Appearance
《混凝土结构试验方法标准[附条文说明]》GB/T 50152-2012
🗓️ 住房和城乡建设部 实施时间:2012-08-01
前言
中华人民共和国国家标准
混凝土结构试验方法标准
Standard for test method of concrete structures
GB/T 50152-2012
主编部门:中华人民共和国住房和城乡建设部
批准部门:中华人民共和国住房和城乡建设部
施行日期:2 0 1 2 年 8 月 1 日
中华人民共和国住房和城乡建设部 公告
第1268号
关于发布国家标准《混凝土结构试验方法标准》的公告
现批准《混凝土结构试验方法标准》为国家标准,编号为GB/T 50152-2012,自2012年8月1日起实施。原《混凝土结构试验方法标准》GB 50152-92同时废止。
本标准由我部标准定额研究所组织中国建筑工业出版社出版发行。
中华人民共和国住房和城乡建设部
2012年1月21日
前言
本标准根据原建设部《关于印发<2007年工程建设标准规范制订、修订计划(第—批)>的通知》(建标[2007]125号)的要求,由中国建筑科学研究院会同有关单位,在原国家标准《混凝土结构试验方法标准》GB 50152-92的基础上进行修订而成。
本标准在修订过程中,总结和吸收了我国多年积累的成熟有效经验和科技成果,在广泛征求意见的基础上,最后经审查定稿。
本标准共分11章和2个附录,主要技术内容有:总则、术语和符号、基本规定、材料性能、试验加载、试验量测、实验室试验、预制构件试验,原位加载试验、结构监测与动力测试和试验安全等。
本次修订采用了较严密的材料性能试验方法;增加了预制构件产品试验、原位加载试验、结构监测等内容;纳入了近年普遍应用的新型设备、仪器和仪表。同时总结已有的试验资料和工程实践经验,增加了结构现场加载和量测的方法,补充完善了构件的承载力标志及相应的加载系数,使试验判断更具可执行性。
本标准由住房和城乡建设部负责管理,由中国建筑科学研究院负责具体技术内容的解释。执行过程中如有意见或建议,请寄送中国建筑科学研究院国家标准《混凝土结构试验方法标准》管理组(地址:北京市北三环东路30号;邮编:100013)。
本标准主编单位: 中国建筑科学研究院
中建国际建设有限公司
本标准参编单位: 国家建筑工程检测中心
清华大学
同济大学
重庆大学
中冶集团建筑研究总院
铁道科学研究院
北京工业大学
华侨大学
本标准主要起草人员: 南建林 田春雨 徐有邻 刘刚 顾祥林 张川 郭子雄 闫维明 聂建国 刘小弟 王永焕 牛斌 张彬彬 段向胜 陈烈 刘梅 沙安 翟斌
本标准主要审查人员: 陈肇元 周炳章 康谷贻 李晓明 邸小坛 林松涛 陶梦兰 刘立新 郑文忠 薛伟辰 潘毅
条文说明
中华人民共和国国家标准
混凝土结构试验方法标准
GB/T50152-2012
条文说明
修订说明 《混凝土结构试验方法标准》GB/T50152-2012经住房和城乡建设部2012年1月21日以第1268号公告批准、发布。 本标准是在《混凝土结构试验方法标准》GB50152-92的基础上修订而成的,上—版的主编单位是中国建筑科学研究院。 本标准修订过程中,修订组进行了广泛的调查研究,总结了我国科研、工程设计、施工、检验检测等领域的实践经验,同时参考了国外的先进科研成果和试验技术,许多单位和学者进行了卓有成效的试验和研究,为本次修订提供了极有价值的参考资料。 为便于广大科研院校、设计、施工、检测等单位和有关人员在使用本标准时能正确理解和执行条文规定,《混凝土结构试验方法标准》修订组按章、节、条顺序编制了本标准的条文说明。对条文规定的目的、依据以及执行中需要注意的有关事项进行了说明。但是条文说明不具备与标准正文同等的效力,仅供使用者作为理解和把握标准规定的参考。
1 总则
1 总 则
1.0.1 为确保混凝土结构试验的质量,研究和正确评价混凝土结构和构件的性能,统一混凝土结构的试验方法,制定本标准。
条文说明
1.0.1混凝土结构是我国主要的建筑结构形式,近年来随着科学研究和工程实践的发展,混凝土结构试验技术也取得了长足的进步。为适应新试验技术、新试验方法的变化,满足当前混凝土结构科学研究和工程应用的需要,制定本标准。
1.0.2 本标准适用于房屋和一般构筑物的钢筋混凝土结构、预应力混凝土结构的试验,包括:实验室试验、预制构件试验、结构原位加载试验、结构监测及动力特性测试。有特殊要求的试验,处于高温、负温、侵蚀性介质等环境条件下的结构试验,以及混凝土结构构件其他类型的试验,应符合国家现行相关标准的规定或专门的试验要求。
条文说明
1.0.2原标准主要适用于实验室试验,本次修订后标准的覆盖范围有了较大的扩展。
1.0.3 混凝土结构试验除应符合本标准的规定外,尚应符合国家现行相关标准的规定。
条文说明
1.0.3本标准编制所依据的主要规范以及应协调、配套使用的规范、标准主要包括:《建筑结构荷载规范》GB50009、《混凝土结构设计规范》GB50010、《混凝土结构工程施工规范》GB50666、《混凝土结构工程施工质量验收规范》GB50204、《建筑结构检测技术标准》GB/T50344等。
2 术语和符号
2.1 术语
2 术语和符号
条文说明
本标准的术语是根据现行国家标准《工程结构设计基本术语和通用符号》GBJ132、《建筑结构设计术语和符号标准》GB/T50083等结合具体情况给出的。 本次修订对试验内容进行了补充和调整,根据试验特点和试验场所将试验分为:实验室试验、预制构件试验、原位加载试验和结构监测。 实验室试验多采用缩尺模型,研究内容和方法非常丰富,根据试验目的不同可分为探索性试验或验证性试验。 预制构件试验一般在预制厂进行,主要为生产服务,对象为预制构件产品,针对性很强,根据试验目的和要求的不同可分为型式检验、首件检验和合格性检验,均属于验证性试验。 原位加载试验在既有结构的现场进行。结构监测包括施工阶段和使用阶段的监测,也包括针对大跨、超高等复杂结构进行的动力特性测试。两类试验均属于验证性试验。 试验计算值、使用状态试验荷载值、承载力试验荷载值、试验加载值、试验标志以及检验系数等概念属于本标准特有的术语或具有特别含义的用词,在术语中单独列出以便于理解和应用。 术语中提及的计算应采用材料实测值或根据实测值推算得到的性能参数,而不应采用设计规范给出的材料标准值或设计值进行计算。
2.1 术 语
2.1.1 试件 specimen
结构试验的对象,试验时用于加载和量测的混凝土结构或构件。
2.1.2 探索性试验 exploratory test
为科学研究及开发新技术(材料、工艺、结构形式)等目的而进行的探讨结构性能和规律的试验。
2.1.3 验证性试验 verifying test
为证实科研假定和计算模型、核验新技术(材料、工艺、结构形式)的可靠性等目的而进行的试验。
2.1.4 实验室试验 laboratory test
在实验室条件下模拟结构或构件受力状态而进行的探索性试验或验证性试验。
2.1.5 预制构件试验 test of prefabricated members
为检验预制构件产品结构性能而进行的试验。
2.1.6 原位加载试验 field loading test
对既有工程结构现场进行加载和量测的试验。
2.1.7 结构监测 structural monitoring
对处于施工阶段或使用阶段的结构进行持续量测的试验。
2.1.8 动力性能测试 test for structural dynamic parameters
对结构的动力特性参数和动力荷载效应进行测试的试验。
2.1.9 等效加载 equivalent loading
模拟结构或构件的实际受力状态,使试件控制截面上主要内力相等或相近的加载方式。
2.1.10 加载模式 loading mode
试验荷载在试件上布置的形式,包括荷载类型、作用位置和加载方式等。
2.1.11 临界试验荷载值 critical load value of tests
试验中控制试件各个特定受力状态的荷载值,包括试件自重及加载设备重量。
2.1.12 使用状态试验荷载值 test load value for serviceability limit states
试验时对应于结构正常使用极限状态的荷载值,根据构件设计控制截面的内力计算值与试验加载模式经换算确定。
2.1.13 承载力状态荷载设计值 design load value for ultimate limited states
承载能力极限状态下,根据构件设计控制截面上的内力设计值与试验加载模式经换算确定的荷载值。
2.1.14 加载系数 coefficient of loading
承载力试验时,与不同承载力标志所对应的各临界试验荷载值相对于承载力状态荷载设计值的倍数。
2.1.15 承载力试验荷载值 test load value for load-bearing capacity
试验时对应于结构承载能力极限状态的荷载值,对验证性试验为承载力状态荷载设计值与加载系数、结构重要性系数的乘积。
2.1.16 试验加载值 additional test load value
试验时扣除试件自重及加载设备重量后实际对试件施加的荷载值。
2.1.17 试验标志 mark of inspection
试件达到确定的临界状态时观察到的试验现象或量测限值。
2.1.18 试验计算值 predicted value of tests
根据分析模型按材料实际指标计算确定的试件的试验预估值。
2.1.19 抗裂检验系数 coefficient of crack-resisting inspection
试件开裂检验荷载实测值与使用状态试验荷载值的比值。
2.1.20 承载力检验系数 coefficient of load-bearing inspection
试件承载力检验荷载实测值与承载力状态荷载设计值的比值。
2.2 符号
2.2 符 号
2.2.1 材料性能

2.2.2 作用和作用效应
G——试件自重;
W——加载设备重量;


2.2.3 计算系数及其他

3 基本规定
3 基本规定
3.0.1 混凝土结构试验前,应根据试验目的制定试验方案。试验方案宜包括下列内容:
1 试验目的:试验的背景及需要达到的目的;
2 试件方案:试验试件设计、预制构件试验中试件的选择、结构原位加载试验和结构监测中试件或试验区域的选取等;
3 加载方案:试件的支承及加载模式、荷载控制方法、荷载分级、加载限值、持荷时间、卸载程序等。对于结构监测应根据实际工程情况确定荷载作用的方式;
4 量测方案:确定试验所需的量测项目、测点布置、仪器选择、安装方式、量测精度、量程复核等;
5 判断准则:根据试验目的,确定试验达到不同临界状态时的试验标志,作为判断结构性能的标准;
6 安全措施:保证试验人员人身安全以及设备、仪表安全的措施。对结构进行原位加载试验和结构监测时,宜避免结构出现不可恢复的永久性损伤。
条文说明
3.0.1试验前应根据试验目的制定详细的试验方案,以指导试验顺利进行。本条列举了试验方案应包括的基本内容。试验方案是试验进行全过程的指导性文件,需经过审核后执行。 对预制构件产品的合格性检验,试件方案是样品的抽样检验方案。对结构原位加载试验、结构监测及动力特性测试,则需根据试验目的以及实际情况,选择整体结构、代表性区域或局部构件进行试验。 试验方案中还应包括安全措施,以保护试验人员和试验设备的安全。尤其在进行原位加载试验时,应采取必要的支撑和防护措施,防止结构发生意外破坏,造成设备损坏或试验人员的伤害。
3.0.2 试验记录应在试验现场完成,关键性数据宜实时进行分析判断。现场试验记录的数据、文字、图表应真实、清晰、完整,不得任意涂改。结构试验的原始记录应由记录人签名,并宜包括下列内容:
1 钢筋和混凝土材料力学性能的检测结果;
2 试验试件形状、尺寸的量测与外观质量的观察检查记录;
3 试验加载过程的现象观察描述;
4 试验过程中仪表测读数据记录及裂缝草图;
5 试件变形、开裂、裂缝宽度、屈服、承载力极限等临界状态的描述;
6 试件破坏过程及破坏形态的描述;
7 试验影像记录。
条文说明
3.0.2为真实反映试验情况,应在试验现场及时记录试验现象。而为准确掌握和控制试验状态,对力、位移等关键性数据宜实时进行采集、分析和判断。本条列举了结构试验的原始记录的主要内容。对实验室试验应基本满足上述要求,其他类型的试验,则可根据试验目的和具体条件适当简化。
3.0.3 试验记录的初步整理、分析宜包括下列内容:
1 荷载与位移或变形的关系曲线;
2 试件的变形或位移分布图;
3 试件的裂缝数量、裂缝宽度增长的表格或曲线;
4 试件的裂缝形态图及描述;
5 试件的破坏状态和性质;
6 对其他有关的试验参数的测读数据也应进行相应的整理和初步分析。
条文说明
3.0.3记录整理与试验现象的初步分析宜在试验后及时进行,这对于得出正确的试验结论十分重要,本条提出了对试验的原始记录进行初步整理、分析的要求。试验记录中试件的位移或变形指对试验过程起控制作用的挠度、伸缩、倾角等,试件的破坏性质应区分延性破坏或脆性破坏。
3.0.4 试验结束后应对试验结果进行下列分析:
1 试验现象描述应按照实测的加载过程,结合实测的钢筋、混凝土应变,对各级荷载作用下混凝土裂缝的产生和发展、钢筋受力、达到临界状态以及最终破坏的特征及形态等进行描述;
2 根据试验目的,应对试件的加载位移关系、加载应变关系等进行分析,求得试件开裂、屈服、极限承载力的荷载实测值及相应位移、延性指标等量值,并分析其他需要探讨和验证的内容;
3 对于探索性试验,应根据系列试件的试验结果,确定影响结构性能的主要参数,分析其受力机理及变化规律,结合已有的理论进行推导,引申出新的理论或经验公式,用以指导更深入的科学研究或工程实践;
4 对于验证性试验,应根据试件的试验结果和初步分析,对已有的结构理论、计算方法和构造措施进行复核和验证,并提出改进、完善的建议。
条文说明
3.0.4对试验结果进行深入分析是由试验实践上升到结构理论的关键步骤。除应对试验资料的深入分析、计算、归纳、总结以外,探索性试验和验证性试验还有不同的侧重,本条作了简要的说明。
3.0.5 试验报告应包括下列内容:
1 试验概况:试验背景、试验目的、构件名称、试验日期、试验单位、试验人员和记录编号等;
2 试验方案:试件设计、加载设备及加载方式、量测方案;
3 试验记录:记录加载程序、仪表读数、试验现象的数据、 文字、图像及视频资料;
4 结果分析:试验数据的整理,试验现象及受力机理的初步分析;
5 试验结论:根据试验及分析结果得出的判断及结论。
条文说明
3.0.5试验报告是试验过程的真实反映和试验成果的集中体现,应准确、清楚、全面地反映科研或工程背景、探讨目的、试验方案、详尽的试验过程和现象描述、量测结果等。报告应实事求是,并根据试验结果进行分析,得出试验结论。实验室试验的报告应基本满足上述要求,其他类型试验可根据实际情况作适当的简化。
3.0.6 试验报告应准确全面,并应符合下列规定:
1 试验报告应满足试验目的和试验方案的要求;
2 对于试验数据的数字修约应满足运算规则,计算精度应符合相应的要求;
3 试验报告中的图表应准确、清晰;
4 必要时还应进行试验参数与试验结果的误差分析。
条文说明
3.0.6本条提出了试验报告撰写和数据处理的要求。
3.0.7 试验记录及试验报告应分类整理,妥善存档保管。
条文说明
3.0.7试验的原始过程、数据记录和处理过程、试验报告等技术资料应完整保存,注释清楚,并分类存档。试验资料应可供长期查询、复核及追溯。
4 材料性能
4 材料性能
4.0.1 混凝土结构试验中用于计算和分析的有关材料性能的参数应通过实测确定。
条文说明
4.0.1由于混凝土结构试验研究的是结构或构件的实际性能,故应采用材料的实际性能参数进行计算和分析。材料的实际性能参数应通过材料试样的试验量测确定,并以此作为试验分析的依据。混凝土结构试验中,需测定实际性能参数的材料应包括钢筋和混凝土。钢板、钢筋焊接、机械连接、砂浆和结构胶等材料或部件的性能参数可根据相关标准或专门的规定确定。
4.0.2 实验室试验中试件的混凝土性能参数,当有可靠经验时可按下列方法确定:
1 同批浇筑试件的每一强度等级混凝土,应制作不少于6个立方体试块作为一组,并与试件同条件养护;试验周期较长时,宜适当增加试件组数;需要测定不同龄期混凝土强度或有其他特殊要求时,可根据试验需要适当增加试块的组数;
2 混凝土立方体抗压强度实测值应在每组立方体试块抗压强度实测值中,去掉最大值和最小值,取其余试块抗压强度实测值的平均值;
3 根据混凝土立方体抗压强度实测值
等性能参数,并作为计算分析的依据。

