Appearance
《建筑结构可靠性设计统一标准》GB 50068-2018
🗓️ 实施时间:
总 则
1 总 则
条文说明
编制说明
《建筑结构可靠性设计统一标准》GB 50068-2018经住房和城乡建设部2018年11月1日以第263号公告批准、发布。
本标准是在《建筑结构可靠度设计统一标准》GB 50068-2001的基础上修订而成的。《建筑结构可靠度设计统一标准》GB 50068-2001的主编单位是中国建筑科学研究院;参加单位是:中国建筑东北设计研究院、重庆大学、中南建筑设计院、四川省建筑科学研究院、福建师范大学;主要起草人员是:李明顺、胡德炘、史志华、陶学康、陈基发、白生翔、苑振芳、戴国欣、陈雪庭、王永维、钟亮、戴国莹、林忠民。
本标准修订过程中,编制组进行了广泛的调查研究,总结了我国工程建设的实践经验,同时参考了国外先进技术标准,许多单位和学者进行了大量的研究,为本次修订提供了极有价值的参考资料。
为了便于广大设计、施工、科研、学校等单位有关人员在使用标准时正确理解和执行条文规定,编制组按章、节、条顺序编制了本标准的条文说明,对条文规定的目的、依据以及执行中需注意的有关事项进行了说明,还着重对强制性条文的强制性理由作了解释。但是,本条文说明不具备与标准正文同等的法律效力,仅供使用者作为理解和把握标准规定的参考。
1.0.1 为统一各种材料的建筑结构可靠性设计的基本原则、基本要求和基本方法,使结构符合可持续发展的要求,并符合安全可靠、经济合理、技术先进、确保质量的要求,制定本标准。
条文说明
1.0.1 本标准是我国建筑结构领域的一本重要的基础性国家标准,是制定建筑结构其他相关标准的基础。本标准对各种材料的建筑结构可靠性设计的基本原则、基本要求和基本方法作出了统一规定,其目的是使设计建造的各种材料的建筑结构能够满足确保人的生命和财产安全,并符合国家的技术经济政策的要求。
“可持续发展”越来越成为各类工程结构发展的主题,根据《工程结构可靠性设计统一标准》GB?50153-2008,本次修订中增加了“使结构符合可持续发展的要求”。
对于建筑结构而言,可持续发展需要考虑经济、环境和社会三个方面的内容:
1 经济方面。应尽量减少从工程的规划、设计、建造、使用、维修直至拆除等各阶段费用的总和,而不是单纯从某一阶段的费用进行衡量。以墙体为例,如仅着眼于降低建造费用而使墙体的保暖性不够,则在使用阶段的采暖费用必然增加,就不符合可持续发展的要求。
2 环境方面。要做到减少原材料和能源的消耗,减少污染。建筑工程对环境的冲击性很大。以建筑结构中大量采用的钢筋混凝土为例,减少对环境冲击的方法有提高水泥、混凝土、钢材的性能和强度,淘汰低性能和强度的材料;提高钢筋混凝土的耐久性;利用粉煤灰等作为水泥的部分替代用品(生产水泥时会产生大量的二氧化碳),利用混凝土碎块作为骨料的部分替代用品等。
3 社会方面。要保护使用者的健康和舒适,保护建筑工程的文化价值。可持续发展的最终目标还是发展,建筑结构的性能、功能必须好,能满足使用者日益提高的要求。
为了提高可持续性的应用水平,国际上正在做出努力,例如,国际标准化组织编制的国际标准或技术规程有《房屋建筑的可持续性——总原则》ISO 15392、《房屋建筑的可持续性——建筑工程环境性能评估方法框架》ISO/TS 21931(Sustainability in building construction—Framework for methods of assessment for environmental performance of construction work)等。
1.0.2 本标准适用于整个结构、组成结构的构件以及地基基础的设计;适用于结构施工阶段和使用阶段的设计;适用于既有结构的可靠性评定。既有结构的可靠性评定,可根据本标准附录A的规定进行。
条文说明
1.0.2 本条规定了本标准的适用范围。本标准作为我国建筑结构领域的一本基础标准,所规定的基本原则、基本要求和基本方法适用于整个结构、组成结构的构件及地基基础的设计;适用于结构的施工阶段和使用阶段;也适用于既有结构的可靠性评定。
1.0.3 本标准依据现行国家标准《工程结构可靠性设计统一标准》GB 50153的原则制定,是建筑结构可靠性设计的基本要求。
1.0.4 建筑结构设计宜采用以概率理论为基础、以分项系数表达的极限状态设计方法;当缺乏统计资料时,建筑结构设计可根据可靠的工程经验或必要的试验研究进行,也可采用容许应力或单一安全系数等经验方法进行。
条文说明
1.0.4 我国在建筑结构设计领域积极推广并已得到广泛采用是以概率理论为基础、以分项系数表达的极限状态设计方法,但这并不意味着要排斥其他有效的结构设计方法,采用什么样的结构设计方法,应根据实际条件确定。概率极限状态设计方法需要以大量的统计数据为基础,当不具备这一条件时,建筑结构设计可根据可靠的工程经验或通过必要的试验研究进行,也可继续按传统模式采用容许应力或单一安全系数等经验方法进行。
荷载对结构的影响除了其量值的大小外,荷载的离散性对结构的影响也相当大,因而不同的荷载采用不同的分项系数,如永久荷载分项系数较小,风荷载分项系数较大;另一方面,荷载对地基的影响除了其量值大小外,荷载的持续性对地基的影响也很大。例如对一般的房屋建筑,在整个使用期间,结构自重始终持续作用,因而对地基的变形影响大,而风荷载标准值的取值为平均50年一遇值,因而对地基承载力和变形影响均相对较小,有风组合下的地基容许承载力应该比无风组合下的地基容许承载力大。
基础设计时,如用容许应力方法确定基础底面积,用极限状态方法确定基础厚度及配筋,虽然在基础设计上用了两种方法,但实际上也是可行的。
除上述两种设计方法外,还有单一安全系数方法,如在地基稳定性验算中,要求抗滑力矩与滑动力矩之比大于安全系数K。
钢筋混凝土挡土墙设计是三种设计方法有可能同时应用的一个例子:挡土墙的结构设计采用极限状态法,稳定性(抗倾覆稳定性、抗滑移稳定性)验算采用单一安全系数法,地基承载力计算采用容许应力法。如对结构和地基采用相同的荷载组合和相同的荷载系数,表面上是统一了设计方法,实际上是不正确的。
设计方法虽有上述三种可用,但结构设计仍应采用极限状态法,有条件时采用以概率理论为基础的极限状态法。欧洲规范为极限状态设计方法用于土工设计,使极限状态方法在建筑结构设计中得以全面实施,已经作出努力,在欧洲规范7《土工设计》(Eurocode 7 Geotechnical design)中,专门列出了土工设计状况。在土工设计状况中,各分项系数与持久、短暂设计状况中的分项系数有所不同。因缺乏这方面的研究工作基础,本次修订未能对土工设计状况作出明确的表述。
1.0.5 制定建筑结构荷载标准、各种材料的结构设计标准以及其他相关标准时,应符合本标准规定的基本准则,并应制定相应的具体规定。
1.0.6 建筑结构设计除应符合本标准的规定外,尚应符合国家现行有关标准的规定。
条文说明
1.0.5、1.0.6 本标准是制定建筑结构荷载标准和各种材料建筑结构设计标准及其他相关标准应遵守的基本准则,但并不能替代它们。如从结构设计看,本标准主要制定了各种材料建筑结构设计所共同面临的各种基本变量(作用、环境影响、材料性能和几何参数)的取值原则、作用组合的规则、作用组合效应的确定方法等,结构设计中各基本变量的具体取值及在各种受力状态下作用效应和结构抗力具体计算方法,应由各种材料建筑结构设计标准和其他相关标准作出相应规定。
术语和符号
2.1 术 语
2.1 术 语
条文说明
本章的术语和符号主要依据国家标准《工程结构设计基本术语标准》GB/T 50083-2014、《工程结构设计通用符号标准》GB/T 50132-2014、国际标准《结构可靠性总原则》ISO 2394:2015和国家标准《工程结构可靠性设计统一标准》GB 50153-2008,并参考欧洲规范《结构设计基础》EN 1990:2002等。
2.1.1 结构 structure
能承受作用并具有适当刚度的由各连接部件有机组合而成的系统。
2.1.2 结构构件 structural member
结构在物理上可以区分出的部件。
条文说明
2.1.2 结构构件
例如,柱、梁、板、基桩等。
2.1.3 结构体系 structural system
结构中的所有承重构件及其共同工作的方式。
2.1.4 结构模型 structural model
用于结构分析、设计等的理想化的结构体系。
2.1.5 设计使用年限 design service life
设计规定的结构或结构构件不需进行大修即可按预定目的使用的年限。
条文说明
2.1.5 设计使用年限
在2000年第279号国务院令颁布的《建设工程质量管理条例》中,规定了基础设施工程、房屋建筑的地基基础工程和主体结构工程的最低保修期限为设计文件规定的该工程的“合理使用年限”;《结构可靠性总原则》ISO 2394:1998中,提出了“设计工作年限(design working life)”,其含义与“合理使用年限”相当。
在原国家标准《建筑结构可靠度设计统一标准》GB 50068-2001中,已将“合理使用年限”与“设计工作年限”统一称为“设计使用年限”,并规定建筑结构在超过设计使用年限后,应进行可靠性评估,根据评估结果,采取相应措施,并重新界定其使用年限。
设计使用年限是设计规定的一个时段,在这一规定时段内,结构只需进行正常的维护而不需进行大修就能按预期目的使用,完成预定的功能,即建筑结构在正常使用的维护下所应达到的使用年限,如达不到这个年限则意味着在设计、施工、使用与维护的某一或某些环节上出现了非正常情况,应查找原因。所谓“正常维护”包括必要的检测、防护及维修。
2.1.6 设计状况 design situations
表征一定时段内实际情况的一组设计条件,设计应做到在该组条件下结构不超越有关的极限状态。
条文说明
2.1.6 设计状况以房屋建筑为例,建筑结构承受家具和正常人员荷载的状况属持久状况;结构施工时承受堆料荷载的状况属短暂状况;结构遭受火灾、爆炸、撞击等作用的状况属偶然状况;结构遭受地震作用的状况属地震状况。
2.1.7 持久设计状况 persistent design situation
在结构使用过程中一定出现,且持续期很长的设计状况,其持续期一般与设计使用年限为同一数量级。
2.1.8 短暂设计状况 transient design situation
在结构施工和使用过程中出现概率较大,而与设计使用年限相比,其持续期很短的设计状况。
2.1.9 偶然设计状况 accidental design situation
在结构使用过程中出现概率很小,且持续期很短的设计状况。
2.1.10 地震设计状况 seismic design situation
结构遭受地震时的设计状况。
2.1.11 荷载布置 load arrangement
在结构设计中,对自由作用的位置、大小和方向的合理确定。
条文说明
2.1.11 荷载布置
荷载布置就是布置荷载的位置、大小和方向。只有自由作用有荷载布置的问题,固定作用不存在这个问题。荷载布置通常被称为图形加载。荷载布置的一个最简单例子,如对一根多跨连续梁,有各跨均加载、每隔一跨加载或相邻二跨加载而其余跨均不加载等荷载布置。
2.1.12 荷载工况 load case
为特定的验证目的,一组同时考虑的固定可变作用、永久作用、自由作用的某种相容的荷载布置以及变形和几何偏差。
条文说明
2.1.12 荷载工况
荷载工况就是确定荷载组合和每一种荷载组合下的各种荷载布置。假设某一结构设计共有3种荷载组合,荷载组合①有3种荷载布置,组合②有4种荷载布置,组合③有12种荷载布置,则该结构设计共有19种荷载工况。设计时对每一种荷载工况都要按本标准式(8.2.4)计算出荷载效应,结构各截面的荷载效应最不利值就是按式(8.2.4)计算的基本组合的效应设计值。
除有经验、有把握排除对设计不起控制的荷载工况外,对每一种荷载工况均需要进行相应的结构分析。分析的目的是要找到各个截面、各个构件、结构各个部分及整个结构的最不利荷载效应。只要达到这个目的,任何计算过程都是可以的。
当荷载与荷载效应为线性关系时,叠加原理适用,荷载组合可转换为荷载效应叠加,即用本标准式(8.2.4-2)取代式(8.2.4-1),此时,可先对每一种荷载(每一种布置),计算出其荷载效应,然后按式(8.2.4-2)进行荷载效应叠加。
2.1.13 极限状态 limit states
整个结构或结构的一部分超过某一特定状态就不能满足设计规定的某一功能要求,此特定状态为该功能的极限状态。
2.1.14 承载能力极限状态 ultimate limit states
对应于结构或结构构件达到最大承载力或不适于继续承载的变形的状态。
2.1.15 正常使用极限状态 serviceability limit states
对应于结构或结构构件达到正常使用的某项规定限值的状态。
2.1.16 不可逆正常使用极限状态 irreversible serviceability limit states
当产生超越正常使用要求的作用卸除后,该作用产生的后果不可恢复的正常使用极限状态。
2.1.17 可逆正常使用极限状态 reversible serviceability limit states
当产生超越正常使用要求的作用卸除后,该作用产生的后果可以恢复的正常使用极限状态。
2.1.18 耐久性极限状态 durability limit states
对应于结构或结构构件在环境影响下出现的劣化达到耐久性能的某项规定限值或标志的状态。
条文说明
2.1.18 耐久性极限状态
当环境影响的效应明确时,宜采用耐久性能的某项规定限值界定耐久性极限状态,如混凝土结构中钢筋达到锈蚀的碳化深度、临界氯离子浓度等;对无法定量化的状态,可采用耐久性能的某项标志界定耐久性极限状态,如钢结构中构件出现锈蚀迹象,砌体结构中构件表面出现冻融损伤,木结构中胶合木结构防潮层丧失防护作用或出现脱胶现象等。
2.1.19 抗力 resistance
结构或结构构件承受作用效应和环境影响的能力。
条文说明
2.1.19 抗力
例如,承载力、刚度、抗裂度及材料的抗劣化能力等。
2.1.20 结构整体稳固性 structural integrity;structural robustness
当发生火灾、爆炸、撞击或人为错误等偶然事件时,结构整体能保持稳固且不出现与起因不相称的破坏后果的能力。
条文说明
2.1.20 结构的整体稳固性
结构的整体稳固性系指结构在遭遇偶然事件时,仅产生局部的损坏而不致出现与起因不相称的整体性破坏。
2.1.21 关键构件 key member;key element
结构承载能力极限状态性能所依赖的结构构件。
条文说明
2.1.21 关键构件
采用国际标准《结构可靠性总原则》ISO?2394:2015关于“key?element”的术语2.1.24 可靠度
对于新建结构,“规定的时间”是指设计使用年限。结构的可靠度是对可靠性的定量描述,即结构在规定的时间内,在规定的条件下,完成预定功能的概率。这是从统计数学观点出发的比较科学的定义,因为在各种随机因素的影响下,结构完成预定功能的能力只能用概率来度量。结构可靠度的这一定义,与其他各种从定值观点出发的定义是有本质区别的。
2.1.22 连续倒塌 progressive collapse
初始的局部破坏,从构件到构件扩展,最终导致整个结构倒塌或与起因不相称的一部分结构倒塌。
2.1.23 可靠性 reliability
结构在规定的时间内,在规定的条件下,完成预定功能的能力。
2.1.24 可靠度 degree of reliability;reliability
结构在规定的时间内,在规定的条件下,完成预定功能的概率。
条文说明
2.1.24 可靠度
对于新建结构,“规定的时间”是指设计使用年限。结构的可靠度是对可靠性的定量描述,即结构在规定的时间内,在规定的条件下,完成预定功能的概率。这是从统计数学观点出发的比较科学的定义,因为在各种随机因素的影响下,结构完成预定功能的能力只能用概率来度量。结构可靠度的这一定义,与其他各种从定值观点出发的定义是有本质区别的。
2.1.25 失效概率Pf probability of failure Pf
结构不能完成预定功能的概率。
2.1.26 可靠指标β reliability index β
度量结构可靠度的数值指标,可靠指标β为失效概率Pf负的标准正态分布函数的反函数。
条文说明
2.1.26 可靠指标β
对于新建结构,与可靠度相对应的可靠指标β,是指设计使用年限的β。
2.1.27 基本变量 basic variable
代表物理量的一组规定的变量,用于表示作用和环境影响、材料和岩土的性能以及几何参数的特征。
2.1.28 功能函数 performance function
关于基本变量的函数,该函数表征一种结构功能。
2.1.29 概率分布 probability distribution
随机变量取值的统计规律,一般采用概率密度函数或概率分布函数表示。
2.1.30 统计参数 statistical parameter
在概率分布中用来表示随机变量取值的平均水平和离散程度的数字特征。
条文说明
2.1.30 统计参数
例如,平均值、标准差、变异系数等。
2.1.31 分位值 fractile
与随机变量概率分布函数的某一概率相应的值。
2.1.32 名义值 nominal value
用非统计方法确定的值。
条文说明
2.1.32 名义值
例如,根据物理条件或经验确定的值。
2.1.33 极限状态法 limit state method
不使结构超越某种规定的极限状态的设计方法。
2.1.34 容许应力法 permissible stress method,allowable stress method
使结构或地基在作用标准值下产生的应力不超过规定的容许应力的设计方法。
条文说明
2.1.34 容许应力法
结构或地基规定的容许应力由材料或岩土强度标准值除以某一安全系数得到。
2.1.35 单一安全系数法 single safety factor method
使结构或地基的抗力标准值与作用标准值的效应之比不低于某一规定安全系数的设计方法。
2.1.36 作用 action
施加在结构上的集中力或分布力和引起结构外加变形或约束变形的原因。前者为直接作用,也称为荷载;后者为间接作用。
2.1.37 外加变形 imposed deformations
结构在地震、不均匀沉降等因素作用下,边界条件发生变化而产生的位移和变形。
2.1.38 约束变形 constrained deformations
结构在温度变化、湿度变化及混凝土收缩等因素作用下,由于存在外部约束而产生的内部变形。
2.1.39 作用效应 effect of action
由作用引起的结构或结构构件的反应。
条文说明
2.1.39 作用效应
例如,内力、变形和裂缝等。
2.1.40 单个作用 single action
可认为与结构上的任何其他作用之间在时间和空间上为统计独立的作用。
2.1.41 永久作用 permanent action
在设计使用年限内始终存在且其量值变化与平均值相比可以忽略不计的作用;或其变化是单调的并趋于某个限值的作用。
2.1.42 可变作用 variable action
在设计使用年限内其量值随时间变化,且其变化与平均值相比不可忽略不计的作用。
2.1.43 偶然作用 accidental action
在设计使用年限内不一定出现,而一旦出现其量值很大,且持续期很短的作用。
2.1.44 地震作用 seismic action
地震动对结构所产生的作用。
2.1.45 土工作用 geotechnical action
由岩土、填方或地下水传递到结构上的作用。
2.1.46 固定作用 fixed action
在结构上具有固定空间分布的作用。当固定作用在结构某一点上的大小和方向确定后,该作用在整个结构上的作用即得以确定。
2.1.47 自由作用 free action
在结构上给定的范围内具有任意空间分布的作用。
2.1.48 静态作用 static action
使结构产生的加速度可以忽略不计的作用。
2.1.49 动态作用 dynamic action
使结构产生的加速度不可忽略不计的作用。
2.1.50 有界作用 bounded action
具有不能被超越的且可确切或近似掌握界限值的作用。
2.1.51 无界作用 unbounded action
没有明确界限值的作用。
2.1.52 作用的标准值 characteristic value of an action
作用的主要代表值。可根据对观测数据的统计、作用的自然界限或工程经验确定。
2.1.53 设计基准期 design reference period
为确定可变作用等取值而选用的时间参数。
条文说明
2.1.53 设计基准期
原标准中的设计基准期,一是用于可靠指标β,指设计基准期的β,二是用于可变作用的取值。本标准中设计基准期只用于可变作用的取值。
设计基准期是为确定可变作用的取值而规定的标准时段,它不等同于结构的设计使用年限。设计如需采用不同的设计基准期,则必须相应确定在不同的设计基准期内最大作用的概率分布及其统计参数。
2.1.54 可变作用的组合值 combination value of a variable action
使组合后的作用效应的超越概率与该作用单独出现时其标准值作用效应的超越概率趋于一致的作用值;或组合后使结构具有规定可靠指标的作用值。可通过组合值系数对作用标准值的折减来表示。
条文说明
2.1.54 可变作用的组合值~2.1.56?可变作用的准永久值
根据组合值系数ψc、频遇值系数ψf和准永久值系数ψq的定义,它们之间一般存在ψq≤ψf≤ψc≤1关系。
2.1.55 可变作用的频遇值 frequent value of a variable action
在设计基准期内被超越的总时间占设计基准期的比率较小的作用值;或被超越的频率限制在规定频率内的作用值。可通过频遇值系数对作用标准值的折减来表示。
2.1.56 可变作用的准永久值 quasi-permanent value of a variable action
在设计基准期内被超越的总时间占设计基准期的比率较大的作用值。可通过准永久值系数对作用标准值的折减来表示。
2.1.57 可变作用的伴随值 accompanying value of a variable action
在作用组合中,伴随主导作用的可变作用值。可变作用的伴随值可以是组合值、频遇值或准永久值。
条文说明
2.1.57 可变作用的伴随值
在作用组合中,伴随主导作用的可变作用值。主导作用:在作用的基本组合中为代表值采用标准值的可变作用;在作用的偶然组合中为偶然作用;在作用的地震组合中为地震作用。
2.1.58 作用的代表值 representative value of an action
极限状态设计所采用的作用值。它可以是作用的标准值或可变作用的伴随值。
条文说明
2.1.58 作用的代表值
作用代表值包括作用标准值、组合值、频遇值和准永久值,其量值从大到小的排序依次为:作用标准值>组合值>频遇值>准永久值。这四个值的排序不可颠倒,但个别种类的作用,组合值与频遇值可能取相同值。
2.1.59 作用的设计值 design value of an action
作用的代表值与作用分项系数的乘积。
2.1.60 作用组合 combination of actions;荷载组合 load combination
在不同作用的同时影响下,为验证某一极限状态的结构可靠度而采用的一组作用设计值。
条文说明
2.1.60 作用组合;荷载组合
原标准《建筑结构可靠度设计统一标准》GB 50068-2001在术语上都是沿用作用效应组合,在概念上主要强调的是在设计时对不同作用(或荷载)经过合理搭配后,将其在结构上的效应叠加的过程。实际上在结构设计中,当作用与作用效应间为非线性关系时,作用组合时采用简单的线性叠加就不再有效,因此在采用效应叠加时,还必须强调作用与作用效应“可按线性关系考虑”的条件。为此,在不同作用(或荷载)的组合时,不再强调在结构上效应叠加的涵义,而且其组合内容,除考虑它们的合理搭配外,还应考虑它们在某种极限状态结构设计表达式中设计值的规定,以保证结构具有必要的可靠度。
2.1.61 环境影响 environmental influence
环境对结构产生的各种机械的、物理的、化学的或生物的不利影响。环境影响会引起结构材料性能的劣化,降低结构的安全性或适用性,影响结构的耐久性。
2.1.62 材料性能的标准值 characteristic value of a material property
符合规定质量的材料性能概率分布的某一分位值或材料性能的名义值。
2.1.63 材料性能的设计值 design value of a material property
材料性能的标准值除以材料性能分项系数所得的值。
2.1.64 几何参数的标准值 characteristic value of a geometrical parameter
设计规定的几何参数公称值或几何参数概率分布的某一分位值。
2.1.65 几何参数的设计值 design value of a geometrical parameter
几何参数的标准值增加或减少一个几何参数的附加量所得的值。
2.1.66 结构分析 structural analysis
确定结构上作用效应的过程或方法。
2.1.67 一阶线弹性分析 first order linear-elastic analysis
基于线性应力-应变或弯矩-曲率关系,采用弹性理论分析方法对初始结构几何形体进行的结构分析。
条文说明
2.1.67 一阶线弹性分析~2.1.73 刚性-塑性分析
一阶分析与二阶分析的划分界限在于结构分析时所依据的结构是否已考虑变形。如依据的是初始结构即未变形结构,则是一阶分析;如依据的是已变形结构,则是二阶分析。
事实上结构承受荷载时总是要产生变形的,如变形很小,由结构变形产生的次内力不影响结构的安全性和适用性,则结构分析时可略去变形的影响,根据初始结构的几何形体进行一阶分析,以简化计算工作。
2.1.68 二阶线弹性分析 second order linear-elastic analysis
基于线性应力-应变或弯矩-曲率关系,采用弹性理论分析方法对已变形结构几何形体进行的结构分析。
2.1.69 有重分布的一阶或二阶线弹性分析 first order or second order linear-elastic analysis with redistribution
结构设计中对内力进行调整的一阶或二阶线弹性分析,与给定的外部作用协调,不做明确的转动能力计算的结构分析。
2.1.70 一阶非线性分析 first order non-linear analysis
基于材料非线性变形特性对初始结构的几何形体进行的结构分析。
2.1.71 二阶非线性分析 second order non-linear analysis
基于材料非线性变形特性对已变形结构几何形体进行的结构分析。
2.1.72 一阶或二阶弹塑性分析 first order or second elastoplastic analysis
基于线弹性阶段和随后的无硬化阶段构成的弯矩-曲率关系的结构分析。
2.1.73 刚性-塑性分析 rigid plastic analysis
假定弯矩-曲率关系为无弹性变形和无硬化阶段,采用极限分析理论对初始结构的几何形体进行的直接确定其极限承载力的结构分析。
2.1.74 既有结构 existing structure
已经存在的各类建筑结构。
2.1.75 评估使用年限 assessed working life
可靠性评定所预估的既有结构在规定条件下的使用年限。
2.1.76 荷载检验 load testing
通过施加荷载评定结构或结构构件的性能或预测其承载力的试验。
2.2 符 号
2.2 符 号
2.2.1 大写拉丁字母:
Ad——偶然作用的设计值;
C——设计对变形,裂缝等规定的相应限值;
Fd——作用的设计值;
Fr——作用的代表值;
Gk——永久作用的标准值;
P——预应力作用的有关代表值;
Qk——可变作用的标准值;
Rd——结构或结构构件抗力的设计值;
S——结构或结构构件的作用效应;
SAd——偶然作用设计值的效应;
Sd——作用组合的效应设计值;
Sd,dst——一不平衡作用效应的设计值;
Sd,stb——平衡作用效应的设计值;
SGk——永久作用标准值的效应;
SP——预应力作用有关代表值的效应;
SQk——可变作用标准值的效应;
T——设计基准期;
X——基本变量。
2.2.2 小写拉丁字母:
αd——几何参数的设计值;
αk——几何参数的标准值;
fd——材料性能的设计值;
fk——材料性能的标准值;
pf——结构构件失效概率的运算值。
2.2.3 大写希腊字母:
△a——几何参数的附加量。
2.2.4 小写希腊字母:
β——结构构件的可靠指标;
γO——结构重要性系数;
γF——作用的分项系数;
γG——永久作用的分项系数;
γL——考虑结构设计使用年限的荷载调整系数;
γM——材料性能的分项系数;
γQ——可变作用的分项系数;
γP——预应力作用的分项系数;
ψc——作用的组合值系数;
ψf——作用的频遇值系数;
ψq——作用的准永久值系数。
基本规定
3.1 基本要求
3.1 基本要求
3.1.1 结构的设计、施工和维护应使结构在规定的设计使用年限内以规定的可靠度满足规定的各项功能要求。
条文说明
3.1.1 结构可靠度与结构的使用年限长短有关,本标准所指的结构的可靠度或失效概率,对新建结构,是指设计使用年限的结构可靠度或失效概率,当结构的使用年限超过设计使用年限后,结构的失效概率可能较设计预期值增大。
3.1.2 结构应满足下列功能要求:
1 能承受在施工和使用期间可能出现的各种作用;
2 保持良好的使用性能;
3 具有足够的耐久性能;
4 当发生火灾时,在规定的时间内可保持足够的承载力;
5 当发生爆炸、撞击、人为错误等偶然事件时,结构能保持必要的整体稳固性,不出现与起因不相称的破坏后果,防止出现结构的连续倒塌;结构的整体稳固性设计,可根据本标准附录B的规定进行。
条文说明
3.1.2 在建筑结构必须满足的五项功能中,第1、4、5三项是对结构安全性的要求,第2项是对结构适用性的要求,第3项是对结构耐久性的要求,三者可概括为对结构可靠性的要求。
所谓足够的耐久性能,系指结构在规定的工作环境中,在预定时期内,其材料性能的劣化不致导致结构出现不可接受的失效概率。从工程概念上讲,足够的耐久性能就是指在正常维护条件下结构能够正常使用到规定的设计使用年限。
偶然事件发生时,要防止结构出现连续倒塌,保持结构必需的整体稳固性。关于结构整体稳固性的具体要求,详见本标准附录B。
由于连续倒塌的风险对大多数建筑物而言是低的,因而可以根据结构的重要性采取不同的对策。以防止出现结构的连续倒塌:对重要的结构,应采取必要的措施,防止出现结构的连续倒塌;对一般的结构,宜采取适当的措施,防止出现结构的连续倒塌;对于次要的结构,可不考虑结构的连续倒塌问题。
3.1.3 结构设计时,应根据下列要求采取适当的措施,使结构不出现或少出现可能的损坏:
1 避免、消除或减少结构可能受到的危害;
2 采用对可能受到的危害反应不敏感的结构类型;
3 采用当单个构件或结构的有限部分被意外移除或结构出现可接受的局部损坏时,结构的其他部分仍能保存的结构类型;
4 不宜采用无破坏预兆的结构体系;
5 使结构具有整体稳固性。
3.1.4 宜采取下列措施满足对结构的基本要求:
1 采用适当的材料;
2 采用合理的设计和构造;
3 对结构的设计、制作、施工和使用等制定相应的控制措施。
条文说明
3.1.3、3.1.4 规定了为满足对结构的基本要求,使结构避免或减少可能的损坏,宜采取的若干主要措施。
3.2 安全等级和可靠度
3.2 安全等级和可靠度
3.2.1 建筑结构设计时,应根据结构破坏可能产生的后果,即危及人的生命、造成经济损失、对社会或环境产生影响等的严重性,采用不同的安全等级。建筑结构安全等级的划分应符合表3.2.1的规定。

