Appearance
《民用建筑供暖通风与空气调节设计规范GB50736-2012》
🗓️ 实施时间: 2012-10-01
中华人民共和国国家标准
民用建筑供暖通风与空气调节设计规范
Design code for heating ventilation and air conditioning of civil buildings
GB50736-2012
主编部门:中华人民共和国住房和城乡建设部
批准部门:中华人民共和国住房和城乡建设部
施行日期:2012年10月1日
中华人民共和国住房和城乡建设部公告
第1270号
关于发布国家标准《民用建筑供暖通风与空气调节设计规范》的公告
现批准《民用建筑供暖通风与空气调节设计规范》为国家标准,编号为GB 50736-2012,自2012年10月1日起实施。其中,第3.0.6(1)、5.2.1、5.3.5、5.3.10、5.4.3(1)、5.4.6、5.5.1、5.5.5、5.5.8、5.6.1、5.6.6、5.7.3、5.9.5、5.10.1、6.1.6、6.3.2、6.3.9(2)、6.6.13、6.6.16、7.2.1、7.2.10、7.2.11(1、3)、7.5.2(3)、7.5.6、8.1.2、8.1.8、8.2.2、8.2.5、8.3.4(1)、8.3.5(4)、8.5.20(1)、8.7.7(4)、8.10.3(1、2、3)、8.11.14、9.1.5(1、2、3、4)、9.4.9条(款)为强制性条文,必须严格执行。《采暖通风与空气调节设计规范》GB 50019-2003中相应条文同时废止。
本规范由我部标准定额研究所组织中国建筑工业出版社出版发行。
中华人民共和国住房和城乡建设部
2012年1月21日
前言
本规范系根据住房和城乡建设部《关于印发<2008年工程建设国家标准制订、修订计划(第一批)>的通知》(建标[2008]102号)的要求,由中国建筑科学研究院会同有关单位编制完成的。
本规范在编制过程中,编制组经广泛调查研究,认真总结实践经验,参考有关国际标准和国外先进标准,并在广泛征求意见的基础上,最后经审查定稿。
本规范共分11章和10个附录,主要技术内容是:总则、术语、室内空气设计参数、室外设计计算参数、供暖、通风、空气调节、冷源与热源、检测与监控、消声与隔振、绝热与防腐。
本规范中以黑体字标志的条文为强制性条文,必须严格执行。
本规范由住房和城乡建设部负责管理和对强制性条文的解释,由中国建筑科学研究院负责具体技术内容的解释。执行过程中如有意见或建议,请寄送中国建筑科学研究院暖通空调规范编制组(地址:北京市北三环东路30号,邮政编码100013)。
本规范主编单位:中国建筑科学研究院
本规范参编单位:北京市建筑设计研究院
中国建筑设计研究院
国家气象信息中心
中国建筑东北设计研究院
清华大学
上海建筑设计研究院
华东建筑设计研究院
山东省建筑设计研究院
哈尔滨工业大学
天津市建筑设计院
中国建筑西北设计研究院
中国建筑西南设计研究院
中南建筑设计院
深圳市建筑设计研究总院
同济大学
天津大学
新疆建筑设计研究院
贵州省建筑设计研究院
中建(北京)国际设计顾问有限公司
华南理工大学建筑设计研究院
同方股份有限公司
特灵空调系统(中国)有限公司
昆山台佳机电有限公司
安徽安泽电工有限公司
杭州源牌环境科技有限公司
丹佛斯(上海)自动控制有限公司
北京普来福环境技术有限公司
际高建业有限公司
开利空调销售服务(上海)有限公司
远大空调有限公司
新疆绿色使者空气环境技术有限公司
北京联合迅杰科技有限公司
西门子楼宇科技(天津)有限公司
北京天正工程软件有限公司
北京鸿业同行科技有限公司
广东美的商用空调设备有限公司
妥思空调设备(苏州)有限公司
欧文斯科宁(中国)投资有限公司
本规范主要起草人员:徐伟 邹瑜 徐宏庆 孙敏生
潘云钢 金丽娜 李先庭 寿炜炜
马伟骏 王国复 赵晓宇 于晓明
董重成 伍小亭 王谦 戎向阳
马友才 吴大农 张旭 朱能
狄洪发 刘鸣 孙延勋 毛红卫
王钊 阮新 贾晶 刘一民
程乃亮 叶水泉 张寒晶 朱江卫
丛旭日 杨利明 傅立新 于向阳
王舜立 邵康文 李振华 魏光远
张翯翚 郭建雄 王聪慧 张时聪
陈曦 孙峙峰
本规范主要审查人员:吴元炜 吴德绳 郎四维 江亿
李娥飞 许文发 罗继杰 曹越
郑官振 钟朝安 徐明 张瑞武
毛明强 丁力行 李著萱 张小慧
前言
本规范系根据住房和城乡建设部《关于印发<2008年工程建设国家标准制订、修订计划(第一批)>的通知》(建标[2008]102号)的要求,由中国建筑科学研究院会同有关单位编制完成的。
本规范在编制过程中,编制组经广泛调查研究,认真总结实践经验,参考有关国际标准和国外先进标准,并在广泛征求意见的基础上,最后经审查定稿。
本规范共分11章和10个附录,主要技术内容是:总则、术语、室内空气设计参数、室外设计计算参数、供暖、通风、空气调节、冷源与热源、检测与监控、消声与隔振、绝热与防腐。
本规范中以黑体字标志的条文为强制性条文,必须严格执行。
本规范由住房和城乡建设部负责管理和对强制性条文的解释,由中国建筑科学研究院负责具体技术内容的解释。执行过程中如有意见或建议,请寄送中国建筑科学研究院暖通空调规范编制组(地址:
北京市北三环东路30号,邮政编码100013)。
本规范主编单位:中国建筑科学研究院
本规范参编单位:北京市建筑设计研究院
中国建筑设计研究院
国家气象信息中心
中国建筑东北设计研究院
清华大学
上海建筑设计研究院
华东建筑设计研究院
山东省建筑设计研究院
哈尔滨工业大学
天津市建筑设计院
中国建筑西北设计研究院
中国建筑西南设计研究院
中南建筑设计院
深圳市建筑设计研究总院
同济大学
天津大学
新疆建筑设计研究院
贵州省建筑设计研究院
中建(北京)国际设计顾问有限公司
华南理工大学建筑设计研究院
同方股份有限公司
特灵空调系统(中国)有限公司
昆山台佳机电有限公司
安徽安泽电工有限公司
杭州源牌环境科技有限公司
丹佛斯(上海)自动控制有限公司
北京普来福环境技术有限公司
际高建业有限公司
开利空调销售服务(上海)有限公司
远大空调有限公司
新疆绿色使者空气环境技术有限公司
北京联合迅杰科技有限公司
西门子楼宇科技(天津)有限公司
北京天正工程软件有限公司
北京鸿业同行科技有限公司
广东美的商用空调设备有限公司
妥思空调设备(苏州)有限公司
欧文斯科宁(中国)投资有限公司
本规范主要起草人员:徐 伟 邹 瑜 徐宏庆 孙敏生
潘云钢 金丽娜 李先庭 寿炜炜
马伟骏 王国复 赵晓宇 于晓明
董重成 伍小亭 王 谦 戎向阳
马友才 吴大农 张 旭 朱 能
狄洪发 刘 鸣 孙延勋 毛红卫
王 钊 阮 新 贾 晶 刘一民
程乃亮 叶水泉 张寒晶 朱江卫
丛旭日 杨利明 傅立新 于向阳
王舜立 邵康文 李振华 魏光远
张翯翚 郭建雄 王聪慧 张时聪
陈 曦 孙峙峰
本规范主要审查人员:吴元炜 吴德绳 郎四维 江 亿
李娥飞 许文发 罗继杰 曹 越
郑官振 钟朝安 徐 明 张瑞武
毛明强 丁力行 李著萱 张小慧
总 则
1.0.1 为了在民用建筑供暖通风与空气调节设计中贯彻执行国家技术经济政策,合理利用资源和节约能源,保护环境,促进先进技术应用,保证健康舒适的工作和生活环境,制定本规范。
条文说明
1.0.1 规范宗旨。
供暖、通风与空调工程是基本建设领域中一个不可缺少的组成部分,对合理利用资源、节约能源、保护环境、保障工作条件、提高生活质量,有着十分重要的作用。暖通空调系统在建筑物使用过程中持续消耗能源,如何通过合理选择系统与优化设计使其能耗降低,对实现我国建筑节能目标和推动绿色建筑发展作用巨大。
1.0.2 本规范适用于新建、改建和扩建的民用建筑的供暖、通风与空气调节设计,不适用于有特殊用途、特殊净化与防护要求的建筑物以及临时性建筑物的设计。
条文说明
1.0.2 规范适用范围。
本规范适用于各种类型的民用建筑,其中包括居住建筑、办公建筑、科教建筑、医疗卫生建筑、交通邮电建筑、文体集会建筑和其他公共建筑等。对于新建、改建和扩建的民用建筑,其供暖、通风与空调设计,均应符合本规范各相关规定。民用建筑空调系统包括舒适性空调系统和工艺性空调系统两种。舒适性空调系统指以室内人员为服务对象,目的是创造一个舒适的工作或生活环境,以利于提高工作效率或维持良好的健康水平的空调系统。工艺性空调系统指以满足工艺要求为主,室内人员舒适感为辅的空调系统。
本规范不适用于有特殊用途、特殊净化与防护要求的建筑物以及临时性建筑物的设计,是针对某些特殊要求、特殊作法或特殊防护而言的.并不意味着本规范的全部内容都不适用于这些建筑物的设计,一些通用性的条文,应参照执行。有特殊要求的设计,应执行国家相关的设计规范。
1.0.3 供暖、通风与空气调节设计方案,应根据建筑物的用途与功能、使用要求、冷热负荷特点、环境条件以及能源状况等,结合国家有关安全、节能、环保、卫生等政策、方针,通过经济技术比较确定。在设计中应优先采用新技术、新工艺、新设备、新材料。
条文说明
1.0.3 设计方案确定原则和技术、工艺、设备、材料的选择要求。
供暖、通风与空气调节工程,在工程投资中占有重要份额且运行能耗巨大,因此设计中应确定整体上技术先进、经济合理的设计方案。规范从安全、节能、环保、卫生等方面结合了近十年来国内外出现的新技术、新工艺、新设备、新材料与设计、科研新成果,对有关设计标准、技术要求、设计方法以及其他政策性较强的技术问题等都作了具体的规定。
1.0.4 在供暖、通风与空气调节设计中,对有可能造成人体伤害的设备及管道,必须采取安全防护措施。
1.0.5 在供暖、通风与空调系统设计中,应设有设备、管道及配件所必需的安装、操作和维修的空间,或在建筑设计时预留安装维修用的孔洞。对于大型设备及管道应提供运输和吊装的条件或设置运输通道和起吊设施。
1.0.6 在供暖、通风与空气调节设计中,应根据现有国家抗震设防等级要求,考虑防震或其他防护措施。
条文说明
1.0.6 地震区或湿陷性黄土地区设备和管道布置要求。
为了防止和减缓位于地震区或湿陷性黄土地区的建筑物由于地震或土壤下沉而造成的破坏和损失,除应在建筑结构等方面采取相应的预防措施外,布置供暖、通风和空调系统的设备和管道时,还应根据不同情况按照国家现行规范的规定分别采取防震或其他有效的防护措施。
1.0.7 供暖、通风与空气调节设计应考虑施工、调试及验收的要求。当设计对施工、调试及验收有特殊要求时,应在设计文件中加以说明。
条文说明
1.0.7 同施工验收规范衔接。
为保证设计和施工质量,要求供暖通风与空调设计的施工图内容应与国家现行的《建筑给水排水及供暖工程施工质量验收规范》GB 50242、《通风与空调工程施工质量验收规范》GB 50243、《建筑节能工程施工质量验收规范》GB 50411等保持一致。有特殊要求及现行施工质量验收规范中没有涉及的内容,在施工图文件中必须有详尽说明,以利施工、监理等工作的顺利进行。
1.0.8 民用建筑供暖、通风与空气调节的设计,除应符合本规范的规定外,尚应符合国家现行有关标准的规定。
条文说明
1.0.8 同其他标准规范衔接。
本规范为专业性的全国通用规范。根据国家主管部门有关编制和修订工程建设标准规范的统一规定,为了精简规范内容,凡引用或参照其他全国通用的设计标准规范的内容,除必要的以外,本规范不再另设条文。本条强调在设计中除执行本规范外,还应执行与设计内容相关的安全、环保、节能、卫生等方面的国家现行的有关标准、规范等的规定。
术 语
2.0.1 预计平均热感觉指数(PMV) predicted mean vote
PMV指数是以人体热平衡的基本方程式以及心理生理学主观热感觉的等级为出发点,考虑了人体热舒适感诸多有关因素的全面评价指标。PMV指数表明群体对于(+3~-3)七个等级热感觉投票的平均指数。
2.0.2 预计不满意者的百分数(PPD) predicted percent of dissatisfied
PPD指数为预计处于热环境中的群体对于热环境不满意的投票平均值。PPD指数可预计群体中感觉过暖或过凉“根据七级热感觉投票表示热(+3),温暖(+2),凉(-2),或冷(-3)”的人的百分数。
2.0.3 供暖 heating
用人工方法通过消耗一定能源向室内供给热量,使室内保持生活或工作所需温度的技术、装备、服务的总称。供暖系统由热媒制备(热源)、热媒输送和热媒利用(散热设备)三个主要部分组成。
条文说明
2.0.3 供暖
以前“供暖”习惯称为“采暖”。近年来随着社会和经济的发展,采暖设计的涉及范围不断扩大,已由最早的侧重室内需求侧的“采暖”设计扩展到同时包含管网及热源的“供暖”设计;同时,考虑到与现行政府法规文件及管理规定用词一致,所以本规范统称“供暖”。
2.0.4 集中供暖 central heating
热源和散热设备分别设置,用热媒管道相连接,由热源向多个热用户供给热量的供暖系统,又称为集中供暖系统。
条文说明
2.0.4 集中供暖
除集中供暖外,其他供暖方式均为分散供暖。目前,分散供暖主要方式为电热供暖、户式燃气壁挂炉供暖、户式空气源热泵供暖、户用烟气供暖(火炉、火墙和火炕等)等。楼用燃气炉供暖和楼用热泵供暖也属于集中供暖。集中供热指以热水或蒸汽作为热媒,由热源集中向一个城市或较大区域供应热能的方式。集中供热除供暖外,还包括生活热水和蒸汽的供应。
2.0.5 值班供暖 standby heating
在非工作时间或中断使用的时间内,为使建筑物保持最低室温要求而设置的供暖。
2.0.6 毛细管网辐射系统 capillary mat radiant system
辐射末端采用细小管道,加工成并联的网栅,直接铺设于地面、顶棚或墙面的一种热水辐射供暖供冷系统。
条文说明
2.0.6 毛细管网辐射系统
毛细管网一般由3.4mm×0.55mm或4.3mm×0.8mm的PPR或PERT塑料毛细管组成,其间隔为10mm~40mm。
2.0.7 热量结算点 heat settlement site
供热方和用热方之间通过热量表计量的热量值直接进行贸易结算的位置。
2.0.8 置换通风 displacement ventilation
空气以低风速、小温差的状态送入人员活动区下部,在送风及室内热源形成的上升气流的共同作用下,将热浊空气顶升至顶部排出的一种机械通风方式。
2.0.9 复合通风系统 hybrid ventilation system
在满足热舒适和室内空气质量的前提下,自然通风和机械通风交替或联合运行的通风系统。
2.0.10 空调区 air-conditioned zone
保持空气参数在设定范围之内的空气调节区域。
2.0.11 分层空调 stratified air conditioning
特指仅使高大空间下部工作区域的空气参数满足设计要求的空气调节方式。
2.0.12 多联机空调系统 multi-connected split air conditioning systerm
一台(组)空气(水)源制冷或热泵机组配置多台室内机,通过改变制冷剂流量适应各房间负荷变化的直接膨胀式空调系统。
2.0.13 低温送风空调系统 cold air distribution system
送风温度不高于10℃的全空气空调系统。
2.0.14 温度湿度独立控制空调系统 temperature & humidity independent processed air conditioning system
由相互独立的两套系统分别控制空调区的温度和湿度的空调系统,空调区的全部显热负荷由干工况室内末端设备承担,空调区的全部散湿量由经除湿处理的干空气承担。
条文说明
2.O.14 温度湿度独立控制空调系统
温度湿度独立控制空调系统中,温度是由高于室内设计露点温度的冷水通过辐射或对流形式的末端吸收显热来控制;绝对湿度由经过除湿处理的干空气(一般是新风)送入室内,吸收室内余湿来控制。
2.0.15 空气分布特性指标(ADPI) air diffusion performance index
舒适性空调中用来评价人的舒适性的指标,系指人员活动区内测点总数中符合要求测点所占的百分比。
2.0.16 工艺性空调 industrial air conditioning system
指以满足设备工艺要求为主,室内人员舒适感为辅的具有较高温度、湿度、洁净度等级要求的空调系统。
2.0.17 热泵 heat pump
利用驱动能使能量从低位热源流向高位热源的装置。
2.0.18 空气源热泵 air-source heat pump
以空气为低位热源的热泵。通常有空气/空气热泵、空气/水热泵等形式。
2.0.19 地源热泵系统 ground-source heat pump system
以岩土体、地下水或地表水为低温热源,由水源热泵机组、地热能交换系统、建筑物内系统组成的供热供冷系统。根据地热能交换系统形式的不同,地源热泵系统分为地埋管地源热泵系统、地下水地源热泵系统和地表水地源热泵系统。
2.0.20 水环热泵空调系统 water-loop heat pump air conditioning system
水/空气热泵的一种应用方式。通过水环路将众多的水/空气热泵机组并联成一个以回收建筑物余热为主要特征的空调系统。
- 0.21 分区两管制空调水系统 zoning two-pipe chilled water system
按建筑物空调区域的负荷特性将空调水路分为冷水和冷热水合用的两种两管制系统。需全年供冷水区域的末端设备只供应冷水,其余区域末端设备根据季节转换,供应冷水或热水。
2.0.22 定流量一级泵空调冷水系统 constant flow distribution with primary pump chilled water system
空调末端无水路调节阀或设水路分流三通调节阀的一级泵系统,简称定流量一级泵系统。
条文说明
2.0.22 定流量一级泵空调冷水系统
空调冷水系统末端设三通阀时,虽然用户侧流量改变,但对输配水系统而言,与末端无水路调节阀一样,仍处于定流量状态,故称定流量一级泵系统。
2.0.23 变流量一级泵空调冷水系统 variable flow distribution with primary pump chilled water system
空调末端设水路两通调节阀的一级泵系统,包括冷水机组定流量、冷水机组变流量两种形式,简称变流量一级泵系统。
条文说明
2.0.23 变流量一级泵空调冷水系统
空调冷水系统末端设两通阀调节,无论冷水机组定流量,还是变流量,对输配水系统而言,循环水量均处于变流量状态,故称为变流量一级泵系统。
2.0.24 耗电输冷(热)比 [EC(H)R] electricity consumption to transferred cooling(beat)quantity ratio
设计工况下,空调冷热水系统循环水泵总功耗(kW)与设计冷(热)负荷(kW)的比值。
2.0. 25 蓄冷-释冷周期 period of charge and discharge
蓄冷系统经一个蓄冷-释冷循环所运行的时间。
2.0.26 全负荷蓄冷 full cool storage
蓄冷装置承担设计周期内电力平、峰段的全部空调负荷。
2.0.27 部分负荷蓄冷 partial cool storage
蓄冷装置只承担设计周期内电力平、峰段的部分空调负荷。
2.0.28 区域供冷系统 district cooling system
在一个建筑群中设置集中的制冷站制备空调冷水,再通过输送管道,向各建筑物供给冷量的系统。
2.0.29 耗电输热比(EHR)electricity consumption to transferred heat quantity ratio
设计工况下,集中供暖系统循环水泵总功耗(kW)与设计热负荷(kW)的比值。
室内空气设计参数
3.0.1 供暖室内设计温度应符合下列规定:
1 严寒和寒冷地区主要房间应采用18℃~24℃;
2 夏热冬冷地区主要房间宜采用16℃~22℃;
3 设置值班供暖房间不应低于5℃。
条文说明
3.0.1 供暖室内设计温度
考虑到不同地区居民生活习惯不同,分别对严寒和寒冷地区、夏热冬冷地区主要房间的供暖室内设计温度进行规定。
1 根据国内外有关研究结果,当人体衣着适宜、保暖量充分且处于安静状态时,室内温度20℃比较舒适,18℃无冷感,15℃是产生明显冷感的温度界限。冬季的热舒适(-1≤PMV≤+1)对应的温度范围为:18℃~28.4℃。基于节能的原则,本着提高生活质量、满足室温可调的要求,在满足舒适的条件下尽量考虑节能,因此选择偏冷(-1≤PMV≤0)的环境,将冬季供暖设计温度范围定在18℃~24℃。从实际调查结果来看,大部分建筑供暖设计温度为18℃~20℃。
冬季空气集中加湿耗能较大,延续我国供暖系统设计习惯,供暖建筑不做湿度要求。从实际调查来看,我国供暖建筑中人员常采用各种手段实现局部加湿,供暖季房间相对湿度在15%~55%范围波动,这样基本满足舒适要求,同时又节约能耗。
2 考虑到夏热冬冷地区实际情况和当地居民生活习惯,其室内设计温度略低于寒冷和严寒地区。
夏热冬冷地区并非所有建筑物都供暖,人们衣着习惯还需要满足非供暖房间的保暖要求,服装热阻计算值略高。因此,综合考虑本地区的实际情况以及居民生活习惯,基于PMV舒适度计算,确定夏热冬冷地区主要房间供暖室内设计温度宜采用16℃~22℃。
3.0.2 舒适性空调室内设计参数应符合以下规定:
1 人员长期逗留区域空调室内设计参数应符合表3.0.2的规定:

注:1Ⅰ级热舒适度较高,Ⅱ级热舒适度一般;
2 热舒适度等级按本规范第3.0.4条确定。
2 人员短期逗留区域空调供冷工况室内设计参数宜比长期逗留区域提高1℃~2℃,供热工况宜降低1℃~2℃。短期逗留区域供冷工况风速不宜大于0.5m/s,供热工况风速不宜大于0.3m/s。
条文说明
3.0.2 舒适性空调室内设计参数。
考虑到人员对长期逗留区域和短期逗留区域二者舒适性要求不同,因此分别给出相应的室内设计参数。
1 考虑不同功能房间对室内热舒适的要求不同,分级给出室内设计参数。热舒适度等级由业主在确定建筑方案时选择。
出于建筑节能的考虑,要求供热工况室内环境在满足舒适的条件下偏冷,供冷工况在满足热舒适的条件下偏热,所以具体热舒适度等级划分如下表:

根据我国在2000年制定的《中等热环境 PMV和PPD指数的测定及热舒适条件的规定》GB/T 18049,相对湿度应该设定在30%~70%之间。从节能的角度考虑,供热工况室内设计相对湿度越大,能耗越高。供热工况,相对湿度每提高10%,供热能耗约增加6%,因此不宜采用较高的相对湿度。调研结果显示,冬季空调建筑的室内设计湿度几乎都低于60%,还有部分建筑不考虑冬季湿度。对舒适要求较高的建筑区域,应对相对湿度下限做出规定,确定相对湿度不小于30%,而对上限则不作要求。因此对于Ⅰ级,室内相对湿度≥30%,PMV值在-0.5~0之间时,热舒适区确定空气温度范围为22℃~24℃。对于Ⅱ级,则不规定相对湿度范围,舒适温度范围为18℃~22℃。
对于空调供冷工况,相对湿度在40%~70%之间时,对应满足热舒适的温度范围是22℃~28℃。本着节能的原则,应在满足舒适条件前提下选择偏热环境。由此确定空调供冷工况室内设计参数为:温度24℃~28℃,相对湿度40%~70%。在此基础之上,对于Ⅰ级,当室内相对湿度在40%~70%之间,PMV值在0~0.5之间时,基于热舒适区计算,舒适温度范围为24℃~26℃。同理对于Ⅱ级建筑,基于热舒适区计算,舒适温度范围为26℃~28℃。
对于风速,参照国际通用标准IS07730和ASHRAE Standard 55,并结合我国的实际国情和一般生活水平,取室内由于吹风感而造成的不满意度DR为不大于20%。根据相关文献的研究结果,在DR≤20%时,空气温度、平均风速和空气紊流度之间的关系如图所示:
根据实际情况,供冷工况室内紊流度较高,取为40%,空气温度取平均值26℃,得到空调供冷工况室内允许最大风速约为0.3m/s;供热工况室内空气紊流度一般较小,取为20%,空气温度取18℃,得到冬季室内允许最大风速约为0.2m/s。
对于游泳馆(游泳池区)、乒乓球馆、羽毛球馆等体育建筑,以及医院特护病房、广播电视等特殊建筑或区域的空调室内设计参数不在本条文规定之列,应根据相关建筑设计标准或业主要求确定。
温和地区夏季室内外温差较小,通常不设空调。设置空调的人员长期逗留区域,夏季空调室内设计参数可在本规定基础上适当降低1℃~2℃。
2 短期逗留区域指人员暂时逗留的区域,主要有商场、车站、机场、营业厅、展厅、门厅、书店等观览场所和商业设施。
对于人员短期逗留区域,人员停留时间较短,且服装热阻不同于长期逗留区域,热舒适更多受到动态环境变化影响,综合考虑建筑节能的需要,可在人员长期逗留区域基础上降低要求。
3.0.3 工艺性空调室内设计温度、相对湿度及其允许波动范围,应根据工艺需要及健康要求确定。人员活动区的风速,供热工况时,不宜大于0.3m/s;供冷工况时,宜采用0.2m/s~0.5m/s。
条文说明
3.0.3 工艺性空调室内设计参数。
对于设置工艺性空调的民用建筑,其室内参数应根据工艺要求,并考虑必要的卫生条件确定。在可能的条件下,应尽量提高夏季室内设计温度,以节省建设投资和运行费用。另外,如设计室温过低(如20℃),夏季室内外温差太大会导致工作人员感到不舒适,室内设计温度提高一些,对改善室内工作人员的卫生条件也是有好处的。
不同于舒适空调,工艺性空凋以满足工艺要求为主,舒适性为辅。其次工艺性空调负荷一般也较大,房间换气次数也高,人员活动区风速大。此外人员多穿工作装,吹风感小,因此最大允许风速相比舒适性空调略高。
3.0.4 供暖与空调的室内热舒适性应按现行国家标准《中等热环境 PMV和PPD指数的测定及热舒适条件的规定》GB/T 18049的有关规定执行,采用预计平均热感觉指数(PMV)和预计不满意者的百分数(PPD)评价,热舒适度等级划分应按表3.0.4采用。

条文说明
3.0.4 室内热舒适性评价指标参数。
《中等热环境 PMV和PPD指数的测定及热舒适条件的规定》GB/T 18049等同于国际标准ISO 7730,本规范结合我国国情对舒适等级进行了划分。采用PMV、PPD评价室内热舒适,既与国家现行标准一致,又与国际接轨。在不降低室内热舒适标准的前提下,通过合理选择室内空气设计参数,可以收到明显节能效果。
3.0.5 辐射供暖室内设计温度宜降低2℃;辐射供冷室内设计温度宜提高0.5℃~1.5℃。
条文说明
3.0.5 辐射系统室内设计温度。
实践证实,人体的舒适度受辐射影响很大,欧洲的相关实验也证实了辐射和人体舒适度感觉的相互关系。对于辐射供暖供冷的建筑,其供暖室内设计温度取值低于以对流为主的供暖系统2℃,供冷室内设计温度取值高于采用对流方式的供冷系统0.5℃~1.5℃时,可达到同样舒适度。
3.0.6 设计最小新风量应符合下列规定:
1 公共建筑主要房间每人所需最小新风量应符合表3.0.6-1规定。

2 设置新风系统的居住建筑和医院建筑,所需最小新风量宜按换气次数法确定。居住建筑换气次数宜符合表3.0.6-2规定,医院建筑换气次数宜符合表3.0.6-3规定。

3 高密人群建筑每人所需最小新风量应按人员密度确定,且应符合表3.0.6-4规定。

条文说明
3.0.6 设计最小新风量。部分强制性条文。
表3.0.6—1~表3.0.6—4最小新风量指标综合考虑了人员污染和建筑污染对人体健康的影响。
1 表3.0.6—1中未做出规定的其他公共建筑人员所需最小新风量,可按照国家现行卫生标准中的容许浓度进行计算确定,并应满足国家现行相关标准的要求。
2 由于居住建筑和医院建筑的建筑污染部分比重一般要高于人员污染部分,按照现有人员新风量指标所确定的新风量没有体现建筑污染部分的差异,从而不能保证始终完全满足室内卫生要求;因此,综合考虑这两类建筑中的建筑污染与人员污染的影响,以换气次数的形式给出所需最小新风量。其中,居住建筑的换气次数参照ASHRAE Standard 62.1确定,医院建筑的换气次数参照《日本医院设计和管理指南》HEAS—02确定。医院中洁净手术部相关规定参照《医院洁净手术部建筑技术规范》GB 50333。
3 高密人群建筑即人员污染所需新风量比重高于建筑污染所需新风量比重的建筑类型。按照目前我国现有新风量指标,计算得到的高密人群建筑新风量所形成的新风负荷在空调负荷中的比重一般高达20%~40%,对于人员密度超高建筑,新风能耗通常更高。一方面,人员污染和建筑污染的比例随人员密度的改变而变化;另一方面,高密人群建筑的人流量变化幅度大,出现高峰人流的持续时间短,受作息、节假日、季节、气候等因素影响明显。因此,该类建筑应该考虑不同人员密度条件下对新风量指标的具体要求;并且应重视室内人员的适应性等因素对新风量指标的影响。为了反映以上因素对新风量指标的具体要求,该类建筑新风量大小参考ASHRAE Standard 62.1的规定,对不同人员密度条件下的人均最小新风量做出规定。通常会议室在舒适度要求上要比大会厅高,但只从健康要求角度考虑,对新风要求二者没有明显差别。会议室包括中小型会议室和大型会议室,在具体设计中,中小型会议室的人均新风量要大于大型会议室。
对于置换送风系统,由于其新鲜空气与室内空气混合机理与其他空凋系统不同,其新风量的确定可以根据本条得到的新风量再结合置换通风效率进行修正后得到。
室外设计计算参数
4.1 室外空气计算参数
4.1.1 主要城市的室外空气计算参数应按本规范附录A采用。对于附录A未列入的城市,应按本节的规定进行计算确定,若基本观测数据不满足本节要求,其冬夏两季室外计算温度,也可按本规范附录B所列的简化方法确定。
条文说明
4.1.1 室外空气计算参数。
室外空气计算参数是负荷计算的重要基础数据,本规范以全国地级单位划分为基础,结合中国气象局地面气象观测台站的观测数据经计算确定。我国国家级地面气象台站划分为一般站和基本基准站。部分一般站的资料序列较短,不具备整理条件,故本次计算采用的均为基本基准站气象观测资料。由于大部分县级地区的气象参数与其所属的地级单位相比变化不大,因此,没有选取地级市以下的单位进行数据统计。本规范共选取294个台站制作了室外空气计算参数表,详见附录A。所选台站基本覆盖了全国范围内的地级市,由于气象台站的分布和行政区划并非一一对应,对于未列入城市,其计算参数可参考就近或地理环境相近的城市确定。
近年来受气候变化影响,室外空气计算参数随环境温度的变化也发生了改变。本次统计选取1971年1月1日至2000年12月31日30年的每日4次(2、8、14、20点)定时观测数据为基础进行计算,总体来说,夏季计算参数变化不大,冬季北方供暖城市计算参数有上升现象。
我国使用的室外空气计算参数确定方法与国外不同,一般是按平均或累年不保证日(时)数确定,而美国、日本及英国等国家一般采用不保证率的方法,计算参数并不唯一,选择空间较大。经过专题研究,虽然国外的方法更灵活,能够针对目标建筑做出不同的选择,但我国的观测设备条件有限,目前还不能够提供所有主要城市30年的逐时原始数据,用一日四次的定时数据计算不保证率的结果与逐时数据的结果是有偏差的;而且从我国第一本暖通规范《工业企业供暖通风和空气调节设计规范》TJ 19出版以来一直沿用此种方法,广大的设计工作者已经习惯于这种传统的格式,综合考虑各种因素,本规范只更新数据,不改变方法。
随着我国经济发展,超高层建筑不断增多,高度不断增加,超高层建筑上部风速、温度等参数与地面相比有较大变化,应根据实际高度,对室外空气计算参数进行修正。
4.1.2 供暖室外计算温度应采用历年平均不保证5天的日平均温度。
条文说明
4.1.2 供暖室外计算温度。
供暖室外计算温度是将统计期内的历年日平均温度进行升序排列,按历年平均不保证5天时间的原则对数据进行筛选计算得到。
经过几十年的实践证明,在采取连续供暖时,这样的供暖室外计算温度一般不会影响民用建筑的供暖效果。本条及本章其他条文中的所谓“不保证”,是针对室外温度状况而言的。“历年”即为每年,“历年平均”,是指累年不保证总数的每年平均值。
4.1.3 冬季通风室外计算温度,应采用累年最冷月平均温度。
条文说明
4.1.3 冬季通风室外计算温度。
本条及本规范其他有关条文中的“累年最冷月”,系指累年月平均气温最低的月份。累年值是指历年气象观测要素的平均值或极值。累年月平均气温具体到本规范中是指指定时段内某月份历年月平均气温的平均值。累年月平均气温最低的月份是12个累年月平均气温中的最小值对应的月份。一般情况下累年最冷月为一月,但在少数地区也会存在为十二月或二月的情况。
本条的计算温度适用于机械送风系统补偿消除余热、余湿等全面排风的耗热量时使用;当选择机械送风系统的空气加热器时,室外计算参数宜采用供暖室外计算温度。
4.1.4 冬季空调室外计算温度,应采用历年平均不保证1天的日平均温度。
条文说明
4.1.4 冬季空调室外计算温度。
将冬季的室外空气计算温度分为供暖和空调两种温度是我国与国际上相比比较特殊的一种情况。在美国及日本等一些国家,冬季的设计计算温度并不区分供暖或空调,只是给出不同的保证率形式供设计师在不同使用功能的建筑时选用。
空调房间的温湿度要求要高于供暖房间,因此不保证的时间也应小于供暖温度所对应的时间。我国的冬季空调室外计算温度是以日平均温度为基础进行统计计算的,而国际上不保证率方法计算的基础是逐时平均温度,用二者进行比较,从严格意义上来说是不对等的。如果仅从数值上看,我国冬季空调室外计算温度的保证率还是比较高的,同美国等国家常用的标准在同一水平上。
4.1.5 冬季空调室外计算相对湿度,应采用累年最冷月平均相对湿度。
条文说明
4.1.5 冬季空调室外计算相对湿度。
累年最冷月平均相对湿度是指累年月平均气温最低月份的累年月平均相对湿度。
4.1.6 夏季空调室外计算干球温度,应采用历年平均不保证50小时的干球温度。
条文说明
4.1.6 夏季空调室外计算干球温度。
由于我国全国范围的自动气象观测站建设近年才开始,大多数地区逐时温度记录不够统计标准的30年。因此本规范中所指的不保证50小时,是以每天四次(2、8、14、20时)的定时温度记录为基础,以每次记录代表6小时进行统计。
4.1.7 夏季空调室外计算湿球温度,应采用历年平均不保证50小时的湿球温度。
条文说明
4.1.7 夏季空调室外计算湿球温度。
与4.1.6相同,湿球温度也是选取每日四次的定时观测湿球温度,以每次记录代表6小时进行统计。
4.1. 8 夏季通风室外计算温度,应采用历年最热月14时的月平均温度的平均值。
条文说明
4.1.8 夏季通风室外计算温度。
我国气象台站在观测时统一采用北京时间进行记录,14时是一日四次定时记录中气温最高的一次。对于我国大部分地区来说,当地太阳时的14时与北京太阳时的14时相比会有1~3个小时的时差。尤其是对于西部地区来说,统一采用北京时间14时的温度记录,并不能真正反映当地最热月逐日逐时较高的14时气温。但考虑到需要进行时差修正的地区,夏季通风室外计算温度多在30℃以下(有的还不到20℃),把通风计算温度规定提高一些,对通风设计(主要是自然通风)效果影响不大,故本规范未规定对此进行修正。
如需修正,可按以下的时差订正简化方法进行修正:
1 对北京以东地区以及北京以西时差为1小时地区,可以不考虑以北京时间14时所确定的夏季通风室外计算温度的时差订正。
2 对北京以西时差为2小时的地区,可按以北京时间14时所确定的夏季通风室外计算温度加上2℃来订正。
4.1.9 夏季通风室外计算相对湿度,应采用历年最热月14时的月平均相对湿度的平均值。
条文说明
4.1.9 夏季通风室外计算相对湿度。
全国统一采用北京时间最热月14时的平均相对湿度确定这一参数,也存在时差影响问题,但是相对湿度的偏差不大,偏于安全,故未考虑修正问题。
4.1.10 夏季空调室外计算日平均温度,应采用历年平均不保证5天的日平均温度。
条文说明
4.1.10 夏季空调室外计算日平均温度。
关于夏季室外计算日平均温度的确定原则是考虑与空调室外计算干湿球温度相对应的,即不保证小时数应为50小时左右。统计结果表明,50小时的不保证小时数大致分布在15天左右,而在这15天左右的时间内,分布也是不均等的,有些天仅有1~2小时,出现较多的不保证小时数的天数一般在5天左右。因此,取不保证5天的日平均温度,大致与室外计算干湿球温度不保证50小时是相对应的。
4.1.11 夏季空调室外计算逐时温度,可按下式确定:

式中:tsh——室外计算逐时温度(℃);
wp——夏季空调室外计算日平均温度(℃);
β——室外温度逐时变化系数按表4.1.11确定;
Δtr——夏季室外计算平均日较差;
twg——夏季空调室外计算干球温度(℃)。

条文说明
4.1.11 为适应关于按不稳定传热计算空调冷负荷的需要,制定本条内容。
4.1.12 当室内温湿度必须全年保证时,应另行确定空调室外计算参数。仅在部分时间工作的空调系统,可根据实际情况选择室外计算参数。
条文说明
4.1.12 特殊情况下空调室外计算参数的确定。
本规范的室外空气计算参数是在不同保证率下统计计算的结果,虽然保证率比较高,完全能够满足一般民用建筑的热环境舒适度需求,但是在特殊气象条件下仍然会存在达不到室内温湿度要求的情况。因此,当建筑室内温湿度参数必须全年保持既定要求的时候,应另行确定适宜的室外计算参数。仅在部分时间(如夜间)工作的空调系统,可不完全遵守本规范第4.1.6~4.1.11条的规定。
- 1.13 冬季室外平均风速,应采用累年最冷3个月各月平均风速的平均值;冬季室外最多风向的平均风速,应采用累年最冷3个月最多风向(静风除外)的各月平均风速的平均值;夏季室外平均风速,应采用累年最热3个月各月平均风速的平均值。
4.1.14 冬季最多风向及其频率,应采用累年最冷3个月的最多风向及其平均频率;夏季最多风向及其频率,应采用累年最热3个月的最多风向及其平均频率;年最多风向及其频率,应采用累年最多风向及其平均频率。
条文说明
4.1.14 室外风速、风向及频率。
本条及本规范其他有关条文中的“累年最冷3个月”,系指累年月平均气温最低的3个月;“累年最热3个月”,系指累年月平均气温最高的3个月。
“最多风向”即“主导风向” (Predominant Wind Direction)。
4.1.15 冬季室外大气压力,应采用累年最冷3个月各月平均大气压力的平均值;夏季室外大气压力,应采用累年最热3个月各月平均大气压力的平均值。
4.1.16 冬季日照百分率,应采用累年最冷3个月各月平均日照百分率的平均值。
4.1.17 设计计算用供暖期天数,应按累年日平均温度稳定低于或等于供暖室外临界温度的总日数确定。一般民用建筑供暖室外临界温度宜采用5℃。
条文说明
4.1.17 设计计算用供暖期天数。
本条中所谓“日平均温度稳定低于或等于供暖室外临界温度”,系指室外连续5天的滑动平均温度低于或等于供暖室外临界温度。
按本条规定统计和确定的设计计算用供暖期,是计算供暖建筑物的能量消耗,进行技术经济分析、比较等不可缺少的数据,是专供设计计算应用的,并不是指具体某一个地方的实际供暖期,各地的实际供暖期应由各地主管部门根据情况自行确定。随着生活水平提高,建筑物供暖临界温度也逐渐增长,为配合不同地区的不同要求,本规范附录给出了5℃和8℃两种临界温度的供暖期天数与起止日期。
4.1.18 室外计算参数的统计年份宜取30年。不足30年者,也可按实有年份采用,但不得少于10年。
条文说明
4.1.18 室外计算参数的统计年份。
近年来,国际上对室外计算参数统计年份的选取有一些讨论:年份取得长,气象参数的稳定性好,数据更有代表性,但是由于全球变暖,环境温度的攀升,统计年份选取过长则不能完全切合实际设计需求;年份取的短,虽然在一定程度上更贴近实际气温变化趋势,但是会放大极端天气对设计参数的影响。为得出一个合理的结论,编制组室外空气计算参数专题小组对1978~2007年的气象参数进行了整理分析。结果表明1978~2007累年年平均气温与1951~1980年30年的累年年平均气温相比有了明显的上升,但是北方地区冬季的温度近十年又有回落的趋势,而夏季的温度整体变化不大。经过计算对比室外空气计算参数采用10年、15年、20年及30年不同统计期的数值,10年与30年的数据与累年年平均气温变化的趋势最为相近。从气象学的角度出发,30年是比较有代表性的观测统计期,所以本次规范室外空气计算参数的统计年份为30年。为保证计算参数的科学合理,根据气象部门整编数据的规定,编制组选取了1971~2000年作为统计期,部分台站因为迁站等原因有数据缺失,除长沙、重庆和芜湖外,其余台站均保证统计期大于20年。
4.1. 19 山区的室外气象参数应根据就地的调查、实测并与地理和气候条件相似的邻近台站的气象资料进行比较确定。
条文说明
4.1.19 山区的室外气象参数。
山区的气温受海拔、地形等因素影响较大,在与邻近台站的气象资料进行比较时,应注意小气候的影响,注意气候条件的相似性。
4.2 夏季太阳辐射照度
4.2.1 夏季太阳辐射照度应根据当地的地理纬度、大气透明度和大气压力,按7月21日的太阳赤纬计算确定。
条文说明
4.2.1 确定太阳辐射照度的基本原则。
本规范所给出的太阳辐射照度值,是根据地理纬度和7月大气透明度,并按7月21日的太阳赤纬,应用有关太阳辐射的研究成果,通过计算确定的。
关于计算太阳辐射照度的基础数据及其确定方法。这里所说的基础数据,是指垂直于太阳光线的表面上的直接辐射照度S和水平面上的总辐射照度Q。基础数据是基于观测记录用逐时的S和Q值,采用近10年中每年6月至9月内舍去15~20个高峰值的较大值的历年平均值。实践证明,这一统计方法虽然较为繁琐,但它所确定的基础数据的量值,已为大家所接受。本规范参照这一量值,根据我国有关太阳辐射的研究中给出的不同大气透明度和不同太阳高度角下的S和Q值,按照不同纬度、不同时刻(6~18)时的太阳高度角用内插法确定的。
4.2.2 建筑物各朝向垂直面与水平面的太阳总辐射照度可按本规范附录C采用。
条文说明
4.2.2 垂直面和水平面的太阳总辐射照度。
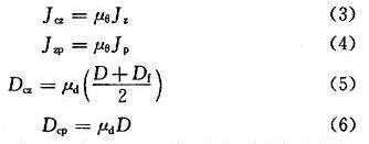
建筑物各朝向垂直面与水平面的太阳总辐射照度,是按下列公式计算确定的:

式中 Jzz——各朝向垂直面上的太阳总辐射照度(W/㎡);
Jzp——水平面上和太阳总辐射照度(W/㎡);
Jz——各朝向垂直面的直接辐射照度(W/㎡);
Jp——水平面的直接辐射照度(W/㎡);
D——散射辐射照度(W/㎡);
Df——地面反向辐射照度(W/㎡)
各纬度带和各大气透明度等级下的计算结果列于本规范附录C。
4.2.3 透过建筑物各朝向垂直面与水平面标准窗玻璃的太阳直接辐射照度和散射辐射照度,可按本规范附录D采用。
条文说明
4.2.3 透过标准窗玻璃的太阳辐射照度。
根据有关资料,将3mm厚的普通平板玻璃定义为标准玻璃。透过标准窗玻璃的太阳直接辐射照度和散射辐射照度,是按下列公式计算确定的:

式中 Jcz——各朝向垂直面和水平面透过标准窗玻璃的直接辐射照度(W/㎡);
μθ——太阳直接辐射入射率;
Dcz——透过各朝向垂直面标准窗玻璃的散射辐射照度(W/㎡);
Dcp——透过水平面标准窗玻璃的散射辐射照度(W/㎡);
μd——太阳散射辐射入射率;
其他符号意义同前。
各纬度带和各大气透明度等级下的计算结果列于本规范附录D。
4.2.4 采用本规范附录C和附录D时,当地的大气透明度等级,应根据本规范附录E及夏季大气压力,并按表4.2.4确定。

条文说明
4.2.4 当地计算大气透明度等级的确定。
为了按本规范附录C和附录D查取当地的太阳辐射照度值,需要确定当地的计算大气透明度等级,为此,本条给出了根据当地大气压力确定大气透明度的等级,见表4.2.4,并在本规范附录E中给出了夏季空调用的计算大气透明度分布图。
供 暖
5.1 一般规定
5.1.1 供暖方式应根据建筑物规模所在地区气象条件、能源状况及政策、节能环保和生活习惯要求等,通过技术经济比较确定。
条文说明
5.1.1 供暖方式选择原则。
目前实施供暖的各地区的气象条件,能源结构、价格、政策,供热、供气、供电情况及经济实力等都存在较大差异,并且供暖方式还要受到环保、卫生、安全等多方面的制约和生活习惯的影响,因此,应通过技术经济比较确定。
5.1.2 累年日平均温度稳定低于或等于5℃的日数大于或等于90天的地区,应设置供暖设施,并宜采用集中供暖。
条文说明
5.1.2 宜设置集中供暖的地区。
根据几十年的实践经验,累年日平均温度稳定低于或等于5℃的日数大于或等于90天的地区,在同样保障室内设计环境的情况下,采用集中供暖系统更为经济、合理。这类地区是北京、天津、河北、山西、内蒙古、辽宁、吉林、黑龙江、山东、西藏、青海、宁夏、新疆等13个省、直辖市、自治区的全部,河南(许昌以北)、陕西(西安以北)、甘肃(除陇南部分地区)等省的大部分,以及江苏(淮阴以北)、安徽(宿县以北)、四川(川西高原)等省的一小部分,此外还有某些省份的高寒山区。
近些年,随着我国经济发展和人民生活水平提高,累年日平均温度稳定低于或等于5℃的日数小于90天地区的建筑也开始逐渐设置供暖设施,具体方式可根据当地条件确定。
5.1.3 符合下列条件之一的地区,宜设置供暖设施;其中幼儿园、养老院、中小学校、医疗机构等建筑宜采用集中供暖:
1 累年日平均温度稳定低于或等于5℃的日数为60d~89d;
2 累年日平均温度稳定低于或等于5℃的日数不足60d,但累年日平均温度稳定低于或等于8℃的日数大于或等于75d。
条文说明
5.1.3 宜设置供暖设施的地区及宜采用集中供暖的建筑。
为了保障人民生活最基本要求、维护公众利益设置了本条文。具体采用什么供暖方式,应根据所在地区的具体情况,通过技术经济比较确定。
5.1.4 供暖热负荷计算时,室内设计参数应按本规范第3章确定;室外计算参数应按本规范第4章确定。
条文说明
5.1.4 供暖热负荷计算时,室内设计参数应按本规范第3章确定;室外计算参数应按本规范第4章确定。
5.1.5 严寒或寒冷地区设置供暖的公共建筑,在非使用时间内,室内温度应保持在0℃以上;当利用房间蓄热量不能满足要求时,应按保证室内温度5℃设置值班供暖。当工艺有特殊要求时,应按工艺要求确定值班供暖温度。
条文说明
5.1.5 设置值班供暖的规定。
设置值班供暖,主要是为了防止公共建筑在非使用的时间内,其水管及其他用水设备发生冻结的现象。在严寒地区,还要考虑居住建筑的公共部分的防冻措施。
5.1.6 居住建筑的集中供暖系统应按连续供暖进行设计。
条文说明
5.1.6 居住建筑集中供暖系统。
连续供暖指当室外温度达到供暖室外计算温度时,为了使室内达到设计温度,要求锅炉房(或换热机房)按照设计的供、回水温度昼夜连续运行。当室外温度高于供暖室外计算温度时,可以采用质调节或量调节以及间歇调节等运行方式减少供热量。需要指出,间歇调节运行与间歇供暖的概念是不同的,间歇调节运行只是在供暖过程中减少系统供热量的一种方法,而间歇供暖是指建筑物在使用时间内供暖,使室内温度达到设计要求,而在非使用时间允许室温自然降低。例如:办公楼、教学楼等公共建筑的使用时间基本是固定的时间段,可以采用间歇供暖。而居住建筑的使用时间依居住人行为习惯、年龄等的差异而不同,它可能是在每天的任何时间。在室内设计参数不变的条件下,连续供暖每小时的热负荷是均匀的,在设计条件下所选用的供暖设备可以满足使用要求。
5.1.7 设置供暖的建筑物,其围护结构的传热系数应符合国家现行相关节能设计标准的规定。
条文说明
5.1.7 围护结构传热系数的规定。
国家现行公共建筑和居住建筑节能设计标准对外墙、屋面、外窗、阳台门和天窗等围护结构的传热系数都有相关的具体要求和规定,本规范应符合其规定。
5.1.8 围护结构的传热系数应按下式计算:

αn——围护结构内表面换热系数[W/(㎡·K)],按本规范表5.1.8-1采用;
αw——围护结构外表面换热系数[W/(㎡·K)],按本规范表5.1.8-2采用;
δ——围护结构各层材料厚度(m);
λ——围护结构各层材料导热系数[W/(m·K)];
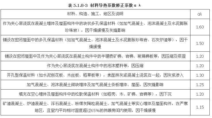
αλ——材料导热系数修正系数,按本规范表5.1.8-3采用;
Rk——封闭空气间层的热阻(㎡·K/W),按本规范表5.1.8-4采用;



5.1.9 对于有顶棚的坡屋面,当用顶棚面积计算其传热量时,屋面和顶棚的综合传热系数,可按下式计算:

式中:K——屋面的顶棚的综合传热系数[W/(㎡.K)];
K1——顶棚的传热系数[W/(㎡.K)];
K2——屋面的传热系数[W/(㎡.K)];
a——屋顶和顶棚的夹角。
5.1.10 建筑物的热水供暖系统应按设备、管道及部件所能承受的最低工作压力和水力平衡要求进行竖向分区设置。
条文说明
5.1.10 竖向分区设置规定。
设置竖向分区主要目的是:减小设备、管道及部件所承受的压力,保证系统安全运行,避免立管出现垂直失调等现象。通常,考虑散热器的承压能力,高层建筑内的散热器供暖系统宜按照50m进行分区设置。
5.1.11 条件许可时,建筑物的集中供暖系统宜分南北向设置环路。
条文说明
5.1.11 系统分环设置规定。 为了平衡南北向房间的温差、解决“南热北冷”的问题,除了按本规范的规定对南北向房间分别采用不同的朝向修正系数外,对供暖系统,必要时采取南北向房间分环布置的方式,有利于系统调试,故在条文中推荐。
5.1.12 供暖系统的水质应符合国家现行相关标准的规定。
条文说明
5.1.12 供暖系统的水质要求。 水质是保证供暖系统正常运行的前提,近些年发展的轻质散热器和相关末端设备在使用时都对水质有不同的要求。现行国家标准《工业锅炉水质》GB 1576对供暖系统水质有要求,但其针对性不强,目前国家标准《供暖空调系统水质标准》正在编制中,对供暖水质提出了更为具体、针对性更强的要求。
5.2 热 负 荷
5.2.1 集中供暖系统的施工图设计,必须对每个房间进行热负荷计算。
条文说明
5.2.1 集中供暖系统施工图设计。强制性条文。
集中供暖的建筑,供暖热负荷的正确计算对供暖设备选择、管道计算以及节能运行都起到关键作用,特设置此条,且与现行《严寒和寒冷地区居住建筑节能设计标准》JGJ 26和《公共建筑节能设计标准》GB 50189保持一致。
在实际工程中,供暖系统有时是按照“分区域”来设置的,在一个供暖区域中可能存在多个房间,如果按照区域来计算,对于每个房间的热负荷仍然没有明确的数据。为了防止设计人员对“区域”的误解,这里强调的是对每一个房间进行计算而不是按照供暖区域来计算。
5.2.2 冬季供暖通风系统的热负荷应根据建筑物下列散失和获得的热量确定:
1 围护结构的耗热量;
2 加热由外门、窗缝隙渗入室内的冷空气耗热量;
3 加热由外门开启时经外门进入室内的冷空气耗热量;
4 通风耗热量;
5 通过其他途径散失或获得的热量。
条文说明
5.2.2 供暖通风热负荷确定。
计算热负荷时不经常出现的散热量,可不计算;经常出现但不稳定的散热量,应采用小时平均值。当前居住建筑户型面积越来越大,单位建筑面积内部得热量不一,且炊事、照明、家电等散热是间歇性的,这部分自由热可作为安全量,在确定热负荷时不予考虑。公共建筑内较大且放热较恒定的物体的散热量,在确定系统热负荷时应予以考虑。
5.2.3 围护结构的耗热量,应包括基本耗热量和附加耗热量。
条文说明
5.2.4 围护结构基本耗热量的计算。
公式(5.2.4)是按稳定传热计算围护结构耗热量,不管围护结构的热惰性指标大小如何,室外计算温度均采用供暖室外计算温度,即历年平均不保证5天的日平均温度。
近些年北方地区的居住建筑大都采用封闭阳台,封闭阳台形式大致有两种:凸阳台和凹阳台。凸阳台是包含正面和左右侧面三个接触室外空气的外立面,而凹阳台是只有正面一个接触室外空气的外立面。在计算围护结构基本耗热量时,应考虑该围护结构的温差修正系数。现行行业标准《严寒和寒冷地区居住建筑节能设计标准》JGJ 26-2010附录E.0.4给出了严寒寒冷地区210个城市和地区、不同朝向的凸阳台和凹阳台温差修正系数。
5.2.4 围护结构的基本耗热量应按下式计算:
Q=αFK(tn—twn) (5.2.4)
式中:Q——围护结构的基本耗热量(W);
α——围护结构温差修正系数,按本规范表5.2.4采用;
F——围护结构的面积(㎡)
K——围护结构的传热系数[W/(㎡.K)];
tn——供暖室内设计温度(℃),按本规范第3章采用;
twn——供暖室外计算温度(℃),按本规范第4章采用;
注:当已知或可求出冷侧温度时,twn一项可直接用冷侧温度值代入,不再进行α值修正。

条文说明
5.2.5 相邻房间的温差传热计算原则。
当相邻房间的温差小于5℃时,为简化计算起见,通常可不计入通过隔墙和楼板等的传热量。但当隔墙或楼板的传热热阻太小,传热面积很大,或其传热量大于该房间热负荷的10%时,也应将其传热量计入该房间的热负荷内。
5.2.5 与相邻房间的温差大于或等于5℃,或通过隔墙和楼板等的传热量大于该房间热负荷的10%时,应计算通过隔墙或楼板等的传热量。
条文说明
5.2.5 相邻房间的温差传热计算原则。 当相邻房间的温差小于5℃时,为简化计算起见,通常可不计入通过隔墙和楼板等的传热量。但当隔墙或楼板的传热热阻太小,传热面积很大,或其传热量大于该房间热负荷的10%时,也应将其传热量计入该房间的热负荷内。
5.2.6 围护结构的附加耗热量应按其占基本耗热量的百分率确定。各项附加百分率宜按下列规定的数值选用:
1 朝向修正率:
1)北、东北、西北按0~10%;
2)东、西按—5%;
3)东南、西南按—10%~—15%;
4)南按—15%~—30%。
注:1 应根据当地冬季日照率、辐射照度、建筑物使用和被遮挡等情况选用修正率。
2 冬季日照率小于35%的地区,东南、西南和南向的修正率,宜采用—10%~0,东、西向可不修正。
2 风力附加率:设在不避风的高地、河边、海岸、旷野上的建筑物,以及城镇中明显高出周围其他建筑物的建筑物,其垂直外围护结构宜附加5%~10%;
3 当建筑物的楼层数为n时,外门附加率:
1)一道门按65%×n;
2)两道门(有门斗)按80%×n;
3)三道门(有两个门斗)按60%×n;
4)公共建筑的主要出入口按500%。
条文说明
5.2.6 围护结构的附加耗热量。包括朝向修正率、风力附加率、外门附加率。
1 朝向修正率,是基于太阳辐射的有利作用和南北向房间的温度平衡要求,而在耗热量计算中采取的修正系数。本条第一款给出的一组朝向修正率是综合各方面的论述、意见和要求,在考虑某些地区、某些建筑物在太阳辐射得热方面存在的潜力的同时,考虑到我国幅员辽阔,各地实际情况比较复杂,影响因素很多,南北向房间耗热量客观存在一定的差异(10%~30%),以及北向房间由于接受不到太阳直射作用而使人们的实感温度低(约差2℃),而且墙体的干燥程度北向也比南向差,为使南北向房间在整个供暖期均能维持大体均衡的温度,规定了附加(减)的范围值。这样做适应性比较强,并为广大设计人员提供了可供选择的余地。具有一定的灵活性,有利于本规范的贯彻执行。
2 风力附加率,是指在供暖耗热量计算中,基于较大的室外风速会引起围护结构外表面换热系数增大,即大于23W/(㎡·K)而设的附加系数。由于我国大部分地区冬季平均风速不大,一般为2m/s~3m/s,仅个别地区大于5m/s,影响不大,为简化计算起见,一般建筑物不必考虑风力附加,仅对建筑在不避风的高地、河边、海岸、旷野上的建筑物,以及城镇内明显高出的建筑物的风力附加做了规定。 “明显高出”通常指较大区域范围内,某栋建筑特别突出的情况。
3 外门附加率,是基于建筑物外门开启的频繁程度以及冲入建筑物中的冷空气导致耗热量增大而附加的系数。外门附加率,只适用于短时间开启的、无热空气幕的外门。阳台门不应计入外门附加。
关于第3款外门附加中“一道门附加65%×n,两道门附加80%×n”的有关规定,有人提出异议,但该项规定是正确的。因为一道门与两道门的传热系数是不同的:一道门的传热系数是4.65W/(㎡·K),两道门的传热系数是2.33W/(㎡·K)。
例如:设楼层数n=6 一道门的附加65%×n为:4.65×65%×6=18.135
两道门的附加80%×n为:2.33×80%×6=11.184
显然一道门附加的多,而两道门附加的少。 另外,此处所指的外门是建筑物底层入口的门,而不是各层每户的外门。
此外,严寒地区设计人员也可根据经验对两面外墙和窗墙面积比过大进行修正。当房间有两面以上外墙时,可将外墙、窗、门的基本耗热量附加5%。当窗墙(不含窗)面积比超过1:1时,可将窗的基本耗热量附加10%。
5.2.7 建筑(除楼梯间外)的围护结构耗热量高度附加率,散热器供暖房间高度大于4m时,每高出1m应附加2%,但总附加率不应大于15%;地面辐射供暖的房间高度大于4m时,每高出1m宜附加1%,但总附加率不宜大于8%。
条文说明
5.2.7 高度附加率。
高度附加率应附加于围护结构的基本耗热量和其他附加耗热量之和的基础上。高度附加率,是基于房间高度大于4m时,由于竖向温度梯度的影响导致上部空间及围护结构的耗热量增大的附加系数。由于围护结构耗热作用等影响,房间竖向温度的分布并不总是逐步升高的,因此对高度附加率的上限值做了限制。
以前有关地面供暖的规定认为可不计算房间热负荷的高度附加。但实际工程中的高大空间,尤其是间歇供暖时,常存在房间升温时间过长甚至是供热量不足等问题。分析原因主要是:①同样面积时,高大空间外墙等外围护结构比一般房间多,“蓄冷量”较大,供暖初期升温相对需热量较多;②地面供暖向房间散热有将近一半仍依靠对流形式,房间高度方向也存在一些温度梯度。因此本规范建议地面供暖时,也要考虑高度附加,其附加值约按一般散热器供暖计算值50%取值。
5.2.8 对于只要求在使用时间保持室内温度,而其他时间可以自然降温的供暖间歇使用建筑物,可按间歇供暖系统设计。其供暖热负荷应对围护结构耗热量进行间歇附加,附加率应根据保证室温的时间和预热时间等因素通过计算确定。间歇附加率可按下列数值选取:
1 仅白天使用的建筑物,间歇附加率可取20%;
2 对不经常使用的建筑物,间歇附加率可取30%。
条文说明
5.2.8 间歇供暖系统设计附加值选取。
对于夜间基本不使用的办公楼和教学楼等建筑,在夜间时允许室内温度自然降低一些,这时可按间歇供暖系统设计,这类建筑物的供暖热负荷应对围护结构耗热量进行间歇附加,间歇附加率可取20%;对于不经常使用的体育馆和展览馆等建筑,围护结构耗热量的间歇附加率可取30%。如建筑物预热时间长,如两小时,其间歇附加率可以适当减少。
5.2.9 加热由门窗缝隙渗入室内的冷空气的耗热量,应根据建筑物的内部隔断、门窗构造、门窗朝向、室内外温度和室外风速等因素确定,宜按本规范附录F进行计算。
条文说明
5.2.9 门窗缝隙渗入室内的冷空气耗热量计算。
本条强调了门窗缝隙渗透冷空气耗热量计算的必要性,并明确计算时应考虑的主要因素。在各类建筑物的耗热量中,冷风渗透耗热量所占比是相当大的,有时高达30%左右,根据现有的资料,本规范附录F分别给出了用缝隙法计算民用建筑的冷风渗透耗热量,并在附录G中给出了全国主要城市的冷风渗透量的朝向修正系数n值。
5.2.10 在确定分户热计量供暖系统的户内供暖设备容量和户内管道时,应考虑户间传热对供暖负荷的附加,但附加量不应超过50%,且不应统计在供暖系统的总热负荷内。
条文说明
5.2.10 分户热计量户间传热供暖负荷附加量。
户间传热对供暖负荷的附加量的大小不影响外网、热源的初投资,在实施室温可调和供热计量收费后也对运行能耗的影响较小,只影响到室内系统的初投资。附加量取得过大,初投资增加较多。依据模拟分析和运行经验,户间传热对供暖负荷的附加量不宜超过计算负荷的50%。
5.2.11 全面辐射供暖系统的热负荷计算时,室内设计温度应符合本规范第3.0.5条的规定。局部辐射供暖系统的热负荷按全面辐射供暖的热负荷乘以表5.2.11的计算系数。

