Appearance
《高层民用建筑钢结构技术规程[附条文说明]》JGJ 99-2015
🗓️ 住房和城乡建设部 实施时间:2016-05-01
前言
中华人民共和国行业标准
高层民用建筑钢结构技术规程
Technical specification for steel structure of tall building
JGJ 99-2015
批准部门:中华人民共和国住房和城乡建设部
施行日期:2016年5月1日
中华人民共和国住房和城乡建设部公告
第983号
住房城乡建设部关于发布行业标准《高层民用建筑钢结构技术规程》的公告
现批准《高层民用建筑钢结构技术规程》为行业标准,编号为JGJ 99-2015,自2016年5月1日起实施。其中,第3.6.1、3.7.1、3.7.3、5.2.4、5.3.1、5.4.5、6.1.5、6.4.1、6.4.2、6.4.3、6.4.4、7.5.2、7.5.3、8.8.1条为强制性条文,必须严格执行。原《高层民用建筑钢结构技术规程》JGJ 99-98同时废止。
本规程由我部标准定额研究所组织中国建筑工业出版社出版发行。
中华人民共和国住房和城乡建设部
2015年11月30日
前言
根据原建设部《关于印发<二〇〇四年度工程建设城建、建工行业标准制定、修订计划的通知>》(建标[2004]66号)的要求,规程编制组经广泛调查研究,认真总结工程实践经验,参考有关国际标准和国外先进标准,在广泛征求意见的基础上,修订了《高层民用建筑钢结构技术规程》JGJ 99-98。
本规程主要技术内容是:1.总则;2.术语和符号;3.结构设计基本规定;4.材料;5.荷载与作用;6.结构计算分析;7.钢构件设计;8.连接设计;9.制作和涂装;10.安装;11.抗火设计。
本规程修订的主要内容是:1.修改了适用范围;2.修改、补充了结构平面和立面规则性有关规定;3.调整了部分结构最大适用高度,增加了7度(0.15g)、8度(0.3g)抗震设防区房屋最大适用高度规定;4.增加了相邻楼层的侧向刚度比的规定;5.增加了抗震等级的规定;6.增加了结构抗震性能设计基本方法及抗连续倒塌设计基本要求;7.增加和修订了高性能钢材GJ钢和低合金高强度结构钢的力学性能指标;8.修改、补充了风荷载及地震作用有关内容;9.增加了结构刚重比的有关规定;10.修改、补充了框架柱计算长度的设计规定和框筒结构柱轴压比的限值;11.增加了伸臂桁架和腰桁架的有关规定;12.修改了构件连接强度的连接系数;13.修改了梁柱刚性连接的计算方法、设计规定和构造要求;14.修改了强柱弱梁的计算规定,增加了圆管柱和十字形截面柱的节点域有效体积的计算公式;15.修改了钢柱脚的计算方法和设计规定;16.增加了加强型的梁柱连接形式和骨式连接形式;17.增加了梁腹板与柱连接板采用焊接的有关内容;18.增加了钢板剪力墙、异形柱的制作允许偏差值的规定;19.增加了构件预拼装的有关内容。
本规程中以黑体字标志的条文为强制性条文,必须严格执行。
本规程由住房和城乡建设部负责管理和对强制性条文的解释,由中国建筑标准设计研究院有限公司负责具体技术内容的解释。执行过程中如有意见和建议,请寄送中国建筑标准设计研究院有限公司(地址:北京市海淀区首体南路9号主语国际2号楼,邮编:100048)。
本规程主编单位 :中国建筑标准设计研究院有限公司
本规程参编单位 :哈尔滨工业大学
清华大学
浙江大学
同济大学
西安建筑科技大学
苏州科技大学
湖南大学
广州大学
中冶集团建筑研究总院
中国建筑科学研究院
宝钢钢构有限公司
中国新兴建设开发总公司钢结构工程公司
上海中巍结构设计事务所有限公司
浙江杭萧钢构股份有限公司
江苏沪宁钢机股份有限公司
深圳建升和钢结构建筑安装工程有限公司
浙江精工钢结构有限公司
舞阳钢铁有限责任公司
本规程主要起草人员 :郁银泉 蔡益燕 钱稼茹 童根树 张耀春 李国强 柴昶 贺明玄 王康强 崔鸿超 舒兴平 苏明周 陈绍蕃 沈祖炎 王喆 张文元 孙飞飞 张艳明 顾强 周云 郭彦林 石永久 鲍广鉴 申林 何若全 胡天兵 宋文晶 李元齐 杨强跃 郭海山 易方民 常跃峰 王寅大 陈国栋 梁志远 刘中华 刘晓光 高继领
本规程主要审查人员 :周绪红 范重 路克宽 娄宇 黄世敏 肖从真 徐永基 窦南华 冯远 戴国欣 方小丹 吴欣之 舒赣平 范懋达 贺贤娟 包联进
1 总则
1 总 则
1.0.1 为了在高层民用建筑中合理应用钢结构,做到技术先进、安全适用、经济合理、确保质量,制定本规程。
条文说明
1.0.1 本条是高层民用建筑工程中合理应用钢结构必须遵循的总方针。
1.0.2 本规程适用于10层及10层以上或房屋高度大于28m的住宅建筑以及房屋高度大于24m的其他高层民用建筑钢结构的设计、制作与安装。非抗震设计和抗震设防烈度为6度至9度抗震设计的高层民用建筑钢结构,其适用的房屋最大高度和结构类型应符合本规程的有关规定。
本规程不适用于建造在危险地段以及发震断裂最小避让距离内的高层民用建筑钢结构。
条文说明
1.0.2 《高层民用建筑钢结构技术规程》JGJ 99-98(以下简称98规程)没规定适用高度的下限。本次修订将适用范围修改为10层及10层以上或房屋高度大于28m的住宅建筑,以及房屋高度大于24m的其他高层民用建筑,主要是为了设计人员便于掌握对规程的使用,同时也与我国现行有关标准协调。
本条还规定,本规程不适用于建造在危险地段及发震断裂最小避让距离之内的高层民用 建筑。大量地震震害及其他自然灾害表明,在危险地段及发震断裂最小避让距离之内建造房屋和构筑物较难幸免灾祸;我国也没有在危险地段和发震断裂的最小避让距离内建造高层民用建筑的工程实践经验和相应的研究成果,本规程也没有专门条款。发震断裂的最小避让距离应符合现行国家标准《建筑抗震设计规范》GB 50011的有关规定。
1.0.3 高层民用建筑钢结构应注重概念设计,综合考虑建筑的使用功能、环境条件、材料供应、制作安装、施工条件因素,优先选用抗震抗风性能好且经济合理的结构体系、构件形式、连接构造和平立面布置。在抗震设计时,应保证结构的整体抗震性能,使整体结构具有必要的承载能力、刚度和延性。
条文说明
1.0.3 注重高层民用建筑钢结构的概念设计,保证结构的整体性,是国内外历次大地震及风灾的重要经验总结。概念设计及结构整体性能是决定高层民用建筑钢结构抗震、抗风性能的重要因素,若结构严重不规则,整体性差,则按目前的结构设计及计算技术水平,较难保证结构的抗震、抗风性能,尤其是抗震性能。
1.0.4 抗震设计的高层民用建筑钢结构,当其房屋高度、规则性、结构类型等超过本规程的规定或抗震设防标准等有特殊要求时,可采用结构抗震性能化设计方法进行补充分析和论证。
条文说明
1.0.4 高层民用建筑采用抗震性能设计已是一种趋势。正确应用性能设计方法将有利于判断高层民用建筑钢结构的抗震性能,有针对性地加强结构的关键部位和薄弱部位,为发展安全、适用、经济的结构方案提供创造性的空间。本条提出了对有特殊要求的高层民用建筑钢结构可采用抗震性能设计方法进行分析和论证,具体的抗震性能设计方法见本规程第3.8节。
1.0.5 高层民用建筑钢结构设计、制作与安装除应符合本规程外,尚应符合国家现行有关标准的规定。
2 术语和符号
2.1 术语
2 术语和符号
条文说明
本章是根据标准编制要求增加的内容。
“高层民用建筑”是参照现行行业标准《高层建筑混凝土结构技术规程》JGJ 3的定义拟定的。
本规程中的“延性墙板”是指:带加劲肋的钢剪力墙板、无粘结内藏钢板支撑墙板和带竖缝混凝土剪力墙板。
“加强型连接”是使梁端预期出现的塑性铰外移,减小梁端的应力集中,防止梁端连接破坏的连接形式。本规程主要形式有:梁翼缘扩翼式、梁翼缘局部加宽式、梁翼缘盖板式和梁翼缘板式。
“骨式连接”是采用梁翼缘局部削弱来使预期塑性铰外移的梁柱连接形式。
2.1 术 语
2.1.1 高层民用建筑 tall building
10层及10层以上或房屋高度大于28m的住宅建筑以及房屋高度大于24m的其他高层民用建筑。
2.1.2 房屋高度 building height
自室外地面至房屋主要屋面的高度,不包括突出屋面的电梯机房、水箱、构架等高度。
2.1.3 框架 moment frame
由柱和梁为主要构件组成的具有抗剪和抗弯能力的结构。
2.1.4 中心支撑框架 concentrically braced frame
支撑杆件的工作线交汇于一点或多点,但相交构件的偏心距应小于最小连接构件的宽度,杆件主要承受轴心力。
2.1.5 偏心支撑框架 eccentrically braced frame
支撑框架构件的杆件工作线不交汇于一点,支撑连接点的偏心距大于连接点处最小构件的宽度,可通过消能梁段耗能。
2.1.6 支撑斜杆 diagonal bracing
承受轴力的斜杆,与框架结构协同作用以桁架形式抵抗侧向力。
2.1.7 消能梁段 link
偏心支撑框架中,两根斜杆端部之间或一根斜杆端部与柱间的梁段。
2.1.8 屈曲约束支撑 buckling restrained brace
支撑的屈曲受到套管的约束,能够确保支撑受压屈服前不屈曲的支撑,可作为耗能阻尼器或抗震支撑。
2.1.9 钢板剪力墙 steel plate shear wall
将设置加劲肋或不设加劲肋的钢板作为抗侧力剪力墙,是通过拉力场提供承载能力。
2.1.10 无粘结内藏钢板支撑墙板 shear wall with unbonded bracing inside
以钢板条为支撑,外包混凝土墙板为约束构件的屈曲约束支撑墙板。
2.1.11 带竖缝混凝土剪力墙 slitted reinforced concrete shear wall
将带有一段竖缝的钢筋混凝土墙板作为抗侧力剪力墙,是通过竖缝墙段的抗弯屈服提供承载能力。
2.1.12 延性墙板 shear wall with refined ductility
具有良好延性和抗震性能的墙板。本规程特指:带加劲肋的钢板剪力墙,无粘结内藏钢板支撑墙板、带竖缝混凝土剪力墙。
2.1.13 加强型连接 strengthened beam-to-column connection
采用梁端翼缘扩大或设置盖板等形式的梁与柱刚性连接。
2.1.14 骨式连接 dog-bone beam-to-column connection
将梁翼缘局部削弱的一种梁柱连接形式。
2.1.15 结构抗震性能水准 seismic performance levels of structure
对结构震后损坏状况及继续使用可能性等抗震性能的界定。
2.1.16 结构抗震性能设计 performance-based seismic design of structure
针对不同的地震地面运动水准设定的结构抗震性能水准。
2.2 符号
2.2 符 号
2.2.1 作用和作用效应
a——加速度;
F——地震作用标准值;
G——重力荷载代表值;
H——水平力;
M——弯矩设计值;
N——轴心压力设计值;
Q——重力荷载设计值;
S——作用效应设计值;
T——周期;温度;
V——剪力设计值;
v——风速。
2.2.2 材料指标
c——比热;
E——弹性模量;
f——钢材抗拉、抗压、抗弯强度设计值;
f b c 、f b t 、f b v ——螺栓承压、抗拉、抗剪强度设计值;
f w c 、f w t 、f w v ——对接焊缝抗压、抗拉、抗剪强度设计值;
f ce ——钢材端面承压强度设计值;
f ck 、f tk ——混凝土轴心抗压、抗拉强度标准值;
f b cu ——螺栓连接板件的极限承压强度;
f w f ——角焊缝抗拉、抗压、抗剪强度设计值;
f t ——混凝土轴心抗拉强度设计值;
f a t ——锚栓抗拉强度设计值;
f u ——钢材抗拉强度最小值;
f b u ——螺栓钢材的抗拉强度最小值;
f v ——钢材抗剪强度设计值;
f y ——钢材屈服强度;
G——剪切模量;
M lp ——消能梁段的全塑性受弯承载力;
M pb ——梁的全塑性受弯承载力;
M pc ——考虑轴力时,柱的全塑性受弯承载力;
M u ——极限受弯承载力;
N E ——欧拉临界力;
N y ——构件的轴向屈服承载力;
N a t ——单根锚栓受拉承载力设计值;
N b t 、N b v ——高强度螺栓仅承受拉力、剪力时,抗拉、抗剪承载力设计值;
N b vu 、N b cu ——1个高强度螺栓的极限受剪承载力和对应的板件极限承载力;
R——构件承载力设计值;
V l 、V lc ——消能梁段不计入轴力影响和计入轴力影响的受剪承载力;
V u ——受剪承载力;
ρ——材料密度。
2.2.3 几何参数
A——毛截面面积;
A b e ——螺栓螺纹处的有效截面面积;
d——螺栓杆公称直径;
h 0b ——梁腹板高度,自翼缘中心线算起;
h 0c ——柱腹板高度,自翼缘中心线算起;
I——毛截面惯性矩;
I e ——有效截面惯性矩;
K 1 、K 2 ——汇交于柱上端、下端的横梁线刚度之和与柱线刚度之和的比值;
S——面积矩;
t——厚度;
V p ——节点域有效体积;
W——毛截面模量;
W e ——有效截面模量;
W n 、W np ——净截面模量;塑性净截面模量;
W p ——塑性截面模量。
2.2.4 系数
α——连接系数;
α max 、α vmax ——水平、竖向地震影响系数最大值;
γ 0 ——结构重要性系数;
γ RE ——承载力抗震调整系数;
γ x ——截面塑性发展系数;
φ——轴心受压构件的稳定系数;
φ b 、φ′ b ——钢梁整体稳定系数;
λ——构件长细比;
λ n ——正则化长细比;
μ——计算长度系数;
ξ——阻尼比。
3 结构设计基本规定
3.1 一般规定
3 结构设计基本规定
3.1 一般规定
3.1.1 高层民用建筑的抗震设防烈度必须按国家审批、颁发的文件确定。一般情况下,抗震设防烈度应采用根据中国地震动参数区划图确定的地震基本烈度。
条文说明
3.1.1 抗震设防烈度是按国家规定权限批准作为一个地区抗震设防依据的地震烈度,一般情况下取50年内超越概率为10%的地震烈度,我国目前分为6、7、8、9度,与设计基本加速度一一对应,见表1。
表1 抗震设防烈度和设计基本地震加速度值的对应关系