条文说明
3.2.1 本条为强制性条文。在本标准中,按建筑结构破坏后果的严重性统一划分为三个安全等级,其中,大量的一般结构宜列入中间等级;重要结构应提高一级;次要结构可降低一级。至于重要结构与次要结构的划分,则应根据建筑结构的破坏后果,即危及人的生命,造成经济损失、对社会或环境产生影响等的严重程度确定。结构安全等级示例,见表1。

建筑结构抗震设计中的甲类建筑和乙类建筑,其安全等级宜规定为一级;丙类建筑,其安全等级宜规定为二级;丁类建筑,其安全等级宜规定为三级。
3.2.2 建筑结构中各类结构构件的安全等级,宜与结构的安全等级相同,对其中部分结构构件的安全等级可进行调整,但不得低于三级。
条文说明
3.2.2 同一建筑结构内的各种结构构件宜与结构采用相同的安全等级,但允许对部分结构构件根据其重要程度和综合经济效果进行适当调整。如提高某一结构构件的安全等级所需额外费用很少,又能减轻整个结构的破坏从而大大减少人员伤亡和财物损失,则可将该结构构件的安全等级比整个结构的安全等级提高一级;相反,如某一结构构件的破坏并不影响整个结构或其他结构构件,则可将其安全等级降低一级。
3.2.3 可靠度水平的设置应根据结构构件的安全等级、失效模式和经济因素等确定。对结构的安全性、适用性和耐久性可采用不同的可靠度水平。
3.2.4 当有充分的统计数据时,结构构件的可靠度宜采用可靠指标β度量。结构构件设计时采用的可靠指标,可根据对现有结构构件的可靠度分析,并结合使用经验和经济因素等确定。
3.2.5 各类结构构件的安全等级每相差一级,其可靠指标的取值宜相差0.5。
条文说明
3.2.4、3.2.5 可靠指标β的功能主要有两个:其一,是度量结构构件可靠性大小的尺度,对有充分的统计数据的结构构件,其可靠性大小可通过可靠指标β度量与比较;其二,目标可靠指标是分项系数法所采用的各分项系数取值的基本依据。为此,不同安全等级和失效模式的可靠指标宜适当拉开档次,参照国内外对可靠指标的分级,规定安全等级每相差一级,可靠指标取值宜相差0.5。
3.2.6 结构构件持久设计状况承载能力极限状态设计的可靠指标,不应小于表3.2.6的规定。

条文说明
3.2.6 本标准表3.2.6中规定的房屋建筑结构构件持久设计状况承载能力极限状态设计的可靠指标,是以建筑结构安全等级为二级时延性破坏的β值3.2作为基准,其他情况下相应增减0.5。可靠指标β与失效概率运算值pf的关系见表2。

表3.2.6中延性破坏是指结构构件在破坏前有明显的变形或其他预兆;脆性破坏是指结构构件在破坏前无明显的变形或其他预兆。
表3.2.6中作为基准的β值,是根据对20世纪70年代对各类材料结构设计规范校准所得的结果并经综合平衡后确定的,表中规定的β值是房屋建筑各种材料结构设计规范应采用的最低值。
根据本次修订对我国建筑结构安全度设置水平的调整方案,永久作用和可变作用的分项系数有所提高,编制组对各种材料的结构构件可靠指标进行了校核计算,结果表明可靠指标的计算值有所提高,均可满足本标准目标可靠指标的要求,但考虑到以下理由,编制组认为本次修订不宜上调我国建筑结构的目标可靠指标:1) 目标可靠指标已由最初规定的“平均值”过渡为现在的“下限值”,实际上这一指标的内涵已有所提高;2) 可靠指标作为计算值,与所考虑的基本标量及其不定性关系较大,目前我国在可靠指标计算中对国际上提出的有关“主观不定性”和“环境影响”等因素基本没有涉及,而这些因素的引入将会拉低可靠指标计算值;3) 以欧洲规范作用分项系数取值和目标可靠指标(β=3.8)的关系为参照系,我国建筑结构目标可靠指标的规定(延性破坏结构为β=3.2,脆性破坏结构为β=3.7)是适宜的;4) 为今后在可靠指标计算中考虑更多影响因素留有余地。
本标准表3.2.6中规定的β值是对结构构件而言的。对于其他部分如连接等,设计时采用的β值,应由各种材料的结构设计标准另作规定。
目前由于统计资料不够完备以及结构可靠度分析中引入了近似假定,因此所得的失效概率pf及相应的β并非实际值。这些值是一种与结构构件实际失效概率有一定联系的运算值,主要用于对各类结构构件可靠度作相对的度量。
3.2.7 结构构件持久设计状况正常使用极限状态设计的可靠指标,宜根据其可逆程度取0~1.5。
条文说明
3.2.7 为促进房屋使用性能的改善,根据国际有关标准的建议,结合国内对我国建筑结构构件正常使用极限状态可靠度所作的分析研究成果,对结构构件正常使用的可靠度作出了规定。对于正常使用极限状态,其可靠指标一般应根据结构构件作用效应的可逆程度选取:可逆程度较高的结构构件取较低值;可逆程度较低的结构构件取较高值,例如《结构可靠性总原则》ISO 2394-1998规定,对可逆的正常使用极限状态,其可靠指标取为0;对不可逆的正常使用极限状态,其可靠指标取为1.5。
不可逆极限状态指产生超越状态的作用被卸除后,仍将永久保持超越状态的一种极限状态;可逆极限状态指产生超越状态的作用被卸除后,将不再保持超越状态的一种极限状态。
3.2.8 结构构件持久设计状况耐久性极限状态设计的可靠指标,宜根据其可逆程度取1.0~2.0。
条文说明
3.2.8 目前,为耐久性极限状态设定目标可靠指标的规范非常少,《结构可靠性总原则》ISO 2394提出了条件极限状态,但未给出对应的目标可靠指标,仅国际结构混凝土联合会《使用寿命设计模式规范》(2006)[“Model code for service life design”International federation for structural concrete(FIB 2006)],《混凝土结构耐久性设计规范》GB/T 50476-2008和浙江省《混凝土结构耐久性技术规程》DB 33/T 1128-2016有所论述,其中,《使用寿命设计模式规范》CEB-FIB针对钢筋脱钝建议β取1.0~1.5,《混凝土结构耐久性设计规范》GB/T 50476-2008建议β取1.3~1.7,浙江省《混凝土结构耐久性技术规程》DB 33/T 1128-2016针对混凝土结构中钢筋脱钝、锈胀开裂以及达到锈胀裂宽阈值,建议β取1.0~2.0之间。综合上述考虑,本标准规定根据其可逆程度,耐久性极限状态设计的可靠指标取1.0~2.0。
3.3 设计使用年限和耐久性
3.3 设计使用年限和耐久性
3.3.1 建筑结构的设计基准期应为50年。
条文说明
3.3.1 房屋建筑结构取设计基准期为50年,即房屋建筑结构的可变作用取值是按50年确定的。
3.3.2 建筑结构设计时,应规定结构的设计使用年限。
条文说明
3.3.2 本条为强制性条文。设计文件中需要标明结构的设计使用年限,而无需标明结构的设计基准期、耐久年限、寿命等。
3.3.3 建筑结构的设计使用年限,应按表3.3.3采用。

条文说明
3.3.3 延续原标准对结构设计使用年限的规定,仅作个别文字调整。下表是欧洲规范《结构设计基础》EN 1990:2002给出的结构设计使用年限类别的示例。