条文说明
5.2.11 辐射供暖负荷计算。
根据国内外资料和国内一些工程的实测,辐射供暖用于全面供暖时,在相同热舒适条件下的室内温度可比对流供暖时的室内温度低2℃~3℃。故规定辐射供暖的耗热量计算可按本规范的有关规定进行,但室内设计温度取值可降低2℃。当辐射供暖用于局部供暖时,热负荷计算还要乘以表5.2.11所规定的计算系数(局部供暖的面积与房间总面积的面积比大于75%时,按全面供暖耗热量计算)。
5.3 散热器供暖
5.3.1 散热器供暖系统应采用热水作为热媒;散热器集中供暖系统宜按75℃/50℃连续供暖进行设计,且供水温度不宜大于85℃,供回水温差不宜小于20℃。
条文说明
5.3.1 散热器供暖系统的热媒选择及热媒温度。
采用热水作为热媒,不仅对供暖质量有明显的提高,而且便于进行调节。因此,明确规定散热器供暖系统应采用热水作为热媒。
以前的室内供暖系统设计,基本是按95℃/70℃热媒参数进行设计,实际运行情况表明,合理降低建筑物内供暖系统的热媒参数,有利于提高散热器供暖的舒适程度和节能降耗。近年来,国内已开始提倡低温连续供热,出现降低热媒温度的趋势。研究表明:对采用散热器的集中供暖系统,综合考虑供暖系统的初投资和年运行费用,当二次网设计参数取75℃/50℃时,方案最优,其次是取85℃/60℃时。
目前,欧洲很多国家正朝着降低供暖系统热媒温度的方向发展,开始采用60℃以下低温热水供暖,这也值得我国参考。
5.3.2 居住建筑室内供暖系统的制式宜采用垂直双管系统或共用立管的分户独立循环双管系统,也可采用垂直单管跨越式系统;公共建筑供暖系统宜采用双管系统,也可采用单管跨越式系统。
条文说明
5.3.2 供暖系统制式选择。
由于双管制系统可实现变流量调节,有利于节能,因此室内供暖系统推荐采用双管制系统。采用单管系统时,应在每组散热器的进出水支管之间设置跨越管,实现室温调节功能。公共建筑选择供暖系统制式的原则,是在保持散热器有较高散热效率的前提下,保证系统中除楼梯间以外的各个房间(供暖区),能独立进行温度调节。公共建筑供暖系统可采用上/下分式垂直双管、下分式水平双管、上分式带跨越管的垂直单管、下分式带跨越管的水平单管制式,由于公共建筑往往分区出售或出租,由不同单位使用,因此,在设计和划分系统时,应充分考虑实现分区热量计量的灵活性、方便性和可能性,确保实现按用热量多少进行收费。
5.3.3 既有建筑的室内垂直单管顺流式系统应改成垂直双管系统或垂直单管跨越式系统,不宜改造为分户独立循环系统。
条文说明
5.3.3 既有建筑供暖系统改造制式选择。
在北方一些城市大面积推行的既有建筑供暖系统热计量改造,多数改为分户独立循环系统,室内管道需重新布置,实施困难。对居民影响较大。根据既有建筑改造应尽可能减少扰民和投入为原则,建议采用改为垂直双管或加跨越管的形式,实现分户计量要求。
5.3.4 垂直单管跨越式系统的楼层层数不宜超过6层,水平单管跨越式系统的散热器组数不宜超过6组。
条文说明
5.3.4 单管跨越式系统适用层数和散热器连接组数的规定。 散热器流量和散热量的关系曲线与进出口温差有关,温差越大越接近线性。散热器串联组数过多,每组散热温差过小,不仅散热器面积增加较大,恒温阀调节性能也很难满足要求。
5.3.5 管道有冻结危险的场所,散热器的供暖立管或支管应单独设置。
条文说明
5.3.5 有冻结危险场所的散热器设置。强制性条文。
对于管道有冻结危险的场所,不应将其散热器同邻室连接,立管或支管应独立设置,以防散热器冻裂后影响邻室的供暖效果。
5.3.6 选择散热器时,应符合下列规定:
1 应根据供暖系统的压力要求,确定散热器的工作压力,并符合国家现行有关产品标准的规定;
2 相对湿度较大的房间应采用耐腐蚀的散热器;
3 采用钢制散热器时,应满足产品对水质的要求,在非供暖季节供暖系统应充水保养;
4 采用铝制散热器时,应选用内防腐型,并满足产品对水质的要求;
5 安装热量表和恒温阀的热水供暖系统不宜采用水流通道内含有粘砂的铸铁散热器;
6 高大空间供暖不宜单独采用对流型散热器。
条文说明
5.3.6 选择散热器的规定。 散热器产品标准中规定了不同种类散热器的工作压力,即便是同一种类的散热器也有因加工材质厚度不同,工作压力不同的情况,而不同系统要求散热器的压力也不同,因此,强调了本条第一款的内容。 供暖系统在非供暖季节应充水湿保养,不仅是使用钢制散热器供暖系统的基本运行条件,也是热水供暖系统的基本运行条件,在设计说明中应加以强调。 公共建筑内的高大空间,如大堂、候车(机)厅、展厅等处的供暖,如果采用常规的对流供暖方式供暖时,室内沿高度方向会形成很大的温度梯度,不但建筑热损耗增大,而且人员活动区的温度往往偏低,很难保持设计温度。采用辐射供暖时,室内高度方向的温度梯度小;同时,由于有温度和辐射照度的综合作用,既可以创造比较理想的热舒适环境,又可以比对流供暖时减少能耗。
5.3.7 布置散热器时,应符合下列规定:
1 散热器宜安装在外墙窗台下,当安装或布置管道有困难时,也可靠内墙安装;
2 两道外门之间的门斗内,不应设置散热器;
3 楼梯间的散热器,应分配在底层或按一定比例分配在下部各层。
条文说明
5.3.7 散热器的布置。
1 散热器布置在外墙的窗台下,从散热器上升的对流热气流能阻止从玻璃窗下降的冷气流,使流经生活区和工作区的空气比较暖和,给人以舒适的感觉,因此推荐把散热器布置在外墙的窗台下;为了便于户内管道的布置,散热器也可靠内墙安装。
2 为了防止把散热器冻裂,在两道外门之间的门斗内不应设置散热器。
3 把散热器布置在楼梯间的底层,可以利用热压作用,使加热了的空气自行上升到楼梯间的上部补偿其耗热量,因此规定楼梯间的散热器应尽量布置在底层或按一定比例分配在下部各层。
5.3.8 铸铁散热器的组装片数,宜符合下列规定:
1 粗柱型(包括柱翼型)不宜超过20片;
2 细柱型不宜超过25片。
条文说明
5.3.8 散热器组装片数。
本条规定主要是考虑散热器组片连接强度及施工安装的限制要求。
5.3.9 除幼儿园、老年人和特殊功能要求的建筑外,散热器应明装。必须暗装时,装饰罩应有合理的气流通道、足够的通道面积,并方便维修。散热器的外表面应刷非金属性涂料。
条文说明
5.3.9 散热器安装。
散热器暗装在罩内时,不但散热器的散热量会大幅度减少;而且,由于罩内空气温度远远高于室内空气温度,从而使罩内墙体的温差传热损失大大增加,应避免这种错误做法。实验证明:散热器外表面涂刷非金属性涂料时,其散热量比涂刷金属性涂料时能增加10%左右。“特殊功能要求的建筑”指精神病院、法院审查室等。
5.3.10 幼儿园、老年人和特殊功能要求的建筑的散热器必须暗装或加防护罩。
条文说明
5.3.10 散热器安装。强制性条文。
规定本条的目的,是为了保护儿童、老年人、特殊人群的安全健康,避免烫伤和碰伤。
5.3.11 确定散热器数量时,应根据其连接方式、安装形式、组装片数、热水流量以及表面涂料等对散热量的影响,对散热器数量进行修正。
条文说明
5.3.11 散热器数量修正。
散热器的散热量是在特定条件下通过实验测定给出的,在实际工程应用中该值往往与测试条件下给出的有一定差别,为此设计时除应按不同的传热温差(散热器表面温度与室温之差)选用合适的传热系数外,还应考虑其连接方式、安装形式、组装片数、热水流量以及表面涂料等对散热量的影响。
散热器散热数量n(片)可由下式计算,公式中的修正系数可由设计手册查得。
n=(QJ/Qs)β1β2β3β4 (7)
式中 QJ——房间的供暖热负荷(W);
Qs——散热器的单位(每片或每米长)散热量[(W/片)或(W/m)];
β1——柱形散热器(如铸铁柱形,柱翼形,钢制柱形等)的组装片数修正系数及扁管形、板形散热器长度修正系数;
β2——散热器支管连接方式修正系数;
β3——散热器安装形式修正系数;
β4——进入散热器流量修正系数。
5.3.12 供暖系统非保温管道明设时,应计算管道的散热量对散热器数量的折减;非保温管道暗设时宜考虑管道的散热量对散热器数量的影响。
条文说明
5.3.12 非保温管道散热器数量修正。
管道明设时,非保温管道的散热量有提高室温的作用,可补偿一部分耗热量,其值应通过明装管道外表面与室内空气的传热计算确定。管道暗设于管井、吊顶等处时,均应保温,可不考虑管道中水的冷却温降;对于直接埋设于墙内的不保温立、支管,散入室内的热量、无效热损失、水温降等较难准确计算,设计人可根据暗设管道长度等因素,适当考虑对散热器数量的影响。
5.3.13 垂直单管和垂直双管供暖系统,同一房间的两组散热器,可采用异侧连接的水平单管串联的连接方式,也可采用上下接口同侧连接方式。当采用上下接口同侧连接方式时,散热器之间的上下连接管应与散热器接口同径。
条文说明
5.3.13 同一房间的两组散热器的连接方式。
条文中的散热器连接方式一般称为“分组串接”,如图2所示。由于供暖房间的温控要求,各房间散热器均需独立与供暖立管连接,因此只允许同一房间的两组散热器采用“分组串接”。对于水平单管跨越式和双管系
统,完全有条件每组散热器与水平供暖管道独立连接并分别控制,因此“分组串接”仅限于垂直单管和垂直双管系统采用。 采用“分组串接”的原因一般是房间热负荷过大,散热器片数过多,或为了散热器布置均匀,需分成两组进行施工安装,而单独设置立管或每组散热器单独与立管连接又有困难或不经济。
采用上下接口同侧连接方式时,为了保证距立管较远的散热器的散热量,散热器之间的连接管管径应尽可能大,使其相当于一组散热器,即采用带外螺纹的支管直接与散热器内螺纹接口连接。
5.4 热水辐射供暖
5.4.1 热水地面辐射供暖系统供水温度宜采用35℃~45℃,不应大于60℃;供回水温差不宜大于1O℃,且不宜小于5℃;毛细管网辐射系统供水温度宜满足表5.4.1-1的规定,供回水温差宜采用3℃~6℃。辐射体的表面平均温度宜符合表5.4.1-2的规定。

条文说明
5.4.1 辐射供暖系统的供回水温度、温差及辐射体表面平均温度要求。
本条从对地面辐射供暖的安全、寿命和舒适考虑,规定供水温度不应超过60℃。从舒适及节能考虑,地面供暖供水温度宜采用较低数值,国内外经验表明,35℃~45℃是比较合适的范围,故作此推荐。根据不同设置位置覆盖层热阻及遮挡因素,确定毛细管网供水温度。
根据国内外技术资料从人体舒适和安全角度考虑,对辐射供暖的辐射体表面平均温度作了具体规定。
对于人员经常停留的地面温度上限值规定,美国相关标准根据热舒适理论研究得出地面温度在21℃~24℃时,不满意度低于8%;欧洲相关设计标准规定地面温度上限为29℃,日本相关研究表明,地面温度上限为31℃时,从人体健康、舒适考虑,是可以接受。考虑到生活习惯,本规范将人员经常停留地面的温度上限值规定为29℃。
5.4.2 确定地面散热量时,应校核地面表面平均温度,确保其不高于表5.4.1-2的温度上限值;否则应改善建筑热工性能或设置其他辅助供暖设备,减少地面辐射供暖系统负担的热负荷。
条文说明
5.4.2 地表面平均温度校核。
地面的表面平均温度若高于表5.4.1-2的最高限值,会造成不舒适,此时应减少地面辐射供暖系统负担的热负荷,采取改善建筑热工性能或设置其他辅助供暖设备等措施,满足设计要求。《地面辐射供暖技术规程》JGJ 142-2004的3.4.5条给出了校核地面的表面平均温度的近似公式。
5.4.3 热水地面辐射供暖系统地面构造,应符合下列规定:
1 直接与室外空气接触的楼板、与不供暖房间相邻的地板为供暖地面时,必须设置绝热层;
2 与土壤接触的底层,应设置绝热层;设置绝热层时,绝热层与土壤之间应设置防潮层;
3 潮湿房间,填充层上或面层下应设置隔离层。
条文说明
5.4.3 绝热层、防潮层、隔离层。部分强制性条文。
为减少供暖地面的热损失,直接与室外空气接触的楼板、与不供暖房间相邻的地板,必须设置绝热层。与土壤接触的底层,应设置绝热层;当地面荷载特别大时,与土壤接触的底层的绝热层有可能承载力不够,考虑到土壤热阻相对楼板较大,散热量较小,可根据具体情况酌情处理。为保证绝热效果,规定绝热层与土壤间设置防潮层。对于潮湿房间,混凝土填充式供暖地面的填充层上,预制沟槽保温板或预制轻薄供暖板供暖地面的地面面层下设置隔离层,以防止水渗入。
5.4. 4 毛细管网辐射系统单独供暖时,宜首先考虑地面埋置方式,地面面积不足时再考虑墙面埋置方式;毛细管网同时用于冬季供暖和夏季供冷时,宜首先考虑顶棚安装方式,顶棚面积不足时再考虑墙面或地面埋置方式。
条文说明
5.4.4 毛细管网辐射系统方式选择。
毛细管网是近几年发展的新技术,根据工程实践经验和使用效果,确定了该系统不同情况的安装方式。
5.4.5 热水地面辐射供暖系统的工作压力不宜大于0.8MPa,毛细管网辐射系统的工作压力不应大于0. 6MPa。当超过上述压力时,应采取相应的措施。
条文说明
5.4.5 辐射供暖系统工作压力要求。
系统工作压力的高低,直接影响到塑料加热管的管壁厚度、使用寿命、耐热性能、价格等一系列因素,所以不宜定得太高。
5.4.6 热水地面辐射供暖塑料加热管的材质和壁厚的选择,应根据工程的耐久年限、管材的性能以及系统的运行水温、工作压力等条件确定。
条文说明
5.4.6 热水地面辐射供暖所用的塑料加热管。强制性条文。
塑料管材的力学特性与钢管等金属管材有较大区别。钢管的使用寿命主要取决于腐蚀速度,使用温度对其影响不大。而塑料管材的使用寿命主要取决于不同使用温度和压力对管材的累计破坏作用。在不同的工作压力下,热作用使管壁承受环应力的能力逐渐下降,即发生管材的“蠕变”,以致不能满足使用压力要求而破坏。壁厚计算方法可参照现行国家有关塑料管的标准执行。
5.4.7 在居住建筑中,热水辐射供暖系统应按户划分系统,并配置分水器、集水器;户内的各主要房间,宜分环路布置加热管。
条文说明
5.4.7 居住建筑热水辐射供暖系统划分。
居住建筑中按户划分系统,可以方便地实现按户热计量,各主要房间分环路布置加热管,则便于实现分室控制温度。
5.4.8 加热管的敷设间距,应根据地面散热量、室内设计温度、平均水温及地面传热热阻等通过计算确定。
条文说明
5.4.8 加热管敷设管间距。
地面散热量的计算,都是建立在加热管间距均匀布置的基础上的。实际上房间的热损失,主要发生在与室外空气邻接的部位,如外墙、外窗、外门等处。为了使室内温度分布尽可能均匀,在邻近这些部位的区域如靠近外窗、外墙处,管间距可以适当缩小,而在其他区域则可以将管间距适当放大。不过为了使地面温度分布不会有过大的差异,人员长期停留区域的最大间距不宜超过300mm。最小间距要满足弯管施工条件,防止弯管挤扁。
5.4.9 每个环路加热管的进、出水口,应分别与分水器、集水器相连接。分水器、集水器内径不应小于总供、回水管内径,且分水器、集水器最大断面流速不宜大于0.8m/s。每个分水器、集水器分支环路不宜多于8路。每个分支环路供回水管上均应设置可关断阀门。
条文说明
5.4.9 分水器、集水器。
分水器、集水器总进、出水管内径一般不小于25mm,当所带加热管为8个环路时,管内热媒流速可以保持不超过最大允许流速0.8m/s。分水器、集水器环路过多,将导致分水器、集水器处管道过于密集。
5.4.10 在分水器的总进水管与集水器的总出水管之间,宜设置旁通管,旁通管上应设置阀门。分水器、集水器上均应设置手动或自动排气阀。
条文说明
5.4.10 旁通管。
旁通管的连接位置,应在总进水管的始端(阀门之前)和总出水管的末端(阀门之后)之间,保证对供暖管路系统冲洗时水不流进加热管。
5.4.11 热水吊顶辐射板供暖,可用于层高为3m~30m建筑物的供暖。
条文说明
5.4.11 热水吊顶辐射板供暖使用场所。
热水吊顶辐射板为金属辐射板的一种,可用于层高3m~30m的建筑物的全面供暖和局部区域或局部工作地点供暖,其使用范围很广泛,包括大型船坞、船舶、飞机和汽车的维修大厅、建材市场、购物中心、展览会场、多功能体育馆和娱乐大厅等许多场合。
5.4.12 热水吊顶辐射板的供水温度宜采用40℃~95℃的热水,其水质应满足产品要求。在非供暖季节供暖系统应充水保养。
条文说明
5.4.12 热水吊顶辐射板供水要求。
热水吊顶辐射板的供水温度,宜采用40℃~95℃的热水。既可用低温热水,也可用水温高达95℃的高温热水。热水水质应符合国家现行标准的要求。
5.4.13 当采用热水吊顶辐射板供暖,屋顶耗热量大于房间总耗热量的30%时,应加强屋顶保温措施。
条文说明
5.4.13 热水吊顶辐射板供暖屋顶保温规定。
当屋顶耗热量大于房间总耗热量的30%时,应提高屋顶保温措施。目的是为了减少屋顶散热量,增加房间有效供热量。
5.4.14 热水吊顶辐射板的有效散热量的确定应符合下列规定:
1 当热水吊顶辐射板倾斜安装时,应进行修正。辐射板安装角度的修正系数,应按表5.4.14进行确定:

2 辐射板的管中流体应为紊流。当达不到系统所需最小流量时,辐射板的散热量应乘以1.18的安全系数。
条文说明
5.4.14 热水吊顶辐射板有效散热量。
热水吊顶辐射板倾斜安装时,辐射板的有效散热量会随着安装角度的不同而变化。设计时,应根据不同的安装角度,按表5.4.14对总散热量进行修正。
由于热水吊顶辐射板的散热量是在管道内流体处于紊流状态下进行测试的,为保证辐射板达到设计散热量,管内流量不得低于保证紊流状态的最小流量。如流量达不到所要求的最小流量,应乘以1.18的安全系数。
5.4.15 热水吊顶辐射板的安装高度,应根据人体的舒适度确定。辐射板的最高平均水温应根据辐射板安装高度和其面积占顶棚面积的比例按表5.4.15确定。

条文说明
5.4.15 热水吊顶辐射板安装高度。
热水吊顶辐射板属于平面辐射体,辐射的范围局限于它所面对的半个空间,辐射的热量正比于开尔文温度的四次方,因此辐射体的表面温度对局部的热量分配起决定作用,影响到房间内各部分的热量分布。而采用高温辐射会引起室内温度的不均匀分布,使人体产生不舒适感。当然辐射板的安装位置和高度也同样影响着室内温度的分布。因此在供暖设计中,应对辐射板的最低安装高度以及在不同安装高度下辐射板内热媒的最高平均温度加以限制。条文中给出了采用热水吊顶辐射板供暖时,人体感到舒适的允许最高平均水温。这个温度值是依据辐射板表面温度计算出来的。对于在通道或附属建筑物内,人们仅短暂停留的区域,温度可适当提高。
5.4.16 热水吊顶辐射板与供暖系统供、回水管的连接方式,可采用并联或串联、同侧或异侧连接,并应采取使辐射板表面温度均匀、流体阻力平衡的措施。
条文说明
5.4.16 热水吊顶辐射板与供暖系统连接方式。
热水吊顶辐射板可以并联或串联,同侧或异侧等多种连接方式接入供暖系统,可根据建筑物的具体情况确定管道最优布置方式,以保证系统各环路阻力平衡和辐射板表面温度均匀。对于较长、高大空间的最佳管线布置,可采用沿长度方向平行的内部板和外部板串联连接,热水同侧进出的连接方式,同时采用流量调节阀来平衡每块板的热水流量,使辐射达到最优分布。这种连接方式所需费用低,辐射照度分布均匀。但设计时应注意能满足各个方向的热膨胀。在屋架或横梁隔断的情况下,也可采用沿外墙长度方向平行的两个或多个辐射板串联成一排,各辐射板排之间并联连接,热水异侧进出的方式。
5.4.17 布置全面供暖的热水吊顶辐射板装置时,应使室内人员活动区辐射照度均匀,并应符合下列规定:
1 安装吊顶辐射板时,宜沿最长的外墙平行布置;
2 设置在墙边的辐射板规格应大于在室内设置的辐射板规格;
3 层高小于4m的建筑物,宜选择较窄的辐射板;
4 房间应预留辐射板沿长度方向热膨胀余地;
5 辐射板装置不应布置在对热敏感的设备附近。
条文说明
5.4.17 热水吊顶辐射板装置布置要求。
热水吊顶辐射板的布置对于优化供暖系统设计,保证室内人员活动区辐射照度的均匀分布是很关键的。通常吊顶辐射板的布置应与最长的外墙平行设置,如必要,也可垂直于外墙设置。沿墙设置的辐射板排规格应大于室中部设置的辐射板规格,这是由于供暖系统热负荷主要是由围护结构传热耗热量以及通过外门,外窗侵入或渗入的冷空气耗热量来决定的。因此为保证室内作业区辐射照度分布均匀,应考虑室内空间不同区域的不同热需求,如设置大规格的辐射板在外墙处来补偿外墙处的热损失。房间建筑结构尺寸同样也影响着吊顶辐射板的布置方式。房间高度较低时,宜采用较窄的辐射板,以避免过大的辐射照度;沿外墙布置辐射板且板排较长时,应注意预留长度方向热膨胀的余地。
5.5 电加热供暖
- 5.1 除符合下列条件之一外,不得采用电加热供暖:
1 供电政策支持;
2 无集中供暖和燃气源,且煤或油等燃料的使用受到环保或消防严格限制的建筑;
3 以供冷为主,供暖负荷较小且无法利用热泵提供热源的建筑;
4 采用蓄热式电散热器、发热电缆在夜间低谷电进行蓄热,且不在用电高峰和平段时间启用的建筑;
5 由可再生能源发电设备供电,且其发电量能够满足自身电加热量需求的建筑。
条文说明
5.5.1 电加热供暖使用条件。强制性条文。
合理利用能源、节约能源、提高能源利用率是我国的基本国策。直接将燃煤发电生产出的高品位电能转换为低品位的热能进行供暖,能源利用效率低,是不合适的。由于我国地域广阔、不同地区能源资源差距较大,能源形式与种类也有很大不同,考虑到各地区的具体情况,在只有符合本条所指的特殊情况时方可采用。
5.5.2 电供暖散热器的形式、电气安全性能和热工性能应满足使用要求及有关规定。
条文说明
5.5.2 电供暖散热器形式和性能要求。
电供暖散热器是一种固定安装在建筑物内,以电为能源,将电能直接转化成热能,并通过温度控制器实现对散热器供热控制的供暖散热设备。电供暖散热器按放热方式可以分为直接作用式和蓄热式;按传热类型可分为对流式和辐射式,其中对流式包括自然对流和强制对流两种;按安装方式又可以分为吊装式、壁挂式和落地式。在工程设计中,无论选用哪一种电供暖散热器,其形式和性能都应满足具体工程的使用要求和有关规定。
电供暖散热器的性能包括电气安全性能和热工性能。
1 电气安全性能主要有泄漏电流、电气强度、接地电阻、防潮等级、防触电保护等。具体要求如下:
1)泄漏电流:在规定的试验额定电压下,测量电供暖散热器外露的金属部分与电源线之间的泄漏电流应不大于0.75mA或0.75mA/kW。
2)电气强度:在带电部分和非带电金属部分之间施加额定频率和规定的试验电压,持续时间1min,应无击穿或闪络。见表2。

3)接地电阻:电供暖散热器外露金属部分与接地端之间的绝缘电阻不大于0.1Ω。
4)防潮等级、防触电保护:不同的使用场所有不同的等级要求,最高在卫浴使用时要求达到IP54防护等级。
2 电供暖散热器热工性能指标主要有输入功率、表面温度和出风温度、升温时间、温度控制功能和蓄热性能等,其中蓄热性能是针对蓄热式电供暖散热器而言的。具体要求如下:
1)输入功率:电供暖散热器出厂时要求标注功率大小,这个功率称为标称输入功率,但是产品在正常运行时,也有一个运行时的功率,称为实际输入功率,这两个功率有可能不相等。有的厂家为了抬高产品售价,恶意提高产品标称输入功率的值,对消费者造成损失,因此输入功率是衡量电供暖散热器能力大小的一个重要指标。
2)表面温度和出风温度:是电供暖散热器使用过程中是否安全的指标,其最高温度要求对于人体可触及的安装状态,接触电供暖散热器表面或者出口格栅时对人体不产生烫伤或者灼伤,同时对于建筑物内材料不造成损害。
3)升温时间:是评判电供暖散热器响应时间的指标,电供暖散热器主要是通过对流和辐射对建筑物进行供暖的,只有其表面温度或者出风温度达到一定温度时才会起到维持房间温度的效果。一般升温时间指从接通电源到稳定运行时所用时间,通常稳定运行的概念是:电供暖散热器外表面或出气口格栅温度的温度变化不大于2℃,则可以认为已达到稳定运行。从节能和使用要求考虑,电供暖散热器升温时间越短,越有利。
4)温度控制功能:电供暖散热器要求具备温度控制功能,所安装的温度控制器对环境温度敏感,应能在一定范围内设定温度,用户可以根据需要进行温度的设定。通常规定温度设定范围是(5~30)℃。环境温度到达设定温度时,温度控制器应动作控制。要求有一定的控制精度。
5)蓄热性能:考察蓄热式电供暖散热器蓄热性能的基本指标是蓄热效率、蓄热量及蓄热和放热过程的控制问题。在进行电供暖工程设计时,应慎重选用蓄热式电供暖散热器。蓄热式电供暖散热器是利用低谷电价时蓄热。用电高峰时不消耗或者少消耗电能而实现对建筑物的供暖。蓄热式电供暖散热器是否真正有实际性的移峰填谷作用,应在三个方面落实:①蓄热、放热的控制要到位;②蓄热量的大小应能够保证散热器放热过程中所放出的热量满足建筑物的供暖需要;③蓄、放热时间满足峰谷电价时间的要求。只有控制好这三个方面的特性,蓄热式电供暖散热器才能真正发挥作用。
5.5.3 发热电缆辐射供暖宜采用地板式;低温电热膜辐射供暖宜采用顶棚式。辐射体表面平均温度应符合本规范表5.4.1-2条的有关规定。
条文说明
5.5.3 电热辐射供暖安装形式。
发热电缆供暖系统是由可加热电缆和传感器、温控器等构成,发热电缆具有接地体和工厂预制的电气接头,通常采用地板式,将电缆敷设于混凝土中,有直接供热及存储供热等两种系统形式;低温电热膜辐射供暖方式是以电热膜为发热体,大部分热量以辐射方式传入供暖区域,它是一种通电后能发热的半透明聚酯薄膜,由可导电的特制油墨、金属载流条经印刷、热压在两层绝缘聚酯薄膜之间制成的。电热膜通常没有接地体,且须在施工现场进行电气接地连接,电热膜通常布置在顶棚上,并以吊顶龙骨作为系统接地体,同时配以独立的温控装置。没有安全接地不应铺设于地面,以免漏电伤人。
5.5.4 发热电缆辐射供暖和低温电热膜辐射供暖的加热元件及其表面工作温度,应符合国家现行有关产品标准的安全要求。
条文说明
5.5.4 电热辐射供暖加热元件要求。
本条文要求发热电缆辐射供暖和低温电热膜辐射供暖的加热元件及其表面温度符合国家有关产品标准要求。普通发热电缆参见国家标准《额定电压300/500V生活设施加热和防结冰用加热电缆》GB/T 20841—2007/IEC 60800:1992,低温电热膜辐射供暖参见标准《低温辐射电热膜》JG/T 286。
5.5.5 根据不同的使用条件,电供暖系统应设置不同类型的温控装置。
条文说明
5.5.5 电供暖系统温控装置要求。强制性条文。
从节能角度考虑,要求不同电供暖系统应设置相应的温控装置。
5.5.6 采用发热电缆地面辐射供暖方式时,发热电缆的线功率不宜大于17W/m,且布置时应考虑家具位置的影响;当面层采用带龙骨的架空木地板时,必须采取散热措施,且发热电缆的线功率不应大于10W/m。
条文说明
5.5. 6发热电缆的线功率要求。
普通发热电缆的线功率基本是恒定的,热量不能散出来就会导致局部温度上升,成为安全隐患。国家标准《额定电压300/500V生活设施加热和防结冰用加热电缆》GB/T 20841—2007/IEC60800:1992规定,护套材料为聚氯乙烯的发热电缆,表面工作温度(电缆表面允许的最高连续温度)为70℃;《美国UL认证》规定,发热电缆表面工作温度不超过65℃。当面层采用塑料类材料(面层热阻R=0.075㎡·K/W)、混凝土填充层厚度35mm、聚苯乙烯泡沫塑料绝热层厚度20mm,发热电缆间距50mm,发热电缆表面温度70℃时,计算发热电缆的线功率为16.3W/m。因此,本条文作出了对发热电缆的线功率不宜超过17W/m的规定,以控制发热电缆表面温度,保证其使用寿命,并有利于地面温度均匀且不超出最高温度限制。发热电缆的线功率的选择,与敷设间距、面层热阻等因素密切相关,敷设间距越大,面层热阻越小,允许的发热电缆线功率也可适当加大;而当面层采用地毯等高热阻材料时,应选用更低线功率的发热电缆,以确保安全。
需要说明的是,17W/m的推荐限值,是在铺设间距50mm的情况下得出的。通常情况下,发热电缆铺设间距在50mm以上,但特殊情况下,受铺设面积的限制,实际工程中存在铺设间距为50mm的情况,故从确保安全的角度,作此规定。计算表明,上述同样条件下,如发热电缆间距控制在100mm,即使采用热阻更大的厚地毯面层,发热电缆线功率的限值也可以达到25W/m。因此,实际工程发热电缆的线功率的选择,应根据铺设间距、构造做法等综合考虑确定。
采用发热电缆地面辐射供暖时,尚应考虑到家具布置的影响,发热电缆的布置应尽可能避开家具特别是无腿家具的占压区域,以免因占压区域的热损失而影响供暖效果或因占压区域的局部温度过高而影响发热电缆的使用寿命。
在采用带龙骨的架空木板作为地面时,发热电缆裸敷在架空地板的龙骨之间,需要对发热电缆有更加严格的、安全的规定。借鉴国内外大量的工程实践经验,在龙骨之间宜敷设有利于发热电缆散热的金属板,且发热电缆的线功率不应大于10W/m。
5.5.7 电热膜辐射供暖安装功率应满足房间所需热负荷要求。在顶棚上布置电热膜时,应考虑为灯具、烟感器、喷头、风口、音响等预留安装位置。
条文说明
5.5.7 电热膜辐射供暖的安装功率及其在顶棚上布置时的安装要求。
为了保证其安装后能满足房间的温度要求,并避免与顶棚上的电气、消防、空调等装置的安装位置发生冲突,而影响其使用效果和安全性,做出本条要求。
5.5.8 安装于距地面高度180cm以下的电供暖元器件,必须采取接地及剩余电流保护措施。
条文说明
5.5.8 对安装于距地面高度180cm以下电供暖元器件的安全要求。强制性条文。
对电供暖装置的接地及漏电保护要求引自《民用电气设计规范》JGJ 16,安装于地面及距地面高度180cm以下的电供暖元件,存在误操作(如装修破坏、水浸等)导致的漏、触电事故的可能性,因此必须可靠接地并配置漏电保护装置。
5.6 燃气红外线辐射供暖
5.6.1 采用燃气红外线辐射供暖时,必须采取相应的防火和通风换气等安全措施,并符合国家现行有关燃气、防火规范的要求。
条文说明
5.6.1 燃气红外线辐射供暖使用安全原则。强制性条文。
燃气红外线辐射供暖通常有炽热的表面,因此设置燃气红外线辐射供暖时,必须采取相应的防火和通风换气等安全措施。
燃烧器工作时,需对其供应一定比例的空气量,并放散二氧化碳和水蒸气等燃烧产物,当燃烧不完全时,还会生成一氧化碳。为保证燃烧所需的足够空气,避免水蒸气在围护结构内表面上凝结,必须具有一定的通风换气量。采用燃气红外线辐射供暖应符合国家现行有关燃气、防火规范的要求,以保证安全。相关规范包括《城镇燃气设计规范》GB 50028、 《建筑设计防火规范》GB 50016、《高层民用建筑设计防火规范》GB 50045。
5.6.2 燃气红外线辐射供暖的燃料,可采用天然气、人工煤气、液化石油气等。燃气质量、燃气输配系统应符合现行国家标准《城镇燃气设计规范》GB 50028的有关规定。
条文说明
5.6.2 燃气红外线辐射供暖燃料要求。
制定此条为了防止因燃气成分改变、杂质超标和供气压力不足等引起供暖效果的降低。
5.6.3 燃气红外线辐射器的安装高度不宜低于3m。
条文说明
5.6.3 燃气红外线辐射器的安装高度。
燃气红外线辐射器的表面温度较高,如其安装高度过低,人体所感受到的辐射照度将会超过人体舒适的要求。舒适度与很多因素有关,如供暖方式、环境温度及风速、空气含尘浓度及相对湿度、作业种类和辐射器的布置及安装方式等。当用于全面供暖时,既要保持一定的室温,又要求辐射照度均匀,保证人体的舒适度,为此,辐射器应安装得高一些;当用于局部区域供暖时,由于空气的对流,供暖区域的空气温度比全面供暖时要低,所要求的辐射照度比全面供暖大,为此辐射器应安装得低一些。由于影响舒适度的因素很多,安装高度仅是其中一个方面,因此本条只对安装高度作了不应低于3m的限制。
5.6.4 燃气红外线辐射器用于局部工作地点供暖时,其数量不应少于两个,且应安装在人体不同方向的侧上方。
条文说明
5.6.4 燃气红外线辐射器数量。
为了防止由于单侧辐射而引起人体部分受热、部分受凉的现象,造成不舒适感而规定。
5.6.5 布置全面辐射供暖系统时,沿四周外墙、外门处的辐射器散热量不宜少于总热负荷的60%。
条文说明
5.6.5 全面辐射供暖系统布置散热量要求。
采用辐射供暖进行全面供暖时,不但要使人体感受到较理想的舒适度,而且要使整个房间的温度比较均匀。通常建筑四周外墙和外门的耗热量,一般不少于总热负荷的60%,适当增加该处辐射器的数量,对保持室温均匀有较好的效果。
5.6.6 由室内供应空气的空间应能保证燃烧器所需要的空气量。当燃烧器所需要的空气量超过该空间0.5次/h的换气次数时,应由室外供应空气。
条文说明
5.6.6 燃气红外线辐射供暖系统空气量要求。强制性条文。
燃气红外线辐射供暖系统的燃烧器工作时,需对其供应—定比例的空气量。当燃烧器每小时所需的空气量超过该房间0.5次/h换气时,应由室外供应空气,以避免房间内缺氧和燃烧器供应空气量不足而产生故障。
5.6.7 燃气红外线辐射供暖系统采用室外供应空气时,进风口应符合下列规定:
1 设在室外空气洁净区,距地面高度不低于2m;
2 距排风口水平距离大于6m;当处于排风口下方时,垂直距离不小于3m;当处于排风口上方时,垂直距离不小于6m;
3 安装过滤网。
条文说明
5.6.7 燃气红外线辐射供暖系统进风口要求。
燃气红外线辐射供暖当采用室外供应空气时,可根据具体情况采取自然进风或机械进风。
5.6.8 无特殊要求时,燃气红外线辐射供暖系统的尾气应排至室外。排风口应符合下列规定:
1 设在人员不经常通行的地方,距地面高度不低于2m;
2 水平安装的排气管,其排风口伸出墙面不少于0. 5m;
3 垂直安装的排气管,其排风口高出半径为6m以内的建筑物最高点不少于1m;
4 排气管穿越外墙或屋面处,加装金属套管。
条文说明
5.6.8 燃气红外线辐射供暖尾气排放要求及排风口的要求。
燃气燃烧后的尾气为二氧化碳和水蒸气。在农作物、蔬菜、花卉温室等特殊场合,采用燃气红外线辐射供暖时,允许其尾气排至室内。
5.6.9 燃气红外线辐射供暖系统应在便于操作的位置设置能直接切断供暖系统及燃气供应系统的控制开关。利用通风机供应空气时,通风机与供暖系统应设置连锁开关。
条文说明
5.6.9 燃气红外线辐射供暖系统控制。
当工作区发出火灾报警信号时,应自动关闭供暖系统,同时还应连锁关闭燃气系统入口处的总阀门,以保证安全。当采用机械进风时,为了保证燃烧器所需的空气量,通风机应与供暖系统连锁工作,并确保通风机不工作时,供暖系统不能开启。
5.7 户式燃气炉和户式空气源热泵供暖
5.7.1 当居住建筑利用燃气供暖时,宜采用户式燃气炉供暖。采用户式空气源热泵供暖时,应符合本规范第8.3.1条规定。
条文说明
5.7.1 户式供暖。
户式供暖如户式燃气炉、户式空气源热泵供暖系统,在日本、韩国、美国普遍应用,在我国寒冷地区也有应用。户式与集中燃气供暖相比,具有灵活、高效的特点,也可免去集中供暖管网损失及输送能耗。户式燃气炉的选择应采用质量好、效率高、维护方便的产品。目前,欧美发达国家普遍采用冷凝式的户式燃气炉,但价格较高,国内应用较少。
户式空气源热泵能效受室外温湿度影响较大,同时还需要考虑系统的除霜要求。
5.7.2 户式供暖系统热负荷计算时,宜考虑生活习惯、建筑特点、间歇运行等因素进行附加。
条文说明
5.7.2 供暖热负荷。
由于分户供暖运行的灵活性及该设备的特点,设计时宜考虑不同地区生活习惯、建筑特点、间歇运行等因素,在5.2节负荷计算基础上进行附加。
5.7.3 户式燃气炉应采用全封闭式燃烧、平衡式强制排烟型。
条文说明
5.7.3 户式燃气炉基本要求。强制性条文。
户式燃气炉使用出现过安全问题,采用全封闭式燃烧和平衡式强制排烟的系统是确保安全运行的条件。
户式燃气炉包括户式壁挂燃气炉和户式落地燃气炉两类。
5.7.4 户式燃气炉供暖时,供回水温度应满足热源要求;末端供水温度宜采用混水的方式调节。
条文说明
5.7.4 户式燃气炉供暖热媒温度要求。
户式燃气炉的排烟温度不宜过低。实践表明:户式燃气炉在低温热媒运行时烟气结露温度影响使用寿命和供暖效果。为了使燃气炉的出水温度不过低,宜通过混水的方式满足末端散热设备对供水温度调节的需求。
5.7.5 户式燃气炉的排烟口应保持空气畅通,且远离人群和新风口。
条文说明
5.7.5 户式燃气炉排烟。
户式燃气炉运行会产生有害气体,因此,系统的排烟口应保持空气畅通加以稀释,并将排烟口远离人群和新风口,避免污染和影响室内空气质量。
5.7.6 户式空气源热泵供暖系统应设置独立供电回路,其化霜水应集中排放。
条文说明
5.7.6 户式空气源热泵系统供电及化霜水排放。
在供暖期间,为了保证热泵供暖系统的设备能够正常启动,压缩机应保持预热状态,因此热泵供暖系统必须持续供电。若与其他电气设备采用共用同路时,当关闭其他电气设备电源的同时,也将使得热泵供暖系统断电,从而无法保证压缩机的预热,故应将系统的供电回路与其他电气设备分开。
在供暖期间,当室外温度较低时,若热泵供暖系统长时间不使用,系统的水回路易发生冻裂现象,因此系统的水泵会不定期进行防冻保护运转,同样也需要持续供电。
热泵系统在供暖运行时会有除霜运转,产生化霜水,为了避免化霜水的无组织排放,对周边环境及邻里关系造成影响,应采取一定的措施,如在设备下方设置积水盘,收集化霜水后集中排放至地漏或建筑集中排水管。
5.7.7 户式供暖系统的供回水温度、循环泵的扬程应与末端散热设备相匹配。
条文说明
5.7.7 末端散热设备。
户式燃气炉做热源时,末端设备可采用不同的供暖方式,散热器和地面供暖等末端设备都可以,设计人员可根据具体情况选择,但必须适应燃气炉的供回水温度及循环泵的扬程要求。
热泵供暖系统可根据供水温度分为低温型(出水温度≤55℃)及高温型(出水温度≤85℃)。需根据连接的具体末端形式的(如地面供暖、散热器等)供水温度要求,选择适宜的热泵供暖设备。
5.7.8 户式供暖系统应具有防冻保护、室温调控功能,并应设置排气、泄水装置。
5.8 热空气幕
5.8.1 对严寒地区公共建筑经常开启的外门,应采取热空气幕等减少冷风渗透的措施。
5.8.2 对寒冷地区公共建筑经常开启的外门,当不设门斗和前室时,宜设置热空气幕。
5.8.3 公共建筑热空气幕送风方式宜采用由上向下送风。
条文说明
5.8.3 公共建筑热空气幕送风方式。
对于公共建筑推荐由上向下送风,是由于公共建筑的外门开启频繁,而且往往向内外两个方向开启,不便采用侧面送风,如采用由下向上送风,卫生条件又难以保证。
5.8.4 热空气幕的送风温度应根据计算确定。对于公共建筑的外门,不宜高于50℃;对高大外门,不宜高于70℃。
条文说明
5.8.4 热空气幕送风温度。
高大外门指可通过汽车的大门。
5.8.5 热空气幕的出口风速应通过计算确定。对于公共建筑的外门,不宜大于6m/s;对于高大外门,不宜大于25m/s。
条文说明
5.8.5 热空气幕出口风速。 热空气幕出口风速的要求,主要是根据人体的感受、噪声对环境的影响、阻隔冷空气效果的实践经验,并参考国内外有关资料制定的。
5.9 供暖管道设计及水力计算
5.9.1 供暖管道的材质应根据其工作温度、工作压力、使用寿命、施工与环保性能等因素,经综合考虑和技术经济比较后确定,其质量应符合国家现行有关产品标准的规定。
条文说明
近几年来,随着供暖系统热计量技术的不断完善和强制性的应用,供暖方式出现了多样化,同时也带来了供暖管道材质的多样化。目前,在供暖工程中,除了可选用焊接钢管、镀锌钢管外,还可选用热镀锌钢管、塑料管、有色金属管、金属和塑料复合管等管道。
金属管道的使用寿命主要与其工作压力有关,与工作温度关系不大,但塑料管道的使用寿命却与其工作压力和工作温度都密切相关。在—定工作温度下,随着工作压力的增大,塑料管道的寿命将缩短;在一定的工作压力下,随着工作温度的升高,塑料管道的使用寿命也将缩短。所以,对于采用塑料管道的辐射供暖系统,其热媒温度和系统工作压力不应定得过高。另外,长时间的光照作用也会缩短塑料管道的寿命。根据上述情况等因素,本条文作出了对供暖管道种类应根据其工作温度、工作压力、使用寿命、施工与环保性能等因素,经综合考虑和技术经济比较后确定的原则性规定。通常,室内外供暖干管宜选用焊接钢管、镀锌钢管或热镀锌钢管,室内明装支、立管宜选用镀锌钢管、热镀锌钢管、外敷铝保护层的铝合金衬PB管等,散热器供暖系统的室内埋地暗装供暖管道宜选用耐温较高的聚丁烯(PB)管、交联聚乙烯(PE—X)管等塑料管道或铝塑复合管(XPAP),地面辐射供暖系统的室内埋地暗装供暖管道宜选用耐热聚乙烯(PE—RT)管等塑料管道。另外,铜管也是一种适用于低温热水地面辐射供暖系统的有色金属加热管道,具有导热系数高、阻氧性能好、易于弯曲且符合绿色环保要求的特点,正逐渐为人们所接受。
本条文还规定了各种管道的质量,应符合国家现行有关产品标准的规定。其中,PE—X管采用《冷热水用交联聚乙烯(PE—X)管道系统》GB/T 18992;PB管采用《冷热水用聚丁烯(PB)管道系统》GB/T 19473;铝合金衬PB管采用《铝合金衬塑复合管材与管件》CJ/T 321;PE—RT管采用《冷热水用耐热聚乙烯(PE—RT)管道系统》CJ/T 175;PP—R管采用《冷热水用聚丙烯管道系统》GB/T 18742;XPAP管采用《铝塑复合压力管》GB/T 18997;铜管采用《无缝铜水管和铜气管》GB/T 18033。
5.9.2 散热器供暖系统的供水和回水管道应在热力入口处与下列系统分开设置:
1 通风与空调系统;
2 热风供暖与热空气幕系统;
3 生活热水供应系统;
4 地面辐射供暖系统;
5 其他需要单独热计量的系统。
条文说明
5.9.2 不同系统管道分开设置的规定。
条文中1~4款所列系统同散热器供暖系统比较,热媒参数、阻力特性、使用条件、使用时间等方面,不是完全一致的,需分开设置,通常宜在建筑物的热力入口处分开;当其他系统供热量需要单独计量时,也宜分开设置。
5.9.3 集中供暖系统的建筑物热力入口,应符合下列规定:
1 供水、回水管道上应分别设置关断阀、温度计、压力表;
2 应设置过滤器及旁通阀;
3 应根据水力平衡要求和建筑物内供暖系统的调节方式,选择水力平衡装置;
4 除多个热力入口设置一块共用热量表的情况外,每个热力入口处均应设置热量表,且热量表宜设在回水管上。
条文说明
5.9.3 热水供暖系统热力入口装置的设置要求。
1 集中供暖系统应在热力入口处的供回水总管上分别设置关断阀、温度计、压力表,其目的主要是为了检修系统、调节温度及压力提供方便条件。
2 过滤器是保证管道配件及热量表等不堵塞、不磨损的主要措施;旁通管是考虑系统运行维护需要设置的。热力入口设有热量表时,进入流量计前的回水管上应设置滤网规格不宜小于60目的过滤器,在供水管上一般应顺水流方向设两级过滤器,第一级为粗滤,滤网孔径不宜大于3.0mm,第二级为精过滤器,滤网规格宜不小于60目。
3 静态水力平衡阀又叫水力平衡阀或平衡阀,具备开度显示、压差和流量测量、限定开度等功能。通过改变平衡阀的开度,使阀门的流动阻力发生相应变化来调节流量,能够实现设计要求的水力平衡,其调节性能一般包括接近线性线段和对数(等百分比)特性曲线线段。平衡阀除具有水力平衡功能外,还可取代一个热力入口处设置的用于检修系统的手动阀,起关断作用。
虽然通过安装静态水力平衡阀,能够较好地解决供热系统中各建筑物供暖系统间的静态水力失调问题,但是并非每个热力入口处都要安装,一定要根据水力平衡要求决定是否设置。
静态水力平衡阀既可安装在供水管上,也可安装在回水管上,但出于避免气蚀与噪声等的考虑,宜安装于回水管上。
除静态水力平衡阀外,也可根据水力平衡要求和建筑物内供暖系统的调节方式,选择自力式压差控制阀、自力式流量控制阀等装置。
4 为满足供热计量和收费的要求,促进供暖系统的节能和科学管理,除了多个热力入口设置一块共用的总热量表用于热量(费)结算的情况外,每个热力入口处均应单独设置一块热量结算表;考虑到回水管的水温较供水管低,有利于延长热量表的使用寿命,热量表宜设在回水管上。
为便于热计量和减少热力入口装置的投资,在满足供暖系统设计合理的前提下,应尽量减少单栋楼热力入口的数量。
5.9.4 供暖干管和立管等管道(不含建筑物的供暖系统热力入口)上阀门的设置应符合下列规定:
1 供暖系统的各并联环路,应设置关闭和调节装置;
2 当有冻结危险时,立管或支管上的阀门至干管的距离不应大于120mm;
3 供水立管的始端和回水立管的末端均应设置阀门,回水立管上还应设置排污、泄水装置;
4 共用立管分户独立循环供暖系统,应在连接共用立管的进户供、回水支管上设置关闭阀。
条文说明
5.9.4 供暖干管和立管等管道上阀门的设置。
在供暖管道上设置关闭和调节装置是为系统的调节和检修创造必要的条件。当有调节要求时,应设置调节阀,必要时还应同时设置关闭用的阀门;无调节要求时,只设置关闭用的阀门即可。
根据供暖系统的不同需要,应选择具备相应功能的阀门。用于维修时关闭的阀门,宜选用低阻力阀门,如闸阀、双偏心半球阀或蝶阀等;需承担调节及控制功能的阀门,应选用高阻力阀门,如截止阀、静态水力平衡阀、自力式压差控制阀等。
5.9.5 当供暖管道利用自然补偿不能满足要求时,应设置补偿器。
条文说明
5.9.5 供暖管道热膨胀及补偿。强制性条文。
供暖系统的管道由于热媒温度变化而引起热膨胀,不但要考虑干管的热膨胀,也要考虑立管的热膨胀,这个问题必须重视。在可能的情况下,利用管道的自然弯曲补偿是简单易行的,如果自然补偿不能满足要求,则应根据不同情况通过计算选型设置补偿器。对供暖管道进行热补偿与固定,—般应符合下列要求:
1 水平干管或总立管固定支架的布置,要保证分支干管接点处的最大位移量不大于40mm;连接散热器的立管,要保证管道分支接点由管道伸缩引起的最大位移量不大于20mm;无分支管接点的管段,间距要保证伸缩量不大于补偿器或自然补偿所能吸收的最大补偿率;
2 计算管道膨胀量时,管道的安装温度应按冬季环境温度考虑,一般可取0℃~5℃;
3 供暖系统供回水管道应充分利用自然补偿的可能性;当利用管道的自然补偿不能满足要求时,应设置补偿器。采用自然补偿时,常用的有L形或Z形两种形式;采用补偿器时,要优先采用方形补偿器;
4 确定固定点的位置时,要考虑安装固定支架(与建筑物连接)的可行性;
5 垂直双管系统及跨越管与立管同轴的单管系统的散热器立管,当连接散热器立管的长度小于20m时,可在立管中间设固定卡;长度大于20m时,应采取补偿措施;
6 采用套筒补偿器或波纹管补偿器时,需设置导向支架;当管径大于等于DN50时,应进行固定支架的推力计算,验算支架的强度;
7 户内长度大于10m的供回水立管与水平干管相连接时,以及供回水支管与立管相连接处,应设置2~3个过渡弯头或弯管,避免采用”T”形直接连接。
5.9.6 供暖系统水平管道的敷设应有一定的坡度,坡向应有利于排气和泄水。供回水支、干管的坡度宜采用0.003,不得小于0.002;立管与散热器连接的支管,坡度不得小于0.01;当受条件限制,供回水干管(包括水平单管串联系统的散热器连接管)无法保持必要的坡度时,局部可无坡敷设,但该管道内的水流速不得小于0.25m/s;对于汽水逆向流动的蒸汽管,坡度不得小于0.005。
条文说明
5.9.6 供暖管道敷设坡度的规定。
本条文是考虑便于排除供暖管道中的空气,参考国外有关资料并结合具体情况制定的。当水流速度达到0.25m/s时,方能把管中空气裹挟走,使之不能浮升;因此,采用无坡敷设时,管内流速不得小于0.25m/s。
5.9.7 穿越建筑物基础、伸缩缝、沉降缝、防震缝的供暖管道,以及埋设在建筑结构里的立管,应采取预防建筑物下沉而损坏管道的措施。
条文说明
5.9.7 关于供暖管道穿越建筑物的规定。
在布置供暖系统时,若必须穿过建筑物变形缝,应采取预防由于建筑物下沉而损坏管道的措施,如在管道穿过基础或墙体处埋设大口径套管内填以弹性材料等。
5.9.8 当供暖管道必须穿越防火墙时,应预埋钢套管,并在穿墙处一侧设置固定支架,管道与套管之间的空隙应采用耐火材料封堵。
条文说明
5.9.8 供暖管道穿越建筑物墙防火墙的规定。
根据《建筑设计防火规范》GB 50016的要求做了原则性规定。具体要求,可参照有关规范的规定。
规定本条的目的,是为了保持防火墙墙体的完整性,以防发生火灾时,烟气或火焰等通过管道穿墙处波及其他房间;另外,要求对穿墙或楼板处的管道与套管之间空隙进行封堵,除了能防止烟气或火焰蔓延外,还能起到防止房间之间串音的作用。
5.9.9 供暖管道不得与输送蒸汽燃点低于或等于120℃的可燃液体或可燃、腐蚀性气体的管道在同一条管沟内平行或交叉敷设。
条文说明
5.9.9 供暖管道与其他管道敷设的要求。
规定本条的目的,是为了防止表面温度较高的供暖管道,触发其他管道中燃点低的可燃液体、可燃气体引起燃烧和爆炸,或其他管道中的腐蚀性气体腐蚀供暖管道。
5.9.10 符合下列情况之一时,室内供暖管道应保温:
1 管道内输送的热媒必须保持一定参数;
2 管道敷设在管沟、管井、技术夹层、阁楼及顶棚内等导致无益热损失较大的空间内或易被冻结的地方;
3 管道通过的房间或地点要求保温。
条文说明
5.9.10 室内供暖管道保温条件。
本条是基于使热媒保持一定参数,节能和防冻等因素制定的。根据国家新的节能政策,对每米管道保温后的允许热耗、保温材料的导热系数及保温厚度相对以及保护壳做法等都必须在原有基础上加以改善和提高,设计中要给予重视。
5.9.11 室内热水供暖系统的设计应进行水力平衡计算,并应采取措施使设计工况时各并联环路之间(不包括共用段)的压力损失相对差额不大于15%。
条文说明
5.9.11 室内供暖系统各并联环路的水力平衡。
关于室内热水供暖系统各并联环路之间的压力损失差额不大于15%的规定,是基于保证供暖系统的运行效果,并参考国内外资料而规定的。一般可通过下列措施达到各并联环路之间的水力平衡:
1 环路布置应力求均匀对称,环路半径不宜过大,负担的立管数不宜过多。
2 应首先通过调整管径,使并联环路之间压力损失相对差额的计算值达到最小,管道的流速应尽力控制在经济流速及经济比摩阻下。
3 当调整管径不能满足要求时,可采取增大末端设备的阻力特性,或者根据供暖系统的形式在立管或支环路上设置适用的水力平衡装置等措施,如安装静态或自力式控制阀。
5.9.12 室内供暖系统总压力应符合下列规定:
1 不应大于室外热力网给定的资用压力降;
2 应满足室内供暖系统水力平衡的要求;
3 供暖系统总压力损失的附加值宜取10%。
条文说明
5.9.12 室内供暖系统总压力要求。
规定供暖系统计算压力损失的附加值采用10%,是基于计算误差、施工误差及管道结垢等因素综合考虑的安全系数。
5.9.13 室内供暖系统管道中的热媒流速,应根据系统的水力平衡要求及防噪声要求等因素确定,最大流速不宜超过表5.9.13的限值。