4 测定材料性能的混凝土试块试验方法应符合现行国家标准《普通混凝土力学性能试验方法标准》GB/T 50081的有关规定。
条文说明
4.0.2实践表明,混凝土立方体试块的抗压试验最简单,结果最稳定,且能够推导其他的性能参数。棱柱体试样及轴拉试样测定混凝土强度和弹性模量的试验比较复杂且试验离散性相对较大,本条规定可只进行混凝土立方体抗压强度试验,并直接采用成熟的公式推算材料的其他参数。 公式(4.0.2-1)~公式(4.0.2-3)建立了混凝土各种性能参数与立方体抗压强度的对应关系。这些关系是根据大量试验统计分析结果,按照《混凝土结构设计规范》GB50010条文说明有关内容确定的,计算式中将材料标准值替换为实测值。由于采用同条件试块,参数换算时不考虑试验试件与混凝土试块之间的修正以及变异系数的影响。 对于有特殊要求的情况,如轻骨料混凝土或其他特种混凝土,则需要通过材料试验测量实际的性能参数而不能采用上述公式直接推算。
4.0.3 试件的钢筋材料性能测试应符合下列规定:
1 钢筋试样应在制作试件的同批钢筋中抽取,每种规格的钢筋按有关标准取不少于2个试样;
2 应根据需要测定钢筋的屈服强度、极限强度、弹性模量和最大力下的总伸长率;
3 钢筋的材性实测值应取钢筋材性试样测试结果的平均值;
4 当试验有需要时,可测定钢筋的应力-应变曲线;
5 根据试验目的,还可进行冷弯、反复弯曲、冲击韧性及可焊性、机械连接性能等试验。
条文说明
4.0.3钢筋的性能参数测定应根据现行国家标准《钢筋混凝土用钢》GB1499、《金属材料拉伸试验第1部分:室内试验方法》GB/T228.1等方法进行。钢筋的断口伸长率受到局部颈缩的影响,并不反映钢筋真正的变形性能(延性),故伸长率指标应采用最大力下的总伸长率(均匀伸长率)。 考虑钢筋基圆面积率、截面尺寸偏差等的影响,钢筋实际的弹性模量与理论弹性模量之间存在差异,试验分析时宜通过称重等方法确定钢筋的实际截面,并采用钢筋弹性模量的实测值。
4.0.4 当需要进一步核实试件的材性参数时,可在试验完成后直接从试件受力较小的部位钻取混凝土芯样或截取钢筋试样,补充进行力学性能测试。
条文说明
4.0.4当试验前未能测定材料性能或者对测得的数据有怀疑时,可在试验后,从试件上受力较小且混凝土未开裂的区域钻取芯样,测定混凝土材料性能参数;从钢筋未屈服部位截取出钢筋试样,测定钢筋的材料性能参数。
4.0.5 进行结构原位加载试验及结构监测时,宜根据现行国家标准《建筑结构检测技术标准》GB/T 50344等规定的方法,对结构中的钢筋、混凝土材料性能进行检测、评估取值,并应符合下列规定:
1 当有条件时宜根据施工资料或已有的材料性能的试验资料,确定其性能参数;
2 结构实体材料的取样应有代表性;
3 材料样品的取样,应减少对既有结构的损伤;
4 混凝土材料实体强度宜根据不少于两种检测方法得到的结果,综合分析确定。
条文说明
4.0.5处于施工阶段且留有同条件养护试块的结构,混凝土实体强度由同条件养护试块确定,其他情况可采用钻芯强度及其他各种间接测强方法确定的推定强度。由于回弹法、超声法等间接测强的方法误差较大,宜采用多种方法进行检测,并根据其结果经综合分析,确定混凝土的实体强度。也可采用钻芯法等直接测强方法对间接测强的结果进行必要的修正。
4.0.6 当其他材料、部件及钢筋焊接、机械连接、预应力筋的锚夹具和连接器、植筋、浆锚接头等对试验结果有明显影响时,也应对其进行性能测试。
条文说明
4.0.6除钢筋、混凝土以外其他材料及部件的性能试验,按相关标准或专门规定执行。如钢筋焊接和机械连接试验分别按照《钢筋焊接接头试验方法标准》JGJ/T27和《钢筋机械连接技术规程》JGJ107进行,预应力筋的锚夹具、连接器试验按照《预应力筋用锚具、夹具和连接器》GB/T14370进行,植筋试验按照《混凝土结构后锚固技术规程》JGJ145进行。
5 试验加载
5.1 支承装置
5 试验加载
5.1 支承装置
5.1.1 试验试件的支承应满足下列要求:
1 支承装置应保证试验试件的边界约束条件和受力状态符合试验方案的计算简图;
2 支承试件的装置应有足够的刚度、承载力和稳定性;
3 试件的支承装置不应产生影响试件正常受力和测试精度的变形;
4 为保证支承面紧密接触,支承装置上下钢垫板宜预埋在试件或支墩内;也可采用砂浆或干砂将钢垫板与试件、支墩垫平。当试件承受较大支座反力时,应进行局部承压验算。
条文说明
5.1.1本条为对试验支承装置的原则性要求。设置试件的支承装置时,应使试件的受力状态符合试验方案的要求,避免因试验装置的刚度、承载力、稳定性不足而影响试验结果。同时支承装置在试验时的受力变形应不影响构件在加载过程的受力、变形。
5.1.2 简支受弯试件的支座应符合下列规定:
1 简支支座应仅提供垂直于跨度方向的竖向反力;
2 单跨试件和多跨连续试件的支座,除一端应为固定铰支座外,其他应为滚动铰支座(图5.1.2-1),铰支座的长度不宜小于试件在支承处的宽度;

3 固定铰支座应限制试件在跨度方向的位移,但不应限制试件在支座处的转动;滚动铰支座不应影响试件在跨度方向的变形和位移,以及在支座处的转动(图5.1.2-2);

4 各支座的轴线布置应符合计算简图的要求;当试件平面为矩形时,各支座的轴线应彼此平行,且垂直于试件的纵向轴线;各支座轴线间的距离应等于试件的试验跨度;
5 试件铰支座的长度不宜小于试件的宽度;上垫板的宽度宜与试件的设计支承宽度一致;垫板的厚宽比不宜小于1/6;钢滚轴直径宜按表5.1.2取用;

6 当无法满足上述理想简支条件时,应考虑支座处水平移动受阻引起的约束力或支座处转动受阻引起的约束弯矩等因素对试验的影响。
条文说明
5.1.2本条为对简支梁以及单向简支板等简支受弯试件支座的规定。试验中也可采用其他形式的支座构造,但应满足本条的要求。对无法满足理想简支条件时,一般情况下水平移动受阻会在加载之初引起水平推力,在加载后期引起水平拉力,而转动受阻会引起阻止正常受力变形的约束弯矩。
5.1.3 悬臂试件的支座应具有足够的承载力和刚度,并应满足对试件端部嵌固的要求。悬臂支座可采用图5.1.3所示的形式,上支座中心线和下支座中心线至梁端的距离宜分别为设计嵌固长度c的1/6和5/6,上、下支座的承载力和刚度应符合试验要求。

条文说明
5.1.3本条给出了悬臂试件嵌固端的支座形式,在受弯、受剪情况下支座应不产生水平力,不发生水平和竖向位移及转动,符合嵌固端支座受力状态的要求。试验也可采用其他构造形式的支座,但应满足上述要求。
5.1.4 四角简支及四边简支双向板试件的支座宜采用图5.1.4所示的形式,其他支承形式双向板试件的简支支座可按图5.1.4的原则设置。

条文说明
5.1.4本条给出了常用的两种简支双向板支座形式,支座只提供向上的竖向反力而无水平力和弯矩,允许有水平方向的位移和转动,但应保证不发生水平滑脱。其他支承形式的简支双向板,支座形式可参考图5.1.4的方式进行布置。支座应具有足够的承载力和刚度,钢球、滚轴及角钢与试件之间应设置垫板。
5.1.5 受压试件的端支座应符合下列规定:
1 支座对试件只提供沿试件轴向的反力,无水平反力,也不应发生水平位移;试件端部能够自由转动,无约束弯矩;
2 受压试件支座可采用图5.1.5-1和图5.1.5-2所示的形式;轴心受压和双向偏心受压试件两端宜设置球形支座,单向偏心受压试件两端宜设置沿偏压方向的刀口支座,也可采用球形支座,刀口支座和球形支座中心应与加载点重合;

3 对于刀口支座,刀口的长度不应小于试件截面的宽度;安装时上下刀口应在同一平面内,刀口的中心线应垂直于试件发生纵向弯曲的平面,并应与试验机或荷载架的中心线重合;刀口中心线与试件截面形心间的距离应取为加载设定的偏心矩;
4 对于球形支座,轴心加载时支座中心正对试件截面形心;偏心加载时支座中心与试件截面形心间的距离应取为加载设定的偏心矩;当在压力试验机上作单向偏心受压试验时,若试验机的上、下压板之一布置球铰时,另一端也可以设置刀口支座;
5 如在试件端部进行加载,应进行局部承压验算,必要时应设置柱头保护钢套或对柱端进行局部加强,但不应改变柱头的受力状态(图5.1.5-3)。

条文说明
5.1.5受压试件端支座的构造要求体现在下列3个方面: 1在试件的竖向受力方向,支座提供轴向力并可随试件变形产生竖向位移; 2水平方向不产生水平位移,也无水平力; 3支座不约束试件端部的自由转动,无约束弯矩。 为此,受压试件的端支座应采用球形支座和刀口支座,并根据受力状态进行布置。为避免试件端部局压破坏影响整体试验结果,本条还提出了对试件端部进行加强的构造措施。
5.1.6 当对试件进行扭转加载试验时,试件支座的转动平面应彼此平行,并均应垂直于试件的扭转轴线。纯扭试验支座不应约束试件的轴向变形;针对自由扭转、约束扭转、弯剪扭复合受力的试验,应根据实际受力情况对支座作专门的设计。
条文说明
5.1.6由于实际结构中受纯扭的构件很少,受扭试件试验时的实际受力工况往往比较复杂,难以对支座作统一的规定。应根据试验所模拟的具体受力状态,对支座进行设计。
5.1.7 当进行开口薄壁受弯试件的加载试验时,应设置专门的薄壁试件定形架或卡具(图5.1.7),以固定截面形状,避免加载引起试件扭曲失稳破坏。

条文说明
5.1.7在进行V形折板等开口薄壁试件的受弯、受剪承载力试验时,容易发生试件的屈曲失稳或局部破坏,为此应在支座或跨中设置定形架或卡具,保持截面形状,避免屈曲失稳。对于专门考察稳定性能的开口薄壁试件,则应按照实际情况设置支座。
5.1.8 侧向稳定性较差的屋架、桁架、薄腹梁等受弯试件进行加载试验时,应根据试件的实际情况设置平面外支撑或加强顶部的侧向刚度,保持试件的侧向稳定。平面外支撑及顶部的侧向加强设施的刚度和承载力应符合试验要求,且不应影响试件在平面内的正常受力和变形。不单独设置平面外支撑时,也可采用构件拼装组合的形式进行加载试验(图5.1.8)。

条文说明
5.1.8薄腹试件平面外刚度较小,加载时容易侧向丧失稳定,发生侧弯,甚至翻倒,故应布置可靠的侧向支撑。侧向支撑的设置一般可利用现有结构、反力墙或在两侧设置撑杆或者三脚架,也可拼装组合成稳定的结构组件后进行加载试验。
5.1.9 重型受弯构件进行足尺试验时,可采用水平相背放置的两榀试件,两端用拉杆连接互为支座,采用对顶加载的方式进行试验(图5.1.9)。试件应水平卧放,构件下部应设置滚轴,保证试件在受力平面内的自由变形,拉杆的承载力和抗拉刚度应进行验算,并应符合试验要求。

条文说明
5.1.9吊车梁等重型结构构件所受的荷载和构件尺寸很大,一般试验机的加载能力已难以满足要求,故可以采用两榀试件互为支座的对顶加载方式。但拉杆的刚度和承载力应满足试验要求,且平卧的加载试件下应设置滚轴以减少摩擦,使试件能够自由变形。
5.1.10 试验时试件支座下的支墩和地基应符合下列规定:
1 支墩和地基在试验最大荷载作用下的总压缩变形不应超过试件挠度值的1/10;
2 连续梁、四角支承和四边支承双向板等试件需要两个以上的支墩时,各支墩的刚度应相同;
3 单向试件两个铰支座的高差应符合支座设计的要求,其允许偏差为试件跨度的1/200;双向板试件支墩在两个跨度方向的高差和偏差均应满足上述要求;
4 多跨连续试件各中间支墩宜采用可调式支墩,并宜安装力值量测仪表,根据支座反力的要求调节支墩的高度。
条文说明
5.1.10本条针对简支和连续受弯试件的受力状态,规定了对支墩和地基的要求。主要保证试件的水平状态并防止过大的支座沉降影响试验结果。对于其他受力条件复杂的试件,其支墩根据试验的要求确定。
5.2 加载方式
5.2 加载方式
5.2.1 实验室试验加载所使用的各种试验机应符合本标准第5.2.2条规定的精度要求,并应定期检验校准、有处于有效期内的合格证书;非实验室条件进行的预制构件试验、原位加载试验等受场地、条件限制时,可采用满足试验要求的其他加载方式,加载量值的允许误差为±5%。
条文说明
5.2.1对实验室试验的各种试验机、千斤顶等加载设备提出精度和定期检验合格证的要求,有利于保证试验结果的准确性。对结构现场的原位加载等试验,受各种客观因素的影响,要求加载设备具有很高的精度并进行定期校准往往存在较大困难,故允许适当放宽要求。根据工程经验和常规的误差要求,加载精度确定为±5%。
5.2.2 实验室加载用试验设备的精度、误差应符合下列规定:
1 万能试验机、拉力试验机、压力试验机的精度不应低于1级;
2 电液伺服结构试验系统的荷载量测允许误差为量程的±1.5%。
条文说明
5.2.2本条对实验室加载最常用的试验机提出了精度和误差要求,实验室可根据本身条件及试验要求采用更高精度的加载设备。
5.2.3 采用千斤顶进行加载时,宜采用本标准第6.2.1条规定的力值量测仪表直接测定加载量值。对非实验室条件进行的试验,也可采用油压表测定千斤顶的加载量。油压表的精度不应低于1.5级,并应与千斤顶配套进行标定,绘制标定的油压表读值-荷载曲线,曲线的重复性允许误差为±5.0%。同一油泵带动的各个千斤顶,其相对高差不应大于5m。
条文说明
5.2.3千斤顶是最常用的加载设备之一,对实验室试验千斤顶只作为加载设备,加载量值由压力传感器直接测定。对预制构件试验和原位加载试验,如不便采用压力传感器,允许通过油压表读数计算千斤顶的加载量,但精度较低,本条提出了保证量测力值精度的措施。
5.2.4 对需在多处加载的试验,可采用分配梁系统进行多点加载(图5.2.4)。采用分配梁进行试验加载时,分配比例不宜大于4:1;分配级数不应大于3级;加载点不应多于8点。分配梁的刚度应满足试验要求,其支座应采用单跨简支支座。

条文说明
5.2.4试验可采用分配梁进行多点加载,但一般不应超过三级,否则难以保证试验装置的精度和稳定性。分配梁应具有足够的刚度,避免发生过大的变形而影响力的分配、分配梁支座的稳定以及试件的变形。
5.2.5 当通过滑轮组、捯链等机械装置悬挂重物或依托地锚进行集中力加载时(图5.2.5),宜采用拉力传感器直接测定加载量,拉力传感器宜串联在靠近试件一端的拉索中;当悬挂重物加载时,也可通过称量加载物的重量控制加载值。

条文说明
5.2.5现场进行的预制构件试验和原位加载试验可采用悬挂重物、捯链-地锚等方式进行加载。荷载值宜采用荷载传感器直接测定,对于原位加载试验,受条件限制或为简化荷载量测,也可采用称重的方法,但总荷载值应考虑试件自重及加载装置的重量。
5.2.6 长期荷载宜采用杠杆-重物的方式对试件进行持续集中力加载(图5.2.6)。杠杆、拉杆、地锚、吊索、承载盘的承载力、刚度和稳定性应符合试验要求;杠杆的三个支点应明确,并应在同一直线上,加载放大的比例不宜大于5倍。

条文说明
5.2.6长期荷载采用杠杆集中力加载的优点是加载装置简单、荷载值稳定,且不受徐变变形等因素的影响。通过杠杆的方式可以减少加载所需重物的数量,如加载量不大,也可采用重物直接加载。
5.2.7 墙板试件上端长度方向的均布线荷载,宜采用横梁将集中力分散,加载横梁应与试件紧密接触。当需要分段施加不同的线荷载时,横梁应分段设置。
条文说明
5.2.7为模拟墙体试件上端的受力状态,一般采用加载横梁将集中力转化成均布荷载。横梁应有较大的承载力和刚度,加载横梁和试件顶面之间宜采用水泥砂浆或干砂垫层,保证其接触紧密,否则易因竖向加载不均匀而在试件顶部产生竖向裂缝。当混凝土的强度较高时,也可以在试件顶部设计承载力和刚度较大的横梁,并与试件浇筑成一体。
5.2.8 同时进行竖向和侧向水平加载的试件,当发生水平侧向位移时,施加竖向荷载的千斤顶应采用水平滑动装置保证作用位置不变(图5.2.8)。

条文说明
5.2.8剪力墙试件同时承受竖向和水平荷载,为避免水平位移对竖向加载装置和加载值的影响,竖向千斤顶与加载横梁之间可设置滑动装置。滑动装置应有足够的受压承载力,并应尽量减少摩擦。
5.2.9 集中力加载作用处的试件表面应设置钢垫板,钢垫板的面积及厚度应由垫板刚度及混凝土局部受压承载力验算确定。钢垫板宜预埋在试件内,也可采用砂浆或干砂垫平,保持试件稳定支承及均匀受力。

条文说明
5.2.9集中荷载作用处的混凝土存在局部承压问题,故支座及加载点应采取预埋或后置钢板的构造措施。垫板的作用是垫稳试件并将集中力分散。采用砂浆找平,目的是保持试件支承的稳定性和试件均匀受力。
5.2.10 当采用重物进行加载时,应符合下列规定:
1 加载物应重量均匀一致,形状规则;
2 不宜采用有吸水性的加载物;
3 铁块、混凝土块、砖块等加载物重量应满足加载分级的要求,单块重量不宜大于250N;
4 试验前应对加载物称重,求得其平均重量;
5 加载物应分堆码放,沿单向或双向受力试件跨度方向的堆积长度宜为1m左右,且不应大于试件跨度的1/6-1/4;
6 堆与堆之间宜预留不小于50mm的间隙,避免试件变形后形成拱作用(图5.2.10)。

条文说明
5.2.10预制板类构件试验及结构现场原位试验常采用重物直接加载的形式,本条对重物加载提出了有关要求。在单块加载物重量均匀的前提下,可方便地通过加载物数量控制加载重量。如受试验条件限制,采用吸水性强的加载物时,应有防止含水率变化的措施,并应在试验后抽检复核加载量是否有变化。要求加载物形状规则,主要是为便于堆积码放。分堆码放重物之间的空隙不宜过小,这是因为试件在加载后期弯曲变形较大,重物之间留有足够空隙可避免其互相接触形成拱作用卸载。
5.2.11 当采用散体材料进行均布加载时,应满足下列要求:
1 散体材料可装袋称量后计数加载,也可在构件上表面加载区域周围设置侧向围挡,逐级称量加载并均匀摊平(图5.2.11);
2 加载时应避免加载散体外漏。

条文说明
5.2.11 散体加载主要用于现场进行板类试件或者楼盖的原位加载试验。散体材料多为就地取用的砂或碎石,本条列出了对散体加载方式的要求。
5.2.12 当采用流体(水)进行均布加载时,应有水囊、围堰、隔水膜等有效防止渗漏的措施(图5.2.12)。加载可以用水的深度换算成荷载加以控制,也可通过流量计进行控制。

条文说明
5.2.12流体加载主要用于现场进行板类试件或者楼盖的原位加载试验。一般利用水作为加载物,加载的均匀度好,但应有效地控制加载量并防止渗漏。为保证荷载的均匀,液体底部水平度应予以保证;加载后期构件挠度较大时,宜考虑跨中与支座处液体深度不均匀的影响。
5.2.13 对密封容器进行内压加载试验时,可采用气压或水压进行均布加载(图5.2.13a);也可依托固定物利用气囊或水囊进行加载(图5.2.13b);气压加载还可以施加任意方向的压力。加载应满足下列要求:
1 气囊或水囊加压状态下不应泄漏;
2 气囊或水囊应有依托,侧边不宜伸出试件的外边缘;
3 气压计或液压表的精度不应低于1.0级。

