Appearance
《严寒和寒冷地区居住建筑节能设计标准》JGJ 26-2010 备案号J 997-2010
🗓️ 实施时间: 2010-08-01
总则
1.0.1 为贯彻国家有关节约能源、保护环境的法律、法规和政策,改善严寒和寒冷地区居住建筑热环境,提高采暖和空调的能源利用效率,制定本标准。
1.0.2 本标准适用于严寒和寒冷地区新建、改建和扩建居住建筑的建筑节能设计。
1.0.3 严寒和寒冷地区居住建筑必须采取节能设计,在保证室内热环境质量的前提下,建筑热工和暖通设计应将采暖能耗控制在规定的范围内。
1.0.4 严寒和寒冷地区居住建筑的节能设计,除应符合本标准的规定外,尚应符合国家现行有关标准的规定。
术语和符号
2.1 术语
2.1.1 采暖度日数 heating degree day based on 18℃
一年中,当某天室外日平均温度低于18℃时,将该日平均温度与18℃的差值乘以1天,并将此乘积累加,得到一年的采暖度日数。
2.1.2 空调度日数 cooling degree day based on 26℃
一年中,当某天室外日平均温度高于26℃时,将该日平均温度与26℃的差值乘以1天,并将此乘积累加,得到一年的空调度日数。
2.1.3 计算采暖期天数 heating period for calculation
采用滑动平均法计算出的累年日平均温度低于或等于5℃的天数。单位:d。计算采暖期天数仅供建筑节能设计计算时使用,与当地法定的采暖天数不一定相等。
2.1.4 计算采暖期室外平均温度 mean outdoor temperature during heating period
计算采暖期室外的日平均温度的算术平均值。
2.1.5 建筑物体形系数 shape factor
建筑物与室外大气接触的外表面积与其所包围的体积的比值。外表面积中,不包括地面和不采暖楼梯间内墙及户门的面积。
2.1.6 建筑物耗热量指标 index of heat loss of building
在计算采暖期室外平均温度条件下,为保持室内设计计算温度,单位建筑面积在单位时间内消耗的需由室内采暖设备供给的热量。单位为W/m2。
2.1.7 围护结构传热系数 (K) heat transfer coefficient of building envelope
在稳态条件下,围护结构两侧空气温差为1℃,在单位时间内通过单位面积围护结构的传热量。单位为W/m2·K。
2.1.8 外墙平均传热系数 mean heat transfer coefficient of external wall
考虑了墙上存在的热桥影响后得到的外墙传热系数。单位为W/m2•K。
2.1.9 围护结构传热系数的修正系数 modification coefficient of building envelope
考虑太阳辐射对围护结构传热的影响而引进的修正系数。
2.1.10 窗墙面积比 window to wall ratio
窗户洞口面积与房间立面单元面积(即建筑层高与开间定位线围成的面积)之比。
2.1.11 锅炉运行效率 efficiency of boiler
采暖期内锅炉实际运行工况下的效率。
2.1.12 室外管网输送效率 efficiency of network
管网输出总热量(输入总热量减去各管段热损失)与输入管网的总热量的比值。
2.1.13 耗电输热比 ratio of electricity consumption to transferied heat quantity
在采暖室内外计算温度下,全日理论水泵输送耗电量与全日系统供热量比值。
2.2 符号
2.2.1 气象参数
HDD18——采暖度日数,单位:℃.d;
CDD26——空调度日数,单位:℃.d;
Z——计算采暖期天数,单位:d;
tw——计算采暖期室外平均温度,单位:℃;
2.2.2 建筑物
S——建筑物体型系数,单位:1/m;
qH——建筑物耗热量指标,单位:W/m2;
K——围护结构传热系数,单位:W/m2.K;
Kw——外墙平均传热系数,单位:W/m2.K;
εi——围护结构传热系数的修正系数,无因次。
2.2.3 采暖系统ηη
η1——室外管网热输送效率,无因次;
η2——锅炉运行效率,无因次;
EHR——耗电输热比,无因次。
严寒和寒冷地区气候子区与室内热环境计算参数
3.0.1 依据不同的采暖度日数(HDD18)和空调度日数(CDD26)范围,可将严寒和寒冷地区进一步划分成为表3.0.1所示的五个气候子区。