3.1.2 抗震设计的高层民用建筑,应按现行国家标准《建筑工程抗震设防分类标准》GB 50223的规定确定其抗震设防类别。本规程中的甲类建筑、乙类建筑、丙类建筑分别为现行国家标准《建筑工程抗震设防分类标准》GB 50223中的特殊设防类、重点设防类、标准设防类的简称。
条文说明
3.1.2 建筑工程的抗震设防分类,是根据建筑遭遇地震破坏后,可能造成人员伤亡、直接和间接经济损失、社会影响程度以及建筑在抗震救灾中的作用等因素,对各类建筑所作的抗震设防类别划分。根据高层民用建筑钢结构的特点,具体分为特殊设防类、重点设防类、标准设防类,分别简称甲类、乙类和丙类。建筑抗震设防分类的划分应符合现行国家标准《建筑工程抗震设防分类标准》GB 50223的规定。
3.1.3 抗震设计的高层民用建筑的结构体系应符合下列规定:
1 应具有明确的计算简图和合理的地震作用传递途径;
2 应具有必要的承载能力,足够大的刚度,良好的变形能力和消耗地震能量的能力;
3 应避免因部分结构或构件的破坏而导致整个结构丧失承受重力荷载、风荷载和地震作用的能力;
4 对可能出现的薄弱部位,应采取有效的加强措施。
3.1.4 高层民用建筑的结构体系尚宜符合下列规定:
1 结构的竖向和水平布置宜使结构具有合理的刚度和承载力分布,避免因刚度和承载力突变或结构扭转效应而形成薄弱部位;
2 抗震设计时宜具有多道防线。
条文说明
3.1.3、3.1.4 这两条强调了高层民用建筑钢结构概念设计原则,宜采用规则的结构,不应采用严重不规则的结构。
规则结构一般指:体型(平面和立面)规则,结构平面布置均匀,对称并具有较好的抗扭刚度;结构竖向布置均匀,结构的刚度、承载力和质量分布均匀、无突变。
实际工程设计中,要使结构方案规则往往比较困难,有时会出现平面或竖向布置不规则的情况。本规程第3.3.1条~第3.3.4条分别对结构平面布置及竖向布置的不规则性提出了限制条件。若结构方案中仅有个别项目超过了条款中的规定,此结构属不规则结构,但仍按本规 程的有关规定进行计算和采取相应的构造措施;若结构方案中有多项超过了条款中的规定或某一项超过较多,此结构属特别不规则结构,应尽量避免。若结构方案中有多项超过了条款中的规定而且超过较多,则此结构属严重不规则结构,必须对结构方案进行调整。
无论采用何种钢结构体系,结构的平面和竖向布置都应使结构具有合理的刚度、质量和承载力分布,避免因局部突变和扭转效应而形成薄弱部位;对可能出现的薄弱部位,在设计中应采取有效措施,增强其抗震能力;结构宜具有多道防线,避免因部分结构或构件的破坏而导致整个结构丧失承受水平风荷载、地震作用和重力荷载的能力。
3.1.5 高层民用建筑的填充墙、隔墙等非结构构件宜采用轻质板材,应与主体结构可靠连接。房屋高度不低于150m的高层民用建筑外墙宜采用建筑幕墙。
条文说明
3.1.5 高层民用建筑钢结构层数较高,减轻填充墙体的自重是减轻结构总重量的有效措施,而且轻质板材容易实现与主体结构的连接构造,能适应钢结构层间位移角相对大的特点,减轻或防止其发生破坏。非承重墙体无论与主体结构采用刚性连接还是柔性连接,都应按非结构构件进行抗震设计。
幕墙包覆主体结构而使主体结构免受外界温度变化的影响,有效地减少了主体结构温度变化的不利影响。
3.1.6 高层民用建筑钢结构构件的钢板厚度不宜大于100mm。
条文说明
3.1.6 自98规程公布以来,高层民用建筑钢结构和大跨度空间结构中,钢板厚度突破100mm的已不少见,但厚板不但制作安装难度较大,而且连接部位焊后受力复杂,作为设计标准仍希望大多数高层民用建筑钢结构将板厚控制在100mm以内,因此保留此规定,确有必要时可采用厚度大于100mm的钢板。
3.2 结构体系和选型
3.2 结构体系和选型
3.2.1 高层民用建筑钢结构可采用下列结构体系:
1 框架结构;
2 框架-支撑结构:包括框架-中心支撑、框架-偏心支撑和框架-屈曲约束支撑结构;
3 框架-延性墙板结构;
4 筒体结构:包括框筒、筒中筒、桁架筒和束筒结构;
5 巨型框架结构。
条文说明
3.2.1 高层民用建筑钢结构应根据房屋高度和高宽比、抗震设防类别、抗震设防烈度、场地类别和施工技术条件等因素考虑其适宜的钢结构体系。
高层民用建筑钢结构采用的结构体系有:框架、框架-支撑体系、框架-延性墙板体系、筒体和巨型框架体系。这里所说的框架是具有抗弯能力的钢框架;框架-支撑体系中的支撑在设计中可采用中心支撑、偏心支撑和屈曲约束支撑;框架-延性墙板体系中的延性墙板主要指钢板剪力墙、无粘结内藏钢板支撑剪力墙板和内嵌竖缝混凝土剪力墙板等。筒体体系包括框筒、筒中筒、桁架筒、束筒,这些筒体采用钢结构容易实现。巨型框架主要是由巨型柱和巨型梁(桁架)组成的结构。
3.2.2 非抗震设计和抗震设防烈度为6度至9度的乙类和丙类高层民用建筑钢结构适用的最大高度应符合表3.2.2的规定。
表3.2.2 高层民用建筑钢结构适用的最大高度(m)

注:1 房屋高度指室外地面到主要屋面板板顶的高度(不包括局部突出屋顶部分);
2 超过表内高度的房屋,应进行专门研究和论证,采取有效的加强措施;
3 表内筒体不包括混凝土筒;
4 框架柱包括全钢柱和钢管混凝土柱;
5 甲类建筑,6、7、8度时宜按本地区抗震设防烈度提高1度后符合本表要求,9度时应专门研究。
条文说明
3.2.2 将框架-偏心支撑(延性墙板)单列,有利于促进它的推广应用。筒体和巨型框架以及框架-偏心支撑的适用最大高度,与国内现有建筑已达到的高度相比是保守的。AISC抗震规程对C抗震等级(大致相当于我国0.10g以下)的结构,不要求执行规定的抗震构造措施,明显放宽。据此,有必要对7度按设计加速度划分。对8度也按设计加速度作了划分。
对框架柱在附注中列明为全钢柱和钢管混凝土柱两种,以适合钢结构设计的需要。
3.2.3 高层民用建筑钢结构的高宽比不宜大于表3.2.3的规定。
表3.2.3 高层民用建筑钢结构适用的最大高宽比

