Appearance
《建筑与市政工程抗震通用规范》GB55002-2021
🗓️ 实施时间: 2022-01-01
总则
1.0.1 为贯彻执行国家有关建筑和市政工程防震减灾的法律法规,落实预防为主的方针,使建筑工程经抗震防设防后达到减轻地震破坏,避免人员伤亡,减少经济损失的目的,制定本规范。
1.0.2 抗震设防烈度6度及以上地区的各类新建,扩建,改建建筑于市政工程必须进行抗震设防,工程项目的勘察,设计,施工,使用维护等必须执行本规范。
1.0.3 工程建设所采用的技术方法和措施是否符合本规范要求,由相关责任主体判定。其中,创新性的技术和措施,应进行论证并符合本规范中有关性能的要求。
基本规定
2.1性能要求
2.1.1抗震设防的各类建筑与市政工程,其抗震设防目标应符合下列规定:
1当遭遇低于本地区设防烈度的多遇地震影响时,各类工程的主体结构和市政管网系统不受损坏或不需修理可继续使用。
2当遭遇相当于本地区设防烈度的设防地震影响时,各类工程中的建筑物、构筑物、桥梁结构、地下工程结构等可能发生损伤,但经一般性修理可继续使用;市政管网的损坏应控制在局部范围内,不应造成次生灾害。
3当遭遇高于本地区设防烈度的罕遇地震影响时,各类工程中的建筑物、构筑物、桥梁结构、地下工程结构等不致倒塌或发生危及生命的严重破坏;市政管网的损坏不致引发严重次生灾害,经抢修可快速恢复使用。
2.1.2抗宸设防的建筑与市政工程,其多遇地震动、设防地宸动和罕遇地震动的超越概率水准不应低于表2.1.2的规定。表2.1.2

2.2地震影响
2.2.1各类建筑与市政工程的抗簇设防烈度不应低于本地区的抗震设防烈度。
2.2.2各地区遭受的地震影响,应采用相应于抗簇设防烈度的设计基本地震加速度和特征周期表征,并应符合下列规定:
1各地区抗震设防烈度与设计基本地震加速度取值的对应关系应符合表2.2.2-1的规定。表2.2.2-1

2特征周期应根据丁程所在地的设计地震分组和场地类别按本规范第4.2.2条的规定确定。设计地震分组应根据现行国家标准《中国地震动参数区划图》GB1830611类场地条件下的基本地震动加速度反应谱特征周期值按表2.2.2-2的规定确定。T程场地类别应按本规范第3.1.3条的规定确定。表2.2.2-2

2.3抗震设防分类和设防标准
2.3.1抗震设防的各类建筑与市政丁程,均应根据其遭受地震破坏后可能造成的人员伤亡、经济损失、社会影响程度及其在抗震救灾中的作用等因素划分为下列四个抗震设防类别:
1特殊设防类应为使用上有特殊要求的设施,涉及国家公共安全的重大建筑与市政T程和地震时可能发生严重次生灾害等特别重大灾害后果,需要进行特殊设防的建筑与市政T程,简称甲类;
2重点设防类应为地震时使用功能不能中断或需尽快恢复的生命线相关建筑与市政T程,以及地震时可能导致大拯人员伤
3亡等重大灾害后果,需要提高设防标准的建筑与市政工程,简称乙类;
3标准设防类应为除本条第1款、第2款、第4款以外按标准要求进行设防的建筑与市政工程,简称丙类;
4适度设防类应为使用上人员稀少且震损不致产生次生灾害,允许在一定条件下适度降低设防要求的建筑与市政工程。简称丁类。
2.3.2各抗震设防类别建筑与市政工程,其抗震设防标准应符合下列规定:
1标准设防类,应按本地区抗震设防烈度确定其抗震措施和地震作用,达到在遭遇高于当地抗震设防烈度的预估罕遇地震影响时不致倒塌或发生危及生命安全的严重破坏的抗震设防目标。
2重点设防类,应按本地区抗震设防烈度提高一度的要求加强其抗震措施;但抗震设防烈度为9度时应按比9度更高的要求采取抗震措施;地基基础的抗震措施,应符合有关规定。同时,应按本地区抗震设防烈度确定其地震作用。
3特殊设防类,应按本地区抗震设防烈度提高一度的要求加强其抗震措施;但抗震设防烈度为9度时应按比9度更高的要求采取抗震措施。同时,应按批准的地震安全性评价的结果且高于本地区抗震设防烈度的要求确定其地震作用。
4适度设防类,允许比本地区抗震设防烈度的要求适当降低其抗震措施,但抗震设防烈度为6度时不应降低。一般情况下,仍应按本地区抗震设防烈度确定其地震作用。
5当工程场地为1类时,对特殊设防类和重点设防类工程,允许按本地区设防烈度的要求采取抗震构造措施;对标准设防类工程,抗震构造措施允许按本地区设防烈度降低一度、但不得低于6度的要求采用。
6对于城市桥梁,其多遇地震作用尚应根据抗震设防类别的不同乘以相应的重要性系数进行调整。特殊设防类、重点设防4类、标准设防类以及适度设防类的城市桥梁,其重要性系数分别不应低于2.0、1.7、1.3和1.0。
2.4工程抗震体系
2.4.1建筑与市政工程的抗震体系应根据工程抗震设防类别、抗震设防烈度、工程空间尺度、场地条件、地基条件、结构材料和施工等因素,经技术、经济和使用条件综合比较确定,并应符合下列规定:
1应具有清晰、合理的地震作用传递途径。
2应具备必要的刚度、强度和耗能能力。
3应具有避免因部分结构或构件破坏而导致整个结构丧失抗裳能力或对重力荷载的承载能力。
4结构构件应具有足够的延性,避免脆性破坏。
5桥梁结构尚应有可靠的位移约束措施,防止地震时发生落梁破坏。
2.4.2建筑工程的抗震体系应符合下列规定:
1结构体系应具有足够的牢固性和抗震冗余度。
2楼、屋面应具有足够的面内刚度和整体性。采用装配整体式楼、屋面时,应采取措施保证楼、屋面的整体性及其与竖向抗侧力构件的连接。
3基础应具有良好的整体性和抗转动能力,避免地震时基础转动加重建筑震害。
4构件连接的设计与构造应能保证节点或铀固件的破坏不先于构件或连接件的破坏。
2.4.3城镇给水排水和燃气热力工程的抗震体系应符合下列规定:
1同一结构单元应具有良好的整体性。
2埋地管道应采用延性良好的管材或沿线设置柔性连接措施。
3装配式结构的连接构造,应保证结构的整体性及抗震性能要求。管道与构筑物或固定设备连接时,应采用柔性连接构造。
2.4.4相邻建(构)筑物之间或同一建筑物不同结构单体之间的伸缩缝、沉降缝、防震缝等结构缝应采取有效措施,避免地震下碰撞或挤压产生破坏。
2.4.5抗震结构体系对结构材料(包含专用的结构设备)、施工工艺的特别要求,应在设计文件上注明。
场地与地基基础抗震
3.1场地抗震勘察
3.1.1建筑与市政工程的场地抗宸勘察应符合下列规定:
1根据工程场址所处地段的地质环境等情况,应对地段抗震性能作出有利、一般、不利或危险的评价。
2应对工程场地的类别进行评价与划分。
3对工程场地的地震稳定性能,如液化、震陷、横向扩展、崩塌和滑坡等,应进行评价,并应给出相应的工程防治措施建议方案。
4对条状突出的山嘴、高耸孤立的山丘、非岩石和强风化岩石的陡坡、河岸和边坡边缘等不利地段,尚应提供相对高差、坡角、场址距突出地形边缘的距离等参数的勘测结果。
5对存在隐伏断裂的不利地段,应查明工程场地盖层厚度以及距主断裂带的距离。
6对需要采用场址人工地震波进行时程分析法补充计算的工程,尚应根据设计要求提供土层剖面、场地骰盖层厚度以及其他有关的动力参数。
3.1.2建筑与市政工程进行场地勘察时,应根据工程需要和地震活动情况、工程地质和地震地质等有关资料按表3.1.2对地段进行综合评价。

