Appearance
《高强钢结构设计标准[附条文说明]》JGJ/T 483-2020
🗓️ 住房和城乡建设部 实施时间:2020-10-01
前言
中华人民共和国行业标准
高强钢结构设计标准
Standard for design of high strength steel structure
JGJ/T 483-2020
备案号 J 2831-2020
批准部门:中华人民共和国住房和城乡建设部
施行日期:2 0 2 0 年 1 0 月 1 日
中华人民共和国住房和城乡建设部公告
2020年 第91号
住房和城乡建设部关于发布行业标准《高强钢结构设计标准》的公告
现批准《高强钢结构设计标准》为行业标准,编号为JGJ/T 483-2020,自2020年10月1日起实施。
本标准在住房和城乡建设部门户网站(www.mohurd.gov.cn)公开,并由住房和城乡建设部标准定额研究所组织中国建筑出版传媒有限公司出版发行。
中华人民共和国住房和城乡建设部
2020年4月9日
前言
根据住房和城乡建设部《关于印发<2013年工程建设标准规范制订、修订计划>的通知》 (建标[2013]6号)的要求,标准编制组经广泛调查研究,认真总结实践经验,参考有关国际标准和国外先进标准,并在广泛征求意见的基础上,编制了本标准。
本标准的主要技术内容是:1总则;2术语和符号;3基本规定;4材料;5轴心受力构件;6受弯构件;7拉弯和压弯构件;8连接和节点。
本标准由住房和城乡建设部负责管理,由清华大学负责具体技术内容的解释。执行过程中如有意见或建议,请寄送清华大学土木工程系(地址:北京市海淀区清华园1号清华大学土木工程系,邮编:100084)。
本标准主编单位: 清华大学
中信建筑设计研究总院有限公司
本标准参编单位: 中冶京诚工程技术有限公司
中国建筑标准设计研究院有限公司
西安建筑科技大学
北京工业大学
天津大学
东南大学
国家钢结构工程技术研究中心
中冶建筑研究总院有限公司
中国建筑西南设计研究院有限公司
中国五洲工程设计集团有限公司
宝钢钢构有限公司
浙江东南网架股份有限公司
浙江精工钢结构有限公司
江苏省沪宁钢机股份有限公司
上海中远川崎重工钢结构有限公司
鞍钢股份有限公司
舞阳钢铁有限责任公司
武汉钢铁有限公司
山东中通钢构建筑股份有限公司
安阳钢铁股份有限公司
马鞍山钢铁股份有限公司
山东钢铁股份有限公司莱芜分公司
天津钢管集团股份有限公司
北京市建筑工程研究院有限责任公司
深圳市建筑设计研究总院有限公司
上海建工五建集团有限公司
香港华艺设计顾问(深圳)有限公司
深圳市清华苑建筑与规划设计研究有限公司
杭州恒达钢结构实业有限公司
北京国电龙源环保工程有限公司
中信金属有限公司
重庆大学
北京首钢国际工程技术有限公司
本标准主要起草人员: 石永久 施刚 温四清 郝际平 张爱林 丁阳 舒赣平 郁银泉 余海群 刘毅 冯远 贺明玄 丁大益 吴耀华 周观根 陈国栋 刘志东 董卫国 刘明 张华红 童明伟 员建成 奚铁 左勇志 陈勤 刘臣 吴晖 李琰 王元清 王喆 陈学森 赵嘉康 赵俊林 左权胜 劳俊 王卫永 王厚昕 张旦天 李丰功 商存亮
本标准主要审查人员: 娄字 范重 范峰 肖从真 周健 朱丹 王湛 朱忠义 傅中俊
1 总则
1 总则
1.0.1 为在高强钢结构设计中贯彻执行国家的技术经济政策,做到安全适用、技术先进、经济合理、确保质量,制定本标准。
1.0.2 本标准适用于采用牌 号不低于Q460、Q460GJ钢材的工业与民用建筑及一般构筑物的钢结构设计。
条文说明
1.0.2 国际上一般把屈服强度高于460MPa的结构钢材划分为高强钢,考虑到《钢结构设计标准》GB 50017-2017已覆盖了Q460的相关设计要求和规定,本标准主要是针对采用符合《低合金高强度结构钢》GB/T 1591-2018的Q460以上牌号结构钢材和符合《建筑结构用钢板》GB/T 19879-2015的Q460GJ及以上牌号结构钢材的钢结构。本标准对采用符合《低合金高强度结构钢》GB/T 1591-2018的Q460钢材的钢结构的相关规定与《钢结构设计标准》GB 50017-2017协调一致。
1.0.3 高强钢结构的设计除应符合本标准外,尚应符合国家现行有关标准的规定。
条文说明
1.0.3 本标准针对高强钢结构的特有材料指标,构件和连接节点设计方法、构造要求作出了相应的规定,与相关的标准间有一定的分工和衔接,执行时尚应符合相关标准的规定。
2 术语和符号
2.1术语
2 术语和符号
2.1 术语
2.1.1 高强钢 high strength structural steel
牌号不低于Q460、Q460GJ的高强度结构钢材。
2.1.2 高强钢构件 high strength steel structural member
牌号不低于Q460、Q460GJ的结构钢材加工制作的结构构件。
2.1.3 高强钢结构 high strength steel structure
采用高强钢构件的钢结构。
条文说明
2.1.3 当钢结构体系中有构件采用本标准所定义的高强钢时,可称为高强钢结构,应按本标准的要求设计和计算采用高强钢的相关构件和连接。
2.1.4 抗震性能化设计 performance-based seismic design
基于结构承载力和延性的合理匹配来选定性能目标的抗震设计方法。
条文说明
2.1.4 本标准中采用的是现行国家标准《钢结构设计标准》GB 50017中的抗震性能化设计方法。高强钢具有强度高、伸长率低、屈强比高的力学特性。当抗震地区采用高强钢结构时,应采用性能化抗震设计方法并选择合理的抗震性能目标,可充分发挥高强钢的强度优势,降低对钢材延性的要求,保证结构具有足够的抗震承载性能。
2.1.5 塑性耗能区 plastic energy dissipative zone
在强烈地震作用下,结构构件首先进入塑性变形状态并消耗能量的区域。
2.2符号
2.2 符号
条文说明
本节只列出常用的符号,对于其他不常用的符号,标准条文及说明中已进行了解释。符号规定与现行国家标准《钢结构设计标准》GB 50017已有的符号一致,但针对高强钢本构关系显著变化的特点,增加了描述钢材应力-应变曲线的符号δu、εy、εu和εst,以及基于高强钢结构设计的特点需要引入的其他符号。其中,《钢结构设计标准》GB 50017-2017中增加了钢号修正系数并给出了Q235、Q345、Q390、Q420及Q460钢材的εk取值。本标准沿用了εk,同时新增了仅针对高强钢的钢号修正系数ε'k,高强钢的εk和ε'k取值按表1采用。 
2.2.1 作用和作用效应
M——弯矩;
N——轴力;
P——高强度螺栓的预拉力;
V——剪力;
σ——正应力;
τ——剪应力。
2.2.2 计算指标
E——钢材的弹性模量;
f——钢材的抗拉、抗压和抗弯强度设计值;
f v ——钢材的抗剪强度设计值;
f ce ——钢材的端面承压强度设计值;
f y ——钢材的屈服强度;
f u ——钢材的抗拉强度最小值;
f w t 、f w c 、f w v ——对接焊缝的抗拉、抗压和抗剪强度设计值;
f w u ——对接焊缝的抗拉强度;
f w f ——角焊缝的抗拉、抗压和抗剪强度设计值;
f f u ——角焊缝的抗拉、抗压和抗剪强度;
f b t 、f b c 、f b v ——螺栓的抗拉、承压和抗剪强度设计值;
f b u ——高强度螺栓的抗拉强度最小值;
f b ——销轴的抗弯强度设计值;
G——钢材的剪变模量;
γ R ——钢材的抗力分项系数;
δ u ——钢材的伸长率;
ε y ——钢材的屈服应变;
ε u ——钢材的极限应变;
ε st ——钢材的硬化应变。
2.2.3 几何参数
A——毛截面面积;
A e ——有效截面面积;
A n ——净截面面积;
b——翼缘板的外伸宽度;壁板的净宽度;角钢的宽度;
b 0 ——箱形截面壁板间的距离;
D——圆管的外径;
d——螺栓直径;销轴直径;
d 0 ——孔径;
e——偏心距;
h w ——腹板的高度;
h m ——上下翼缘中面间的距离;
h 0 ——腹板的计算高度;
h c ——腹板的受压区宽度;
h e ——腹板的受压区有效宽度;
h f ——角焊缝的焊脚尺寸;
I——毛截面惯性矩;
l——长度或跨度;
l 1 ——梁受压翼缘侧向支承间距离;螺栓受力方向的连接长度;
l w ——焊缝的计算长度;
S——毛截面面积矩;
t——板的厚度;
t f ——翼缘的厚度;
t w ——腹板的厚度;
W——毛截面模量;
W n ——净截面模量;
ω——角钢的平板宽度。
2.2.4 计算系数及其他
n——高强度螺栓的数目;受弯构件整体稳定计算公式指数;
α——轴心受压构件板件宽厚比限值的放大系数;
α 0 ——截面应力分布系数;
α f ——螺栓或焊缝长接头承载力折减系数;
β m ——压弯构件整体稳定的等效弯矩系数;
γ x 、γ y ——对主轴x、y的截面塑性发展系数;
γ m ——圆形构件的截面塑性发展系数;
ε k ——钢号修正系数,其值为235与钢材牌号对应的名义屈服强度的比值的平方根;
ε' k ——钢号修正系数,其值为460与钢材牌号对应的名义屈服强度的比值的平方根;
η——轴心受力构件的有效截面系数;压弯构件整体稳定的截面影响系数;
λ——长细比;
λ n,b ——正则化长细比;
λ re p 、λ re pf 、λ re pw ——正则化宽厚比;
ρ——轴心受压构件的有效截面系数;
φ——轴心受压构件的整体稳定系数;
φ b ——受弯构件的整体稳定系数;
ψ——压弯构件整体稳定的修正系数。
3 基本规定
3.1设计原则
3 基本规定
3.1 设计原则
3.1.1 高强钢结构的设计应符合现行国家标准《工程结构可靠性设计统一标准》GB 50153和《建筑结构可靠性设计统一标准》GB 50068规定的原则,并应符合现行国家标准《工程结构设计基本术语标准》GB/T 50083、 《工程结构设计通用符号标准》GB/T 50132、《钢结构设计标准》GB 50017和《钢结构工程施工质量验收标准》GB 50205的规定。
3.1.2 结构上的作用应根据现行国家标准《建筑结构荷载规范》GB 50009确定,地震作用应根据现行国家标准《建筑抗震设计规范》GB 50011确定。
条文说明
3.1.2 本条规定了确定结构上作用的原则,直接作用根据现行国家标准《建筑结构荷载规范》GB 50009确定;地震作用根据现行国家标准《建筑抗震设计规范》GB 50011确定;对于直接承受吊车荷载的构件应按不同工况确定相应的动力系数。