注:1 计算高宽比的高度从室外地面算起;
2 当塔形建筑底部有大底盘时,计算高宽比的高度从大底盘顶部算起。
条文说明
3.2.3 高层民用建筑的高宽比,是对结构刚度、整体稳定、承载能力和经济合理性的宏观控制;在结构设计满足本规程规定的承载力、稳定、抗倾覆、变形和舒适度等基本要求后,仅从结构安全角度讲高宽比限值不是必须满足的,主要影响结构设计的经济性。
98规程建议的高宽比限值参考了20世纪国外主要超高层建筑,本次根据发展情况作了相应修订。同时为方便大底盘高层民用建筑钢结构高宽比的计算,规定了底部有大底盘的房屋高度取法。设计人员可根据大底盘的实际情况合理确定。
3.2.4 房屋高度不超过50m的高层民用建筑可采用框架、框架-中心支撑或其他体系的结构;超过50m的高层民用建筑,8、9度时宜采用框架-偏心支撑、框架-延性墙板或屈曲约束支撑等结构。高层民用建筑钢结构不应采用单跨框架结构。
条文说明
3.2.4 本条按房屋高度和设防烈度给出了高层民用建筑钢结构房屋的结构选型要求。本次修订又增加了高层民用建筑钢结构不应采用单跨框架结构的要求。
3.3 建筑形体及结构布置的规则性
3.3 建筑形体及结构布置的规则性
3.3.1 高层民用建筑钢结构的建筑设计应根据抗震概念设计的要求明确建筑形体的规则性。不规则的建筑方案应按规定采取加强措施;特别不规则的建筑方案应进行专门研究和论证,采用特别的加强措施;严重不规则的建筑方案不应采用。
条文说明
3.3.1 本条主要针对建筑方案的规则性提出了要求。建筑形体和结构布置应根据抗震概念设计划分为规则和不规则两大类;对于具有不规则的建筑,针对其不规则的具体情况,明确提出不同的要求;强调应避免采用严重不规则的设计方案。
3.3.2 高层民用建筑钢结构及其抗侧力结构的平面布置宜规则、对称,并应具有良好的整体性;建筑的立面和竖向剖面宜规则,结构的侧向刚度沿高度宜均匀变化,竖向抗侧力构件的截面尺寸和材料强度宜自下而上逐渐减小,应避免抗侧力结构的侧向刚度和承载力突变。建筑形体及其结构布置的平面、竖向不规则性,应按下列规定划分:
1 高层民用建筑存在表3.3.2-1所列的某项平面不规则类型或表3.3.2-2所列的某项竖向不规则类型以及类似的不规则类型,应属于不规则的建筑。
2 当存在多项不规则或某项不规则超过规定的参考指标较多时,应属于特别不规则的建筑。
表3.3.2-1 平面不规则的主要类型

表3.3.2-2 竖向不规则的主要类型

条文说明
3.3.2 本条结构布置要求、不规则定义和参考指标,与现行国家标准《建筑抗震设计规范》GB 50011的规定基本一致,只是作了文字修改,进一步明确了扭转位移比的含义和保留了偏心布置的不规则类型,偏心率的计算按本规程附录A的规定进行。在计算不规则项数时,表3.3.2-1中扭转不规则和偏心布置不重复计算。
3.3.3 不规则高层民用建筑应按下列要求进行水平地震作用计算和内力调整,并应对薄弱部位采取有效的抗震构造措施:
1 平面不规则而竖向规则的建筑,应采用空间结构计算模型,并应符合下列规定:
1)扭转不规则或偏心布置时,应计入扭转影响,在规定的水平力及偶然偏心作用下,楼层两端弹性水平位移(或层间位移)的最大值与其平均值的比值不宜大于1.5,当最大层间位移角远小于规程限值时,可适当放宽。
2)凹凸不规则或楼板局部不连续时,应采用符合楼板平面内实际刚度变化的计算模型;高烈度或不规则程度较大时,宜计入楼板局部变形的影响。
3)平面不对称且凹凸不规则或局部不连续时,可根据实际情况分块计算扭转位移比,对扭转较大的部位应采用局部的内力增大。
2 平面规则而竖向不规则的高层民用建筑,应采用空间结构计算模型,侧向刚度不规则、竖向抗侧力构件不连续、楼层承载力突变的楼层,其对应于地震作用标准值的剪力应乘以不小于1.15的增大系数,应按本规程有关规定进行弹塑性变形分析,并应符合下列规定:
1)竖向抗侧力构件不连续时,该构件传递给水平转换构件的地震内力应根据烈度高低和水平转换构件的类型、受力情况、几何尺寸等,乘以1.25~2.0的增大系数;
2)侧向刚度不规则时,相邻层的侧向刚度比应依据其结构类型符合本规程第3.3.10条的规定;
3)楼层承载力突变时,薄弱层抗侧力结构的受剪承载力不应小于相邻上一楼层的65%。
3 平面不规则且竖向不规则的高层民用建筑,应根据不规则类型的数量和程度,有针对性地采取不低于本条第1、2款要求的各项抗震措施。特别不规则时,应经专门研究,采取更有效的加强措施或对薄弱部位采用相应的抗震性能化设计方法。
条文说明
3.3.3 按不规则类型的数量和程度,采取了不同的抗震措施。不规则的程度和设计的上限控制,可根据设防烈度的高低适当调整。对于特别不规则的结构应进行专门研究。本条与现行国家标准《建筑抗震设计规范》GB 50011的规定一致。
3.3.4 高层民用建筑宜不设防震缝;体型复杂、平立面不规则的建筑,应根据不规则程度、地基基础等因素,确定是否设防震缝;当在适当部位设置防震缝时,宜形成多个较规则的抗侧力结构单元。
条文说明
3.3.4 提倡避免采用不规则建筑结构方案,不设防震缝。对体型复杂的建筑可分具体情况决定是否设防震缝。总体倾向是:可设缝、可不设缝时,不设缝。设置防震缝可使结构抗震分析模型较为简单,容易估计其地震作用和采取抗震措施,但需考虑扭转地震效应,并按本规程的规定确定缝宽。当不设置防震缝时,结构分析模型复杂,连接处局部应力集中需要加强,而且需仔细估计地震扭转效应等可能导致的不利影响。
3.3.5 防震缝应根据抗震设防烈度、结构类型、结构单元的高度和高差情况,留有足够的宽度,其上部结构应完全分开;防震缝的宽度不应小于钢筋混凝土框架结构缝宽的1.5倍。
条文说明
3.3.5 本条规定了防震缝设置的要求和防震缝宽度的最小值。
3.3.6 抗震设计的框架-支撑、框架-延性墙板结构中,支撑、延性墙板宜沿建筑高度竖向连续布置,并应延伸至计算嵌固端。除底部楼层和伸臂桁架所在楼层外,支撑的形式和布置沿建筑竖向宜一致。
条文说明
3.3.6 抗剪支撑在竖向连续布置,结构的受力和层间刚度变化都比较均匀,现有工程中基本上都采用竖向连续布置的方法。建筑底部的楼层刚度较大,顶层不受层间刚度比规定的限制,这是参考国外有关规定制订的。在竖向支撑桁架与刚性伸臂相交处,照例都是保持刚性伸臂连续,以发挥其水平刚臂的作用。
3.3.7 高层民用建筑,宜采用有利于减小横风向振动影响的建筑形体。
条文说明
3.3.7 高层民用建筑钢结构的刚度较小,容易出现对舒适度不利的横风向振动,通过采用合适的建筑形体,可减小横风向振动的影响。
3.3.8 高层民用建筑钢结构楼盖应符合下列规定:
1 宜采用压型钢板现浇钢筋混凝土组合楼板、现浇钢筋桁架混凝土楼板或钢筋混凝土楼板,楼板应与钢梁有可靠连接;
2 6、7度时房屋高度不超过50m的高层民用建筑,尚可采用装配整体式钢筋混凝土楼板,也可采用装配式楼板或其他轻型楼盖,应将楼板预埋件与钢梁焊接,或采取其他措施保证楼板的整体性;
3 对转换楼层楼盖或楼板有大洞口等情况,宜在楼板内设置钢水平支撑。
条文说明
3.3.8 压型钢板现浇钢筋混凝土楼板、现浇钢筋桁架混凝土楼板,整体刚度大,施工方便,是高层民用建筑钢结构楼板的主要形式。这里指的压型钢板是各种由钢板制成的楼承板的泛指。为加强建筑的抗震整体性,6、7度地区超过50m以及8度及以上地区的高层民用建筑钢结构,不应采用装配式楼板或其他轻型楼盖。
3.3.9 建筑物中有较大的中庭时,可在中庭的上端楼层用水平桁架将中庭开口连接,或采取其他增强结构抗扭刚度的有效措施。
条文说明
3.3.9 在多功能的高层民用建筑中,上部常常要求设置旅馆或者公寓,但这类房间的进深不能太大,因而必需设置中庭,在中庭上下端设置水平桁架是加强刚度的比较好的方法。
3.3.10 抗震设计时,高 层民用建筑相邻楼层的侧向刚度变化应符合下列规定:
1 对框架结构,楼层与其相邻上层的侧向刚度比γ 1 可按式(3.3.10-1)计算,且本层与相邻上层的比值不宜小于0.7,与相邻上部三层刚度平均值的比值不宜小于0.8。

式中:γ 1 ——楼层侧向刚度比;
V i 、V i+1 ——第i层和第i+1层的地震剪力标准值(kN);
△ i 、△ i+1 ——第i层和第i+1层在地震作用标准值作用下的层间位移(m)。
2 对框架-支撑结构、框架-延性墙板结构、筒体结构和巨型框架结构,楼层与其相邻上层的侧向刚度比γ 2 可按式(3.3.10-2)计算,且本层与相邻上层的比值不宜小于0.9;当本层层高大于相邻上层层高的1.5倍时,该比值不宜小于1.1;对结构底部嵌固层,该比值不宜小于1.5。