续表3.1.2

3.1.3工程场地应根据岩石的剪切波速或土层等效剪切波速和场地覆盖层厚度按表3.1.3进行分类。表3.1.3

3.2地基与基础抗震
3.2.1天然地基的抗震验算,应采用地震作用效应的标准组合和地基抗震承载力进行。地基抗震承载力应取地基承载力特征值与地基抗震承载力调整系数的乘积。地基抗震承载力调整系数应根据地基土的性状取值,但不得超过1.5。
3.2.2对抗震设防烈度不低于7度的建筑与市政工程,当地面下20m范闱内存在饱和砂土和饱和粉土时,应进行液化判别;存在液化土层的地基,应根据工程的抗震设防类别、地基的液化等级,结合具体情况采取相应的抗液化措施。
3.2.3液化土和震陷软土中桩的配筋范围,应取桩顶至液化土层或震陷软土层底面埋深以下不小于1.Om的范围,且其纵向钢筋应与桩顶截面相同,推筋应进行加强。
地震作用和结构抗震验算
4.1一般规定
4.1.1各类建筑与市政工程地震作用计算时,设计地震动参数应根据设防烈度按本规范第2.2节的相关规定确定,并按下列规定进行调整:
1当工程结构处于发震断裂两侧10km以内时,应计入近场效应对设计地震动参数的影响。
2当工程结构处于条状突出的山嘴、高耸孤立的山丘、非岩石和强风化岩石的陡坡、河岸与边坡边缘等不利地段时,应考虑不利地段对水平设计地震参数的放大作用。放大系数应根据不利地段的具体情况确定,其数值不得小于1.1,不大于1.6。
4.1.2各类建筑与市政工程的地震作用,应采用符合结构实际工作状况的分析模型进行计算,并应符合下列规定:
1一般情况下,应至少沿结构两个主轴方向分别计算水平地震作用;当结构中存在与主轴交角大于15°的斜交抗侧力构件时,尚应计算斜交构件方向的水平地震作用。
2计算各抗侧力构件的水平地震作用效应时,应计入扭转效应的影响。
3抗震设防烈度不低于8度的大跨度、长悬臂结构和抗袁设防烈度9度的高层建筑物、盛水构筑物、贮气罐、储气柜等,应计算竖向地震作用。
4对平面投影尺度很大的空间结构和长线型结构,地震作用计算时应考虑地震地面运动的空间和时间变化。
5对地下建筑和埋地管道,应考虑地震地面运动的位移向址影响进行地震作用效应计算。
4.1.3计算地震作用时,建筑与市政工程结构的重力荷载代表值应取结构和构配件自重标准值和各可变荷载组合值之和。各可变荷载的组合值系数,应按表4.1.3采用。