间接作用包括温度变化、强迫位移、环境引起的材料性能劣化等造成的影响,设计时应根据具体情况确定。爆炸、撞击、火灾等偶然作用应根据有关标准或具体情况和设计要求确定。
3.1.3 高强钢结构的安全等级和设计使用年限应符合现行国家标准《建筑结构可靠性设计统一标准》GB 50068的规定;对结构中重要和关键传力部位的高强钢构件的安全等级宜提高。
条文说明
3.1.3 高强钢结构的安全等级根据现行国家标准《建筑结构可靠性设计统一标准》GB 50068确定。
本条补充规定:可以根据实际情况调整构件的安全等级。对破坏引起严重后果的重要构件和关键传力部位,宜适当提高安全等级,增大构件重要性系数。
3.1.4 高强钢宜应用于下列构件:
1 由强度控制截面的构件;
2 要求自重轻且强度高的结构构件。
条文说明
3.1.4 本条根据高强钢的材性,提出了主要的适用范围供设计时参考。由强度控制截面的构件主要是指构件的截面尺寸不是由构件的失稳,或者板件的失稳,或者挠度限值控制,而是由截面的应力控制。对于大跨度结构中的受拉构件,其承载力通常由截面强度控制;对于安全性要求高的建筑结构中的承重构件,因其内力较大,经常采用厚板截面,其承载力也通常由截面强度控制;这两类构件都适宜采用高强钢。同时,高强钢由于材料强度提高,也适用于要求自重轻、强度高的结构构件。
3.1.5 非抗震设计时,结构或构件变形、构件的长细比应符合现行国家标准《钢结构设计标准》GB 50017的规定。
3.1.6 抗震设计时,应按现行国家标准《建筑抗震设计规范》GB 50011的规定进行抗震验算,构件的抗震等级、框架柱的长细比和截面板件宽厚比应按现行国家标准《建筑抗震设计规范》GB 50011的有关规定确定,并应符合相应的抗震措施。
条文说明
3.1.6 与任何类型建筑结构一样,有抗震设计要求的高强钢结构或含有高强钢构件的结构,均应按现行国家标准《建筑抗震设计规范》GB 50011的规定进行抗震设计,其中的高强钢构件尚应满足本标准有关的抗震构造措施要求。
3.1.7 高强钢构件的承载力抗震调整系数γ RE :结构构件和连接的强度计算时应取0.80,结构构件的稳定计算时应取0.85;当仅计算竖向地震作用时,可取1.0。
条文说明
3.1.7 本条是参照现行国家标准《建筑抗震设计规范》GB 50011的规定,并依照高强钢的性能,适当提高安全度的要求制定的。
3.1.8 采用现行国家标准《钢结构设计标准》GB 50017的抗震性能化设计时,高强钢结构设计应按本标准第3.2节执行。
3.2抗震性能化设计
3.2 抗震性能化设计
3.2.1 应用于抗震性能化设计的高强钢不宜用于塑性耗能区,宜用于下列构件:
1 延性等级为V级的结构构件;
2 框架结构中符合强柱弱梁要求的框架柱;
3 中心支撑结构中符合强框架弱支撑要求的柱或梁。
条文说明
3.2.1 一般来说,与普通强度钢材相比,高强钢的屈强比高,伸长率低,使得其延性降低,因此高强钢用于抗震钢结构时宜采用现行国家标准《钢结构设计标准》GB 50017的抗震性能化设计,充分利用其弹性承载力而非耗能能力,故不宜将高强钢用于塑性耗能区,如用于塑性耗能区,则必须符合现行国家标准《钢结构设计标准》GB 50017中对于塑性耗能区的材料要求。
为弥补屈强比要求的降低,本条规定了使高强钢构件在强烈地震下仍然处于弹性状态的具体抗震措施。
对于采用可靠避震措施的建筑,结构构件在强烈地震下仍然处于弹性状态,高强钢也可应用于这类建筑。
关于强柱弱梁及强框架弱支撑的具体设计要求和延性等级的划分见现行国家标准《钢结构设计标准》GB 50017的有关规定。
3.2.2 结构构件的长细比和板件宽厚比应符合现行国家标准《钢结构设计标准》GB 50017的规定。
条文说明
3.2.2 结构构件的长细比和截面板件宽厚比不仅对构件的延性影响较大,同时也是影响用钢量的重要因素,因此有必要根据其延性要求规定合理的长细比和截面板件宽厚比。
3.2.3 结构采用抗震性能化设计时,钢材应符合下列规定:
1 钢材的屈服强度实测值与抗拉强度实测值的比值不应大于0.9;
2 钢材的断后伸长率不应小于16%。
条文说明
3.2.3 对于本标准第3.2.1条规定的高强钢构件应用于延性要求较低的部位,本条调整了屈强比和伸长率的要求。另外,考虑到罕遇地震作用下结构的内力重分布可能使得高强钢亦发生屈服,故本条给出了对于高强钢用于抗震钢结构的材料性能最低要求。目前,《建筑抗震设计规范》GB 50011-2010(2016年版)对于抗震钢结构,要求钢材伸长率不小于20%。当时的拉伸试样为固定标距试样,伸长率取值规定为A50,而现在的拉伸试样均采用系数为5.65的比例试样,其伸长率取值规定为A,伸长率按有关标准换算时,A=17%与A50=20%相当。本条要求钢材的断后伸长率A不应小于16%,实际已经接近A50=20%。
4 材料
4.1钢材牌号
4 材料
4.1 钢材牌号
4.1.1 高强钢结构构件应采用Q460钢、Q500钢、Q550钢、Q620钢、Q690钢和Q460GJ钢、Q500GJ钢、Q550GJ钢、Q620GJ钢、Q690GJ钢,其质量应分别符合现行国家标准《低合金高强度结构钢》GB/T 1591和《建筑结构用钢板》GB/T 19879的规定。
条文说明
4.1.1 高强钢应为按国家现行标准所规定的性能、技术与质量要求生产的高强度钢材。本条包括《低合金高强度结构钢》GB/T 1591-2018的Q460及其以上等级的高强度钢材以及《建筑结构用钢板》GB/T 19879-2015中的Q460GJ及其以上等级的GJ钢。《建筑结构用钢板》GB/T 19879-2015中的Q460GJ钢与《低合金高强度结构钢》GB/T 1591-2018中的Q460钢的力学性能指标相近,但Q460GJ钢中微合金元素含量得到控制,塑性性能较好,屈强比低,屈服强度变化范围小,有冷加工成型要求(如方矩管)或抗震要求的构件宜优先采用。 《建筑结构用钢板》GB/T 19879-2015列有更高强度级别的GJ钢,包括Q500GJ、Q550GJ、Q620GJ、Q690GJ等,高强钢结构也宜采用这些种类的钢材。
结构用钢板、型钢等产品的尺寸规格、外形、重量和允许偏差应符合国家现行有关标准的规定,但当前钢结构材料市场的产品厚度负偏差现象普遍,调研发现在厚度小于16mm时尤其严重。因此,必要时设计可附加要求,按照现行国家标准《热轧钢板和钢带的尺寸、外形、重量及允许偏差》GB/T 709、《热轧H型钢和剖分T型钢》GB/T 11263等限定厚度 负偏差《低合金高强度结构钢》GB/T 1591-2018规定厚度负偏差应符合GB/T 709的要求,《建筑结构用钢板》GB/T 19879-2015规定厚度负偏差不得超过0.3mm。
4.1.2 焊接高强钢结构构件采用Z向钢时,其质量应符合现行国家标准《厚度方向性能钢板》GB/T 5313的规定。
4.1.3 处于外露环境,且对耐腐蚀有特殊要求或处于侵蚀性介质环境中的高强钢结构,宜采用耐候高强钢,其质量应符合现行国家标准《耐候结构钢》GB/T 4171的规定。
条文说明
4.1.3 耐候钢是通过添加少量合金元素Cu、P、Cr、Ni等,使其在金属基体表面形成保护层,以提高耐大气腐蚀性能的钢。本条包括《耐候结构钢》GB/T 4171-2008的Q460NH及其以上等级的高强度耐候钢材。
4.1.4 当采用本标准未列出牌号的高强钢时,应有充分可靠的依据。
4.2连接材料
4.2 连接材料
4.2.1 高强钢结构用焊接材料应符合下列规定:
1 手工焊接用焊条,应符合现行国家标准《热强钢焊条》GB/T 5118的规定,焊条型号应与主体钢材力学性能相适应;
2 自动焊或半自动焊用焊丝应符合现行国家标准《熔化焊用钢丝》GB/T 14957、《气体保护电弧焊用碳钢、低合金钢焊丝》GB/T 8110及《热强钢药芯焊丝》GB/T 17493的规定;
3 埋弧焊用焊丝和焊剂应符合现行国家标准《埋弧焊用热强钢实心焊丝、药芯焊丝和焊丝-焊剂组合分类要求》GB/T 12470的规定。
4.2.2 高强钢结构用紧固件材料应符合下列规定:
1 宜采用钢结构用大六角高强度螺栓或扭剪型高强度螺栓。
2 钢结构用大六角高强度螺栓的质量应符合现行国家标准《钢结构用高强度大六角头螺栓》GB/T 1228、《钢结构用高强度大六角螺母》GB/T 1229、《钢结构用高强度垫圈》GB/T 1230、《钢结构用高强度大六角头螺栓、大六角螺母、垫圈技术条件》GB/T 1231的规定。扭剪型高强度螺栓的质量应符合现行国家标准《钢结构用扭剪型高强度螺栓连接副》GB/T 3632的规定。
条文说明
4.2.2 对于高强钢,普通螺栓连接的强度指标偏低,如A级螺栓8.8级抗拉强度设计值为400N/mm2,但仍小于Q460钢材强度设计值410N/mm2,即普通螺栓不适宜在高强钢的连接中使用。因此,本条规定高强钢结构宜采用高强度螺栓连接。
4.3材料选用
4.3 材料选用
4.3.1 设计时,应综合考虑结构的重要性、荷载特征、应力状态、板件厚度和工作环境、加工条件以及钢材性价比等要素,合理地选用钢材牌号、质量等级、性能指标和技术要求,并明确交货状态;钢材质量等级的选取应满足钢材在结构工作温度下具有冲击韧性合格保证的要求。
条文说明
4.3.1 本条与现行国家标准《钢结构设计标准》GB 50017的规定一致。交货状态可由钢结构施工单位在确保成品性能的前提下依据加工工艺确定。
4.3.2 高强钢的选用应符合下列规定:
1 选用的高强钢应具有屈服强度、断后伸长率、抗拉强度和硫、磷含量的合格保证,焊接结构采用的高强钢尚应具有碳当量的合格保证;
2 焊接结构以及重要的非焊接结构选用的高强钢应具有冷弯试验的合格保证;
3 直接承受动力荷载、重要的受拉或受弯焊接结构或需验算疲劳的构件选用的高强钢应具有冲击韧性的合格保证。
条文说明
4.3.2 本条与现行国家标准《钢结构设计标准》GB 50017的规定一致。冷弯试验应按现行国家标准《低合金高强度结构钢》GB/T 1591和《建筑结构用钢板》GB/T 19879中的方法进行。
4.3.3 焊缝连接材料应符合下列规定:
1 焊接材料的型号和性能应与母材的性能相匹配,其熔敷金属的力学性能应符合设计规定,且不应低于相应母材标准的下限值;
2 对直接承受动力荷载或需要验算疲劳的结构,以及低温环境下工作的厚板结构,应采用低氢型焊条。
4.4设计指标
4.4 设计指标
4.4.1 高强钢的设计用强度指标,应根据钢材牌号、厚度或直径按表4.4.1采用。


