Appearance
《钢筋套筒灌浆连接应用技术规程[附条文说明]》JGJ 355-2015
🗓️ 住房和城乡建设部 实施时间:2015-09-01
前言
住房城乡建设部关于发布行业标准《钢筋套筒
灌浆连接应用技术规程》局部修订的公告
现批准行业标准《钢筋套筒灌浆连接应用技术规程》(JGJ355-2015)局部修订的条文,自2023年11月1日起实施。其中,第3.2.2条强制性条文同时废止。
局部修订的条文在住房城乡建设部门户网站(www.mohurd.gov.cn)公开,并刊登在近期出版的《工程建设标准化》刊物上。
住房城乡建设部
2023年7月30日
《钢筋套筒灌浆连接应用技术规程》JGJ 355-2015局部修订条文
(2023年版)
说明:1.下划线标记的文字为新增内容,删除线标记的文字为删除的原内容,无标记的文字为原内容。
2.本次修订的条文应与《钢筋套筒灌浆连接应用技术规程》JGJ 355-2015中其他条文一并实施。
中华人民共和国行业标准
钢筋套筒灌浆连接应用技术规程
Technical specification for grout sleeve splicing of rebars
JGJ 355-2015
批准部门:中华人民共和国住房和城乡建设部
施行日期:2015年9月1日
中华人民共和国住房和城乡建设部公告
第695号
住房城乡建设部关于发布行业标准《钢筋套筒灌浆连接应用技术规程》的公告
现批准《钢筋套筒灌浆连接应用技术规程》为行业标准,编号为JGJ 355-2015,自2015年9月1日起实施。其中,第3.2.2、7.0.6条为强制性条文,必须严格执行。
本规程由我部标准定额研究所组织中国建筑工业出版社出版发行。
中华人民共和国住房和城乡建设部
2015年1月9日
前言
根据住房和城乡建设部《关于印发<2010年工程建设标准规范制订、修订计划>的通知》(建标[2010]43号)的要求,规程编制组经广泛调查研究,认真总结实践经验,参考有关国际标准和国外先进标准,并在广泛征求意见的基础上,编制了本规程。
本规程的主要技术内容是:1 总则;2 术语和符号;3 基本规定;4 设计;5 接头型式检验;6 施工;7 验收。
本规程中以黑体字标志的条文为强制性条文,必须严格执行。
本规程由住房和城乡建设部负责管理和对强制性条文的解释,由中国建筑科学研究院负责具体技术内容的解释。执行过程中如有意见或建议请寄送中国建筑科学研究院(地址:北京市北三环东路30号,邮编:100013)。
本规程主编单位 :中国建筑科学研究院
云南建工第二建设有限公司
本规程参编单位 :北京预制建筑工程研究院有限公司
同济大学
中冶建筑研究总院有限公司
润铸建筑工程(上海)有限公司
北京万科企业有限公司
北京市建筑工程研究院有限责任公司
北京市建筑设计研究院有限公司
清华大学建筑设计研究院有限公司
云南建工第四建设有限公司
郑州大学
北京中景恒基工程管理有限公司
本规程主要起草人员 :沙安 王晓锋 洪洁 蒋勤俭 赵勇 刘子金 钱冠龙 赖宜政 秦珩 李晨光 苗启松 刘彦生 王天锋 管品武 吴晓星 肖厚志 陈定华 付艳梅 朱爱萍 高迪 俞志明 许毅 彭福定 拜继梅 刘畅
本规程主要审查人员 :吴月华 李晓明 沙志国 王自福 王桂玲 郭海山 杨思忠 朱永明 李本端 王剑非 李伟兴 孟宪宏
条文说明
中华人民共和国行业标准
钢筋套筒灌浆连接应用技术规程
JGJ355-2015
条文说明
制订说明 《钢筋套筒灌浆连接应用技术规程》JGJ355-2015,经住房和城乡建设部2015年1月9日以第695号公告批准、发布。 本规程编制过程中,编制组进行了充分的调查研究,总结了近年来国内外钢筋套筒灌浆连接应用实践经验和相关研究成果,参考有关国际标准和国外先进标准,开展了专项研究,与国内相关标准进行协调,确定了相关指标参数。 为便于广大施工、监理、生产、检测、设计、科研、学校等单位有关人员在使用本规程时能正确理解和执行条文规定,《钢筋套筒灌浆连接应用技术规程》编制组按章、节、条顺序编制了本规程的条文说明,对条文规定的目的、依据以及执行中需注意的有关事项进行了说明,还着重对强制性条文的强制理由做了解释。但是,本条文说明不具备与规程正文同等的法律效力,仅供使用者作为理解和把握规程规定的参考。
1 总则
1 总 则
1.0.1 为规范混凝土结构工程中钢筋套筒灌浆连接技术的应用,做到安全适用、经济合理、技术先进、确保质量,制定本规程。
1.0.2 本规程适用于 非抗震设计及 抗震设防烈度不大于8度地区的混凝土结构房屋与 一般 构筑物中 非疲劳设计构件采用 钢筋套筒灌浆连接的设计、施工及验收。 本规程不适用于作疲劳设计的构件。
1.0.3 钢筋套筒灌浆连接的设计、施工及验收除应符合本规程外,尚应符合国家现行有关标准的规定。
条文说明
1.0.1~1.0.3钢筋套筒灌浆连接主要应用于装配式混凝土结构中预制构件钢筋连接、现浇混凝土结构中钢筋笼整体对接以及既有建筑改造中新旧建筑钢筋连接,其从受力机理、施工操作、质量检验等方面均不同于传统的钢筋连接方式。 钢筋套筒灌浆连接应用于装配式混凝土结构中竖向构件钢筋对接时,金属灌浆套筒常为预埋在竖向预制混凝土构件底部,连接时在灌浆套筒中插入带肋钢筋后注入灌浆料拌合物;也有灌浆套筒预埋在竖向预制构件顶部的情况,连接时在灌浆套筒中倒入灌浆料拌合物后再插入带肋钢筋。钢筋套筒灌浆连接也可应用于预制构件及既有建筑与新建结构相连时的水平钢筋连接。 以压力加工方式缩颈的整体式半径半灌浆套筒工程应用很少,缺少产品开发与应用情况,本规程不适用于该类型套筒。
装配式混凝土结构中还有钢筋浆锚搭接连接的灌浆连接方式,一般不采用金属套筒,且具有单独的施工操作方法,本规程未包括此内容。对于其他采用金属熔融灌注的套筒连接,其应用应符合现行行业标准《钢筋机械连接技术规程》JGJ107的有关规定。
本规程适用于抗震设防烈度为6度至8度地区,主要原因为缺少9度区的工程应用经验。因缺少钢筋套筒灌浆连接接头疲劳试验数据,本规程未包括疲劳设计要求内容。对有疲劳设计要求的构件,在补充相关试验研究的情况下,可参考本规程的有关规定应用。
2 术语和符号
2.1 术语
2 术语和符号
条文说明
本章术语参考了现行行业标准《钢筋连接用灌浆套筒》JG/T398、《钢筋连接用套筒灌浆料》JG/T408,局部修订将灌浆料拌合物术语与钢筋连接用套筒灌浆料术语合并为钢筋连接用套筒灌浆料,新增了常温型灌浆料、低温型灌浆料、封浆料、座浆料、套筒设计锚固长度等5个术语。
本规程将钢筋套筒灌浆连接的接头称为套筒灌浆连接接头,简称接头。接头由灌浆套筒、硬化后的灌浆料、连接钢筋三者共同组成。在检验规定中多采用“接头试件”术语。
对预制构件生产时预先埋入的灌浆套筒,与预制构件内钢筋连接一 端 为预制端,另一端 为灌浆端,也称装配端。半灌浆套筒采用灌浆方式连接的是灌浆端(装配端),采用其他方式连接(通常为螺纹机械连接)的是预制端 。 用于水平钢筋链接的灌浆套筒通常为全灌浆套筒,两端均为灌浆端。
本规程中对采用全灌浆套筒、半灌浆套筒的套筒灌浆连接,分别称为全灌浆套筒连接、半灌浆套筒连接。
钢筋连接用套筒灌浆料为干混料,加水搅拌后,其拌合物应具有规定的流动性、早强性、高强及硬化后微膨胀等性能。
灌浆料、封浆料、座浆料均为干混料。针对灌浆料、封浆料、座浆料的不同功能,本规程提出了不同的性能要求,在应用中,三者均需要按规定比例加水搅拌,形成相应的拌合物。
本规程增加了低温条件下套筒灌浆施工的材料性能与施工要求,本节增加了常温型灌浆料、低温型灌浆料两个术语,术语中的温度为从材料性能角度提出的广义温度,对于气温、施工环境温度、灌浆部位温度及试验检测温度等要求见本规程第6.3.7A条、附录B的具体规定。
封浆料为用于连通腔灌浆施工时竖向构件的接缝封堵,且主要用于向接缝内侵入的封堵材料。封浆料又分为常温型封浆料与低温型封浆料,其温度适用范围及条件与常温型灌浆料和低温型灌浆料一致。
灌浆套筒内腔深度中的主要部分是用于钢筋锚固,本规程将此部分定义为“套筒设计锚固长度”。灌浆套筒内腔深度中套筒设计锚固长度之外的部分,主要是预留钢筋安装调整长度、密封挡圈和定位挡销厚度。
2.1 术 语
2.1.1 钢筋套筒灌浆连接 grout sleeve splicing of rebars
在金属套筒中插入单根带肋钢筋并注入灌浆料拌合物,通过拌合物硬化形成整体并实现传力的钢筋对接连接,简称套筒灌浆连接。
2.1.2 钢筋连接用灌浆套筒 grout sleeve for rebar splicing
采用铸造工艺或机械加工工艺制造,用于钢筋套筒灌浆连接的金属套筒,简称灌浆套筒。灌浆套筒可分为全灌浆套筒和半灌浆套筒。
2.1.3 全灌浆套筒 whole grout sleeve
两端均采用套筒灌浆连接的灌浆套筒。
2.1.4 半灌浆套筒 grout sleeve with mechanical splicing end
一端采用套筒灌浆连接,另一端采用机械连接方式连接钢筋的灌浆套筒。
2.1.5 钢筋连接用套筒灌浆料 cementitious grout for rebar sleeve splicing
以水泥为基本材料,并配以细骨料、外加剂及其他材料混合而成的用于钢筋套筒灌浆连接的干混料,简称灌浆料。 该材料加水搅拌后具有良好的流动性、早强、高强、微膨胀等性能,填充于套筒和带肋钢筋间隙内,形成钢筋套筒灌浆连接接头。灌浆料分为常温型套筒灌浆料和低温型套筒灌浆料。
2.1.5A 常温型灌浆料 normal temperature type cementitious grout
适用于灌浆施工及养护过程中24h内温度不低于5℃的灌浆料。
2.1.5B 低温型灌浆料 low temperature type cementitious grout
适用于灌浆施工及养护过程中24h内温度不低于-5℃,且灌浆施工过程中温度不高于10℃的灌浆料。
2.1.6 灌浆料拌合物 mixed cementitious grout
灌浆料按规定比例加水搅拌后,具有规定流动性、早强、高强及硬化后微膨胀等性能的浆体。
2.1.6 封浆料 mortar for plugging and partition
以水泥为基本材料,并配以细骨料、外加剂及其他材料混合而成的用于竖向预制构件连接的连通腔灌浆施工接缝封堵的干混料。该材料加水搅拌后具有良好的可塑性,且硬化后具有规定性能,填充于套筒灌浆连接的竖向预制构件接缝内边缘,以形成连通腔的灌浆封闭区域。封浆料分为常温型封浆料和低温型封浆料。
2.1.7座浆料 dry-mixed bedding mortar
以水泥为基本材料,并配以细骨料、外加剂及其他材料混合而成的用于竖向预制构件连接的坐浆法施工接缝填充的干混料。该材料加水搅拌后具有良好的可塑性,且硬化后具有规定性能,填满于套筒灌浆连接的竖向预制构件接缝内,并以不侵入套筒灌浆腔为前提将灌浆套筒封闭,以便于每个套筒独立灌浆。
2.1.8套筒设计锚固长度design development length for sleeve
灌浆套筒内,产品设计要求的用于钢筋锚固的深度。
2.2 符号
2.2 符 号
A sgt ——接头试件的最大力下总伸长率;
d s ——钢筋公称直径;
f g ——灌浆料28d抗压强度合格指标;
f yk ——钢筋屈服强度标准值;

L——灌浆套筒长度;
L g ——大变形反复拉压试验变形加载值计算长度;
u 0 ——接头试件加载至0.6f yk 并卸载后在规定标距内的残余变形;
u 4 ——接头试件按规定加载制度经大变形反复拉压4次后的残余变形;
u 8 ——接头试件按规定加载制度经大变形反复拉压8次后的残余变形;
u 20 ——接头试件按规定加载制度经高应力反复拉压20次后的残余变形;
ε yk ——钢筋应力为屈服强度标准值时的应变。
3 基本规定
3.1 材料
3 基本规定
3.1 材 料
3.1.1 套筒灌浆连接的钢筋应采用符合现行国家标准《钢筋混凝土用钢 第2部分:热轧带肋钢筋》GB /T 1499.2、《钢筋混凝土用余热处理钢筋》GB 13014要求的带肋钢筋;钢筋直径不宜小于12mm,且不宜大于40mm。
条文说明
3.1.1用于套筒灌浆连接的带肋钢筋,其性能应符合现行国家标准《钢筋混凝土用钢 第2部分:热轧带肋钢筋》GB/T
1499.2、《钢筋混凝土用余热处理钢筋》GB13014的要求。当采用不锈钢钢筋及其他进口钢筋,应符合相应产品标准要求。
3.1.2 灌浆套筒应符合现行行业标准《钢筋连接用灌浆套筒》JG/T 398的有关规定。灌浆套筒 的套筒设计锚固长度不宜小于插入钢筋公称直径的8倍, 灌浆端最小内径与连接钢筋公称直径的差值不宜小于表3.1.2规定的数值 ,用于钢筋锚固的深度不宜小于插入钢筋公称直径的8倍 。

条文说明
3.1.2灌浆套筒的材料及加工工艺
主要分为 两种:球墨铸铁铸造;采用优质碳索结构钢、低合金高强度结构钢、合金结构钢或其他符合要求的钢材加工。行业标准《钢筋连接用灌浆套筒》JG/T 398-2012中,灌浆套筒的材料性能见表1、表2,灌浆套筒的主要结构见图1。 铸造灌浆套筒和机械加工灌浆套筒两种,各类灌浆套筒的材料性能及构造在现行行业标准《钢筋连接用灌浆套筒》JG/T 398中均有明确确定。
考虑我国钢筋的外形尺寸及工程实际情况,规程提出了 灌浆套筒灌浆端用于钢筋锚固的深度(如图1中的L0)及 套筒设计锚固长度及灌浆端 最小内径与连接钢筋公称直径差值的要求。全灌浆套筒 的两个灌浆端均 两端、半灌浆套筒灌浆端的套筒设计锚固长度均 宜满足8ds的要求, 半灌浆套筒的灌浆端宜满足8ds的要求, ds为连接钢筋公称直径。

3.1.3 灌浆料性能及试验方法应符合现行行业标准《钢筋连接用套筒灌浆料》JG/T 408的有关规定,并应符合下列规定:
1 常温型 灌浆料抗压强度应符合表3.1.3-1的要求,且不应低于接头设计要求的灌浆料抗压强度; 灌浆料 常温型灌浆料 抗压强度试件尺寸应按40mm×40mm×160mm尺寸制作,其加水量应按 常温型 灌浆料产品说明书确定, 试件应按标准方法制作、养护。
2 常温型 灌浆料竖向膨胀率应符合表3.1.3-2的要求;
3 常温型 灌浆料拌合物的工作性能应符合表3.1.3-3的要求,泌水率试验方法应符合现行国家标准《普通混凝土拌合物性能试验方法标准》GB/T 50080的规定。

4低温型灌浆料性能及试验方法应符合本规程附录B的规定。
条文说明
3.1.3本条提出的灌浆料抗压强度为最小强度。允许生产单位开发接头时考虑与灌浆套筒匹配而对灌浆料提出更高的强度要求,此时应按相应接头
设计要求对灌浆料进行抗压强度验收,施工过程中应严格质量控制。 对于常温型、低温型灌浆料,28d抗压强度合格指标(fg)应满足本规程表3.1.3-1、表B.0.3-1中的85N/mm2或接头设计提出的更高要求。
本条规定的检验指标中, 常温型 灌浆料拌合物30min流动度、泌水率及3d抗压强度、28d抗压强度、3h竖向膨胀率、24h与3h竖向膨胀率差值为本规程第7.0.4条规定的 常温型 灌浆料进场检验项目,初始流动度为本规程第6.3.8条规定的施工过程检查项目,本规程第7.0.9条还提出了灌浆施工中按工作班检验28d抗压强度的要求。 3h竖向膨胀率、24h与3h竖向膨胀率差值指标根据行业标准《钢筋连接用套筒灌浆料》JG/T 408-2019修改。
常温型 灌浆料抗压强度、竖向膨胀率指其拌合物硬化后测得的性能。灌浆料抗压强度试件制作时,其加水量应按灌浆料产品说明书确定。根据 现行 行业标准《钢筋连接用套筒灌浆料》JG/T 408的规定,灌浆料抗压强度试验方法按现行 国家 标准《水泥胶砂强度检验方法(ISO法)》GB/T 17671的有关规定执行,其中加水及搅拌规定除外。
目前现行国家标准《水泥胶砂强度检验方法(ISO法)》GB/T 17671规定:取1组3个40mm×40mm×160mm试件得到的6个抗压强度测定值的算术平均值的为抗压强度试验结果;当6个测定值中有一个超过6个平均值的±10%时,应剔除这个结果,而以剩下5个的平均数为结果;当5个测定值中再有超过他们平均数±10%,则此组结果作废。
钢质试模更有利于保证灌浆料试件的成型质量。钢质试模的相关技术要求应符合现行行业标准《水泥胶砂试模》JC/T 726的有关规定。
3.1.4常温型封浆料抗压强度应符合表3.1.4的要求,且不应低于被连接构件的设计混凝土强度等级值,抗压强度试验方法应 符合现行国家标准《水泥胶砂强度检验方法(ISO法)》GB/T17671的规定;常温型封浆料抗压强度试件应按40mm×40mm×160mm尺寸制作,其加水量应按常温型封浆料产品说明书确定,试模材质应为钢质。
低温型封浆料抗压强度及试验方法应符合本规程附录B的规定。
条文说明
3.1.4 本条规定的检验指标中,常温型封浆料的3d抗压强度、28d抗压强度为本规程第7.0.4A条规定的常温型封浆料进场检验项目。
封浆料主要用于竖向构件底部向水平接缝内侵入的封堵方式,特别是连通腔周围封缝。采用其他可靠的非侵入施工方法时(如框架柱底部采用小型模板封闭),可采用与施工方法配套的封缝材料,封缝材料应满足灌浆施工要求。
封浆料应采用钢质试模,钢质试模的相关技术要求应符合现行行业标准《水泥胶砂试模》JC/T 726的有关规定。