条文说明
5.9.13 供暖管道中热媒最大允许流速规定。
关于供暖管道中的热媒最大允许流速,目前国内尚无专门的试验资料和统一规定,但设计中又很需要这方面的数据,因此,参考国外的有关资料并结合我国管材供应等的实际情况,作出了有关规定。
最大流速与推荐流速不同,它只在极少数公用管段中为消除剩余压力或为了计算平衡压力损失时使用,如果把最大允许流速规定的过小,则不易达到平衡要求,不但管径增大,还需要增加调压板等装置。前苏联在关于机械循环供暖系统中噪声的形成和水的极限流速的专门研究中得出的结论表明,适当提高热水供暖系统的热媒流速不致于产生明显的噪声,其他国家的研究结果也证实了这一点。
5.9.14 热水垂直双管供暖系统和垂直分层布置的水平单管串联跨越式供暖系统,应对热水在散热器和管道中冷却而产生自然作用压力的影响采取相应的技术措施。
条文说明
5.9.14 防止热水供暖系统竖向水力失调的规定。
规定本条是为了防止或减少热水在散热器和管道中冷却产生的重力水头而引起的系统竖向水力失调。当重力水头的作用高差大于10m时,并联环路之间的水力平衡,应按下式计算重力水头:
H=2h(ph-pg)g/3 (8)
式中 H——重力水头(m);
h——计算环路散热器中心之间的高差(m);
pg——设计供水温度下的密度(kg/m2);
ph——设计回水温度下的密度(kg/m2);
g——重力加速度(m/s2),g=9.81m/s2。
5.9.15 供暖系统供水、供汽干管的末端和回水干管始端的管径不应小于DN20,低压蒸汽的供汽干管可适当放大。
条文说明
5.9.15 供暖系统末端和始端管径的规定。
供暖系统供水(汽) 干管末端和回水干管始端的管径,应在水力平衡计算的基础上确定。当计算管径小于DN20时,为了避免管道堵塞等情况的发生,宜适当放大管径, —般不小于DN20。当热媒为低压蒸汽时,蒸汽干管末端管径为DN20偏小,参考有关资料规定低压蒸汽的供汽干管可适当放大。
5.9.16 静态水力平衡阀或自力式控制阀的规格应按热媒设计流量、工作压力及阀门允许压降等参数经计算确定;其安装位置应保证阀门前后有足够的直管段,没有特别说明的情况下,阀门前直管段长度不应小于5倍管径,阀门后直管段长度不应小于2倍管径。
5.9.17 蒸汽供暖系统,当供汽压力高于室内供暖系统的工作压力时,应在供暖系统入口的供汽管上装设减压装置。
5.9.18 高压蒸汽供暖系统最不利环路的供汽管,其压力损失不应大于起始压力的25%。
条文说明
5.9.18 高压蒸汽供暖系统的压力损失。
规定本条是为了保证系统各并联环路在设计流量下的压力平衡。过去,国内有的单位对蒸汽系统的计算不够仔细,供热干管单位摩阻选择偏大,供汽压力不稳定,严重影响供暖效果,常出现末端不热的现象,为此本条参考国内外有关资料规定,高压蒸汽供暖系统最不利环路的供汽管,其压力损失不应大于起始压力的25%。
5.9.19 蒸汽供暖系统的凝结水回收方式,应根据二次蒸汽利用的可能性以及室外地形、管道敷设方式等情况,分别采用以下回水方式:
1 闭式满管回水;
2 开式水箱自流或机械回水;
3 余压回水。
条文说明
5.9.19 蒸汽供暖系统的凝结水回收方式。
蒸汽供暖系统的凝结水回收方式,目前设计上经常采用的有三种,即利用二次蒸汽的闭式满管回水;开式水箱自流或机械回水;地沟或架空敷设的余压回水。这几种回水方式在理论上都是可以应用的,但具体使用有一定的条件和范围。从调查来看,在高压蒸汽系统供汽压力比较正常的情况下,有条件就地利用二次蒸汽时,以闭式满管回水为好;低压蒸汽或供汽压力波动较大的高压蒸汽系统,一般采用开式水箱自流回水,当自流回水有困难时,则采用机械回水;余压回水设备简单,凝结水热量可集中利用,故在一般作用半径不大、凝结水量不多、用户分散的中小型厂区,应用的比较广泛。但是,应当特别注意两个问题,一是高压蒸汽的凝结水在管道的输送过程中不断汽化,加上疏水器的漏汽,余压凝结水管中是汽水两相流动,因此极易产生水击,严重的水击能破坏管件及设备;二是余压凝结水系统中有来自供汽压力相差较大的凝结水合流,在设计与管理不当时会相互干扰,以致使凝结水回流不畅,不能正常工作。凝结水回收方式,尚应符合国家现行《锅炉房设计规范》GB 50041的要求。
5.9.20 高压蒸汽供暖系统,疏水器前的凝结水管不应向上抬升;疏水器后的凝结水管向上抬升的高度应经计算确定。当疏水器本身无止回功能时,应在疏水器后的凝结水管上设置止回阀。
条文说明
5.9.20 对疏水器出入口凝结水管的要求。
在疏水器入口前的凝结水管中,由于汽水混流,如向上抬升,容易造成水击或因积水不易排除而导致供暖设备不热,故疏水器入口前的凝结水管不应向上抬升;疏水器出口端的凝结水管向上抬升的高度应根据剩余压力的大小经计算确定,但实践经验证明不宜大于5m。
5.9.21 疏水器至回水箱或二次蒸发箱之间的蒸汽凝结水管,应按汽水乳状体进行计算。
条文说明
5.9.21 凝结水管的计算原则。
在蒸汽凝结水管内,由于通过疏水器后有二次蒸汽及疏水器本身漏汽存在,故自疏水器至回水箱之间的凝结水管段,应按汽水乳状体进行计算。
5.9.22 热水和蒸汽供暖系统,应根据不同情况,设置排气、泄水、排污和疏水装置。
条文说明
5.9.22 供暖系统的排气、泄水、排污和疏水装置。
热水和蒸汽供暖系统,根据不同情况设置必要的排气、泄水、排污和疏水装置,是为了保证系统的正常运行并为维护管理创造必要的条件。
不论是热水供暖还是蒸汽供暖,都必须妥善解决系统内空气的排除问题。通常的做法是:对于热水供暖系统,在有可能积存空气的高点(高于前后管段)排气,机械循环热水干管尽量抬头走,使空气与水同向流动;下行上给式系统,在最上层散热器上装排气阀,或作排气管;水平单管串联系统在每组散热器上装排气阀,如为上进上出式系统,在最后的散热器上装排气阀。对于蒸汽供暖系统,采用干式回水时,由凝结水管的末端(疏水器入口之前)集中排气;采用湿式回水时,如各立管装有排气管时,集中在排气管的末端排气,如无排气管时,则在散热器和蒸汽干管的末端设排气装置。
5.10 集中供暖系统热计量与室温调控
5.10.1 集中供暖的新建建筑和既有建筑节能改造必须设置热量计量装置,并具备室温调控功能。用于热量结算的热量计量装置必须采用热量表。
条文说明
5.10.1 集中供热热量计量要求。强制性条文。
根据《中华人民共和国节约能源法》的规定,新建建筑和既有建筑的节能改造应当按照规定安装热计量装置。计量的目的是促进用户自主节能,室温调控是节能的必要手段。
供热企业和终端用户间的热量结算,应以热量表作为结算依据。用于结算的热量表应符合相关国家产品标准,且计量检定证书应在检定的有效期内。
5.10.2 热量计量装置设置及热计量改造应符合下列规定:
1 热源和换热机房应设热量计量装置;居住建筑应以楼栋为对象设置热量表。对建筑类型相同、建设年代相近、围护结构做法相同、用户热分摊方式一致的若干栋建筑,也可设置一个共用的热量表;
2 当热量结算点为楼栋或者换热机房设置的热量表时,分户热计量应采取用户热分摊的方法确定。在同一个热量结算点内,用户热分摊方式应统一,仪表的种类和型号应一致;
3 当热量结算点为每户安装的户用热量表时,可直接进行分户热计量;
4 供暖系统进行热计量改造时,应对系统的水力工况进行校核。当热力入口资用压差不能满足既有供暖系统要求时,应采取提高管网循环泵扬程或增设局部加压泵等补偿措施,以满足室内系统资用压差的需要。
条文说明
5.10.2 热量计量装置设置及热计量改造。
热源、换热机房热量计量装置的流量、传感器应安装在一次管网的回水管上。因为高温水温差大、流量小、管径较小,可以节省计量设备投资;考虑到回水温度较低,建议热量测量装置安装在回水管路上。如果计量结算有具体要求,应按照需要选择计量位置。
用户热量分摊计量方式是在楼栋热力入口处(或换热机房)安装热量表计量总热量,再通过设置在住宅户内的测量记录装置,确定每个独立核算用户的用热量占总热量的比例,进而计算出用户的分摊热量,实现分户热计量。近几年供热计量技术发展很快,用户热分摊的方法较多,有的尚在试验当中。本文仅依据目前相关的标准规范,即《供热计量技术规程》JGJ 173和《严寒和寒冷地区居住建筑节能设计标准》JGJ 26,列出了他们所提到的用户热分摊方法。《供热计量技术规程》JGJ 173正文和条文说明中以及在条文说明中提出的用户热分摊方法有:散热器热分配计法、流量温度法、通断时间面积法和户用热量表法。
1 散热器热分配计法:适用于新建和改造的各种散热器供暖系统,特别适合室内垂直单管顺流式系统改造为垂直单管跨越式系统,该方法不适用于地面辐射供暖系统。散热器热分配计法只是分摊计算用热量,室内温度调节需安装散热器恒温控制阀。
散热器热分配计法是利用散热器热分配计所测量的每组散热器的散热量比例关系,来对建筑的总供热量进行分摊。热分配计有蒸发式、电子式及电子远传式三种,后两者是今后的发展趋势。
散热器热分配计法适用于新建和改造的散热器供暖系统,特别是对于既有供暖系统的热计量改造比较方便、灵活性强,不必将原有垂直系统改成按户分环的水平系统。
采用该方法时必须具备散热器与热分配计的热耦合修正系数,我国散热器型号种类繁多,国内检测该修正系数经验不足,需要加强这方面的研究。
关于散热器罩对热分配量的影响,实际上不仅是散热器热分配计法面对的问题,其他热分配法如流量温度分摊法、通断时间面积分摊法也面临同样的问题。
2 流量温度法:适用于垂直单管跨越式供暖系统和具有水平单管跨越式的共用立管分户循环供暖系统。该方法只是分摊计算用热量,室内温度调节需另安装调节装置。
流量温度法是基于流量比例基本不变的原理,即:对于垂直单管跨越式供暖系统,各个垂直单管与总立管的流量比例基本不变;对于在入户处有跨越管的共用立管分户循环供暖系统,每个入户和跨越管流量之和与共用立管流量比例基本不变,然后结合现场预先测出的流量比例系数和各分支三通前后温差,分摊建筑的总供热量。
由于该方法基于流量比例基本不变的原理,因此现场预先测出的流量比例系数准确性就非常重要,除应使用小型超声波流量计外,更要注意超声波流量计的现场正确安装与使用。
3 通断时间面积法:适用于共用立管分户循环供暖系统,该方法同时具有热量分摊和分户室温调节的功能,即室温调节时对户内各个房间室温作为一个整体统一调节而不实施对每个房间单独调节。
通断时间面积法是以每户的供暖系统通水时间为依据,分摊建筑的总供热量。
该方法适用于分户循环的水平串联式系统,也可用水平单管跨越式和地板辐射供暖系统。选用该分摊方法时,要注意散热设备选型与设计负荷要良好匹配,不能改变散热末端设备容量,户与户之间不能出现明显水力失调,不能在户内散热末端调节室温,以免改变户内环路阻力而影响热量的公平合理分摊。
4 户用热量表法:该系统由各户用热量表以及楼栋热量表组成。
户用热量表安装在每户供暖环路中,可以测量每个住户的供暖耗热量。热量表由流量传感器、温度传感器和计算器组成。根据流量传感器的形式,可将热量表分为:机械式热量表、超声波式热量表、电磁式热量表。机械式热量表的初投资相对较低,但流量传感器对轴承有严格要求,以防止长期运转由于磨损造成误差较大;对水质有一定要求,以防止流量计的转动部件被阻塞,影响仪表的正常工作。超声波热量表的初投资相对较高,流量测量精度高、压损小、不易堵塞,但流量计的管壁锈蚀程度、水中杂质含量、管道振动等因素将影响流量计的精度,有的超声波热量表需要直管段较长。电磁式热量表的初投资相对机械式热量表要高,但流量测量精度是热量表所用的流量传感器中最高的、压损小。电磁式热量表的流量计工作需要外部电源,而且必须水平安装,需要较长的直管段,这使得仪表的安装、拆卸和维护较为不便。
这种方法也需要对住户位置进行修正。它适用于分户独立式室内供暖系统及分户地面辐射供暖系统,但不适合用于采用传统垂直系统的既有建筑的改造。
在采用上述不同方法时,对于既有供暖系统,局部进行温室调控和热计量改造工作时,要注意系统改造时是否增加了阻力,是否会造成水力失调及系统压头不足,为此需要进行水力平衡及系统压头的校核,考虑增设加压泵或者重新进行平衡调试。
总之,随着技术进步和热计量工程的推广,还会有新的热计量方法出现,国家和行业鼓励这些技术创新,以在工程实践中进一步完善后,再加以补充和修订。
5.10.3 用于热量结算的热量表的选型和设置应符合下列规定:
1 热量表应根据公称流量选型,并校核在系统设计流量下的压降。公称流量可按设计流量的80%确定;
2 热量表的流量传感器的安装位置应符合仪表安装要求,且宜安装在回水管上。
条文说明
5.10.3 热量表选型及安装要求。
本条文规定对用于热量结算的热源、换热机房及楼栋热量表,以及用于户间热量分摊的户用热量表的选型,不能简单地按照管道直径直接选用,而应根据系统的设计流量的一定比例对应热量表的公称流量确定。
供暖回水管的水温较供水管的低,流量传感器安装在回水管上所处环境温度也较低,有利于延长电池寿命和改善仪表使用工况。曾经一度有观点提出热量表安装在供水上能够测量防止用户偷水,其实不然,热量表无论是装在供水管上还是回水管上都不能防止偷水现象。热量表装在供水管上既不能测出偷水量,也不能挽回多少偷水损失,还令热量表的工作环境变得恶劣。
5.10.4 新建和改扩建散热器室内供暖系统,应设置散热器恒温控制阀或其他自动温度控制阀进行室温调控。散热器恒温控制阀的选用和设置应符合下列规定:
1 当室内供暖系统为垂直或水平双管系统时,应在每组散热器的供水支管上安装高阻恒温控制阀;超过5层的垂直双管系统宜采用有预设阻力调节功能的恒温控制阀;
2 单管跨越式系统应采用低阻力两通恒温控制阀或三通恒温控制阀;
3 当散热器有罩时,应采用温包外置式恒温控制阀;
4 恒温控制阀应具有产品合格证、使用说明书和质量检测部门出具的性能测试报告,其调节性能等指标应符合现行行业标准《散热器恒温控制阀》JG/T 195的有关要求。
条文说明
5.10.4 供暖系统室温调控及恒温控制阀选用和设置要求。
当采用没有设置预设阻力功能的恒温控制阀时,双管系统如果超过5层将会有较大的垂直失调,因此,在这里提出对于超过5层的垂直双管系统,宜采用带有预设阻力功能的恒温控制阀。
5.10.5 低温热水地面辐射供暖系统应具有室温控制功能;室温控制器宜设在被控温的房间或区域内;自动控制阀宜采用热电式控制阀或自力式恒温控制阀。自动控制阀的设置可采用分环路控制和总体控制两种方式,并应符合下列规定:
1 采用分环路控制时,应在分水器或集水器处,分路设置自动控制阀,控制房间或区域保持各自的设定温度值。自动控制阀也可内置于集水器中;
2 采用总体控制时,应在分水器总供水管或集水器回水管上设置一个自动控制阀,控制整个用户或区域的室内温度。
条文说明
5.10.5 低温热水地面辐射供暖系统室内温度控制方法。
室温可控是分户热计量,实现节能,保证室内热舒适要求的必要条件。也有将温度传感器设在总回水处感知回水温度间接控制室温的做法,控制系统比较简单;但地面被遮盖等情况也会使回水温度升高,同时回水温度为各支路回水混合后的总体反映,因此回水温度不能直接和正确反映室温,会形成室温较高的假象,控制相对不准确;因此推荐将室温控制器设在被控温的房间或区域内,以房间温度作为控制依据。对于不能感受到所在区域的空气温度,如一些开敞大堂中部,可采用地面温度作为控制依据。室温控制器应设在附近无散热体、周围无遮挡物、不受风直吹、不受阳光直晒、通风干燥、周围无热源体、能正确反映室内温度的位置,不宜设在外墙上,设置高度宜距地面1.2m~1.5m。地温传感器所在位置不应有家具,地毯等覆盖或遮挡,宜布置在人员经常停留的位置,且在两个管道之间。
热电式控制阀(以下简称热电阀)是依靠驱动器内被电加热的温包膨胀产生的推力推动阀杆关闭流道,信号来源于室内温控器。热电阀相对于空调系统风机盘管常采用的电动两通阀,其流通能力更适合于小流量的地面供暖系统使用,且具有噪声小、体积小、耗电量小、使用寿命长、设置较方便等优点,因此在以住宅为主的地面供暖系统中推荐使用,分环路控制和总体控制都可以使用。
分环路且拟采用内置温包型自力式恒温控制阀控制时,可将各环路加热管在房间内从地面引高至墙面一定高度安装恒温阀,安装恒温阀的局部高点处应有排气装置。如直接安装在分水器进口总管上,内置温包的恒温阀头感受的是分水器处的较高温度,很难感知室温变化,一般不予采用。
对需要温度信号远传的调节阀,也可以采用远程调控式自力式温度控制阀,但由于分环路控制时需要的硬质远传管道较长难以实现,一般仅在区域总体控制时使用,将温控器设在分、集水器附近的室内墙面,但通常远程式自力式温度控制器关闭压差较小,需核定关闭压差的大小,必要时需采用自力式压差阀保证其正常动作。
5.10.6 热计量供暖系统应适应室温调控的要求;当室内供暖系统为变流量系统时,不应设自力式流量控制阀,是否设置自力式压差控制阀应通过计算热力入口的压差变化幅度确定。
条文说明
5.10.6 热计量供暖系统相关要求。
变流量系统能够大量节省水泵耗电,目前应用越来越广泛。在变流量系统的末端(热力入口)采用自力式流量控制阀(定流量阀)是不妥的。当系统根据气候负荷改变循环流量时,我们要求所有末端按照设计要求分配流量,而彼此间的比例维持不变,这个要求需要通过静态水力平衡阀来实现;当用户室内恒温阀进行调节改变末端工况时,自力式流量控制阀具有定流量特性,对改变工况的用户作用相抵触;对未改变工况的用户能够起到保证流量不变的作用,但是未变工况用户的流量变化不是改变工况用户“排挤”过来的,而主要是受水泵扬程变化的影响,如果水泵扬程有控制,这个“排挤”影响是较小的,所以对于变流量系统,不应采用自力式流量控制阀。
水力平衡调节、压差控制和流量控制的目的都是为了控制室温不会过高,而且还可以调低,这些功能都由末端温控装置来实现。只要保证了恒温阀(或其他温控装置)不会产生噪声,压差波动一些也没有关系,因此应通过计算压差变化幅度选择自力式压差控制阀,计算的依据就是保证恒温阀的阀权以及在关闭过程中的压差不会产生噪声。
通 风
6.1 一般规定
6.1.1 当建筑物存在大量余热余湿及有害物质时,宜优先采用通风措施加以消除。建筑通风应从总体规划、建筑设计和工艺等方面采取有效的综合预防和治理措施G1
条文说明
6.1.1 设置通风的条件及原则。
建筑通风的目的,是为了防止大量热、蒸汽或有害物质向人员活动区散发,防止有害物质对环境及建筑物的污染和破坏。大量余热余湿及有害物质的控制,应以预防为主,需要各专业协调配合综合治理才能实现。当采用通风处理余热余湿可以满足要求时,应优先使用通风措施,可以极大降低空气处理的能耗。
6.1.2 对不可避免放散的有害或污染环境的物质,在排放前必须采取通风净化措施,并达到国家有关大气环境质量标准和各种污染物排放标准的要求。
条文说明
6.1.2 对有害物质排放的要求。
某些建筑,如科研和教学试验用房、设备用房等在使用和存储过程中会放散大量的热、蒸汽、粉尘甚至有毒气体等,又如餐饮建筑的厨房,在排风中会含有大量油烟,如果不采取治理措施,会直接危害操作工作人员的身体健康,还会污染建筑周围的自然环境,影响周边居民或办公人员的健康。因此,必须采取综合有效的预防、治理和控制措施。对于餐饮建筑的油烟排除的标准及处理措施,应符合餐饮业的油烟排放的规定,参见本章第6.3.5条文说明。
6.1.3 应首先考虑采用自然通风消除建筑物余热、余湿和进行室内污染物浓度控制。对于室外空气污染和噪声污染严重的地区,不宜采用自然通风。当自然通风不能满足要求时,应采用机械通风,或自然通风和机械通风结合的复合通风。
条文说明
6.1.3 通风方式的选择。
本条是考虑节能要求,自然通风主要通过合理适度地改变建筑形式,利用热压和风压作用形成有组织气流,满足室内要求、减少通风能耗。在设计时应充分考虑自然通风的利用。在夏季,应尽量采用自然通风;在冬季,当室外空气直接进入室内不致形成雾气和在围护结构内表面不致产生凝结水时,也应考虑采用自然通风。采用自然通风时,应考虑当地室外气象参数的限制条件。
《环境空气质量标准》GB 3095按不同环境空气质量功能区给出了对应的空气质量标准,《社会生活环境噪声排放标准》GB22337也按建筑所处不同声环境功能区给出了噪声排放限值。对于空气污染和噪声污染比较严重的地区,即未达到《环境空气质量标准》GB 3095和《社会生活环境噪声排放标准》GB 22337的地区,直接的自然通风会将室外污浊的空气和噪声带入室内,不利于人体健康。因此,可以采用机械辅助式自然通风,通过一定空气处理手段机械送风,自然排风。
6.1.4 设有机械通风的房间,人员所需的新风量应满足第3.0.6条的要求。
条文说明
6.1.4 室内人员卫生及健康要求。
规定本条是为了使住宅、办公室、餐厅等建筑的房间能够达到室内空气质量的要求。无论是供暖房间还是分散式空调房间,都应具备通风条件,满足人员对新风的需求。
6.1.5 对建筑物内放散热、蒸汽或有害物质的设备,宜采用局部排风。当不能采用局部排风或局部排风达不到卫生要求时,应辅以全面通风或采用全面通风。
条文说明
6.1.5 全面通风与局部排风的配合。
对于有散发热、蒸汽或有害物质的房间,为了不使产生的散发热、蒸汽或有害物质在室内扩散,在散发处设置自然或机械的局部排风,予以就地排除,是经济有效的措施。但是,有时由于受工艺布置及操作等条件限制,不能设置局部排风,或者采用了局部排风,仍然有部分有害物质扩散在室内,在有害物质的浓度有可能超过国家标准时,则应辅以自然的或机械的全面通风,或者采用自然的或机械的全面通风。
6.1.6 凡属下列情况之一时,应单独设置排风系统:
1 两种或两种以上的有害物质混合后能引起燃烧或爆炸时;
2 混合后能形成毒害更大或腐蚀性的混合物、化合物时;
3 混合后易使蒸汽凝结并聚积粉尘时;
4 散发剧毒物质的房间和设备;
5 建筑物内设有储存易燃易爆物质的单独房间或有防火防爆要求的单独房间;
6 有防疫的卫生要求时。
条文说明
6.1.6 排风系统的划分原则。强制性条文。
1 防止不同种类和性质的有害物质混合后引起燃烧或爆炸事故。
2 避免形成毒性更大的混合物或化合物,对人体造成的危害或腐蚀设备及管道。
3 防止或减缓蒸汽在风管中凝结聚积粉尘,增加风管阻力甚至堵塞风管,影响通风系统的正常运行。
4 避免剧毒物质通过排风管道及风口窜入其他房间,如把散发铅蒸汽、汞蒸汽、氰化物和砷化氰等剧毒气体的排风与其他房间的排风划为同一系统,系统停止运行时,剧毒气体可能通过风管窜入其他房间。
5 根据《建筑设计防火规范》GB 50016和《高层民用建筑设计防火规范》GB 50045的规定,建筑中存有容易起火或爆炸危险物质的房间(如放映室、药品库等),所设置的排风装置应是独立的系统,以免使其中容易起火或爆炸的物质窜入其他房间,防止火灾蔓延,否则会招致严重后果。
6 避免病菌通过排风管道及风口窜入其他房间。
由于建筑物种类繁多,具体情况颇为繁杂,条文中难以做出明确的规定,设计时应根据不同情况妥善处理。
6.1.7 室内送风、排风设计时,应根据污染物的特性及污染源的变化,优化气流组织设计;不应使含有大量热、蒸汽或有害物质的空气流入没有或仅有少量热、蒸汽或有害物质的人员活动区,且不应破坏局部排风系统的正常工作。
条文说明
6.1.7 室内气流组织。
规定本条是为了避免或减轻大量余热、余湿或有害物质对卫生条件较好的人员活动区的影响,提高排污效率。
送风气流首先应送入污染较小的区域,再进入污染较大的区域。同时应该注意送风系统不应破坏排风系统的正常工作。当送风系统补偿供暖房间的机械排风时,送风可送至走廊或较清洁的邻室、工作部位,送风量应通过房间风平衡计算确定。当室内污染源的位置或特性发生变化时,有条件的通风系统可以设置不同形式的通风策略,根据工况变化切换到对应的高效气流组织形式,达到迅速排污的目的。
室内污染物的特性,如污染气体的密度、颗粒物的粒径等与气流组织的排污效率关系密切,如较轻的污染物有上浮的趋势,较重的污染物有下沉的趋势,根据污染物的特性有针对性地进行气流组织的设计才能保证有效排污。另一方面,在保证有效排除污染物的前提下,好的气流组织设计所需的通风量较少,能耗较低。
6.1.8 采用机械通风时,重要房间或重要场所的通风系统应具备防止以空气传播为途径的疾病通过通风系统交叉传染的功能。
条文说明
6.1.8 防疫相关的通风组织原则。
组织良好的通风对通过空气传播的疾病,具有很好的控制作用。为避免类似SARS、H1N1流感等病毒通过通风系统传播,在设计通风系统时,应使通风系统具备在疾病流行期间避免不同房间的空气掺混的功能,避免疾病通过通风系统从一个房间传播到其他房间;或使通风系统具备此功能的运行模式,在以空气传播为途径的疾病流行期间可切换到相应通风模式下运行。
6.1.9 进入室内或室内产生的有害物质数量不能确定时,全面通风量可按类似房间的实测资料或经验数据,按换气次数确定,亦叫按国家现行的各相关行业标准执行。
条文说明
6.1.9 全面通风量的确定方法。
各设计单位可参考不同类型建筑的设计标准、设计技术规定、技术措施等,确定不同类型建筑及房间的换气次数。
6.1.10 同时放散余热、余湿和有害物质时,全面通风量应按其中所需最大的空气量确定。多种有害物质同时放散于建筑物内时,其全面通风量的确定应符合现行国家有关工业企业设计卫生标准的有关规定。
条文说明
6.1.10 全面通风量的确定。
一般的建筑进行通风的目的是消除余热、余湿和污染物,所以要选取其中的最大值,并且要对使用人员的卫生标准是否满足进行校核。国家现行相关标准《工业企业设计卫生标准》GBZ 1对多种有害物质同时放散于建筑物内时的全面通风量确定已有规定,可参照执行。
式中 G1——消除余热所需要的全面通风量(kg/h);
t0——排出空气的温度(℃);
tj——进入空气的温度(℃);
Q——总余热量(kV);
c——空气的比热[1.01kJ/(kg·k)];
G2——消除余湿所需要的全面通风量(kg/h);
Gsh——余湿量(g/h); dp——排出空气的含湿量(g/kg);
dj——空气的含湿量(g/kg);
G3——稀释有害污染物所需要的全面通风量(kg/h);
P——空气密度(kg/m3);
M——室内有害物质的散发强度(mg/h);
cy——室内空气中有害物质的最高允许浓度(mg/m3);
ci——进入的空气中有害物质的浓度(mg/m3)。
6.1.11 建筑物的通风系统设计应符合国家现行防火规范要求。
条文说明
6.1.11 高层和多层建筑通风系统设计的防火要求。
近二十年来,在我国各大中城市及某些经济开发区的建设中,兴建了许多高层和多层建筑,其中包括居住、办公类建筑和大型公共建筑。在某些建筑中,由于执行标准规范不力和管理不妥等原因,仍缺乏必要的或有效的防烟、排烟系统,及其他相应的安全、消防设施。一旦发生火灾事故,就会影响楼内人员安全、迅速地进行疏散,也会给消防人员进入室内灭火造成困难。所以设计时必须予以充分重视。在国家现行《高层民用建筑设计防火规范》GB 50045中,对防烟楼梯间及其前室、合用前室、消防电梯间前室以及中庭、走道、房间等的防烟、排烟设计,已作了具体规定。多年来,国内在这方面也逐渐积累了比较好的设计经验。鉴于各设计部门对防排烟系统的设计,大都安排本专业人员会同各有关专业配合进行,为此在本条中予以提及,并指出设计中应执行国家现行《高层民用建筑设计防火规范》GB 50045和《建筑设计防火规范》GB 50016的有关规定。人防工程的防排烟按《人民防空工程设计防火规范》GB 50098执行。
6.2 自然通风
6.2.1 利用自然通风的建筑在设计时,应符合下列规定:
1 利用穿堂风进行自然通风的建筑,其迎风面与夏季最多风向宜成60°~90°角,且不应小于45°,同时应考虑可利用的春秋季风向以充分利用自然通风;
2 建筑群平面布置应重视有利自然通风因素,如优先考虑错列式、斜列式等布置形式。
条文说明
6.2.1 建筑及其周围微环境优化设计要求。
利用自然通风的建筑,在设计时宜利用CFD数值模拟(另见6.2.7条文说明)方法,对建筑周围微环境进行预测,使建筑物的平面设计有利于自然通风。
1 建筑的朝向要求。在设计自然通风的建筑时,应考虑建筑周围微环境条件。某些地区室外通风计算温度较高,因为室温的限制,热压作用就会有所减小。为此,在确定该地区大空间高温建筑的朝向时,应考虑利用夏季最多风向来增加自然通风的风压作用或对建筑形成穿堂风。因此要求建筑的迎风面与最多风向成60°~90°角。同时,因春秋季往往时间较长,应充分利用春秋季自然通风。
2 建筑平面布置要求。错列式、斜列式平面布置形式相比行列式、周边式平面布置形式等有利于自然通风。
6.2.2 自然通风应采用阻力系数小、噪声低、易于操作和维修的进排风口或窗扇。严寒寒冷地区的进排风口还应考虑保温措施。
条文说明
6.2.2 自然通风进排风口或窗扇的选择。
为了提高自然通风的效果,应采用流量系数较大的进排风口或窗扇,如在工程设计中常采用的性能较好的门、洞、平开窗、上悬窗、中悬窗及隔板或垂直转动窗、板等。
供自然通风用的进排风口或窗扇,一般随季节的变换要进行调节。对于不便于人员开关或需要经常调节的进排风口或窗扇,应考虑设置机械开关装置,否则自然通风效果将不能达到设计要求。总之,设计或选用的机械开关装置,应便于维护管理并能防止锈蚀失灵,且有足够的构件强度。
严寒寒冷地区的自然通风进排风口,不使用期间应可有效关闭并具有良好的保温性能。
6.2.3 夏季自然通风用的进风口,其下缘距室内地面的高度不宜大于1.2m。自然通风进风口应远离污染源3m以上;冬季自然通风用的进风口,当其下缘距室内地面的高度小于4m时,宜采取防止冷风吹向人员活动区的措施。
条文说明
6.2.3 进风口的位置。
夏季由于室内外形成的热压小,为保证足够的进风量,消除余热、提高通风效率,应使室外新鲜空气直接进入人员活动区。自然进风口的位置应尽可能低。参考国内外有关资料,本条将夏季自然通风进风口的下缘距室内地坪的上限定为1.2m。参考美国ASHRAE标准,自然通风口应远离已知的污染源,如烟囱、排风口、排风罩等3m以上。冬季为防止冷空气吹向人员活动区,进风口下缘不宜低于4m,冷空气经上部侧窗进入,当其下降至工作地点时,已经过了一段混合加热过程,这样就不致使工作区过冷。如进风口下缘低于4m,则应采取防止冷风吹向人员活动区的措施。
6.2.4 采用自然通风的生活、工作的房间的通风开口有效面积不应小于该房间地板面积的5%;厨房的通风开口有效面积不应小于该房间地板面积的10%,并不得小于0.60m2。
条文说明
6.2.4 自然通风房间通风开口的要求。
目前国内外标准中对此规定大体一致,但具体数值有所不同。国家标准《民用建筑设计通则》GB 50352-2005第7.2.2条:生活、工作的房间的通风开口有效面积不应小于该房间地板面积的1/20;厨房的通风开口有效面积不应小于该房间地板面积的1/10,并不得小于0.60㎡。美国ASHRAE标准62.1也有类似规定,即自然通风房间可开启外窗净面积不得小于房间地板面积的4%,建筑内区房间若通过邻接房间进行自然通风,其通风开口面积应大于该房间净面积的8%,且不应小于2.3㎡。
6.2.5 自然通风设计时,宜对建筑进行自然通风潜力分析,依据气候条件确定自然通风策略并优化建筑设计。
条文说明
6.2.5 自然通风策略确定。
在确定自然通风方案之前,必须收集目标地区的气象参数,进行气候潜力分析。自然通风潜力指仅依靠自然通风就可满足室内空气品质及热舒适要求的潜力。现有的自然通风潜力分析方法主要有经验分析法、多标准评估法、气候适应性评估法及有效压差分析法等。然后,根据潜力可定出相应的气候策略,即风压、热压的选择及相应的措施。
因为28℃以上的空气难以降温至舒适范围,室外风速3.0m/s会引起纸张飞扬,所以对于室内无大功率热源的建筑,“风压通风”的通风利用条件宜采取气温20℃~28℃,风速0.1m/s~3.0m/s,湿度40%~90%的范围。由于12℃以下室外气流难以直接利用,“热压通风”的通风条件宜设定为气温12℃~20℃,风速0~3.0m/s,湿度不设限。
根据我国气候区域特点,中纬度的温暖气候区、温和气候区、寒冷地区,更适合采用中庭、通风塔等热压通风设计,而热湿气候区、干热地区更适合采用穿堂风等风压通风设计。
6.2.6 采用自然通风的建筑,自然通风量的计算应同时考虑热压以及风压的作用。
条文说明
6.2.6 风压与热压是形成自然通风的两种动力方式。
风压是空气流动受到阻挡时产生的静压,其作用效果与建筑物的形状等有关;热压是气温不同产生的压力差,它会使室内热空气上升逸散到室外;建筑物的通风效果往往是这两种方式综合作用的结果,均应考虑。若建筑层数较少,高度较低,考虑建筑周围风速通常较小且不稳定,可不考虑风压作用。
同时考虑热压及风压作用的自然通风量,宜按计算流体动力学(CFD)数值模拟(另见6.2.7条文说明)方法确定。
6.2.7 热压作用的通风量,宜按下列方法确定:
1 室内发热量较均匀、空间形式较简单的单层大空间建筑,可采用简化计算方法确定;
2 住宅和办公建筑中,考虑多个房间之间或多个楼层之间的通风,可采用多区域网络法进行计算;
3 建筑体形复杂或室内发热量明显不均的建筑,可按计算流体动力学(CFD)数值模拟方法确定。
条文说明
6.2.7 热压通风的计算。
热压通风的简化计算方法如下:
以上计算方法是在下列简化条件下进行的:
1)空气在流动过程中是稳定的;
2)整个房间的空气温度等于房间的平均温度;
3)房间内空气流动的路途上,没有任何障碍物;
4)只考虑进风口进入的空气量。
多区域网络法是从宏观角度对建筑通风进行分析,把整个建筑物作为系统,其中每个房间作为一个区(或网络节点),认为各个区内空气具有恒定的温度、压力和污染物浓度,利用质量、能量守恒等方程计算风压和热压作用下通风量,常用软件有COMIS、CONTAM、BREEZE、NatVent、PASSPORT Plus及AIOLOS等。
相对于网络法,CFD模拟是从微观角度,针对某一区域或房间,利用质量、能量及动量守恒等基本方程对流场模型求解,分析空气流动状况,常用软件有FLUENT、AirPak、PHOENICS及STAR-CD等。
6.2.8 风压作用的通风量,宜按下列原则确定:
1 分别计算过渡季及夏季的自然通风量,并按其最小值确定;
2 室外风向按计算季节中的当地室外最多风向确定;
3 室外风速按基准高度室外最多风向的平均风速确定。当采用计算流体动力学(CFD)数值模拟时,应考虑当地地形条件及其梯度风、遮挡物的影响;
4 仅当建筑迎风面与计算季节的最多风向成45°~90°角时,该面上的外窗或有效开口利用面积可作为进风口进行计算。
条文说明
6.2.8 风压作用的通风量确定原则。
建筑物周围的风压分布与该建筑的几何形状和室外风向有关。风向一定时,建筑物外围结构上某一点的风压值pf也可根据下式计算:
此外,从地球表面到约500m~1000m高的空气层为大气边界层,其厚度主要取决于地表的粗糙度,不同地区因地形特征不同,使得地表的相糙度不同,因此边界层厚度不同,在平原地区边界层薄,在城市和山区边界层厚。边界层内部风速沿垂直方向存在梯度,即梯度风,其形成的原因是下垫面对气流的摩擦作用。在摩擦力作用下,贴近地面处的风速接近零,沿高度方向因地面摩擦力的作用越来越小而风速递增,到达—定高度之后风速将达到最大值而不再增加,该高度成为边界层高度。由于大气边界层及梯度风作用对室外空气流场的影响非常显著,因而在进行计算流体动力学(CFD)数值模拟时,应充分考虑当地风环境的影响,以建立更合理的边界条件。
通常室外风速按基准高度室外最多风向的平均风速确定。所谓基准高度是指气象学中观测地面风向和风速的标准高度。该高度的确定,既要能反映本地区较大范围内的气象特点,避免局部地形和环境的影响,又要考虑到观测的可操作性。《地面气象观测规范 第7部分:风向和风速观测》QX/T 51-2007中规定,该高度应距地面10m。
6.2.9 宜结合建筑设计,合理利用被动式通风技术强化自然通风。被动通风可采用下列方式:
1 当常规自然通风系统不能提供足够风量时,可采用捕风装置加强自然通风;
2 当采用常规自然通风难以排除建筑内的余热、余湿或污染物时,可采用屋顶无动力风帽装置,无动力风帽的接口直径宜与其连接的风管管径相同;
3 当建筑物利用风压有局限或热压不足时,可采用太阳能诱导等通风方式。
条文说明
6.2.9 自然通风强化措施。
1 捕风装置是一种自然风捕集装置,是利用对自然风的阻挡在捕风装置迎风面形成正压、背风面形成负压,与室内的压力形成一定的压力梯度,将新鲜空气引入室内,并将室内的浑浊空气抽吸出来,从而加强自然通风换气的能力。为保持捕风系统的通风效果,捕风装置内部用隔板将其分为两个或四个垂直风道,每个风道随外界风向改变轮流充当送风口或排风口。捕风装置可以适用于大部分的气候条件,即使在风速比较小的情况下也可以成功地将大部分经过捕风装置的自然风导入室内。捕风装置一般安装在建筑物的顶部,其通风口位于建筑上部2m~20m的位置,四个风道捕风装置的原理如图3所示。
2 无动力风帽是通过自身叶轮的旋转,将任何平行方向的空气流动,加速并转变为由下而上垂直的空气流动,从而将下方建筑物内的污浊气体吸上来并排出,以提高室内通风换气效果的一种装置。该装置不需要电力驱动,可长期运转且噪声较低,在国外已使用多年,在国内也开始大量使用。
3 太阳能诱导通风方式依靠太阳辐射给建筑结构的一部分加热,从而产生大的温差,比传统的由内外温差引起流动的浮升力驱动的策略获得更大的风量,从而能够更有效地实现自然通风。典型的三类太阳能诱导方式为:特伦布(Trombe)墙、太阳能烟囱、太阳能屋顶。
6.3 机械通风
6.3.1 机械送风系统进风口的位置,应符合下列规定:
1 应设在室外空气较清洁的地点;
2 应避免进风、排风短路;
3 进风口的下缘距室外地坪不宜小于2m,当设在绿化地带时,不宜小于1m。
条文说明
6.3.1 机械送风系统进风口的位置。
关于机械送风系统进风口位置的规定,是根据国内外有关资料,并结合国内的实践经验制定的。其基本点为:
1 为了使送入室内的空气免受外界环境的不良影响而保持清洁,因此规定把进风口布置在室外空气较清洁的地点。
2 为了防止排风(特别是散发有害物质的排风)对进风的污染,进、排风口的相对位置,应遵循避免短路的原则;进风口宜低于排风口3m以上,当进排风口在同一高度时,宜在不同方向设置,且水平距离一般不宜小于10m。用于改善室内舒适度的通风系统可根据排风中污染物的特征、浓度,通过计算适当减少排风口与新风口距离。
3 为了防止送风系统把进风口附近的灰尘、碎屑等扬起并吸入,故规定进风口下缘距室外地坪不宜小于2m,同时还规定当布置在绿化地带时,不宜小于1m。
6.3.2 建筑物全面排风系统吸风口的布置,应符合下列规定:
1 位于房间上部区域的吸风口,除用于排除氢气与空气混合物时,吸风口上缘至顶棚平面或屋顶的距离不大于0.4m;
2 用于排除氢气与空气混合物时,吸风口上缘至顶棚平面或屋顶的距离不大于0.1m;
3 用于排出密度大于空气的有害气体时,位于房间下部区域的排风口,其下缘至地板距离不大于0.3m;
4 因建筑结构造成有爆炸危险气体排出的死角处,应设置导流设施。
条文说明
6.3.2 全面排风系统吸风口的布置要求。强制性条文。
规定建筑物全面排风系统吸风口的位置,在不同情况下应有不同的设计要求,目的是为了保证有效地排除室内余热、余湿及各种有害物质。对于由于建筑结构造成的有爆炸危险气体排出的死角,例如产生氢气的房间,会出现由于顶棚内无法设置吸风口而聚集一定浓度的氢气发生爆炸的情况。在结构允许的情况下,在结构梁上设置连通管进行导流排气,以避免事故发生。
6.3.3 选择机械送风系统的空气加热器时,室外空气计算参数应采用供暖室外计算温度;当其用于补偿全面排风耗热量时,应采用冬季通风室外计算温度。
6.3.4 住宅通风系统设计应符合下列规定:
1 自然通风不能满足室内卫生要求的住宅,应设置机械通风系统或自然通风与机械通风结合的复合通风系统。室外新风应先进入人员的主要活动区;
2 厨房、无外窗卫生间应采用机械排风系统或预留机械排风系统开口,且应留有必要的进风面积;
3 厨房和卫生间全面通风换气次数不宜小于3次/h;
4 厨房、卫生间宜设竖向排风道,竖向排风道应具有防火、防倒灌及均匀排气的功能,并应采取防止支管回流和竖井泄漏的措施。顶部应设置防止室外风倒灌装置。
条文说明
6.3.4 住宅通风规定。
1 由于人们对住宅的空气品质的要求提高,而室外气候条件恶劣、噪声等因素限制了自然通风的应用,国内外逐渐增加了机械通风在住宅中的应用。但当前住宅机械通风系统的发展还存在如下局限:
1)室内通风量的确定,国家标准中只对单人需要新风量提出要求,而对于人数不确定的房间如何确定其通风量没有提及,也缺乏相应的测试和模拟分析。
2)系统形式的研究,国内对于住宅通风系统还没有明确分类,也缺乏相应的实际工程对不同系统形式进行比较。对于房间内排风和送风方式对室内污染物和空气流场的影响,缺乏相应的分析。
3)对于不同系统在不同气候条件下的运行和控制策略缺乏探讨。
4)住宅通风类产品还有待增加和改善。
住宅内的通风换气应首先考虑采用自然通风,但在无自然通风条件或自然通风不能满足卫生要求的情况下,应设机械通风或自然通风与机械通风结合的复合通风系统。“不能满足室内卫生条件”是指室内有害物浓度超标,影响人的舒适和健康。应使气流从较清洁的房间流向污染较严重的房间,因此使室外新鲜空气首先进入起居室、卧室等人员主要活动、休息场所,然后从厨房、卫生间排出到室外,是较为理想的通风路径。
2 住宅厨房及无外窗卫生间污染源较集中,应采用机械排风系统,设计时应预留机械排风系统开口。
3 为保证有效的排气,应有足够的进风通道,当厨房和卫生间的外窗关闭或暗卫生间无外窗时,需通过门进风,应在下部设置有效截面积不小于0.02m2的固定百叶,或距地面留出不小于30mm的缝隙。厨房排油烟机的排气量一般为300m3/h~500m3/h,有效进风截面积不小于0.02㎡,相当于进风风速4m/s~7m/s,由于排油烟机有较大压头,换气次数基本可以满足3次/h要求。卫生间排风机的排气量一般为80m3/h~1OOm3/h,虽然压头较小,但换气次数也可以满足要求。
4 住宅建筑竖向排风道应具有防火、防倒灌的功能。顶部应设置防止室外风倒灌装置。排风道设置位置和安装应符合《住宅厨房排风道》JG/T 3044要求,排风道设计宜采用简化设计计算方法或软件设计计算方法。不需重复加止回阀。排风道设计建议:
1)竖向集中排油烟系统宜采用简单的单孔烟道,在烟道上用户排油烟机软管接入口处安装可靠的逆止阀,逆止阀材料应防火。
2)排风道设计过程一般为:先假定一个烟道内截面尺寸,计算流动总阻力,再根据排油烟机性能曲线校核是否能满足要求;若不满足,则修正烟道内截面尺寸,直至满足要求为止。
3)排风道阻力计算可以采用简化计算方法,设计计算时可以采用总局部阻力等于总沿程阻力的方法,即总流动阻力两倍于总沿程阻力。其中沿程阻力计算公式为:

4)竖向烟道内截面尺寸选取依据:在一定的同时开机率、一定的用户排油烟机性能下,确定满足最不利用户(最底层)一定排风量时的最小烟道截面尺寸,或先假设烟道气体流速并采用下列计算公式计算排风道的尺寸。
排风道截面总风量计算公式为:

6.3.5 公共厨房通风应符合下列规定:
1 发热量大且散发大量油烟和蒸汽的厨房设备应设排气罩等局部机械排风设施;其他区域当自然通风达不到要求时,应设置机械通风;
2 采用机械排风的区域,当自然补风满足不了要求时,应采用机械补风。厨房相对于其他区域应保持负压,补风量应与排风量相匹配,且宜为排风量的80%~90%。严寒和寒冷地区宜对机械补风采取加热措施;
3 产生油烟设备的排风应设置油烟净化设施,其油烟排放浓度及净化设备的最低去除效率不应低于国家现行相关标准的规定,排风口的位置应符合本规范第6.6.18条的规定;
4 厨房排油烟风道不应与防火排烟风道共用;
5 排风罩、排油烟风道及排风机设置安装应便于油、水的收集和油污清理,且应采取防止油烟气味外溢的措施。
条文说明
- 3.5 公共厨房通风规定。
1 公共厨房通风的设置原则
发热量大且散发大量油烟和蒸汽的厨房设备指炉灶、洗碗机、蒸汽消毒设备等,设置局部机械排风设施的目的是有效地将热量、油烟、蒸汽等控制在炉灶等局部区域并直接排出室外、不对室内环境造成污染。局部排风风量的确定原则是保证炉灶等散发的有害物不外溢,使排气罩的外沿和距灶台的高度组成的面积,以及灶口水平面积都保持一定的风速,计算方法各设计手册、技术措施等均有论述。
即使炉灶等设备不运行、人员仅进行烹饪准备的操作时,厨房各区域仍有一定的发热量和异味,需要全面通风排除;对于燃气厨房,经常连续运行的全面通风还提供了厨房内燃气设备和管道有泄漏时向室外排除泄漏燃气的排气通路。当房间不能进行有效的自然通风时,应设置全面机械通风。能够采用自然通风的条件是,具有面积较大可开启的外门窗、气候条件和室外空气品质满足允许开窗自然通风。
厨房通风总排风量应能够排除厨房各区域内以设备发热量为主的总发热量。
在厨房工艺未确定前,如缺少排气罩尺寸、设备发热量等资料,可根据设计手册、技术措施等提供的经验数据,按换气次数等估算厨房内不同区域的排风量;待厨房工艺确定后,应经详细计算校核预留风道截面和确定通风设备规格。
2 公共厨房负压要求及补风
厨房采用机械排风时,房间内负压值不能过大,否则既有可能对厨房灶具的使用产生影响,也会因为来自周围房间的自然补风量不够而导致机械排风量不能达到设计要求。建议以厨房开门后的负压补风风速不超过1.0m/s作为判断基准,超过时应设置机械补风系统。同时,厨房气味影响周围室内环境,也是公共建筑经常发生的现象。为了解决这一问题,设计中应注意下列方面:①厨房设备及其局部排风设备不一定同时使用,因此补风量应能够根据排风设备运行情况与排风量相对应,以免发生补风量大于排风量,厨房出现正压的情况。②应确实保证厨房的负压。不仅要考虑整个厨房与厨房外区域之间要保证相对负压,厨房内也要考虑热量和污染物较大的区域与较小区域之间的压差。根据目前的实际工程,一般情况下均可取补风量为排风量的80%~90%,对于炉灶间等排风量较大房间,排风和补风量差值也较大,相对于厨房内通风量小的房间则会保证一定的负压值。
在北方严寒和寒冷地区,一般冬季不开窗自然通风,而常采用机械补风且补风量很大。为避免过低的送风温度导致室内温度过低,不满足人员劳动环境的卫生要求并有可能造成冬季厨房内水池及水管道出现冻结现象等,除仅在气温较高的白天工作且工作时间较短(不足2小时)的小型厨房外,送风均宜做加热处理。
3 排风口位置及排油烟处理
根据《饮食业油烟排放标准》GB 18483的规定,油烟排放浓度不得超过2.0mg/m3,净化设备的最低去除效率小型不宜低于60%,中型不宜低于75%,大型不宜低于85%。因此副食灶等产生油烟的设备应设置油烟净化设施。排油烟风道的排放口宜设置在建筑物顶端并采用防雨风帽(一般是锥形风帽),目的是把这些有害物排入高空,以利于稀释。
4 排油烟风道不得与防火排烟风道合用
工程通风设计中常有合用排风和防火排烟管道的情况,但厨房排油烟风道内不可避免地有油垢聚集,因此不得与高温的防火排烟风道合用,以免发生次生火灾。
5 排油烟管道要求
厨房排风管的水平段应设不小于0.02的坡度,坡向排气罩。罩口下沿四周设集油集水沟槽,沟槽底应装排油污管。水平风道宜设置清洗检查孔,以利清洁人员定期清除风道中沉积的油污、油垢。为防止污浊空气或油烟处于正压渗入室内,宜在顶部设总排风机。
6.3.6 公共卫生间和浴室通风应符合下列规定:
1 公共卫生间应设置机械排风系统。公共浴室宜设气窗;无条件设气窗时,应设独立的机械排风系统。应采取措施保证浴室、卫生间对更衣室以及其他公共区域的负压;
2 公共卫生间、浴室及附属房间采用机械通风时,其通风量宜按换气次数确定。
条文说明
6.3.6 公共卫生间和浴室通风。
公共卫生间和浴室通风关系到公众健康和安全的问题,因此应保证其良好的通风。
浴室气窗是指室内直接与室外相连的能够进行自然通风的外窗,对于没有气窗的浴室,应设独立的通风系统,保证室内的空气质量。
浴室、卫生间处于负压区,以防止气味或热湿空气从浴室、卫生间流入更衣室或其他公共区域。
表3中桑拿或蒸汽浴指浴室的建筑房间,而不是指房间内部的桑拿蒸汽隔间。当建筑未设置单独房间放置桑拿隔间时,如直接将桑拿隔间设在淋浴间或其他公共房间,则应提高该淋浴间等房间的通风换气次数。

6.3.7 设备机房通风应符合下列规定:
1 设备机房应保持良好的通风,无自然通风条件时,应设置机械通风系统。设备有特殊要求时,其通风应满足设备工艺要求;
2 制冷机房的通风应符合下列规定:
1)制冷机房设备间排风系统宜独立设置且应直接排向室外。冬季室内温度不宜低于10℃,夏季不宜高于35℃,冬季值班温度不应低于5℃;
2)机械排风宜按制冷剂的种类确定事故排风口的高度。当设于地下制冷机房,且泄漏气体密度大于空气时,排风口应上、下分别设置;
3)氟制冷机房应分别计算通风量和事故通风量。当机房内设备放热量的数据不全时,通风量可取(4~6)次/h。事故通风量不应小于12次/h。事故排风口上沿距室内地坪的距离不应大于1.2m:
4)氨冷冻站应设置机械排风和事故通风排风系统。通风量不应小于3次/h,事故通风量宜按183m3/(㎡·h)进行计算,且最小排风量不应小于34000m3/h。事故排风机应选用防爆型,排风口应位于侧墙高处或屋顶;
5)直燃溴化锂制冷机房宜设置独立的送、排风系统。燃气直燃溴化锂制冷机房的通风量不应小于6次/h,事故通风量不应小于12次/h。燃油直燃溴化锂制冷机房的通风量不应小于3次/h,事故通风量不应小于6次/h。机房的送风量应为排风量与燃烧所需的空气量之和;
3 柴油发电机房宜设置独立的送、排风系统。其送风量应为排风量与发电机组燃烧所需的空气量之和;
4 变配电室宜设置独立的送、排风系统。设在地下的变配电室送风气流宜从高低压配电区流向变压器区,从变压器区排至室外。排风温度不宜高于40℃。当通风无法保障变配电室设备工作要求时,宜设置空调降温系统;
5 泵房、热力机房、中水处理机房、电梯机房等采用机械通风时,换气次数可按表6.3.7选用。

条文说明
- 3.7 设备机房通风规定。
1 机房设备会产生大量余热、余湿、泄露的制冷剂或可燃气体等,靠自然通风往往不能满足使用和安全要求,因此应设置机械通风系统,并尽量利用室外空气为自然冷源排除余热、余湿。不同的季节应采取不同的运行策略,实现系统节能。
2 制冷设备的可靠性不好会导致制冷剂的泄露带来安全隐患,制冷机房在工作过程中会产生余热,良好的自然通风设计能够较好地利用自然冷量消除余热,稀释室内泄露制冷剂,达到提高安全保障并且节能的目的。制冷机房采用自然通风时,机房通风所需要的自由开口面积可按下式计算:
F=0.138G0.5 (17)
式中:F——自由开口面积(㎡);
G——机房中最大制冷系统灌注的制冷工质量(kg)。
制冷机房可能存在制冷剂的泄漏,对于泄漏气体密度大于空气时,设置下部排风口更能有效排除泄漏气体。
氨是可燃气体,其爆炸极限为16%~27%,当氨气大量泄漏而又得不到吹散稀释的情况下,如遇明火或电气火花,则将引起燃烧爆炸。因此应采取可靠的机械通风形式来保障安全。关于事故通风量的确定可参见《冷库设计规范》GB 50072的相关条文解释。
连续通风量按每平方米机房面积9m3/h和消除余热(余热温升不大于10℃)计算,取二者最大值。事故通风的通风量按排走机房内由于工质泄露或系统破坏散发的制冷工质确定,根据工程经验,可按下式计算:
L=247. 8G0.5 (18)
式中:L——连续通风量(㎡/h);
G——机房最大制冷系统灌注的制冷工质量(kg)。
吸收式制冷机在运行中属真空设备,无爆炸可能性,但它是以天然气、液化石油气、人工煤气为热源燃料,它的火灾危险性主要来自这些有爆炸危险的易燃燃料以及因设备控制失灵,管道阀门泄漏以及机件损坏时的燃气泄漏,机房因液体蒸汽、可燃气体与空气形成爆炸混合物,遇明火或热源产生燃烧和爆炸,因此应保证良好的通风。
3 制冷机房、柴油发电机房及变配电室由于使用功能、季节等特殊性,设置独立的通风系统能有效保障系统运行效果和节能。对于大、中型建筑更为重要。柴油发电机的通风量和燃烧空气量一般可在其样本中查得。柴油发电机燃烧空气量,可按柴油发电机额定功率7m3/(kW·h)计算。
4 变配电室通常由高、低压器配电室及变压器组成,其中的电器设备散发一定的热量,尤以变压器的发热量为大。若变配电器室内温度太高,会影响设备工作效率。
5 根据工程经验,表6.3.7中所列设备用房的通风换气量可以满足通风基本要求。
6.3.8 汽车库通风应符合下列规定:
1 自然通风时,车库内CO最高允许浓度大于30mg/m3时,应设机械通风系统;
2 地下汽车库,宜设置独立的送风、排风系统;具备自然进风条件时,可采用自然进风、机械排风的方式。室外排风口应设于建筑下风向,且远离人员活动区并宜作消声处理;
3 送排风量宜采用稀释浓度法计算,对于单层停放的汽车库可采用换气次数法计算,并应取两者较大值。送风量宜为排风量的80%~90%;
4 可采用风管通风或诱导通风方式,以保证室内不产生气流死角;
5 车流量随时间变化较大的车库,风机宜采用多台并联方式或设置风机调速装置;
6 严寒和寒冷地区,地下汽车库宜在坡道出入口处设热空气幕;
7 车库内排风与排烟可共用一套系统,但应满足消防规范要求。
条文说明
6.3.8 汽车库通风规定。
1 通过相关实验分析得出将汽车排出的CO稀释到容许浓度时,NOx和CmHn远远低于它们相应的允许浓度。也就是说,只要保证CO浓度排放达标,其他有害物即使有一些分布不均匀,也有足够的安全倍数保证将其通过排风带走;所以以CO为标准来考虑车库通风量是合理的。选用国家现行有关工业场所有害因素职业接触限值标准的规定,CO的短时间接触容许浓度为30mg/m3。
地下汽车库由于位置原因,容易造成自然通风不畅,宜设置独立的送风、排风系统;当地下汽车库设有开敞的车辆出、入口且自然进风满足所需进风条件时,可采用自然进风、机械排风的方式。
3 采用换气次数法计算车库通风量时,相关参数按以下规定选取:
1)排风量按换气次数不小于6次/h计算,送风量按换气次数不小于5次/h计算。
2)当层高<3m时,按实际高度计算换气体积;当层高≥3m时,按3m高度计算换气体积。
但采用换气次数法计算通风量时存在以下问题:
①车库通风量的确定,此时通风目的是稀释有害物以满足卫生要求的允许浓度。也就是说,通风风量的计算与有害物的散发量及散发时的浓度有关,而与房间容积(亦即房间换气次数)并无确定的数量关系。例如,两种有害物散发情况相同,且平面布置和大小也相同,只是层高不同的车库,按有害物稀释计算的排风量是相同的,但按换气次数计算,二者的排风量就不同了。
②换气次数法并没有考虑到实际中的(部分或全部)双层停车库或多层停车库情况,与单层车库采用相同的计算方法也是不尽合理的。
以上说明换气次数法有其固有弊端。正因为如此,提出对于全部或部分为双层或多层停车库情形,排风量应按稀释浓度法计算;单层停车库的排风量宜按稀释浓度法计算,如无计算资料时,可参考换气次数估算。
当采用稀释浓度法计算排风量时,建议采用以下公式,送风量应按排风量的80%~90%选用。
地下汽车库内排放CO的多少与所停车的类型、产地、型号、排气温度及停车启动时间等有关,一般地下停车库大多数按停放小轿车设计。按照车库排风量计算式,应当按每种类型的车分别计算其排出的气体量,但地下车库在实际使用时车辆类型出入台数都难以估计。为简化计算,m值可取0. 02m3/min~0.025m3/min台。
4 风管通风是指利用风管将新鲜气流送到工作区以稀释污染物,并通过风管将稀释后的污染气流收集排出室外的传统通风方式;诱导通风是指利用空气射流的引射作用进行通风的方式。当采用接风管的机械进、排风系统时,应注意气流分布的均匀性,减少通风死角。当车库层高较低,不易布置风管时,为了防止气流不畅,杜绝死角,可采用诱导式通风系统。
5 对于车流量变化较大的车库,由于其风机设计选型时是根据最大车流量选择的(最不利原则),而往往车库的高峰车流量持续时间很短,如果持续以最大通风量进行通风,会造成风机运行能耗的浪费。这种情况,当车流量变化有规律时,可按时间设定风机开启台数;无规律时宜采用CO浓度传感器联动控制多台并联风机或可调速风机的方式,会起到很好的节能效果。CO浓度传感器的布置方式:当采用传统的风管机械进、排风系统时,传感器宜分散设置。当采用诱导式通风系统时,传感器应设在排风口附近。
6 热空气幕可有效防止冷空气的大量侵入。
7 本款提出共用是出于节省投资和节省空间的考虑。但基于安全需要,要首先满足消防要求。
6.3.9 事故通风应符合下列规定:
1 可能突然放散大量有害气体或有爆炸危险气体的场所应设置事故通风。事故通风量宜根据放散物的种类、安全及卫生浓度要求,按全面排风计算确定,且换气次数不应小于12次/h;
2 事故通风应根据放散物的种类,设置相应的检测报警及控制系统。事故通风的手动控制装置应在室内外便于操作的地点分别设置;
3 放散有爆炸危险气体的场所应设置防爆通风设备;
4 事故排风宜由经常使用的通风系统和事故通风系统共同保证,当事故通风量大于经常使用的通风系统所要求的风量时,宜设置双风机或变频调速风机;但在发生事故时,必须保证事故通风要求;
5 事故排风系统室内吸风口和传感器位置应根据放散物的位置及密度合理设计;
6 事故排风的室外排风口应符合下列规定:
1)不应布置在人员经常停留或经常通行的地点以及邻近窗户、天窗、室门等设施的位置;
2)排风口与机械送风系统的进风口的水平距离不应小于20m;当水平距离不足20m时,排风口应高出进风口,并不宜小于6m;
3)当排气中含有可燃气体时,事故通风系统排风口应远离火源30m以上,距可能火花溅落地点应大于20m;
4)排风口不应朝向室外空气动力阴影区,不宜朝向空气正压区。
条文说明
6.3.9 事故通风规定。部分强制性条文。
1 事故通风是保证安全生产和保障人民生命安全的一项必要的措施。对在生活中可能突然放散有害气体的建筑,在设计中均应设置事故排风系统。有时虽然很少或没有使用,但并不等于可以不设,应以预防为主。这对防止设备、管道大量逸出有害气体(家用燃气、冷冻机房的冷冻剂泄漏等)而造成人身事故是至关重要的。需要指出的是,事故通风不包括火灾通风。关于事故通风的通风量,要保证事故发生时,控制不同种类的放散物浓度低于国家安全及卫生标准所规定的最高容许浓度,且换气次数不低于每小时12次。有特定要求的建筑可不受此条件限制,允许适当取大。
2 事故排风系统(包括兼作事故排风用的基本排风系统)应根据建筑物可能释放的放散物种类设置相应的检测报警及控制系统,以便及时发现事故,启动自动控制系统,减少损失。事故通风的手动控制装置应装在室内、外便于操作的地点,以便一旦发生紧急事故,使其立即投入运行。
3 放散物包含有爆炸危险的气体时,应采取防爆通风设备。
4 设置事故通风的场所(如氟利昂制冷机房)的机械通风量应按平常所要求的机械通风和事故通风分别计算。当事故通风量较大时,宜设置双风机或变频调速风机。但共用的前提是事故通风必须保证。
5 事故排风的室内吸风口,应设在有害气体或爆炸危险性物质放散量可能最大或聚集最多的地点。对事故排风的死角,应采取导流措施。当发生事故向室内放散密度比空气大的气体或蒸汽时,室内吸风口应设在地面以上0.3m~1.0m处;放散密度比空气小的气体或蒸汽时,室内吸风口应设在上部地带;放散密度比空气小的可燃气体或蒸汽,室内吸风口应尽量紧贴顶棚布置,其上缘距顶棚不得大于0.4m。
为保证传感器能尽早发现事故,及时快速监测到所放散的有害气体或爆炸危险性物质,传感器应布置在建筑内有可能放散有害物质的发生源附近以及主要的人员活动区域,且应安装维护方便,不影响人员活动。当放散气体或蒸汽密度比空气大时,应设在下部地带;当放散气体或蒸汽密度比空气小时,应设在上部地带。
6 当风吹向和流经建筑物时,由于撞击作用,产生弯曲、跳跃和旋流现象,在屋顶、侧墙和背风侧形成的负压闭合循环气流区为动力阴影区;由于撞击作用而使其静压高于稳定气流区静压的区域为正压区。为便于污染物排放,不产生倒流,应尽可能避免将排风口设在动力阴影区和正压区。
除规范中要求外,排风口的高度应高于周边20m范围内最高建筑屋面3m以上。
事故排风口的布置是从安全角度考虑的,为的是防止系统投入运行时排出的有毒及爆炸性气体危及人身安全和由于气流短路时对送风空气质量造成影响。
6.4 复合通风
6.4.1 大空间建筑及住宅、办公室、教室等易于在外墙上开窗并通过室内人员自行调节实现自然通风的房间,宜采用自然通风和机械通风结合的复合通风。
条文说明
6.4.1 复合通风的设计条件。
复合通风系统是指自然通风和机械通风在一天的不同时刻或一年的不同季节里,在满足热舒适和室内空气质量的前提下交替或联合运行的通风系统。复合通风系统设置的目的是,增加自然通风系统的可靠运行和保险系数,并提高机械通风系统的节能率。
复合通风适用场合包括净高大于5m且体积大于1万m3的大空间建筑及住宅、办公室、教室等易于在外墙上开窗并通过室内人员自行调节实现自然通风的房间。研究表明:复合通风系统通风效率高,通过自然通风与机械通风手段的结合,可节约风机和制冷能耗约10%~50%,既带来较高的空气品质又有利于节能。复合通风在欧洲已经普遍采用,主要用于办公建筑、住宅、图书馆等建筑,目前在我国一些建筑中已有应用。复合通风系统应用时应注意协调好与消防系统的矛盾。
复合通风系统的主要形式包括三种:自然通风与机械通风交替运行、带辅助风机的自然通风和热压/风压强化的机械通风。三种系统简介如下:
1)自然通风与机械通风交替运行
该系统是指自然通风系统与机械通风系统并存,由控制策略实现自然通风与机械通风之间的切换。比如:在过渡时间启用自然通风,冬夏季则启用机械通风;或者在白天开启机械通风而夜晚开启自然通风。
2)带辅助风机的自然通风
该系统是指以自然通风为主,且带有辅助送风机或排风机的系统。比如,当自然通风驱动力较小或室内负荷增加时,开启辅助送排风机。
3)热压/风压强化的机械通风
该系统是指以机械通风为主,并利用自然通风辅助机械通风系统。比如,可选择压差较小的风机,而由自然通风的热压/风压驱动来承担一部分压差。
6.4.2 复合通风中的自然通风量不宜低于联合运行风量的30%。复合通风系统设计参数及运行控制方案应经技术经济及节能综合分析后确定。
条文说明
6.4.2 复合通风的设计要求。
复合通风系统在机械通风和自然通风系统联合运行下,及在自然通风系统单独运行下的通风换气量,按常规方法难以计算,需要采用计算流体力学或多区域网络法进行数值模拟确定。自然通风和机械通风所占比重需要通过技术经济及节能综合分析确定,并由此制定对应的运行控制方案。为充分利用可再生能源,自然通风的通风量在复合通风系统中应占一定比重,自然通风量宜不低于复合通风联合运行时风量的30%,并根据所需自然通风量确定建筑物的自然通风开口面积。
6.4.3 复合通风系统应具备工况转换功能,并应符合下列规定:
1 应优先使用自然通风;
2 当控制参数不能满足要求时,启用机械通风;
3 对设置空调系统的房间,当复合通风系统不能满足要求时,关闭复合通风系统,启动空调系统。
条文说明
6.4.3 复合通风的运行控制设计。
复合通风系统应根据控制目标设置控制必要的监测传感器和相应的系统切换启闭执行机构。复合通风系统通常的控制目标包括消除室内余热余湿和满足卫生要求,所对应的监测传感器包括温湿度传感器及CO2、CO等。自然通风、机械通风系统应设置切换启闭的执行机构,依据传感器监测值进行控制,可以作为楼宇自控系统(BAS)的一部分。复合通风应首先利用自然通风,根据传感器的监测结果判断是否开启机械通风系统。控制参数不能满足要求即室内污染物浓度超过卫生标准限值,或室内温湿度高于设定值。例如当室外温湿度适宜时,通过执行机构开启建筑外围护结构的通风开口,引入室外新风带走室内的余热余湿及有害污染物,当传感器监测到室内CO2浓度超过1000μg/g,或室内温湿度超过舒适范围时,开启机械通风系统,此时系统处于自然通风和机械通风联合运行状态。当室外参数进一步恶化,如温湿度升高导致通过复合通风系统也不能满足消除室内余热余湿要求时,应关闭复合通风系统,开启空调系统。
6.4.4 高度大于15m的大空间采用复合通风系统时,宜考虑温度分层等问题。
条文说明
6.4.4 复合通风考虑温度分层的条件。
按照国内外已有研究结果,除薄膜构造外,通常对于屋顶保温良好、高度在15m以内的大空间可以不考虑上下温度分布不均匀的问题。而对于高度大于15m的大空间,在设计建筑复合通风系统时,需要考虑不同运行工况的气流组织,避免建筑内不同区域之间的通风效果有较大差别,在分析气流组织的时候可以采用CFD技术。人员过渡区域及有固定座位的区域要重点核算。
6.5 设备选择与布置
6.5.1 通风机应根据管路特性曲线和风机性能曲线进行选择,并应符合下列规定:
1 通风机风量应附加风管和设备的漏风量。送、排风系统可附加5%~10%,排烟兼排风系统宜附加10%一20%;
2 通风机采用定速时,通风机的压力在计算系统压力损失上宜附加10%~15%;
3 通风机采用变速时,通风机的压力应以计算系统总压力损失作为额定压力;
4 设计工况下,通风机效率不应低于其最高效率的90%;
5 兼用排烟的风机应符合国家现行建筑设计防火规范的规定。
条文说明
6.5.1、6. 5.2 选择通风设备时附加的规定。
在通风和空调系统运行过程中,由于风管和设备的漏风会导致送风口和排风口处的风量达不到设计值,甚至会导致室内参数(其中包括温度、相对湿度、风速和有害物浓度等)达不到设计和卫生标准的要求。为了弥补系统漏风可能产生的不利影响,选择通风机时,应根据系统的类别(低压、中压或高压系统)、风管内的工作压力、设备布置情况以及系统特点等因素,附加系统的漏风量。如:能量回收器(转轮式、板翅式、板式等)往往布置在系统的负压段,其本身存在漏风量。由于系统的漏风量有时需要通过加热器、冷却器或能量回收器等进行处理,因此,在选择此类设备时应附加风管的漏风量。
风管漏风量的大小取决于很多因素,如风管材料、加工及安装质量、阀门的设置情况和管内的正负压大小等。风管的漏风量(包括负压段渗入的风量和正压段泄漏的风量),是上述诸因素综合作用的结果。由于具体条件不同,很难把漏风量标准制定得十分细致、确切。为了便于计算,条文中根据我国常用的金属和非金属材料风管的实际加工水平及运行条件,规定一般送排风系统附加5%~10%,排烟系统附加10%~20%。需要指出,这样的附加百分率适用于最长正压管段总长度不大于50m的送风系统和最长负压管段总长度不大于50m的排风系统。对于比这更大的系统,其漏风百分率可适当增加。有的全面排风系统直接布置在使用房间内,则不必考虑漏风的影响。
当系统的设计风量和计算阻力确定以后,选择通风机时,应考虑的主要问题之一是通风机的效率。在满足给定的风量和风压要求的条件下,通风机在最高效率点工作时,其轴功率最小。在具体选用中由于通风机的规格所限,不可能在任何情况下都能保证通风机在最高效率点工作,因此条文中规定通风机的设计工况效率不应低于最高效率的90%。一般认为在最高效率的90%以上范围内均属于通风机的高效率区。根据我国目前通风机的生产及供应情况来看,做到这一点是不难的。
常用的通风机,按其工作原理可分为离心式、轴流式和贯流式三种。近年来在工程中广泛使用的混流式风机以及斜流式风机等均可看成是上述风机派生而来的。从性能曲线看,离心式通风机可以在很宽的压力范围内有效地输送大风量或小风量,性能较为平缓、稳定,适应性较广。轴流式通风机不如离心式通风机那样的风压,但可以在低压下输送大风量,其流量较高,压力较低,在性能曲线最高压力点的左边有个低谷,这是由风机的喘振引起的,使用时应避免在此段曲线间运行。通常情况下轴流式通风机的噪声比离心式通风机高。混流式和斜流式通风机的风压高于同机号的轴流式风机,风量大于同机号的离心式风机,效率较高、高效区较宽、噪声较低、结构紧凑且安置方便,应用较为广泛。通常风机在最高效率点附近运行时的噪声最小,越远离最高效率点,噪声越大。
另外,需要提醒的是,通风机选择中的各种附加应明确特定设计条件合理确定,更要避免重复多次附加造成选型偏差。
6.5.2 选择空气加热器、空气冷却器和空气热回收装置等设备时,应附加风管和设备等的漏风量。系统允许漏风量不应超过第6.5. 1条的附加风量。
6.5.3 通风机输送非标准状态空气时,应对其电动机的轴功率进行验算。
条文说明
6.5.3 输送非标准状态空气时选择通风机及电动机的有关规定。
当所输送的空气密度改变时,通风系统的通风机特性和风管特性曲线也将随之改变。非标准状态时通风机产生的实际风压也不是标准状态时通风机性能图表上所标定的风压。在通风空调系统中的通风机的风压等于系统的压力损失。在非标准状态下系统压力损失或大或小的变化,同通风机风压或大或小的变化不但趋势一致,而且大小相等。也就是说,在实际的容积风量一定的情况下,按标准状态下的风管计算表算得的压力损失以及据此选择的通风机,也能够适应空气状态变化了的条件。由此,选择通风机时不必再对风管的计算压力损失和通风机的风压进行修正。但是,对电动机的轴功率应进行验算,核对所配用的电动机能否满足非标准状态下的功率要求,其式如下:
风机样本所提供的性能曲线和性能数据,通常是按标准状态下(大气压力101.3kPa、温度20℃、相对湿度50%、密度1.2kg/m3)编制的。当输送的介质密度、转数等条件改变时,其性能应按风机相似工况参数各换算公式(省略)进行换算。当大气压力和空气温度为非标准状态时,可按下列公式计算,得出转数不变时,该风机在非标准状态下所产生的风压(全压)(Pa)。
鉴于多年来有的设计人员在选择通风机时存在着随意附加的现象,为此,条文中特加以规定。
6.5.4 多台风机并联或串联运行时,宜选择相同特性曲线的通风机。
条文说明
6.5.4 通风机的并联与串联。
通风机的并联与串联安装,均属于通风机联合工作。采用通风机联合工作的场合主要有两种:一是系统的风量或阻力过大,无法选到合适的单台通风机;二是系统的风量或阻力变化较大,选用单台通风机无法适应系统工况的变化或运行不经济。并联工作的目的,是在同一风压下获得较大的风量;串联工作的目的,是在同一风量下获得较大的风压。在系统阻力即通风机风压一定的情况下,并联后的风量等于各台并联通风机的风量之和。当并联的通风机不同时运行时,系统阻力变小,每台运行的通风机之风量,比同时工作时的相应风量大;每台运行的通风机之风压,则比同时运行的相应风压小。通风机并联或串联工作时,布置是否得当是至关重要的。有时由于布置和使用不当,并联工作不但不能增加风量,而且适得其反,会比一台通风机的风量还小;串联工作也会出现类似的情况,不但不能增加风压,而且会比单台通风机的风压小,这是必须避免的。
由于通风机并联或串联工作比较复杂,尤其是对具有峰值特性的不稳定区,在多台通风机并联工作时易受到扰动而恶化其工作性能;因此设计时必须慎重对待,否则不但达不到预期目的,还会无谓地增加能量消耗。为简化设计和便于运行管理,条文中规定,多台风机并联运行时,应选择相同特性曲线的通风机。多台风机串联运行时,应选择相同流量的通风机。并应根据风机性能曲线与所在管网阻力特性曲线的串/并联条件下的综合特性曲线判断其实际运行状态、使用效果及合理性。多台风机并联时,风压宜相同;多台风机串联时,流量宜相同。
6.5.5 当通风系统使用时间较长且运行工况(风量、风压)有较大变化时,通风机宜采用双速或变速风机。
条文说明
6.5.5 双速或变速风机的采用。
随着工艺需求和气候等因素的变化,建筑对通风量的要求也随之改变。系统风量的变化会引起系统阻力更大的变化。对于运行时间较长且运行工况(风量、风压)有较大变化的系统,为节省系统运行费用,宜考虑采用双速或变速风机。通常对于要求不高的系统,为节省投资,可采用双速风机,但要对双速风机的工况与系统的工况变化进行校核。对于要求较高的系统,宜采用变速风机。采用变速风机的系统节能性更加显著。采用变速风机的通风系统应配备合理的控制。
6.5.6 排风系统的风机应尽可能靠近室外布置。
条文说明
6.5.6 排风风机的布置。
风管漏风是难以避免的,在6.5.1条和6.5. 2条对此有说明。对于排风系统中处于风机正压段的排风管,其漏风将对建筑的室内环境造成一定的污染,此类情况时有发生。如厨房排油烟系统、厕所排风系统及洗衣机房排风系统等,由于排风正压段风管的漏风可能对建筑室内环境造成的再次污染。因此,尽可能减少排风正压段风管的长度可有效降低对室内环境的影响。
6.5.7 符合下列条件之一时,通风设备和风管应采取保温或防冻等措施:
1 所输送空气的温度相对环境温度较高或较低,且不允许所输送空气的温度有较显著升高或降低时;
2 需防止空气热回收装置结露(冻结)和热量损失时;
3 排出的气体在进入大气前,可能被冷却而形成凝结物堵塞或腐蚀风管时。
条文说明
6.5.7 通风设备和风管的保温、防冻。
通风设备和风管的保温、防冻具有一定的技术经济意义,有时还是系统安全运行的必要条件。例如,某些降温用的局部送风系统和兼作热风供暖的送风系统,如果通风机和风管不保温,不仅冷热耗量大不经济,而且会因冷热损失使系统内所输送的空气温度显著升高或降低,从而达不到既定的室内参数要求。又如,锅炉烟气等可能被冷却而形成凝结物堵塞或腐蚀风管。位于严寒地区和寒冷地区的空气热回收装置,如果不采取保温、防冻措施,冬季就可能冻结而不能发挥应有的作用。此外,某些高温风管如不采取保温的办法加以防护,也有烫伤人体的危险。
6.5. 8 通风机房不宜与要求安静的房间贴邻布置。如必须贴邻布置时,应采取可靠的消声隔振措施。
条文说明
6.5.8 通风机房的布置。
为了降低通风机对要求安静房间的噪声干扰,除了控制通风机沿通风管道传播的空气噪声和沿结构传播的固体振动外,还必须减低通风机透过机房围护结构传播的噪声。要求安静的房间如卧室、教室、录音室、阅览室、报告厅、观众厅、手术室、病房等。
6.5.9 排除、输送有燃烧或爆炸危险混合物的通风设备和风管,均应采取防静电接地措施(包括法兰跨接),不应采用容易积聚静电的绝缘材料制作。
条文说明
6.5.9 通风设备及管道的防静电接地等要求。
当静电积聚到一定程度时,就会产生静电放电,即产生静电火花,使可燃或爆炸危险物质有引起燃烧或爆炸的可能;管内沉积不易导电的物质和会妨碍静电导出接地,有在管内产生火花的可能。防止静电引起灾害的最有效办法是防止其积聚,采用导电性能良好(电阻率小于106Ω·cm)的材料接地。因此做了如条文中的有关规定。
法兰跨接系指风管法兰连接时,两法兰之间须用金属线搭接。
6.5.10 空气中含有易燃易爆危险物质的房间中的送风、排风系统应采用防爆型通风设备;送风机如设置在单独的通风机房内且送风干管上设置止回阀时,可采用非防爆型通风设备。
条文说明
6.5.10 本条文是从保证安全的角度制定的。
空气中含有易燃易爆危险物质的房间中的送风、排风设备,当其布置在单独隔开的送风机室内时,由于所输送的空气比较清洁,如果在送风干管上设有止回阀门时,可避免有燃烧或爆炸危险性物质窜入送风机室,这种情况下,通风机可采用普通型。
6.6 风管设计
6.6.1 通风、空调系统的风管,宜采用圆形、扁圆形或长、短边之比不宜大于4的矩形截面。风管的截面尺寸宜按现行国家标准《通风与空调工程施工质量验收规范》GB 50243的有关规定执行。
条文说明
6.6.1 通风、空调系统选用风管截面及规格的要求。
规定本条的目的,是为了使设计中选用的风管截面尺寸标准化,为施工、安装和维护管理提供方便,为风管及零部件加工工厂化创造条件。据了解,在《全国通用通风道计算表》中,圆形风管的统一规格,是根据R20系列的优先数制定的,相邻管径之间具有固定的公比(20√10≈1.12),在直径100mm~1000mm范围内只推荐20种可供选择的规格,各种直径间隔的疏密程度均匀合理,比以前国内常采用的圆形风管规格减少了许多;矩形风管的统一规格,是根据标准长度20系列的数值确定的,把以前常用的300多种规格缩减到50种左右。经有关单位试算对比,按上述圆形和矩形风管系列进行设计,基本上能满足系统压力平衡计算的要求。金属风管的尺寸应按外径或外边长计;非金属风管应按内径或内边长计。
6.6.2 通风与空调系统的风管材料、配件及柔性接头等应符合现行国家标准《建筑设计防火规范》GB 50016的有关规定。当输送腐蚀性或潮湿气体时,应采用防腐材料或采取相应的防腐措施。
条文说明
6.6.2 风管材料。
规定本条的目的,是为了防止火灾蔓延。根据《建筑设计防火规范》GB 50016的规定,体育馆、展览馆、候机(车、船)楼(厅)等大空间建筑、办公楼和丙、丁、戊类厂房内的通风、空调系统,当风管按防火分区设置且设置了防烟防火阀时,可采用燃烧产物毒性较小且烟密度等级小于等于25的难燃材料。
一些化学实验室、通风柜等排风系统所排出的气体具有一定的腐蚀性,需要用玻璃钢、聚乙烯、聚丙烯等材料制作风管、配件以及柔性接头等;当系统中有易腐蚀设备及配件时,应对设备和系统进行防腐处理。
6.6.3 通风与空调系统风管内的空气流速宜按表6.6.3采用。