条文说明
5.2.13气压(水压)加载一般用于密封容器的原位加载试验,如油库、水箱、气柜、安全壳等,也可用于普通构件的均布加载。本条提出了气压(水压)加载试验的一般要求,当采用水压加载时,应考虑水自重的影响。当容器密封性不满足试验要求时,可以设置气囊(水囊)以保持压力的稳定。
5.2.14 试验试件宜采用与其实际受力状态一致的正位加载。当需要采用卧位、反位或其他异位加载方式时,应防止试件在就位过程中产生裂缝、不可恢复的挠曲或其他附加变形,并应考虑试件自重作用方向与其实际受力状态不一致的影响。
条文说明
5.2.14试件一般应正位加载,不具备正位加载的条件时,可采用卧位、反位等异位加载方式,但应考虑因此而引起的与正常受力状态差异的影响。如预应力构件采用反位试验时,很可能由于预应力与自重作用的叠加在预拉区域产生裂缝。
5.2.15 试件的加载布置应符合计算简图。当试验加载条件受到限制时,也可采用等效加载的形式。等效加载应满足下列要求:
1 控制截面或部位上主要内力的数值相等;
2 其余截面或部位上主要内力和非主要内力的数值相近、内力图形相似;
3 内力等效对试验结果的影响可明确计算。
条文说明
5.2.15等效加载是指用局部加载模拟对结构或构件上的实际荷载效应,通常为用集中加载模拟均布加载。本条提出了等效加载的原则及注意事项,如受弯构件的均布加载试验采用等效集中力加载时,除应满足主要内力(弯矩)等效外,还应考虑次要内力(剪力等)相近。此外,计算挠度时需要考虑变形(挠度)差异的修正。
5.2.16 当采用集中力模拟均布荷载对简支受弯试件进行等效加载时,可按表5.2.16所示的方式进行加载。加载值P及挠度实测值的修正系数ψ应采用表中所列的数值。


条文说明
5.2.16本条通过表格列出了简支受弯试件等效加载的具体做法。其中挠度修正系数是指试件在均布荷载下跨中挠度与等效加载时试件跨中挠度的比值。
5.3 加载程序
5.3 加载程序
5.3.1 结构试验开始前应进行预加载,检验支座是否平稳,仪表及加载设备是否正常,并对仪表设备进行调零。预加载应控制试件在弹性范围内受力,不应产生裂缝及其他形式的加载残余值。
条文说明
5.3.1试验预加载的主要目的是检验试验装置及仪表、设备,并对其进行相应的调整。同时也对垫层等进行压实,消除试件与装置之间的空隙,使试件支垫平稳。
5.3.2 结构试验的加载程序应符合下列规定:
1 探索性试验的加载程序应根据试验目的及受力特点确定;
2 验证性试验宜分级进行加载,荷载分级应包括各级临界试验荷载值;
3 当以位移控制加载时,应首先确定试件的屈服位移值,再以屈服位移值的倍数控制加载等级。
条文说明
5.3.2对静力试验,应根据不同试验的目的确定加载程序。本条列举了探索性和验证性试验的不同加载原则,后者应对事先确定的各级临界试验荷载(挠度、裂缝、承载力等)加以检验。位移加载则以屈服位移值的倍数或分位值控制。 为便于加载控制和试验现象的观测,试验前应根据试验要求分别确定下列临界试验荷载值: 1)试件的挠度、裂缝宽度试验,应确定使用状态试验荷载值Qs(Fs); 2)试件的抗裂试验应确定开裂荷载计算值Qcr(Fcr); 3)试件的承载力试验应预估承载力试验荷载值,对验证性试验还应计算承载力状态荷载设计值Qd(Fd)。 1验证性试验中使用状态试验荷载值Qs(Fs)应根据试件设计控制截面在正常使用极限状态下的内力计算值和试验加载模式经换算确定。正常使用极限状态下的内力计算值应根据现行国家标准《建筑结构荷载规范》GB50009计算确定,对钢筋混凝土构件、预应力混凝土构件应分别采用荷载(效应)的准永久组合和标准组合;正常使用极限状态下的内力计算值也可由设计文件提供; 2试件的开裂荷载计算值Qcr(Fcr)应根据结构构件设计控制截面的开裂内力计算值和试验加载模式经换算确定。 1)验证性试验 正截面抗裂试验的开裂内力计算值应按下式计算: 
预应力构件采用均布加载或集中加载方式进行抗裂检验时,开裂荷载计算值Qcr、Fcr也可直接按下列公式进行计算: 

2)探索性试验 正截面抗裂试验的开裂内力计算值应按下列公式计算: 轴心受拉构件 
受弯构件 
偏心受拉和偏心受压构件 
3承载力试验荷载预估值应根据构件受力类型和本标准表7.3.3所列的承载力标志类型、设计控制截面相应的内力计算值
:和试验加载模式经换算确定。当可能出现多种承载力标志时,应按多个承载力试验荷载预估值依次进行加载试验。 验证性试验承载力状态荷载设计值Qd(Fd),应根据承载能力极限状态下试件设计控制截面的内力组合设计值Si和试验加载模式经换算确定。 试件达到承载能力极限状态时的内力计算值
。应按下列方法进行计算: 1)验证性试验 当按设计规范规定进行试验时,应按下式计算: 
当设计要求按实配钢筋的构件承载力进行试验时应按下式计算: 
2)探索性试验 试件出现第i类承载力标志对应的承载能力极限状态的内力计算值,应根据其受力特点、材料的实测强度、构件的实际配筋和实测几何参数按下式进行计算: 
5.3.3 验证性试验的分级加载原则应符合下列规定:
1 在达到使用状态试验荷载值Q s (F s )以前,每级加载值不宜大于0.20Q s (0.20F s );超过Q s (F s )以后,每级加载值不宜大于0.10Q s (0.10F s );
2 接近开裂荷载计算值 
时,每级加载值不宜大于0.05Q s (0.05F s );试件开裂后每级加载值可取0.10Q s (0.10F s );
3 加载到承载能力极限状态的试验阶段时,每级加载值不应大于承载力状态荷载设计值Q d (F d )的0.05倍。
条文说明
5.3.3分级加载是按正常使用极限状态、承载能力极限状态的顺序按预定的步距逐级进行加载。接近开裂荷载计算值时加密荷载步距以准确测得开裂荷载值,接近承载力试验荷载值时应加密荷载步距,以得到准确的承载力检验荷载实测值,并避免试件发生突然性的破坏。
5.3.4 验证性试验每级加载的持荷时间应符合下列规定:
1 每级荷载加载完成后的持荷时间不应少于5min~10min,且每级加载时间宜相等;
2 在使用状态试验荷载值Q s (F s )作用下,持荷时间不应少于15min;在开裂荷载计算值 
作用下,持荷时间不宜少于15min;如荷载达到开裂荷载计算值前已经出现裂缝,则在开裂荷载计算值下的持荷时间不应少于5min~10min;
3 跨度较大的屋架、桁架及薄腹梁等试件,当不再进行承载力试验时,使用状态试验荷载值Q s (F s )作用下的持荷时间不宜少于12h。
条文说明
5.3.4探索性试验的持荷时间由研究需要确定;为提高试验效率并反映混凝土强度提高后塑性减小的趋势,验证性试验的持荷时间较原标准缩短。对新型结构、跨度较大的屋架、桁架及薄腹梁等试件试验,一般不作承载力阶段的试验,而只检验使用状态。为了充分检验其弹塑性能并确保安全,在使用状态试验荷载下宜持荷12h。
5.3.5 分级加载试验时,试验荷载的实测值应按下列原则确定:
1 在持荷时间完成后出现试验标志时,取该级荷载值作为试验荷载实测值;
2 在加载过程中出现试验标志时,取前一级荷载值作为试验荷载实测值;
3 在持荷过程中出现试验标志时,取该级荷载和前一级荷载的平均值作为试验荷载实测值。
5.3.6 当采用缓慢平稳的持续加载方式时,取出现试验标志时所达到的最大荷载值作为试验荷载实测值。
条文说明
5.3.5、5.3.6为统一试验过程中荷载取值的方法,本条明确规定了试验荷载实测值的确定方法。该方法简单实用、概念明确。经多年实践检验,证明切实可行。
5.3.7 当要求获得试件的实际承载力和破坏形态时,在试件出现承载力标志后,宜进行后期加载。后期加载应加载到荷载减退、试件断裂、结构解体等破坏状态,探讨试件的承载力裕量、破坏形态及实际的抗倒塌性能。后期加载的荷载等级及持荷时间应根据具体情况确定,可适当增大加载间隔,缩短持荷时间,也可进行连续慢速加载直至试件破坏。
条文说明
5.3.7为探讨混凝土结构构件的延性和抗倒塌性能,宜进行后期加载,即在结构完成承载能力极限状态检验后继续加载,直至出现本标准第7.3.4条所述的各种承载力破坏现象。后期加载可根据试验目的进行,一般采用油压千斤顶或伺服助动器进行加载。宜按位移控制,缓慢持续加载直至试验结束。
5.3.8 对于需要研究试件恢复性能的试验,加载完成以后应按阶段分级卸载。卸载和量测应符合下列规定:
1 每级卸载值可取为承载力试验荷载值的20%,也可按各级临界试验荷载逐级卸载;
2 卸载时,宜在各级临界试验荷载下持荷并量测各试验参数的残余值,直至卸载完毕;
3 全部卸载完成以后,宜经过一定的时间后重新量测残余变形、残余裂缝形态及最大裂缝宽度等,以检验试件的恢复性能。恢复性能的量测时间,对于一般结构构件取为1h,对新型结构和跨度较大的试件取为12h,也可根据需要确定时间。
条文说明
5.3.8恢复性能是混凝土结构的重要性能,本条提出了加载试验后逐级卸载的规定,以及卸载后对恢复性能的检验内容。
5.3.9 试件的自重和作用在其上的加载设备的重量,应作为试验荷载的一部分,并经计算后从加载值中扣除。试件自重和加载设备的重量应经实测或计算取得,并根据加载模式进行换算,对验证性试验其数值不宜大于使用状态试验荷载值的20%。
条文说明
5.3.9试件及加载设备自重相对较大时,不可忽视其对试验结果的影响。通常应作为试件上的荷载考虑。加载设备重量不宜过大,以避免安装过程中试件产生较大的变形和应力,影响试验量测结果。
5.3.10 当试件承受多组荷载作用时,施加于试件不同部位上的各组荷载宜按同一个比例加载和卸载。当试验方案对各组荷载的加载制度有特别要求时,应按确定的试验方案进行加载。
条文说明
5.3.10静力试验时,试件上的各组荷载之间应保持固定的比例,同步进行加载和卸载。对于有特殊要求的结构,应根据实际受力特点或试验方案的特殊要求进行加载和卸载。如剪力墙的试验,一般应保持竖向荷载不变,水平荷载逐级增加。
6 试验量测
6.1 一般规定
6 试验量测
6.1 一般规定
6.1.1 结构试验的量测方案应符合下列原则:
1 应根据试验目的及探讨规律所需的参数,确定量测项目;
2 量测仪表布置的位置应有代表性,能够反映试件的结构性能;
3 应选择能够满足量测量程和精度要求的仪表及支架等附属设备;
4 除基本测点外,尚应布置一定数量的校核性测点;
5 在满足试验分析需要的条件下,宜简化量测方案,控制量测数量。
条文说明
6.1.1作用(加载控制等)和作用效应(应力、变形、位移等)的量测,是结构分析的定量依据,本条给出了试验量测方案应遵循的原则。 在制定试验方案时,宜预先对试件进行预估性的计算分析,根据分析结果确定最不利位置及关键部位,据此确定量测项目并布置测点。在满足量测要求的前提下,测点数量不宜过多,但为了避免偶然因素导致的仪表工作不正常或故障,应适当布置校核性测点以便于对数据的可靠性作出判断。
6.1.2 混凝土结构试验时,量测内容宜根据试验目的在下列项目中选择:
1 荷载:包括均布荷载、集中荷载或其他形式的荷载;
2 位移:试件的变形、挠度、转角或其他形式的位移;
3 裂缝:试件的开裂荷载、裂缝形态及裂缝宽度;
4 应变:混凝土及钢筋的应变;
5 根据试验需要确定的其他项目。
条文说明
6.1.2本条为一般混凝土结构试验所需测试的项目,应根据试验目的和具体情况从中选择,其中应变量测比较复杂,可根据具体情况决定取舍。
6.1.3 混凝土结构试验用的量测仪表,应符合有关精度等级的要求,并应定期检验校准、有处于有效期内的合格证书。人工读数的仪表应进行估读,读数应比所用量测仪表的最小分度值小一位。仪表的预估试验量程宜控制在量测仪表满量程的30%~80%范围之内。
条文说明
6.1.3对量测仪表的有效性要求,体现在仪表具备定期经检验校准的合格证,并处于计量有效期内。 本条提出了仪表量程的要求。预计量程过大则测量误差偏大;预计量程过小则试验过程中容易超出量程范围导致数据缺失或损坏仪表。因此,需要根据预计值选择合适的仪表量程。如果仪表在全量程范围内呈良好的线性,则预估量程也可低于满量程的30%。 仪表精度的选用既要注意满足量测要求,也要避免盲目追求高精度。
6.1.4 为及时记录试验数据并对量测结果进行初步整理,宜选用具有自动数据采集和初步整理功能的配套仪器、仪表系统。
条文说明
6.1.4近年来试验技术不断发展,具有自动量测、记录和初步整理功能的仪器、仪表大量出现。具备条件时,宜优先选择能够自动连续进行数据采集和初步整理的仪表系统。这有利于保证数据测读、处理的速度和精度,并有助于现场试验分析和判断。
6.1.5 结构静力试验采用人工测读时,应符合下列规定:
1 应按一定的时间间隔进行测读,全部测点读数时间应基本相同;
2 分级加载时,宜在持荷开始时预读,持荷结束时正式测读;
3 环境温度、湿度对量测结果有明显影响时,宜同时记录环境的温度和湿度。
条文说明
6.1.5由于混凝土构件的变形在一定程度上与持荷时间有关,因此多个仪表的同一次测读应做到基本同时。对于分级加载的静力试验,为反映持荷期间作用和作用效应可能发生的变化,宜在加到某级荷载后,先进行一次预测读,持荷结束后再进行正式测读。
6.2 力值量测
6.2 力值量测
6.2.1 结构试验中测量集中加载力值的仪表可选用荷载传感器、弹簧式测力仪等。各种力值量测仪表的测量应符合下列规定:
1 荷载传感器的精度不应低于C级;对于长期试验,精度不应低于B级;
荷载传感器仪表的最小分度值不宜大于被测力值总量的1.0%,示值允许误差为量程的1.0%;
2 弹簧式测力仪的最小分度值不应大于仪表量程的2.0%,示值允许误差为量程的1.5%;
3 当采用分配梁及其他加载设备进行加载时,宜通过荷载传感器直接量测施加于试件的力值,利用试验机读数或其他间接量测方法计算力值时,应计入加载设备的重量;
4 当采用悬挂重物加载时,可通过直接称量加载物的重量计算加载力值,并应计入承载盘的重量;称量加载物及承载盘重量的仪器允许误差为量程的±1.0%。
条文说明
6.2.1本条提出了对集中加载力值量测仪表的要求,除量测精度的要求外,还强调了试验中应重视采用分配梁、悬挂重物等方式加载时设备重量的影响。
6.2.2 均布加载时,应按下列规定确定施加在试件上的荷载:
1 重物加载时,以每堆加载物的数量乘以单重,再折算成区格内的均布加载值;称量加载物重量的衡器允许误差为量程的±1.0%;
2 散体装在容器内倾倒加载,称量容器内的散体重量,以加载次数计算重量,再折算成均布加载值;称量容器内散体重量的衡器允许误差为量程的±1.0%;
3 水加载以量测水的深度,再乘以水的重度计算均布加载值,或采用精度不低于1.0级的水表按水的流量计算加载量,再换算为荷载值;
4 气体加载以气压计量测加压气体的压力,均布加载量按气囊与试件表面实际接触的面积乘气压值计算确定;气压表的精度等级不应低于1.5级。
条文说明
6.2.2本条确定了均布加载时,各种加载形式加载值的计算方法。
6.3 位移及变形的量测
6.3 位移及变形的量测
6.3.1 位移量测的仪器、仪表可根据精度及数据采集的要求,选用电子位移计、百分表、千分表、水准仪、经纬仪、倾角仪、全站仪、激光测距仪、直尺等。
条文说明
6.3.1本条给出了常用的位移测量仪表。一般选用电子位移计、百分表、千分表、倾角仪等精度较高的仪表,原位加载试验或结构监测时也可根据试验要求,选用水准仪、经纬仪、全站仪、激光测距仪、直尺、挠度计、连通管等精度略低的仪器。除本条的建议以外,倾角、曲率、扭角等变形的量测,可以用基本仪表和各类转换元件,配以不同的附件及夹具,制作成曲率计、扭角计等各种适用的量测仪表。
6.3.2 试验中应根据试件变形量测的需要布置位移量测仪表,并由量测的位移值计算试件的挠度、转角等变形参数。试件位移量测应符合下列规定:
1 应在试件最大位移处及支座处布置测点;对宽度较大的试件,尚应在试件的两侧布置测点,并取量测结果的平均值作为该处的实测值;
2 对具有边肋的单向板,除应量测边肋挠度外,还宜量测板宽中央的最大挠度;
3 位移量测应采用仪表测读。对于试验后期变形较大的情况,可拆除仪表改用水准仪-标尺量测或采用拉线-直尺等方法进行量测(图6.3.2)。
4 对屋架、桁架挠度测点应布置在下弦杆跨中或最大挠度的节点位置上,需要时也可在上弦杆节点处布置测点;
5 对屋架、桁架和具有侧向推力的结构构件,还应在跨度方向的支座两端布置水平测点,量测结构在荷载作用下沿跨度方向的水平位移。
条文说明
6.3.2本条对构件的弯曲变形测量方法进行了说明。加载后期挠度过大时往往已超出量程,为继续量测并保护仪表安全,可以拆除仪表,改用拉线-直尺或者水准仪-标尺等方法量测结构或构件的竖向变形。此类方法也经常在结构原位加载试验变形-位移的量测中应用。 试件自重和加载设备重量产生的挠度值一般在开始试验量测时已经产生,所以实测值未包含这部分变形,故分析试件总挠度时需要通过计算考虑试件在自重和加载设备重量作用下的挠度计算值。
6.3.3 量测试件挠度曲线时,测点布置应符合下列要求:
1 受弯及偏心受压构件量测挠度曲线的测点应沿构件跨度方向布置,包括量测支座沉降和变形的测点在内,测点不应少于五点;对于跨度大于6m的构件,测点数量还宜适当增多;