此外,对于特殊建筑结构的设计使用年限,可另行规定。
3.3.4 建筑结构设计时应对环境影响进行评估,当结构所处的环境对其耐久性有较大影响时,应根据不同的环境类别采用相应的结构材料、设计构造、防护措施、施工质量要求等,并应制定结构在使用期间的定期检修和维护制度,使结构在设计使用年限内不致因材料的劣化而影响其安全或正常使用。
3.3.5 环境对结构耐久性的影响,可通过工程经验、试验研究、计算、检验或综合分析等方法进行评估;耐久性极限状态设计可根据本标准附录C的规定进行。
3.3.6 环境类别的划分和相应的设计、施工、使用及维护的要求等,应符合国家现行有关标准的规定。
3.4 可靠性管理
3.4 可靠性管理
条文说明
结构达到规定的可靠度水平是有条件的,结构可靠度是在“正常设计、正常施工、正常使用”条件下结构完成预定功能的概率,本节是从实际出发,对“三个正常”的要求作出了具有可操作性的规定。
3.4.1 为保证建筑结构具有规定的可靠性水平,除应进行设计计算外,还应对结构的材料性能、施工质量、使用和维护进行相应的控制。控制的具体措施,应符合本标准附录D和有关的勘察、设计、施工及维护等标准的专门规定。
3.4.2 建筑结构的设计必须由具有相应资格的技术人员承担。
3.4.3 建筑结构的设计应符合国家现行的有关荷载、抗震、地基基础和各种材料结构设计标准的规定。
3.4.4 建筑结构的设计应对结构可能受到的偶然作用、环境影响等采取必要的防护措施。
3.4.5 对建筑结构所采用的材料及施工、制作过程应进行质量控制,并按国家现行有关标准的规定进行验收。
3.4.6 建筑结构应按设计规定的用途使用,并应定期检查结构状况,进行必要的维护和维修;当需变更使用用途时,应进行设计复核并采取相应的技术措施。
极限状态设计原则
4.1 极限状态
4.1 极限状态
4.1.1 极限状态可分为承载能力极限状态、正常使用极限状态和耐久性极限状态。极限状态应符合下列规定:
1 当结构或结构构件出现下列状态之一时,应认定为超过了承载能力极限状态:
结构构件或连接因超过材料强度而破坏,或因过度变形而不适于继续承载;
整个结构或其一部分作为刚体失去平衡;
结构转变为机动体系;
结构或结构构件丧失稳定;
结构因局部破坏而发生连续倒塌;
地基丧失承载力而破坏;
结构或结构构件的疲劳破坏。
2 当结构或结构构件出现下列状态之一时,应认定为超过了正常使用极限状态:
影响正常使用或外观的变形;
影响正常使用的局部损坏;
影响正常使用的振动;
影响正常使用的其他特定状态。
3 当结构或结构构件出现下列状态之一时,应认定为超过了耐久性极限状态:
影响承载能力和正常使用的材料性能劣化;
影响耐久性能的裂缝、变形、缺口、外观、材料削弱等;
影响耐久性能的其他特定状态。
条文说明
4.1.1 承载能力极限状态可理解为结构或结构构件发挥允许的最大承载能力的状态。结构构件由于塑性变形而使其几何形状发生显著改变,虽未达到最大承载能力,但已彻底不能使用,也属于达到这种极限状态。
正常使用极限状态可理解为结构或结构构件达到使用功能上允许的某个限值的状态。例如,某些构件必须控制变形、裂缝才能满足使用要求。因过大的变形会造成如房屋内粉刷层剥落、填充墙和隔断墙开裂及屋面积水等后果;过大的裂缝会影响结构的耐久性;过大的变形、裂缝也会造成用户心理上的不安全感。
结构的可靠性包括安全性、适用性和耐久性,相应的可靠性设计也应包括承载能力、正常使用和耐久性三种极限状态设计。近年来随着耐久性设计理论和方法的不断进步,本次修订增加了有关结构耐久性极限状态设计的内容。
结构耐久性是指在服役环境作用和正常使用维护条件下,结构抵御结构性能劣化(或退化)的能力,因此,在结构全寿命性能变化过程中,原则上结构劣化过程的各个阶段均可以选作耐久性极限状态的基准。理论上讲,足够的耐久性要求已包含在一段时间内的安全性和适用性要求中。然而,出于实用的原因,增加与耐久性有关的极限状态内容或针对一定 (非临界)条件的极限状态是有用的(见《结构可靠性总原则》ISO 2394:2015和《结构耐久性设计总原则》ISO 13823:2008 General principles on the design of structures for durability)。因此,广义上来说,对于极限状态可定义以下3个状态:
第1类极限状态:影响结构初始耐久性能的状态(如,碳化或氯盐侵蚀深度达到钢筋表面导致钢筋开始脱钝、钢结构防腐涂层作用丧失等);
第2类极限状态:影响结构正常使用的状态(如,钢结构的锈蚀斑点、混凝土表面裂缝宽度超出限值等);
第3类极限状态:影响结构安全性能的状态(如,钢结构的锈蚀孔、混凝土保护层的脱离等)。
考虑到本标准的可延续性,同时与国际标准接轨,本次标准修订中首次引入的耐久性极限状态系指第1类极限状态。国际标准《结构可靠性总原则》ISO 2394:2015和《结构耐久性设计总原则》ISO 13823:2008均提出了耐久性极限状态{ISO 2394:2015中的“condition limit states”(条件极限状态)和ISO 13823:2008中的“initiation limit state”[初始(劣化)极限状态]}、正常使用极限状态和承载能力极限状态。显然,耐久性极限状态应是结构设计的控制条件之一。
4.1.2 对结构的各种极限状态,均应规定明确的标志或限值。
4.1.3 结构设计时应对结构的不同极限状态分别进行计算或验算;当某一极限状态的计算或验算起控制作用时,可仅对该极限状态进行计算或验算。
4.2 设计状况
4.2 设计状况
4.2.1 建筑结构设计应区分下列设计状况:
1 持久设计状况,适用于结构使用时的正常情况;
2 短暂设计状况,适用于结构出现的临时情况,包括结构施工和维修时的情况等;
3 偶然设计状况,适用于结构出现的异常情况,包括结构遭受火灾、爆炸、撞击时的情况等;
4 地震设计状况,适用于结构遭受地震时的情况。
条文说明
4.2.1 原标准规定结构设计时应考虑持久设计状况、短暂设计状况和偶然设计状况等三种设计状况,根据《工程结构可靠性设计统一标准》GB 50153-2008,本次修订中增加了地震设计状况。这主要是由于地震作用具有与火灾、爆炸、撞击或局部破坏等偶然作用不同的特点:首先,我国很多地区处于地震设防区,需要进行抗震设计且很多结构是由抗震设计控制的;其二,地震作用是能够统计并有统计资料的,可以根据地震的重现期确定地震作用。因此,本次修订借鉴了欧洲规范《结构设计基础》EN 1990:2002的规定,在原有三种设计状况的基础上,增加了地震设计状况。结构设计应分别考虑持久设计状况、短暂设计状况、偶然设计状况,对处于地震设防区的结构尚应考虑地震设计状况。
4.2.2 对不同的设计状况,应采用相应的结构体系、可靠度水平、基本变量和作用组合等进行建筑结构可靠性设计。
4.3 极限状态设计
4.3 极限状态设计
4.3.1 对本标准第4.2.1条规定的四种建筑结构设计状况,应分别进行下列极限状态设计:
1 对四种设计状况均应进行承载能力极限状态设计;
2 对持久设计状况尚应进行正常使用极限状态设计,并宜进行耐久性极限状态设计;
3 对短暂设计状况和地震设计状况可根据需要进行正常使用极限状态设计;
4 对偶然设计状况可不进行正常使用极限状态和耐久性极限状态设计。
条文说明
4.3.1 当考虑偶然事件产生的作用时,主要承重结构可仅按承载能力极限状态进行设计,此时采用的结构可靠指标可适当降低。
4.3.2 进行承载能力极限状态设计时,应根据不同的设计状况采用下列作用组合:
1 对于持久设计状况或短暂设计状况,应采用作用的基本组合;
2 对于偶然设计状况,应采用作用的偶然组合;
3 对于地震设计状况,应采用作用的地震组合。
4.3.3 进行正常使用极限状态设计时,宜采用下列作用组合:
1 对于不可逆正常使用极限状态设计,宜采用作用的标准组合;
2 对于可逆正常使用极限状态设计,宜采用作用的频遇组合;
3 对于长期效应是决定性因素的正常使用极限状态设计,宜采用作用的准永久组合。
4.3.4 对每一种作用组合,建筑结构的设计均应采用其最不利的效应设计值进行。
条文说明
4.3.2~4.3.4 建筑结构按极限状态设计时,对不同的设计状况应采用相应的作用组合,在每一种作用组合中还必须选取其中的最不利组合进行有关的极限状态设计。设计时应针对各种有关的极限状态进行必要的计算或验算,当有实际工程经验时,也可采用构造措施来代替验算。
4.3.5 结构的极限状态可采用下列极限状态方程描述:
g(X1,X2,…,Xn)=0 (4.3.5)
式中:g(·)——结构的功能函数;
Xi(i=1,2,…,n)——基本变量,指结构上的各种作用和环境影响、材料和岩土的性能及几何参数等;在进行可靠度分析时,基本变量应作为随机变量。
条文说明
4.3.5 基本变量是指极限状态方程中所包含的影响结构可靠度的各种物理量。它包括:引起结构作用效应S(内力等)的各种作用,如恒荷载、活荷载、地震、温度变化等;构成结构抗力R(强度等)的各种因素,如材料性能、几何参数等。分析结构可靠度时,也可将作用效应或结构抗力作为综合的基本变量考虑。基本变量一般可认为是相互独立的随机变量。
极限状态方程是当结构处于极限状态时各有关基本变量的关系式。当结构设计问题中仅包含两个基本变量时,在以基本变量为坐标的平面上,极限状态方程为直线(线性问题)或曲线(非线性问题);当结构设计问题中包含多个基本变量时,在以基本变量为坐标的空间中,极限状态方程为平面(线性问题)或曲面(非线性问题)。
4.3.6 结构按极限状态设计应符合下列规定:
g(X1,X2,…,Xn)≥0 (4.3.6)
4.3.7 当采用结构的作用效应和结构的抗力作为综合基本变量时,结构按极限状态设计应符合下列规定:
R-S≥0 (4.3.7)
式中:R——结构的抗力;
S——结构的作用效应。
4.3.8 结构构件的设计应以规定的可靠度满足本标准第4.3.6或第4.3.7条的要求。
条文说明
4.3.6~4.3.8 为了合理地统一我国各类材料结构设计规范的结构可靠度和极限状态设计原则,促进结构设计理论的发展,本标准采用了以概率理论为基础的极限状态设计方法。
以往采用的半概率极限状态设计方法,仅在荷载和材料强度的设计取值上分别考虑了各自的统计变异性,没有对结构构件的可靠度给出科学的定量描述。这种方法常常使人误认为只要设计中采用了某一给定的安全系数,结构就能百分之百的可靠,将设计安全系数与结构可靠度简单地等同了起来。而以概率理论为基础的极限状态设计方法则是以结构失效概率来定义结构可靠度,并以与结构失效概率相对应的可靠指标β来度量结构可靠度,从而能较好地反映结构可靠度的实质,使设计概念更为科学和明确。
4.3.9 结构构件宜根据规定的可靠指标,采用由作用的代表值、材料性能的标准值、几何参数的标准值和各相应的分项系数构成的极限状态设计表达式进行设计;有条件时也可根据本标准附录E的规定,直接采用基于可靠指标的方法进行设计。
结构上的作用和环境影响
5.1 一般规定
5.1 一般规定
5.1.1 建筑结构设计时,应考虑结构上可能出现的各种直接作用、间接作用和环境影响。
条文说明
5.1.1 是对结构上的外界因素进行系统的分类和规定。外界因素包括在结构上可能出现的各种作用和环境影响,其中最主要的是各种作用,就作用形态的不同,还可分为直接作用和间接作用,前者是指施加在结构上的集中力或分布力,习惯上常称为荷载;不以力的形式出现在结构上的作用,归类为间接作用,它们都是引起结构外加变形和约束变形的原因,例如地面运动、基础沉降、材料收缩、温度变化等。无论是直接作用还是间接作用,都将使结构产生作用效应,诸如应力、内力、变形、裂缝等。
环境影响与作用不同,它是指能使结构材料随时间逐渐劣化的外界因素,随影响性质的不同,它们可以是机械的、物理的、化学的或生物的,与作用一样,它们也会影响到结构的安全性和适用性。
5.2 结构上的作用
5.2 结构上的作用
5.2.1 结构上的各种作用,当在时间上和空间上可认为是相互独立时,则每一种作用可分别作为单个作用;当某些作用密切相关且有可能同时以最大值出现时,也可将这些作用一起作为单个作用。
条文说明
5.2.1 结构上的大部分作用,例如建筑结构的楼面活荷载和风荷载,它们各自出现与否以及出现时量值的大小,在时间和空间上都是互相独立的,这种作用在计算其结构效应和进行组合时,均可按单个作用考虑。某些作用在结构上的出现密切相关且有可能同时以最大值出现,例如桥梁上诸多单独的车辆荷载,可以将它们以车队形式作为单个荷载来考虑。
但冬季的雪荷载和结构上的季节温度差,它们的最大值有可能同时出现,就不能各自按单个作用考虑它们的组合。
5.2.2 同时施加在结构上的各单个作用对结构的共同影响,应通过作用组合来考虑;对不可能同时出现的各种作用,不应考虑其组合。
条文说明
5.2.2 对有可能同时出现的各种作用,应该考虑它们在时间和空间上的相关关系,通过作用组合(荷载组合)来处理对结构效应的影响;对于不可能同时出现的作用,就不应考虑其同时出现的组合。
5.2.3 结构上的作用可按下列性质分类:
1 按随时间的变化分类:
永久作用;
可变作用;
偶然作用。
2 按随空间的变化分类:
固定作用;
自由作用。
3 按结构的反应特点分类:
静态作用;
动态作用。
4 按有无限值分类:
有界作用;
无界作用。
5 其他分类。
条文说明
5.2.3 作用按随时间的变化分类是作用最主要的分类,它直接关系到作用变量概率模型的选择。
永久作用的统计参数与时间基本无关,故可采用随机变量概率模型来描述;永久作用的随机性通常表现在随空间变异上。可变作用的统计参数与时间有关,故宜采用随机过程概率模型来描述;在实用上经常可将随机过程概率模型转化为随机变量概率模型来处理。
永久作用可分为以下几类:
1 结构自重;
2 土压力;
3 水位不变的水压力;
4 预应力;
5 地基变形;
6 混凝土收缩;
7 钢材焊接变形;
8 引起结构外加变形或约束变形的各种施工因素。
可变作用可分为以下几类:
1 使用时人员、物件等荷载;
2 施工时结构的某些自重;
3 安装荷载;
4 车辆荷载;
5 吊车荷载;
6 风荷载;
7 雪荷载;
8 冰荷载;
9 多遇地震;
10 正常撞击;
11 水位变化的水压力;
12 扬压力;
13 波浪力;
14 温度变化。
偶然作用可分为以下几类:
1 撞击;
2 爆炸;
3 罕遇地震;
4 龙卷风;
5 火灾;
6 极严重的侵蚀;
7 洪水作用。
在上述作用的举例中,地震作用和撞击既可作为可变作用,也可作为偶然作用,这完全取决于对结构重要性的评估,对一般结构,可以按规定的可变作用考虑。由于偶然作用是指在设计使用年限内不太可能出现的作用,因而对重要结构,除了可采用重要性系数的办法以提高安全度外,也可以通过偶然设计状况将作用按量值较大的偶然作用来考虑,其意图是要求一旦出现意外作用时,结构也不至于发生灾难性的后果。
对于一般结构的设计,可以采用当地的地震烈度按标准规定的可变作用来考虑,但是对于重要结构,可提高地震烈度,按偶然作用的要求来考虑。欧洲规范还规定雪荷载也可按偶然作用考虑,以适应重要结构一旦遭遇意外的大雪事件的设计需要。
作用按不同性质进行分类,是出于结构设计规范化的需要,例如,吊车荷载,按随时间变化的分类属于可变荷载,应考虑它对结构可靠性的影响;按随空间变化的分类属于自由作用,应考虑它在结构上的最不利位置;按结构反应特点的分类属于动态荷载,还应考虑结构的动力响应。
在选择作用的概率模型时,很多典型的概率分布类型的取值往往是无界的,而实际上很多随机作用的量值由于客观条件的限制而具有不能被超越的界限值,例如水坝的最高水位,具有敞开泄压口的内爆炸荷载等。选用这类有界作用的概率分布类型时,应考虑它们的特点,例如可采用截尾的分布类型。
作用的其他分类,例如,当进行结构疲劳验算时,可按作用随时间变化的低周性和高周性分类;当考虑结构徐变效应时,可按作用在结构上持续期的长短分类。
5.2.4 结构上的作用随时间变化的规律,宜采用随机过程的概率模型进行描述,对不同的作用可采用不同的方法进行简化,并应符合下列规定:
1 对永久作用,可采用随机变量的概率模型。
2 对可变作用,在作用组合中可采用简化的随机过程概率模型。在确定可变作用的代表值时可采用将设计基准期内最大值作为随机变量的概率模型。
条文说明
5.2.4 作为基本变量的作用,应尽可能根据它随时间变化的规律,采用随机过程的概率模型来描述,但由于对作用观测数据的局限性,对于不同问题还可给以合理的简化。譬如,在设计基准期内结构上的最不利作用(最大作用或最小作用),原则上应按随机过程的概率模型,但通过简化,也可采用随机变量的概率模型来描述。
在一个确定的设计基准期T内,对荷载随机过程作一次连续观测(例如对某地的风压连续观测30年~50年),所获得的依赖于观测时间的数据就称为随机过程的一个样本函数。每个随机过程都是由大量的样本函数构成的。
荷载随机过程的样本函数是十分复杂的,它随荷载种类的不同而异。目前对各类荷载随机过程的样本函数及其性质了解甚少。对于常见的活荷载、风荷载、雪荷载等,为了简化起见,采用了平稳二项随机过程概率模型,即将它们的样本函数统一模型化为等时段矩形波函数,矩形波幅值的变化规律采用荷载随机过程{Q(t),t∈[0,T]}中任意时点荷载的概率分布函数FQ(x)=P{Q(t0)≤x,t0∈[0,T]}来描述。
对于永久荷载,其值在设计基准期内基本不变,从而随机过程就转化为与时间无关的随机变量{G(t)=G,t∈[0,T]},所以样本函数的图像是平行于时间轴的一条直线。此时,荷载一次出现的持续时间τ=T,在设计基准期内的时段数
,而且在每一时段内出现的概率p=1。
对于可变荷载(活荷载及风、雪荷载等),其样本函数的共同特点是荷载一次出现的持续时间τ<T,在设计基准期内的时段数r>1,且在T内至少出现一次,所以平均出现次数m=pr≥1。不同的可变荷载,其统计参数τ、p以及任意时点荷载的概率分布函数FQ(x)都是不同的。
对于活荷载及风、雪荷载随机过程的样本函数,采用这种统一的模型,为推导设计基准期最大荷载的概率分布函数和计算组合的最大荷载效应(综合荷载效应)等带来很多方便。
当采用一次二阶矩极限状态设计法时,必须将荷载随机过程转化为设计基准期最大荷载,即:

因T已规定,故QT是一个与时间参数t无关的随机变量。
各种荷载的概率模型必须通过调查实测,根据所获得的资料和数据进行统计分析后确定,使之尽可能反映荷载的实际情况,但不要求一律选用平稳二项随机过程这种特定的概率模型。
5.2.5 当永久作用和可变作用作为随机变量时,其统计参数和概率分布类型,应以观测数据为基础,运用参数估计和概率分布的假设检验方法确定,检验的显著性水平可取0.05。
条文说明
5.2.5 任意时点荷载的概率分布函数FQ (x)是结构可靠度分析的基础。它应根据实测数据,运用χ2检验或K-S检验等方法,选择典型的概率分布如正态、对数正态、伽马、极值Ⅰ型、极值Ⅱ型、极值Ⅲ型等来拟合,检验的显著性水平可取0.05。显著性水平是指所假设的概率分布类型为真而经检验被拒绝的最大概率。
5.2.6 当有充分观测数据时,作用的标准值应按在设计基准期内最不利作用概率分布的某个统计特征值确定;当有条件时,可对各种作用统一规定该统计特征值的概率定义;当观测数据不充分时,作用的标准值也可根据工程经验通过分析判断确定;对有明确界限值的有界作用,作用的标准值应取其界限值。
条文说明
5.2.6 荷载的统计参数,如平均值、标准差、变异系数等,应根据实测数据,按数理统计学的参数估计方法确定。当统计资料不足且一时又难以获得时,可根据工程经验经适当的判断确定。
5.2.7 建筑结构按不同极限状态设计时,在相应的作用组合中对可能同时出现的各种作用,应采用不同的作用代表值。对可变作用,其代表值包括标准值、组合值、频遇值和准永久值。组合值、频遇值和准永久值可通过对可变作用的标准值分别乘以不大于1的组合值系数ψc、频遇值系数ψf和准永久值系数ψq等折减系数表示。
条文说明
5.2.7 虽然任何作用都具有不同性质的变异性,但在工程设计中,不可能直接引用反映其变异性的各种统计参数并通过复杂的概率运算进行设计。因此,在设计时,除了采用能便于设计者使用的设计表达式外,对作用仍应赋予一个规定的量值,称为作用的代表值。根据设计的不同要求,可规定不同的代表值,以使其能更确切地反映它在设计中的特点。在本标准中参考国际标准对可变作用采用四种代表值:标准值、组合值、频遇值和准永久值,其中标准值是作用的基本代表值,而其他代表值都可在标准值的基础上乘以相应的系数后来表示。1 作用标准值是指其在结构设计基准期内可能出现的最大作用值。由于作用本身的随机性,因而设计基准期内的最大作用也是随机变量,尤其是可变作用,原则上都可用它们的统计分布来描述。作用标准值统一由设计基准期最大作用概率分布的某个分位值来确定,设计基准期应统一规定,譬如为50年或100年,此外还应对该分位值的百分位作明确规定,这样标准值就可取分布的统计特征值(均值、众值、中值或较高的分位值,譬如90%或95%的分位值),因此在国际上也称标准值为特征值。
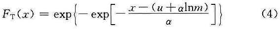
- 当可变作用采用平稳二项随机过程概率模型时,设计基准期T内可变作用最大值的概率分布函数FT(x)可按下式计算:
FT(x)=[F(x)]m(2)
式中:F(x)——可变作用随机过程的截口概率分布函数;
m——可变作用在设计基准期T内的平均出现次数。
当截口概率分布为极值Ⅰ型分布时:

其最大值概率分布函数为:

- 可变作用的标准值Qk可由可变作用在设计基准期T内最大值概率分布的统计特征值确定,最常用的统计特征值有平均值、中位值和众值,也可采用其他指定概率p的分位值,即:
FT(Qk)=p(5)
此时,对标准值Qk在设计基准期内最大值分布上的超越概率为1-p。
- 对可变作用的标准值,有时可以通过平均重现期的规定来定义。在很多情况下,特别是对自然作用,采用重现期TR来表达可变作用的标准值Qk比较方便,重现期是指连续两次超过作用值Qk的平均间隔时间,Qk与TR的关系见下式:
F(Qk)=1-1/TR(6)
重现期TR、概率p和确定标准值的设计基准期T还存在下述近似关系:

在实际工程中,由于无法对所考虑的作用取得充分的数据,需根据已有的工程实践经验,通过分析判断后,协议一个公称值或名义值作为作用的代表值。
当有两种或两种以上的可变作用在结构上要求同时考虑时,由于所有可变作用同时达到其单独出现时可能达到的最大值的概率极小,因此在结构按承载能力极限状态设计时,除主导作用应采用标准值为代表值外,其他伴随作用均应采用主导作用出现时段内的最大量值,也即以小于其标准值的组合值为代表值。
2 可变作用组合值可按下述原则确定:
- 可变作用近似采用等时段荷载组合模型,假设所有作用的随机过程Q(t)都是由相等时段τ组成的矩形波平稳各态历经过程,如图1所示。

根据各个作用在设计基准期内的时段数r的大小将作用按序排列,在诸作用的组合中必然有一个作用取其最大作用Qmax,而其他作用则分别取各自的时段最大作用或任意时点作用,统称为组合作用Qc。
按设计值方法的原理,该最大作用的设计值Qmaxd和组合作用Qcd及作用的组合值系数

分别见公式(8)、式(9)、式(10)。

对极值Ⅰ型的作用,作用的组合值系数见式(11)。

式中:υ一一作用最大值的变异系数。
- 组合值系数也可作为伴随作用的分项系数,按本标准附录E第E.6节的有关内容确定。
3 当结构按正常使用极限状态的要求进行设计时,例如要求控制结构的变形、局部损坏以及振动时,理应从不同的要求?出发,来选择不同的作用代表值;目前规范提供的除标准值和组合值外,还有频遇值和准永久值。频遇值是代表某个约定条件下不被超越的作用水平,例如将设计基准期内被超越的总时间规定为某个较小的比例,或被超越的频率限制在规定的频率内的作用水平。准永久值是代表作用在设计基准期内经常出现的水平,也即其持久性部分,当对持久性部分无法定性时,也可按频遇值定义,将在设计基准期内被超越的总时间规定为某个较大的比例来确定。可变作用频遇值可按下述原则确定:
- 按作用值被超越的总持续时间与设计基准期的规定比例确定频遇值。
在可变作用的随机过程的分析中,将作用值超过某水平Qx的总持续时间 
与设计基准期T的比率ηx=Tx/T来表征频遇值作用的短暂程度,如图2(a)所示。图2(b)给出的是可变作用Q在非零时域内任意时点作用值Q*的概率分布函数FQ*(x),超过Qx水平的概率p*可按下式确定:

对各态历经的随机过程,存在下列关系式:
ηx=p*q(13)
式中:q一一作用Q的非零概率。
当ηx为规定值时,相应的作用水平Qx可按下式确定:

对与时间有关联的正常使用极限状态,作用的频遇值可考虑按这种方式取值,当允许某些极限状态在一个较短的持续时间内被超越,或在总体上不长的时间内被超越,就可采用建议不大于0.1的ηx值,按式(14)计算作用的频遇值ψfQk。
- 按作用值被超越的总频数或单位时间平均超越频数即跨阈率确定频遇值。
在可变作用随机过程的分析中,将作用值超过某水平Qx的次数nx或单位时间内的平均超越次数即跨阈率υx=nx/T来表征频遇值出现的疏密程度(图3)。
跨阈率可通过直接观察确定,一般也可应用随机过程的某些特性(如谱密度函数)间接确定。当其任意时点作用Q*的均值μQ*及其跨阈率υm为已知,而且作用是高斯平稳各态历经的随机过程,则对应于跨阈率υx的作用水平Qx可按下式确定:

式中:σQ*——任意时点作用Q*的标准差。

对与作用超越次数有关联的正常使用极限状态,作用的频遇值ψfQk可考虑按这种方式取值,当结构振动时涉及人的舒适性、影响非结构构件的性能和设备的使用功能等的极限状态,都可采用频遇值来衡量结构的正常性。
4 可变作用准永久值可按下述原则确定:
对在结构上经常出现的部分可变作用,可将其出现部分的均值作为准永久值ψqQk采用。
对不易判别的可变作用,可以按作用值被超越的总持续时间与设计基准期的规定比率确定,此时比率可取0.5。当可变作用可认为是各态历经的随机过程时,准永久值ψqQk可直接按本条第3款式(14)确定。
5.2.8 对偶然作用,应采用偶然作用的设计值。偶然作用的设计值应根据具体工程情况和偶然作用可能出现的最大值确定,也可根据有关标准的专门规定确定。
条文说明
5.2.8 偶然作用是指在设计使用年限内不一定出现,而一旦出现其量值很大,且持续期在多数情况下很短的作用,例如爆炸、撞击、龙卷风、偶然出现的雪荷载、风荷载等。因此,偶然作用的出现是一种意外事件,它们的代表值应根据具体的工程情况和偶然作用可能出现的最大值,并且考虑经济上的因素,综合地加以确定,也可通过有关的标准规定。
对这类作用,由于历史资料的局限性,一般都是根据工程经验,通过分析判断,经协议确定其名义值。当有可能获取偶然作用的量值数据并可供统计分析,但是缺乏失效后果的定量和经济上的优化分析时,国际标准建议可采用重现期为万年的标准确定其代表值。
当采用偶然作用为结构的主导作用时,设计应保证结构不会由于作用的偶然出现而导致灾难性的后果。
5.2.9 对地震作用,应采用地震作用的标准值。地震作用的标准值应根据地震作用的重现期确定;地震作用的重现期可根据建筑抗震设防目标,按有关标准的专门规定确定。
条文说明
5.2.9 地震作用的代表值按传统都采用当地地区的基本烈度,根据大部分地区的统计资料,它相当于设计基准期为50年最大烈度90%的分位值。如果采用重现期表示,基本烈度相当于重现期为475年的地震烈度。现行国家标准《建筑抗震设计规范》GB?50011将抗震设防划分三个水准,第一水准是低于基本烈度,也称为众值烈度,俗称小震,它相当于50年最大烈度36.8%的分位值;第二水准是基本烈度;第三水准是罕遇地震烈度,它远高于基本烈度,俗称大震,相当于50年最大烈度97%~98%分位值,或重现期为1642年~2475年的地震烈度。
5.2.10 当结构上的作用比较复杂且不能直接描述时,可根据作用形成的机理,通过数学模型来表征作用的大小、位置、方向和持续期等性质。结构上的作用F的大小可采用下列数学模型:
F=
(F0,ω) (5.2.10)
式中:
(·)——所采用的函数;
F0——基本作用,通常具有随时间和空间随机的或非随机的变异性,但与结构的性质无关;
ω——用以将F0转化为F的随机或非随机变量,它与结构的性质有关。
条文说明
5.2.10 为了能适应各种不同形式的结构,将结构上的作用分成两部分因素:与结构类型无关的基本作用和与结构类型(包括外形和变形性能)有关的因素。基本作用F0通常具有随时间和空间的变异性,它应具有标准化的定义,例如对结构自重可定义为结构的图纸尺寸和材料的标准重度;对雪荷载可定义标准地面上的雪重为基本雪压;对风荷载可定义标准地面上10m高处的标准时距的平均风速为基本风压,如此等等。而作用值应在基本作用的基础上,考虑与结构有关的其他因素,通过反映作用规律的数学函数(·)来表述,例如,对雪荷载的情况,可根据屋面的不同条件将基本雪压换算为屋面上的雪荷载;对风荷载的情况,可根据场地地面粗糙度情况、结构外形及结构不同高度,将基本风压换算为结构上的风荷载。
5.2.11 当结构的动态性能比较明显时,结构应采用动力模型描述。此时,结构的动力分析应考虑结构的刚度、阻尼及结构上各部分质量的惯性。当结构容许简化分析时,可计算“拟静态作用”响应,并乘以动力系数作为动态作用的响应。
条文说明
5.2.11 当作用对结构产生不可忽略的加速度时,也即与加速度对应的结构效应占有相当比重时,结构应采用动力模型来描述。此时,动态作用必须按某种方式描述其随时间的变异性(随机性),作用可根据分析的方便与否而采用时域或频域的描述方式,作用历程中的不定性可通过选定随机参数的非随机函数来描述,也可进一步采用随机过程来描述,各种随机过程经常被假定为是分段平稳的。
在有些情况下,动态作用与材料性能和结构刚度、质量及各类阻尼有关,此时对作用的描述首先是在偏于安全的前提下规定某些参数,例如结构质量、初速度等。通常还可以进一步将这些参数转化为等效的静态作用。
如果认为所选用的参数还不能保证其结果偏于安全,就有必要对有关作用模型按不同的假设进行计算,从中选出认为可靠的结果。
5.2.12 对自由作用应考虑各种可能的荷载布置,并与固定作用等一起作为验证结构某特定极限状态的荷载工况。
5.3 环境影响
5.3 环境影响
5.3.1 环境影响可分为永久影响、可变影响和偶然影响。
5.3.2 对结构的环境影响应进行定量描述;当没有条件进行定量描述时,可通过环境对结构的影响程度的分级等方法进行定性描述,并在设计中采取相应的技术措施。
条文说明
5.3.1、5.3.2 环境影响可以具有机械的、物理的、化学的或生物的性质,并且有可能使结构的材料性能随时间发生不同程度的退化,向不利方向发展,从而影响结构的安全性和适用性。
环境影响在很多方面与作用相似,而且可以和作用相同地进行分类,特别是关于它们在时间上的变异性,因此,环境影响可分类为永久、可变和偶然影响三类。例如,对处于海洋环境中的混凝土结构,氯离子对钢筋的腐蚀作用是永久影响,空气湿度对木材强度的影响是可变影响等。
环境影响对结构的效应主要是针对材料性能的降低,它是与材料本身有密切关系,因此,环境影响的效应应根据材料特点而加以规定。在多数情况下涉及化学的和生物的损害,其中环境湿度的因素是最关键的。
如同作用一样,对环境影响应尽量采用定量描述;但在多数情况下,这样做是有困难的,因此,目前对环境影响只能根据材料特点,按其抗侵蚀性的程度来划分等级,设计时按等级采取相应措施。
材料和岩土的性能及几何参数
6.1 材料和岩土的性能
6.1 材料和岩土的性能
6.1.1 材料和岩土的强度、弹性模量、变形模量、压缩模量、内摩擦角、黏聚力等物理力学性能,应根据国家现行有关试验方法标准经试验确定。
6.1.2 当利用标准试件的试验结果确定结构中实际的材料性能时,尚应考虑实际结构与标准试件、实际工作条件与标准试验条件的差别。结构中的材料性能与标准试件材料性能的关系,应根据相应的对比试验结果通过换算系数或函数来表示,或根据工程经验判断确定。结构中材料性能的不定性,应由标准试件材料性能的不定性和换算系数或函数的不定性两部分组成。
条文说明
6.1.2 用材料的标准试件试验所得的材料性能fspe,一般说来,不等同于结构中实际的材料性能fstr,有时两者可能有较大的差别。例如,材料试件的加荷速度远超过实际结构的受荷速度,致使试件的材料强度较实际结构偏高;试件的尺寸远小于结构的尺寸,致使试件的材料强度受到尺寸效应的影响而与结构中不同;有些材料,如混凝土,其标准试件的成型与养护与实际结构并不完全相同,有时甚至相差很大,以致两者的材料性能有所差别。所有这些因素一般习惯于采用换算系数或函数K0来考虑,因此结构中实际的材料性能与标准试件材料性能的关系可用下式表示:
fstr =K0fspe (16)
由于结构所处的状态具有变异性,因此换算系数或函数K0也是随机变量。
6.1.3 材料性能宜采用随机变量概率模型描述。材料性能的各种统计参数和概率分布类型,应以试验数据为基础,运用参数估计和概率分布的假设检验方法确定,检验的显著性水平可取0.05。
条文说明
6.1.3 材料性能实际上是随时间变化的,有些材料性能,例如木材、混凝土的强度等,这种变化相当明显,但为了简化起见,各种材料性能仍作为与时间无关的随机变量来考虑,而性能随时间的变化一般通过引进换算系数来估计。
6.1.4 材料强度的概率分布宜采用正态分布或对数正态分布。
6.1.5 材料强度的标准值可按其概率分布的0.05分位值确定。材料弹性模量、泊松比等物理性能的标准值可按其概率分布的0.5分位值确定。
条文说明
6.1.5 材料强度标准值一般取概率分布的低分位值,国际上一般取0.05分位值,本标准也采用这个分位值确定材料强度标准值。此时,当材料强度按正态分布时,标准值为
fk=μf-1.645σf (17)
当按对数正态分布时,标准值近似为
fk=μfexp(-1.645δf) (18)
式中:μf、σf及δf分别为材料强度的平均值、标准差及变异系数。
当材料强度增加对结构性能不利时,必要时可取高分位值。
6.1.6 当试验数据不充分时,材料性能的标准值可采用有关标准的规定值,也可根据工程经验,经分析判断确定。
6.1.7 岩土性能指标和地基承载力、桩基承载力等,应通过原位测试、室内试验等直接或间接的方法测定,并应考虑由于钻探取样的扰动、室内外试验条件与实际建筑结构条件的差别以及所采用公式的误差等因素的影响,结合工程经验综合确定。
6.1.8 岩土性能的标准值宜根据原位测试和室内试验的结果,按有关标准的规定确定;当有条件时,岩土性能的标准值可按其概率分布的某个分位值确定。
条文说明
6.1.8 岩土性能参数的标准值当有可能采用可靠性估值时,可根据区间估计理论确定,单侧置信界限值由式fk=
求得,式中tα为学生氏分布函数,按置信度1-α和样本容量n确定。
6.2 几何参数
6.2 几何参数
6.2.1 结构或结构构件的几何参数宜采用随机变量概率模型描述。几何参数的各种统计参数和概率分布类型,应以正常生产情况下对结构或结构构件几何尺寸的观测数据为基础,运用参数估计和概率分布的假设检验方法确定。
6.2.2 当观测数据不充分时,几何参数的统计参数可根据有关标准中规定的公差,经分析判断确定。
6.2.3 当几何参数的变异性对结构抗力及其他性能的影响很小时,几何参数可作为确定性变量。
条文说明
6.2.3 结构的某些几何参数,例如梁跨和柱高,其变异性一般对结构抗力的影响很小,设计时可按确定量考虑。
6.2.4 几何参数的标准值可采用设计规定的公称值,或根据几何参数概率分布的某个分位值确定。
结构分析和试验辅助设计
7.1 一般规定
7.1 一般规定
7.1.1 结构分析可采用计算、模型试验或原型试验等方法进行。
7.1.2 结构分析的精度,应能满足结构设计要求,必要时宜进行试验验证。
7.1.3 在结构分析中,宜考虑环境对材料、构件和结构性能的影响。
条文说明
7.1.1~7.1.3 结构分析是确定结构上作用效应的过程或方法,结构上的作用效应是指在作用影响下的结构反应,包括构件截面内力(如轴力、剪力、弯矩、扭矩)以及变形和裂缝。
在结构分析中,宜考虑环境对材料、构件和结构性能的影响,如湿度对木材强度的影响,高温对钢结构性能的影响等。
7.2 结构模型
7.2 结构模型
7.2.1 结构分析采用的基本假定和计算模型应能合理描述所考虑的极限状态下的结构反应。
条文说明
7.2.1 建立结构分析模型一般都要对结构原型进行适当简化,考虑决定性因素,忽略次要因素,并合理考虑构件及其连接,以及构件与基础间的力-变形关系等因素。
7.2.2 根据结构的具体情况,可采用一维、二维或三维的计算模型进行结构分析。
条文说明
7.2.2 一维结构分析模型适用于结构的某一维尺寸(长度)比其他两维大得多的情况,或结构在其他两维方向上的变化对结构分析结果影响很小的情况,如连续梁;二维结构分析模型适用于结构的某一维尺寸比其他两维小得多的情况,或结构在某一维方向上的变化对分析结果影响很小的情况,如平面框架;三维结构分析模型适用于结构中没有一维尺寸显著大于或小于其他两维的情况。
7.2.3 结构分析所采用的各种简化或近似假定,应具有理论或试验依据,或经工程验证可行。
7.2.4 当结构的变形可能使作用的影响显著增大时,应在结构分析中考虑结构变形的影响。
条文说明
7.2.4 在许多情况下,结构变形会引起几何参数名义值产生显著变异。一般称这种变形效应为几何非线性或二阶效应。如果这种变形对结构性能有重要影响,原则上应与结构的几何不完整性一样在设计中加以考虑。
7.2.5 结构计算模型的不定性应在极限状态方程中采用一个或几个附加基本变量来考虑。附加基本变量的概率分布类型和统计参数,可通过按计算模型的计算结果与按精确方法的计算结果或实际的观测结果相比较,经统计分析确定,或根据工程经验判断确定。
条文说明
7.2.5 结构分析模型描述各有关变量之间物理上或经验上的关系。这些变量一般是随机变量。计算模型一般可表达为:
Y=f(X1,X2,…,Xn) (19)
式中:
Y——模型预测值;
f(·)——模型函数;
Xi(i=1,2,…,n)——基本变量。如果模型函数f(·)是完整、准确的,变量Xi(i=1,2,…,n)值在特定的试验中经量测已知,则结果Y可以预测无误;但多数情况下模型并不完整,这可能是因为缺乏有关知识,或者为设计方便而过多简化造成的。模型预测值的试验结果Y'可以写成如下:
Y'=f'(X1,X2,…,Xn,θ1,θ2,…,θn) (20)
式中,θi(i=1,2,…,n)为有关参数,它包含着模型不定性,且按随机变量处理。在多数情况下其统计特性可通过试验或观测得到。
7.3 作用模型
7.3 作用模型
7.3.1 对与时间无关的或不计累积效应的静力分析,可只考虑发生在设计基准期内作用的最大值和最小值;当动力性能起控制作用时,应有详细的过程描述。
条文说明
7.3.1 一个完善的作用模型应能描述作用的特性,如作用的大小、位置、方向、持续时间等。在有些情况下,还应考虑不同特性之间的相关性,以及作用与结构反应之间的相互作用。
在多数情况下,结构动态反应是由作用的大小、位置或方向的急剧变化所引起的。结构构件的刚度或抗力的突然改变,亦可能产生动态效应。当动态性能起控制作用时,需要比较详细的过程描述。动态作用的描述可以时间为主或以频率为主给出,依方便而定。为描述作用在时间变化历程中的各种不定性,可将作用描述为一个具有选定随机参数的时间非随机函数,或作为一个分段平稳的随机过程。
7.3.2 当不能准确确定作用参数时,应对作用参数给出上下限范围并进行比较,以确定不利的作用效应。
7.3.3 当结构承受自由作用时,应根据每一自由作用可能出现的空间位置、大小和方向,分析确定对结构最不利的荷载布置。
7.3.4 当考虑地基与结构相互作用时,土工作用可采用适当的等效弹簧或阻尼器来模拟。
7.3.5 当动力作用可被认为是拟静力作用时,可通过把动力作用分析结果包括在静力作用中的方法或将静力作用乘以等效动力放大系数的方法等,来考虑动力作用效应。
7.3.6 当动力作用引起的振幅、速度、加速度使结构有可能超过正常使用极限状态的限值时,应根据实际情况对结构进行正常使用极限状态验算。
7.4 分析方法
7.4 分析方法
7.4.1 结构分析应根据结构类型、材料性能和受力特点等因素,采用线性、非线性或试验分析方法;当结构性能始终处于弹性状态时,可采用弹性理论进行结构分析,否则宜采用弹塑性理论进行结构分析。
7.4.2 当结构在达到极限状态前能够产生足够的塑性变形,且所承受的不是多次重复的作用时,可采用塑性理论进行结构分析;当结构的承载力由脆性破坏或稳定控制时,不应采用塑性理论进行分析。
条文说明
7.4.1、7.4.2 当结构的材料性能处于弹性状态时,一般可假定力与变形(或变形率)之间的相互关系是线性的,可采用弹性理论进行结构分析,这种情况下,分析比较简单,效率也较高;而当结构的材料性能处于弹塑性状态或完全塑性状态时,力与变形(或变形率)之间的相互关系比较复杂,一般情况下都是非线性的,这时宜采用弹塑性理论或塑性理论进行结构分析。
7.4.3 当动力作用使结构产生较大加速度时,应对结构进行动力响应分析。
条文说明
7.4.3 结构动力分析主要涉及结构的刚度、惯性力和阻尼。动力分析刚度与静力分析所采用的原则一致。尽管重复作用可能产生刚度的退化,但由于动力影响,亦可能引起刚度增大。惯性力是由结构质量、非结构质量和周围流体、空气和土壤等附加质量的加速度引起的。阻尼可由许多不同因素产生,其中主要因素有:
1 材料阻尼,例如源于材料的弹性特性或塑性特性;
2 连接中的摩擦阻尼;
3 非结构构件引起的阻尼;
4 几何阻尼;
5 土壤材料阻尼;
6 空气动力和流体动力阻尼。
在一些特殊情况下,某些阻尼项可能是负值,导致从环境到结构的能量流动。例如疾驰、颤动和在某些程度上的游涡所引起的反应。对于强烈地震时的动力反应,一般需要考虑循环能量衰减和滞回能量消失。
7.5 试验辅助设计
7.5 试验辅助设计
7.5.1 对没有适当分析模型的特殊情况,可按本标准附录F规定的方法,通过试验辅助设计进行结构分析。
7.5.2 采用试验辅助设计的结构,应达到相关设计状况采用的可靠度水平,并应考虑试验结果的数量对相关参数统计不定性的影响。
条文说明
7.5.1、7.5.2 试验辅助设计(简称试验设计)是确定结构和结构构件抗力、材料性能、岩土性能,以及结构作用和作用效应设计值的方法。该方法以试验数据的统计评估为依据,与概率设计和分项系数设计概念相一致。在下列情况下可采用试验辅助设计:
1 标准没有规定或超出标准适用范围的情况;
2 计算参数不能确切反映工程实际的特定情况;
3 现有设计方法可能导致不安全或设计结果过于保守的情况;
4 新型结构(或构件)、新材料的应用或新设计公式的建立;
5 标准规定的特定情况。
对于新技术、新材料等,在工程应用中应特别慎重,同时也应遵守其他政策和规范的要求。
分项系数设计方法
8.1 一般规定
8.1 一般规定
8.1.1 结构构件极限状态设计表达式中所包含的各种分项系数,宜根据有关基本变量的概率分布类型和统计参数及规定的可靠指标,通过计算分析,并结合工程经验,经优化确定;当缺乏统计数据时,可根据传统的或经验的设计方法,由有关标准规定各种分项系数。
条文说明
8.1.1 尽管概率极限状态设计方法全部更新了结构可靠性的概念与分析方法,但提供给设计人员实际使用的仍然是分项系数设计表达方式,它与设计人员长期使用的表达形式相同,从而易于掌握。
概率极限状态设计方法必须以统计数据为基础,考虑到对各类建筑结构所具有的统计数据在质与量两个方面都很有很大差异,或在某些领域根本没有统计数据,因而规定当缺乏统计数据时,可以不通过可靠指标β,直接按工程经验确定分项系数。
8.1.2 基本变量的设计值可按下列规定确定:
1 作用的设计值Fd可按下式确定:
Fd=γFFr (8.1.2-1)
式中:Fr——作用的代表值;
γF——作用的分项系数。
2 材料性能的设计值fd可按下式确定:

式中:fk——材料性能的标准值;
γM——材料性能的分项系数,其值按有关的结构设计标准的规定采用。
3 几何参数的设计值αd可采用几何参数的标准值αk。当几何参数的变异性对结构性能有明显影响时,几何参数的设计值可按下式确定:
αd=αk±△a (8.1.2-3)
式中:△a一一几何参数的附加量。
4 结构抗力的设计值Rd可按下式确定:
Rd=R(fk/γM,αd) (8.1.2-4)
条文说明
8.1.2 规定了各种基本变量设计值的确定方法。
1 作用的设计值Fd一般可表示为作用的代表值Fr与作用的分项系数γF的乘积。对可变作用,其代表值包括标准值、组合值、频遇值和准永久值。组合值、频遇值和准永久值可通过对可变作用标准值的折减来表示,即分别对可变作用的标准值乘以不大于1的组合值系数ψc、频遇值系数ψf和准永久值系数ψq。
建筑结构按不同极限状态设计时,在相应的作用组合中对可能同时出现的各种作用,应采用不同的作用设计值Fd,见表4。

对于本标准式(8.1.2-4),也可根据需要从材料性能的分项系数γM中将反映抗力模型不定性的系数γRd分离出来。
8.2 承载能力极限状态
8.2 承载能力极限状态
8.2.1 结构或结构构件按承载能力极限状态设计时,应考虑下列状态:
1 结构或结构构件的破坏或过度变形,此时结构的材料强度起控制作用;
2 整个结构或其一部分作为刚体失去静力平衡,此时结构材料或地基的强度不起控制作用;
3 地基破坏或过度变形,此时岩土的强度起控制作用;
4 结构或结构构件疲劳破坏,此时结构的材料疲劳强度起控制作用。
条文说明
8.2.1 本条列出了四种承载能力极限状态,应根据四种状态性质的不同,采用不同的设计表达方式及与之相应的分项系数数值。
1 结构或结构构件的破坏,也包括基础等。
4 对于疲劳破坏,有些材料(如钢筋)的疲劳强度宜采用应力变程(应力幅)而不采用强度绝对值来表达。
8.2.2 结构或结构构件按承载能力极限状态设计时,应符合下列规定:
1 结构或结构构件的破坏或过度变形的承载能力极限状态设计,应符合下式规定:
γ0Sd≤Rd (8.2.2-1)
式中:γ0——结构重要性系数,其值按本标准第8.2.8条的有关规定采用;
Sd——作用组合的效应设计值;
Rd——结构或结构构件的抗力设计值。
2 结构整体或其一部分作为刚体失去静力平衡的承载能力极限状态设计,应符合下式规定:
γ0Sd,dst≤Sd,stb (8.2.2-2)
式中:Sd,dst——不平衡作用效应的设计值;
Sd,stb——平衡作用效应的设计值。
3 地基的破坏或过度变形的承载能力极限状态设计,可采用分项系数法进行,但其分项系数的取值与本标准式(8.2.2-1)中所包含的分项系数的取值可有区别;地基的破坏或过度变形的承载力设计,也可采用容许应力法等方法进行。
4 结构或结构构件的疲劳破坏的承载能力极限状态设计,可按现行有关标准的方法进行。
条文说明
8.2.2 作用组合的效应设计值Sd,包括如轴力、弯矩设计值或表示几个轴力、弯矩向量的设计值等;本标准式(8.2.2-1)中,Sd包括荷载系数,Rd包括材料系数(或抗力系数),这两类系数在一定范围内是可以互换的。
以建筑结构中安全等级为二级、设计使用年限为50年的钢筋混凝土轴心受拉构件为例。
设永久作用标准值的效应NGk=10kN,可变作用标准值的效应NQk=20kN,钢筋强度标准值fyk=400N/mm2,求所需钢筋面积As。
方案1:取γG=1.3,γQ=1.5,γs=1.1,则由本标准式(8.2.4-2),作用组合的效应设计值Nd=γGNGk+γQNQk=1.3×10+1.5×20=43kN,取Rd=Asfyk/γs=Nd=43kN,则As=43×1.1/(400×0.001)=118.3mm2。
方案2:取γG=1.192(=1.3×1.1/1.2),γQ=1.375(=1.5×1.1/1.2),γs=1.2[=1.1/(1.1/1.2)],则由本标准式(8.2.4-2),作用组合的效应设计值Nd=γGNGk+γQNQk=1.192×10+1.375×20=39.42kN,取Rd=Asfyk/γs=Nd=39.42kN,则As=39.42×1.2/(400×0.001)=118.3mm2。
方案1和方案2是完全等价的,用相同的钢筋截面积承受相同的拉力设计值,安全度是完全相同的。
方案1的荷载系数及材料系数与国际及国内参数比较靠近,而方案2则有明显差异,因此方案2不可取。
8.2.3 承载能力极限状态设计表达式中的作用组合,应符合下列规定:
1 作用组合应为可能同时出现的作用的组合;
2 每个作用组合中应包括一个主导可变作用或一个偶然作用或一个地震作用;
3 当结构中永久作用位置的变异,对静力平衡或类似的极限状态设计结果很敏感时,该永久作用的有利部分和不利部分应分别作为单个作用;
4 当一种作用产生的几种效应非全相关时,对产生有利效应的作用,其分项系数的取值应予以降低;
5 对不同的设计状况应采用不同的作用组合。
8.2.4 对持久设计状况和短暂设计状况,应采用作用的基本组合,并应符合下列规定:
1 基本组合的效应设计值按下式中最不利值确定:

式中:S(·)——作用组合的效应函数;
Gik——第i个永久作用的标准值;
P——预应力作用的有关代表值;
Q1k——第1个可变作用的标准值;
Qjk——第j个可变作用的标准值;
γGi——第i个永久作用的分项系数,应按本标准第8.2.9条的有关规定采用;
γP——预应力作用的分项系数,应按本标准第8.2.9条的有关规定采用;
γQ1——第1个可变作用的分项系数,应按本标准第8.2.9条的有关规定采用;
γQj——第j个可变作用的分项系数,应按本标准第8.2.9条的有关规定采用;
γL1、γLj——第1个和第j个考虑结构设计使用年限的荷载调整系数,应按本标准第8.2.10条的有关规定采用;
ψcj——第j个可变作用的组合值系数,应按现行有关标准的规定采用。
2 当作用与作用效应按线性关系考虑时,基本组合的效应设计值按下式中最不利值计算:

式中:SGik——第i个永久作用标准值的效应;
SP——预应力作用有关代表值的效应;
SQ1k——第1个可变作用标准值的效应;
SQjk一一第j个可变作用标准值的效应。
条文说明
8.2.4 对基本组合,原标准给出了设计表达式,设计人员可用作设计,但仅限于作用与作用效应按线性关系考虑的情况,非线性关系时不适用。本次修订根据《工程结构可靠性设计统一标准》GB 50153-2008给出对线性与非线性二种关系全部适用的、设计人员可直接采用的表达式。应注意在本标准式(8.2.4-1)作用组合的效应函数S(·)中,符号“Σ”和?“+”均表示组合,即同时考虑所有作用对结构的共同影响,而不表示代数相加。
本标准对结构的重要性系数用γ0表示,这与原标准相同。
当结构的设计使用年限与设计基准期不同时,应对可变作用的标准值进行调整,这是因为结构上的各种可变作用均是根据设计基准期确定其标准值的。以房屋建筑为例,结构的设计基准期为50年,即房屋建筑结构上的各种可变作用的标准值取其50年一遇的最大值分布上的“某一分位值”,对设计使用年限为100年的结构,要保证结构在100年时具有设计要求的可靠度水平,理论上要求结构上的各种可变作用应采用100年一遇的最大值分布上的相同分位值作为可变作用的“标准值”,但这种作法对同一种可变作用会随设计使用年限的不同而有多种“标准值”,不便于荷载规范表达和设计人员使用,为此,本标准首次提出考虑结构设计使用年限的荷载调整系数γL,以设计使用年限100年为例,γL的含义是在可变作用100年一遇的最大值分布上,与该可变作用50年一遇的最大值分布上标准值的相同分位值的比值,其他年限可类推。在本标准表8.2.10中对房屋建筑结构给出了γL的具体取值,设计人员可直接采用;对设计使用年限为50年的结构,其设计使用年限与设计基准期相同,不需调整可变作用的标准值,则取γL=1.0。
永久荷载不随时间而变化,因而与γL无关。
当设计使用年限大于基准期时,除在荷载方面需考虑γL外,在抗力方也需采取相应措施,如采用较高的混凝土强度等级、加大混凝土保护层厚度或对钢筋作涂层处理等,使结构在较长的时间内不致因材料性能劣化而降低可靠度。
式(8.2.4)中第1个可变作用Q1即为主导可变作用。
当作用与作用效应不宜按线性关系考虑时,在单个主导作用的情形下可考虑以下简化规则:a)当效应的增加高于作用时,作用分项系数应乘在作用代表值上;b)当效应的增加低于作用时,作用分项系数应乘在作用代表值的效应上。除悬索、缆索和膜结构外,大多数结构或结构构件属于效应的增加高于作用的类型。
8.2.5 对偶然设计状况,应采用作用的偶然组合,并应符合下列规定:
1 偶然组合的效应设计值按下式确定:

式中:Ad——偶然作用的设计值;
ψf1——第1个可变作用的频遇值系数,应按有关标准的规定采用;
ψq1、ψqj——第1个和第j个可变作用的准永久值系数,应按有关标准的规定采用。
2 当作用与作用效应按线性关系考虑时,偶然组合的效应设计值按下式计算:

式中:SAd——偶然作用设计值的效应。
条文说明
8.2.5 偶然作用的情况复杂,种类很多,因而对偶然组合,原标准只用文字作了简单叙述,本标准根据《工程结构可靠性设计统一标准》GB 50153-2008给出了偶然组合效应设计值的表达式,但未能统一选定本标准式(8.2.5-1)及(8.2.5-2)中用ψfl或ψql,有关的设计标准应予以明确。
作用的偶然组合适用于偶然事件发生时的结构验算和发生后受损结构的整体稳固性验算。
8.2.6 对地震设计状况,应采用作用的地震组合。地震组合的效应设计值应符合现行国家标准《建筑抗震设计规范》GB 50011的规定。
条文说明
8.2.6 各类建筑结构都会遭遇地震,很多结构是由抗震设计控制的。
国内外对地震作用的研究,今天已发展到可统计且有统计数据了。可以给出不同重现期的地震作用,根据地震作用不同的取值水平提出对结构相应的性能要求,这和现在无法统计或没有统计数据的偶然作用显然不同。将地震设计状况单独列出的客观条件已经具备,列出这一状况有利于建筑结构抗震设计的统一协调与发展。
8.2.7 当进行建筑结构抗震设计时,结构性能基本设防目标应符合下列规定:
1 遭遇多遇地震影响,结构主体不受损坏或不需修复即可继续使用;
2 遭遇设防地震影响,可能发生损坏,但经一般修复仍可继续使用;
3 遭遇罕遇地震影响,不致倒塌或发生危及生命的严重破坏。
条文说明
8.2.7 我国建筑结构抗震设计已经积累了丰富的经验,并凝练出具有我国特色的建筑抗震设计的设防目标。
8.2.8 结构重要性系数γ0,不应小于表8.2.8的规定。

条文说明
8.2.8 结构重要性系数γ0是考虑结构破坏后果的严重性而引入的系数,对于安全等级为一级和三级的结构构件分别取1.1和0.9。可靠度分析表明,采用这些系数后,结构构件可靠指标值较安全等级为二级的结构构件分别增减0.5左右,与本标准表3.2.6的规定基本一致,考虑不同投资主体对建筑结构可靠度的要求可能不同,故允许结构重要性系数γ0分别取不应小于1.1、1.0和0.9。
8.2.9 建筑结构的作用分项系数,应按表8.2.9采用。

条文说明
8.2.9 对永久荷载系数γG和可变荷载系数γQ的取值,分别根据对结构构件承载能力有利和不利两种情况,作出了具体规定。
在某些情况下,永久荷载效应与可变荷载效应符号相反,而前者对结构承载能力起有利作用。此时,若永久荷载分项系数仍取同号效应时相同的值,则结构构件的可靠度将严重不足。为了保证结构构件具有必要的可靠度,并考虑到经济指标不致波动过大和应用方便,规定当永久荷载效应对结构构件的承载能力有利时,γG不应大于1.0。
在“以概率理论为基础、以分项系数表达的极限状态设计方法”中,将对结构可靠度的要求分解到各种分项系数设计取值中,作用(包括永久作用、可变作用等)分项系数取值越高,相应的结构可靠度设置水平也就越高,但从概率的观点看,一个结构可靠与否是随机事件,无论其可靠度水平有多高,都不能做到100%安全可靠,总会有一定的失效概率存在,因此不可避免地存在着由于结构失效带来的风险(危及人的生命、造成经济损失、对社会或环境产生不利影响等),人们只能做到把风险控制在可接受的范围内。一般来说,可靠度设置水平越高风险水平就越低,相应的一次投资的经济代价也越高;相反,可靠度设置水平越低风险水平就越高,而相应的一次投资的经济代价则越低。在经济发展水平较低的时候,对结构可靠度的投入受到经济水平的制约,在保证“基本安全”的前提下,人们不得不承受较高的风险;而在经济发展水平较高的条件下,人们更多会选择具有较高投入的结构可靠度从而降低所承担的风险。本次修订将永久作用分项系数γG由1.2调整为1.3、可变作用分项系数γQ由1.4调整为1.5,同时相应调整预应力作用的分项系数γp,由1.2调整为1.3,为我国房屋建筑结构与国际主流规范可靠度设置水平的一致性奠定了基础。
8.2.10 建筑结构考虑结构设计使用年限的荷载调整系数,应按表8.2.10采用。

条文说明
8.2.10 对设计使用年限为100年和5年的结构构件,通过考虑结构设计使用年限的荷载调整系数γL对可变荷载取值进行调整。
8.3 正常使用极限状态
8.3 正常使用极限状态
8.3.1 结构或结构构件按正常使用极限状态设计时,应符合下式规定:
Sd≤C (8.3.1)
式中:Sd——作用组合的效应设计值;
C——设计对变形、裂缝等规定的相应限值,应按有关的结构设计标准的规定采用。
条文说明
8.3.1 对承载能力极限状态,安全与失效之间的分界线是清晰的,如钢材的屈服、混凝土的压坏、结构的倾覆、地基的滑移,都是清晰的物理现象;对正常使用极限状态,能正常使用与不能正常使用之间的分界线是模糊的,难以找到清晰的物理界限区分正常与不正常,在很大程度上依靠工程经验确定。
本条作用组合的效应设计值Sd指变形、裂缝等的设计值。
8.3.2 按正常使用极限状态设计时,宜根据不同情况采用作用的标准组合、频遇组合或准永久组合,并应符合下列规定:
1 标准组合应符合下列规定:
- 标准组合的效应设计值按下式确定:

- 当作用与作用效应按线性关系考虑时,标准组合的效应设计值按下式计算:

2 频遇组合应符合下列规定:
- 频遇组合的效应设计值按下式确定:

- 当作用与作用效应按线性关系考虑时,频遇组合的效应设计值按下式计算:

3 准永久组合应符合下列规定:
- 准永久组合的效应设计值按下式确定:

- 当作用与作用效应按线性关系考虑时,准永久组合的效应设计值按下式计算:

条文说明
8.3.2 列出了三种组合,来源于《结构可靠性总原则》ISO 2394和《结构设计基础》EN 1990。
正常使用极限状态的可逆与不可逆的划分很重要。标准组合宜用于不可逆正常使用极限状态;频遇组合宜用于可逆正常使用极限状态;准永久组合宜用在当长期效应取决定性因素时的正常使用极限状态。
可逆与不可逆不能只按所验算构件的情况确定,还需要与周边构件联系起来考虑。以钢梁的挠度为例,钢梁的挠度本身当然是可逆的,但如钢梁下有隔墙,钢梁与隔墙之间又未作专门处理,钢梁的挠度会使隔墙损坏,则仍被认为是不可逆的,应采用标准组合进行设计验算;如钢梁的挠度不会损坏其他构件(结构的或非结构的),只影响到人的舒适感,则可采用频遇组合进行设计验算;如钢梁的挠度对各种性能要求均无影响,只是个外观问题,则可采用准永久组合进行设计验算。
8.3.3 对正常使用极限状态,材料性能的分项系数γM,除各种材料的结构设计标准有专门规定外,应取为1.0。
附录A 既有结构的可靠性评定
A.1 一般规定
A.1 一般规定
A.1.1 本附录适用于按有关标准或行业规则建造既有结构的可靠性评定。
条文说明
A.1.1 村镇中的一些既有房屋和城市中的棚户房屋没有正规的设计或没有按行业规则建造与施工,不具备进行可靠性评定的基础,不宜按本附录的原则和方法进行评定。
A.1.2 在下列情况下宜进行既有结构的可靠性评定:
1 结构的使用时间超过规定的年限;
2 结构的用途或使用要求发生改变;
3 结构的使用环境恶化;
4 出现构件损伤、材料性能劣化或其他不利状态;
5 对既有结构的可靠性有怀疑或有异议。
条文说明
A.1.2 本条提出既有结构检测评定的规定。第1款中的“规定的年限”不仅仅限于设计使用年限,有些行业规定既有结构使用5年~10年就要进行检测鉴定,重新备案。出现第4款和第5款的情况,当争议的焦点是设计质量和施工质量问题时,可先进行工程质量的评定,再进行既有结构的可靠性评定。
A.1.3 既有结构的可靠性评定可分为承载能力评定、适用性评定、耐久性评定和抵抗偶然作用能力评定。
条文说明
A.1.3 把结构的承载能力、适用性、耐久性和抵抗偶然作用的能力等分开评定可避免概念的混淆,避免引发不必要的问题,同时便于业主根据问题的轻重缓急采取适当的处理措施。对既有结构进行可靠性评定时,业主可根据结构的具体情况提出进行某项性能的评定,也可进行全部性能的评定。
A.1.4 既有结构的可靠性评定应采取以现行结构标准的基本规定为基准,对建筑结构能力的状况或发展趋势予以评价的方式。
条文说明
A.1.4 既有结构的可靠性评定以现行结构标准的相关规定为依据是国际上通行的原则,也是本附录提出的“保障结构性能”的基本要求。但评定不是照搬设计标准的全部公式,要考虑既有结构的特点,对结构构件的实际状况(不是原设计预期状况)进行评定,这是实现尽量减少加固等工程量的具体措施。
A.1.5 既有结构宜采取保全结构,延长结构使用年限的处理措施。
条文说明
A.1.5 既有结构可靠性评定的基本原则是确保结构的性能符合相应及可持续发展的要求;尽量减少业主对既有结构加固等的工程量。上述相应的要求是指现行结构标准对结构性能的基本要求。
A.2 承载能力评定
A.2 承载能力评定
A.2.1 既有结构承载能力的评定可分成结构体系和构件布置、构件的连接和构造、作用与作用效应的分析、构件与连接的承载力等评定分项。
条文说明
A.2.1 本条提出既有结构承载能力评定的四个分项,其中作用与作用效应的分析和构件与连接的承载力两个评定分项也可视为一个分项。本标准的可靠指标包括了作用效应和构件承载力两个分项。
A.2.2 既有结构的结构体系和构件布置,应以现行结构设计标准的规定为依据对实际状况进行评定。
条文说明
A.2.2 以现行设计标准的规定为基准,对既有结构的体系予以评定。
A.2.3 既有结构的连接和与构件承载力相关的构造,应以现行结构设计标准的规定为依据对实际状况进行评定。
条文说明
A.2.3 构件的构造有些是针对适用性的有些是针对耐久性的,在承载能力的评定时可不考虑适用性和耐久性的构造要求。
A.2.4 结构构件的承载能力应以本标准规定的可靠指标为基准,对构件承载力与作用效应之间的关系予以评价。
条文说明
A.2.4 由于本标准的规定比过去有所提高,因此不宜将构件承载能力的评定称为安全性评定。
A.2.5 结构构件和连接的承载力可采取下列方法进行评定:
1 基于结构良好状态的评定方法;
2 基于材料强度系数的方法;
3 基于抗力系数的评定方法;
4 基于可靠指标的构件承载力分项系数的评定方法;
5 重力荷载检验的评定方法等。
条文说明
A.2.5 本条规定了几种构件承载力的评定方法,目前我国结构设计标准普遍采用的是材料强度系数方法。
A.2.6 同时满足下列要求的既有建筑结构,可依据结构的良好状态评定结构构件的承载力是否符合现行设计标准的规定:
1 结构的体系符合大震不倒的设防规定;
2 结构不存在爆炸和碰撞等偶然作用的影响;
3 结构未出现影响结构适用性的变形、裂缝、位移、振动等;
4 在评估使用年限内,结构上的作用和环境不会发生显著的变化。
条文说明
A.2.6 本条规定了基于结构良好状态评定方法的规则,首先要保障在偶然作用下结构不会出现倒塌或坍塌;其次是结构构件与连接部位未达到正常使用极限状态的限值且结构上的作用不会出现明显的变化。当既有结构经历了相应的灾害,而未出现正常使用极限状态限值的现象,也可以认定该结构可以抵抗这种灾害的作用。
A.2.7 基于系数的构件承载力的评定应符合下列规定:
1 构件承载力计算模型的选取和相关参数的取值应符合下列规定:
构件承载力计算模型应符合构件承载能力极限状态的破坏模式;
计算模型的几何参数宜取构件的实际值;
在计算构件承载力时,应考虑构件不可恢复性损伤对构件承载力的不利影响。
2 采用现行标准中材料强度系数的评定应符合下列规定:
构件材料强度的标准值,应以实测数据为依据,按现行结构检测标准规定的方法确定;
在计算承载力时,对标准公式中反映模型不定性的参数应予保留。
3 当采用现行标准抗力系数评定时,可采取下列措施:
材料的强度可取现场测试的平均值或最小值;
当对计算模型进行过相关的研究时,可以利用现行标准公式的模型不定性储备;
经过验证后,在计算模型中可增补对抗力有利因素的实际作用。
条文说明
A.2.7 本条第1款所称的计算模型是指构件承载力的计算公式。计算公式所确定的构件承载力应与所评定构件承载能力极限状态的承载力相符合。例如,混凝土悬挑构件的承载力不能用受弯构件正截面承载力予以评定,再如地震作用下有侧移的框架柱的承载力,不能用偏压构件或斜截面承载力予以评定。无论采取何种方法评定构件的几何参数都可以取实测值,且应考虑不可恢复性损伤的影响。例如钢材的锈蚀等对构件承载力的影响等。
本条第2款提到的材料强度系数可按相关结构设计标准的规定确定,此时材料强度应取实测推定的标准值。
本条第3款的中提到的抗力系数与构件承载力的分项系数相近,建筑结构的有些设计标准使用的是抗力系数。在使用抗力系数时,材料的强度可以使用实测值平均值或最小值,而且可以利用模型不定性的保守措施。
A.2.8 当可确定某类构件承载力的变异系数δR,j时,可采用下列基于可靠指标的构件承载力分项系数的评定方法:
1 将可靠指标β分解为作用效应的可靠指标βS和构件承载力的可靠指标βR;
2 该类构件承载力的分项系数γR可按下式确定:
γR=1/(1-βRδR) (A.2.8)
3 分析构件承载力变异系数δR的模型可以作为构件承载力的计算模型;
4 计算模型中的材料强度和几何参数可以采用实测数值;
5 计算模型宜采用模型不定性的保守措施。
条文说明
A.2.8 本条所称的基于可靠指标的构件承载力分项系数的评定方法是一种用构件承载力的分项系数γR替代现行标准材料强度系数和抗力系数的方法。
构件承载力的变异系数δR可以通过对批量构件承载力的试验数据分析确定。将可靠指标β分解为作用效应的可靠指标βS和构件承载力的可靠指标βR可以有两种方法。一种是直接分解可靠指标的方法,国际标准和欧洲规范采取了这种方法。另一种方法是利用βS和δR分解出βR并计算确定γR。第一种方法相对简单,第二种方法比第一种方法更为合理。这两种方法都需要先行确定βS的取值。构件承载力分项系数的计算公式体现了分项系数与可靠指标和变异系数之间的关系,其实质是将分项系数与可靠指标和失效概率建立了联系。
A.2.9 对具备检验条件的结构或结构构件,可采用基于荷载检验的评定方法,荷载检验应符合下列规定:
1 检验荷载的形式应与结构承受的主要作用的情况基本一致;
2 除与有关方专门协商之外,检验荷载不宜大于荷载的设计值;
3 构件系数或材料强度系数对应的检验荷载的检验结果,可通过分析的方法确定。
条文说明
A.2.9 荷载检验是确定构件承载力的方法之一。本条提出荷载检验确定承载力的规则。当结构主要承受重力作用时,应采用重力荷载的检验方法;检验的荷载值应通过预先的计算估计,并在检验时采取逐级加载的方式。为了避免结构或构件产生过大变形或损伤,检验荷载不宜大于荷载的设计值(标准值×荷载系数×所属面积)。
结构构件的承载力除了有荷载系数的裕量外,还应有构件系数或材料强度系数的裕量。对于检验荷载未达到构件系数或材料系数部分,可采取辅助计算分析的方法实现。
A.2.10 既有结构构件承受的荷载可按国家现行相关标准的规定确定,并宜按下列规定进行符合实际情况的调整:
1 建筑构配件等的自重荷载宜以现场实测数据为依据分析确定;
2 当楼面均布活荷载出现过大于有关标准限定的标准值时,应采用曾出现的最大值与该类构件所属面积的乘积作为评定楼面均布活荷载的代表荷载;
3 对于雪荷载敏感的结构,应取当地记录到的最大地面雪压和重现期100年的雪压值中的较大值作为基本雪压;
4 对于风荷载敏感的结构,应取瞬时风速换算的风压和重现期100年的风压中的较大值作为基本风压。
条文说明
A.2.10 本条第1款的自重荷载不包括永久荷载中的堆物荷载等,现场实测数据包括构配件的单位体积的自重和尺寸参数。对于用实测后的自重的代表荷载,其分项系数可以取γG=1.2;对于未实测的自重荷载其γG不应小于1.3。本条第2款专指楼面均布活荷载;有确切的调查表明,当人员极度拥挤时,仅人员荷载就可达到5kN/m2左右,有些公共建筑及其走道和楼梯经常出现这种状况。本条第3款的规定与建筑结构荷载规范的规定类似,当有实测数据且实测数据大于重现期100年的地面雪压时,取实测数据。根据分析,瞬时风对于一些轻型结构有极大的影响,3s的瞬时风一般为10min的平均风的1.5倍。
A.2.11 构件的作用效应,应按下列规定计算确定:
1 结构构件的作用效应宜在荷载或作用组合后计算确定;
2 在计算分析既有结构的作用效应时宜考虑构件的轴线偏差、尺寸偏差、安装偏差和不可恢复性变形等的不利影响;
3 在作用效应的计算后,应考虑由结构分析模型造成的作用效应的不定性;
4 当不能确定作用效应的不定性时,可采用所有可能出现不利组合效应的包络作为作用效应的评定值。
条文说明
A.2.11 本条规定要进行荷载或作用的组合,然后计算作用效应。作用效应应考虑作用效应的不定性。造成作用效应存在不定性的因素至少有施工偏差和结构分析方法两类因素。
A.3 适用性评定
A.3 适用性评定
A.3.1 既有结构的适用性应包括正常使用极限状态和结构维系建筑功能的能力等分项。
条文说明
A.3.1 本条提出适用性评定的两个分项,建筑结构的各项能力性能都是为了保障建筑的使用功能。
A.3.2 结构构件正常使用极限状态应以现行结构设计标准限定的变形和位移值为基准对结构构件的状况进行评定。
条文说明
A.3.2 本条提出正常使用极限状态评定的规则,以现行结构标准规定的限值,对结构构件的变形、位移等实际状况予以评价。
A.3.3 结构构件的变形和位移等状况可通过现场检测确定;现场检测时应区分施工偏差和构件的变形或位移。
A.3.4 当结构构件的变形或位移不能通过现场检测确定时,应采用结构分析的方法计算确定。
条文说明
A.3.4 结构标准的一些限值是在荷载标准值作用下的限值,例如地震作用下的限值。通常这种位移或变形现场是无法测定的,要采取结构分析的方法计算确定。
A.3.5 当结构的位移或变形对建筑的使用功能构成影响时,应评定为结构构件维系建筑功能的能力不足。
条文说明
A.3.5 即使位移和变形在标准的限制范围之内,只要对建筑的功能构成影响即可将其评定为维系建筑功能的能力不足。?这些现象包括装饰装修层出现破损、设备设施的正常运行受到影响和使用人员产生不安全感等。
A.4 耐久性评定
A.4 耐久性评定
A.4.1 既有结构的耐久性评定,应以判定结构相应耐久年限与评估使用年限之间的关系为目的。
条文说明
A.4.1 耐久年数为结构在环境影响下出现耐久性极限状态标志或限值的年限。评估使用年限为预期结构继续使用的经济合理的使用年数,也可以认为是下一个“设计使用年限”。当耐久年数大于评估使用年限时,表明结构具有足够的耐久性。
A.4.2 既有结构耐久性极限状态的标志或限值应按有关标准的规定确定。
条文说明
A.4.2 目前只有混凝土结构耐久性设计标准明确提出了耐久性极限状态的标志与限值,其他结构设计标准并没有提出明确规定。
A.4.3 既有建筑结构耐久性的评定应实施下列现场检测:
1 确定已出现耐久性极限状态标志的构件和连接;
2 测定构件材料性能劣化的状况;
3 测定有害物质的含量或侵入深度;
4 确定环境侵蚀性的变动情况。
条文说明
A.4.3 所谓标志是可以看到迹象的,而限值则需要通过检验或测试确定。
A.4.4 对于已经出现耐久性极限标志的构件或连接,应进行构件承载力的评定和适用性评定,在评定时应考虑不可恢复性损伤对承载力和适用性的实际影响。
A.4.5 对于未出现耐久性极限状态标志和未达到限值的构件和连接,可推定耐久年数。
条文说明
A.4.5 出现耐久性极限状态标志的构件,无需推定耐久年数,没有耐久年限可言。相反还要进行承载力和适用性的评定。例如钢筋出现锈蚀,在计算构件承载力时应该使用锈蚀后的截面面积和力学性能指标计算构件的承载力。
A.4.6 结构构件的耐久年数可采取下列方法推定:
1 经验的方法;
2 依据实际劣化情况验证或校准已有劣化模型的方法;
3 基于快速检验的方法;
4 其他适用的方法等。
条文说明
A.4.6 本条规定的推定方法已在一些标准中得到应用。
A.5 抵抗偶然作用能力的评定
A.5 抵抗偶然作用能力的评定
A.5.1 既有建筑结构的偶然作用包括其可能遭受的罕遇地震、洪水、爆炸、非正常撞击、火灾等。
条文说明
A.5.1 本条提出既有结构的抗灾害能力评定的项目。
A.5.2 既有结构抵抗偶然作用的能力,宜从结构体系与构件布置、连接与构造、承载力、防灾减灾和防护措施等方面综合评定。
条文说明
A.5.2 对于建筑结构不可抵御的泥石流、山体滑坡、岩崩、地面坍陷等自然和人为灾害,不应按本标准进行抵抗偶然作用能力的评定。
A.5.3 对于罕遇地震可采取下列方法予以评定:
1 按现行标准对建筑物的总高度、层数、高宽比等限制要求和结构构造措施进行抗倒塌能力的评定;
2 采取结构分析的方法对结构整体的变形限值和薄弱层变形限值予以评定。
条文说明
A.5.3 本条第1款的评定方法,是依据多次地震损失总结出的经验方法。
A.5.4 对于可能受到洪水影响的既有结构,除应考虑洪水的冲击作用和浸泡作用外,还应考虑洪水对地基的影响。
条文说明
A.5.4 本条所提洪水并非河道之内的洪水,而是漫过堤岸的洪水,这类洪水对结构的冲击作用相对较弱,但有时浸泡时间较长。浸泡会使材料强度明显降低,也会使地基的承载力受到影响。
A.5.5 对于发生在内部的爆炸等偶然作用应进行下列三种境况的评定:
1 爆炸发生时和发生后,避免结构出现整体倒塌的能力或个别构件破坏后避免结构出现连续倒塌的能力;
2 爆炸发生时,避免建筑内部人员受到严重伤害的防护措施;
3 减小爆炸对周边建筑影响的措施。
A.5.6 当既有建筑结构周边有爆炸源时,应评价避免爆炸造成人员受到伤害的防护措施和结构及围护结构避免破坏的能力。
A.5.7 对于发生在建筑内部和外部的撞击,应进行下列评定:
1 防止撞击发生的措施和减小撞击作用效应的措施;
2 结构局部破坏或个别构件丧失承载力,避免结构出现局部坍塌或连续倒塌的能力。
A.5.8 对于发生在建筑内部的火灾,可进行下列评定:
1 对于未设置喷淋设施的建筑,可评价可燃物全部燃烧的持续时间与结构构件耐火极限的关系;
2 对于设置喷淋设施的建筑,应评价烟感和喷淋设施的有效性;
3 建筑内的排烟措施和疏散措施。
A.5.9 在具有较多可燃物附近的建筑结构,应进行下列评定:
1 建筑的防火间距;
2 建筑的结构和外围护结构的可燃性和防火能力;
3 人员疏散的通道。
附录B 结构整体稳固性
B.1 一般规定
B.1 一般规定
B.1.1 本附录适用于偶然荷载引起的结构整体稳固性的设计。对于与火灾、极度腐蚀等非荷载相关的结构整体稳固性,可按相关标准的规定执行;对于设计、施工、使用中可能出现的错误和疏忽,应通过严格管理控制。
条文说明
B.1.1 结构整体稳固性设计是针对偶然作用的,偶然作用包括爆炸、撞击、火灾、极度腐蚀、设计施工错误和疏忽等。爆炸、撞击等是以荷载的形式直接作用于结构的,而火灾和极度腐蚀是以降低结构的承载力为特征的,虽然同是偶然作用,但作用的方式不同,设计中采用的措施和方法也不同。本附录针对的是爆炸、撞击等偶然荷载引起的结构连续倒塌问题。关于火灾和极度腐蚀,目前已有专门的设计规范,如现行国家标准《建筑设计防火规范》GB?50016、《混凝土结构耐久性设计规范》GB/T 50467、《工业建筑防腐蚀设计规范》GB 50046等。设计、施工中的错误和疏忽是一个管理问题,应通过提高设计和施工人员的技术水平和风险意识及加强设计、施工中的检查来解决。
B.1.2 进行结构整体稳固性设计时,应区分与结构整体稳固性有关的偶然作用的类型。当几个偶然作用同时出现或相继出现时,应考虑这些偶然作用的联合影响和后续影响。
条文说明
B.1.2 偶然荷载有多种,不同偶然荷载的特性是不同的,对结构的作用方式也是不同的,所以应针对不同的偶然荷载采用不同的整体稳固性设计方法。例如撞击对结构的作用是以点或面接触的形式传递的,作用方向明确;而爆炸是以瞬间爆发气体压力的形式作用于结构的,而且压力是任意方向,气浪过后是短时间的负压。有时不同形式的偶然作用会同时或相继出现,如爆炸引起的局部结构损坏体又在爆炸力的作用下作用于结构的其他部分,气浪和损坏体的撞击几乎是同时产生的;上部楼层阳台在爆炸作用下垮塌跌落,对下部楼层的阳台造成撞击作用则是相继作用,这些作用都比单个作用的破坏力大,需考虑其联合影响,但不一定是时间上最大值的叠加,视情况考虑时间差。
B.1.3 影响结构整体稳固性的偶然作用类型可按下列形式划分:
1 由自然或一般人类活动引起的危险;
2 蓄意破坏和恐怖袭击等故意的或人为制造的危险;
3 错误和疏忽;
4 其他引起结构连续倒塌的作用。
条文说明
B.1.3 本条从偶然作用属性列出了对结构整体稳固性有影响的偶然作用类型,这些都是比较常见的。国际标准《结构可靠性总原则》ISO 2394:2015和欧洲规范《结构上的作用—第1-7部分:一般作用—偶然作用》EN 1991-1-7:2006从风险的角度,将针对这些偶然作用的结构整体稳固性设计定义为风险已知(riskinformed)的设计。此外,欧洲规范《结构上的作用—第1-7部分:一般作用—偶然作用》EN 1991-1-7:2006中还提供了风险未知的结构整体稳固性设计方法,即虽然不能明确可能的风险源,但设计中直接赋予结构一定的抗连续倒塌能力。
本条列出的第1类偶然作用包括两种情况,一种情况是具有一定客观性质的自然作用,决定于自然环境,与人的关系不大;另一种情况是人类活动引起的危险,如煤气爆炸、粉尘爆炸、直升机降落等产生的作用与人的操作有关,主观上不希望发生而客观上不一定能得到控制,在一定程度上也具有客观的属性。第2类偶然作用指的是故意进行的破坏和人为制造的恐怖袭击。第3类偶然作用是人活动过程中的一种表现,与第2类偶然作用不同,非人故意所为,与人的知识结构、工作能力、责任心甚至生理和心理等因素有关,其不利影响可以通过加强学习、明确责任分工、细心检查等措施降低。
B.2 设计原则
B.2 设计原则
B.2.1 结构设计前应分析结构各种潜在的危险源。结构选址应避让各种危险源。对于结构附近可能有危险源或结构使用中存在危险源的情况,设计中应考虑采取相应的防控措施,避免或控制偶然事件的发生,或减轻偶然作用的强度。
条文说明
B.2.1 如同结构抗震设计中结构选址要避开不利地段一样,避免偶然事件的发生或减轻偶然作用的影响是保证结构整体稳固性最简单、最经济和最有效的方法。例如,对于有泥石流或可能会发生滑坡的地区,结构的建造要避开不稳定山坡或堆积物一定距离;对存放危险品的地方,要根据相关规定将结构建造在安全距离之外。如果不能完全避开危险源或避开距离不符合要求,要采取避免偶然荷载直接作用于结构及减轻结构连续倒塌的措施。例如,对可能发生泥石流或滑坡的山坡设置障碍物或进行加固处理,对可能遭受撞击的结构采取防护措施等。
B.2.2 应对结构进行概念设计,选取对整体稳固性有利的结构形式,并采取有效的构造措施。
条文说明
B.2.2 概念设计是不进行详细计算,而通过定性分析和判断选择受力明确、荷载传递路径清晰的结构形式及采取抗连续倒塌的措施,需要针对结构所处环境、可能遭受的偶然作用、结构用途和结构形式等从多方面考虑。如果结构概念设计得当,将会收到事半功倍的效果;如果结构设计方案存在缺陷,即使构件的承载力再高也难以保证结构整体具有较高的稳固性,经济上也不一定合理,效果更是事倍功半。如同先天有缺陷的儿童,不管花多少钱,后天的治疗也难以达到正常儿童的健康水平。
B.2.3 结构应具有较高的冗余度和多条明确的荷载传递路径,一条荷载传递路径失效后,应具有将荷载传递到其他路径的能力。
条文说明
B.2.3 使结构具有较高的冗余度是结构设计的基本原则,对于偶然荷载作用下结构的抗连续倒塌设计更是如此。与一般永久荷载和可变荷载作用下的情况(即持久设计状况和短暂设计状况)不同,由于偶然作用量值很大,作用时间短,当偶然事件发生时,结构完全不发生损坏往往是不现实的,即使设计上能够做到也是不经济的,特别是偶然事件的发生一般属于小概率事件,按完全抵抗偶然作用进行设计是没有必要的,所以合理的设计原则是允许结构在一定范围内发生程度上不会引起连续倒塌的破坏。一方面可接受的局部破坏使偶然作用的能量得到释放,另一方面,结构的其他部分得到保护,经过对破坏的局部区域进行修复,使结构整体恢复到初始状态或接近初始状态。关键是结构局部破坏后能够保持整体稳定,不致因发生局部破坏而发生整体倒塌,在这种情况下,保证结构局部破坏后的荷载具有可靠的替代传递路径非常重要,即需要考虑局部破坏区域的荷载如何传递到未破坏的区域,以及未破坏的区域能否承担重分布后的荷载。
B.2.4 结构、结构构件或连接应具有保持结构整体稳定需要的变形能力和延性性能。
条文说明
B.2.4 对结构材料和结构构件及连接的变形性能提出了要求。偶然作用的特点是虽然量值很大,但持续时间非常短,这样只要结构、结构构件及连接具有良好的变形能力和延性,能够通过改变荷载传递路径实现局部破坏部分承担的荷载向剩余结构转移,从而使整体结构度过短暂的偶然作用时期而不倒塌。
B.2.5 结构设计应明确关键构件和非关键构件,关键构件应能承受规定的偶然荷载或采取适当的保护措施。
条文说明
B.2.5 关键构件是对保持结构整体稳固性起支撑作用的构件,如果这些构件发生破坏,结构整体性就不能得到保证,如结构的柱、转换梁、墙等;非关键构件是对保持结构整体稳定性起作用不大的构件,如一般的梁等。设计中需关注关键构件抵抗偶然作用的能力并对关键构件进行保护。
B.2.6 对于允许发生局部破坏的结构,局部破坏应控制在不引起结构整体倒塌的程度和范围内。
条文说明
B.2.6 关键构件能够承受规定的偶然作用并采取了防护措施就意味着结构基本满足了整体稳固性要求。因为偶然作用的随机性很大,超过设计规定值的可能性依然存在,超过保护措施提供的保护能力的可能性也很大,在这种情况下还要考虑关键构件失效后的局部破坏问题,控制局部破坏的程度和范围,避免结构发生连续倒塌。
B.3 设计方法
B.3 设计方法
B.3.1 结构整体稳固性设计应包括概念设计、构造处理和计算分析,并可采用下列方法:
1 控制事件法;
2 抵抗特定荷载法;
3 替代路径法,包括提供拉杆等;
4 减轻后果法;
5 其他保持结构整体稳固性的方法。
条文说明
B.3.1 一般永久作用和可变作用下结构的设计程序是概念设计、计算分析和构造处理,而在结构整体稳固性设计中,概念设计和构造处理往往比计算分析更为有效和重要。这是因为:①本附录考虑的偶然作用,如爆炸、撞击,不确定性很大,即使计算方法是精确的,分析结果也未必是准确的,因为设计采用的作用值只是一个协议值;②爆炸、撞击等偶然作用是动态作用,结构的反应也是动力反应,准确计算结构的动力反应实际上是困难的,特别是当结构局部区域进入材料非线性和几何非线性状态后。有些结构设计本身就难以做到精确的内力计算,例如砌体结构。对于砌体结构,通过设置构造柱和圈梁、加强结构不同区域的联系对于保持结构整体稳固性比计算会更有效。
本条所提的结构整体稳固性设计方法是广义概念上的设计方法,只要对保持结构整体稳固性有效,都可以采用。控制事件法属于从源头上降低结构连续倒塌风险的设计方法,例如对于住宅,通过安装天然气泄漏报警器使泄漏的天然气浓度达到临界浓度之前得到控制,避免爆炸事件的发生;对于有粉尘的工业厂房,通过设计良好的通风系统降低粉尘浓度,?避免然爆事件的发生。抵抗特定荷载法是通过设计使结构或结构构件具有抵抗偶然荷载的能力。替代路径法是通过设计使结构在发生局部破坏后,能够将局部破坏区域的荷载转移到其他完好区域的方法,如当爆炸或撞击使结构底层失去一根柱后,其支撑的梁所承担的重力荷载将部分转移到临近的柱和梁。减轻后果法是通过合理的设计使结构在偶然作用下虽然不能避免发生局部破坏,但局部破坏的范围得到控制从而避免结构整体发生连续倒塌的方法。例如对于住宅或饭店,天然气是影响结构整体稳固性的危险源之一,如果采用框架结构设计时将厨房布置在靠近外墙的位置,则发生天然气爆炸事件后,高压气体能够迅速通过窗口或推开外墙得到释放,主体结构受影响较小;反之,如果厨房布置在靠近房屋中心的位置,当爆炸事件发生后高压气体要从里向外宣泄,内墙、外墙都会发生破坏,还可能影响主体结构承载。另外,从降低燃气爆炸后果的角度考虑,采用大窗口的墙比小窗口的墙更有利,高压气体容易通过窗口释放而使墙体得到保护。
本条只是列出了几种保持结构整体稳固性的设计方法,几种方法也可同时采用,设计中还可以根据结构的具体情况采用其他的方法,要充分调动设计人员的主观能动性。
B.3.2 采用抵抗特定荷载法进行设计时,应验算偶然作用使结构关键构件失效后,受损的结构仍具有保持整体稳固性的能力,其中作用效应设计值应按本标准式(8.2.5)确定;偶然事件发生后受损结构整体稳固性验算宜包括结构承载力和变形验算,作用效应设计值可按本标准式(8.2.5)确定。
条文说明
B.3.2 本标准第3.2.6条规定了建筑结构一般永久作用和可变作用下(持久设计状况)的最低可靠度水平,按这一可靠度水平进行设计技术上是可行的,经济上也是合理的。由于偶然作用的量值一般很大(偶然设计状况),保证结构具有与一般永久作用和可变作用时相同的可靠度水平技术上是困难的,经济上往往也是不合理的。考虑到偶然事件发生的概率毕竟很小,绝大部分结构在其设计使用年限内不会遇到偶然事件。所以允许偶然事件发生时结构出现局部破坏,但在个别关键构件失效的情况下,结构局部破坏的区域仍有一定承载力及将部分荷载转移到剩余结构的能力,同时局部破坏不会引起剩余结构的链式倒塌,不影响结构的整体稳固性,即当偶然事件发生时,结构抗连续倒塌设计的策略之一就是通过牺牲局部利益保全整体利益。
偶然事件发生后结构局部受到损坏,但只要在自重和准永久可变荷载下不发生连续倒塌,即可避免重大的经济损失和人身伤亡,通过修复使结构复原,继续使用。不同类型和材料的结构局部损坏后保持整体稳固性的能力是不同的,延性结构和局部损坏后性能受延性构件控制的结构,整体稳固性决定于结构的变形能力;而脆性结构和局部损坏后性能受脆性构件控制的结构,整体稳固性决定于结构的承载力。设计中需要根据结构局部损坏后的性能进行承载力和变形验算。由于不同材料结构的性能不同,变形限值由各材料结构设计标准规定。
B.3.3 考虑材料性能的线性和非线性、结构几何性能的线性和非线性时,结构整体稳固性可采用线性静力方法、非线性静力方法和非线性动力方法进行计算。采用线性静力方法和非线性静力方法进行计算时,应考虑动力效应的影响。结构材料性能可按动态性能考虑,针对不同的情况材料性能可采用设计值、标准值或平均值。
条文说明
B.3.3 线性静力方法、非线性静力方法和非线性动力方法是复杂程度依次增大、理论上讲计算精度依次增高的结构分析方法。线性静力方法和非线性静力方法不能直接反映偶然作用及瞬间结构体系改变产生的动力效应,动力效应需要专门进行考虑。美国国防部有关标准和美国公共事务管理局《新联邦大楼与现代主要工程抗连续性倒塌分析与设计指南》规定,按线性静力方法和非线性静力方法进行分析时,局部破坏后的竖向荷载放大一倍。由于不同类型结构的弹塑性分析方法有很大不同,具体由各材料结构设计标准规定。
试验表明,结构材料强度随加载速度的提高而提高,这对于结构抗连续倒塌是有利的,设计中考虑这一有利影响,可减小为保证结构整体稳固性而额外增加的费用。如本标准附录B第B.3.2条条文说明指出的,从经济上考虑,结构遭受巨大的偶然作用时不需达到持久设计状况时的可靠度水平。因此设计和验算时材料性能可取设计值、标准值或平均值,但要经分析确定。
B.3.4 可按本标准表3.2.1规定的安全等级对结构进行整体稳固性设计。安全等级为三级的结构,可只进行概念设计和构造处理;安全等级为二级的结构,除应进行概念设计和构造处理外,可采用线性静力方法进行计算;安全等级为一级的结构,除应进行概念设计和构造处理外,宜采用非线性静力方法或非线性动力方法进行计算,也可采用线性静力方法进行计算。
条文说明
B.3.4 本标准第3.2.1条根据结构破坏后果规定了结构的安全等级。结构因整体稳固性不足而发生连续倒塌的后果的性质是相同的,即人身伤亡、经济损失、社会影响、环境影响等,故采用本标准第3.2.1条的安全等级对结构进行整体稳固性设计,但如本标准附录B第B.3.2条条文说明所论述的,偶然设计状况的结构可靠度水平与持久设计状况的可靠度水平是不同的。
不管是哪一安全等级的结构,针对整体稳固性进行概念设计和构造处理都是必要的,这是结构整体稳固性设计的基本原则,也是投入低而效果显著的方法。安全等级为三级的结构属于不重要的结构,倒塌造成的后果不大,只要求进行概念设计和构造处理就能获得必要的抗连续倒塌能力。安全等级为二级的结构属于量大面广的结构,进行概念设计、构造处理并采用线性静力方法进行计算,这样既能够在构造上满足结构抗连续倒塌的要求,设计计算也不复杂,与一般持久状况设计的复杂程度是一致的。安全等级为一级的结构倒塌破坏造成的后果严重,对整体稳固性的要求较高,要求进行概念设计、构造处理和复杂程度不低于线性静力方法的方法进行计算,当线性静力方法不能合理反映结构的非线性特征或动力反应时,再采用非线性静力方法或非线性动力方法进行计算。
B.4 安全管理与评估
B.4 安全管理与评估
B.4.1 结构使用过程中应进行安全管理,控制和避免各种偶然事件的发生或减轻偶然事件对结构整体稳固性的影响。
条文说明
B.4.1 除通过设计使结构具备规定的整体稳固性外,在结构使用中进行风险和安全管理也非常重要,如避免在建筑物内存放易燃、易爆物品,提高用户的风险意识,安装易燃、易爆气体泄漏监测装置等,建筑物业主、用户和有关管理部门对此都负有责任。
B.4.2 结构维修、加固不应削弱已有的荷载传递路径,结构用途变更应对结构的整体稳固性重新进行评估。
条文说明
B.4.2 在设计使用年限内,可能需要对结构进行维修或加固。维修或加固一般是针对提高持久设计状况承载力的,但如果将加固支撑设置在易于遭受撞击的位置,当支撑遭撞击失去后,反而会使结构被支撑构件承受突然下沉产生的冲击力。对于结构用途改变的情况,更应予以重视。一方面结构改变用途后其风险源的位置可能与原用途的结构不同,另一方面改变结构体系的加固方式可能会改变结构局部破坏后的荷载传递路径,使结构不再具有当初设计时的整体稳固性。
B.4.3 结构整体稳固性评估可根据不同的目的在结构设计、建造和不同的使用阶段进行。结构整体稳固性评估应包括偶然事件评估和结构抗连续倒塌能力评估。
B.4.4 偶然事件评估应包括可能发生偶然事件的类型、偶然事件可能发生的位置及偶然作用可能的强度或等级,当有条件时应采用概率方法进行评估。
B.4.5 结构抗连续倒塌评估可根据假想的结构连续倒塌情景进行,包括针对所考虑偶然事件结构发生局部破坏的可能性、破坏的形式、破坏的范围及造成的人员伤亡、经济损失和社会影响。
B.4.6 根据结构不同阶段的整体稳固性评估结果,应对结构采取相应的抗连续倒塌措施。
附录C 耐久性极限状态设计
C.1 一般规定
C.1 一般规定
C.1.1 结构的设计使用年限应根据建筑物的用途和环境的侵蚀性确定。
条文说明
C.1.1 确定结构的设计使用年限是耐久性设计的第一步工作。
C.1.2 结构的耐久性极限状态设计,应使结构构件出现耐久性极限状态标志或限值的年限不小于其设计使用年限。
条文说明
C.1.2 构件耐久性设计的目标,是使其在设计使用年限内不达到有关的耐久性极限状态。
C.1.3 结构构件的耐久性极限状态设计,应包括保证构件质量的预防性处理措施、减小侵蚀作用的局部环境改善措施、延缓构件出现损伤的表面防护措施和延缓材料性能劣化速度的保护措施。
条文说明
C.1.3 本条提出耐久性设计的四项措施,木材的干燥等措施是典型的保证构件质量的预防性处理措施,构件的涂层等是典型的表面防护措施,特殊环境下可采用阴极保护措施。
C.2 设计使用年限
C.2 设计使用年限
C.2.1 结构的设计使用年限,宜按本标准表3.3.3的规定采用。
C.2.2 必须定期涂刷的防腐蚀涂层等结构的设计使用年限可为20年~30年。
C.2.3 预计使用时间较短的建筑物,其结构的设计使用年限不宜小于30年。
条文说明
C.2.3 如某些矿区的建筑物等。
C.3 环境影响种类
C.3 环境影响种类
C.3.1 结构的环境影响可分成无侵蚀性的室内环境影响和侵蚀性环境影响等。
条文说明
C.3.1 建筑结构与其他工程结构最明显的差异就是可以区分室内环境和室外环境。
C.3.2 当把无侵蚀性的室内环境视为一个环境等级时,宜将该等级分为无高温的室内干燥环境和室内潮湿环境两个层次。
C.3.3 根据环境侵蚀性的特点,宜按下列作用分类:
1 生物作用;
2 与气候等相关的物理作用;
3 与建筑物内外人类活动相关的物理作用;
4 介质的侵蚀作用;
5 物理与介质的共同作用。
C.3.4 当结构构件出现下列损伤时宜归为生物作用:
1 木结构的虫蛀和腐朽等;
2 植物根系造成的损伤;
3 动物粪便和细菌等造成的损伤。
C.3.5 结构构件出现下列损伤时宜归为与气候等相关的物理作用:
1 构件或材料出现冻融损伤;
2 出现因风沙造成的磨损和水的流动造成的损伤;
3 太阳辐射及相应的高温造成聚合物材料的老化;
4 温度、湿度等的变动使结构构件出现变形和开裂;
5 温度、湿度等的变动使结构构件中的介质膨胀;
6 随水分进入构件材料内部的介质结晶造成的损伤等。
C.3.6 结构构件出现的下列损伤时宜归为与人类生产相关的物理作用:
1 高速气流或水流造成的空蚀;
2 人员活动造成的磨损;
3 撞击造成的损伤;
4 设备高温、高湿等造成的损伤;
5 设备设施等造成的有机材料的老化等。
C.3.7 介质的侵蚀作用可分成下列几种类型:
1 环境中或生产过程中的酸性介质或碱性介质直接造成的损伤;
2 环境中或生产过程中的介质与构件出现化学不相容的现象;
3 环境中或生产过程中的介质加速高分子聚合物材料的老化或性能劣化等。
C.4 耐久性极限状态
C.4 耐久性极限状态
C.4.1 各类结构构件及其连接,应依据环境侵蚀和材料的特点确定耐久性极限状态的标志和限值。
C.4.2 对木结构宜以出现下列现象之一作为达到耐久性极限状态的标志:
1 出现霉菌造成的腐朽;
2 出现虫蛀现象;
3 发现受到白蚁的侵害等;
4 胶合木结构防潮层丧失防护作用或出现脱胶现象;
5 木结构的金属连接件出现锈蚀;
6 构件出现翘曲、变形和节点区的干缩裂缝。
C.4.3 对钢结构、钢管混凝土结构的外包钢管和组合钢结构的型钢构件等,宜以出现下列现象之一作为达到耐久性极限状态的标志:
1 构件出现锈蚀迹象;
2 防腐涂层丧失作用;
3 构件出现应力腐蚀裂纹;
4 特殊防腐保护措施失去作用。
条文说明
C.4.3 组合钢结构中的劲性配筋的钢构件,可执行本标准附录C第C.4.5条的规定。
C.4.4 对铝合金、铜及铜合金等构件及连接,宜以出现下列现象之一作为达到耐久性极限状态的标志:
1 构件出现表观的损伤;
2 出现应力腐蚀裂纹;
3 专用防护措施失去作用。
C.4.5 对混凝土结构的配筋和金属连接件,宜以出现下列状况之一作为达到耐久性极限状态的标志或限值:
1 预应力钢筋和直径较细的受力主筋具备锈蚀条件;
2 构件的金属连接件出现锈蚀;
3 混凝土构件表面出现锈蚀裂缝;
4 阴极或阳极保护措施失去作用。
C.4.6 对砌筑和混凝土等无机非金属材料的结构构件,宜以出现下列现象之一作为达到耐久性极限状态的标志或限值:
1 构件表面出现冻融损伤;
2 构件表面出现介质侵蚀造成的损伤;
3 构件表面出现风沙和人为作用造成的磨损;
4 表面出现高速气流造成的空蚀损伤;
5 因撞击等造成的表面损伤;
6 出现生物性作用损伤。
C.4.7 对聚合物材料及其结构构件,宜以出现下列现象之一作为达到耐久性极限状态的标志:
1 因光老化,出现色泽大幅度改变、开裂或性能的明显劣化;
2 因高温、高湿等,出现色泽大幅度改变、开裂或性能的明显劣化;
3 因介质的作用等,出现色泽大幅度改变、开裂或性能的明显劣化。
C.4.8 对具有透光性要求的玻璃构配件,宜以出现下列现象之一作为达到耐久性极限状态的标志:
1 结构构件出现裂纹;
2 透光性受到磨蚀的影响;
3 透光性受到鸟类粪便影响等。
C.4.9 结构构件耐久性极限状态的标志或限值及其损伤机理,应作为采取各种耐久性措施的依据。
C.5 耐久性极限状态设计方法和措施
C.5 耐久性极限状态设计方法和措施
C.5.1 建筑结构的耐久性可采用下列方法进行设计:
1 经验的方法;
2 半定量的方法;
3 定量控制耐久性失效概率的方法。
C.5.2 对缺乏侵蚀作用或作用效应统计规律的结构或结构构件,宜采取经验方法确定耐久性的系列措施。
条文说明
C.5.2 耐久性的作用效应与构件承载力的作用效应不同,其作用效应是环境影响强度和作用时间跨度与构件抵抗环境影响能力的结合体。对于缺少或者不存在这种规律的构件(如木结构的虫蛀和腐朽),需要采取经验设计方法。所谓经验方法就是,从成功的结构中取得经验,从失效的事例中汲取教训。
C.5.3 采取经验方法保障的结构构件耐久性宜包括下列技术措施:
1 保障结构构件质量的杀虫、灭菌和干燥等技术措施;
2 避免物理性作用的表面抹灰和涂层等技术措施;
3 避免雨水等冲淋和浸泡的遮挡及排水等技术措施;
4 保障结构构件处于干燥状态的通风和防潮等技术措施;
5 推迟电化学反应的镀膜和防腐涂层等技术措施以及阴极保护等技术措施;
6 作出定期检查规定的技术措施等。
C.5.4 具有一定侵蚀作用和作用效应统计规律的结构构件,可采取半定量的耐久性极限状态设计方法。
C.5.5 半定量的耐久性极限状态设计方法宜按下列步骤确定环境的侵蚀性:
1 环境等级宜按侵蚀性种类划分;
2 环境等级之内,可按度量侵蚀性强度的指标分成若干个级别。
C.5.6 半定量设计方法的耐久性措施宜按下列方式确定:
1 结构构件抵抗环境影响能力的参数或指标,宜结合环境级别和设计使用年限确定;
2 结构构件抵抗环境影响能力的参数或指标,应考虑施工偏差等不定性的影响;
3 结构构件表面防护层对于构件抵抗环境影响能力的实际作用,可结合具体情况确定。
条文说明
C.5.6 混凝土结构耐久性设计标准基本采用半定量设计方法。在考虑构件抵抗环境影响的能力时,一般不考虑构件装饰层的有利作用,特定情况下可以适当考虑其作用。
C.5.7 具有相对完善的侵蚀作用和作用效应相应统计规律的结构构件且具有快速检验方法予以验证时,可采取定量的耐久性极限状态设计方法。
C.5.8 当充分考虑了环境影响的不定性和结构抵抗环境影响能力的不定性时,定量的设计应使预期出现耐久性极限状态标志的时间不小于结构的设计使用年限。
条文说明
C.5.8 环境影响的不定性是指每一固定的时间段环境影响的强度会存在差异,充分考虑其不定性是指要选取强度最强时间段环境影响的强度作为基准。构件抵抗环境影响能力的不定性是指材料性能的离散性和截面尺寸的施工偏差等。
附录D 质量管理
D.1 质量控制要求
D.1 质量控制要求
D.1.1 材料和构件的质量可采用一个或多个质量特征表达。在各类材料的结构设计与施工标准中,应对材料和构件的力学性能、几何参数等质量特征提出明确的要求。
条文说明
D.1.1 材料和构件的质量可采用一个或多个质量特征来表达,例如,材料的试件强度和其他物理力学性能以及构件的尺寸误差等。为了保证结构具有预期的可靠度,必须对结构设计、原材料生产以及结构施工提出统一配套的质量水平要求。
D.1.2 材料和构件的合格质量水平,应根据本标准规定的结构构件可靠指标确定。
条文说明
D.1.2 材料与构件的质量水平可按各类材料的结构设计标准规定的结构构件可靠指标β近似地确定,并以有关的统计参数来表达。当荷载的统计参数已知后,材料与构件的质量水平原则上可采用下列质量方程来描述:
q(μf,δf,β,fk)=0 (21)
式中μf和δf为材料和构件的某个质量特征f的平均值和变异系数,β为标准规定的结构构件可靠指标。
应当指出,当按上述质量方程确定材料和构件的合格质量水平时,需以安全等级为二级的典型结构构件的可靠指标为基?础进行分析。材料和构件的质量水平要求,不应随安全等级而变化,以便于生产管理。
D.1.3 材料宜根据统计资料,按不同质量水平划分等级。等级划分不宜过密。对不同等级的材料,设计时应采用不同的材料性能的标准值。
条文说明
D.1.3 材料的等级一般以材料强度标准值划分。同一等级的材料采用同一标准值。无论天然材料还是人工材料,对属于同一等级的不同产地和不同厂家的材料,其性能的质量水平一般不宜低于各类材料的结构设计标准规定的可靠指标β的要求。按本标准制定质量要求时,允许各有关标准根据材料和构件的特点对可靠指标稍作增减。
D.1.4 对建筑结构应实施为保证结构可靠性所必需的质量控制。建筑结构的各项质量控制要求应由有关标准作出规定。建筑结构的质量控制应包括下列内容:
1 勘察与设计的质量控制;
2 材料和制品的质量控制;
3 施工的质量控制;
4 使用和维护的质量控制。
D.1.5 勘察与设计的质量控制应符合下列规定:
1 勘察资料应符合工程要求,数据准确,结论可靠;
2 设计方案,基本假定和计算模型合理,数据运用正确;
3 图纸和其他设计文件符合有关规定。
D.1.6 为进行施工质量控制,在各工序内应实行质量自检,各工序间应实行交接质量检查。对工序操作和中间产品的质量,应采用统计方法进行抽查;在结构的关键部位应进行系统检查。
D.1.7 材料和构件的质量控制应包括生产控制和合格控制,并应符合下列规定:
1 生产控制:在生产过程中,应根据规定的控制标准,对材料和构件的性能进行经常性检验,及时纠正偏差,保持生产过程中质量的稳定性;
2 合格控制:在交付使用前,应根据规定的质量验收标准,对材料和构件进行合格性验收,保证其质量符合规定。
条文说明
D.1.7 材料及构件的质量控制包括两种,其中生产控制属于生产单位内部的质量控制;合格控制即验收是在生产单位和用户之间进行的质量控制,即按统一规定的质量验收标准或双方同意的其他规则进行验收。
在生产控制阶段,材料性能的实际质量水平应控制在规定的合格质量水平之上。当生产有暂时性波动时,材料性能的实际质量水平亦不得低于规定的极限质量水平。
D.1.8 合格控制可采用抽样检验的方法进行。各类材料和构件应根据其特点制定具体的质量验收标准,其中应明确规定验收批量、抽样方法和数量、验收函数和验收界限等。质量验收标准宜在统计理论的基础上制定。
条文说明
D.1.8 由于交验的材料和构件通常是大批量的,而且很多质量特征的检验是破损性的,因此,合格控制一般采用抽样检验方式。对于有可靠依据采用非破损检验方法的,必要时可采用全数检验方式。
验收标准主要包括下列内容:
1 批量大小——每一交验批中材料或构件的数量;
2 抽样方法——可为随机的或系统的抽样方法,系统的抽样方法是指抽样部位或时间是固定的;
3 抽样数量——每一交验批中抽取试样的数量;
4 验收函数——验收中采用的试样数据的某个函数,例如样本平均值、样本方差、样本最小值或最大值等;
5 验收界限——与验收函数相比较的界限值,用以确定交验批合格与否。
当前在材料和构件生产中,抽样检验标准多数是根据经验来制定的。其缺点在于没有从统计学观点合理考虑生产方和用户方的风险率或其他经济因素,因而所规定的抽样数量和验收界限往往缺乏科学依据,标准的松严程度也无法相互比较。
为了克服非统计抽样检验方法的缺点,本标准规定宜在统计理论的基础上制定抽样质量验收标准,以使达不到质量要求的交验批基本能判定为不合格,而已达到质量要求的交验批基本能判定为合格。
D.1.9 对生产连续性较差或各批间质量特征的统计参数差异较大的材料和构件,在制定质量验收标准时,必须控制用户方风险率。计算用户方风险率时采用的极限质量水平,可按各类材料结构设计标准的有关规定和工程经验确定;仅对连续生产的材料和构件,当产品质量稳定时,可按控制生产方风险率的条件制定质量验收标准。
条文说明
D.1.9 现有质量验收标准形式很多,本标准系按下述原则考虑:
对于生产连续性较差或各批间质量特征的统计参数差异较大的材料和构件,很难使产品批的质量基本维持在合格质量水平之上,因此必须按控制用户方风险率制定验收标准。此时,所涉及的极限质量水平,可按各类材料结构设计标准的有关要求和工程经验确定,与极限质量水平相应的用户风险率,可根据有关标准的规定确定。
对于工厂内成批连续生产的材料和构件,可采用计数或计量的调整型抽样检验方案。当前可参考国际标准《计数检验的抽样程序》ISO 2859(Sampling procedures for inspection by attributes)及《计量检验的抽样程序》ISO?3951(Sampling procedures for inspection by variables)制定合理的验收标准和转换规则。规定转换规则主要是为了限制劣质产品出厂,提高生产管理水平;此外,对优质产品也提出了减少检验费用的可能性。考虑到生产过程可能出现质量波动,以及不同生产单位的质量可能有差别,允许在生产中对质量验收标准的松严程度进行调整。当产品质量比较稳定时,质量验收标准通常可按控制生产方的风险率来制定。此时所涉及的合格质量水平,可按标准规定的结构构件可靠指标β来确定。确定生产方的风险率时,应根据有关标准的规定并考虑批量大小、检验技术水平等因素确定。
D.1.10 当一批材料或构件经抽样检验判定为不合格时,应根据有关的质量验收标准对该批产品进行复查或重新确定其质量等级,或采取其他措施处理。
条文说明
D.1.10 当交验的材料或构件按质量验收标准检验判为不合格时,并不意味着这批产品一定不能使用,因为实际上存在着抽样检验结果的偶然性和试件的代表性等问题。为此,应根据有关的质量验收标准采取各种措施对产品作进一步检验和判定。例如,可以重新抽取较多的试样进行复查;当材料或构件已进入结构物时,可直接从结构中截取试件进行复查,或直接在结构物上进行荷载试验;也允许采用可靠的非破损检测方法并经综合分析后对结构作出质量评估。对于不合格的产品允许降级使用,直至报废。?
D.2 设计审查及施工检查
D.2 设计审查及施工检查
D.2.1 建筑结构应进行设计审查与施工检查,设计审查与施工检查的要求应符合国家现行有关标准的规定。
条文说明
D.2.1 结构设计可靠性水平的实现是以正常设计,正常施工和正常使用为前提的,因此必须对设计、施工进行必要的审查和检查,我国有关部门和标准对此有明确规定,应予遵守。
国外标准对结构的质量管理十分重视,对设计审查和施工检查也有明确要求,如欧洲规范《结构设计基础》EN 1990:2002主要根据结构的可靠性等级(类似于我国结构的安全等级)的不同设置了不同的设计监督和施工检查水平的最低要求。规定结构的设计监督分为扩大监督和常规监督,扩大监督由非本设计单位的第三方进行;常规监督由本单位该项目设计人之外的其他人员按照组织程序进行或由该项目设计人员进行自检;同样,结构的施工检查也分为扩大检査和常规检查,扩大检查由第三方进行;常规检查即按照组织程序进行或由该项目施工人员进行自检。
对重要工程或复杂工程,当采用计算机软件做结构计算时,应至少采用两套计算模型符合工程实际的软件,并对计算结果进行分析对比,确认其合理、正确后方可用于工程设计。
附录E 结构可靠度分析基础和可靠度设计方法
E.1 一般规定
E.1 一般规定
E.1.1 当按本附录方法确定分项系数和组合值系数时,除进行分析计算外,尚应根据工程经验对分析结果进行判断并进行调整。
条文说明
E.1.1 从概念上讲,结构可靠性设计方法分为确定性方法和概率方法,如图4所示。在确定性方法中,设计中的变量按定值看待,安全系数完全凭经验确定,属于早期的设计方法。概率方法分为全概率方法和一次可靠度方法(FORM)。