式中:γ 2 ——考虑层高修正的楼层侧向刚度比;
h i 、h i+1 ——第i层和第i+1层的层高(m)。
条文说明
3.3.10 正常设计的高层民用建筑下部楼层侧向刚度宜大于上部楼层的侧向刚度,否则变形会集中于侧向刚度小的下部楼层而形成结构软弱层,所以应对下层与相邻上层的侧向刚度比值进行限制。
本次修订,参照现行行业标准《高层建筑混凝土结构技术规程》JGJ 3的相关规定增补了此条。
3.4 地基、基础和地下室
3.4 地基、基础和地下室
3.4.1 高层民用建筑钢结构的基础形式,应根据上部结构情况、地下室情况、工程地质、施工条件等综合确定,宜选用筏基、箱基、桩筏基础。当基岩较浅、基础埋深不符合要求时,应验算基础抗拔。
条文说明
3.4.1 筏基、箱基、桩筏基础是高层民用建筑常用的基础形式,可根据具体情况选用。
3.4.2 钢框架柱应至少延伸至计算嵌固端以下一层,并且宜采用钢骨混凝土柱,以下可采用钢筋混凝土柱。基础埋深宜一致。
条文说明
3.4.2 钢框架柱延伸至计算嵌固端以下一层,可作为柱脚;框架柱的竖向荷载宜直接传给基础。
3.4.3 房屋高度超过50m的高层民用建筑宜设置地下室。采用天然地基时,基础埋置深度不宜小于房屋总高度的1/15;采用桩基时,不宜小于房屋总高度的1/20。
条文说明
3.4.3 规定基础最小埋置深度,目的是使基础有足够大的抗倾覆能力。抗震设防烈度高时埋置深度应取较大值。
3.4.4 当主楼与裙房之间设置沉降缝时,应采用粗砂等松散材料将沉降缝地面以下部分填实;当不设沉降缝时,施工中宜设后浇带。
条文说明
3.4.4 用粗砂等将沉降缝地面以下部分填实的目的是确保主楼基础四周的可靠侧向约束。
3.4.5 高层民用建筑钢结构与钢筋混凝土基础或地下室的钢筋混凝土结构层之间,宜设置钢骨混凝土过渡层。
条文说明
3.4.5 高层民用建筑钢结构下部若干层采用钢骨混凝土结构是日本常用做法,它将上部钢结构与钢筋混凝土基础连成整体,使传力均匀,并使框架柱下端完全固定,对结构受力有利。
3.4.6 在重力荷载与水平荷载标准值或重力荷载代表值与多遇水平地震作用标准值共同作用下,高宽比大于4时基础底面不宜出现零应力区;高宽比不大于4时,基础底面与基础之间零应力区面积不应超过基础底面积的15%。质量偏心较大的裙楼和主楼,可分别计算基底应力。
条文说明
3.4.6 为使高层民用建筑钢结构在水平力和竖向荷载作用下,其地基压应力不致过于集中,对基础底面压应力较小一端的应力状态作了限制。同时,满足本条规定时,高层民用建筑钢结构的抗倾覆能力有足够的安全储备,不需再验算结构的整体倾覆。
对裙楼和主楼质量偏心较大的高层民用建筑,裙楼与主楼可分别进行基底应力验算。
3.5 水平位移限值和舒适度要求
3.5 水平位移限值和舒适度要求
3.5.1 在正常使用条件下,高层民用建筑钢结构应具有足够的刚度,避免产生过大的位移而影响结构的承载能力、稳定性和使用要求。
条文说明
3.5.1 高层民用建筑层数多,高度大,为保证高层民用建筑钢结构具有必要的刚度,应对其楼层位移加以控制。侧向位移控制实际上是对构件截面大小,刚度大小的一个宏观指标。
在正常情况下,限制高层民用建筑钢结构层间位移的主要目的有:一是保证主体结构基本处于弹性受力状态;二是保证填充墙板,隔墙和幕墙等非结构构件的完好,避免产生明显损伤。
3.5.2 在风荷载或多遇地震标准值作用下,按弹性方法计算的楼层层间最大水平位移与层高之比不宜大于1/250。
条文说明
3.5.2 本规程采用层间位移角作为刚度控制指标,不扣除整体弯曲转角产生的侧移。本次修订采用了现行国家标准《建筑抗震设计规范》GB 50011的层间位移角限值。
3.5.3 高层民用建筑钢结构在罕遇地震作用下的薄弱层弹塑性变形验算,应符合下列规定:
1 下列结构应进行弹塑性变形验算:
1)甲类建筑和9度抗震设防的乙类建筑;
2)采用隔震和消能减震设计的建筑结构;
3)房屋高度大于150m的结构。
2 下列结构宜进行弹塑性变形验算:
1)本规程表5.3.2所列高度范围且为竖向不规则类型的高层民用建筑钢结构;
2)7度Ⅲ、Ⅳ类场地和8度时乙类建筑。
条文说明
3.5.3 震害表明,结构如果存在薄弱层,在强烈地震作用下,结构薄弱部位将产生较大的弹塑性变形,会引起结构严重破坏甚至倒塌。本条对不同高层民用建筑钢结构的薄弱层弹塑性变形验算提出了不同要求,第1款所列的结构应进行弹塑性变形验算,第2款所列的结构必要时宜进行弹塑性变形验算。
3.5.4 高层民用建筑钢结构薄弱层或薄弱部位弹塑性层间位移不应大于层高的1/50。
3.5.5 房屋高度不小于150m的高层民用建筑钢结构应满足风振舒适度要求。在现行国家标准《建筑结构荷载规范》GB 50009规定的10年一遇的风荷载标准值作用下,结构顶点的顺风向和横风向振动最大加速度计算值不应大于表3.5.5的限值。结构顶点的顺风向和横风向振动最大加速度,可按现行国家标准《建筑结构荷载规范》GB 50009的有关规定计算,也可通过风洞试验结果判断确定。计算时钢结构阻尼比宜取0.01~0.015。
表3.5.5 结构顶点的顺风向和横风向风振加速度限值

条文说明
3.5.5 对照国外的研究成果和有关标准,要求高层民用建筑钢结构应具有良好的使用条件,满足舒适度的要求。按现行国家标准《建筑结构荷载规范》GB 50009规定的10年一遇的风荷载取值计算或进行风洞试验确定的结构顶点最大加速度a1im不应超过本规程表3.5.5的限值。这限值未变,主要是考虑计算舒适度时结构阻尼比的取值影响较大,一般情况下,对房屋高度小于100m的钢结构阻尼比取0.015,对房屋高度大于100m的钢结构阻尼比取0.01。 高层民用建筑的风振反应加速度包括顺风向的最大加速度、横风向最大加速度和扭转角速度。
关于顺风向最大加速度和横风向最大加速度的研究工作虽然较多,但各国的计算方法并不统一,互相之间也存在明显的差异。本次修订取消了98规程的计算公式,建议可按现行国家标准《建筑结构荷载规范》GB 50009的相关规定进行计算。
3.5.6 圆筒形高层民用建筑顶部风速不应大于临界风速,当大于临界风速时,应进行横风向涡流脱落试验或增大结构刚度。顶部风速、临界风速应按下列公式验算:

式中:v n ——圆筒形高层民用建筑顶部风速(m/s);
μ z ——风压高度变化系数;
w 0 ——基本风压(kN/m 2 ),按现行国家标准《建筑结构荷载规范》GB 50009的规定取用;
v cr ——临界风速(m/s);
D——圆筒形建筑的直径(m);
T 1 ——圆筒形建筑的基本自振周期(s)。
条文说明
3.5.6 圆筒形高层民用建筑有时会发生横风向的涡流共振现象,此种振动较为显著,但设计是不允许出现横风向共振的,应予避免。一般情况下,设计中用房屋建筑顶部风速来控制,如果不能满足这一条件,一般可采用增加刚度使自振周期减小来提高临界风速,或者横风向涡流脱落共振验算,其方法可参考结构风工程著作,本条不作规定。
3.5.7 楼盖结构应具有适宜的舒适度。楼盖结构的竖向振动频率不宜小于3Hz,竖向振动加速度峰值不应大于表3.5.7的限值。楼盖结构竖向振动加速度可按现行行业标准《高层建筑混凝土结构技术规程》JGJ 3的有关规定计算。
表3.5.7 楼盖竖向振动加速度限值

注:楼盖结构竖向频率为2Hz~4Hz时,峰值加速度限值可按线性插值选取。
条文说明
3.5.7 本条主要针对大跨度楼盖结构。楼盖结构舒适度控制已成为钢结构设计的重要工作内容。
对于钢-混凝土组合楼盖结构,一般情况下,楼盖结构竖向频率不宜小于3Hz。以保证结构具有适宜的舒适度,避免跳跃时周围人群的不舒适。一般住宅、办公、商业建筑楼盖结构的竖向频率小于3Hz时,需验算竖向振动加速度。
3.6 构件承载力设计
3.6 构件承载力设计
3.6.1 【本条自2022年1月1日起废止】高层民用建筑钢结构构件的承载力应按下列公式验算:

式中:γ 0 ——结构重要性系数,对安全等级为一级的结构构件不应小于1.1,对安全等级为二级的结构构件不应小于1.0;
S d ——作用组合的效应设计值;
R d ——构件承载力设计值;
γ RE ——构件承载力抗震调整系数。结构构件和连接强度计算时取0.75;柱和支撑稳定计算时取0.8;当仅计算竖向地震作用时取1.0。 ( 自2022年1月1日起废止该条,详见新规 《钢结构通用规范》GB 55006-2021)
条文说明
3.6.1 本条是高层民用建筑钢结构构件承载力设计的原则规定,采用了以概率理论为基础、以可靠指标度量结构可靠度、以分项系数表达的设计方法。本条针对持久设计状况、短暂设计状况和地震设计状况下构件的承载力极限状态设计,与现行国家标准《工程结构可靠性设计统一标准》GB 50153和《建筑抗震设计规范》GB 50011保持一致。偶然设计状况(如结构连续倒塌设计)以及结构抗震性能设计时的承载力设计应符合本规程的有关规定,必要时可采用,不作为强制性内容。 结构构件作用组合的效应设计值应符合本规程第6.4.1条~第6.4.4条规定。由于高层民用建筑钢结构的安全等级一般不低于二级,因此结构重要性系数的取值不应小于1.0。按照现行国家标准《工程结构可靠性设计统一标准》GB 50153的规定,结构重要性系数不再考虑结构设计使用年限的影响。
3.7 抗震等级
3.7 抗震等级
3.7.1 各抗震设防类别的高层民用建筑钢结构的抗震措施应分别符合现行国家标准《建筑工程抗震设防分类标准》GB 50223和《建筑抗震设计规范》GB 50011的有关规定。 ( 自2022年1月1日起废止该条,详见新规 《钢结构通用规范》GB 55006-2021)
条文说明
3.7.1 本条采用直接引用的方法,规定了各设防类别高层民用建筑钢结构采取的抗震措施(包括抗震构造措施),与现行国家标准《建筑工程抗震设防分类标准》GB 50223的规定一致。Ⅰ类建筑场地上高层民用建筑抗震构造措施放松要求与现行国家标准《建筑抗震设计规范》GB 50011的规定一致。
3.7.2 当建筑场地为Ⅲ、Ⅳ类时,对设计基本地震加速度为0.15g和0.30g的地区,宜分别按抗震设防烈度8度(0.2g)和9度时各类建筑的要求采取抗震构造措施。
条文说明
3.7.2 历次大地震的经验表明,同样或相近的建筑,建造于Ⅰ类场地时震害较轻,建造于Ⅲ、Ⅳ类场地震害较重。对Ⅲ、Ⅳ类场地,本条规定对7度设计基本地震加速度为0.15g以及8度设计基本地震加速度0.30g的地区,宜分别按抗震设防烈度8度(0.20g)和9度时各类建筑的要求采取抗震构造措施。
3.7.3 抗震设计时,高层民用建筑钢结构应根据抗震设防分类、烈度和房屋高度采用不同的抗震等级,并应符合相应的计算和构造措施要求。丙类建筑的抗震等级应按现行国家标准《建筑抗震设计规范》GB 50011的有关规定确定。对甲类建筑和房屋高度超过50m,抗震设防烈度9度时的乙类建筑应采取更有效的抗震措施。 ( 自2022年1月1日起废止该条,详见新规 《钢结构通用规范》GB 55006-2021)
条文说明
3.7.3 本条采用引用的办法,将抗震等级的划分按现行国家标准《建筑抗震设计规范》GB 50011的有关规定执行。将不同层数所规定的“作用效应调整系数”和“抗震构造措施”共7种,归纳、整理为四个不同要求,称之为抗震等级。将《建筑抗震设计规范》GB 50011-2001(以下简称01抗规)以12层为界改为50m为界。对6度高度不超过50m的钢结构,与01抗规相同,其“作用效应调整系数”和“抗震构造措施”可按非抗震设计执行。 不同的抗震等级,体现不同的抗震要求。因此,当构件的承载力明显提高时,允许降低其抗震等级。 对于7度(0.15g)和8度(0.30g)设防且处于Ⅲ、Ⅳ类场地的高层民用建筑钢结构,宜分别按8度和9度确定抗震等级。甲、乙类设防的高层民用建筑钢结构,其抗震等级的确定按现行国家标准《建筑抗震设计规范》GB 50011的有关规定处理。 在执行时,为了确保结构安全,应按构件受力情况采取相应构造措施,对50m以下房屋,表列等级偏宽。一般说来,耗能构件应从严,非耗能构件可稍宽。框架体系应从严,支撑框架体系可稍宽;高层从严,多层可稍宽;8、9度从严,6、7度可稍宽。 不同结构体系的抗震性能差别较大,破坏后果也不同,在执行时应考虑此影响。
3.8 结构抗震性能化设计
3.8 结构抗震性能化设计
条文说明
本节是参照现行行业标准《高层建筑混凝土结构技术规程》JGJ 3的相关规定,结合高层民用建筑钢结构构件的特点拟定的。
3.8.1 结构抗震性能化设计应根据结构方案的特殊性、选用适宜的结构抗震性能目标,并采取满足预期的抗震性能目标的措施。
结构抗震性能目标应综合考虑抗震设防类别、设防烈度、场地条件、结构的特殊性、建造费用、震后损失和修复难易程度等各项因素选定。结构抗震性能目标可分为A、B、C、D四个等级,结构抗震性能可分为1、2、3、4、5五个水准,每个性能目标均与一组在指定地震地面运动下的结构抗震性能水准相对应,具体情况可按表3.8.1划分。
表3.8.1 结构抗震性能目标

