,中压燃气管道应选用带耐腐蚀内衬的铜管;无耐腐蚀内衬的铜管只允许在室内的低压燃气管道中采用;铜管类型可按本条第4款的规定执行。
6 铜管必须有防外部损坏的保护措施。
10.2.6 室内燃气管道选用不锈钢管时应符合下列规定:
1 薄壁不锈钢管:
1)薄壁不锈钢管的壁厚不得小于0.6mm(DN15及以上),其质量应符合现行国家标准《流体输送用不锈钢焊接钢管》GB/T12771的规定;
2)薄壁不锈钢管的连接方式,应采用承插氩弧焊式管件连接或卡套式管件机械连接,并宜优先选用承插氩弧焊式管件连接。承插氩弧焊式管件和卡套式管件应符合有关标准的规定。
2 不锈钢波纹管:
1)不锈钢波纹管的壁厚不得小于0.2mm,其质量应符合国家现行标准《燃气用不锈钢波纹软管》CJ/T 197的规定;
2)不锈钢波纹管应采用卡套式管件机械连接,卡套式管件应符合有关标准的规定。
3 薄壁不锈钢管和不锈钢波纹管必须有防外部损坏的保护措施。
10.2.7 室内燃气管道选用铝塑复合管时应符合下列规定:
1 铝塑复合管的质量应符合现行国家标准《铝塑复合压力管 第1部分:铝管搭接焊式铝塑管》GB/T 18997.1或《铝塑复合压力管 第2部分:铝管对接焊式铝塑管》GB/T 18997.2的规定。
2 铝塑复合管应采用卡套式管件或承插式管件机械连接,承插式管件应符合国家现行标准《承插式管接头》CJ/T110的规定,卡套式管件应符合国家现行标准《卡套式管接头》CJ/T 111和《铝塑复合管用卡压式管件》CJ/T 190的规定。
3 铝塑复合管安装时必须对铝塑复合管材进行防机械损伤、防紫外线(UV)伤害及防热保护,并应符合下列规定:
1)环境温度不应高于60℃;
2)工作压力应小于10kPa;
3)在户内的计量装置(燃气表)后安装。
10.2.8 室内燃气管道采用软管时,应符合下列规定:
1 燃气用具连接部位、实验室用具或移动式用具等处可采用软管连接。
2 中压燃气管道上应采用符合现行国家标准《波纹金属软管通用技术条件》GB/T 14525、《液化石油气(LPG)用橡胶软管和软管组合件 散装运输用》GB/T 10546或同等性能以上的软管。
3 低压燃气管道上应采用符合国家现行标准《家用煤气软管》HG 2486或国家现行标准《燃气用不锈钢波纹软管》CJ/T 197规定的软管。
4 软管最高允许工作压力不应小于管道设计压力的4倍。
5 软管与家用燃具连接时,其长度不应超过2m,并不得有接口。
6 软管与移动式的工业燃具连接时,其长度不应超过30m,接口不应超过2个。
7 软管与管道、燃具的连接处应采用压紧螺帽(锁母)或管卡(喉箍)固定。在软管的上游与硬管的连接处应设阀门。
8 橡胶软管不得穿墙、顶棚、地面、窗和门。
10.2.9 室内燃气管道的计算流量应按下列要求确定:
1 居民生活用燃气计算流量可按下式计算:

式中 Qh——燃气管道的计算流量(m3/h);
k——燃具同时工作系数,居民生活用燃具可按附录F确定;
N——同种燃具或成组燃具的数目;
Qn——燃具的额定流量(m3/h)。
2 商业用和工业企业生产用燃气计算流量应按所有用气设备的额定流量并根据设备的实际使用情况确定。
10.2.10 商业和工业用户调压装置及居民楼栋调压装置的设置形式应符合本规范第6.6.2条和第6.6.6条的规定。
10.2.11 当由调压站供应低压燃气时,室内低压燃气管道允许的阻力损失,应根据建筑物和室外管道等情况,经技术经济比较后确定。
10.2.12 室内燃气管道的阻力损失,可按本规范第6.2.5条和第6.2.6条的规定计算。
室内燃气管道的局部阻力损失宜按实际情况计算。
10.2.13 计算低压燃气管道阻力损失时,对地形高差大或高层建筑立管应考虑因高程差而引起的燃气附加压力。燃气的附加压力可按下式计算:

式中 △H——燃气的附加压力(Pa);
ρk——空气的密度(kg/m3);
ρm——燃气的密度(kg/m3);
h——燃气管道终、起点的高程差(m)。
10.2.14 燃气引入管敷设位置应符合下列规定:
1 燃气引入管不得敷设在卧室、卫生间、易燃或易爆品的仓库、有腐蚀性介质的房间、发电间、配电间、变电室、不使用燃气的空调机房、通风机房、计算机房、电缆沟、暖气沟、烟道和进风道、垃圾道等地方。
2 住宅燃气引入管宜设在厨房、外走廊、与厨房相连的阳台内(寒冷地区输送湿燃气时阳台应封闭)等便于检修的非居住房间内。当确有困难,可从楼梯间引入(高层建筑除外),但应采用金属管道且引入管阀门宜设在室外。
3 商业和工业企业的燃气引入管宜设在使用燃气的房间或燃气表间内。
4 燃气引入管宜沿外墙地面上穿墙引入。室外露明管段的上端弯曲处应加不小于DN15清扫用三通和丝堵,并做防腐处理。寒冷地区输送湿燃气时应保温。
引入管可埋地穿过建筑物外墙或基础引入室内。当引入管穿过墙或基础进入建筑物后应在短距离内出室内地面,不得在室内地面下水平敷设。
10.2.15 燃气引入管穿墙与其他管道的平行净距应满足安装和维修的需要,当与地下管沟或下水道距离较近时,应采取有效的防护措施。
10.2.16 燃气引入管穿过建筑物基础、墙或管沟时,均应设置在套管中,并应考虑沉降的影响,必要时应采取补偿措施。
套管与基础、墙或管沟等之间的间隙应填实,其厚度应为被穿过结构的整个厚度。
套管与燃气引入管之间的间隙应采用柔性防腐、防水材料密封。
10.2.17 建筑物设计沉降量大于50mm时,可对燃气引入管采取如下补偿措施:
1 加大引入管穿墙处的预留洞尺寸。
2 引入管穿墙前水平或垂直弯曲2次以上。
3 引入管穿墙前设置金属柔性管或波纹补偿器。
10.2.18 燃气引入管的最小公称直径应符合下列要求:
1 输送人工煤气和矿井气不应小于25mm;
2 输送天然气不应小于20mm;
3 输送气态液化石油气不应小于15mm。
10.2.19 燃气引入管阀门宜设在建筑物内,对重要用户还应在室外另设阀门。
10.2.20 输送湿燃气的引入管,埋设深度应在土壤冰冻线以下,并宜有不小于0.01坡向室外管道的坡度。
10.2.21 地下室、半地下室、设备层和地上密闭房间敷设燃气管道时,应符合下列要求:
1 净高不宜小于2.2m。
2 应有良好的通风设施,房间换气次数不得小于3次/h;并应有独立的事故机械通风设施,其换气次数不应小子6次/h。
3 应有固定的防爆照明设备。
4 应采用非燃烧体实体墙与电话间、变配电室、修理间、储藏室、卧室、休息室隔开。
5 应按本规范第10.8节规定设置燃气监控设施。
6 燃气管道应符合本规范第10.2.23条要求。
7 当燃气管道与其他管道平行敷设时,应敷设在其他管道的外侧。
8 地下室内燃气管道末端应设放散管,并应引出地上。放散管的出口位置应保证吹扫放散时的安全和卫生要求。
注:地上密闭房间包括地上无窗或窗仅用作采光的密闭房间等。
10.2.22 液化石油气管道和烹调用液化石油气燃烧设备不应设置在地下室、半地下室内。当确需要设置在地下一层、半地下室时,应针对具体条件采取有效的安全措施,并进行专题技术论证。
10.2.23 敷设在地下室、半地下室、设备层和地上密闭房间以及竖井、住宅汽车库(不使用燃气,并能设置钢套管的除外)的燃气管道应符合下列要求:
1 管材、管件及阀门、阀件的公称压力应按提高一个压力等级进行设计;
2 管道应采用钢号为10、20的无缝钢管或具有同等及同等以上性能的其他金属管材;
3 除阀门、仪表等部位和采用加厚管的低压管道外,均应焊接和法兰连接;应尽量减少焊缝数量,钢管道的固定焊口应进行100%射线照相检验,活动焊口应进行10%射线照相检验,其质量不得低于现行国家标准《现场设备、工业管道焊接工程施工及验收规范》GB 50236-98中的Ⅲ级;其他金属管材的焊接质量应符合相关标准的规定。
10.2.24 燃气水平干管和立管不得穿过易燃易爆品仓库、配电间、变电室、电缆沟、烟道、进风道和电梯井等。
10.2.25 燃气水平干管宜明设,当建筑设计有特殊美观要求时可敷设在能安全操作、通风良好和检修方便的吊顶内,管道应符合本规范第10.2.23条的要求;当吊顶内设有可能产生明火的电气设备或空调回风管时,燃气干管宜设在与吊顶底平的独立密封门型管槽内,管槽底宜采用可卸式活动百叶或带孔板。
燃气水平干管不宜穿过建筑物的沉降缝。
10.2.26 燃气立管不得敷设在卧室或卫生间内。立管穿过通风不良的吊顶时应设在套管内。
10.2.27 燃气立管宜明设,当设在便于安装和检修的管道竖井内时,应符合下列要求:
1 燃气立管可与空气、惰性气体、上下水、热力管道等设在一个公用竖井内,但不得与电线、电气设备或氧气管、进风管、回风管、排气管、排烟管、垃圾道等共用一个竖井;
2 竖井内的燃气管道应符合本规范第10.2.23条的要求,并尽量不设或少设阀门等附件。竖井内的燃气管道的最高压力不得大于0.2MPa;燃气管道应涂黄色防腐识别漆;
3 竖井应每隔2~3层做相当于楼板耐火极限的不燃烧体进行防火分隔,且应设法保证平时竖井内自然通风和火灾时防止产生“烟囱”作用的措施;
4 每隔4~5层设一燃气浓度检测报警器,上、下两个报警器的高度差不应大于20m;
5 管道竖井的墙体应为耐火极限不低于1.0h的不燃烧体,井壁上的检查门应采用丙级防火门。
10.2.28 高层建筑的燃气立管应有承受自重和热伸缩推力的固定支架和活动支架。
10.2.29 燃气水平干管和高层建筑立管应考虑工作环境温度下的极限变形,当自然补偿不能满足要求时,应设置补偿器;补偿器宜采用
形或波纹管形,不得采用填料型。补偿量计算温差可按下列条件选取:
1 有空气调节的建筑物内取20℃;
2 无空气调节的建筑物内取40℃;
3 沿外墙和屋面敷设时可取70℃。
10.2.30 燃气支管宜明设。燃气支管不宜穿过起居室(厅)。敷设在起居室(厅)、走道内的燃气管道不宜有接头。
当穿过卫生间、阁楼或壁柜时,燃气管道应采用焊接连接(金属软管不得有接头),并应设在钢套管内。
10.2.31 住宅内暗埋的燃气支管应符合下列要求:
1 暗埋部分不宜有接头,且不应有机械接头。暗埋部分宜有涂层或覆塑等防腐蚀措施。
2 暗埋的管道应与其他金属管道或部件绝缘,暗埋的柔性管道宜采用钢盖板保护。
3 暗埋管道必须在气密性试验合格后覆盖。
4 覆盖层厚度不应小于10mm。
5 覆盖层面上应有明显标志,标明管道位置,或采取其他安全保护措施。
10.2.32 住宅内暗封的燃气支管应符合下列要求:
1 暗封管道应设在不受外力冲击和暖气烘烤的部位。
2 暗封部位应可拆卸,检修方便,并应通风良好。
10.2.33 商业和工业企业室内暗设燃气支管应符合下列要求:
1 可暗埋在楼层地板内;
2 可暗封在管沟内,管沟应设活动盖板,并填充干砂;
3 燃气管道不得暗封在可以渗入腐蚀性介质的管沟中;
4 当暗封燃气管道的管沟与其他管沟相交时,管沟之间应密封,燃气管道应设套管。
10.2.34 民用建筑室内燃气水平干管,不得暗埋在地下土层或地面混凝土层内。
工业和实验室的室内燃气管道可暗埋在混凝土地面中,其燃气管道的引入和引出处应设钢套管。钢套管应伸出地面5~10cm。钢套管两端应采用柔性的防水材料密封;管道应有防腐绝缘层。
10.2.35 燃气管道不应敷设在潮湿或有腐蚀性介质的房间内。当确需敷设时,必须采取防腐蚀措施。
输送湿燃气的燃气管道敷设在气温低于0℃的房间或输送气相液化石油气管道处的环境温度低于其露点温度时,其管道应采取保温措施。
10.2.36 室内燃气管道与电气设备、相邻管道之间的净距不应小于表10.2.36的规定。