全概率方法使用随机过程模型及更准确的概率计算方法,从原理上讲,可给出可靠度的准确结果,但因为经常缺乏统计数据及数值计算上的复杂性,设计标准的校准很少使用全概率方法。一次可靠度方法使用随机变量模型和近似的概率计算方法,与当前的数据收集情况及计算手段是相适应的。所以,目前国内外设计标准的校准基本都采用一次可靠度方法。
本附录说明了结构可靠度校准、直接用可靠指标进行设计的方法及用可靠指标确定设计表达式中作用、抗力分项系数和作用组合值系数的方法。
E.1.2 按本附录进行结构可靠度分析和设计时,应具备下列条件:
1 具有结构极限状态的方程;
2 基本变量具有准确、可靠的统计参数及概率分布。
条文说明
E.1.2 进行结构可靠度分析的基本条件是建立结构的极限状态方程和确定基本随机变量的概率分布函数。功能函数描述了要分析的结构的某一功能所处的状态:Z>0表示结构处于可靠状态;Z=0表示结构处于极限状态;Z<0表示结构处于失效状态。计算结构可靠度就是计算功能函数Z>0的概率。概率分布函数描述了基本变量的随机特征,不同的随机变量具有不同的随机特征。
E.1.3 当有两个及两个以上可变作用时,应进行可变作用的组合,并可采用下列规定之一进行:
1 设m种作用参与组合,将模型化后的作用Qi(t)在设计基准期T内的总时段数ri,按顺序由小到大排列,即r1≤r2≤…≤rm,取任一作用Qi(t)在[0,T]内的最大值
与其他作用组合,得出m种组合的最大作用Qmax,j(j=1,2,…,m),其中作用最大的组合为起控制作用的组合;
2 设m种作用参与组合,取任一作用Qi(t)在[0,T]内的最大值
与其他作用任意时点值Qj(t0)(i≠j)进行组合,得出m种组合的最大作用Qmax,j(j=1,2,…,m),其中作用最大的组合为起控制作用的组合。
条文说明
E.1.3 一般情况下结构会受到两个或两个以上的可变作用,所以设计需要考虑两个问题,一是这些可变作用是否会同时出现,只有会同时出现的作用才需进行组合,不会同时出现的可变作用不需进行组合;另一是对于可同时出现的作用以多大的量值相遇,这是一个概率问题。如果这些可变作用不相关或不完全正相关,则同时达到最大值的概率很小,按其设计基准期内的最大值进行可靠度分析或设计是不经济的,需要从概率上考虑相应作用的取值问题。结构可变作用组合是一个比较复杂的问题,完全用数学方法解决有很多困难,目前国际上采用的方法是从工程概念出发制定的各种实用组合规则,按照这些组合规则得到的作用组合分析结果经采用数学方法论证是可靠的,所以得到广泛应用。本条提供了两种组合规则,规则1为“结构安全联合委员会”(JCSS)采用的组合规则,规则2为Turkstra提出的组合规则。
E.2 结构可靠指标计算
E.2 结构可靠指标计算
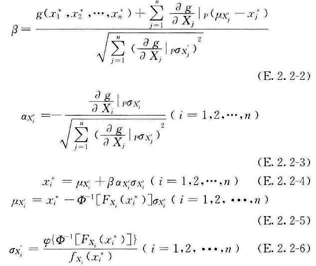
E.2.1 结构或构件可靠指标宜采用考虑基本变量或综合基本变量概率分布类型的一次二阶矩方法计算,也可采用其他方法。
条文说明
E.2.1 结构可靠度的计算方法有多种,如一次二阶矩方法(FOSM)、二次二阶矩方法(SOSM)、蒙特卡洛模拟(MonteCarlo Simulation)方法等。本条推荐采用国内外标准普遍采用的一次二阶矩方法,对于一些比较特殊的情况,也可以采用其他方法,如计算精度要求较高时,可采用二次二阶矩方法,极限状态方程比较复杂时可采用蒙特卡洛方法等。
E.2.2 当采用一次二阶矩方法计算可靠指标时,应符合下列规定:
1 当仅有作用效应和结构抗力两个相互独立的基本变量且均服从正态分布时,结构构件的可靠指标可按下式计算:

式中:β——结构构件的可靠指标;
μS、σS——结构构件作用效应的平均值和标准差;
μR、σR——结构构件抗力的平均值和标准差。
2 当有多个相互独立的非正态基本变量且极限状态方程为本标准式(4.3.5)时,结构构件的可靠指标应按下列公式迭代计算:

式中:g(·)——结构构件的功能函数,包括计算模式的不定性;
Xi(i=1,2,…,n)——基本变量;
xi*(i=1,2,…,n)——基本变量Xi的验算点坐标值;
——功能函数g(X1,X2,…,Xn)的一阶偏导数在验算点P(x1*,x2*,…,xn*)处的值;
μX'i、σX'i——基本变量Xi的当量正态化变量X'i的平均值和标准差;
fXi(·)、FXi(·)——基本变量Xi的概率密度函数和概率分布函数;
(·)、Ф(·)、Ф-1(·)——标准正态随机变量的概率密度函数、概率分布函数和概率分布函数的反函数。
3 当有多个非正态相关的基本变量且极限状态方程为本标准式(4.3.5)时,将式(E.2.2-2)和式(E.2.2-3)用下列公式替换后进行迭代计算:

式中:ρX'iX'j——当量正态化变量X'i与X'j的相关系数,可近似取变量Xi与Xj的相关系数ρXiXj。
条文说明
E.2.2 由简单到复杂,本条给出了三种情况的可靠指标计算方法。第1种情况用于说明可靠指标的概念;第2种是变量独立情况下可靠指标的一般计算公式;第3种情况是变量相关时可靠指标的一般计算公式,是对独立随机变量一次二阶矩方法进行推广的基础上提出来的,与独立变量一次二阶矩方法的迭代计算步骤没有区别。迭代计算可靠指标的方法很多,下面是本附录建议的迭代计算步骤:
1 假定变量X1,X2,…,Xn的验算点初值xi*(0)(i=1,2,…,n)[一般可取μxi(i=1,2,…,n];
2 取xi*=xi*(0)(i=1,2,…,n),由本标准式(E.2.2-5)、式(E.2.2-6)式计算σx'i、μx'i(i=1,2,…,n);
3 由本标准式(E.2.2-2)式计算β;
4 由本标准式(E.2.2-3)式计算αx'i(i=1,2,…,n);
5 由本标准式(E.2.2-4)式计算xi*(1)(i=1,2,…,n);
6 如果
,其中ε为规定的误差,则本次计算的β即为要求的可靠指标,停止计算;否则取xi*(0)=xi*(1)(i=1,2,…,n)转第2步重新计算。
在按上述步骤迭代计算变量相关情况的可靠指标时,需要使用当量正态化随机变量x'i与x'j的相关系数ρx'i,x'j,本附录建议取其原始变量Xi与Xj的相关系数ρxi,xj。这是因为当随机变量Xi与Xj的变异系数不是很大时(小于0.5),ρx'i,x'j与ρXi,Xj相差不大。例如,如果Xi服从正态分布,Xj服从对数正态分布,则有

如果Xi和Xj均服从对数正态分布,则有

如果δxi≤0.3,δxj≤0.3,则有:

从而ρxi,lnxj≈ρxi,xj,ρlnxi,lnxj≈ρxi,xj。
当随机变量Xi与Xj服从其他分布时,通过Nataf变换可以求得ρx'i,x'j与ρxi,xj的近似关系,丹麦学者Ove Ditlevsen和挪威学者Henrik O.Madsen的著作《Structural Reliability Methods》列表给出了随机变量Xi与Xj不同分布时ρx'i,x'j与ρxi,xj比值的关系。当Xi与Xj的变异系数不超过0.5时,可靠指标计算中ρx'i,x'j近似取ρxi,xj是可行的。
从数学上讲,对于一般的工程问题,采用一次二阶矩方法计算的可靠度具有足够的计算精度,但计算所得到的可靠指标或失效概率只是一个运算值,这是因为:
1 影响结构可靠性的因素不只是随机性,还有其他不确定性因素,这些因素目前尚不能通过数学方法加以分析,还需通过工程经验进行决策;
2 尽管我国编制各统一标准时对各种结构承受的作用进行过大量统计分析,但由于客观条件的限制,如数据收集的持续时间和数据的样本容量,这些统计结果尚不能完全反映所分析变量的统计规律;
3 为使可靠度计算简化,一些假定与实际情况不一定完全符合,如作用效应与作用的线性关系只是在一定条件下成立的,在有些条件下是近似成立的,近似的程度目前尚难以判定。
尽管如此,但可靠度方法仍然是一种先进的方法,它从概率角度定量描述了结构的可靠性(尽管计算的失效概率只是一个运算值,但可用于相同条件下的比较),扩大了概率理论在结构设计中应用的范围和程度,使结构由经验设计方法向科学设计方法转化又前进了一步。从目前国际上结构可靠性理论的发展和应用情况看,可靠指标是反映结构可靠水平的一个宏观指标,更具有象征意义;可靠度设计方法不在于如何准确计算可靠指标,而是以可靠性理论为基础建立一套比较系统和完善的设计方法体系,这套设计体系反映了结构建造、服役和维护、管理中各种不确定性问题的处理方法。设计人员自觉和主动从不确定性的角度认识和把握工程设计更为重要。
E.3 结构可靠度校准
E.3 结构可靠度校准
E.3.1 结构可靠度校准是用可靠度方法分析按传统方法所设计结构的可靠度水平,也是确定设计时采用的可靠指标的基础,校准中所选取的结构构件应具有代表性。
条文说明
E.3.1 结构可靠度校准的目的是分析现行设计标准规范中结构设计方法所赋予结构的可靠度水平和确定结构设计的目标可靠指标,以保证结构的安全可靠和经济合理。校准法的基本思想是利用可靠度方法,计算按现行设计标准规范设计的结构的可靠指标,进而确定今后结构设计的可靠度水平。这实际上是承认按现行设计标准规范设计的结构的平均可靠水平是合理的。但随着国家经济的发展,必要时要在可靠度校准的基础上对结构的目标可靠指标进行调整。所以结构可靠度校准是结构可靠度设计的基础。
E.3.2 结构可靠度校准可采用下列步骤:
1 确定校准范围,选取结构物类型或结构材料形式,根据目标可靠指标的适用范围选取代表性的结构构件和构件的破坏形式;
2 确定设计中基本变量参数的取值范围;
3 对传统设计方法的表达式和其中的设计参数取值进行分析;
4 计算不同构件的可靠指标βi;
5 根据结构构件在工程中的应用数量和重要性,确定一组权重系数ωi,应满足下式要求:

6 按下式确定所校准结构构件可靠指标的加权平均值:

条文说明
E.3.2 本条说明了结构可靠度校准的一般步骤,这一步骤只供参考,对于不同的结构,可靠度分析的方法可能不同,校准的步骤可能也有所差别。
选取结构物类型或结构材料形式是指可靠度校准所考虑的结构物的类型,如混凝土结构、钢结构、砌体结构等。
确定设计中基本变量参数的取值范围是指设计参数的变化范围,如可变作用的标准值与永久作用的标准值比值的范围,?目的是可靠度校准能够涵盖工程中可能出现的各种情况。
设计表达式和其中的设计参数取值决定了所设计结构的可靠度水平,设计表达式如抗弯设计表达式,抗剪设计表达式等。
E.3.3 结构安全等级采用目标可靠指标进行表达时,二级结构或结构构件的目标可靠指标βt应根据可靠度校准的βm经综合分析和判断确定;一级和三级结构或结构构件的可靠指标宜在二级结构或结构构件的目标可靠指标的基础上提高和降低0.5确定。
E.4 基于可靠指标的设计
E.4 基于可靠指标的设计
E.4.1 根据目标可靠指标进行结构或结构构件设计时,可采用下列方法之一:
1 所设计结构或结构构件的可靠指标应符合下式规定:
β≥βt (E.4.1-1)
式中:β——所设计结构或构件的可靠指标;
βt——所设计结构或构件的目标可靠指标。
当不满足式(E.4.1-1)的要求时,应重新进行设计,直至满足要求为止。
2 对某些结构构件的截面设计,当抗力服从对数正态分布时,可按下式直接求解结构构件的几何参数:

式中:R(·)——抗力函数;
μR'——迭代计算求得的当量正态化抗力的平均值;
r*——迭代计算求得的抗力验算点值;
δR——抗力的变异系数;
μf——材料性能平均值;
αd——几何参数的设计值。
条文说明
E.4.1 本条提供了两种直接用可靠度理论进行结构设计的方法。第1种方法实际上是可靠指标校核的方法,第2种方法适合于构件截面设计的情况,如承载力服从对数正态分布的钢筋混凝土构件的截面配筋计算。对于这种情况,可采用下面的迭代计算步骤:
1 根据永久作用效应SG、可变作用效应S1,S2,…,Sm和结构抗力R建立极限状态方程:

式中:Si(i=1,2,…,m)——第i个作用效应随机变量,如采用JCSS组合规则,则有m个组合,在第1个组合SQm.1中,S1,S2,…,Sm分别为

,在第2个组合SQm.2中,S1,S2,…,Sm分别为SQ1(t0),
依次类推。
2 假定初值SG*(0)(一般取μSG)、si*(0)(i=1,2,…,m)(一般取μSi(i=1,2,…,m))和r*(0)(一般取
)。
3 取SG*=SG*(0)、Si*=Si*(0)(i=1,2,…,m)和r*=r*(0),按本标准式(E.2.2-6)、式(E.2.2-5)计算σs'i、μs'i(i=1,2,…,m),按下式计算σ'R:

4 按本标准式(E.2.2-3)计算αs'i(i=1,2,…,m)和αR'。
5 按本标准式(E.2.2-4)计算SG*和Si*(i=1,2,…,m),按下式求解r*:

6 如果
,其中ε为规定的误差,转第7步;否则取SG*(0)=SG*,Si*(0)=Si*(i=1,2,…,m),ri*(0)=ri*转第3步重新进行计算。
7 由本标准式(E.4.1-2)计算结构构件的几何参数。
E.4.2 当按可靠指标方法设计的结果与传统方法设计的结果有明显差异时,应分析产生差异的原因,当证明了可靠指标方法设计的结果合理后方可采用。
条文说明
E.4.2 直接用可靠指标方法对结构或结构构件进行设计,理论上是科学的,但目前设计尚没有这方面的经验,需要慎重考虑。如果用可靠指标方法设计的结果与按传统方法设计的结果存在差异,并不能说明哪种方法的结果一定是合理的,而要根据具体情况进行分析。
E.5 分项系数的确定方法
E.5 分项系数的确定方法
E.5.1 结构或结构构件设计表达式中作用和抗力分项系数的确定应符合下列规定:
1 结构上的同种作用采用相同的作用分项系数,不同的作用采用各自的作用分项系数;
2 不同种类的构件有各自的抗力分项系数,同一种构件在任何可变作用下,抗力分项系数不变;
3 对各种构件在不同的作用效应比下,按所选定的作用分项系数和抗力分项系数进行设计,使所得的可靠指标与目标可靠指标βt具有最佳的一致性。
条文说明
E.5.1 本条规定了确定结构或结构构件设计表达式中作用和抗力分项系数的原则,基本思想是:作用分项系数取值依赖于作用本身而与结构形式无关,不同的结构构件或破坏形式采用不同的抗力系数,分项系数的取值总体上能够代表和反映目标可靠指标水平。
E.5.2 对安全等级为二级的结构或结构构件,当永久作用起不利作用时,结构或结构构件设计表达式中的作用和抗力分项系数可按下列步骤确定:
1 选定代表性的结构或结构构件或破坏方式,一个永久作用和一个可变作用组成的简单组合;
2 对安全等级为二级的结构或结构构件,重要性系数γ0取为1.0;
3 对选定的结构或结构构件,确定作用分项系数γG和γQ下简单组合的作用效应设计值;
4 对选定的结构或结构构件,确定抗力分项系数γR下简单组合的抗力标准值;
5 计算选定结构或结构构件简单组合下的可靠指标β;
6 对选定的所有代表性结构或结构构件、所有作用分项系数γG和γQ的范围以0.1或0.05的级差,优化确定γR;选定一组使按分项系数表达式设计的结构或结构构件的可靠指标β与目标可靠指标βt最接近的分项系数γG、γQ和γR;
7 根据以往的工程经验,对优化确定的分项系数γG、γQ和γR进行判断,并进行调整。
条文说明
E.5.2 本条说明了可变作用起不利作用时确定结构或结构构件设计表达式中分项系数的步骤,对于不同的结构或结构构件,可能有所差别,可根据具体情况进行适当调整。需要说明的是,确定作用分项系数的方法包括优化方法和设计值方法,本条采用的是优化方法,其优点是可直接得到一套反映设计变量参数变化范围的作用分项系数和抗力分项系数。设计值方法的优点是直接反映了分项系数与可靠指标的关系,但在确定统一的分项系数取值时,还需针对各种情况的分析结果进行归纳。
E.5.3 对安全等级为二级的结构或结构构件,当永久作用起有利作用时,结构或结构构件分项系数表达式中的永久作用应取负号,根据第E.5.2条已经选定的永久作用起不利作用时的可变作用分项系数γQ和抗力分项系数γR,以0.1或0.05为级差优化确定永久作用分项系数γG。
条文说明
E.5.3 本条说明了可变作用起有利作用时确定结构或结构构件设计表达式中可变作用分项系数的方法。可变作用起有利作用时,如果仍采用起不利作用时确定的作用分项系数进行结构设计,则会因放大有利作用的影响而降低结构或结构构件的实际可靠度,所以要专门确定可变作用起有利作用时的分项系数。
E.6 可变作用组合值系数的确定方法
E.6 可变作用组合值系数的确定方法
E.6.1 可变作用组合值系数的确定应符合下列原则:
对两种或两种以上可变作用参与组合的情况,基于已确定的可变作用分项系数γG、γQ和抗力分项系数γR,组合值系数的确定应使按分项系数表达式设计的结构或结构构件的可靠指标β与目标可靠指标βt具有最佳的一致性。
条文说明
E.6.1 本条规定了确定结构或结构构件设计表达式中组合值系数的原则。
E.6.2 可变作用组合值系数可按下列步骤确定:
1 以安全等级为二级的结构或结构构件为基础,选定代表性的结构或结构构件或破坏方式、由一个永久作用和两个或两个以上可变作用组成的组合和常用的主导可变作用标准值效应与永久作用标准值效应的比值、伴随可变作用标准值效应与主导可变作用标准值效应的比值;
2 根据已经确定的作用分项系数γG、γQ,计算不同结构或结构构件、不同作用组合和常用作用效应比下的抗力设计值;
3 根据已经确定的抗力分项系数γR,计算不同结构或结构构件、不同作用组合和常用作用效应比下的抗力标准值;
4 计算不同结构或结构构件、不同作用组合和常用作用效应比下的可靠指标β;
5 对选定的所有代表性结构或结构构件、作用组合和常用的作用效应比,优化确定组合值系数ψc,使按分项系数表达式设计的结构或结构构件的可靠指标β与目标可靠指标βt具有最佳的一致性;
6 根据以往的工程经验,对优化确定的组合值系数ψc进行判断,并进行调整。
条文说明
E.6.2 本条给出了结构或结构构件设计表达式中组合值系数的步骤,对于不同的结构或结构构件,步骤可能有所差别,可根据具体情况适当调整。
附录F 试验辅助设计
F.1 一般规定
F.1 一般规定
F.1.1 试验辅助设计应符合下列规定:
1 在试验进行之前,应制定试验方案。试验方案应包括试验目的、试件的选取和制作,还应包括试验实施和评估等所有必要的说明。
2 制定试验方案前,应预先进行定性分析,确定所考虑结构或结构构件性能的可能临界区域和相应极限状态标志。
3 试件应采用与构件实际加工相同的工艺制作。
4 按试验结果确定设计值时,应考虑试验数量的影响。
F.1.2 应通过换算或修正系数考虑试验条件与结构实际条件的不同。换算系数η应通过试验或理论分析确定。影响换算系数η的主要因素应包括尺寸效应、时间效应、试件的边界条件、环境条件、工艺条件等。
F.2 试验结果的统计评估原则
F.2 试验结果的统计评估原则
F.2.1 统计评估应符合下列基本原则:
1 在评估试验结果时,应将试件的性能和失效模式与理论预测值进行对比,当偏离预测值过大时,应分析原因,并做补充试验;
2 应根据已有的分布类型及参数信息,以统计方法为基础对试验结果进行评估;本标准附录给出的方法仅适用于统计数据或先验信息取自同一母体的情况;
3 试验的评估结果仅对所考虑的试验条件有效,不宜将其外推应用。
F.2.2 材料性能、模型参数或抗力设计值的确定应符合下列基本原则:
1 可采用经典统计方法或贝叶斯法推断材料性能、模型参数或抗力的设计值:先确定标准值,然后除以一个分项系数,必要时要考虑换算系数的影响;
2 在进行材料性能、模型参数或抗力设计值评估时,应考虑试验数据的离散性、与试验数量相关的统计不定性和先验的统计知识。
F.3 单项性能指标设计值的统计评估
F.3 单项性能指标设计值的统计评估
F.3.1 单项性能指标设计值统计评估,应符合下列规定:
1 单项性能X可代表构件的抗力或提供构件抗力的性能;
2 本标准附录F第F.3.2条、第F.3.3条的所有结论都是以构件的抗力或提供构件抗力的性能服从正态分布或对数正态分布给出的;
3 当没有关于平均值的先验知识时,可基于经典方法进行设计值估算,其中“δx未知”对应于没有变异系数先验知识的情况,“δx已知”对应于已知变异系数全部知识的情况;
4 当已有关于平均值的先验知识时,可基于贝叶斯方法进行设计值估算。
F.3.2 当采用经典统计方法时,应符合下列规定:
1 当性能X服从正态分布时,其设计值Xd可按下式计算:

式中:ηd——换算系数的设计值,换算系数的评估主要取决于试验类型和材料;
γm——分项系数,具体数值应根据试验结果的应用领域来选定;
knk——标准值单侧容限系数;
μx——性能X的平均值;
δx——性能X的变异系数。
2 当性能X服从对数正态分布时,其设计值Xd可按下列公式计算:

其中,变量Y=InX的平均值μy,可按下式计算:
变量Y=InX的标准差σy可按下式计算:

当δx已知时,

当δx未知时,

式中:xi——性能X的第i个试验观测值。
条文说明
F.3.2 标准值单侧容限系数knk计算过程如下。
1 单项性能指标X的变异系数δx值可通过试验结果按下列公式计算:

2 标准值单侧容限系数knk分为“δx已知”和“δx未知”两种情况,可分别按下列公式计算:

式中:n——试验样本数量;
up——对应分位数p的标准正态分布函数自变量值PΦ{x>up}=p,当分位值p=0.05时,up=1.645;
tp.υ——自由度υ=n-1的t分布函数对应分位值p的自变量值,Pt{x>tp.υ}=p。
对于材料,一般取标准值的分位值p=0.05,knk值可由表5给出

。
F.3.3 当采用贝叶斯法时,应符合下列规定:
1 当性能X服从正态分布时,其设计值Xd可按下式确定:

其中:

式中:tp,υ''——自由度为υ''的t分布函数对应分位值p的自变量值,Pt{x>tp,υ''}=p;
m'、σ'、n'、υ'——先验分布参数。
2 先验分布参数n'和υ'的确定,应符合下列原则:
当有效数据很少时,应取n'和υ'等于零,此时贝叶斯法评估结果与经典统计方法的“δx未知”情况相同;
当根据过去经验可取平均值和标准差为定值时,则n'和υ'可取50或更大;
在一般情况下,可假定只有很少数据或无先验数据,此时n'=0,这样可能获得较佳的估算值。
条文说明
F.3.3 在统计学中,有两大学派,一个是经典学派,另一个是贝叶斯(Bayesian)学派。贝叶斯学派的基本观点是:重要的先验信息是可能得到的,并且应该充分利用。贝叶斯参数估计方法的实质是以先验信息为基础,以实际观测数据为条件的一种参数估计方法。在贝叶斯参数估计方法中,把未知参数θ视为一个已知分布π(θ)的随机变量,从而将先验信息数学形式化,并加以利用。
1 m',σ',n'和υ'为先验分布参数,一般可将先验信息理解为假定的先验试验结果:m'为先验样本的平均值;σ'为先验样本的标准差;n'为先验样本数;υ'为先验样本的自由度,υ'=
,其中δ'为先验样本的变异系数。
2 当参数n'>0时,取δ(n')=1;当n'=0时,取δ(n')=0,此时存在如下简化关系:

3 t分布函数对应分位值p=0.05的自变量值tp.υ'',可由表6给出

。
本标准用词说明
本标准用词说明
1 为便于在执行本标准条文时区别对待,对于要求严格程度不同的用词说明如下:
- 表示很严格,非这样做不可的:
正面词采用“必须”,反面词采用“严禁”;
- 表示严格,在正常情况下均应这样做的:
正面词采用“应”,反面词采用“不应”或“不得”;
- 表示允许稍有选择,在条件许可时首先应这样做的:
正面词采用“宜”,反面词采用“不宜”;
- 表示有选择,在一定条件下可以这样做的,采用“可”。
2 条文中指明应按其他有关标准执行的写法为:“应符合……的规定”或“应按……执行”。
引用标准名录
引用标准名录
1 《建筑抗震设计规范》GB 50011
2 《工程结构可靠性设计统一标准》GB 50153