3.1.5 座浆料性能及试验方法应符合本规程附录C 的规定。
3.2 接头
3.2 接头 性能要求
3.2.1 套筒灌浆连接接头应满足强度和变形性能要求。
条文说明
3.2.1本条规定是套筒灌浆连接接头产品设计的依据。连接接头应能满足单向拉伸、高应力反复拉压、大变形反复拉压的检验项目要求。
3.2.2 钢筋套筒灌浆连接接头的抗拉强度不应小于连接钢筋抗拉强度标准值,且破坏时应断于接头外钢筋。 ( 自2022年4月1日起废止该条,点击查看:新规《混凝土结构通用规范》GB 55008-2021)
条文说明
3.2.2本条为钢筋套筒灌浆连接受力性能的关键要求,涉及结构安全,故予以强制。 本条规定的钢筋套筒灌浆连接接头的抗拉强度为极限强度,按连接钢筋公称截面面积计算。 钢筋套筒灌浆连接目前主要用于装配式混凝土结构中墙、柱等重要竖向构件中的底部钢筋同截面100%连接处,且在框架柱中多位于箍筋加密区部位。考虑到钢筋可靠连接的重要性,为防止采用套筒灌浆连接的混凝土构件发生不利破坏,本规程提出了连接接头抗拉试验应断于接头外钢筋的要求,即不允许发生断于接头或连接钢筋与灌浆套筒拉脱的现象。本条要求连接接头破坏时应断于接头外钢筋,接头抗拉强度与连接钢筋强度相关,故本条要求连接接头抗拉强度不应小于连接钢筋抗拉强度标准值。 本条规定确定了套筒灌浆连接接头的破坏模式。根据本规程第3.2.5条的规定,接头产品开发时应考虑钢筋抗拉荷载实测值为标准值1.15倍时不发生断于接头或连接钢筋与灌浆套筒拉脱。对于半灌浆套筒连接接头,机械连接端也应符合本条规定,即破坏形态为钢筋拉断,钢筋拉断的定义可按现行行业标准《钢筋机械连接技术规程》JGJ107确定。
3.2.2A钢筋套筒灌浆连接接头的实测极限抗拉强度不应小于连接钢筋的抗拉强度标准值,且接头破坏应位于套筒外的连接钢筋。
条文说明
3.2.2A本条规定的钢筋套筒灌浆连接接头的实测极限抗拉强度按连接钢筋公称截面面积计算。 钢筋套筒灌浆连接目前主要用于装配式混凝土结构中墙、柱等重要竖向构件中的底部钢筋同截面100%连接处,且在框架柱中多位于箍筋加密区部位。考虑到钢筋套筒灌浆连接可靠连接的重要性,为防止采用套筒灌浆连接的混凝土构件发生不利破坏,本规程提出了接头破坏应位于套筒外的连接钢筋的要求。接头抗拉强度与连接钢筋强度相关,故本条要求连接接头实测极限抗拉强度不应小于连接钢筋抗拉强度标准值。 本条规定确定了套筒灌浆连接接头的破坏模式,具体破坏形式有断于钢筋母材、断于半灌浆套筒机械连接端外钢筋丝头、断于半灌浆套筒机械连接端外钢筋镦粗过渡段,也可能按第3.2.5条规定接头试件未发生破坏而结束试验。对于半灌浆套筒连接接头,机械连接端也应符合本条规定。
3.2.3 钢筋套筒灌浆连接接头的屈服强度不应小于连接钢筋屈服强度标准值。
条文说明
3.2.3考虑到灌浆套筒原材料的屈服强度可能低于连接钢筋屈服强度,为保证连接接头在混凝土构件中的受力性能不低于连接钢筋,本条对钢筋套筒灌浆连接接头的屈服强度提出了要求。本条规定的钢筋套筒灌浆连接接头的屈服强度按接头屈服力除以连接钢筋公称截面面积得到。考虑到检验方便,本规程仅对型式检验和工艺检验中的单向拉伸试验提出了屈服强度检验要求。
3.2.4 套筒灌浆连接接头应能经受规定的高应力和大变形反复拉压循环检验,且在经历拉压循环后,其抗拉强度仍应符合本规程 第3.2.2A条的 规定。
条文说明
3.2.4高应力和大变形反复拉压循环试验方法同行业标准《钢筋机械连接技术规程》JGJ107,具体规定见本规程第5章。
3.2.5 套筒灌浆连接接头单向拉伸、高应力反复拉压、大变形反复拉压试验加载过程中,当接头拉力达到 或大于 连接钢筋抗拉荷载标准值的 1.1 倍而未发生破坏时,应判为抗拉强度合格,可停止试验。
条文说明
3.2.5考虑到钢筋可能超强,如不规定试验拉力上限值,则套筒灌浆连接接头产品开发缺乏依据。本条提出
当接头拉力达到连接钢筋抗拉荷载标准值(钢筋抗拉强度标准值与公称面积的乘积)的 1.1 倍而未发生破坏时,应判为抗拉强度合格,并停止试验。 本条局部修订将原规程的“接头拉力达到连接钢筋抗拉荷载标准值的1.15倍”改为“达到或大于1.1倍”,主要是考虑实际试验操作的合理性与可行性。
3.2.6 套筒灌浆连接接头的变形性能应符合表3.2.6的规定。当频遇荷载组合下,构件中钢筋应力高于钢筋屈服强度标准值f yk 的0.6倍时,设计单位可对单向拉伸残余变形的加载峰值u 0 提出调整要求。
表3.2.6 套筒灌浆连接接头的变形性能

注:u 0 -接头试件加载至0.6f yk 并卸载后在规定标距内的残余变形;A sgt -接头试件的最大力下总伸长率;u 20 -接头试件按规定加载制度经高应力反复拉压20次后的残余变形;u 4 -接头试件按规定加载制度经大变形反复拉压4次后的残余变形;u 8 -接头试件按规定加载制度经大变形反复拉压8次后的残余变形。
条文说明
3.2.6高应力和大变形反复拉压循环试验加载制度同行业标准《钢筋机械连接技术规程》JGJ107,具体规定见本规程第5章。
4 设计
4 设 计
4.0.1 采用钢筋套筒灌浆连接的混凝土结构,设计应符合国家现行标准《混凝土结构设计规范》GB 50010、《建筑抗震设计规范》GB 50011、《装配式混凝土结构技术规程》JGJ 1的有关规定。
条文说明
4.0.1本规程仅规定了钢筋套筒灌浆连接的接头设计及混凝土结构构件设计的一些基本规定。对于混凝土构件配筋构造、结构设计等规定尚应执行国家现行标准《混凝土结构设计规范》GB50010、《建筑抗震设计规范》GB50011、《装配式混凝土结构技术规程》JGJ 1的有关规定。对于坐浆法施工的预制剪力墙,采用座浆材料而非灌浆料填充,接缝受剪时静摩擦系数较低,预制剪力墙水平接缝受承载力应按行业标准《装配式混凝土结构技术规程》JGJ 1-2014第9.2.2条执行,即轴向力项系数取0.6。
4.0.2 采用套筒灌浆连接的构件混凝土强度等级不宜低于C30。
条文说明
4.0.2根据国家现行相关标准的规定及工程实践经验,本条提出了采用套筒灌浆连接的构件的建议混凝土强度等级。
4.0.3 当装配式混凝土结构采用符合本规程规定的套筒灌浆连接接头时,全部构件纵向受力钢筋可在同一截面上连接。
条文说明
4.0.3套筒灌浆连接主要应用于装配式混凝土结构中,其连接特点即为在同一截面上100%连接。针对构件受力钢筋在同一截面100%连接的特点与技术要求,本规程对套筒灌浆连接接头提出了比普通机械连接接头更高的性能要求。
4.0.4 多遇地震组合下, 混凝土结构中 全截面受拉 钢筋混凝土 构件 的纵向受力钢筋 同一截面 不宜 在同一截面 全部采用钢筋套筒灌浆连接。
条文说明
4.0.4本条规定的全截面受拉指地震设计状况下的构件受力情况,此种情况下缺乏研究基础与应用经验,故条文规定不宜采用。
对于地震作用下的全截面受拉钢筋混凝土构件,缺乏研究基础与应用经验,故条文规定多遇地震组合下纵向受力钢筋不宜在同一截面全部采用钢筋套筒灌浆连接。
4.0.5 采用套筒灌浆连接的混凝土构件设计应符合下列规定:
1 接头连接钢筋的强度等级不应高于灌浆套筒规定的连接钢筋强度等级;
2 全灌浆套筒两端及半灌浆套筒灌浆端 接头 连接钢筋的直径 规格 不应大于灌浆套筒 规定的连接 直径规格,且不宜小于灌浆套筒直径规格一级以上 ,不应小于灌浆套筒直径规格二级以上;
2A 半灌浆套筒机械连接端连接钢筋的直径应与灌浆套筒直径规格一致;
3 构件配筋方案应根据灌浆套筒外径、长度 、净距 及 安装 施工要求确定;
4 连接 钢筋插入灌浆套筒的长度应符合灌浆套筒参数要求; 构件连接钢筋外露长度应根据其插入灌浆套筒的长度、构件底部接缝宽度、构件连接节点构造做法与施工允许偏差等要求确定;
5 竖向构件配筋设计应 与 灌浆孔、出浆孔位置 协调 ;
6 底部设置键槽的预制柱,应在键槽处设置排气孔 ,且排气孔位置应高于最高位出浆孔,高度差不宜小于100mm 。
条文说明
4.0.5应采用与连接钢筋牌号、直径配套的灌浆套筒。套筒灌浆连接常用的钢筋为400MPa、500MPa,灌浆套筒一般也针对这两种钢筋牌号开发,可将500MPa钢筋的同直径套筒用于400MPa钢筋,反之则不允许。灌浆套筒的直径规格对应了连接钢筋的直径规格,在套筒产品说明书中均有注明。工程不得采用直径规格小于连接钢筋的套筒,但可采用直径规格大于连接钢筋的套筒,但相差不宜大于一级。
灌浆套筒直径规格即为产品说明书中注明的灌浆套筒连接钢筋直径,工程中不得采用直径规格小于连接钢筋直径的灌浆套筒。考虑机械连接的实际情况,要求半灌浆套筒机械连接端连接钢筋的直径应与灌浆套筒直径规格相同。对于全灌浆套筒两端及半灌浆套筒灌浆端,可采用直径规格大于连接钢筋直径的灌浆套筒,但相差不宜大于一级,特殊情况下不应大于两级。
根据灌浆套筒的外径、长度 、净距 参数,结合本规程及相关规范规定的构造要求可确定钢筋间距(纵筋数量)、箍筋加密区长度等关键参数,并最终确定混凝土构件中的配筋方案。
灌浆套筒的规格参数中还规定了灌浆端钢筋锚固的深度,构件设计中钢筋的留置长度应满足此规定。不同直径的钢筋连接时,按灌浆套筒灌浆端用于钢筋锚固的深度要求确定钢筋锚固长度,即用直径规格20mm的灌浆套筒连接直径18mm的钢筋时,如灌浆套筒的设计锚固深度为8倍钢筋直径,则直径18mm的钢筋应按160mm的锚固长度考虑,而不是144mm。
连接钢筋插入灌浆套筒的长度是预制构件深化设计的关键,具体数值应根据套筒产品参数确定。当灌浆套筒直径规格大于连接钢筋直径时,应按套筒参数确定钢筋插入灌浆套筒的长度。例如,用直径规格20mm的半灌浆套筒在灌浆端连接直径18mm的钢筋,套筒产品参数规定的连接钢筋插入长度为160mm(8倍钢筋直径),则直径18mm钢筋实际长度按160mm考虑,而不是144mm。
构件连接钢筋外露长度应以其插入灌浆套筒的长度为基础,并考虑构件连接接缝宽度、构件连接节点构造做法等主要因素。以竖向连接预制柱为例,连接钢筋外露长度扣除后浇梁柱节点高度后,即为构件钢筋插入灌浆套筒的长度加构件连接接缝宽度;现行行业标准《装配式混凝土结构技术规程》JGJ1规定装配框架柱的竖向连接接缝宽度宜为20mm,深化设计可按梁柱节点高度+插入灌浆套筒的长度+20mm(接缝宽度)计算钢筋外露 长度。
预制构件中钢筋的最终下料长度尚应考虑施工偏差因素。本规程第6.2.4条规定构件钢筋外露长度允许偏差为0~+10mm,无负偏差,构件的下料长度可考虑增加5mm的偏差调整,这样可将最终的偏差控制调整为±5mm偏差。实践中可按"宁长勿短"的原则下料(5mm的偏差调整可根据需要加大),主要考虑钢筋长了可以截掉或者磨掉,而短了很难处理。
钢筋、灌浆套筒的布置还需考虑灌浆施工的可行性,使灌浆孔、出浆孔对外,以便为可靠灌浆提供施工条件。 预制柱 截面尺寸较大的竖向构件 (一般为柱) ,考虑到灌浆施工的可靠性,应设置排气孔。本条 根据工程经验,补充了排气孔高度的规定。
4.0.6 混凝土构件中灌浆套筒的净距不应小于25mm。
条文说明
4.0.6灌浆套筒的净距规定主要适用于竖向混凝土构件。
考虑到预制混凝土柱、墙多为水平生产,且灌浆套筒仅在预制构件中 的 局部存在,故本条参照水平浇筑的钢筋混凝土梁提出灌浆套筒最小间距要求。构件制作单位(施工单位)在确定混凝土配合比时要适当考虑骨料粒径,以确保灌浆套筒范围内混凝土浇筑密实。
4.0.7 预制 混凝土构件的灌浆套筒长度范围内,预制混凝土柱箍筋的混凝土保护层厚度不应小于20mm,预制混凝土墙最外层钢筋的混凝土保护层厚度不应小于15mm。
条文说明
4.0.7本条提出了预制构件中灌浆套筒长度范围内最外层钢筋的最小保护层厚度最小要求。确定构件配筋时,还应考虑国家现行相关标准对于纵筋、箍筋的保护层厚度要求。
5 接头型式检验
5 接头型式检验
条文说明
考虑到型式检验是针对产品的专项检验,本次局部修订明确接头型式检验的送检单位为灌浆套筒和(或)灌浆料生产单位。施工单位、构件生产单位不可作为接头型式检验的送检单位,当施工单位或构件生产作为接头提供单位时应按本规程第6.1.1条的规定进行接头匹配检验。
5.0.1 属于下列情况时,应进行接头型式检验:
1 确定接头性能时;
2 灌浆套筒材料、工艺、结构改动时;
3 灌浆料型号、成分改动时;
4 钢筋强度等级、肋形发生变化时;
5 型式检验报告超过4年。
条文说明
5.0.1接头型式检验是证明灌浆套筒与灌浆料匹配及接头性能的依据。
灌浆套筒、灌浆料产品定型时,均应按相关产品标准的要求进行型式检验。灌浆套筒供应时,应在产品说明书中注明与之匹配检验合格的灌浆料。
当使用中灌浆套筒的材料、工艺、结构(包括形状、尺寸),或者灌浆料的型号、成分(指影响强度和膨胀性的主要成分)改动,可能会影响套筒灌浆连接接头的性能,应再次进行 接头 型式检验。现行国家标准《钢筋混凝土用钢 第2部分:热轧带肋钢筋》GB /T 1499.2、《钢筋混凝土用余热处理钢筋》GB13014规定了我国热轧带肋钢筋的外形,进口钢筋的外形与我国不同,如采用进口钢筋应另行进行 接头 型式检验。
全灌浆接头与半灌浆接头,应分别进行 接头 型式检验,两种类型接头的型式检验报告不可互相替代。 根据本规程第6.1.1条的有关规定,变径接头可不进行型式检验。
对于匹配的灌浆套筒与灌浆料, 接头 型式检验报告的有效期为4年,超过时间后应重新进行。
5.0.2 用于 接头 型式检验的钢筋、灌浆套筒、灌浆料应符合国家现行标准《钢筋混凝土用钢 第2部分:热轧带肋钢筋》GB /T 1499.2、《钢筋混凝土用余热处理钢筋》GB 13014、《钢筋连接用灌浆套筒》JG/T 398、《钢筋连接用套筒灌浆料》JG/T 408的规定。
条文说明
5.0.2钢筋、灌浆套筒、灌浆料三种主要材料
均应采用合格产品。 本规程第3.1.2条提出了“灌浆套筒灌浆端用于钢筋锚固的深度不宜小于插入钢筋公称直径的8倍”的要求,如灌浆套筒的单侧灌浆端用于钢筋锚固的深度无法满足8倍钢筋直径的要求,应采用与之对应的专用灌浆料进行套筒灌浆连接接头型式检验及其他相关检验。 对于首次进行型式检验的产品,宜以灌浆套筒、灌浆料型式检验合格为基础。
5.0.3 每种套筒灌浆连接接头型式检验的试件数量与检验项目应符合下列规定:
1 对中接头试件应为9个,其中3个做单向拉伸试验、3个做高应力反复拉压试验、3个做大变形反复拉压试验;
2 偏置接头试件应为3个,做单向拉伸试验;
3 钢筋试件应为3个,做单向拉伸试验;
4 全部试件的钢筋均应在同一炉(批)号的1根或2根钢筋上截取。
条文说明
5.0.3每种套筒灌浆连接接头,其类型、
形式、级别、规格、材料等有所不同。考虑套筒灌浆连接的施工特点,在常规机械连接型式检验要求的基础上,本规程增加了3个偏置单向拉伸试件要求。
为保证制作型式检验试件的钢筋抗拉强度相当,本条要求全部试件应在同一炉(批)号的1根或2根钢筋上截取。实践中尽量在1根钢筋上截取;当在2根钢筋上截取时,取屈服强度、抗拉强度差值不超过30MPa的2根钢筋为 好 宜。
5.0.3A 接头型式检验的送检单位应为灌浆套筒、灌浆料生产单位。
当灌浆套筒、灌浆料由不同单位生产时,接头试件送检应同时得到灌浆料、灌浆套筒生产单位的确认和许可;半灌浆套筒接头送检单位应为灌浆套筒生产单位;全灌浆套筒接头送检单位宜为灌浆套筒生产单位,也可为灌浆料生产单位。
条文说明
5.0.3A 接头型式检验的主要目的是检验接头性能与生产能力,故本条规定送检单位应为灌浆套筒和(或)灌浆料生产单位。
考虑到半灌浆套筒存在机械连接端、灌浆端两个关键技术点,机械连接端的加工与安装质量直接影响接头受力性能,由灌浆套筒生产单位送检更利于质量控制及责任划分。全灌浆套筒推荐由灌浆套筒生产单位作为送检单位,也是考虑了灌浆套筒生产单位更了解套筒内部构造及其与灌浆料的匹配性能。为了能够充分了解灌浆套筒、灌浆料的产品参数与性能变化,本条规定灌浆套筒、灌浆料由不同生产单位生产时送检应同时得到灌浆套筒、灌浆料生产单位的书面盖章方式确认和许可,接头型式检验试件盖章材料确认单应作为接头型式检验报告的附件,表1的确认单 格式可供参考。