注:1 当明装电线加绝缘套管且套管的两端各伸出燃气管道10cm时,套管与燃气管道的交叉净距可降至1cm。
2 当布置确有困难,在采取有效措施后,可适当减小净距。
10.2.37 沿墙、柱、楼板和加热设备构件上明设的燃气管道应采用管支架、管卡或吊卡固定。
管支架、管卡、吊卡等固定件的安装不应妨碍管道的自由膨胀和收缩。
0.2.38 室内燃气管道穿过承重墙、地板或楼板时必须加钢套管,套管内管道不得有接头,套管与承重墙、地板或楼板之间的间隙应填实,套管与燃气管道之间的间隙应采用柔性防腐、防水材料密封。
10.2.39 工业企业用气车间、锅炉房以及大中型用气设备的燃气管道上应设放散管,放散管管口应高出屋脊(或平屋顶)1m以上或设置在地面上安全处,并应采取防止雨雪进入管道和放散物进入房间的措施。
当建筑物位于防雷区之外时,放散管的引线应接地,接地电阻应小于10Ω。
10.2.40 室内燃气管道的下列部位应设置阀门:
1 燃气引入管;
2 调压器前和燃气表前;
3 燃气用具前;
4 测压计前;
5 放散管起点。
10.2.41 室内燃气管道阀门宜采用球阀。
10.2.42 输送干燃气的室内燃气管道可不设置坡度。输送湿燃气(包括气相液化石油气)的管道,其敷设坡度不宜小于0.003。
燃气表前后的湿燃气水平支管应分别坡向立管和燃具。
10.3 燃气计量
10.3 燃气计量
10.3.1 燃气用户应单独设置燃气表。
燃气表应根据燃气的工作压力、温度、流量和允许的压力降(阻力损失)等条件选择。
10.3.2 用户燃气表的安装位置,应符合下列要求:
1 宜安装在不燃或难燃结构的室内通风良好和便于查表、检修的地方。
2 严禁安装在下列场所:
1)卧室、卫生间及更衣室内;
2)有电源、电器开关及其他电器设备的管道井内,或有可能滞留泄漏燃气的隐蔽场所;
3)环境温度高于45℃的地方;
4)经常潮湿的地方;
5)堆放易燃易爆、易腐蚀或有放射性物质等危险的地方;
6)有变、配电等电器设备的地方;
7)有明显振动影响的地方;
8)高层建筑中的避难层及安全疏散楼梯间内。
3 燃气表的环境温度,当使用人工煤气和天然气时,应高于0℃;当使用液化石油气时,应高于其露点5℃以上。
4 住宅内燃气表可安装在厨房内,当有条件时也可设置在户门外。
住宅内高位安装燃气表时,表底距地面不宜小于1.4m;当燃气表装在燃气灶具上方时,燃气表与燃气灶的水平净距不得小于30cm;低位安装时,表底距地面不得小于10cm。
5 商业和工业企业的燃气表宜集中布置在单独房间内,当设有专用调压室时可与调压器同室布置。
10.3.3 燃气表保护装置的设置应符合下列要求:
1 当输送燃气过程中可能产生尘粒时,宜在燃气表前设置过滤器;
2 当使用加氧的富氧燃烧器或使用鼓风机向燃烧器供给空气时,应在燃气表后设置止回阀或泄压装置。
10.4 居民生活用气
10.4 居民生活用气
10.4.1 居民生活的各类用气设备应采用低压燃气,用气设备前(灶前)的燃气压力应在0.75~1.5Pn的范围内(Pn为燃具的额定压力)。
10.4.2 居民生活用气设备严禁设置在卧室内。
10.4.3 住宅厨房内宜设置排气装置和燃气浓度检测报警器。
10.4.4 家用燃气灶的设置应符合下列要求:
1 燃气灶应安装在有自然通风和自然采光的厨房内。利用卧室的套间(厅)或利用与卧室连接的走廊作厨房时,厨房应设门并与卧室隔开。
2 安装燃气灶的房间净高不宜低于2.2m。
3 燃气灶与墙面的净距不得小于10cm。当墙面为可燃或难燃材料时,应加防火隔热板。
燃气灶的灶面边缘和烤箱的侧壁距木质家具的净距不得小于20cm,当达不到时,应加防火隔热板。
4 放置燃气灶的灶台应采用不燃烧材料,当采用难燃材料时,应加防火隔热板。
5 厨房为地上暗厨房(无直通室外的门或窗)时,应选用带有自动熄火保护装置的燃气灶,并应设置燃气浓度检测报警器、自动切断阀和机械通风设施,燃气浓度检测报警器应与自动切断阀和机械通风设施连锁。
10.4.5 家用燃气热水器的设置应符合下列要求:
1 燃气热水器应安装在通风良好的非居住房间、过道或阳台内;
2 有外墙的卫生间内,可安装密闭式热水器,但不得安装其他类型热水器;
3 装有半密闭式热水器的房间,房间门或墙的下部应设有效截面积不小于0.02m2的格栅,或在门与地面之间留有不小于30mm的间隙;
4 房间净高宜大于2.4m;
5 可燃或难燃烧的墙壁和地板上安装热水器时,应采取有效的防火隔热措施;
6 热水器的给排气筒宜采用金属管道连接。
10.4.6 单户住宅采暖和制冷系统采用燃气时,应符合下列要求:
1 应有熄火保护装置和排烟设施;
2 应设置在通风良好的走廊、阳台或其他非居住房间内;
3 设置在可燃或难燃烧的地板和墙壁上时,应采取有效的防火隔热措施。
10.4.7 居民生活用燃具的安装应符合国家现行标准《家用燃气燃烧器具安装及验收规程》CJJ 12的规定。
10.4.8 居民生活用燃具在选用时,应符合现行国家标准《燃气燃烧器具安全技术条件》GB 16914的规定。
10.5 商业用气
10.5 商业用气
10.5.1 商业用气设备宜采用低压燃气设备。
10.5.2 商业用气设备应安装在通风良好的专用房间内;商业用气设备不得安装在易燃易爆物品的堆存处,亦不应设置在兼做卧室的警卫室、值班室、人防工程等处。
10.5.3 商业用气设备设置在地下室、半地下室(液化石油气除外)或地上密闭房间内时,应符合下列要求:
1 燃气引入管应设手动快速切断阀和紧急自动切断阀;停电时紧急自动切断阀必须处于关闭状态;
2 用气设备应有熄火保护装置;
3 用气房间应设置燃气浓度检测报警器,并由管理室集中监视和控制;
4 宜设烟气一氧化碳浓度检测报警器;
5 应设置独立的机械送排风系统;通风量应满足下列要求:
1)正常工作时,换气次数不应小于6次/h;事故通风时,换气次数不应小于12次/h;不工作时换气次数不应小于3次/h;
2)当燃烧所需的空气由室内吸取时,应满足燃烧所需的空气量;
3)应满足排除房间热力设备散失的多余热量所需的空气量。
10.5.4 商业用气设备的布置应符合下列要求:
1 用气设备之间及用气设备与对面墙之间的净距应满足操作和检修的要求;
2 用气设备与可燃或难燃的墙壁、地板和家具之间应采取有效的防火隔热措施。
10.5.5 商业用气设备的安装应符合下列要求:
1 大锅灶和中餐炒菜灶应有排烟设施,大锅灶的炉膛或烟道处应设爆破门;
2 大型用气设备的泄爆装置,应符合本规范第10.6.6条的规定。
10.5.6 商业用户中燃气锅炉和燃气直燃型吸收式冷(温)水机组的设置应符合下列要求:
宜设置在独立的专用房间内;
2 设置在建筑物内时,燃气锅炉房宜布置在建筑物的首层,不应布置在地下二层及二层以下;燃气常压锅炉和燃气直燃机可设置在地下二层;
3 燃气锅炉房和燃气直燃机不应设置在人员密集场所的上一层、下一层或贴邻的房间内及主要疏散口的两旁;不应与锅炉和燃气直燃机无关的甲、乙类及使用可燃液体的丙类危险建筑贴邻?;
4 燃气相对密度(空气等于1)大于或等于0.75的燃气锅炉和燃气直燃机,不得设置在建筑物地下室和半地下室;
5 宜设置专用调压站或调压装置,燃气经调压后供应机组使用。
10.5.7 商业用户中燃气锅炉和燃气直燃型吸收式冷(温)水机组的安全技术措施应符合下列要求:
1 燃烧器应是具有多种安全保护自动控制功能的机电一体化的燃具;
2 应有可靠的排烟设施和通风设施;
3 应设置火灾自动报警系统和自动灭火系统;
4 设置在地下室、半地下室或地上密闭房间时应符合本规范第10.5.3条和10.2.21条的规定。
10.5.8 当需要将燃气应用设备设置在靠近车辆的通道处时,应设置护栏或车挡。
10.5.9 屋顶上设置燃气设备时应符合下列要求:
1 燃气设备应能适用当地气候条件。设备连接件、螺栓、螺母等应耐腐蚀;
2 屋顶应能承受设备的荷载;
3 操作面应有1.8m宽的操作距离和1.1m高的护栏;
4 应有防雷和静电接地措施。
10.6 工业企业生产用气
10.6 工业企业生产用气
10.6.1 工业企业生产用气设备的燃气用量,应按下列原则确定:
1 定型燃气加热设备,应根据设备铭牌标定的用气量或标定热负荷,采用经当地燃气热值折算的用气量;
2 非定型燃气加热设备应根据热平衡计算确定;或参照同类型用气设备的用气量确定;
3 使用其他燃料的加热设备需要改用燃气时,可根据原燃料实际消耗量计算确定。
10.6.2 当城镇供气管道压力不能满足用气设备要求,需要安装加压设备时,应符合下列要求:
1 在城镇低压和中压B供气管道上严禁直接安装加压设备。
2 在城镇低压和中压B供气管道上间接安装加压设备时应符合下列规定:
1)加压设备前必须设低压储气罐。其容积应保证加压时不影响地区管网的压力工况;储气罐容积应按生产量较大者确定;
2)储气罐的起升压力应小于城镇供气管道的最低压力;
3)储气罐进出口管道上应设切断阀,加压设备应设旁通阀和出口止回阀;由城镇低压管道供气时,储罐进口处的管道上应设止回阀;
4)储气罐应设上、下限位的报警装置和储量下限位与加压设备停机和自动切断阀连锁。
