Appearance
《民用建筑热工设计规范》 GB 50176-2016
🗓️ 实施时间: 2017-04-01
总 则
1 总 则
1.0.1 为使民用建筑热工设计与地区气候相适应,保证室内基本的热环境要求,符合国家节能减排的方针,制定本规范。
条文说明
1.0.1 建筑与当地气候相适应是建筑设计应当遵循的基本原则;创造良好的室内热环境是建筑的基本功能。本规范的主要目的就在于使民用建筑的热工设计与地区气候相适应,保证室内基本的热环境要求。建筑热工设计主要包括建筑物及其围护结构的保温、防热和防潮设计。
建筑热工设计方法和要求是随着技术、经济条件的改善而相应变化的。本规范是在国家标准《民用建筑热工设计规范》GB 50176-93的基础上修订而成的。本规范上一版对室内基本热环境的要求较低,仅维持在“保证人们生活和工作所需的最低限度的热环境要求”的水平。本次修订时,将保温、隔热设计的标准分为“最低限度”和“基本热舒适”两档。设计方法也结合计算手段的更新进行了相应的修改。同时,本次修订还增补了术语,增加了透光围护结构热工设计、自然通风和建筑遮阳设计的内容。
此外,近年来建筑节能工作力度大、关注度高。建筑热工设计作为建筑节能设计的重要基础之一,本规范的修编也充分考虑了对节能设计标准的支撑。
1.0.2 本规范适用于新建、扩建和改建民用建筑的热工设计。本规范不适用于室内温湿度有特殊要求和特殊用途的建筑,以及简易的临时性建筑。
条文说明
1.0.2 本规范的适用范围是民用建筑的热工设计。与上一版相比,不适用对象中删除了地下建筑。修改主要是考虑到目前绝大部分高层建筑均包含有地下室,特别是在公共建筑中,很多地下室与地上建筑一样被做为主要功能房间使用,规范中应当给出相应的设计要求和方法。为此,本规范第5章中也相应增加了地下室外墙、地面的设计要求和方法。因此,地下建筑的热工设计可以参照本规范执行。
对于室内温湿度有特殊要求和特殊用途的建筑(例如:浴室、游泳池等),以及简易的临时性建筑,因其使用条件和建筑标准与一般民用建筑有较大差别,故本规范不适用于这些建筑。
1.0.3 民用建筑的热工设计,除应符合本规范的规定外,尚应符合国家现行有关标准的规定。
术语和符号
2.1 术 语
2.1 术 语
2.1.1 建筑热工 building thermal engineering
研究建筑室外气候通过建筑围护结构对室内热环境的影响、室内外热湿作用对围护结构的影响,通过建筑设计改善室内热环境方法的学科。
条文说明
2.1.1 建筑热工是建筑物理中声、光、热三个基本研究领域之一。从理论层面上讲:主要研究室外气候通过建筑围护结构对室内热环境的影响,以及室内外热、湿共同作用对建筑围护结构的影响。从技术层面上讲:主要研究如何通过合理的建筑设计和采用合适的建筑围护结构来削弱室外气候对室内热环境的不利影响,以及如何通过采用合适的材料和构造来削弱室内外热湿共同作用对建筑围护结构的不利影响。
2.1.2 围护结构 building envelope
分隔建筑室内与室外,以及建筑内部使用空间的建筑部件。
条文说明
2.1.2 围护结构就是将建筑以及建筑内部各个房间(或空间)包围起来的墙、窗、门、屋面、楼板、地板等各种建筑部件的统称。
分隔室内和室外的围护结构称为外围护结构,分隔室内空间的围护结构称为内围护结构。习惯上,不特殊注明时,围护结构常常是指外围护结构,尤其是指外围护结构中的墙和屋面部分。围护结构又可分为透光和非透光两类:透光围护结构有玻璃幕墙、窗户、天窗等;非透光围护结构有墙、屋面和楼板等。
实际使用过程中,围护结构的指代很灵活,既可以指整面外墙、屋面,也可以指其中的特定部分。
2.1.3 热桥 thermal bridge
围护结构中热流强度显著增大的部位。
2.1.4 围护结构单元 building envelope unit
围护结构的典型组成部分,由围护结构平壁及其周边梁、柱等节点共同组成。
条文说明
2.1.4 在建筑热工领域中,多习惯用“围护结构主体部位”来描述外墙中的墙体部分,例如:砖混结构中的砌体部分、框架结构中的填充墙部分。它与其周边的梁、柱等“热桥部位”相对,两者共同构成了围护结构单元。
随着建筑类型的多样化,一方面由于在部分建筑中外窗所占面积很大,围护结构单元中墙体部分所占面积的比例可能与热桥部位相差不大、甚至更少;另一方面在剪力墙结构的围护结构单元中,一面外墙可能是由两种不同材料的墙体构成(混凝土墙和填充墙),两种材料墙体的面积相差不大。这种情况下“主体部位”一词的使用已经显得有些牵强。
此外,随着建筑节能要求的逐步提高,外墙中墙体部分与经过保温处理的热桥部位热阻的差值在减少,一些经过处理的热桥部位热阻值并不低于周边墙体,“主体部位”与“热桥部位”的界定变得非常模糊。
但是,围护结构又必须通过各种构造将不同部位组合起来构成一个整体,不同构造处的热工性能各不相同。因此,在进行热工设计和计算时,有必要将一块板壁与其周边构造区分开,有与之一一对应的概念和术语是非常必要的。
由于围护结构分割了室内一室外、室内一室内空间,而非透光围护结构(外墙、内墙、屋面、楼板、地板等)的基本构成通常是多层板壁,以及与这些多层板壁连接在一起的构造节点。因此,可使用“平壁”一词来指代不考虑周边构造的墙体、楼板、屋面板等多层板壁。实际的建筑中,当围护结构“平壁”周边的构造节点对传热的影响非常大时,称其为“热桥”部位。
整栋建筑的外围护结构可以分解为若干个平面,每个平面又可细分为若干个单元,非透光外围护结构单元包括平壁,以及平壁与窗、阳台、屋面、楼板、地板以及其他墙体等连接部位的构造节点。外围护结构单元可以是一个房间开间的外墙,也可以是连在一起的多个房间的外墙。涉及多个房间时,室内和室外涉及传热的条件分别一致。这样可以用一个公式来计算通过围护结构单元的传热。
2.1.5 导热系数 thermal conductivity,heat conduction coeffi-cient
在稳态条件和单位温差作用下,通过单位厚度、单位面积匀质材料的热流量。
2.1.6 蓄热系数 coefficient of heat accumulation
当某一足够厚度的匀质材料层一侧受到谐波热作用时,通过表面的热流波幅与表面温度波幅的比值。
2.1.7 热阻 thermal resistance
表征围护结构本身或其中某层材料阻抗传热能力的物理量。
2.1.8 传热阻 heat transfer resistance
表征围护结构本身加上两侧空气边界层作为一个整体的阻抗传热能力的物理量。
2.1.9 传热系数 heat transfer coefficient
在稳态条件下,围护结构两侧空气为单位温差时,单位时间内通过单位面积传递的热量。传热系数与传热阻互为倒数。
2.1.10 线传热系数 linear heat transfer coefficient
当围护结构两侧空气温度为单位温差时,通过单位长度热桥部位的附加传热量。
2.1.11 导温系数 thermal diffusivity
材料的导热系数与其比热容和密度乘积的比值,表征物体在加热或冷却时,各部分温度趋于一致的能力,也称热扩散系数。
2.1.12 热惰性 thermal inertia
受到波动热作用时,材料层抵抗温度波动的能力,用热惰性指标(D)来描述。
条文说明
2.1.12 当围护结构(或单一材料层)外表面受到室外温度波动作用时,内表面(背面波)温度会产生相应波动。热惰性表征了不同材料层抵抗波动热作用的能力,其表现为背波面温度波动的大小。
根据围护结构对室内热稳定性的影响,习惯上将热惰性指标D≥2.5的围护结构称为重质围护结构;D<2.5的称为轻质围护结构。
2.1.13 表面换热系数 surface coefficient of heat transfer
围护结构表面和与之接触的空气之间通过对流和辐射换热,在单位温差作用下,单位时间内通过单位面积的热量。
2.1.14 表面换热阻 surface resistance of heat transfer
物体表面层在对流换热和辐射换热过程中的热阻,是表面换热系数的倒数。
2.1.15 太阳辐射吸收系数 solar radiation absorbility factor
表面吸收的太阳辐射热与投射到其表面的太阳辐射热之比。
2.1.16 温度波幅 temperature amplitude
当温度呈周期性波动时,最高值与平均值之差。
条文说明
2.1.16 “平均值”是指一个周期内温度的积分平均。
2.1.17 衰减倍数 damping factor
围护结构内侧空气温度稳定,外侧受室外综合温度或室外空气温度周期性变化的作用,室外综合温度或室外空气温度波幅与围护结构内表面温度波幅的比值。
2.1.18 延迟时间 time lag
围护结构内侧空气温度稳定,外侧受室外综合温度或室外空气温度周期性变化的作用,其内表面温度最高值(或最低值)出现时间与室外综合温度或室外空气温度最高值(或最低值)出现时间的差值。
2.1.19 露点温度 dew-point temperature
在大气压力一定、含湿量不变的条件下,未饱和空气因冷却而到达饱和时的温度。
2.1.20 冷凝 condensation
围护结构内部存在空气或空气渗透过围护结构,当围护结构内部的温度达到或低于空气的露点温度时,空气中的水蒸气析出形成凝结水的现象。
2.1.21 结露 dewing
围护结构表面温度低于附近空气露点温度时,空气中的水蒸气在围护结构表面析出形成凝结水的现象。
2.1.22 水蒸气分压 partial vapor pressure,partial pressure of water vapor
在一定温度下,湿空气中水蒸气部分所产生的压强。
2.1.23 蒸汽渗透系数 coefficient of vapor permeability
单位厚度的物体,在两侧单位水蒸气分压差作用下,单位时间内通过单位面积渗透的水蒸气量。
2.1.24 蒸汽渗透阻 vapor resistivity
一定厚度的物体,在两侧单位水蒸气分压差作用下,通过单位面积渗透单位质量水蒸气所需要的时间。
2.1.25 辐射温差比 the ratio of vertical solar radiation and in-door outdoor temperature difference
累年1月南向垂直面太阳平均辐照度与1月室内外温差的比值。
条文说明
2.1.25 1月南向垂直面太阳平均辐照度的含义是指一月份31天所有时段内的南向垂直面太阳辐照度平均值。
2.1.26 建筑遮阳 shading
在建筑门窗洞口室外侧与门窗洞口一体化设计的遮挡太阳辐射的构件。
条文说明
2.1.26 “建筑遮阳”也常被称为“建筑外遮阳”,或简称为“外遮阳”。
2.1.27 水平遮阳 overhang shading
位于建筑门窗洞口上部,水平伸出的板状建筑遮阳构件。
条文说明
2.1.27 水平遮阳能够有效地遮挡高度角较大的、从门窗洞口上方照射下来的阳光。
2.1.28 垂直遮阳 flank shading
位于建筑门窗洞口两侧,垂直伸出的板状建筑遮阳构件。
条文说明
2.1.28 垂直遮阳能够有效地遮挡高度角较小、从门窗洞口侧向照射过来的阳光。但不能遮挡高度角较大、从门窗洞口上方照射下来的阳光或接近日出日落时分正对门窗洞口平射过来的阳光。
2.1.29 组合遮阳 combined shading
在门窗洞口的上部设水平遮阳、两侧设垂直遮阳的组合式建筑遮阳构件。
条文说明
2.1.29 组合遮阳对遮挡高度角中等、从门窗洞口前斜射下来的阳光比较有效,遮阳效果比较均匀。
2.1.30 挡板遮阳 front shading
在门窗洞口前方设置的与门窗洞口面平行的板状建筑遮阳构件。
条文说明
2.1.30 挡板遮阳能够有效地遮挡高度角比较低、正射窗口的阳光。
2.1.31 百叶遮阳 blade shading
由若干相同形状和材质的板条,按一定间距平行排列而成面状的百叶系统,并将其与门窗洞口面平行设在门窗洞口外侧的建筑遮阳构件。
条文说明
2.1.31 百叶遮阳分为活动式百叶遮阳和固定式百叶遮阳两种。百叶板条可分水平排列和垂直排列两种。活动式百叶遮阳是通过调节系统控制百叶板条的翻转或位移,能根据需要调节百叶系统的遮阳系数,适用于各气候区建筑门窗洞口的遮阳。固定式百叶遮阳的板条不能翻转和移动,可根据建筑地点、门窗洞口朝向和太阳位置以及遮阳要求,通过设计计算百叶的偏转角度和间距,确定夏季遮阳系数小、冬季遮阳系数大的百叶系统形式。
2.1.32 建筑遮阳系数 shading coefficient of building element
在照射时间内,同一窗口(或透光围护结构部件外表面)在有建筑外遮阳和没有建筑外遮阳的两种情况下,接收到的两个不同太阳辐射量的比值。
条文说明
2.1.32 由于太阳的高度角和方位角都是缓缓地变化着的,严格地讲,即使是一个固定的建筑外遮阳(例如窗口上方的一个水平挑檐)其遮阳系数数值也是不停地在变的。对于不同的工程应用,用不同的“照射时间”来处理。例如,对于以小时为步长的建筑热过程模拟程序,为精确计算某个带水平挑檐的窗口每个小时所接收到的太阳辐射量,理论上可以采用每个小时不同的建筑遮阳系数。这种情况下“照射时间”就是1小时。而对于建筑节能设计标准这样的应用,使用者更关心的是一个月甚至一个冬季(或夏季)平均的遮阳系数,这种情况下“照射时间”就是一个月、一个冬季(或夏季)。因此,确定遮阳系数的数值要靠测试和计算的结合。
定义中的“太阳辐射量”均是指太阳辐射全波段(300nm~2500nm)的能量,且包括直射辐射和散射辐射两部分。“透光围护结构部件外表面”适用于玻璃幕墙类建筑,“透光围护结构部件”系指幕墙中某一指定的部分。
遮阳系数越小,遮阳效果越好;遮阳系数越大,遮阳效果越差。
2.1.33 透光围护结构遮阳系数 shading coefficient of trans-parent envelope
在照射时间内,透过透光围护结构部件(如:窗户)直接进入室内的太阳辐射量与透光围护结构外表面(如:窗户)接收到的太阳辐射量的比值。
条文说明
2.1.33 透光围护结构遮阳系数既可以指一片幕墙的遮阳系数,也可以指一樘窗的遮阳系数,对这两者而言,遮阳系数的物理概念是完全一致的。
透光围护结构部件(如:窗户)接收到的太阳辐射能量可以分成三部分:第一部分透过透光围护结构部件(如:窗户)的透光部分,以辐射的形式直接进入室内,称为“太阳辐射室内直接得热量”;第二部分则被透光围护结构部件(如:窗户)吸收,提高了透光围护结构部件(如:窗户)的温度,然后以温差传热的方式分别传向室内和室外,这个过程称为“二次传热”,其中传向室内的那部分又可称为“太阳辐射室内二次传热得热量”;第三部分反射回室外。透光围护结构遮阳系数只涉及第一部分太阳辐射能量,不涉及“二次传热”。
2.1.34 透光围护结构太阳得热系数 solar heat gain coefficient(SHGC)of transparent envelope
在照射时间内,通过透光围护结构部件(如:窗户)的太阳辐射室内得热量与透光围护结构外表面(如:窗户)接收到的太阳辐射量的比值。
条文说明
2.1.34 太阳辐射室内得热量由两部分组成,直接进入室内的太阳辐射室内直接得热量和间接进入室内的太阳辐射室内二次传热得热量。透光围护结构太阳得热系数涉及这两部分热量。由于透光围护结构太阳得热系数既包括了直接透射得热,又包括了二次传热得热,得热量的概念完整清晰,但计算比较复杂。
根据上述定义,通过透光围护结构的室内得热量可表述为下式:

式中:Qg·T——太阳辐射室内得热量;
Qg·d——太阳辐射室内直接得热量;
Qg·t——太阳辐射室内二次传热得热量。?
之所以将太阳辐射室内得热量分成室内直接得热量和室内二次传热得热量,是因为:
1)一般情况下,“太阳辐射室内得热量”中的“太阳辐射室内直接得热量”远大于“太阳辐射室内二次传热得热量”。因此,“太阳辐射室内二次传热得热量”存在着可以简化计算而又不造成太阳辐射室内得热量计算产生过大误差的可能性,方便热工设计。
2)虽然从能量的角度看,直接得热量和二次传热得热量都是一样的,但从室内热环境的角度看,两者还是不同的。直接得热量以辐射的形式出现,人体直接感受到,二次传热则主要以温差传热的形式出现,人体间接感受到。这个差别从内遮阳挡住直接辐射但基本上不影响室内得热最容易体现。坐在靠近大玻璃附近的人,很习惯将内遮阳展开,甚至秋冬季都这样,主要原因显然是过强的直接辐射让人感觉到不舒服。
3)由于要区分直接得热量和二次传热得热量,所以透光围护结构部件(窗户)除了太阳得热系数还不得不需要遮阳系数,而遮阳系数的物理概念对建筑遮阳、透光围护结构部件(窗户)、内遮阳三者都是统一的,也很容易理解和接受。
对于目前使用越来越多的中置遮阳,可当作透光围护结构部件(窗户)本身的构件来处理,即根据中置遮阳展开的不同情况,透光围护结构部件(窗户)可以有若干个透光围护结构遮阳系数和透光围护结构太阳得热系数。
与遮阳系数的定义相比,透光围护结构太阳得热系数多考虑了二次传热部分的室内得热。严格来说,透光围护结构太阳得热系数也是随着边界条件的不同在变化。例如:直接得热部分随着太阳入射角度的不同而有所差异;二次得热量的大小也随着透光围护结构表面换热系数的改变而发生变化。因此,按照定义计算透光围护结构太阳得热系数是非常复杂的。对于一般的透光围护结构而言,这种变化(特别是二次得热部分)在总得热量中所占比重较小,从便于应用的角度考虑,可以采取适当简化的方法来计算。本规范附录C第C.7节即给出了工程中门窗、幕墙太阳得热系数的计算方法。
2.1.35 内遮阳系数 shading coefficient of curtain
在照射时间内,透射过内遮阳的太阳辐射量和内遮阳接收到的太阳辐射量的比值。
条文说明
2.1.35 内遮阳系数是用于判定内遮阳构件对指定的门窗洞口面遮挡太阳辐射效果的参数。
2.1.36 综合遮阳系数 general shading coefficient
建筑遮阳系数和透光围护结构遮阳系数的乘积。
条文说明
2.1.36 对于一个设置了遮阳装置的窗口而言,对太阳辐射的遮挡包括了各种建筑遮阳、窗框、玻璃的综合作用。因此,通常会用“综合遮阳系数”一词来描述各构件的综合遮阳效果。“综合遮阳系数”也是描述围护结构综合遮阳能力,评价其对室内热环境影响的指标。
“综合遮阳系数”的计算应当将建筑遮阳的遮阳作用、窗户的遮阳作用(包括窗框、玻璃的遮阳作用)进行叠加。按照本规范第2.1.32~2.1.35条的定义,可以按照以下方法计算各种情况下室内得热量:
1)无内、外遮阳的情况:

式中:Qg·T——太阳辐射室内得热量(W);
Qg·d——太阳辐射室内直接得热量(W);
I——门窗洞口(透光围护结构部件外表面)朝向的太阳辐射量(W);
SHGC——透光围护结构太阳得热系数;
SCT——综合遮阳系数;
SCw——透光围护结构遮阳系数。
2)有外遮阳无内遮阳的情况:

式中:SCs——建筑遮阳系数。
3)无外遮阳有内遮阳的情况:

式中:SCc——内遮阳系数。
4)有外、内遮阳的情况:

2.2 符 号
2.2 符 号
2.2.1 通用符号:
A——面积;
C——宽度;
c——比热容;
CDD26——以26℃为基准的空调度日数;
d≤5——日平均温度≤5℃的天数;
d≥25——日平均温度≥25℃的天数;
fi——复合围护结构中,第i部分面积占总面积的百分比;
h——高度;
HDD18——以18℃为基准的采暖度日数;
l——长度;
s——间距;
T——波动周期;
tmin·m——最冷月平均温度;
tmax·m——最热月平均温度;
π——圆周率;
ρ——密度;
ρ0——干密度;
δ——材料层的厚度。
2.2.2 传热计算:
a——保温材料导热系数的修正系数;
D——热惰性指标;
D——非匀质复合围护结构的热惰性指标;
Droof——屋面构造层的热惰性指标;
Dsoil——种植屋面绿化构造层的热惰性指标;
g——门窗、幕墙中透光部分的太阳辐射总透射比;
I——太阳辐射照度;
I——太阳辐射照度平均值;
IRT——辐射温差比;
K——传热系数;
Km——平均传热系数;
K*x——不同朝向外墙的非平衡传热系数,脚注x用s、n、e、w表示南、北、东、西朝向;
Q2D——二维传热计算得到的传热量;
R——热阻;
——非匀质复合围护结构的热阻;
R0——传热阻;
Ri——内表面换热阻;
Re——外表面换热阻;
Rmin·x——满足允许温差要求的非透光围护结构热阻最小值,脚注x用w、r、g、b表示墙体、屋面、地面、地下室墙;
Rgreen——种植屋面植被层的附加热阻;
Rroof——屋面构造层的热阻;
Rsoil——种植屋面绿化构造层的热阻;
S——蓄热系数;
SHGC——透光围护结构太阳得热系数;
td——空气露点温度;
te——室外空气温度;
——采暖期室外平均温度;
te·min——累年最低日平均温度;
te·max——累年日平均温度最高日的最高温度;
ti——室内空气温度;
tse——室外综合温度;
——不同朝向外墙的采暖期平均室外综合温度,脚注x用s、n、e、w表示南、北、东、西朝向;
tw——采暖室外计算温度;
△tx——非透光围护结构内表面温度与室内空气温度的温差,脚注x用w、r、g、b表示墙体、屋面、地面、地下室墙;
αe——外表面换热系数;
αi——内表面换热系数;
ε1——热阻最小值的密度修正系数;
ε2——热阻最小值的温差修正系数;
θe——地面、地下室外墙与土体接触面的温度;
θi——围护结构内表面温度;
θi·max——围护结构内表面最高温度;
θi·x——非透光围护结构内表面温度,脚注x用w、r、g、b表示墙体、屋面、地面、地下室墙;
λ——导热系数;
λc——保温材料导热系数计算值;
e——室外温度波幅;
i——围护结构内表面温度波幅;
v——衰减倍数;
ξ——延迟时间;
ξe——室外温度达到最大值的时间;
ξi——围护结构内表面温度达到最大值的时间;
ρs——太阳辐射吸收系数;
ψ——线传热系数。
2.2.3 传湿计算:
H——蒸汽渗透阻;
H0——围护结构总蒸汽渗透阻;
H0·i——冷凝计算界面内侧所需的蒸汽渗透阻;
H0·e——冷凝计算界面至围护结构外表面之间的蒸汽渗透阻;
H0·c——顶棚部分的蒸汽渗透阻;
Pm——围护结构内任一层内界面的水蒸气分压;
Pi——室内空气的水蒸气分压;
Pe——室外空气的水蒸气分压;
Ps——饱和水蒸气分压;
Ps·c——冷凝计算界面处与界面温度对应的饱和水蒸气分压;
Rc,i——冷凝计算界面至围护结构内表面之间的热阻;
Z——采暖期天数;
[△w]——保温材料重量湿度的允许增量;
θc——冷凝计算界面温度;
μ——蒸汽渗透系数;
——计算采暖期室外平均相对湿度。
2.2.4 建筑遮阳系数计算:
b——直射辐射方向百叶的间隙;
Eb,i——百叶板条第i段内表面受到的散射辐射;
Eb,o——从百叶系统反射出来的散射辐射;
Edif,dif——透过百叶系统的散射辐射;
Edir,dif——透过百叶系统的直射辐射的散射辐射;
Edir,dir——直接透过百叶系统的直射辐射;
Ef,i——百叶板条第i段外表面受到的散射辐射;
Ef,k+1——通过百叶系统透射过去的散射辐射;
Ef,o——入射到百叶系统的散射辐射;
Eτ——通过百叶遮阳系统后的太阳辐射;
Fp→q——表面p到表面q的角系数;
hs——太阳高度角;
I0——门窗洞口(透光围护结构部件外表面)朝向的太阳总辐射;
ID——门窗洞口朝向的太阳直射辐射;
Id——水平面的太阳散射辐射;
SCs——建筑遮阳系数;
ts——遮阳板倾斜角;
shade_l——遮阳板挑出长度;
win_h——窗口高度;
win_w——窗口宽度;
XD——遮阳构件的直射辐射透射比;
Xd——遮阳构件的散射辐射透射比;
α——门、窗口的垂直视角;
β——门、窗口的水平视角;
ε——壁面太阳方位角;
η——挡板的轮廓透光比;
η*——挡板材料的透射比;
ρdif,dif——百叶系统对散射辐射的反射比;
ρdir,dif——百叶板条对直射辐射的散射透射反射比;
ρdir,dir——百叶系统镂空部分对直射辐射的反射比;
ρf,i——百叶板条第i段外表面的太阳辐射反射比;
ρb,i——百叶板条第i段内表面的太阳辐射反射比;
τdif,dif——百叶系统对散射辐射的透射比;
τdir,dif——百叶板条对直射辐射的散射透射透射比;
τdir,dir——百叶板条对直射辐射的直接透射比;
τf,i——百叶板第i段外表面的太阳辐射透射比;
τb,i——百叶板第i段内表面的太阳辐射透射比。
条文说明
2.2.1~2.2.4 由于本规范中部分章节的内容自成体系、相对独立,且计算复杂、涉及的符号多(如:防潮、建筑遮阳等的计算)。为了保证各部分内容的系统性、便于查找,本节按照计算内容将符号分条列示。其中,第2.2.1条通用符号中主要包括了①数学、物理中常用的约定俗成的符号;②本规范中用到,但在第2.2.2~2.2.4条中无法列入的符号。对于在第5章~第9章中两个以上的章节用到的符号,列入其主要使用章节条目中。
热工计算基本参数和方法
3.1 室外气象参数
3.1 室外气象参数
3.1.1 最冷、最热月平均温度的确定应符合下列规定:
1 最冷月平均温度tmin·m应为累年一月平均温度的平均值;
2 最热月平均温度tmax·m应为累年七月平均温度的平均值。
条文说明
3.1.1 “累年”即多年,特指整编气象资料时,所采用的以往一段连续年份的累积。“最冷(热)月平均温度”指:以往连续多年(通常为10年以上)的一(七)月平均温度的平均值。
本次规范修编,所采用的室外气象参数为1995年~2004年的数据。
影响室外空气温度的气候因素很多,从多年的统计资料看,每年的最冷(热)月并不一定总是一(七)月份。但例外情况很少,且温度的差值不大。如:本规范统计计算的450个台站10年的数据中,仅有5个台站最冷月不是一月,且最冷月的月平均温度与一月平均温度差值的平均值仅有0.16℃;有46个台站最热月不是七月,且最热月的月平均温度与七月平均温度差值的平均值仅有0.44℃。同时,本规范上一版第3.1.1条条文说明中也明确指出:“最冷月(即一月)”、“最热月(即七月)”,并将该参数作为热工设计分区的主要指标。因此,从规范衔接的角度考虑,本次修编仍然沿用了旧版“最冷(热)月平均温度”的概念。
3.1.2 采暖、空调度日数的确定应符合下列规定:
1 采暖度日数HDD18应为历年采暖度日数的平均值;
2 空调度日数CDD26应为历年空调度日数的平均值。
条文说明
3.1.2 “历年”即逐年,特指整编气象资料时,所采用的以往一段连续年份中的每一年。采暖(空调)度日数指:每年中,当室外日平均温度低(高)于冬季采暖(夏季空调)室内计算温度18℃(26℃)时,将日平均温度与冬季采暖(夏季空调)室内计算温度18℃(26℃)的差值累加,得到该年的年采暖(空调)度日数。然后,计算以往连续多年(通常为10年以上)中每一年的采暖(空调)度日数的平均值,即为采暖(空调)度日数。
3.1.3 全国主要城市室外气象参数应按本规范附录A的规定选用。
3.2 室外计算参数
3.2 室外计算参数
3.2.1 冬季室外计算参数的确定应符合下列规定:
1 采暖室外计算温度tw应为累年年平均不保证5d的日平均温度;
2 累年最低日平均温度te·min应为历年最低日平均温度中的最小值。
条文说明
3.2.1 物候学中的“冬季”指:取候(5日)平均温度低于10℃的时期。
采暖室外计算温度的挑选是将累年日平均温度从小到大排序,数列中第“5N+1”天(N为年数)的日平均温度值即为采暖室外计算温度tw。例如:当采取10年数据进行挑选时,选取第51天的日平均温度作为tw。
累年最低日平均温度的挑选是将累年日平均温度从小到大排序,数列中的最小值即为累年最低日平均温度te·min。
3.2.2 冬季室外热工计算温度te应按围护结构的热惰性指标D值的不同,依据表3.2.2的规定取值。
表3.2.2 冬季室外热工计算温度

3.2.3 夏季室外计算参数的确定应符合下列规定:
1 夏季室外计算温度逐时值应为历年最高日平均温度中的最大值所在日的室外温度逐时值;
2 夏季各朝向室外太阳辐射逐时值应为与温度逐时值同一天的各朝向太阳辐射逐时值。
条文说明
3.2.3 物候学中的“夏季”指:取候(5日)平均温度超过22℃的时期。
夏季室外计算温度逐时值的挑选是将累年日平均温度从大到小排序,数列中的最大值所在日的室外温度逐时值,即为夏季室外计算温度逐时值。
3.2.4 全国主要城市室外计算参数应按本规范附录A的规定选用。
3.3 室内计算参数
3.3 室内计算参数
3.3.1 冬季室内热工计算参数应按下列规定取值:
1 温度:采暖房间应取18℃,非采暖房间应取12℃;
2 相对湿度:一般房间应取30%~60%。
条文说明
3.3.1 本条规定了热工设计计算时冬季室内计算参数的取值。
本条中给出的参数值用于进行热工计算以评价建筑物围护结构的热工性能是否符合规范要求。该参数既不是建筑运行时的实际状况,也不是建筑室内热环境的控制目标。
相对湿度给出了一个区间,主要是考虑到不同地区冬季室外空气相对湿度存在较大差别,采暖建筑室内相对湿度人工调节的情况较少,室内空气相对湿度主要受室外空气相对湿度的影响。因此,在进行热工设计时,允许设计人员根据建筑所在地的实际情况选择不同的室内相对湿度计算值。
3.3.2 夏季室内热工计算参数应按下列规定取值:
1 非空调房间:空气温度平均值应取室外空气温度平均值+1.5K、温度波幅应取室外空气温度波幅—1.5K,并将其逐时化;
2 空调房间:空气温度应取26℃;
3 相对湿度应取60%。
3.4 基本计算方法
3.4 基本计算方法
3.4.1 单一匀质材料层的热阻应按下式计算:

式中:R——材料层的热阻(m2·K/W);
δ——材料层的厚度(m);
λ——材料的导热系数[W/(m·K)],应按本规范附录B表B.1的规定取值。
3.4.2 多层匀质材料层组成的围护结构平壁的热阻应按下式计算:

式中:R1,R2……Rn——各层材料的热阻(m2·K/W),其中,实体材料层的热阻应按本规范第3.4.1条的规定计算,封闭空气间层热阻应按本规范附录表B.3的规定取值。
3.4.3 由两种以上材料组成的、二(三)向非均质复合围护结构的热阻R应按本规范附录第C.1节的规定计算。
3.4.4 围护结构平壁的传热阻应按下式计算:

式中:R0——围护结构的传热阻(m2·K/W);
Ri——内表面换热阻(m2·K/W),应按本规范附录B第B.4节的规定取值;
Re——外表面换热阻(m2·K/W),应按本规范附录B第B.4节的规定取值;
R——围护结构平壁的热阻(m2·K/W),应根据不同构造按本规范第3.4.1~3.4.3条的规定计算。
3.4.5 围护结构平壁的传热系数应按下式计算:

式中:K——围护结构平壁的传热系数[W/(m2·K)];
R0——围护结构的传热阻(m2·K/W),应按本规范第3.4.4条的规定计算。
3.4.6 围护结构单元的平均传热系数应考虑热桥的影响,并应按下式计算:

式中:Km——围护结构单元的平均传热系数[W/(m2·K)];
K——围护结构平壁的传热系数[W/(m2·K)],应按本规范第3.4.5条的规定计算;
ψj——围护结构上的第j个结构性热桥的线传热系数[W/(m·K)],应按本规范第C.2节的规定计算;
lj——围护结构第j个结构性热桥的计算长度(m);
A——围护结构的面积(m2)。
3.4.7 材料的蓄热系数应按下式计算:

式中:S——材料的蓄热系数[W/(m2·K)],应按本规范附录B表B.1的规定取值;
λ——材料的导热系数[W/(m·K)];
c——材料的比热容[kJ/(kg·K)],应按本规范附录B表B.1的规定取值;
ρ——材料的密度(kg/m3);
T——温度波动周期(h),一般取T=24h;
π——圆周率,取π=3.14。
3.4.8 单一匀质材料层的热惰性指标应按下式计算:

式中:D——材料层的热惰性指标,无量纲;
R——材料层的热阻(m2·K/W),应按本规范第3.4.1条的规定计算;
S——材料层的蓄热系数[W/(m2·K)],应按本规范第3.4.7条的规定计算。
3.4.9 多层匀质材料层组成的围护结构平壁的热惰性指标应按下式计算:

式中:D1,D2……Dn——各层材料的热惰性指标,无量纲,其中,实体材料层的热惰性指标应按本规范第3.4.8条的规定计算,封闭空气层的热惰性指标应为零。
3.4.10 计算由两种以上材料组成的、二(三)向非均质复合围护结构的热惰性指标D值时,应先将非匀质复合围护结构沿平行于热流方向按不同构造划分成若干块,再按下式计算:

式中:
——非匀质复合围护结构的热惰性指标,无量纲;
A1,A2……An——平行于热流方向的各块平壁的面积(m2);
D1,D2……Dn——平行于热流方向的各块平壁的热惰性指标,无量纲,应根据不同构造按本规范第3.4.8~3.4.9条的规定计算。
3.4.11 室外综合温度应按下式计算:

式中:tse——室外综合温度(℃);
te——室外空气温度(℃);
I——投射到围护结构外表面的太阳辐射照度(W/m2);
ρs——外表面的太阳辐射吸收系数,无量纲,应按本规范附录B表B.5的规定取值;
αe——外表面换热系数[W/(m2·K)],应按本规范附录B第B.4节的规定取值。
3.4.12 围护结构的衰减倍数应按下式计算:

式中:v——围护结构的衰减倍数,无量纲;
e——室外综合温度或空气温度波幅(K);
i——室外综合温度或空气温度影响下的围护结构内表面温度波幅(K),应采用围护结构周期传热计算软件计算。
3.4.13 围护结构的延迟时间应按下式计算:

式中:ξ——围护结构的延迟时间(h);
ξe——室外综合温度或空气温度达到最大值的时间(h);
ξi——室外综合温度或空气温度影响下的围护结构内表面温度达到最大值的时间(h),应采用围护结构周期传热计算软件计算。
3.4.14 单一匀质材料层的蒸汽渗透阻应按下式计算:

式中:H——材料层的蒸汽渗透阻(m2·h·Pa/g),常用薄片材料和涂层的蒸汽渗透阻应按本规范附录表B.6的规定选用;
δ——材料层的厚度(m);
μ——材料的蒸汽渗透系数[g/(m·h·Pa)],应按本规范附录B表B.1的规定取值。
3.4.15 多层匀质材料层组成的围护结构的蒸汽渗透阻应按下式计算:

式中:H1、H2……Hn——各层材料的蒸汽渗透阻(m2·h·Pa/g),其中,实体材料层的蒸汽渗透阻应按本规范第3.4.14条的规定计算或选用,封闭空气层的蒸汽渗透阻应为零。
3.4.16 冬季围护结构平壁的内表面温度应按下式计算:

式中:θi——围护结构平壁的内表面温度(℃);
R0——围护结构平壁的传热阻(m2·K/W);
Ri——内表面换热阻(m2·K/W);
ti——室内计算温度(℃);
te——室外计算温度(℃)。
3.4.17 夏季围护结构平壁的内表面温度应按本规范附录C第C.3节的规定计算。
建筑热工设计原则
4.1 热工设计分区
4.1 热工设计分区
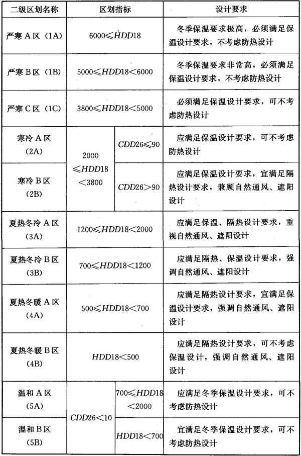
4.1.1 建筑热工设计区划分为两级。建筑热工设计一级区划指标及设计原则应符合表4.1.1的规定,建筑热工设计一级区划可参考本规范附录A图A.0.3。
条文说明
4.1.1 原规范所做的热工设计分区充分考虑了热工设计的需求,且区划与中国气候状况相契合,较好地区分了不同地区不同的热工设计要求。特别是近年来随着建筑节能工作的开展,5个热工分区的概念被广泛使用、深入人心。因此,本次修订时,首先确定了“大区不动”的区划调整原则,沿用严寒、寒冷、夏热冬冷、夏热冬暖、温和地区的区划方法和指标,并将其作为热工设计分区的一级区划。本规范附录A图A.0.3给出了我国热工设计一级区划在较大尺度上的分布状况,可供设计人员参考。
表4.1.1 建筑热工设计一级区划指标及设计原则