条文说明
6.6.3 通风、空调风管管内风速的采用。
本表给出的通风、空调系统风管风速的推荐风速和最大风速。其推荐风速是基于经济流速和防止气流在风管中产生再噪声等因素,考虑到建筑通风、空调所服务房间的允许噪声级,参照国内外有关资料制定的。最大风速是基于气流噪声和风道强度等因素,参照国内外有关资料制定的。对于如地下车库这种对噪声要求低、层高有限的场所,干管风速可提高至10m/s。另外,对于厨房排油烟系统的风管,则宜控制在8m/s~10m/s。
6.6.4 自然通风的进排风口风速宜按表6.6.4-1采用。自然通风的风道内风速宜按表6.6.4-2采用。

6.6.5 机械通风的进排风口风速宜按表6.6.5采用。

6.6.6 通风与空调系统各环路的压力损失应进行水力平衡计算。各并联环路压力损失的相对差额,不宜超过15%。当通过调整管径仍无法达到上述要求时,应设置调节装置。
条文说明
6.6.6 系统中并联管路的阻力平衡。
把通风和空调系统各并联管段间的压力损失差额控制在一定范围内,是保障系统运行效果的重要条件之一。在设计计算时,应用调整管径的办法使系统各并联管段间的压力损失达到所要求的平衡状态,不仅能保证各并联支管的风量要求,而且可不装设调节阀门,对减少漏风量和降低系统造价也较为有利。根据国内的习惯做法,本条规定一般送排风系统各并联管段的压力损失相对差额不大于15%,相当于风量相差不大于5%。这样做既能保证通风效果,设计上也是能办到的,如在设计时难以利用调整管径达到平衡要求时,则以装设调节阀门为宜。
6.6.7 风管与通风机及空气处理机组等振动设备的连接处,应装设柔性接头,其长度宜为150mm~300mm。
条文说明
6.6.7 对通风设备接管的要求。
与通风机、空调器及其他振动设备连接的风管,其荷载应由风管的支吊架承担。一般情况下风管和振动设备间应装设柔性接头,目的是保证其荷载不传到通风机等设备上,使其呈非刚性连接。这样既便于通风机等振动设备安装隔振器,有利于风管伸缩,又可防止因振动产生固体噪声,对通风机等的维护检修也有好处。防排烟专用风机不必设置柔性接头。
6.6.8 通风、空调系统通风机及空气处理机组等设备的进风或出风口处宜设调节阀,调节阀宜选用多叶式或花瓣式。
条文说明
6.6.8 通风、空调设备调节阀的设置。
本条文是考虑实际运行中通风、空调系统在非设计工况下为调节通风机风量、风压所采取的措施。采用多叶式或花瓣式调节阀有利于风机稳定运行及降低能耗。对于需要防冻和非使用时不必要的空气侵入,调节阀应设置在设备进风端。如空调新风系统的调节阀应设置在新风入口端。
6.6.9 多台通风机并联运行的系统应在各自的管路上设置止回或自动关断装置。
条文说明
6.6.9 多台通风机并联止回装置的设置。
规定本条是为了防止多台通风机并联设置的系统,当部分通风机运行时输送气体的短路回流。
6.6.10 通风与空调系统的风管布置,防火阀、排烟阀、排烟口等的设置,均应符合国家现行有关建筑设计防火规范的规定。
条文说明
6.6.10 风管布置、防火阀、排烟阀等的设置要求。
在国家现行标准《建筑设计防火规范》GB 50016及《高层民用建筑设计防火规范》GB 50045中,对风管的布置、防火阀、排烟阀的设置要求均有详细的规定,本规范不再另行规定。
6.6.11 矩形风管采取内外同心弧形弯管时,曲率半径宜大于1.5倍的平面边长;当平面边长大于500mm,且曲率半径小于1.5倍的平面边长时,应设置弯管导流叶片。
条文说明
6.6.11 风管形状设计要求。
为降低风管系统的局部阻力,对于内外同心弧形弯管,应采取可能的最大曲率半径(R),当矩形风管的平面边长为(a)时,R/a值不宜小于1.5,当R/a<1.5时,弯管中宜设导流叶片;当平面边长大于500mm时,应加设弯管导流叶片。
- 6.12 风管系统的主干支管应设置风管测定孔、风管检查孔和清洗孔。
条文说明
- 6.12 风管的测定孔、检查孔和清洗孔。
通风与空调系统安装完毕,必须进行系统的调试,这是施工验收的前提条件。风管测定孔主要用于系统的调试,测定孔应设置在气流较均匀和稳定的管段上,与前、后局部配件间距离宜分别保持等于或大于4D和1.5D(D为圆风管的直径或矩形风管的当量直径)的距离;与通风机进口和出口间距离宜分别保持1.5倍通风机进口和2倍通风机出口当量直径的距离。
风管检查孔用于通风与空调系统中需要经常检修的地方,如风管内的电加热器、过滤器、加湿器等。
随着人们对通风与空调系统传播细菌的不断认识,特别是2003年“非典型肺炎”后,我国颁布了《空调通风系统清洗规范》GB 19210。对于较复杂的系统,考虑到一些区域直接清洗有困难,应开设清洗孔。开设的清洗孔应满足清洗和修复的需要。
检查孔和清洗孔的设置在保证满足检查和清洗的前提下数量尽量要少,在需要同处设置检查孔和清洗孔
6.6.13 高温烟气管道应采取热补偿措施。
条文说明
6.6.13 高温烟气管道的热补偿。强制性条文。
输送高温气体的排烟管道,如燃烧器、锅炉、直燃机等的烟气管道,由于气体温度的变化会引起风管的膨胀或收缩,导致管路损坏,造成严重后果,必须重视。一般金属风管设置软连接,风管与土建连接处设置伸缩缝。需要说明此处提到的高温烟气管道并非消防排烟及厨房排油烟风管。
6.6.14 输送空气温度超过80℃的通风管道,应采取一定的保温隔热措施,其厚度按隔热层外表面温度不超过80℃确定。
条文说明
6.6.14 风管敷设安全事宜。
本条规定是为防止高温风管长期烘烤建筑物的可燃或难燃结构发生火灾事故。当输送温度高于80℃的空气或气体混合物时,风管穿过建筑物的可燃或难燃烧体结构处,应设置不燃材料隔热层,保持隔热层外表面温度不高于80℃;非保温的高温金属风管或烟道沿可燃或难燃烧体结构敷设时,应设遮热防护措施或保持必要的安全距离。
6.6.15 当风管内设有电加热器时,电加热器前后各800mm范围内的风管和穿过设有火源等容易起火房间的风管及其保温材料均应采用不燃材料。
条文说明
6.6.15 电加热器的安全要求。
规定本条是为了减少发生火灾的因素,防止或减缓火灾通过风管蔓延。
6.6.16 可燃气体管道、可燃液体管道和电线等,不得穿过风管的内腔,也不得沿风管的外壁敷设。可燃气体管道和可燃液体管道,不应穿过通风、空调机房。
条文说明
6.6.16 风管敷设安全事宜。强制性条文。
可燃气体(煤气等)、可燃液体(甲、乙、丙类液体)和电线等,易引起火灾事故。为防止火势通过风管蔓延,作此规定。
穿过风管(通风、空调机房)内可燃气体、可燃液体管道一旦泄漏会很容易发生和传播火灾,火势也容易通过风管蔓延。电线由于使用时间长、绝缘老化,会产生短路起火,并通过风管蔓延,因此,不得在风管内腔敷设或穿过。配电线路与风管的间距不应小于0. 1m,若采用金属套管保护的配电线路,可贴风管外壁敷设。
6.6.17 当风管内可能产生沉积物、凝结水或其他液体时,风管应设置不小于0.005的坡度,并在风管的最低点和通风机的底部设排液装置;当排除有氢气或其他比空气密度小的可燃气体混合物时,排风系统的风管应沿气体流动方向具有上倾的坡度,其值不小于0.005。
条文说明
6.6.17 通风系统排除凝结水的措施。
排除潮湿气体或含水蒸气的通风系统,风管内表面有时会因其温度低于露点温度而产生凝结水。为了防止在系统内积水腐蚀设备及风管、影响通风机的正常运行,因此条文中规定水平敷设的风管应有—定的坡度并在风管的最低点和通风机的底部排除凝结水。
当排除比空气密度小的可燃气体混合物时,局部排风系统的风管沿气体流动方向具有上倾的坡度,有利于排气。
6.6.18 对于排除有害气体的通风系统,其风管的排风口宜设置在建筑物顶端,且宜采用防雨风帽。屋面送、排(烟)风机的吸、排风(烟)口应考虑冬季不被积雪掩埋的措施。
条文说明
6.6.18 对排除有害气体排风口及屋面吸、排风(烟)口的要求。
对于排除有害气体的通风系统的排风口,宜设置在建筑物顶端并采用防雨风帽(一般是锥形风帽),目的是把这些有害物排入高空,以利于稀释。
严寒地区,冬季经常下雪,屋顶积雪很深,如风机安装基础过低或屋面吸、排风(烟)口位置过低,会很容易被积雪掩埋,影响正常使用。
空气调节
7.1 一般规定
7.1.1 符合下列条件之一时,应设置空气调节:
1 采用供暖通风达不到人体舒适、设备等对室内环境的要求,或条件不允许、不经济时;
2 采用供暖通风达不到工艺对室内温度、湿度、洁净度等要求时;
3 对提高工作效率和经济效益有显著作用时;
4 对身体健康有利,或对促进康复有效果时。
条文说明
7.1.1 设置空气调节(以下简称“空调”)的原则。
本条为设置空调的应用条件。对于民用建筑,设置空调设施的目的主要是达到舒适性和卫生要求,对于民用建筑的工艺性房间或区域还要满足工艺的环境要求。
1 本款中“采用供暖通风达不到人体舒适、设备等对室内环境的要求”,一般指夏季室外空气温度高于室内空气温度,无法通过通风降温的情况。
对于室内发热量较大的区域,例如机电设备用房等,理论上讲,只要室外温度低于室内设计允许最高温度,均可采用通风降温。但在夏季室外温度较高的地区,采用通风降温所需的设计通风量很大,进排风口和风管占据的空间也很大,当土建条件不能满足设计要求,也不可能为此增加层高时,采用空调可节省投资,更经济。因此采用供暖通风 “条件不允许、不经济”的情况,必要时也应设置空调。
2 本款的工艺要求指民用建筑中计算机房、博物馆文物、医院手术室、特殊实验室、计量室等对室内的特殊温度、湿度、洁净度等要求。
3 随着社会经济的不断发展,空调的应用也日益广泛。例如办公建筑设置空调后,有益于提高人员工作效率和社会经济效益,当医院建筑设置空调后,有益于病人的康复,都应设置空调。
7.1.2 空调区宜集中布置。功能、温湿度基数、使用要求等相近的空调区宜相邻布置。
条文说明
7.1.2 空调区的布置原则。
空调区集中布置是为了减少空调区的外墙、与非空调区相邻的内墙和楼板的保温隔热处理,以达到减少空调冷热负荷、降低系统造价、便于维护管理等目的。
对于一般民用建筑,集中布置空调区域仅仅是建筑布局设计应考虑的因素之一,尤其是一般民用建筑,还有使用功能等其他重要因素。因此本条仅作为推荐的原则提出,在以工艺性空调为主的建筑或区域尤其应提请建筑设计注意。
7.1.3 工艺性空调在满足空调区环境要求的条件下,宜减少空调区的面积和散热、散湿设备。
条文说明
7.1.3 工艺性空调区的要求。
此条仅限于民用建筑中的工艺性空调,如计算机中心、藏品库房、特殊实验室、计量室、手术室等空调。工艺性空调一般对温湿度波动范围、空气洁净度标准要求较高,其相应的投资及运行费用也较高。因此,在满足空调区环境要求的条件下,应合理地规划和布局,尽可能地减少空调区的面积和散热、散湿设备,以达到节约投资及运行费用的目的。同时,减少散热、散湿设备也有利于空调区的温湿度控制达到要求。
7.1.4 采用局部性空调能满足空调区环境要求时,不应采用全室性空调。高大空间仅要求下部区域保持一定的温湿度时,宜采用分层空调。
条文说明
7.1.4 设置局部性空调和分层空调的要求。
对工艺性空调或舒适性空调而言,局部性空调较全室性空调有较明显的节能效果,如舒适性空调的岗位送风等。因此,在局部性空调能满足空调区的热湿环境或净化要求时,应采用局部性空调,以达到节能和节约投资的目的。
对于高大空间,当使用要求允许仅在下部区域进行空调时,可采用分层式送风或下部送风气流组织方式,以达到节能的目的,其空调负荷计算与气流组织设计需考虑空间的宽高比和具体送风形式,并参考本规范其他相关条文。
7.1.5 空调区内的空气压力,应满足下列要求:
1 舒适性空调,空调区与室外或空调区之间有压差要求时,其压差值宜取5Pa~1OPa,最大不应超过30Pa;
2 工艺性空调,应按空调区环境要求确定。
条文说明
7.1.5 空调区的空气压力。
保持空调区(或空调房间)对室外的相对正压,是为了防止室外空气的侵入,有利于保证空调区的洁净度和室内热湿参数等少受外界的干扰。因此,有正压要求的空调区应根据空调区的围护结构严密程度来校核其新风量,如公共建筑的门厅等开敞式高大空间,当其新风量仅为满足人员所需最小新风量时,一般可不设机械排风系统,以免大量室外空气的侵入,影响室内热湿环境的控制。
建筑物内的房间功能不同时,其要求的空气压力也可不同。如空调建筑中,电梯厅和走道相对于办公房间和卫生间,餐厅相对于其他房间和厨房,应是空气压力为正压和负压房间的中间区。另外,医院传染病房和一些设置空调设备的附属房间等,根据需要还应保持负压。因此,条文仅对空调区的压差值提出5Pa~10Pa的推荐值,但不能超30Pa的最大限值,且该数值为房间门窗关闭时的数值。
工艺性空调由于其压差值有特殊要求,设计时应按工艺要求确定。如医院手术室及其附属用房,其压差值要求应符合《医院洁净手术部建筑技术规范》GB 50333的有关规定。
7.1.6 舒适性空调区建筑热工,应根据建筑物性质和所处的建筑气候分区设计,并符合国家现行节能设计标准的有关规定。
条文说明
7.1.6 舒适性空调的建筑热工设计。
国家现行节能设计标准对舒适性空调的建筑热工设计提出了要求,同时,建筑热工设计包括以下各项:
1 建筑围护结构的各项热工指标(围护结构传热系数、透明屋顶和外窗(包括透明幕墙)的遮阳系数、外窗和透明幕墙的气密性能等);
2 建筑窗墙面积比(包括透明幕墙)、屋顶透明部分与屋顶总面积之比;
3 外门的设置要求;
4 外部遮阳设施的设置要求;
5 围护结构热工性能的权衡判断等。
严寒和寒冷地区、夏热冬冷地区、夏热冬暖地区的居住建筑应分别符合《严寒和寒冷地区居住建筑节能设计标准》JGJ 26、《夏热冬冷地区居住建筑节能设计标准》JGJ 134、《夏热冬暖地区居住建筑节能设计标准》JGJ 75的有关规定。
公共建筑应符合《公共建筑节能设计标准》GB 50189的有关规定。
7.1.7 工艺性空调区围护结构传热系数,应符合国家现行节能设计标准的有关规定,并不应大于表7.1.7中的规定值。

条文说明
7.1.7 工艺性空调围护结构传热系数要求。
建筑物围护结构的传热系数K值的大小,是能否保证空调区正常使用、影响空调工程综合造价和维护费用的主要因素之一。K值越小,则耗冷量越小,空调系统越经济。但K值又受建筑结构与材料等投资影响,不能过度减小。传热系数K值的选择与保温材料价格及导热系数、室内外计算温差、初投资费用系数、年维护费用系数以及保温材料的投资回收年限等各项因素有关;而不同地区的热价、电价、水价、保温材料价格及系统工作时间等也不是不变的,很难给出一个固定不变的经济K值;因此,对工艺性空调而言,围护结构的传热系数应通过技术经济比较确定合理的K值。表7.1.7中围护结构最大传热系数K值,是仅考虑围护结构传热对空调精度的影响确定的。目前国家现行节能设计标准,对不同的建筑、气候分区,都有不同的最大K值规定。因此,当表中数值与国家现行节能设计标准规定不同时,应取二者中较小的数值。
7.1.8 工艺性空调区,当室温波动范围小于或等于±0.5℃时,其围护结构的热惰性指标,不应小于表7.1.8的规定。

条文说明
7.1. 8 工艺性空调热惰性指标要求。
热惰性指标D值直接影响室内温度波动范围,其值大则室温波动范围就小,其值小则相反。
7.1.9 工艺性空调区的外墙、外墙朝向及其所在层次,应符合表7.1.9的要求。

注:1 室温允许波动范围小于或等于±0.5℃的空调区,宜布置在室温允许波动范围较大的空调区之中,当布置在单层建筑物内时,宜设通风屋顶;
2 本条与本规范第7.1.10条规定的“北向”,适用于北纬23.5°以北的地区;北纬23.5°及其以南的地区,可相应地采用南向。
条文说明
7.1.9 工艺性空调区的外墙、外墙朝向及其所在层次。
根据实测表明,对于空调区西向外墙,当其传热系数为0.34W/(㎡·℃)~0.40W/(㎡·℃),室内外温差为10.5℃~24. 5℃时,距墙面1OOmm以内的空气温度不稳定,变化在±0.3℃以内;距墙面1OOmm以外时,温度就比较稳定了。因此,对于室温允许波动范围大于或等于±1.O℃的空调区来说,有西向外墙,也是可以的,对人员活动区的温度波动不会有什么影响。但从减少室内冷负荷出发,则宜减少西向外墙以及其他朝向的外墙;如有外墙时,最好为北向,且应避免将空调区设置在顶层。
为了保持室温的稳定性和不减少人员活动区的范围,对于室温允许波动范围为土0.5℃的空调区,不宜有外墙,如有外墙,应北向;对于室温允许波动范围为±0.1~0.2℃的空调区,不应有外墙。
屋顶受太阳辐射热的作用后,能使屋顶表面温度升高35℃~40℃,屋顶温度的波幅可达±28℃。为了减少太阳辐射热对室温波动要求小于或等于±0. 5℃的空调区的影响,所以规定当其在单层建筑物内时,宜设通风屋顶。
在北纬23.5°及其以南的地区,北向与南向的太阳辐射照度相差不大,且均较其他朝向小,故可采用南向或北向外墙。
7.1.10 工艺性空调区的外窗,应符合下列规定:
1 室温波动范围大于等于±1.O℃时,外窗宜设置在北向;
2 室温波动范围小于±1.O℃时,不应有东西向外窗;
3 室温波动范围小于±0.5℃时,不宜有外窗,如有外窗应设置在北向。
条文说明
7.1.10 工艺性空调区的外窗朝向。
根据调查、实测和分析:当室温允许波动范围大于等于±1.0℃时,从技术上来看,可以不限制外窗朝向,但从降低空调系统造价考虑,应尽量采用北向外窗;室温允许波动范围小于±1.O℃的空调区,由于东、西向外窗的太阳辐射热可以直接进入人员活动区,故不应有东、西向外窗;据实测,室温允许波动范围小于±0. 5℃的空调区,对于双层普通玻璃的北向外窗,室内外温差为9.4℃时,窗对室温波动的影响范围在200mm以内,故如有外窗,应北向。
7.1.11 工艺性空调区的门和门斗,应符合表7.1.11的要求。舒适性空调区开启频繁的外门,宜设门斗、旋转门或弹簧门等,必要时宜设置空气幕。

条文说明
7.1.11 工艺性空调区的门和门斗。
从调查来看,一般空调区的外门均设有门斗,内门(指空调区与非空调区或走廊相通的门)一般也设有门斗(走廊两边都是空调区的除外,在这种情况下,门斗设在走廊的两端)。与邻室温差较大的空调区,设计中也有未设门斗的,但在使用过程中,由于门的开启对室温波动影响较大,因此在后来也采取了一定的措施。按北京、上海、南京、广州等地空调区的实际使用情况,规定门两侧温差大于7℃时,应采用保温门;同时对工艺性(即对室内温度波动范围要求较严格的)空调区的内门和门斗,作了如条文中表7.1.11的有关规定。
对舒适性空调区开启频繁的外门,也提出了宜设门斗,必要时设置空气幕的要求。旋转门或弹簧门在建筑物中被广泛应用,它能有效地阻挡通过外门的冷、热空气侵入,因此也推荐使用。
7.1.12 下列情况,宜对空调系统进行全年能耗模拟计算:
1 对空调系统设计方案进行对比分析和优化时;
2 对空调系统节能措施进行评估时。
条文说明
7.1.12 空调系统全年能耗模拟计算。
空调系统全年能耗模拟计算是进行空调方案对比和经济分析的基础。随着计算机软件的发展,空调系统全年能耗模拟计算也逐渐普及,为空调系统的设计与分析创造了必要条件。目前常用的建筑物空调系统能耗模拟软件有:TRNSYS、DOE2、DeST、PKPM、EnergyPlus等。
对空调系统采用热回收装置回收冷热量、利用室外新风作冷源调节室内热环境、冬季利用冷却塔提供空调冷水等节能措施时,或采用新的冷热源、末端设备形式以及考虑部分负荷运行下的季节性能系数时,一般需要空调系统的全年能耗模拟计算结果为依据,以判定节能措施的合理性及季节性能系数的计算等。
7.2 空调负荷计算
7.2.1除在方案设计或初步设计阶段可使用热、冷负荷指标进行必要的估算外,施工图设计阶段应对空调区的冬季热负荷和夏季逐时冷负荷进行计算。
条文说明
7.2.1 空调热、冷负荷的要求。强制性条文。
工程设计过程中,为防止滥用热、冷负荷指标进行设计的现象发生,规定此条为强制要求。用热、冷负荷指标进行空调设计时,估算的结果总是偏大,由此造成主机、输配系统及末端设备容量等偏大,这不仅给国家和投资者带来巨大损失,而且给系统控制、节能和环保带来潜在问题。
当建筑物空调设计仅为预留空调设备的电气容量时,空调热、冷负荷的计算可采用热、冷负荷指标进行估算。
7.2.2 空调区的夏季计算得热量,应根据下列各项确定:
1 通过围护结构传入的热量;
2 通过透明围护结构进入的太阳辐射热量;
3 人体散热量;
4 照明散热量;
5 设备、器具、管道及其他内部热源的散热量;
6 食品或物料的散热量;
7 渗透空气带入的热量;
8 伴随各种散湿过程产生的潜热量。
条文说明
7.2.2 空调区的夏季得热量。
在计算得热量时,只计算空调区的自身产热量和由空调区外部传入的热量,如分层空调中的对流热转移和辐射热转移等,对处于空调区之外的得热量不应计算。此外,明确指出食品的散热量应予以考虑,是因为该项散热量对于某些民用建筑(如饭店、宴会厅等)的空调负荷影响较大。
考虑到目前建筑材料的快速发展,根据建筑材料太阳辐射透过率的大小,可将建筑围护结构划分为不透明围护结构和透明围护结构,其中:由太阳辐射透过率等于零的建筑材料(如金属、砖石、混凝土等)所构成的围护结构,称不透明围护结构;由太阳辐射透过率介于0~1之间的建筑材料(如玻璃、透光化学材料(ETFE膜)等)所构成的围护结构,称透明围护结构。照射在透明围护结构的太阳辐射有一部分被反射掉,另一部分透过透明围护结构直接进入室内,被围护结构内表面、家具等吸收。
7.2.3 空调区的夏季冷负荷,应根据各项得热量的种类、性质以及空调区的蓄热特性,分别进行计算。
条文说明
7.2.3 空调区的夏季冷负荷。
本条从现代空调负荷计算方法的基本原理出发,规定了计算空调区夏季冷负荷所应考虑的基本因素,强调指出得热量与冷负荷是两个不同的概念。
以空调房间为例,通过围护结构传入房间的,以及房间内部散出的各种热量,称为房间得热量。为保持所要求的室内温度必须由空调系统从房间带走的热量称为房间冷负荷。两者在数值上不一定相等,这取决于得热中是否含有时变的辐射成分。当时变的得热量中含有辐射成分时或者虽然时变得热曲线相同但所含的辐射百分比不同时,由于进入房间的辐射成分不能被空调系统的送风消除,只能被房间内表面及室内各种陈设所吸收、反射、放热、再吸收,再反射、再放热……在多次换热过程中,通过房间及陈设的蓄热、放热作用,使得热中的辐射成分逐渐转化为对流成分,即转化为冷负荷。显然,此时得热曲线与负荷曲线不再一致,比起前者,后者线型将产生峰值上的衰减和时间上的延迟,这对于削减空调设计负荷有重要意义。
7.2.4 空调区的下列各项得热量,应按非稳态方法计算其形成的夏季冷负荷,不应将其逐时值直接作为各对应时刻的逐时冷负荷值:
1 通过围护结构传入的非稳态传热量;
2 通过透明围护结构进入的太阳辐射热量;
3 人体散热量;
4 非全天使用的设备、照明灯具散热量等。
条文说明
7.2.4 按非稳态方法计算的得热量项目。
根据空调冷负荷计算方法的原理,明确规定了按非稳态方法进行空调冷负荷计算的各项得热量。
7.2.5 空调区的下列各项得热量,可按稳态方法计算其形成的夏季冷负荷:
1 室温允许波动范围大于或等于±1℃的空调区,通过非轻型外墙传入的传热量;
2 空调区与邻室的夏季温差大于3℃时,通过隔墙、楼板等内围护结构传入的传热量;
3 人员密集空调区的人体散热量;
4 全天使用的设备、照明灯具散热量等。
条文说明
7.2.5 按稳态方法计算的得热量项目。
非轻型外墙是指传热衰减系数小于或等于0.2的外墙。由于非轻型外墙具有较大的惰性,对外界温度扰量反应迟钝,造成墙体的传热温差日变化减少,当室温允许波动范围较大时,其冷负荷计算可采用简化计算。
通过隔墙或楼板等传热形成的冷负荷,当相邻空调区的温差大于3℃时,由于其占空调区的总冷负荷一定比例,在某些情况下是不应忽略的;当相邻空调区的温差小于或等于3℃时,可以忽略不计。
人员密集空调区,如剧院、电影厅、会堂等,由于人体对围护结构和家具的辐射换热量减少,其冷负荷可按瞬时得热量计算。
7.2.6 空调区的夏季冷负荷计算,应符合下列规定:
1 舒适性空调可不计算地面传热形成的冷负荷;工艺性空调有外墙时,宜计算距外墙2m范围内的地面传热形成的冷负荷;
2 计算人体、照明和设备等散热形成的冷负荷时,应考虑人员群集系数、同时使用系数、设备功率系数和通风保温系数等;
3 屋顶处于空调区之外时,只计算屋顶进入空调区的辐射部分形成的冷负荷;高大空间采用分层空调时,空调区的逐时冷负荷可按全室性空调计算的逐时冷负荷乘以小于1的系数确定。
条文说明
7.2.6 空调区的夏季冷负荷计算。
地面传热形成的冷负荷:对于工艺性空调区,当有外墙时,距外墙2m范围内的地面,受室外气温和太阳辐射热的影响较大,测得地面的表面温度比室温高1.2℃~1.26℃,即地面温度比西外墙的内表面温度还高。分析其原因,可能是混凝土地面的K值比西外墙的要大一些的缘故,所以规定距外墙2m范围内的地面须计算传热形成的冷负荷。对于舒适性空调区,夏季通过地面传热形成的冷负荷所占的比例很小,可以忽略不计。
人体、照明和设备等散热形成的冷负荷:非全天工作的照明、设备、器具以及人员等室内热源散热量,因具有时变性质,且包含辐射成分,所以这些散热曲线与它们所形成的负荷曲线是不一致的。根据散热的特点和空调区的热工状况,按照空调负荷计算理论,依据给出的散热曲线可计算出相应的负荷曲线。在进行具体的工程计算时可直接查计算表或使用计算机程序求解。
人员“群集系数”,是指根据人员的年龄、性别构成以及密集程度等情况不同而考虑的折减系数。人员的年龄和性别不同时,其散热量和散湿量就不同,如成年女子的散热量、散湿量约为成年男子散热量的85%,儿童散热量、散湿量约为成年男子散热量的75%。
设备的“功率系数”,是指设备小时平均实耗功率与其安装功率之比。
设备的“通风保温系数”,是指考虑设备有无局部排风设施以及设备热表面是否保温而采取的散热量折减系数。
公共建筑的高大空间一般采用分层空调,利用合理的气流组织,仅对下部空调区进行空调,而对上部较大的空间不空调,仅通风排热。由于分层空调具有较好的节能效果,因此,采用分层空调的高大空间,其空调区的冷负荷应小于高大空间的全室性空调冷负荷,计算时应进行折减。
7.2.7 空调区的夏季冷负荷宜采用计算软件进行计算;采用简化计算方法时,按非稳态方法计算的各项逐时冷负荷,宜按下列方法计算。
1 通过围护结构传入的非稳态传热形成的逐时冷负荷,按式(7.2.7-1)~式(7.2.7-3)计算:
CLwq=KF(tw1q—tn) (7.2.7-1)
CLwm=KF(tw1m—tn) (7.2.7-2)
CLwc=KF(tw1c—tn) (7.2.7-3)
式中:CLwq——外墙传热形成的逐时冷负荷(W);
CLwm——屋面传热形成的逐时冷负荷(W);
CLwc——外窗传热形成的逐时冷负荷(W);
K——外墙、屋面或外窗传热系数[W/(㎡.K)]F——外墙的逐时冷负荷计算温度(℃),可按本规范附录H确定;
tw1q——外墙的逐时冷负荷计算温度(℃),可按本规范附录H确定。
tw1m——屋面的逐时冷负荷计算温度(℃),可按本规范附录H确定;
tn——夏季空调区设计温度(℃)。
2 透过玻璃窗进入的太阳辐射得热形成的逐时冷负荷,按式(7.2.7-4)计算:

式中:CLc——透过玻璃窗进入的太阳辐射得热形成的逐时冷负荷(w);
Ccl——透过无遮阳标准玻璃太阳辐射冷负荷系数,可按本规范附录H确定;
Cz——外窗综合遮挡系数;
Cw——外遮阳修正系数;
Cn——内遮阳修正系数;
Cs——玻璃修正系数;
Djmax——夏季日射得热因数最大值,可按本规范附录H确定;
Fc——窗玻璃净面积(㎡)
3 人体、照明和设备等散热形成的逐时冷负荷,分别按式(7.2.7-6)~式(7.2.7-8)计算:

式中:CLrt——人体散热形成的逐时冷负荷(W);
Cclrt——人体冷负荷系数,可按本规范附录H确定;
Ф——群集系数;
Qrt——人体散热量(W);
CLzm——照明修正系数;
Cclzm——照明冷负荷系数,可按本规范附录H确定;
Czm——照明修正系数;
CLsb——设备散热形成的逐时冷负荷(W);
Cclsb——设备冷负荷系数,可按本规范附录H确定;
Csb——设备修正系数;
Qsb——设备散热量(W).
条文说明
7.2.7 空调冷负荷非稳态计算方法。
目前空调冷负荷计算中,主要有谐波法和传递函数法两种方法,二者计算方法虽不同,但均能满足空调冷负荷计算要求,其共同点是:将研究的传热过程视为非稳定过程,在原理上对得热量和冷负荷进行区分;将研究的传热过程视为常系数线性热力系统,其重要特性是可以应用叠加原理,同时系统特性不随时间变化。经研究比较,二者计算结果具有较好一致性。由于空调冷负荷计算是一个复杂的动态过程,计算过程繁琐,数据处理量大,因此,国内外的暖通空调设计中普遍采用专用空调冷负荷计算软件进行计算;为了使计算更加准确合理,编制组对目前国内常用空调负荷计算软件进行了比较研究,并对其计算模型做出适当规整更新,确保现有版本的计算结果具有较好的一致性。在此基础上,利用更新后的模型及数据,计算了代表城市典型房间、典型构造的空调冷负荷计算系数,并写入本规范附录H,为简化计算时选用。考虑空调冷负荷的动态特性,空调冷负荷计算推荐采用计算软件进行计算;当条件不具备时,也可按附录H提供数据进行简化计算。
玻璃修正系数Cs为相对于3mm标准玻璃进行的修正。不同种类玻璃的光学性能不尽一致。在实际计算中,对每种玻璃都进行透过它的太阳总辐射照度的计算是不现实的。所以在实际计算中,按3mm标准玻璃进行计算夏季太阳总辐射照度,其他类型的玻璃的夏季太阳总辐射照度通过玻璃修正系数Cs进行修正计算获得见式(24)。
玻璃修正系数Cs、遮阳修正系数、人员集群系数、照明修正系数和设备修正系数,可根据实际情况查有关空调冷负荷计算资料获得。
7.2.8 按稳态方法计算的空调区夏季冷负荷,宜按下列方法计算。
1 室温允许波动范围大于或等于±1. 0℃的空调区,其非轻型外墙传热形成的冷负荷,可近似按式(7.2.8-1)计算:

式中:tzp——夏季空调室外计算日平均综合温度(℃);
twp——夏季空调室外计算日平均温度(℃),按本规范第4.1.10条的规定确定;
Jp——围护结构所在朝向太阳总辐射照度的日平均值(W/㎡);
αw——围护结构外表面换热系数[W/(㎡.K)]
2 空调区与邻室的夏季温差大于3℃时,其通过隔墙、楼板等内围护结构传热形成的冷负荷可按式(7.2.8-3)计算:

式中:CLwn——内围护结构传热形成的冷负荷(W);
△tls——邻室计算平均温度与夏季空调室外计算日平均温度的差值(℃)。
条文说明
7.2.8 空调冷负荷稳态计算方法。
对于一般要求的空调区,由于室外扰动因素经历了围护结构和空调区的双重衰减作用,负荷曲线已相当平缓,为减少计算工作量,对非轻型外墙,室外计算温度可采用日平均综合温度代替冷负荷计算温度。
邻室计算平均温度与夏季空调室外计算日平均温度的差值△tls,可参考表4确定。
7.2.9 空调区的夏季计算散湿量,应考虑散湿源的种类、人员群集系数、同时使用系数以及通风系数等,并根据下列各项确定:
1 人体散湿量;
2 渗透空气带入的湿量;
3 化学反应过程的散湿量;
4 非围护结构各种潮湿表面、液面或液流的散湿量;
5 食品或气体物料的散湿量;
6 设备散湿量;
7 围护结构散湿量。
条文说明
7.2.9 空调区的散湿量计算。
散湿量直接关系到空气处理过程和空调系统的冷负荷大小。把散湿量各个项目一一列出,单独形成一条,是为了把散湿量问题提得更加明确,并且与本规范7.2.2条相呼应,强调了与显热得热量性质不同的各类潜热得热量。
“通风系数”,是指考虑散湿设备有无排风设施而引起的散湿量折减系数。
7.2.10 空调区的夏季冷负荷,应按空调区各项逐时冷负荷的综合最大值确定。
条文说明
7.2.10 空调区的夏季冷负荷确定。强制性条文。
空调区的夏季冷负荷,包括通过围护结构的传热、通过玻璃窗的太阳辐射得热、室内人员和照明设备等散热形成的冷负荷,其计算应分项逐时计算,逐时分项累加,按逐时分项累加的最大值确定。
7.2.11 空调系统的夏季冷负荷,应按下列规定确定:
1 末端设备设有温度自动控制装置时,空调系统的夏季冷负荷按所服务各空调区逐时冷负荷的综合最大值确定;
2 末端设备无温度自动控制装置时,空调系统的夏季冷负荷按所服务各空调区冷负荷的累计值确定;
3 应计入新风冷负荷、再热负荷以及各项有关的附加冷负荷。
4 应考虑所服务各空调区的同时使用系数。
条文说明
7.2.11 空调系统的夏季冷负荷确定。部分强制性条文。
根据空调区的同时使用情况、空调系统类型以及控制方式等各种不同情况,在确定空调系统夏季冷负荷时,主要有两种不同算法:一个是取同时使用的各空调区逐时冷负荷的综合最大值,即从各空调区逐时冷负荷相加后所得数列中找出的最大值;一个是取同时使用的各空调区夏季冷负荷的累计值,即找出各空调区逐时冷负荷的最大值并将它们相加在一起,而不考虑它们是否同时发生。后一种方法的计算结果显然比前一种方法的结果要大。如当采用全空气变风量空调系统时,由于系统本身具有适应各空调区冷负荷变化的调节能力,此时系统冷负荷即应采用各空调区逐时冷负荷的综合最大值;当末端设备没有室温自动控制装置时,由于系统本身不能适应各空调区冷负荷的变化,为了保证最不利情况下达到空调区的温湿度要求,系统冷负荷即应采用各空调区夏季冷负荷的累计值。
新风冷负荷应按系统新风量和夏季室外空调计算干、湿球温度确定。再热负荷是指空气处理过程中产生冷热抵消所消耗的冷量,附加冷负荷是指与空调运行工况、输配系统有关的附加冷负荷。
同时使用系数可根据各空调区在使用时间上的不同确定。
7.2.12 空调系统的夏季附加冷负荷,宜按下列各项确定:
1 空气通过风机、风管温升引起的附加冷负荷;
2 冷水通过水泵、管道、水箱温升引起的附加冷负荷。
条文说明
7.2.12 夏季附加冷负荷的确定。
冷水箱温升引起的冷量损失计算,可根据水箱保温情况、水箱间的环境温度、水箱内冷水的平均温度,按稳态传热方法进行计算。
对空调间歇运行时所产生的附加冷负荷,设计中可根据工程实际情况酌情处理。
7.2.13 空调区的冬季热负荷,宜按本规范第5.2节的规定计算;计算时,室外计算温度应采用冬季空调室外计算温度,并扣除室内设备等形成的稳定散热量。
条文说明
7.2.13 空调区的冬季热负荷确定。
空调区的冬季热负荷和供暖房间热负荷的计算方法是相同的,只是当空调区与室外空气的正压差值较大时,不必计算经由门窗缝隙渗入室内的冷空气耗热量。但是,考虑到空调区内热环境条件要求较高,区内温度的不保证时间应少于一般供暖房间,因此,在选取室外计算温度时,规定采用历年平均不保证1天的日平均温度值,即应采用冬季空调室外计算温度。
对工艺性空调、大型公共建筑等,当室内热源(如计算机设备等)稳定放热时,此部分散热量应予以考虑并扣除。
7.2.14 空调系统的冬季热负荷,应按所服务各空调区热负荷的累计值确定,除空调风管局部布置在室外环境的情况外,可不计入各项附加热负荷。
条文说明
7.2.14 空调系统的冬季热负荷确定。
冬季附加热负荷是指空调风管、热水管道等热损失所引起的附加热负荷。一般情况下,空调风管、热水管道均布置在空调区内,其附加热负荷可以忽略不计,但当空调风管局部布置在室外环境下时,应计入其附加热负荷。
7.3 空调系统
7.3.1 选择空调系统时,应符合下列原则:
1 根据建筑物的用途、规模、使用特点、负荷变化情况、参数要求、所在地区气象条件和能源状况,以及设备价格、能源预期价格等,经技术经济比较确定;
2 功能复杂、规模较大的公共建筑,宜进行方案对比并优化确定;
3 干热气候区应考虑其气候特征的影响。
条文说明
7.3.1 选择空调系统的原则。
1 本条是选择空调系统的总原则,其目的是为了在满足使用要求的前提下,尽量做到一次投资少、运行费经济、能耗低等。
2 对规模较大、要求较高或功能复杂的建筑物,在确定空调方案时,原则上应对各种可行的方案及运行模式进行全年能耗分析,使系统的配置合理,以实现系统设计、运行模式及控制策略的最优。
3 气候是建筑热环境的外部条件,气候参数如太阳辐射、温度、湿度、风速等动态变化,不仅直接影响到人的舒适感受,而且影响到建筑设计。强调干热气候区的主要原因是:该气候区(如新疆等地区)深处内陆,大陆性气候明显,其主要气候特征是太阳辐射资源丰富、夏季温度高、日较差大、空气干燥等,与其他气候区的气候特征差异明显。因此,该气候区的空调系统选择,应充分考虑该地区的气象条件,合理有效地利用自然资源,进行系统对比选择。
7.3.2 符合下列情况之一的空调区,宜分别设置空调风系统;需要合用时,应对标准要求高的空调区做处理。
1 使用时间不同;
2 温湿度基数和允许波动范围不同;
3 空气洁净度标准要求不同;
4 噪声标准要求不同,以及有消声要求和产生噪声的空调区;
5 需要同时供热和供冷的空调区。
条文说明
7.3.2 空调风系统的划分。
将不同要求的空调区放置在一个空调风系统中时,会难以控制,影响使用,所以强调不同要求的空调区宜分别设置空调风系统。当个别局部空调区的标准高于其他主要空调区的标准要求时,从简化空调系统设置、降低系统造价等原则出发,二者可合用空调风系统;但此时应对标准要求高的空调区进行处理,如同一风系统中有空气的洁净度或噪声标准要求不同的空调区时,应对洁净度或噪声标准要求高的空调区采取增设符合要求的过滤器或消声器等处理措施。
需要同时供热和供冷的空调区,是指不同朝向,周边区与内区等。进深较大的开敞式办公用房、大型商场等,内外区负荷特性相差很大,尤其是冬季或过渡季,常常外区需供热时,内区因过热需全年供冷;过渡季节朝向不同的空调区也常需要不同的送风参数,此时,可按不同区域划分空调区,分别设置空调风系统,以满足调节和使用要求;当需要合用空调风系统时,应根据空调区的负荷特性,采用不同类型的送风末端装置,以适应空调区的负荷变化。
7.3.3 空气中含有易燃易爆或有毒有害物质的空调区,应独立设置空调风系统。
条文说明
7.3.3 易燃易爆等空调风系统的划分。
根据建筑消防规范、实验室设计规范等要求,强调了空调风系统中,对空气中含有易燃易爆或有毒有害物质空调区的要求,具体做法应遵循国家现行有关的防火、实验室设计规范等。
7.3.4 下列空调区,宜采用全空气定风量空调系统:
1 空间较大、人员较多;
2 温湿度允许波动范围小;
3 噪声或洁净度标准高。
条文说明
7.3.4 全空气定风量空调系统的选择。
全空气空调系统存在风管占用空间较大的缺点,但人员较多的空调区新风比例较大,与风机盘管加新风等空气—水系统相比,多占用空间不明显;人员较多的大空间空调负荷和风量较大,便于独立设置空调风系统,可避免出现多空调区共用一个全空气定风量系统难以分别控制的问题;全空气定风量系统易于改变新回风比例,可实现全新风送风,以获得较好的节能效果;全空气系统设备集中,便于维护管理;因此,推荐在剧院、体育馆等人员较多、运行时负荷和风量相对稳定的大空间建筑中采用。
全空气定风量空调系统,对空调区的温湿度控制、噪声处理、空气过滤和净化处理以及气流稳定等有利,因此,推荐应用于要求温湿度允许波动范围小、噪声或洁净度标准高的播音室、净化房间、医院手术室等场所。
7.3.5 全空气空调系统设计,应符合下列规定:
1 宜采用单风管系统;
2 允许采用较大送风温差时,应采用一次回风式系统;
3 送风温差较小、相对湿度要求不严格时,可采用二次回风式系统;
4 除温湿度波动范围要求严格的空调区外,同一个空气处理系统中,不应有同时加热和冷却过程。
条文说明
7.3.5 全空气空调系统的基本设计原则。
1 一般情况下,在全空气空调系统(包括定风量和变风量系统)中,不应采用分别送冷热风的双风管系统,因该系统易存在冷热量互相抵消现象,不符合节能原则;同时,系统造价较高,不经济。
2 目前,空调系统控制送风温度常采用改变冷热水流量方式,而不常采用变动一、二次回风比的复杂控制系统;同时,由于变动一、二次回风比会影响室内相对湿度的稳定,不适用于散湿量大、湿度要求较严格的空调区;因此,在不使用再热的前提下,一般工程推荐采用系统简单、易于控制的一次回风式系统。
3 采用下送风方式或洁净室空调系统(按洁净要求确定的风量,往往大于用负荷和允许送风温差计算出的风量),其允许送风温差都较小,为避免系统采用再热方式所产生的冷热量抵消现象,可以使用二次回风式系统。 4 一般情况下,除温湿度波动范围要求严格的工艺性空调外,同一个空气处理系统不应同时有加热和冷却过程,因冷热量互相抵消,不符合节能原则。
7.3.6 符合下列情况之一时,全空气空调系统可设回风机。设置回风机时,新回风混合室的空气压力应为负压。
1 不同季节的新风量变化较大、其他排风措施不能适应风量的变化要求;
2 回风系统阻力较大,设置回风机经济合理。
条文说明
7.3.6 全空气空调系统设置回风机的情况
单风机式空调系统具有系统简单、占地少、一次投资省、运行耗电量少等优点,因此常被采用。
当需要新风、回风和排风量变化时,尤其过渡季的排风措施,如开窗面积、排风系统等,无法满足系统最大新风量运行要求时,单风机式空调系统存在系统新、回风量调节困难等缺点;当回风系统阻力大时,单风机式空调系统存在送风机风压较高、耗电量较大、噪声也较大等缺点。因此,在这些情况下全空气空调系统可设回风机。
7.3.7 空调区允许温湿度波动范围或噪声标准要求严格时,不宜采用全空气变风量空调系统。技术经济条件允许时,下列情况可采用全空气变风量空调系统:
1 服务于单个空调区,且部分负荷运行时间较长时,采用区域变风量空调系统;
2 服务于多个空调区,且各区负荷变化相差大、部分负荷运行时间较长并要求温度独立控制时,采用带末端装置的变风量空调系统。
条文说明
7.3.7 全空气变风量空调系统的选择。
全空气变风量空调系统具有控制灵活、卫生、节约电能(相对定风量空调系统而言)等特点,近年来在我国应用有所发展,因此本规范对其适用条件和要求作出了规定。
全空气变风量空调系统按系统所服务空调区的数量,分为带末端装置的变风量空调系统和区域变风量空调系统。带末端装置的变风量空调系统是指系统服务于多个空调区的变风量系统,区域变风量空调系统是指系统服务于单个空调区的变风量系统。对区域变风量系统而言,当空调区负荷变化时,系统是通过改变风机转速来调节空调区的风量,以达到维持室内设计参数和节省风机能耗的目的。
空调区有内外分区的建筑物中,对常年需要供冷的内区,由于没有围护结构的影响,可以以相对恒定的送风温度送风,通过送风量的改变,基本上能满足内区的负荷变化;而外区较为复杂,受围护结构的影响较大。不同朝向的外区合用一个变风量空调系统时,过渡季节为满足不同空调区的要求,常需要送入较低温度的一次风。对需要供暖的空调区,则通过末端装置上的再热盘管加热一次风供暖。当一次风的空气处理冷源是采用制冷机时,需要供暖的空调区会产生冷热抵消现象。
变风量空调系统与其他空调系统相比投资大、控制复杂,同时,与风机盘管加新风系统相比,其占用空间也大,这是应用受到限制的主要原因。另外,与风机盘管加新风系统相比,变风量空调系统由于末端装置无冷却盘管,不会产生室内因冷凝水而滋生的微生物和病菌等,对室内空气质量有利。
变风量空调系统的风量变化有一定的范围,其湿度不易控制。因此,规定在温湿度允许波动范围要求高的工艺性空调区不宜采用。对带风机动力型末端装置的变风量系统,其末端装置的内置风机会产生较大噪声,因此,规定不宜应用于播音室等噪声要求严格的空调区。
7.3.8 全空气变风量空调系统设计,应符合下列规定:
1 应根据建筑模数、负荷变化情况等对空调区进行划分;
2 系统形式,应根据所服务空调区的划分、使用时间、负荷变化情况等,经技术经济比较确定;
3 变风量末端装置,宜选用压力无关型;
4 空调区和系统的最大送风量。应根据空调区和系统的夏季冷负荷确定;空调区的最小送风量,应根据负荷变化情况、气流组织等确定;
5 应采取保证最小新风量要求的措施;
6 风机应采用变速调节;
7 送风口应符合本规范第7.4.2条的规定要求。
条文说明
- 3.8 全空气变风量空调系统的设计。
1、2 全空气变风量空调系统的空调区划分非常重要,其影响因素主要有建筑模数、空调负荷特性、使用时间等;空调区的划分不同,其空调系统形式也不相同。变风量空调系统用于空调区内外分区时,常有以下系统组合形式:当内区独立采用全年送冷的变风量空调系统时,外区可根据外区的空调负荷特性,设置风机盘管空调系统、定风量空调系统等;当内外区合用变风量空气处理机组时,内区可采用单风道型变风量末端装置,外区则根据外区的空调负荷特性,设置带再热盘管的变风量末端装置,用于外区的供暖;当内外区分别设置变风量空气处理机组时,内区机组仅需要全年供冷,而外区机组需要按季节进行供冷或供热转换;同时,外区宜按朝向分别设置空气处理机组,以保证每个系统中各末端装置所服务区域的转换时间一致。
3 变风量空调系统的末端装置类型很多,根据是否补偿系统压力变化可分为压力无关型和压力有关型末端两种,其中,压力无关型是指当系统主风管内的压力发生变化时,其压力变化所引起的风量变化被检测并反馈到末端控制器中,控制器通过调节风阀的开度来补偿此风量的变化。目前,常用的变风量末端装置主要为压力无关型。
5 变风量空调系统,当一次风送风量减少时,其新风量也随之减少,有新风量不能满足最小新风量要求的潜在性。因此,强调应采取保证最小新风量的措施。对采用双风机式变风量系统而言,当需要维持最小新风量时,为使新风量恒定,回风量则往往不是随送风量的变化按比例变化,而是要求与送风量保持恒定的差值。因此,要求送、回风机按转速分别控制,以满足最小新风量的要求。
6 变风量空调系统的送风量改变应采用风机调速方法,以达到节能的目的,不宜采用恒速风机,通过改变送、回风阀的开度来实现变风量等简易方法。
7 变风量空调系统的送风口选择不当时,送风口风量的变化会影响到室内的气流组织,影响室内的热湿环境无法达到要求。对串联式风机动力型末端装置而言,因末端装置的送风量是恒定的,则不存在上述问题。
7.3.9 空调区较多,建筑层高较低且各区温度要求独立控制时,宜采用风机盘管加新风空调系统;空调区的空气质量、温湿度波动范围要求严格或空气中含有较多油烟时,不宜采用风机盘管加新风空调系统。
条文说明
7.3.9 风机盘管加新风空调系统的选择。
风机盘管系统具有各空调区温度单独调节、使用灵活等特点,与全空气空调系统相比可节省建筑空间,与变风量空调系统相比造价较低等,因此,在宾馆客房、办公室等建筑中大量使用。“加新风”是指新风经过处理达到一定的参数要求后,有组织地送入室内。
普通风机盘管加新风空调系统,存在着不能严格控制室内温湿度的波动范围,同时,常年使用时,存在冷却盘管外部因冷凝水而滋生微生物和病菌等,恶化室内空气质量等缺点。因此,对温湿度波动范围和卫生等要求较严格的空调区,应限制使用。
由于风机盘管对空气进行循环处理,无特殊过滤装置,所以不宜安装在厨房等油烟较多的空调区,否则会增加盘管风阻力并影响其传热。
7.3.10 风机盘管加新风空调系统设计,应符合下列规定:
1 新风宜直接送入人员活动区;
2 空气质量标准要求较高时,新风宜负担空调区的全部散湿量。低温新风系统设计,应符合本规范第7.3.13条的规定要求;
3 宜选用出口余压低的风机盘管机组。
条文说明
7.3.10 风机盘管加新风空调系统的设计。
1 当新风与风机盘管机组的进风口相接,或只送到风机盘管机组的回风吊顶处时,将会影响室内的通风;同时,当风机盘管机组的风机停止运行时,新风有可能从带有过滤器的回风口处吹出,不利于室内空气质量的保证。另外,新风和风机盘管的送风混合后再送入室内时,会造成送风和新风的压力难以平衡,有可能影响新风量的送入。因此,推荐新风直接送入人员活动区。
2 风机盘管加新风空调系统强调新风的处理,对空气质量标准要求较高的空调区,如医院等,可采用处理后的新风负担空调区的全部散湿量时,让风机盘管机组干工况运行,以有利于室内空气质量的保证;同时,由于处理后的新风送风温度较低,低于室内露点温度,因此,低温新风系统设计应满足低温送风空调系统的相关要求。
3 早期的风机盘管机组余压只有0Pa和12Pa两种形式,《风机盘管机组》GB/T 19232对高余压机组没有漏风率的规定。为适应市场需求,部分风机盘管余压越来越高,达50Pa或以上,由于常规风机盘管机组的换热盘管位于送风机出风侧,会导致机组漏风严重以及噪声、能耗等增加,故不宜选择高出口余压的风机盘管机组。
7.3.11 空调区内振动较大、油污蒸汽较多以及产生电磁波或高频波等场所,不宜采用多联机空调系统。多联机空调系统设计,应符合下列要求:
1 空调区负荷特性相差较大时,宜分别设置多联机空调系统:需要同时供冷和供热时,宜设置热回收型多联机空调系统;
2 室内、外机之间以及室内机之间的最大管长和最大高差,应符合产品技术要求;
3 系统冷媒管等效长度应满足对应制冷工况下满负荷的性能系数不低于2.8;当产品技术资料无法满足核算要求时,系统冷媒管等效长度不宜超过70m;
4 室外机变频设备,应与其他变频设备保持合理距离。
条文说明
7.3.11 多联机空调系统的选择与设计。
由于多联机空调系统的制冷剂直接进入空调区,当用于有振动、油污蒸汽、产生电磁波或高频波设备的场所时,易引起制冷剂泄漏、设备损坏、控制器失灵等事故,故这些场所不宜采用该系统。
1 多联机空调系统形式的选择,需要根据建筑物的负荷特征、所在气候区等多方面因素综合考虑:当仅用于建筑物供冷时,可选用单冷型;当建筑物按季节变化需要供冷、供热时,可选用热泵型;当同一多联机空调系统中需要同时供冷、供热时,可选用热回收型。
多联机空调系统的部分负荷特性主要取决于室内外温度、机组负荷率及室内机运行情况等。当室内机组的负荷变化率较为一致时,系统在50%~80%负荷率范围内具有较高的制冷性能系数。因此,从节能角度考虑,推荐将负荷特性相差较大的空调区划为不同系统。
热回收型多联机空调系统是高效节能型系统,它通过高压气体管将高温高压蒸气引入用于供热的室内机,制冷剂蒸气在室内机内放热冷凝,流入高压液体管;制冷剂自高压液体管进入用于制冷的室内机中,蒸发吸热,通过低压气体管返回压缩机。室外热交换器视室内机运行模式起着冷凝器或蒸发器的作用,其功能取决于各室内机的工作模式和负荷大小。
2 室内、外机组之间以及室内机组之间的最大管长与最大高差,是多联机空调系统的重要性能参数。为保证系统安全、稳定、高效的运行,设计时,系统的最大管长与最大高差不应超过所选用产品的技术要求。
3 多联机空调系统是利用制冷剂输配能量,系统设计中必须考虑制冷剂连接管内制冷剂的重力与摩擦阻力等对系统性能的影响,因此,应根据系统制冷量的衰减来确定系统的服务区域,以提高系统的能效比。
4 室外机变频设备与其他变频设备保持合理距离,是为了防止设备间的互相干扰,影响系统的安全运行。
7.3.12 有低温冷媒可利用时,宜采用低温送风空调系统;空气相对湿度或送风量较大的空调区,不宜采用低温送风空调系统。
条文说明
7.3.12 低温送风空调系统的选择。
低温送风空调系统,具有以下优点:
1 由于送风温差和冷水温升比常规系统大,系统的送风量和循环水量小,减小了空气处理设备、水泵、风道等的初投资,节省了机房面积和风管所占空间高度;
2 由于需要的冷水温度低,当冷源采用制冷机直接供冷时制冷能耗比常规系统高;当冷源采用蓄冷系统时,由于制冷能耗主要发生在非用电高峰期,可明显地减少了用电高峰期的电力需求和运行费用;
3 特别适用于空调负荷增加而又不允许加大风管、降低房间净高的改造工程;
4 由于送风除湿量的加大,造成了室内空气的含湿量降低,增强了室内的热舒适性。
低温冷媒可由蓄冷系统、制冷机等提供。由于蓄冷系统需要的初投资较高,当利用蓄冷设备提供低温冷水与低温送风系统相结合时,可减少空调系统的初投资和用电量,更能够发挥减小电力需求和运行费用等优点;其他能够提供低温冷媒的冷源设备,如采用直接膨胀式蒸发器的整体式空调机组或利用乙烯乙二醇水溶液做冷媒的制冷机,也可用于低温送风空调系统。
采用低温送风空调系统时,空调区内的空气含湿量较低,室内空气的相对湿度一般为30%~50%,同时,系统的送风量也较少。因此,应限制在空气相对湿度或送风量要求较大的空调区应用,如植物温室、手术室等。
7.3.13 低温送风空调系统设计,应符合下列规定:
1 空气冷却器的出风温度与冷媒的进口温度之间的温差不宜小于3℃,出风温度宜采用4℃~10℃,直接膨胀式蒸发器出风温度不应低于7℃;
2 空调区送风温度,应计算送风机、风管以及送风末端装置的温升;
3 空气处理机组的选型,应经技术经济比较确定。空气冷却器的迎风面风速宜采用1. 5m/s~2.3m/s,冷媒通过空气冷却器的温升宜采用9℃~13℃;
4 送风末端装置,应符合本规范第7.4.2条的规定;
5 空气处理机组、风管及附件、送风末端装置等应严密保冷,保冷层厚度应经计算确定,并符合本规范第11. 1.4条的规定。
条文说明
7.3.13 低温送风空调系统的设计。
1 空气冷却器的出风温度:制约空气冷却器出风温度的条件是冷媒温度,当冷却盘管的出风温度与冷媒的进口温度之间的温差过小时,必然导致盘管传热面积过大而不经济,以致选择盘管困难;同时,对直接膨胀式蒸发器而言,送风温度过低还会带来盘管结霜和液态制冷剂进入压缩机问题。
2 送风温升:低温送风系统不能忽视送风机、风管及送风末端装置的温升,一般可达2℃~3℃;同时应考虑风口的选型,最后确定室内送风温度及送风量。
3 空气处理机组选型:空气冷却器的迎风面风速低于常规系统,是为了减少风侧阻力和冷凝水吹出的可能性,并使出风温度接近冷媒的进口温度;为了获得较低出风温度,冷却器盘管的排数和翅片密度大于常规系统,但翅片过密或排数过多会增加风侧或水侧阻力,不便于清洗,凝水易被吹出盘管等,故应对翅片密度和盘管排数二者权衡取舍,进行设备费和运行费的经济比较后,确定其数值;为了取得风水之间更大的接近度和温升,解决部分负荷时流速过低的问题,应使冷媒流过盘管的路径较长,温升较高,并提高冷媒流速与扰动,以改善传热,因此冷却盘管的回路布置常采用管程数较多的分回路布置方式,但会增加了盘管阻力;基于上述诸多因素,低温送风系统不能直接采用常规系统的空气处理机组,必须通过技术经济分析比较,严格计算,进行设计选型。
7.3.14 空调区散湿量较小且技术经济合理时,宜采用温湿度独立控制空调系统。
7.3.15 温度湿度独立控制空调系统设计,应符合下列规定:
1 温度控制系统,末端设备应负担空调区的全部显热负荷,并根据空调区的显热热源分布状况等,经技术经济比较确定;
2 湿度控制系统,新风应负担空调区的全部散湿量,其处理方式应根据夏季空调室外计算湿球温度和露点温度、新风送风状态点要求等,经技术经济比较确定;
3 当采用冷却除湿处理新风时,新风再热不应采用热水、电加热等;采用转轮或溶液除湿处理新风时,转轮或溶液再生不应采用电加热;
4 应对室内空气的露点温度进行监测,并采取确保末端设备表面不结露的自动控制措施。
7.3.16 夏季空调室外设计露点温度较低的地区,经技术经济比较合理时,宜采用蒸发冷却空调系统。
7.3.17 蒸发冷却空调系统设计,应符合下列规定:
1 空调系统形式,应根据夏季空调室外计算湿球温度和露点温度以及空调区显热负荷、散湿量等确定;
2 全空气蒸发冷却空调系统,应根据夏季空调室外计算湿球温度、空调区散湿量和送风状态点要求等,经技术经济比较确定。
7.3.18 下列情况时,应采用直流式(全新风)空调系统:
1 夏季空调系统的室内空气比焓大于室外空气比焓;
2 系统所服务的各空调区排风量大于按负荷计算出的送风量;
3 室内散发有毒有害物质,以及防火防爆等要求不允许空气循环使用;
4 卫生或工艺要求采用直流式(全新风)空调系统。
7.3.19 空调区、空调系统的新风量计算,应符合下列规定:
1 人员所需新风量,应根据人员的活动和工作性质,以及在室内的停留时间等确定,并符合本规范第3.0.6条的规定要求;
2 空调区的新风量,应按不小于人员所需新风量,补偿排风和保持空调区空气压力所需新风量之和以及新风除湿所需新风量中的最大值确定;
3 全空气空调系统的新风量,当系统服务于多个不同新风比的空调区时,系统新风比应小于空调区新风比中的最大值;
4 新风系统的新风量,宜按所服务空调区或系统的新风量累计值确定。
7.3.20 舒适性空调和条件允许的工艺性空调,可用新风作冷源时,应最大限度地使用新风。
7.3.21 新风进风口的面积应适应最大新风量的需要。进风口处应装设能严密关闭的阀门,进风口的位置应符合本规范第6.3.1条的规定要求。
7.3.22 空调系统应进行风量平衡计算,空调区内的空气压力应符合本规范第7.1.5条的规定。人员集中且密闭性较好,或过渡季节使用大量新风的空调区,应设置机械排风设施,排风量应适应新风量的变化。
7.3.23 设有集中排风的空调系统,且技术经济合理时,宜设置空气—空气能量回收装置。
7.3.24 空气能量回收系统设计,应符合下列要求:
1 能量回收装置的类型,应根据处理风量、新排风中显热量和潜热量的构成以及排风中污染物种类等选择;
2 能量回收装置的计算,应考虑积尘的影响,并对是否结霜或结露进行核算。
7.4 气流组织
7.4.1 空调区的气流组织设计,应根据空调区的温湿度参数、允许风速、噪声标准、空气质量、温度梯度以及空气分布特性指标(ADPI)等要求,结合内部装修、工艺或家具布置等确定;复杂空间空调区的气流组织设计,宜采用计算流体动力学(CFD)数值模拟计算。
条文说明
7.4.1 空调区的气流组织设计原则。
空调系统末端装置的选择和布置时,应与建筑装修相协调,注意风口的选型与布置对内部装修美观的影响;同时应考虑室内空气质量、室内温度梯度等要求。
涉及气流组织设计的舒适性指标,主要由气流组织形式、室内热源分布及特性所决定。
空气分布特性指标(ADPI:Air Diffusion Performance Index),是满足风速和温度设计要求的测点数与总测点数之比。对舒适性空调而言,相对湿度在适当范围内对人体的舒适性影响较小,舒适度主要考虑空气温度与风速对人体的综合作用。根据实验结果,有效温度差与室内风速之间存在下列关系:
一般情况下,空调区的气流组织设计应使空调区的ADPI≥80%。ADPI值越大,说明感到舒适的人群比例越大。 对于复杂空间的气流组织设计,采用常规计算方法已无法满足要求。随着计算机技术的不断发展与计算流体动力学(CFD)数值模拟技术的日益普及,对复杂空间等特殊气流组织设计推荐采用计算流体动力学(CFD)数值模拟计算。
7.4.2 空调区的送风方式及送风口选型,应符合下列规定:
1 宜采用百叶、条缝型等风口贴附侧送;当侧送气流有阻碍或单位面积送风量较大,且人员活动区的风速要求严格时,不应采用侧送;
2 设有吊顶时,应根据空调区的高度及对气流的要求,采用散流器或孔板送风。当单位面积送风量较大,且人员活动区内的风速或区域温差要求较小时,应采用孔板送风;
3 高大空间宜采用喷口送风、旋流风口送风或下部送风;
4 变风量末端装置,应保证在风量改变时,气流组织满足空调区环境的基本要求;
5 送风口表面温度应高于室内露点温度;低于室内露点温度时,应采用低温风口。
条文说明
7.4. 2 空调区的送风方式及送风口的选型。
空调区内良好的气流组织,需要通过合理的送回风方式以及送回风口的正确选型和布置来实现。
1 侧送时宜使气流贴附以增加送风射程,改善室内气流分布。工程实践中发现风机盘管的送风不贴附时,室内温度分布则不均匀。目前,空气分布增加了置换通风及地板送风等方式,以有利于提高人员活动区的空气质量,优化室内能量分配,对高大空间建筑具有较明显的节能效果。
侧送是已有几种送风方式中比较简单经济的一种。在一般空调区中,大多可以采用侧送。当采用较大送风温差时,侧送贴附射流有助于增加气流射程,使气流混合均匀,既能保证舒适性要求,又能保证人员活动区温度波动小的要求。侧送气流宜贴附顶棚。
2 圆形、方形和条缝形散流器平送,均能形成贴附射流,对室内高度较低的空调区,既能满足使用要求,又比较美观,因此,当有吊顶可利用时,采用这种送风方式较为合适。对于室内高度较高的空调区(如影剧院等),以及室内散热量较大的空调区,当采用散流器时,应采用向下送风,但布置风口时,应考虑气流的均布性。
在一些室温允许波动范围小的工艺性空调区中,采用孔板送风较多。根据测定可知,在距孔板100mm~250mm的汇合段内,射流的温度、速度均已衰减,可达到±0. 1℃的要求,且区域温差小,在较大的换气次数下(每小时达32次),人员活动区风速一般均在0.09m/s~0.12m/s范围内。所以,在单位面积送风量大,且人员活动区要求风速小或区域温差要求严格的情况下,应采用孔板向下送风。
3 对于高大空间,采用上述几种送风方式时,布置风管困难,难以达到均匀送风的目的。因此,建议采用喷口或旋流风口送风方式。由于喷口送风的喷口截面大,出口风速高,气流射程长,与室内空气强烈掺混,能在室内形成较大的回流区,达到布置少量风口即可满足气流均布的要求。同时,它还具有风管布置简单、便于安装、经济等特点。当空间高度较低时,采用旋流风口向下送风,亦可达到满意的效果。应用置换通风、地板送风的下部送风方式,使送入室内的空气先在地板上均匀分布,然后被热源(人员、设备等)加热,形成以热烟羽形式向上的对流气流,更有效地将热量和污染物排出人员活动区,在高大空间应用时,节能效果显著,同时有利于改善通风效率和室内空气质量。对于演播室等高大空间,为便于满足空间布置需要,可采用可伸缩的圆筒形风口向下送风的方式。
4 全空气变风量空调系统的送风参数是保持不变的,它是通过改变风量来平衡室内负荷变化。这就要求,在送风量变化时,所选用的送风末端装置或送风口应能满足室内空气温度及风速的要求。用于全空气变风量空调系统的送风末端装置,应具有与室内空气充分混合的性能,并在低送风量时,应能防止产生空气滞留,在整个空调区内具有均匀的温度和风速,而不能产生吹风感,尤其在组织热气流时,要保证气流能够进入人员活动区,而不滞留在上部区域。
5 风口表面温度低于室内露点温度时,为防止风口表面结露,风口应采用低温风口。低温风口与常规散流器相比,两者的主要差别是:低温风口所适用的温度和风量范围较常规散流器广。在这种较广的温度与风量范围下,必须解决好充分与空调区空气混合、贴附长度及噪声等问题。选择低温风口时,一般与常规方法相同,但应对低温送风射流的贴附长度予以重视。在考虑风口射程的同时,应使风口的贴附长度大于空调区的特征长度,以避免人员活动区吹冷风现象发生。
7.4.3 采用贴附侧送风时,应符合下列规定:
1 送风口上缘与顶棚的距离较大时,送风口应设置向上倾斜10°~20°的导流片;
2 送风口内宜设置防止射流偏斜的导流片;
3 射流流程中应无阻挡物。
条文说明
7.4.3 贴附侧送的要求。
贴附射流的贴附长度主要取决于侧送气流的阿基米德数。为了使射流在整个射程中都贴附在顶棚上而不致中途下落,就需要控制阿基米德数小于一定的数值。
侧送风口安装位置距顶棚愈近,愈容易贴附。如果送风口上缘离顶棚距离较大时,为了达到贴附目的,规定送风口处应设置向上倾斜10°~20°的导流片。
7.4.4 采用孔板送风时,应符合下列规定:
1 孔板上部稳压层的高度应按计算确定,且净高不应小于0.2m;
2 向稳压层内送风的速度宜采用3 m/s~5m/s。除送风射流较长的以外,稳压层内可不设送风分布支管。稳压层的送风口处,宜设防止送风气流直接吹向孔板的导流片或挡板;
3 孔板布置应与局部热源分布相适应。
条文说明
7.4.4 孔板送风的要求。
1 本条规定的稳压层净高不应小于0.2m,主要是从满足施工安装的要求上考虑的。
2 在一般面积不大的空调区中,稳压层内可以不设送风分布支管。根据实测,在6m×9m的空调区内(室温允许波动范围为±0. 1℃和±0. 5℃),采用孔板送风,测试过程中将送风分布支管装上或拆下,在室内均未曾发现任何明显的影响。因此,除送风射程较长的以外,稳压层内可不设送风分布支管。
当稳压层高度较低时,向稳压层送风的送风口,一般需要设置导流板或挡板以免送风气流直接吹向孔板。
7.4.5 采用喷口送风时,应符合下列规定:
1 人员活动区宜位于回流区;
2 喷口安装高度,应根据空调区的高度和回流区分布等确定;
3 兼作热风供暖时,宜具有改变射流出口角度的功能。
条文说明
7.4. 5 喷口送风的要求。
1 将人员活动区置于气流回流区是从满足卫生标准的要求而制定的。
2 喷口送风的气流组织形式和侧送是相似的,都是受限射流。受限射流的气流分布与建筑物的几何形状、尺寸和送风口安装高度等因素有关。送风口安装高度太低,则射流易直接进入人员活动区;太高则使回流区厚度增加,回流速度过小,两者均影响舒适感。
3 对于兼作热风供暖的喷口,为防止热射流上翘,设计时应考虑使喷口具有改变射流角度的功能。
7.4.6 采用散流器送风时,应满足下列要求:
1 风口布置应有利于送风气流对周围空气的诱导,风口中心与侧墙的距离不宜小于1.0m;
2 采用平送方式时,贴附射流区无阻挡物;
3 兼作热风供暖,且风口安装高度较高时,宜具有改变射流出口角度的功能。
条文说明
7.4.6 散流器送风的要求。
1 散流器布置应结合空间特征,按对称均匀或梅花形布置,以有利于送风气流对周围空气的诱导,避免气流交叉和气流死角。与侧墙的距离过小时,会影响气流的混合程度。散流器有时会安装在暴露的管道上,当送风口安装在顶棚以下300mm或者更低的地方时,就不会产生贴附效应,气流将以较大的速度到达工作区。
2 散流器平送时,平送方向的阻挡物会造成气流不能与室内空气充分混合,提前进入人员活动区,影响空调区的热舒适。
3 散流器安装高度较高时,为避免热气流上浮,保证热空气能到达人员活动区,需要通过改变风口的射流出口角度来加以实现。温控型散流器、条缝形(蟹爪形)散流器等能实现不同送风工况下射流出口角度的改变。
7.4.7 采用置换通风时,应符合下列规定:
1 房间净高宜大于2.7m;
2 送风温度不宜低于18℃;
3 空调区的单位面积冷负荷不宜大于120W/㎡;
4 污染源宜为热源,且污染气体密度较小;
5 室内人员活动区0. 1m至1.1m高度的空气垂直温差不宜大于3℃;
6 空调区内不宜有其他气流组织。
条文说明
7.4.7 置换通风的要求。
置换通风是气流组织的一种形式。置换通风是将经处理或未处理的空气,以低风速、低紊流度、小温差的方式,直接送入室内人员活动区的下部。送入室内的空气先在地面上均匀分布,随后流向热源(人或设备)形成热气流以烟羽的形式向上流动,并在室内的上部空间形成滞留层。从滞留层将室内的余热和污染物排出。
置换通风的竖向气流流型是以浮力为基础,室内污染物在热浮力的作用下向上流动。在上升的过程中,热烟羽卷吸周围空气,流量不断增大。在热力作用下,室内空气出现分层现象。
置换通风在稳定状态时,室内空气在流态上分上下两个不同区域,即上部紊流混合区和下部单向流动区。下部区域内没有循环气流,接近置换气流,而上部区域内有循环气流。两个区域分层界面的高度取决于送风量、热源特性及其在室内分布情况。设计时,应控制分层界面的高度在人员活动区以上,以保证人员活动区的空气质量和热舒适性。
1~4 根据有关资料介绍,采用置换通风时,室内吊顶高度不宜过低,否则,会影响室内空气的分层。由于置换通风的送风温度较高,其所负担的冷负荷一般不宜太大,否则,需要加大送风量,增加送风口面积,这对风口的布置不利。根据置换通风的原理,污染气体靠热浮力作用向上排出,当污染源不是热源时,污染气体不能有效排出;污染气体的密度较大时,污染气体会滞留在下部空间,也无法保证污染气体的有效排出。
5 垂直温差是一个重要的局部热不舒适控制性指标,对置换通风等系统设计时更加重要。本条直接引自国际通用标准ISO7730和美国ASHRAE 55的相关条款。根据美国相关研究,取室内人员的头部高度(1.1m)到脚部高度(0.1m)由于垂直温差引起的局部热不舒适的不满意度(PD)为≤5%,基于PD的计算公式确定。