3 当城镇供气管道压力为中压A时,应有进口压力过低保护装置。
10.6.3 工业企业生产用气设备的燃烧器选择,应根据加热工艺要求、用气设备类型、燃气供给压力及附属设施的条件等因素,经技术经济比较后确定。
10.6.4 工业企业生产用气设备的烟气余热宜加以利用。
10.6.5 工业企业生产用气设备应有下列装置:
1 每台用气设备应有观察孔或火焰监测装置,并宜设置自动点火装置和熄火保护装置;
2 用气设备上应有热工检测仪表,加热工艺需要和条件允许时,应设置燃烧过程的自动调节装置。
10.6.6 工业企业生产用气设备燃烧装置的安全设施应符合下列要求:
1 燃气管道上应安装低压和超压报警以及紧急自动切断阀;
2 烟道和封闭式炉膛,均应设置泄爆装置,泄爆装置的泄压口应设在安全处;
3 鼓风机和空气管道应设静电接地装置。接地电阻不应大于100Ω;
4 用气设备的燃气总阀门与燃烧器阀门之间,应设置放散管。
10.6.7 燃气燃烧需要带压空气和氧气时,应有防止空气和氧气回到燃气管路和回火的安全措施,并应符合下列要求:
?1 燃气管路上应设背压式调压器,空气和氧气管路上应设泄压阀。
2 在燃气、空气或氧气的混气管路与燃烧器之间应设阻火器;混气管路的最高压力不应大于0.07MPa。
3 使用氧气时,其安装应符合有关标准的规定。
10.6.8 阀门设置应符合下列规定:
1 各用气车间的进口和燃气设备前的燃气管道上均应单独设置阀门,阀门安装高度不宜超过1.7m;燃气管道阀门与用气设备阀门之间应设放散管;
2 每个燃烧器的燃气接管上,必须单独设置有启闭标记的燃气阀门;
3 每个机械鼓风的燃烧器,在风管上必须设置有启闭标记的阀门;
4 大型或并联装置的鼓风机,其出口必须设置阀门;
5 放散管、取样管、测压管前必须设置阀门。
10.6.9 工业企业生产用气设备应安装在通风良好的专用房间内。当特殊情况需要设置在地下室、半地下室或通风不良的场所时,应符合本规范第10.2.21条和第10.5.3条的规定。
10.7 燃烧烟气的排除
10.7 燃烧烟气的排除
10.7.1 燃气燃烧所产生的烟气必须排出室外。设有直排式燃具的室内容积热负荷指标超过207w/m3时,必须设置有效的排气装置将烟气排至室外。
注:有直通洞口(哑口)的毗邻房间的容积也可一并作为室内容积计算。
10.7.2 家用燃具排气装置的选择应符合下列要求:
1 灶具和热水器(或采暖炉)应分别采用竖向烟道进行排气。
2 住宅采用自然换气时,排气装置应按国家现行标准《家用燃气燃烧器具安装及验收规程》CJJ 12-99中A.0.1的规定选择。
3 住宅采用机械换气时,排气装置应按国家现行标准《家用燃气燃烧器具安装及验收规程》CJJ 12-99中A.0.3的规定选择。
10.7.3 浴室用燃气热水器的给排气口应直接通向室外,其排系统与浴室必须有防止烟气泄漏的措施。
10.7.4 商业用户厨房中的燃具上方应设排气扇或排气罩。
10.7.5 燃气用气设备的排烟设施应符合下列要求:
1 不得与使用固体燃料的设备共用一套排烟设施;
2 每台用气设备宜采用单独烟道;当多台设备合用一个总烟道时,应保证排烟时互不影响;
3 在容易积聚烟气的地方,应设置泄爆装置;
4 应设有防止倒风的装置;
5 从设备顶部排烟或设置排烟罩排烟时,其上部应有不小于0.3m的垂直烟道方可接水平烟道;
6 有防倒风排烟罩的用气设备不得设置烟道闸板;无防倒风排烟罩的用气设备,在至总烟道的每个支管上应设置闸板,闸板上应有直径大于15mm的孔;
7 安装在低于0℃房间的金属烟道应做保温。
10.7.6 水平烟道的设置应符合下列要求:
1 水平烟道不得通过卧室;
2 居民用气设备的水平烟道长度不宜超过5m,弯头不宜超过4个(强制排烟式除外);
商业用户用气设备的水平烟道长度不宜超过6m;
工业企业生产用气设备的水平烟道长度,应根据现场情况和烟囱抽力确定;
3 水平烟道应有大于或等于0.01坡向用气设备的坡度;
4 多台设备合用一个水平烟道时,应顺烟气流动方向设置导向装置;
5 用气设备的烟道距难燃或不燃顶棚或墙的净距不应小于5cm;距燃烧材料的顶棚或墙的净距不应小于25cm。
注:当有防火保护时,其距离可适当减小。
10.7.7 烟囱的设置应符合下列要求:
1 住宅建筑的各层烟气排出可合用一个烟囱,但应有防止串烟的措施;多台燃具共用烟囱的烟气进口处,在燃具停用时的静压值应小于或等于零;
2 当用气设备的烟囱伸出室外时,其高度应符合下列要求:
1)当烟囱离屋脊小于1.5m时(水平距离),应高出屋脊0.6m;
2)当烟囱离屋脊1.5~3.0m时(水平距离),烟囱可与屋脊等高;
3)当烟囱离屋脊的距离大于3.0m时(水平距离),烟囱应在屋脊水平线下10°的直线上;
4)在任何情况下,烟囱应高出屋面0.6m;
5)当烟囱的位置临近高层建筑时,烟囱应高出沿高层建筑物45°的阴影线;
3 烟囱出口的排烟温度应高于烟气露点15℃以上;
4 烟囱出口应有防止雨雪进入和防倒风的装置。
10.7.8 用气设备排烟设施的烟道抽力(余压)应符合下列要求:
1 热负荷30kW以下的用气设备,烟道的抽力(余压)不应小于3Pa;
2 热负荷30kW以上的用气设备,烟道的抽力(余压)不应小于10Pa;
3 工业企业生产用气工业炉窑的烟道抽力,不应小于烟气系统总阻力的1.2倍。
10.7.9 排气装置的出口位置应符合下列规定:
1 建筑物内半密闭自然排气式燃具的竖向烟囱出口应符合本规范第10.7.7条第2款的规定。
2 建筑物壁装的密闭式燃具的给排气口距上部窗口和下部地面的距离不得小于0.3m。
3 建筑物壁装的半密闭强制排气式燃具的排气口距门窗洞口和地面的距离应符合下列要求:
1)排气口在窗的下部和门的侧部时,距相邻卧室的窗和门的距离不得小于1.2m,距地面的距离不得小于0.3m。
2)排气口在相邻卧室的窗的上部时,距窗的距离不得小于0.3m。
3)排气口在机械(强制)进风口的上部,且水平距离小于3.0m时,距机械进风口的垂直距离不得小于0.9m。
10.7.10 高海拔地区安装的排气系统的最大排气能力,应按在海平面使用时的额定热负荷确定,高海拔地区安装的排气系统的最小排气能力,应按实际热负荷(海拔的减小额定值)确定。
10.8 燃气的监控设施及防雷、防静电
10.8 燃气的监控设施及防雷、防静电
10.8.1 在下列场所应设置燃气浓度检测报警器:
1 建筑物内专用的封闭式燃气调压、计量间;
2 地下室、半地下室和地上密闭的用气房间;
3 燃气管道竖井;
4 地下室、半地下室引入管穿墙处;
5 有燃气管道的管道层。
10.8.2 燃气浓度检测报警器的设置应符合下列要求:
1 当检测比空气轻的燃气时,检测报警器与燃具或阀门的水平距离不得大于8m,安装高度应距顶棚0.3m以内,且不得设在燃具上方。
2 当检测比空气重的燃气时,检测报警器与燃具或阀门的水平距离不得大于4m,安装高度应距地面0.3m以内。
3 燃气浓度检测报警器的报警浓度应按国家现行标准《家用燃气泄漏报警器》CJ 3057的规定确定。
4 燃气浓度检测报警器宜与排风扇等排气设备连锁。
5 燃气浓度检测报警器宜集中管理监视。
6 报警器系统应有备用电源。
10.8.3 在下列场所宜设置燃气紧急自动切断阀:
1 地下室、半地下室和地上密闭的用气房间;
2 一类高层民用建筑;
3 燃气用量大、人员密集、流动人口多的商业建筑;
4 重要的公共建筑;
5 有燃气管道的管道层。
10.8.4 燃气紧急自动切断阀的设置应符合下列要求:
1 紧急自动切断阀应设在用气场所的燃气入口管、干管或总管上;
2 紧急自动切断阀宜设在室外;
3 紧急自动切断阀前应设手动切断阀;
4 紧急自动切断阀宜采用自动关闭、现场人工开启型。
10.8.5 燃气管道及设备的防雷、防静电设计应符合下列要求:
?1 进出建筑物的燃气管道的进出口处,室外的屋面管、立管、放散管、引入管和燃气设备等处均应有防雷、防静电接地设施;
2 防雷接地设施的设计应符合现行国家标准《建筑物防雷设计规范》GB 50057的规定;
3 防静电接地设施的设计应符合国家现行标准《化工企业静电接地设计规程》HGJ 28的规定。
10.8.6 燃气应用设备的电气系统应符合下列规定:
1 燃气应用设备和建筑物电线、包括地线之间的电气连接应符合有关国家电气规范的规定。
2 电点火、燃烧器控制器和电气通风装置的设计,在电源中断情况下或电源重新恢复时,不应使燃气应用设备出现不安全工作状况。
3 自动操作的主燃气控制阀、自动点火器、室温恒温器、极限控制器或其他电气装置(这些都是和燃气应用设备一起使用的)使用的电路应符合随设备供给的接线图的规定。
4 使用电气控制器的所有燃气应用设备,应当让控制器连接到永久带电的电路上,不得使用照明开关控制的电路。
附录A 制气车间主要生产场所爆炸和火灾危险区域等级
附录A 制气车间主要生产场所爆炸和火灾危险区域等级
附录A 制气车间主要生产场所爆炸和火灾危险区域等级
表A 制气车间主要生产场所爆炸和火灾危险区域等级