4.1.2 建筑热工设计二级区划指标及设计要求应符合表4.1.2的规定,全国主要城市的二级区属应符合本规范附录A表A.0.1的规定。
条文说明
4.1.2 由于中国地域辽阔,每个热工一级区划的面积非常大。例如:同为严寒地区的黑龙江漠河和内蒙古额济纳旗,最冷月平均温度相差18.3℃、HDD18相差4110。对于寒冷程度差别如此大的两个地区,采用相同的设计要求显然是不合适的。因此,规范修订提出了“细分子区”的区划调整目标。
热工设计二级分区采用“HDD18、CDD26”作为区划指标,将建筑热工各一级区划进行细分。与一级区划指标(最冷、最热月平均温度)相比,该指标既表征了气候的寒冷和炎热的程度,也反映了寒冷和炎热持续时间的长短。采用该指标在一级区划的基础上进行细分,保证了与“大区不动”的指导思想一致;同时,该指标也与《严寒和寒冷地区居住建筑节能设计标准》JGJ 26-2010中的细化分区指标相同。
需要指出的是:影响气候的因素很多,地理距离的远近并不是造成气候差异的唯一因素。海拔高度、地形、地貌、大气环流等对局地气候影响显著。因此,各区划间一定会出现相互参差的情况。这在只有5个一级区划时已经有所表现,但由于一级区划的尺度较大,现象并不明显。当将一级区划细分后,这一现象非常突出。因此,二级区划没有再采用分区图的形式表达,改用表格的形式给出每个城市的区属。这样避免了复杂图形可能带来的理解偏差,各城市的区属明确、边界清晰,且便于规范的执行和管理。
表4.1.2 建筑热工设计二级区划指标及设计要求

4.1.3 本规范附录A表A.0.1中未涉及的目标城镇,可根据本规范附录A表A.0.2的规定确定参考城镇,目标城镇的建筑热工设计二级分区区属和室外气象参数可按参考城镇选取。当参考其他城镇的区属和气象参数时,设计中应注明被参考城镇的名称。
条文说明
4.1.3 本规范附录A表A.0.1的气象参数均是以气象观测数据为基础通过一定的统计方法计算出来的。受所掌握气象观测资料的限制,本规范提供了表中所列的354个城镇的气象参数。而在我国的行政区划中,至2009年底,全国31个省级行政区中(不包括港、澳、台地区),有333个地级行政区划单位,2858个县级行政区划单位。从城市数量看,截至2009年,我国城市数量达到654个(其中:4个直辖市、283个地级市、367个县级市)。因此,本规范所给出的城镇数量远远不及城镇的实际数量,更无法覆盖全部行政区。
按行业标准《建筑气象参数标准》JGJ 35-87中的规定,当建设地点与拟引用数据的气象台站水平距离在50km以内,海拔高度差在100m以内时可以直接引用。附录A中的表A.0.2中给出了附录表A.0.1中未涉及的我国县级以上城镇的地理信息,以及与之距离最近的已知气象数据地点的列表。从表中可以看到,未知城市与参考地点之间符合行业标准《建筑气象参数标准》JGJ 35-87中关于数据直接引用的规定。
4.2 保温设计
4.2 保温设计
4.2.1 建筑外围护结构应具有抵御冬季室外气温作用和气温波动的能力,非透光外围护结构内表面温度与室内空气温度的差值应控制在本规范允许的范围内。
条文说明
4.2.1 在冬季,室外空气温度持续低于室内气温,并在一定范围内波动。与之对应的是围护结构中热流始终从室内流向室外,其大小随室内外温差的变化也会产生一定的波动。除受室内气温的影响外,围护结构内表面的冷辐射对人体热舒适影响也很大。为了降低采暖负荷并将人体的热舒适维持在一定的水平,建筑围护结构应当尽量减少由内向外的热传递,且当室外温度急剧波动时,减小室内和围护结构内表面温度的波动,保证人体的热舒适水平。
4.2.2 严寒、寒冷地区建筑设计必须满足冬季保温要求,夏热冬冷地区、温和A区建筑设计应满足冬季保温要求,夏热冬暖A区、温和B区宜满足冬季保温要求。
4.2.3 建筑物的总平面布置、平面和立面设计、门窗洞口设置应考虑冬季利用日照并避开冬季主导风向。
4.2.4 建筑物宜朝向南北或接近朝向南北,体形设计应减少外表面积,平、立面的凹凸不宜过多。
4.2.5 严寒地区和寒冷地区的建筑不应设开敞式楼梯间和开敞式外廊,夏热冬冷A区不宜设开敞式楼梯间和开敞式外廊。
4.2.6 严寒地区建筑出入口应设门斗或热风幕等避风设施,寒冷地区建筑出入口宜设门斗或热风幕等避风设施。
4.2.7 外墙、屋面、直接接触室外空气的楼板、分隔采暖房间与非采暖房间的内围护结构等非透光围护结构应按本规范第5.1节和第5.2节的要求进行保温设计。
4.2.8 外窗、透光幕墙、采光顶等透光外围护结构的面积不宜过大,应降低透光围护结构的传热系数值、提高透光部分的遮阳系数值,减少周边缝隙的长度,且应按本规范第5.3节的要求进行保温设计。
4.2.9 建筑的地面、地下室外墙应按本规范第5.4节和第5.5节的要求进行保温验算。
4.2.10 围护结构的保温形式应根据建筑所在地的气候条件、结构形式、采暖运行方式、外饰面层等因素选择,并应按本规范第7章的要求进行防潮设计。
4.2.11 围护结构中的热桥部位应进行表面结露验算,并应采取保温措施,确保热桥内表面温度高于房间空气露点温度。
条文说明
4.2.11 热桥部位是围护结构热工性能的薄弱环节,确保热桥部位在冬季不结露是避免围护结构内表面霉变的必要条件。从保证建筑正常使用、保证健康室内环境的角度考虑,将冬季热桥内表面温度高于房间空气露点温度设置为强制性条文。
4.2.12 围护结构热桥部位的表面结露验算应符合本规范第7.2节的规定。
4.2.13 建筑及建筑构件应采取密闭措施,保证建筑气密性要求。
4.2.14 日照充足地区宜在建筑南向设置阳光间,阳光间与房间之间的围护结构应具有一定的保温能力。
4.2.15 对于南向辐射温差比(ITR)大于等于4W/(m2·K),且1月南向垂直面冬季太阳辐射强度大于等于60W/m2的地区,可按本规范附录C第C.4节的规定采用“非平衡保温”方法进行围护结构保温设计。
条文说明
4.2.15 “非平衡保温”是一种“等热流”设计方法,即:在考虑了各朝向太阳辐射作用下,不同朝向外墙的传热系数不同,其中南向较大、北向较小、东西向居中。
符合条文中所给出的两个可进行“非平衡保温设计”气候条件的地区主要集中在青藏高原及其周边地区,典型城市有:拉萨、日喀则、林芝、昆明、大理、西昌、甘孜、松潘、阿坝、若尔盖、康定、西宁、格尔木、敦煌、民勤、哈密、银川等。
4.3 防热设计
4.3 防热设计
4.3.1 建筑外围护结构应具有抵御夏季室外气温和太阳辐射综合热作用的能力。自然通风房间的非透光围护结构内表面温度与室外累年日平均温度最高日的最高温度的差值,以及空调房间非透光围护结构内表面温度与室内空气温度的差值应控制在本规范允许的范围内。
条文说明
4.3.1 建筑外围护结构包括屋顶、外墙和外窗等。夏季室内热环境的变化主要是室外气温和太阳辐射综合热作用的结果,外围护结构防热能力越强,室外综合热作用对室内热环境影响越小,不易造成室内过热。围护结构内表面温度是衡量围护结构隔热水平的重要指标,夏季内表面温度太高,易造成室内过热,影响人体健康。应把围护结构内表面温度与室内空气温度的差值控制在规范允许的范围内,防止室内过热,保持室内舒适度要求。
建筑热工设计主要任务之一,是要采取措施提高外围护结构防热能力。对屋面、外墙(特别是西墙)要进行隔热处理,应达到防热所要求的热工指标,减少传进室内的热量和降低围护结构的内表面温度,因而要合理地选择外围护结构的材料和构造形式。最理想的是白天隔热好而夜间散热又快的构造形式。自然通风是排除房间余热,改善室内热湿环境的主要途径之一。要合理设计围护结构热工参数,要有利于房间的通风散热。
4.3.2 夏热冬暖和夏热冬冷地区建筑设计必须满足夏季防热要求,寒冷B区建筑设计宜考虑夏季防热要求。
条文说明
4.3.2 本条规定主要是根据建筑热工设计的实际需要,以及与现行有关标准规范相协调。隔热与夏季的室外温度、太阳辐射密切相关。夏热冬暖地区和夏热冬冷地区最热月平均气温在25℃~30℃之间,太阳辐射强烈,例如夏热冬暖和夏热冬冷地区夏季实测屋面外表面温度南京可达62℃,武汉64℃、重庆61℃、广州60℃、南宁60℃以上,西墙外表面温度南京可达51℃,武汉55℃、重庆56℃、广州52℃、南宁54℃以上,建筑设计应采取防热措施,尽量降低室外温度和太阳辐射对室内热环境影响。寒冷地区许多城市夏季最高温度都超过35℃,太阳辐射也很强烈,?围护结构外表面亦可达50℃以上,建筑设计时也应适当兼顾夏季防热。
4.3.3 建筑物防热应综合采取有利于防热的建筑总平面布置与形体设计、自然通风、建筑遮阳、围护结构隔热和散热、环境绿化、被动蒸发、淋水降温等措施。
条文说明
4.3.3 在当前我国技术经济条件和能源短缺的形势下,建筑设计采取被动式节能方式符合国情和“节能减排”方针。实践证明,采用有利于防热的建筑总平面布置与形体设计、自然通风、建筑遮阳、围护结构隔热和散热、环境绿化、被动蒸发、淋水降温等综合性的技术措施,可以取得很好的防热效果,降低建筑空调能耗。
4.3.4 建筑朝向宜采用南北向或接近南北向,建筑平面、立面设计和门窗设置应有利于自然通风,避免主要房间受东、西向的日晒。
条文说明
4.3.4 我国位于北半球,建筑采用南北向或接近南北向,充分利用夏季盛行东南风和西南风的气候条件,结合良好的建筑平、立面设计和门窗设置,可以增强室内外自然通风,提高室内环境质量,并缩短建筑空调降温时间。
4.3.5 非透光围护结构(外墙、屋面)应按本规范第6.1节和第6.2节的要求进行隔热设计。
4.3.6 建筑围护结构外表面宜采用浅色饰面材料,屋面宜采用绿化、涂刷隔热涂料、遮阳等隔热措施。
条文说明
4.3.6 在夏季,当有太阳辐射时,采用浅色饰面材料的建筑屋面和外墙面,能反射较多的太阳辐射热,从而能降低空调负荷和自然通风时的内表面温度;当无太阳辐射时,它又能把屋面和外墙内部所积蓄的太阳辐射热较快地向外天空辐射出去,因此,围护结构采用浅色饰面对降低夏季空调耗电量和改善室内热环境都起着重要作用。在夏热冬暖地区非常适宜采用这个技术。夏热冬冷地区浅色饰面建筑物的冬季采暖能耗会有所增大,但与夏季空调能耗综合比较,突出的矛盾仍是在夏季。
屋面绿化、涂刷隔热涂料、遮阳是解决屋面隔热问题非常有效的方法。绿化屋面可以降低内表面的温度,而且使昼夜温度稳定;涂刷隔热涂料,可以反射大量的太阳辐射,屋面遮阳可以有效遮挡太阳辐射,降低屋面外表面温度,减少热量进入室内,改善室内热环境。
4.3.7 透光围护结构(外窗、透光幕墙、采光顶)隔热设计应符合本规范第6.3节的要求。
4.3.8 建筑设计应综合考虑外廊、阳台、挑檐等的遮阳作用。建筑物的向阳面,东、西向外窗(透光幕墙),应采取有效的遮阳措施。
条文说明
4.3.8 窗户是建筑围护结构中热工性能最薄弱的构件。透过窗户进入室内的太阳辐射热,构成夏季室内空调的主要负荷。建筑各立面朝向中,东、西向易受太阳直射,因此东、西向建筑外墙面和外窗(透光幕墙)设置外遮阳,是减少太阳辐射热进入室内的十分有效措施。外遮阳形式多种多样,如结合建筑外廊、阳台、挑檐遮阳,外窗设置固定遮阳或活动遮阳等。随着建筑节能的发展,遮阳的形式和品种越来越多,各地可结合当地条件加以灵活采用。?
4.3.9 房间天窗和采光顶应设置建筑遮阳,并宜采取通风和淋水降温措施。
条文说明
4.3.9 房间的天窗和采光顶位于太阳辐射最大的朝向,应采取活动式遮阳即满足采光需要也防止室内过热,但即便是设置了遮阳的天窗或采光顶,在外侧半球空间的散射辐射和内侧集聚的高温空气作用下,天窗或采光顶构件的温度高于室内表面温度对室内产生热辐射,所以应采取设置通风装置或开设天窗等措施排除天窗顶部的热空气,设置淋水、喷雾装置降低天窗和采光顶的温度,以降低天窗或采光顶表面对室内环境的热辐射作用。
4.3.10 夏热冬冷、夏热冬暖和其他夏季炎热的地区,一般房间宜设置电扇调风改善热环境。
条文说明
4.3.10 电扇调风是指利用房间设置的吊扇、壁扇、摆扇等调节室内风场分布状态,弥补自然通风不稳定缺陷,以风速补偿作用提高室内环境热舒适度。采用电扇调风是传统建筑自然通风状态下改善室内热环境提高热舒适的一种有效措施,也是节约空调能耗的有效措施,在欧美、日本等发达国家以及东南亚地区应用较为普遍,因此南方地区民用建筑在没有特殊要求的房间宜设置电扇。
4.4 防潮设计
4.4 防潮设计
4.4.1 建筑构造设计应防止水蒸气渗透进入围护结构内部,围护结构内部不应产生冷凝。
条文说明
4.4.1 建筑围护结构在使用过程中,当围护结构两侧出现温度与湿度差时,会造成围护结构内部温湿度的重新分布。若围护结构内部某处温度低于了空气露点温度,围护结构内部空气中的水分或渗入围护结构内部的空气中的水分将发生冷凝。因此,应防止水蒸气渗透进入围护结构内部,并控制围护结构内部不产生冷凝。
4.4.2 围护结构内部冷凝验算应符合本规范第7.1节的要求。
4.4.3 建筑设计时,应充分考虑建筑运行时的各种工况,采取有效措施确保建筑外围护结构内表面温度不低于室内空气露点温度。
条文说明
4.4.3 建筑无论是自然通风,还是在采暖或空调条件下,当空气中水蒸气接触围护结构表面时,只要表面温度低于空气露点温度,便会有水析出,表面发生凝结,使围护结构受潮,因此,外围护结构内表面温度不应低于室内空气露点温度。
外围护结构容易发生内表面结露的情况主要有两种,北方冬季热桥的内表面和南方过渡季围护结构的内表面。
围护结构的热桥部位系指嵌入墙体的混凝土或金属梁、柱,墙体和屋面板中的混凝土肋或金属件,装配式建筑中的板材接缝以及墙角、屋面檐口、墙体勒脚、楼板与外墙、内隔墙与外墙连接处等部位。这些部位保温薄弱,热流密集,内表面温度较低,可能产生程度不同的结露和长霉现象,影响室内卫生条件和围护结构的耐久性。设计时,应对这些部位的内表面温度进行验算,以便确定其是否低于室内空气露点温度。
南方过渡季节,当室外温度快速升高、湿度接近饱和时,由于围护结构的内表面温度略低于空气温度,当室外高温、高湿的空气与围护结构内表面接触时,也会发生表面结露现象。设计时,也应当采取合理的措施,避免发生结露。
4.4.4 建筑围护结构的内表面结露验算应符合本规范第7.2节的要求。
4.4.5 围护结构防潮设计应遵循下列基本原则:
1 室内空气湿度不宜过高;
2 地面、外墙表面温度不宜过低;
3 可在围护结构的高温侧设隔汽层;
4 可采用具有吸湿、解湿等调节空气湿度功能的围护结构材料;
5 应合理设置保温层,防止围护结构内部冷凝;
6 与室外雨水或土壤接触的围护结构应设置防水(潮)层。
条文说明
4.4.5 围护结构的受潮除了直接被雨(水)浸透外,从建筑热工角度来讲,围护结构内部冷凝、围护结构表面结露和泛潮是建筑防潮设计时应考虑的主要问题。围护结构受潮会降低材料性能、滋生霉菌,进而影响建筑的美观、正常使用,甚至使用者的健康。本条仅给出了围护结构防潮设计的基本原则,在围护结构防潮设计过程中,为控制和防止围护结构的冷凝、结露与泛潮,必须根据围护结构使用功能的热湿特点,针对性的采取防冷凝,防结露与防泛潮等综合措施。
4.4.6 夏热冬冷长江中、下游地区、夏热冬暖沿海地区建筑的通风口、外窗应可以开启和关闭。室外或与室外连通的空间,其顶棚、墙面、地面应采取防止返潮的措施或采用易于清洗的材料。
条文说明
4.4.6 在我国长江中、下游夏热冬冷地区春夏之交季节,夏热冬暖沿海地区初春季节,由于气候受热带气团控制,湿空气吹向大陆且骤然增加,房间在开窗情况下,较湿的空气流过围护结构内表面,当围护结构内表面温度低于室内空气露点温度时,就会在外墙内表面、地面上产生结露现象,俗称泛潮。例如在我国长江中、下游以南的夏热冬冷地区,在五六月间的梅雨季节,华南沿海地区初春季节的回南(潮)天应关闭通风口和外窗,减少潮湿空气进入室内,提高建筑围护结构内表面温度,降低室内空气湿度,减少室内表面结露。同时,在可能出现返潮现象的部位应采取适当措施以减少返潮对围护结构带来的危害。
围护结构保温设计
5.1 墙 体
5.1 墙 体
5.1.1 墙体的内表面温度与室内空气温度的温差△tw应符合表5.1.1的规定。
表5.1.1 墙体的内表面温度与室内空气温度温差的限值