6 设计中,要避免置换通风与其他气流组织形式应用于同一个空调区,因为其他气流组织形式会影响置换气流的流型,无法实现置换通风。
置换通风与辐射冷吊顶、冷梁等空调系统联合应用时,其上部区域的冷表面可能使污染物空气从上部区域再度进入下部区域,设计时应考虑。
7.4.8 采用地板送风时,应符合下列规定:
1 送风温度不宜低于16℃;
2 热分层高度应在人员活动区上方;
3 静压箱应保持密闭,与非空调区之间有保温隔热处理;
4 空调区内不宜有其他气流组织。
条文说明
7.4.8 地板送风的要求。
1 地板送风(UFAD)是指利用地板静压箱,将经热湿处理后的空气由地板送风口送到人员活动区内的气流组织形式。与置换通风形式相比,地板送风是以较高的风速从尺寸较小的地板送风口送出,形成相对较强的空气混合。因此,其送风温度较置换通风低,系统所负担的冷负荷也大于置换通风。地板送风的送风口附近区域不应有人长久停留。
2 地板送风在房间内产生垂直温度梯度和空气分层。典型的空气分层分为三个区域,第一个区域为低区(混合区),此区域内送风空气与房间空气混合,射流末端速度为0.25m/s。第二个区域为中区(分层区),此区域内房间温度梯度呈线性分布。第三个区域为高区(混合区),此区域内房间热空气停止上升,风速很低。一旦房间内空气上升到分层区以上时,就不会再进入分层区以下的区。
热分层控制的目的,是在满足人员活动区的舒适度和空气质量要求下,减少空调区的送风量,降低系统输配能耗,以达到节能的目的。热分层主要受送风量和室内冷负荷之间的平衡关系影响,设计时应将热分层高度维持在室内人员活动区以上,一般为1.2m~1.8m。
3 地板静压箱分为有压静压箱和零压静压箱,有压静压箱应具有良好的密封性,当大量的不受控制的空气泄漏时,会影响空调区的气流流态。地板静压箱与非空调区之间建筑构件,如楼板、外墙等,应有良好的保温隔热处理,以减少送风温度的变化。
4 同置换通风形式一样,应避免与其他气流组织形式应用于同一空调区,因为其他气流组织形式会破坏房间内的空气分层。
7.4.9 分层空调的气流组织设计,应符合下列规定:
1 空调区宜采用双侧送风;当空调区跨度较小时,可采用单侧送风,且回风口宜布置在送风口的同侧下方;
2 侧送多股平行射流应互相搭接;采用双侧对送射流时,其射程可按相对喷口中点距离的90%计算;
3 宜减少非空调区向空调区的热转移;必要时,宜在非空调区设置送、排风装置。
条文说明
7.4.9 分层空调的气流组织设计要求。
分层空调,是指利用合理的气流组织,仅对下部空调区进行空调,而对上部较大非空调区进行通风排热。分层空调具有较好的节能效果。
1 实践证明,对高度大于1Om,体积大于10000m3的高大空间,采用双侧对送、下部回风的气流组织方式是合适的,是能够达到分层空调的要求。当空调区跨度较小时,采用单侧送风也可以满足要求。
2 分层空调必须实现分层,即能形成空调区和非空调区。为了保证这一重要原则,必须侧送多股平行气流应互相搭接,以便形成覆盖。双侧对送射流的末端不需要搭接,按相对喷口中点距离的90%计算射程即可。送风口的构造,应能满足改变射流出口角度的要求,可选用圆形喷口、扁形喷口和百叶风口等。
3 为保证空调区达到设计要求,应减少非空调区向空调区的热转移。为此,应设法消除非空调区的散热量。实验结果表明,当非空调区内的单位体积散热量大于4.2W/m3时,在非空调区适当部位设置送排风装置,可以达到较好的效果。
7.4.10 上送风方式的夏季送风温差,应根据送风口类型、安装高度、气流射程长度以及是否贴附等确定,并宜符合下列规定:
1 在满足舒适、工艺要求的条件下,宜加大送风温差;
2 舒适性空调,宜按表7.4.10-1采用;

3 工艺性空调,宜按表7.4. 10-2采用。

条文说明
7.4.10 上送风方式的夏季送风温差。
1 夏季送风温差,对室内温湿度效果有一定影响,是决定空调系统经济性的主要因素之一。在保证技术要求的前提下,加大送风温差有突出的经济意义。送风温差加大一倍时,空调系统的送风量会减少一半,系统的材料消耗和投资(不包括制冷系统)减少约40%,动力消耗减少约50%。送风温差在4℃~8℃之间每增加1℃时,风量会减少10%~15%。因此,设计中正确地决定送风温差是一个相当重要的问题。
送风温差的大小与送风形式有很大关系,不同送风形式的送风温差不能规定一个数字。对混合式通风可加大送风温差,但对置换通风就不宜加大送风温差。
2 表7.4.10-1中所列的数值,是参照室温允许波动范围大于±1. 0℃工艺性空调的送风温差,并考虑空调区高度等因素确定的。
3 表7.4.10-2中所列的数值,适用于贴附侧送、散流器平送和孔板送风等方式。多年的实践证明,对于采用上述送风方式的工艺性空调来说,应用这样较大的送风温差是能够满足室内温、湿度要求,也是比较经济的。当人员活动区处于下送气流的扩散区时,送风温差应通过计算确定。
7.4.11 送风口的出口风速,应根据送风方式、送风口类型、安装高度、空调区允许风速和噪声标准等确定。
条文说明
7.4.11 送风口的出口风速。
送风口的出口风速,应根据不同情况通过计算确定。
侧送和散流器平送的出口风速,受两个因素的限制:一是回流区风速的上限,二是风口处的允许噪声。回流区风速的上限与射流的自由度√F/d0有关,根据实验,两者有以下关系:
7.4.12 回风口的布置,应符合下列规定:
1 不应设在送风射流区内和人员长期停留的地点;采用侧送时,宜设在送风口的同侧下方;
2 兼做热风供暖、房间净高较高时,宜设在房间的下部;
3 条件允许时,宜采用集中回风或走廊回风,但走廊的断面风速不宜过大;
4 采用置换通风、地板送风时,应设在人员活动区的上方。
条文说明
7.4.12 回风口的布置方式。
按照射流理论,送风射流引射着大量的室内空气与之混合,使射流流量随着射程的增加而不断增大。而回风量小于(最多等于)送风量,同时回风口的速度场图形呈半球状,其速度与作用半径的平方成反比,吸风气流速度的衰减很快。所以在空调区内的气流流型主要取决于送风射流,而回风口的位置对室内气流流型及温度、速度的均匀性影响均很小。设计时,应考虑尽量避免射流短路和产生“死区”等现象。采用侧送时,把回风口布置在送风口同侧,效果会更好些。
关于走廊回风,其横断面风速不宜过大,以免引起扬尘和造成不舒适感。
7.4.13 回风口的吸风速度,宜按表7.4.13选用。

条文说明
7.4.13 回风口的吸风速度。
确定回风口的吸风速度(即面风速)时,主要考虑三个因素:一是避免靠近回风口处的风速过大,防止对回风口附近经常停留的人员造成不舒适的感觉;二是不要因为风速过大而扬起灰尘及增加噪声;三是尽可能缩小风口断面,以节约投资。
回风口的面风速,一般按下式计算:
当回风口处于空调区上部,人员活动区风速不超过0.25m/s,在一般常用回风口面积的条件下,从上式中可以得出回风口面风速为4m/s~5m/s;当回风口处于空调区下部时,用同样的方法可得出条文中所列的有关面风速。
实践经验表明,利用走廊回风时,为避免在走廊内扬起灰尘等,装在门或墙下部的回风口面风速宜采用1m/s~1.5m/s。
7.5 空气处理
7.5.1 空气的冷却应根据不同条件和要求,分别采用下列处理方式:
1 循环水蒸发冷却;
2 江水、湖水、地下水等天然冷源冷却;
3 采用蒸发冷却和天然冷源等冷却方式达不到要求时,应采用人工冷源冷却。
条文说明
7.5.1 空气冷却方式。
干热气候区(如西北部地区等),夏季空气的干球温度高,含湿量低,其室外干燥空气不仅可直接利用来消除空调区的湿负荷,还可以通过间接蒸发冷却等来消除空调区的热负荷。在新疆、内蒙古、甘肃、宁夏、青海、西藏等地区,应用蒸发冷却技术可大量节约空调系统的能耗。
蒸发冷却分为直接蒸发冷却和间接蒸发冷却。直接蒸发冷却是指干燥空气和水直接接触的冷却过程,空气处理过程中空气和水之间的传热、传质同时发生且互相影响,空气处理过程为绝热降温加湿过程,其极限温度能达到空气的湿球温度。
在某些情况下,当对处理空气有进一步的要求,如要求较低含湿量或比焓时,就应采用间接蒸发冷却。间接蒸发冷却可避免传热、传质的相互影响,空气处理过程为等湿降温过程,其极限温度能达到空气的露点温度。
2 对于温度较低的江、河、湖水等,如西北部地区的某些河流、深水湖泊等,夏季水体温度在10℃左右,完全可以作为空调的冷源。对于地下水资源丰富且有合适的水温、水质的地区,当采取可靠的回灌和防止污染措施时,可适当利用这一天然冷源,并应征得地区主管部门的同意。
3 当无法利用蒸发冷却,且又没有水温、水质符合要求的天然冷源可利用时,或利用天然冷源无法满足空气冷却要求时,空气冷却应采用人工冷源,并在条件许可的情况下,适当考虑利用天然冷源的可能性,以达到节能的目的。
7.5.2 凡与被冷却空气直接接触的水质均应符合卫生要求。空气冷却采用天然冷源时,应符合下列规定:
1 水的温度、硬度等符合使用要求;
2 地表水使用过后的回水予以再利用;
3 使用过后的地下水应全部回灌到同一含水层,并不得造成污染。
条文说明
7.5.2 冷源的使用限制条件。部分强制性条文。
空气冷却中,可采用人工或天然冷源来直接蒸发冷却空气,因此,其水质均应符合卫生要求。
采用天然冷源时,其水质影响到室内空气质量、空气处理设备的使用效果和使用寿命等。如当直接和空气接触的水有异味或不卫生时,会直接影响到室内的空气质量;同时,水的硬度过高时会加速换热盘管结垢等。
采用地表水作天然冷源时,强调再利用是对资源的保护。地下水的回灌可以防止地面沉降,全部回灌并不得造成污染是对水资源保护必须采取的措施。为保证地下水不被污染,地下水宜采用与空气间接接触的冷却方式。
7.5.3 空气冷却装置的选择,应符合下列规定:
1 采用循环水蒸发冷却或天然冷源时,宜采用直接蒸发式冷却装置、间接蒸发式冷却装置和空气冷却器;
2 采用人工冷源时,宜采用空气冷却器。当要求利用循环水进行绝热加湿或利用喷水增加空气处理后的饱和度时,可选用带喷水装置的空气冷却器。
条文说明
7.5.3 空气冷却装置的选择。
1 直接蒸发冷却是绝热加湿过程,实现这一过程是直接蒸发式冷却装置的特有功能,是其他空气冷却处理装置所不能代替的。当采用地下水、江水、湖水等自然冷源作冷源时,由于其水温相对较高,采用间接蒸发式冷却装置处理空气时,一般不易满足要求,而采用直接蒸发式冷却装置则比较容易满足要求。
2 采用人工冷源时,原则上应选用空气冷却器。空气冷却器具有占地面积小,冷水系统简单,特别是冷水系统采用闭式水系统时,可减少冷水输配系统的能耗;另外,空气出口参数可调性好等,因此,它得到了较其他形式的冷却器更加广泛的应用。空气冷却器的缺点是消耗有色金属较多,价格也相应地较贵。
7.5.4 空气冷却器的选择,应符合下列规定:
1 空气与冷媒应逆向流动;
2 冷媒的进口温度,应比空气的出口干球温度至少低3.5℃。冷媒的温升宜采用5℃~10℃,其流速宜采用0.6m/s~1.5m/s;
3 迎风面的空气质量流速宜采用2.5 kg/(㎡·s)~3.5kg/(㎡·s),当迎风面的空气质量流速大于3.Okg/(㎡·s)时,应在冷却器后设置挡水板;
4 低温送风空调系统的空气冷却器,应符合本规范第7.3.13条的规定要求。
条文说明
7.5.4 空气冷却器的选择
规定空气冷却器的冷媒进口温度应比空气的出口干球温度至少低3.5℃,是从保证空气冷却器有一定的热质交换能力提出来的。在空气冷却器中,空气与冷媒的流动方向主要为逆交叉流。一般认为,冷却器的排数大于或等于4排时,可将逆交叉流看成逆流。按逆流理论推导,空气的终温是逐渐趋近冷媒初温。
冷媒温升宜为5℃~1O℃,是从减小流量、降低输配系统能耗的角度考虑确定的。
据实测,冷水流速在2m/s以上时,空气冷却器的传热系数K值几乎没有什么变化,但却增加了冷水系统的能耗。冷水流速只有在1.5m/s以下时,K值才会随冷水流速的提高而增加,其主要原因是水侧热阻对冷却器换热的总热阻影响不大,加大水侧放热系数,K值并不会得到多大提高。所以,从冷却器传热效果和水流阻力两者综合考虑,冷水流速以取0.6m/s~1.5m/s为宜。
空气冷却器迎风面的空气流速大小,会直接影响其外表面的放热系教。据测定,当风速在1.5m/s~3.0m/s范围内,风速每增加0.5m/s,相应的放热系数递增率在10%左右。但是,考虑到提高风速不仅会使空气侧的阻力增加,而且会把凝结水吹走,增加带水量,所以,一般当质量流速大于3.0kg/(m2·s)时,应设挡水板。在采用带喷水装置的空气冷却器时,一般都应设挡水板。
7.5.5 制冷剂直接膨胀式空气冷却器的蒸发温度,应比空气的出口干球温度至少低3.5℃。常温空调系统满负荷运行时,蒸发温度不宜低于O℃;低负荷运行时,应防止空气冷却器表面结霜。
条文说明
7.5.5 制冷剂直接膨胀式空气冷却器的蒸发温度。
制冷剂蒸发温度与空气出口干球温度之差,和冷却器的单位负荷、冷却器结构形式、蒸发温度的高低、空气质量流速和制冷剂中的含油量大小等因素有关。根据国内空气冷却器产品设计中采用的单位负荷值、管内壁的制冷剂换热系数和冷却器肋化系数的大小,可以算出制冷剂蒸发温度应比空气的出口干球温度至少低3. 5℃,这一温差值也可以说是在技术上可能达到的最小值。随着今后蒸发器在结构设计上的改进,这一温差值必将会有所降低。
空气冷却器的设计供冷量很大时,若蒸发温度过低,会在低负荷运行的情况下,由于冷却器的供冷能力明显大于系统所需的供冷量,造成空气冷却器表面易于结霜,影响制冷机的正常运行。因此,在低负荷运行时,设计上应采取防止冷却器表面结霜的措施。
7.5.6 空调系统不得采用氨作制冷剂的直接膨胀式空气冷却器。
条文说明
7.5.6 直接膨胀式空气冷却器的制冷剂选择。强制性条文。
为防止氨制冷剂的泄漏时,经送风机直接将氨送至空调区,危害人体或造成其他事故,所以采用制冷剂直接膨胀式空气冷却器时,不得用氨作制冷剂。
7.5.7 空气加热器的选择,应符合下列规定:
1 加热空气的热媒宜采用热水;
2 工艺性空调,当室温允许波动范围小于±1. O℃时,送风末端的加热器宜采用电加热器;
3 热水的供水温度及供回水温差,应符合本规范第8.5.1条的规定。
条文说明
7.5.7 应用加热器的注意事项。
合理地选用空调系统的热媒,是为了满足空调控制精确度和稳定性要求。
对于室温要求波动范围等于或大于±1. 0℃的空调区,采用热水热媒,是可以满足要求的;对于室温要求波动范围小于±1.0℃的空调区,为满足控制要求,送风末端可增设用于精度调节的加热器,该加热器可采用电加热器,以确保满足控制的要求。
7.5.8 两管制水系统,当冬夏季空调负荷相差较大时,应分别计算冷、热盘管的换热面积;当二者换热面积相差很大时,宜分别设置冷、热盘管。
条文说明
7.5.8 两管制水系统的冷、热盘管选用。
许多两管制的空调水系统中,空气的加热和冷却处理均由一组盘管来实现。设计时,通常以供冷量来计算盘管的换热面积,当盘管的供冷量和供热量差异较大时,盘管的冷水和热水流量相差也较大,会造成电动控制阀在供热工况时的调节性能下降,对控制不利。另外,热水流量偏小时,在严寒或寒冷地区,也可能造成空调机组的盘管冻裂现象出现。
综合以上原因,对两管制的冷、热盘管选用作出了规定。
7.5.9 空调系统的新风和回风应经过滤处理。空气过滤器的设置,应符合下列规定:
1 舒适性空调,当采用粗效过滤器不能满足要求时,应设置中效过滤器;
2 工艺性空调,应按空调区的洁净度要求设置过滤器;
3 空气过滤器的阻力应按终阻力计算;
4 宜设置过滤器阻力监测、报警装置,并应具备更换条件。
条文说明
7.5.9 空气过滤器的设置。
根据《空气过滤器》GB/T 14295的规定,空气过滤器按其性能可分为:粗效过滤器、中效过滤器、高中效过滤器及亚高效过滤器,其中,中效过滤器额定风量下的计数效率为:70%>E≥20%(粒径≥0.5μm)。
1 舒适性空调,一般都有一定的洁净度要求,因此,送入室内的空气都应通过必要的过滤处理;同时,为防止盘管的表面积尘,严重影响其热湿交换性能,进入盘管的空气也需进行过滤处理。工程实践表明,设置一级粗效过滤器时,空调区的空气洁净度有时不易满足要求。
2 工艺性空调,尤其净化空调,其空气过滤器应按有关规范要求设置,如医院手术室,其空调过滤器的设置应符合《医院洁净手术部建筑技术规范》GB 50333的规定。
3 过滤器的滤料应选用效率高、阻力低和容尘量大的材料。由于过滤器的阻力会随着积尘量的增加而增大,为防止系统阻力的增加而造成风量的减少,过滤器的阻力应按其终阻力计算。空气过滤器额定风量下的终阻力分别为:粗效过滤器100Pa,中效过滤器160Pa。
7.5.10 对于人员密集空调区或空气质量要求较高的场所,其全空气空调系统宜设置空气净化装置。空气净化装置的类型,应根据人员密度、初投资、运行费用及空调区环境要求等,经技术经济比较确定,并符合下列规定:
1 空气净化装置类型的选择应根据空凋区污染物性质选择;
2 空气净化装置的指标应符合现行相关标准。
条文说明
7.5.10 空气净化装置的选择。
人员密集及有较高空气质量要求的建筑,设置空气净化装置有利于提高室内空气质量,防止病菌交叉污染。近年来,空气净化装置在大型公共建筑中被广泛应用,如奥运场馆、世博园区、首都机场T3航站楼,北京、上海和广州等城市的地铁站等;此外大型既有建筑的空调系统改造时,也加装了空气净化装置。
国家质检部门近年来对上百种空气净化装置的检测结果表明,大部分产品能够起到改善环境净化空气的作用。在实际工程中,达不到理想效果的空气净化装置,其主要原因是:①系统设计风速超过空气净化装置的额定风速;②空气净化装置与管道和其他系统部件连接过程中缺乏基本的密封措施,造成污染物未经处理泄露;③空气净化装置没有完全按照设计进行安装、维护和清理。因此,在空气净化装置选择时其净化技术指标、电气安全和臭氧发生指标等应符合国家标准《空气过滤器》GB/T 14295及相关的产品制造和检测标准要求。
目前,工程常用的空气净化装置有高压静电、光催化、吸附反应型等三大类空气净化装置。各类空气净化装置具有以下特点:
高压静电式空气净化装置,对颗粒物净化效率良好,对细菌有一定去除作用,对有机气体污染物效果不明显。因此在颗粒物污染严重的环境,宜采用此类净化装置,初投资虽然较高,但空气净化机组本身阻力低,系统能耗和运行费用较低。此类净化装置有可能产生臭氧,设计选型时需要特别注意查看产品有关臭氧指标的检测报告。
光催化型空气净化装置,对细菌等达到较好的净化效果,但此类净化装置易受到颗粒物污染造成失效,所以应加装中效空气过滤器进行保护,并定期检查清洗。此类净化装置有可能产生臭氧,设计选型时需要特别注意查看产品有关臭氧指标的检测报告。
吸附反应型净化装置,对有机气体污染物效果最好,对颗粒物等也有一定效果,无二次污染,但是净化设备阻力较高,需要定期更换滤网或吸附材料等。
另外,可靠的接地是用电安全的必要措施,高压静电空气净化装置有相应的用电安全要求。
7.5.11 空气净化装置的设置应符合下列规定:
1 空气净化装置在空气净化处理过程中不应产生新的污染;
2 空气净化装置宜设置在空气热湿处理设备的进风口处,净化要求高时可在出风口处设置二级净化装置;
3 应设置检查口;
4 宜具备净化失效报警功能;
5 高压静电空气净化装置应设置与风机有效联动的措施。
条文说明
7.5.11 空气净化装置设置。
1 高压静电空气净化装置的在净化空调中应用时稳定性差,同时容易产生二次扬尘,光催化型空气净化装置不具备颗粒物净化的功能,因此在洁净手术部、无菌病房等净化空调系统中不得将其作为末级净化设施。
2 空气热湿处理设备是指组合式空调、风机盘管机组、变风量末端等。
4 由于空气净化装置的净化工作过程受环境影响较大,所以应设置报警装置在设备的净化功能失效时,能及时通知进行维护。
5 高压静电空气净化装置为了防止在无空气流动时启动空气净化装置,造成空气处理设备内臭氧浓度过高而采取的技术措施,应设置与风机的联动。
7.5.12 冬季空调区湿度有要求时,宜设置加湿装置。加湿装置的类型,应根据加湿量、相对湿度允许波动范围要求等,经技术经济比较确定,并应符合下列规定:
1 有蒸汽源时,宜采用干蒸汽加湿器;
2 无蒸汽源,且空调区湿度控制精度要求严格时,宜采用电加湿器;
3 湿度要求不高时,可采用高压喷雾或湿膜等绝热加湿器;
4 加湿装置的供水水质应符合卫生要求。
条文说明
7.5.12 加湿装置的选择。
目前,常用的加湿装置有干蒸汽加湿器、电加湿器、高压喷雾加湿器、湿膜加湿器等。
1 干蒸汽加湿器,具有加湿迅速、均匀、稳定,并不带水滴,有利于细菌的抑制等特点,因此,在有蒸汽源可利用时,宜优先考虑采用干蒸汽加湿器。干蒸汽加湿器所采用的蒸汽压力一般应小于0.1MPa。
2 常用的电加湿器有电极式、电热式蒸汽加湿器。该加湿器具有蒸汽加湿的各项优点,且控制方便灵活,可以满足空调区对相对湿度允许波动范围要求严格的要求,但该类加湿器耗电量大,运行、维护费用较高。
3 湿度要求不高是指相对湿度值不高或湿度控制精度要求不高的情况。
高压喷雾加湿器和湿膜加湿器等绝热加湿器具有耗电量低,初投资及运行费用低等优点,在普通民用建筑中得到广泛应用,但该类加湿易产生微生物污染,卫生要求较严格的空调区,如医院手术室等,不应采用。
4 由于加湿处理后的空气,会影响室内空气质量,因此,加湿器的供水水质应符合卫生标准要求,可采用生活饮用水等。
7.5.13 空气处理机组宜安装在空调机房内。空调机房应符合下列规定:
1 邻近所服务的空调区;
2 机房面积和净高应根据机组尺寸确定,并保证风管的安装空间以及适当的机组操作、检修空间;
3 机房内应考虑排水和地面防水设施。
条文说明
7.5.13 空调机房的设计。
空气处理机组安装在空调机房内,有利于日常维修和噪声控制。
空气处理机组安装在邻近所服务的空调区机房内,可减小空气输送能耗和风机压头,也可有效地减小机组噪声和水患的危害。新建筑设计时,应将空气处理机组安装在空调机房内,并留有必要的维修通道和检修空间;同时,宜避免由于机房面积的原因,机组的出风风管采用突然扩大的静压箱来改变气流方向,以导致机组风机压头损失较大,造成实际送风量小于设计风量的现象发生。
冷源与热源
8.1 一般规定
8.1.1 供暖空调冷源与热源应根据建筑物规模、用途、建设地点的能源条件、结构、价格以及国家节能减排和环保政策的相关规定等,通过综合论证确定,并应符合下列规定:
1 有可供利用的废热或工业余热的区域,热源宜采用废热或工业余热。当废热或工业余热的温度较高、经技术经济论证合理时,冷源宜采用吸收式冷水机组;
2 在技术经济合理的情况下,冷、热源宜利用浅层地能、太阳能、风能等可再生能源。当采用可再生能源受到气候等原因的限制无法保证时,应设置辅助冷、热源;
3 不具备本条第1、2款的条件,但有城市或区域热网的地区,集中式空调系统的供热热源宜优先采用城市或区域热网;
4 不具备本条第1、2款的条件,但城市电网夏季供电充足的地区,空调系统的冷源宜采用电动压缩式机组;
5 不具备本条第1款~4款的条件,但城市燃气供应充足的地区,宜采用燃气锅炉、燃气热水机供热或燃气吸收式冷(温)水机组供冷、供热;
6 不具备本条第1款~5款条件的地区,可采用燃煤锅炉、燃油锅炉供热,蒸汽吸收式冷水机组或燃油吸收式冷(温)水机组供冷、供热;
7 夏季室外空气设计露点温度较低的地区,宜采用间接蒸发冷却冷水机组作为空调系统的冷源;
8 天然气供应充足的地区,当建筑的电力负荷、热负荷和冷负荷能较好匹配、能充分发挥冷、热、电联产系统的能源综合利用效率并经济技术比较合理时,宜采用分布式燃气冷热电三联供系统;
9 全年进行空气调节,且各房间或区域负荷特性相差较大,需要长时间地向建筑物同时供热和供冷,经技术经济比较合理时,宜采用水环热泵空调系统供冷、供热;
10 在执行分时电价、峰谷电价差较大的地区,经技术经济比较,采用低谷电价能够明显起到对电网“削峰填谷”和节省运行费用时,宜采用蓄能系统供冷供热;
11 夏热冬冷地区以及干旱缺水地区的中、小型建筑宜采用空气源热泵或土壤源地源热泵系统供冷、供热;
12 有天然地表水等资源可供利用、或者有可利用的浅层地下水且能保证100%回灌时,可采用地表水或地下水地源热泵系统供冷、供热;
13 具有多种能源的地区,可采用复合式能源供冷、供热。
条文说明
8.1.1 供暖空调冷源与热源选择基本原则。
冷源与热源包括冷热水机组、建筑物内的锅炉和换热设备、直接蒸发冷却机组、多联机、蓄能设备等。
建筑能耗占我国能源总消费的比例已达27.6%,在建筑能耗中,暖通空调系统和生活热水系统耗能比例接近60%。公共建筑中,冷热源的能耗占空调系统能耗40%以上。当前各种机组、设备类型繁多,电制冷机组、溴化锂吸收式机组及蓄冷蓄热设备等各具特色,地源热泵、蒸发冷却等利用可再生能源或天然冷源的技术应用广泛。由于使用这些机组和设备时会受到能源、环境、工程状况使用时间及要求等多种因素的影响和制约,因此应客观全面地对冷热源方案进行技术经济比较分析,以可持续发展的思路确定合理的冷热源方案。
1 热源应优先采用废热或工业余热,可变废为宝,节约资源和能耗。当废热或工业余热的温度较高、经技术经济论证合理时,冷源宜采用吸收式冷水机组,可以利用热源制冷。
2 面对全球气候变化,节能减排和发展低碳经济成为各国共识。温家宝总理出席于2009年12月在丹麦哥本哈根举行的《联合国气候变化框架公约》,提出2020年中国单位国内生产总值二氧化碳排放比2005年下降40%~45%。随着《中华人民共和国可再生能源法》、《中华人民共和国节约能源法》、《民用建筑节能条例》、《可再生能源中长期发展规划》等一系列法规的出台,政府一方面利用大量补贴、税收优惠政策来刺激清洁能源产业发展;另一方面也通过法规,帮助能源公司购买、使用可再生能源。因此地源热泵系统、太阳能热水器等可再生能源技术应用的市场发展迅猛,应用广泛。但是,由于可再生能源的利用与室外环境密切相关,从全年使用角度考虑,并不是任何时候都可以满足应用需求的,因此当不能保证时,应设置辅助冷、热源来满足建筑的需求。
3 北方地区,发展城镇集中热源是我国北方供热的基本政策,发展较快,较为普遍。具有城镇或区域集中热源时,集中式空调系统应优先采用。
4 电动压缩式机组具有能效高、技术成熟、系统简单灵活、占地面积小等特点,因此在城市电网夏季供电充足的区域,冷源宜采用电动压缩式机组。
5 对于既无城市热网,也没有较充足的城市供电的地区,采用电能制冷会受到较大的限制,如果其城市燃气供应充足的话,采用燃气锅炉、燃气热水机作为空调供热的热源和燃气吸收式冷(温)水机组作为空调冷源是比较合适的。
6 既无城市热网,也无燃气供应的地区,集中空调系统只能采用燃煤或者燃油来提供空调热源和冷源。采用燃油时,可以采用燃油吸收式冷(温)水机组。采用燃煤时,则只能通过设置吸收式冷水机组来提供空调冷源。这种方式应用时,需要综合考虑燃油的价格和当地环保要求。
7 在高温干燥地区,可通过蒸发冷却方式直接提供用于空调系统的冷水,减少了人工制冷的能耗,符合条件的地区应优先推广采用。通常来说,当室外空气的露点温度低于14℃~15℃时,采用间接式蒸发冷却方式,可以得到接近16℃的空调冷水来作为空调系统的冷源。直接水冷式系统包括水冷式蒸发冷却、冷却塔冷却、蒸发冷凝等。
8 从节能角度来说,能源应充分考虑梯级利用,例如采用热、电、冷联产的方式。《中华人民共和国节约能源法》明确提出:“推广热电联产,集中供热,提高热电机组的利用率,发展热能梯级利用技术,热、电、冷联产技术和热、电、煤气三联供技术,提高热能综合利用率”。大型热电冷联产是利用热电系统发展供热、供电和供冷为一体的能源综合利用系统。冬季用热电厂的热源供热,夏季采用溴化锂吸收式制冷机供冷,使热电厂冬夏负荷平衡,高效经济运行。
9 用水环路将小型的水/空气热泵机组并联在一起,构成一个以回收建筑物内部余热为主要特点的热泵供暖、供冷的空调系统。需要长时间向建筑物同时供热和供冷时,可节省能源和减少向环境排热。水环热泵空调系统具有以下优点:①实现建筑物内部冷、热转移;②可独立计量;③运行调节比较方便等,在需要长时间向建筑物同时供热和供冷时,它能够减少建筑外提供的供热量而节能。但由于水环热泵系统的初投资相对较大,且因为分散设置后每个压缩机的安装容量较小,使得COP值相对较低,从而导致整个建筑空调系统的电气安装容量相对较大,因此,在设计选用时,需要进行较细的分析。从能耗上看,只有当冬季建筑物内存在明显可观的冷负荷时,才具有较好的节能效果。
10 蓄能系统的合理使用,能够明显提高城市或区域电网的供电效率,优化供电系统。同时,在分时电价较为合理的地区,也能为用户节省全年运行电费。为充分利用现有电力资源,鼓励夜间使用低谷电,国家和各地区电力部门制订了峰谷电价差政策。蓄冷空调系统对转移电力高峰,平衡电网负荷,有较大的作用。
11 热泵系统属于国家大力提倡的可再生能源的应用范围,有条件时应积极推广。但是,对于缺水、干旱地区,采用地表水或地下水存在一定的困难,因此中、小型建筑宜采用空气源或土壤源热泵系统为主(对于大型工程,由于规模等方面的原因,系统的应用可能会受到一些限制);夏热冬冷地区,空气源热泵的全年能效比较好,因此推荐使用;而当采用土壤源热泵系统时;中、小型建筑空调冷、热负荷的比例比较容易实现土壤全年的热平衡,因此也推荐使用。对于水资源严重短缺的地区,不但地表水或地下水的使用受到限制,集中空调系统的冷却水全年运行过程中水量消耗较大的缺点也会凸现出来,因此,这些地区不应采用消耗水资源的空调系统形式和设备(例如冷却塔、蒸发冷却等),而宜采用风冷式机组。
12 当天然水可以有效利用或浅层地下水能够确保100%回灌时,也可以采用地下水或地表水源地源热泵系统。
13 由于可供空气调节的冷热源形式越来越多,节能减排的形势要求出现了多种能源形式向一个空调系统供能的状况,实现能源的梯级利用、综合利用、集成利用。当具有电、城市供热、天然气、城市煤气等多种人工能源以及多种可能利用的天然能源形式时,可采用几种能源合理搭配作为空调冷热源。如“电+气”、“电+蒸汽”等。实际上很多工程都通过技术经济比较后采用了复合能源方式,降低了投资和运行费用,取得了较好的经济效益。城市的能源结构若是几种共存,空调也可适应城市的多元化能源结构,用能源的峰谷季节差价进行设备选型,提高能源的一次能效,使用户得到实惠。
8.1.2 除符合下列条件之一外,不得采用电直接加热设备作为空调系统的供暖热源和空气加湿热源:
1 以供冷为主、供暖负荷非常小,且无法利用热泵或其他方式提供供暖热源的建筑,当冬季电力供应充足、夜间可利用低谷电进行蓄热、且电锅炉不在用电高峰和平段时间启用时;
2 无城市或区域集中供热,且采用燃气、用煤、油等燃料受到环保或消防严格限制的建筑;
3 利用可再生能源发电,且其发电量能够满足直接电热用量需求的建筑;
4 冬季无加湿用蒸汽源,且冬季室内相对湿度要求较高的建筑。
条文说明
8.1.2 电能作为直接热源的限制条件。强制性条文。
常见的采用直接电能供热的情况有:电热锅炉、电热水器、电热空气加热器、电极(电热)式加湿器等。合理利用能源、提高能源利用率、节约能源是我国的基本国策。考虑到国内各地区的具体情况,在只有符合本条所指的特殊情况时方可采用。
1 夏热冬暖地区冬季供热时,如果没有区域或集中供热,那么热泵是一个较好的选择方案。但是,考虑到建筑的规模、性质以及空调系统的设置情况,某些特定的建筑,可能无法设置热泵系统。如果这些建筑冬季供热设计负荷很小(电热负荷不超过夏季供冷用电安装容量的20%且单位建筑面积的总电热安装容量不超过20W/㎡),允许采用夜间低谷电进行蓄热。同样,对于设置了集中供热的建筑,其个别局部区域(例如:目前在一些南方地区,采用内、外区合一的变风量系统且加热量非常低时——有时采用窗边风机及低容量的电热加热、建筑屋顶的局部水箱间为了防冻需求等)有时需要加热,如果为此单独设置空调热水系统可能难度较大或者条件受到限制或者投入非常高时,也允许局部采用。
2 对于一些具有历史保护意义的建筑,或者位于消防及环保有严格要求无法设置燃气、燃油或燃煤区域的建筑,由于这些建筑通常规模都比较小,在迫不得已的情况下,也允许适当地采用电进行供热,但应在征求消防、环保等部门的规定意见后才能进行设计。
3 如果该建筑内本身设置了可再生能源发电系统(例如利用太阳能光伏发电、生物质能发电等),且发电量能够满足建筑本身的电热供暖需求,不消耗市政电能时,为了充分利用其发电的能力,允许采用这部分电能直接用于供热。
4 在冬季无加湿用蒸汽源、但冬季室内相对湿度的要求较高且对加湿器的热惰性有工艺要求(例如有较高恒温恒湿要求的工艺性房间),或对空调加湿有一定的卫生要求(例如无菌病房等),不采用蒸汽无法实现湿度的精度要求或卫生要求时,才允许采用电极(或电热)式蒸汽加湿器。而对于一般的舒适型空调来说,不应采用电能作为空气加湿的能源。当房间因为工艺要求(例如高精度的珍品库房等)对相对湿度精度要求较高时,通常宜设置末端再热。为了提高系统的可靠性和可调性(同时这些房间可能也不允许末端带水),可以适当的采用电为再热的热源。
8.1.3 公共建筑群同时具备下列条件并经技术经济比较合理时,可采用区域供冷系统:
1 需要设置集中空调系统的建筑的容积率较高,且整个区域建筑的设计综合冷负荷密度较大;
2 用户负荷及其特性明确;
3 建筑全年供冷时间长,且需求一致;
4 具备规划建设区域供冷站及管网的条件。
条文说明
8.1.3 公共建筑群区域供冷系统应用条件。
本条文规定了公共建筑群区域供冷系统的应用条件。区域供冷系统供冷半径过长,必然导致输送能耗增加,其耗电输冷(热)比应符合第8.5.12条规定的限值。
1 通常,设备的容量越大,运行能效也越高,当系统较大时,“系统能源综合利用率”比较好。对于区域内各建筑的逐时冷热负荷曲线差异性较大、且各建筑同时使用率比较低的建筑群,采用区域供冷、供热系统,自动控制系统合理时,集中冷热共用系统的总装机容量小于各建筑的装机容量叠加值,可以节省设备投资和供冷、供热的设备房面积。而专业化的集中管理方式,也可以提高系统能效。因此具有整个建筑群的安装容量较低、综合能效较好的特点,但是区域系统较大时,同样也可能导致输送能耗增加。因此采用区域供冷时,需要协调好两者的关系。从定性来看,当需要集中空调的建筑容积率比较高时,集中供冷系统的缺点在一定程度上得到了缓解,而其优点得到了一定程度的体现。从目前公共建筑的经验指标来看,对于除严寒地区外的大部分公共建筑来说,当需要集中空调的建筑容积率达到2.0以上时,其区域的“冷负荷密度”与建筑容积率为5~6的采用集中空调的单栋建筑是相当的。但是,对于严寒地区和夏热冬冷地区,由于建筑的性质以及不同地点气候的差异,有些建筑可能容积率很高但负荷密度并不大,因此,这些气候区域在是否决定采用区域供冷时,还需要采用所建设区域的“冷负荷密度(w/㎡)”来评价,这样相当于同时设置了两个应用条件来限制。从目前的设计过程来看,是否采用区域供冷系统,通常都是在最初的方案论证阶段就需要决定的事。在方案阶段,区域的“冷负荷密度”还很难得到详细的数据,这时一般根据采用以前的一些经验指标来估算。因此也要求在此阶段对“冷负荷密度”的估算有比较高的准确性,设计人应在掌握充分的基础资料前提下来进行,而不能随意估算和确定。因此规定:使用区域供冷系统的建筑容积率在2.0以上,建筑设计综合冷负荷密度不低于60W/㎡。
本条文提到的“设置集中空调系统的建筑的容积率”,其计算方法为:该区域所有设置集中空调系统的建筑的体积(地上部分)之和,与该区红线内的规划占地面积之比。
本条文提到的“设计综合冷负荷密度”,指的是:该区域设计状态下的综合冷负荷(即:区域供冷站的装机容量,包括考虑了同时使用系数等因素),与该区域总建筑面积之比。
2 实践表明:区域供冷的能效是否合理,在很大程度上还取决于该区域的建筑(用户)是否都能够接受区域供冷的方式。如果区域供冷系统建造完成后实际用户不多,那么很难发挥其优势,反而会体现出能耗较大等不足。因此在此提出了相关的用户要求。
3 当区域内的建筑全年有较长的供冷季节性需求,且各建筑的需求比较一致时,采用区域供冷能够提高设备和系统的使用率,有利于发挥区域供冷的优点。
4 由于区域供冷系统的供冷站和区域管网的建设工程量大,作为整个区域建设规划的一项重要工程,应在区域规划设计阶段予以考虑,因此,规划中需要具备规划建设区域供冷站及管网的条件。
8.1.4 符合下列情况之一时,宜采用分散设置的空调装置或系统:
1 全年需要供冷、供暖运行时间较少,采用集中供冷、供暖系统不经济的建筑;
2 需设空气调节的房间布置过于分散的建筑;
3 设有集中供冷、供暖系统的建筑中,使用时间和要求不同的少数房间;
4 需增设空调系统,而机房和管道难以设置的既有建筑;
5 居住建筑。
条文说明
8.1.4 空调装置或系统分散设置情况。
这里提到的分散设置的空调装置或系统,主要指的是分散独立设置的蒸发冷却方式或直接膨胀式空调系统(或机组)。直接膨胀式与蒸发冷却式空调系统(或机组),在功能上存在一定的区别:直接膨胀式采用的是冷媒通过制冷循环而得到需要的空调冷、热源或空调冷、热风;而蒸发冷却式则主要依靠天然的干燥冷空气或天然的低温冷水来得到需要的空调冷、热源或空调冷、热风,在这一过程中没有制冷循环的过程。直接膨胀式又包括了风冷式和水冷式两类(但不包括采用了集中冷却塔的水环热泵系统)。
当建筑全年供冷需求的运行时间较少时,如果采用设置冷水机组的集中供冷空调系统,会出现全年集中供冷系统设备闲置时间长的情况,导致系统的经济性较差;同理,如果建筑全年供暖需求的时间少,采用集中供暖系统也会出现类似情况。因此,如果集中供冷、供暖的经济性不好,宜采用分散式空调系统。从目前情况看:建议可以以全年供冷运行季节时间3个月(非累积小时)和年供暖运行季节时间2个月,来作为上述的时间分界线。当然,在有条件时,还可以采用全年负荷计算与分析方法,或者通过供冷与供暖的“度日数”等方法,通过经济分析来确定。
分散设置的空调系统,虽然设备安装容量下的能效比低于集中设置的冷(热)水机组或供热、换热设备,但其使用灵活多变,可适应多种用途、小范围的用户需求。同时,由于它具有容易实现分户计量的优点,能对行为节能起到促进作用。
对于既有建筑增设空调系统时,如果设置集中空调系统,在机房、管道设置方面存在较大的困难时,分散设置空调系统也是一个比较好的选择。
8.1.5 集中空调系统的冷水(热泵)机组台数及单机制冷量(制热量)选择,应能适应空调负荷全年变化规律,满足季节及部分负荷要求。机组不宜少于两台;当小型工程仅设一台时,应选调节性能优良的机型,并能满足建筑最低负荷的要求。
条文说明
8.1.5 集中空调系统的冷水机组台数及单机制冷量要求。
在大中型公共建筑中,或者对于全年供冷负荷需求变化幅度较大的建筑,冷水(热泵)机组的台数和容量的选择,应根据冷(热)负荷大小及变化规律而定,单台机组制冷量的大小应合理搭配,当单机容量调节下限的制冷量大于建筑物的最小负荷时,可选1台适合最小负荷的冷水机组,在最小负荷时开启小型制冷系统满足使用要求,这已在许多工程中取得很好的节能效果。如果每台机组的装机容量相同,此时也可以采用一台变频调速机组的方式。
对于设计冷负荷大于528kW以上的公共建筑,机组设置不宜少于2台,除可提高安全可靠性外,也可达到经济运行的目的。因特殊原因仅能设置1台时,应采用可靠性高,部分负荷能效高的机组。
8.1.6 选择电动压缩式制冷机组时,其制冷剂应符合国家现行有关环保的规定。
条文说明
8.1.6 电动压缩式机组制冷剂要求。
大气臭氧层消耗和全球气候变暖是与空调制冷行业相关的两项重大环保问题。单独强调制冷剂的消耗臭氧层潜能值(ODP)或全球变暖潜能值(GWP)都是不全面与科学的。国标《制冷剂编号方法和安全性分类》GB/T 7778定义了制冷剂的环境指标。
8.1.7 选择冷水机组时,应考虑机组水侧污垢等因素对机组性能的影响,采用合理的污垢系数对供冷(热)量进行修正。
条文说明
8.1.7 冷水机组的冷(热)量修正。
由于实际工程中的水质与机组标准工况所规定的水质可能存在区别,而结垢对机组性能的影响很大。因此,当实际使用的水质与标准工况下所规定的水质条件不一致时,应进行修正。一般来说,机组运行保养较好时(例如采用在线清洁等方式),水质条件较好,修正系数可以忽略;当设计时预计到机组的运行保养可能不及时或水质较差等不利因素时,宜对污垢系数进行适当的修正。
溴化锂吸收式机组由于运行管理等方面原因,有可能出现真空度不够和腐蚀的情况,对产品的实际性能产生一定的影响,设计中需要予以考虑。
8.1.8 空调冷(热)水和冷却水系统中的冷水机组、水泵、末端装置等设备和管路及部件的工作压力不应大于其额定工作压力。
条文说明
8.1.8 空调冷热水和冷却水系统防超压。强制性条文。
保证设备在实际运行时的工作压力不超过其额定工作压力,是系统安全运行的必须要求。
当由于建筑高度等原因,导致冷(热)系统的工作压力可能超过设备及管路附件的额定工作压力时,采取的防超压措施可能包括以下内容:当冷水机组进水口侧承受的压力大于所选冷水机组蒸发器的承压能力时,可将水泵安装在冷水机组蒸发器的出水口侧,降低冷水机组的工作压力;选择承压更高的设备和管路及部件;空调系统竖向分区。空调系统竖向分区也可采用分别设置高、低区冷热源,高区采用换热器间接连接的闭式循环水系统,超压部分另设置自带冷热源的风冷设备等。
当冷却塔高度有可能使冷凝器、水泵及管路部件的工作压力超过其承压能力时,应采取的防超压措施包括:降低冷却塔的设置位置,选择承压更高的设备和管路及部件等。当仅冷却塔集水盘或集水箱高度大于冷水机组进水口侧承受的压力大于所选冷水机组冷凝器的承压能力时,可将水泵安装在冷水机组的出水口侧,减少冷水机组的工作压力。当冷却塔安装位置较低时,冷却水泵宜设置在冷凝器的进口侧,以防止高差不足水泵负压进水。
8.2 电动压缩式冷水机组
8.2.1 选择水冷电动压缩式冷水机组类型时,宜按表8.2.1中的制冷量范围,经性能价格综合比较后确定。

条文说明
8.2.1 水冷电动压缩式冷水机组制冷量范围划分。
本条对目前生产的水冷式冷水机组的单机制冷量做了大致的划分,提供选型时参考。
1 表中对几种机型制冷范围的划分,主要是推荐采用较高性能参数的机组,以实现节能。
2 螺杆式和离心式之间有制冷量相近的型号,可通过性能价格比,选择合适的机型。
3 往复式冷水机组因能效低已很少使用,故未列入本表。
8.2.2 电动压缩式冷水机组的总装机容量,应根据计算的空调系统冷负荷值直接选定,不另作附加;在设计条件下,当机组的规格不能符合计算冷负荷的要求时,所选择机组的总装机容量与计算冷负荷的比值不得超过1.1。
条文说明
8.2.2 冷水机组总装机容量确定要求。强制性条文。
从实际情况来看,目前几乎所有的舒适性集中空调建筑中,都不存在冷源的总供冷量不够的问题,大部分情况下,所有安装的冷水机组一年中同时满负荷运行的时间没有出现过,甚至一些工程所有机组同时运行的时间也很短或者没有出现过。这说明相当多的制冷站房的冷水机组总装机容量过大,实际上造成了投资浪费。同时,由于单台机组装机容量也同时增加,还导致了其在低负荷工况下运行,能效降低。因此,对设计的装机容量做出了本条规定。
目前大部分主流厂家的产品,都可以按照设计冷量的需求来提供冷水机组,但也有一些产品采用的是“系列化或规格化”生产。为了防止冷水机组的装机容量选择过大,本条对总容量进行了限制。
对于一般的舒适性建筑而言,本条规定能够满足使用要求。对于某些特定的建筑必须设置备用冷水机组时(例如某些工艺要求必须24小时保证供冷的建筑等),其备用冷水机组的容量不统计在本条规定的装机容量之中。
值得注意的是:本条提到的比值不超过1.1,是一个限制值。设计人员不应理解为选择设备时的“安全系数”。
8.2.3 冷水机组的选型应采用名义工况制冷性能系数(COP)较高的产品,并同时考虑满负荷和部分负荷因素,其性能系数应符合现行国家标准《公共建筑节能设计标准》GB 50189的有关规定。
条文说明
8.2.3 冷水机组制冷性能系数要求。
冷水机组名义工况制冷性能系数(COP)是指在下表温度条件下,机组以同一单位标准的制冷量除以总输入电功率的比值。
本条提出在机组选型时,除考虑满负荷运行时性能系数外,还应考虑部分负荷时的性能系数。实践证明,冷水机组满负荷运行率相对较少,大部分时间是在部分负荷下运行。由于绝大部分项目采用多台冷水机组,根据ARI Standard 550/590标准D2的叙述:“在多台冷水机组系统中的各个单台冷水机组是要比单台冷水机组系统中的单台冷水机组更接近高负荷运行”,故机组的高负荷下的COP具有代表意义。