3.8.2 结构抗震性能水准可按表3.8.2进行宏观判别。
表3.8.2 各性能水准结构预期的震后性能状况的要求

注:关键构件是指该构件的失效可能引起结构的连续破坏或危及生命安全的严重破坏;普通竖向构件是指关键构件之外的竖向构件;耗能构件包括框架梁、消能梁段、延性墙板及屈曲约束支撑等。
3.8.3 不同抗震性能水准的结构可按下列规定进行设计:
1 第1性能水准的结构,应满足弹性设计要求。在多遇地震作用下,其承载力和变形应符合本规程的有关规定;在设防烈度地震作用下,结构构件的抗震承载力应符合下式规定:

式中:R d 、γ RE ——分别为构件承载力设计值和承载力抗震调整系数,同本规程第3.6.1条;
S GE ——重力荷载代表值的效应;
S * Ehk ——水平地震作用标准值的构件内力,不需考虑与抗震等级有关的增大系数;
S * Evk ——竖向地震作用标准值的构件内力,不需考虑与抗震等级有关的增大系数;
γ G 、γ Eh 、γ Ev ——分别为上述荷载或作用的分项系数。
2 第2性能水准的结构,在设防烈度地震或预估的罕遇地震作用下,关键构件及普通竖向构件的抗震承载力宜符合式(3.8.3-1)的规定;耗能构件的抗震承载力应符合下式规定:

式中:R k ——截面极限承载力,按钢材的屈服强度计算。
3 第3性能水准的结构应进行弹塑性计算分析,在设防烈度地震或预估的罕遇地震作用下,关键构件及普通竖向构件的抗震承载力应符合式(3.8.3-2)的规定,水平长悬臂结构和大跨度结构中的关键构件的抗震承载力尚应符合式(3.8.3-3)的规定;部分耗能构件进入屈服阶段,但不允许发生破坏。在预估的罕遇地震作用下,结构薄弱部位的最大层间位移应符合本规程第3.5.4条的规定。

4 第4性能水准的结构应进行弹塑性计算分析,在设防烈度地震或预估的罕遇地震作用下,关键构件的抗震承载力应符合式(3.8.3-2)的规定,水平长悬臂结构和大跨度结构中的关键构件的抗震承载力尚应符合式(3.8.3-3)的规定;允许部分竖向构件以及大部分耗能构件进入屈服阶段,但不允许发生破坏。在预估的罕遇地震作用下,结构薄弱部位的最大层间位移应符合本规程第3.5.4条的规定。
5 第5性能水准的结构应进行弹塑性计算分析,在预估的罕遇地震作用下,关键构件的抗震承载力宜符合式(3.8.3-2)的规定;较多的竖向构件进入屈服阶段,但不允许发生破坏且同一楼层的竖向构件不宜全部屈服;允许部分耗能构件发生比较严重的破坏;结构薄弱部位的层间位移应符合本规程第3.5.4条的规定。
3.9 抗连续倒塌设计基本要求
3.9 抗连续倒塌设计基本要求
条文说明
本节是参照现行行业标准《高层建筑混凝土结构技术规程》JGJ 3的相关规定,结合高层民用建筑钢结构构件的特点拟定的。
3.9.1 安全等级为一级的高层民用建筑钢结构应满足抗连续倒塌概念设计的要求,有特殊要求时,可采用拆除构件方法进行抗连续倒塌设计。
3.9.2 抗连续倒塌概念设计应符合下列规定:
1 应采取必要的结构连接措施,增强结构的整体性;
2 主体结构宜采用多跨规则的超静定结构;
3 结构构件应具有适宜的延性,应合理控制截面尺寸,避免局部失稳或整个构件失稳、节点先于构件破坏;
4 周边及边跨框架的柱距不宜过大;
5 转换结构应具有整体多重传递重力荷载途径;
6 框架梁柱宜刚接;
7 独立基础之间宜采用拉梁连接。
3.9.3 抗连续倒塌的拆除构件方法应符合下列规定:
1 应逐个分别拆除结构周边柱、底层内部柱以及转换桁架腹杆等重要构件;
2 可采用弹性静力方法分析剩余结构的内力与变形;
3 剩余结构构件承载力应满足下式要求:

式中:S d ——剩余结构构件效应设计值,可按本规程第3.9.4条的规定计算;
R d ——剩余结构构件承载力设计值,可按本规程第3.9.6条的规定计算;
β——效应折减系数,对中部水平构件取0.67,对其他构件取1.0。
3.9.4 结构抗连续倒塌设计时,荷载组合的效应设计值可按下式确定:

式中:S Gk ——永久荷载标准值产生的效应;
S Qi,k ——竖向可变荷载标准值产生的效应;
S wk ——风荷载标准值产生的效应;
ψ qi ——第i个竖向可变荷载的准永久值系数;
ψ w ——风荷载组合值系数,取0.2;
η d ——竖向荷载动力放大系数,当构件直接与被拆除竖向构件相连时取2.0,其他构件取1.0。
3.9.5 构件截面承载力计算时,钢材强度可取抗拉强度最小值。
3.9.6 当拆除某构件不能满足结构抗连续倒塌要求时,在该构件表面附加80kN/m 2 侧向偶然作用设计值,此时其承载力应满足下列公式的要求:

式中:R d ——构件承载力设计值,按本规程第3.6.1条采用;
S d ——作用组合的效应设计值;
S Gk ——永久荷载标准值的效应;
S Qk ——活荷载标准值的效应;
S Ad ——侧向偶然作用设计值的效应。
4 材料
4.1 选材基本规定
4 材 料
4.1 选材基本规定
4.1.1 钢材的选用应综合考虑构件的重要性和荷载特征、结构形式和连接方法、应力状态、工作环境以及钢材品种和厚度等因素,合理地选用钢材牌号、质量等级及其性能要求,并应在设计文件中完整地注明对钢材的技术要求。
条文说明
4.1.1 工程经验表明,以高层民用建筑钢结构为代表的现代钢结构对钢材的品种、质量和性能有着更高的要求,同时也要求在设计选材中更要做好优化比选工作。本条依据相关设计规范和工程经验并结合高层民用建筑钢结构的用钢特点,提出了选材时应综合考虑的诸要素。其中应力状态指弹性或塑性工作状态和附加应力(约束应力、残余应力)情况;工作环境指高温、低温或露天等环境条件;钢材品种指轧制钢材、冷弯钢材或铸钢件;钢材厚度主要指厚板、厚壁钢材。为了保证结构构件的承载力、延性和韧性并防止脆性断裂,工程设计中应综合考虑上述要素,正确合理的选用钢材牌号、质量等级和性能要求。同时由于钢结构工程中钢材费用约可占到工程总费用的60%左右,故选材还应充分的考虑到工程的经济性,选用性价比较高的钢材。此外作为工程重要依据,在设计文件中应完整的注明对钢材和连接材料的技术要求,包括牌号、型号、质量等级、力学性能和化学成分、附加保证性能和复验要求,以及应遵循的技术标准等。
4.1.2 钢材的牌号和质量等级应符合下列规定:
1 主要承重构件所用钢材的牌号宜选用Q345钢、Q390钢,一般构件宜选用Q235钢,其材质和材料性能应分别符合现行国家标准《低合金高强度结构钢》GB/T 1591或《碳素结构钢》GB/T 700的规定。有依据时可选用更高强度级别的钢材。
2 主要承重构件所用较厚的板材宜选用高性能建筑用GJ钢板,其材质和材料性能应符合现行国家标准《建筑结构用钢板》GB/T 19879的规定。
3 外露承重钢结构可选用Q235NH、Q355NH或Q415NH等牌号的焊接耐候钢,其材质和材料性能要求应符合现行国家标准《耐候结构钢》GB/T 4171的规定。选用时宜附加要求保证晶粒度不小于7级,耐腐蚀指数不小于6.0。
4 承重构件所用钢材的质量等级不宜低于B级;抗震等级为二级及以上的高层民用建筑钢结构,其框架梁、柱和抗侧力支撑等主要抗侧力构件钢材的质量等级不宜低于C级。
5 承重构件中厚度不小于40mm的受拉板件,当其工作温度低于—20℃时,宜适当提高其所用钢材的质量等级。
6 选用Q235A或Q235B级钢时应选用镇静钢。
条文说明
4.1.2 钢材的牌号和质量等级的规定,主要是考虑了国内钢材的生产水平、高层和超高层民用建筑钢结构应用的现状、高性能钢材发展的趋势和相关国家标准的规定而修订的。 1 近年来国内建造的高层和超高层民用建筑钢结构除大量应用Q345钢外,也较多应用了Q390钢与Q345GJ厚板。经验表明,由于品种完善和质量性能的提高,现国产结构用钢已可在保有较高强度的同时,也具有较好的延性、韧性和焊接性能,完全能够满足抗风、抗震高层钢结构用钢的综合性能要求。故本条提出承重构件宜采用Q345、Q390与Q235等牌号的钢材。由于轧制状态交货的钢材在强度提高时,其延性、韧性与焊接性能会有一定幅度的降低。如Q460钢的伸长率较Q345要降低15%,按最小值计算的屈强比要提高约10%;Q500钢—40℃冲击功较Q345钢要降低约10%,碳当量也相应有所提高。故本条提出了有依据时,如进行性能化设计,经比选确认可同时保证相应的延性与韧性性能时,也可采用更高强度的钢材。本条规定与国外经验也是一致的,如日本SN系列高性能钢材(推荐为抗震用钢)仅列出SN400钢(相当于Q235钢)与SN490钢(相当于Q345钢),同时专门研发出高性能抗震结构用SA440钢[屈服强度(440~540)N/mm2,屈强比≤0.8,伸长率≥20%~26%,其C级钢可保证Z25性能]用于工程;美国抗震规程规定对预期会出现较大非弹性受力构件,如特殊抗弯框架、特殊支撑框架、偏心支撑框架和屈曲约束支撑框架等所用钢材屈服强度均不应超过345N/mm2;对经受有限非弹性作用的普通抗弯框架和普通中心支撑等结构允许采用屈服强度不大于380N/mm2的钢材。 2 GJ钢板(《建筑结构用钢板》GB/T 19879)是我国专为高层民用建筑钢结构生产的高性能钢板,其性能与日本SN系列高性能钢材相当。与同级别低合金结构钢相比,除化学成分优化、并有较好的延性、塑性与焊接性能外,还具有厚度效应小、屈服强度波动范围小等特点,并将屈服强度幅(屈服强度波动范围,对Q345钢、Q390钢为120N/mm2)、屈强比、碳当量均作为基本交货条件予以保证。虽然按国家标准《低合金高强度结构钢》GB/T 1591-2008生产的低合金钢较原标准提高了屈服强度和冲击功,增加了碳当量作为供货条件,综合质量有明显改善,其性能与GJ钢板已较为接近,但采用较厚的GJ钢板时仍有一定的综合优势。以Q345钢80~100mm厚板为例,Q345GJ钢板屈服强度较普通Q345钢板可提高6.5%,伸长率可提高10%,碳当量可降低8%以上,故推荐其为重要构件较厚板件优先选用的钢材。 3 耐候钢是我国早已制订标准并可批量生产的钢种,现可生产Q235NH、Q355NH、Q415NH、Q460NH等六种牌号焊接结构用耐候钢,其性能与《低合金高强度结构钢》GB/T 1591系列钢材相当。除力学性能、延性和韧性性能有保证外,其耐腐蚀性能可为普通钢材的2倍以上,并可显著提高涂装附着性能,故用于外露大气环境中有较好的耐腐蚀效果。选用时作为量化的性能指标宜要求其晶粒度不小于7级,耐腐蚀性指数不小于6。但由于以往建筑钢结构工程中耐候钢应用不多,现行国家标准《钢结构设计规范》GB 50017亦未对其抗力分项系数和强度设计值作出规定,如在工程中选用时需按该规范的规定进行钢材试样统计分析,以确定抗力分项系数和强度设计值。 近年来,我国宝钢、鞍钢、马钢等钢铁企业已研发生产了耐火结构用钢板和H形钢,其在600℃高温作用下,屈服强度降幅不大于1/3,因而具有较好的耐火性能,但因缺乏实用经验,也缺少相关的设计标准与参数,故本规程暂未列入其相关条文。 4 现行各钢材标准规定的钢材质量等级主要体现了其韧性(冲击吸收功)和化学成分优化方面的差异,质量等级愈高则冲击功保证值越高,而有害元素(硫、磷)含量限值则越低,因而是一个材质综合评定的指标,不同级别钢材价格也有差别。选材时应按优材优用的原则合理选用质量等级。本条根据相关规范规定和工程经验提出了钢材质量等级选用的规定和建议。对抗震结构主要考虑地震具有强烈交变作用的特点,会引起结构构件的高应变低周疲劳,因而二级抗震框架与抗侧力支撑等主要抗侧力构件钢材等级不宜低于C级,以保证应有的韧性性能。另应注意部分钢材产品不分质量等级或只限定较低或较高的质量等级(如Q390GJ和Q420GJ钢板最低质量等级为C级,冷弯矩形钢管未规定Q345E级与Q390D、E级质量等级),选用质量等级时,不应超出其规定范围。 5 防止结构脆断破坏是钢结构选材的基本要求之一。《钢结构设计规范》GB 50017-2003在选材和构造规定中,均提出了防止结构构件脆断的要求和构造措施。研究表明钢结构的抗脆断性能与环境温度、结构形式、钢材厚度、应力特征、钢材性能、加荷速率等多种因素有关。工作环境温度越低、钢材厚度越厚、名义拉应力越大、应力集中及焊接残余应力越高(特别是有多向拉应力存在时)和加荷速率越快,则钢材韧性越差,结构更易发生脆断。而提高钢材抗脆断能力的主要措施是提高其韧性性能。关于钢材应力状态与厚度、温度对抗脆断性能的影响国内尚较少研究,但欧洲规范Eurocode 3对此已有明确的规定,如JO级S335钢板工作(拉)应力为0.75fy时,其允许厚度在10℃时可为60mm,0℃与—20℃时则分别降至50mm与30mm。高层钢结构具有板件厚度大,焊接残余应力高并承受交变荷载的特点,其选材应考虑防脆断性能的要求。据此,本条提出了宜适当提高低温环境下受拉(包括弯曲受拉)厚板的质量等级。 6 当用平炉及铸锭方法生产时,Q235A级或B级钢的脱氧方法可分为沸腾钢或镇静钢,后者脱氧充分,晶粒细化,材质均匀而性能较好。现转炉和连铸方法生产的钢材一般均为镇静钢,目前已在国内钢材生产总量中约占90%以上,故现市场上沸腾钢有时价格反而偏高。根据近年来工程用材经验,钢结构用钢应选用镇静钢。 关于A级钢的选用问题,按相关标准规定,Q235A级钢可能会以超过其含碳量限值(0.22%)交货,而现行国家标准《钢结构设计规范》GB 50017又以强制性条文规定了“对焊接结构尚应具有碳当量的合格保证”,故一直以来在工程用焊接结构中规定不采用Q235A级钢。但参照国内外实际用材经验,美国与日本的235级碳素结构钢允许含碳量可达0.25%,国内也有含碳量达0.24%钢材应用于焊接结构的实例,亦即不宜绝对不允许Q235A级钢的应用。如对经复验其含碳量合格的Q235A级钢或碳含量不大于0.24%的Q235A级钢,经采取必要的焊接措施并检验认可后仍可用于一般承重结构中。而对Q345A级钢,若其碳当量或焊接裂纹敏感性指数符合要求即可用于焊接结构的一般构件,不必因其碳、锰单项指标未符合标准规定而限制其使用。
4.1.3 承重构件所用钢材应具有屈服强度、抗拉强度、伸长率等力学性能和冷弯试验的合格保证;同时尚应具有碳、硫、磷等化学成分的合格保证。焊接结构所用钢材尚应具有良好的焊接性能,其碳当量或焊接裂纹敏感性指数应符合设计要求或相关标准的规定。
条文说明
4.1.3 本条依据现行国家标准《钢结构设计规范》GB 50017规定了高层民用建筑钢结构承重构件钢材应保证的基本性能要求,包括化学成分含量限值、力学性能和工艺性能(冷弯、焊接性能)等,冷弯虽属钢材工艺性能但也是体现钢材材质细化和防脆断性能的参考指标,仍应作为承重结构用钢的基本保证项目。目前实际工程中多以碳当量作为量化焊接性能的指标,其计算公式和允许限值可依现行国家标准《低合金高强度结构钢》GB/T 1591的规定为依据,并按钢材熔炼分析的化学元素含量值计算。由于各种交货状态钢材的碳当量有差异,若对焊接性能有更高要求时,可选用按热机械轧制(TMCP)状态交货的钢材并要求较低的碳当量保证,其在细化晶粒、提高韧性、焊接性能方面有较好的改善效果。
4.1.4 高层民用建筑中按抗震设计的框架梁、柱和抗侧力支撑等主要抗侧力构件,其钢材性能要求尚应符合下列规定:
1 钢材抗拉性能应有明显的屈服台阶,其断后伸长率A不应小于20%;
2 钢材屈服强度波动范围不应大于120N/mm 2 ,钢材实物的实测屈强比不应大于0.85;
3 抗震等级为三级及以上的高层民用建筑钢结构,其主要抗侧力构件所用钢材应具有与其工作温度相应的冲击韧性合格保证。
条文说明
4.1.4 在强烈的交变地震作用下,承重钢结构的工作条件与失效模式与静载作用下的结构是完全不同的。罕遇地震作用时,较大的频率一般为(1~3)Hz,造成建筑物破坏的循环周次通常在(100~200)周以内,因而使结构带有高应变低周疲劳工作的特点,并进入非弹性工作状态。这就要求结构钢材在有较高强度的同时,还应具有适应更大应变与塑性变形的延性和韧性性能,从而实现地震作用能量与结构变形能量的转换,有效地减小地震作用,达到结构大震不倒的设防目标。这一对钢材延性的要求,目前已作为一个基本准则列入美国、加拿大、日本等国的相关技术标准中,我国现行国家标准《建筑抗震设计规范》GB 50011也以强制性条文规定了为保证结构钢材延性的相应指标要求。综上所述,本条提出了对钢材伸长率和屈强比限值的规定。同时为了保证钢材实物产品的屈强比限值不会有较大的波动,参照GJ钢板标准对Q345GJ、Q390GJ性能指标的规定,补充提出了钢材的屈服强度波动范围不应大于120N/mm2的要求。
4.1.5 焊接节点区T形或十字形焊接接头中的钢板,当板厚不小于40mm且沿板厚方向承受较大拉力作用(含较高焊接约束拉应力作用)时,该部分钢板应具有厚度方向抗撕裂性能(Z向性能)的合格保证。其沿板厚方向的断面收缩率不应小于现行国家标准《厚度方向性能钢板》GB/T 5313规定的Z15级允许限值。
条文说明
4.1.5 关于抗层状撕裂性能问题,国内外研究和工程经验均表明,因较高拉应力而在沿厚度方向承受较大撕裂作用的钢材,应有抗撕裂性能(Z向性能)的保证,并需按不同性能等级分别要求板厚方向断面收缩率不小于现行国家标准《厚度方向性能钢板》GB/T 5313规定的15%(Z15)、25%(Z25)和35%(Z35)限值。由于要求Z向性能会大幅增加钢材成本(约15%~20%),而国内有关规范对如何合理选用Z向性能等级缺乏专门研究与相应规定,致使目前工程设计中随意扩大或提高要求Z向性能的情况时有发生。实际上在高层民用建筑钢结构中有较大撕裂作用的典型部位是厚壁箱型柱与梁的焊接节点区,而高额拉应力主要是焊接约束应力。欧洲钢结构规范Eurcode3根据研究成果,已在相关条文中提出了量化确定Z向等级的计算方法,表明影响Z向性能指标的因素主要是:节点处因钢材收缩而受拉的焊脚厚度、焊接接头形式(T字形,十字形)、约束焊缝收缩的钢材厚度、焊后部分结构的间接约束以及焊前预热等,可见抗撕裂性能问题实质上是焊接问题,而结构使用阶段的外拉力并非主要因素。合理的解决方法首先是节点设计应有合理的构造,焊接时采取有效的焊接措施,减少接头区的焊接约束应力等,而不应随意要求并提高Z向性能的等级,在采取相应措施后不宜再提出Z35抗撕裂性能的要求。综上所述,本条做出了相应的规定。
4.1.6 钢框架柱采用箱形截面且壁厚不大于20mm时,宜选用直接成方工艺成型的冷弯方(矩)形焊接钢管,其材质和材料性能应符合现行行业标准《建筑结构用冷弯矩形钢管》JG/T 178中Ⅰ级产品的规定;框架柱采用圆钢管时,宜选用直缝焊接圆钢管,其材质和材料性能应符合现行行业标准《建筑结构用冷成型焊接圆钢管》JG/T 381的规定,其截面规格的径厚比不宜过小。
条文说明
4.1.6 近年来,在高层民用建筑钢结构工程中,箱形截面与方(矩)钢管截面以其优良的截面特性得到了更普遍的应用。随着现行国家标准《结构用冷弯空心型钢尺寸、外形、重量及允许偏差》GB/T 6728和行业标准《建筑结构用冷弯矩形钢管》JG/T 178相继颁布,大尺寸冷弯矩形钢管(600×400×20或500×500×20)亦可批量供货,同时后者还规定了按Ⅰ级产品交货时,应以保证成型管材的力学性能,屈强比、碳当量等作为交货基本保证条件,使得产品质量更有保证。现已有多项工程的框架柱采用冷成型方(矩)钢管混凝土柱的实例。同时工程经验表明,当四块板组合箱形截面壁厚小于16mm,时,不仅加工成本高,工效低而且焊接变形大,导致截面板件平整度差,反而不如采用方(矩)钢管更为合理可行。 由于热轧无缝钢管价格较高,产品规格较小(直径一般小于500mm)并壁厚公差较大,其Q345钢管的屈服强度和—40℃冲击功要低于Q345钢板的相应值。故高层民用建筑钢结构工程中选用较大截面圆钢管时,宜选用直缝焊接圆钢管,并要求其原板和成管后管材的材质性能均符合设计要求或相应标准的规定。还应注意选用时为避免过大的冷作硬化效应降低钢管的延性,其截面规格的径厚比不应过小,根据现有的应用经验,对主要承重构件用钢管不宜小于20(Q235钢)或25(Q345钢)。
4.1.7 偏心支撑框架中的消能梁段所用钢材的屈服强度不应大于345N/mm 2 ,屈强比不应大于0.8;且屈服强度波动范围不应大于100N/mm 2 。有依据时,屈曲约束支撑核心单元可选用材质与性能符合现行国家标准《建筑用低屈服强度钢板》GB/T 28905的低屈服强度钢。
条文说明
4.1.7 为了保证偏心支撑消能梁段有良好的延性和耗能能力,本条依据现行国家标准《建筑抗震设计规范》GB 50011,对其用材的强度级别和屈强比作出了规定。
4.1.8 钢结构楼盖采用压型钢板组合楼板时,宜采用闭口型压型钢板,其材质和材料性能应符合现行国家标准《建筑用压型钢板》GB/T 12755的相关规定。
条文说明
4.1.8 多年来,高层民用建筑钢结构楼盖结构多采用压型钢板-混凝土组合楼板,压型钢板主要作为模板起到施工阶段的承载作用,所沿用板型多为开口型。现行国家标准《建筑用压型钢板》GB/T 12755对建筑用压型钢板的材料、质量、性能等技术要求作出了规定,并提出组合楼板用压型钢板宜采用闭口型板,该种板型可增加组合楼板的有效厚度和刚度,提高楼盖使用的舒适度和隔声效果,并便于吊顶构造,近年来已有较多的工程应用实例,本条据此作出了相应规定。
4.1.9 钢结构节点部位采用铸钢节点时,其铸钢件宜选用材质和材料性能符合现行国家标准《焊接结构用铸钢件》GB/T 7659的ZG 270-480H、ZG 300-500H或ZG 340-550H铸钢件。
条文说明
4.1.9 现行国家标准《钢结构设计规范》GB 50017对铸钢件选材,仅规定了可选用《一般工程用铸造碳钢件》GB/T 11352,但其碳当量过高仅适用于非焊接结构。在近年来国内钢结构工程中,焊接结构用铸钢节点不仅在大跨度管结构中被普遍采用,而且也已有多个在高层民用建筑钢结构中应用的先例,其节点铸钢件所用材料多采用符合欧洲标准的G20Mn5牌号铸钢件。按新修订的国家标准《焊接结构用铸钢件》GB/T 7659-2011的规定,国内已可生产牌号为ZG340-550H的铸钢件,其性能与G20Mn5相当。据此,本条提出了焊接结构用铸钢件的选材规定。 关于铸钢件的材质,因其为铸造成型,缺少轧制改善钢材性能的效应,其致密度、晶粒度均不如轧制钢材,故抗力分项系数要比轧制钢材高15%以上,亦即强度级别相同时,其强度设计值约低15%,加之价格是热轧钢材的(2~3)倍。因而铸钢件是一种性价比不高的钢材,选用铸钢件时,应进行认真的优化比选与论证,防止随意扩大用量并增大工程成本的不合理做法。
4.1.10 钢结构所用焊接材料的选用应符合下列规定:
1 手工焊焊条或自动焊焊丝和焊剂的性能应与构件钢材性能相匹配,其熔敷金属的力学性能不应低于母材的性能。当两种强度级别的钢材焊接时,宜选用与强度较低钢材相匹配的焊接材料。
2 焊条的材质和性能应符合现行国家标准《非合金钢及细晶粒钢焊条》GB/T 5117、《热强钢焊条》GB/T 5118的有关规定。框架梁、柱节点和抗侧力支撑连接节点等重要连接或拼接节点的焊缝宜采用低氢型焊条。
3 焊丝的材质和性能应符合现行国家标准《熔化焊用钢丝》GB/T 14957、《气体保护电弧焊用碳钢、低合金钢焊丝》GB/T 8110、《碳钢药芯焊丝》GB/T 10045及《低合金钢药芯焊丝》GB/T 17493的有关规定。
4 埋弧焊用焊丝和焊剂的材质和性能应符合现行国家标准《埋弧焊用碳钢焊丝和焊剂》GB/T 5293、《埋弧焊用低合金钢焊丝和焊剂》GB/T 12470的有关规定。
条文说明
4.1.10 现行国家标准《钢结构焊接规范》GB 50661对焊接材料的质量、性能要求及与母材的匹配和焊接工艺、焊接构造等有详细的规定,应作为设计选用焊接材料和技术要求的依据。选用焊接材料时应注意其强度、性能与母材的正确匹配关系。同时对重要构件的焊接应选用低氢型焊条,其型号为4315(6)、5015(6)或5515(6)。各类焊接材料与结构钢材的合理匹配关系可见表2:
表2 焊接材料与结构钢材的匹配