3.0.2 室内热环境计算参数的选取应符合下列规定:
1 冬季采暖室内计算温度应取18℃;
2 冬季采暖换气次数应取 0.5 h-1。
建筑与围护结构热工设计
4.1 一般规定
4.1.1 建筑群的总体布置,单体建筑的平面、立面设计和门窗的设置,应考虑冬季利用日照并避开冬季主导风向。
4.1.2 建筑物宜朝向南北或接近朝向南北。建筑物不宜设有三面外墙的房间,一个房间不宜在不同方向的墙面上设置两个或更多的窗。
4.1.3 严寒和寒冷地区居住建筑的体形系数不应大于表4.1.3规定的限值。当体形系数大于表4.1.3的限值时,必须按照本标准第4.3节的要求进行围护结构热工性能的权衡判断。

4.1.4 严寒和寒冷地区居住建筑的窗墙面积比不应大于表4.1.4规定的限值。当窗墙面积比大于表4.1.4的限值时,必须按照本标准第4.3节的要求进行围护结构热工性能的权衡判断。并且在进行权衡判断时,各朝向的窗墙面积比最大也只能比表4.1.4中的对应值大0.1。

注: 1 敞开式阳台的阳台门上部透明部分计入窗户面积,下部不透明部分不计入窗户面积。
2 表中的窗墙面积比应按开间计算。表中的“北”代表从北偏东小于600至北偏西小于600的范围;“东、西”代表从东或西偏北小于等于300至偏南小于600的范围;“南”代表从南偏东小于等于300至偏西小于等于300的范围。
4.1.5 楼梯间及外走廊与室外连接的开口处应设置窗或门,且该窗和门应能密闭。严寒(A)区和严寒(B)区的楼梯间宜采暖,设置采暖的楼梯间的外墙和外窗应采取保温措施。
4.2 围护结构热工设计
4.2.1 我国严寒和寒冷地区主要城市气候分区区属以及采暖度日数(HDD18)和空调度日数(CDD26)按本标准附录A的规定确定。
4.2.2 根据建筑物所处城市的气候分区区属不同,建筑围护结构的传热系数不应大于表4.2.2-1~4.2.2-5规定的限值,周边地面和地下室外墙的保温材料层热阻不应小于表4.2.2-1~4.2.2-5规定的限值,寒冷(B)区外窗综合遮阳系数不应大于表4.2.2-6中规定的限值。当建筑围护结构的热工性能参数不满足上述规定时,必须按照本标准第4.3节的规定进行围护结构热工性能的权衡判断。