《公共建筑节能设计标准》GB 50189-2005第5.4.5条和5.4.6条分别对COP、IPLV进行了规定,第5.4.8条对单元式空调机最低性能系数进行了规定,本规范应符合其规定。有条件时,鼓励使用《冷水机组能效限定值及能源效率等级》GB 19577规定的1、2级能效的机组。推荐使用比最低性能系数(COP)提高1个能效等级的冷水机组。主要是考虑了国家的节能政策和我国产品现有水平,鼓励国产机组尽快提高技术水平。
IPLV应用过程中需注意以下问题:
1 1PLV重点在于产品性能的评价和比较,应用时不宜直接采用IPLV对某个实际工程的机组全年能耗进行评价。机组能耗与机组的运行时间、机组负荷、机组能效三要素相关。在单台机组承担空调系统负荷前提下,单台机组的IPLV高,其全年能耗不一定低。
2 实际工程中采用多台机组时,对于单台机组来说,其全年的低负荷率及低负荷运行的时间是不一样的。台数越多,且采用群控方式运行时,其单台的全年负荷率越高。故单台冷水机组在各种机组负荷下运行时间百分比,与IPLV中各种机组负荷下运行时间百分比会存在较大的差距。
3 各地区气象条件差异较大,因此对不同的工程,需要结合建筑负荷和室外气象条件进行分析。
8.2.4 电动压缩式冷水机组电动机的供电方式应符合下列规定:
1 当单台电动机的额定输入功率大于1200kW时,应采用高压供电方式;
2 当单台电动机的额定输入功率大于900kW而小于或等于1200kW时,宜采用高压供电方式;
3 当单台电动机的额定输入功率大于650kW而小于或等于900kW时,可采用高压供电方式。
条文说明
8.2.4 冷水机组电动机供电方式要求。
1 大型项目需要大型或特大型冷水机组,因其电动机额定输入功率较大,故运行电流较大,导致电缆或母排因截面较大不利于其接头安装。采用高压电机,可以减小运行电流以及电缆和母排的铜损、铁损。由于减少低压变压器的装机容量,因此也减少了低压变压器的损耗和投资。但是高压冷水机组价格较高,高压电缆和母排的安全等级较高也会使相应投资的增加。
2 本条提到的高压,是指电压在380V至10kV的供电方式。目前电动压缩式冷水机组的电动机主要采用10kV、6kV和380V三种电压。由于350kV和10kV是常见的外网供电电压,若10kV外网供电,可直接采用10kV电机;若350kV外网供电,可采用两种变压器(350kV/10kV)和(350kV/6kV)。由于常见电压为10kV,故采用1OkV电机较多。由于绝大多数空调设备(水泵、风机、空调末端等)是380V供电,因此需要大量的低压变压设备(10kV/380V)或(6kV/380V),380V的冷水机组的供电容量占空调系统的供电容量比例很小,可不设专用变压器。但是高压冷水机组价格高,高压电缆和母排的安全等级高造成相应的投资增加,且380V的冷水机组技术成熟、价格低、运行管理方便、维修成本低,因此广泛应用于运行电流较小的中、小型项目中。
3 考虑到目前国内高压冷水机组的电机型号少且存在多种压缩机型号配一个高压电机型号的现象,使得客观上出现了最佳性价比的机组少,高能效机组少的情况;并且高压冷水机组要求空调工操作管理高压电器设备,并且电机的防护等级提高,因此运行管理水平要求较高。因此本规定主要是依据电力部门和强电设计师的要求,并结合目前已有的产品情况,对不同电机容量作了不同程度的要求。
8.2.5 采用氨作制冷剂时,应采用安全性、密封性能良好的整体式氨冷水机组。
条文说明
8.2.5 氨冷水机组要求。强制性条文。
由于在制冷空调用制冷剂中,碳氟化合物对大气臭氧层消耗或全球气候变暖有不利的影响,因此多国科研人员加紧对“天然”制冷剂的研究。随着氨制冷的工艺水平和研发技术不断提高,氨制冷的应用项目和范围将不断扩大。因此本规范仍然保留了关于氨制冷方面的内容。
由于氨本身为易燃易爆品,在民用建筑空调系统中应用时,需要引起高度的重视。因此本条文从应用的安全性方面提出了相关的要求。
8.3 热 泵
8.3.1 空气源热泵机组的性能应符合国家现行相关标准的规定,并应符合下列规定:k1
1 具有先进可靠的融霜控制,融霜时间总和不应超过运行周期时间的20%;
2 冬季设计工况时机组性能系数(COP),冷热风机组不应小于1.80,冷热水机组不应小于2.00;
3 冬季寒冷、潮湿的地区,当室外设计温度低于当地平衡点温度,或对于室内温度稳定性有较高要求的空调系统,应设置辅助热源;
4 对于同时供冷、供暖的建筑,宜选用热回收式热泵机组。
注:冬季设计工况下的机组性能系数是指冬季室外空调计算温度条件下,达到设计需求参数时的机组供热量(W)与机组输入功率(W)的比值。
条文说明
8.3.1 空气源热泵机组选择原则。
《公共建筑节能设计标准》GB 50189-2005第5.4.5条对风冷热泵COP限值进行了规定,本规范应符合其规定。
本条提出选用空气源热泵冷(热)水机组时应注意的问题:
1 空气源热泵的单位制冷量的耗电量较水冷冷水机组大,价格也高,为降低投资成本和运行费用,应选用机组性能系数较高的产品,并应满足国家现行《公共建筑节能设计标准》GB 50189的规定。此外,先进科学的融霜技术是机组冬季运行的可靠保证。机组在冬季制热运行时,室外空气侧换热盘管低于露点温度时,换热翅片上就会结霜,会大大降低机组运行效率,严重时无法运行,为此必须除霜。除霜的方法有很多,最佳的除霜控制应判断正确,除霜时间短,融霜修正系数高。近年来各厂家为此都进行了研究,对于不同气候条件采用不同的控制方法。设计选型时应对此进行了解,比较后确定。
2 空气源热泵机组比较适合于不具备集中热源的夏热冬冷地区。对于冬季寒冷、潮湿的地区使用时必须考虑机组的经济性和可靠性。室外温度过低会降低机组制热量;室外空气过于潮湿使得融霜时间过长,同样也会降低机组的有效制热量,因此我们必须计算冬季设计状态下机组的COP,当热泵机组失去节能上的优势时就不宜采用。这里对于性能上相对较有优势的空气源热泵冷热水机组的COP限定为2.00;对于规格较小、直接膨胀的单元式空调机组限定为1.80。
3 空气源热泵的平衡点温度是该机组的有效制热量与建筑物耗热量相等时的室外温度。当这个温度比建筑物的冬季室外计算温度高时,就必须设置辅助热源。
空气源热泵机组在融霜时机组的供热量就会受到影响,同时会影响到室内温度的稳定度,因此在稳定度要求高的场合,同样应设置辅助热源。设置辅助热源后,应注意防止冷凝温度和蒸发温度超出机组的使用范围。辅助加热装置的容量应根据在冬季室外计算温度情况下空气源热泵机组有效制热量和建筑物耗热量的差值确定。
4 带有热回收功能的空气源热泵机组可以把原来排放到大气中的热量加以回收利用,提高了能源利用效率,因此对于有同时供冷、供热要求的建筑应优先采用。
8.3.2 空气源热泵机组的有效制热量应根据室外空调计算温度,分别采用温度修正系数和融霜修正系数进行修正。
条文说明
- 3.2 空气源热泵机组制热量计算。
空气源热泵机组的冬季制热量会受到室外空气温度、湿度和机组本身的融霜性能的影响,在设计工况下的制热量通常采用下式计算:
Q=qk1k2 (34)
式中 Q——机组设计工况下的制热量(kW);
q——产品标准工况下的制热量(标准工况:室外空气干球温度7℃、湿球温度(6℃)(kW);
k1——使用地区室外空调计算干球温度修正系数,按产品样本选取;
k2——机组融霜修正系数,应根据生产厂家提供的数据修正;当无数据时,可按每小时融霜一次取0.9,两次取0.8。
注:每小时融霜次数可按所选机组融霜控制方式、冬季室外计算温度、湿度选取,或向厂家咨询。对于多联机空调系统,还要考虑管长的修正。
8.3.3 空气源热泵或风冷制冷机组室外机的设置,应符合下列规定:
1 确保进风与排风通畅,在排出空气与吸入空气之间不发生明显的气流短路;
2 避免受污浊气流影响;
3 噪声和排热符合周围环境要求;
4 便于对室外机的换热器进行清扫。
条文说明
8.3.3 空气源热泵室外机或风冷制冷机组设置要求。
本条提出的内容是空气源热泵或风冷制冷机组室外机设置时必须注意的几个问题:
1 空气源热泵机组的运行效率,很大程度上与室外机与大气的换热条件有关。考虑主导风向、风压对机组的影响,机组布置时避免产生热岛效应,保证室外机进、排风的通畅,防止进、排风短路是布置室外机时的基本要求。当受位置条件等限制时,应创造条件,避免发生明显的气流短路;如设置排风帽,改变排风方向等方法,必要时可以借助于数值模拟方法辅助气流组织设计。此外,控制进、排风的气流速度也是有效地避免短路的一种方法;通常机组进风气流速度宜控制在1.5 m/s~2.0 m/s,排风口的排气速度不宜小于7m/s。
2 室外机除了避免自身气流短路外,还应避免其他外部含有热量、腐蚀性物质及油污微粒等排放气体的影响,如厨房油烟排气和其他室外机的排风等。
3 室外机运行会对周围环境产生热污染和噪声影响,因此室外机应与周围建筑物保持一定的距离,以保证热量有效扩散和噪声自然衰减。对周围建筑物产生噪声干扰,应符合国家现行标准《声环境质量标准》GB 3096的要求。
4 保持室外机换热器清洁可以保证其高效运行,很有必要为室外机创造清扫条件。
8.3.4 地埋管地源热泵系统设计时,应符合下列规定:
1 应通过工程场地状况调查和对浅层地能资源的勘察,确定地埋管换热系统实施的可行性与经济性;
2 当应用建筑面积在5000m2以上时,应进行岩土热响应试验,并应利用岩土热响应试验结果进行地埋管换热器的设计;
3 地埋管的埋管方式、规格与长度,应根据冷(热)负荷、占地面积、岩土层结构、岩土体热物性和机组性能等因素确定;
4 地埋管换热系统设计应进行全年供暖空调动态负荷计算,最小计算周期宜为1年。计算周期内,地源热泵系统总释热量和总吸热量宜基本平衡;
5 应分别按供冷与供热工况进行地埋管换热器的长度计算。当地埋管系统最大释热量和最大吸热量相差不大时,宜取其计算长度的较大者作为地埋管换热器的长度;当地埋管系统最大释热量和最大吸热量相差较大时,宜取其计算长度的较小者作为地埋管换热器的长度,采用增设辅助冷(热)源,或与其他冷热源系统联合运行的方式,满足设计要求;
6 冬季有冻结可能的地区,地埋管应有防冻措施。
条文说明
8.3.4 地埋管地源热泵系统设计基本要求。部分强制性条文。
1 采用地埋管地源热泵系统首先应根据工程场地条件、地质勘察结果,评估埋地管换热系统实施的可行性与经济性。
2 利用岩土热响应试验进行地埋管换热器设计,是将岩土综合热物性参数、岩土初始平均温度和空调冷热负荷输入专业软件,在夏季工况和冬季工况运行条件下进行动态耦合计算,通过控制地埋管换热器夏季运行期间出口最高温度和冬季运行期间进口最低温度,进行地埋管换热器设计。
3 采用地埋管地源热泵系统,埋管换热系统是成败的关键。这种系统的计算与设计较为复杂,地埋管的埋管形式、数量、规格等必须根据系统的换热量、埋管占地面积、岩土体的热物理特性、地下岩土分布情况、机组性能等多种因素确定。
4 地源热泵地埋管系统的全年总释热量和总吸热量(单位:kWh)应基本平衡。对于地下水径流流速较小的地埋管区域,在计算周期内,地源热泵系统总释热量和总吸热量应平衡。两者相差不大指两者的比值在0.8~1.25之间。对于地下水径流流速较大的地埋管区域,地源热泵系统总释热量和总吸热量可以通过地下水流动(带走或获取热量)取得平衡。地下水的径流流速的大小区分原则:1个月内,地下水的流动距离超过沿流动方向的地埋管布置区域的长度为较大流速;反之为较小流速。
5 地埋管系统全年总释热量和总吸热量的平衡,是确保土壤全年热平衡的关键要求。地源热泵地埋管系统的设计,决定系统实时供冷量(或供热量)的关键技术之一在于地埋管与土壤的换热能力。因此,应分别计算夏季设计冷负荷与冬季设计热负荷情况下对地埋管长度的要求。
1)当地埋管系统的全年总释热量和总吸热量平衡(或基本平衡)时,就一般的设计原则而言,可以按照该系统作为建筑唯一的冷、热源来考虑,如果这时按照供冷和供热工况分别计算出的地埋管长度相同,说明系统夏季最大供冷量和冬季最大供热量刚好分别能够与建筑的夏季的设计冷负荷和冬季的设计热负荷相一致,则是最理想的;但由于不同的地区气候条件以及建筑的性质不同,大多数建筑无法做到这一点。因此,在此种情况下,应该按照供冷和供热工况分别计算出的两个地埋管长度中的较大者采用,才能保证系统作为唯一的冷、热源而满足全年的要求。
2)当地埋管系统的总释热量和总吸热量无法平衡时,不能将该系统作为建筑唯一的冷、热源(否则土壤年平均温度将发生变化),而应该设置相应的辅助冷源或热源。在这种情况下,如果还按照上述计算的地埋管长度的较大者来选择,显然是没有必要的,只是一种浪费。因此这时宜按照上述计算的地埋管长度的较小者来作为设计长度。举例说明:如果是供冷工况下的计算长度较小,则说明需要增加辅助热源来保证供热工况下的需求;反之则增加冷却塔等设备将一部分热量排至大气之中而减少对土壤的排热。当然,还可采用其他冷热源与地源热泵系统联合运行的方法解决,通过检测地下土壤温度,调整运行策略,保证整个冷热源系统全年高效率运行。地源热泵系统与其他常规能源系统联合运行,也可以减少系统造价和占地面积,其他系统主要用于调峰。
6 对于冬季有可能发生管道冻结的场所,需要采取合理的防冻措施,例如采用乙二醇溶液等。
8.3.5 地下水地源热泵系统设计时,应符合下列规定:
1 地下水的持续出水量应满足地源热泵系统最大吸热量或释热量的要求;地下水的水温应满足机组运行要求,并根据不同的水质采取相应的水处理措施;
2 地下水系统宜采用变流量设计,并根据空调负荷动态变化调节地下水用量;
3 热泵机组集中设置时,应根据水源水质条件确定水源直接进入机组换热器或另设板式换热器间接换热;
4 应对地下水采取可靠的回灌措施,确保全部回灌到同一含水层,且不得对地下水资源造成污染。
条文说明
8.3.5 地下水地源热泵系统设计要求。部分强制性条文。
本条针对采用地下水地源热泵系统时提出的基本要求:
1 地下水使用应征得当地水资源管理部门的同意。必须通过工程现场的水文地质勘察、试验资料,获取地下水资源详细数据,包括连续供水量、水温、地下水径流方向、分层水质、渗透系数等参数。有了这些资料才能判定地下水的可用性。
水源热泵机组的正常运行对地下水的水质有一定的要求。为满足水质要求可采用具有针对性的处理方法,如采用除砂器、除垢器、除铁处理等。正确的水处理手段是保证系统正常运行的前提,不容忽视。
2 采用变流量设计是为了尽量减少地下水的用量和减少输送动力消耗。但要注意的是:当地下水采用直接进入机组的方式时,应满足机组对最小水量的限制要求和最小水量变化速率的要求,这一点与冷水机组变流量系统的要求相同。
3 地下水直接进入机组还是通过换热器后间接进入机组,需要根据多种因素确定:水质、水温和维护的方便性。水质好的地下水宜直接进入机组,反之采用间接方法;维护简单工作量不大时采用直接方法;地下水直接进入机组有利于提高机组效率。因此设计人员可通过技术经济分析后确定。
4 强制性条款:为了保护宝贵的地下水资源,要求采用地下水全部回灌到同一含水层,并不得对地下水资源造成污染。为了保证不污染地下水,应采用封闭式地下水采集、回灌系统。在整个地下水的使用过程中,不得设置敞开式的水池、水箱等作为地下水的蓄存装置。
8.3.6 江河湖水源地源热泵系统设计时,应符合下列规定:
1 应对地表水体资源和水体环境进行评价,并取得当地水务主管部门的批准同意。当江河湖为航运通道时,取水口和排水口的设置位置应取得航运主管部门的批准;
2 应考虑江河的丰水、枯水季节的水位差;
3 热泵机组与地表水水体的换热方式应根据机组的设置、水体水温、水质、水深、换热量等条件确定;
4 开式地表水换热系统的取水口,应设在水位适宜、水质较好的位置,并应位于排水口的上游,远离排水口;地表水进入热泵机组前,应设置过滤、清洗、灭藻等水处理措施,并不得造成环境污染;
5 采用地表水盘管换热器时,盘管的形式、规格与长度,应根据冷(热)负荷、水体面积、水体深度、水体温度的变化规律和机组性能等因素确定;
6 在冬季有冻结可能的地区,闭式地表水换热系统应有防冻措施。
条文说明
8.3.6 江河湖水源地源热泵系统设计基本要求。
1 水源热泵机组采用地表水作为热源时,应对地表水体资源进行环境影响评估,以防止水体的温度变化过大而破坏生态平衡。一般情况下,水体的温度变化应限制在周平均最大温升不大于1℃,周平均最大温降不大于2℃的范围内。此外,地表水是一种资源,水资源利用必须获得各有关部门的批准,如水务部门和航运主管部门等。
2 由于江河的丰水、枯水季节水位变化较大,过大的水位差除了造成取水困难外,输送动力的增加也是不可小视,所以要进行技术经济比较后确定是否采用。
3 热泵机组与地表水水体的换热方式有闭式与开式两种:
当地表水体环境保护要求高,或水质复杂且水体面积较大、水位较深,热泵机组分散布置且数量众多(例如采用单元式空调机组)时,宜通过沉于地表水下的换热器与地表水进行热交换,采用闭式地表水换热系统。当换热量较大,换热器的布置影响到水体的正常使用时不宜采用闭式地表水换热系统。
当地表水体水质较好,或水体深度、温度等条件不适宜于采用闭式地表水换热系统时,宜采用开式地表水换热系统。直接从水体抽水和排水。开式系统应注意过滤、清洗、灭藻等问题。
4 为了避免取水与排水短路,开式地表水换热系统的取水口应选择水位较深、水质较好的位置且远离排水口,同时根据具体情况确定取水口与排水口的距离。当采用具有较好流动性的江、河水时,取水口应位于排水口的上游;如果采用平时流动性较差甚至不流动的水库、湖水时,取水口与排水口的距离应较大。为了保证热泵机组和系统的高效运行,地表水进入机组之前应采取相应的水处理措施;但需要注意的是:为了防止对地表水的污染,水处理措施应采用“非化学”方式,并符合环境的要求(例如环评报告等)。
6 防冻措施与8.3.4条相同。
8.3.7 海水源地源热泵系统设计时,应符合下列规定:
1 海水换热系统应根据海水水文状况、温度变化规律等进行设计;
2 海水设计温度宜根据近30年取水点区域的海水温度确定;
3 开式系统中的取水口深度应根据海水水深温度特性进行优化后确定,距离海底高度宜大于2.5m;取水口应能抵抗大风和海水的潮汐引起的水流应力;取水口处应设置过滤器、杀菌及防生物附着装置;排水口应与取水口保持一定的距离;
4 与海水接触的设备及管道,应具有耐海水腐蚀性能,应采取防止海洋生物附着的措施;中间换热器应具备可拆卸功能;
5 闭式海水换热系统在冬季有冻结可能的地区,应采取防冻措施。
条文说明
8.3.7 海水源地源热泵系统设计要求。
海水源地源热泵系统,本质上属于地表水的范畴,因此对其的设计要求可以参照8.3.6条及其条文说明。但因为海水的特殊性,本规范在此专门提出了要求:
1 海水有一定的腐蚀性,沿海区域一般不宜采用地下水地源热泵,以防止海水侵蚀陆地、地层沉降及建筑物地基下沉等;开式系统应控制使用后的海水温度指标和含氯浓度,以免影响海洋生态环境;此外还需要考虑到设备与管道的耐腐蚀问题。
3 海水由于潮汐的影响,会对系统产生一定的水流应力。
4 接触海水的管道和设备容易附着海洋生物,对海水的输送和利用有一定影响。
为了防止由于水处理造成对海水的污染,对海水进行过滤、杀菌等水处理措施时,应采用物理方法。
5 防冻措施与8.3.4条相同。
8.3.8 污水源地源热泵系统设计时,应符合下列规定:
1 应考虑污水水温、水质及流量的变化规律和对后续污水处理工艺的影响等因素;
2 采用开式原生污水源地源热泵系统时,原生污水取水口处设置的过滤装置应具有连续反冲洗功能,取水口处污水量应稳定;排水口应位于取水口下游并与取水口保持一定的距离;
3 采用开式原生污水源地源热泵系统设中间换热器时,中间换热器应具备可拆卸功能;原生污水直接进入热泵机组时,应采用冷媒侧转换的热泵机组,且与原生污水接触的换热器应特殊设计。
4 采用再生水污水源热泵系统时,宜采用再生水直接进入热泵机组的开式系统。
条文说明
8.3.8 污水源地源热泵系统设计要求。
同海水源地源热泵系统或地表水地源热泵系统一样,污水源地源热泵系统的设计在满足相关规定的同时,还要注意其特殊性——对污水的性质和水质处理要求的不同,会导致系统设计上存在一定的区别。
8.3.9 水环热泵空调系统的设计,应符合下列规定:
1 循环水水温宜控制在15℃~35℃;
2 循环水宜采用闭式系统。采用开式冷却塔时,宜设置中间换热器;
3 辅助热源的供热量应根据冬季白天高峰和夜间低谷负荷时的建筑物的供暖负荷、系统内区可回收的余热等,经热平衡计算确定。辅助热源的选择原则应符合本规范第8.1.1条规定;
4 水环热泵空调系统的循环水系统较小时,可采用定流量运行方式;系统较大时,宜采用变流量运行方式。当采用变流量运行方式时,机组的循环水管道上应设置与机组启停连锁控制的开关式电动阀;
5 水源热泵机组应采取有效的隔振及消声措施,并满足空调区噪声标准要求。
条文说明
8.3.9 水环热泵空调系统设计要求。
1 水环热泵的水温范围是根据目前的产品要求、冷却塔能力和系统设计中的相关情况来综合提出的。设计时,应注意采用合理的控制方式来保持水温。
2 水环热泵的循环水系统是构成整个系统的基础。由于热泵机组换热器对循环水的水质要求较高,适合采用闭式系统。如果采用开式冷却塔,最好也设置中间换热器使循环水系统构成闭式系统。需要注意的是:设置换热器之后会导致夏季冷却水温偏高,因此对冷却水系统(包括冷却塔)的能力,热泵的适应性以及实际运行工况,都应进行校核计算。当然,如果经过开式冷却塔后的冷却水水质能够得到保证,也可以直接将其送至水环热泵机组之中,这样可以提高整个系统的运行效率——需要提醒注意的是:如果开式冷却塔的安装高度低于水环热泵机组的安装高度,则应设置中间换热器,否则高处的热泵机组会“倒空”。
3 当冬季的热负荷较大时,需要设置辅助热源。辅助热源的选择原则应符合本规范8.1.1条规定。在计算辅助热源的安装容量时,应考虑到系统内各种发热源(例如热泵机组的制冷电耗、空调内区冷负荷等等)。
4 从保护热泵机组的角度来说,机组的循环水流量不应实时改变。当建筑规模较小(设计冷负荷不超过527kW)时,循环水系统可直接采用定流量系统。对于建筑规模较大时,为了节省水泵的能耗,循环水系统宜采用变流量系统。为了保证变流量系统中机组定流量的要求,机组的循环水管道上应设置与机组启停连锁控制的开关式电动阀;电动阀应先于机组打开,后于机组关闭。
5 水环热泵机组目前有两种方式:整体式和分体式。在整体式中,由于压缩机随机组设置在室内,因此需要关注室内或使用地点的噪声问题。
8.4 溴化锂吸收式机组
8.4.1 采用溴化锂吸收式冷(温)水机组时,其使用的能源种类应根据当地的资源情况合理确定;在具有多种可使用能源时,宜按照以下优先顺序确定:
1 废热或工业余热;
2 利用可再生能源产生的热源;
3 矿物质能源优先顺序为天然气、人工煤气、液化石油气、燃油等。
条文说明
8.4.1 吸收式冷水机组采用热能顺序要求。
本条规定了吸收式冷水机组采用热能作为制冷的能源时,采用热能的优先顺序。其中第1、2款与本章的8.1节一般规定是一致的。第1款包括的热源有:烟气、蒸汽、热水等热媒。
直接采用矿物质能源时,则应综合考虑当地的能源供应情况、能耗价格、使用的灵活性和方便性等情况。
8.4.2 溴化锂吸收式机组的机型应根据热源参数确定。除第8.4.1条第1款、第2款和利用区域或市政集中热水为热源外.矿物质能源直接燃烧和提供热源的溴化锂吸收式机组均不应采用单效型机组。
条文说明
8.4.2 溴化锂吸收式机组的机型选择要求。
1 根据吸收式冷水机组的性能,通常当热源温度比较高时,宜采用双效机组。由于废热、可再生能源及生物质能的能源品位相对较低;对于城市热网,在夏季制冷工况下,热网温度通常较低,有时无法采用双效机组。当采用锅炉燃烧供热时,为了提高冷水机组的性能,应提高供热热源的温度,因此不应采用单效式机组。
2 各类机组所对应的热源参数如下表所示:

8.4.3 选用直燃式机组时,应符合下列规定:
1 机组应考虑冷、热负荷与机组供冷、供热量的匹配,宜按满足夏季冷负荷和冬季热负荷的需求中的机型较小者选择;
2 当机组供热能力不足时,可加大高压发生器和燃烧器以增加供热量,但其高压发生器和燃烧器的最大供热能力不宜大于所选直燃式机组型号额定热量的50%;
3 当机组供冷能力不足时,宜采用辅助电制冷等措施。
条文说明
8.4.3 直燃式机组选择要求。
1 直燃式机组的额定供热量一般为额定供冷量的70%~80%,这是一个标准配置,也是较经济合理的配置,在设计时尽可能按照标准型机组来选择。同时,设计时要分别按照供冷工况和供热工况来预选直燃机。从提高经济性和节能的角度来看,如果供冷、供热两种工况下选择的机型规格相差较大时,宜按照机型较小者来配置,并增加辅助的冷源或热源装置——见本条第2、3款。
2 对于我国北方地区的某些建筑,从数值上冬季供热负荷可能不小于夏季供冷负荷(或者是供热负荷与供冷负荷的比值大于0.8)。当按照夏季冷负荷选型时,如果采用加大机组的型号来满足供热的要求,在投资、机组效率等方面都受到一定的影响,因此现行的一些工程采用了机组型号不加大而直接加大高压发生器和燃烧器的方式。这种方式虽然可行,但仍然存在高、低压发生器的匹配一定程度上影响机组运行效率的问题,因此对此进行限制。当超过本条规定的限制时,北方地区应采用“直燃机组+辅助锅炉房”的方案。
3 对于我国南方地区的某些建筑,情况可能与本条文说明中的第2条相反。从能源利用的合理性来看,宜采用“直燃机组+辅助电制冷”的方案。
8.4.4 吸收式机组的性能参数应符合现行国家标准《公共建筑节能设计标准》GB 50189的有关规定。采用供冷(温)及生活热水三用型直燃机时,尚应满足下列要求:
1 完全满足冷(温)水及生活热水日负荷变化和季节负荷变化的要求;
2 应能按冷(温)水及生活热水的负荷需求进行调节;
3 当生活热水负荷大、波动大或使用要求高时,应设置储水装置,如容积式换热器、水箱等。若仍不能满足要求的,则应另设专用热水机组供应生活热水。
条文说明
8.4.4 溴化锂吸收式三用直燃机选型要求。
《公共建筑节能设计标准》GB 50189-2005表5.4.9对吸收式机组的性能参数限值进行了规定,本规范应符合其要求。三用机可以有以下几种用途:
1 夏季:单供冷、供冷及供生活热水;
2 春秋季:供生活热水;
3 冬季:单供暖、供暖及供生活热水。
尽管三用机由于多种用途而受到业主欢迎,但由于在设计选型中存在的一些问题,致使在实际工程使用中出现不尽如人意之处。主要原因是:
1 对供冷(温)和生活热水未进行日负荷分析与平衡,由于机组能量不足,造成不能同时满足各方面的要求;
2 未进行各季节的使用分析,造成不经济、不合理运行、效率低、能耗大;
3 在供冷(温)及生活热水系统内未设必要的控制与调节装置,无法优化管理,系统无法运行成本提高。
直燃机价格昂贵,尤其是三用机,要搞好合理匹配,系统控制,提高能源利用率是设计选型的关键,因此不能随意和不加分析地采用。当难以满足生活热水供应要求又影响供冷(温)质量时,应另设专用热水机组提供生活热水。
8.4.5 当建筑在整个冬季的实时冷、热负荷比值变化大时,四管制和分区两管制空调系统不宜采用直燃式机组作为单独冷热源。
条文说明
8.4.5 四管制和分区两管制空调系统使用直燃式机组要求。
四管制和分区两管制空调系统主要适用于有同时供冷、供热需求的建筑物。由于建筑中冷、热负荷及其比例随时间变化较大,直燃式机组很难在任何时刻同时满足冷、热负荷的变化要求。因此,一般情况下不宜将它作为四管制和分区两管制空调系统唯一采用的冷、热源装置。
8.4.6 小型集中空调系统,当利用废热热源或太阳能提供的热源,且热源供水温度在60℃~85℃时,可采用吸附式冷水机组制冷。
条文说明
8.4.6 吸附式冷水机组制冷使用条件。
吸附式冷水机组的特点是能够利用低温热水进行制冷,因此其比较适合于具有低位热源的场所。由于其制冷COP比较低(大约为0.5),在有高温热源的场所不宜采用。同时,由于目前吸附式冷水机组的型号较少且单台机组的制冷量有限,因此不宜用于大、中型空调系统之中。
8.4.7 直燃型溴化锂吸收式冷(温)水机组的储油、供油、燃气系统等的设计,均应符合现行国家有关标准的规定。
条文说明
8.4.7 直燃型机组的储油、供油、燃气系统的设计要求。
直燃型溴化锂吸收式冷(温)水机组储油、供油、燃气供应及烟道的设计,应符合国家现行《锅炉房设计规范》GB 50041、《高层民用建筑设计防火规范》GB 50045、《建筑设计防火规范》GB 50016、《城镇燃气设计规范》GB 50028、《工业企业煤气安全规程》GB 6222等规范和标准的要求。
8.5 空调冷热水及冷凝水系统
8.5.1 空调冷水、空调热水参数应考虑对冷热源装置、末端设备、循环水泵功率的影响等因素,并按下列原则确定:
1 采用冷水机组直接供冷时,空调冷水供水温度不宜低于5℃,空凋冷水供回水温差不应小于5℃;有条件时,宜适当增大供回水温差。
2 采用蓄冷空调系统时,空调冷水供水温度和供回水温差应根据蓄冷介质和蓄冷、取冷方式分别确定,并应符合本规范第8.7.6条和第8.7.7条的规定。
3 采用温湿度独立控制空调系统时,负担显热的冷水机组的空调供水温度不宜低于16℃;当采用强制对流末端设备时,空调冷水供回水温差不宜小于5℃。
4 采用蒸发冷却或天然冷源制取空调冷水时,空调冷水的供水温度,应根据当地气象条件和末端设备的工作能力合理确定;采用强制对流末端设备时,供回水温差不宜小于4℃。
5 采用辐射供冷末端设备时,供水温度应以末端设备表面不结露为原则确定;供回水温差不应小于2℃。
6 采用市政热力或锅炉供应的一次热源通过换热器加热的二次空调热水时,其供水温度宜根据系统需求和末端能力确定。对于非预热盘管,供水温度宜采用50℃~60℃,用于严寒地区预热时,供水温度不宜低于70℃。空调热水的供回水温差,严寒和寒冷地区不宜小于15℃,夏热冬冷地区不宜小于10℃。
7 采用直燃式冷(温)水机组、空气源热泵、地源热泵等作为热源时,空调热水供回水温度和温差应按设备要求和具体情况确定,并应使设备具有较高的供热性能系数。
8 采用区域供冷系统时,供回水温差应符合本规范第8.8.2条的要求。
条文说明
8.5.1 空调冷热水参数确定原则。
空调冷热水参数应保证技术可靠、经济合理,本条中数值适用于以水为冷热媒对空气进行冷却或加热处理的一般建筑的空调系统,有特殊工艺要求的情况除外。
1 冷水机组直接供冷系统的冷水供水温度低于5℃时,会导致冷水机组运行工况相对较差且稳定性不够。对于空调系统来说,大温差设计可减小水泵耗电量和管网管径,因此规定了空调冷水和热水系统温差不得小于一般末端设备名义工况要求的5℃。但当采用大温差,如果要求末端设备空调冷水的平均水温基本不变时,冷水机组的出水温度则需降低,使冷水机组性能系数有所下降;当空调冷水或热水采用大温差时,还应校核流量减少对采用定型盘管的末端设备(如风机盘管等)传热系数和传热量的影响,必要时需增大末端设备规格,就目前的风机盘管产品来看,其冷水供回水在5℃/13℃时的供冷能力,与7℃/12℃冷水的供冷能力基本相同。所以应综合考虑节能和投资因素确定温差数值。
2 采用蓄冷装置的供冷系统,供水温度和供回水温差与蓄冷介质和蓄冷、取冷方式等有关,应符合本规范第8.7.6条和第8.7.7条规定,供水温度范围可参考其条文说明。
3 温湿度独立控制系统,是近年来出现的系统形式。规定其供水温度不宜低于16℃是为了防止房间结露。同时,根据现有的末端设备和冷水机组的产品情况,采用5℃的温差,在大多数情况下是可以做到的。
4 采用蒸发冷却或天然冷源制取空调冷水时,在一些地区做到5℃的水温差存在一定的困难,因此,提出了比冷水机组略为小一些的温差(4℃)。根据对空调系统的综合能耗的研究,4℃的冷水温差对于供水温度16℃~18℃的冷水系统并采用现有的末端产品,能够满足要求和得到能耗的均衡。当然,针对专门开发的一些干工况末端设备,以及某些露点温度较低而能够通过蒸发冷却得到更低水温(例如12℃~14℃)的地区而言,设计人员可以将上述冷水温差进一步加大。
5 采用辐射供冷末端设备的系统既包括温湿度独立控制系统也包括蒸发冷却系统。研究表明:对于辐射供冷的末端设备来说,较大的温差不容易做到(否则单位面积的供冷量不够),因此对此部分末端设备所组成的系统,放宽了对冷水温差的要求。
6 市政热力或锅炉产生的热水温度一般较高(80℃以上),可以将二次空调热水加热到末端空气处理设备的名义工况水温60℃,同时考虑到降低供水温度有利于降低对一次热源的要求,因此推荐供水温度为50℃~60℃。但对于采用竖向分区且设置了中间换热器的超高层建筑,由于需要考虑换热后的水温要求,可以提高到65℃,因此需要设计人根据具体情况来提出需求的供水温度。对于严寒地区的预热盘管,为了防止盘管冻结,要求供水温度应相应提高。由于目前大多数盘管采用的是铜管串铝片方式,因此水温过高时要注意盘管的热胀冷缩问题。
对于热水供回水温差的问题,尽管目前的一些设备(例如风机盘管)都是以10℃温差来标注其标准供暖工况的,但通过理论分析和多年的实际工程运行情况表明:对于严寒和寒冷地区来说适当加大热水供回水温差,现有的末端设备是能够满足使用要求的(并不需要加大型号);对于夏热冬冷地区而言,采用10℃温差即使对于两管制水系统来说也不会导致末端设备的控制出现问题。而适当的加大温差有利于节省输送能耗。并考虑到与《公共建筑节能设计标准》GB 50189的协调,因此对热水的供回水温差做出了相应的规定。
7 采用直燃式冷(温)水机组、空气源热泵、地源热泵等作为热源时,产水温度一般较低,供回水温差也不可能太大,因此不做规定,按设备能力确定。
8 区域供冷可根据不同供冷形式选择不同的供回水温差。
8.5.2 除采用直接蒸发冷却器的系统外,空调水系统应采用闭式循环系统。
条文说明
8.5.2 闭式与开式空调水系统的选择。
规定除特殊情况外,应采用闭式循环水系统(其中包括开式膨胀水箱定压的系统),是因为闭式系统水泵扬程只需克服管网阻力,相对节能和节省一次投资。
间接和直接蒸发冷却器串联设置的蒸发冷却冷水机组,其空气—水直接接触的开式换热塔(直接蒸发冷却器),进塔水管和底盘之间的水提升高差很小,因此也不做限制。
采用水蓄冷(热)的系统当水池设计水位高于水系统的最高点时,可以采用直接供冷供热的系统(实际上也是闭式系统,不存在增加水泵能耗的问题)。当水池设计水位低于水系统的最高点时,应设置热交换设备,使空调水系统成为闭式系统。
8.5.3 当建筑物所有区域只要求按季节同时进行供冷和供热转换时,应采用两管制的空调水系统。当建筑物内一些区域的空调系统需全年供应空调冷水、其他区域仅要求按季节进行供冷和供热转换时,可采用分区两管制空调水系统。当空调水系统的供冷和供热工况转换频繁或需同时使用时,宜采用四管制水系统。
条文说明
8.5.3 空调水管路系统制式选择。
1 建筑物内存在需全年供冷的区域时(不仅限于内区),这些区域在非供冷季首先应该直接采用室外新风做冷源,例如全空气系统增大新风比、独立新风系统增大新风量。只有在新风冷源不能满足供冷量需求时,才需要在供热季设置为全年供冷区域单独供冷水的管路,即分区两管制系统。因此仅给出内外区集中送新风的风机盘管加新风的分区两管制水系统的系统形式,见图4。
2 对于一般工程,如仅在理论上存在一些内区,但实际使用时发热量常比夏季采用的设计数值小且不长时间存在、或这些区域面积或总冷负荷很小、冷源设备无法为之单独开启,或这些区域冬季即使短时温度较高也不影响使用,如为之采用相对复杂投资较高的分区两管制系统,工程中常出现不能正常使用,甚至在冷负荷小于热负荷时房间温度过低而无供热手段的情况。因此工程中应考虑建筑物是否真正存在面积和冷负荷较大的需全年供应冷水的区域,确定最经济和满足要求的空调管路制式。

8.5.4 集中空调冷水系统的选择,应符合下列规定:
1 除设置一台冷水机组的小型工程外,不应采用定流量一级泵系统;
2 冷水水温和供回水温差要求一致且各区域管路压力损失相差不大的中小型工程,宜采用变流量一级泵系统;单台水泵功率较大时,经技术和经济比较,在确保设备的适应性、控制方案和运行管理可靠的前提下,可采用冷水机组变流量方式;
3 系统作用半径较大、设计水流阻力较高的大型工程,宜采用变流量二级泵系统。当各环路的设计水温一致且设计水流阻力接近时,二级泵宜集中设置;当各环路的设计水流阻力相差较大或各系统水温或温差要求不同时,宜按区域或系统分别设置二级泵;
4 冷源设备集中设置且用户分散的区域供冷等大规模空调冷水系统,当二级泵的输送距离较远且各用户管路阻力相差较大,或者水温(温差)要求不同时,可采用多级泵系统。
条文说明
8.5.4 集中空调冷水系统选择原则。
1 定流量一级泵系统简单,不设置水路控制阀时一次投资最低。其特点是运行过程中各末端用户的总阻力系数不变,因而其通过的总流量不变(无论是末端不设置水路两通自动控制阀还是设置三通自动控制阀),使得整个水系统不具有实时变化设计流量的功能,当整个建筑处于低负荷时,只能通过冷水机组的自身冷量调节来实现供冷量的改变,而无法根据不同的末端冷量需求来做到总流量的按需供应。当这样的系统设置有多台水泵时,如果空调末端装置不设水路电动阀或设置电动三通阀,仅运行一台水泵时,系统总流量减少很多,但仍按比例流过各末端设备(或三通阀的旁路),由于各末端设备负荷的减少与机组总负荷的减少并不是同步的,因而会造成供(热)需求较大的设备供冷(热)量不满足要求,而供冷(热)需求较小的设备供冷(热)量过大。同时由于水泵运行台数减少、尽管总水量减小,但无电动两通阀的系统其管网曲线基本不发生变化,运行的水泵还有可能发生单台超负荷情况(严重时甚至出现事故)。因此,该系统限制只能用于1台冷水机组和水泵的小型工程。
2 变流量一级泵系统包括冷水机组定流量、冷水机组变流量两种形式。冷水机组定流量、负荷侧变流量的一级泵系统,形式简单,通过末端用户设置的两通阀自动控制各末端的冷水量需求,同时,系统的运行水量也处于实时变化之中,在一般情况下均能较好地满足要求,是目前应用最广泛、最成熟的系统形式。当系统作用半径较大或水流阻力较高时,循环水泵的装机容量较大,由于水泵为定流量运行,使得冷水机组的进出水温差随着负荷的降低而减少,不利于在运行过程中水泵的运行节能,因此一般适用于最远环路总长度在500m之内的中小型工程。
随着冷水机组制冷效率的提高,循环水泵能耗所占比例上升,尤其是单台冷水机组所需流量较大时或系统阻力较大时,冷水机组变流量运行水泵的节能潜力较大。但该系统涉及冷水机组允许变化范围,减少水量对冷机性能系数的影响,对设备、控制方案和运行管理等的特殊要求等;因此应“经技术和经济比较”,指与其他系统相比,节能潜力较大,并确有技术保障的前提下,可以作为供选择的节能方案。
系统设计时,以下两个方面应重点考虑:
1)冷水机组对变水量的适应性:重点考虑冷水机组允许的变水量范围和允许的水量变化速率;
2)设备控制方式:需要考虑冷水机组的容量调节和水泵变速运行之间的关系,以及所采用的控制参数和控制逻辑。
3 二级泵系统的选择设计
1)机房内冷源侧阻力变化不大,因此系统设计水流阻力较高的原因,大多是由于系统的作用半径造成的,因此系统阻力是推荐采用二级泵或多级泵系统的条件,且为充要条件。当空调系统负荷变化很大时,首先应通过合理设置冷水机组的台数和规格解决小负荷运行问题,仅用靠增加负荷侧的二级泵台数无法解决根本问题,因此“负荷变化大”不列入采用二级泵或多级泵的条件。
2)各区域水温一致且阻力接近时完全可以合用一组二级泵,多台水泵根据末端流量需要进行台数和变速调节,大大增加了流量调解范围和各水泵的互为备用性。且各区域末端的水路电动阀自动控制水量和通断,即使停止运行或关闭检修也不会影响其他区域。以往工程中,当各区域水温一致且阻力接近,仅使用时间等特性不同,也常按区域分别设置二级泵,带来如下问题:①水泵设置总台数多于合用系统,有的区域流量过小采用一台水泵还需设置备用泵,增加投资;②各区域水泵不能互为备用,安全性差;③各区域最小负荷小于系统总最小负荷,各区域水泵台数不可能过多,每个区域泵的流量调节范围减少,使某些区域在小负荷时流量过大、温差过小、不利于节能。
3)当系统各环路阻力相差较大时,如果分区分环路按阻力大小设置和选择二级泵,有可能比设置一组二级泵更节能。阻力相差“较大”的界限推荐值可采用0.05MPa,通常这一差值会使得水泵所配电机容量规格变化一档。
4)工程中常有空调冷热水的一些系统与冷热源供水温度的水温或温差要求不同,又不单独设置冷热源的情况。可以采用再设换热器的间接系统,也可以采用设置二级混水泵和混水阀旁通调节水温的直接串联系统。后者相对于前者有不增加换热器的投资和运行阻力,不需再设置一套补水定压膨胀设施的优点。因此增加了当各环路水温要求不一致时按系统分设二级泵的推荐条件。
4 对于冷水机组集中设置且各单体建筑用户分散的区域供冷等大规模空调冷水系统,当输送距离较远且各用户管路阻力相差非常悬殊的情况下,即使采用二级泵系统,也可能导致二级泵的扬程很高,运行能耗的节省受到限制。这种情况下,在冷源侧设置定流量运行的一级泵、为共用输配干管设置变流量运行的二级泵、各用户或用户内的各系统分别设置变流量运行的三级泵或四级泵的多级泵系统,可使得二级泵的设计扬程降低,也有利于单体建筑的运行调节。如用户所需水温或温差与冷源水温不同,还可通过三级(或四级)泵和混水阀满足要求。
8.5.5 采用换热器加热或冷却的二次空调水系统的循环水泵宜采用变速调节。对供冷(热)负荷和规模较大工程,当各区域管路阻力相差较大或需要对二次水系统分别管理时,可按区域分别设置换热器和二次循环泵。
条文说明
8.5.5 采用换热器的空调水系统。
1 一般换热器不需要定流量运行,因此推荐在换热器二次水侧的二次循环泵采用变速调节的节能措施。
2 按区域分别设置换热器和二次泵的系统规模界限和优缺点参见8.5.4条文说明。
8.5.6 空调水系统自控阀门的设置应符合下列规定:
1 多台冷水机组和冷水泵之间通过共用集管连接时,每台冷水机组进水或出水管道上应设置与对应的冷水机组和水泵连锁开关的电动两通阀;
2 除定流量一级泵系统外,空调末端装置应设置水路电动两通阀。
条文说明
8.5.6 空调水系统自控阀门的设置。
1 多台冷水机组和循环水泵之间宜采用一对一的管道连接方式,见8.5.13条及其条文说明。当冷水机组与冷水循环泵之间采取一对一连接有困难时,常采用共用集管的连接方式,当一些冷水机组和对应冷水泵停机,应自动隔断停止运行的冷水机组的冷水通路,以免流经运行的冷水机组流量不足。
2 空调末端装置应设置温度控制的电动两通阀(包括开关控制和连续调节阀门),才能使得系统实时改变流量,使水量按需供应。
8.5.7 定流量一级泵系统应设置室内空气温度调控或自动控制措施。
条文说明
8.5.7 定流量一级泵系统空调末端控制要求。
为了保证空调区域的冷量按需供应,宜对区域空气温度进行自动控制,以防止房间过冷和浪费能源。通常的控制方式包括:①末端设置分流式三通调节阀,由房间温度自动控制通过末端装置和旁流支路的流量比例来实现;②对于风机盘管等设备,采用房间温度自动控制风机启停(或者自动控制风机转速)的方式。对于一些特别小型且系统中只设置了一台冷水机组的工程,如果对自动控制方式的投资有较大限制的话,至少也应设置调节性能较好的手动阀(最低要求)。
8.5.8 变流量一级泵系统采用冷水机组定流量方式时,应在系统的供回水管之间设置电动旁通调节阀,旁通调节阀的设计流量宜取容量最大的单台冷水机组的额定流量。
条文说明
8.5.8 变流量一级泵系统采用冷水机组定流量方式的空调水系统设计要求。
当冷水机组采用定流量方式时,为保证流经冷水机组蒸发器的流量恒定,设置电动旁通调节阀,是一个通常的成熟做法。电动旁通阀口径的选择应按照本规范9.2.5条的规定并通过计算阀门的流通能力(也称为流量系数)来确定,但由于在实际工程中经常发现旁通阀选择过大的情况(有的设计图甚至按照水泵或冷水机组的接管来选择阀门口径),这里对旁通阀的设计流量(即阀门全开时的最大流量)做出了规定。
对于设置多台相同容量冷水机组的系统而言,旁通阀的设计流量就是—台冷水机组的流量,这样可以保证多台冷水机组在减少运行台数之前,各台机组都能够定流量运行(本系统的设计思路)。
对于设置冷水机组大小搭配的系统来说,从目前的情况看,多台运行的时间段内,通常是大机组在联合运行(这时小机组停止运行的情况比较多),因此旁通阀的设计流量按照大机组的流量来确定与上述的原则是一致的。即使在大小搭配运行的过程中,按照大容量机组的流量来确定可能无法兼则小容量机组的情况,但从冷水机组定流量运行的安全要求这一原则出发,这样的选择也是相对安全的。当然,如果要兼顾小容量机组的运行情况(无论是大小搭配还是小容量机组可能在低负荷时单独运行),也可以采用大小口径搭配(并联连接)的“旁通阀组”来解决。但这一方法在控制方式上更为复杂一些。
8.5.9 变流量一级泵系统采用冷水机组变流量方式时,空调水系统设计应符合下列规定:
1 一级泵应采用调速泵;
2 在总供、回水管之间应设旁通管和电动旁通调节阀,旁通调节阀的设计流量应取各台冷水机组允许的最小流量中的最大值;
3 应考虑蒸发器最大许可的水压降和水流对蒸发器管束的侵蚀因素,确定冷水机组的最大流量;冷水机组的最小流量不应影响到蒸发器换热效果和运行安全性;
4 应选择允许水流量变化范围大、适应冷水流量快速变化(允许流量变化率大)、具有减少出水温度波动的控制功能的冷水机组;
5 采用多台冷水机组时,应选择在设计流量下蒸发器水压降相同或接近的冷水机组。
条文说明
8.5.9 变流量一级泵系统采用冷水机组变流量方式的空调水系统设计要求。
1 水泵采用变速控制模式,其被控参数应经过详细的分析后确定,包括:采用供回水压差、供回水温差、流量、冷量以及这些参数的组合等控制方式。
2 水泵采用变速调节时,已经能够在很长的运行时段内稳定地控制相关的参数(如压差等)。但是,当系统用户所需的总流量低至单台最大冷水机组允许的最小流量时,水泵转数不能再降低,实际上已经与“机组定流量、负荷侧变流量”的系统原理相同。为了保证在冷水机组达到最小运行流量时还能够安全可靠的运行,供回水总管之间还应设置最大流量为单台冷水机组最小允许流量的旁通调节阀,此时系统的控制和运行方式与冷水机组定流量方式类似。流量下限一般不低于机组额定流量的50%,或根据设备的安全性能要求来确定。当机组大小搭配时,由于机组的规格不同(甚至类型不同,如:离心机与螺杆机搭配),也有可能出现小容量机组的最小允许流量大于大容量机组允许最小流量的情况,因此要求此时旁通阀的最大设计流量为各台冷水机组允许的最小流量中的“最大值”。
3 指出了确定变流量运行的冷水机组最大和最小流量的考虑因素。
4 对适应变流量运行的冷水机组应具有的性能提出了要求。允许水流量变化范围大的冷水机组的流量变化范围举例:离心式机组宜为额定流量的30%~130%,螺杆式机组宜为额定流量的40%~120%;从安全角度来讲,适应冷水流量快速变化的冷水机组能承受每分钟30%~50%的流量变化率,从对供水温度的影响角度来讲,机组允许的每分钟流量变化率不低于10%(具体产品有一定区别);流量变化会影响到机组供水温度,因此机组还应有相应的控制功能。本处所提到的额定流量指的是供回水温差为5℃时的流量。
5 多台冷水机组并联时,如果各台机组的蒸发器水压降相差过大,由于系统的不平衡,流经阻力较大机组的实际流量将会比设计流量减少,对于采用冷水机组变流量方式的一级泵系统,有可能减少至机组允许的最小流量以下,因此强调应选择在设计流量下蒸发器水压降相同或接近的冷水机组。
8.5.10 二级泵和多级泵系统的设计应符合下列规定:
1 应在供回水总管之间冷源侧和负荷侧分界处设平衡管,平衡管宜设置在冷源机房内,管径不宜小于总供回水管管径;
2 采用二级泵系统且按区域分别设置二级泵时,应考虑服务区域的平面布置、系统的压力分布等因素,合理确定二级泵的设置位置;
3 二级泵等负荷侧各级泵应采用变速泵。
条文说明
8.5.10 二级泵和多级泵空调水系统的设计。
1 本条所提到的“平衡管”,有的资料中也称为“盈亏管”、“耦合管”。在一些中、小型工程中,也有的采用了“耦合管”形式,其工作原理都是相同的,这里统称为“平衡管”。
一、二级泵之间的平衡管两侧接管端点,即为一级泵和二级泵负担管网阻力的分界点。在二级泵系统设计中,平衡管两端之间的压力平衡是非常重要的。目前一些二级泵系统,存在运行不良的情况,特别是平衡管发生水“倒流”(即:空调系统的回水直接从平衡管旁通后进入了供水管)的情况比较普遍,导致冷水系统供水温度逐渐升高、末端无法满足要求而不断要求加大二级泵转速的“恶性循环”情况的发生,其原因就是二级泵选择扬程过大造成的。因此设计二级泵系统时,应进行详细的水力计算。
当分区域设置的二级泵采用分布式布置时(见本条第3款条文说明),如平衡管远离机房设在各区域内,定流量运行的一级泵则需负担外网阻力,并按最不利区域所需压力配置,功率很大,较近各区域平衡管前的一级泵多余资用压头需用阀门调节克服,或通过平衡管旁通,不符合节能原则。因此推荐平衡管位置应在冷源机房内。
一级泵和二级泵流量在设计工况完全匹配时,平衡管内无水量通过即接管点之间无压差。当一级泵和二级泵的流量调节不完全同步时,平衡管内有水通过,使一级泵和二级泵保持在设计工况流量以保证冷水机组蒸发器的流量恒定,同时二级泵根据负荷侧的需求运行。在旁通管内有水流过时,也应尽量减小旁通管阻力,因此管径应尽可能加大。
二级泵与三级泵之间也有流量调节可能不同步的问题,但没有保证蒸发器流量恒定问题。如二级泵与三级泵之间设置平衡管,当各三级泵用户远近不同、且二级泵按最不利用户配置时,近端用户需设置节流装置克服较大的剩余资用压头,或多于流量通过平衡管旁通。当系统控制精度要求不高时如不设置平衡管,近端用户三级泵可以利用二级泵提供的资用压头,对节能有利。因此,二级泵与三级泵之间没有规定必须设置平衡管。但当各级泵之间要求流量平衡控制较严格时,应设置平衡管;当末端用户需要不同水温或温差时,还应设置混水旁通管。
2 二级泵的设置位置,指集中设置在冷站内(集中式设置),还是设在服务的各区域内(分布式设置)。集中式设置便于设备的集中管理,但系统所分区域较多时,总供回水管数量增多、投资增大、外网占地面积大,且相同流速下小口径管道水阻力大、增大水泵能耗,可考虑分布式设置。
二级泵分布式设置在各区域靠近负荷端时,应校核系统压力:当系统定压点较低或外网阻力很大时,二级泵入口(系统最低点压力)低于水泵高度时系统容易进气,低于水泵允许最大负压值时水泵会产生气蚀;因此应校核从平衡管的分界点至二级泵入口的阻力不应大于定压点高度。
3 一般空调系统均能满足要求,外网很长阻力很大时可考虑三次泵或间接连接系统。
二级泵等负荷侧水泵采用变频调速泵,比仅采用台数调节更加节能,因此规定采用。
8.5.11 除空调热水和空调冷水系统的流量和管网阻力特性及水泵工作特性相吻合的情况外,两管制空调水系统应分别设置冷水和热水循环泵。
条文说明
8.5.11 两管制空调水系统冷热水循环泵的设置。
由于冬夏季空调水系统流量及系统阻力相差很大,两管制系统如冬夏季合用循环水泵,一般按系统的供冷运行工况选择循环泵,供热时系统和水泵工况不吻合,往往水泵不在高效区运行,且系统为小温差大流量运行,浪费电能;即使冬季改变系统的压力设定值,水泵变速运行,水泵冬季在设计负荷下也可能长期低速运行,降低效率,因此不允许合用。
如冬夏季冷热负荷大致相同,冷热水温差也相同(例如采用直燃机、水源热泵等),流量和阻力基本吻合,或者冬夏不同的运行工况与水泵特性相吻合时,从减少投资和机房占用面积的角度出发,也可以合用循环泵。
值得注意的是:当空调热水和空调冷水系统的流量和管网阻力特性及水泵工作特性相吻合而采用冬、夏共用水泵的方案时,应对冬、夏两个工况情况下的水泵轴功率要求分别进行校核计算,并按照轴功率要求较大者配置水泵电机,以防止水泵电机过载。
8.5.12 在选配空调冷热水系统的循环水泵时,应计算循环水泵的耗电输冷(热)比EC(H)R,并应标注在施工图的设计说明中。耗电输冷(热)比应符合下式要求:

式中:EC(H)R——循环水泵的耗电输冷(热)比;
G——每台运行水泵的设计流量,m3/h;
H——每台运行水泵对应的设计扬程,m;
ηb——每台运行水泵对应设计工作点的效率;
Q——设计冷(热)负荷,kW;
△T——规定的计算供回水温差,按表8.5.12-1选取,℃;
A——与水泵流量有关的计算系数,按表8.5.12-2选取;
B——与机房及用户的水阻力有关的计算系数,按表8.5.12-3选取;
α——给你∑L有关的计算系数,按表8.5.12-4或表8.5.12-5选取;
∑L——从冷热机房至该系统最远用户的供回管道的总输送长度,m;当管道设于大面积单层或多层建筑时,可按机房出口至最远端空调末端人管道长度减去100m确定。


▼展开条文说明
8.5.12 空调冷热水系统循环水泵的耗电输冷(热)比。
耗电输冷(热)比反映了空调水系统中循环水泵的耗电与建筑冷热负荷的关系,对此值进行限制是为了保证水泵的选择在合理的范围,降低水泵能耗。
本条文的基本思路来自现行国家标准《公共建筑节能设计标准》GB 50189-2005第5.2.8条,根据实际情况对相关参数进行了一定的调整:
1 温差的确定。对于冷水系统,要求不低于5℃的温差是必需的,也是正常情况下能够实现的。对于空调热水系统来说,在这里将四个气候区分别作了最小温差的限制,也符合相应气候区的实际情况,同时考虑到了空调自动控制与调节能力的需要。
2 采用设计冷(热)负荷计算,避免了由于应用多级泵和混水泵造成的水温差和水流量难以确定的状况发生。
3 A值是反映水泵效率影响的参数,由于流量不同,水泵效率存在一定的差距,因此A值按流量取值,更符合实际情况。根据国家标准《清水离心泵能效限定值及节能评价值》GB 19762水泵的性能参数,并满足水泵工作在高效区的要求,当水泵水流量≤60m3/h时,水泵平均效率取63%;当60m3/h<水泵水流量≤200m3/h时,水泵平均效率取69%;当水泵水流量>200m3/h时,水泵平均效率取71%。
4 B值反映了系统内除管道之外的其他设备和附件的水流阻力,α∑L则反映系统管道长度引起的阻力。在《公共建筑节能设计标准》GB 50189-2005第5.2.8条中,这两部分统一用水泵的扬程H来代替,但由于在目前,水系统的供冷半径变化较大,如果用一个规定的水泵扬程(标准规定限值为36m)并不能完全反映实际情况,也会给实际工程设计带来一些困难。因此,本条文在修改过程中的一个思路就是:系统半径越大,允许的限值也相应增大。故此把机房及用户的阻力和管道系统长度引起的阻力分别开来,这也与现行行业标准《严寒和寒冷地区居住建筑节能设计标准》JCJ 26-2010第5.2.16条关于供热系统的耗电输热比EHR的立意和计算公式相类似。同时也解决了管道长度阻力α在不同长度时的连续性问题,使得条文的可操作性得以提高。 :::
8.5.13 空调水循环泵台数应符合下列规定:
1 水泵定流量运行的一级泵,其设置台数和流量应与冷水机组的台数和流量相对应,并宜与冷水机组的管道一对一连接;
2 变流量运行的每个分区的各级水泵不宜少于2台。当所有的同级水泵均采用变速调节方式时,台数不宜过多;
3 空调热水泵台数不宜少于2台;严寒及寒冷地区,当热水泵不超过3台时,其中一台宜设置为备用泵。
条文说明
8.5.13 空调水循环泵台数要求。
1 为保证流经冷水机组蒸发器的水量恒定,并随冷水机组的运行台数向用户提供适应负荷变化的空调冷水流量,因此在设置数量上要求按与冷水机组“对应”设置一级循环泵,但不强调“一对一”设置,是考虑到多台压缩机、冷凝器、蒸发器等组成的模块式冷水机组等特殊情况,可以根据使用情况灵活设置水泵台数,但流量应与冷水机组对应。变流量一级泵系统采用冷水机组变流量方式时,水泵和冷水机组独立控制,不要求必须对应设置,因此与冷水机组对应设置的水泵强调为“定流量”运行泵(包括二级泵或多级泵系统中的“一级泵”和一级泵系统中的冷水循环泵)。同时,从投资和控制两方面来看,当水泵与冷水机组采用“一对一”连接时,可以取消冷水机组共用集管连接时所需要的支路电动开关阀(通常为电动蝶阀),以及某些工程设计中为了保证流量分配均匀而设置的定流量阀,减少了控制环节和系统阻力,提高了可靠性,降低了投资。即使设备台数较少时,考虑机组和水泵检修时的交叉组合互为备用,仍可采用设备一对一地连接管道,在机组和冷水泵连接管之间设置互为备用的手动转换阀,因此建议设计时尽可能采用水泵与冷水机组的管道一一对应的连接方式。
2 变流量运行的每个分区的各级水泵的流量调节,可通过台数调节和水泵变速调节实现,但即使是流量较小的系统,也不宜少于2台水泵,是考虑到在小流量运行时,水泵可轮流检修。但所有同级的水泵均采用变速方式时,如果台数过多,会造成控制上的一定困难。
3 空调冷水和水温较低的空调热水,负荷调节一般采用变流量调节(与相对高温的散热器供暖系统根据气候采用改变供水温度的质调节和质、量调节结合不同),因此多数时间在小于设计流量状态下运行,只要水泵不少于2台,即可做到轮流检修。但考虑到严寒及寒冷地区对供暖的可靠性要求较高,且设备管道等有冻结的危险,因此强调水泵设置台数不超过3台时,其中一台宜设置为备用泵,以免水泵故障检修时,流量减少过多;上述规定与《锅炉房设计规范》GB 50041中“供热热水制备”章的有关规定相符。舒适性空调供冷的可靠性要求一般低于严寒及寒冷地区供暖,因此是否设置备用泵,可根据工程的性质、标准,水泵的台数,室外气候条件等因素确定,不做硬性规定。
8.5.14 空凋水系统布置和选择管径时,应减少并联环路之间压力损失的相对差额。当设计工况时并联环路之间压力损失的相对差额超过15%时,应采取水力平衡措施。
条文说明
8.5.14 空调水系统水力平衡。
本条提到的水力平衡,都是指设计工况的平衡情况。
强调空调水系统设计时,首先应通过系统布置和选定管径减少压力损失的相对差额,但实际工程中常常较难通过管径选择计算取得管路平衡,因此只规定达不到15%的平衡要求时,可通过设置平衡装置达到空调水管道的水力平衡。
空调水系统的平衡措施除调整管路布置和管径外,还包括设置根据工程标准、系统特性正确选用并在适当位置正确设置可测量数据的平衡阀(包括静态平衡和动态平衡)、具有流量平衡功能的电动阀等装置;例如末端设置电动两通阀的变流量的空调水系统中,各支环路不应采用定流量阀。
8.5.15 空调冷水系统的设计补水量(小时流量)可按系统水容量的1%计算。
条文说明
8.5.15 空调冷水系统设计补水量。
系统补水量是确定补水管管径、补水泵流量的依据,系统补水量除与系统本身的设计情况有关外(例如热膨胀等),还与系统的运行管理相关密切,在无法确定运行管理可能带来的补水量时,可按照系统水容量大小来计算确定。
工程中系统水容量可参照下表估算,室外管线较长时取较大值:

8.5.16 空调水系统的补水点,宜设置在循环水泵的吸入口处。当采用高位膨胀水箱定压时,应通过膨胀水箱直接向系统补水;采用其他定压方式时,如果补水压力低于补水点压力,应设置补水泵。空调补水泵的选择及设置应符合下列规定:
1 补水泵的扬程,应保证补水压力比补水点的工作压力高30kPa~50kPa;
2 补水泵宜设置2台,补水泵的总小时流量宜为系统水容量的5%~10%;
3 当仅设置1台补水泵时,严寒及寒冷地区空调热水用及冷热水合用的补水泵,宜设置备用泵。
条文说明
8.5.16 空调冷水补水点及补水泵选择及设置。
补水点设在循环水泵吸入口,是为了减小补水点处压力及补水泵扬程。采用高位膨胀水箱时,可以通过膨胀管直接向系统补水。
1 补水泵扬程是根据补水点压力确定的,但还应注意计算水泵至补水点的管道阻力。
2 补水泵流量规定不宜小于系统水容量的5%(即空调系统的5倍计算小时补水量),是考虑事故补水量较大,以及初期上水时补水时间不要太长(小于20小时),且膨胀水箱等调节容积可使较大流量的补水泵间歇运行。推荐补水泵流量的上限值,是为了防止水泵流量过大而导致膨胀水箱等的调节容积过大等问题。推荐设置2台补水泵,可在初期上水或事故补水时同时使用,平时使用1台,可减小膨胀水箱的调节容积,又可互为备用。
3 补水泵间歇运行有检修时间,即使仅设置1台,也不强行规定设置备用泵;但考虑到严寒及寒冷地区冬季运行应有更高的可靠性,当因水泵过小等原因只能选择1台泵时宜再设1台备用泵。
8.5.17 当设置补水泵时,空调水系统应设补水调节水箱;水箱的调节容积应根据水源的供水能力、软化设备的间断运行时间及补水泵运行情况等因素确定。
条文说明
8.5.17 空调系统补水箱的设置和调节容积。
空调冷水直接从城市管网补水时,不允许补水泵直接抽取; 当空调热水需补充软化水时,离子交换软化设备供水与补水泵补水不同步,且软化设备常间断运行,因此需设置水箱储存一部分调节水量。一般可取30min~60min补水泵流量,系统较小时取大值。
8.5.18 闭式空调水系统的定压和膨胀设计应符合下列规定:
1 定压点宜设在循环水泵的吸入口处,定压点最低压力宜使管道系统任何一点的表压均高于5kPa以上;
2 宜优先采用高位膨胀水箱定压;
3 当水系统设置独立的定压设施时,膨胀管上不应设置阀门;当各系统合用定压设施且需要分别检修时,膨胀管上应设置带电信号的检修阀,且各空调水系统应设置安全阀;
4 系统的膨胀水量应进行回收。
条文说明
8.5.18 空调系统膨胀水箱的设置要求。
1 定压点宜设在循环水泵的吸入口处,是为了使系统运行时各点压力均高于静止时压力,定压点压力或膨胀水箱高度可以低一些;由于空调水温度较供暖系统水温低,要求高度也比供暖系统的1m低,定为0.5m(5kPa)。当定压点远离循环水泵吸入口时,应按水压图校核,最高点不应出现负压。
2 高位膨胀水箱具有定压简单、可靠、稳定、省电等优点,是目前最常用的定压方式,因此推荐优先采用。
3 随着技术发展,建筑物内空调、供暖等水系统类型逐渐增多,如均分别设置定压设施则投资较大,但合用时膨胀管上不设置阀门则各系统不能完全关闭泄水检修,因此仅在水系统设置独立的定压设施时,规定膨胀管上不应设置阀门;当各系统合用定压设施且需要分别检修时,规定膨胀管上的检修阀应采用电信号阀进行误操作警示,并在各空调系统设置安全阀,一旦阀门未开启且警示失灵,可防止事故发生。
4 从节能节水的目的出发,膨胀水量应回收,例如膨胀水箱应预留出膨胀容积,或采用其他定压方式时,将系统的膨胀水量引至补水箱回收等。
8.5.19 空调冷热水的水质应符合国家现行相关标准规定。当给水硬度较高时,空调热水系统的补水宜进行水质软化处理。
条文说明
8.5.19 空调冷热水水质要求。
水质是保证空调系统正常运行的前提,国家标准《采暖空调系统水质标准》对空调水质提出了具体要求。
空调热水的供水平均温度一般为60℃左右,已经达到结垢水温,且直接与高温一次热源接触的换热器表面附近的水温更高,结垢危险更大,例如吸收式制冷的冷热水机组则要求补水硬度在50mgCaCo3/L以下。因此空调热水的水质硬度要求应等同于供暖系统,当给水硬度较高时,为不影响系统传热、延长设备的检修时间和使用寿命,宜对补水进行化学软化处理,或采用对循环水进行阻垢处理。
对于空调冷水而言,尽管结垢的情况可能好于热水系统,但由于冷水长期在系统内留存,也会存在一定的累积结垢问题。因此当给水硬度较高时,也宜进行软化处理。
8.5.20 空调热水管道设计应符合下列规定:
1 当空调热水管道利用自然补偿不能满足要求时,应设置补偿器;
2 坡度应符合本规范第5.9.6对热水供暖管道的要求。
条文说明
8.5.20 空调热水管补偿器和坡度要求。部分强制性条文。
在可能的情况下,空调热水管道利用管道的自然弯曲补偿是简单易行的,如果利用自然补偿不能满足要求时,应设置补偿器。
8.5.21 空调水系统应设置排气和泄水装置。
条文说明
8.5.21 空调水系统排气和泄水要求。
无论是闭式还是开式系统均应设置在系统最高处排除空气和管道上下拐弯及立管的底部排除存水的排气和泄水装置。
8.5.22 冷水机组或换热器、循环水泵、补水泵等设备的入口管道上,应根据需要设置过滤器或除污器。
条文说明
8.5.22 设备入口除污要求。
设备入口需除污,应根据系统大小和设备的需要确定除污装置的位置。例如系统较大、产生污垢的管道较长时,除系统冷热源、水泵等设备的入口外,各分环路或末端设备、自控阀前也应根据需要设置除污装置,但距离较近的设备可不重复串联设置除污装置。
8.5.23 冷凝水管道的设置应符合下列规定:
1 当空调设备冷凝水积水盘位于机组的正压段时,凝水盘的出水口宜设置水封;位于负压段时,应设置水封,且水封高度应大于凝水盘处正压或负压值;
2 凝水盘的泄水支管沿水流方向坡度不宜小于0. 010;冷凝水干管坡度不宜小于0.005,不应小于0.003,且不允许有积水部位;
3 冷凝水水平干管始端应设置扫除口;
4 冷凝水管道宜采用塑料管或热镀锌钢管;当凝结水管表面可能产生二次冷凝水且对使用房间有可能造成影响时,凝结水管道应采取防结露措施;
5 冷凝水排入污水系统时,应有空气隔断措施;冷凝水管不得与室内雨水系统直接连接;
6 冷凝水管管径应按冷凝水的流量和管道坡度确定。
条文说明
8.5.23 冷凝水管道设置要求。
1 处于正压段和负压段的冷凝水积水盘出水口处设水封,是为了防止漏风及负压段的冷凝水排不出去。在正压段和负压段设置水封的方向应相反。
2 规定了风机盘管等末端设备凝结水盘泄水管坡度和冷凝水干管的坡度要求,当有困难时,可适当放大管径减小坡度,或中途加设提升泵。
3 为便于定期冲洗、检修,干管始端应设扫除口。
4 冷凝水管处于非满流状态,内壁接触水和空气,不应采用无防锈功能的焊接钢管;冷凝水为无压自流排放,当软塑料管中间下垂时,影响排放;因此推荐强度较大和不易生锈的塑料管或热镀锌钢管。热镀锌钢管防结露保温可参照本规范11.1节。
5 冷凝水管不应与污水系统直接连接,民用建筑室内雨水系统均为密闭系统也不应与之直接连接,以防臭味和雨水从空气处理机组凝水盘外溢。
6 一般空调环境1kW冷负荷每小时约产生0.4kg~O.8kg的冷凝水,此范围内的冷凝水管管径可按表10进行估算:

8.6 冷却水系统
8.6.1 除使用地表水之外,空调系统的冷却水应循环使用。技术经济比较合理且条件具备时,冷却塔可作为冷源设备使用。
条文说明
8.6.1 冷却水循环使用和冷却塔供冷。
由于节水和节能要求,除采用地表水作为冷却水的方式外,冷却水系统不允许直流。
利用冷却水供冷和热回收也需增加一些投资,且并不是没有能耗。例如采用冷却水供冷的工程所在地,冬季或过渡季应有较长时间室外湿球温度能满足冷却塔制备空调冷水,增设换热器、转换阀等冷却塔供冷设备才经济合理。同时,北方地区在冬季使用冷却塔供冷方式时,还需要结合使用要求,采取对应的防冻措施。
利用冷却塔冷却功能进行制冷需具备的条件还有,工程采用了能单独提供空调冷水的分区两管制或四管空调水系统。但供冷季消除室内余热首先应直接采用室外新风做冷源,只有在新风冷源不能满足供冷量需求时,才需要在供热季设置为全年供冷区域单独供冷水的分区两管制等较复杂的系统。
8.6.2 以供冷为主、兼有供热需求的建筑物,在技术经济合理的前提下,可采取措施对制冷机组的冷凝热进行回收利用。
条文说明
8.6.2 冷凝热回收。
在供冷同时会产生大量“低品位”冷凝热,对于兼有供热需求的建筑物,采取适当的冷凝热回收措施,可以在一定程度上减少全年供热量需求。但要明确:热回收措施应在技术可靠、经济合理的前提下采用,不能舍本求末。通常来说,热回收机组的冷却水温不宜过高(离心机低于45℃,螺杆机低于55℃),否则将导致机组运行不稳定,机组能效衰减,供热量衰减等问题,反而有可能在整体上多耗费能源。
在采用上述热回收措施时,应考虑冷、热负荷的匹配问题。例如:当生活热水热负荷的需求不连续时,必须同时考虑设置冷却塔散热的措施,以保证冷水机组的供冷工况。
8.6.3 空调系统的冷却水水温应符合下列规定:
1 冷水机组的冷却水进口温度宜按照机组额定工况下的要求确定,且不宜高于33℃;
2 冷却水进口最低温度应按制冷机组的要求确定,电动压缩式冷水机组不宜小于15. 5℃,溴化锂吸收式冷水机组不宜小于24℃;全年运行的冷却水系统,宜对冷却水的供水温度采取调节措施;
3 冷却水进出口温差应根据冷水机组设定参数和冷却塔性能确定,电动压缩式冷水机组不宜小于5℃,溴化锂吸收式冷水机组宜为5℃~7℃。
条文说明
8.6.3 冷却水水温。
1 有关标准对冷却水温度的正常使用范围进行了推荐(见表11),是根据压缩式冷水机组冷凝器的允许工作压力和溴化锂吸收式冷(温)水机组的运行效率等因素,并考虑湿球温度较高的炎热地区冷却塔的处理能力,经技术经济比较确定的。本规范参考有关标准提供的数值,规定不宜高于33℃。
2 冷却水水温不稳定或过低,会造成压缩式制冷系统高低压差不够、运行不稳定、润滑系统不良运行等问题,造成吸收式冷(温)水机组出现结晶事故等;所以增加了对一般冷水机组冷却水最低水温的限制(不包括水源热泵等特殊系统的冷却水),本规范参照了上述标准中提供的数值(见表12)。随着冷水机组技术配置的提高,对冷却水进口最低水温的要求也会有所降低,必要时可参考生产厂具体要求。水温调节可采用控制冷却塔风机的方法;冬季或过渡季使用的系统在气温较低的地区,如采用上述方法仍不能满足制冷机最低水温要求时,应在系统供回水管之间设置旁通管和电动旁通调节阀;见本规范第9.5.8条的具体规定。

3 电动压缩式冷水机组的冷却水进出口温差,是综合考虑了设备投资和运行费用、大部分地区的室外气候条件等因素,推荐了我国工程和产品的常用数据。吸收式冷(温)水机组的冷却水因经过吸收器和冷凝器两次温升,进出口温差比压缩式冷水机组大,如果仍然采用5℃,可能导致冷却水泵流量过大。我国目前常用吸收式冷水机组产品大多数能够做到5℃~7℃,但需要注意的是,目前我国的冷却塔水温差标准为5℃,因此当设计的冷却水温差大于5℃时,必须对冷却塔的能力进行核算或选择满足要求的非标产品来实现相应的水冷却温差。
8.6.4 冷却水系统设计时应符合下列规定:
1 应设置保证冷却水系统水质的水处理装置;
2 水泵或冷水机组的入口管道上应设置过滤器或除污器;
3 采用水冷管壳式冷凝器的冷水机组,宜设置自动在线清洗装置;
4 当开式冷却水系统不能满足制冷设备的水质要求时,应采用闭式循环系统。
条文说明
8.6.4 冷却水系统设计。
1 由于补水的水质和系统内的机械杂质等因素,不能保证冷却水系统水质符合要求,尤其是开式冷却水系统与空气大量接触,造成水质不稳定,产生和积累大量水垢、污垢、微生物等,使冷却塔和冷凝器的传热效率降低,水流阻力增加,卫生环境恶化,对设备造成腐蚀。因此,为保证水质,规定应采取相应措施,包括传统的化学加药处理,以及其他物理方式。
2 为了避免安装过程的焊渣、焊条、金属碎屑、砂石、有机织物以及运行过程产生的冷却塔填料等异物进入冷凝器和蒸发器,宜在冷水机组冷却水和冷冻水入水口前设置过滤孔径不大于3mm的过滤器。对于循环水泵设置在冷凝器和蒸发器入口处的设计方式,该过滤器可以设置在循环水泵进水口。
3 冷水机组循环冷却水系统,除做好日常的水质处理工作基础上,设置水冷管壳式冷凝器自动在线清洗装置,可以有效降低冷凝器的污垢热阻,保持冷凝器换热管内壁较高的洁净度,从而降低冷凝端温差(制冷剂冷凝温度与冷却水的离开温度差)和冷凝温度。从运行费用来说,冷凝温度越低,冷水机组的制冷系数越大,可减少压缩机的耗电量。例如,当蒸发温度一定时,冷凝温度每增加1℃,压缩机单位制冷量的耗功率约增加3%~4%。目前的在线清洗装置主要是清洁球和清洁毛刷两大类产品,在应用中各有特点,设计人员宜根据冷水机组产品的特点合理选用。
4 某些设备的换热器要求冷却水洁净,一般不能将开式系统的冷却水直接送入机组。设计时可采用闭式冷却塔,或设置中间换热器。
8.6.5 集中设置的冷水机组与冷却水泵,台数和流量均应对应;分散设置的水冷整体式空调器或小型户式冷水机组,可以合用冷却水系统;冷却水泵的扬程应满足冷却塔的进水压力要求。
条文说明
8.6.5 冷却水循环泵选择。
为保证流经冷水机组冷凝器的水量恒定,要求与冷水机组“一对一”设置冷却水循环泵,但小型分散的水冷柜式空调器、小型户式冷水机组等可以合用冷却水系统;对于仅夏季使用的冷水机组不作备用泵设置要求,对于全年要求冷水机组连续运行工程,可根据工程的重要程度和设计标准确定是否设置备用泵。
冷却水泵的扬程包括系统阻力、系统所需扬水高差、有布水器的冷却塔和喷射式冷却塔等要求的压力。一般在冷却塔产品样本中提出了“进塔水压”的要求,即包括了冷却塔水位差以及布水器等冷却塔的全部水流阻力,此部分可直接采用。
对于冷却水水质,之前无相关规范进行规定,目前,国家标准《供暖空调系统水质标准》正在编制,对冷却水水质提出了相关要求。
8.6.6 冷却塔的选用和设置应符合下列规定:
1 在夏季空调室外计算湿球温度条件下,冷却塔的出口水温、进出口水温降和循环水量应满足冷水机组的要求;
2 对进口水压有要求的冷却塔的台数,应与冷却水泵台数相对应;
3 供暖室外计算温度在0℃以下的地区,冬季运行的冷却塔应采取防冻措施,冬季不运行的冷却塔及其室外管道应能泄空;
4 冷却塔设置位置应保证通风良好、远离高温或有害气体,并避免飘水对周围环境的影响;
5 冷却塔的噪声控制应符合本规范第10章的有关要求;
6 应采用阻燃型材料制作的冷却塔,并符合防火要求;
7 对于双工况制冷机组,若机组在两种工况下对于冷却水温的参数要求有所不同时,应分别进行两种工况下冷却塔热工性能的复核计算。
条文说明
8.6.6 冷却塔设置要求。
1 同一型号的冷却塔,在不同的室外湿球温度条件和冷水机组进出口温差要求的情况下,散热量和冷却水量也不同,因此,选用时需按照工程实际,对冷却塔的标准气温和标准水温降下的名义工况冷却水量进行修正,使其满足冷水机组的要求,一般无备用要求。
2 有旋转式布水器或喷射式等对进口水压有要求的冷却塔需保证其进水量,所以应和循环水泵相对应设置。当冷却塔本身不需保证水量和水压时,可以合用冷却塔,但其接管和控制也宜与水泵对应,详见本规范8.6.9的条文说明。
3 供暖室外计算温度在0℃以下的地区,为防止冷却塔间断运行时结冰,应选用防冻性能好的冷却塔,并采用在冷却塔底盘和室外管道设电加热设施等防冻措施。本款同时提出了冬季不使用的冷却塔室外管道泄空的防冻要求,包括补水管道在低于室外的室内设置关断阀和泄水阀等。
4 冷却塔的设置位置不当将直接影响冷却塔散热,且对周围环境产生影响;另外由冷却塔产生火灾也是工程中经常发生的事故,因此做出相应规定。
8.6.7 间歇运行的开式冷却塔的集水盘或下部设置的集水箱,其有效存水容积,应大于湿润冷却塔填料等部件所需水量,以及停泵时靠重力流入的管道内的水容量。
条文说明
8.6.7 冷却水系统存水量。
空调系统即使全天开启,随负荷变化冷源设备和水泵台数,绝大部分都为间歇运行(工艺需要保证时除外)。在水泵停机后,冷却塔填料的淋水表面附着的水滴下落,一些管道内的水容量由于重力作用,也从系统开口部位下落,系统内如果没有足够的容纳这些水量的容积(集水盘或集水箱),就会造成大量溢水浪费;当水泵重新启动时,首先需要一定的存水量,以湿润冷却塔干燥的填料表面和充满停机时流空的管道空间,否则会造成水泵缺水进气空蚀,不能稳定运行。
湿润冷却塔填料等部件所需水量应由冷却塔生产厂提供,逆流塔约为冷却塔标称循环水量的1.2%,横流塔约为1.5%。
8.6.8 当设置冷却水集水箱且必须设置在室内时,集水箱宜设置在冷却塔的下一层,且冷却塔布水器与集水箱设计水位之间的高差不应超过8m。
条文说明
8.6.8 集水箱位置。
在冷却塔下部设置集水箱作用如下:
1 冷却塔水靠重力流入集水箱,无补水、溢水不平衡问题;
2 可方便地增加系统间歇运行时所需存水容积,使冷却水循环泵能稳定工作;
3 为多台冷却塔统一补水、排污、加药等提供了方便操作的条件。
因此,必要时可紧贴冷却塔下部设置各台冷却塔共用的冷却水集水箱。
冬季使用的系统,为防止停止运行时冷却塔底部存水冻结,可在室内设置集水箱,节省冷却塔底部存水的电加热量,但在室内设置水箱存在占据室内面积、水箱和冷却塔的高差增加水泵电能等缺点。因此,是否设置集水箱应根据工程具体情况确定,且应尽量减少冷却塔和集水箱的高差。
8.6.9 冷水机组、冷却水泵、冷却塔或集水箱之间的位置和连接应符合下列规定:
1 冷却水泵应自灌吸水,冷却塔集水盘或集水箱最低水位与冷却水泵吸水口的高差应大于管道、管件、设备的阻力;
2 多台冷水机组和冷却水泵之间通过共用集管连接时,每台冷水机组进水或出水管道上应设置与对应的冷水机组和水泵连锁开关的电动两通阀;
3 多台冷却水泵或冷水机组与冷却塔之间通过共用集管连接时,在每台冷却塔进水管上宜设置与对应水泵连锁开闭的电动阀;对进口水压有要求的冷却塔,应设置与对应水泵连锁开闭的电动阀。当每台冷却塔进水管上设置电动阀时,除设置集水箱或冷却塔底部为共用集水盘的情况外,每台冷却塔的出水管上也应设置与冷却水泵连锁开闭的电动阀。
条文说明
8.6. 9 冷水机组、冷却水泵、冷却塔或集水箱之间的位置和连接。
1 冷却水泵自灌吸水和高差应大于管道、管件、设备的阻力的规定,都是为防止水泵负压进水产生气蚀。
2 多台冷水机组和冷却水泵之间通过共用集管连接时,每台冷水机组设置电动阀(隔断阀)是为了保证运行的机组冷凝器水量恒定。
3 冷却塔的旋转式布水器靠出水的反作用力推动运转,因此需要足够的水量和约0.1MPa水压,才能够正常布水;喷射式冷却塔的喷嘴也要求约0.1MPa~O.2MPa的压力。当冷却水系统中一部分冷水机组和冷却水泵停机时,系统总循环水量减少,如果平均进入所有冷却塔,每台冷却塔进水量过少,会使布水器或喷嘴不能正常运转,影响散热;冷却塔一般远离冷却水泵,如采用手动阀门控制十分不便;因此,要求共用集管连接的系统应设置能够随冷却水泵频繁动作的自控隔断阀,在水泵停机时关断对应冷却塔的进水管,保证正在工作的冷却塔的进水量。
一般横流式冷却塔只要回水进入布水槽就可靠重力均匀下流,进水所需水压很小(≤0.05MPa),且常常以冷却塔的多单元组合成一台大塔,共用布水槽和集水盘,因此冷却塔没有水量控制的要求;但存在水泵运行台数减少时,因管网阻力减少使运行水泵流量增加超负荷的问题,因此也宜设置隔断阀。
为防止无用的补水和溢水或冷却塔底抽空,设置自控隔断阀的冷却塔出水管上也应对应设电动阀。即使各集水盘之间用管道联通,由于管道之间存在流动阻力,仍然存在上述问题;因此仅设置集水箱或冷却塔底部为共用集水盘(不包括各集水盘之间用管道联通)时除外。
8.6.10 当多台冷却塔与冷却水泵或冷水机组之间通过共用集管连接时,应使各台冷却塔并联环路的压力损失大致相同。当采用开式冷却塔时,底盘之间宜设平衡管,或在各台冷却塔底部设置共用集水盘。
条文说明
8.6.10 冷却塔管路流量平衡。
冷却塔进出水管道设计时,应注意管道阻力平衡,以保证各台冷却塔的设计水量。在开式冷却塔之间设置平衡管或共用集水盘,是为了避免各台冷却塔补水和溢水不均衡造成浪费,同时这也是防止个别冷却塔抽空的措施之一。
8.6.11 开式冷却塔补水量应按系统的蒸发损失、飘逸损失、排污泄漏损失之和计算。不设集水箱的系统,应在冷却塔底盘处补水;设置集水箱的系统,应在集水箱处补水。
条文说明
8.6.11 冷却水补水量和补水点。
计算开式系统冷却水补水量是为了确定补水管管径、补水泵、补水箱等设施。开式系统冷却水损失量占系统循环水量的比例估算值:蒸发损失为每摄氏度水温降0.16%;飘逸损失可按生产厂提供数据确定,无资料时可取0.2%~0.3%;排污损失(包括泄漏损失)与补水水质、冷却水浓缩倍数的要求、飘逸损失量等因素有关,应经计算确定,一般可按0.3%估算。
8.7 蓄冷与蓄热
8.7.1 符合以下条件之一,且经综合技术经济比较合理时,宜采用蓄冷(热)系统供冷(热):
1 执行分时电价、峰谷电价差较大的地区,或有其他用电鼓励政策时;
2 空调冷、热负荷峰值的发生时刻与电力峰值的发生时刻接近、且电网低谷时段的冷、热负荷较小时;
3 建筑物的冷、热负荷具有显著的不均匀性,或逐时空调冷、热负荷的峰谷差悬殊,按照峰值负荷设计装机容量的设备经常处于部分负荷下运行,利用闲置设备进行制冷或供热能够取得较好的经济效益时;
4 电能的峰值供应量受到限制,以至于不采用蓄冷系统能源供应不能满足建筑空气调节的正常使用要求时;
5 改造工程,既有冷(热)源设备不能满足新的冷(热)负荷的峰值需要,且在空调负荷的非高峰时段总制冷(热)量存在富裕量时;
6 建筑空调系统采用低温送风方式或需要较低的冷水供水温度时;
7 区域供冷系统中,采用较大的冷水温差供冷时;
8 必须设置部分应急冷源的场所。
条文说明
8.7.1 蓄冷(热)系统选择。
蓄冷、蓄热系统能够对电网起到“削峰填谷”的作用,对于电力系统来说,具有较好的节能效果,在设计中可以适当的推荐采用。本节主要介绍系统设计时的原则性要求,蓄冷空调系统的具体要求应符合《蓄冷空调工程技术规程》JGJ 158的规定。
1 对于执行分时电价且峰谷电价差较大的地区来说,采用蓄冷、蓄热系统能够提高用户的经济效益,减少运行费用。
2 空调负荷的高峰与电力负荷的峰值时段比较接近时,如果采用蓄冷、蓄热系统,可以使得冷、热源设备的电气安装容量下降,在非峰值时段可以运行较多的设备进行蓄热蓄冷。
3 在空调负荷峰谷差悬殊的情况下,如果按照峰值设置冷、热源的容量并直接供应空调冷、热水,可能造成在一天甚至全年绝大部分时间段冷水机组都处于较低负荷运行的情况,既不利于节能,也使得设备的投入没有得到充分的利用。因此经济分析合理时,也宜采用蓄冷、蓄热系统。
4 当电力安装容量受到限制时,通过设置蓄冷、蓄热系统,可以使得在负荷高峰时段用冷、热源设备与蓄冷、蓄热系统联合运行的方式而达到要求的峰值负荷。
5 对于改造或扩建工程,由于需要的设备机房面积或者电力增容受到限制时,采用蓄冷(热)是一种有效提高峰值冷热供应需求的措施。
6 一般来说,采用常规的冷水温度(7℃/12℃)且空调机组合理的盘管配置(原则上最多在10~12排,排数过多的既不经济,也增加了对风机风压的要求)合理时,最低能达到的送风温度大约在11℃~12℃。对于要求更低送风温度的空调系统,需要较低的冷水温度,因此宜采用冰蓄冷系统。
7 区域供冷系统,应采用较大的冷水供回水温差以节省输送能耗。由于冰蓄冷系统具有出水温度较低的特点,因此满足于大温差供回水的需求。
8 对于某些特定的建筑(例如数据中心等),城市电网的停电可能会对空调系统产生严重的影响时,需要设置应急的冷源(或热源),这时可采用蓄冷(热)系统作为应急的措施来实现。
8.7.2 蓄冷空调系统设计应符合下列规定:
1 应计算一个蓄冷—释冷周期的逐时空调冷负荷,且应考虑间歇运行的冷负荷附加;
2 应根据蓄冷—释冷周期内冷负荷曲线、电网峰谷时段以及电价、建筑物能够提供的设置蓄冷设备的空间等因素,经综合比较后确定采用全负荷蓄冷或部分负荷蓄冷。
条文说明
8.7.2 蓄冷空调系统负荷计算和蓄冷方式选择。
1 对于一般的酒店、办公等建筑来说,典型设计蓄冷时段通常为一个典型设计日。对于全年非每天使用(或即使每天使用但使用人数并不总是满员的建筑,例如展览馆、博物馆以及具有季节性度假性质的酒店等),其满负荷使用的情况具有阶段性,这时应根据实际满员使用的阶段性周期作为典型设计蓄冷时段来进行。
由于蓄冷系统存在间歇运行的特点,空调系统不运行的时段内,建筑构件(主要包括楼板、内墙及家具)仍然有传热而形成了一定的蓄热量,这些蓄热量需要整个空调系统来带走。因此在计算整个空调蓄冷系统典型设计日的总冷量(kWh)时,除计算空调系统运行时段的冷负荷外,还应考虑上述蓄热量。蓄冷空调系统非运行时段的各建筑构件单位楼板面积、单位昼夜温差(由自然温升引起的)附加负荷可参考表12。
2 对于用冷时间短,并且在用电高峰时段需冷量相对较大的系统,可采用全负荷蓄冷;一般工程建议采用部分负荷蓄冷。在设计蓄冷-释冷周期内采用部分负荷的蓄冷空调系统,应考虑其在负荷较小时能够以全负荷蓄冷方式运行。

注:1 此表适用于轻型外墙的情况
2 此表适用于楼板和内墙厚度在10~15cm之间的情况
3 表中α为内墙面积与楼板面积的比值,b为家具面积与楼板面积的比值,根据建筑实际情况估算。
在有条件的情况下,还宜进行全年(供冷季)的逐时空调冷负荷计算或供热季节的全年负荷计算,这样才能更好地确定系统的全年运行策略。
在确定全年运行策略时,充分利用低谷电价,一方面能够节省运行费用,另一方面,也为城市电网“削峰填谷”取得较好效果。
8.7.3 冰蓄冷装置和制冷机组的容量,应保证在设计蓄冷时段内完成全部预定的冷量蓄存,并宜按照附录J的规定确定。冰蓄冷装置的蓄冷和释冷特性应满足蓄冷空调系统的需求。
条文说明
8.7.3 冰蓄冷装置蓄冷和释冷特性要求。
1 冰蓄冷装置的蓄冷特性要求如下:
1)在电网的低谷时间段内(通常为7小时~9小时),完成全部设计冷量的蓄存。因此应能提供出的两个必要条件是:①确定制冷机在制冷工况下的最低运行温度(一般为-4℃~-8℃);②根据最低运行温度及保证制冷机安全运行的原则,确定载冷剂的浓度(体积浓度一般为25%~30%)。
2)结冰厚度与结冰速度应均匀。
2 冰蓄冷装置的释冷特性要求如下:
对于用户及设计单位来说,冰蓄冷装置的释冷特性是非常重要的,保持冷水温度恒定和确保逐时释冷量符合建筑空调的需求是空调系统运行的前提。所以,冰蓄冷装置的完整释冷特性曲线中,应能明确给出装置的逐时可释出的冷量(常用释冷速率来表示和计算)及其相应的溶液浓度。
对于释冷速率,通常有两种定义法:
1)单位时间可释出的冷量与冰蓄冷装置的名义总蓄冷量的比值,以百分比表示(一般冰盘管式装置,均按此种方法给出);
2)某单位时间释出的冷量与该时刻冰蓄冷装置内实际蓄存的冷量的比值,以百分比表示(一般封装式装置,均按此种方法给出)。
全负荷蓄冰系统初投资最大,占地面积大,但运行费最节省。部分负荷蓄冰系统则既减少了装机容量,又有一定蓄能效果,相应减少了运行费用。附录J中所指一般空调系统运行周期为一天24小时,实际工程(如教堂),使用周期可能是一周或其他。
一般产品规格和工程说明书中,常用蓄冷量量纲为(RT·h)冷吨时,它与标准量纲的关系为:1RT·h=3.517kWh。
8.7.4 冰蓄冷系统,当设计蓄冷时段仍需供冷,且符合下列情况之一时,宜配置基载机组:
1 基载冷负荷超过制冷主机单台空调工况制冷量的20%时;
2 基载冷负荷超过350kW时;
3 基载负荷下的空凋总冷量(kWh)超过设计蓄冰冷量(kWh)的10%时。
条文说明
8.7.4 基载机组配置条件。
基载冷负荷如果比较大或者基载负荷下的总冷量比较大时,为了满足制冰蓄冷运行时段的空调要求,并确保制冰蓄冷系统的正常运行,通常宜设置单独的基载机组。比较典型的建筑是酒店类建筑。
基载冷负荷如果不大,或者基载负荷下的总冷量不大,单独设置基载机组,可能导致系统复杂和投资增加,因此这种情况下,也可不设置基载冷水机组,而是根据系统供冷的要求设置单独的取冷水泵(在蓄冷的同时进行部分取冷)。需要注意的是:在这种情况下,同样应保证在蓄冷时段的蓄冷量满足8.7.3条的要求。
8.7.5 冰蓄冷系统载冷剂选择及管路设计应符合现行行业标准《蓄冷空调工程技术规程》JGJ 158的有关规定。
条文说明
8.7. 5 载冷剂选择及管路设计要求。
蓄冰系统中常用的载冷剂是乙烯乙二醇水溶液,其浓度愈大凝固点愈低(见表13)。一般制冰出液温度为-6℃~-7℃,蓄冰需要其蒸发温度为-10℃~-11℃,故希望乙烯乙二醇水溶液的凝固温度在-11℃~-14℃之间。所以常选用乙烯乙二醇水溶液体积浓度为25%左右。

8.7.6 采用冰蓄冷系统时,应适当加大空调冷水的供回水温差,并应符合下列规定:
1 当空调冷水直接进入建筑内各空调末端时,若采用冰盘管内融冰方式,空调系统的冷水供回水温差不应小于6℃,供水温度不宜高于6℃;若采用冰盘管外融冰方式,空调系统的冷水供回水温差不应小于8℃,供水温度不宜高于5℃;
2 当建筑空调水系统由于分区而存在二次冷水的需求时,若采用冰盘管内融冰方式,空凋系统的一次冷水供回水温差不应小于5℃,供水温度不宜高于6℃;若采用冰盘管外融冰方式,空调系统的一次冷水供回水温差不应小于6℃,供水温度不宜高于5℃;
3 当空调系统采用低温送风方式时,其冷水供回水温度,应经经济技术比较后确定。供水温度不宜高于5℃;
4 采用区域供冷时,温差要求应符合第8.8.2条的要求。
条文说明
8.7.6 冰蓄冷系统的冷水供回水温度和温差要求。
采用蓄冰空调系统时,由于能够提供比较低的供水温度,应加大冷水供回水温差,节省冷水输送能耗。
从空调系统的末端情况来看,在末端一定的条件下,供回水温差的大小主要取决于供水温度的高低。在蓄冰空调系统中,由于系统形式、蓄冰装置等的不同,供水温度也会存在一定的区别,因此设计中要根据不同情况来确定。
当空调系统的冷水设计温差超过本条第1、2款的规定时,宜采用串联式蓄冰系统。
因此设计中要根据不同情况来确定空调冷水供水温度。除了本条文中提到的冰盘管外,目前还有其他一些蓄冷或取冷的方式,如:动态冰片滑落式、封装式以及共晶盐等,各种方式常用冷水温度范围可参考表14(为了方便,表中也列出了采用水蓄冷时的供水温度)。

8.7.7 水蓄冷(热)系统设计应符合下列规定:
1 蓄冷水温不宜低于4℃,蓄冷水池的蓄水深度不宜低于2m;
2 当空凋水系统最高点高于蓄冷(或蓄热)水池设计水面时,宜采用板式换热器间接供冷(热);当高差大于10m时,应采用板式换热器间接供冷(热)。如果采用直接供冷(热)方式,水路设计应采用防止水倒灌的措施;
3 蓄冷水池与消防水池合用时,其技术方案应经过当地消防部门的审批,并应采取切实可靠的措施保证消防供水的要求:
4 蓄热水池不应与消防水池合用。
条文说明
8.7.7 水蓄冷(热)系统设计。部分强制性条文。
1 为防止蒸发器内水的冻结,一般制冷机出水温度不宜低于4℃,而且4℃水相对密度最大,便于利用温度分层蓄存。适当加大供回水温差还可以减少蓄冷水池容量,通常可利用温差为6℃~7℃,特殊情况利用温差可达8℃~10℃。考虑到水力分层时需要一定的水池深度,提出相应要求。在确定深度时,还应考虑水池中冷热掺混热损失,条件允许应尽可能深。开式蓄热的水池,蓄热温度应低于95℃,以免汽化。
2 采用板式换热器间接供冷,无论系统运行与否,整个管道系统都处于充水状态,管道使用寿命长,且无倒灌危险。当采用直接供冷方式时,管路设计一定要配合自动控制,防止水倒灌和管内出现真空(尤其对蓄热水系统)。当系统高度超过水池设计水面1Om时,采用水池直接向末端设备供冷、热水会导致水泵扬程增加过多使输送能耗加大,因此这时应采用设置热交换器的闭式系统。
3 使用专用消防水池需要得到消防部门的认可。
4 热水不能用于消防,故禁止与消防水池合用。
8.8 区域供冷
8.8.1 区域供冷时,应优先考虑利用分布式能源站、热电厂等余热作为制冷能源。
条文说明
8.8.1 冷源选择。
能源的梯级利用是区域供冷系统中最合理的方式之一,应优先考虑。
8.8.2 采用区域供冷方式时,宜采用冰蓄冷系统。空调冷水供回水温差应符合下列规定:
1 采用电动压缩式冷水机组供冷时,不宜小于7℃;
2 采用冰蓄冷系统时,不应小于9℃。
条文说明
8.8.2 空调冷水供回水温差。
由于区域供冷的管网距离长,水泵扬程高,因此加大供回水温差,可减少水流量,减少水泵的能耗。由于受到不同类型机组冷水供回水温差限制,不同供冷方式宜采用不同的冷水供回水温差。
经研究表明:在空调末端不变的情况下,冷水采用5℃/13℃和7℃/12℃的供回水温度,末端设备对空气的处理能力基本上相同。由于区域供冷系统中宜采用用户间接连接的接入方式,当一次水采用9℃温差时,供水温度要求在3℃~4℃,这样可以使得二次水的供水温度达到6℃~7℃,通常情况下能够满足用户的水温要求。
8.8.3 区域供冷站的设计应符合下列规定:
1 应根据建设的不同阶段及用户的使用特点进行冷负荷分析,并确定同时使用系数和系统的总装机容量:
2 应考虑分期投入和建设的可能性;
3 区域供冷站宜位于冷负荷中心,且可根据需要独立设置;供冷半径应经技术经济比较确定;
4 应设计自动控制系统及能源管理优化系统。
条文说明
8.8.3 区域供冷站设计要求。
1 设计采用区域供冷方式时,应进行各建筑和区域的逐时冷负荷分析计算。制冷机组的总装机容量应按照整个区域的最大逐时冷负荷需求,并考虑各建筑或区域的同时使用系数后确定。这一点与建筑内确定冷水机组装机容量的理由是相同的,做出此规定的目的是防止装机容量过大。
2 由于区域供冷系统涉及的建筑或区域较大,一次建设全部完成和投入运行的情况不多。因此在站房设计中,需要考虑分期建设问题。通常是一些固定部分,如机房土建、管网等需要一次建设到位,但冷水机组、水泵等设备可以采用位置预留的方式。
3 对站房位置的要求与对建筑内部的制冷站位置的要求在原则上是一致的。主要目的是希望减少冷水输送距离,降低输送能耗。一般情况供冷半径不宜大于1500m。
4 区域供冷站房设备容量大、数量多,依靠传统的人工管理难以实现满足用户空调要求的同时,运行又节能的目标。因此这里强调了采用自动控制系统及能源管理优化系统的要求。
8.8.4 区域供冷管网的设计应符合下列规定:
1 负荷侧的共用输配管网和用户管道应按变流量系统设计。各段管道的设计流量应按其所负担的建筑或区域的最大逐时冷负荷,并考虑同时使用系数后确定;
2 区域供冷系统管网与建筑单体的空调水系统规模较大时,宜采用用户设置换热器间接供冷的方式;规模较小时,可根据水温、系统压力和管理等因素,采用用户设置换热器间接供冷或采用直接串联的多级泵系统;
3 应进行管网的水力工况分析及水力平衡计算,并通过经济技术比较确定管网的计算比摩阻。管网设计的最大水流速不宜超过2.9m/s。当各环路的水力不平衡率超过15%时,应采取相应的水力平衡措施;
4 供冷管道宜采用带有保温及防水保护层的成品管材。设计沿程冷损失应小于设计输送总冷量的5%;
5 用户入口应设有冷量计量装置和控制调节装置,并宜分段设置用于检修的阀门井。
条文说明
8.8.4 区域供冷管网设计要求。
1 各管段最大设计流量值的确定原则,与冷水机组的装机容量的确定原则是一致的。这样要求的目的是为了降低管道尺寸、减少管道投资。在这一原则的基础上,必然要求整个管网系统按照变流量系统的要求来设计。
2 由于区域供冷系统规模大、存水量多、影响面大,因此从使用安全可靠的角度来看,区域供冷系统与各建筑的水系统一般采用间接连接的方式,这样可以消除由于局部出现问题而对整个系统共同影响。如果系统比较小,且膨胀水箱位置高于所有管道和末端(或者系统的定压装置可以满足要求)时,也可以采用空调冷水直供系统,这样可以减少由于换热器带来的温度损失和水泵扬程损失,对节能有一定的好处。
3 由于系统大、水泵的装机容量大,因此确定合理的管道流速并保证各环路之间的水力平衡,是区域供冷能否做到节能运行的关键环节之一,必须引起设计人员的高度重视。通常来说,管网内的水流速超过3m/s之后,会对管道和附件的使用寿命产生一定的影响;同时考虑到区域供冷系统中,最大流量出现的时间是非常短的,因此本条规定最大设计流速不宜超过2.9m/s。当然,这主要是针对较大的管径而言的,还需要管径和比摩阻的问题,综合确定。
4 由于管网比较长,会导致管道的传热损失增加,因此对管道的保温要求也做了整体性的性能规定。
5 为了提倡用户的行为节能,本条文规定了冷量计量的要求。
8.9 燃气冷热电三联供
8.9.1 采用燃气冷热电三联供系统时,应优化系统配置,满足能源梯级利用的要求。
条文说明
8.9.1 使用原则。
本规范提到的燃气冷热电三联供是指适用于楼宇或小区级的分布式冷热电三联供系统,不包括城市级大型燃气冷热电三联供系统。系统配置形式与特点见下表。

8.9.2 设备配置及系统设计应符合下列原则:
1 以冷、热负荷定发电量;
2 优先满足本建筑的机电系统用电。
条文说明
8.9.2 设备配置及系统设计原则。
1 采用以冷、热负荷来确定发电容量(以热定电)的方式,对于整个建筑来说具有很好的经济效益。这里提到的冷、热负荷不是指设计冷、热负荷,而应根据经济技术比较后,选取相对稳定的基础冷、热负荷。
2 采用本建筑用电优先的原则,是为了充分利用发电机组的能力。由于在此过程中能量得到了梯级利用,因此也具有较好的节能效益和经济效益。
8.9.3 余热利用设备及容量选择应符合下列规定:
1 宜采用余热直接回收利用的方式;
2 余热利用设备最低制冷容量,不应低于发电机满负荷运行时产生的余热制冷量。
条文说明
8.9.3 余热利用设备和容量选择。
1 余热的利用可分为直接利用和间接利用两种。由于间接利用通常都需要设置中间换热器,存在能源品位的损失。因此推荐采用余热直接利用的方式。
2 为了使得在发电过程中产生的余热得到充分利用,规定了余热利用设备的最小制冷量要求。
8.10 制冷机房
8.10.1 制冷机房设计时,应符合下列规定:
1 制冷机房宜设在空调负荷的中心;
2 宜设置值班室或控制室,根据使用需求也可设置维修及工具间;
3 机房内应有良好的通风设施;地下机房应设置机械通风,必要时设置事故通风;值班室或控制室的室内设计参数应满足工作要求;
4 机房应预留安装孔、洞及运输通道;
5 机组制冷剂安全阀泄压管应接至室外安全处;
6 机房应设电话及事故照明装置,照度不宜小于100lx,测量仪表集中处应设局部照明;
7 机房内的地面和设备机座应采用易于清洗的面层;机房内应设置给水与排水设施,满足水系统冲洗、排污要求;
8 当冬季机房内设备和管道中存水或不能保证完全放空时,机房内应采取供热措施,保证房间温度达到5℃以上。
条文说明
8.10.1 制冷机房设计要求。
1 制冷机房的位置应根据工程项目的实际情况确定,尽可能设置在空调负荷的中心的目的有两个,一是避免输送管路长短不一,难以平衡而造成的供冷(热)质量不良;二是避免过长的输送管路而造成输送能耗过大。
2 大型机房内设备运行噪声较大,按照办公环境的要求设置值班室或控制室除了保护操作人员的健康外,也是机房自动化控制设备运行环境的需要。机房内的噪声不应影响附近房间使用。
3 根据其所选用的不同制冷剂,采用不同的检漏报警装置,并与机房内的通风系统连锁。测头应安装在制冷剂最易泄漏的部位。对于设置了事故通风的冷冻机房,在冷冻机房两个出口门外侧,宜设置紧急手动启动事故通风的按钮。
4 由于机房内设备的尺寸都比较大,因此需要在设计初始详细考虑大型设备的位置及运输通道,防止建筑结构完成后设备的就位困难。
5 制冷机组所携带的冷剂较多,当制冷机的安全爆破片破裂时,大量的制冷剂会迅速涌入机房内,由于制冷剂气体的相对密度一般都比空气大,很容易在机房下部人员活动区积聚,排挤空气,使工作人员受缺氧窒息的危害。因此美国《制冷系统安全设计标准》ANSI/ASHRAE-15第8.11.2.1款要求,不论属于哪个安全分组的制冷剂,在制冷机房内均需设置与安装和所使用制冷剂相对应的泄漏检测传感器和报警装置。尤其是地下机房,危险性更大。所以制冷剂安全阀泄压管一定要求接至室外安全处。
8.10.2 机房内设备布置应符合下列规定:
1 机组与墙之间的净距不小于1m,与配电柜的距离不小于1.5m;
2 机组与机组或其他设备之间的净距不小于1.2m;
3 宜留有不小于蒸发器、冷凝器或低温发生器长度的维修距离;
4 机组与其上方管道、烟道或电缆桥架的净距不小于1m;
5 机房主要通道的宽度不小于1.5m。
条文说明
8.10.2 机房设备布置要求。
按当前常用机型作了机房布置最小间距的规定。在设计布置时还应尽量紧凑、宽窄适当而不应浪费面积。根据实践经验、设计图面上因重叠的管道摊平绘制,管道甚多,看似机房很挤,完工后却太宽松,因此,设计时不应超出本条规定的间距过多。
随着设备清洁技术的提高,一些在线清洁方式(如8.6.4条第3款)也开始使用。当冷水或冷却水系统采用在线清洁装置时,可以不考虑本条第3款的规定。
8.10.3 氨制冷机房设计应符合下列规定:
1 氨制冷机房单独设置且远离建筑群;
2 机房内严禁采用明火供暖;
3 机房应有良好的通风条件,同时应设置事故排风装置,换气次数每小时不少于12次,排风机应选用防爆型;
4 制冷剂室外泄压口应高于周围50m范围内最高建筑屋脊5m,并采取防止雷击、防止雨水或杂物进入泄压管的装置;
5 应设置紧急泄氨装置,在紧急情况下,能将机组氨液溶于水中,并排至经有关部门批准的储罐或水池。
条文说明
8.10.3 氨制冷机房设计要求。部分强制性条文。
尽管氨制冷在目前具有一定的节能减排的应用前景,但由于氨本身的易燃易爆特点,对于民用建筑,在使用氨制冷时需要非常重视安全问题。氨溶液溶于水时,氨与水的比例不高于每1kg氨/17L水。
8.10.4 直燃吸收式机组机房的设计应符合下列规定:
1 应符合国家现行有关防火及燃气设计规范的相关规定;
2 宜单独设置机房;不能单独设置机房时,机房应靠建筑物的外墙,并采用耐火极限大于2h防爆墙和耐火极限大于1.5h现浇楼板与相邻部位隔开;当与相邻部位必须设门时,应设甲级防火门;
3 不应与人员密集场所和主要疏散口贴邻设置;
4 燃气直燃型制冷机组机房单层面积大于200㎡时,机房应设直接对外的安全出口;
5 应设置泄压口,泄压口面积不应小于机房占地面积的10%(当通风管道或通风井直通室外时,其面积可计入机房的泄压面积);泄压口应避开人员密集场所和主要安全出口;
6 不应设置吊顶;
7 烟道布置不应影响机组的燃烧效率及制冷效率。
条文说明
8.10.4 直燃吸收机组机房设计要求。
本条主要是针对直燃吸收式机组机房的安全要求提出的。直燃吸收式机组通常采用燃气或燃油为燃料,这两种燃料的使用都涉及防火、防爆、泄爆、安全疏散等安全问题;对于燃气机组的机房还有燃气泄漏报警、紧急切断燃气供应的安全措施。相关规范包括《城镇燃气设计规范》GB 50028、《建筑设计防火规范》GB 50016、《高层民用建筑设计防火规范》GB 50045等。
直燃机组的烟道设计也是一个重要的内容之一。设计时应符合机组的相关设计参数要求,并按照锅炉房烟道设计的相关要求来进行。
8.11 锅炉房及换热机房
8.11.1 采用城市热网或区域锅炉房(蒸汽、热水)供热的空调系统,宜设换热机房,通过换热器进行间接供热。锅炉房、换热机房应设置计量表具。
条文说明
8.11. 1 换热机房设置及计量。
通过换热器间接供热的优点在于:①使区域热源系统独立于末端空调系统,利于其运营管理、不受末端空调系统运行状态干扰;②利于区域冷热源管网系统的水力平衡与水力稳定;③降低运行成本,如:系统补水量可以显著下降,即节约了水费也减少了水处理费用;④提高了系统的安全性与可靠性,因为末端系统的内部故障不影响区域系统的正常运行。
本条同时提出了关于锅炉房和换热机房应设置计量表具的要求。锅炉房、换热机房应设供热量、燃料消耗量、补水量、耗电量的计量表具,有条件时,循环水泵电量宜单独计量。
8.11.2 换热器的选择,应符合下列规定:
1 应选择高效、紧凑、便于维护管理、使用寿命长的换热器,其类型、构造、材质与换热介质理化特性及换热系统使用要求相适应;
2 热泵空调系统,从低温热源取热时,应采用能以紧凑形式实现小温差换热的板式换热器;
3 水-水换热器宜采用板式换热器。
条文说明
8.11.2 换热器选择要求。
1 对于“寸土寸金”的商业楼宇必须强调高效、紧凑,减少换热装置的占地面积。换热介质理化特性对换热器类型、构造、材质的确定至关重要,例如,高参数汽/水换热就不适合采用板式换热器,因为胶垫寿命短,二次费用高。地表水水源热泵系统的低温热源水往往cl-含量较高,而不锈钢对cl-敏感,此时换热器材质就不宜采用不锈钢。又如,当换热介质含有较大粒径杂质时,就应选择高通过性的流道形式与尺寸。
2 采用低温热源的热泵空调系统,只有小温差取热才能使热泵机组有相对较高的性能系数,选型数据分析表明,蒸发温度范围3℃~10℃时,平均1℃变化对性能系数的影响达3%~5%。
尽管理论上所有类型换热器均能实现低温差换热,但若采用壳管类换热器必然体积庞大,所以此种情况下应尽量考虑采用结构紧凑且易于实现小温差换热的板式换热器;设计师不能单从初投资的角度考虑换热器选型,而应兼顾运行管理成本及其对系统能效的影响。
8.11.3 换热器的配置应符合下列规定:
1 换热器总台数不应多于四台。全年使用的换热系统中,换热器的台数不应少于两台;非全年使用的换热系统中,换热器的台数不宜少于两台;
2 换热器的总换热量应在换热系统设计热负荷的基础上乘以附加系数,宜按表8.11.3取值,供暖系统的换热器还应同时满足本条第3款的要求;

3 供暖系统的换热器,一台停止工作时,剩余换热器的设计换热量应保障供热量的要求,寒冷地区不应低于设计供热量的65%,严寒地区不应低于设计供热量的70%。
条文说明
8.11.3 换热器配置要求。
1 设计选型经验表明,几乎不会出现一个换热系统需要四台换热器的情况,所以规定了最多台数。过多的台数会增加初投资与运行成本,并对水系统的水力工况稳定带来不利影响。尽管换热器不大容易出故障,但并非万无一失,同时考虑到日常管理,所以规定了最少台数要求。
2 由于换热器实际工况条件与其选型工况有所偏离,如水质不佳造成实际污垢热阻大于换热器选型采用的污垢热阻;热泵系统水源水温度变化等都可能造成实际换热能力不足,所以应考虑安全余量。考虑到换热器实际工况与选型工况的偏离程度与系统类型有关,故给出了不同系统类型的换热器选型热负荷安全附加建议。其中对空调供冷,由于工况偏离程度往往较小,加之小温差换热时换热器投资高,故安全附加建议值较低。而对于水源热泵机组,因水质与水温往往具有不确定性,一旦换热能力不足还会影响热泵机组的正常运行,所以建议的安全附加值高些。当换热器的换热能力相对过盈时,有利于提升空调系统能效,特别是对从品位较低的热源取热的水源热泵系统更明显,尽管这会增加一些投资,但回收期通常不会多于5年~6年。

几大主要国外(或合资)品牌板式换热器选型计算的污垢热阻取值均参考美国TEMP标准,见下表。由于我国的许多实际工程的冷却水质与美国标准并不一致,如果直接采用,实际上会使得机组的性能无法达到要求,设计人员在具体工程中,应该充分注意此点。
由于迄今我们对诸如海水、中水以及城市污水等在换热表面产生的“软垢”的污垢热阻尚缺乏研究,此处建议取为0.129(㎡·K)/kW,此数值等于国家标准规定的开式冷却水系统污垢热阻0.086(㎡·K)/kW的1.5倍,当然也有学者建议取教科书中河水污垢热阻0.6(㎡·K)/kW。
3 不同物业对热供应保障程度的要求不一,如:高档酒店,管理集团往往要求任何情况下热供应100%保障。而高保障,意味着高投资,所以强调与物业管理方沟通,确定合理的保障量。《锅炉房设计规范》GB 50041-2008第10.2.1条规定:当其中一台停止运行时,其余换热器的容量宜满足75%总计算热负荷的需求。该规范同时考虑了生产用热的保障性问题。对于民用建筑而言,计算分析表明:冷热供应量连续5小时低于设计冷热负荷的40%时,造成的室温下降,对于供暖:≤2℃;所以对于供冷:≤3℃。但考虑到严寒和寒冷地区当供暖严重不足时有可能导致人员的身体健康受到影响或者室内出现冻结的情况,因此依据气象条件分别规定了不同的保证率。以室外温度达到冬季设计温度、室内供暖设计温度18℃计算:在北京,如果保证65%的供热量,室内的平均温度约为8℃~9℃;在哈尔滨,如果保证70%的供热量,则室内平均温度为6℃左右。
对于供冷系统来说,由于供冷通常不涉及到安全性的问题(工艺特定要求除外),因此不用按照本条第3款的要求执行。对于供热来说,按照本条第3款选择计算出的换热器的单台能力如果大于按照第2款计算值的要求,表明换热器已经具备了一定的余额,因此就不用再乘附加系数。
8.11.4 当换热器表面产生污垢不易被清洁时,宜设置免拆卸清洗或在线清洗系统。
条文说明
8.11.4 换热器污垢清洗。
1 保证换热器清洁对提高系统能效作用明显。对于一、二次侧介质均为清水的换热器,常规的水处理与运行管理能保证换热器较长时间的高效运行。但是对水源水质不佳的热泵机组并非如此,如城市污水处理厂二级水。
2 以各类地表水为水源的水源热泵机组,常规的水处理与运行管理很难保证换热器较长时间的高效运行,或虽能实现,但代价极大,其主要原因是非循环水系统,水量大,水质差。而对水进行的化学处理,还存在“污染”水源水的风险。
3 实践表明,各类在线运行或非在线运行的免拆卸清洗系统,能保证水质“恶劣”时换热器较长时间的高效运行,此类清洗装置包括:用于壳管式换热器的胶球和毛刷清洗系统,能在不中断换热器运行情况下,实现对换热表面的连续清洁;用于板式换热器的免拆卸清洗系统,无需拆卸换热器,只需很少时间,就能实现换热器清洗。
8.11.5 当换热介质为非清水介质时,换热器宜设在独立房间内,且应设置清洗设施及通风系统。
条文说明
- 11.5 非清水换热介质的换热器要求。
非清水介质主要指:城市污水及江河湖海等地表水。此类水源不可避免地会在换热器表面形成“软垢”,而且“软垢”还可能具有生物活性,因此需要定期打开清洗。为便于换热器清洗并降低清洗操作对站房环境的影响,要求将换热器设在独立房间内。
由于清洁工作相对频繁,给排水清洗设施的设置是为了系统清洁的方便;通风措施的设置主要为了保证室内的空气环境。
8.11.6 汽水换热器的蒸汽凝结水,宜回收利用。
条文说明
8.11.6 汽水换热器蒸汽凝结水回收利用。
蒸汽凝结水仍然具有较高的温度和应用价值。在一些地区(尤其是建设有区域蒸汽管网),由于凝结水回收的系统较大,一些工程常常将凝结水直接放掉,这一方面浪费了宝贵的高品质水资源(软化水),另一方面也浪费了热量,并且将凝结水直接排到下水道还存在其他方面的问题。因此本条文提出了回收利用的规定。
回收利用有两层含义:①回到锅炉房的凝结水箱;②作为某些系统(例如生活热水系统)的预热在换热机房就地换热后再回到锅炉房。后者不但可以降低凝结水的温度,而且充分利用了热量。
8.11.7 锅炉房的设置与设计除应符合本规范规定外,尚应符合现行国家标准《锅炉房设计规范》GB 50041、《高层民用建筑设计防火规范》GB 50045、《建筑设计防火规范》GB 50016的有关规定以及工程所在地主管部门的管理要求。
条文说明
8.11.7 锅炉房设置其他要求。
本规范有关锅炉房的设计规定仅适用于设在单体建筑内的非燃煤整装式锅炉。因此必须指出的是:本规范关于锅炉房的规定仅涉及锅炉类型的选择、容量配置等关于热源方案的要求,而有关锅炉房具体设计要求必须符合相关规范和政府主管部门的管理要求。
8.11.8 锅炉房及单台锅炉的设计容量与锅炉台数应符合下列规定:
1 锅炉房的设计容量应根据供热系统综合最大热负荷确定;
2 单台锅炉的设计容量应以保证其具有长时间较高运行效率的原则确定,实际运行负荷率不宜低于50%;
3 在保证锅炉具有长时间较高运行效率的前提下,各台锅炉的容量宜相等;
4 锅炉房锅炉总台数不宜过多,全年使用时不应少于两台,非全年使用时不宜少于两台;
5 其中一台因故停止工作时,剩余锅炉的设计换热量应符合业主保障供热量的要求,并且对于寒冷地区和严寒地区供热(包括供暖和空调供热),剩余锅炉的总供热量分别不应低于设计供热量的65%和70%。
条文说明
8.11.8 锅炉房及单台锅炉的设计容量与锅炉台数要求。
1 这里提出的综合最大热负荷与《锅炉房设计规范》GB 50041-2008第3.0.7条的概念相似,综合最大热负荷确定时应考虑各种性质的负荷峰值所出现的时间,或考虑同时使用系数。强调以其作为确定锅炉房容量的热负荷,是因为设计实践中往往将围护结构热负荷、新风热负荷与生活热负荷的最大值之和作为确定锅炉房容量的热负荷,与综合最大热负荷相比通常会高20%~40%,造成锅炉房容量过大,既加大了投资又可能增加运行能耗。
2 供暖及空调热负荷计算中,通常不计入灯光设备等得热,而将其作为热负荷的安全余量。但灯光设备等得热远大于管道热损失,所以确定锅炉房容量时无需计入管道热损失。
3 锅炉低负荷运行时,热效率会有所下降,如果能使锅炉的额定容量与长期运行的实际负荷输出接近,会得到较高的季节热效率。作为综合建筑的热源往往会长时间在很低的负荷率下运行,由此基于长期热效率原则确定单台锅炉容量很重要,不能简单的等容量选型。但保证长期热效率的前提下,又以等容量选型最佳,因为这样投资节约、系统简洁、互备性好。
4 关于一台锅炉故障时剩余供热量的规定,理由同8.11.3条第2款的说明。
8.11.9 除厨房、洗衣、高温消毒以及冬季空调加湿等必须采用蒸汽的热负荷外,其余热负荷应以热水锅炉为热源。当蒸汽热负荷在总热负荷中的比例大于70%且总热负荷≤1.4MW时,可采用蒸汽锅炉。
条文说明
8.11. 9 锅炉介质要求。
与蒸汽相比热水作为供热介质的优点早已被实践证明,所以强调尽量以水为锅炉供热介质的理念。但当蒸汽热负荷比例大,而总热负荷又不很大时,分设蒸汽供热与热水供热系统,往往系统复杂,投资偏高,锅炉选型困难,而且节能效果有限,所以此时统一供热介质,技术经济上往往更合理。
8.11.10 锅炉额定热效率不应低于现行国家标准《公共建筑节能设计标准》GB 50189的有关规定。当供热系统的设计回水温度小于或等于50℃时,宜采用冷凝式锅炉。
条文说明
8.11.10 锅炉额定热效率要求。
1 条文中的锅炉热效率为燃料低位发热量热效率。
2 20世纪70年代以来,西欧和美国等相继研制了冷凝式锅炉,即在传统锅炉的基础上加设冷凝式热交换受热面,将排烟温度降到40℃~50℃,使烟气中的水蒸气冷凝下来并释放潜热,可以使热效率提高到100%以上(以低位发热量计算),通常比非冷凝式锅炉的热效率至少提高10%~12%。燃料为天然气时,烟气的露点温度一般在55℃左右,所以当系统回水温度低于50℃,采用冷凝式锅炉可实现节能。
8.11.11 当采用真空热水锅炉时,最高用热温度宜小于或等于85℃。
条文说明
8.11.11 真空热水锅炉使用要求。
真空热水锅炉近年来应用的越来越广泛,而且因其极佳的安全性、承压供热的特点非常适合作为建筑物热源。真空热水锅炉的主要优点为:负压运行无爆炸危险;由于热容量小,升温时间短,所以启停热损失较低,实际热效率高;本体换热,既实现了供热系统的承压运行,又避免了换热器散热损失与水泵功耗;与“锅炉+换热器”的间接供热系统相比,投资与占地面积均有较大节省;闭式运行,锅炉本体寿命长。
强调最高用热温度≤85℃,是因为真空锅炉安全稳定的最高供热温度为85℃。
8.11. 12 集中供暖系统采用变流量水系统时,循环水泵宜采用变速调节控制。
条文说明
8.11.12 变流量系统控制。
对于变流量系统,采用变速调节,能够更多的节省输送能耗,水泵变频调速技术是目前比较成熟可靠的节能方式,容易实现且节能潜力大,调速水泵的性能曲线宜为陡降型。
8.11.13 在选配集中供暖系统的循环水泵时,应计算循环水泵的耗电输热比(EHR),并应标注在施工图的设计说明中。循环泵耗电输热比应符合下式要求:

式中:ECR——循环水泵的耗电输热比;
G——每台运行水泵的设计流量,m3/h;
H——每台运行水泵对应的设计扬程,m水柱;
ηb——每台运行水泵对应设计工作点的效率;
Q——设计冷热负荷,kW;
△T ——设计供回水温差,℃;
A——与水泵流量有关的计算系数,按本规范8.5.12-2选取;
B——与机房及用户的水阻力有关的计算系数,
∑L——室外主干线(包括供回水管)总长度(m);
α——与∑L有关的计算系数,按如下选取或计算;
当∑L≤400m时,α=0.0015;
当400<∑L<1000m时,α=0.003833+3.067/∑L;
当∑L≥1000m时,α=0.0069
条文说明
8.11.13 供热系统耗电输热比。
公式(8.11.13)根据《严寒和寒冷地区居住建筑节能设计标准》JGJ 26-2010第5.2.16条的计算公式EHR=N/Q·η≤A×(20.4+α·ΣL)/△t整理得出。式中,电机和传动部分效率取平均值η=0.88;水泵在设计工况点的轴功率为N=0.002725G·H/η0;计算系数A和B的意义见本规范第8.5.12条条文说明。
循环水泵的耗电输热比的计算方法考虑到了不同管道长度、不同供回水温差因素对系统阻力的影响,计算出的EHR限值也不同,即同样系统的评价标准一致。
8.11.14 锅炉房及换热机房,应设置供热量控制装置。
条文说明
8.11.14 锅炉房及换热机房供热量控制。强制性条文。
本条文对锅炉房及换热机房的节能控制提出了明确的要求。供热量控制装置的主要目的是对供热系统进行总体调节,使供水水温或流量等参数在保持室内温度的前提下,随室外空气温度的变化随时进行调整,始终保持锅炉房或换热机房的供热量与建筑物的需热量基本一致,实现按需供热;达到最佳的运行效率和最稳定的供热质量。
气候补偿器是供暖热源常用的供热量控制装置,设置气候补偿器后,还可以通过在时间控制器上设定不同时间段的不同室温,节省供热量;合理地匹配供水流量和供水温度,节省水泵电耗,保证散热器恒温阀等调节设备正常工作;还能够控制一次水回水温度,防止回水温度过低减少锅炉寿命。
由于不同企业生产的气候补偿器的功能和控制方法不完全相同,但必须具有能根据室外空气温度变化自动改变用户侧供(回)水温度、对热媒进行质调节的基本功能。
8.11.15 锅炉房、换热机房的设计补水量(小时流量)可按系统水容量的1%计算,补水泵设置应符合本规范8.5. 16条规定。
8.11.16 闭式循环水系统的定压和膨胀方式,应符合本规范第8.5.18条规定。当采用对系统含氧量要求严格的散热器设备时,宜采用能容纳膨胀水量的闭式定压方式或进行除氧处理。
检测与监控
9.1 一般规定
9.1.1 供暖、通风与空调系统应设置检测与监控设备或系统,并应符合下列规定:
1 检测与监控内容可包括参数检测、参数与设备状态显示、自动调节与控制、工况自动转换、设备连锁与自动保护、能量计量以及中央监控与管理等。具体内容和方式应根据建筑物的功能与要求、系统类型、设备运行时间以及工艺对管理的要求等因素,通过技术经济比较确定;
2 系统规模大,制冷空调设备台数多且相关联各部分相距较远时,应采用集中监控系统;
3 不具备采用集中监控系统的供暖、通风与空调系统,宜采用就地控制设备或系统。
条文说明
9.1.1 应设置检测与监控的内容及条件。
1 关于检测与监控的内容。
参数检测:包括参数的就地检测及遥测两类。就地参数检测是现场运行人员管理运行设备或系统的依据;参数的遥测是监控或就地控制系统制定监控或控制策略的依据;
参数和设备状态显示:通过集中监控主机系统的显示或打印单元以及就地控制系统的光、声响等器件显示某一参数是否达到规定值或超差;或显示某一设备运行状态;
自动调节:使某些运行参数自动地保持规定值或按预定的规律变动;
自动控制:使系统中的设备及元件按规定的程序启停;
工况自动转换:指在多工况运行的系统中,根据节能及参数运行要求实时从某一运行工况转到另一运行工况;
设备连锁:使相关设备按某一指定程序顺序启停;
自动保护:指设备运行状况异常或某些参数超过允许值时,发出报警信号或使系统中某些设备及元件自动停止工作;
能量计量:包括计量系统的冷热量、水流量、能源消耗量及其累计值等,它是实现系统以优化方式运行,更好地进行能量管理的重要条件;
中央监控与管理:是指以微型计算机为基础的中央监控与管理系统,是在满足使用要求的前提下,按既考虑局部,更着重总体的节能原则,使各类设备在耗能低效率高状态下运行。中央监控与管理系统是一个包括管理功能、监视功能和实现总体运行优化的多功能系统。
检测与监控系统可采用就地仪表手动控制、就地仪表自动控制和计算机远程控制等多种方式。设计时究竟采用哪些检测与监控内容和方式,应根据系统节能目标、建筑物的功能和标准、系统的类型、运行时间和工艺对管理的要求等因素,经技术经济比较确定。
2 本规范所涉及的集中监控系统主要指集散型控制系统及全分散控制系统等。
所谓集散型控制系统是一种基于计算机的分布式控制系统,其特征是“集中管理,分散控制”。即以分布在现场所控设备或系统附近的多台计算机控制器(又称下位机)完成对设备或系统的实时检测、保护和控制任务,克服了计算机集中控制带来的危险性高度集中和常规仪表控制功能单一的局限性;由于采用了安装于中央监控室的具有通信、显示、打印及其丰富的管理软件的计算机系统,实行集中优化管理与控制,避免了常规仪表控制分散所造成的人机联系困难及无法统一管理的缺点。全分散控制系统是系统的末端,例如包括传感器、执行器等部件具有通信及智能功能,真正实现了点到点的连接,比集散型控制系统控制的灵活性更大,就中央主机部分设置、功能而言,全分散控制系统与集散型控制系统所要求的是完全相同的。
采用集中监控系统具有以下优势:
1)由于集中监控系统管理具有统一监控与管理功能的中央主机及其功能性强的管理软件,因而可减少运行维护工作量,提高管理水平;
2)由于集中监控系统能方便地实现下位机间或点到点通信连接,因而对于规模大、设备多、距离远的系统比常规控制更容易实现工况转换和调节;
3)由于集中监控系统所关心的不仅是设备的正常运行和维护,更着重于总体的运行状况和效率,因而更有利于合理利用能量实现系统的节能运行;
4)由于集中监控系统具有管理软件并实现与现场设备的通信,因而系统之间的连锁保护控制更便于实现,有利于防止事故,保证设备和系统运行安全可靠。
3 对于不适合采用集中监控系统的小型供暖、通风和空调系统,采用就地控制系统具有以下优势:
1)工艺或使用条件有一定要求的供暖、通风和空调系统,采用手动控制尽管可以满足运行要求,但维护管理困难,而采用就地控制不仅可提高了运行质量,也给维护管理带来了很大方便,因此本条文规定应设就地控制;
2)防止事故保证安全的自动控制,主要是指系统和设备的各类保护控制,如通风和空调系统中电加热器与通风机的连锁和无风断电保护等;
3)采用就地控制系统能根据室内外条件实时投入节能控制方式,因而有利于节能。
9.1.2 供暖、通风与空调系统的参数检测应符合下列规定:
1 反映设备和管道系统在启停、运行及事故处理过程中的安全和经济运行的参数,应进行检测;
2 用于设备和系统主要性能计算和经济分析所需要的参数,宜进行检测;
3 检测仪表的选择和设置应与报警、自动控制和计算机监视等内容综合考虑,不宜重复设置,就地检测仪表应设在便于观察的地点。
条文说明
9.1.2 参数检测及仪表的设置原则。
参数检测的目的,是随时向操作人员提供设备和系统的运行状况和室内控制参数的情况以便进行必要的操作。反映设备和管道系统的安全和经济运行即节能的参数,应设置仪表进行检测。用于设备和系统主要性能计算和经济分析所需要的参数,有条件时也要设置仪表进行检测。
采用就地还是遥测仪表,应根据监控系统的内容和范围确定,宜综合考虑精简配置,减少不必要的重复设置。就地式仪表应设在便于观察的位置;若集中监控或就地控制系统基于实现监控目的所设置的遥测仪表具有就地显示环节且该测量值不参与就地控制时,则可不必再设就地检测仪表。
9.1.3 采用集中监控系统控制的动力设备,应设就地手动控制装置,并通过远程/就地转换开关实现远距离与就地手动控制之间的转换;远程/就地转换开关的状态应为监控系统的检测参数之一。
条文说明
9.1.3 就地手动控制装置的设置。
为使动力设备安全运行及便于维修,采用集中监控系统时,应在动力设备附近的动力柜上设置就地手动控制装置及远程/就地转换开关,并要求能监视远程/就地转换开关状态。为保障检修人员安全,在开关状态为就地手动控制时,不能进行设备的远程启停控制。
9.1.4 供暖、通风与空凋设备设置联动、连锁等保护措施时,应符合下列规定:
1 当采用集中监控系统时,联动、连锁等保护措施应由集中监控系统实现;
2 当采用就地自动控制系统时,联动、连锁等保护措施,应为自控系统的一部分或独立设置;
3 当无集中监控或就地自动控制系统时,应设置专门联动、连锁等保护措施。
条文说明
9.1.4 连锁、联动等保护措施的设置。
1 采用集中监控系统时,设备联动、连锁等保护措施应直接通过监控系统的下位机的控制程序或点到点的连接实现,尤其联动、连锁分布在不同控制区域时优越性更大。
2 采用就地控制系统时,设备联动、连锁等保护措施应为就地控制系统的一部分或分开设置成两个独立的系统。 3 对于不采用集中监控与就地控制的系统,出于安全目的时,联动、连锁应独立设置。
9.1.5 锅炉房、换热机房和制冷机房的能量计量应符合下列规定:
1 应计量燃料的消耗量;
2 应计量耗电量;
3 应计量集中供热系统的供热量;
4 应计量补水量;
5 应计量集中空调系统冷源的供冷量;
6 循环水泵耗电量宜单独计量。
条文说明
9.1.5 锅炉房、换热机房和制冷机房应计量的项目。部分强制性条文。
一次能源/资源的消耗量均应计量。此外,在冷、热源进行耗电量计量有助于分析能耗构成,寻找节能途径,选择和采取节能措施。循环水泵耗电量不仅是冷热源系统能耗的一部分,而且也反映出输送系统的用能效率,对于额定功率较大的设备宜单独设置电计量。
9.1.6 中央级监控管理系统应符合下列规定:
1 应能以与现场测量仪表相同的时间间隔与测量精度连续记录,显示各系统运行参数和设备状态。其存储介质和数据库应能保证记录连续一年以上的运行参数;
2 应能计算和定期统计系统的能量消耗、各台设备连续和累计运行时间;
3 应能改变各控制器的设定值,并能对设置为“远程”状态的设备直接进行启、停和调节;
4 应根据预定的时间表,或依据节能控制程序自动进行系统或设备的启停;
5 应设立操作者权限控制等安全机制;
6 应有参数越限报警、事故报警及报警记录功能,并宜设有系统或设备故障诊断功能;
7 宜设置可与其他弱电系统数据共享的集成接口。
条文说明
9.1.6 中央级监控管理系统的设置要求。
指出了中央级监控管理系统应具有的基本操作功能。包括监视功能、显示功能、操作功能、控制功能、数据管理辅助功能、安全保障管理功能等。它是由监控系统的软件包实现的,各厂家的软件包虽然各有特点,但是软件包功能类似。实际工程中,由于没有按照条文中的要求去做,致使所安装的集中监控系统管理不善的例子屡见不鲜。例如,不设立安全机制,任何人都可进入修改程序的级别,就会造成系统运行故障;不定期统计系统的能量消耗并加以改进,就达不到节能的目标;不记录系统运行参数并保存,就缺少改进系统运行性能的依据等。
随着智能建筑技术的发展,主要以管理暖通空调系统为主的集中监控系统只是大厦弱电子系统之一。为了实现大厦各弱电子系统数据共享,就要求各子系统间(例如消防子系统、安全防范子系统等)有统一的通信平台,因而应考虑预留与统一的通信平台相连接的接口。
9.1.7 防排烟系统的检测与监控,应执行国家现行有关防火规范的规定;与防排烟系统合用的通风空调系统应按消防设置的要求供电,并在火灾时转入火灾控制状态;通风空调风道上的防火阀宜具有位置反馈功能。
条文说明
9.1.7 防排烟系统的检测与监控。
制定本条是为了暖通空调设计能够符合防火规范以及向消防监控设计提出正确的监控要求,使系统能正常运行。相关规范包括《建筑设计防火规范》GB 50016、《高层民用建筑设计防火规范》GB 50045。
与防排烟合用的空调通风系统(例如送风机兼作排烟补风机用,利用平时风道作为排烟风道时阀门的转换,火灾时气体灭火房间通风管道的隔绝等),平时风机运行一般由楼宇自控监控,火灾时设备、风阀等应立即转入火灾控制状态,由消防控制室监控。
要求风道上防火阀带位置反馈可用来监视防火阀工作状态,防止防火阀平时运行的非正常关闭及了解火灾时的阀位情况,以便及时准确地复位,以免影响空调通风系统的正常工作。通风系统干管上的防火阀如处于关闭状态,对通风系统影响较大且不易判断部位,因此宜监控防火阀的工作状态;当支管上的防火阀只影响个别房间时,例如宾馆客房的竖井排风或新风管道,垂直立管与水平支管交接处的防火阀只影响一个房间,是否设防火阀工作状态监视,则不作强行规定。防火阀工作状态首先在消防控制室显示,如有必要也可在楼宇中控室显示。
9.1.8 有特殊要求的冷热源机房、通风和空调系统的检测与监控应符合相关规范的规定。
条文说明
9.1.8 有特殊要求场所或系统的监控要求。
例如,锅炉房的检测与监控应遵守《锅炉房设计规范》GB 50041的规定,医院洁净手术部空调系统的监控应遵守《医院洁净手术部建筑技术规范》GB 50333的规定。
9.2 传感器和执行器
9.2.1 传感器的选择应符合下列规定:
1 当以安全保护和设备状态监视为目的时,宜选择温度开关、压力开关、风流开关、水流开关、压差开关、水位开关等以开关量形式输出的传感器,不宜使用连续量输出的传感器;
2 传感器测量范围和精度应与二次仪表匹配,并高于工艺要求的控制和测量精度;
3 易燃易爆环境应采用防燃防爆型传感器。
条文说明
9.2.1 选择传感器的基本条件。
9.2.2 温度、湿度传感器的设置,应符合下列规定:
1 温度、湿度传感器测量范围宜为测点温度范围的1.2~1. 5倍,传感器测量范围和精度应与二次仪表匹配,并高于工艺要求的控制和测量精度;
2 供、回水管温差的两个温度传感器应成对选用,且温度偏差系数应同为正或负;
3 壁挂式空气温度、湿度传感器应安装在空气流通,能反映被测房间空气状态的位置;风道内温度、湿度传感器应保证插入深度,不应在探测头与风道外侧形成热桥;插入式水管温度传感器应保证测头插入深度在水流的主流区范围内,安装位置附近不应有热源及水滴;
4 机器露点温度传感器应安装在挡水板后有代表性的位置,应避免辐射热、振动、水滴及二次回风的影响。
条文说明
9.2.2 温度、湿度传感器设置的条件。
9.2.3 压力(压差)传感器的设置,应符合下列规定:
1 压力(压差)传感器的工作压力(压差)应大于该点可能出现的最大压力(压差)的1.5倍,量程宜为该点压力(压差)正常变化范围的1.2~1.3倍;
2 在同一建筑层的同一水系统上安装的压力(压差)传感器宜处于同一标高;
3 测压点和取压点的设置应根据系统需要和介质类型确定,设在管内流动稳定的地方并满足产品需要的安装条件。
条文说明
9.2.3 压力(压差)传感器设置的条件。
本条中第2款,当不处于同一标高时需对测量数值进行高度修正。
9.2.4 流量传感器的设置,应符合下列规定:
1 流量传感器量程宜为系统最大工作流量的1.2~1.3倍;
2 流量传感器安装位置前后应有保证产品所要求的直管段长度或其他安装条件;
3 应选用具有瞬态值输出的流量传感器;
4 宜选用水流阻力低的产品。
条文说明
9.2.4 流量传感器设置的条件。
本条第2款中考虑到弯管流量计等不同要求,增加了“或其他安装条件”。推荐选用低阻产品,有利于水系统输送节能。
9.2.5 自动调节阀的选择,应符合下列规定:
1 阀权度的确定应综合考虑调节性能和输送能耗的影响,宜取0.3~0.7。阀权度应按下式计算:

式中:S——阀权度;
△Pmin——调节阀全开时的压力损失(Pa);
△P ——调节阀所在串联支路的总压力损失(Pa)。
2 调节阀的流量特性应根据调节对象特性和阀权度选择,并宜符合下列规定:
1)水路两通阀宜采用等百分比特性的阀门;
2)水路三通阀宜采用抛物线特性或线性特性的阀门;
3)蒸汽两通阀,当阀权度大于或等于0.6时,宜采用线性特性的;当阀权度小于0.6时,宜采用等百分比特性的阀门。
3 调节阀的口径应根据使用对象要求的流通能力,通过计算选择确定。
条文说明
9.2.5 自动调节阀的选择。
1 为了调节系统正常工作,保证在负荷全部变化范围内的调节质量和稳定性,提高设备的利用率和经济性,正确选择调节阀的特性十分重要。
调节阀的选择原则,应以调节阀的工作流量特性即调节阀的放大系数来补偿对象放大系数的变化,以保证系统总开环放大系数不变,进而使系统达到较好的控制效果。但实际上由于影响对象特性的因素很多,用分析法难以求解,多数是通过经验法粗定,并以此来选用不同特性的调节阀。
此外,在系统中由于配管阻力的存在,阀权度S值的不同,调节阀的工作流量特性并不同于理想的流量特性。如理想线性流量特性,当S<O.3时,工作流量特性近似为快开特性,等百分比特性也畸变为接近线性特性,可调比显著减小,因此通常是不希望S<O.3的。而S值过高则可能导致通过阀门的水流速过高和/或水泵输送能耗增大,不利于设备安全和运行节能,因此管路设计时选取的S值一般不大于0.7。
2 关于水路两通阀流量特性的选择,由试验可知,空气加热器和空气冷却器的放大系数是随流量的增大而变小,而等百分比特性阀门的放大系数是随开度的加大而增大,同时由于水系统管道压力损失往往较大,S<O.6的情况居多,因而选用等百分比特性阀门具有较强的适应性。
关于三通阀的选择,总的原则是要求通过三通阀的总流量保持不变,抛物线特性的三通阀当S=0.3~0.5时,其总流量变化较小,在设计上一般常使三通阀的压力损失与热交换器和管道的总压力损失相同,即S=0.5,此时无论从总流量变化角度,还是从三通阀的工作流量特性补偿热交换器的静态特性考虑,均以抛物线特性的三通阀为宜,当系统压力损失较小,通过三通阀的压力损失较大时,亦可选用线性三通阀。
关于蒸汽两通阀的选择,如果蒸汽加热中的蒸汽作自由冷凝,那么加热器每小时所放出的热量等于蒸汽冷凝潜热和进入加热器蒸汽量的乘积。当通过加热器的空气量一定时,经推导可以证明,蒸汽加热器的静态特性是一条直线,但实际上蒸汽在加热器中不能实现自由冷凝,有一部分蒸汽冷凝后再冷却使加热器的实际特性有微量的弯曲,但这种弯曲可以忽略不计。从对象特性考虑可以选用线性调节阀,但根据配管状态当S<0.6时工作流量特性发生畸变,此时宜选用等百分比特性的阀。
3 调节阀的口径应根据使用对象要求的流通能力来定。口径选用过大或过小会导致满足不了调节质量或不经济。
9.2.6 蒸汽两通阀应采用单座阀。三通分流阀不应作三通混合阀使用;三通混合阀不宜作三通分流阀使用。
条文说明
9.2.6 三通阀和两通阀的应用。
由于三通混合阀和分流阀的内部结构不同,为了使流体沿流动方向使阀芯处于流开状态,阀的运行稳定,两者不能互为代用。但对于公称直径小于80mm的阀,由于不平衡力小,混合阀亦可用作分流。如果配套执行器能够提供上下双向驱动力,其他口径的混合阀亦可用作分流。
双座阀不易保证上下两阀芯同时关闭,因而泄漏量大。尤其用在高温场合,阀芯和阀座两种材料的膨胀系数不同,泄漏会更大。故规定蒸汽的流量控制用单座阀。
9.2.7 当仅以开关形式用于设备或系统水路切换时,应采用通断阀,不得采用调节阀。
条文说明
9.2.7 水路切换应选用通断阀。
在关断状态下,通断阀比调节阀的泄漏量小,更有利于设备运行安全和节能。
9.3 供暖通风系统的检测与监控
9.3.1 供暖系统应对下列参数进行检测:
1 供暖系统的供水、供汽和回水干管中的热媒温度和压力;
2 过滤器的进出口静压差;
3 水泵等设备的启停状态;
4 热空气幕的启停状态。
条文说明
9.3.1 供暖系统的参数检测点。
本条给出了供暖系统应设置的参数检测点,为最低要求。设计时应根据系统设置加以确定。
9.3.2 热水集中供暖系统的室温调控应符合本规范第5.10节的有关规定。
9.3.3 通风系统应对下列参数进行检测:
1 通风机的启停状态;
2 可燃或危险物泄漏等事故状态;
3 空气过滤器进出口静压差的越限报警。
条文说明
9.3.3 通风系统的参数检测点。
本条给出了应设置的通风系统检测点,为最低要求。设计时应根据系统设置加以确定。
9.3.4 事故通风系统的通风机应与可燃气体泄漏、事故等探测器连锁开启,并宜在工作地点设有声、光等报警状态的警示。
条文说明
9.3.4 事故通风的通风机电器开关的设置。
本规范6.3.9第2款强制性规定,事故排风系统(包括兼做事故排风用的基本排风系统)的通风机,其手动开关位置应设在室内、外便于操作的地点,以便一旦发生紧急事故时,使其立即投入运行。
本规定要求通风机与事故探测器进行连锁,一旦发生紧急事故可自动进行通风机开启,同时在工作地点发出警示和风机状态显示。
9.3.5 通风系统的控制应符合下列规定:
1 应保证房间风量平衡、温度、压力、污染物浓度等要求;
2 宜根据房间内设备使用状况进行通风量的调节。
条文说明
9.3.5 通风系统的控制设置。
9.3.6 通风系统的监控应符合相关现行消防规范和本规范第6章的相关规定。
9.4 空调系统的检测与监控
9.4.1 空调系统应对下列参数进行检测:
1 室内、外空气的温度;
2 空气冷却器出口的冷水温度;
3 空气加热器出口的热水温度;
4 空气过滤器进出口静压差的越限报警;
5 风机、水泵、转轮热交换器、加湿器等设备启停状态。
条文说明
9.4.1 空调系统检测点。
本条给出了应设置的空调系统检测点,为最低要求。设计时应根据系统设置加以确定。
9.4.2 全年运行的空调系统,宜采用多工况运行的监控设计。
条文说明
9.4.2 多工况运行方式。
多工况运行方式是指在不同的工况时,其调节系统(调节对象和执行机构等)的组成是变化的。以适应室内外热湿条件变化大的特点,达到节能的目的。工况的划分也要因系统的组成及处理方式的不同来改变,但总的原则是节能,尽量避免空气处理过程中的冷热抵消,充分利用新风和回风,缩短制冷机、加热器及加湿器的运行时间等,并根据各工况在一年中运行的累计小时数简化设计,以减少投资。多工况同常规系统运行区别,在于不仅要进行参数的控制,还要进行工况的转换。多工况的控制、转换可采用就地的逻辑控制系统或集中监控系统等方式实现,工况少时可采用手动转换实现。
利用执行机构的极限位置,空气参数的超限信号以及分程控制方式等自动转换方式,在运行多工况控制及转换程序时交替使用,可达到实时转换的目的。
9.4.3 室温允许波动范围小于或等于±1℃和相对湿度允许波动范围小于或等于±5%的空调系统,当水冷式空气冷却器采用变水量控制时,宜由室内温度、湿度调节器通过高值或低值选择器进行优先控制,并对加热器或加湿器进行分程控制。
条文说明
9.4.3 优先控制和分程控制。
水冷式空气冷却器采用室内温度、湿度的高(低)值选择器控制冷水量,在国外是较常用的控制方案,国内也有工程采用。
所谓高(低)值选择控制,就是在水冷式空气冷却器工作的季节,根据室内温、湿度的超差情况,将温度、湿度调节器的输出信号分别输入到信号选择器内进行比较,选择器将根据比较后的高(低)值信号(只接受偏差大的为高值或只接受偏差小的为低值),自动控制调节阀改变进入水冷式空气冷却器的冷水量。
高(低)值选择器在以最不利的参数为基准,采用较大水量调节的时候,对另一个超差较小的参数,就会出现不是过冷就是过于干燥,也就是说如果冷水量是以温度为基准进行调节的,对于相对湿度调节来讲必然是调节过量,即相对湿度比给定值小;如果冷水量是以相对湿度为基准进行调节的,则温度就会出现比给定值低,要保证温湿度参数都满足要求,还需要对加热器或加湿器进行分程控制。
所谓对加热器或加湿器进行分程控制,以电动温湿度调节器为例,就是将其输出信号分为0~5mA和6mA~1OmA两段,当采用高值选择时,其中6mA~10mA的信号控制空气冷却器的冷水量,而0~5mA一段信号去控制加热器和加湿器阀门,也就是说用一个调节器通过对两个执行器的零位调整进行分段控制,即温度调节器既可控制空气冷却器的阀门也可控制加热器的阀门,湿度调节器既可控制冷却器的阀门也可控制加湿器的阀门。
这里选择控制和分程控制是同时进行的,互为补充的,如果只进行高(低)值选择而不进行分程控制,其结果必然出现一个参数满足要求,另一个参数存在偏差。
9.4.4 全空气空调系统的控制应符合下列规定:
1 室温的控制由送风温度或/和送风量的调节实现,应根据空调系统的类型和工况进行选择;
2 送风温度的控制应通过调节冷却器或加热器水路控制阀和/或新、回风道调节风阀实现。水路控制阀的设置应符合本规范第8. 5.6条的规定,且宜采用模拟量调节阀;需要控制混风温度时风阀宜采用模拟量调节阀;
3 采用变风量系统时,风机应采用变速控制方式;
4 当采用加湿处理时,加湿量应按室内湿度要求和热湿负荷情况进行控制。当室内散湿量较大时,宜采用机器露点温度不恒定或不达到机器露点温度的方式,直接控制室内相对湿度;
5 过渡期宜采用加大新风比的方式运行。
条文说明
9.4.4 全空气空调系统的控制。
1 根据设计原理,空调房间室温的控制应由送风温度和送风量的控制和调节来实现。定风量系统通过控制送风温度、变风量系统主要通过送风量的调节来保证。送风温度调节的通常手段是空气冷却器/加热器的水阀调节,对于二次回风系统和一次回风系统在过渡期也可通过调节新风和回风的比例来控制送风温度。变风量采用风机变速是最节能的方式。尽管风机变速的做法投资有一定增加,但对于采用变风量系统的工程而言,这点投资应该是有保证的,其节能所带来的效益能够较快地回收投资。
2 送风温度是空调系统中重要的设计参数,应采取必要措施保证其达到目标,有条件时进行优化调节。控制室温是空调系统需要实现的目标,根据室温实测值与目标值的偏差对送风温度设定值不断进行修正,对于调节对象纯滞后大、时间常数大或热、湿扰量大的场合更有利于控制系统反应快速、效果稳定。
4 当空调系统采用加湿处理时,也应进行加湿量控制。空调房间热湿负荷变化较小时,用恒定机器露点温度的方法可以使室内相对湿度稳定在某一范围内,如室内热湿负荷稳定,可达到相当高的控制精度。但对于室内热湿负荷或相对湿度变化大的场合,宜采用不恒定机器露点温度或不达到机器露点温度的方式,即用直接装在室内工作区、回风口或总回风管中的湿度敏感元件来测量和调节系统中的相应的执行调节机构达到控制室内相对湿度的目的。系统在运行中不恒定机器露点温度或不达到机器露点温度的程度是随室内热湿负荷的变化而变化的,对室内相对湿度是直接控制的,因此,室内散湿量变化较大时,其控制精度较高。然而对于多区系统这一方法仍不能满足各房间的不同条件,因此,在具体设计中应根据不同的实际要求,确定是否应按各房间的不同要求单独控制。
5 在条件合适的地区应充分利用全空气空调系统的优势,尽可能利用室外自然冷源,最大限度地利用新风降温,提高室内空气品质和人员的舒适度,降低能耗。利用新风免费供冷(增大新风比)工况的判别方法可采用固定温度法、温差法、固定焓法、电子焓法、焓差法等,根据建筑的气候分区进行选取,具体可参考ASHRAK标准90.1。从理论分析,采用焓差法的节能性最好,然而该方法需要同时检测温度和湿度,且湿度传感器误差大、故障率高,需要经常维护,数年来在国内、外的实施效果不够理想。而固定温度和温差法,在工程中实施最为简单方便。因此,对变新风比控制方法不做限定。
9.4.5 新风机组的控制应符合下列规定:
1 新风机组水路电动阀的设置应符合第8.5.6条的要求,且宜采用模拟量调节阀;
2 水路电动阀的控制和调节应保证需要的送风温度设定值,送风温度设定值应根据新风承担室内负荷情况进行确定;
3 当新风系统进行加湿处理时,加湿量的控制和调节可根据加湿精度要求,采用送风湿度恒定或室内湿度恒定的控制方式。
条文说明
9.4.5 新风机组的控制。
应根据空调系统的设计需要进行控制。新风机组根据设计工况下承担室内湿负荷的多少,有不同的送风温度设计值:①一般情况下,配合风机盘管等空调房间内末端设备使用的新风系统,新风不负担室内主要冷热负荷时,各房间的室温控制主要由风机盘管满足,新风机组控制送风温度恒定即可。②当新风负担房间主要或全部冷负荷时,机组送风温度设定值应根据室内温度进行调节。③当新风负担室内潜热冷负荷即湿负荷时,送风温度应根据室内湿度设计值进行确定。
9.4.6 风机盘管水路电动阀的设置应符合第8.5.6条的要求,并宜设置常闭式电动通断阀。
条文说明
9.4.6 风机盘管的控制。
风机盘管的自动控制方式主要有两种:①带风机三速选择开关、可冬夏转换的室温控制器连动水路两通电动阀的自动控制配置;②带风机三速选择开关、可冬夏转换的室温控制器连动风机开停的自动控制配置。第一种方式,能够实现整个水系统的变水量调节。第二种方式,采用风机开停对室内温度进行控制,对于提高房间的舒适度和实现节能是不完善的,也不利于水系统运行的稳定性。因此从节能、水系统稳定性和舒适度出发,应按8.5.6条的要求采用第一种配置。采用常闭式水阀更有利于水系统的运行节能。
9.4.7 冬季有冻结可能性的地区,新风机组或空调机组应设置防冻保护控制。
条文说明
9.4.7 新风机组或空调机组的防冻保护控制。
位于冬季有冻结可能地区的新风机组或空调机组,应防止因某种原因热水盘管或其局部水流断流而造成冰冻的可能。通常的做法是在机组盘管的背风侧加设感温测头(通常为毛细管或其他类型测头),当其检测到盘管的背风侧温度低于某一设定值时,与该测头相连的防冻开关发出信号,机组即通过集中监控系统的控制器程序或电气设备的联动、连锁等方式运行防冻保护程序,例如:关新风门、停风机、开大热水阀,防止热水盘管冰冻面积进一步扩大。
9.4.8 空调系统空气处理装置的送风温度设定值,应按冷却和加热工况分别确定;当冷却和加热工况互换时,应设冷热转换装置。冬季和夏季需要改变送风方向和风量的风口应设置冬夏转换装置。转换装置的控制可独立设置或作为集中监控系统的一部分。
条文说明
9.4.8 冷热转换装置的设置。
变风量末端装置和风机盘管等实现各自服务区域的独立温度控制,当冬季、夏季分别运行加热和冷却工况时,要求改变末端装置的动作方向。例如,在冷却工况下,当房间温度降低时,变风量末端装置的风阀应向关小的位置调节;当房间温度升高时,再向开大的位置调节。在加热工况下,风阀的调节过程则相反。
为保证室内气流组织,送风口(包括散流器和喷口)也需根据冬夏季设置改变送风方向和风量的转换装置。
9.4.9 空调系统的电加热器应与送风机连锁,并应设无风断电、超温断电保护装置;电加热器必须采取接地及剩余电流保护措施。
条文说明
9.4.9 电加热器的连锁与保护。强制性条文。
要求电加热器与送风机连锁,是一种保护控制,可避免系统中因无风电加热器单独工作导致的火灾。为了进一步提高安全可靠性,还要求设无风断电、超温断电保护措施,例如,用监视风机运行的风压差开关信号及在电加热器后面设超温断电信号与风机启停连锁等方式,来保证电加热器的安全运行。
电加热器采取接地及剩余电流保护,可避免因漏电造成触电类的事故。
9.5 空调冷热源及其水系统的检测与监控
9.5.1 空调冷热源及其水系统,应对下列参数进行检测:
1 冷水机组蒸发器进、出口水温、压力;
2 冷水机组冷凝器进、出口水温、压力;
3 热交换器一二次侧进、出口温度、压力;
4 分、集水器温度、压力(或压差);
5 水泵进出口压力;
6 水过滤器前后压差;
7 冷水机组、水泵、冷却塔风机等设备的启停状态。
条文说明
9.5.1 空调冷热源和空调水系统的检测点。
冷热源和空调水系统应设置的检测点,为最低要求。设计时应根据系统设置加以确定。
9.5.2 蓄冷(热)系统应对下列参数进行检测:
1 蓄冷(热)装置的进、出口介质温度;
2 电锅炉的进、出口水温;
3 蓄冷(热)装置的液位;
4 调节阀的阀位;
5 蓄冷(热)量、供冷(热)量的瞬时值和累计值;
6 故障报警。
条文说明
9.5.2 蓄冷、蓄热系统的检测点。
蓄冷(热)系统设置检测点的最低要求。设计时应根据系统设置加以确定。
9.5.3 冷水机组宜采用由冷量优化控制运行台数的方式;采用自动方式运行时,冷水系统中各相关设备及附件与冷水机组应进行电气连锁,顺序启停。
条文说明
9.5.3 冷水机组水系统的控制方式及连锁。
许多工程采用的是总回水温度来控制,但由于冷水机组的最高效率点通常位于该机组的某一部分负荷区域,因此采用冷量控制的方式比采用温度控制的方式更有利于冷水机组在高效率区域运行而节能,是目前最合理和节能的控制方式。但是,由于计量冷量的元器件和设备价格较高,因此推荐在有条件时(如采用了DDC控制系统时),优先采用此方式。同时,台数控制的基本原则是:①让设备尽可能处于高效运行;②让相同型号的设备的运行时间尽量接近以保持其同样的运行寿命(通常优先启动累计运行小时数最少的设备);③满足用户侧低负荷运行的需求。
由于制冷机运行时,一定要保证它的蒸发器和冷凝器有足够的水量流过。为达到这一目的,制冷机水系统中其他设备,包括电动水阀冷冻水泵、冷却水泵、冷却塔风机等应先于制冷机开机运行,停机则应按相反顺序进行。通常通过水流开关检测与冷机相连锁的水泵状态,即确认水流开关接通后才允许制冷机启动。
9.5.4 冰蓄冷系统的二次冷媒侧换热器应设防冻保护控制。
条文说明
9.5.4 冰蓄冷系统二次冷媒侧换热器的防冻保护。
一般空调系统夜间负荷往往很小,甚至处在停运状态,而冰蓄冷系统主要在夜间电网低谷期进行蓄冰。因此,在二者进行换热的板换处,由于空调系统的水侧冷水基本不流动,如果乙二醇侧的制冰低温传递过来,易引起另一侧水的冻结,造成板换的冻裂破坏。因此,必须随时观察板换处乙二醇侧的溶液温度,调节好有关电动调节阀的开度,防止事故发生。
9.5.5 变流量一级泵系统冷水机组定流量运行时,空调水系统总供、回水管之间的旁通调节阀应采用压差控制。压差测点相关要求应符合本规范第9.2.3条的规定。
9.5.6 二级泵和多级泵空调水系统中,二级泵等负荷侧各级水泵运行台数宜采用流量控制方式;水泵变速宜根据系统压差变化控制。
条文说明
9.5.6 水泵运行台数及变速控制。
二级泵和多级泵空调水系统中二级泵等负荷侧各级水泵运行台数宜采用流量控制方式;水泵变速宜根据系统压差变化控制,系统压差测点宜设在最不利环路干管靠近末端处;负荷侧多级泵变速宜根据用户侧压差变化控制,压差测点宜设在用户侧支管靠近末端处。
9.5.7 变流量一级泵系统冷水机组变流量运行时,空调水系统的控制应符合下列规定:
1 总供、回水管之间的旁通调节阀可采用流量、温差或压差控制;
2 水泵的台数和变速控制应符合本规范第9.5.6条的要求;
3 应采用精确控制流量和降低水流量变化速率的控制措施。
条文说明
9.5.7 变流量一级泵系统水泵变流量运行时,空调水系统的控制。
精确控制流量和降低水流量变化速率的控制措施包括:
1)应采用高精度的流量或压差测定装置;
2)冷水机组的电动隔断阀应选择“慢开”型;
3)旁通阀的流量特性应选择线性;
4)负荷侧多台设备的启停时间宜错开,设备盘管的水阀应选择“慢开”型。
9.5.8 空调冷却水系统的控制调节应符合下列规定:
1 冷却塔风机开启台数或转速宜根据冷却塔出水温度控制;
2 当冷却塔供回水总管间设置旁通调节阀时,应根据冷水机组最低冷却水温度调节旁通水量;
3 可根据水质检测情况进行排污控制。
条文说明
9.5.8 空调冷却水系统基本的控制要求。
从节能的观点来看,较低的冷却水进水温度有利于提高冷水机组的能效比,因此尽可能降低冷却水温对于节能是有利的。但为了保证冷水机组能够正常运行,提高系统运行的可靠性,通常冷却水进水温度有最低水温限制的要求。为此,必须采取一定的冷却水水温控制措施。通常有三种做法:①调节冷却塔风机运行台数;②调节冷却塔风机转速;③当室外气温很低,即使停开风机也不能满足最低水温要求时,可在供、回水总管上设置旁通电动阀,通过调节旁通流量保证进入冷水机组的冷却水温高于最低限值。在①、②两种方式中,冷却塔风机的运行总能耗也得以降低。而③方式可控制进入冷水机组的冷却水温度在设定范围内,是冷水机组的一种保护措施。
冷却水系统在使用时,由于水分的不断蒸发,水中的离子浓度会越来越大。为了防止由于高离子浓度带来的结垢等种种弊病,必须及时排污。排污方法通常有定期排污和控制离子浓度排污。这两种方法都可以采用自动控制方法,其中控制离子浓度排污方法在使用效果与节能方面具有明显优点。
9.5.9 集中监控系统与冷水机组控制器之间宜建立通信连接,实现集中监控系统中央主机对冷水机组运行参数的检测与监控。
条文说明
9.5.9 集中监控系统与冷水机组控制器之间的通信要求。
冷水机组控制器通信接口的设立,可使集中监控系统的中央主机系统能够监控冷水机组的运行参数以及使冷水系统能量管理更加合理。
消声与隔振
10.1 一般规定
10.1.1 供暖、通风与空调系统的消声与隔振设计计算应根据工艺和使用的要求、噪声和振动的大小、频率特性、传播方式及噪声振动允许标准等确定。
条文说明
10.1.1 消声与隔振的设计原则。
供暖、通风与空调系统产生的噪声与振动,只是建筑中噪声和振动源的一部分。当系统产生的噪声和振动影响到工艺和使用的要求时,就应根据工艺和使用要求,也就是各自的允许噪声标准及对振动的限制,系统的噪声和振动的频率特性及其传播方式(空气传播或固体传播)等进行消声与隔振设计,并应做到技术经济合理。
10.1.2 供暖、通风与空调系统的噪声传播至使用房间和周围环境的噪声级应符合现行国家有关标准的规定。
条文说明
10.1.2 室内及环境噪声标准。
室内和环境噪声标准是消声设计的重要依据。因此本条规定由供暖、通风和空调系统产生的噪声传播至使用房间和周围环境的噪声级,应满足国家现行《工业企业噪声控制设计规范》GBJ 87、《民用建筑隔声设计规范》GB 50118、《声环境质量标准》GB 3096和《工业企业厂界噪声标准》GB 12348等标准的要求。
- 1.3 供暖、通风与空调系统的振动传播至使用房间和周围环境的振动级应符合现行国家标准的规定。
条文说明
10.1.3 振动控制设计标准。
振动对人体健康的危害是很严重的,在暖通空调系统中振动问题也是相当严重的。因此本条规定了振动控制设计应满足国家现行《城市区域环境振动标准》GB 10070等标准的要求。
10.1. 4 设置风系统管道时,消声处理后的风管不宜穿过高噪声的房间;噪声高的风管,不宜穿过噪声要求低的房间,当必须穿过时,应采取隔声处理措施。
条文说明
10.1.4 降低风系统噪声的措施。
本条规定了降低风系统噪声应注意的事项。系统设计安装了消声器,其消声效果也很好,但经消声处理后的风管又穿过高噪声房间,再次被污染,又回复到了原来的噪声水平,最终不能起到消声作用,这个问题,过去往往被人们忽视。同样道理,噪声高的风管穿过要求噪声低的房间时,它也会污染低噪声房间,使其达不到要求。因此,对这两种情况必须引起重视。当然,必须穿过时还是允许的,但应对风管进行良好的隔声处理,以避免上述两种情况发生。
10.1.5 有消声要求的通风与空调系统,其风管内的空气流速,宜按表10.1.5选用。

条文说明
10.1.5 风管内的风速。
通风机与消声装置之间的风管,其风道无特殊要求时,可按经济流速采用即可。根据国内外有关资料介绍,经济流速6m/s~13m/s,本条推荐采用的8m/s~10m/s在经济流速的范围内。
消声装置与房间之间的风管,其空气流速不宜过大,因为风速增大,会引起系统内气流噪声和管壁振动加大,风速增加到一定值后,产生的气流再生噪声甚至会超过消声装置后的计算声压级;风管内的风速也不宜过小,否则会使风管的截面积增大,既耗费材料又占用较大的建筑空间,这也是不合理的。因此,本条给出了适应四种室内允许噪声级的主管和支管的风速范围。
10.1.6 通风、空调与制冷机房等的位置,不宜靠近声环境要求较高的房间;当必须靠近时,应采取隔声、吸声和隔振措施。
条文说明
10.1.6 机房位置及噪声源的控制。
通风、空调与制冷机房是产生噪声和振动的地方,是噪声和振动的发源处,其位置应尽量不靠近有较高防振和消声要求的房间,否则对周围环境影响颇大。
通风、空调与制冷系统运行时,机房内会产生相当高的噪声,一般为80dB(A)~100dB(A),甚至更高,远远超过环境噪声标准的要求。为了防止对相邻房间和周围环境的干扰,本条规定了噪声源位置在靠近有较高隔振和消声要求的房间时,必须采取有效措施。这些措施是在噪声和振动传播的途径上对其加以控制。为了防止机房内噪声源通过空气传声和固体传声对周围环境的影响,设计中应首先考虑采取把声源和振源控制在局部范围内的隔声与隔振措施,如采用实心墙体、密封门窗、堵塞空洞和设置隔振器等,这样做仍达不到要求时,再辅以降低声源噪声的吸声措施。大量实践证明,这样做是简单易行、经济合理的。
10.1.7 暴露在室外的设备,当其噪声达不到环境噪声标准要求时,应采取降噪措施。
条文说明
10.1.7 室外设备噪声控制。
对露天布置的通风、空调和制冷设备及其附属设备如冷却塔、空气源冷(热)水机组等,其噪声达不到环境噪声标准要求时,亦应采取有效的降噪措施,如在其进、排风口设置消声设备,或在其周围设置隔声屏障等。
10.1.8 进排风口噪声应符合环保要求,否则应采取消声措施。
10.2 消声与隔声
10.2.1 供暖、通风和空调设备噪声源的声功率级应依据产品的实测数值。
条文说明
10.2.1 噪声源声功率级的确定。
进行暖通空调系统消声与隔声设计时,首先必须知道其设备如通风机、空调机组、制冷压缩机和水泵等声功率级,再与室内外允许的噪声标准相比较,通过计算最终确定是否需要设置消声装置。
10.2.2 气流通过直管、弯头、三通、变径管、阀门和送回风口等部件产生的再生噪声声功率级与噪声自然衰减量,应分别按各倍频带中心频率计算确定。
注:对于直风管,当风速小于5m/s时,可不计算气流再生噪声;风速大于8m/s时,可不计算噪声自然衰减量。
条文说明
10.2.2 再生噪声与自然衰减量的确定。
当气流以一定速度通过直风管、弯头、三通、变径管、阀门和送、回风口等部件时,由于部件受气流的冲击湍振或因气流发生偏斜和涡流,从而产生气流再生噪声。随着气流速度的增加,再生噪声的影响也随之加大,以至成为系统中的一个新噪声源。所以,应通过计算确定所产生的再生噪声级,以便采取适当措施来降低或消除。
本条规定了在噪声要求不高,风速较低的情况下,对于直风管可不计算气流再生噪声和噪声自然衰减量。气流再生噪声和噪声自然衰减量是风速的函数。
10.2.3 通风与空调系统产生的噪声,当自然衰减不能达到允许噪声标准时,应设置消声设备或采取其他消声措施。系统所需的消声量,应通过计算确定。
条文说明
10.2.3 设置消声装置的条件及消声量的确定。
通风与空调系统产生的噪声量,应尽量用风管、弯头和三通等部件以及房间的自然衰减降低或消除。当这样做不能满足消声要求时,则应设置消声装置或采取其他消声措施,如采用消声弯头等。消声装置所需的消声量,应根据室内所允许的噪声标准和系统的噪声功率级分频带通过计算确定。
10.2.4 选择消声设备时,应根据系统所需消声量、噪声源频率特性和消声设备的声学性能及空气动力特性等因素,经技术经济比较确定。
条文说明
10.2.4 选择消声设备的原则。
选择消声设备时,首先应了解消声设备的声学特性,使其在各频带的消声能力与噪声源的频率特性及各频带所需消声量相适应。如对中、高频噪声源,宜采用阻性或阻抗复合式消声设备;对于低、中频噪声源,宜采用共振式或其他抗性消声设备;对于脉动低频噪声源,宜采用抗性或微穿孔板阻抗复合式消声设备;
对于变频带噪声源,宜采用阻抗复合式或微穿孔板消声设备。其次,还应兼顾消声设备的空气动力特性,消声设备的阻力不宜过大。
10.2.5 消声设备的布置应考虑风管内气流对消声能力的影响。消声设备与机房隔墙间的风管应采取隔声措施。
条文说明
10.2.5 消声设备的布置原则。
为了减少和防止机房噪声源对其他房间的影响,并尽量发挥消声设备应有的消声作用,消声设备一般应布置在靠近机房的气流稳定的管段上。当消声器直接布置在机房内时,消声器、检查门及消声器后至机房隔墙的那段风管必须有良好的隔声措施;当消声器布置在机房外时,其位置应尽量临近机房隔墙,而且消声器前至隔墙的那段风管(包括拐弯静压箱或弯头)也应有良好的隔声措施,以免机房内的噪声通过消声设备本体、检查门及风管的不严密处再次传入系统中,使消声设备输出端的噪声增高。
在有些情况下,如系统所需的消声量较大或不同房间的允许噪声标准不同时,可在总管和支管上分段设置消声设备。在支管或风口上设置消声设备,还可适当提高风管风速,相应减小风管尺寸。
10.2.6 管道穿过机房围护结构时,管道与围护结构之间的缝隙应使用具备防火隔声能力的弹性材料填充密实。
条文说明
10.2.6 管道穿过围护结构的处理。
管道本身会由于液体或气体的流动而产生振动,当与墙壁硬接触时,会产生固体传声,因此应使之与弹性材料接触,同时也为防止噪声通过孔洞缝隙泄露出去而影响相邻房间及周围环境。
10.3 隔 振
10.3.1 当通风、空调、制冷装置以及水泵等设备的振动靠自然衰减不能达标时,应设置隔振器或采取其他隔振措施。
条文说明
10.3.1 设置隔振的条件。
通风、空调和制冷装置运行过程中产生的强烈振动,如不予以妥善处理,将会对工艺设备、精密仪器等的工作造成影响,并且有害于人体健康,严重时,还会危及建筑物的安全。因此,本条规定当通风、空调和制冷装置的振动靠自然衰减不能达到允许程度时,应设置隔振器或采取其他隔振措施,这样做还能起到降低固体传声的作用。
10.3.2 对不带有隔振装置的设备,当其转速小于或等于1500r/min时,宜选用弹簧隔振器;转速大于1500r/min时,根据环境需求和设备振动的大小,亦可选用橡胶等弹性材料的隔振垫块或橡胶隔振器。
条文说明
10.3.2~10.3.4 选择隔振器的原则。
1 从隔振器的一般原理可知,工作区的固有频率,或者说包括振动设备、支座和隔振器在内的整个隔振体系的固有频率,与隔振体系的质量成反比,与隔振器的刚度成正比,也可以借助于隔振器的静态压缩量用下式计算:
振动设备的扰动频率取决于振动设备本身的转速,即

式中:f——振动设备的扰动频率(Hz)
n——振动设备的转速(r/min)
隔振器的隔振效果一般以传递率表示,它主要取决于振动设备的扰动频率与隔振器的固有频率之比,如忽略系统的阻尼作用,其关系式为:

10.3.3 选择弹簧隔振器时,应符合下列规定:
1 设备的运转频率与弹簧隔振器垂直方向的固有频率之比,应大于或等于2.5,宜为4~5;
2 弹簧隔振器承受的载荷,不应超过允许工作载荷;
3 当共振振幅较大时,宜与阻尼大的材料联合使用;
4 弹簧隔振器与基础之间宜设置一定厚度的弹性隔振垫。
10.3.4 选择橡胶隔振器时,应符合下列要求:
1 应计入环境温度对隔振器压缩变形量的影响;
2 计算压缩变形量,宜按生产厂家提供的极限压缩量的1/3~1/2采用;
3 设备的运转频率与橡胶隔振器垂直方向的固有频率之比,应大于或等于2.5,宜为4~5;
4 橡胶隔振器承受的荷载,不应超过允许工作荷载;
5 橡胶隔振器与基础之间宜设置一定厚度的弹性隔振垫。
注:橡胶隔振器应避免太阳直接辐射或与油类接触。
10.3.5 符合下列要求之一时,宜加大隔振台座质量及尺寸:
1 设备重心偏高;
2 设备重心偏离中心较大,且不易调整;
3 不符合严格隔振要求的。
10.3.6 冷(热)水机组、空调机组、通风机以及水泵等设备的进口、出口宜采用软管连接。水泵出口设止回阀时,宜选用消锤式止回阀。
10.3.7 受设备振动影响的管道应采用弹性支吊架。
10.3.8 在有噪声要求严格的房间的楼层设置集中的空调机组设备时,应采用浮筑双隔振台座。
绝热与防腐
11.1 绝 热
11.1.1 具有下列情形之一的设备、管道(包括管件、阀门等)应进行保温:
1 设备与管道的外表面温度高于50℃时(不包括室内供暖管道);
2 热介质必须保证一定状态或参数时;
3 不保温时,热损耗量大,且不经济时;
4 安装或敷设在有冻结危险场所时;
5 不保温时,散发的热量会对房间温、湿度参数产生不利影响或不安全因素。
条文说明
11.1.1 需要进行保温的条件。
为减少设备与管道的散热损失、节约能源、保持生产及输送能力,改善工作环境、防止烫伤,应对设备、管道(包括管件、阀门等)应进行保温。由于空调系统需要保温的设备和管道种类较多,本条仅原则性地提出应该保温的部位和要求。
11.1.2 具有下列情形之一的设备、管道(包括阀门、管附件等)应进行保冷:
1 冷介质低于常温,需要减少设备与管道的冷损失时;
2 冷介质低于常温,需要防止设备与管道表面凝露时;
3 需要减少冷介质在生产和输送过程中的温升或汽化时;
4 设备、管道不保冷时,散发的冷量会对房间温、湿度参数产生不利影响或不安全因素。
条文说明
11.1.2 需要进行保冷的条件。
为减少设备与管道的冷损失、节约能源、保持和发挥生产能力、防止表面结露、改善工作环境,设备、管道(包括阀门、管附件等)应进行保冷。由于空调系统需要保冷的设备和管道种类较多,本条仅原则性地提出应该保冷的部位和要求。特别需要指出的是,水源热泵系统的水源环路应根据当地气象参数做好保温、保冷或防凝露措施。
11.1.3 设备与管道绝热材料的选择应符合下列规定:
1 绝热材料及其制品的主要性能应符合现行国家标准《设备及管道绝热设计导则》GB/T 8175的有关规定;
2 设备与管道的绝热材料燃烧性能应满足现行有关防火规范的要求;
3 保温材料的允许使用温度应高于正常操作时的介质最高温度;
4 保冷材料的最低安全使用温度应低于正常操作时介质的最低温度;
5 保温材料应选择热导率小、密度小、造价低、易于施工的材料和制品;
6 保冷材料应选择热导率小、吸湿率低、吸水率小、密度小、耐低温性能好、易于施工、造价低、综合经济效益高的材料;优先选用闭孔型材料和对异形部位保冷简便的材料;
7 经综合经济比较合适时,可以选用复合绝热材料。
条文说明
11.1.3 对设备与管道绝热材料的选择要求。
近年来,随着我国高层和超高层建筑物数量的增多以及由于绝热材料的燃烧而产生火灾事故的惨痛教训,对绝热材料的燃烧性能要求会越来越高,规范建筑中使用的绝热材料燃烧性能要求很有必要,设计采用的绝热材料燃烧性能必须满足相应的防火设计规范的要求。相关防火规范包括《建筑设计防火规范》GB 50016、 《高层民用建筑设计防火规范》GB 50045。
11.1.4 设备和管道的保温层厚度应按现行国家标准《设备及管道绝热设计导则》GB/T 8175中经济厚度方法计算确定,亦可按本规范附录K选用。必要时也可按允许表面热损失法或允许介质温降法计算确定。
条文说明
11.1.4 对设备与管道绝热材料保温层厚度的计算原则。
11.1.5 设备与管道的保冷层厚度应按下列原则计算确定:
1 供冷或冷热共用时,应按现行国家标准《设备及管道绝热设计导则》GB/T 8175中经济厚度和防止表面结露的保冷层厚度方法计算,并取厚值,或按本规范附录K选用;
2 冷凝水管应按《设备及管道绝热设计导则》GB/T 8175中防止表面结露保冷厚度方法计算确定,或按本规范附录K选用。
条文说明
11.1.5 对设备与管道绝热材料保冷层厚度的计算原则。
11.1.6 当选择复合型风管时,复合型风管绝热材料的热阻应符合附录K中相关要求。
条文说明
11.1.6 对复合型风管绝热性能的要求。
11.1.7 设备与管道的绝热设计应符合下列要求:
1 管道和支架之间,管道穿墙、穿楼板处应采取防止“热桥”或“冷桥”的措施;
2 保冷层的外表面不得产生凝结水;
3 采用非闭孔材料保温时,外表面应设保护层;采用非闭孔材料保冷时,外表面应设隔汽层和保护层。
条文说明
11.1.7 对设计设备与管道绝热设计的要求。
11.2 防 腐
11.2.1 设备、管道及其配套的部、配件的材料应根据接触介质的性质、浓度和使用环境等条件,结合材料的耐腐蚀特性、使用部位的重要性及经济性等因素确定。
条文说明
11.2.1 设备、管道及其配套的部、配件的材料选择。
设备、管道以及它们配套的部件、配件等所接触的介质是包括了内部输送的介质与外部环境接触的物质。民用建筑中的设备、管道的使用条件通常较为良好,但也有一些使用条件比较恶劣的场合。空调机组的冷凝水盘,由于经常性有凝结水存在,一般常用不锈钢底盘;厨房灶台排风罩与风管输运空气中也存在大量水蒸气,常用不锈钢板制作;游泳馆的空调设备与风道除了会与水汽接触外,还会与氯离子接触,因此常采用带有耐腐蚀涂膜的散热翅片、无机玻璃钢风管或耐腐蚀能力较好的彩钢板制作的风管;同样,用于海边附近的空调室外机,通常也选用带有耐腐蚀涂膜的散热翅片;对于设置在室外设备与管道的外表面材料也应具有抗日射高温及紫外线老化的能力。如此,设计必须根据这些条件正确选择使用材料。
11.2.2 除有色金属、不锈钢管、不锈钢板、镀锌钢管、镀锌钢板和铝板外,金属设备与管道的外表面防腐,宜采用涂漆。涂层类别应能耐受环境大气的腐蚀。
条文说明
11.2.2 金属设备与管道外表面防腐。
一般情况下,有色金属、不锈钢管、不锈钢板、镀锌钢管、镀锌钢板和用作保护层的铝板都具有很好的耐腐蚀能力,不需要涂漆。但这些金属材料与一些特定的物质接触时也会产生腐蚀,如:铝、锌材料不耐碱性介质,不耐氯、氯化氢和氟化氢,也不宜用于铜、汞、铅等金属化合物粉末作用的部位;奥氏体铬镍不锈钢不耐盐酸、氯气等含氯离子的物质。因此这类金属在非正常使用环境条件下,也应注意防腐蚀工作。
防腐蚀涂料有很多类型,适用于不同的环境大气条件。用于酸性介质环境时,宜选用氯化橡胶、聚氨酯、环氧、聚氯乙烯萤丹、丙烯酸聚氨酯、丙烯酸环氧、环氧沥青、聚氨酯沥青等涂料;用于弱酸性介质环境时,可选用醇酸涂料等;用于碱性介质环境时,宜选用环氧涂料等;用于室外环境时,可选用氯化橡胶、脂肪族聚氨酯、高氯化聚乙烯、丙烯酸聚氨酯、醇酸等;用于对涂层有耐磨、耐久要求时,宜选用树脂玻璃鳞片涂料。
11.2.3 涂层的底漆与面漆应配套使用。外有绝热层的管道应涂底漆。
条文说明
11.2.3 涂层的底漆与面漆。
为保证涂层的使用效果和寿命,涂层的底层涂料、中间涂料与面层涂料应选用相互间结合良好的涂层配套。
11.2.4 涂漆前管道外表面的处理应符合涂层产品的相应要求。当有特殊要求时,应在设计文件中规定。
条文说明
11.2.4 涂漆前管道外表面的处理应符合涂层产品的相应要求。
为保证涂层质量,涂漆前管道与设备的外表面应平整,把焊渣、毛刺、铁锈、油污等清除干净。一般情况下在在防腐工程施工验收规范中都有规定。但对于有特殊要求时,如需要喷射或抛射除锈、火焰除锈、化学除锈等,应在设计文件中规定。
11.2.5 用于与奥氏体不锈钢表面接触的绝热材料应符合现行国家标准《工业设备及管道绝热工程施工规范》GB 50126有关氯离子含量的规定。
条文说明
11.2.5 对用于与奥氏体不锈钢表面接触的绝热材料的相关要求。
国家标准《工业设备及管道绝热工程施工规范》GB 50126中规定:用于奥氏体不锈钢设备或管道上的绝热材料,其氯化物、氟化物、硅酸盐、钠离子含量的规定如下:
lg(y×10⁴)≤0.188+0.655lg(χ×10⁴) (39)
式中 y——测得的(CI-+F-)离子含量<0.060%;
χ——测得的(Na++sio3-2)离子含量>0.005%。
离子含量的对应关系对照表如下表:

附录A 室外空气计算参数



















条文说明
本附录提供了我国除香港、澳门特别行政区、台湾外28个省级行政区、4个直辖市所属294个台站的室外空气计算参数。由于台站迁移,观测条件不足等因素,个别台站的基础数据缺失,统计年限不足30年。统计年限不足30年的计算结果在使用时应参照邻近台站数据进行比较、修正。咸阳、黔南州及新疆塔城地区等个别台站的湿球温度无记录,可参考表19的数值选取。
本附录绝大部分台站基础数据的统计年限为1971年1月1日至2000年12月31日。在标准编制过程中,编制组与国家气象信息中心合作,投入了很大的精力整理计算室外空气计算参数,为了确保方法的准确性,编制组提取1951~1980年的数据进行整理与《工业企业供暖通风和空气调节设计规范》TJ 19进行比对,最终确定了各个参数的确定方法。本标准编制初期是2009年,还没有2010年的基础数据,由于气象部门的整编数据是以1为起始年份,每十年进行一次整编,因此编制组选用1971年至2000年的数据整理计算形成了附录A。2010年底,标准编制进入末期,为了能使设计参数更具时效性,编制组又联合气象部门计算整理了以1981年至2010年为基础数据的室外空气计算参数。经过对比,1981年至2010年的供暖计算温度、冬季通风室外计算温度及冬季空气调节室外计算温度上升较为明显,夏季空气调节室外计算温度等夏季计算参数也有小幅上升。以北京为例,供暖计算温度为-6.9℃,已经突破了-7℃。不同统计年份下,北京、西安、乌鲁木齐、哈尔滨、广州、上海的室外空气计算参数比对情况见表20。
据气象学人士的研究:自20世纪60年代起,乌鲁木齐、青岛、广州等台站的年平均气温均表现为显著的升温趋势,21世纪前几年,极端最高气温的年际值都比多年平均值偏高。同时,20世纪60年代中后期和70年代中期是极端低温事件发生的高频时段,70年代初和80年代初是极端高温事件发生的低频时段,90年代后期是极端高温事件发生的高频时期。因此,室外空气计算参数的结果也随之发生变化。表20可以看出1951~1980年的室外空气计算参数最低,这是由于1951~1980年是极端最低气温发生频率较高的时期;1971~2000年由于气温逐渐升高,室外空气气象参数也随之升高,1981~2010年则更高。考虑到近两年来冬季气温较往年同期有所下降,如果选用1981~2010年的计算数据,对工程设计,尤其是供暖系统的设计影响较大,为使数据具有一定的连贯性,编制组在广泛征求行业内部专家学者意见的基础上,最终决定选用1971~2000年作为本规范室外空气计算参数的统计期,形成附录A。
附录B 室外空气计算温度简化方法
B.0.1 供暖室外计算温度,可按下式确定(化为整数):
twn=0.57t1p+0.43tp.min (B.0.1)
式中:twn——供暖室外计算温度(℃)
t1p——累年最冷月平均温度(℃);
tp·min——累年最低日平均温度(℃)。
B.0.2 冬季空气调节室外计算温度,可按下式确定(化为整数):
twk=0.30t1p+0.70tp.min (B.0.2-1)
式中:twk——冬季空气调节室外计算温度(℃)。
夏季通风室外计算温度,可按下式确定(化这整数):
twf=0.71t1p+0.29tmax (B.0.2-2)
式中:twk——冬季空气调节室外计算温度(℃)。
夏季通风室外计算温度,可按下式确定(化这整数):
式中:twp——夏季空气调节室外计算干球温度(℃)。
B.0.3 夏季空气调节室外计算干球温度,可按下式确定:
twp=0.71trp+0.29tmax (B.0.3)
式中:twp——夏季空气调节室外计算干球温度(℃)。
B.0.4 夏季空气调节室外计算湿球温度,可按下列公式确定:
tws=0.72ts.rp+0.28ts.max (B.0.4-1)
tws=0.75ts.rp+0.25ts.max (B.0.4-2)
tws=0.80ts.rp+0.20ts.max (B.0.4-3)
式中:tws——夏季空气调节室外计算湿球温度(℃);
ts·rp——与累年最热月平均温度和平均相对湿度相对应的湿球温度(℃),可在当地大气压力下的焓湿图上查得;
ts·max——与累年极端最高温度和最热月平均相对湿度相对应的湿球温度(℃),可在当地大气压力下的焓湿图上查得。
注:式(B.0.4-1)适用于北部地区;式(B.0.4-2)适用于中部地区,式(B.0.4-3)适用于南部地区。
B.0.5 夏季空气调节室外计算日平均温度,可按下式确定:
twp=0.80trp+0.20tmax (B.0.4-3)
式中:twp——夏季空气调节室外计算日平均温度(℃)。
附录C 夏季太阳总辐射照度









条文说明
本规范附录C和附录D分7个纬度(北纬20°、25°、30°、35°、40°、45°、50°),6种大气透明度等级给出了太阳辐射照度值,表达形式比较简捷,而且概括了全国情况,便于设计应用。在附录D中,分别给出了直接辐射和散射辐射值(直接辐射与散射辐射值之和,即为相应时刻透过标准窗玻璃进入室内的太阳总辐射照度),为空气调节负荷计算方法的应用和研究提供了条件。根据当地的地理纬度和计算大气透明度等级,即可直接从附录C、附录D中查到当地的太阳辐射照度值,从设计应用的角度看,还是比较方便的。
附录D 夏季透过标准窗玻璃的太阳辐射照度









附录E 夏季空气调节大气透明度分布图

条文说明
本规范附录C和附录D分7个纬度(北纬20°、25°、30°、35°、40°、45°、50°),6种大气透明度等级给出了太阳辐射照度值,表达形式比较简捷,而且概括了全国情况,便于设计应用。在附录D中,分别给出了直接辐射和散射辐射值(直接辐射与散射辐射值之和,即为相应时刻透过标准窗玻璃进入室内的太阳总辐射照度),为空气调节负荷计算方法的应用和研究提供了条件。根据当地的地理纬度和计算大气透明度等级,即可直接从附录C、附录D中查到当地的太阳辐射照度值,从设计应用的角度看,还是比较方便的。
附录F 加热由门窗缝隙渗入室内的冷空气的耗热量
F.0.1 多层和高层建筑,加热由门窗缝隙渗入室内的冷空气的耗热量,可按下式计算:

式中:Q——由门窗缝隙渗入室内的冷空气的耗热量(W);
cp——空气的定压比热容cp=1.01kJ/(kg/m3)
L——渗透冷空气量(m3/h),按本规范第F.0.2条确定;
tn——供暖室内设计温度(℃),按本规范第3.0.1条确定;
twn——供暖室外计算温度(℃),按本规范第4.1.2条确定;
F.0.2 渗透冷空气量可根据不同的朝向,按下列公式计算:

式中:Lo——在单纯风压作用下,不考虑朝向修正和建筑物内部隔断情况下,通过每米门窗缝隙进入室内的理论渗透冷空气量[m3/(m.h)];
l1——外门窗缝隙的长度(m);
m——风压与热压共同作用下,考虑建筑体型、内部隔断和空气流通等因素后,不同朝向、不同高度的门窗冷风渗透压差综合修正系数;
b——门窗缝隙渗风数,当无实测数据时,可取b=0.67;
α1——外门窗缝隙渗风系数[m3/(m.h.Pab)],当无实测数据时,按本规范表F.0.3-1采用;
VO——冬季室外最多风向的平均风速,m/s,按本规范第4.1节的有关规定确定;
Cr——热压系数,当无法精确计算时,按表F.0.3-2采用;
△Cf——风压差系数,当无实测数据时,可取0.7;
n——单纯风压作用下,渗透冷空气量的朝向修正系数,按本规范附录G采用;
C——作用于门窗上的有效热压差与有效风压差之比;
Ch——高度修正系数;
h——计算门窗的中心线标高(m);
hz——单纯热压作用下,建筑物中和面的标高(m),可取建筑物总高度的1/2;
t'n——建筑物内形成热压作用的竖井计算温度(℃)。
F.0.3 外门窗缝隙渗风系数、热压系数可按表F. 0.3-1、表F.0.3-2选取。

条文说明
本附录根据近年来冷风渗透的研究成果及其工程应用情况,给出了采用缝隙法确定多层和高层民用建筑渗透冷空气量的计算方法。
1 在确定L0时,应用通用性公式(F.0.2-2)进行计算。原因是规范难以涵盖目前出现的多种门窗类型,且同一类型门窗的渗风特性也有不同。式(F.0.2-2)中的外门窗缝隙渗风系a1值可由供货方提供或根据现行国家标准《建筑外窗空气渗透性能分级及其检测方法》,按表F.0.3-1采用。
2 根据朝向修正系数n的定义和统计方法,v0应当与n=1的朝向对应,而该朝向往往是冬季室外最多风向;若n值以一月平均风速为基准进行统计,v0应当取为一月室外最多风向的平均风速。考虑一月室外最多风向的平均风速与冬季室外最多风向的平均风速相差不大,且后者可较为方便地获得,故本附录式(F.0.2-2)中的υ0取为冬季室外最多风向的平均风速。
3 本附录采用冷风渗透压差综合修正系数m,式(F.0.2-3)引入热压系cr和风压差系数△cf,使其成为反映综合压差的物理量。当m>0时,冷空气渗入。
4 当渗透冷空气流通路径确定时,热压系数cr仅与建筑内部隔断情况及缝隙渗风特性有关。因建筑日趋多样化,且确定cr的解析值需求解非线性方程,获取Cr的理论值非常困难。本附录根据典型建筑门窗设置情况及其缝隙特性,通过对有关参数的数量级分析,提供了热压系数Cr的推荐值。一般认为,渗透冷空气经外窗、内(房)门、前室门和楼梯间(电梯间)门进入气流竖井。本规范表F.0.3-2中,若前室门或楼梯间(电梯间)设门,则0.2≤cr≤0.6;否则,cr≥0.6。对于内(房)门也是如此。所谓密闭性好与差是相对于外窗气密性而言的。cr的幅值范围应为0~1.0,但为便于计算且偏安全,可取下限为0.2。有条件时,应进行理论分析与实测。
5 风压差系数△cf不仅与建筑表面风压系数cf有关,而且与建筑内部隔断情况及缝隙渗风特性有关。当建筑迎风面与背风面内部隔断等情况相同时,△cf仅与cf有关;当迎风面与背风面cf分别取绝对值最大,既1.0和-0.4时,△cf=0.7,可见该值偏安全。有条件时,应进行理论分析与实测。
6 因热压系数cr对热压差均有作用,本附录中有效热压差与有效风压差之比C值的计算式(F.0.2-5)中不包括cr。
7 竖井计算温度tn',应根据楼梯间等竖井是否采暖等情况经分析确定。
附录G 渗透冷空气量的朝向修正系数n值


条文说明
本附录给出的全国104个城市的渗透冷空气量的朝向修正系数n值,是参照国内有关资料提出的方法,通过具体地统计气象资料得出的。所谓渗透冷空气量的朝向修正系数,是1971~1980年累年一月份各朝向的平均风速、风向频率和室内外温差三者的乘积与其最大值的比值,即以渗透冷空气量最大的某一朝向n=1,其他朝向分别采取n<1的修正系数。在附录中所列的104个城市中,有一小部分城市n=1的朝向不是采暖问题比较突出的北、东北或西北,而是南、西南或东南等。如乌鲁木齐南向n=1,北向n=O.35;哈尔滨南向n=1,北向n=O.30。有的单位反映这样规定不尽合理,有待进一步研究解决。考虑到各地区的实际情况及小气候因素的影响,为了给设计人员留有选择的余地,在附录的表述中给予一定灵活性。
附录H 夏季空凋冷负荷简化计算方法计算系数表
H.0.1 北京、西安、上海及广州等代表城市外墙、屋面逐时冷负荷计算温度twlq、twlm,可按表H.0.1-1~表H.0.1-4采用。外墙、屋面类型及热工性能指标可按表H.0.1-5、表H.0.1-6采用。























H.0.2 外窗传热逐时冷负荷计算温度twlc,可按表H.0.2采用。


H.0.3 透过无遮阳标准玻璃太阳辐射冷负荷系数值CclC,可按表H.0.3采用。



H.0.4 夏季透过标准玻璃窗的太阳总辐射照度最大值DJmax,可按表H.0.4采用。







条文说明
本附录依据典型房间计算得出,该典型房间是在广泛征集目前国内通常采用的公共建筑房间类型基础上确定的,具有较好的代表性;计算系数是利用本规范附录A的气象参数,参照国内外有关资料,对国内外主流空调冷负荷商业计算软件比对、分析、协调、统一、改进后,用多种软件共同计算获得的。计算结果考虑了不同软件的综合影响。
本附录依据典型房间确定各种类型辐射分配比例,设计人员可根据建筑的具体情况以及个人经验选择使用。
轻型房间典型内围护结构和重型房间典型内围护结构见表21和表22。

附录J 蓄冰装置容量与双工况制冷机的空调标准制冷量
J.0.1 全负荷蓄冰时,蓄冰装置有效容量、蓄冰装置名义容量、制冷机标定制冷量可按下列公式计算:

式中:Qs——蓄冰装置有效容量(kWh);
Qso——蓄冰装置名义容量(kWh);
qi——建筑物逐时冷负荷(kW);
n1——夜间制冷机在制冰工况下运行的小时数(h);
cf——制冷机制冰时制冷能力的变化率,即实际制冷量与标定制冷量的比值。活塞式冷机可取0.60~0.65,螺杆式冷机可取0.64~0.70,离心式(中压)可取0.62~0.66,离心式(三级)可取0.72~0.80;
qc——制冷机的标定制冷量(空调工况)(kWh);
ε——蓄冰装置的实际放大系数(无因次)
J.0.2 部分负荷蓄冰时,蓄冰装置有效容量、蓄冰装置名义容量、制冷机标定制冷量可按下列公式计算:
QS= n1·cf·qc (J.O.2-1)
QSO=ε·QS (J.O.2-2)

式中:n2——白天制冷机在空调工况下的运行小时数(h)。
J.0.3 若当地电力部门有其他限电政策时,所选蓄冰量的最大小时取冷量,应满足限电时段的最大小时冷负荷的要求,并符合下列规定:
1 蓄冰装置有效容量应符合下列规定:

2 为满足限电要求所需蓄冰槽的有效容量应符合下列规定:

3 为满足限电要求,修正后的制冷机标定制冷量应符合下列规定:

式中:
Q′S——为满足限电要求所需的蓄冰槽容量(kWh);
ηmax——所选蓄冰设备的最大小时取冷率;
q′imax ——限电时段空调系统的最大小时冷负荷(kW)
q′c——修正后的制冷机标定制冷量(kwh)。
附录K 设备与管道最小保温、保冷厚度及冷凝水管防结露厚度选用表
K.0.1 空调设备与管道保温厚度可按表K.0.1-1~表K.0.1-3选用。



注:管道与设备保温指标条件:
1 全部按经济厚度计算,还贷6年,利息10%,使用期按120天,2880小时。热价35元/GJ相当于城市供热;热价85元/GJ相当于天然气供热。
2 导热系数λ:柔性泡沫橡塑λ=0.034+0.00013tm;离心玻璃λ=0.031+0.00017tm.
3 适用于室内环境温度20℃,风速0m/s;室外温度为0℃,风速3m/s.
4 设备保温厚度可按最大口径管道的保温厚度再增加5mm。
5 当室外温度非0℃时,实际采用的厚度
其中δ为环境温度0℃时的查表厚度,To为管内介质温度(℃),Tw为实际使用期平均环境温度(℃)。
K.0.2 室内机房内空调设备与管道保冷厚度可按表K.0.2-1~表K.0.2-2中给出的厚度选用。


注:管道与设备保冷制表条件:
1 均采用经济厚度和防结露要求确定的绝热层厚度。冷价按75元/GJ;还贷6年,利息10%;使用期按120天,2880小时。
2 Ⅰ区系指较干燥地区,室内机房环境温度不高于31℃、相对湿度不大于75%;Ⅱ区系指较潮湿地区,室内机房环境温度不高于33℃、相对湿度不大于80%;各城市或地区可对照使用。
3 导热系数λ:柔性泡沫橡塑λ=0.034+0.00013tm;离心玻璃λ=0.031+0.00017tm;聚氨酯发泡λ=0.0275+0.00009tm。






4 蓄冰设备保冷厚度应按最大口径管道的保冷厚度再增加5mm~10mm。
K.0.4 空调风管绝热热阻与空调冷凝水管道保冷厚度可按表K.0.4-1和表K.0.4-2选用。

注:技术调节:
1 建筑物内环境温度:冷风时26℃,暖风时20℃;
2 以玻璃棉为代表材料,冷价为75元/GJ,热价为85元/GJ。


注:Ⅰ区系指较干燥地区,室内机房环境温度不高于31℃、相对湿度不大于75%;
Ⅱ区系指较潮湿地区,室内机房环境温度不高于33℃、相对湿度不大于80%。
本规范用词说明
1 为便于在执行本规范条文时区别对待,对要求严格程度不同的用词说明如下:
1)表示很严格,非这样做不可的:正面词采用“必须”,反面词采用“严禁”;
2)表示严格,在正常情况下均应这样做的:正面词采用“应”,反面词采用“不应”或“不得”;
3)表示允许稍有选择,在条件许可时首先应这样做的:正面词采用“宜”,反面词采用“不宜”;
4)表示有选择,在一定条件下可以这样做的采用“可”。
2 条文中指明应按其他有关标准执行的写法为: “应符合……的规定”或“应按……执行”。
引用标准名录
1 《建筑设计防火规范》GB 50016
2 《城镇燃气设计规范》GB 50028
3 《锅炉房设计规范》GB 50041
4 《高层民用建筑设计防火规范》GB 50045
5 《工业设备及管道绝热工程施工规范》GB 50126
6 《公共建筑节能设计标准》GB 50189
7 《通风与空调工程施工质量验收规范》GB 50243
8 《设备及管道绝热设计导则》GB/T 8175
9 《中等热环境 PMV和PPD指数的测定及热舒适条件的规定》GB/T 18049
10 《蓄冷空调工程技术规程》JGJ 158
11 《散热器恒温控制阀》JG/T 195