注:1 发生炉煤气相对密度大于0.75,其他煤气相对密度均小于0.75。
2 焦炉为一利用可燃气体加热的高温设备,其辅助土建部分的建筑物可化为单元,对其爆炸和火灾危险等级进行划分。
3 直立炉、水煤气炉等建筑物高度满足不了甲类要求,仍按工艺要求设计。
4 从释放源向周围辐射爆炸危险区域的界限应按现行国家标准《爆炸和火灾危险环境电力装置设计规范》GB 50058执行。
附录A 制气车间主要生产场所爆炸和火灾危险区域等级
附录A 制气车间主要生产场所爆炸和火灾危险区域等级
表A 制气车间主要生产场所爆炸和火灾危险区域等级



注:1 发生炉煤气相对密度大于0.75,其他煤气相对密度均小于0.75。
2 焦炉为一利用可燃气体加热的高温设备,其辅助土建部分的建筑物可化为单元,对其爆炸和火灾危险等级进行划分。
3 直立炉、水煤气炉等建筑物高度满足不了甲类要求,仍按工艺要求设计。
4 从释放源向周围辐射爆炸危险区域的界限应按现行国家标准《爆炸和火灾危险环境电力装置设计规范》GB 50058执行。
附录B 煤气净化车间主要生产场所爆炸和火灾危险区域等级
附录B 煤气净化车间主要生产场所爆炸和火灾危险区域等级
表B-1 煤气净化车间主要生产场所生产类别