4.1.4各类建筑与市政工程结构的抗震设计应符合下列规定:
1各类建筑与市政工程结构均应进行构件截面抗震承载力验算。
2应进行抗震变形、变位或稳定验算。
3应采取抗震措施。
4.2地震作用
4.2.1建筑与市政工程的水平地震作用确定应符合下列规定:
1采用底部剪力法或振型分解反应谱法计算建筑结构、桥梁结构、地上管线、地上构筑物等建筑与市政工程的水平地震作用时,水平地震影响系数的取值应符合本规范第4.2.2条的规定。
2采用时程分析法计算建筑结构、桥梁结构、地上管线、地上构筑物等市政工程的水平地震作用时,输入激励的平均地震影响系数曲线应与振型分解反应谱法采用地震影响系数曲线在统计意义上相符。
3地下工程结构的水平地宸作用应根据地下工程的尺度、
11结构构件的刚度以及地震地面运动的差异变形采用简化方法或时程分析方法确定。
4.2.2各类建筑与市政工程的水平地震影响系数取值,应符合下列规定:
1水平地震影响系数应根据烈度、场地类别、设计地震分组和结构自振周期以及阻尼比确定。
2水平地震影响系数最大值不应小于表4.2.2-1的规定。表4.2.2-1


4.2.3多遇地震下,各类建筑与市政工程结构的水平地震剪力标准值应符合下列规定:
1)对扭转不规则或基本周期小于3.55的结构,最小地震剪力系数不应小于表4.2.3的基准值;
2)对基本周期大于5.05的结构,最小地宸剪力系数不应小于表4.2.3的基准值的0.75倍;
3)对基本周期介于3.55和55之间的结构,最小地震剪力系数不应小于表4.2.3的基准值的(9.5-T1)/6倍(兀为结构计算方向的基本周期)。表4.2.3

4.3抗震验算
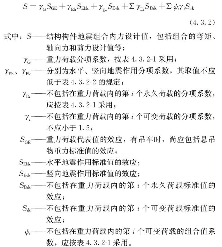
4.3.1结构构件的截面抗震承载力,应符合下式规定:

4.3.2


应按表4.3.2-1采用。



4.3.3各类结构地震作用下的变形验算应符合下列规定:
1钢筋混疑土结构、钢结构、钢-混凝土组合结构等房屋建筑,应进行多遇地宸下的弹性变形验算,并不应大于容许变形值。
2桥梁结构,应验箕罕遇地震作用下顺桥向和横桥向桥墩墩顶的位移或桥墩塑性较区域塑性转动能力,墩顶的位移不应大于桥墩容许位移,塑性较区域的塑性转角不应大于最大容许转角。
建筑工程抗震措施
5.1一般规定
5.1.1建筑设计应根据抗震概念设计的要求明确建筑形体的规则性。不规则的建筑应按规定采取加强措施;特别不规则的建筑应进行专门研究和论证,采取特别的加强措施;不应采用严重不规则的建筑方案。
5.1.2对于混凝土结构、钢结构、钢-混凝土组合结构、木结构的房屋,应根据设防类别、设防烈度、房屋高度、场地地基条件、使用要求和建筑形体等因素综合分析选用合适的结构体系。混凝土结构房屋以及钢-混凝土组合结构房屋中,框支梁、框支柱及抗震等级不低于二级的框架梁、柱、节点核芯区的混凝土强度等级不应低于C30。
5.1.3对于框架结构房屋,应考虑填充墙、围护墙和楼梯构件的刚度影响,避免不合理设置而导致主体结构的破坏。
5.1.4建造于山地和复杂地形的建筑布置应符合下列规定:
1应根据地质、地形条件和使用要求,因地制宜设置符合抗震设防要求的边坡工程。
2建筑基础与土质、强风化岩质边坡的边缘应留有足够的距离
5.1.5隔震和消能减震房屋,其隔震装置和消能部件应符合下列规定:
1隔震装置和消能器的性能参数应经试验确定。
2隔震装置和消能部件的设置部位,应采取便于检查和替换的措施。
3设计文件上应注明对隔震装置和消能器的性能要求,安装前应按规定进行抽样检测,确保性能符合要求。
5.1.6建筑结构隔震层设计应符合下列规定:
1隔震设计应根据预期的竖向承载力、水平向减震和位移控制要求,选择适当的隔震装置、抗风装置以及必要的消能装置、限位装置组成结构的隔震层。
2隔震装置应进行竖向承载力的验算,隔震支座应进行罕遇地震下水平位移的验算。
3隔震建筑应具有足够的抗倾覆能力,高层建筑尚应进行罕遇地震下整体倾覆承载力验算。
5.1.7隔震层以上结构应符合下列规定:
1隔震层以上结构的总水平地震作用,不得低于6度设防非隔震结构的总水平地震作用;各楼层的水平地震剪力尚应符合本规范第4.2.3条的规定。
2隔震层以上结构的抗震措施,应根据隔震后上部结构地震作用的降低幅度确定。
5.1.8隔震层以下结构应能保证隔震层在罕遇地震下安全工作,并应符合下列规定:
1直接支承隔震装置的支墩、支柱及相连构件,应采用隔震结构罕遇地震下的作用效应组合进行承载力验算。
2隔宸层以下、地面以上的结构,在罕遇地震下的层间位移角不应大于表5.1.8的限值要求。
5.1.9隔震支座与上、下部结构之间的连接,应能传递罕遇地震下隔震支座的最大反力。
5.1.10隔震建筑地基基础的抗震验算和地基处理仍应按本地区抗震设防烈度进行,甲、乙类建筑的抗液化措施应按提高一个液化等级确定,直至全部消除液化沉陷。
5.1.11建筑消能减震设计尚应符合下列规定:
1消能减震结构的总水平地震作用,不得低于6度设防的非消能结构的总水平地震作用;各楼层的水平地震剪力尚应符合本规范第4.2.3条的规定。
2主体结构构件的截面抗震验算,应符合本规范第4.3.1条的规定。其中,与消能部件相连的梁、柱等结构构件尚应采用罕遇地震下的标准效应组合进行极限承载力验算。
3消能减虔结构应进行多遇地震和罕遇地震下的层间变形验算。
4消能减震结构,其抗震措施应根据减震后地震作用的降低幅度确定。
5.1.12建筑的非结构构件及附属机电设备,其自身及与结构主体的连接,应进行抗震设防。
5.1.13建筑主体结构中,幕墙、围护墙、隔墙、女儿墙、雨篷、商标、广告牌、顶篷支架、大型储物架等建筑非结构构件的安装部位,应采取加强措施,以承受由非结构构件传递的地震作用。
5.1.14围护墙、隔墙、女儿墙等非承重墙体的设计与构造应符合下列规定:
1采用砌体墙时,应设置拉结筋、水平系梁、圈梁、构造柱等与主体结构可靠拉结。
2墙体及其与主体结构的连接应具有足够变形能力,以适应主体结构不同方向的层间变形需求。
3人流出入口和通道处的砌体女儿墙应与主体结构铀固,防震缝处女儿墙的自由端应予以加强。
5.1.15建筑装饰构件的设计与构造应符合下列规定:
1各类顶棚的构件及与楼板的连接件,应能承受顶棚、悬挂重物和有关机电设施的自重和地震附加作用;其铀固的承载力应大于连接件的承载力。
2悬挑构件或一端由柱支承的构件,应与主体结构可靠连接。
3玻璃幕墙、预制墙板、附属于楼屋面的悬臂构件和大型储物架的抗震构造应符合抗震设防类别和烈度的要求。
5.1.16建筑附属机电设备不应设置在可能致使其功能障碍等二次灾害的部位;设防地震下需要连续工作的附属设备,应设置在建筑结构地震反应较小的部位。
5.1.17管道、电缆、通风管和设备的洞口设置,应减少对主要承重结构构件的削弱;洞口边缘应有补强措施。管道和设备与建筑结构的连接,应具有足够的变形能力,以满足相对位移的俙要。
5.1.18建筑附属机电设备的基座或支架,以及相关连接件和铀固件应具有足够的刚度和强度,应能将设备承受的地震作用全部传递到建筑结构上。建筑结构中,用以固定建筑附属机电设备预埋件、铀固件的部位,应采取加强措施,以承受附属机电设备传给主体结构的地震作用。
5.2混凝土结构房屋
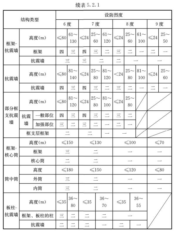
5.2.1钢筋混凝土结构房屋应根据设防类别、设防烈度、结构类型和房屋高度采用不同的抗震等级,并应符合相应的内力调整和抗震构造要求。抗震等级应符合下列规定:
1丙类建筑的抗震等级应按表5.2.1确定。