5.0.4 用于 接头 型式检验的套筒灌浆连接接头试件 、灌浆料试件 应在检验单位监督下由送检单位制作,并应符合下列规定:
1 3个偏置接头试件应保证一端钢筋插入灌浆套筒中心,一端钢筋偏置后钢筋横肋与套筒壁接触;9个对中接头试件的钢筋均应插入灌浆套筒中心;所有接头试件的钢筋应与灌浆套筒轴线重合或平行 ,钢筋在灌浆套筒插入深度应为灌浆套筒的设计锚固深度 ;
1A 常温型灌浆料接头试件、灌浆料试件宜在室内制作,且环境温度不应低于10℃、不应高于25℃;
1B 钢筋在灌浆套筒内的插入长度不应大于套筒设计锚固长度;当套筒端口在应用时有进入套筒内的密封圈时,钢筋在灌浆套筒内的插入长度不应大于套筒设计锚固长度与靠近端口侧非锚固长度之和。
2 接头试件应按本规程第6.3.8条、第6.3.9条的有关规定进行灌浆;对于半灌浆套筒连接,机械连接端的加工应符合本规程和现行行业标准《钢筋机械连接技术规程》JGJ 107的有关规定;
3 采用灌浆料拌合物制作的40mm×40mm×160mm试件不应少于 2 1 组 ,并宜留设不少于2组 ;
4 灌浆料 接头试件 、 及 灌浆料试件 应在 标准养护 室温度应为20℃±2℃;灌浆料试件标准养护室相对湿度尚不应低于90%,养护水的温度应为20℃±1℃ 条件下养护 ;
4A低温型灌浆料接头试件及灌浆料试件的制作及养护条件应符合本规程附录B 的规定。
5 接头试件在试验前不应进行预拉。
条文说明
5.0.4为保证接头
型式检验试件真实可靠,且采用与实际应用相同的灌浆套筒、灌浆料,本条 规定接头 试件应在型式检验单位监督下由送检单位制作。对半灌浆套筒连接,机械连接端钢筋丝头可由送检单位先行加工,并在型式检验单位监督下制作接头试件。接头试件灌浆与制作 灌浆料 试件应采用相同的灌浆料,其加水量应 符合 灌浆料产品说明书规定,1组 灌浆料试件 为3个40mm×40mm×160mm试件。
在参考国家现行标准《混凝土物理力学性能试验方法标准》GB/T 50081、《钢筋连接用套筒灌浆料》JG/T 408等有关标准规定的基础上,本规程提出灌浆料试件的标准养护温度、养护湿度及养护水温度要求;灌浆料试件可以在水中养护,也可以淋水养护。灌浆料接头试件的标准养护温度要求与灌浆料试件相同,且无湿度要求,实践中可把接头试件与灌浆料试件养护在相同条件的标准养护室中。
对偏置单向拉伸接头试件,偏置钢筋的横肋中心与套筒壁接触(图1)。对于偏置单向拉伸接头试件的非偏置钢筋及其他接头试件的所有钢筋,均应插入灌浆套筒中心,并尽量减少误差。

钢筋在灌浆套筒内的插入长度不应大于规定的有效锚固长度,当有塞子等非锚固长度范围时,插入长度不应大于套筒设计锚固长度与靠近端口侧非锚固长度之和。
钢筋在灌浆套筒内的插入长度不应大于套筒设计锚固长度。当密封圈进入套筒断口内存在非锚固长度范围时,插入长度对比套筒设计锚固长度时不应计入靠近端口侧非锚固长度。非锚固长度是密封圈厚度及其他不具有锚固作用的填充物占用长度之和。型式检验时接头试件的套筒端口非锚固长度应与工程实际应用时相同。
本条 建议 规定 采用灌浆料拌合物制作不少于2组40mm×40mm×160mm的试件,主要是为了试验时 的 检查灌浆料抗压强度是否符合本规程第 5.0.5的要求 5.0.7条的规定。 考虑到 本规程5.0.5条规定,需 预估灌浆料的抗压强度而提前试压、试验时达不到设计强度而要提供灌浆料28d抗压强度等因素, 实践中 宜多留置一些试件。
5.0.5 型式检验试验时,灌浆料抗压强度不应小于80N/mm 2 ,且不应大于95N/mm 2 ;当灌浆料28d抗压强度合格指标(f g )高于85N/mm 2 时,试验时的灌浆料抗压强度低于28d抗压强度合格指标(f g )的数值不应大于5N/mm 2 ,且超过28d抗压强度合格指标(f g )的数值不应大于10N/mm 2 与0.1f g 二者中的较大值 ;当型式检验试验时灌浆料抗压强度低于28d抗压强度合格指标(f g )时,应增加检验灌浆料28d抗压强度 。
条文说明
5.0.5本条规定了型式检验时的灌浆料的抗压强度范围。型式检验试验时灌浆料抗压强度应满足本条规定,否则为无效检验。 本条规定的灌浆料抗压强度试验方法同本规程第3.1.3条,即按标准方法制作的40mm×40mm×160mm的试件抗压强度。检验报告中填写的灌浆料抗压强度应为接头拉伸试验当天完成的
灌浆料试件抗压试验结果。
本条规定的灌浆料抗压强度范围是基于接头试件所用灌浆料与工程实际相同的条件提出的。规定灌浆料抗压强度上限是为了避免灌浆料抗压强度过高而试验无法代表实际工程情况,规定下限是为了提出合理的灌浆料抗压强度区间(常规情况下为15N/mm2),并便于检验操作。
本条局部修订将灌浆料试件28d抗压强度合格要求移入了第5.0.7条。 本条允许检验试验时灌浆料抗压强度低于28d抗压强度合格指标(fg)5N/mm2以内,但考虑到本规范第5.0.2条 要求采用合格的灌浆料进行试验 、故第5.0.7条要求检验所用的灌浆料为合格, 故尚应提供28d抗压强度合格检验报告。 对于28d达不到抗压强度要求的灌浆料,试验为无效试验。
本条规定了试验时的灌浆料抗压强度,实际上也是规定了型式检验的时间。只要灌浆料抗压强度符合本条规定,试验时间可不受28d约束。但试验时间不宜超过28d,以免灌浆料抗压强度超过上限要求。 如在不到28d时进行试验,可通过预压提前多留置的灌浆料试件确认28d可达到强度要求。 本规程第5.0.4条要求至少要留置2组灌浆料试件,即1组确定试验时的灌浆料抗压强度、1组确定28d灌浆料抗压强度,如无法准确预估强度与试验时间,则需要留置更多的灌浆料试件。
5.0.6 接头 型式检验的试验方法应符合现行行业标准《钢筋机械连接技术规程》JGJ 107的有关规定,并应符合下列规定:
1 接头试件的加载力应符合本规程第3.2.5条的规定;
2 偏置单向拉伸接头试件的抗拉强度试验应采用零到破坏的一次加载制度;
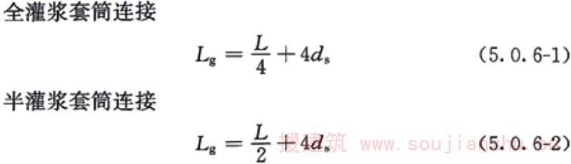
3 大变形反复拉压试验的前后反复4次变形加载值分别应取2ε yk L g 和5ε yk L g ,其中ε yk 是应力为屈服强度标准值时的应变, 大变形反复拉压试验变形加载值 计算长度L g 应按下列公式计算:

式中:L——灌浆套筒长度(mm);
d s ——钢筋公称直径(mm)。
条文说明
5.0.6除本规程的规定外,关于套筒灌浆连接接头型式检验试验方法均按现行行业标准《钢筋机械连接技术规程》JGJ107的有关规定执行,具体包括仪表布置、测量标距、测量方法、加载制度、加载速度等。 考虑到偏置单向拉伸接头试件的特点,本
规程规定仅量测抗拉强度,故采用零到破坏的一次加载制度即可。对于小直径钢筋,偏置单向拉伸接头试件可直接在试验机上拉伸;对于大直径钢筋,宜采用专用夹具保证试验机夹头对中。除偏置单向拉伸接头试件之外的其他试件,应按现行行业标准《钢筋机械连接技术规程》JGJ 107规定确定加载制度。
套筒灌浆连接接头体积较大,且为金属、水泥基材料、钢筋的结合体,其变形能力较差。根据编制组完成的大量拉伸试验,在测量标距L1(L+4ds)范围内的变形中,灌浆套筒长度范围内变形所占比例不超过10%。在大变形反复拉压试验中,如仍按L1确定反复拉压的变形加载值,则变形主要将由4ds长度的钢筋段“承担”,会造成钢筋应变较大而实际试验拉力变大,检验要求超过常规机械连接接头很多。
在考虑套筒灌浆连接接头变形特性的情况下,本条提出更为合理的大变形反复拉压试验变形加载值确定方法,灌浆套筒范围内的计算长度对全灌浆套筒连接取 灌浆 套筒长度的1/4,对半灌浆套筒连接取 灌浆 套筒长度1/2。按本条规定的计算长度Lg,检验要求仍高于常规机械连接。
行业标准《钢筋机械连接技术规程》JGJ107- 2010 2016 附录A中大变形反复拉压的加载制度为0→(2εyk→—0.5fyk)反复4次→(5εyk→—0.5fyk)反复4次→破坏,前后反复4次变形加载值分别取2εykL1和5εykL1。按本条规定,套筒灌浆连接接头型式检验的前后反复4次变形加载值分别取2εykLg和5εykLg。
本条第3款规定的仅是大变形反复拉压试验的变形加载值规定,变形量测标距仍取现行行业标准《钢筋机械连接技术规程》JGJ107中规定的L1(L+4ds)。
5.0.7 当 接头 型式检验的灌浆料抗压强度符合本规程第5.0.5条的规定,且 接头 型式检验试验结果符合下列规定时,可评为合格:
1 强度检验:每个接头试件的抗拉强度实测值均应符合本规程第 3.2.2A 条的强度要求;3个对中单向拉伸试件、3个偏置单向拉伸试件的屈服强度实测值均应符合本规程第3.2.3条的强度要求;
2 变形检验:对残余变形和最大力下总伸长率,相应项目的3个试件实测值的平均值应符合本规程第3.2.6条的规定 ;每个试件的残余变形不应大于本规程表3.2.6规定限值的1.5倍, 每个试件的最大力下总伸长率不应小于4.0%;
3 灌浆料检验:常温型灌浆料试件28d抗压强度和灌浆料30min流动度应符合本规程3.1.3条的规定;低温型灌浆料试件28d抗压强度和-5℃条件下灌浆料30min流动度应符合本规程第B.0.3条的规定。
条文说明
5.0.7根据本规程第3章的有关规定,本条考虑接头型式检验试验的特点提出了检验及合格要求。对所有检验项目均提出了接头试件抗拉强度要求;接头试件屈服强度要求仅针对对中单向拉伸、偏置单向拉伸;变形性能检验仅针对对中单向拉伸、高应力反复拉压、大变形反复拉压(仅对中单向拉伸要求最大力下总伸长率指标,三项检验均要求残余变形指标),对偏置单向拉伸无此要求。 为避免接头变形检验的试验结果离散性较大,局部修订增加了每个试件残余变形和最大力下总伸长率的极值要求。即:每个试件对中单向拉伸残余变形不大于0.15(d≤32mm)、0.21(d>32mm),对中单向拉伸最大力下总伸长率不小于4.0%,高应力反复拉压残余变形不大于0.45,大变形反复拉压残余变形不大
于0.45(反复拉压4次)、0.9(反复拉压8次)。
本条明确了灌浆料28d抗压强度合格的要求,即一组3个40mm×40mm×160mm试件按现行国家标准《水泥胶砂强度检验方法(ISO法)》GB/T 17671确定的抗压强度不小于28d抗压强度合格指标(fg)。考虑到灌浆料流动度是直接反映施工性能的指标,要求增加灌浆料30min流动度指标检测,检测单位宜 在按本规程第5.0.4条规定的监督试件制作时测试,也可带回同批灌浆料后另行检测。
5.0.8 接头 型式检验应由 法定 专业 检测 单位完成 机构进行 ,并应按本规程第A.0.1条规定的格式出具检验报告。
条文说明
5.0.8应按本规程附录A所给出的接头试件型式检验报告出具检验报告,并应包括评定结论。检验报告中的内容要符合附录A表格的规定,具体形式可改变。
6 施工
6.1 一般规定
6 施 工
6.1 一般规定
6.1.1 套筒灌浆连接应采用 合格 灌浆套筒、灌浆料, 并应符合下列规定 :
1灌浆套筒、灌浆料应在构件生产和施工前确定。
2灌浆套筒、灌浆料生产单位作为接头提供单位时,应提 交所有使用接头规格的有效型式检验报告;施工单位、构件生产 单位作为接头提供单位时,应完成所有使用接头规格的匹配检 验。接头提供单位应对产品质量和检测报告负责。
3接头匹配检验应按本规程第5章接头型式检验的规定进 行。匹配检验应委托法定检测单位进行,并应按本规程附录A 中表A.0.1规定的格式出具检验报告,且匹配检验报告仅对具 体工程项目一次有效。
4灌浆施工中更换灌浆料时,施工单位应在灌浆施工前重 新完成涉及接头规格的匹配检验及有关材料进场检验,且所有检验均应在监理单位(建设单位)、检测单位代表的见证下制作试件并一次合格。
5接头型式检验报告、匹配检验报告尚应符合下列规定:
1)接头连接钢筋的强度等级低于灌浆套筒规定的连接钢筋强度等级时,可按实际应用的灌浆套筒提供检验报告;
2)对于预制端连接钢筋直径小于灌浆端连接钢筋直径的半灌浆变径接头,可提供两种直径规格的等径同类型 半灌浆套筒检验报告作为依据,其他变径接头可按实 际应用的灌浆套筒提供检验报告。
条文说明
6.1.1本条要求采用由接头型式检验确定的相匹配的灌浆套筒、灌浆料,并经检验合格后使用。施工过程中不宜更换灌浆套筒或灌浆料,如确需更换,应按更换后的灌浆套筒、灌浆料提供接头型式检验报告,并重新进行工艺检验及材料进场检验,具体可见本规程第7章。
套筒灌浆连接应按接头提供单位提供的接头制作、安装及灌浆施工作业指导书要求进行。
本规程规定的接头提供单位为提供套筒灌浆连接技术并按接头型式检验报告或匹配检验报告提供相匹配的灌浆套筒和灌浆料的单位。对于未获得有效接头型式检验报告或匹配检验报告的灌浆套筒与灌浆料,不得用于工程。实践中接头提供单位主要有以下几种情况:
1接头提供单位为灌浆套筒和(或)灌浆料生产单位时,接头提供单位应提交所有使用接头规格的有效型式检验报告。在构件制作与施工操作符合工艺及质量控制要求的前提下,接头提供单位应对接头质量负责。套筒灌浆连接的工艺要求应包括半灌浆套筒机械连接端丝头加工与安装、灌浆套筒在构件内安装、灌浆施工技术要求等。接头提供单位应通过研发与实践确定工艺要求,编制作业指导书并提供给构件生产单位、施工单位。根据本 规程第5.0.3A条的规定,半灌浆套筒的接头提供单位应为灌浆套筒生产单位;全灌浆套筒的接头提供单位宜为灌浆套筒生产单位,也可为灌浆料生产单位。
2接头提供单位为施工单位时,施工单位应确定灌浆套筒 和灌浆料、提供作业指导书并对接头质量负责,构件生产及施工前,施工单位应按本规程规定完成所有使用接头规格的匹配检验。
3接头提供单位为构件生产单位时,构件生产单位应确定灌浆套筒和灌浆料、提供作业指导书并对接头质量负责,构件生产单位应在生产前按本规程规定完成所有使用接头规格的匹配检验。
通常情况下,灌浆套筒早于灌浆料使用,但在灌浆套筒进厂检验时也要用到灌浆料。本条规定灌浆套筒与灌浆料在构件生产及现场施工前确定,即在采购灌浆套筒时同时确定与之匹配的灌浆料。以上接头提供单位的3种情况,本规程优先推荐采用第1种(产品生产单位),其次则为第2种(施工单位),第3种情况除构件生产单位承担灌浆专项施工或全程提供技术辅导外不推荐采用。
当产品生产单位作为接头提供单位时,如需在工程进行中更换其他产品生产单位作为接头提供单位,应按本条的有关规定执行,并在构件生产(灌浆套筒使用)前完成。
如在灌浆套筒已使用后再更换灌浆料,即灌浆施工中单独更换灌浆料情况,接头提供单位应变更为施工单位,不得将后换的灌浆料提供单位作为接头提供单位;施工单位应在灌浆施工前委托并完成涉及接头规格的匹配检验、灌浆料进场检验(第7.0.4 条、第B.0.9条),并重做灌浆套筒进场力学性能检验(第 7.0.6条),所有检验均应在监理单位(建设单位)、第三方检测单位代表见证下制作试件,并要求一次合格不得复检;如发生不合格,只能再次更换灌浆料并完成相关检验。
如构件生产单位在构件生产过程中更换灌浆套筒的品牌或类型,应与施工单位达成一致,优先采用灌浆套筒、灌浆料整体更换并由产品生产单位作为接头提供单位的方式,否则应确定施工单位或构件生产单位作为接头提供单位,并按本条有关规定执行。如将构件生产单位变更为接头提供单位,应在构件生产前由 构件生产单位委托并完成涉及钢筋的接头匹配检验及有关材料进厂(场)检验,所有检验均应在施工单位(或监理单位、建设单 位)、第三方检测单位代表的见证下制作试件并一次合格。
匹配检验的送检单位为施工单位或构件生产单位,灌浆套筒、灌浆料生产单位不得进行匹配检验。匹配检验不要求同时得到灌浆套筒和灌浆料生产单位的确认或许可,除此规定外,匹配检验具体内容应符合本规程第5章接头型式检验的所有规定。匹配检验针对实际工程进行,且仅对具体工程项目一次有效。
变径接头有多种情况,仅预制端连接钢筋直径小于灌浆端连接钢筋直径的半灌浆变径接头需要单独加工灌浆套筒,此种变径半灌浆套筒的接头型式检验、匹配检验难度较大,本规程允许提供两种直径钢筋规格的等径同类型半灌浆套筒检验报告作为依据。对于全灌浆变径接头、预制端连接钢筋直径大于灌浆端连接钢筋直径的半灌浆变径接头两种情况,工程可直接采用大直径钢筋对应规格的灌浆套筒,接头提供单位可按实际应用灌浆套筒提供检验报告。
6.1.2 套筒灌浆连接施工应编制专项施工方案。
条文说明
6.1.2本条规定的专项施工方案不是强调单独编制,而是强调应在相应施工方案中包括套筒灌浆连接施工的相应内容。施工方案应包括灌浆套筒在预制生产中的定位、构件安装定位与支撑、灌浆料拌合、灌浆施工、检查与修补等内容。
专项施工方案应包括 材料与设备要求、灌浆料种类对应的施工条件、灌浆的施工工艺、灌浆质量控制措施、安全管理措施、缺陷处理等,采用连通腔灌浆方式时施工方案应明确典型构件的灌浆区域划分方式。施工中应严格执行专项施工方案,当实际施工与专项施工方案不符时,应重新确定后,及时调整施工方案。专项 施工方案编制应以接头提供单位的相关技术资料 、操作规程 、作业指导书 为依据。
采用连通腔灌浆法施工且两层及以上集中灌浆、低温条件下套筒灌浆施工、坐浆法施工3种情况的专项施工方案应进行技术论证。
6.1.3半灌浆套筒机械连接端的钢筋丝头加工、连接安装以及套筒灌浆施工等岗位的操作人员应固定,应经过专业化培训且合格后方可上岗。 灌浆施工的操作人员应经专业培训后上岗。
条文说明
6.1.3 半灌浆套筒机械连结端的钢筋丝头加工、连结安装以及各类灌浆套筒
现场灌浆是影响套筒灌浆连接施工质量的最关键因素。操作人员上岗前,应经专业培训,培训一般宜由接头提供单位的专业技术人员组织。 灌浆施工应由专人完成, 培训应包括理论及实操内容,并对实操构件(试件)进行必要的检验。构件生产、 施工单位应根据工程量配备足够的合格操作工人。
6.1.4 对于首次施工,宜选择有代表性的单元或部位进行试制作、试安装、试灌浆。
条文说明
6.1.4本条规定的“首次施工”包括施工单位或施工队伍没有钢筋套筒灌浆连接施工经验,或对某种灌浆施工类型(剪力墙、柱、水平等)没有经验,此时为保证工程质量,宜在正式施工前通过试制作、试安装、试灌浆验证施工方案、施工措施的可性能。
6.1.5 施工现场灌浆料 应采取防雨、防潮、防晒措施,且 宜储存在室内。 在有关检验完成前应留存工程实际使用的灌浆套筒与在有效期内的灌浆料。
条文说明
6.1.5灌浆料以水泥为基本材料,对温度、湿度均具有一定敏感性,因此在储存中应注意干燥、通风并采取防晒措施,防止其性态发生改变。灌浆料最好存储在室内。留存工程实际使用的灌浆套筒与在有效期内的灌浆料,主要目的是用于灌浆料试件抗压强度或接头试件抗拉强度出现不合格时的补充检测,具体的留存时间、留存数量需根据可能的检测需要确定,并在专项施工方案中明确。
6.1.6对不同钢筋生产单位的进厂(场)钢筋应进行接头工艺检验,检验合格后方可进行构件生产、灌浆施工。接头工艺检验应符合下列规定:
1工艺检验应在预制构件生产前及灌浆施工前分别进行。
2对已完成匹配检验的工程,当现场灌浆施工与匹配检验时的灌浆单位相同,且采用的钢筋相同时,可由匹配检验代替工艺检验。
3工艺检验应模拟施工条件、操作工艺,采用进厂(场)验收合格的灌浆料制作接头试件,并应按接头提供单位提供的作业指导书进行。半灌浆套筒机械连接端加工应符合本规程第6.2节的规定。
4施工过程中当发生下列情况之一时,应再次进行工艺检验:
1)更换钢筋生产单位,或同一生产单位生产的钢筋外形尺寸与已完成工艺检验的钢筋有较大差异;
2)更换灌浆施工工艺;
3)更换灌浆单位。
5 试件制作与养护应符合下列规定:
1)每种规格钢筋应制作3个对中套筒灌浆连接接头。
2)变径接头应单独制作。
3)采用灌浆料拌合物制作的40mm×40mm×160mm试件不应少于1组。
4)常温型灌浆料接头试件、常温型灌浆料试件应按本规 程第5.0.4条第4款的规定养护28d;低温型灌浆料接头试件、灌浆料试件的制作、养护要求应符合本规 程附录B的规定。
6检验应符合下列规定:
1)每个接头试件的抗拉强度、屈服强度应符合本规程第 3.2.2A条、第3.2.3条的规定,3个接头试件残余变
形的平均值应符合本规程表3.2.6的规定;
2)常温型灌浆料试件28d抗压强度应符合本规程第 3.1.3条的规定,低温型灌浆料试件28d抗压强度应
符合本规程第B.0.3条的规定;
3)接头试件应在量测残余变形后再进行抗拉强度试验, 并应按现行行业标准《钢筋机械连接技术规程》JGJ
107规定的钢筋机械连接型式检验单向拉伸加载制度 进行试验;
4)第一次工艺检验中1个试件抗拉强度或3个试件的残 余变形平均值不合格时,可再抽3个试件进行复检,
复检仍不合格应判为工艺检验不合格;
5)工艺检验应委托法定检测单位完成,并应按本规程附 录A第A.0.2条规定的格式出具检验报告。
条文说明
6.1.6本条规定了工艺检验的时间点与技术要求,对工程质量控制尤为重要。灌浆套筒埋入预制构件时,应在构件生产前通过工艺检验确定现场灌浆施工的可行性,并通过检验发现问题。
对于施工单位或构件生产单位作为接头提供单位并完成匹配检验的情况,如现场灌浆施工与匹配检验时的灌浆单位相同,且采用的钢筋相同,可由匹配检验代替同规格接头的工艺检验;如不相同,则应按本条规定完成工艺检验。
接头试件制作应完全模拟现场施工条件,并通过工艺检验确定灌浆料拌合物搅拌、灌浆速度等技术参数,可与本规程第 6.1.4条规定的“试灌浆”工作结合。对于半灌浆套筒,工艺检验也是对机械连接端丝头加工、连接安装工艺参数的检验。
不同单位生产的钢筋外形有所不同,可能会影响接头性能,故应分别进行工艺检验。当更换钢筋生产单位,或同一生产单位生产的钢筋外形尺寸与已完成工艺检验的钢筋有较大差异时,应再次进行工艺检验。
更换灌浆施工工艺或灌浆单位,均应再次进行工艺检验。灌浆单位更换包括施工单位更换,也包括专业分包单位更换。
每种规格(牌号、直径)钢筋都要进行工艺检验。对于用500MPa级钢筋的灌浆套筒连接400MPa级钢筋的情况,应按实际情况采用400MPa钢筋制作试件。对于变径接头,应按实际情况制作试件,所有变径情况都要单独制作试件。
根据现行行业标准《钢筋机械连接技术规程》JGJ 107的有关规定,工艺检验接头残余变形的仪表布置、量测标距和加载速度同型式检验要求。工艺检验中,按相关加载制度进行接头残余变形检验时,可采用不大于0.012Asfyk的拉力作为名义上的零荷载,其中As为钢筋公称截面面积,fyk为钢筋屈服强度标准值。
应按本规程附录A所给出的接头试件工艺检验报告出具检验报告,并应包括评定结论。检验报告中的内容应符合附录表 A.0.2的规定,不能漏项,但表格形式可改变。
6.1.7灌浆施工过程中应形成灌浆施工记录;应由施工单位专职检验人员监督全过程施工质量,及时形成灌浆施工质量检查记录,并留存包含灌浆部位、时间、检验内容的影像资料。当发生质量检查记录、影像资料丢失或无法证明工程质量的情况时,应在混凝土结构子分部工程验收时对此处进行灌浆饱满性实体检验。现浇与预制转换层构件安装、灌浆施工应由监理单位(建设单位)代表100%旁站。
条文说明
6.1.7施工记录是施工质量控制与验收的重要依据,要在施工过程中及时记录。施工记录应覆盖从灌浆施工准备到实施的各环节。对连通腔灌浆方式,施工记录应体现灌浆仓编号及每个灌浆仓内所包含的灌浆套筒规格、数量、对应构件信息等。
本条强调灌浆施工过程管控,要求施工单位的专职检验人员全过程监督施工质量,监督过程应高度重视质量监控,发现问题及时返工、整改、补救,确保消除质量问题及安全隐患。本条规定留存能够证明工程质量的检查记录和影像资料。影像资料应包括灌浆部位、时间及有关检验内容,如有条件也宜包括外伸钢筋长度检验、结合面粗糙度检验、构件就位过程及就位后位置检验、灌浆料和拌合水称量、灌浆料加水拌合过程、灌浆料试件制作过程等内容。
现浇与预制转换层是整个工程灌浆施工的难点,故要求监理单位(建设单位)代表100%旁站,并在灌浆施工质量检查记录上签字确认。
混凝土结构子分部工程验收时,应对关键部位的质量检查记录、影像资料进行抽查。如发生质量检查记录、影像资料丢失或二者无法证明工程质量的情况,应采取可靠方法进行灌浆饱满性实体检验,具体可参考本规程第7.0.10条的有关规定。
6.1.8施工单位或监理单位代表宜监督预制构件制作过程。构件出厂的质量证明文件应经监督代表签字确认,且质量证明文件应包括隐蔽工程验收记录、半灌浆套筒机械连接端加工检查记录。
条文说明
6.1.8埋入灌浆套筒的预制构件在进场时多属于无法进行结构性能检验的构件。根据国家标准《混凝土结构工程施工质量验收规范》GB 50204-2015、《装配式混凝土建筑技术标准》GB/T 51231-2016的有关规定,对所有进场时不做结构性能检验的预制构件,可通过施工单位或监理单位代表驻厂监督的方式进行质量控制。
当无驻厂监督时,预制构件进场时应对预制构件主要受力钢筋数量、规格、间距及混凝土强度、混凝土保护层厚度等进行实体检验,本规程不推荐此种方式。
6.2 构件制作
6.2 构件制作
6.2.1 预制构件钢筋加工和模具制作应符合现行国家标准《混凝土结构工程施工规范》GB 50666的规定。 预制构件钢筋及灌浆套筒的安装应符合下列规定:
1 连接钢筋与全灌浆套筒安装时,应逐根插入灌浆套筒内,插入深度应满足设计要求 ,并应采取措施保证钢筋与灌浆套筒同轴。
2 应将 连接钢筋、灌浆套筒可靠 固定在模具上,灌浆套筒与柱底、墙底模板应垂直,应采用橡胶环、螺杆等固定件避免混凝土浇筑、振捣时灌浆套筒和连接钢筋移位;
3 与灌浆套筒连接的灌浆管、出浆管 及排气管 应定位准确、安装稳固; 且应均匀、分散布置,相邻管净距不应小于25mm;并应保持管内畅通,无弯折堵塞。
4 应采取防止混凝土浇筑时向灌浆套筒内漏浆的封堵措施。
条文说明
6.2.1本条规定了预制构件钢筋、灌浆套筒的安装要求。安装工作应在接头工艺检验合格后进行。将灌浆套筒固定在模具(或模板)的方式可为采用橡胶环、螺杆等固定件。为防止混凝土浇筑时向灌浆套筒内漏浆,应对灌浆套筒可靠封堵。
灌浆套筒灌浆端及全灌浆套筒预制端漏浆,应采用橡胶塞等密封措施。可采用在全灌浆套筒中设置限位凸台或定位销杆及钢筋标识等措施,确保钢筋插入深度满足设计要求。
与灌浆套筒连接的灌浆管、出浆管过于集中,将影响该部位混凝土的浇筑质量,故本条对其净距提出了要求。
6.2.2 对于半灌浆套筒连接,机械连接端的钢筋丝头加工、连接安装、质量检查应符合现行行业标准《钢筋机械连接技术规程》JGJ 107的有关规定。 对于同类型的首个预制构件完成后,建设单位应组织设计、施工、监理、预制构件生产单位进行检验,合格后方可进行批量生产。
条文说明
6.2.2行业标准《钢筋机械连接技术规程》JGJ107对机械连接接头钢筋丝头加工、连接安装、质量检查均提出了要求,半灌浆套筒连接的机械连接端钢筋丝头加工可参照执行。 半灌浆套筒连接的机械连接端也应符合本规程第3.2.2条的要求,即抗拉试验不允许发生断于接头或连接钢筋与灌浆套筒拉脱现象。第3.2.2条的要求高于传统机械连接Ⅰ级接头要求,为达到此要求机械连接端的丝头加工可能需要在传统工艺基础上适当改进。
本规程局部修订明确了预制构件首件检验制度,验收合格后方可批量生产。原规程6.2.2条已扩充为本规程第6.2.8条~6.2.10条。
6.2.3 浇筑混凝土之前,应进行钢筋隐蔽工程检查。隐蔽工程检查应包括下列内容:
1 纵向受力钢筋的牌号、规格、数量、位置;
2 灌浆套筒的型号、数量、位置 ,灌浆管、出浆管的位置与数量,排气管、 灌浆孔、出浆孔、排气孔的位置;
3 钢筋的连接方式、接头位置、接头质量、接头面积百分率、搭接长度、锚固方式及锚固长度;
4 箍筋、横向钢筋的牌号、规格、数量、间距、位置,箍筋弯钩的弯折角度及平直段长度;
5 预埋件的规格、数量和位置。
6 外露钢筋的长度、位置与垂直度。
条文说明
6.2.3隐蔽工程反映构件制作的综合质量,在浇筑混凝土之前检查是为了确保受力钢筋、灌浆套筒等的连接、安装满足设计要求和本规程的有关规定。纵向受力钢筋、灌浆套筒位置的检查包含了二者的混凝土保护层厚度检查。外露钢筋的长度、位置、垂直度与构件拆模后的尺寸偏差密切相关,要求在隐蔽工程检查时一并查验。各检验内容的允许偏差及检验方法应符合本规程和现行有关标准的规定。
6.2.3A 混凝土浇筑应密实。浇筑混凝土应避免灌浆套筒移位及灌浆管、出浆管、排气管破损进浆或脱落。
条文说明
6.2.3A影响混凝土浇筑密实的因素主要有混凝土骨料粒径、浇筑方式、倾落高度、振捣方式等。混凝土振捣在密实的同时应避免振捣设备直接冲击钢筋、灌浆套筒及灌浆管、出浆管、排气管,以免发生灌浆套筒移位、管路破损进浆或脱落等问题。
6.2.4 预制构件拆模后,灌浆套筒的位置及外露钢筋位置、长度 允许 偏差 及检验方法 应符合表6.2.4的规定。

条文说明
6.2.4预制构件中灌浆套筒、外露钢筋的位置、尺寸的偏差直接影响构件安装及灌浆施工,本条根据施工安装精度需要提出了比一般预制构件更高的允许偏差要求。
6.2.5 预制构件制作及运输过程中,应对外露钢筋、灌浆套筒分别采取包裹、封盖措施。
条文说明
6.2.5对外露钢筋、灌浆套筒分别采取包裹、封盖措施可保护外露钢筋、避免污染,并防止套筒内部进入杂物。
6.2.6 预制构件出厂前,应对灌浆套筒的灌浆孔和出浆孔进行透光检查,并清理灌浆套筒内的杂物。
条文说明
6.2.6透光
畅通性 检查和清理杂物可保证灌浆套筒内部通畅。
6.2.7预制构件出厂时,应将满足灌浆施工现场检验要求的灌浆套筒、接头连接钢筋一并运至施工现场。
条文说明
6.2.7根据本规程的有关规定,灌浆施工现场可能进行的检验
有工艺检验、不合格处理检验等,具体数量可根据合同约定。具 体为全灌浆套筒、已安装机械连接端钢筋的半灌浆套筒、检验用 接头连接钢筋。
6.2.8半灌浆套筒机械连接端的钢筋丝头应采用带锯、砂轮锯或带圆弧形刀片的专用钢筋切断机切平,钢筋丝头加工应使用水性切削液,螺纹加工质量应符合下列规定:
1钢筋丝头长度应满足产品设计要求,极限偏差应为 0~1.0p。
2钢筋丝头宜满足6f级精度要求,牙型角应与套筒螺纹牙型角一致。
3其余要求应符合现行行业标准《钢筋机械连接技术规程》JGJ 107的规定。
条文说明
6.2.8半灌浆套筒机械连接端的钢筋接头主要为直螺纹钢筋接头,其包括镦粗直螺纹钢筋接头、剥肋滚轧直螺纹钢筋接头、直接滚轧直螺纹钢筋接头。本规程第3.2.2条对接头性能的要求高于传统机械连接Ⅰ级接头要求,半灌浆套筒接头的机械连接端为达到此要求,机械连接端的丝头加工有必要在传统工艺基础上适当改进,特别是在螺纹接头的外露丝头和镦粗过渡段的截面变化区段。本条规定了切平钢筋端部的三种方法,有利于达到钢筋端面基本平直要求。
6.2.9半灌浆套筒机械连接端的接头安装可用管钳扳手拧紧,安装后应用扭矩扳手校核拧紧扭矩,校核用扭矩扳手的准确度级别可选用10级,最小拧紧扭矩值应符合表6.2.9的规定。
条文说明
6.2.9 为减少接头残余变形,表6.2.9规定了最小拧紧扭矩值。拧紧扭矩值对钢制直螺纹半灌浆套筒机械连接端钢筋接头的强度影响不大,但是对铸铁灌浆套筒,由于材料塑性指标较低,其拧紧扭矩不宜超过规定值较多,扭矩扳手精度要求允许采用最低等级10级。对于直径小于14mm的钢筋,也可通过工艺检验确定保证钢筋不产生扭曲的合理力矩值,且力矩值不应小于80N·m。