注:1 所有室外区域不应整体划分某级危险区,应按现行国家标准《爆炸和火灾危险环境电力装置设计规范》GB 50058,以释放源和释放半径划分爆炸危险区域。本表中所列室外区域的危险区域等级均指释放半径内的爆炸危险区域等级,未被划入的区域则均为非危险区。
2 当本表中所列21区和非危险区被划入2区的释放源释放半径内时,则此区应划为2区。
附录C 燃气管道摩擦阻力计算
附录C 燃气管道摩擦阻力计算
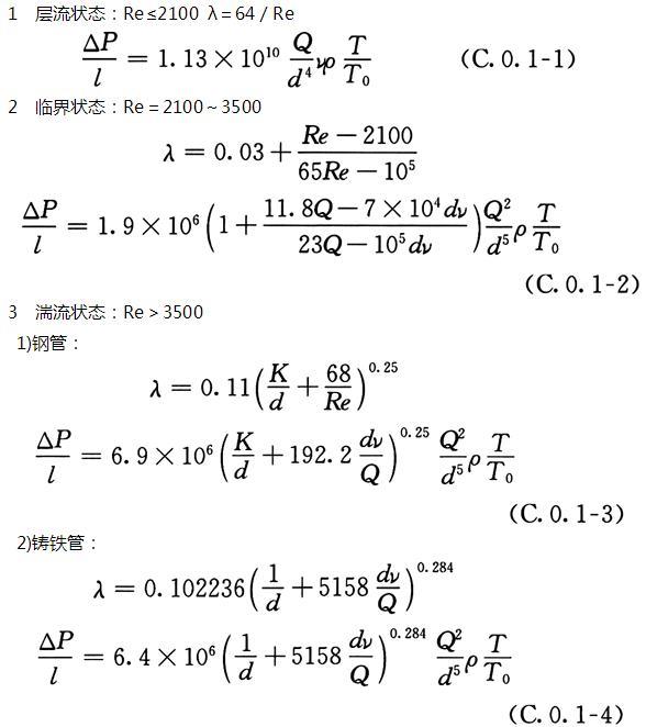
C.0.1 低压燃气管道:
根据燃气在管道中不同的运动状态,其单位长度的摩擦阻力损失采用下列各式计算:

式中?Re——雷诺数;
△P——燃气管道摩擦阻力损失(Pa);
λ——燃气管道的摩擦阻力系数;
l——燃气管道的计算长度(m);
Q——燃气管道的计算流量(m3/h);
d——管道内径(mm);
ρ——燃气的密度(kg/m3);
T——设计中所采用的燃气温度(K);
T0——273.15(K);
υ——0℃和101.325kPa时燃气的运动黏度(m2/s);
K——管壁内表面的当量绝对粗糙度,对钢管:输送天然气和气态液化石油气时取0.1mm;输送人工煤气时取0.15mm。
C.0.2 次高压和中压燃气管道:
根据燃气管道不同材质,其单位长度摩擦阻力损失采用下列各式计算:

式中 L——燃气管道的计算长度(km)。
C.0.3 高压燃气管道的单位长度摩擦阻力损失,宜按现行的国家标准《输气管道工程设计规范》GB 50251有关规定计算。
注:除附录C所列公式外,其他计算燃气管道摩擦阻力系数(λ)的公式,当其计算结果接近本规范式(6.2.6-2)时,也可采用。
附录D 燃气输配系统生产区域用电场所的爆炸危险区域等级和范围划分
附录D 燃气输配系统生产区域用电场所的爆炸危险区域等级和范围划分
D.0.1 本附录适用于运行介质相对密度小于或等于0.75的燃气。相对密度大于0.75的燃气爆炸危险区域等级和范围的划分宜符合本规范附录E的有关规定。
D.0.2 燃气输配系统生产区域用电场所的爆炸危险区域等级和范围划分应符合下列规定:
1 燃气输配系统生产区域所有场所的释放源属第二级释放源。存在第二级释放源的场所可划为2区,少数通风不良的场所可划为1区。其区域的划分宜符合以下典型示例的规定:
1)露天设置的固定容积储气罐的爆炸危险区域等级和范围划分见图D-1。

图D-1 露天设置的固定容积储气罐的爆炸危险区域等级和范围划分
以储罐安全放散阀放散管管口为中心,当管口高度h距地坪大干4.5m时,半径b为3m,顶部距管口a为5m(当管口高度h距地坪小于等于4.5m时,半径b为5m,顶部距管口a为7.5m)以及管口到地坪以上的范围为2区。
储罐底部至地坪以上的范围(半径c不小于4.5m)为2区。
2)露天设置的低压储气罐的爆炸危险区域等级和范围划分见图D-2(a)和D-2(b)。
干式储气罐内部活塞或橡胶密封膜以上的空间为1区。储气罐外部罐壁外4.5m内,罐顶(以放散管管口计)以上7.5m内的范围为2区。

图D-2 露天设置的低压储气罐的爆炸危险区域等级和范围划分
3)低压储气罐进出气管阀门间的爆炸危险区域等级和范围划分见图D-3。
阀门间内部的空间为1区。
阀门间外壁4.5m内,屋顶(以放散管管口计)7.5m内的范围为2区。
4)通风良好的压缩机室、调压室、计量室等生产用房的爆炸危险区域等级和范围划分见图D-4。
建筑物内部及建筑物外壁4.5m内,屋顶(以放散管管口计)以上7.5m内的范围为2区。