2甲、乙类建筑的抗震措施应符合本规范第2.4.2条的规定;当房屋高度超过本规范表5.2.1相应规定的上限时,应采取更有效的抗震措施。
3当房屋高度接近或等于表5.2.1的高度分界时,应结合房屋不规则程度及场地、地基条件确定合适的抗震等级。
5.2.2框架梁和框架柱的潜在塑性较区应采取雒筋加密措施;抗震墙结构、部分框支抗震墙结构、框架-抗震墙结构等结构的墙肢、连梁、框架梁、框架柱以及框支框架等构件的潜在塑性较区和局部应力集中部位应采取延性加强措施。
5.2.3框架-核心筒结构、简中筒结构等筒体结构,外框架应有足够刚度,确保结构具有明显的双重抗侧力体系特征。
5.2.4板柱-抗震墙结构抗霞应符合下列规定:
1板柱-抗震墙结构的抗震墙应具备承担结构全部地震作用的能力;其余抗侧力构件的抗剪承载能力设计值不应低于本层地震剪力设计值的20%。
2板柱节点处,沿两个主轴方向在柱截面范圉内应设置足够的板底连续钢筋,包含可能的预应力筋,防止节点失效后楼板跌落导致的连续性倒塌。
5.2.5对钢筋混疑土结构,当施工中需要以不同规格或型号的钢筋替代原设计中的纵向受力钢筋时,应按照钢筋受拉承载力设计值相等的原则换算,并应符合本规范规定的抗震构造要求。
5.3钢结构房屋
5.3.1钢结构房屋应根据设防类别、设防烈度和房屋高度采用不同的抗震等级,并应符合相应的内力调整和抗震构造要求。抗震等级确定应符合下列规定:
1丙类建筑的抗震等级应按表5.3.1确定。

5.3.2框架结构以及框架-中心支撑结构和框架价扣心支撑结构中的无支撑框架,框架梁潜在塑性较区的上下翼缘应设置侧向支承或采取其他有效措施,防止平面外失稳破坏。当房屋高度不高于100m且无支撑框架部分的计算剪力不大于结构底部总地震剪力的25%时,其抗震构造措施允许降低一级,但不得低于四级。框架偏心支撑结构的消能梁段的钢材屈服强度不应大于355MPa。
5.4钢-混凝土组合结构房屋
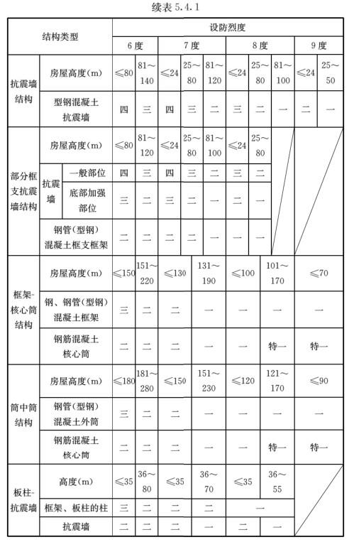
5.4.1钢-混凝土组合结构房屋应根据设防类别、设防烈度、结构类型和房屋高度按下列规定采用不同的抗震等级,并应符合相应的内力调整和抗震构造要求。
1丙类建筑的抗震等级应按表5.4.1确定。