条文说明
4.4.1 2013年11月本标准编制组开展对我国高强钢、建筑用钢板的性能数据的调研工作,基于调研数据和独立试验,进行了可靠度分析,提出了设计指标和建议本构模型。截至2014年5月,共有6家钢铁企业提供了各自生产的高强钢材相关性能数据、材性试件。本标准的高强钢设计指标仅针对上述6家钢铁企业,即:鞍山钢铁、舞阳钢铁、安阳钢铁、马鞍山钢铁、武汉钢铁、莱芜钢铁。
各钢铁企业所提供的本厂生产的高强钢级别和相关性能数据的数量见表2,所提供的高强钢材性试件的强度等级和数量见表3。


在此调研的基础上,本条给出了Q460GJ钢、Q500钢、Q550钢、Q620钢及Q690钢的强度设计值,均遵照现行钢材标准按板厚或直径分组。Q460钢材的强度设计值按《钢结构设计标准》GB 50017-2017的规定。基于各牌号钢材和各厚度组别调研和试验数据,按照《建筑结构可靠性设计统一标准》GB 50068-2018的要求进行数理统计和可靠度分析,并考虑设计使用方便,最终确定钢材的抗力分项系数值,见表4。

对于Q460GJ钢材,进行调研时,钢材生产是按照当时的国家标准《建筑结构用钢板》GB/T 19879-2005进行的,采用的是上屈服强度,而我国钢结构工程均按照下屈服强度作为设计指标;因此,在分析抗力分项系数和可靠度时,根据研究结果,采用折减系数4.10%将上屈服强度换算成下屈服强度。Q460GJ钢材的厚度分组也是按照当时的国家标准《建筑结构用钢板》GB/T 19879-2005。新版国家标准《建筑结构用钢板》GB/T 19879-2015颁布后,改为采用下屈服强度,且厚度分组有所变化,部分组别的钢材强度标准值有所 提高。本标准则保持原有调研结果高强钢的钢材抗力分项系数γR(表4)不变,采用新版国家标准《建筑结构用钢板》GB/T 19879-2015中的钢材强度值计算得到相应的钢材强度设计指标。
钢材的抗拉、抗压、拉弯强度设计值按f=fy/γR换算,钢材抗剪强度设计值按fv=f/√3换算,端面承压强度采用《钢结构设计标准》GB 50017-2017对Q460钢的计算方法,即fce=fu/1.175。
进行结构弹塑性分析时,高强钢宜采用以下本构模型:
(1)对Q460、Q460GJ钢,采用图1(a)所示有屈服平台的本构模型;

(2)对Q500钢、Q550钢、Q620钢、Q690钢,采用图1(b)所示无屈服平台的本构模型。
Q460钢材的强度参数应符合现行国家标准《钢结构设计标准》GB 50017的规定,其他高强钢的强度参数应按表4.4.1采用,应变参数、弹性模量及其他物理性能指标应按表5采用。