4.2.3 围护结构热工性能参数计算应符合下列规定:
1 外墙的传热系数系指考虑了热桥影响后计算得到的平均传热系数,平均传热系数应按本标准附录B的规定计算。
2 窗墙面积比应按建筑开间计算。
3 周边地面是指室内距外墙内表面2m以内的地面,周边地面的传热系数应按本标准附录C的规定计算。
4 窗的综合遮阳系数应按下式计算:
SC = SCc X SD = SCB X(1-Fk/Fc)X SD (4.2.3)
式中:SC——窗的综合遮阳系数;
SCc——窗本身的遮阳系数;
SCB——玻璃的遮阳系数;
Fk——窗框的面积;
Fc——窗的面积,Fk/Fc为窗框面积比,PVC塑钢窗或木窗窗框面积比可取0.30,铝合金窗窗框面积比可取0.20;
SD——外遮阳的遮阳系数,应按本标准附录D的规定计算。
4.2.4 寒冷(B)区建筑的南向外窗(包括阳台的透明部分)宜设置水平遮阳或活动遮阳。东、西向的外窗宜设置活动遮阳。外遮阳的遮阳系数应按本标准附录D确定。当设置了展开或关闭后可以全部遮蔽窗户的活动式外遮阳时,应认定满足本标准第4.2.2条对外窗的遮阳系数的要求。
4.2.5 居住建筑不宜设置凸窗。严寒地区除南向外不应设置凸窗,寒冷地区北向的卧室、起居室不应设置凸窗。
当设置凸窗时,凸窗凸出(从外墙面至凸窗外表面)不应大于400mm。凸窗的传热系数限值应比普通平窗降低15%,且其不透明的顶部、底部、侧面的传热系数应小于或等于外墙的传热系数。当计算窗墙面积比时,凸窗的窗面积和凸窗所占的墙面积应按窗洞口面积计算。
4.2.6 外窗及敞开式阳台门应具有良好的密闭性能。严寒地区外窗及敞开式阳台门气密性等级不应低于国家标准《建筑外门窗气密、水密、抗风压性能分级及检测方法》GB/T 7106-2008中规定的6级。寒冷地区1~6层的外窗及敞开式阳台门的气密性等级不应低于国家标准《建筑外门窗气密、水密、抗风压性能分级及检测方法》GB/T 7106-2008规定的4级;7层及7层以上不应低于6级。
4.2.7 封闭式阳台的保温应符合下列规定:
1、阳台和直接连通的房间之间应设置隔墙和门、窗;
2、当阳台和直接连通的房间之间不设置隔墙和门、窗时,应将阳台作为所连通房间的一部分。阳台与室外空气接触的墙板、顶板、地板的传热系数必须符合本标准第4.2.2条的规定,阳台的窗墙面积比必须符合本标准第4.1.4条的规定。
3、当阳台和直接连通的房间之间设置了隔墙和门、窗,且所设隔墙、门、窗的传热系数不大于本标准第4.2.2条表中所列限值时,窗墙面积比不超过本标准表4.1.4的限值时,可不对阳台外表面做特殊热工要求。
4、当阳台和直接连通的房间之间设置隔墙和门、窗,且所设隔墙、门、窗的传热系数不大于本标准第4.2.2条表中所列限值时,阳台与室外空气接触的墙板、顶板、地板的传热系数不应大于本标准第4.2.2条表中所列限值的120%,严寒地区阳台窗的传热系数不应大于2.5W/(m2.K),寒冷地区阳台窗的传热系数不应大于3.1W/(m2.K),阳台外表面的窗墙面积比不应大于60%,阳台和直接连通房间隔墙的窗墙面积比不超过表4.1.4的限值。当阳台的面宽小于直接连通房间的开间宽度时,可按房间的开间计算隔墙的窗墙面积比。
4.2.8 外窗(门)框与墙体之间的缝隙,应采用高效保温材料填堵,不得采用普通水泥砂浆补缝。
4.2.9 外窗(门)洞口室外部分的侧墙面应做保温处理,并应保证窗(门)洞口室内部分的侧墙面内表面温度不低于室内空气设计温、湿度条件下的露点温度,减小附加热损失。
4.2.10 外墙与屋面的热桥部位均应进行保温处理,并应保证热桥部位的内表面温度不低于室内空气设计温、湿度条件下的露点温度,减小附加热损失。
4.2.11 变形缝应采取保温措施,并应保证变形缝两侧墙的内表面温度在室内空气设计温、湿度条件下不低于露点温度。
4.2.12 地下室外墙应根据地下室的不同用途,采取合理的保温措施。
4.3 围护结构热工性能的权衡判断
4.3.1 建筑围护结构热工性能的权衡判断应以建筑物耗热量指标为判据。
4.3.2 计算得到的所设计居住建筑的建筑物耗热量指标应小于或等于本标准附录A中表A.0.1-2的限值。
4.3.3 所设计建筑的建筑物耗热量指标应按下式计算:

式中:qH ——建筑物耗热量指标(W/m2);
qHT ——折合到单位建筑面积上单位时间内通过建筑围护结构的传热量(W/m2);
qINF——折合到单位建筑面积上单位时间内建筑物空气渗透耗热量(W/m2);
qIH ——折合到单位建筑面积上单位时间内建筑物内部得热量,取3.8W/m2。
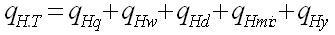
4.3.4 折合到单位建筑面积上单位时间内通过建筑围护结构的传热量应按下式计算:

式中:qHq ——折合到单位建筑面积上单位时间内通过墙的传热量(W/m2);
qHw ——折合到单位建筑面积上单位时间内通过屋顶的传热量(W/m2);
qHd ——折合到单位建筑面积上单位时间内通过地面的传热量(W/m2);
qHmc ——折合到单位建筑面积上单位时间内通过门、窗的传热量(W/m2);
qHy ——折合到单位建筑面积上单位时间内非采暖封闭阳台的传热量 (W/m2)。
4.3.5 折合到单位建筑面积上单位时间内通过墙的传热量应按下式计算:

式中:qHq-----折合到单位建筑面积上单位时间内通过外墙的传热量(W/m2);
A0 —— 建筑面积(m2),参照附录F的规定计算确定。
tn ——室内计算温度,取18℃;当外墙内侧为楼梯间时,则取12℃;
te ——采暖期室外平均温度(℃),根据附录A中的附表A.0.1-1定;
εqi ——外墙传热系数的修正系数,根据附录E中的表 E.0.2确定;
Kmqi ——外墙平均传热系数[W/(m2.K)], 根据附录B 计算确定;
Fqi ——外墙的面积(m2),参照附录F的规定计算确定;
4.3.6 折合到单位建筑面积上单位时间内通过屋顶的传热量应按下式计算:

式中:εwi——屋顶传热系数的修正系数,根据附录E中的表 E.0.2确定;
Kmwi ——屋顶平均传热系数[W/(m2.K)], 根据附录B 计算确定;
Fwi ——屋顶的面积(m2),参照附录F的规定计算确定。
4.3.7 折合到单位建筑面积上单位时间内通过地面的传热量应按下式计算:

式中:Kdi ——地面的传热系数[W/(m2K)],参照附录C的规定计算确定;
Fdi ——地面的面积(m2),参照附录F的规定计算确定。
4.3.8 折合到单位建筑面积上单位时间内通过外窗(门)的传热量应按下式计算:


式中:Kmci ———窗(门)的传热系数, W/(m2K);
Fmci ———窗(门)的面积, m2。
Ityi ——窗(门)外表面采暖期平均太阳辐射热,W/m2,根据附录A中的表A-1确定;
Cmci ———窗(门)的太阳辐射修正系数;
SC ——窗的综合遮阳系数,按本标准式(4.2.3)计算;
0.87 ——3mm普通玻璃的太阳辐射透过率;
0.7 ——折减系数。
4.3.9 折合到单位建筑面积上单位时间内通过非采暖封闭阳台的传热量应按下式计算:


式中:Kqmci ——分隔封闭阳台和室内的墙、窗(门)的面积加权平均传热系数, W/(m2K);
Fqmci ——分隔封闭阳台和室内的墙、窗(门)的面积, m2。
ζi ——阳台的温差修正系数,根据附录D中的表D-2确定。
Ityi ——封闭阳台外表面采暖期平均太阳辐射热,W/m2,根据附录A中的表A-1确定;
Fmci ——分隔封闭阳台和室内的窗(门)的面积, m2。
C'mci ——分隔封闭阳台和室内的窗(门)的太阳辐射修正系数
SCw ——外窗的综合遮阳系数,按本标准式(4.2.3)计算;
SCn ——内窗的综合遮阳系数,按本标准式(4.2.3)计算;
4.3.10 折合到单位建筑面积上单位时间内建筑物空气换气耗热量应按下式计算:

式中:Cp ———空气的比热容,取 0.28 Wh/(kgK);
ρ——空气的密度,kg/m3,取温度te下的值;
N ——换气次数, 取 0.5 1/h ;
V ——换气体积,m3,参照附录F的规定计算确定。
采暖、通风和空气调节节能设计
5.1 一般规定
5.1.1 集中采暖和集中空气调节系统的施工图设计,必须对每一个房间进行热负荷和逐项逐时的冷负荷计算。
5.1.2 位于严寒和寒冷地区的居住建筑,应设置采暖设施;位于寒冷(B)区的居住建筑,还宜设置或预留设置空调设施的位置和条件。
5.1.3 居住建筑集中采暖、空调系统的热、冷源方式及设备的选择,应根据节能要求,考虑当地资源情况、环境保护、能源效率及用户对采暖运行费用可承受的能力等综合因素,经技术经济分析比较确定。
5.1.4 居住建筑集中供热热源型式的选择,应符合以下原则:
1 以热电厂和区域锅炉房为主要热源;在城市集中供热范围内时,应优先采用城市热网提供的热源;
2 技术经济合理情况下,宜采用冷、热、电联供系统;
3 集中锅炉房的供热规模应根据燃料确定,采用燃气时,供热规模不宜过大,采用燃煤时供热规模不宜过小;
4 在工厂区附近时,应优先利用工业余热和废热;
5 有条件时应积极利用可再生能源。
5.1.5 居住建筑的集中采暖系统,应按热水连续采暖进行设计。居住区内的商业、文化及其他公共建筑的采暖形式,可根据其使用性质、供热要求经技术经济比较确定。公共建筑的采暖系统应与居住建筑分开,并应具备分开计量的条件。
5.1.6 除当地电力充足和供电政策支持、或者建筑所在地无法利用其他形式的能源外,严寒和寒冷地区的居住建筑内,不应设计采用直接电热采暖。
5.2 热源、热力站及热力网
5.2.1 当地没有热电联产、工业余热和废热可资利用的严寒、寒冷地区,应建设以集中锅炉房为热源的供热系统。
5.2.2 新建锅炉房时,应考虑与城市热网连接的可能性。锅炉房宜建在靠近热负荷密度大的地区,并应满足该地区环保部门对锅炉房的选址要求。
5.2.3 独立建设的燃煤集中锅炉房中,单台锅炉的容量不宜小于7.0 MW。对于规模较小的居住区,锅炉的单台容量可适当降低,但不宜小于4.2 MW。
5.2.4 锅炉的选型,应与当地长期供应的燃料种类相适应。锅炉的设计效率不应低于表5.2.4中规定的数值。

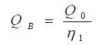
5.2.5 锅炉房的总装机容量QB (W),应按下式确定:

式中:Q0 — 锅炉负担的采暖设计热负荷(W);
η1— 室外管网输送效率,可取0.92。
5.2.6 燃煤锅炉房的锅炉台数,宜采用2~3台,不应多于5台。当在低于设计运行负荷条件下多台锅炉联合运行时,单台锅炉的运行负荷不应低于额定负荷的60 %。
5.2.7 燃气锅炉房的设计,应符合下列规定:
1 锅炉房的供热半径应根据区域的情况、供热规模、供热方式及参数等条件来合理地确定。当受条件限制供热面积较大时,应经技术经济比较确定,采用分区设置热力站的间接供热系统;
2 模块式组合锅炉房,宜以楼栋为单位设置;数量宜为4~8台,不应多于10台;每个锅炉房的供热量宜在1.4MW以下。当总供热面积较大,且不能以楼栋为单位设置时,锅炉房应分散设置。
3 当燃气锅炉直接供热系统的锅炉的供、回水温度和流量的限定值,与负荷侧在整个运行期对供、回水温度和流量的要求不一致时,应按热源侧和用户侧配置二次泵水系统。
5.2.8 锅炉房设计时应充分利用锅炉产生的各种余热。
1 热媒供水温度不高于60℃的低温供热系统,应设烟气余热回收装置;
2 散热器采暖系统宜设烟气余热回收装置;
3 有条件时,应选用冷凝式燃气锅炉,当选用普通锅炉时,应另设烟气余热回收装置。
5.2.9 锅炉房和热力站的总管上,应设置计量总供热量的热量表(热量计量装置)。集中采暖系统中建筑物的热力入口处,必须设置楼前热量表,作为该建筑物采暖耗热量的热量结算点。
5.2.10 在有条件采用集中供热或在楼内集中设置燃气热水机组(锅炉)的高层建筑中,不宜采用户式燃气供暖炉(热水器)作为采暖热源。如必须采用户式燃气炉作为热源时,应设置专用的进气及排烟通道,并应符合下列规定:
1 燃气炉自身必须配置有完善且可靠的自动安全保护装置;
2 应具有同时自动调节燃气量和燃烧空气量的功能,并应配置有室温控制器;
3 配套供应的循环水泵的工况参数,应与采暖系统的要求相匹配。
5.2.11 当系统的规模较大时,宜采用间接连接的一、二次水系统;热力站规模不宜大于10万m2为宜;一次水设计供水温度宜取115℃~130℃,回水温度应取50℃~80℃。
5.2.12 当采暖系统采用变流量水系统时,循环水泵宜采用变速调节方式;水泵台数宜采用2台(一用一备)。当系统较大时,可通过技术经济分析后合理增加台数。
5.2.13 室外管网应进行严格的水力平衡计算。当室外管网通过阀门截流来进行阻力平衡时,各并联环路之间的压力损失差值,不应大于15 %。当室外管网水力平衡计算达不到上述要求时,应在热力站和建筑物热力入口处设置静态水力平衡阀。
5.2.14 建筑物的每个热力入口,应设计安装水过滤器,并应根据室外管网的水力平衡要求和建筑物内供暖系统所采用的调节方式,决定是否还要设置自力式流量控制阀、自力式压差控制阀或其它装置。
5.2.15 水力平衡阀的设置和选择,应符合下列规定:
1 阀门两端的压差范围,应符合其产品标准的要求。
2 热力站出口总管上,不应串联设置自力式流量控制阀;当有多个分环路时,各分环路总管上可根据水力平衡的要求设置静态水力平衡阀。
3 定流量水系统的各热力入口,可按照本标准第5.2.12,5.2.14条的规定设置静态水力平衡阀,或自力式流量控制阀。
4 变流量水系统的各热力入口,应根据水力平衡的要求和系统总体控制设置的情况,设置压差控制阀,但不应设置自力式定流量阀。.
5 当采用静态水力平衡阀时,应根据阀门流通能力及两端压差,选择确定平衡阀的直径与开度。
6 当采用自力式流量控制阀时,应根据设计流量进行选型。
7 当采用自力式压差控制阀时,应根据所需控制压差选择与管路同尺寸的阀门;同时应确保其流量不小于设计最大值。
8 当选择自力式流量控制阀、自力式压差控制阀、电动平衡两通阀或动态平衡电动调节阀时,应保持阀权度S = 0.3~0.5。
5.2.16 在选配供热系统的热水循环泵时,应计算循环水泵的耗电输热比(EHR),并应标注在施工图的设计说明中。EHR值应符合下式要求:
EHR = N/Q/η ≤ A(20.4+αΣL)/Δt (5.2.16)
式中:EHR –循环水泵的耗电输热比;
N - 水泵在设计工况点的轴功率,kW;
Q - 建筑供热负荷,kW ;
η - 电机和传动部分的效率,按表5.2.16选取;
Δt -设计供回水温度差,℃ 按照设计要求选取;
A - 与热负荷有关的计算系数,按表5.2.16选取;
ΣL - 室外主干线(包括供回水管)总长度, m;
α - 与ΣL有关的计算系数,应按如下选取或计算:
当ΣL≤400m时,α = 0.0115;
当400<ΣL<1000m时,α = 0.003833 + 3.067/ΣL;
当ΣL≥1000m时,α = 0.0069。