2甲、乙类建筑的抗震措施应符合本规范第2.4.2条的规定;当房屋高度超过本规范表5.4.1相应规定的上限时,应采取更有效的抗震措施。
3当房屋高度接近或等于表5.4.1的高度分界时,应结合房屋不规则程度及场地、地基条件确定抗震等级。
5.4.2钢-混凝土组合框架结构、钢-混凝土组合抗震墙结构、部分框支抗震墙结构、框架-抗震墙结构抗震构造应符合下列规定:
1各类型结构的框架梁和框架柱的潜在塑性较区应采取雏筋加密等延性加强措施。
2钢-混凝土组合抗震墙结构、部分框支抗震墙结构、框架抗震墙结构的钢筋混凝土抗霖墙设计应符合本规范第5.2节的有关规定。
3型钢混凝土抗震墙的墙肢和连梁以及框支框架等构件的潜在塑性饺区应采取雏筋加密等延性加强措施。
5.4.3型钢混凝土框架-核心筒结构、筒中筒结构等简体结构,外框架、外框筒应有足够刚度,确保结构具有明显的双重抗侧力体系特征。
5.5砌体结构房屋
5.5.1多层砌体房屋的层数和高度应符合下列规定:
1一般情况下,房屋的层数和总高度不应超过表5.5.1的规定。

5.5.2砌体结构房屋抗震横墙的间距应符合下列规定:
1一般情况下,抗震横墙间距不应超过表5.5.2的规定。
2多层砌体房屋顶层的抗震横墙间距,除木屋盖外,允许比表5.5.2中的数值适当放宽,但应采取相应加强措施。
3多孔砖抗震横墙厚度为190mm时,最大横墙间距应比表5.5.2中数值减少3m。表5.5.2

5.5.3底部框架-抗震墙砌体房屋的结构体系,应符合下列规定:
1上部的砌体墙体与底部的框架梁或抗震墙,除楼梯间附近的个别墙段外均应对齐。
2房屋的底部,应沿纵横两方向设置一定数撮的抗震墙,并应均匀对称布置。
6度且总层数不超过4层的底层框架-抗震墙砌体房屋,应允许采用嵌砌于框架之间的约束普通砖砌体或小砌块砌体的砌体抗震墙,但应计入砌体墙对框架的附加轴力和附加剪力并进行底层的抗震验算,且同一方向不应同时采用钢筋混凝土抗棍墙和约束砌体抗娱墙;其余情况,8度时应采用钢筋混凝土抗震墙,6度、7度时应采用钢筋混凝土抗震墙或配筋小砌块砌体抗震墙。3底层框架-抗震墙砌体房屋的纵横两个方向,第二层计入构造柱影响的侧向刚度与底层侧向刚度的比值,6度、7度时不应大于2.5,8度时不应大于2.o,且均不应小于1.0。4底部2层框架-抗震墙砌体房屋纵横两个方向,底层与底部第二层侧向刚度应接近,第三层计入构造柱影响的侧向刚度与底部第二层侧向刚度的比值,6度、7度时不应大于2.0,8度时不应大于1.5'且均不应小于1.0。
5.5.4配筋混凝土小型空心砌块抗震墙房屋的高度应符合下列规定:
1一般情况下,不应超过表5.5.4的规定。

2配筋混凝土小型空心砌块砌体房屋某层或几层开间大于6.0m以上的房间建筑面积占相应层建筑面积40%以上时,表5.5.4中高度规定相应减少6m。
5.5.5配筋小砌块砌体抗震墙结构房屋抗震设计时,抗震墙的抗震等级应根据设防烈度和房屋高度按表5.5.5采用。当房屋高度接近或等于表5.5.5高度分界时,应结合房屋不规则程度及场地、地基条件确定抗震等级。