注:1 被焊母材有冲击要求时,熔敷金属的冲击功不应低于母材的规定;
2 表中X对应各焊材标准中的相应规定。
4.1.11 钢结构所用螺栓紧固件材料的选用应符合下列规定:
1 普通螺栓宜采用4.6或4.8级C级螺栓,其性能与尺寸规格应符合现行国家标准《紧固件机械性能 螺栓、螺钉和螺柱》GB/T 3098.1、《六角头螺栓 C级》GB/T 5780和《六角头螺栓》GB/T 5782的规定。
2 高强度螺栓可选用大六角高强度螺栓或扭剪型高强度螺栓。高强度螺栓的材质、材料性能、级别和规格应分别符合现行国家标准《钢结构用高强度大六角头螺栓》GB/T 1228、《钢结构用高强度大六角螺母》GB/T 1229、《钢结构用高强度垫圈》GB/T 1230、《钢结构用高强度大六角头螺栓、大六角螺母、垫圈技术条件》GB/T 1231和《钢结构用扭剪型高强度螺栓连接副》GB/T 3632的规定。
3 组合结构所用圆柱头焊钉(栓钉)连接件的材料应符合现行国家标准《电弧螺柱焊用圆柱头焊钉》GB/T 10433的规定。其屈服强度不应小于320N/mm 2 ,抗拉强度不应小于400N/mm 2 ,伸长率不应小于14%。
4 锚栓钢材可采用现行国家标准《碳素结构钢》GB/T 700规定的Q235钢,《低合金高强度结构钢》GB/T 1591中规定的Q345钢、Q390钢或强度更高的钢材。
条文说明
4.1.11 选用高强度螺栓时,设计入应了解大六角型和扭剪型是指高强度螺栓产品的分类,摩擦型和承压型是指高强度螺栓连接的分类,不应将二者混淆。在选用螺栓强度级别时,应注意大六角螺栓有8.8级和10.9级两个强度级别,扭剪型螺栓仅有10.9级。现行行业标准《钢结构高强度螺栓连接技术规程》JGJ 82,对螺栓材料、性能等级、设计指标、连接接头设计与施工验收等有详细的规定,设计时可作为主要的参照依据。
锚栓一般按其承受拉力计算选择截面,故宜选用Q345、Q390等牌号钢。为了增加柱脚刚度或为构造用时,也可选用Q235钢。
4.2 材料设计指标
4.2 材料设计指标
4.2.1 各牌号钢材的设计用强度值应按表4.2.1采用。
表4.2.1 设计用钢材强度值(N/mm 2 )


注:表中厚度系指计算点的钢材厚度,对轴心受拉和受压杆件系指截面中较厚板件的厚度。
条文说明
4.2.1 国家标准《钢结构设计规范》GB 50017-2003中Q235、Q345钢材的抗力分项系数的取值依据仍为1988年以前的试样与统计分析数据,时效性已较差,而对Q390钢、Q420钢、Q460钢及Q345GJ钢板则一直未进行系统的取样与统计分析工作,现规定的取值多为分析推算所得,其科学性、合理性亦不充分。有鉴于此,负责《钢结构设计规范》GB 50017修编工作的编制组根据极限状态设计安全度的准则和概率统计分析参数取值的要求,组织了较大规模的国产结构钢材材性调研和试样取集以及试验研究工作。共对上述牌号钢材取集试样1.8万余组,代表了十个钢厂约27万吨钢材,在统一取样,统一试验,并对材料性能不定性、材料几何特性不定性及试验不定性等重要影响参数深入细致分析的基础上,得出了规律性的相关公式与计算参数,最终经细化分析计算得出了Q235、Q345、Q390、Q420、Q460与Q345GJ等牌号钢材的抗力分项系数与强度设计值,建议列入规范。该项研究已作为大型课题于2012年9月通过了专家鉴定并给予较高评价,认为研究结论所得数据代表性强、可信度高,一致同意其建议值可列入正修订的《钢结构设计规范》GB 50017作为设计依据。本条表4.2.1即据此列入了各牌号钢的强度设计值。应用表4.2.1各强度设计值时,需注意各钢种系列的厚度分组是不相同的,新采用的抗力分项系数也因厚度分组不同而略有差异,较合理的体现了其性能的差异性。 2008年在本规程的修订中,中国建筑标准设计研究院与舞阳钢厂、重庆大学等单位也组织了专题研究,对舞阳钢厂的Q345GJ钢板产品进行了系统的抽样统计分析与试验研究,其成果也较早通过了专家鉴定,最终确认舞阳钢厂的Q345GJ钢板仍可按抗力分项系数为1.111取值。这与表4.2.1中所列相关值也是一致的。
4.2.2 冷弯成型的型材与管材,其强度设计值应按现行国家标准《冷弯薄壁型钢结构技术规范》GB 50018的规定采用。
4.2.3 焊接结构用铸钢件的强度设计值应按表4.2.3采用。
表4.2.3 焊接结构用铸钢件的强度设计值(N/mm 2 )

注:本表适用于厚度为100mm以下的铸件。
条文说明
4.2.3 现行国家标准《钢结构设计规范》GB 50017规定了《一般工程用铸造碳钢件》GB/T 11352的强度设计值,其抗力分项系数按γR=1.282取值。表4.2.3即按此值计算列出了焊接结构用铸钢件的强度设计值。
4.2.4 设计用焊缝的强度值应按表4.2.4采用。
表4.2.4 设计用焊缝强度值(N/mm 2 )