5.2.17 设计一、二次热水管网时,应采用经济合理的敷设方式。对于庭院管网和二次网,宜采用直埋管敷设。对于一次管网,当管径较大且地下水位不高时,或者采取了可靠的地沟防水措施时,可采用地沟敷设。
5.2.18 供热管道保温厚度不应小于本标准附录G的规定值,当选用其他保温材料或其导热系数与附录G的规定值差异较大时,最小保温厚度应按下式修正:

5.2.19 当区域供热锅炉房设计采用自动监测与控制的运行方式时,应满足下列规定:
1 应通过计算机自动监测系统,全面、及时地了解锅炉的运行状况。
2 应随时测量室外的温度和整个热网的需求,按照预先设定的程序,通过调节投入燃料量实现锅炉供热量调节,满足整个热网的热量需求,保证供暖质量。
3 应通过锅炉系统热特性识别和工况优化分析程序,根据前几天的运行参数、室外温度,预测该时段的最佳工况。
4 应通过对锅炉运行参数的分析,作出及时判断。
5 应建立各种信息数据库,对运行过程中的各种信息数据进行分析,并应能够根据需要打印各类运行记录,储存历史数据。
6 锅炉房、热力站的动力用电、水泵用电和照明用电应分别计量。
5.2.20 对于未采用计算机进行自动监测与控制的小型锅炉房和换热站,应设置供热量控制装置。
5.3 采暖系统
5.3.1 室内的采暖系统,应以热水为热媒。
5.3.2 室内的采暖系统的制式,宜采用双管系统。当采用单管系统时,应在每组散热器的进出水支管之间设置跨越管,散热器应采用低阻力两通或三通调节阀。
5.3.3 集中采暖(集中空调)系统,必须设置住户分室(户)温度调节、控制装置及分户热计量(分户热分摊)的装置或设施。
5.3.4 当室内采用散热器供暖时,每组散热器的进水支管上应安装散热器恒温控制阀。
5.3.5 散热器宜明装,散热器的外表面应刷非金属性涂料。
5.3.6 采用散热器的集中采暖系统的供水温度(t)、供回水温差(△t)与工作压力(P),宜符合下列规定:
1 当采用金属管道时, t ≤ 95℃、△t≥25℃;
2 当采用热塑性塑料管时: t ≤ 85℃、△t≥25℃,且工作压力不宜大于1.0MPa;
3 当采用铝塑复合管-非热熔连接时:t ≤ 90℃、△t≥25℃;
4 当采用铝塑复合管-热熔连接时,应按热塑性塑料管的条件应用。
5 当采用铝塑复合管时,系统的工作压力可按表5.3.6确定。