注:△tw=ti—θi·w。
条文说明
5.1.1 原规范保温设计指标是围护结构的最小传热阻。在最小传热阻计算中除了跟室内外计算温度、表面换热阻相关外,主要受室内空气与围护结构内表面之间的允许温差控制。随着国家经济、技术水平的提高,原保温设计仅保证围护结构内表面不结露的标准偏低。因此,本规范将设计目标确定为不结露和基本热舒适两档,设计时可根据建筑的具体情况酌情选用。
与原规范中采用最小传热阻作为非透光围护结构保温设计的指标不同,本规范中将内表面温度与室内空气温度的温差作为设计指标。这样,既明确了不同限值的设计目标;也可以与隔热设计的控制指标统一起来。
在基本热舒适条件下,围护结构不同部位与室内空气温度的温差限值的确定参照了ASHRAE55-2004中的相关内容。
5.1.2 未考虑密度和温差修正的墙体内表面温度可按下式计算:

式中:θi·w——墙体内表面温度(℃);
ti——室内计算温度(℃),应按本规范第3.3.1条的规定取值;
te——室外计算温度(℃),应按本规范第3.2.2条的规定取值;
Ri——内表面换热阻(m2·K/W),应按本规范附录B第B.4节的规定取值;
R0·w——墙体传热阻(m2·K/W)。
5.1.3 不同地区,符合本规范第5.1.1条要求的墙体热阻最小值Rmin·w应按下式计算或按本规范附录D表D.1的规定选用。

其中:Rmin·w——满足△tw要求的墙体热阻最小值(m2·K/W);
Re——外表面换热阻(m2·K/W),应按本规范附录B第B.4节的规定取值。
5.1.4 不同材料和建筑不同部位的墙体热阻最小值应按下式进行修正计算:

其中:Rw——修正后的墙体热阻最小值(m2·K/W);
ε1——热阻最小值的密度修正系数,可按本规范表5.1.4-1选用;
ε2——热阻最小值的温差修正系数,可按本规范表5.1.4-2选用。
表5.1.4-1 热阻最小值的密度修正系数ε1

注:ρ为围护结构的密度。
条文说明
5.1.4 在按照围护结构的密度确定密度修正系数ε1时,对于内保温、外保温和夹心保温体系,应按扣除保温层后的构造计算围护结构的密度;对于自保温体系,应按围护结构的实际构造计算密度。
当围护结构构造中存在空气间层时,若空气间层完全位于墙体(屋面)材料层一侧时,应按扣除空气间层后的构造计算围护结构的密度;否则应按实际构造计算密度。
表5.1.4-2 热阻最小值的温差修正系数ε2

5.1.5 提高墙体热阻值可采取下列措施:
1 采用轻质高效保温材料与砖、混凝土、钢筋混凝土、砌块等主墙体材料组成复合保温墙体构造;
2 采用低导热系数的新型墙体材料;
3 采用带有封闭空气间层的复合墙体构造设计。
5.1.6 外墙宜采用热惰性大的材料和构造,提高墙体热稳定性可采取下列措施:
1 采用内侧为重质材料的复合保温墙体;
2 采用蓄热性能好的墙体材料或相变材料复合在墙体内侧。
5.2 楼、屋面
5.2 楼、屋面
5.2.1 楼、屋面的内表面温度与室内空气温度的温差△tr应符合表5.2.1的规定。
表5.2.1 楼、屋面的内表面温度与室内空气温度温差的限值

注:△tr=ti—θi·r。
5.2.2 未考虑密度和温度修正的楼、屋面内表面温度可按下式计算:

式中:θi·r——楼、屋面内表面温度(℃);
R0·r——楼、屋面传热阻(m2·K/W)。
5.2.3 不同地区,符合本规范第5.2.1条要求的楼、屋面热阻最小值Rmin·r应按下式计算或按本规范附录D表D.1的规定选用。

其中:Rmin·r——满足△tr要求的楼、屋面热阻最小值(m2·K/W)。
5.2.4 不同材料和建筑不同部位的楼、屋面热阻最小值应按下式进行修正计算:

其中:Rr——修正后的楼、屋面热阻最小值(m2·K/W);
ε1——热阻最小值的密度修正系数,可按本规范表5.1.4-1选用;
ε2——热阻最小值的温差修正系数,可按本规范表5.1.4-2选用。
5.2.5 屋面保温设计应符合下列规定:
1 屋面保温材料应选择密度小、导热系数小的材料;
2 屋面保温材料应严格控制吸水率。
5.3 门窗、幕墙、采光顶
5.3 门窗、幕墙、采光顶
5.3.1 各个热工气候区建筑内对热环境有要求的房间,其外门窗、透光幕墙、采光顶的传热系数宜符合表5.3.1的规定,并应按表5.3.1的要求进行冬季的抗结露验算。严寒地区、寒冷A区、温和地区门窗、透光幕墙、采光顶的冬季综合遮阳系数不宜小于0.37。
条文说明
5.3.1 该条规定了各个气候区建筑门窗、玻璃幕墙、采光顶的保温性能(传热系数)宜达到的最低要求以及是否需要进行抗结露验算。其中对门窗、玻璃幕墙传热系数的要求是按照基本不结露的原则而确定的。需要明确的是:为了保证室内基本的热舒适要求,本条是对一栋建筑中所有门窗传热系数的限值要求,不是各朝向的平均门窗传热系数,也就避免了建筑节能设计时进行权衡判断而导致出现保温性能太差的外门窗。
由于“建筑遮阳系数”规定了其计算是“在照射时间内”。因此,当严寒、寒冷A、温和地区不需要考虑夏季隔热时,本条对其门窗、幕墙、采光顶的冬季综合遮阳系数规定了最小值,以保证这些地区建筑的冬季日照不受影响。
表5.3.1 建筑外门窗、透光幕墙、采光顶传热系数的限值和抗结露验算要求

5.3.2 门窗、透光幕墙的传热系数应按本规范附录C第C.5节的规定进行计算,抗结露验算应按本规范附录C第C.6节的规定计算。
条文说明
5.3.2 现行行业标准《建筑门窗玻璃幕墙热工计算规程》JGJ/T 151中将门窗、幕墙的热工计算方法都进行了详细规定,并已经在幕墙门窗行业得到广泛应用。本规范附录C第C.5节和第C.6节根据现行行业标准《建筑门窗玻璃幕墙热工计算规程》JGJ/T 151给出了透光和非透光的门窗、幕墙的传热系数计算公式,以及门窗、玻璃幕墙的抗结露验算方法。
5.3.3 严寒地区、寒冷地区建筑应采用木窗、塑料窗、铝木复合门窗、铝塑复合门窗、钢塑复合门窗和断热铝合金门窗等保温性能好的门窗。严寒地区建筑采用断热金属门窗时宜采用双层窗。夏热冬冷地区、温和A区建筑宜采用保温性能好的门窗。
条文说明
5.3.3 严寒、寒冷地区的门窗应以保温为主,门窗的保温性能主要受窗框、玻璃两部分热工性能的影响,以窗框材料来看,木窗、塑料窗的保温性能明显优于铝合金门窗,如果采用中空玻璃,传热系数一般可以达到2.0W/(m2·K)~2.5W/(m2·K)。铝木复合门窗、铝塑复合门窗、钢塑复合门窗是在木窗、金属窗的基础上发展起来的,保温性能一般是在2.8W/(m2·K)以下,基本能满足严寒、寒冷地区的热工要求。普通的铝合金窗框保温性能较差,一般是10W/(m2·K)以上,做了断热处理之后,框的传热系数基本可做到4.0W/(m2·K)~5.0W/(m2·K),使用中空玻璃之后,断热铝合金门窗的传热系数一般在2.5W/(m2·K)~3.5W/(m2·K)之间,在寒冷地区比较适用,但是对于严寒地区就很难满足要求,因此建议严寒地区建筑采用断热金属门窗时宜采用双层窗。对于夏热冬冷地区、温和A区,也有一定的保温要求,因此建议设计时综合考虑,宜采用保温性能较好的门窗,不宜直接采用单片玻璃窗。夏热冬暖地区、温和B区一般无特别的保温要求。
5.3.4 严寒地区、寒冷地区、夏热冬冷地区、温和A区的玻璃幕墙应采用有断热构造的玻璃幕墙系统,非透光的玻璃幕墙部分、金属幕墙、石材幕墙和其他人造板材幕墙等幕墙面板背后应采用高效保温材料保温。幕墙与围护结构平壁间(除结构连接部位外)不应形成热桥,并宜对跨越室内外的金属构件或连接部位采取隔断热桥措施。
条文说明
5.3.4 与本规范第5.3.3条类似,对于严寒地区应加强保温,幕墙应使用断热构造或断热铝合金型材,进一步提高幕墙系统的保温性能,同时减少型材处的结露问题。对于非透光部分的幕墙,在设计时是作为墙体来要求其热工性能,因此使用高效保温材料,技术易实现,成本也低,并且能达到很好的保温效果,提高建筑的整体热工性能。幕墙与主体结构之间的连接部位、跨越室内外的金属构件是幕墙传热的薄弱部位,应进行保温处理,不要形成热桥,导致冬季结露。
5.3.5 有保温要求的门窗、玻璃幕墙、采光顶采用的玻璃系统应为中空玻璃、Low-E中空玻璃、充惰性气体Low-E中空玻璃等保温性能良好的玻璃,保温要求高时还可采用三玻两腔、真空玻璃等。传热系数较低的中空玻璃宜采用“暖边”中空玻璃间隔条。
条文说明
5.3.5 根据本规范附录表C.5.3-3的数据,中空玻璃的保温性能远远优于单片玻璃,单片普通玻璃传热系数在5.5W/(m2·K)~5.8W/(m2·K),单片Low-E玻璃可达到3.5W/(m2·K)左右,以12mm气体层为例,普通中空玻璃可以达到2.8W/(m2·K)左右,Low-E中空玻璃可以达到1.8W/(m2·K)左右,充氩气的中空玻璃可以达到1.4W/(m2·K)左右,三层双中空的Low-E中空玻璃可以达到1.0W/(m2·K)~1.4W/(m2·K),真空玻璃更是可以降低到0.4W/(m2·K)~0.6W/(m2·K)。对于保温要求较高的建筑,所使用的门窗、玻璃幕墙、采光顶应当考虑气候区、建筑热工设计等综合要求,选择合适的玻璃系统,以提高整体的保温性能。
对于保温性能优良的中空玻璃,如果搭配了“暖边”中空玻璃间隔条,可减少玻璃与框结合部位的结露问题,并且进一步降低门窗、幕墙的整体传热系数。
5.3.6 严寒地区、寒冷地区、夏热冬冷地区、温和A区的门窗、透光幕墙、采光顶周边与墙体、屋面板或其他围护结构连接处应采取保温、密封构造;当采用非防潮型保温材料填塞时,缝隙应采用密封材料或密封胶密封。其他地区应采取密封构造。
条文说明
5.3.6 门窗、玻璃幕墙周边与墙体或其他围护结构连接处,如果不做特殊处理,易形成热桥,对于严寒地区、寒冷地区、夏热冬冷地区、温和A区来说,冬季就会造成结露,因此要求对这些特殊部位采用保温、密封构造,特别是一定要采用防潮型保温材料,如果是不防潮的保温材料在冬季就会吸收了凝结水变得潮湿,降低保温效果。这些构造的缝隙必须采用密封材料或密封胶密封,杜绝外界的雨水、冷凝水等影响。
5.3.7 严寒地区、寒冷地区可采用空气内循环的双层幕墙,夏热冬冷地区不宜采用双层幕墙。
条文说明
5.3.7 现在有一些大型的公共建筑大量使用双层幕墙,但是如果使用的形式不合适,反而会对室内热环境产生不利影响。在这里提出建议,严寒、寒冷地区可采用空气内循环双层幕墙。
夏热冬冷地区由于在过渡季节有自然通风要求,夏季双层幕墙的隔热作用不大,因此这一地区不宜采用双层幕墙。
5.4 地 面
5.4 地 面
5.4.1 建筑中与土体接触的地面内表面温度与室内空气温度的温差△tg应符合表5.4.1的规定。
表5.4.1 地面的内表面温度与室内空气温度温差的限值

注:△tg=ti—θi·g。
5.4.2 地面内表面温度可按下式计算:

式中:θi·g——地面内表面温度(℃);
Rg——地面热阻(m2·K/W);
θe——地面层与土体接触面的温度(℃),应取本规范附录A表A.0.1中的最冷月平均温度。
5.4.3 不同地区,符合本规范第5.4.1条要求的地面层热阻最小值Rmin·g可按下式计算或按本规范附录D表D.2的规定选用。

式中:Rmin·g——满足△tg要求的地面热阻最小值(m2·K/W)。
5.4.4 地面层热阻的计算只计入结构层、保温层和面层。
5.4.5 地面保温材料应选用吸水率小、抗压强度高、不易变形的材料。
5.5 地下室
5.5 地下室
5.5.1 距地面小于0.5m的地下室外墙保温设计要求同外墙;距地面超过0.5m、与土体接触的地下室外墙内表面温度与室内空气温度的温差△tb应符合表5.5.1的规定。
表5.5.1 地下室外墙的内表面温度与室内空气温度温差的限值

注:△tb=ti—θi·b。
5.5.2 地下室外墙内表面温度可按下式计算:

式中:θi·b——地下室外墙内表面温度(℃);
Rb——地下室外墙热阻(m2·K/W);
θe——地下室外墙与土体接触面的温度(℃),应取本规范附录A表A.0.1中的最冷月平均温度。
5.5.3 不同地区,符合本规范第5.5.1条要求的地下室外墙热阻最小值Rmin·b可按下式计算或按本规范附录D表D.2的规定选用。

式中:Rmin·b——满足△tb要求的地下室外墙热阻最小值。
5.5.4 地下室外墙热阻的计算只计入结构层、保温层和面层。
围护结构隔热设计
6.1 外 墙
6.1 外 墙
6.1.1 在给定两侧空气温度及变化规律的情况下,外墙内表面最高温度应符合表6.1.1的规定。
条文说明
6.1.1??本条为强制性条文。建筑围护结构隔热性能是体现建筑和围护结构在夏季室外热扰动条件下的防热特性最基本的指标。主要是指外围护结构在室外非稳态热扰动条件下抵抗室外热扰动能力的一种特性,通常采用外围护结构内表面温度,以及温度波和热流波在围护结构中传播时的衰减和延迟特性来表示。
在我国南方地区夏季屋面外表面综合温度会达到60℃以上,西墙外表面温度达50℃以上,围护结构外表面综合温度的波幅可超过20℃,在这种强波动作用下,会造成围护结构内表面温度出现较大的波动,使围护结构内表面平均辐射温度大大超过人体热舒适热辐射温度,直接影响室内热环境的好坏和建筑能耗的大小。因此,把建筑外围护结构内表面最高温度作为控制围护结构隔热性能最重要的指标用强制性条文给予规定。
衰减与延迟也是体现围护结构隔热性能特性的基本指标,主要影响到围护结构内表面温度的波幅大小和峰值出现的时间,它与围护结构材料热物性和构造形式有关。在围护结构热阻相同的条件下,围护结构材料的热物性和构造形式不同,衰减倍数与延迟时间是不同的。由于其热过程机理和计算过程也比较复杂,在工程中评价围护结构的防热特性时,没有围护结构内表面温度对室内热环境的影响大。从工程应用的角度出发,本规范把衰减与延迟作为评价围护结构隔热性能特性的主要指标,但未作为强制性条文给予规定。
由于围护结构材料的热物性和构造形式不同,围护结构所体现出的隔热特性也不同。在我国夏热冬冷和夏热冬暖地区,无论是自然通风、连续空调还是间歇空调,热稳定性好的厚重围护结构与加气混凝土、混凝土空心砌块以及金属夹芯板等热稳定性差的轻质围护结构相比,外围护结构内表面温度波幅差别很大。规范编制组通过计算分析和实验、工程现场测试,在热阻相同条件下(0.52m2·K/W),连续空调室内温度为26℃时,实心页岩砖外墙内表面温度波幅值为1℃以内,加气混凝土外墙内表面温度波幅为2.0℃以上,金属夹芯板外墙内表面温度波幅为3.0℃以上。可以看出在热阻相同条件下,轻质围护结构比重质围护结构抵抗室外热扰动能力要差得多,所以对轻质围护结构内表面最高温度比重质围护表面最高温度的限值要宽松。
在《民用建筑热工设计规范》GB 50176-93中,隔热设计将围护结构内表面最高温度低于当地夏季室外计算温度最高值作为评价指标,相当于在自然通风条件下240mm实心砖墙(清水墙,内侧抹20mm石灰砂浆)的隔热水平。随着经济水平的发展和国家对建筑节能工作的重视,240mm砖墙的隔热水平远远达不到今天节能建筑墙体的热工性能,而且越来越多的建筑采用了空调方式进行室内环境的控制,这些情况都与30多年前发生了根本性的改变。但自然通风条件下围护结构隔热性能同样重要,尤其在评价被动建筑热性能时具有重要的作用,在南方还有许多建筑利用自然通风来改善室内热环境。因此,本规范采用自然通风和空调两种工况条件下来评价围护结构的隔热性能。
随着计算流体动力学技术的发展,虽然在传热计算上有得天独厚的优势,在自然通风状态下,对建筑物室内、外的换热这样一个耦合换热过程分析已经能够做到比较准确的数值计算。但在实际计算过程中,面临着边界条件参数难以确定等问题,而且对于建筑设计人员来讲掌握计算流体动力学分析也是一件复杂的工作。所以本规范提出了在给定边界条件下围护结构隔热性能的评价方法。
本规范表6.1.1给出了隔热设计的评价标准,评价仅围绕围护结构本身的隔热性能,只反映出围护结构固有的热特性,而不是整个房间的热特性。分别按空调房间还是自然通风房间给出不同的设计限值。具体评价标准的基准条件是外墙的两侧分别给定空气温度及变化规律,即外墙外表面为当地的夏季最热月典型日的逐时室外综合温度,自然通风房间外墙内侧空气温度平均值比室外空气温度平均值高1.5℃、波幅小1.5℃;空调房间外墙内侧空气温度为固定的26℃。由于围护结构重质与轻质对热稳定性影响很大,所以分别对重质围护结构和轻质围护结构的内表面最高温度作出不同的标准规定。
表6.1.1 在给定两侧空气温度及变化规律的情况下,外墙内表面最高温度限值