2 对双向板、空间薄壳结构量测挠度曲线的测点应沿二个跨度或主曲率方向布置,且任一方向的测点数包括量测支座沉降和变形的测点在内不应少于五点;
3 屋架、桁架量测挠度曲线的测点应沿跨度方向各下弦节点处布置。
条文说明
6.3.3为给出真实反映受弯及偏心受压构件挠度曲线特点的数据,本条对量测仪表布置的位置、间距及数量提出了要求。
6.3.4 确定悬臂构件自由端的挠度实测值时,应消除支座转角和支座沉降的影响。
条文说明
6.3.4悬臂构件自由端在各级试验荷载作用下直接量测得到的挠度实测值,包括了支座转角和沉降的影响,故试验中应同步量测支座的变形并在数据处理时进行修正以消除其影响。
6.3.5 各种位移量测仪器、仪表的精度、误差应符合下列规定:
1 百分表、千分表和钢直尺的误差允许值应符合国家现行相关标准的规定;
2 水准仪和经纬仪的精度分别不应低于DS 3 和DJ 2 ;
3 位移传感器的准确度不应低于1.0级;位移传感器的指示仪表的最小分度值不宜大于所测总位移的1.0%,示值允许误差为量程的1.0%;
4 倾角仪的最小分度值不宜大于5″,电子倾角计的示值允许误差为量程的1.0%。
条文说明
6.3.5本条列出了部分常见位移量测仪器、仪表的精度及误差要求。根据现行国家标准《指示表》GB/T1219和《金属直尺》GB/T9056的规定,百分表、千分表和钢直尺的误差允许值应符合表1的规定。 
根据现行行业标准《水准仪检定规程》JJG425和《光学经纬仪检定规程》JJG414分别对水准仪和经纬仪的分级提出要求,其精度不应低于DS3和DJ2。
6.4 应变的量测
6.4 应变的量测
6.4.1 应变量测仪表应根据试验目的以及对试件混凝土和钢筋应变测量的要求进行选择。钢筋和混凝土的应变宜采用电阻应变计、振弦式应变计、光纤光栅应变计、引伸仪等进行量测。
条文说明
6.4.1本条中给出了常用的应变测量仪表,各种应变传感器需要配套相应的数据采集系统进行量测和记录。
6.4.2 当采用电阻应变计量测应变时,应有可靠的温度补偿措施。在温度变化较大的地方采用机械式应变仪量测应变时,应对温度影响进行修正。
条文说明
6.4.2为消除温度对量测结果的影响,电阻应变计可采用桥路补偿法,也可采用自补偿应变片等方法。
6.4.3 量测结构构件应变时,测点布置应符合下列要求:
1 对受弯构件应在弯矩最大的截面上沿截面高度布置测点,每个截面不宜少于2个(图6.4.3a);当需要量测沿截面高度的应变分布规律时,布置测点数不宜少于5个(图6.4.3b);

2 对轴心受力构件,应在构件量测截面两侧或四侧沿轴线方向相对布置测点,每个截面不应少于2个(图6.4.3c);
3 对偏心受力构件,量测截面上测点不应少于2个(图6.4.3c);如需量测截面应变分布规律时,测点布置应与受弯构件相同(图6.4.3b);
4 对于双向受弯构件,在构件截面边缘布置的测点不应少于4个(图6.4.3d);
5 对同时受剪力和弯矩作用的构件,当需要量测主应力大小和方向及剪应力时,应布置45°或60°的平面三向应变测点(图6.4.3e);
6 对受扭构件,应在构件量测截面的两长边方向的侧面对应部位上布置与扭转轴线成45°方向的测点(图6.4.3f);测点数量应根据研究目的确定。
条文说明
6.4.3本条给出了量测各种试件应变时测点布置的有关要求。
6.4.4 各种应变量测仪表的精度及其他性能应符合下列规定:
1 金属粘贴式电阻应变计或电阻片的技术等级不应低于C级,其应变计电阻、灵敏系数、蠕变和热输出等工作特性应符合相应等级的要求;量测混凝土应变的应变计或电阻片的长度不应小于50mm和4倍粗骨料粒径;
2 电阻应变仪的准确度不应低于1.0级,其示值误差、稳定度等技术指标应符合该级别的相应要求;
3 振弦式应变计的允许误差为量程的±1.5%;
4 光纤光栅应变计的允许误差为量程的±l.0%;
5 手持式引伸仪的准确度不应低于1级,分辨率不宜大于标距的0.5%,示值允许误差为量程的1.0%;
6 当采用千分表或位移传感器等位移计构成的装置测量应变时,其标距允许误差为±1.0%,最小分度值不宜大于被测总应变的1.0%,位移计的精度应符合本标准第6.3.5条的要求。
条文说明
6.4.4本条提出对各种应变量测仪表的精度及性能的要求。根据现行国家标准《金属粘贴式电阻应变计》GB/T13992规定,电阻应变计的单项工作特性分为A、B、C三个等级,根据现行国家行业标准《电阻应变仪检定规程》JJG623对应变仪各项技术指标的有关规定,电阻应变仪的准确度级别应不低于1.0级。
6.5 裂缝的量测
6.5 裂缝的量测
6.5.1 试件混凝土的开裂可采用下列方法进行判断:
1 直接观察法:在试件表面刷白,用放大镜或电子裂缝观测仪观察第一次出现的裂缝;
2 仪表动态判定法:当以重物加载时,荷载不变而量测位移变形的仪表读数持续增大;当以千斤顶加载时,在某变形下位移不变而荷载读数持续减小,则表明试件已经开裂;
3 挠度转折法:对大跨度试件,根据加载过程中试件的荷载-变形关系曲线转折判断开裂并确定开裂荷载;
4 应变量测判断法:在试件的最大主拉应力区,沿主拉应力方向连续布置应变计监测应变值的发展。当某应变计的应变增量有突变时,应取当时的荷载值作为开裂荷载实测值,且判断裂缝就出现在该应变计所跨的范围内。
条文说明
6.5.1对混凝土结构试验,尤其是抗裂性能检验,开裂判断是试验现象观测的重点。本条给出了判断试件混凝土开裂的各种方法。第1种方法最简单,适用于小型试件的试验;第2种方法也很有效,但须与直接观察配合;第3种方法适用于大跨度试件;第4种方法的成本较高,适用于对特定部位抗裂要求较高或难以直接观测开裂的特定部位,如对高腐蚀环境中的结构开裂的判断,也可用于结构监测。
6.5.2 裂缝出现以后应在试件上描绘裂缝的位置、分布、形态;记录裂缝宽度和对应的荷载值或荷载等级;并全过程观察记录裂缝形态和宽度的变化;绘制构件裂缝形态图;并判断裂缝的性质及类型。
条文说明
6.5.2本条提出对裂缝观察、量测的基本要求。裂缝形态图上一般应该包括:裂缝出现的顺序编号(宜以数字或字母标注)、每级荷载裂缝发展延伸的位置(可以在缝端标注荷载值,也可以标注荷载级别),并宜标出裂缝宽度测读的位置及宽度的数值。
6.5.3 裂缝宽度量测位置应按下列原则确定:
1 对梁、柱、墙等构件的受弯裂缝应在构件侧面受拉主筋处量测最大裂缝宽度;对上述构件的受剪裂缝应在构件侧面斜裂缝最宽处量测最大裂缝宽度;
2 板类构件可在板面或板底量测最大裂缝宽度;
3 其余试件应根据试验目的,量测预定区域的裂缝宽度。
条文说明
6.5.3本条规定了对不同构件观察、量测裂缝的位置,目的是为了更好地通过分析裂缝形态,反映试件的受力状态。
6.5.4 试件裂缝的宽度可选用刻度放大镜、电子裂缝观测仪、振弦式测缝计、裂缝宽度检验卡等仪表进行测量,量测仪表应符合下列规定:
1 刻度放大镜最小分度不宜大于0.05mm;
2 电子裂缝观察仪的测量精度不应低于0.02mm;
3 振弦式测缝计的量程不应大于50mm,分辨率不应大于量程的0.05%;
4 裂缝宽度检验卡最小分度值不应大于0.05mm。
条文说明
6.5.4本条中给出了常用的裂缝宽度测量仪表及精度要求;也可选用其他的仪表测量裂缝宽度,但量测精度应符合试验要求。裂缝宽度检验卡可以简便地量测裂缝宽度,但须经校准后使用。
6.5.5 对试验加载前已存在的裂缝,应进行量测和标志,初步分析裂缝的原因和性质,并跨裂缝作石膏标记。试验加载后,应对已存在裂缝的发展进行观测和记录,并通过对石膏标记上裂缝的量测,确定裂缝宽度的变化。
条文说明
6.5.5由于各种原因,试验试件往往在加载前就已具有裂缝。本条对试件既有裂缝的观测作出了规定,以区别加载后形成的受力裂缝。
6.6 试验结果的误差与统计分析
6.6 试验结果的误差与统计分析
6.6.1 对试验结果宜进行误差分析,试验直接量测数据的末位数字所代表的计量单位应与所用仪表的最小分度值相对应。
条文说明
6.6.1试验误差对试验结果的影响程度是不同的,如果试验误差对试验结果的精确性或正确性存在较明显的影响,应当进行试验结果的误差分析。通过误差分析可以判定试验结果的准确性和影响试验精度的主要方面,便于改进试验方案,提高试验质量。根据误差的性质和产生原因,可分为系统误差、偶然误差和过失误差。前两种误差可以根据误差分析采取针对性措施减少其影响;而过失误差由于无规律可循,应避免其产生。
6.6.2 一定数量的同类直接量测结果,统计特征值应按下列公式计算:
平均值

标准差

变异系数

条文说明
6.6.2对同一参数多次测量的误差可认为服从正态分布,统计特征值可以根据正态分布的规律计算。
6.6.3 直接量测参量x i 的结果误差,可取所用量测仪表的精度作为基本试验误差;对间接量测结果y的最大绝对误差△y、最大相对误差δ y 和标准差s y ,应按误差传递法则按下列公式进行分析:


条文说明
6.6.3本条按误差传递法则给出了分析间接量测结果最大绝对误差、最大相对误差和标准差的方法。
6.6.4 对试验中多次量测系列数据中与其余量测值有明显差异的可疑数据x i ,可按下式决定取舍:

条文说明
6.6.4对同一参量的多次量测结果中,个别数据明显异常,且不能对其作出合理解释,应当将其从试验数据中剔除。通常认为随机误差服从正态分布,本条按照数据分析中常用的肖维纳(Chauvenet)鉴别准则给出了异常数据取舍的标准。
6.6.5 对试验数据作回归分析时,宜采用最小二乘法拟合试验曲线,求出经验公式,并应进行相关性分析和方差分析,确定经验公式的误差范围。
7 实验室试验
7.1 一般规定
7 实验室试验
7.1 一般规定
7.1.1 实验室试验应按探索性试验或验证性试验,根据试验目的不同采取相应的试验方法。
条文说明
7.1.1根据试验目的的不同,实验室试验基本分为探索性试验和验证性试验两种类型。 探索性试验是为研究结构在不同作用下的内力、变形等效应,分析其受力机理,确定影响结构抗力的因素和参数,探讨其变化规律,为建立结构理论、计算模型或经验公式提供科学的试验依据。验证性试验是针对已有的结构理论、分析模型、计算方法、构造措施等进行限定目标的试验,通过试验验证并修改、调整相应的计算方法、设计参数、构造措施等,使其更加科学、合理、完善。 探索性试验一般侧重于基本理论,相应于本领域的基础研究;验证性试验一般已有理论模式或工程背景。两类试验由于目的不同,试验方式也存在一定差异。
7.1.2 实验室试验应包括下列内容:
1 试验方案设计;
2 试件的制作、养护和安装;
3 材料性能试验;
4 试验加载、量测及试验现象的观测及记录;
5 试验结果的整理及分析;
6 试验报告及结论。
条文说明
7.1.2本条为对实验室试验基本内容的要求,与预制构件试验、原位加载试验和结构监测相比,实验室试验需要专门设计和制作试件,不仅试验类型多样,而且涵盖的内容比较全面。
7.1.3 实验室试验应充分利用实验室的加载控制系统、量测和数据采集、分析系统等有利条件;当在室外进行试验时应采取必要的遮盖和屏蔽措施。
条文说明
7.1.3探索性和验证性试验有较复杂多样的研究目标和较精确的加载、量测要求,故应尽量选择在专门的结构实验室中进行。当受场地条件的限制而不得已在室外进行时,应满足本条所要求的基本试验条件。
7.1.4 实验室进行的探索性试验和验证性试验,钢筋的主要力学性能指标和混凝土的立方体抗压强度值与设计要求值的允许偏差宜为±10%。
条文说明
7.1.4探索性试验需要研究试件和试验参数对结构性能的影响及其变化规律,而这些规律往往与试件的材料强度有密切的相关性;验证性试验是针对特定的理论模式或工程背景,试件材料强度的准确模拟是得到正确结论的重要条件。因此,钢筋和混凝土作为主要的承载受力材料,虽然难免存在一定的离散性,但与设计要求不应偏差过大。钢筋有屈服强度、极限强度、弹性模量和最大力下的总伸长值等多种指标,本条所要求的主要力学性能指标是针对与试验目的和试验结果直接相关的指标。
7.2 试验方案
7.2 试验方案
7.2.1 探索性试验的试件设计宜符合下列原则:
1 试件的几何形状、结构尺寸、截面配筋数量、配筋形式以及构造措施等参数,宜具有代表性;
2 宜通过改变主要影响参数而形成系列试件,通过试验对比寻求该参数变化对结构性能影响的定量规律;
3 当影响参数较多时,可采用正交设计方法对试件的多个参数进行组合;
4 试件尺寸宜接近实际结构构件,减小尺寸效应的影响;
5 试件与试验装置之间的连接、支承方式应能合理、有效地模拟结构构件的受力状态。
条文说明
7.2.1本条规定了探索性试验中试件设计应符合的基本原则。探索性试验是为研究各参数对结构性能的影响的规律,往往需要分别改变不同参数的取值,以形成系列试件。参数较多时简单进行排列组合会导致试件数量增多,试验成本和工作量大幅增加,可采用正交设计等方法进行试件设计的优化。
7.2.2 验证性试验的试件设计宜符合下列原则:
1 试件的材料、几何形状、尺寸、配筋等参数的确定宜满足表7.2.2所示的结构模型与原型结构的相似关系;试件的配筋形式以及构造措施宜与原型结构相似;当表7.2.2所示的结构模型与原型结构的相似关系无法完全满足时,可按照等强度、等刚度的原则进行等效换算:
2 试件设计宜减小缩尺效应的影响,构造连接类的验证性试验宜采用足尺试件或大比例的模拟试件;
3 试件与加载设备、支承装置之间的连接方式及构造措施应能合理、有效地反映原型结构的边界约束条件。