图D-4 通风良好的压缩机室、调压室、计量室等生产用房的爆炸危险区域等级和范围划分
5)露天设置的工艺装置区的爆炸危险区域等级和范围的划分见图D-5。
工艺装置区边缘外4.5m内,放散管管口(或最高的装置)以上7.5m内范围为2区。
6)地下调压室和地下阀室的爆炸危险区域等级和范围划分见图D-6。
地下调压室和地下阀室内部的空间为1区。
7)城镇无人值守的燃气调压室的爆炸危险区域等级和范围划分见图D-7。

调压室内部的空间为1区。调压室建筑物外壁4.5m内,屋顶(以放散管管口计)以上7.5m内的范围为2区。
2 下列用电场所可划分为非爆炸危险区域:
1)没有释放源,且不可能有可燃气体侵入的区域;
2)可燃气体可能出现的最高浓度不超过爆炸下限的10%的区域;
3)在生产过程中使用明火的设备的附近区域,如燃气锅炉房等;
4)站内露天设置的地上管道区域。但设阀门处应按具体情况确定。
附录E 液化石油气站用电场所爆炸危险区域等级和范围划分
附录E 液化石油气站用电场所爆炸危险区域等级和范围划分
E.0.1 液化石油气站生产区用电场所的爆炸危险区域等级和范围划分宜符合下列规定:
1 液化石油气站内灌瓶间的气瓶灌装嘴、铁路槽车和汽车槽车装卸口的释放源属第一级释放源,其余爆炸危险场所的释放源属第二级释放源。
2 液化石油气站生产区各用电场所爆炸危险区域的等级,宜根据释放源级别和通风等条件划分。
1)根据释放源的级别划分区域等级。存在第一级释放源的区域可划为1区,存在第二级释放源的区域可划为2区。
2)根据通风等条件调整区域等级。当通风条件良好时,可降低爆炸危险区域等级;当通风不良时,宜提高爆炸危险区域等级。有障碍物、凹坑和死角处,宜局部提高爆炸危险区域等级。
3 液化石油气站用电场所爆炸危险区域等级和范围划分宜符合第E.0.2条~第E.0.6条典型示例的规定。
注:爆炸危险性建筑的通风,其空气流量能使可燃气体很快稀释到爆炸下限的20%以下时,可定为通风良好。
E.0.2 通风良好的液化石油气灌瓶间、实瓶库、压缩机室、烃泵房、气化间、混气间等生产性建筑的爆炸危险区域等级和范围划分见图E.0.2,并宜符合下列规定:
1 以释放源为中心,半径为15m,地面以上高度7.5m和半径为7.5m,顶部与释放源距离为7.5m的范围划为2区;
2 在2区范围内,地面以下的沟、坑等低洼处划为1区。

E.0.3 露天设置的地上液化石油气储罐或储罐区的爆炸危险区域等级和范围的划分见图E.0.3,并宜符合下列规定:
1 以储罐安全阀放散管管口为中心,半径为4.5m,以及至地面以上的范围内和储罐区防护墙以内,防护墙顶部以下的空间划为2区;
2 在2区范围内,地面以下的沟、坑等低洼处划为1区;
3 当烃泵露天设置在储罐区时,以烃泵为中心,半径为4.5m以及至地面以上范围内划为2区。
注:地下储罐组的爆炸危险区域等级和范围可参照本条规定划分。
E.0.4 铁路槽车和汽车槽车装卸口处爆炸危险区域等级和范围划分见图E.0.4,并宜符合下列规定:

1 以装卸口为中心,半径为1.5m的空间和爆炸危险区域以内地面以下的沟、坑等低洼处划为1区;
2 以装卸口为中心,半径为4.5m,1区以外以及地面以上的范围内划分为2区。

E.0.5 无释放源的建筑与有第二级释放源的建筑相邻,并采用不燃烧体实体墙隔开时,其爆炸危险区域和范围划分见图E.0.5,宜符合下列规定:
1 以释放源为中心,按本附录第E.0.2条规定的范围内划分为2区;
2 与爆炸危险建筑相邻,并采用不燃烧体实体墙隔开的无释放源建筑,其门、窗位于爆炸危险区域内时划为2区;
3 门、窗位于爆炸危险区域以外时划为非爆炸危险区。
E.0.6 下列用电场所可划为非爆炸危险区域:
1 没有释放源,且不可能有液化石油气或液化石油气和其他气体的混合气侵入的区域;
2 液化石油气或液化石油气和其他气体的混合气可能出现的最高浓度不超过其爆炸下限10%的区域;
3 在生产过程中使用明火的设备或炽热表面温度超过区域内可燃气体着火温度的设备附近区域。如锅炉房、热水炉间等;
4 液化石油气站生产区以外露天设置的液化石油气和液化石油气与其他气体的混合气管道,但其阀门处视具体情况确定。

附录F 居民生活用燃具的同时工作系数K
附录F 居民生活用燃具的同时工作系数K
表F 居民生活用燃具的同时工作系数K

注:1 表中“燃气双眼灶”是指一户居民装设一个双眼灶的同时工作系数;当每一户居民装设两个单眼灶时,也可参照本表计算。
2 表中“燃气双眼灶和快速热水器”是指一户居民装设一个双眼灶和一个快速热水器的同时工作系数。
3 分散采暖系统的采暖装置的同时工作系数可参照国家现行标准《家用燃气燃烧器具安装及验收规程》CJJ 12-99中表3.3.6-2的规定确定。
本规范用词说明
本规范用词说明
1 为便于在执行本规范条文时区别对待,对要求严格程度不同的用词说明如下:
1)表示很严格,非这样做不可的用词:
正面词采用“必须”;
反面词采用“严禁”。
2)表示严格,在正常情况下均这样做的用词:
正面词采用“应”;
反面词采用“不应”或“不得”。
3)表示允许稍有选择,在条件许可时首先应这样做的用词:
正面词采用“宜”或“可”;
反面词采用“不宜”。
表示有选择,在一定条件下可以这样做的用词,采用“可”。
2 条文中指定应按其他有关标准、规范执行时,写法为“应符合……的规定”或“应按……执行”。