6.1.2 外墙内表面最高温度θi·max应按本规范附录C第C.3节的规定计算。
6.1.3 外墙隔热可采用下列措施:
1 宜采用浅色外饰面。
2 可采用通风墙、干挂通风幕墙等。
3 设置封闭空气间层时,可在空气间层平行墙面的两个表面涂刷热反射涂料、贴热反射膜或铝箔。当采用单面热反射隔热措施时,热反射隔热层应设置在空气温度较高一侧。
4 采用复合墙体构造时,墙体外侧宜采用轻质材料,内侧宜采用重质材料。
5 可采用墙面垂直绿化及淋水被动蒸发墙面等。
6 宜提高围护结构的热惰性指标D值。
7 西向墙体可采用高蓄热材料与低热传导材料组合的复合墙体构造。
条文说明
6.1.3 所提出的几种外墙隔热措施,是工程中普遍采用、经测试和实际应用证明行之有效的。有些措施隔热效果显著,但应注意使用条件,如墙面垂直绿化及淋水墙面,使用时应加强管理。
6.2 屋 面
6.2 屋 面
6.2.1 在给定两侧空气温度及变化规律的情况下,屋面内表面最高温度应符合表6.2.1的规定。
条文说明
6.2.1 本条为强制性条文。把屋面内表面最高温度作为控制围护结构隔热性能的强制性条文给予规定,是由于屋面所受到的太阳辐射比外墙更大,而且屋面内表面的表面放热系数还小于外墙内表面,屋面的内表面温度比外墙的内表面温度更难控制。在气候相同条件下屋面内表面平均辐射温度大于外墙内表面平均辐射温度,对室内热环境影响更大,所以将屋面的内表面最高温度限值在外墙基础上提高了0.5℃。
表6.2.1 在给定两侧空气温度及变化规律的情况下,屋面内表面最高温度限值

6.2.2 屋面内表面最高温度θi·max应按本规范附录C第C.3节的规定计算。
6.2.3 屋面隔热可采用下列措施:
1 宜采用浅色外饰面。
2 宜采用通风隔热屋面。通风屋面的风道长度不宜大于10m,通风间层高度应大于0.3m,屋面基层应做保温隔热层,檐口处宜采用导风构造,通风平屋面风道口与女儿墙的距离不应小于0.6m。
3 可采用有热反射材料层(热反射涂料、热反射膜、铝箔等)的空气间层隔热屋面。单面设置热反射材料的空气间层,热反射材料应设在温度较高的一侧。
4 可采用蓄水屋面。水面宜有水浮莲等浮生植物或白色漂浮物。水深宜为0.15m~0.2m。
5 宜采用种植屋面。种植屋面的保温隔热层应选用密度小、压缩强度大、导热系数小、吸水率低的保温隔热材料。
6 可采用淋水被动蒸发屋面。
7 宜采用带老虎窗的通气阁楼坡屋面。
8 采用带通风空气层的金属夹芯隔热屋面时,空气层厚度不宜小于0.1m。
条文说明
6.2.3 所提出的几种屋面隔热措施,经测试和实际应用证明行之有效。有些措施隔热效果显著,但应注意因地制宜,适当采用,如通风屋面中的导风檐口,宜在夏季多风地区采用;蓄水屋面和植被屋面,使用时应加强管理等。
6.2.4 种植屋面的布置应使屋面热应力均匀、减少热桥,未覆土部分的屋面应采取保温隔热措施使其热阻与覆土部分接近。
条文说明
6.2.4 为了保证种植屋面的隔热效果,避免屋面出现较大的热应力差,对屋面未覆土部分的热工性能作出了规定。
6.2.5 种植屋面的热阻和热惰性指标可按下列公式计算:

式中:R——种植屋面热阻(m2·K/W);
A——种植屋面的面积(m2);
Rgreen,i——一种植屋面各种绿化植被层的附加热阻(m2·K/W),应按本规范附录B表B.7.1的规定取值;
Ai——种植屋面各种绿化植被层在屋面上的覆盖面积(m2);
Rsoil,j——绿化构造层各层热阻(m2·K/W),其中:种植材料层的导热系数应按本规范附录B表B.7.2-1取值计算,排(蓄)水层的热阻(导热系数)应按本规范附录B表B.7.2-2取值计算;
Rroof,k——屋面构造层各层热阻(m2·K/W);
D——种植屋面热惰性指标,无量纲;
Dsoil,j——绿化构造层各层热惰性指标,无量纲,其中:种植材料层的蓄热系数应按本规范附录表B.7.2-1取值计算,排(蓄)水层的蓄热系数应按本规范附录表B.7.2-2取值计算;
Droof,k——屋面构造层各层热惰性指标,无量纲。
条文说明
6.2.5 绿化屋面进行计算时应加入植被层和种植覆土等的附加热阻。热容方面,植被层可以假设为零,土层表面蒸发的作用归入植被层的附加热阻中。
植被层的可选植物丰富,各种植被层的作用有差别,并且不一定覆盖整个屋面,因此屋面绿化植被层的附加热阻采用各种植被层的附加热阻按面积加权平均计算。各种植被层的附加热阻分冬、夏两季考虑。冬季植物处于休眠状态,植被层有减少种植层表面空气流动的作用,夏季植被层的隔热效果主要受植被冠层茂密程度的影响。本规范附录B表B.7.1是根据植被特征、种植情况和茂密程度给出附加热阻参考值,其中佛甲草种植屋面的附加热阻是根据热工测量得出。
种植构造层包括种植土层、过滤层、排(蓄)水层等,应分别计算各层热阻。根据现行行业标准《种植屋面工程技术规程》JGJ 155,应用于屋面绿化的种植土有两类:改良土(湿密度为750kg/m3~1300kg/m3,有效水分为37%)和无机复合种植土(450kg/m3~650kg/m3,有效水分为45%)。分别取两类土的样品材料,测量其含水量符合要求的材料导热系数和蓄热系数,作为本规范附录B表B.7.2-1中夏季参考值。考虑到南方地区冬季降雨的影响,雨水进入土层后会使屋面热损失增加30%左右,种植土的导热系数用1.2进行修正。常用的排(蓄)水层材料有两类:塑料排(蓄)水板和陶粒,本规范附录B表B.7.2-2给出了相应的热工参数值。其中凹凸型排(蓄)水板与屋面形成空气层,具有空气层热阻,陶粒按30%含湿量给出导热系数和蓄热系数参考值。
6.3 门窗、幕墙、采光顶
6.3 门窗、幕墙、采光顶
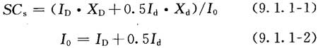
6.3.1 透光围护结构太阳得热系数与夏季建筑遮阳系数的乘积宜小于表6.3.1规定的限值。
条文说明
6.3.1 夏季室内外温差与冬季相比要小,透光围护结构夏季隔热主要是控制太阳辐射进入室内。因此,本条规定了需要考虑夏季隔热的各气候区透光围护结构隔热性能(即:透光围护结构太阳得热系数与夏季建筑遮阳系数的乘积)宜满足的要求。其中:透光围护结构太阳得热系数的计算应采用夏季计算条件,建筑遮阳系数应采用夏季时段的结果。
表6.3.1 透光围护结构太阳得热系数与夏季建筑遮阳系数乘积的限值

6.3.2 透光围护结构的太阳得热系数应按本规范附录C第C.7节的规定计算;建筑遮阳系数应按本规范第9.1节的规定计算。
6.3.3 对遮阳要求高的门窗、玻璃幕墙、采光顶隔热宜采用着色玻璃、遮阳型单片Low-E玻璃、着色中空玻璃、热反射中空玻璃、遮阳型Low-E中空玻璃等遮阳型的玻璃系统。
条文说明
6.3.3 保温性能好的玻璃未必遮阳性能就优良。比如普通的透光中空玻璃,其传热系数可以达到2.8W/(m2·K)左右,遮阳系数值也较高;单片绿色玻璃传热系数高达5.7W/(m2·K),但是其遮阳系数值较透明中空玻璃大幅降低。对于夏季,透光围护结构的隔热以遮阳隔热为主,因此从玻璃遮阳隔热的角度来看,着色玻璃、遮阳型单片Low-E玻璃、着色中空玻璃、热反射中空玻璃、遮阳型Low-E中空玻璃更加合适,建议不要使用普通的透光中空玻璃。
6.3.4 向阳面的窗、玻璃门、玻璃幕墙、采光顶应设置固定遮阳或活动遮阳。固定遮阳设计可考虑阳台、走廊、雨棚等建筑构件的遮阳作用,设计时应进行夏季太阳直射轨迹分析,根据分析结果确定固定遮阳的形状和安装位置。活动遮阳宜设置在室外侧。
条文说明
6.3.4 建筑遮阳的目的在于防止直射阳光透过玻璃进入室内,减少阳光过分照射加热建筑室内,是门窗隔热的主要措施。由于太阳的高度角和方位角不同,投射到建筑物水平面、西向、东向、南向和北向立面的太阳辐射强度各不相同。夏季,太阳辐射强度随朝向不同有较大差别,一般以水平面最高,东、西向次之,南向较低,北向最低。但我国幅员辽阔,有部分地区处于北回归线以南,该部分地区夏季北向也会有较大的太阳辐射,也该予以一定的关注。为此,建筑遮阳设计、选择的优先顺序应根据投射的太阳辐射强度确定,所以设计应进行夏季太阳直射轨迹分析。
透过窗户进入室内的太阳辐射热,是夏季室内过热和空调负荷的主要原因。设置遮阳不仅要考虑降低空调负荷,改善室内的热舒适性,减少太阳直射;同时也需要考虑非空调时间的采光以及冬季的阳光照射需求。
6.3.5 对于非透光的建筑幕墙,应在幕墙面板的背后设置保温材料,保温材料层的热阻应满足墙体的保温要求,且不应小于1.0(m2·K)/W。
条文说明
6.3.5 在玻璃幕墙、石材幕墙、金属板幕墙等各种幕墙构造背后添加保温材料之后,都属于非透光幕墙,在计算时都是当做墙体进行热工计算。如果背后添加的保温材料的热阻不小于1.0(m2·K)/W,再考虑幕墙本身的热阻,也就是基本保证此非透光幕墙构造的传热系数不大于0.7W/(m2·K),基本能满足隔热要求。如果室内侧还有实体墙,隔热效果就更好了。
围护结构防潮设计
7.1 内部冷凝验算
7.1 内部冷凝验算
7.1.1 采暖建筑中,对外侧有防水卷材或其他密闭防水层的屋面、保温层外侧有密实保护层或保温层的蒸汽渗透系数较小的多层外墙,当内侧结构层的蒸汽渗透系数较大时,应进行屋面、外墙的内部冷凝验算。
条文说明
7.1.1 冬季采暖建筑通常室内温、湿度高于室外环境,外围护结构受到室内热湿作用,热量和水蒸气经围护结构流向室外,若围护结构内侧构造层为蒸汽渗透系数较大的材料(如加气混凝土和黏土砖等多孔材料),当建筑物室内外存在水蒸气分压力差时,室内水蒸气会进入围护结构内部,如果围护结构外侧有卷材或其他密闭防水层的屋顶结构,以及保温层外侧有密实保护层或蒸汽渗透系数较小的保温层的多层墙体结构时,进入围护结构的水蒸气由于受外侧有密实保护层或蒸汽渗透系数较小的围护结构的阻碍,水蒸气无法穿透围护结构,内部可能出现湿累积问题,会发生冷凝受潮现象,故应进行屋顶、外墙的内部冷凝验算。
7.1.2 采暖期间,围护结构中保温材料因内部冷凝受潮而增加的重量湿度允许增量,应符合表7.1.2的规定。
条文说明
7.1.2 材料的耐久性和保温性与其潮湿状况密切相关。湿度过高会明显降低其机械强度,产生破坏性变形。同时,湿度过高会使材料的保温性能显著降低。因此,对于一般采暖建筑,虽然允许结构内部含有一定的水分,但是为了保证材料的耐久性和保温性,材料的湿度不得超过一定限度。允许增量系指经过一个采暖期,保温材料重量湿度的增量在允许范围之内,以便采暖期过后,保温材料中的冷凝水逐渐向内侧和外侧散发,而不致在内部逐年积聚,导致湿度过高。关于保温材料重量湿度允许增量值的规定,本规范在国家标准《民用建筑热工设计规范》GB 50176-93的基础上增加了近年来建筑领域广泛使用的材料。
通过对不同含水率下保温材料导热系数的变化研究,可以认为材料在含水率小于本规范表7.1.2中的规定值时,导热系数的变化对围护结构的热工性能影响较小,因此,将材料的含水率按本规范第7.1.2条中的规定值控制。
表7.1.2 采暖期间,围护结构中保温材料因内部冷凝受潮而增加的重量湿度允许增量

7.1.3 围护结构内任一层内界面的水蒸气分压分布曲线不应与该界面饱和水蒸气分压曲线相交。围护结构内任一层内界面饱和水蒸气分压Ps,应按本规范表B.8的规定确定。任一层内界面的水蒸气分压Pm应按下式计算:

式中:Pm——任一层内界面的水蒸气分压(Pa);
Pi——室内空气水蒸气分压(Pa),应按本规范第3.3.1条规定的室内温度和相对湿度计算确定;
H0——围护结构的总蒸汽渗透阻(m2·h·Pa/g),应按本规范第3.4.15条的规定计算;
——从室内一侧算起,由第一层到第m—1层的蒸汽渗透阻之和(m2·h·Pa/g);
Pe——室外空气水蒸气分压(Pa),应按本规范附录表A.0.1中的采暖期室外平均温度和平均相对湿度确定。
条文说明
7.1.3 关于围护结构中冷凝计算,近年来在建筑传热传湿的研究领域获得了大量的研究成果,但这些成果都有一定的局限性还不够系统、完整,同时也缺乏必要的材料湿物理性能计算参数,故冷凝计算仍沿用国家标准《民用建筑热工设计规范》GB 50176-93的方法。这是以稳定条件下纯蒸汽扩散过程为基础提出的冷凝受潮分析方法。从理论上讲,此法是不尽合理的,没有正确地反映材料内部的湿迁移机理,但从设计应用的角度考虑,采用此法较为简单和偏于安全。所以在尚未提出一种理想的方法以前,从设计应用的角度考虑,采用此法较为稳妥。
围护结构中冷凝计算与验证的判别方法如下:
1)根据室内外空气的温湿度确定水蒸气分压Pi和Pe,然后根据公式(7.1.3)计算围护结构各层的水蒸气分压P分布曲线,设计中将采暖期室外平均温度和平均相对湿度作为室外计算参数;
2)根据室内外空气的温度ti和te,确定各层的温度分布曲线,同时应按本规范表B.8的规定确定饱和水蒸气分压Ps分布曲线;
3)根据围护结构内水蒸气分压P曲线和饱和水蒸气分压Ps曲线相交与否来判断围护结构内部是否会发生冷凝;若相交,则内部有冷凝发生。
7.1.4 当围护结构内部可能发生冷凝时,冷凝计算界面内侧所需的蒸汽渗透阻应按下式计算:

式中:H0,i——冷凝计算界面内侧所需的蒸汽渗透阻(m2·h·Pa/g);
H0,e——冷凝计算界面至围护结构外表面之间的蒸汽渗透阻(m2·h·Pa/g);
ρ0——保温材料的干密度(kg/m3);
δi——保温材料厚度(m);
[△w]——保温材料重量湿度的允许增量(%),应按本规范表7.1.2的规定取值;
Z——采暖期天数,应按本规范附录A表A.0.1的规定取值;
PS,C——冷凝计算界面处与界面温度θc对应的饱和水蒸气分压(Pa)。
7.1.5 围护结构冷凝计算界面温度应按下式计算:

式中:θc——冷凝计算界面温度(℃);
ti——室内计算温度(℃),应按本规范第3.3.1条的规定取值;?
te——采暖期室外平均温度(℃),应按本规范附录表A.0.1的规定取值;
Ri——内表面换热阻(m2·K/W),应按本规范附录第B.4节的规定取值;
Rc·i——冷凝计算界面至围护结构内表面之间的热阻(m2·K/W);
R0——围护结构传热阻(m2·K/W)。
7.1.6 围护结构冷凝计算界面的位置,应取保温层与外侧密实材料层的交界处(图7.1.6)。

图7.1.6 冷凝计算界面
7.1.7 对于不设通风口的坡屋面,其顶棚部分的蒸汽渗透阻应符合下式要求:

式中:H0·c——顶棚部分的蒸汽渗透阻(m2·h·Pa/g)。
7.2 表面结露验算
7.2 表面结露验算
7.2.1 冬季室外计算温度te低于0.9℃时,应对围护结构进行内表面结露验算。
条文说明
7.2.1 在围护结构自身热阻的作用下,当室内计算条件一定时,只有当室外空气温度低于某一特定的值时,围护结构内表面温度才有可能低于室内空气露点温度,存在表面结露的风险。因此,可以确定出无需进行内表面结露验算的范围,以简化结露验算设计。在建筑围护结构常用材料中,由于钢筋混凝土的导热系数较大,条文中规定需要进行表面结露验算的室外计算温度临界值是按照160mm厚钢筋混凝土为例计算确定的。
7.2.2 围护结构平壁部分的内表面温度应按本规范第3.4.16条计算。热桥部分的内表面温度应采用符合本规范附录第C.2.4条规定的软件计算,或通过其他符合本规范附录第C.2.5条规定的二维或三维稳态传热软件计算得到。
7.2.3 当围护结构内表面温度低于空气露点温度时,应采取保温措施,并应重新复核围护结构内表面温度。
7.2.4 进行民用建筑的外围护结构热工设计时,热桥处理可遵循下列原则:
1 提高热桥部位的热阻;
2 确保热桥和平壁的保温材料连续;
3 切断热流通路;
4 减少热桥中低热阻部分的面积;
5 降低热桥部位内外表面层材料的导温系数。
7.3 防潮技术措施
7.3 防潮技术措施
7.3.1 采用松散多孔保温材料的多层复合围护结构,应在水蒸气分压高的一侧设置隔汽层。对于有采暖、空调功能的建筑,应按采暖建筑围护结构设置隔汽层。
条文说明
7.3.1 在木(金属)骨架组合围护结构、金属夹芯围护结构中大量采用矿棉、岩棉、玻璃棉等松散多孔保温材料,在围护结构水蒸气分压高的一侧设置隔汽层是防止围护结构内部冷凝受潮的一种有效措施。对于我国部分寒冷地区(如北京、西安等)、夏热冬冷地区建筑有采暖、空调功能的需求,但冬季水蒸气渗透量要远大于夏季水蒸气渗透量,因此,应按采暖建筑围护结构设置隔汽层。
7.3.2 外侧有密实保护层或防水层的多层复合围护结构,经内部冷凝受潮验算而必需设置隔汽层时,应严格控制保温层的施工湿度。对于卷材防水屋面或松散多孔保温材料的金属夹芯围护结构,应有与室外空气相通的排湿措施。
条文说明
7.3.2 对于经验算必须设置隔汽层的围护结构应采取施工措施和构造措施。设置隔汽层是防止结构内部冷凝受潮的一种措施,但有其副作用,即影响结构的干燥速度。因此,可不设隔汽层的就不设置;当必须设置隔汽层时,对保温层的施工湿度要严加控制,避免湿法施工。在墙体结构中,在保温层和外侧密实层之间留有间隙,以切断液态水的毛细迁移,对改善保温层的湿度状况是十分有利的。对于卷材屋面,采取与室外空气相连通的排汽措施,一方面有利于湿气的外逸,对保温层起到干燥作用,另一方面也可以防止卷材屋面的起鼓。
7.3.3 外侧有卷材或其他密闭防水层,内侧为钢筋混凝土屋面板的屋面结构,经内部冷凝受潮验算不需设隔汽层时,应确保屋面板及其接缝的密实性,并应达到所需的蒸汽渗透阻。
7.3.4 室内地面和地下室外墙防潮宜采用下列措施:
1 建筑室内一层地表面宜高于室外地坪0.6m以上;
2 采用架空通风地板时,通风口应设置活动的遮挡板,使其在冬季能方便关闭,遮挡板的热阻应满足冬季保温的要求;
3 地面和地下室外墙宜设保温层;
4 地面面层材料可采用蓄热系数小的材料,减少表面温度与空气温度的差值;?
5 地面面层可采用带有微孔的面层材料;
6 面层宜采用导热系数小的材料,使地表面温度易于紧随空气温度变化;
7 面层材料宜有较强的吸湿、解湿特性,具有对表面水分湿调节作用。
条文说明
7.3.4 室内地面面层防潮是不可忽视的问题,对于有架空层的住宅一层地面来讲,地板直接与室外空气对流,其他楼面也因建筑非集中连续采暖和空调,相邻房间也可能与室外直接相通,相当于外围护结构,应进行必要的保温或隔热处理。即冬季需要暖地面,夏季需要冷地面,而且还要考虑梅雨季节由于湿热空气而产生的凝结。
7.3.5 严寒地区、寒冷地区非透光建筑幕墙面板背后的保温材料应采取隔汽措施,隔汽层应布置在保温材料的高温侧(室内侧),隔汽密封空间的周边密封应严密。夏热冬冷地区、温和A区的建筑幕墙宜设计隔汽层。
条文说明
7.3.5 对于严寒、寒冷地区,冬季结露问题至关重要,保温材料不做隔汽处理的话,会导致保温材料在冬季变得潮湿,大大降低其保温效果,并且隔汽层应布置在保温材料的室内侧,阻止室内的凝结水,如果布置到了室外侧,就完全没有任何效果了,隔汽密封空间的周边如果密封不严密,就不能有效的隔离室内热湿空气,同样也会造成保温材料潮湿,并可能导致面板背面和金属材料结露。
对于夏热冬冷地区,冬季结露问题虽然没有寒冷、严寒地区严重,但是现在建筑的热工性能都有所提高,也会导致冬季室内外温差较大,特别是室内湿度比较大的公共建筑,也就会导致结露问题变得严重了,因此建议根据工程的实际情况,尽量也做隔汽设计。
7.3.6 在建筑围护结构的低温侧设置空气间层,保温材料层与空气层的界面宜采取防水、透气的挡风防潮措施,防止水蒸气在围护结构内部凝结。
条文说明
7.3.6 围护结构两面出现温差时,在围护结构中将出现温湿度的重分布,出现水蒸气渗透与液态水分的反向迁移,使高温方向的水蒸气和低温方面的液态水都有减少的趋势,当围护结构中蒸汽水的迁移与液态水的反向迁移得到平衡时,围护结构中的湿度完成了重新分配。所以,防潮设计就是在围护结构中被保护的材料层的两边创造较低的湿度,此材料层才能有较低的平衡湿度。因此,可以根据如下措施获得:
其一是在保温层的高温一边采用隔蒸汽层以消除水蒸气从高温方面进入保温层中,其二是在低温一边采用空气层以产生较低的相对湿度。这两个措施能够保证保温层保持较低的平衡湿度。
前一措施是传统的,基于蒸汽渗透理论而设立的,但并没有完全解决问题。热绝缘材料难免受潮,液态水尚可在低温侧产生并侵润入保温材料中。在低温侧布置空气层,首先斩断了保温层与其他材料层的联系,斩断了液态水的迁移通路。同时,空气层的高温边造成相对湿度较低的空气边界环境,用它来保证与它接触的材料干燥,将进入热绝缘层中的水蒸气引到此空气层低温侧表面凝结或结霜,控制热绝缘层处于较低湿度而不受潮。
自然通风设计
8.1 一般规定
8.1 一般规定
8.1.1 民用建筑应优先采用自然通风去除室内热量。
条文说明
8.1.1 建筑通风包括主动式通风和被动式通风。主动式通风指的是利用机械设备动力组织室内通风的方法,一般采用风机、空调机作为通风的动力设备。被动式通风(自然通风)指的是采用“天然”的风压、热压作为驱动对房间降温。在我国的大多数地区,自然通风是降低建筑能耗和改善室内热舒适的有效手段。当室外空气温度不超过夏季空调室内设计温度时,只要建筑具有良好的自然通风效果,能够带走室内的发热量,就能获得良好的热舒适性。
8.1.2 建筑的平、立、剖面设计,空间组织和门窗洞口的设置应有利于组织室内自然通风。
条文说明
8.1.2 建筑能否进行有效的自然通风,除受室外气象条件制约外,还取决于建筑自身。建筑设计时,若能够充分考虑自然通风的要求,对如何引风入室、如何组织气流通过合理的路径经室内空间流出室外进行必要的设计,有助于提升建筑的自然通风性能。
8.1.3 受建筑平面布置的影响,室内无法形成流畅的通风路径时,宜设置辅助通风装置。
条文说明
8.1.3 受建筑功能、形体等的影响,建筑平面设计中往往会出现通风“短路”、“断路”的情况。此时,在房间中的关键节点设置简单的辅助通风装置,就能够打通“通路”、形成“回路”,改善房间的自然通风性能。如:在通风路径的进、出口处设置风机,在隔墙、内门上设置通风百叶等。此外,当室外气象条件不佳时,采用简单的通风装置,也可以有效地引风入室,达到良好的自然通风效果。
8.1.4 室内的管路、设备等不应妨碍建筑的自然通风。
条文说明
8.1.4 许多建筑设置的机械通风或空气调节系统,都破坏了建筑的自然通风性能。因此强调设置的管路、设备等不应妨碍建筑的自然通风。
8.2 技术措施
8.2 技术措施
8.2.1 建筑的总平面布置宜符合下列规定:
1 建筑宜朝向夏季、过渡季节主导风向;
2 建筑朝向与主导风向的夹角:条形建筑不宜大于30°,点式建筑宜在30°~60°之间;
3 建筑之间不宜相互遮挡,在主导风向上游的建筑底层宜架空。
8.2.2 采用自然通风的建筑,进深应符合下列规定:
1 未设置通风系统的居住建筑,户型进深不应超过12m;
2 公共建筑进深不宜超过40m,进深超过40m时应设置通风中庭或天井。
8.2.3 通风中庭或天井宜设置在发热量大、人流量大的部位,在空间上应与外窗、外门以及主要功能空间相连通。通风中庭或天井的上部应设置启闭方便的排风窗(口)。
8.2.4 进、排风口的设置应充分利用空气的风压和热压以促进空气流动,设计应符合下列规定:
1 进风口的洞口平面与主导风向间的夹角不应小于45°。无法满足时,宜设置引风装置。
2 进、排风口的平面布置应避免出现通风短路。
3 宜按照建筑室内发热量确定进风口总面积,排风口总面积不应小于进风口总面积。
4 室内发热量大,或产生废气、异味的房间,应布置在自然通风路径的下游。应将这类房间的外窗作为自然通风的排风口。
5 可利用天井作为排风口和竖向排风风道。
6 进、排风口应能方便地开启和关闭,并应在关闭时具有良好的气密性。
条文说明
8.2.1~8.2.4 建筑的总平面布置、朝向、体型、建筑平面的布局、门窗洞口的设置等都是影响自然通风的因素,在设计中应予以考虑。
对于条形建筑,朝向与夏季或过渡季节主导风向一致最有利于自然通风;对于点式建筑,室外风能通过建筑的两个面进入室内时可以避免部分房间成为通风死角。
建筑进深对自然通风效果影响显著,建筑进深越小越有利于自然通风。对于居住建筑,卧室的合理进深为4.5m左右,不超过12m的户型进深对功能布置是合适的,同时也有利于自然通风。对于公共建筑,由于功能的要求,进深往往都比较大。但对于大多数建筑而言,设计按40m来控制建筑进深是可以获得比较好的平面功能的。另外,经过对多个项目的模拟分析,不超过40m的建筑进深可以获得较好的自然通风效果。
由于平面功能的需要,大型商场、高层建筑的裙房往往建筑进深都很大,有的甚至接近100m。在这种情况下,仅仅依靠风压是难以获得好的自然通风效果的。利用风压自然通风,就得设置竖向风道。而中庭、天井不仅是丰富室内空间、改善室内环境的设施,而且也正是良好的自然通风竖向风道。在设计中庭、天井时,除了考虑平面和空间的功能关系外,还应考虑改善自然通风效果。
通风开口包括可开启的外窗和玻璃幕墙、外门、外围护结构上的洞口。通风开口面积越大,越有利于自然通风,但不一定有利于建筑节能。
建筑进深和室内空间布置,应有利于减小自然通风的阻力,进风开口和出风开口不应在同一朝向,应利于组织穿堂风、避免“口袋屋”式的平面布局。
厨房、卫生间、文印室等是有害气体和异味的产生源,流经这些房间的空气应尽快排至室外,避免进入其他空间。
自然通风的作用压力在很多时候是比较小的。在自然通风设计时应尽量减小进排风口和通风路径的阻力。阻力是随着流经风速增大而增大的,而流经风速与通风量和风口、路径的面积有关。可根据以下公式来确定进风口的最小面积:

式中:Q——自然通风从室内带走热量(W);
c——空气的比热容,取1030J/(kg·K);
ρ——空气的密度,取1.3kg/m3;
L——通风量(m3/h)。
△t——空气通过室内吸收热量所引起的温升(℃)。考虑到当室外温度为25℃时,通过自然通风使室内温度不超过27℃是可以接受的,△t取值2.0K。
其中,Q可以按照公式(11)用室内发热量指标来估算。

式中:q——室内单位面积发热量,包括人体显热、照明发热和设备发热(W/m2);
A——通风空间的面积(m2)。
通风量L可按式(12)来计算。

式中:v——进风口处的风速(m/s),为了控制进风口的阻力,取值1.0m/s;
F——进风口面积(m2)。
将公式(11)和公式(12)带入公式(10),并整理,可得到以下结果:

只要控制排风口、通风路径的面积不小于进风口面积,就可以将对应于所需最小风量的通风风速,即通风阻力,控制在合理范围之内,以确保通风效果。
8.2.5 当房间采用单侧通风时,应采取下列措施增强自然通风效果:
1 通风窗与夏季或过渡季节典型风向之间的夹角应控制在45°~60°之间;
2 宜增加可开启外窗窗扇的高度;
3 迎风面应有凹凸变化,尽量增大凹口深度;
4 可在迎风面设置凹阳台。
条文说明
8.2.5 在相隔180°的两个朝向设置可开启外窗,可在建筑内形成穿堂风,有效改善自然通风效果。条式建筑的大部分房间都可以做到这一点,而点式建筑难以做到这一点。
现在的高层中,由于必不可少的电梯、疏散楼梯间,使得部分房间只能在一个朝向上设置可开启外窗,只能依靠单侧进行自然通风。对于单侧通风,由于不能形成穿堂风,通风窗设在迎风面、增加可开启窗扇的高度都是改善通风效果的必要措施。
另外,近来研究表明,建筑迎风面体型凹凸变化对单侧通风的效果有影响,凹口较深及内折的平面形式更有利于单侧通风。立面上的建筑构件可以增强建筑体型的凹凸变化,从而促进自然通风;设置凹阳台可增强自然通风效果。
8.2.6 室内通风路径的设计应遵循布置均匀、阻力小的原则,应符合下列规定:
1 可将室内开敞空间、走道、室内房间的门窗、多层的共享空间或者中庭作为室内通风路径。在室内空间设计时宜组织好上述空间,使室内通风路径布置均匀,避免出现通风死角。
2 宜将人流密度大或发热量大的场所布置在主通风路径上;将人流密度大的场所布置在主通风路径的上游,将人流密度小但发热量大的场所布置在主通风路径的下游。
3 室内通风路径的总截面积应大于排风口面积。
建筑遮阳设计
9.1 建筑遮阳系数的确定
9.1 建筑遮阳系数的确定
9.1.1 水平遮阳和垂直遮阳的建筑遮阳系数应按下列公式计算:

式中:SCs——建筑遮阳的遮阳系数,无量纲;
ID——门窗洞口朝向的太阳直射辐射(W/m2),应按门窗洞口朝向和当地的太阳直射辐射照度计算;
XD——遮阳构件的直射辐射透射比,无量纲,应按本规范附录C第C.8节的规定计算;
Id——水平面的太阳散射辐射(W/m2);
Xd——遮阳构件的散射辐射透射比,无量纲,应按本规范附录C第C.9节的规定计算;
I0——门窗洞口朝向的太阳总辐射(W/m2)。
9.1.2 组合遮阳的遮阳系数应为同时刻的水平遮阳与垂直遮阳建筑遮阳系数的乘积。
9.1.3 挡板遮阳的建筑遮阳系数应按下式计算:

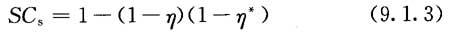
式中:η——挡板的轮廓透光比,无量纲,应为门窗洞口面积扣除挡板轮廓在门窗洞口上阴影面积后的剩余面积与门窗洞口面积的比值;
η*——挡板材料的透射比,无量纲,应按表9.1.3的规定确定。
表9.1.3 挡板材料的透射比

9.1.4 百叶遮阳的建筑遮阳系数应按下式计算:

式中:Eτ——通过百叶系统后的太阳辐射(W/m2),应按本规范附录C第C.10节的规定计算。
9.1.5 活动外遮阳全部收起时的遮阳系数可取1.0,全部放下时应按不同的遮阳形式进行计算。
9.2 建筑遮阳措施
9.2 建筑遮阳措施
9.2.1 北回归线以南地区,各朝向门窗洞口均宜设计建筑遮阳;北回归线以北的夏热冬暖、夏热冬冷地区,除北向外的门窗洞口宜设计建筑遮阳;寒冷B区东、西向和水平朝向门窗洞口宜设计建筑遮阳;严寒地区、寒冷A区、温和地区建筑可不考虑建筑遮阳。
条文说明
9.2.1 确定需要建筑遮阳的地区。北回归线以南地区在夏至日前后各朝向均有太阳辐射直射,且太阳辐射的散射占太阳总辐射的比例高于其他地区,门窗洞口既要控制太阳辐射的直射,也要控制太阳辐射的散射,应在各朝向均采取遮阳措施;北回归线以北的夏热冬暖地区、温和地区、夏热冬冷地区,只有东、西、南和水平朝向有太阳辐射的直射,北向的散射辐射占太阳总辐射的比例较北回归线以南地区小,北向窗口可不采取遮阳措施;寒冷地区的东、西和水平朝向夏季太阳辐射的直射照度大,东西朝向上、下午时段和水平朝向的正午时段直射辐射较易通过透光围护结构进入室内,引起房间过热,应采取遮阳措施。
9.2.2 建筑门窗洞口的遮阳宜优先选用活动式建筑遮阳。
条文说明
9.2.2 明确活动式建筑遮阳措施的优先作用。遮阳装置可减少透过建筑透光围护结构的太阳辐射,防止室内过热、降低建筑空调能耗。遮阳形式划分为:固定式、活动式。国内外实践证明,活动式建筑遮阳与固定式建筑遮阳相比,具有可按太阳辐射条件的变化调节房间对太阳辐射季节性、时间性需要的特点,提高房间的光、热环境质量,降低房间的夏季空调负荷和冬季采暖负荷的作用明显优于固定式建筑遮阳,因此在保证安全的前提下,建筑遮阳应优先选用活动式建筑遮阳。
9.2.3 当采用固定式建筑遮阳时,南向宜采用水平遮阳;东北、西北及北回归线以南地区的北向宜采用垂直遮阳;东南、西南朝向窗口宜采用组合遮阳;东、西朝向窗口宜采用挡板遮阳。
条文说明
9.2.3 固定遮阳造价低、维护简单,使用方便。但是,设置固定遮阳时必须考虑遮阳的效果,且应在保证夏季有效遮阳的同时,不会对冬季产生不利影响。
确定固定遮阳的形式除了需要考虑建筑朝向、太阳的高度角、方位角以外,还必须考虑当地太阳辐射量的大小、遮阳的时段,并兼顾冬季需求等。
通过计算并统计三种主要固定遮阳形式(水平、垂直、挡板)在夏至日到秋分日,不同纬度各朝向辐射遮挡的总量后,发现:南向窗口的水平遮阳、东西向窗口的挡板遮阳,以及北回归线以南地区的垂直遮阳的对太阳辐射的遮挡作用最大,且对冬季太阳辐射(北方)的遮挡很少,属于比较适用的遮阳形式。
9.2.4 当为冬季有采暖需求房间的门窗设计建筑遮阳时,应采用活动式建筑遮阳、活动式中间遮阳,或采用遮阳系数冬季大、夏季小的固定式建筑遮阳。
条文说明
9.2.4 规定建筑遮阳措施不应影响采暖房间冬季的太阳辐射得热。严寒和寒冷地区、夏热冬冷地区,建筑遮阳应能遮挡夏季太阳辐射和透过冬季太阳辐射。这些地区建筑室内环境既需要夏季遮阳又需要冬季日照,建筑门窗洞口的遮阳构件或装置,应具有按太阳辐射季节性变化调节遮阳效果的作用,一般应采取活动式遮阳装置或采用固定式偏角形百叶遮阳两种措施(图1、图2),两种措施都能实现按冬季遮阳系数大、夏季遮阳系数小的要求适应季节性的变化。
图1 东西朝向固定式偏角百叶板遮阳示意图

图2 采用固定式偏角百叶板的水平遮阳和挡板遮阳示意图

9.2.5 建筑遮阳应与建筑立面、门窗洞口构造一体化设计。
条文说明
9.2.5 为了确保遮阳措施在工程上有效实施和保证遮阳构造的安全性,必须保证建筑遮阳与建筑物一体化设计、同步施工。
附录A 热工设计区属及室外气象参数
附录A 热工设计区属及室外气象参数
A.0.1 全国主要城镇热工设计区属及建筑热工设计用室外气象参数应按表A.0.1选用。
表A.0.1 全国主要城镇热工设计区属及建筑热工设计用室外气象参数?