4.4.2 冷弯型材和冷弯钢管,其强度设计值应按现行国家标准《冷弯薄壁型钢结构技术规范》GB 50018的规定采用。
4.4.3 焊缝的强度设计指标应按表4.4.3采用,并应符合下列规定:


1 焊缝质量等级应符合现行国家标准《钢结构焊接规范》GB 50661的规定,其检验方法应符合现行国家标准《钢结构工程施工质量验收标准》GB 50205的规定,其中厚度小于6mm钢材的对接焊缝,不应采用超声波探伤确定焊缝质量等级;
2 对接焊缝在受压区的抗弯强度设计值取f w c ,在受拉区的抗弯强度设计值取f w t ;
3 计算下列情况的连接时,焊缝强度设计值应乘以相应的折减系数;几种情况同时存在时,其折减系数应连乘:
1)施工条件较差的高空安装焊缝应乘以折减系数0.90;
2)进行无垫板的单面施焊对接焊缝的连接计算应乘以折减系数0.85。
条文说明
4.4.3 鉴于高强钢结构使用的自身特点,不考虑采用三级对接受力焊缝。不同焊接工艺的评定参照相关标准进行。对接焊缝按等强设计,故相应抗压、抗拉、抗剪强度的设计取值均与母材相应的强度设计值相同。角焊缝抗压、抗拉、抗剪强度设计值均采用《钢结构设计标准》GB 50017-2017中对Q460钢的计算方法,本条所推荐的焊接材料型号来自现行国家标准《热强钢焊条》GB/T 5118、 《气体保护电弧焊用碳钢、低合金钢焊丝》GB/T 8110和《热强钢药芯焊丝》GB/T 17493,按照焊缝金属强度略高于钢材强度的原则,并且考虑了焊缝金属的韧性应高于钢材韧性的要求。
4.4.4 高强度螺栓承压型连接的强度设计指标立按表4.4.4-1采用,高强度螺栓摩擦型连接的高强钢接触面抗滑移系数应按表4.4.4-2采用,单个高强度螺栓的预拉力设计值应按表4.4.4-3采用。



条文说明
4.4.4 鉴于高强钢结构使用的自身特点,本条推荐采用10.9级和12.9级高强度螺栓。高强度螺栓承压型连接的抗拉、抗剪、承压强度设计值的计算方法与《钢结构设计标准》GB 50017-2017一致,
其中螺栓的抗拉强度最小值fbu按《紧固件机械性能螺栓、螺钉和螺柱》GB/T 3098.1-2010确定。表4.4.4-2高强度螺栓摩擦型连接中Q460GJ钢、Q500钢、Q550钢、Q620钢及Q690钢的前两类摩擦面的抗滑移系数取值均与《钢结构设计标准》GB 50017-2017中对Q460钢的取值相同,鉴于高强钢强度提高后对接触面的处理工艺也相应改进,建议参照《涂覆涂料前钢材表面处理表面清洁度的目视评定 第1部分:未涂覆过的钢材表面和全面清除原有涂层后的钢材表面的锈蚀等级和处理等级》GB/T 8923.1-2011中的最高级别标准要求。此外本条还增加了热喷涂锌、铝及其合金,以及喷砂除锈后电弧喷铝两类摩擦面处理工艺,其操作方法应符合现行国家标准《热喷涂 金属和其他无机覆盖层 锌、铝及其合金》GB/T 9793的规定。本条结合国内外已有试验研究结果,提出了表中抗滑移系数建议取值。单个高强度螺栓的预拉力设计值按《紧固件机械性能 螺栓、螺钉和螺柱》GB/T 3098.1-2010确定, 
5 轴心受力构件
5.1轴心受力构件的强度
5 轴心受力构件
5.1 轴心受力构件的强度
5.1.1 计算轴心受拉构件,当端部连接及中部护接处组成截面的各板件都有连接件直接传力时,应符合下列规定:
1 除采用高强度螺栓摩擦型连接者外,其截面强度计算应符合下列规定:
毛截面屈服:

净截面断裂:

式中:N——所计算截面的拉力设计值(N);
f——钢材抗拉强度设计值(N/mm 2 );
A——构件的毛截面面积(mm 2 );
A n ——构件的净截面面积,当构件多个截面有孔时,取最不利的截面(mm 2 );
f u ——钢材抗拉强度最小值(N/mm 2 )。
2 采用高强螺栓摩擦型连接的构件,其截面强度计算应符合下列规定:
1)当构件为沿全长都有排列较密螺栓的组合构件时,其截面强度应按下式计算:

2)除第1项规定的情形外,其毛截面强度应按本标准式(5.1.1-1)计算,净截面强度应按下式计算:

式中:n——在节点或拼接处,构件一端连接的高强度螺栓数目;
n 1 ——所计算截面(最外列螺栓处)上高强度螺栓数目。
条文说明
5.1.1 本条为轴心受力构件的强度计算要求。
国际常用钢结构设计标准中,轴心受拉构件的承载能力计算通常考虑两种破坏状态:毛截面屈服和净截面拉断。
1 毛截面的平均应力达到材料的屈服强度,构件将产生很大的变形,即达到不适于继续承载的变形极限状态,其计算公式为:

式中:γR——抗力分项系数。
2 净截面的平均应力达到材料的抗拉强度fu,即达到最大承载能力的极限状态,其计算式为:

由于净截面的孔眼附近应力集中较大,容易首先出现裂缝,因此其抗力分项系数γuR应予提高。上式中参考国外资料取γR/γuR=0.8,即γuR比γR增大25%。此条与现行《钢结构设计标准》GB 50017的要求一致。
5.1.2 桁架或塔架的单角钢腹杆,当以一个肢连接于节点板时,除弦杆亦为单角钢且位于节点板同侧的情况外,可按轴心受力构件采用本标准式(5.1.1-1)和式(5.1.1-2)计算受拉构件的截面强度,但计算时应对拉力乘以放大系数1.15。
条文说明
5.1.2 《钢结构设计标准》GB 50017-2017采用对强度设计值进行折减的方法,这种方法容易造成概念上的混淆,拉杆轴力放大系数1.15是原强度折减系数的倒数。本条强度计算针对构件中部截面,和本标准第5.1.4条规定的构件端板截面面积折减并无联系。
5.1.3 计算轴心受压构件时,当端部连接及中部拼接处组成截面的各板件都有连接件直接传力时,截面强度应按本标准式(5.1.1-1)计算。
条文说明
5.1.3 轴心受压构件当孔洞处有螺栓填充时,不必验算该截面的净截面强度。
5.1.4 轴心受拉和轴心受压构件的组成板件在节点或拼接处并非全部直接传力时,应对危险截面的面积乘以有效截面系数η,不同构件截面形式和连接方式的η值应符合表5.1.4的规定。

条文说明
5.1.4 某些情况下,由于构件截面存在“剪切滞后”会导致并非全部截面直接传力,或者截面上正应力分布不均匀,这时应考虑采用有效截面系数对截面积折减,形成有效净截面或者有效截面。
5.2轴心受压构件的稳定性
5.2 轴心受压构件的稳定性
5.2.1 除板件宽厚比超过本标准第5.3.1条规定的实腹式构件外,轴心受压构件的稳定性应按下式计算:

式中:φ——轴心受压构件的稳定系数(取截面两主轴稳定系数中的较小者)。
条文说明
5.2.1 式(5.2.1)采用轴心压力设计值与构件承载力之比的表达式,有别于截面强度的应力表达式,使概念明确。
5.2.2 轴心受压构件的稳定系数φ应根据构件的长细比(或换算长细比)、钢材屈服强度和表5.2.2-1、表5.2.2-2的截面分类,按本标准附录A采用。



条文说明
5.2.2 对于板厚t<40mm的五种类型截面的稳定系数分类,根据国内相关的研究成果进行了调整。
5.2.3 轴心受压构件应按下式计算剪力设计值,并假定沿构件全长不变;对格构式轴心受压构件,剪力V应由承受该剪力的缀材面(包括用整体板连接的面)分担。

条文说明
5.2.3 《钢结构设计标准》GB 50017-2017第7.2.7条曾规定
,计算表明,该剪力公式的屈服强度调整系数并无必要,予以删除。
5.3实腹式轴心受压构件的局部稳定性和屈曲后强度
5.3 实腹式轴心受压构件的局部稳定性和屈曲后强度
5.3.1 实腹式轴心受压构件要求不出现局部失稳时,其板件宽厚比应符合下列规定:
1 H形截面腹板
当λ≤50ε k 时:

当λ>50ε k 时:

式中:λ——构件绕截面两个主轴的较大长细比,大于120时取120;
ε k ——钢号修正系数,其值为235与钢材牌号对应的名义屈服强度的比值的平方根;
h 0 ——腹板的计算高度(mm),对焊接H形截面为腹板净高,对轧制H形截面不应包括翼缘腹板过渡处圆弧段;
t w ——腹板的厚度(mm)。
2 H形截面翼缘
当λ≤70ε k 时:

当λ>70ε k 时:

式中:λ——构件绕截面两个主轴的较大长细比,大于120时取120;
b、t f ——分别为翼缘板自由外伸宽度和翼缘厚度(mm)。
3 箱形截面壁板
当λ≤52ε k 时:

当λ>52ε k 时:

式中:λ——构件绕截面两个主轴的较大长细比,大于120时取120;
b 0 、t——分别为壁板间的净距离和壁板厚度(mm)。
4 等边角钢肢件
当λ≤80ε k 时:

当λ>80ε k 时:

式中:λ——按角钢绕非对称主轴回转半径计算的长细比,大于120时取120;
ω、t——分别为角钢的平板宽度和厚度(mm),ω可取为b-2t,b为角钢宽度。
5 圆管压杆的外径与壁厚之比不应超过100ε k 2 。
条文说明
5.3.1 本条(1~3)款采取屈服准则和等稳准则综合运用的方法,考虑残余应力的影响,并根据国内相关的研究成果提出。为了与《钢结构设计标准》GB 50017-2017协调,Q460、Q460GJ的局部稳定计算公式与《钢结构设计标准》GB 50017-2017的规定保持一致。Q460、Q690钢材H形截面腹板、翼缘及箱形截面壁板的局部稳定计算公式与相应数据的对比见图2、图3和图4。其中,横坐标为长细比λ/εk,纵坐标为宽厚比限值[h0/tw]/εk或[b/f)/εk,Q460、Q690数据由清华大学根据等稳定性准则计算得到。 另外一种计算H形截面腹板、翼缘及箱形截面壁板局部稳定的方法为,引入适用于本标准钢材等级范围(Q460~Q690)的钢材强度参数
,则该方法的计算公式为: 
以上计算公式对Q460及其以上等级的高强钢均适用。可验证,Q460、Q460GJ的计算结果与《钢结构设计标准》GB 50017-2017是协调一致的。图2、图3和图4同样给出了上述公式(3)~公式(8)与Q690数据的对比。 
4 等边角钢肢的宽厚比限值,主要是考虑到高强度角钢应用的需要。不等边角钢没有对称轴,失稳时总是呈弯扭屈曲,稳定计算包含了肢件宽厚比影响,不再对局部稳定作出规定。
对中等以上长细比压杆的板件宽厚比限值,只有一部分乘以钢号修正系数εk,有利于高强钢材更充分地发挥作用。

5 保留《钢结构设计标准》GB 50017-2017中的第7.3.1条规定。钢管不能利用屈曲后强度,且目前国内对Q500及以上等级钢管的局部稳定研究较少,因此趋于保守地沿用原限值。
5.3.2 当轴心受压构件的轴心压力设计值N小于其稳定承载力φfA时,可将其板件宽厚比限值由本标准第5.3.1条的公式算得后乘以放大系数α。α应按下式计算且不应大于1.4。

条文说明
5.3.2 板件宽厚比限值根据等稳定性准则确定,因此,当构件实际压力低于其承载力时,相应的局部屈曲临界力要求可以降低,从而宽厚比限值可放宽。
5.3.3 板件宽厚比超过本标准第5.3.1条规定的限值时,轴心受压构件的强度和稳定性应按下列公式计算:

式中:A ne ——构件的有效净截面面积(mm 2 );
A e ——构件的有效毛截面面积(mm 2 );
A n ——构件的净截面面积(mm 2 );
A——构件的毛截面面积(mm 2 );
φ——稳定系数,应按 
,由本标准附录A中表格查得;
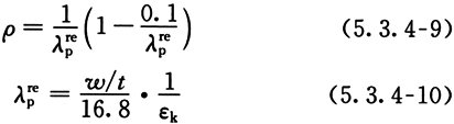
ρ——有效截面系数,应根据截面形状按本标准第5.3.4条确定。
条文说明
5.3.3 本条采用有效截面法计算轴心受压构件的屈曲后强度,统一对截面积折减以考虑板件屈曲对整体承载力的不利影响。
焊接H形和箱形截面的规定来源于国内相关的研究结果。为了与《钢结构设计标准》GB 50017-2017协调一致,本条(1~3)款中Q460、Q460GJ钢的H形截面腹板、箱形截面壁板的有效截面系数计算公式与《钢结构设计标准》GB 50017-2017相同,但本标准针对H形截面的翼缘亦提出了相应的有效截面系数计算公式。以上计算公式以及《钢结构设计标准》GB 50017-2017中的计算公式与已有研究针对Q460、Q550、Q690以及Q960的参数分析 数据对比如图5、图6和图7所示。图中的a、b、c、d代表条文中轴心受压构件的截面分类 图6和图7中“R”代表长方箱形截面,“B”代表等边箱形截面。可见,本条的设计公式与数据的吻合较好。

5.3.4 构件的有效截面系数ρ应根据截面形式按下列公式计算:
1 H形截面腹板

对Q460、Q460GJ钢材,当λ>52ε k 时,ρ值尚应满足下式要求:

式中:h 0 、t w ——对焊接H型钢截面分别为腹板净高和厚度(mm),对轧制H型钢截面不应包括翼缘腹板过渡处圆弧段。
2 H形截面翼缘

式中:b、t f ——分别为翼缘板自由外伸宽度和厚度(mm)。
3 箱形截面壁板

对Q460、Q460GJ钢材,当λ>52ε k 时,ρ值尚应满足下式要求:

式中:b、t——壁板的净宽度和厚度(mm)。
4 单角钢

当λ>80ε k 时,ρ值尚应满足下式要求:

式中:ω、t——分别为角钢的平板宽度和厚度(mm),ω可取为b-2t,b为角钢宽度。
6 受弯构件
6.1受弯构件的强度
6 受弯构件
6.1 受弯构件的强度
6.1.1 在主平面内受弯的实腹构件,其抗弯强度应按下式计算:

式中:M x 、M y ——同一截面处绕x轴和y轴的弯矩设计值(N·mm)。
W nx 、W ny ——对x轴和y轴的净截面模量(mm 3 )。当截面板件宽厚比等级达到受弯构件S4级要求时,取全截面模量;当截面板件宽厚比等级为受弯构件S5级时,取有效截面模量;截面分类和有效截面计算应按现行国冢标准《钢结构设计标准》GB 50017的规定采用。
γ x 、γ y ——截面塑性发展系数,Q460和Q460GJ钢材按现行国家标准《钢结构设计标准》GB 50017的规定取值,其他牌号高强钢均取1.0。
f——钢材的抗弯强度设计值(N/mm 2 )。
条文说明
6.1.1 Q460、Q460GJ钢材的截面塑性发展系数与《钢结构设计标准》GB 50017-2017的取值一致,Q500、Q550、Q620和Q690钢材的截面塑性发展系数γx、γy均取1.0。
6.1.2 在主平面内受弯的实腹构件,其抗剪强度应按下式计算:

式中:V——计算截面沿腹板平面作用的剪力设计值(N);
S——计算剪应力处以上(或以下)毛截面对中和轴的面积矩(mm 3 );
I——构件的毛截面惯性矩(mm 4 );
t w ——构件的腹板厚度(mm);
f v ——钢材的抗剪强度设计值(N/mm 2 )。
6.2受弯构件的稳定性
6.2 受弯构件的稳定性
6.2.1 在最大刚度主平面内受弯的构件,当梁腹板满足局部稳定性要求时,其整体稳定性应按下式计算:

式中:M x ——绕强轴作用的最大弯矩设计值(N·mm);
W x ——按受压最大纤维确定的梁毛截面模量(mm 3 );
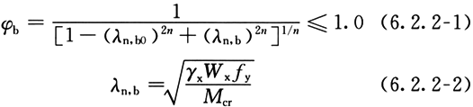
φ b ——梁的整体稳定性系数,按本标准第6.2.2条确定。
6.2.2 梁的整体稳定性系数应按下列公式计算:

式中:M cr ——简支梁、悬臂梁或连续梁的弹性屈曲临界弯矩(N·mm),按现行国家标准《钢结构设计标准》GB 50017的规定采用;
λ n,b0 ——梁腹板受弯计算时起始正则化长细比,按表6.2.2采用;
λ n,b ——梁腹板受弯计算时的正则化长细比;
n——指数,按表6.2.2采用。

条文说明
6.2.2 日本学者根据不同国家的大量焊接梁试验资料统计分析,当稳定系数公式采用
时,得到焊接梁试验平均值曲线的指数n=2.0。指数n的主要影响因素是高宽比(截面上下翼缘中面距离和截面受压翼缘宽度的比值hm/b1,长细比影响很小,因此,将指数n与截面的高宽比联系建立函数关系。分析107根不同跨度、截面尺寸的高强度钢材焊接工字形截面简支梁,将构件按照截面高宽比分为8组,经过参数分析得到指数n的计算式如下。

与《钢结构设计标准》GB 50017-2017对比,数值分析得到的高强钢梁指数n要高于相同条件下的规范值,如图8所示。

6.2.3 当箱形截面简支梁截面尺寸(图6.2.3)同时满足h/b 0 ≤6和l 1 /b 0 ≤95ε k 2 时(l 1 为受压翼缘侧向支承点间的距离),可不计算整体稳定性。

图6.2.3 箱形截面
6.3受弯构件的局部稳定性
6.3 受弯构件的局部稳定性
6.3.1 受弯构件翼缘宽厚比应符合下列规定:
1 工字形截面

2 箱形截面

式中:b——工字形截面的翼缘外伸宽度(mm);
b 0 ——箱形截面壁板间的净距离(mm);
t f ——字形截面的翼缘厚度(mm);
t——箱形截面的壁板厚度(mm)。
3 当梁抗弯强度计算取γ x =1.05时,工字形截面b/t f 宜减小至13ε k ,箱形截面b 0 /t宜减小至42ε k 。
条文说明
6.3.1 工字形截面梁采用Q500及其以上等级的高强度钢材,计算梁抗弯强度时取γx=1.0,为弹性设计,b/t≤15εk。采用Q460、Q460GJ钢材,计算梁抗弯强度时取γx=1.05,考虑截面塑性发展,b/t≤13εk。
箱形截面梁采用Q500及其以上等级的高强度钢材,计算梁抗弯强度时取γx=1.0,为弹性设计,b/t≤46εk。采用Q460、Q460GJ钢材,计算梁抗弯强度时取γx=1.05,考虑截面塑性发展,b/t≤42εk。
6.3.2 采用高强钢的板件不应考虑其屈曲后强度。承受静力荷载和间接承受动力荷载的焊接截面梁,当h 0 /t w >80ε k 时,焊接截面梁应按现行国家标准《钢结构设计标准》GB 50017的规定计算腹板的稳定性,其中h 0 和t w 分别为梁腹板的计算高度和厚度。轻、中级工作制吊车梁计算腹板的稳定性时,吊车轮压设计值可乘以折减系数0.9。
6.3.3 对于焊接截面梁,应按下列规定配置加劲肋:
1 当h 0 /t w ≤80ε k 时,对有局部压应力的梁,应按构造配置横向加劲肋;当局部压应力较小时,可不配置加劲肋。
2 当h 0 /t w >80ε k 时,应配置横向加劲肋。其中,当h 0 /t w >170ε k (受压翼缘扭转受到约束,如连有刚性铺板、制动板或焊有钢轨时)或h 0 /t w >150ε k (受压翼缘扭转未受到约束时)时,应在弯曲应力较大区格的受压区增加配置纵向加劲肋。局部压应力很大的梁,宜在受压区配置短加劲肋。
3 h 0 /t w 不应超过250。
条文说明
6.3.3 欧洲钢结构规范规定Q460以上钢材不需配置加劲肋的高厚比限值为72εk。 美国钢结构规范规定不需配置横向加劲肋的高厚比限值为
。
澳大利亚钢结构规范规定此限值为
。
《钢结构设计标准》GB 50017-2017假定正则化长细比λs=0.8,τcr=fv,可得h0/tw≤76εk,放宽要求确定限值为80εk。
7 拉弯和压弯构件
7.1拉弯和压弯构件的强度
7 拉弯和压弯构件
7.1 拉弯和压弯构件的强度
7.1.1 弯矩作用在两个主平面内的拉弯构件和压弯构件,其截面强度应按下列规定计算:
1 圆形截面压弯构件:

式中:γ m ——圆形构件的截面塑性发展系数,Q460、Q460GJ钢材按现行国家标准《钢结构设计标准》GB 50017取值,其他牌号高强钢均取1.0;
A n ——构件的净截面面积(mm 2 );
W n ——构件的净截面模量(mm 3 ),按本标准6.1.1条的规定取值。
2 除圆形截面外的压弯构件:

式中:γ x 、γ y ——与截面模量相应的截面塑性发展系数,Q460、Q460GJ钢材按现行国家标准《钢结构设计标准》GB 50017取值,其他牌号高强钢均取1.0。
条文说明
7.1.1 已有的研究表明,随着钢材屈服强度的提高,屈强比增大而断后伸长率减小,延性变差。高强钢应力-应变曲线中的屈服平台长度缩短甚至消失,高强钢的应变强化效应不明显。高屈强比对于结构和构件的塑性设计是否有明显的不利影响还需要进行深入的研究。Q500及以上的钢材,无明显的屈服平台,故不建议利用其截面塑性发展。
7.2压弯构件的稳定性
7.2 压弯构件的稳定性
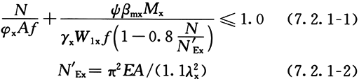
7.2.1 弯矩作用在对称轴平面内的实腹式压弯构件,x轴为对称轴,其弯矩作用平面内的稳定性应符合下列规定:
1 弯矩作用平面内的稳定性应按下列公式计算:

式中:N——所计算构件范围内轴心压力设计值(N);
φ x ——弯矩作用平面内轴心受压构件稳定系数;
M x ——所计算构件段范围内的最大弯矩设计值(N·mm);
ψ——修正系数,当 
≥0.2时,取0.9; 
<0.2时, 
对于Q460和Q460GJ钢材,取1.0;
W 1x ——在弯矩作用平面内对受压最大纤维的毛截面模量(mm 3 );
β mx ——等效弯矩系数,应按现行国家标准《钢结构设计标准》GB 50017的规定取值。
2 对于单轴对称压弯构件,当弯矩作用在对称平面内且使翼缘受压时,除应按本标准式(7.2.1-1)计算外,尚应按下式计算:

式中:W 2x ——无翼缘端的毛截面模量(mm 3 )。
条文说明
7.2.1 本条沿用《钢结构设计标准》GB 50017-2017的相关公式形式,但对弯矩项引入修正系数ψ,以考虑弯矩作用较大且长细比较小的高强钢构件残余应力的有利影响。国内已开展了焊接箱形压弯构件、焊接H形绕弱轴弯曲压弯构件极限承载力的试验研究,并将焊接箱形压弯构件、焊接H形绕弱轴弯曲压弯构件的极限承载力分别与用《钢结构设计标准》GB 50017-2017压弯构件弯矩作用平面内稳定公式c曲线和b曲线的计算值进行了对比。研究结果表明,实验值均高于公式计算值20%以上。这是由于弯矩越大,残余应力影响越小,对短粗构件(λ≤50)在相当范围内还起到有利影响。残余应力对平面内稳定的影响可见图9。
美国ANSI/AISC 360-2010规范给出的计算压弯构件平面内稳定的相关公式为:

式中,对于截面回转半径为i、长细比λ=μl/i的轴心受压构件,其极限荷载:当
。受弯构件的极限弯矩Mux=Wpxfy。压弯构件在设计公式中的弯矩Mx需计及弯矩放大系数A0和P-δ效应。本条提出的修正系数取值参考了美国规范中的取值。
对于弯矩作用平面内稳定公式(7.2.1-1),《钢结构设计标准》GB 50017-2017、本标准、美国规范、国内相关研究的有限元计算、试验值对比如图10所示。

7.2.2 弯矩作用在对称轴平面内的实腹式压弯构件,其弯矩作用平面外的稳定性应按下式计算:

式中:φ y ——弯矩作用平面外轴心受压构件稳定系数;
φ b ——梁的整体稳定性系数,按本标准第6.2.2条确定;
M x ——所计算构件段范围内的最大弯矩设计值(N·mm);
η——截面影响系数,闭口截面η=0.7,其他截面η=1.0。
条文说明
7.2.2 对比各国规范,《钢结构设计标准》GB 50017-2017采用直线相关公式,偏于安全,对单轴对称截面的压弯构件,无论弹性或弹塑性的弯扭计算均较为复杂,经分析,若近似采用直线式来表达相关关系也是可行的。针对高强钢结构的弯矩作用平面外稳定公式建议沿用《钢结构设计标准》GB 50017-2017的直线相关公式,φy和φb采用针对高强钢的稳定系数。
7.2.3 弯矩绕虚轴作用的格构式压弯构件,其弯矩作用平面内的整体稳定性应按现行国家标准《钢结构设计标准》GB 50017的规定计算。
7.2.4 弯矩绕实轴作用的格构式压弯构件,其弯矩作用平面内和平面外的稳定性应按现行国家标准《钢结构设计标准》GB 50017的规定计算。
7.2.5 当柱段中没有很大横向力或集中弯矩时,双向压弯圆管的整体稳定应按现行国家标准《钢结构设计标准》GB 50017的规定计算。
7.2.6 弯矩作用在两个主平面内的双轴对称实腹式工字形和箱形截面的压弯构件,其稳定性应按下列公式计算:

式中:φ x 、φ y ——对强轴x-x和弱轴y-y的轴心受压构件整体稳定系数;
φ bx 、φ by ——考虑弯矩变化和荷载位置影响的受弯构件整体稳定系数;对闭合截面,取φ bx =φ by =1.0;
M x 、M y ——所计算构件段范围内对强轴和弱轴的最大弯矩设计值(N·mm);
W x 、W y ——对强轴和弱轴的毛截面模量(mm 3 );
β mx 、β my ——等效弯矩系数,应按本标准第7.2.1条弯矩作用平面内稳定计算的有关规定采用。
条文说明
7.2.6 《钢结构设计标准》GB 50017-2017弯矩作用在两个主平面内的双轴对称实腹式工字形和箱形截面的压弯构件稳定性采用的线性相关公式偏于安全,但可以使双向弯矩压弯构件的稳定计算与轴心受压构件、单向弯曲压弯构件以及双句弯曲构件的稳定计算相互衔接,因此本标准中建议沿用,但稳定系数采用针对高强钢的参数。
7.2.7 弯矩作用在两个主平面内的双肢格构式压弯构件,其稳定性应按现行国家标准《钢结构设计标准》GB 50017的规定计算。
7.2.8 计算格构式缀件时,应取构件的实际剪力和按本标准式(5.2.3)计算的剪力两者中的较大值进行计算。
7.2.9 用作减小压弯构件弯矩作用平面外计算长度的支撑,应将实腹式压弯构件的受压翼缘或格构式压弯构件的受压分肢视为轴心受压构件按现行国家标准《钢结构设计标准》GB 50017的规定计算各自的支撑力。
7.3压弯构件的局部稳定性
7.3 压弯构件的局部稳定性
7.3.1 压弯构件的腹板、翼缘宽厚比应符合下列规定:
1 H形截面腹板

2 H形截面翼缘

3 箱形截面壁板

4 T形截面腹板

5 圆管

式中:b——H形截面的翼缘外伸宽度(mm);
b 0 ——箱形截面壁板间的净距离(mm);
h 0 ——H形或T形截面的腹板计算高度(mm),对焊接H形或T形截面为腹板净高,对轧制H形或T形截面不应包括翼缘腹板过渡处圆弧段;
t f ——H形截面的翼缘厚度(mm);
t w ——H形或T形截面的腹板厚度(mm);
t——箱形或圆管截面壁板的厚度,T形截面的翼缘厚度(mm);
D——圆管截面的外径(mm);
σ max ——腹板计算高度边缘的最大压应力(N/mm 2 ),计算时不考虑构件的稳定系数和截面塑性发展系数。
σ min ——腹板计算高度另一边缘相应的应力(N/mm 2 ),压应力取正值,拉应力取负值。
条文说明
7.3.1 《钢结构设计标准》GB 50017-2017压弯构件面内失稳时截面受压较大处会出现塑性,这种现象与构件长细比无关。
参照《钢结构设计标准》GB 50017-2017,按S4级截面取值。
7.3.2 H形截面压弯构件的腹板高厚比或箱形截面压弯构件的壁板高厚比超过本标准第7.3.1条规定的限值时,其构件设计应符合下列规定:
1 应以有效截面代替实际截面按本条第2款计算构件的承载力。
1)H形或箱形截面腹板受压区的有效宽度应取为:

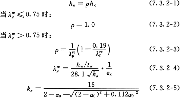
式中:h c 、h e ——分别为腹板受压区宽度和有效宽度,当腹板全部受压时,h c =h w ;
ρ——有效宽度系数,按本标准式(7.3.2-2)和式(7.3.2-3)计算。
2)H形或箱形截面腹板有效宽度h e 应按下列公式计算:
当截面全部受压,即α 0 ≤1时(图7.3.2a):

当部分截面受拉,即α 0 >1时(图7.3.2b):

3)箱形截面压弯构件翼缘宽厚比超限时也应按本标准式(7.3.2-1)计算其有效宽度,计算时取是k σ =4.0。有效宽度分布在两侧均等。
2 应采用下列公式计算其承载力:
强度计算:

平面内稳定计算:

平面外稳定计算:

式中:A ne 、A e ——分别为有效净截面面积和有效毛截面面积(mm 2 );
W nex ——有效截面的净截面模量(mm 3 );
W elx ——有效截面对较大受压纤维的毛截面模量(mm 3 );
e——有效截面形心至原截面形心的距离(mm)。
条文说明
7.3.2 本条参照《钢结构设计标准》GB 50017-2017的计算方法,使用有效截面面积与有效截面模量来计算柔薄截面(S4级截面)压弯构件的承载能力。
7.3.3 压弯构件的板件当用纵向加劲肋加强以满足宽厚比限值时,加劲肋宜在板件两侧成对配置,其一侧外伸宽度不应小于10t,厚度不宜小于0.75t,其中t为板件厚度。
8 连接和节点
8.1一般规定
8 连接和节点
8.1 一般规定
8.1.1 高强钢构件可采用焊缝连接和螺栓连接,连接和节点设计以及构造要求除应符合本章规定外,尚应符合现行国家标准《钢结构设计标准》GB 50017连接和节点的要求。
条文说明
8.1.1 连接设计和构造应与计算假设一致,应能传递所承受的作用效应,适应作用产生的变形。高强钢结构一般工作应力较大,连接部位变形对连接受力性能会有更大影响,在进行设计和构造时应考虑变形因素。
8.1.2 当采用螺栓连接时,高强钢构件应采用高强度螺栓摩擦型连接或承压型连接。
条文说明
8.1.2 考虑到高强钢一般用于结构重要性要求高的工程,对连接的承载力和变形应控制得更严格,不宜采用普通螺栓连接,本标准只推荐采用高强度螺栓连接。
8.2焊缝连接
8.2 焊缝连接
8.2.1 高强钢构件采用焊缝连接时,焊缝的坡口形式和焊缝连接的构造要求应符合现行国家标准《钢结构设计标准》GB 50017和《钢结构焊接规范》GB 50661的规定。
8.2.2 焊缝连接宜采用匹配的焊接材料,不同牌号的结构钢材焊接时,可采用与屈服强度低的母材相匹配的焊接材料。
8.2.3 焊缝强度计算应按现行国家标准《钢结构设计标准》GB 50017的规定进行。
8.2.4 采用角焊缝的搭接焊接接头中,当焊缝计算长度l w 超过60h f 时,焊缝的受剪承载力设计值应乘以折减系数α f ,α f 应由下式计算,焊缝计算长度l w 不宜超过150h f 。