5.5.6各类砌体沿阶梯形截面破坏的抗衷抗剪强度设计值应合理取值。
5.5.7底部框架-抗震墙砌体房屋的地震作用效应,应按下列规定调整:
1对底层框架-抗震墙砌体房屋,底层的纵向和横向地震剪力设计值均应乘以增大系数;其值应允许在1.2~1.5范围内选用,第二层与底层侧向刚度比大者应取大值。
2对底部2层框架-抗震墙砌体房屋,底层和第二层的纵向和横向地震剪力设计值亦均应乘以增大系数;其值应允许在1.2~1.5范围内选用,第三层与第二层侧向刚度比大者应取大值。
3底层或底部2层的纵向和横向地震剪力设计值应全部由该方向的抗震墙承担,并按各墙体的侧向刚度比例分配。
5.5.8砌体房屋应设置现浇钢筋混凝土圈梁、构造柱或芯柱。
5.5.9多层砌体房屋的楼、屋面应符合下列规定:
1楼板在墙上或梁上应有足够的支承长度,罕遇地震下楼板不应跌落或拉脱。
2装配式钢筋混凝土楼板或屋面板,应采取有效的拉结措施,保证楼、屋面的整体性。
3楼、屋面的钢筋混凝土梁或屋架应与墙、柱(包括构造柱)或罔梁可靠连接;不得采用独立砖柱。跨度不小于6m的大梁,其支承构件应采用组合砌体等加强措施,并应满足承载力要求。
5.5.10砌体结构楼梯间应符合下列规定:
1不应采用悬挑式踏步或踏步竖肋插入墙体的楼梯,8度、9度时不应采用装配式楼梯段。
2装配式楼梯段应与平台板的梁可靠连接。
3楼梯栏板不应采用无筋砖砌体。
4楼梯间及门厅内墙阳角处的大梁支承长度不应小于500mm,并应与圆梁连接。
5顶层及出屋面的楼梯间,构造柱应伸到顶部,并与顶部圉梁连接,墙体应设置通长拉结钢筋网片。
6顶层以下楼梯间墙体应在休息平台或楼层半高处设置钢筋混凝土带或配筋砖带,并与构造柱连接。
5.5.11砌体结构房屋尚应符合下列规定:
1砌体结构房屋中的构造柱、芯柱、圆梁及其他各类构件的混凝土强度等级不应低于C25。
2对于砌体抗震墙,其施工应先砌墙后浇构造柱、框架梁柱。
5.6木结构房屋
5.6.1木结构房屋的建筑结构布置应符合下列规定:
1房屋的平面布置应简单规则,不应有平面凹凸或拐角。
2纵横向围护墙体的布置应均匀对称,上下连续。
3楼层不应错层。
4木框架-支撑结构、木框架-抗震墙结构、正交胶合木抗震墙结构中的支撑、抗震墙等构件应沿结构两主轴方向均匀、对称布置。
5.6.2木结构房屋的地震作用计算应符合下列规定:
1 7度及以上的大跨度木结构、长悬臂木结构,应计入竖向地震作用。
2 计算多遇地震作用时,应考虑非承重墙体的刚度影响对结构自振周期予以折减。
5.6.3抗震设防的木结构房屋基本构造应符合下列规定:
1木柱与屋架(梁)间应采取加强连接的措施,穿斗木构架应在木柱上、下端设置穿朸。
2斜撑及屋面支撑与主体构件的连接应采用螺栓连接,掾与椋的搭接处应满钉。
3围护墙与木柱的拉结应牢固可靠。
5.7土石结构房屋
5.7.1土、石结构房屋的高度和层数应符合表5.7.1的规定。

石结构房屋的建筑结构布置应符合下列规定:
1房屋的平面布置应简单规则,不应有平面凹凸或拐角。
2纵横向承重墙的布置应均匀对称,上下连续。
3楼层不应错层,不得采用板式单边悬挑楼梯。
5.7.3生土墙体土料应选用杂质少的黏性土。石材应质地坚实,无风化、剥落和裂纹。
5.7.4抗震设防的生土房屋基本构造应符合下列规定:
1生土房屋的屋盖应采用轻质材料,硬山搁棵的支承处应设置垫木,纵向椋条之间应采取加强连接的措施。
2内外墙体应同步、分层、交错穷筑或咬砌。
3外墙四角和内外墙交接处应设置混凝土或木构造柱,并采取加强整体性的拉结措施。
4应采取措施保证地基基础的稳定性和承载能力。
5.7.5抗震设防的石结构房屋基本构造应符合下列规定:
1多层石砌体房屋,应采用现浇或装配整体式钢筋混凝土楼、屋盖。
2多层石砌体房屋的抗震横墙间距,6度、7度不应超过10m,8度不应超过7m。
3多层石砌体房屋应在外墙四角、楼梯间四角和每开间内外墙交接处设置钢筋混凝土构造柱,各楼层处应设置阁梁;阁梁与构造柱应牢固拉结。
4不应采用石梁、石板作为承重构件。
5.8混合承重结构建筑
5.8.1钢支撑-混凝土框架结构的抗震设计应符合下列规定:
1楼、屋面应具有足够的面内刚度和整体性。
2钢支撑-混凝土框架结构中,含钢支撑的框架应在结构的两个主轴方向均匀、对称设置,避免不合理设置导致结构平面扭转不规则。
5.8.2钢支撑计混凝土框架结构房屋应根据设防类别、设防烈度和房屋高度采用不同的抗震等级,应符合相应的内力调整和抗震构造要求,并应符合下列规定:
1一般情况下,丙类建筑的抗震等级应按表5.8.2确定。

2甲、乙类建筑的抗震措施应符合本规范第2.4.2条的规定。
3当房屋高度接近或等于表5.8.2的高度分界时,应结合房屋不规则程度及场地、地基条件确定抗震等级。
5.8.3钢支撑混凝土框架结构的抗震应符合下列规定:
1应考虑钢支撑破坏退出工作后的内力重分布影响。
2钢支撑应符合本规范第5.3节的相关构造要求;混凝土框架应符合本规范第5.2节的相关构造要求。
5.8.4大跨屋面建筑的结构选型和布置应符合下列规定:
1屋面及其支承结构的选型和布置应具有合理的刚度和承载力分布,不应出现局部削弱或突变,形成薄弱部位。应能保证地震作用分布合理,不应产生过大的内力或变形集中。
2屋面结构的形式应同时保证各向地震作用能有效传递到下部支承结构。
3单向传力体系的结构布置,应设置可靠的支撑,保证垂直于主结构方向的水平地震作用的有效传递。
5.8.5大跨屋面结构的地震作用计算,除应符合本规范第4章的有关规定外,尚应符合下列规定:
1计算模型应计入屋面结构与下部结构的协同作用。
2非单向传力体系的大跨屋面结构,应采用空间结构模型计算,并应考虑地震作用三向分扯的组合效应。
5.8.6屋面构件截面抗震验算除应符合本规范第4.3节的有关规定外,尚应符合下列规定:
1关键杆件和关键节点应具有足够的抗震承载力储备,其多遇地震组合内力设计值应根据设防烈度的高低进行放大调整,调整系数最小不得小于1.1。
2预张拉结构中的拉索,在多遇地震作用下,应保证拉索不发生松弛而退出工作。
5.8.7大跨屋面结构的抗震基本构造设计应符合下列规定:
1屋面结构中钢杆件的长细比,关键受压杆件不得大于150;关键受拉杆件不得大于200。
2支座应具有足够的强度和刚度,在荷载作用下不应先于杆件和其他节点破坏,也不应产生不可忽略的变形。
3支座构造形式应传力可靠、连接简单,与计算假定相符。
4对于水平可滑动的支座,应采取可靠措施保证屋面在罕遇地震下的滑移不超出支承面。
市政工程抗震措施
6.1城镇桥梁
6.1.1城市桥梁的抗震设计类别应根据抗震设防烈度和所屈的抗震设防类别按表6.1.1选用。