注:隔热设计用室外逐时空气温度和各朝向太阳辐射详见本规范配套软件。
A.0.2 本规范表A.0.1中未涉及的城镇可按表A.0.2确定参考城镇。
表A.0.2 参考城镇






A.0.3 全国建筑热工设计一级区划可参考图A.0.3。

图A.0.3 全国建筑热工设计一级区划 审图号:GS(2017)690号
附录B 热工设计计算参数
B.1 建筑材料热物理性能计算参数
B.1 建筑材料热物理性能计算参数
条文说明
本附录基本沿用上一版规范的数据,给出了建筑工程中常用材料的热物理性能计算参数。同时,考虑到当前我国建筑行业现状,表中增减了部分材料种类;并结合近年来建材行业的发展和变化,对部分材料的参数值进行了调整。调整的依据主要是近年来大量的试验数据,以及相关产品标准。在进行建筑热工设计时,材料的热物理性能计算参数应按照本表采用,使计算结果具有可比性、保证热工设计的质量。
建筑用保温材料由于其导热系数小,是建筑的保温、隔热性能的主要影响因素。为保证设计与实际相接近、安全可靠,有必要充分考虑实际使用中保温材料受各种因素影响而导致导热系数发生变化的情况,对保温材料的导热系数值进行修正。
当保温材料导热系数的计算值采用修正后的数值时,材料蓄热系数的计算值宜按照修正后的导热系数值重新计算。
B.1 常用建筑材料的热物理性能计算参数应按表B.1选用。
表B.1 常用建筑材料热物理性能计算参数


注:1 围护结构在正常使用条件下,材料的热物理性能计算参数应按本表直接采用;
2 围护结构中保温材料的导热系数应按下式进行修正:

式中:λc——保温材料导热系数计算值;
λ——保温材料导热系数,应按本表采用;
a——保温材料导热系数的修正系数,应按本规范附录B表B.2的规定取值。
B.2 常用保温材料导热系数的修正系数
B.2 常用保温材料导热系数的修正系数
条文说明
为了定量化地确定实际使用中材料导热系数的变化,首先需要确定主要影响因素;其次,是将每个因素对导热系数的影响定量化;然后,按照材料具体的使用工况,选择不同影响因素并按照出现的概率进行组合;最终计算得出某种材料在某种特定工况下的导热系数修正系数值。
对常用保温材料而言,在使用中能够对其导热系数产生影响的因素主要有:温度、湿度、各种应力作用下的应变(如变形、开裂),以及材料导热系数随时间的变化等。表B.2中所列示的修正系数即考虑了上述4种因素对合格产品导热系数的影响。
表B.2中,聚苯板、挤塑聚苯板、聚氨酯、酚醛、岩棉、玻璃棉、泡沫玻璃的修正系数是按照上述方法,通过一系列实验数据综合确定的。其中,材料导热系数随时间的变化参考了国外相关标准和资料。表B.2中列举的材料多为当前工程中常用的保温材料,选择时还尽量顾及材料的不同类别,以便参考。对于表B.2中没有的材料,当其在前述4种因素的作用下导热系数变化的差异较大时,尚应通过试验的方法确定。
与原规范中的修正系数值相比,本规范没有考虑施工、建筑构造等因素的影响。这些因素与具体工程密切相关,且其并未改变材料的导热系数,而是在影响围护结构的传热系数,故本附录没有将其纳入考虑的范围。
B.2 常用保温材料导热系数的修正系数应按表B.2选用。
表B.2 常用保温材料导热系数的修正系数a值

B.3 封闭空气间层热阻
B.3 封闭空气间层热阻
条文说明
本附录表参考了ASHRAE标准中的相关内容,表中数据的计算和来源可参考原标准中的注释。本表允许在平均温度、温差、辐射率、空气层厚度每个值之间内插;空气层厚度大于90mm时,适当的外插也是允许的。
B.3 封闭空气间层的热阻应按表B.3选用。
表B.3 封闭空气间层热阻




B.4 围护结构表面换热系数和换热阻
B.4 围护结构表面换热系数和换热阻
B.4.1 典型工况围护结构内表面换热系数和内表面换热阻应按表B.4.1-1的规定取值,外表面换热系数和外表面换热阻应按表B.4.1-2的规定取值。
表B.4.1-1 内表面换热系数αi和内表面换热阻Ri

注:表中h为肋高,s为肋间净距。
表B.4.1-2 外表面换热系数αe和外表面换热阻Re

B.4.2 3000m以上的高海拔地区,围护结构内表面换热系数和内表面换热阻应按表B.4.2-1的规定取值,外表面换热系数和外表面换热阻应按表B.4.2-2的规定取值。
表B.4.2-1 内表面换热系数αi和内表面换热阻Ri

表B.4.2-2 外表面换热系数αe和外表面换热阻Re

B.5 太阳辐射吸收系数
B.5 太阳辐射吸收系数
B.5 常用围护结构表面太阳辐射吸收系数应按表B.5选用。
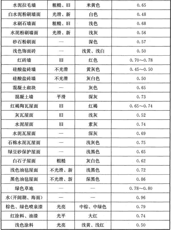
表B.5 常用围护结构表面太阳辐射吸收系数ρs值


B.6 常用材料蒸汽渗透阻
B.6 常用材料蒸汽渗透阻
B.6 常用薄片材料和涂层的蒸汽渗透阻应按表B.6选用。
表B.6 常用薄片材料和涂层的蒸汽渗透阻H值

B.7 种植屋面热工参数
B.7 种植屋面热工参数
B.7.1 种植屋面植被层的附加热阻宜符合表B.7.1的规定。
表B.7.1 植被层附加热阻

B.7.2 种植屋面材料的热工参数宜符合表B.7.2-1和表B.7.2-2的规定。
表B.7.2-1 种植材料热工参数

表B.7.2-2 排(蓄)水层热工参数

B.8 饱和水蒸气分压
B.8 饱和水蒸气分压
B.8 标准大气压时不同温度下的饱和水蒸气分压应按表B.8选用。
表B.8 标准大气压时不同温度下的饱和水蒸气分压Ps值(Pa)



附录C 热工设计计算公式
C.1 非均质复合围护结构的热阻
C.1 非均质复合围护结构的热阻
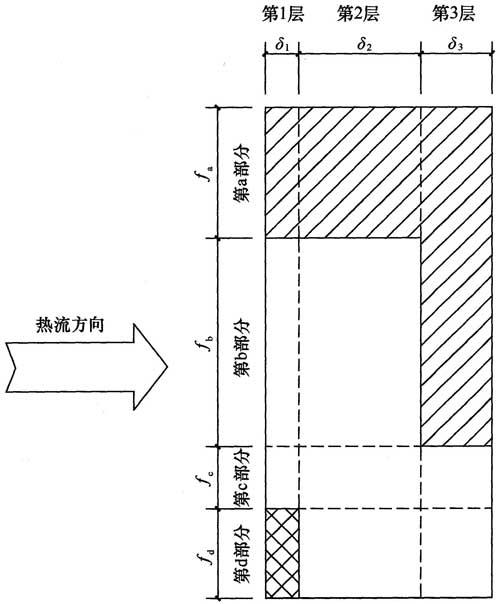
C.1.1 由两种以上材料组成的、二(三)向非均质围护结构,当相邻部分热阻的比值小于等于1.5时,复合围护结构的热阻可按下列公式计算:

图C.1.1 非均质复合围护结构热阻计算简图

式中:
——非匀质复合围护结构的热阻(m2·K/W);
Rou——应按公式(C.1.1-2)计算;
Rol——应按公式(C.1.1-3)计算;
Ri——内表面换热阻(m2·K/W);
Re——外表面换热阻(m2·K/W);
fa,fb,……fq——与热流平行方向各部分面积占总面积的百分比;
Roua,Roub,……Rouq——与热流平行方向各部分的传热阻(m2·K/W),应按本规范第3.4.4条的规定计算;
R1,R2,……Rj,……Rn——应按公式(C.1.1-4)计算;
Raj,Rbj,……Rqj——与热流垂直方向第j层各部分的热阻(m2·K/W),应按本规范第3.4.1条的规定计算。
C.1.2 由两种以上材料组成的、二(三)向非匀质围护结构,当相邻部分热阻的比值大于1.5时,复合围护结构的热阻应按下式计算:

式中:Km——非匀质复合围护结构平均传热系数[W/(m2·K)],应按本规范第3.4.6条的规定计算。
C.2 结构性热桥的线传热系数
C.2 结构性热桥的线传热系数
C.2.1 在建筑外围护结构中,墙角、窗间墙、凸窗、阳台、屋面、楼板、地板等处形成的结构性热桥(图C.2.1)对墙体、屋面传热的影响应用线传热系数ψ描述。

图C.2.1 建筑外围护结构的结构性热桥示意
W-D 外墙-门;W-B 外墙-阳台板;W-P 外墙-内墙;W-W 外墙-窗;W-F 外墙-楼板;W-C 外墙角;W-R 外墙-屋顶;R-P 屋顶-内墙
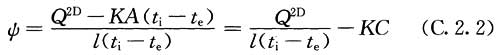
C.2.2 热桥线传热系数应按下式计算:

式中:ψ——热桥线传热系数[W/(m·K)];
Q2D——二维传热计算得出的流过一块包含热桥的围护结构的传热量(W),该围护结构的构造沿着热桥的长度方向必须是均匀的,传热量可以根据其横截面(对纵向热桥)或纵截面(对横向热桥)通过二维传热计算得到;
K——围护结构平壁的传热系数[W/(m2·K)];
A——计算Q2D的围护结构的面积(m2);
ti——围护结构室内侧的空气温度(℃);
te——围护结构室外侧的空气温度(℃);
l——计算Q2D的围护结构的长度,热桥沿这个长度均匀分布,计算ψ时,l宜取1m;
C——计算Q2D的围护结构的宽度,即A=l·C,可取C≥1m。
C.2.3 当围护结构中两个平行热桥之间的距离很小时,应将两个平行热桥合并,同时计算两个平行热桥的线传热系数。
C.2.4 线传热系数ψ以及热桥的表面温度可采用本规范配套光盘中提供的二维稳态传热计算软件计算。
C.2.5 围护结构的二、三维稳态传热计算应符合下列规定:
1 计算软件应符合下列规定:
1)计算软件应经过验证,以确保计算的正确性;
2)软件的输入、输出应便于检查,计算结果清晰、直观。
2 边界条件的设置应符合下列规定:
1)外表面:第三类边界条件,冬季室外计算温度应按本规范第3.2.2条的规定取值,表面换热系数应按本规范附录B第B.4节的规定取值;
2)内表面:第三类边界条件,冬季室内计算温度应按本规范第3.3.1条的规定取值,表面换热系数应按本规范附录B第B.4节的规定取值;
3)其他边界:第二类边界条件,热流密度应取零;
4)室内空气相对湿度:冬季应取60%。
3 计算模型的选取应符合下列规定:
1)应根据实际情况确定采用二维或三维传热计算;
2)在二维传热模型中与热流方向平行的边界面应按对称(或足够远)的原则选取,保证越过边界面的热流为零;
3)在三维传热模型中与热流方向平行的边界面应按对称(或足够远)的原则选取,保证越过边界面的热流为零;
4)模型的几何尺寸与材料应与节点构造设计一致;
5)距离较小的热桥应合并计算。
4 计算参数的选用应符合下列规定:
1)常用建筑材料的热物理性能参数应按本规范附录B表B.1的规定取值;
2)封闭空气间层的热阻应按本规范附录B表B.3的规定取值;
3)当材料的热物理性能参数有可靠来源时,也可以采用。
C.3 隔热性能计算
C.3 隔热性能计算
C.3.1 隔热设计时,外墙、屋面内表面温度应采用一维非稳态方法计算,并应按房间的运行工况确定相应的边界条件。
条文说明
C.3.1 本规范规定在进行隔热设计时,按照不同的运行工况,设计指标有不同的限值要求。因此,在进行隔热性能计算时,也需要区分房间在夏季是否设置了空调系统,据此来确定是自然通风房间还是空调房间,以选取不同的计算边界条件。
C.3.2 外墙、屋面内表面温度可采用本规范配套光盘中提供的一维非稳态传热计算软件计算。
C.3.3 围护结构的隔热计算应符合下列规定:
1 计算软件应符合下列规定:
1)软件的算法应符合本规范附录C第C.3.1条的规定;
2)计算软件应经过验证,以确保计算的正确性;
3)软件的输入、输出应便于检查,计算结果清晰、直观。
2 边界条件的设置应符合下列规定:
1)外表面:第三类边界条件,室外空气逐时温度和各朝向太阳辐射应按本规范第3.2.3条的规定确定,表面换热系数应按本规范附录B第B.4节的规定取值;
2)内表面:第三类边界条件,室内空气温度应按本规范第3.3.2条的规定取值,表面换热系数应按本规范附录B第B.4节的规定取值;
3)其他边界:第二类边界条件,热流密度应取零。
3 计算模型的选取应符合下列规定:
1)计算模型应选取外墙、屋面的平壁部分;
2)计算模型的几何尺寸与材料应与节点构造设计一致;
3)当外墙、屋面采用两种以上不同构造,且各部分面积相当时,应对每种构造分别进行计算,内表面温度的计算结果取最高值。
4 计算参数的选用应符合下列规定:
1)常用建筑材料的热物理性能参数应按本规范附录B表B.1的规定取值;?
2)当材料的热物理性能参数有可靠来源时,也可以采用。
C.4 非平衡保温
C.4 非平衡保温
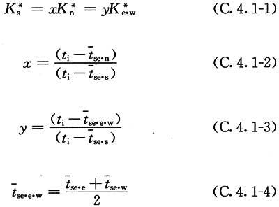
C.4.1 非平衡保温设计时,建筑不同朝向非透光围护结构传热系数的相关性应按下列公式计算:

式中:K*s、K*n——分别为南向、北向外墙的非平衡传热系数[W/(K·m2)];
K*e·w——东西向外墙的平均非平衡传热系数[W/(K·m2)];
x、y——大于1的系数,按式(C.4.1-2)、式(C.4.1-3)计算;
ti——冬季室内计算温度(℃);
——分别为南向、北向、东向、西向外墙的采暖期平均室外综合温度值(℃);
——东向、西向外墙采暖期平均室外综合温度值的平均值(℃)。
注:1 “非平衡保温”是指太阳辐射热作用较大的地区,因太阳热作用随采暖建筑围护结构朝向不同而差异明显,为使不同朝向外墙及屋面传热失热热流密度相等,而对不同朝向外墙及屋面采用了不同的传热系数。
2 “非平衡传热系数Kx”是指采用非平衡保温设计确定的不同朝向非透光围护结构的传热系数。
条文说明
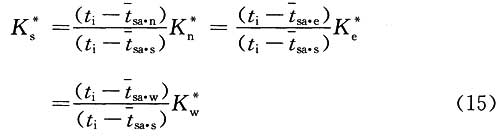
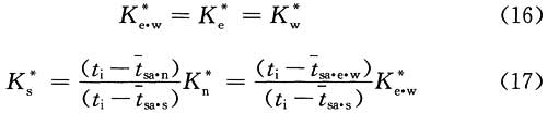
C.4.1 非平衡保温是根据不同朝向外墙和屋面单位面积净失热量相等原理,进行围护结构热工设计的方法。现行相关标准规定了不同地区采暖建筑围护结构传热系数的限值,但由于传热系数限值的确定是基于室内外空气温差,所以建筑围护结构的传热系数限值没有朝向的区分。以外墙为例,不同朝向外墙以相同的传热系数进行构造设计,虽然能够简化构造设计难度,但对于太阳能资源丰富的地区,这种方法不利于实现节能墙体构造的优化。
非平衡保温是指太阳辐射热作用较大的地区,因太阳热作用随采暖建筑围护结构朝向不同而差异明显,为使不同朝向外墙及屋面传热失热热流密度相等,而对不同朝向外墙及屋面采用了不同的传热系数。
非平衡保温设计的基本原理如公式(14)~公式(17)所示:

式中:q——不同朝向外墙与屋面的单位面积传热失热量(W/m2)。
由于
和
相差较小,所以为简化设计与墙体建造,两者取相同的值,即取两者的平均值:
(注:
=
)。

按上式计算可得出不同朝向外墙和屋面非平衡传热系数相关性。
太阳能资源丰富地区建筑的节能墙体采用非平衡保温设计方法,有利于降低围护结构内壁面不对称辐射对室内热舒适的影响。
由于本规范并非是节能标准,因此其实质是对建筑热工性能的最基本的要求,因此对于“不同朝向保温”问题,本规范侧重于提供不同朝向保温的热工设计方法。
C.4.2 平均室外综合温度应按下式计算;

式中:
——平均室外综合温度(℃);
——采暖期室外平均温度(℃),应按本规范附录A第A.0.1条的规定取值;
——水平或垂直面上的太阳辐射照度平均值(W/m2),应按现行行业标准《建筑节能气象参数标准》JGJ/T 346的规定取值;
ρs——太阳辐射吸收系数,应按本规范附录B表B.5的规定取值;
αe——外表面换热系数,应按本规范附录B第B.4节的规定取值。
C.4.3 根据本规范附录C第C.4.1条进行建筑外墙、屋面热工参数的调整验算与设计时,K*s、K*n、K*e·w的最终取值尚应符合本规范第4.2.7条和第4.2.11条的规定。
C.5 门窗、幕墙传热系数
C.5 门窗、幕墙传热系数
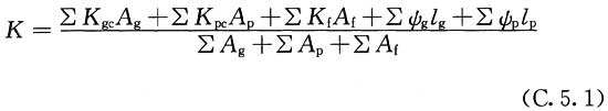
C.5.1 门窗、幕墙传热系数的计算按下式计算:

式中:K——幕墙单元、门窗的传热系数[W/(m2·K)];
Ag——透光面板面积(m2);
lg——透光面板边缘长度(m);
Kgc——透光面板中心的传热系数[W/(m2·K)];
ψg——透光面板边缘的线传热系数[W/(m·K)];
Ap——非透光明面板面积(m2);
lp——非透光面板边缘长度(m);
Kpc——非透光面板中心的传热系数[W/(m2·K)];
ψp——非透光面板边缘的线传热系数[W/(m·K)];
Af——框面积(m2);
Kf——框的传热系数[W/(m2·K)]。
C.5.2 计算门窗、幕墙传热系数时,应采用建筑工程所在地的冬季计算参数,所采用的边界条件应根据冬季计算参数按照现行行业标准《建筑门窗玻璃幕墙热工计算规程》JGJ/T 151的规定计算确定。
C.5.3 采用典型玻璃、配合不同窗框,在典型窗框面积比的情况下,整窗传热系数可按表C.5.3-1、表C.5.3-2的规定选用。典型玻璃系统的光学、热工性能参数可按表C.5.3-3的规定选用。
表C.5.3-1 典型玻璃配合不同窗框的整窗传热系数