条文说明
8.2.4 由于高强钢结构在焊缝连接处的工作应力较高,长焊缝连接变形会使焊缝内力分布更不均匀,研究发现钢材强度越高,焊缝的剪力分布不均匀性越大,所以建议焊缝的受剪承载力设计值折减系数与钢材屈服强度成反比,考虑超长焊缝折减过多,限制焊缝计算长度不超过150hf。
8.3高强度螺栓连接
8.3 高强度螺栓连接
8.3.1 高强度螺栓连接的构造要求应符合现行国家标准《钢结构设计标准》GB 50017的规定,并应符合下列规定:
1 高强度螺栓摩擦型连接在非抗震设计时宜采用标准孔,不宜采用标准大圆孔或槽孔,抗震设计时应采用标准孔或开孔方向与受力方向垂直的槽孔;高强度螺栓承压型连接应采用标准孔,螺栓排布和构造要求应符合现行国家标准《钢结构设计标准》GB 50017的规定;
2 不同厚度钢板和构件拼接时,宜采用单层填板调整。
条文说明
8.3.1 试验表明,当高强度螺栓连接处剪力较大,发生滑移后,如果螺栓孔过大,高强度螺栓承压型连接会产生较大变形,不宜采用大圆孔或长槽孔。
本条规定也是避免在连接处产生过大变形。
8.3.2 高强度螺栓连接计算应符合下列规定:
1 高强度螺栓摩擦型连接板件接触面的处理方法应在施工图中说明,抗滑移系数应按本标准表4.4.4-2采用;
2 高强度螺栓摩擦型连接受剪承载力计算应符合现行国家标准《钢结构设计标准》GB 50017的规定;大圆孔孔型系数取0.80,内力与槽孔长向垂直时取0.65;内力与槽孔长向平行时取0.60;
3 高强度螺栓承压型连接计算应符合现行国家标准《钢结构设计标准》GB 50017的规定,连接承压强度设计值应按本标准表4.4.4-1采用;
4 高强度螺栓摩擦型连接受剪承载力设计值不应大于对应的承压型连接承载力设计值。
条文说明
8.3.2 试验表明,由于高强钢的强度高,当采用相同的表面处理工艺时,表面粗糙程度会低于普通钢材,因此高强度螺栓摩擦型连接的抗滑移系数有所下降,需要提出更高的摩擦面处理要求,如Sa3除锈等级或电喷铝,以便保证高强钢的抗滑移系数不降低。
试验表明,如果高强钢结构的螺栓孔过大,高强度螺栓摩擦型连接会产生很大变形,采用大孔或长槽孔时受剪承载力降低幅度更大,采用的孔型系数也要小于常规钢结构的孔型折减系数。
8.3.3 在构件接头的一端,当螺栓沿轴向受力方向的连接长度l 1 (图8.3.3)大于15d时,应将螺栓的承载力设计值乘以折减系数α f ,α f 应按式下式计算:

式中:d 0 ——螺栓孔直径(mm)。

条文说明
8.3.3 由于高强钢结构在螺栓连接处的工作应力较高,长螺栓接头变形会使螺栓群内力分布更不均匀,研究发现钢材强度越高,螺栓的剪力分布不均匀性越大,所以建议螺栓长接头的受剪承载力设计值折减系数与钢材屈服强度成反比。
8.4销轴连接
8.4 销轴连接
8.4.1 耳板宜采用Q460及以上强度等级的结构钢材,销轴表面与耳板孔周表面宜进行机加工。
条文说明
8.4.1 销轴连接是高强钢结构的重要连接形式,本节规定引用了《钢结构设计标准》GB 50017-2017的相关规定。
8.4.2 销轴连接的构造应符合下列规定:
1 销轴孔中心应位于耳板的中心线上,其孔径与销轴直径相差不应大于1mm;
2 耳板两侧宽厚比不宜大于4;
3 销轴长度与直径之比不宜大于3。
8.4.3 连接耳板应按现行国家标准《钢结构设计标准》GB 50017的规定进行抗拉、抗剪强度计算。
8.4.4 销轴连接应按现行国家标准《钢结构设计标准》GB 50017的规定进行受剪、承压以及同时受弯受剪组合受力计算,采用Q460或Q460GJ钢材时应按现行国家标准《钢结构设计标准》GB 50017的规定计算销轴的抗弯强度,采用Q500及其以上等级钢材时应按下式计算销轴的抗弯强度:

式中:d——销轴直径;
f b ——销轴的抗弯强度设计值。
条文说明
8.4.4 考虑高强钢的伸长率下降,塑性变形发展能力弱,在计算圆柱销轴的抗弯强度时,塑性发展系数从1.5减少到1.3。
8.5框架连接节点
8.5 框架连接节点
8.5.1 高强钢结构进行整体计算时,宜考虑高强钢构件节点区变形的影响;当节点区有加强措施或其他明确依据时,也可不考虑。
条文说明
8.5.1 考虑高强钢结构在节点处的工作应力高,局部变形大,节点域剪切变形会对整体结构变形有更大的贡献,按杆系计算模型进行整体结构分析时需要考虑节点变形的影响。若计算模型未考虑节点变形,则在设计时应通过加大板厚、设置加劲肋等构造措施有效提高节点刚度。
8.5.2 梁柱节点区柱腹板加劲肋或隔板应符合下列规定:
1 柱腹板加劲肋或隔板的截面尺寸应经计算确定,其厚度不宜小于梁翼缘厚度;其宽度应符合传力、构造和板件宽厚比限值的要求,加劲肋的材料强度等级宜与梁翼缘相匹配。
2 柱腹板加劲肋或隔板应以全熔透对接焊缝与柱翼缘连接。当梁与H形截面柱弱轴方向刚接时,横向加劲肋与柱腹板的连接宜采用全熔透对接焊缝,焊接材料宜与加劲肋或隔板相匹配。
条文说明
8.5.2 目前对高强钢结构框架节点的研究不足,尚难以作出更详细和具体的规定。
8.5.3 梁柱节点域承载力设计值对应的弯矩值不应小于被连接构件受弯承载力设计值的50%。
条文说明
8.5.3 高强钢结构的节点承载力不宜过低,本条要求梁柱节点域在按内力计算时对最低承载力作出限制。
附录A轴心受压构件的稳定系数φ
附录A 轴心受压构件的稳定系数φ
A.0.1 a类截面轴心受压构件的稳定系数应按表A.0.1取值。

A.0.2 b类截面轴心受压构件的稳定系数应按表A.0.2取值。

A.0.3 c类截面轴心受压构件的稳定系数应按表A.0.3取值。

A.0.4 d类截面轴心受压构件的稳定系数应按表A.0.4取值。

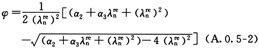
A.0.5 当构件的λ/ε k 值超出本标准表A.0.1~表A.0.4的范围时,φ值应按下列公式计算:


式中:α 1 、α 2 、α 3 ——系数,应根据本标准表5.2.2-1、表5.2.2-2的截面分类,按表A.0.5取值。

本标准用词说明
本标准用词说明
1 为便于在执行本标准条文时区别对待,对要求严格程度不同的用词说明如下:
1)表示很严格,非这样做不可的:
正面词采用“必须”,反面词采用“严禁”;
2)表示严格,在正常情况下均应这样做的:
正面词采用“应”,反面词采用“不应”或“不得”;
3)表示允许稍有选择,在条件许可时首先应这样做的:
正面词采用“宜”,反面词采用“不宜”;
4)表示有选择,在一定条件下可以这样做的,采用“可”。
2 条文中指明应按其他有关标准执行的写法为:“应符合……的规定”或“应按……执行”。
引用标准名录
引用标准名录
1 《建筑结构荷载规范》GB 50009
2 《建筑抗震设计规范》GB 50011
3 《钢结构设计标准》GB 50017
4 《冷弯薄壁型钢结构技术规范》GB 50018
5 《建筑结构可靠性设计统一标准》GB 50068
6 《工程结构设计基本术语标准》GB/T 50083
7 《工程结构设计通用符号标准》GB/T 50132
8 《工程结构可靠性设计统一标准》GB 50153
9 《钢结构工程施工质量验收标准》GB 50205
10 《钢结构焊接规范》GB 50661
11 《钢结构用高强度大六角头螺栓》GB/T 1228
12 《钢结构用高强度大六角螺母》GB/T 1229
13 《钢结构用高强度垫圈》GB/T 1230
14 《钢结构用高强度大六角头螺栓、大六角螺母、垫圈技术条件》GB/T 1231
15 《低合金高强度结构钢》GB/T 1591
16 《钢结构用扭剪型高强度螺栓连接副》GB/T 3632
17 《耐候结构钢》GB/T 4171
18 《热强钢焊条》GB/T 5118
19 《厚度方向性能钢板》GB/T 5313
20 《气体保护电弧焊用碳钢、低合金钢焊丝》GB/T 8110
21 《涂覆涂料前钢材表面处理 表面清洁度的目视评定 第1部分:未涂覆过的钢材表面和全面清除原有涂层后的钢材表面的锈蚀等级和处理等级》GB/T 8923.1
22 《埋弧焊用热强钢实心焊丝、药芯焊丝和焊丝-焊剂组合分类要求》GB/T 12470
23 《熔化焊用钢丝》GB/T 14957
24 《热强钢药芯焊丝》GB/T 17493
25 《建筑结构用钢板》GB/T 19879