6.2.10半灌浆套筒机械连接端加工过程中,应按现行行业标准《钢筋机械连接技术规程》JGJ 107及本规程第6.2.8条、第 6.2.9条的规定对丝头加工质量及拧紧扭矩进行自查。
条文说明
6.2.10半灌浆套筒机械连接端加工检查记录主要包括钢筋丝头加工、拧紧扭矩的检查,检查数量按工作班确定,检查记录应留存并作为构件出厂质量证明文件的一部分。
6.3 安装与连接
6.3 安装与连接
6.3.1 灌浆 连接部位现浇混凝土施工过程中,应采取设置定位架等措施保证外露钢筋的位置、长度和 垂 顺 直度,并应避免污染钢筋。
条文说明
6.3.1采用套筒灌浆连接的混凝土结构往往是预制与后浇混凝土相结合,为保证后续灌浆施工质量,在连接部位的现浇混凝土施工过程中应采取设置定位架等措施保证外露钢筋的位置、长度和顺垂
直度,并避免污染钢筋。
6.3.2 预制构件吊装前,应检查构件的类型、 与 编号 、灌浆套筒内腔 。当灌浆套筒内有杂物时,应清理干净。
条文说明
6.3.2预制构件的吊装顺序应符合设计要求,故吊装前应检查构件的类型与
、 编号 、灌浆套筒内腔 。
6.3.3 预制构件就位前,应按下列规定检查现浇结构施工质量:
1 现浇结构与预制构件的结合面 的类型、尺寸、标高与粗糙度 应符合设计及现行行业标准《装配式混凝土结构技术规程》JGJ 1的有关规定 ,并应清理干净。 ;
2 现浇结构施工后外露连接钢筋的位置 与外露长度的 尺寸偏差 及检验方法 应符合表6.3.3的规定,超过允许偏差的应予以处理。 ;

3 外露连接钢筋的表面不应粘连混凝土、砂浆,不应发生锈蚀;
4 当外露连接钢筋倾斜时,应进行校正。
条文说明
6.3.3现浇结构的施工质量直接影响后续灌浆施工。本条提出了预制构件就位前对现浇结构施工质量的检查内容。 结合面质量包括类型及尺寸(粗糙面、键槽尺寸)。
、尺寸(粗糙面、键槽尺寸)、标高与粗糙度,其中标高与粗糙度是接缝处灌浆层或座浆层施工质量与受力性能的基本保证。现浇混凝土浇筑时应严格控制其标高,并避免二次处理。 外露连接钢筋的位置 、 与外露长度的 尺寸允许偏差是与本规程第6.2.4条协调后提出的,仍高于传统现浇结构的相关要求。外露连接钢筋的表面不应粘连混凝土、砂浆,可通过水洗予以清除;不应发生锈蚀,主要指表面严重锈斑,有次情况时应采取措施予以清除。
6.3.4 预制柱、墙安装前,应在预制构件及其支承构件间设置垫片,并应符合下列规定:
1 宜采用钢质垫片;
2 可通过垫片调整预制构件的底部标高,可通过 斜撑 在构件底部四角加塞垫片 调整构件安装的垂直度;
3 垫片处的混凝土局部受压应按下式进行验算:

式中:F l ——作用在垫片上的压力值,可取1.5倍构件自重;
A l ——垫片的承压面积,可取所有垫片的面积和;
f′ c ——预制构件安装时,预制构件及其支承构件的混凝土轴心抗压强度设计值较小值。
条文说明
6.3.4考虑到预制构件与其支承构件不平整,直接接触会出现集中受力的现象。设置垫片有利于均匀受力,也可在一定范围内调整构件的底部标高。对于灌浆套筒连接的预制构件,其垫片一般采用钢质垫片。 垫片处混凝土局部受压验算公式是参考现行国家标准《混凝土结构设计规范》GB50010中的素混凝土局部受压承载力计算公式提出的。在确定作用在垫板上的压力值时,考虑一定动力作用后取为自重的1.5倍。
6.3.5 灌浆施工方式 及构件安装 应符合设计及专项施工方案要求,并 应符合下列规定:
1 应根据施工条件、操作经验选择连通腔灌浆施工或坐浆法施工;高层建筑装配混凝土剪力墙宜采用连通腔灌浆施工,当有可靠经验时也可采用坐浆法施工 钢筋水平连接时,灌浆套筒应各自独立灌浆 ;
2 竖向构件宜采用连通腔灌浆 施工时 ,并应合理划分连通灌浆区域;每个区域除预留灌浆孔、出浆孔与排气孔外,应形成密闭空腔,不应漏浆;连通灌浆区域内任意两个灌浆套筒间距离不宜超过1.5m ,连通腔内预制构件底部与下方已完成结构上表面的最小间隙不得小于10mm。
3 竖向预制构件采用坐浆法施工时,应符合本规程附录C的规定 竖向预制构件不采用连通腔灌浆方式时,构件就位前应设置坐浆层 。
4 钢筋水平连接时,灌浆套筒应各自独立灌浆,并应采用封口装置使灌浆套筒端部密闭。
条文说明
6.3.5设计文件应给出灌浆施工方式建议。
预制构件安装前应 根据设计文件及专项施工方案要求 确定灌浆施工方式,并根据不同方式采取不同的施工措施。 坐浆法施工工艺主要用于低、多层建筑墙体及高层建筑装配式围护墙,当用于高层建筑时应具有可靠经验。
竖向构件采用连通腔灌浆时,连通灌浆区域为由一组灌浆套筒与安装就位后构件间空隙共同形成的一个封闭区域,除灌浆孔、出浆孔、排气孔外,应采用 密封件 本规程规定性能的封浆料 或 座浆料 其他可靠的封堵措施 封闭此灌浆区域。考虑灌浆施工的持续时间及可靠性,连通灌浆区域不宜过大,每个连通灌浆区域内任意两个灌浆套筒最大距离不宜超过1.5m。常规尺寸的预制柱多分为一个连通灌浆区域,而预制墙一般按1.5m范围划分连通灌浆区域。
竖向预制构件不采用连通腔灌浆方式时,为保证每个灌浆套筒独立可靠灌浆,构件就位前应设置坐浆层,坐浆材料的强度应满足设计要求。
本次局部修订进一步明确了坐浆法施工相关内容,具体见本规程附录C。
6.3.6 预制柱、墙的安装应符合下列规定:
1 临时固定措施的设置应符合现行国家标准《混凝土结构工程施工规范》GB 50666的有关规定;
2 采用连通腔灌浆方式时,灌浆施工前应对各连通灌浆区域 进行封堵 采用封浆料或其他可靠措施封堵;应确保连通灌浆区域、灌浆套筒、排气孔通畅。并应采取可靠措施避免封堵材料进入灌浆套筒、排气孔内;灌浆前应确认封堵效果能够满足灌浆压力需求,方可进行灌浆作业。
3 预制夹心保温外墙板的保温材料底部应采用珍珠棉、发泡橡塑或可压缩EVA等封堵材料密封。封堵材料嵌入连接接缝的深度宜为15mm~20mm,且不应超出灌浆套筒外壁。
4构件安装就位后,应由施工单位专职检验人员采用可靠方法检查灌浆套筒内的钢筋插入情况并记入质量检查记录。
条文说明
6.3.6本条提出了预制构件安装过程中临时固定措施、连通灌浆区域
封堵 及质量检查的有关 的要求。
采用连通腔灌浆方式时,应 采用本规程规定性能的封浆料对每个连通灌浆区域 对每个连通灌浆区域进行封堵,确保不漏浆。 封堵材料应符合设计及现行相关标准的要求。 当有其他措施可以保证封堵效果时,也可采用。
对于预制夹心保温外墙板的保温材料底部的封堵材料,当采用珍珠棉时,性能应符合现行行业标准《高发泡聚乙烯挤出片材》QB/T 2188的有关规定;其他材料应符合国家现行有关标准的规定。考虑到封堵效果,要求封堵材料应向连接接缝内伸入一定距离,本条提出了15mm~20mm的建议值,并要求封堵材料不得进入灌浆套筒内腔而影响灌浆。
保证灌浆套筒灌浆端插入钢筋是否可靠是套筒灌浆连接的基础,条文提出安装就位后应由施工单位专职检验人员检查灌浆套筒内的钢筋插入情况,具体可采用内窥镜或其他可靠方式。
6.3.7 预制梁和既有结构改造现浇部分的水平钢筋采用套筒灌浆连接时,施工措施应符合下列规定:
1 连接钢筋的外表面应标记插入灌浆套筒最小锚固长度的标志,标志位置应准确、颜色应清晰;
2 对灌浆套筒与钢筋之间的缝隙应采取防止灌浆时灌浆料拌合物外漏的封堵措施;
3 预制梁的水平连接钢筋轴线偏差不应大于5mm,超过允许偏差的应 进行 予以 处理;
4 与既有结构的水平钢筋相连接时,新连接钢筋的端部应设有保证连接钢筋同轴、稳固的装置;
5 灌浆套筒安装就位后,灌浆孔、出浆孔应在套筒水平轴正上方±45°的锥体范围内,并安装有孔口超过灌浆套筒外表面最高位置的连接管或连接头。
条文说明
6.3.7水平钢筋套筒灌浆连接主要用于预制梁和既有结构改造现浇部分。本条从连接钢筋标记、灌浆套筒封堵、预制梁水平连接钢筋偏差、灌浆孔与出浆孔位置等方面提出了施工措施要求。
6.3.7A 应根据气温情况测量灌浆施工环境温度与灌浆部位温度。 测温及常温型灌浆料、低温型灌浆料使用应符合下列规定:
1当日平均气温高于25℃时,应测量施工环境温度、灌浆料拌合物温度;当日最高气温低于10℃时,应测量施工环境温度、灌浆部位温度及灌浆料拌合物温度,其中施工环境温度、灌浆部位温度测量宜采用具有自动测量和存储的仪器。
2常温型灌浆料的使用应符合下列规定:
1)任何情况下灌浆料拌合物温度不应低于5℃,不宜高 于30℃;
2)当灌浆施工开始前的气温、施工环境温度低于5℃时, 应采取加热及封闭保温措施,宜确保从灌浆施工开始 24h内施工环境温度、灌浆部位温度不低于5℃,之后 宜继续封闭保温2d;
3)当灌浆施工过程的气温低于0℃时,不得采用常温型 灌浆料施工。
3低温型灌浆料、低温型封浆料的使用应符合本规程附录 B的规定,并应符合下列规定:
1)当连续3d的施工环境温度、灌浆部位温度的最高值均低于10℃时,可采用低温型灌浆料及低温型封浆料;
2)灌浆施工过程中的施工环境温度、灌浆部位温度不应高于10℃;
3)应采取封闭保温措施确保灌浆施工过程中施工环境温度不低于0℃,确保从灌浆施工开始24h内灌浆部位温度不低于-5℃,必要时应采取加热措施;
4)当连续3d平均气温大于5℃时,可换回常温型灌浆料及常温型封浆料。
条文说明
6.3.7A本条明确了常温型灌浆料、低温型灌浆料适用的温度范围及必要测温、施工措施。有关测温结果应记入施工记录。
常温型灌浆料、低温型灌浆料都有适用的温度范围。本条涉及的温度有气温、施工环境温度、灌浆部位温度、灌浆料拌合物温度等。气温主要用来衡量是否需要采取测温措施,施工环境温度、灌浆部位温度则是选择灌浆料及施工措施的依据。施工环境温度主要指灌浆现场施工部位环境温度,也包括灌浆料存放地温度。灌浆部位温度是指灌浆套筒内部空腔及竖向构件底部需填充灌浆料接缝内的温度。灌浆料拌合物温度的下限直接影响灌浆料强度是否能够快速提高,上限则影响施工性能。
低温是影响灌浆料选择、施工措施等的关键因素,本条要求日最高气温低于10℃时采用具有自动测量和存储功能的仪器测量施工环境温度及灌浆部位温度,并采用温度计测量灌浆料拌合物温度。如没有自动测量条件,则应至少6h量测1次并可靠记录。在气温较低时,无论采用常温型灌浆料还是低温型灌浆料施工,从灌浆施工开始应至少连续测温24h,间隔不宜大于2h,以确保掌握施工环境温度、灌浆部位温度变化规律。
当温度过高时,会造成灌浆料拌合物流动度降低并加快凝结硬化。气温可采用天气预报温度,也可采用现场测温。日平均气温高于25℃时应测量施工环境温度、灌浆料拌合物温度,二者温度用温度计测量即可。当灌浆施工准备、灌浆施工过程中的施工环境温度高于30℃时,应采取降低拌合用水温度甚至加冰水搅拌等措施,尽可能将灌浆料拌合物温度降低到30℃以下,并应保证不超过35℃。
当施工环境温度较低而需要保温加热时,应确保未拌合的灌浆料温度、灌浆设备温度符合施工环境温度要求。对于本条提出的常温型灌浆料、低温灌浆料施工最低温度要求,实践中要使最低温度控制有一定裕量,确保任何情况下不得突破。
常温型灌浆料的最低适用温度为5℃,故本条提出施工环境温度低于5℃时应采取加热及封闭保温措施,宜确保灌浆施工开始之后24h内的施工环境温度、灌浆部位温度符合要求,并建议之后继续封闭保温2d。考虑到施工操作性与可靠性,本规程规定灌浆施工过程的气温低于0℃时不得采用常温型,采取加热保温措施也不可以。
低温型灌浆料的最高适用温度为10℃,本条将连续3d的施工环境温度、灌浆部位温度的最高值均低于10℃作为其使用条件。实际工程中,常温型灌浆料、低温型灌浆料的适用日期可能存在交叉,建议施工单位提前确定采用低温型灌浆料的计划日期,在计划日期前30d左右完成低温型灌浆料进场,且在之前应完成接头工艺检验、灌浆料进场检验等检验。采用低温型灌浆料后,原则上不应在冬季再换回常温型灌浆料,以免造成混乱。换回常温型灌浆料的条件可按连续3d平均气温大于5℃控制,且 也应提前确定计划日期并做好有关材料进场、检验工作。
本条要求低温灌浆施工时应采取封闭保温措施,确保施工过程中施工环境温度不低于0℃,主要是为了保证低温型灌浆料的施工流动性与基本性能;灌浆施工开始24h内灌浆部位温度不低于-5℃则是对应低温型灌浆料的最低适用温度。
本条规定的“灌浆施工过程”包括灌浆料搅拌、灌浆准备与灌浆施工;“灌浆施工开始”为从开始灌浆开始,不包括灌浆料搅拌等准备工作。
6.3.8 灌浆料 、封浆料、座浆料 使用前,应检查产品包装上的有效期和产品外观 ,并 应符合下列规定:
1 拌合用水应符合现行行业标准《混凝土用水标准》JGJ 63的有关规定 。低温型灌浆料用水尚应符合本规程附录B 的有关规定。
2 加水量应按灌浆料 、封浆料、座浆料 使用说明书的要求确定,并应按重量计量;
3 灌浆料 、封浆料、座浆料 拌合物 宜采用强制性搅拌机 搅拌充分、均匀。 灌浆料 宜静置2min后使用;
4 搅拌完成后,不得再次加水;
5 每工作班应检查灌浆料拌合物初始流动度不少于1次, 常温型灌浆料 指标应符合本规程第3.1.3条的规定 ,低温型灌浆料的指标应符合本规程附录B的有关规定。
6 强度检验试件的留置数量应符合验收及施工控制要求。
条文说明
6.3.8本条规定了灌浆料、封浆料、座浆料
施工过程中的注意事项。用水量应按说明书规定比例确定,并按重量计量。用水量直接影响抗压强度等性能指标,用水应精确称量,并不得再次加水。灌浆料 、封浆料、座浆料 搅拌 应采用电动设备,即具备一定的搅拌力,不应手工搅拌 。 宜采用强制式搅拌机并按作业指导书规定的搅拌参数搅拌,无应用条件时可采用具备一定搅拌李的电动设备搅拌。 本条规定的 灌浆 浆料拌合物初始流动度检查为施工过程控制指标,应在现场温度条件下量测。
6.3.9 灌浆施工应按 专项 施工方案执行,并应符合下列规定:
1 灌浆操作全过程应有专职检验人员负责现场监督并及时形成施工检查记录; 宜采用压力、流量可调节的专用灌浆设备。施工前应按专项施工方案检查灌浆料搅拌设备、灌浆设备。
2 灌浆施工时,环境温度应符合灌浆料产品使用说明书要求;环境温度低于5℃时不宜施工,低于0℃时不得施工;当环境温度高于30℃时,应采取降低灌浆料拌合物温度的措施; 施工中应检查灌浆压力、灌浆速度。灌浆施工过程应合理控制灌浆速度,宜先快后慢。灌浆压力宜为0.2N/mm2~0.3N/mm2,且不宜大于0.4N/mm2,后期灌浆压力不宜大于0.2N/mm2。
3 对竖向钢筋套筒灌浆连接,灌浆作业应采用压浆法从灌浆套筒下灌浆孔注入,当灌浆料拌合物从构件其他灌浆孔、出浆孔 平稳 流出后应及时封堵;
4 竖向钢筋套筒灌浆连接采用连通腔灌浆时, 应 宜采用一点灌浆的方式;当一点灌浆遇到问题而需要改变灌浆点时,各灌浆套筒已封堵 的下部 灌浆孔、 上部 出浆孔 宜 重新打开,待灌浆料拌合物再次 平稳 流出后进行封堵;
5 对水平钢筋套筒灌浆连接,灌浆作业应采用压浆法从灌浆套筒灌浆孔注入,当灌浆套筒灌浆孔、出浆孔的连接管或连接头处的灌浆料拌合物均高于灌浆套筒外表面最高点时应停止灌浆,并 应 及时封堵灌浆孔、出浆孔;
6 灌浆料宜在加水后30min内用完;
7 散落的灌浆料拌合物不得二次使用;剩余的拌合物不得再次添加灌浆料、水后混合使用。
条文说明
6.3.9考虑到灌浆施工的重要性,并根据北京等地区的实际工程经验,要求应有专职检验人员负责现场监督并及时形成施工检查记录,施工检查记录包括可以证明灌浆施工质量的照片、录像资料。 灌浆料产品使用说明书均会规定灌浆施工的操作温度区间。常规情况下,本条规定的环境温度可为施工现场实测温度或当地天气预报的日平均温度。当在灌浆施工时的气温较低时,也可采取加热保温措施,使结构构件灌浆套筒内的温度达到产品使用书要求,此时可按此温度确定“环境温度”。 当环境温度过高时,会造成灌浆料拌合物流动度降低并加快凝结硬化,可采用降低水温甚至加冰块搅拌等措施。 压浆法灌浆有机械、手工两种常用方式,分别应采用专用机器、专用设备,具体的灌浆压力、灌浆速度可根据现场施工条件确定。
6.3.9灌浆压力与灌浆速度是影响灌浆质量的重要因素,本规程局部修订明确了灌浆压力的要求。由于机械式灌浆设备的工作压力存在压力显示脉动现象,本条规定的灌浆压力指设备工作压力显示值上限的平均值,而非瞬间指示值。根据工程经验灌浆速度开始时宜为5L/min,稳定后不宜大于3L/min。
竖向连接灌浆施工的封堵顺序及时间尤为重要。封堵时间应以出浆孔流出圆柱体灌浆料拌合物为准。采用连通腔灌浆时,宜以一个灌浆孔灌浆,其他灌浆孔、出浆孔流出的方式;但当灌浆中遇到问题,可更换另一个灌浆孔灌浆,此时各灌浆套筒已封闭 灌浆孔、 的下部灌浆孔、上部 出浆孔 宜 重新打开, 以防止已灌浆套筒内的灌浆料拌合物在更换灌浆孔过程中下落 ,待灌浆料拌合物再次 平稳 流出后再进行封堵。
水平连接灌浆施工的要点在于灌浆料拌合物的流动的最低点要高于灌浆套筒外表面最高点,此时可停止灌浆并及时封堵灌浆孔、出浆孔。
灌浆料拌合物的流动度指标随时间会逐渐下降,为保证灌浆施工,本条规定灌浆料宜在加水后30min内用完。灌浆料拌合物不得再次添加灌浆料、水后混合使用,超过规定时间后的灌浆料及使用剩余的灌浆料只能 废 弃。
6.3.9A 灌浆施工中,应采用方便观察且有补浆功能的器具,或其他可靠手段对钢筋套筒灌浆连接接头的灌浆饱满性进行监测,并将监测结果记入灌浆施工质量检查记录。
现浇与预制转换层应100%监测;其余楼层宜抽取不少于灌浆套筒总数的20%,且每个构件宜抽取不少于3个灌浆套筒,其中每个外墙构件宜抽取不少于5个灌浆套筒。
条文说明
6.3.9A本条强调灌浆饱满性的过程管控,建议施工单位在灌浆施工过程中采取可靠手段对钢筋套筒灌浆连接接头灌浆饱满性进行过程监测。当采用具有补浆功能的透明器具进行灌浆饱满性监测时,可将透明器具中的灌浆料留做实体强度检验的试件。每个构件少于3个或5个灌浆套筒时,执行本条规定时按全数抽取即可。对于监测中发现无法出浆或出现灌浆料拌合物液面下降等异常情况,应按本规程第6.3.10条的有关规定进行处理。
6.3.10 当灌浆施工出现无法出浆 或者灌浆料拌合物液面下降等异常 的情况时,应查明原因, 并应按下列规定采取措施 :
1 对 于 未 密实 饱满 及灌浆料拌合物液面下降的 的竖向连接灌浆套筒, 应及时进行补灌浆作业。 当在灌浆料加水拌合30min内时, 宜从原灌浆孔补灌; 应首选在灌浆孔补灌; 当 已灌注的 灌浆 料 拌合物已无法流动时,可从出浆孔补灌浆,并应采用手动设备结合细管压力灌浆;
2 当 水平钢筋连接灌浆施工停止后30s,当发现灌浆料拌合物下降 时 ,应检查灌浆套筒的密封或灌浆料拌合物排气情况,并及时补灌或采取其他措施;
3 补灌应在灌浆料拌合物达到设计规定的位置后停止,并应在灌浆料凝固后再次检查其位置是否符合设计要求。
条文说明
6.3.10灌浆过程中及灌浆施工后应在灌浆孔、出浆孔及时检查,其上表面没有达到规定位置、
灌浆料拌合物灌入量小于规定要求 ,或灌浆料拌合物液面下降等, 即可确定为灌浆不饱满。对灌浆施工中的问题,应及时发现、查明原因并采取措施。
对于灌浆套筒完全没有 完全 充满的情况,当在灌浆料加水拌合30min内,应首选在 原 灌浆孔补灌;当在30min外,灌浆料拌合物可能已无法流动,此时可从出浆孔补灌,应采用手动设备压力灌浆,并采用比出浆孔小的细管灌浆以保证排气。
对竖向连接灌浆施工,当灌浆料拌合物未凝固并具备条件时,宜将构件吊起后冲洗灌浆套筒、连接面与连接钢筋,并重新安装、灌浆。
6.3.11 灌浆料同条件养护试件抗压强度达到35N/mm 2 后,方可进行对接头有扰动的后续施工;临时固定措施的拆除应在灌浆料抗压强度能确保结构达到后续施工承载要求后进行。
条文说明
6.3.11灌浆料同条件养护试件应保存在构件周边,并采取适当的防护措施。当有可靠经验时,灌浆料抗压强度也可根据考虑环境温度因素的抗压强度增长曲线由经验确定。本条规定主要适用于后续施工可能对接头有扰动的情况,包括构件就位后立即进行灌浆作业的先灌浆工艺,及所有装配式框架柱的竖向钢筋连接。对先浇筑边缘构件与叠合楼板后浇层,后进行灌浆施工的装配式剪力墙结构,可不执行本条规定;但此种施工工艺无法再次吊起墙板,且拆除构件的代价很大,故应采取更加可靠的灌浆及质量检查措施。
6.3.12当采用连通腔灌浆施工时,构件安装就位后宜及时灌浆,不宜两层及以上集中灌浆;当两层及以上集中灌浆时,应经设计确认,专项施工方案应进行技术论证。
条文说明
6.3.12采用连通腔灌浆法施工时,多层集中灌浆可能影响构件底部接缝处的受力,且不利于质量控制与发现质量问题后的处理,本规程不建议采用。
7 验收
7 验 收
条文说明
针对套筒灌浆连接的技术特点,本章规定工程验收的前提是有效的接头
型式检验报告 、接头匹配检验报告、工艺检验报告, 且报告的内容与施工过程的各项材料一致(第7.0.2条 、第7.0.2A条、第7.0.2B条 ) ,并符合设计及专项施工方案要求。
对于装配式结构分项工程, 本规程规定的各项具体验收内容的顺序为:首先,灌浆套筒进厂(场)外观质量、标识和尺寸偏差检验(第7.0.3条);第二,灌浆料进场流动度、泌水率、抗压强度、膨胀率 及封浆料进场抗压强度 检验(第7.0.4条 、第7.0.4A条、第7.0.5条 ); 第三,接头工艺检验,应在第一批灌浆料进场检验合格后进行(第7.0.5条);第四,灌浆套筒进厂(场)接头力学性能检验,部分检验可与工艺检验合并进行(第7.0.6条);第五,预制构件进场验收(第7.0.8条);第六,灌浆施工中灌浆料抗压强度检验(第7.0.9条);第七,灌浆质量检验(第7.0.10条)。
第三,灌浆套筒进厂(场)接头力 学性能检验,部分检验可与工艺检验合并进行(第7.0.6条); 第四,预制构件进场验收(第7.0.8条);第五,灌浆施工中灌浆料抗压强度检验、接头抗拉强度检验(第7.0.9条、第 7.0.9A条、第7.0.9B条);第六,灌浆质量检验(第7.0.10条)。
以上 7 6 项为套筒灌浆连接施工的主要验收内容。对于装配式混凝土结构,当灌浆套筒埋入预制构件时,前 4 3 项检验应在预制构件生产前或生产过程中进行 (其中第7.0.4条规定的灌浆料进场为第一批 其中灌浆料进场为第一批 ),此时安装施工单位、监理单位应将部分监督及检验工作向前延伸到构件生产单位。 第3、4项检验的接头试件可在预制构件生产地点制作,也可在灌浆施工现场制作,并宜由现场灌浆施工单位(队伍)完成。如工艺检验的接头不是由现场灌浆施工单位(队伍)制作完成,则在现场灌浆前应再次进行一次工艺检验。
第7.0.1A条的首段验收规定、第7.0.9B条灌浆施工中接头抗拉强度检验规定、第7.0.12条子分部工程验收规定为本次局部修订增加内容,第7.0.11条不合格处理本次局部修订进行了较多增补。
座浆料的有关检验应符合本规程附录C的规定。
7.0.1 采用钢筋套筒灌浆连接的混凝土结构验收应符合现行国家标准《混凝土结构工程施工质量验收规范》GB 50204 、《装配式混凝土建筑技术标准》GB/T 51231 的有关规定, 钢筋套筒灌浆连接的各项验收 可划入装配式结构分项工程。
条文说明
7.0.1本章主要针对钢筋套筒灌浆连接施工涉及的主要技术环节提出了验收规定,采用钢筋套筒灌浆连接的混凝土结构验收应按国家现行有关规范的规定执行。根据现行国家标准《混凝土结构工程施工质量验收规范》GB50204、《装配式混凝土建筑技术标准》GB/T 51231
的有关规定,本章规定的各项验收内容可划入装配式结构分项工程进行验收;对于装配式混凝土结构之外的其他工程中应用钢筋套筒灌浆连接,也可根据工程实际情况划入钢筋分项工程验收。本节第7.0.2条~第7.0.10条按主控项目进行验收。
7.0.1A 同类型的首个施工段完成后,建设单位应组织设计、施工、监理单位进行验收,合格后方可进行后续施工。
条文说明
7.0.1A 本规程局部修订明确了现场施工首段验收制度,验收合格后方可继续施工。
7.0.2 工程应用套筒灌浆连接时,应由接头提供单位提交所有规格接头的有效型式检验报告。验收时应核查下列内容: 当灌浆套筒、灌浆料生产单位作为接头提供单位时,预制构件生产前、现场灌浆施工前,工程验收时均应按下列规定检查接头型式检验报告:
1 工程中应用的各种钢筋强度级别、直径对应的接头型式检验报告应齐全 、 , 合格;
2 型式检验报告送检单位 应符合本规程的规定 与现场接头提供单位应一致 ;
3 型式检验报告中的接头类型,灌浆套筒规格、级别、尺寸,灌浆料型号应与现场使用的产品应一致;
4 型式检验报告应在4年有效期内, 应 可 按灌浆套筒进厂(场)验收日期确定;
5 报告内容应包括本规程附录A规定的所有内容。
条文说明
7.0.2套筒灌浆连接工程应用时,如匹配使用生产单位提供的灌浆套筒与灌浆料,则可将接头提供单位的有效型式检验报告作为验收依据。对于未获得有效型式检验报告的灌浆套筒与灌浆料,不得用于工程,以免造成不必要的损失。 各种钢筋强度级别、直径对应的型式检验报告应齐全。变径接头可由接头提供单位提交专用型式检验报告,也可采用两种直径钢筋的同类型型式检验报告代替。 本条规定的接头提供单位为提供技术并销售灌浆套筒、灌浆料的单位。如由施工单位独立采购灌浆套筒、灌浆料进行工程应用,此时施工单位即为接头提供单位,施工前应按本规程要求完成所有型式检验。 施工中不得更换灌浆套筒、灌浆料,否则应重新进行接头型式检验及本章规定的灌浆套筒、灌浆料进场检验与工艺检验。 本条规定的核查内容在施工前及工程验收时均应进行。有效的型式检验报告可为接头提供单位盖章的报告复印件。
7.0.2A 当施工单位或构件生产单位作为接头提供单位时,预制构件生产前、现场灌浆施工前、工程验收时均应按下列规定检查接头匹配检验报告:
1工程中应用的各种钢筋强度级别、直径对应的接头匹配检验报告应齐全、合格。
2匹配检验报告送检单位应符合本规程的规定。
3匹配检验报告中的接头类型,灌浆套筒规格、级别、尺寸,灌浆料型号应与现场使用的产品一致。
4匹配检验报告应注明工程名称。
5报告日期应早于灌浆套筒进厂(场)验收日期;当灌浆施工中单独更换灌浆料时,报告日期应早于更换后的灌浆施工日期。
6报告内容应包括本规程附录A规定的所有内容。
条文说明
7.0.2、7.0.2A两条规定主要是针对本规程第6.1.1条的规定提出验收要求。
当灌浆套筒和(或)灌浆料生产单位作为接头提供单位时,应匹配使用接头提供单位供应的灌浆套筒与灌浆料,可将接头提供单位的有效接头型式检验报告作为验收依据。根据本规程第 5.0.3A条的有关规定,接头型式检验报告尚应附材料确认单。
当施工单位或构件生产单位作为接头提供单位时,此时应按 第6.1.1条的要求提供施工单位或构件生产单位送检的接头匹配检验报告。匹配检验应在灌浆套筒进厂(场)验收前完成,不得晚于构件生产前。
当灌浆施工中单独更换灌浆料时,应按本规程第6.1.1条的规定重新进行匹配检验,报告应在灌浆施工前完成。接头匹配检验报告应注明工程名称,报告对具体工程一次有效。如更换灌浆套筒、灌浆料或单独更换灌浆料,更换前后的有关检验报告均应齐全。
对于未获得有效接头型式检验报告(匹配检验报告)的灌浆套筒与灌浆料,不得用于工程,以免造成不必要的损失。
各种钢筋强度级别、直径对应的有效接头型式检验报告(匹配检验报告)应齐全。对于接头连接钢筋的强度等级低于灌浆套筒规定连接钢筋强度等级、变径接头情况应按本规程第6.1.1条 第5款的规定执行。
本条规定的检查内容在灌浆套筒、灌浆料、预制构件进场及工程验收时均应进行。有效的接头型式检验报告(匹配检验报告)应为接头提供单位盖章的报告复印件。
7.0.2B 预制构件生产前、现场灌浆施工前、工程验收时,应 按本规程第6.1.6条的规定检查接头工艺检验报告。
条文说明
7.0.2B 工艺检验是施工过程控制的要求,检验报告应在验收时检查,局部修订将接头工艺检验的内容挪入了本规程第
6.1.6条。
7.0.3 灌浆套筒进厂(场)时,应抽取灌浆套筒检验外观质量、标识和尺寸偏差,检验结果应符合现行行业标准《钢筋连接用灌浆套筒》JG/T 398及本规程第3.1.2条的有关规定。
检查数量:同一批号、同一类型、同一规格的灌浆套筒,不超过1000个为一批,每批随机抽取10个灌浆套筒。
检验方法:观察,尺量检查, 检查质量证明文件 。
条文说明
7.0.3考虑灌浆套筒大多预埋在预制混凝土构件中,故本条规定为构件生产企业进厂为主,
本条规定为构件生产单位进场为主, 施工现场进场为辅。同一批号按原材料、炉(批)号为划分依据。对 接头 型式检验报告 (匹配检验报告) 及企业标准中的 灌浆套筒设计锚固长度 小于插入钢筋直径8倍的情况,可采用 型式检验报告(匹配检验报告)及企业标准的实际 规定作为验收依据。 灌浆套筒的质量证明文件包括现行行业标准《钢筋连接用灌浆套筒》JG/T 398规定的产品合格证、质量证明书。
7.0.4 常温型 灌浆料进场时,应对 常温型 灌浆料拌合物30min流动度、泌水率及3d抗压强度、28d抗压强度、3h竖向膨胀率、24h与3h竖向膨胀率差值进行检验,检验结果应符合本规程第3.1.3条的有关规定。
检查数量:同一成分、同一批号的灌浆料,不超过50t为一批,每批 随机抽取不少于30kg,并按现行行业标准《钢筋链接用套筒灌浆料》J
G/T 408的有关规定制作试件,试件养护条件应符合本规程第5.0.4条第4款的规定 按现行行业标准《钢筋连接用套筒灌浆料》JG/T 408的有关规定随机抽取灌浆料制作试件。
检验方法:检查质量证明文件和抽样检验报告。
条文说明
7.0.4对装配式混凝土
结构,灌浆料主要在装配现场使用,但考虑在构件生产前要进行本规程 第7.0.5条 第6.1.6条 规定的接头工艺检验和第7.0.6条规定的接头抗拉强度检验,本条规定的灌浆料进场验收也应在构件生产前完成第一批;对于用量不超过50t的工程,则仅进行一次检验即可。 灌浆料的质量证明文件包括现行行业标准《钢筋连接用套筒灌浆料》JG/T 408规定的有关内容。
7.0.4A 常温型封浆料进场时,应对常温型封浆料的3d抗压强度、28d抗压强度进行检验,检验结果应符合本规程第3.1.4条的有关规定。
检查数量:同一成分、同一批号的封浆料,不超过50t为一批,每批随机抽取不少于30kg,并按现行国家标准《水泥胶砂强度检验方法(ISO法)》GB/T 17671的有关规定制作试件。常温型封浆料试件试件养护室温度应为20℃±2℃,相对湿度不应低于90%,养护水的温度应为20℃±1℃。
检验方法:检查质量证明文件和抽样检验报告。
条文说明
7.0.4A 封浆料的强度试件制作与养护方式与灌浆料相同。
7.0.5低温型灌浆料、低温型封浆料进场时,其性能检验应符合本规程附录B的规定。
7.0.5 灌浆施工前,应对不同钢筋生产企业的进场钢筋进行接头工艺检验;施工过程中,当更换钢筋生产企业,或同生产企业生产的钢筋外形尺寸与已完成工艺检验的钢筋有较大差异时,应再次进行工艺检验。接头工艺检验应符合下列规定:
1 灌浆套筒埋入预制构件时,工艺检验应在预制构件生产前进行;当现场灌浆施工单位与工艺检验时的灌浆单位不同,灌浆前应再次进行工艺检验;
2 工艺检验应模拟施工条件制作接头试件,并应按接头提供单位提供的施工操作要求进行;
3 每种规格钢筋应制作3个对中套筒灌浆连接接头,并应检查灌浆质量;
4 采用灌浆料拌合物制作的40mm×40mm×160mm试件不应少于1组;
5 接头试件及灌浆料试件应在标准养护条件下养护28d;
6 每个接头试件的抗拉强度、屈服强度应符合本规程第3.2.2条、第3.2.3条的规定,3个接头试件残余变形的平均值应符合本规程表3.2.6的规定;灌浆料抗压强度应符合本规程第3.1.3条规定的28d强度要求;
7 接头试件在量测残余变形后可再进行抗拉强度试验,并应按现行行业标准《钢筋机械连接技术规程》JGJ 107规定的钢筋机械连接型式检验单向拉伸加载制度进行试验;
8 第一次工艺检验中1个试件抗拉强度或3个试件的残余变形平均值不合格时,可再抽3个试件进行复检,复检仍不合格判为工艺检验不合格;
9 工艺检验应由专业检测机构进行,并应按本规程附录A第A.0.2条规定的格式出具检验报告。
条文说明
7.0.5不同企业生产钢筋的外形有所不同,可能会影响接头性能,故应分别进行工艺检验。
灌浆套筒埋入预制构件时,应在构件生产前通过工艺检验确定现场灌浆施工的可行性,以便于通过检验发现问题;工艺检验接头制作宜选择与现场灌浆施工相同的灌浆单位(队伍),如二者不同,施工现场灌浆前应再次进行工艺检验。
工艺检验应完全模拟现场施工条件,并通过工艺检验摸索灌浆料拌合物搅拌、灌浆速度等技术参数。
根据行业标准《钢筋机械连接技术规程》JGJ107的有关规定,工艺检验接头残余变形的仪表布置、量测标距和加载速度同型式检验要求。工艺检验中,按相关加载制度进行接头残余变形检验时,可采用不大于0.012Asfstk的拉力作为名义上的零荷载,其中As为钢筋面积,fstk为钢筋抗拉强度标准值。
应按本规程附录A所给出的接头试件工艺检验报告出具检验报告,并应包括评定结论。检验报告中的内容应符合附录表A.0.2的规定,不能漏项,但表格形式可改变。
7.0.5工艺检验的内容已挪入本规程第6.1.6条。工艺检验报告的检查见本规程第7.0.2B条。
7.0.6 灌浆套筒进厂(场)时,应抽取灌浆套筒并采用与之匹配的灌浆料制作对中连接接头试件,并进行抗拉强度检验,检验 结果均应符合本规程 第3.2.2A条 的有关规定。
检查数量:同一批号、同一类型、同一规格的灌浆套筒,不超过1000个为一批,每批随机抽取3个灌浆套筒制作对中连接接头试件。
检验方法:检查质量证明文件和抽样检验报告。
条文说明
7.0.6本条是检验灌浆套筒质量及接头质量的关键检验,涉及结构安全,故予以强制。
对于埋入预制构件的灌浆套筒,无法在灌浆施工现场截取接头试件,本条规定的检验应在构件生产过程中进行,预制构件混凝土浇筑前应确认接头试件检验合格;此种情况下,在灌浆施工过程中可不再检验接头性能,按本规程第7.0.9条按批检验灌浆料28d抗压强度即可。 对于不埋入预制构件的灌浆套筒,可在灌浆施工过程中制作平行加工试件,构件混凝土浇筑前应确认接头试件检验合格;为考虑施工周期,宜适当提前制作平行加工试件并完成检验。
本条检验头制作可使用常温型灌浆料,且灌浆料应与工程 中实际应用的灌浆料相同,检验报告中应注明灌浆料品牌与型 号。根据本规程第6.1.1条要求,对通过本条检验并已在工程中(预制构件制作中)使用的灌浆套筒,如在现场灌浆施工中再更换灌浆料,应按本条规定重做检验,检验应在监理单位(建设单 位)、第三方检测单位代表见证下制作试件。
第一批检验可与 第7.0.5条 本规程第6.1.6条 规定的工艺检验合并进行,工艺检验合格后可免除此批灌浆套筒的接头抽检。
本条规定检验的接头试件制作、养护及试验方法应符合本规程第7.0.7条的规定,合格判断以接头力学性能检验报告为准,所有试件的检验结果均应符合本规程 第3.2.2A条 的有关规定。 灌浆套筒质量证明文件包括产品合格证、产品说明书、出厂检验报告(含材料性能合格报告)。
考虑到套筒灌浆连接接头试件需要 按本规程规定的养护条件 养护28d,本条未对复检作出规定,即应一次检验合格。 为方便接头力学性能不合格时的处理,可根据工程情况留置灌浆料抗压强度试件,并与接头试件同样养护;如接头力学性能合格,灌浆料试件可不进行试验。
制作对中连接接头试件应采用工程中实际应用的钢筋,且应在钢筋进场检验合格后进行。对于断于钢筋而抗拉强度小于连接钢筋抗拉强度标准值的接头试件,不应判为不合格,应核查该批钢筋质量、加载过程是否存在问题,并按本条规定再次制作3个对中连接接头试件并重新检验。
7.0.7 本规程第7.0.6条规定的抗拉强度检验接头试件应模拟施工条件并按 专项 施工方案制作。 常温型灌浆连接 接头试件应在 本规程第5.0.4条第4款规定的 条件下养护28d。 低温型灌浆连接接头试件的养护应符合本规程附录B 的有关规定。 接头试件的抗拉强度试验应采用零到破坏或零到连接钢筋抗拉 强度 标准值1.15倍的一次加载制度,并应符合现行行业标准《钢筋机械连接技术规程》JGJ 107的有关规定。
条文说明
7.0.7本条规定了套筒灌浆连接接头试件制作方法、养护方法及试验加载制度。根据行业标准《钢筋机械连接技术规程》JGJ107的有关规定,按批抽取接头试件的抗拉强度试验应采用零到破坏的一次加载制度,根据本规程第3.2.5条的相关规定,本条提出一次加载制度应为零到破坏或零到连接钢筋抗拉荷载标准值1.15倍两种情况。
7.0.8 预制混凝土构件进场验收应按现行国家标准《混凝土结构工程施工质量验收规范》GB 50204的有关规定进行, 并应按 下列规定对埋入灌浆套筒的预制构件进行检验:
1灌浆套筒的位置及外露钢筋位置、长度允许偏差应符合 本规程表6.2.4的规定;
2灌浆套筒内腔内不应有水泥浆或其他异物,外露连接钢筋表面不应粘连混凝土、砂浆;
3构件表面灌浆孔、出浆孔、排气孔的数量、孔径尺寸应符合设计要求;
4与灌浆套筒连接的灌浆管、出浆管及排气管应全长范围通畅,最狭窄处尺寸不应小于9mm;
检查数量:不超过100个同类型预制构件为一批,每批随机抽取20%,且不少于5件预制构件;
检查方法:观察,尺量检查;灌浆管、出浆管、排气管通畅性检查可使用专用器具。
条文说明
7.0.8根据国家标准《混凝土结构工程施工质量验收规范》GB50204的有关规定,预制混凝土构件进场验收的主要项目为检查质量证明文件、外观质量、标识、尺寸偏差等。质量证明文件主要包括产品合格证明书、混凝土强度检验报告及其他重要检验报告等;如灌浆套筒进场检验、接头工艺检验在预制构件生产单位完成,质量证明文件尚应包括这些项目的合格报告。对于埋入灌浆套筒的预制构件,外观质量、尺寸偏差检查应包括钢筋位置与尺寸、灌浆套筒内杂物等项目。
本次局部修订增补了针对埋入灌浆套筒的预制构件的检验项目。
7.0.9 灌浆施工中, 常温型 灌浆料的28d抗压强度应符合本规程第3.1.3条的有关规定。用于检验抗压强度的灌浆料试件应在施工现场制作。
检查数量:每工作班取样不得少于1次,每楼层取样不得少于3次。每次抽取1组40mm×40mm×160mm的试件, 按本规程第5.0.4条第4款规定的条件 养护28d后进行抗压强度试验。
检验方法:检查施工记录及抗压强度试验报告。
条文说明
7.0.9灌浆料强度是影响接头受力性能的关键。本规程规定的灌浆施工过程质量控制的最主要方式就是检验灌浆料抗压强度和灌浆施工质量。本条规定是在第7.0.4条规定的常温型
灌浆料按批进场检验合格基础上提出的,要求按工作班进行,且每楼层取样不得少于3次。
7.0.9A 灌浆施工中,低温型灌浆料28d抗压强度的检验应符合本规程附录B的有关规定。
7.0.9B 灌浆施工中,应采用实际应用的灌浆套筒、灌浆料制作平行加工对中连接接头试件,进行抗拉强度检验,检验结果均 应符合本规程第3.2.2A条的有关规定。
检查数量:不超过四个楼层的同一批号、同一类型、同一强度等级、同一规格的接头试件,不超过1000个为一批,每批制作3个对中连接接头试件。所有接头试件都应在监理单位或者建设单位的见证下由现场灌浆人员随施工进度平行制作,不得提前制作。
检验方法:检查抽样检验报告。
条文说明
7.0.9B为加强套筒灌浆连接施工的质量控制,增加现场灌浆平行加工接头试件的检验。预制构件运至现场时,应按本规程第
6.2.7条的规定携带足够数量的全灌浆套筒或半灌浆套筒半成品,半灌浆套筒的机械连接端钢筋应在构件生产单位完成连接加工。现场所有接头试件都应在监理单位或建设单位见证下由现场灌浆工随施工进度平行制作,应杜绝提前加工接头试件的情况发生。接头试件的制作地点宜为灌浆楼层的作业面,也可为施工现场的其他地点。
本条规定检验的接头试件制作、养护及试验方法应符合本规 程第7.0.7条的规定,合格判断以接头力学性能检验报告为准,所有试件的检验结果均应符合本规程第3.2.2A条的有关规定。本条未对复检作出规定,即应一次检验合格。
对接头试件抗拉强度不合格的处理,见本规程第7.0.11条。
7.0.10 灌浆 施工过程中 应密实饱满 ,所有出浆口均应 平稳连续 出浆; 灌浆完成后灌浆套筒内灌浆料应密实饱满,并应进行灌浆饱满性实体检验。
检查数量: 外观 全数检查 。对灌浆饱满性进行实体抽检,现浇与预制转换层应抽取预制构件数不少于5件且不少于15个灌浆套筒,每个灌浆套筒检查1个点;其他楼层如施工记录、灌浆施工质量检查记录、影像资料齐全并可证明施工质量,且100%灌浆套筒已按本规程第6.3.9A条的规定进行监测,可不进行灌浆饱满性实体抽检。
检验方法:观察;检查施工记录、 灌浆施工质量检查记录、影像资料;灌浆饱满性实体检验可采用局部钻孔后内窥方式或其他可靠方法。
条文说明
7.0.10灌浆质量是钢筋套筒灌浆连接施工的决定性因素。灌浆施工应符合本规程第6.3节的有关规定,并通过检查灌浆施工记录进行验收。
观察及检查施工记录、灌浆施工质量检查记录、影像资料进行验收。对于现浇与预制转换层,存在质量隐患的可能性较大,故规定采用局部钻孔后内窥方式进行灌浆饱满性实体抽检,钻孔的部位可为出浆孔或套筒壁,检验可由监理单位组织 施工单位实施;灌浆饱满性实体检验也可采用其他可靠方法,具体实施单位根据检验方法需要确定。
对于其他楼层,如施工记录、灌浆施工质量检查记录、影像资料齐全并可证明施工质量,且灌浆套筒100%按本规程第 6.3.9A条采用方便观察且有补浆功能的器具或其他可靠手段对灌浆饱满性进行监测,可不进行实体抽检,否则应参照转换层要求进行抽检。
当灌浆饱满性检验结果为不饱满时,应进行灌浆饱满度检测,为灌浆不饱满的处理方案提供依据。
7.0.11 当施工过程中灌浆料抗压强度、 灌浆接头抗拉强度、灌浆饱满性、灌浆套筒内钢筋插入长度 不符合要求时,应 按下列规 定进行处理:
1对于灌浆饱满性不符合要求的情况,经返工、返修的应 重新进行验收;当无法返工、返修时,可委托法定检测单位按实 际灌浆饱满度制作接头试件,并按型式检验要求检验。如检验结 果符合本规程第5.0.7条第1款、第2款要求,可予以验收;如 不符合,可按灌浆接头性能不合格进行处理。
2对于灌浆套筒内钢筋插入长度不符合要求的情况,可委 托法定检测单位按钢筋实际插入长度制作接头试件按型式检验要 求检验。如检验结果符合本规程第5.0.7条第1款、第2款要求,可予以验收;如不符合,可按灌浆接头性能不合格进行处理。
3对于灌浆料抗压强度不合格的情况,当满足灌浆料强度实体检验条件时,可委托法定检测单位进行灌浆料实体强度检验。当实体强度检验结果符合设计要求时,可予以验收;如不符 合,可按本条第4款进行处理。
4对于灌浆料抗压强度不合格的情况,可委托法定检测单位按灌浆料实际抗压强度制作接头试件按型式检验要求检验。如检验结果符合本规程第5.0.7条第1款、第2款要求,可予以验收;如不符合,可按灌浆接头性能不合格进行处理。
5对于灌浆接头性能不合格的情况,可根据实际抗拉强度和变形性能,由设计单位进行核算。当经核算并确认仍可满足结构安全和使用功能时,可予以验收;当核算不合格,经返修或加固处理能够满足结构可靠性要求时,应按国家现行工程建设标准的规定进行检测,根据处理文件和协商文件进行验收。
6当无法进行处理时,应切除或拆除构件,重新安装构件并灌浆施工,也可采用现浇的方式重新完成构件施工。
检查数量:全数检查。
检验方法:检查处理记录。
条文说明
7.0.11灌浆施工质量直接影响套筒灌浆连接接头受力,当施工过程中灌浆料抗压强度、灌浆接头抗拉强度、灌浆饱满性、灌浆套筒内钢筋插入长度不符合要求时,可按本条规定进行处理。本条规定是根据国家标准《建筑工程施工质量验收统一标准》GB50300-2013第5.0.6条、《混凝土结构工程施工质量验收规范》GB 50204-2015第10.2.2条对施工质量不符合要求的有关处理规定提出的。
对灌浆料试块抗压强度不合格的情况,如按本规程第 6.3.9A条采用具有补浆功能的透明器具进行灌浆饱满性监测,并可靠留置了透明器具中的灌浆料,则可对留置透明管中的灌浆料取样进行抗压强度试验;还可在结构实体上钻取灌浆管、出浆管中的灌浆料圆柱体试件进行抗压强度试验,根据实体强度检测结果确定下一步的处理方案。
灌浆质量不符合要求时,可采取试验检验、设计核算等方式处理。技术处理方案应由施工单位提出,经监理、设计单位认可后进行。
对于无法处理的灌浆质量问题,应切除或拆除构件,并保留连接钢筋,重新安装新构件并灌浆施工。
7.0.12 混凝土结构子分部工程施工质量验收时,除应符合现行 国家标准《混凝土结构工程施工质量验收规范》GB 50204的有关规定,尚应提供下列文件和记录:
1接头型式检验报告、匹配检验报告、工艺检验报告;
2灌浆料质量证明文件、进场检验报告和施工中灌浆料抗压强度检验报告;
3灌浆套筒质量证明文件、进场外观检验报告、进场接头力学性能检验报告、施工中接头力学性能检验报告;
4预制构件质量证明文件与进场检验报告;
5施工记录、灌浆施工质量检查记录、影像资料;
6灌浆完成后灌浆套筒内灌浆料饱满性检验报告。
附录A接头试件检验报告
附录A 接头试件检验报告
条文说明
本附录给出了钢筋套筒灌浆连接接头试件型式检验报告、匹配检验报告、
工艺检验报告的表格样式,实际检验报告的内容应符合本附录的 规定 ,不能漏项,但表格形式可改变。
型式检验报告( 匹配检验报告 )的基本参数表中:每10kg灌浆料加水量(kg)填写接头试件制作的实际值; 试验时 灌浆料抗压强度合格要求应按本规程第5.0.5条的规定确定,一般情况为80N/mm2~95N/mm2。
工艺检验报告中灌浆料抗压强度28d合格指标应按本规程第3.1.3条的规定确定,一般情况为85N/mm2。
接头试件拉伸试验的破坏形式可分钢筋拉断、灌浆套筒破坏、钢筋与灌浆套筒拉脱等情况,型式检验、工艺检验中只有钢筋拉断为合格,其他均为不合格。
本次局部修订增加了连接件示意图或照片的详细要求,应体现灌浆套筒内部实际凹凸构造。
本次局部修订增加了送检试件用灌浆套筒标识的要求,应规范填写送检试件所采用的套筒标识。
A.0.1 接头试件型式检验报告 、匹配检验报告 应包括基本参数和试验结果两部分,并应按表A.0.1-1~表A.0.1-3的格式记录。