表C.5.3-2 典型玻璃配合不同窗框的整窗传热系数

表C.5.3-3 典型玻璃的光学、热工性能参数


C.5.4 带有中空内置遮阳的门窗、幕墙传热系数应按照现行行业标准《建筑门窗玻璃幕墙热工计算规程》JGJ/T 151的规定进行计算。
C.6 门窗、幕墙抗结露验算
C.6 门窗、幕墙抗结露验算
C.6.1 门窗、幕墙抗结露验算应按冬季计算参数下门窗、幕墙型材和玻璃内表面温度是否低于露点温度作为判定依据。
C.6.2 在冬季设计室内外温湿度条件下,门窗幕墙内、外表面换热系数应按现行行业标准《建筑门窗玻璃幕墙热工计算规程》JGJ/T 151的规定通过计算确定,室外计算温度应符合本规范第3.2.2条的规定。
C.6.3 门窗或幕墙的各个部件(如框、面板中部及面板边缘区域)超过90%的面积的内表面温度应满足下式要求:

式中:R——门窗、幕墙框或面板的热阻(m2·K/W);
αi——门窗、幕墙框或面板内表面换热系数[W/(m2·K)];
ti——室内计算温度(℃);
te——室外计算温度(℃);
td——室内露点温度(℃)。
条文说明
C.6.3 按现行行业标准《建筑门窗玻璃幕墙热工计算规程》JGJ/T 151的要求,门窗或幕墙的各个部件划分示意图见图3。
对于严寒、寒冷地区来说,铝合金窗框在冬季完全不结露,要求过于苛刻。因此按现行行业标准《建筑门窗玻璃幕墙热工计算规程》JGJ/T 151的要求,将门窗、幕墙各部件分类进行要求,比较合理。也就是允许框、面板中部及面板边缘区域各部分的10%面积出现结露。

图3??门窗、幕墙各部件划分示意图
可采用二维稳态传热程序计算门窗或幕墙各个框、面板及面板边缘区域的表面温度场,与露点温度进行比较,确定是否出现结露。或者计算出框、面板及面板边缘区域的热阻值R,代入公式(C.6.3),不等式成立,则判断满足结露性能要求,反之不满足。一般情况下,窗框更容易出现结露,特别是铝合金窗框,如果已知窗框的传热系数的大概数值时,可按下列方法简单判断其是否结露:
1??根据窗框的传热系数Kf,计算窗框热阻Rf:

αi——门窗、幕墙框或面板内表面换热系数[W/(m2·K)],可取3.6;
αe——门窗、幕墙框或面板外表面换热系数[W/(m2·K)],可取16。
2 将Rf代入公式(C.6.3),不等式成立,则判断满足结露性能要求,反之不满足。
C.7 门窗、幕墙太阳得热系数
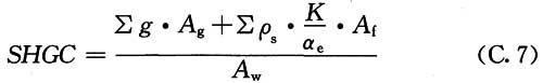
C.7 门窗、幕墙太阳得热系数
C.7 门窗、幕墙太阳得热系数应按下式计算:

式中:SHGC——门窗、幕墙的太阳得热系数,无量纲;
g——门窗、幕墙中透光部分的太阳辐射总透射比,无量纲,应按现行国家标准《建筑玻璃?可见光透射比、太阳光直接透射比、太阳能总透射比、紫外线透射比及有关窗玻璃参数的测定》GB/T 2680的规定计算,典型玻璃系统的太阳辐射总透射比可按附录表C.5.3-3的规定取值;
ρs——门窗、幕墙中非透光部分的太阳辐射吸收系数,无量纲;
K——门窗、幕墙中非透光部分的传热系数[W/(m2·K)];
αe——外表面对流换热系数[W/(m2·K)];
Ag——门窗、幕墙中透光部分的面积(m2);
Af——门窗、幕墙中非透光部分的面积(m2);
Aw——门窗、幕墙的面积(m2)。
C.8 水平遮阳和垂直遮阳的直射辐射透射比
C.8 水平遮阳和垂直遮阳的直射辐射透射比
C.8.1 水平遮阳的直射辐射透射比应根据不同光斑形状按表C.8.1的规定计算。
表C.8.1 水平遮阳不同光斑形状直射太阳辐射透射比计算公式


式中:XD——遮阳构件的直射辐射透射比,无量纲;
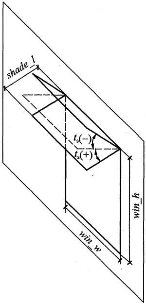
shade_l——遮阳板挑出长度(mm)(图C.8.1);
win_w——窗口宽度(mm)(图C.8.1);
win_h——窗口高度(mm)(图C.8.1);

图C.8.1 水平遮阳板计算参数示意
ts——遮阳板倾斜角(°),指遮阳板与墙面法线面的夹角,当遮阳板垂直于墙面时ts=0,遮阳板与窗口夹角小于90°时ts>0,反之ts<0(图C.8.1);
ε——壁面太阳方位角(°),壁面上某点和太阳之间的连线在水平面上的投影,与壁面法线在水平面上的投影线之间的夹角,数值上等于(太阳方位角—壁面方位角);
hs——太阳高度角(°)。
条文说明
C.8.1 为了求得逐时太阳直射辐射透射比,需要计算得到窗口玻璃上的逐时光斑面积的大小。一般认为照射到地球表面的太阳光线是一束平行光,而一般物体或部件大都由各种有规律的平行直线构成,它们在任意平面上的投影所形成的光斑,也必然由平行四边形组成,因此,只要能找到物体上几个拐角点的投影位置,就可以利用几何原理来求的上述光斑面积和透光系数,为了简化模型,对所研究的遮阳构造做了以下近似处理:
1 忽略窗棂对光斑面积的影响;
2 忽略遮阳板厚度的影响;
3 忽略遮阳板间的反射。
对于这种类型的水平遮阳板全天光斑形式有附录表C.8.1所示的三种变化(观测点在室外,下同):由于光斑变化情况是以0壁面太阳方位角为对称的,因此,附录表C.8.1只列出了壁面太阳方位角小于0的情况,当该角度大于0时,除光斑图形发生对称变化外,计算公式相同。
壁面太阳方位角ε是指:壁面上某点和太阳之间的连线在水平面上的投影,与壁面法线在水平面上的投影线之间的夹角。在数值上等于(太阳方位角-壁面方位角)。太阳方位角是指:太阳至地面上某给定点连线在地面上的投影与正南向的夹角,太阳偏东时为负,偏西时为正,正南为零;壁面方位角是指:壁面法线在水平面上的投影与正南向的夹角,壁面朝向偏东为负,偏西为正,正南为零。
C.8.2 垂直遮阳的直射辐射透射比应根据不同光斑形状按表C.8.2-1的规定计算。
表C.8.2-1 垂直遮阳不同光斑形状直射太阳辐射透射比计算公式

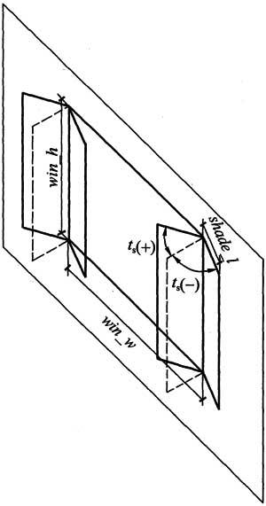
不同壁面太阳方位角范围内,shade_w和shade_h的计算应符合下列规定:
1 当遮阳板倾斜角ts<0时,shade_w和shade_h应按附录C表C.8.2-2计算。
表C.8.2-2 垂直遮阳shade_w和shade_h计算公式

2 当遮阳板倾斜角ts≥0时,shade_w和shade_h应按附录C表C.8.2-3计算。
表C.8.2-3 垂直遮阳shade_w和shade_h计算公式

式中:shade-l——遮阳板挑出长度(mm)(图C.8.2);
win_w——窗口宽度(mm)(图C.8.2);
win_h——窗口高度(mm)(图C.8.2);
ts——遮阳板倾斜角(°)(图C.8.2);

图C.8.2 垂直遮阳板计算参数示意
C.9 水平遮阳和垂直遮阳的散射辐射透射比
C.9 水平遮阳和垂直遮阳的散射辐射透射比
C.9.1 水平遮阳的散射辐射透射比应按下式计算:

式中:Xd——遮阳构件的散射辐射透射比,无量纲;
α——门、窗口的垂直视角(°)。
条文说明
C.9.1 由于透过遮阳板的散射辐射计算比较复杂,因此,在计算过程中可做以下的简化:
1 水平遮阳板两边无限长;
2 垂直遮阳板两侧板无限长;
3 忽略遮阳板间的反射。
水平遮阳板散射辐射透射比计算的几何关系如图4所示:

图4 水平遮阳板散射辐射透射比计算示意
对于如图4所示水平遮阳板,当不存在水平遮阳构件时,门窗洞口受到的散射辐射照度为:

式中:Id——水平面的天空散射辐射(W/m2)。
设置水平遮阳板后,外窗对天穹的“视系数”减少,为了简化计算,这里近似用∠BOC(角α)与∠AOC(90°)的比例来反映天空散射辐射的减少程度。
有遮阳板时,门窗洞口受到的散射辐射为:

两者相比,即可得到水平遮阳的散射辐射的透射比计算公式。
C.9.2 垂直遮阳的散射辐射透射比应按下式计算:

式中:β——门、窗口的水平视角(°)。
条文说明
C.9.2 与水平遮阳情况类似,垂直遮阳板散射辐射透射比计算的几何关系如图5所示:
与水平遮阳情况类似,当无垂直遮阳构件时,门窗洞口受到的散射辐射照度为:

当设置垂直遮阳后,外窗对天穹的“视系数”减少。为了简

图5 垂直遮阳板散射辐射透射比计算示意>
化计算,这里采用∠BQC(角β)与水平角(180°)的比例来反映天空散射辐射的减少程度。则当有垂直遮阳时,门窗洞口受到的散射辐射为:

与无垂直遮阳时所受散射辐射相比,即可得到散射辐射的透射比计算公式。
C.10 百叶遮阳的太阳辐射透射比与反射比
C.10 百叶遮阳的太阳辐射透射比与反射比
C.10.1 百叶遮阳散射辐射的透射比、反射比应按下列公式计算:

式中:τdif,dif——散射辐射的透射比,无量纲;
ρdif,dif——散射辐射的反射比,无量纲;
Ef,o——入射到百叶系统的散射辐射(W/m2);
Eb,o——从百叶系统反射出来的散射辐射(W/m2);
λj——波长(m);
Ef,i——百叶板条第i段外表面受到的散射辐射(W/m2);
Eb,i——百叶板条第i段内表面受到的散射辐射(W/m2);
Ef,k+1——通过百叶系统透射过去的散射辐射(W/m2);
Fp→q——表面p到表面q的角系数;
ρf,n、ρb,n——百叶板条第n段外、内表面的太阳辐射反射比,与百叶板条材料特性有关;
τf,n、τb,n——百叶板第n段外、内表面的太阳辐射透射比,与百叶板条材料特性有关;
Id——百叶系统受到外侧入射的散射辐射(W/m2)。
条文说明
C.10.1 百叶遮阳的遮光部位是百叶系统,百叶系统是由一组相同形状和特性的板条平行排列成面状的组件。
入射到百叶系统的太阳辐射照度I0由直射辐射照度和散射辐射照度构成。

式中:I0——入射到百叶系统的太阳辐射照度;
ID——直射辐射照度;
Id——散射辐射照度。
太阳辐射透过百叶系统的方式主要有三种:
1 入射光中的直射辐射部分直接通过百叶系统的透空部分的透射;
2 入射光中的直射辐射部分被百叶板条吸收、反射、透射后的散射透射;
3 入射光中的散射辐射部分被百叶板条吸收、反射、透射后的散射透射。
计算百叶系统的透射性能时,应考虑板条的光学性能、几何形状和位置等因素,见图6。

图6 百叶系统中的板条几何形状和位置
计算百叶系统的遮阳性能时可采用以下模型和假设:
1 百叶板条为漫反射,并可以忽略百叶系统边缘的作用;
2 模型单元考虑两个相邻的百叶板条,每个板条分为k等分段,见图7;
3 忽略板条的轻微挠曲和厚度。
当百叶系统的入射侧受到波长为λi的散射辐射时,该散射辐射在百叶板条中间进行反射、透过和吸收后,会有一部分的散射辐射仍然以散射辐射的形式通过百叶系统透射出去,其比例为τdif,dif(λj);一部分散射辐射被百叶系统反射到外部,其比例为ρdif,dif(λj);还有一部分的散射辐射被百叶系统所吸收,其比例为αdif(λj)。这三部分有以下关系式:

式中:τdif,dif(λj)——百叶系统对波长为λj的散射辐射的透射比;
ρdif,dif(λj)——百叶系统对波长为λj的散射辐射的反射率;
αdif(λj)——百叶系统对波长为λj的散射辐射的吸收率。
图7 模型单元中百叶板条的分割示意

当把百叶板条等分成k段时(图7),则第i(1≤i≤k)段的两个表面上受到的散射辐射分别为:

式中:Id(λj)——百叶系统受到外侧入射的波长为λj的散射辐射(W/m2);In(λj)——百叶系统受到内侧入射的散射辐射,可忽略内侧环境对外部环境的散射辐射,取其为0。

C.10.2 百叶遮阳直射辐射的直接透射透射比、反射比应按下列公式计算:
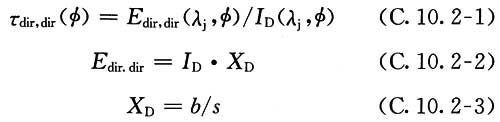
1 对于任何波长λj,百叶板条倾角的直射辐射的透射比应按下列公式计算:

式中:τdir,dir——直射辐射的直接透射比,无量纲;
Edir,dir——直接透过百叶系统的直射辐射(W/m2);
ID——门窗洞口朝向的直射辐射(W/m2);
XD——遮阳构件的直射辐射透射比,无量纲;
b——直射辐射方向百叶的间隙(mm)(图C.10.2);
s——百叶片的间距(mm)(图C.10.2);
——倾角(°)。
2 百叶系统透空部分反射比应按下式计算:

式中:ρdir,dir——直射辐射的反射比,无量纲。

图C.10.2 百叶系统透空部分的直射辐射示意
条文说明
C.10.2 百叶遮阳受到的直射辐射,一部分是通过百叶系统的透空部位直接透射的,一部分是经过百叶板条的吸收、透射、反射后以散射形式透射的。
百叶系统对直射辐射的直接透射量应依据百叶的角度和几何尺寸,按投射的几何计算方法,当给定直射辐射入射角θ时,计算穿过百叶系统透空部分的直射辐射量,见图8。
对于任何波长λj,百叶板条倾角
的直射辐射的透射,可近似取该条件下的透射光斑面积与百叶计算单元面积的比值,透射比XD可按本规范附录C第C.8节的方法计算。
C.10.3 百叶遮阳直射辐射的散射透射透射比、反射比应按下列公式计算:

式中:τdir,dif——直射辐射的散射透射透射比,无量纲;
ρdir,dif——直射辐射的散射透射反射比,无量纲。
条文说明
C.10.3 百叶遮阳对给定入射角
,计算百叶系统中直接为I 0所辐射的部分k,见图8。

图8 百叶板条受到直射辐射的部分

解:公式(C.10.3-1)和公式(C.10.3-2)所组成的方程组,即可得到直射—散射的透射率和反射率。
C.10.4 百叶遮阳总透射量应按下列公式计算:

式中:Eτ——通过百叶遮阳系统后的太阳辐射(W/m2);
Edif,dif——散射辐射通过百叶遮阳系统后的散射透射量(W/m2);
Edir,dif——直射辐射通过百叶遮阳系统后的散射透射量(W/m2)。
C.10.5 百叶遮阳散射透射计算可采用Gauss-Seidel迭代法计算。
条文说明
C.10.5 百叶遮阳直射辐射的散射投射计算在ISO 15099《Thermal Performance of Windows,Doors and Shading Devices-detailed Calculations》中将百叶板板划分为五块,对于实际应用中的百叶遮阳板计算,将百叶板划分为两块,如图9所示,已经可以满足精度需要,其与ISO 15099《Thermal Performance of Windows,Doors and Shading Devices-detailed Calculations》中的误差可以控制在3%以内。

图9 用于计算机算法的百叶遮阳板示意
根据公式(C.10.1-5)、公式(C.10.1-6),以及i=1和2,可以得到以下公式:

这是一个线性方程组,未知数为Ef,1、Ef,2、Eb,1和Eb,2,其他角系数和百叶板透过率、反射率等参数也可以根据遮阳板材料特性得到,因此上述方程组可以简化为下式表示:

采用Gauss-Seidel迭代法,可以得到上述方程组的数值解。将数值解代入到公式(C.10.1-2)和公式(C.10.1-4)中,得到透过百叶遮阳系统的太阳散射辐射和反射到百叶系统外部的散射辐射,如下式所示:

结合入射太阳散射辐射参数,可以得到该遮阳系统对散射辐射的透过率和反射率以及吸收率。
附录D 围护结构热阻最小值
D.1 外墙、楼屋面热阻最小值
D.1 外墙、楼屋面热阻最小值
D.1 外墙、楼屋面热阻最小值可按表D.1选用。
表D.1 外墙、楼屋面热阻最小值表



D.2 地面、地下室外墙热阻最小值
D.2 地面、地下室外墙热阻最小值
D.2 地面、地下室热阻最小值可按表D.2选用。
表D.2 地面、地下室热阻最小值表



本规范用词说明
本规范用词说明
1 为便于在执行本规范条文时区别对待,对要求严格程度不同的用词说明如下:
1)表示很严格,非这样做不可的;
正面词采用“必须”,反面词采用“严禁”;
2)表示严格,在正常情况下均应这样做的;
正面词采用“应”,反面词采用“不应”或“不得”;
3)表示允许稍有选择,在条件许可时首先应这样做的:
正面词采用“宜”,反面词采用“不宜”;
4)表示有选择,在一定条件下可以这样做的,采用“可”。
2 条文中指明应按其他有关标准执行的写法为:“应符合……的规定”或“应按……执行”。
引用标准名录
引用标准名录
1 《建筑玻璃 可见光透射比、太阳光直接透射比、太阳能总透射比、紫外线透射比及有关窗玻璃参数的测定》GB/T 2680
2 《建筑门窗玻璃幕墙热工计算规程》JGJ/T 151
3 《建筑节能气象参数标准》JGJ/T 346