条文说明
7.2.2本条规定了验证性试验中试件设计应符合的基本原则。静力试验中,质量密度的相似比即为试验模型与原型结构自重的相似比。一般材料难以满足质量密度相似比,可以通过在构件上增加均匀分布的配重或者施加集中力模拟自重的相似关系。
7.2.3 试件的材料宜采用与真实结构一致的钢筋和混凝土。缩尺模型中,当采用小直径的光圆钢筋模拟原结构中的大直径变形钢筋时,宜在光圆钢筋表面压痕,模拟变形钢筋的粘结作用。采用细石混凝土制作缩尺模型时,粗骨料的粒径不宜小于5mm。
条文说明
7.2.3本条为对试件钢筋与混凝土材料的要求。足尺试件的材料与原结构相同;小尺寸或者小比例试件中,为了模型制作与浇筑方便,一般采用小直径钢筋与细石混凝土,其材料性能与原型结构有所不同。本条提出了减小差别的措施,必要时还应对细石混凝土材料的弹性模量进行实测。
7.2.4 试件的支座、加载区域以及与加载设备连接的设计应留有余量,确保其在试验过程中的承载力及刚度。承受集中荷载的部位,应采取预埋钢筋网片或钢垫板等局部加强措施。内埋量测元件的布置应合理,并应采取有效的保护措施。
条文说明
7.2.4由于试验试件的材料强度、约束条件等存在一定的不确定性,试件的支座、加载区域、与加载设备的连接装置等在设计时应留有一定的安全余量,避免刚度不足或者在试件正常破坏前发生局部支承破坏,导致试验无法完成或者发生危险。如果装置是重复利用的,还要考虑其反复受力作用及反复安装拆卸过程对其性能的影响。
7.2.5 方案设计时宜采用数值模拟方法或简化计算方法,分析试件内力、变形分布变化的规律,为确定试件的几何尺寸及相似比、主要参数的影响、量测方案、试验设备的容量等提供依据。
条文说明
7.2.5为保证试验的目的性和针对性,试验前的理论分析非常重要。对于较复杂的试验试件,宜采用有限元分析等方法,计算试件的内力和变形,或进行受力全过程的分析。根据分析结果校核并指导试验方案的制定。
7.2.6 应根据试验目的计算下列荷载及变形参数:
1 试件自重及加载设备的重量;
2 试件在各种临界状态下相应的荷载及变形预估值,包括开裂荷载、屈服荷载、屈服变形、极限荷载及相应的变形等;
3 计算加载值应扣除试件自重及加载设备重量,加载设备的加载能力应留有余量。
条文说明
7.2.6为避免试验时盲目加载,应通过预先计算的结果(预估值)指导试验的加载程序,控制各种临界状态,并与实测的试验结果进行相互对比分析。考虑模型材料性能与设计要求可能存在的偏差,方案编制阶段计算上述指标时,钢筋、混凝土的材料性能参数可采用设计要求值,到正式试验前,应按照第4章中的规定取实测值进行修正。
7.2.7 实验室试验宜采用电子式的加载控制设备和数据采集系统,试验加载设备宜具有荷载控制和位移控制的能力,并可在试验过程中相互进行切换。
条文说明
7.2.7实验室试验对加载、量测及数据采集系统的技术要求应高于其他类型的试验。调查表明国内科研单位及高校的试验室大多具备电子式的加载控制和数据采集系统,为提高试验的精度,本条建议优先采用自动控制加载和自动进行量测的试验系统。根据试验加载制度要求,在不同试验阶段可能需要综合应用力值控制加载和位移控制加载两种方式,故加载设备宜具备试验过程中进行力-位移加载控制切换的能力。
7.2.8 试验加载制度应根据试验研究目的及实验室的具体条件确定。当需要通过试验研究结构屈服后的力学性能时,宜采用屈服前由力值控制加载、屈服后由位移控制加载的加载制度。
条文说明
7.2.8对于静力试验,试件在弹性阶段刚度较大,力增长较快,宜采用力值控制的加载制度;试件屈服后刚度降低,力值变化减小,位移增长较快,宜按照屈服位移的整倍数进行位移分级加载。试验后期也可采用连续、缓慢的加载方式。
7.2.9 对于验证性试验,可在一定条件下通过改变加载方式利用同一试件进行不同荷载工况下的多次试验。不同工况的试验应按照荷载效应由低到高的顺序进行。
条文说明
7.2.9对同一试件进行不同工况的验证性试验时,应先进行使用状态试验,再进行承载力试验,最后进行后期加载。
7.2.10 对需要研究结构恢复性能的试验,应按本标准第5.3.7条的规定进行分级卸载,并在卸载后对残余值进行量测。
条文说明
7.2.10恢复性能是混凝土结构的重要受力性能,一般结构宜进行承载受力后恢复性能试验。主要为分级卸载及全部卸载状态下残余量的量测。
7.2.11 实验室试验的量测方案应符合下列规定:
1 应按本标准第7.2.6条的要求分析试件内力、变形分布变化的规律,从而确定内力和变形的重点量测部位,并按第6.2节~第6.5节的要求布置传感器;
2 应在试件的对称位置布置一定数量的校核性量测点,并通过测量值的对比复核,确认测量数据的可靠性;
3 当试件加载至可能发生破坏阶段时,位移计、应变计的布置应兼顾试验量测数据的有效性和仪器仪表的安全。
条文说明
7.2.11实验室试验条件较好且对量测的精度有较高的要求,为准确掌握重点部位的内力和变形情况,应布置较多的力值、位移、应变及裂缝测点。利用试件的对称性布置校核性量测点,可保证测试数据的完整性和准确性,也可防止个别传感器失效导致的数据缺失。
7.3 试验过程及结果
7.3 试验过程及结果
7.3.1 试验开始前应进行下列准备工作:
1 试验前应测试同条件养护的混凝土试块以及钢筋试样的性能,并确定材料的性能参数;
2 应按实测的材料参数,事先计算各级临界试验荷载值及量测指标的预估值,作为试验分级加载和现象观测的依据;
3 根据试验方案安装试件、加载设备和量测仪器、仪表;对试件进行预加载,并对测试设备进行调试;
4 将试件表面刷白并绘制方格,标示各个侧面所在的方位,并有利于在试验过程中观察、描绘裂缝及准确记录试验现象。
条文说明
7.3.1本条规定了试验前需进行的各项准备工作。试验前应根据实测的材料参数计算试件各临界状态的预估值,这对于有效控制试验的过程十分必要。混凝土试件表面刷白、画格是为便于观测和描绘裂缝,方格线间距一般为100mm,大型试件可适当加大。试件、加载设备及量测仪器、仪表安装就位后,为检验系统工作是否正常,应进行预加载和量测设备的调试。
7.3.2 试验过程中应进行下列工作:
1 加载数值及数据采集应专人负责并及时记录;
2 应有专人负责观察裂缝,描绘和记录裂缝形态及发展趋势,测读最大裂缝宽度,并在裂缝边标注相应的荷载值(或荷载等级)及相应的裂缝宽度;
3 加载过程中应对比实测数据与预估值,判断试件是否达到预计的开裂、屈服、承载力标志等临界状态;在接近预估的临界状态时,可根据实际情况适当减小加载级差,以便更准确地量测、确定各临界状态的荷载、变形等试验参数;
4 当进行试验的后期加载时,应采取必要的措施预防加载设备倒塌、仪表损坏,保障实验人员的安全。
条文说明
7.3.2本条为试验工作的具体内容,包括加载、观察、量测、判断、记录、安全等。对采用自动记录和显示仪器的实验室试验,应随时进行观察和分析。当无自动记录和显示仪器时,试验过程中测读的数据宜在现场进行初步计算,随时整理并作出关键参数变化的规律或曲线。测读的数据宜与试验现象及事先分析预估的结果进行对比,进行初步分析并提出简单结论。
7.3.3 验证性试验当出现表7.3.3所列的标志之一时,即应判断该试件已达到承载能力极限状态。


注:1 表中加载系数与承载力状态荷载设计值、结构重要性系数的乘积为相应承载力标志的临界试验荷载值;详见本标准第9.3.6条的有关规定;
2 当混凝土强度等级不低于C60时,或采用无明显屈服钢筋为受力主筋时,取用括号中的数值;
3 试验中当试验荷载不变而钢筋应变持续增长时,表示钢筋已经屈服,判断为标志2。
条文说明
7.3.3本条详细规定了试件的承载力标志,当出现表中任何一种标志时,表明试件已达到相应受力类型的承载能力极限状态。表7.3.3将试验中可能发生的承载力标志归纳为6类17种,是根据近年来大量试验及工程调查资料,在综合分析的基础上加以归纳和补充、完善的。表中所列的加载系数用于承载力检验中计算相应的临界试验荷载值。原标准已有相应的检验系数允许值,本次修订根据受力类型和承载力检验标志的性质(延性、非延性、脆性)以及对结构安全的影响,对相应的系数作了适当调整:其中延性标志系数不变,非延性标志的系数提高0.05,脆性标志的系数提高0.10。
7.3.4 实验室试验宜按本标准第5.3.7条的要求进行后期加载,直至出现下列破坏现象:
1 荷载达到最大值后自动减退;
2 水平构件弯折、断裂或构件解体;
3 竖向构件屈曲、压溃或构件倾覆;
4 根据研究目的确定的破坏状态。
条文说明
7.3.4需要研究结构构件的抗连续倒塌极限状态时,应进行后期加载。即在试件达到表7.3.3所列的承载力标志以后继续加载,直至试件完全丧失承载能力或者没有必要继续加载为止。本条第1款的破坏状态一般可取达到峰值后抗力下降15%的状态。
7.3.5 试件的应力、应变可根据下列要求进行分析整理:
1 各级试验荷载作用下试件控制截面上的应力、应变分布;
2 试件控制截面上最大应力(应变)-荷载关系曲线;
3 试件内钢筋和混凝土的极限应变;
4 试件复杂应力区剪应力和主应力的大小以及主应力的方向。
7.3.6 当要求将试验结果与理论计算结果进行比较时,可绘制试件实测与理论的荷载-位移关系曲线,并计算试件开裂荷载、短期挠度、屈服荷载、承载力试验荷载等计算值与实测值的比值,以及这些比值的平均值、标准差或变异系数。
条文说明
7.3.5、7.3.6条文对实验室试验结果整理与分析的基本内容提出了要求。
8 预制构件试验
8.1 一般规定
8 预制构件试验
8.1 一般规定
条文说明
预制构件的检验试验包括型式检验、首件检验和合格性检验三种类型,本章主要对其中的合格性检验方法进行规定。型式检验和首件检验的承载力、挠度和裂缝宽度(或抗裂性)检验可按本章的方法进行,其后期加载性能、恢复性能等试验可按照本标准第7章验证性试验的方法进行。为便于实际工程应用,本章还对生产数量较少的大型和异形预制构件、竖向预制构件以及叠合结构的预制构件的合格性检验试验方法作出了规定。
8.1.1 批量生产的预制混凝土构件宜进行型式检验,型式检验应符合下列规定:
1 应按本章及本标准第7章验证性试验的要求进行试件结构性能的试验研究;
2 检验各项结构性能是否符合要求,并留有一定的裕量;
3 根据试验检验结果的分析、复核,调整并确定有关预制构件的材料和工艺参数;
4 宜进行后期加载,探讨试件的承载力裕量及破坏形态;
5 宜卸载探讨试件挠度、裂缝等的恢复性能;
6 对有特殊要求的预制构件,还应对其性能设计的有关参数进行检测、复核。
条文说明
8.1.1预制构件标准图设计时宜进行验证性的型式检验,由于按标准设计生产的预制构件产品数量大、环境多样、工况复杂,故其型式检验应严格控制,并应通过加载试验全面检验其材料、工艺参数及构件的结构性能。型式检验的试件除了必须进行使用状态和承载力各项目检验以外,还宜按本标准第7章的方法进行后期加载,以确定安全裕量、破坏形态及恢复性能。 经过型式检验验证的标准设计不仅是成批生产预制构件的依据,也是预制构件结构性能检验的重要依据。但目前我国很多预制构件标准图的表达不够明确,往往不能直接给出试验检验所需的试验参数,致使在构件试验检验中经常发生误判或漏判。为明确产品质量要求,标准图应完整表达试验检验的全部参数,指导试验人员正确地执行。为此,标准设计应明确给出下列内容: 1结构性能检验的试验方案:试件的支承方式、跨度、加载形式、加载点位置和量测方法等; 2结构性能检验所需的荷载代表值:试件自重、使用状态试验荷载值、承载力试验荷载值;还应给出扣除构件自重及加载设备重量后相应的加载值;考虑到加载方式的多样性,扣除构件自重和加载设备重量的加载值是指在加载检验状态下,根据实际加载方式,为使试件在设计控制截面上的荷载效应值达到设计目标,经换算后确定的实际外加荷载值; 3结构性能检验允许值应包括:试件的短期挠度允许值、抗裂检验系数允许值或开裂荷载允许值,最大裂缝宽度允许值以及在达到不同承载力标志时的承载力检验系数允许值; 4对有特殊要求的预制构件,应由标准图或设计文件规定相应的检验允许值及试验方法。
8.1.2 批量生产的预制混凝土构件,生产单位在批量生产之前宜进行首件检验;当生产工艺、设备、原材料等有较大调整变化时,也宜进行首件检验。首件检验应符合下列规定:
1 应按标准设计要求及本标准第7章验证性试验的要求进行检验;
2 应进行正常使用极限状态及承载能力极限状态的各项性能检验;
3 宜在本条第2款的基础上进行加载直至试件破坏,检验预制构件承载力的裕量及破坏形态。
条文说明
8.1.2预制构件在批量生产之前由生产单位进行首件检验的作用是通过加载试验确定试生产的构件合格与否、探讨检验裕量、调整和优化生产相关的材料及工艺。首件检验的试件宜加载到出现承载力标志,以确定承载力裕量及破坏形态。 首件检验属于验证性试验,故试验应按照本章及本标准第7章中验证性试验的要求进行。
8.1.3 批量生产的预制混凝土构件,应根据现行国家标准《混凝土结构工程施工质量验收规范》GB 50204的规定按产品检验批抽样进行合格性检验。预制构件的合格性检验应符合下列规定:
1 钢筋混凝土构件和允许出现裂缝的预应力混凝土构件,应进行承载力、挠度和裂缝宽度检验;
2 要求不出现裂缝的预应力混凝土构件,应进行承载力、挠度和抗裂检验;
3 预应力混凝土构件中的非预应力杆件,应按钢筋混凝土构件的要求进行检验。
条文说明
8.1.3批量生产的预制构件产品应按检验批抽样进行合格性检验,产品检验合格后方能出厂并投入工程使用。本条列出了产品合格性检验要求的结构性能检验项目。检验批的划分和代表数量及检验试件的抽样规则按现行国家标准《混凝土结构工程施工质量验收规范》GB50204的有关规定执行。 对于桁架、吊车梁、预制柱等难以进行加载试验的大型预制构件或异形预制构件,可采用加强材料、制作质量控制的措施替代部分或全部结构性能检验,具体方法参见现行国家标准《混凝土结构工程施工质量验收规范》GB50204的相关规定。
8.1.4 叠合构件底部的预制构件,应在同条件养护的混凝土立方体试块抗压强度达到设计强度等级以后,在其上部浇筑后浇层混凝土,并在后浇层混凝土强度达到设计要求后进行结构性能检验。后浇层要求、叠合试件结构性能检验允许值及试验方法等,应由设计文件规定或根据《混凝土结构工程施工质量验收规范》GB 50204的有关规定,按实配钢筋相应的检验要求确定。
8.1.5 对一般梁、板类叠合构件的结构性能检验,后浇层混凝土强度等级宜与底部预制构件相同,厚度宜取底部预制构件厚度的1.5倍;当预制底板为预应力板时,还应配置界面抗剪构造钢筋。
条文说明
8.1.4、8.1.5传统叠合结构的预制件不作检验或只进行预制构件的抗裂检验,试验结果极不稳定且不能全面反映叠合构件的结构性能。经调查研究及试验分析,应模拟两阶段成形后的整体叠合构件,在浇筑后浇层混凝土后进行结构性能检验。 本次修订所规定的叠合结构试验方法改为加后浇层混凝土形成完整的叠合结构试件后,进行全面的结构性能检验。鉴于预制底部构件上后浇层混凝土厚度、强度及配筋的不确定性很大,对应的叠合结构试验试件只能按确定条件下的构件进行结构性能检验。为简化和统一,取叠合层混凝土强度与底部预制构件相等,厚度为预制件的1.5倍(对应底部预制构件为总高度的0.4),上层配筋根据设计要求确定(通常板不配筋,梁配构造筋,必要时根据实际情况配受力钢筋),由此计算结构性能检验允许值,并进行加载检验、判断。
8.1.6 墙板、柱、桩等竖向预制构件宜按本标准第5.1.5条的方法,采用在两端对顶加载、同时施加横向荷载的方式加载。也可采用水平位按受弯构件进行加载试验,进行间接结构性能检验。当采用间接结构性能检验时,设计文件应根据预制构件的截面形状、尺寸、预应力状况及材料强度等,计算其在受弯条件下的效应,并给出相应的试验加载方案及挠度、裂缝控制、承载力等结构性能检验允许值。
条文说明
8.1.6对竖向预制构件模拟受力工况进行加载试验比较困难,原标准没有竖向预制构件的结构性能检验要求,实际工程中一般情况下也不作结构性能试验检验。本条增补了检验要求,对预制墙板及小预制柱宜同时施加轴力及横向力,进行组合加载试验检验。对预制柱及预制桩,因为难以模拟实际的受力状态,可根据已有的实践经验,按受弯构件作相应的检验,以间接试验检验的方式反映构件应有的结构性能。
8.1.7 对设计方法成熟、生产数量较少的大型预制构件,当采取加强材料和制作质量检验的措施时,可仅作挠度、抗裂或裂缝宽度检验;当采取上述措施并有可靠实践经验时,也可不作结构性能检验。
条文说明
8.1.7对大型竖向预制构件,如果设计方法成熟、生产数量较少,也可以根据施工验收规范的规定对其材料质量和工艺制作水平进行评定和验收,不再进行结构性能的试验。
8.1.8 预制构件结构性能检验的检验指标及合格性判断方法,应根据现行国家标准《混凝土结构工程施工质量验收规范》GB 50204的有关规定确定。
条文说明
8.1.8预制构件结构性能检验的检验荷载取值、检验指标要求以及合格性判定方法,在现行国家标准《混凝土结构工程施工质量验收规范》GB50204的结构性能检验相关内容中均有相应的规定,有关预制构件产品的检验和验收应遵守执行。
8.2 试验方案
8.2 试验方案
8.2.1 混凝土预制构件应采用短期静力加载试验的方式进行结构性能检验。有特殊要求的预制构件,由设计文件对其试验方法作出专门规定。
条文说明
8.2.1预制构件试验方法采用短期静力加载试验的方式,一般在4h~8h内即可完成。特殊构件应由设计文件提出专门的试验检验要求。
8.2.2 试件的结构性能检验指标及其检验允许值,应根据构件的受力特点和混凝土强度等级由设计文件计算确定。结构性能检验应在同条件养护的混凝土立方体抗压强度达到设计要求后进行。当试件在混凝土尚未达到设计强度等级,或在超过规定的龄期后进行结构性能检验时,检验所需的结构性能试验参数和检验允许值宜作相应的调整。
条文说明
8.2.2混凝土龄期及强度对检验结果有一定影响,一般按28d确定试验龄期;试件龄期过短可能因混凝土未达到强度而承载力不足;试件龄期过长则容易因混凝土徐变、预应力筋松弛而降低抗裂性能。因此,对非标准龄期试验时的检验允许值宜作相应的调整,设计文件也宜给出不同龄期的检验允许值。
8.2.3 试验用的加载设备及量测仪表应预先进行标定或校准。试验应在0℃以上的温度中进行。蒸汽养护后的试件,应在出池冷却至常温后进行试验。
条文说明
8.2.3本条对试验的温度条件、试验设备等准备工作进行了规定。试验前应检查试件的反拱或下垂等实际状态,并将试件已有的缺陷加以标记,以备试验分析之用。
8.2.4 试件加载应根据设计文件规定的加载要求、试件类型及设备条件等,按荷载效应等效的原则选择下列方式:
1 荷重块加载适用于板类构件的均布加载;
2 千斤顶加载适用于集中加载,可采用分配梁系统实现多点加载,并用荷载传感器量测力值,也可采用油压表读数,并计算力值;
3 梁或桁架等大型受弯构件加载时应有侧向限位装置,也可并列拼装后在面板上加载;重型梁可采用对顶加载的方法。
条文说明
8.2.4本条为各种预制构件试验加载方式的特点及选择原则,包括均布、集中加载以及对大型预制构件的专门加载方法。
8.2.5 试件的试验荷载布置应符合设计文件的规定。当试验荷载的布置不能完全与设计规定相符时,应按荷载效应等效的原则换算。换算应使试件试验的内力图形与设计的内力图形相似,并使控制截面上的主要内力值相等。但改变荷载布置形式对试件其他部位产生不利影响并可能影响试验结果时,应采取相应的措施。
条文说明
8.2.5本条规定主要内力等效的加载原则,目的是模拟试件控制截面上的主要内力值符合设计计算的结果,以满足检验的基本要求。
8.2.6 预制构件试验应按阶段分级加载,加载等级、持荷时间等应符合本标准第5.3节的有关规定。型式检验加载到试件出现承载力标志后宜进行后期加载;首件检验应加载到试件出现承载力标志;合格性检验可加载至所有规定的项目通过检验,直接判为合格不再继续加载。
条文说明
8.2.6根据试验目的不同,本条规定了适用于型式检验、首件检验和合格性检验的不同加载要求。 合格性检验的目的仅在于判断从检验批中抽取的试件是否合格,因此可依次进行常规的挠度、裂缝宽度(或抗裂)和承载力等检验,如果试验中一项或几项达不到检验允许值,可直接判定不合格并结束试验;如果所有项目均达到检验允许值,可判定合格并结束试验,并不一定要求加载到出现承载力标志或破坏。 首件检验要求通过试验掌握试件的破坏形态和检验裕量,因此试验宜加载到试件出现承载力标志或破坏。 型式检验则要求全面检验、调整和优化预制构件的材料、工艺参数及构件的结构性能,因此宜通过后期加载、卸载等试验掌握构件的延性、安全裕量和卸载恢复性能等。
8.2.7 预制构件结构性能试验的检验记录应在现场完成,试验检验记录应真实,不得任意涂改。试验检验记录表可采用附录A的格式,并应包括下列内容:
1 试验检验背景:
1)试件的生产单位、名称、型号、生产工艺类型、生产日期、所代表的验收批号;
2)试验日期、试验检验报告编号、试验单位和试验人员。
2 试验检验方案:
1)试件参数:试件的形状、尺寸、配筋、保护层厚度、混凝土强度等的设计值及实测值;
2)试验参数:加载模式、加载方法、荷载代表值、仪表位置及编号等;
3)结构性能检验允许值:挠度、最大裂缝宽度、抗裂、承载力等项目的检验允许值。
3 试验记录:
1)加载程序:等级、数值、时间等;
2)仪表记录:读数、量测参数变化等;
3)裂缝观测:开裂荷载、裂缝发展、宽度变化、裂缝分布图等;
4)现象描述:临界试验荷载下的现象观察,承载力标志及破坏特征的简单描述等。
4 检验结论:
1)挠度、裂缝宽度、抗裂、承载力等检验分项的判断;
2)结构性能检验结论。
条文说明
8.2.7预制构件结构性能检验的目的和内容比较明确,试验结果可全面反映在试验检验记录表中,故在试验成果整理方面较其他类型结构试验可适当简化。为保证结构性能检验的有效性,本条对结构性能的试验检验记录应包括的内容作了详细说明,并在附录A中给出了预制构件结构性能试验检验记录表格以供参考使用。
8.3 试验过程及结果
8.3 试验过程及结果
条文说明
本节主要针对预制构件产品合格性检验的加载试验过程及结果,型式检验和首件检验可按照实验室试验的有关规定进行。合格性检验的指标和判断方法应符合现行国家标准《混凝土结构工程施工质量验收规范》GB50204的有关要求。
8.3.1 试验开始前应进行下列准备工作:
1 量测试件的实际尺寸和变形情况,并检查试件的表面,在试件上标出已有的裂缝和缺陷;
2 根据试验方案安装试件、加载设备和量测仪器仪表,对试件进行预加载,并对测试设备进行调试;
3 计算各级临界试验荷载值及检验指标的预估值,作为试验分级加载和现象观测的依据。
8.3.2 使用状态试验应按本标准第5.3.3条、第5.3.4条的规定分级加载至各级临界试验荷载值,观察各种试验现象,并对比各检验指标的实测值、预估值及允许值,判断试件是否满足挠度检验、抗裂或裂缝宽度检验等性能要求。
8.3.3 预制构件进行挠度检验时,应在使用状态试验荷载值下持荷结束时量测试件的变形,将扣除支座沉降、试件自重和加载设备重量的影响,并按加载模式进行修正后的挠度作为挠度检验实测值 
。
8.3.4 预制构件的抗裂检验系数实测值应按下列公式进行计算:

8.3.5 预制构件进行裂缝宽度检验时,应在使用状态试验荷载值下持荷结束时量测最大裂缝的宽度,并取量测结果的最大值作为最大裂缝宽度实测值 
。
8.3.6 对试件进行承载力检验时,应按本标准第5.3.3条的规定分级进行加载,当试件出现本标准表7.3.3所列的任一种承载力标志(第i种)时,即认为该试件已达到承载能力极限状态,应停止加载,并按本标准第5.3.5条的规定取相应的试验荷载值作为承载力检验荷载实测值 
。如加载至最大的临界试验荷载值,仍未出现任何承载力标志,则应停止加载并判定试件满足承载力要求。
8.3.7 试件的承载力检验系数实测值 
应按下列公式进行计算:

9 原位加载试验
9.1 一般规定
9 原位加载试验
9.1 一般规定
9.1.1 对下列类型结构可进行原位加载试验:
1 对怀疑有质量问题的结构或构件进行结构性能检验;
2 改建、扩建再设计前,确定设计参数的系统检验;
3 对资料不全、情况复杂或存在明显缺陷的结构,进行结构性能评估;
4 采用新结构、新材料、新工艺的结构或难以进行理论分析的复杂结构,需通过试验对计算模型或设计参数进行复核、验证或研究其结构性能和设计方法;
5 需修复的受灾结构或事故受损结构。
条文说明
9.1.1结构原位加载试验是为检验结构的结构性能而在实体结构上进行的试验,本条根据不同试验目的列举了原位加载试验的类型。此类试验具有下列特点: 1工程改扩建或验收时,缺乏工程资料、对质量存在怀疑或存在质量缺陷,需要通过试验来判定质量是否符合设计要求或确定有关参数。此类试验的性质接近预制构件产品的合格性检验,目的是对结构的安全性进行评估;但与预制构件合格性检验的区别在于,试验对象不是成批的预制构件产品而是确定的实体结构,试验一般无需检验所有的结构性能,且不宜造成难以修复的损伤。 2采用新结构、新材料、新工艺的结构或难以进行理论分析的复杂结构,需要通过试验复核、验证设计参数或研究其性能和设计分析方法。此类试验属验证性试验,可为以后类似结构的设计和推广应用积累经验和提供实测数据以供参考。 3原位加载试验与实验室试验的区别在于,试验对象不是模型而是实体结构,试验为非破坏性试验。
9.1.2 原位加载试验分为下列类型,可根据具体情况选择进行:
1 使用状态试验,根据正常使用极限状态的检验项目验证或评估结构的使用功能;
2 承载力试验,根据承载能力极限状态的检验项目验证或评估结构的承载能力;
3 其他试验,对复杂结构或有特殊使用功能要求的结构进行的针对性试验。
条文说明
9.1.2结构原位加载试验一般不需要检验全部性能,只需根据结构的具体情况和实际需要,验证特定状态下的性能指标。如果仅需要验证正常使用极限状态下的性能,则进行使用状态试验;如果需要验证其受弯、受剪等承载能力,则进行承载力试验;有其他特定的试验目的时,试验方式应根据试验目的具体确定。 一般情况下,由于试验后结构仍需继续使用,原位加载试验宜控制在结构承载能力范围内。试验最大荷载取值满足性能检验的要求即可,一般不宜加载到结构出现不可恢复且影响使用功能的缺陷。
9.1.3 结构原位试验的试验结果应能反映被检结构的基本性能。受检构件的选择应遵守下列原则:
1 受检构件应具有代表性,且宜处于荷载较大、抗力较弱或缺陷较多的部位;
2 受检构件的试验结果应能反映整体结构的主要受力特点;
3 受检构件不宜过多;
4 受检构件应能方便地实施加载和进行量测;
5 对处于正常服役期的结构,加载试验造成的构件损伤不应对结构的安全性和正常使用功能产生明显影响。
条文说明
9.1.3结构原位试验受到加载方式、试验条件、使用要求等诸多因素的限制,加载区域不宜过大,也不宜进行多次试验。因此受检构件或受检区域的选择非常关键,需要兼顾试验的代表性和客观试验条件的可能性,并考虑试验后结构的继续使用。
9.1.4 原位加载试验的试验荷载值当考虑后续使用年限的影响时,其可变荷载调整系数宜根据现行国家标准《工程结构可靠性设计统一标准》GB 50153、《建筑结构荷载规范》GB 50009的相关规定,并结合受检构件的具体情况确定。
条文说明
9.1.41998年的国际标准《结构可靠性总原则》ISO2394提出了可以依据用户提出的使用年限,对可变作用采用修正系数的方法加以修正。对既有结构引入可变荷载考虑结构后续使用年限调整系数的目的,是为解决后续使用年限与设计基准期不同时,对可变荷载标准值的调整问题。当后续使用年限与设计基准期不同时,采用调整系数对荷载的标准值进行调整。确定结构的合理后续使用年限应综合考虑原设计的使用年限、结构的具体情况(包括实际尺寸、配筋、材料强度、已有缺陷等)和后期使用的需要等因素。 现行国家标准《工程结构可靠性设计统一标准》GB50153-2008附录A.1给出了设计使用年限为5年、50年和100年时,考虑后续使用年限偏于安全的可变荷载调整系数分别为0.9、1.0和1.1,当后续使用年限不为上述值时,可按线性内插确定。 根据后续使用年限定义的可变荷载标准值与设计基准期定义的标准值具有相同概率分位值的原则,当可变荷载服从极值I型分布时,可得到不同后续使用年限的荷载调整系数如表2所示。当后续使用年限不为表中数值时.可按线性内插确定。对比《工程结构可靠性设计统一标准》GB50153-2008的规定可以看出,该标准的安全度是相当充裕的。 
当结构原位荷载试验表明结构性能达不到要求时,可经修补、加固后继续使用;也可出于经济的原因保持结构现状,但通过改变功能降低使用荷载,或减少后续使用年限以降低荷载取值,使结构性能符合设计要求。
9.1.5 试验结构的自重,当有可靠检测数据时,可根据实测结果对其计算值作适当调整。
条文说明
9.1.5结构设计时,考虑施工离差的影响,结构自重设计值需要乘荷载分项系数加以放大。但通过原位荷载试验验证结构的性能时,由于结构已实际存在,其自重是确定的数值,因此结构自重可根据结构实际检测结果加以调整。
9.1.6 原位试验应根据结构特点和现场条件选择恰当的加载方式,并根据不同试验目的确定最大加载限值和各临界试验荷载值。直接加载试验应严格控制加载量,避免超加载造成超出预期的永久性结构损伤或安全事故。计算加载值时应扣除构件自重及加载设备的重量。
条文说明
9.1.6结构原位试验应根据结构的具体情况和可能的条件选择加载方式,并应控制加载量,避免造成意外的结构损伤或安全事故。
9.1.7 根据原位加载试验的类型和目的,试验的最大加载限值应按下列原则确定:
1 仅检验构件在正常使用极限状态下的挠度、裂缝宽度时,试验的最大加载限值宜取使用状态试验荷载值,对钢筋混凝土结构构件取荷载的准永久组合,对预应力混凝土结构构件取荷载的标准组合;
2 当检验构件承载力时,试验的最大加载限值宜取承载力状态荷载设计值与结构重要性系数γ 0 乘积的1.60倍;
3 当试验有特殊目的或要求时,试验的最大加载限值可取各临界试验荷载值中的最大值。
条文说明
9.1.7与其他类型试验不同,结构原位加载过程需要高度重视对受检结构的保护。试验前应采用结构的实际参数计算确定各级临界试验加载值,并设定最大加载限值。试验的最大加载限值是原位加载试验最重要的指标之一,合理确定该限值一方面可以避免荷载超出合理范围,造成结构损伤或安全事故;另一方面可以避免加载量不足,达不到试验检验的目的。 计算确定的最大加载限值并非试验一定要达到的荷载值。如试验中结构性能检验指标均处于允许范围内,则可分级加载到最大加载限值,表明结构性能可满足要求;如试验中结构某检验项目提前达到允许值,则应停止加载,并按照本标准第9.4.2条和第9.4.4条的规定进行判断和处理。 承载力试验的最大加载限值应取各种临界试验荷载值中的最大值。根据表7.3.3最大的承载力加载系数为1.60,因此承载力试验的最大加载限值可取荷载基本组合值与结构重要性系数γ0乘积的1.60倍。当试验不需要检验表7.3.3的全部项目时,最大加载限值可直接取所检验项目对应的各临界试验荷载值的最大值。
9.1.8 试验前应收集结构的各类相关信息,包括原设计文件、施工和验收资料、服役历史、后续使用年限内的荷载和使用功能、已有的缺陷以及可能存在的安全隐患等。还应对材料强度、结构损伤和变形等进行检测。
条文说明
9.1.8试验之前掌握试验结构的基本情况,对编制试验方案和确定合理的后续使用年限是非常必要的。试验结论中对结构性能的评估和建议措施,也应基于通过调查获得的结构现状。除一般的信息资料应当完整以外,还应根据结构特点和试验目的进行针对性的重点调查。如果工程资料缺失或载明的结构情况与实际结构存在较大出入时,应当对受检结构进行现场检测。
9.1.9 对装配式结构中的预制梁、板,若不考虑后浇面层的共同工作,应将板缝、板端或梁端的后浇面层断开,按单个构件进行加载试验。
条文说明
9.1.9装配式结构构件的边界条件直接影响试验结果和对结果的判断,对边界的处理方法应根据试验目的确定。如试验需要模拟实际边界条件,则应直接在实体结构上进行加载试验;如果需要通过试验来检验预制构件本身的性能、质量,则试验前应将受检构件与后浇层及相邻构件进行隔离,按单个构件受力进行加载试验。
9.2 试验方案
9.2 试验方案
9.2.1 结构原位加载试验应采用短期静力加载试验的方式进行结构性能检验,并应根据检验目的和试验条件按下列原则确定加载方法:
1 加载形式应能模拟结构的内力,根据受检构件的内力包络图,通过荷载的调配使控制截面的主要内力等效;并在主要内力等效的同时,其他内力与实际受力的差异较小;
2 对超静定结构,荷载布置均应采用受检构件与邻近区域同步加载的方式;加载过程应能保证控制截面上的主要内力按比例逐级增加;
3 可采用多种手段组合的加载方式,避免加载重物堆积过多,增加试验工作量;
4 对预计出现裂缝或承载力标志等现象的重点观测部位,不应堆积加载物;
5 宜根据试验目的控制加载量,避免造成不可恢复的永久性损伤或局部破坏;
6 应考虑合理简捷的卸载方式,避免发生意外。
条文说明
9.2.1本条提出了结构原位加载的原则,即内力模拟而非荷载模拟、按比例逐级加载、加载限值的控制等。 为了使结构试验时的工作状态与实际情况接近,加载形式应与结构设计的计算简图一致;但受试验条件限制,一般采用与计算简图不同的等效加载形式来模拟实际受力,使受检构件产生的内力图形与计算简图相近。等效加载无法做到轴力、弯矩和剪力等所有内力的同步模拟,但要求控制截面上的主要内力与计算内力值相等。 采用等效荷载时必须考虑由于加载形式改变对结构试验结果的两方面影响,即内力图形改变和挠度的改变。对关系明确的影响,试验结果可通过计算加以修正,如采用集中荷载模拟均布荷载时变形值(挠度)变化的影响和修正,可参考本标准第5.2.16条。
9.2.2 原位加载试验宜采用一次加载的模拟方式。应根据试验目的,通过计算调整荷载的布置,使受检构件各控制截面的主要内力同步受到检验。当一种加载模式不能同时使试验所要求的各控制截面的主要内力等效时,也可对受检构件的不同控制截面分别采用不同的荷载布置方式,通过多次加载使各控制截面的主要内力均受到检验。
条文说明
9.2.2在结构试验中经常遇到一种加载形式不能同时反映受检构件各个控制截面所要求的极限状态的情况。在此情况下,可采用几种不同的加载形式分别对同一受检构件进行多次试验。多次试验的顺序应当进行合理安排,先检验结构安全储备较大的项目,避免试验早期即出现塑性变形或破坏,导致无法检验其他性能。
9.2.3 原位加载试验的加载方式及程序应遵守本标准第5.2节~第5.4节的有关要求,根据实际条件选择下列加载方式:
1 楼板、屋盖宜采用上表面重物堆载;
2 梁类构件宜采用悬挂重物或捯链-地锚加载,或通过相邻板区域加载;
3 水平荷载宜采用捯链加载的形式;
4 可在内力等效的条件下综合应用上述加载方法。
条文说明
9.2.3原位加载试验与在实验室试验不同,加载受到现场条件的制约。试验机、千斤顶等液压设备很少使用,而是较多采用结构上部的重物堆积、下部悬挂重物等重物加载方式,或采用捯链-地锚等机械加载方式。加载方式的选择应因地制宜,除须考虑便于取材、操作方便、计量准确等因素外,尚应特别重视加载方式的安全性,避免在加载过程中出现结构脆性破坏、失稳或重物坠落等情况。 对重物加载方式,采用结构下部悬挂重物并设置高度可调整的保护支垫,比采用上部堆载安全性更高;采用自动计量的液体加载,比采用人工堆载安全性高。试验采用结构上部堆载方式时,宜在结构下部设置保护性支撑以防止试验过程中发生意外坍塌危及人员和设备的安全。
9.2.4 加载过程中结构出现下列现象时应立即停止加载,分析原因后如认为需继续加载,宜增加荷载分级,并应采取相应的安全措施:
1 控制测点的变形、裂缝、应变等已达到或超过理论控制值;
2 结构的裂缝、变形急剧发展;
3 出现本标准表7.3.3所列的承载力标志;
4 发生其他形式的意外试验现象。
条文说明
9.2.4原位加载试验的加载过程需要重视实体结构的保护,试验之前应根据试验类型计算控制测点的应变和挠度,并作为加载控制值。当荷载未达到临界试验荷载而结构已经出现本条所列的四种情况时,如继续加载将可能造成结构的永久损伤或影响试验安全。一般情况下,除非有特殊的试验要求,不应再继续加载。
9.2.5 原位加载试验的测点数量不宜过多;但对荷载、挠度等重要检验参数宜布置可直接观测的仪表,并宜采用不同的量测方法对比、校核试验量测的结果。原位加载试验过程中宜进行下列观测:
1 荷载-变形关系;
2 控制截面上的混凝土应变;
3 试件的开裂、裂缝形态以及裂缝宽度的发展情况;
4 试件承载力标志的观测;
5 卸载过程中及卸载后,试件挠度及裂缝的恢复情况及残余值。
条文说明
9.2.5原位加载试验的观测和初步分析判断宜在现场完成。试验的荷载-位移关系曲线、裂缝情况和关键部位的荷载、挠度、位移等量测数据直接影响到对试验现象的分析和试验结果的判断。因此试验过程中应自动显示或同步绘制荷载-位移关系曲线,荷载、挠度等重要指标信息在试验过程中应能随时观测确定。由于原位加载试验容易受到环境条件的干扰,因此试验量测宜选择稳定可靠的仪表,且测点数量不宜过多,以突出量测重点并确保重要指标的准确。
9.2.6 对采用新结构、新材料、新工艺的结构以及各类大型或复杂结构,当通过确定范围内的原位加载试验,验证计算模型或设计参数时,试验宜符合下列要求:
1 加载方式宜采用悬吊加载,荷载下部应采取保护措施,防止加载对结构造成损伤;
2 现场试验荷载不宜超过使用状态试验荷载值。
条文说明
9.2.6通过试验验证计算模型和设计参数的原位加载试验,属验证性试验,虽然希望较全面了解结构的性能,但由于在实际结构上进行,因此试验荷载值宜加以限制。
9.2.7 对结构进行破坏性的原位加载试验时,应根据结构特点和试验目的制定试验方案,研究其结构受力特点、残余承载能力、破坏模式、延性指标等性能。在结构进入塑性阶段后,加载宜采用变形控制的方式。荷载施加及结构变形均应在可控范围内,并应采取措施确保人员和设备的安全。
条文说明
9.2.7破坏性原位加载试验的试验对象已经无保护价值,因此可根据研究的目的制定试验方案,探讨结构在荷载作用下的破坏模式和后期性能。但由于现场的破坏性试验具有较大的危险性,因此试验方案应确保人员和设备的安全。
9.3 试验检验指标
9.3 试验检验指标
9.3.1 受弯构件应按下列方式进行挠度检验:
1 当按现行国家标准《混凝土结构设计规范》CB 50010规定的挠度允许值进行检验时,应符合下式要求:

式中: 
——在使用状态试验荷载值作用下,构件的挠度检验实测值;

——挠度检验允许值,按本标准第9.3.2条的有关规定计算。
2 当设计要求按实配钢筋确定的构件挠度计算值进行检验,或仅检验构件的挠度、抗裂或裂缝宽度时,除应符合公式(9.3.1-1)的要求外,还应符合下式要求:

式中: 
——在使用状态试验荷载值作用下,按实配钢筋确定的构件短期挠度计算值。
注:直接承受重复荷载的混凝土受弯构件,当进行短期静力加载试验时, 
值应按使用状态下静力荷载短期效应组合相应的刚度值确定。
条文说明
9.3.1本条列出了挠度检验的两种方法:一种为按设计规范规定的限值折算成短期挠度允许值检验;另一种为按设计实配钢筋计算值检验,后者应留有20%检验裕量。
9.3.2 挠度检验允许值应按下列公式计算:
对钢筋混凝土受弯构件

对预应力混凝土受弯构件

式中: 
——挠度检验允许值;
M k ——按荷载的标准组合计算所得的弯矩,取计算区段内的最大弯矩值;
M q ——按荷载的准永久组合计算所得的弯矩,取计算区段内的最大弯矩值;
θ——考虑荷载长期效应组合对挠度增大的影响系数,按现行国家标准《混凝土结构设计规范》GB 50010的有关规定取用;

——构件挠度设计的限值,按现行国家标准《混凝土结构设计规范》GB 50010的有关规定取用。
条文说明
9.3.2受弯构件的挠度检验允许值,是根据设计规范由设计的允许限值,考虑荷载长期作用效应的影响折算成短期值而确定的。
9.3.3 构件裂缝宽度检验应符合下式要求:


条文说明
9.3.3最大裂缝宽度检验允许值,是根据设计规范的限值,并考虑荷载长期作用效应的影响,折算成短期值而确定的。
9.3.4 预应力混凝土构件应按下列方式进行抗裂检验:
1 按抗裂检验系数进行抗裂检验时,应符合下列公式要求:

采用均布加载时 
采用集中力加载时 

2 按开裂荷载值进行抗裂检验时,应符合下列公式的要求:
采用均布加载时 
采用集中力加载时 

条文说明
9.3.4本条提出了预应力构件抗裂检验的要求。为提高抗裂检验的可执行性,易于试验操作和判断,增加了通过比较开裂荷载实测值与允许值的大小,进行抗裂检验判断的方法。
9.3.5 抗裂检验系数允许值应根据现行国家标准《混凝土结构设计规范》GB 50010有关构件抗裂验算边缘应力计算的有关规定,按下式进行计算:

条文说明
9.3.5本条根据现行国家标准《混凝土结构设计规范》GB50010确定了抗裂检验系数允许值的计算方法,其中允许值为计算值的95%,预留了5%的检验裕量。根据设计规范计算的抗裂检验系数计算值,与混凝土强度及预压应力值有关。考虑时间对混凝土的实际强度及预应力损失的影响,不同龄期时检验系数允许值可作适当的调整。
9.3.6 出现承载力标志的构件应按下列方式进行承载力检验:
1 当按现行国家标准《混凝土结构设计规范》GB 50010的要求进行检验时,应满足下列公式的要求:

当采用均布加载时 
当采用集中力加载时 

2 当设计要求按构件实配钢筋的承载力进行检验时,应满足下式要求:

式中:η——构件承载力检验修正系数,按本标准第9.3.7条第2款的有关规定计算。
条文说明
9.3.6承载力检验中试件出现任何一种检验标志,都表明试件已达到相应受力类型的承载能力极限状态。鉴于结构原位加载试验进行承载力检验的目的仅是判断结构是否满足承载力要求,无法预测和调整构件的设计参数和破坏形态,故承载力检验是以最先出现的承载力标志来判断受力类型及承载力是否满足要求的。只要试验中出现任何一种检验标志即应停止继续加载,并以相应的试验荷载值来判断承载力是否满足要求。 承载力检验可有两种形式:按规范限值要求或按设计实配钢筋,应根据检验目的和要求进行选择。原位加载试验的承载力检验系数允许值应按照本标准表7.3.3中相应的加载系数进行取值。
9.3.7 承载力检验系数允许值计算中的重要性系数和修正系数按下列方法确定:
1 重要性系数γ 0 ,构件重要性系数可根据其所在结构的安全等级按表9.3.7选用。一般情况取二级,当设计有专门要求时应予以说明。

2 承载力检验修正系数η,当设计要求按构件实配钢筋的承载力进行检验时,构件承载力检验的修正系数应按下式计算:

式中:η——构件承载力检验修正系数;
R i (·)——根据实配钢筋确定的构件第i类承载力标志所对应承载力的计算值,应按现行国家标准《混凝土结构设计规范》GB 50010中有关承载力计算公式的右边项计算;
S i —构件第i类承载力标志对应的承载能力极限状态下的内力组合设计值。
条文说明
9.3.7本条为承载力检验系数允许值计算中构件重要性系数γ0和承载力检验修正系数η的确定方法。重要性系数根据受检构件所在结构的安全等级确定。当按构件实配钢筋计算而进行承载力检验时,修正系数按本条提供的公式计算,其中承载力及内力可为弯矩、剪力、轴力或扭矩等,应根据结构受力和承载力标志类型而定。
9.4 试验结果的判断
9.4 试验结果的判断
9.4.1 使用状态试验结果的判断应包括下列检验项目:
1 挠度;
2 开裂荷载;
3 裂缝形态和最大裂缝宽度;
4 试验方案要求检验的其他变形。
条文说明
9.4.1使用状态试验的检验项目由结构的使用功能和适用性确定。挠度、开裂荷载、裂缝宽度等指标可按照设计规范正常使用极限状态下的要求确定。当结构有舒适性要求时,还应按照本标准第10.3节的方法检验自振频率、振幅、加速度等指标。
9.4.2 使用状态试验应按本标准第5.3.3条、第5.3.4条的规定对结构分级加载至各级临界试验荷载值,并按第9.3节的要求检验结构的挠度、抗裂或裂缝宽度等指标是否满足正常使用极限状态的要求。
条文说明
9.4.2使用状态试验主要检验构件的开裂荷载以及构件在使用状态试验荷载值下的挠度、最大裂缝宽度等指标。由于是短期加载试验,而规范的有关限值均考虑了荷载的长期作用效应,因此试验检验允许值均应将规范限值折算为短期荷载试验允许值,该值一般较规范允许值严格。
9.4.3 如使用状态试验结构性能的各检验指标全部满足要求,则应判断结构性能满足正常使用极限状态的要求。
条文说明
9.4.3如在加载到相应的临界试验荷载值之前,任一构件的任一指标超过检验允许值,均应判定结构不满足正常使用极限状态的检验要求。根据本标准第5.3.5条确定相应的检验荷载实测值,并将该实测荷载作为结构满足使用状态的最大荷载组合值,可返算结构可承受的最大使用荷载值。
9.4.4 混凝土结构需进行承载力试验时,应按本标准第5.3.3条的规定逐级对结构进行加载,当结构主要受力部位或控制截面出现本标准表7.3.3所列的任一种承载力标志时,即认为结构已达到承载能力极限状态,应按本标准第5.3.5条的规定确定承载力检验荷载实测值,并按第9.3.6条的规定进行承载力检验和判断。
条文说明
9.4.4承载力试验中,结构受检构件主要受力部位或控制截面出现表7.3.3所列的任何一种承载力标志,都表明结构或构件已达到相应受力类型的承载能力极限状态。试验前应对结构进行必要的计算分析,对其极限承载力和可能出现的标志进行预估。但承载力试验存在不确定性,每种标志对应的临界试验荷载值又不相同,故承载力检验以最先出现的承载力标志来判断承载力是否满足要求。只要试验中出现任何一种检验标志即停止继续加载,并以检验荷载实测值来判断承载力是否满足要求。 出于经济方面考虑,对经试验达不到预定要求的结构,一般应根据具体情况选择加固或限制使用荷载的方法,使得结构性能仍能够达到要求;对于同时进行了使用状态与承载力试验的结构,由于两个阶段试验根据检验荷载实测值分别得到的结构可承受最大使用荷载值一般情况下是不同的,而结构应同时满足正常使用极限状态和承载能力极限状态的要求,故应取较小值。
9.4.5 如承载力试验直到最大加载限值,结构仍未出现任何承载力标志,则应判断结构满足承载能力极限状态的要求。
条文说明
9.4.5不同的承载力标志对应的检验要求不同,试验以最早出现的承载力标志进行合格性判断。如最早出现承载力标志时的承载力检验系数已大于或等于该标志对应的加载系数,则可判断结构满足承载力要求。如加载至第9.1.7条规定的最大限值仍未出现任何承载力标志,则表明结构各承载力标志对应的检验系数实测值均大于允许值,应直接判定受检构件的承载力满足要求。
10 结构监测与动力测试
10.1 一般规定
10 结构监测与动力测试
10.1 一般规定
10.1.1 结构监测包括施工阶段监测和使用阶段监测,监测方法和内容应根据结构所处阶段的特点和监测要求确定。对大跨、高耸等对振动敏感的混凝土结构,监测内容宜包括动力特性测试。
条文说明
10.1.1结构的生命周期包括设计、施工、使用和退役四个阶段。针对实体结构进行的监测按阶段分为两类,一类是针对复杂结构或特殊结构的施工过程监测,该类监测周期相对较短;另一类是针对结构使用过程中的长期监测,该类监测也被称作结构健康监测,周期往往很长,甚至是全寿命周期的监测,对监测设备的要求较高。
10.1.2 监测应选择结构的代表性或关键性部位,监测结果应能反映结构的整体受力状态或关键部位的结构性能。
条文说明
10.1.2结构监测受到很多因素的制约,监测仪表成本也较高,一般只是针对重点关注部位的主要指标进行监测,并以此来了解结构的性能和状态,因此监测部位的选择至关重要。监测部位一类是结构中受力关键的部位,尤其是日常难以检查或无法检查的多条传力途径汇集的关键部位,另一类是能反映结构整体性能和受力状态的代表性部位。
10.1.3 结构监测系统宜根据监测目的,从量测仪器仪表系统、数据采集与传输系统、数据分析及损伤识别和定位系统、安全评估系统等基本功能模块中作合理的选择和组合。
条文说明
10.1.3结构监测系统包括量测仪器仪表系统、数据采集与传输系统、数据分析及损伤识别和定位系统、安全评估系统四个基本模块,但由于结构形式的多样性和测试要求的差异,监测设备的选择和组成具有非常大的灵活性,应因地制宜进行选择。
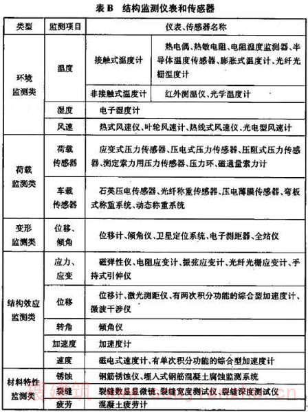
10.1.4 结构监测可选择本标准第6.2节~第6.5节所列的各类量测仪表,也可根据监测项目及相关要求,合理选择本标准附录B所列的仪表和传感器。所选仪表和传感器的量测范围、量测精度等指标应符合测试的要求。
条文说明
10.1.4量测仪器仪表系统可根据测试要求,从本标准第6.2节~第6.5节或附录B所列的各类量测仪表中进行选择。数据的采集和传输系统应具有以下功能: 1无人值守条件下连续运行的功能,可在特殊状况下进行特殊采集和人工干预采集; 2数据采集软件应具有数据采集和缓存管理的功能; 3系统具有实时自诊断的功能。 数据分析及损伤识别和定位系统主要进行监测数据的基本分析和高级分析,分析数据来自实时现场采集和定期人工采集。结构损伤识别的方法有养护管理评估法、模型比对评估法、趋势分析评估法、动静结合评估法、局部损伤评估法、累积损伤及剩余寿命评估法等。 安全评估系统是结构监测系统的核心,系统根据预设的要求,对结构的不正常表现作出及时诊断并找出其根源,预测未来的发展趋势,避免安全隐患。结构安全评估系统可分为在线评估和离线评估两部分,在线评估主要对实时采集的监测数据进行基本的统计分析和趋势分析,设立预警系统,给出结构的初步安全状态评估;离线评估主要对各种监测数据进行有限元分析、模态分析等综合性的高级分析,并对结构的安全性、适用性和耐久性给出定性或定量的评判。
10.1.5 结构监测的仪器仪表系统应符合下列规定:
1 根据结构监测内容和分析的要求,选择合适的参数和适当的监测位置及安装方式,建立可靠的结构监测系统;
2 结构监测系统仪器仪表的选用应满足监测项目要求的量程、最大采样频率、线性度、灵敏度、分辨率、迟滞、重复性、漂移、供电方式和寿命;动力特性测试的传感器还要注意传感器的频响函数和动态校准;
3 结构监测系统的仪器仪表应安装稳定,有较强的抗干扰能力;设备、仪器均应有防风、防雨雪、防晒等保护措施;监测过程中应采取有效措施确保预埋传感器元件及导线不受损伤。
条文说明
10.1.5结构监测仪器仪表系统除了要满足结构试验的常规要求外,由于所使用的环境条件复杂、监测周期长,因此对其可靠性和稳定性应提出更高的要求。
10.2 施工阶段监测
10.2 施工阶段监测
10.2.1 施工阶段监测应通过对施工过程中结构的状态进行实时识别、调整和预测,确保施工过程中受监测结构的物理和力学性能指标始终处于允许的安全范围内,确保结构能够符合设计的要求。对施工阶段内力变化复杂的结构,可通过结构监测验证分析模型和设计理论,或对施工中的不确定性问题进行研究。
条文说明
10.2.1对施工阶段结构进行监测的目的在于评估结构在施工过程中不断变化的受力工况和环境条件下的工作状态,监测和评估结果是指导结构下一步施工的依据。与使用阶段监测不同,施工阶段监测周期较短,但结构自身及其受力状态始终处于变化之中,因此通过监测所获得的实际结构的动-静力行为可用来掌握结构的实际工作状态,以指导施工,还可验证施工模拟分析的模型、结果和设计计算假定,并开展其他相关研究。
10.2.2 下列类型结构宜进行施工阶段监测:
1 施工过程中工序交错、受力复杂、多工作面协同建设的结构;
2 大体积混凝土结构、超长结构、特殊截面等受温度变化、混凝土收缩、徐变、日照等环境因素影响显著的特殊结构;
3 受到邻近施工作业影响的重要结构,也宜在施工阶段进行有针对性的监测。
条文说明
10.2.2施工阶段结构监测适用于特殊或复杂结构中对结构性能影响显著,但又难以事先予以预判的各种性能指标的监测,这些性能指标由于受到客观条件限制或各种随机因素的影响,施工前难以定量探讨。由于监测结果包含了各种因素的综合影响,故通过对实测数据的分析和判断,比设计阶段做了诸多假定的理论分析更能真实反映结构的实际受力状态,对施工中需要采取的措施更具有针对性和指导性。施工阶段的监测周期较使用阶段监测要短,对设备仪器的耐久性和稳定性要求也略低。
10.2.3 施工阶段结构监测内容应根据监测目的和结构的特点、施工方法、环境因素等确定,宜包括结构体形和构件变形的监测、结构重要部位钢筋、混凝土应变的监测以及结构振动的监测等。
条文说明
10.2.3施工阶段结构监测的具体项目根据工程的实际情况和特点而定,监测方案应突出关注的重点,并配合进行其他相关项目的测试,以校核和验证测试结果,确保施工状态符合预定要求,并确保结构安全。
10.2.4 施工阶段结构的监测,应根据测试项目、测试环境和施工周期,选择方便、可靠和耐久性较好的监测传感器和仪器仪表。如还需继续对结构进行使用阶段的监测,则应选择并布置满足使用阶段长期监测要求的仪器仪表。
条文说明
10.2.4施工阶段监测的仪器仪表可选择与监测周期相应的短期监测仪器仪表,如钢弦式传感器、手持式应变计等仪器等。如需继续进行使用阶段的监测,则应选用稳定性和耐久性更好,并能满足长期监测要求的仪器仪表。
10.2.5 在编制施工阶段结构监测方案时,应根据施工方案和监测、控制的要求,对结构进行分析,提供经计算确定的参数正常范围和预警值。监测参数应与正常范围及预警值进行实时分析比较和判断,并根据监测结果对施工状态进行判断。监测结果应及时反馈给设计、施工部门,以验证设计与施工方案,并在出现异常情况时及时指导调整设计与施工的方案。
条文说明
10.2.5事先通过分析计算确定施工阶段监测参数的正常范围和预警值,才能在施工过程中实时对监测数据进行分析判断,反馈给相关部门并及时采取相应对策。
10.3 使用阶段监测
10.3 使用阶段监测
10.3.1 使用阶段结构监测宜采用无损监测方式,从正在使用的结构中实时获取并处理数据,评估结构的工作状态和性能,识别可能发生的损伤和结构性能退化,对结构性能的变化趋势进行预测,并为采取针对性措施提供指导。对使用阶段受力复杂或所处环境特殊的结构,可通过结构监测验证分析模型和设计理论,为结构维护和其他类似工程的设计提供依据。
条文说明
10.3.1对使用阶段结构进行监测的目的,在于评估结构在长期使用过程中不断变化的工作状态。与设计阶段的考虑不同,监测结构并对其进行安全性评估并非只考虑时间的影响,而是基于结构在使用阶段的实际承载受力状态。因此,使用阶段的监测更加客观,更能保障结构的耐久性及整个生命周期运行成本的合理配置。使用阶段监测和评估的结果,是对结构进行维修、加固或拆除等决策的依据。 虽然绝大多数结构使用阶段的监测都是从监控与评估出发的,但由于这些结构的力学和结构特点以及所处的特定环境,在设计阶段往往难以完全掌握和预测其材料特性和力学行为,分析时只能以很多假定条件为前提。因此,通过监测所获得的实际结构的动-静力行为,还可以用来验证理论模型和计算假定。另外,监测实际结构还可以作为研究类似结构的“现场实验室”,通过监测探索和研究未知领域。
10.3.2 对新型、复杂、设计使用年限较长、使用环境特殊的重要结构,为保证其使用的可靠性,可进行使用阶段的结构监测。使用阶段结构监测根据结构重要性可分为实时的在线监测和适时的定期监测。
条文说明
10.3.2由于使用阶段监测技术难度大、监测成本高,目前主要应用在核安全壳、大型的桥梁、大跨空间结构、超高层建筑、重要的公共建筑等结构中。这些受监测的结构,其力学性能、结构特点以及所处的特定环境,在设计阶段往往难以完全掌握和预测。因此,通过对结构进行监测,可以验证结构分析模型、计算假定和设计方法的合理性,为以后的设计和建造提供依据,进而使结构设计方法与相应的标准、规范得以改进。 监测应以简单、实用、性能可靠为原则。使用阶段的监测可以采用实时在线监测或适时的定期监测;也可将实时监测、定期监测与人工检测相结合。获得更加全面的测试指标和结构状态的信息。
10.3.3 使用阶段结构监测结果应能评估结构的主要力学性能,并预测其变化趋势。监测内容应根据监测目的和结构特点、使用功能、环境条件,从下列项目中选择相关的内容:
1 环境条件:包括结构所处环境的温度、湿度、气压、风力、风向等参数;
2 结构的整体性能:包括特定环境和使用条件下,结构材料特性、整体静力状态和动力特性的变化情况,也包括结构在强风、强地面运动下的非线性特性等;
3 结构关键部位的局部性能:包括结构边界和连接条件,构件、节点及连接部分的疲劳问题,构件的应力状态、损伤、变形以及预应力损失等;
4 材料性能劣化:包括混凝土的碳化、疏松、粉化、破碎等损伤以及钢筋锈蚀等。
条文说明
10.3.3针对不同的环境条件、使用功能和结构特点,使用阶段监测应该因地制宜,有针对性地对监测项目进行取舍,并区分主要和一般监测项目,以便突出重点,以较低的监测成本达到预期目的。
10.3.4 使用阶段监测应根据环境条件和监测期的要求选用技术成熟、性能稳定、耐久性能好、易于维护的仪器仪表。传感器及数据采集传输系统的精度、量程等应符合测试的要求。使用阶段监测的数据通信与传输系统在确保可靠的前提下,可根据实际情况选择有线网络或无线传输。
条文说明
10.3.4使用阶段的结构监测由于周期往往很长,选择仪器仪表时,应特别关注其稳定性、可靠性、耐久性及具有方便维护的性能。各个传感子系统宜采用独立模块设计,单个传感器或数据采集单元维护或更换时,应不至于影响整个系统的运行。
10.3.5 对进行使用阶段监测的结构,宜在施工阶段即进行相应参数的监测,并与使用阶段的监测相互衔接,使监测信息具有连续性、完整性和可靠性。
条文说明
10.3.5使用阶段的结构监测数据传输系统一般由三级网络系统构成,分别是工作站与服务器之间的一级传输网络、工作站与工作站之间的二级传输网络、传感器与工作站之间的三级传输网络。由于传输线路仅需要布设一次,实际工程的各级传输网络均较多地采用有线传输的方式,在条件受限等情况下,一级和二级传输网络也可采用无线传输方式。 使用阶段量测到的应变、变形等指标均为相对量。从施工阶段即开始监测有助于更加全面地掌握结构的性能参数。
10.3.6 结构材料性能劣化的监测可根据需要选择下列方法:
1 观察法:直接观察构件表面混凝土的外观状态,根据裂缝、疏松、粉化、破碎以及顺筋开裂、褐色锈渍等现象加以判断;必要时可用水润法判断微小裂缝;
2 剔凿法:对怀疑有缺陷的部位,可将混凝土剔凿到一定深度,观察其内部的裂缝、破损情况,或钢筋表面的锈蚀程度,也可用钻芯法作更深的取样和观察;
3 碳化深度测定:配合剔凿,利用酚酞试液测定混凝土的碳化深度。
条文说明
10.3.6对使用寿命较长或环境条件恶劣的混凝土结构,材料性能劣化状态的监测是结构使用阶段监测的重要内容,主要包括混凝土的碳化深度、结构混凝土的开裂及破损、钢筋的锈蚀等。由于测试手段的局限性,一般需要采取人工观察及辅助检测的方法。更深入的耐久性监测应按照有关标准及专门的规定进行。
10.3.7 在编制使用阶段监测方案时,应分析结构可能出现的异常行为,明确监控参数的正常范围和预警值。使用阶段监测应根据当前监测结果并参考结构长期监测的数据,判断结构的实时工作状态和安全性,并预测结构性能的变化趋势。
条文说明
10.3.7使用阶段结构监测系统应存储各种历史监测数据,与当前监测的结果进行对比、分析,并对结构的安全性、适用性和耐久性给出定性或定量的评价,为结构维护、维修提供依据。
10.4 结构动力特性测试
10.4 结构动力特性测试
10.4.1 对大跨、超高、对振动有特殊要求的混凝土结构或当动力特性对结构的可靠性评估起重要作用时,宜进行结构动力特性测试。
条文说明
10.4.1结构振动的影响表现在三个方面: 1对结构的损害,如工厂振动、施工振动和交通振动等导致结构或构件的开裂、基础变形或下沉等; 2对人体的影响,振动影响人体的舒适度甚至危害人的健康; 3对仪器、设备的影响。 受振动影响明显的混凝土结构主要包括大跨结构、超高结构等,由于自振频率较低,振动影响显著。还有部分结构由于使用功能的原因,对振动影响提出更高的要求,需要通过动力特性测试,确定振动影响程度.便于采取相应措施。
10.4.2 动力特性测试系统应由激励系统、传感器和动态信号采集分析系统组成。测试仪器的灵敏度和频率响应等性能指标应满足测试要求,并应在使用前对其性能指标进行校准。
条文说明
10.4.2结构动力特性测试可根据测试目的选择下列人工激励或天然脉动激励方式和设备: 1激励方式 原位测试结构的自振频率、基本振型和阻尼比时,激励方式宜采用天然脉动条件下的环境激励方式,测试时应避免外界机械、车辆等引发的振动。 需要测试结构平面内多个振型时,宜选用稳态正弦扫频激振法。 需要测试结构空间振型时,宜选用多振源相位控制同步的稳态正弦扫频微振法。 2激振设备 当采用稳态正弦扫频激振法时,宜采用旋转惯性机械起振机,也可采用液压伺服激振器。激振器的位置和激振力应合理选择,防止被测试结构的振型畸变,激振器激励位置避开结构低阶振型节点或节线。 3量测仪器 目前动态信号采集分析系统多采用高度集成的模块化设计,集信号调理器、低通滤波器、放大器、抗混滤波器、A/D转换器等功能于一体。随着无线传输技术的发展,各种组合式测试系统还可采用无线传输的方式。 动力特性测试系统仪器中的某些原件的电气性能和机械性能会因使用程度和时间而有所变化,各类传感器、放大器和采集记录等设备需配套使用,且需要定期进行校准。校准内容主要包括灵敏度、频率响应和线性度,根据需要有时尚需进行自振频率、阻尼系数、横向灵敏度等项目的校准。仪器的校准方法有分部校准和系统校准两种,为保证各级仪器之间的耦合和匹配关系,并取得较高的精度,宜采用系统校准法。
10.4.3 动力特性测试项目可包括结构自振频率、振型和阻尼比等动力特性的测试以及结构受振动源激励后的位移、速度、加速度以及动应变等动力响应的测试,测试时应根据需要选择不同的测量参数。
条文说明
10.4.3本条列举了一般的动力特性测试项目,具体项目和测量参数应根据结构特点和测试目的确定。对吊车梁等承受移动荷载的结构,有时还需要测定结构的动力系数。
10.4.4 动力特性测试方案应明确测试目的、主要测试内容、测试仪器和设备、测试方法以及测点布置等。测试前应大致了解振动类型、幅值和结构固有的动力特性,并预估对结构起主导作用或危害最大的主要动荷载及其特性。
条文说明
10.4.4动力特性测试前应编制测试方案并进行必要的计算分析,在明确测试目的和主要项目的前提下,通过分析预估所测试参数的大致范围,以便选择合适的仪器和设备,并选择合理的测点和采样频率、数据采集时间等测试参数。
10.4.5 现场动力特性测试可按下列步骤进行:
1 根据测试方案准备仪器和设备,确定合适的量测范围;
2 根据场地情况、测试要求和结构特点布置测点;
3 在测点布置传感器,传感器的主轴方向应与测点主振动方向一致;
4 连接导线(包括屏蔽线和接地线),对整个测量系统进行调试;
5 合理设置测试参数;
6 采集数据并保存。
条文说明
10.4.5本条列举了一般动力特性测试的基本步骤,布置传感器时应考虑下列要求: 1测定结构动力特性时,传感器安装的位置应能反映结构的动力特性; 2传感器在结构平面内的布置,对于规则结构,以测试平动振动为主,测试时传感器应安放在典型结构层靠近质心位置;对于不规则结构,除测试平动振动外,尚应在典型结构层的平面端部设置传感器,测试结构的扭转振动; 3传感器沿结构竖向宜均匀布置,且尽量避开存在人为干扰的位置; 4传感器与结构之间应有良好的接触,不应有架空隔热板等隔离层,并应可靠固定; 5传感器的灵敏度主轴方向应与测试方向一致; 6当进行环境激励的动力特性测试时,如传感器数量不足需要作多次测试,每次测试中应至少保留一个共同的参考点。 现场测试保存数据后进行简单处理和分析。如实测结果与预估情况基本一致,则现场测试结束;如实测结果与预估情况相差较大,并导致不满足数据分析的要求,则需要调整仪器设备或测试参数,然后重新进行测试。
10.4.6 对结构自振频率、振型和阻尼比等动力特性参数的测试及动力响应测试应同步量测多通道的时域曲线,采样频率应满足采样定理的要求。
条文说明
10.4.6采样是将连续振动信号在时间上的离散化,理论上采样频率越高,所得离散信号就越逼近于原信号,但过高的采样频率对固定长度的信号,采集到过大的数据量,给计算机增加不必要的计算工作量和存储空间;若数据量限定,则采样时间过短,会导致一些数据被排斥在外。如采样频率过低,采样点间隔过远,则离散信号不足以反映原有信号波形特征,无法使信号复原,造成频率混叠。根据采样定理,不产生频率混叠的最低采样频率应为最高分析频率的2倍,结构动力特性测试的采样频率一般可取结构最高阶频率的3倍~5倍,如最高阶频率估计不准,则可取4倍~10倍。
10.4.7 为计算结构动力特性参数,动力特性测试数据的分析处理可采用频域分析法或时域分析法。对环境激励下的非平稳随机过程,也可同时在时、频两域进行联合分析。
条文说明
10.4.7计算结构动力特性参数的频域分析法,是基于结构频响函数在频域内分析结构的自振频率、阻尼比和振型等模态参数的方法。时域分析法是基于结构脉响函数在时间域内分析结构动力特性参数的方法。为减小各种干扰因素的影响,对频域数据应采用滤波、零均值化等方法进行预处理;对时域数据应进行零点漂移、记录波形和记录长度检验等预处理。 结构的自振频率可采用自功率谱或傅里叶谱方法进行计算;结构的阻尼比可采用半功率点法或自相关函数进行计算,有激励条件时可按时程自由衰减曲线求取;结构的振型宜采用自谱分析、互谱分析或传递函数分析等方法计算。
10.4.8 结构动力特性和动力响应影响的评价,应根据现场的调查状况、结构及人体的容许限值,通过分析论证,提出评价意见。
条文说明
10.4.8结构动力特性和动力响应影响分析与评价的目的在于验证理论计算,为工程结构的设计积累技术资料或通过分析结构的振动现象,寻找减小振动的途径,因此进行动力性能测试已经成为结构监测的重要内容。振动对结构损害及人体舒适度影响的有关容许限值,可参照国内外的相关标准。 结构动力特性与结构的性能有直接的关系,因此根据结构自振频率、振型、阻尼比等动力特性的测试结果,可从下列几方面对结构性能进行分析和判断: 1结构频率的实测值如果大于理论值,说明结构实际刚度比理论估算值偏大或实际质量比理论估算偏小;反之说明结构实际刚度比理论估算偏小或实际质量比理论估算偏大。如结构使用一段时间后自振频率减小,则可能存在开裂或其他不正常现象。 2结构振型应当与计算吻合,如果存在明显差异,应分析结构的荷载分布、施工质量或计算模型可能存在的误差,并应分析其影响和应对措施。 3结构的阻尼比实测值如果大于理论值,说明结构耗散外部输入能量的能力强,振动衰减快;反之说明结构耗散外部输入能量的能力差,振动衰减慢;如阻尼比过大,应判断是否因裂缝等不正常因素所致。
11 试验安全
11 试验安全
11.0.1 结构试验方案应包含保证试验过程中人身和设备仪表安全的措施及应急预案。试验前试验人员应学习、掌握试验方案中的安全措施及应急预案;试验中应设置熟悉试验工作的安全员,负责试验全过程的安全监督。
条文说明
11.0.1试验方案中安全措施是重点考虑的内容之一,安全措施和责任应落实到人,并认真执行。
11.0.2 制定结构加载方案时,应采用安全性高、有可靠保护措施的加载方式,避免在加载过程中结构破坏或加载能量释放伤及试验人员或造成设备、仪表损坏。
条文说明
11.0.2试验应选择安全性高的加载方式并制定完善的安全措施,如采用可控的位移加载、带可调整支垫的悬挂重物加载等方式。
11.0.3 在试验准备工作中,试验试件、加载设备、荷载架等的吊装,设备仪表、电气线路等的安装,试验后试件和试验装置的拆除,均应符合有关建筑安装工程安全技术规定的要求。吊车司机、起重工、焊工、电工等试验人员需经专业培训,且具有相应的资质。试验加载过程中,所有设备、仪表的使用均应严格遵守有关的操作规程。
条文说明
11.0.3试验设备和试件安装中的安全措施及相关人员的资质,与建筑安装工程的要求基本相同,应参照安装工程的有关规定执行。
11.0.4 试验用的荷载架、支座、支墩、脚手架等支承及加载装置均应有足够的安全储备,现场试验的地基应有足够的承载力和刚度。安装试件的固定连接件、螺栓等应经过验算,并保证发生破坏时不致弹出伤人。
条文说明
11.0.4设计承力装置时,应考虑试验过程中的各种不利因素以及动力效应的影响,且留有足够的安全储备。
11.0.5 试验过程中应确保人员安全,试验区域应设置明显的标志。试验过程中,试验人员测读仪表、观察裂缝和进行加载等操作均应有可靠的工作台或脚手架。工作台和脚手架不应妨碍试验结构的正常变形。
条文说明
11.0.5本条规定了试验过程中保护试验人员操作和观测安全的措施。
11.0.6 试验人员应与试验设施保持足够的安全距离,或设置专门的防护装置,将试件与人员和设备隔离,避免因试件、堆载或试验设备倒塌及倾覆造成伤害。对可能发生试件脆性破坏的试验,应采取屏蔽措施,防止试件突然破坏时碎片或者锚具等物体飞出危及人身、仪表和设备的安全。
条文说明
11.0.6对可能在试验过程中出现的各种意外,如试件或装置的倒塌、倾覆、高强度混凝土的崩裂、预应力筋断裂导致的锚具弹出等,均应予以足够的重视,必要时应采取专门的防护措施。试验前应对可能发生破坏的部位进行预测,并进行屏蔽和防护。试验过程中危险部位的数据量测宜采用自动仪表,试验现象可采用摄像机等进行记录。
11.0.7 对桁架、薄腹梁等容易倾覆的大型结构构件,以及可能发生断裂、坠落、倒塌、倾覆、平面外失稳的试验试件,应根据安全要求设置支架、撑杆或侧向安全架,防止试件倒塌危及人员及设备安全。支架、撑杆或侧向安全架与试验试件之间应保持较小间隙,且不应影响结构的正常变形;悬吊重物加载时,应在加载盘下设置可调整支垫,并保持较小间隙,防止因试件脆性破坏造成的坠落(图11.0.7)。

条文说明
11.0.7本条列出了对大型试件或结构原位加载应采取的安全措施,可供试验参考,试验者也可根据试验条件和经验采取其他合理措施。
11.0.8 试验用的千斤顶、分配梁、仪表等应采取防坠落措施。仪表宜采用防护罩加以保护。当加载至接近试件极限承载力时,宜拆除可能因结构破坏而损坏的仪表,改用其他量测方法;对需继续量测的仪表,应采取有效的保护措施。
条文说明
11.0.8对位移的测量,在破坏前可拆除位移计、百分表,采用激光测距仪、水准仪或拉线-直尺等仪器测量位移。
附录A预制构件结构性能试验检验记录表
附录A 预制构件结构性能试验检验记录表

附录B结构监测仪表和传感器
附录B 结构监测仪表和传感器

本标准用词说明
本标准用词说明
1 为了便于在执行本标准条文时区别对待,对要求严格程度不同的用词说明如下:
1)表示很严格,非这样做不可的用词:
正面词采用“必须”,反面词采用“严禁”;
2)表示严格,在正常情况均应这样做的用词:
正面词采用“应”,反面词采用“不应”或“不得”;
3)表示允许稍有选择,在条件许可时首先应这样做的用词:
正面词采用“宜”,反面词采用“不宜”;
4)表示有选择,在一定条件下可以这样做的用词:采用“可”。
2 条文中指明应按其他有关标准执行的写法为: “应符合……的规定”或“应按……执行”。
引用标准名录
引用标准名录
1 《建筑结构荷载规范》GB 50009
2 《混凝土结构设计规范》GB 50010
3 《普通混凝土力学性能试验方法标准》GB/T 50081
4 《工程结构可靠性设计统一标准》GB 50153
5 《混凝土结构工程施工质量验收规范》GB 50204
6 《建筑结构检测技术标准》GB/T 50344