A.0.2 接头试件工艺检验报告应按表A.0.2的格式记录。

本规程用词说明
本规程用词说明
1 为便于在执行本规程条文时区别对待,对要求严格程度不同的用词说明如下:
1)表示很严格,非这样做不可的:
正面词采用“必须”,反面词采用“严禁”;
2)表示严格,在正常情况下均应这样做的:
正面词采用“应”,反面词采用“不应”或“不得”;
3)表示允许稍有选择,在条件许可时首先这样做的:
正面词采用“宜”,反面词采用“不宜”;
4)表示有选择,在一定条件下可以这样做的,可采用“可”。
2 条文中指明应按其他有关标准执行的写法为:“应符合……的规定”或“应按……执行”。
引用标准名录
引用标准名录
1《混凝土结构设计规范》GB 50010
2 《建筑抗震设计规范》GB 50011
3 《普通混凝土拌合物性能试验方法标准》GB/T 50080
4 《混凝土结构工程施工质量验收规范》GB 50204
5《混凝土结构工程施工规范》GB 50666
6《装配式混凝土建筑技术标准》GB/T 51231
7 《钢筋混凝土用钢 第2部分:热轧带肋钢筋》GB /T 1499.2
8 《混凝土外加剂匀质性试验方法》GB/T 8077
9《钢筋混凝土用余热处理钢筋》GB 13014
10 《水泥胶砂强度检验方法(ISO法)》GB/T 17671
11《装配式混凝土结构技术规程》JGJ 1
12 《混凝土用水标准》JGJ 63
13 《建筑砂浆基本性能试验方法》JGJ/T 70
14 《钢筋机械连接技术规程》JGJ 107
15《钢筋连接用灌浆套筒》JG/T 398
16 《钢筋连接用套筒灌浆料》JG/T 408
自2022年4月1日起废止的条文