注:※指采用中密度聚乙烯(乙烯与辛烯共聚物)材料生产的复合管。
5.3.7 对室内具有足够的无家具覆盖的地面可供布置加热管的居住建筑,宜采用低温地面辐射供暖方式进行采暖。低温地面辐射供暖系统户(楼)内的供水温度不应超过60℃。供回水温差宜等于或小于10℃;系统的工作压力不应大于0.8Mpa。
5.3.8 采用低温地面辐射供暖的集中供热小区,锅炉或换热站不宜直接提供温度低于60℃的热媒。当外网提供的热媒温度高于60℃时,宜在各户的分集水器前设置混水泵,抽取室内回水混入供水,保持其温度不高于设定值,并加大户内循环水量;混水装置也可以设置在楼栋的采暖热力入口处。
5.3.9 当设计低温地面辐射供暖系统时,宜按主要房间划分供暖环路,并应配置室温自动调控装置。在每户分水器的进水管上,应设置水过滤器,并应按户设置热量分摊装置。
5.3.10 施工图设计时,应严格进行室内供暖管道的水力平衡计算,确保各并联环路间(不包括公共段)的压力损失差额不大于15%;在水力平衡计算时,要计算水冷却产生的附加压力,其值可取设计供、回水温度条件下附加压力值的2/3。
5.3.11 在寒冷地区,当冬季设计状态下的采暖空调设备能效比(COP)小于1.8时,不宜采用空气源热泵机组供热;当有集中热源或气源时,不宜采用空气源热泵。
5.4 通风和空气调节系统
5.4.1 通风和空气调节系统设计应结合建筑设计,首先确定全年各季节的自然通风措施,并应做好室内气流组织,提高自然通风效率,减少机械通风和空调的使用时间。当在大部分时间内自然通风不能满足降温要求时,宜设置机械通风或空气调节系统,设置的机械通风或空气调节系统不应妨碍建筑的自然通风。
5.4.2 当采用分散式房间空调器进行空调和(或)采暖时,宜选择符合国家标准《房间空气调节器能效限定值及能源效率等级》GB12021.3和《转速可控型房间空气调节器能效限定值及能源效率等级》GB21455中规定的节能型产品(即能效等级2级)。
5.4.3 采用电机驱动压缩机的蒸气压缩循环冷水(热泵)机组或采用名义制冷量大于7100W的电机驱动压缩机单元式空气调节机作为住宅小区或整栋楼的冷热源机组时,所选用机组的能效比(性能系数)不应低于现行国家标准《公共建筑节能设计标准》 GB 50189中规定值;当设计采用多联式空调(热泵)机组作为户式集中空调(采暖)机组时,所选用机组的制冷综合性能系数不应低于国家标准《多联式空调(热泵)机组能效限定值及能源效率等级》GB 21454-2008中规定的第3级。
5.4.4 安装分体式空气调节器(含风管机、多联机)时,室外机的安装位置必须符合下列规定:
1.应能通畅地向室外排放空气和自室外吸入空气;
2.在排出空气与吸入空气之间不会发生明显的气流短路;
3.可方便地对室外机的换热器进行清扫;
4.对周围环境不造成热污染和噪声污染。
5.4.5 设有集中新风供应的居住建筑,当新风系统的送风量大于或等于3000m3/h时,应设置排风热回收装置。无集中新风供应的居住建筑,宜分户(或分室)设置带热回收功能的双向换气装置。
5.4.6 当采用风机盘管机组时,应配置风速开关,宜配置自动调节和控制冷、热量的温控器。
5.4.7 当采用全空气直接膨胀风管式空调机时,宜按房间设计配置风量调控装置。
5.4.8 当选择土壤源热泵系统、浅层地下水源热泵系统、地表水(淡水、海水)源热泵系统、污水水源热泵系统作为居住区或或户用空调(热泵)机组的冷热源时,严禁破坏、污染地下资源。
5.4.9 空气调节系统的冷热水管的绝热厚度,应按现行国家标准《设备及管道保冷设计导则》GB/T 8175中的经济厚度和防止表面凝露的保冷层厚度的方法计算。建筑物内空气调节系统冷热水管的经济绝热厚度可按表5.4.9的规定选用。

注:1 绝热材料的导热系数λ应按下列公式计算:
离心玻璃棉:λ=0.033+0.00023tm[W/(m•K)]
柔性泡沫橡塑:λ=0.03375+0.0001375tm[W/(m•K)]
式中 tm――绝热层的平均温度(℃)。
2单冷管道和柔性泡沫橡塑保冷的管道均应进行防结露要求验算。
5.4.10 空气调节风管绝热层的最小热阻应符合表5.4.10的规定。