6.1.2按照本规范第6.1.1条的分类,城市桥梁抗震设计应符合下列规定:
1A类城市桥梁,应进行多遇和罕遇地袁作用下的抗震分析和抗震验算,并应满足相关抗震措施的要求。
2B类城市桥梁,应进行多遇地震作用下的抗震分析和抗震验算,并应满足相关抗震措施的要求。
3C类城市桥梁,允许不进行抗震分析和抗震验算,但应满足相关抗震措施的要求。
6.1.3城市桥梁应根据其地震响应的复杂程度分为规则和非规则两类,城市桥梁的抗震分析方法应根据其抗震设计类别、规则性以及地震作用水准按表6.1.3选用。


6.1.4城市桥梁结构能力保护构件的地震组合内力设计值确定应符合下列规定:
1当罕遇地震作用下结构未进入塑性工作范围时,墩柱的组合剪力设计值、基础和盖梁的组合内力设计值,应采用罕遇地震的计算结果按本规范第4.3.2条的规定确定。
2对抗震设计类别为A类,且弹塑性变形、耗能部位位于桥墩的城市桥梁,其盖梁、基础、支座和墩柱的剪力设计值应根据墩柱塑性佼区域横截面的极限抗弯承载力按能力保护设计方法确定。
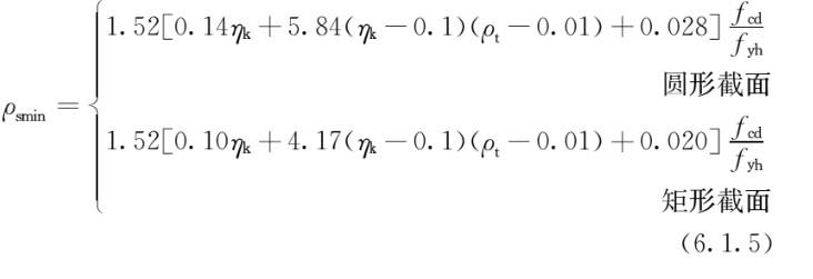
6.1.5
7度及以上地区,城市桥梁墩柱潜在塑性较区的雏筋应加密配置,并应符合下列规定:
1加密区范围,应由最大组合弯矩所在截面处算起,长度不应小于弯曲方向墩柱截面边长,且加密区边缘截面的组合弯矩不应大于0.8倍最大组合弯矩;当墩柱高度与弯曲方向截面边长之比小于2.5时,柱加密区范围应取墩柱全高。
2加密区的最小体积配率p一'7度


8度时应符合下式规定,
9度时尚应乘以不小于1.2的放大系数,
6.1.6城市桥梁墩柱的雒筋非加密区的体积配雏率不应少于加密区的50%。
6.1.7城市桥梁结构应采用有效的防坠落措施,且梁端至墩、台帽或盖梁边缘的搭接长度,6度不应小于(400+0.005L)mm,7度及以上,不应小于C?oo+o.0050mm,其中,L为梁的计算跨径(单位,mm)。
6.1.8城市桥梁抗震措施的使用不应导致主要构件地震反应发生重大改变,否则,抗震分析时应考虑抗震措施与主要构件的相互影响。
6.2城乡给水排水和燃气热力工程
6.2.1城乡给水排水和燃气热力工程应符合下列规定:
1地下或半地下砌体结构,砖砌体强度等级不应低于MU1O,块石砌体强度等级不应低于MU20;砌筑砂浆应采用水泥砂浆,强度等级不应低于M7.5。
2盛水构筑物和地下管道的混凝土强度等级不应低于C25;构造柱、芯柱、圉梁及其他各类构件的混凝土强度等级不应低于C25。
3用于燃气工程储气结构的钢材,应保证冷弯检验合格;燃气、热力工程中的结构用钢,不得采用Q235A级钢材。
4各类构筑物的非结构构件和附属设备,其自身及其与结构主体的连接,应进行抗震设计。
6.2.2盛水构筑物的防震缝宽度不得小于30mm。当缝两侧结构在多遇地震最大变形值超过10mm时,应适当加宽,同时应明确止水带相应的技术要求。彼此贴建,且各自独立工作的双墙水池,其防震缝宽度不应小于单侧挡水墙多遇地震最大位移的2倍,且不得小于50mm。
6.2.3城乡给水排水和燃气热力工程中单层现浇混凝土结构的抗震等级不得低于表6.2.3的规定。

6.2.4城乡给水排水和燃气热力工程中各类结构的抗震验算应符合下列规定:
1各类建筑物、构筑物的结构构件应按本规范第4章的相关规定进行截面抗震强度验算。
2承插式连接埋地管道或预制拼装结构应进行抗震变位验算,并应符合下式规定:


3 7度及7度以上的整体连接埋地管道应进行截面应变量验算,并应符合下列公式规定:

4对污泥消化池、挡墙式结构等,尚应进行罕遇地震下的抗倾覆、抗滑移等整体稳定性验算。
6.2.5燃气工程中的储气柜应符合下列规定:

2与储气柜相连的进出口燃气管,应设置弯管补偿器或采取其他柔性连接措施。
6.2.6城乡给水排水和燃气热力工程中,管道及其连接的材料尚应符合下列规定:
1输送水、气或热力的有压管道,其管材的材质应具有较好的延性。
2地下直埋热力管道与其外护层、外保温应具有良好的整体性。
3热力管道应采用钢制附件。
6.2.7采用砖砌体混合结构的矩形管道应符合下列规定:
1钢筋混凝土盖板与侧墙应有可靠连接。7度、8度皿、W类场地时,预制装配顶盖不应采用梁板结构(不含钢筋混凝土槽形板结构)。
2基础应采用整体底板。8度、N类场地或9度时,底板应为钢筋混凝土结构。
6.2.8城镇给水排水和燃气热力工程中,直埋承插式圆形管道和矩形管道,在下列部位应设置柔性连接接头或变形缝:
1穿越铁路及其他重要的交通干线两端;
2承插式管道的三通、四通、大于45°的弯头等附件与直线管段连接处,且附件支墩按柔性连接的受力条件进行设计。
6.2.9城镇给水排水和燃气热力工程中,管道穿过建(构)筑物的墙体或基础时,应符合下列规定:
1在穿管的墙体或基础上应设置套管,穿管与套管之间的间隙应用柔性防腐、防水材料密封。
2当穿越的管道与墙体或基础嵌固时,应在穿越的管道上就近设置柔性连接装置。
6.2.10城镇给水排水和燃气热力工程中,输水、输气等埋地管道穿越活动断裂带时,应采取下列措施:
1管道应敷设在套管内,管道与套管之间的间隙应用柔性防腐、防水材料密封;套管周围应填充干砂。
2管道及套筒应采用钢管。
3断裂带两侧的管道上,应在适当位置设置紧急关断阀门。
6.2.11燃气厂及储配站的出口处,均应设置紧急关断阀门。
6.2.12管网上的阀门均应设置阀门井。
6.2.13架空管道的滑动支架应设置侧向挡板,挡板应与管道支架协同设计,地震作用不应小于管道支座横向水平地震作用标准值的75%。
6.3地下工程结构
6.3.1地下工程的总体布置应力求简单、对称、规则、平顺。结构体系应根据使用要求、场地工程地质条件和施工方法等确定,并应具有良好的整体性,避免抗侧力结构的侧向刚度和承载力突变。出入口通道两侧的边坡和洞口仰坡,应依据地形、地质条件选用合理的口部结构类型,提高其抗霞稳定性
6.3.2丙类钢筋混凝土地下结构的抗震等级,6度、7度时不应低于四级,8度、9度时不应低于三级。甲、乙类钢筋混凝土地下结构的抗震等级,6度、7度时不应低于三级,8度、9度时不应低于二级。
6.3.3除下列情况外,地下工程均应进行地震响应分析:
1 6度、7度设防时位于1、]]场地中的丙类、丁类地下工程。
2 8度(0.20g)设防时位于1、]]类场地、层数不超过2层、体型规则且跨度不超过18m的丙类和丁类地下工程。
6.3.4地下工程的地震响应分析模型,应能反映周围挡土结构和内部各构件的实际受力状况。对于周围地层分布均匀、规则且具有对称轴的长线型地下工程,允许采用平面应变分析模型;其他悄况,应采用空间结构分析模型。
6.3.5地下工程进行地震响应分析时,各设计参数应符合下列规定:
1对于采用平面应变分析模型的地下结构,允许仅计算横向水平地震作用。
2对采用空间结构分析模型的地下工程,应同时计算横向和纵向水平地震作用。
3采用土层结构时程分析法或等效水平地震加速度法时,土、岩石的动力特性参数应符合工程实际情况。
6.3.6地下工程的抗震验算,除应符合本规范第4章的要求外,尚应符合下列规定:
1应根据预期的设防目标,进行第一或第二水准地震作用下的构件截面承载力和结构弹性变形验算。
2应根据预期的设防目标,进行第三水准地震作用下的弹塑性变形验算。
3液化地基中的地下工程,尚应进行液化时的抗浮稳定性验算。
6.3.7地下工程的顶板、底板和楼板,应符合下列规定:
1当采用板柱-抗震墙结构时,尤柱帽的平板应在柱上板带中设构造暗梁。
2地下工程的顶板、底板及各层楼板的钢筋铀入长度应满足受力要求,并应不小于规定的铀固长度。
3楼板开孔时,孔洞宽度不应大于该层楼板典型宽度的
30%;洞口周边应设置边梁或暗梁。
6.3.8地下工程周围土体和地基存在液化土层时,应采取下列措施:
1对液化土层采取消除或减轻液化影响的措施。
2进行地下结构液化抗浮验算,必要时采取增设抗拔桩、配置压重等相应的抗浮措施。
6.3.9地下工程穿越地震时岸坡可能滑动的古河道或可能发生明显不均匀沉陷的软土地带时,应采取更换软弱土或设置桩基础等防治措施。
6.3.10位于岩石中的地下工程,应采取下列抗震措施:
1□部通道和未经注浆加固处理的断层破碎带区段采用复合式支护结构时,内衬结构应采用钢筋混凝土衬砌,不得采用素混凝土衬砌。
2采用离壁式衬砌时,内衬结构应在拱墙相交处设置水平撑抵紧围岩。
3采用钻爆法施工时,初期支护和围岩地层间应密实回填。干砌块石回填时应注浆加强。