附录B 低温条件下套筒灌浆连接
附录B低温条件下套筒灌浆连接
::: details 条文说明 本附录规定了低温条件下套筒灌浆连接的相关技术要求,由于低温条件下灌浆施工的特殊性,灌浆施工采用低温型灌浆料、低温型封浆料,对于低温型灌浆料、封浆料及接头试件,提出了由低温条件(或同条件养护条件)转入标准养护条件养护的具体要求,其中标准养护条件应符合本规程第5.0.4条第4款的规定。低温条件及由低温条件(或同条件养护条件)转入标准养护的时间要求见各条文规定。 :::
B.0.1采用低温型灌浆料时,接头提供单位应为灌浆套筒、灌浆料生产单位。接头提供单位应同时提供常温型灌浆料、低温型灌浆料,并按本规程的有关规定提供常温型灌浆料、低温型灌浆料接头型式检验报告。
条文说明
B.0.1考虑到低温灌浆施工的复杂性与国内目前产品开发、工程应用实际情况,规程要求由灌浆套筒和(或)灌浆料生产单位作为接头提供单位,并按本规程第5章、第6.1.1条的有关规定提供型式检验报告。常温型灌浆料、低温型灌浆料应由同一单位提供。不允许施工单位作为接头提供单位,故本条未对匹配检验作出规定。
B.0.2低温条件下灌浆专项施工方案应包括时间安排与原材料准备计划、测温措施、试验与检验计划、防风保温与加热升温措施、灌浆料搅拌和使用注意事项、应急预案等内容。专项施工方案应进行技术论证。
条文说明
B.0.2低温条件下灌浆施工应编制可靠的专项施工方案,并经技术论证后实施。专项施工方案编制应以可靠的研发为基础,应充分考虑实施后能够确保施工环境温度、灌浆部位温度符合本规程第6.3.7A条的有关规定,以确保灌浆料性能符合产品设计要求。施工措施要保证有一定裕量,并充分考虑突然降温、突然升温等不利条件。
B.0.3低温型灌浆料性能及试验方法应符合现行行业标准《钢筋连接用套筒灌浆料》JG/T 408的有关规定,并应符合下列规定:
1低温型灌浆料抗压强度应符合表B.0.3-1的要求,且不应低于接头设计要求的灌浆料抗压强度;低温型灌浆料抗压强度试件应按40mm×40mm×160mm尺寸制作,其加水量应按低温型灌浆料产品说明书确定,试模材质应为钢质。
2低温型灌浆料竖向膨胀率应符合表B.0.3-2的要求。
3低温型灌浆料拌合物的工作性能应符合表B.0.3-3的要求,泌水率试验方法应符合现行国家标准《普通混凝土拌合物性能试验方法标准》GB/T 50080的规定。
条文说明
B.0.3本条规定的检验指标中,低温型灌浆料拌合物-5℃和8℃的30min流动度、泌水率及—1d抗压强度、—3d抗压强度、-7d+21d抗压强度、3h竖向膨胀率、24h与3h竖向膨胀率差值为本规程第B.0.9条规定的低温型灌浆料进场检验项目。-5℃和8℃的初始流动度指标要求相同,可按此作为本规程第6.3.8条规定的施工过程检查指标要求。


B.0.4低温型封浆料的抗压强度应符合表B.0.4的要求,且不应低于被连接构件的混凝土强度等级值,抗压强度试验方法应符合现行国家标准《水泥胶砂强度检验方法(ISO)》GB/T 17671的规定;低温型封浆料抗压强度试件应按40mm×40mm×160mm尺寸制作,其加水量应按低温型封浆料产品说明书确定,试模材质应为钢质。
条文说明
B.0.4本条规定的检验指标主要为本规程第B.0.10条规定的低温型封浆料进场检验项目。

B.0.5非同条件低温型灌浆料、封浆料及接头试件制作环境温度应为-5℃±2℃,养护应采用由低温条件转入标准养护条件的 两阶段养护。低温条件养护温度应为-5℃±1℃,标准养护条件 应符合本规程第5.0.4条第4款、第7.0.4A条的规定。各类试件由-5℃±1℃环境或同条件环境转入标准养护条件时,温升速率不宜超过5℃/h。
条文说明
B.0.5本条规定的制作环境温度主要适用于非同条件低温型灌浆料、封浆料及接头试件的制作,低温条件转入标准养护的时间由具体条文规定。本条的规定主要适用于本规程第B.0.6条、第B.0.7条、第B.0.9条、第B.0.10条,并为第B.0.11条、第B.0.12条参考。
B.0.6接头型式检验除应符合本规程第5章的有关规定外,低温型灌浆料及接头试件的制作、养护条件应符合本规程第B.0.5条的规定,并应在-5℃±1℃的环境下养护7d后转标准养护21d。
条文说明
B.0.6本条规定的低温型接头试件进行型式检验试验时,低温型灌浆料的抗压强度应满足本规程第5.0.5条规定,否则为无效检验。同样,本条也会通过测定试验时低温型灌浆料抗压强度来规定型式检验的时间。
B.0.7低温型灌浆料施工前应完成接头工艺检验。接头工艺检 验除应符合本规程第6.1.6条的规定外,低温型灌浆料及接头试件的制作、养护条件还应符合规程第B.0.5条的规定,并应在-5℃±1℃的环境下养护7d后转标准养护21d。
条文说明
B.0.7采用低温型灌浆料时,根据本规程第6.1.6条的有关规定,接头工艺检验应在预计低温灌浆施工前30d完成。
B.0.8低温型灌浆料拌合用水的温度不应高于10℃。
条文说明
B.0.8低温型灌浆料往往采用早强水泥材料(高贝利特硫铝酸盐水泥、硫铝酸盐水泥、高铝水泥)或掺有复合早强剂的硅酸盐水泥等进行配制,拌合物流动度经时变化对温度比较敏感。通过对低温型灌浆料在不同温度条件下的性能测试表明,温度15℃时,灌浆料拌合物30min流动度不能满足本规程的要求。根据研究结果和工程经验,本规程推荐低温型灌浆料在制作一5℃抗压强度试块时采用0℃水拌合,在测试8℃初始和30min流动度时采用10℃水拌合。如产品性能尚不能满足以上试验条件时,也可按照产品使用说明书相关要求选择本条款规定温度范围内的水进行拌合,并在实验报告中记录有关项目检测试样灌浆料拌合采用的拌合水温度。
B.0.9低温型灌浆料进场时,应对低温型灌浆料拌合物-5℃和8℃的30min流动度、泌水率及—1d抗压强度、一3d抗压强度、-7d+21d抗压强度、3h竖向膨胀率、24h与3h竖向膨胀率差值进行检验,检验结果应符合本规程第B.0.3条的有关规定。
检查数量:同一成分、同一批号的灌浆料,不超过50t为一批,每批随机抽取不少于30kg,按本附录及现行行业标准《钢筋连接用套筒灌浆料》JG/T 408的有关规定制作试件,并按本 规程第B.0.5条规定的条件进行养护。
检验方法:检查质量证明文件和抽样检验报告。
B.0.10低温型封浆料进场时,应对低温型封浆料的一1d抗压强度、一3d抗压强度、一3d+25d抗压强度进行检验,检验结果应符合本规程第B.0.4条的规定。
检查数量:按本附录及现行行业标准《钢筋连接用套筒灌浆料》JG/T 408有关规定制作试件,同一成分、同一批号的封浆料,不超过50t为一批,每批随机抽取不少于30kg,试件尺寸为40mm×40mm×160mm,并按本规程第B.0.5条规定的条件 进行养护。
检验方法:检查质量证明文件和抽样检验报告。
B.0.11低温灌浆施工中,低温型灌浆料的28d抗压强度应符 合本规程第B.0.3条的有关规定。用于检验抗压强度的低温型灌浆料试件应在施工现场制作。
检查数量:每工作班取样不得少于1次,每楼层取样不得少于3次。每次抽取1组40mm×40mm×160mm的试件,同条件养护7d并转标准养护21d后进行抗压强度试验。
检验方法:检查灌浆施工记录及抗压强度试验报告。
B.0.12灌浆施工中应按本规程的规定进行接头抗拉强度检验,其用于抗拉强度检验的低温型套筒灌浆连接接头试件应在施工现场制作,同条件养护7d并转标准养护21d后进行抗拉强度试验。
条文说明
B.0.11、B.0.12两条规定主要是为加强低温条件下套筒灌浆连接施工的质量控制,提出灌浆施工现场低温型灌浆料与灌浆连接接头性能的检验要求,其用于检验的低温型灌浆料试件与连接接头试件应在施工现场制作。现场施工留置试件的养护条件与常温型灌浆料不同,要求同条件养护7d后再转入标准养护21d,低温型灌浆料、低温型灌浆料接头的试件应保存在灌浆作业环境内,靠近接头位置,确保试件养护温度与施工现场温度相当。标准养护的条件应符合本规程第B.0.5条的规定。
B.0.13低温型灌浆料同条件养护试件抗压强度达到35N/mm²后,方可进行对接头有扰动的后续施工;临时固定措施的拆除应在低温型灌浆料抗压强度能保证结构达到后续施工承载要求后进行。
条文说明
B.0.13低温型灌浆料同条件养护试件应保存在构件周边,并确保试件养护温度与施工现场温度相当。本条规定的后续施工可能对接头有扰动的情况与本规程第6.3.11条一致。
B.0.14现浇与预制转换层不得采用低温型灌浆料进行灌浆施工。
条文说明
B.0.14考虑到现浇与预制转换层灌浆施工困难,难以保证低温型灌浆料的温度要求,施工单位应提前做好施工部署,现浇与预制转换层应避开冬季施工,不得采用低温型灌浆料进行灌浆施工。
附录C 套筒灌浆连接坐浆法施工
附录C 套筒灌浆连接坐浆法施工
C.0.1钢筋套筒灌浆连接坐浆法专项施工方案应进行技术论证。
条文说明
C.0.1 钢筋套筒灌浆连接采用坐浆法施工应编制可靠的专项施工方案,并经技术论证后实施。
C.0.2坐浆施工工艺模拟示范应符合下列规定:
1宜选择实际工程构件,也可按1:1比例单独制作模拟构 件,数量不应少于3件;
2应按实际施工工艺进行安装,构件安装就位后构件底部侧边应有座浆料连续溢出;
3构件安装完成后30min内松开斜撑并重新起吊构件,用200mm×200mm的百格网检查座浆料与构件接触面的砂浆饱满度,检查部位不少于3处,每处饱满度不应小于80%;
4对于实体构件,检查后应对座浆料进行清理,并重新进行正式施工。
条文说明
C.0.2本条是对坐浆法施工工艺培训的细化要求。坐浆法施工应加强培训和工艺检验管理,以保证工程质量。 坐浆法施工的核心是接缝处座浆料的饱满,判断标准为构件底部侧边的浆料是否连续溢出,以及重新提起构件后构件与座浆料接触面的饱满性。本条提出将实体构件安装检查作为工艺培训的内容,并以饱满性检查作为重点。 本规程参考砌体结构砂浆饱满度的检查方法,考虑到大多数墙体的厚度均为200mm,因此本规程将百格网的规格确定为200mm×200mm,一般在同一构件底部选取不相邻的三个部位进行检查。
C.0.3座浆料的性能及试验方法应符合下列规定:
1座浆料抗压强度应符合表C.0.3-1的要求,且不应低于连接构件的混凝土强度等级值,用于高层建筑时尚不应小于80N/mm²,抗压强度试验方法应符合现行国家标准《水泥胶砂强度检验方法(ISO法)》GB/T 17671的规定;抗压强度试件应按40mm×40mm×160mm的尺寸制作,其加水量应按产品说明书确定,试模材质应为钢质;试件养护室温度应为20℃±2℃,相对湿度不应低于90%,养护水的温度应为20℃±1℃。

2座浆料拌合物的性能应符合表C.0.3-2的要求。凝结时间、保水率、稠度、2h稠度损失率的试验方法应符合现行行业标准《建筑砂浆基本性能试验方法标准》JGJ/T 70的规定;最大氯离子含量的试验方法应符合现行国家标准《混凝土外加剂匀质性试验方法》GB/T 8077的规定。
条文说明
C.0.3本条规定的所有技术指标均为本规程第C.0.8条规定的座浆料进场检验项目。

C.0.4座浆料搅拌后应在4h内用完,座浆料拌合物初凝后应废弃,超出工作时间的座浆料拌合物不得再次添加干混料和水混合使用。
条文说明
C.0.4本条规定了座浆料使用过程中的注意事项,为了确保座浆料的工作性能,座浆料搅拌后应在规定时间内用完,失去工作性能的座浆料拌合物应该废弃,超过工作时间的座浆料拌合物也不得再次使用。
C.0.5构件安装应符合下列规定:
1构件安装前,安装部位的结合面及构件周围200mm范围内应清理干净,不得有碎屑、杂物。
2摊铺座浆料前应先浇水湿润结合面,且不得有积水。
3当预制构件为不带保温的外墙或内墙时,座浆料应按中间高、两边低铺设;当预制构件为带保温的三明治墙板时,座浆料应按外高、内低铺设。
4摊铺座浆料后应及时将上表面修整为斜面,座浆料上表面应高于预制构件底部设计标高20mm以上,座浆料最薄处的厚度不应小于20mm,座浆料铺设后30min内应进行构件安装。
5铺设座浆料后,在预制构件吊装前应在对应灌浆套筒的每根外露钢筋的准确位置上安装弹性防堵垫片或弹簧、金属垫片组件,确保构件吊装后每个灌浆套筒能够独立密闭,避免漏浆。
6预制构件安装前应采用辅助定位装置,以保证构件下落时一次性准确就位;预制构件安装后应及时设置临时斜撑并调整好构件垂直度,不得多次调整构件位置;如果调整垂直度过程中发现构件边缘存在座浆料未溢出的部位,应立即重新起吊构件,清理残余座浆料后重新进行施工。
条文说明
C.0.5构件安装时底面受挤压溢出的座浆料,只要还在初凝前,且未受污染,可以及时回收再用,以减少浪费。因此,在构件安装前,安装部位的结合面及构件周围200mm范围内应进行清理,确保不得有碎屑和杂物,防止构件安装时挤压溢出的座浆料被污染,挤压溢出的拌合物应在构件安装完成后及时回收。
采用坐浆法安装时,应先湿润结合面层,但不应有积水,座浆层应选用专用座浆料铺设,其强度应符合设计及本规程要求。
针对不同类型构件,座浆料铺设形状与方式不同,是为了确保构件下落时先接触到斜面顶点。摊铺座浆料后将上表面修整成为斜面,是为了保证预制构件底部接触座浆料顶点时充分排气。
铺设座浆料后,在每根外露钢筋上安装防堵垫片,防堵垫片为弹性的EVA薄片,金属垫片应粘贴弹性密封条。
预制构件在吊装前,连接的钢筋位置应确保准确可靠,一般采用L型的7字码作为辅助定位装置,并提前准确固定在构件边缘。构件下落到座浆层面附近时,应停顿进行位置调整并使构件紧贴7字码,确保构件下落就位一次完成,避免由于构件位置不准确,造成构件多次吊起或者错动构件,不但费时费力,还会造成座浆层与构件连接不密实。
C.0.6气温高于30℃时,应对构件底部座浆料接缝位置采取洒水保湿等养护措施,养护期不少于3d。雨期施工时,施工现场应采取防护措施,加强原材料的存放和保护,座浆料拌合物应防止雨淋,当构件底部接缝座浆料部位出现水渍或明水浸泡时,应停止施工。
条文说明
C.0.6座浆料性能与含水率有很大的关系,气温过高时,座浆料拌合物容易快速失水,因此需要对接缝部位采取适当的养护措施。 雨期施工时,接缝部位容易被雨水浸泡造成座浆料强度下降。小雨时可在采取确保灌浆料拌合物不被雨淋的措施情况下施工,而如构件底部接缝座浆料部位出现水渍或明水浸泡,应停止施工。
C.0.7坐浆法施工宜逐层安装并对灌浆套筒进行逐个灌浆,座浆料初凝后,方可进行套筒灌浆;当采用施工多层后再进行套筒灌浆的施工方案时,竖向构件未灌浆的楼层不应大于3层。
条文说明
C.0.7竖向构件采用坐浆法安装时,为了确保施工质量,本规程推荐在构件安装调节准确后随即进行逐个套筒灌浆,但是座浆料达到一定强度能满足上部结构承载要求时,也可采用安装多层后进行集中套筒灌浆施工,但上部竖向构件未灌浆的楼层不应大于3层。
C.0.8座浆料进场时,应对座浆料拌合物凝结时间、保水率、稠度、2h稠度损失率及1d抗压强度、3d抗压强度、28d抗压强度进行检验,检验结果应符合本规程第C.0.3条的有关规定。
检查数量:同一成分、同一批号的座浆料,不超过50t为一批,每批随机抽取不低于25kg,并按现行国家标准《水泥胶砂强度检验方法(ISO法)》GB/T 17671的有关规定制作试件,试件养护条件应符合本规程第C.0.3条的规定。
检验方法:检查质量证明文件和抽样检验报告。
C.0.9施工过程中,座浆料的28d抗压强度应符合本规程第 C.0.3条的规定。用于检验抗压强度的座浆料试件应在施工现场制作。
检查数量:每工作班取样不得少于1次,每楼层取样不得少于3次。每次抽取1组40mm×40mm×160mm的试件,按本规 程第C.0.3条的规定养护28d后进行抗压强度试验。
检验方法:检查施工记录及抗压强度试验报告。
C.0.10座浆料同条件养护试件抗压强度达到20N/mm²后, 方可进行对接缝有扰动的后续施工;临时固定措施的拆除应在座浆料抗压强度能保证结构满足上部结构构件的承载要求后进行。
条文说明
C.0.10本条规定主要适用于后续施工可能对座浆层有扰动的情况,包括构件钢筋连接、加固模板、上部构件搭设等。构件安装完成后,如果座浆料强度太低时受到扰动,会影响接缝质量,甚至出现裂缝,因此对座浆料抗压强度做出要求;如果是逐层安装灌浆,还应保证灌浆料强度大于35 N/mm²后才可承受有扰动的施工操作。对于剪力墙结构,在边缘构件施工达到拆模强度后,预制构件已经处于稳定状态,一般安装1d后座浆料即可承
载,对于框架柱,施工期间往往在两个方向都需要承受较大的弯矩,因而稳定性较差,需保证接缝座浆料强度达到设计强度的70%以上才可承载,一般在座浆施工3d后方可拆除临时斜撑。