注:1 焊缝质量等级应符合现行国家标准《钢结构焊接规范》GB 50661的规定,其检验方法应符合现行国家标准《钢结构工程施工质量验收规范》GB 50205的规定。其中厚度小于8mm钢材的对接焊缝,不应采用超声波探伤确定焊缝质量等级。
2 对接焊缝在受压区的抗弯强度设计值取f w c ,在受拉区的抗弯强度设计值取f w t 。
3 表中厚度系指计算点的钢材厚度,对轴心受拉和轴心受压构件系指截面中较厚板件的厚度。
4 进行无垫板的单面施焊对接焊缝的连接计算时,上表规定的强度设计值应乘折减系数0.85。
5 Q345GJ钢与Q345钢焊接时,焊缝强度设计值按较低者采用。
条文说明
4.2.4 表4.2.4根据新的钢材性能指标和调整后的钢材强度设计值,列出了焊缝的强度设计值,同时根据现行国家标准《钢结构焊接规范》GB 50661和相应的焊剂、焊丝标准补充列出了其与钢材匹配的型号。当抗震设计需进行焊接连接极限承载力验算时,其对接焊缝极限强度可按表中fu取值,角焊缝可按0.58fu取值。
4.2.5 设计用螺栓的强度值应按表4.2.5采用。
表4.2.5 设计用螺栓的强度值(N/mm 2 )

注:1 A级螺栓用于d≤24mm和l≤10d或l≤150mm(按较小值)的螺栓;B级螺栓用于d>24mm或l>10d或l>150mm(按较小值)的螺栓。d为公称直径,l为螺杆公称长度。
2 B级螺栓孔的精度和孔壁表面粗糙度及C级螺栓孔的允许偏差和孔壁表面粗糙度,均应符合现行国家标准《钢结构工程施工质量验收规范》GB 50205的规定。
3 摩擦型连接的高强度螺栓钢材的抗拉强度最小值与表中承压型连接的高强度螺栓相应值相同。
条文说明
4.2.5 表4.2.5按《钢结构设计规范》GB 50017-2003列出了螺栓和锚栓的强度设计值。同时增加了锚栓和高强度螺栓钢材的抗拉强度最小值。
5 荷载与作用
5.1 竖向荷载和温度作用
5 荷载与作用
5.1 竖向荷载和温度作用
5.1.1 高层民用建筑的楼面活荷载、屋面活荷载及屋面雪荷载等应按现行国家标准《建筑结构荷载规范》GB 50009的规定采用。
条文说明
5.1.1 高层民用建筑的竖向荷载应按现行国家标准《建筑结构荷载规范》GB 50009的相关规定采用。当业主对楼面活荷载有特别要求时,可按业主的要求采用,但不应小于现行国家标准《建筑结构荷载规范》GB 50009的规定值。
5.1.2 计算构件内力时,楼面及屋面活荷载可取为各跨满载,楼面活荷载大于4kN/m 2 时宜考虑楼面活荷载的不利布置。
条文说明
5.1.2 高层民用建筑中活荷载与永久荷载相比是不大的,不考虑活荷载不利分布可简化计算。但楼面活荷载大于4kN/m2时,宜考虑不利布置,如通过增大梁跨中弯矩的方法等。
5.1.3 施工中采用附墙塔、爬塔等对结构有影响的起重机械或其他施工设备时,应根据具体情况验算施工荷载对结构的影响。
条文说明
5.1.3 结构设计要考虑施工时的情况,对结构进行验算。
5.1.4 旋转餐厅轨道和驱动设备自重应按实际情况确定。
5.1.5 擦窗机等清洁设备应按实际情况确定其大小和作用位置。
5.1.6 直升机平台的活荷载应采用下列两款中能使平台产生最大内力的荷载:
1 直升机总重量引起的局部荷载,应按实际最大起飞重量决定的局部荷载标准值乘以动力系数确定。对具有液压轮胎起落架的直升机,动力系数可取1.4;当没有机型技术资料时,局部荷载标准值及其作用面积可根据直升机类型按表5.1.6取用。
表5.1.6 局部荷载标准值及其作用面积

2 等效均布活荷载5kN/m 2 。
条文说明
5.1.6 本条关于直升机平台活荷载的规定,是根据现行国家标准《建筑结构荷载规范》GB 50009的有关规定确定的。
5.1.7 宜考虑施工阶段和使用阶段温度作用对钢结构的影响。
条文说明
5.1.7 温度作用属于可变的间接荷载,主要由季节性气温变化、太阳辐射、使用热源等因素引起。钢结构对温度比较敏感,所以宜考虑其对结构的影响。
5.2 风荷载
5.2 风 荷 载
5.2.1 垂直于高层民用建筑表面的风荷载,包括主要抗侧力结构和围护结构的风荷载标准值,应按现行国家标准《建筑结构荷载规范》GB 50009的规定计算。
条文说明
5.2.1 风荷载计算主要依据现行国家标准《建筑结构荷载规范》GB 50009的规定。
5.2.2 对于房屋高度大于30m且高宽比大于1.5的房屋,应考虑风压脉动对结构产生顺风向振动的影响。结构顺风向风振响应计算应按随机振动理论进行,结构的自振周期应按结构动力学计算。
对横风向风振作用效应或扭转风振作用效应明显的高层民用建筑,应考虑横风向风振或扭转风振的影响。横风向风振或扭转风振的计算范围、方法及顺风向与横风向效应的组合方法应符合现行国家标准《建筑结构荷载规范》GB 50009的有关规定。
条文说明
5.2.2 本条是根据现行国家标准《建筑结构荷载规范》GB 50009的要求拟定的,意在提醒设计人员注意考虑结构顺风向风振、横风向风振或扭转风振对高层民用建筑钢结构的影响。一般高层民用建筑钢结构高度较高,高宽比较大,结构顶点风速可能大于临界风速,引起较明显的结构横向振动。横风向风振作用效应明显一般是指房屋高度超过150m或者高宽比大于5的高层民用建筑钢结构。
判断高层民用建筑钢结构是否需要考虑扭转风振的影响,主要考虑房屋的高度、高宽比、厚宽比、结构自振频率、结构刚度与质量的偏心等多种因素。
5.2.3 考虑横风向风振或扭转风振影响时,结构顺风向及横风向的楼层层间最大水平位移与层高之比应分别符合本规程第3.5.2条的规定。
条文说明
5.2.3 横风向效应与顺风向效应是同时发生的,因此必须考虑两者的效应组合。但对于结构侧向位移的控制,不必考虑矢量和方向控制结构的层间位移,而是仍按同时考虑横风向与顺风向影响后的计算方向位移确定。
5.2.4 基本风压应按现行国家标准《建筑结构荷载规范》GB 50009的规定采用。对风荷载比较敏感的高层民用建筑,承载力设计时应按基本风压的1.1倍采用。 ( 自2022年1月1日起废止该条,详见新规 《钢结构通用规范》GB 55006-2021)
条文说明
5.2.4 按照现行国家标准《建筑结构荷载规范》GB 50009的规定,对风荷载比较敏感的高层民用建筑,其基本风压适当提高。因此,本条明确了承载力设计时,应按基本风压的1.1倍采用。
对风荷载是否敏感,主要与高层民用建筑的体型、结构体系和自振特性有关,目前尚无实用的划分标准。一般情况下高度大于60m的高层民用建筑,承载力设计时风荷载计算可按基本风压的1.1倍采用;对于房屋高度不超过60m的高层民用建筑,风荷载取值是否提高,可由设计人员根据实际情况确定。
本条的规定,对设计使用年限为50年和100年的高层民用建筑钢结构都是适用的。
5.2.5 计算主体结构的风荷载效应时,风荷载体型系数μ s 可按下列规定采用:
1 对平面为圆形的建筑可取0.8。
2 对平面为正多边形及三角形的建筑可按下式计算:

式中:μ s ——风荷载体型系数;
n——多边形的边数。
3 高宽比H/B不大于4的平面为矩形、方形和十字形的建筑可取1.3。
4 下列建筑可取1.4:
1)平面为V形、Y形、弧形、双十字形和井字形的建筑;
2)平面为L形和槽形及高宽比H/B大于4的平面为十字形的建筑;
3)高宽比H/B大于4、长宽比L/B不大于1.5的平面为矩形和鼓形的建筑。
5 在需要更细致计算风荷载的场合,风荷载体型系数可由风洞试验确定。
条文说明
5.2.5 本条是对现行国家标准《建筑结构荷载规范》GB 50009有关规定的适当简化和整理,以便于高层民用建筑钢结构设计时采用。
5.2.6 当多栋或群集的高层民用建筑相互间距较近时,宜考虑风力相互干扰的群体效应。一般可将单栋建筑的体型系数μ s 乘以相互干扰增大系数,该系数可参考类似条件的试验资料确定,必要时通过风洞试验或数值技术确定。
条文说明
5.2.6 对高层民用建筑群,当房屋相互间距较近时,由于漩涡的相互干扰,房屋某些部位的局部风压会显著增大,所以设计人员应予注意。对重要的高层民用建筑,建议在风洞试验中考虑周围建筑物的干扰因素。
本规程中所说的风洞试验是指边界层风洞试验。
5.2.7 房屋高度大于200m或有下列情况之一的高层民用建筑,宜进行风洞试验或通过数值技术判断确定其风荷载:
1 平面形状不规则,立面形状复杂;
2 立面开洞或连体建筑;
3 周围地形和环境较复杂。
条文说明
5.2.7 对结构平面及立面形状复杂、开洞或连体建筑及周围地形和环境复杂的结构,建议进行风洞试验或通过数值计算。对风洞试验或数值计算的结果,当与按规范计算的风荷载存在较大差距时,设计人员应进行分析判断,合理确定建筑物的风荷载取值。
5.2.8 计算檐口、雨篷、遮阳板、阳台等水平构件的局部上浮风荷载时,风荷载体型系数μ s 不宜大于—2.0。
条文说明
5.2.8 高层民用建筑表面的风荷载压力分布很不均匀,在角隅,檐口,边棱处和附属结构的部位(如阳台、雨篷等外挑构件),局部风压会超过按本规程第5.2.5条体型系数计算的平均风压。根据风洞试验和一些实测成果,并参考国外的风荷载规范,对水平外挑构件,其局部体型系数不宜大于—2.0。
5.2.9 设计高层民用建筑的幕墙结构时,风荷载应按国家现行标准《玻璃幕墙工程技术规范》JGJ 102、《金属与石材幕墙工程技术规范》JGJ 133、《人造板材幕墙工程技术规范》JGJ 336和《建筑结构荷载规范》GB 50009的有关规定采用。
条文说明
5.2.9 建筑幕墙设计时的风荷载计算,应按现行国家标准《建筑结构荷载规范》GB 50009以及幕墙的相关现行行业标准的有关规定采用。
5.3 地震作用
5.3 地震作用
5.3.1 高层民用建筑钢结构的地震作用计算除应符合现行国家标准《建筑抗震设计规范》GB 50011的有关规定外,尚应符合下列规定:
1 扭转特别不规则的结构,应计入双向水平地震作用下的扭转影响;其他情况,应计算单向水平地震作用下的扭转影响;
2 9度抗震设计时应计算竖向地震作用;
3 高层民用建筑中的大跨度、长悬臂结构,7度(0.15g)、 8度抗震设计时应计入竖向地震作用。 ( 自2022年1月1日起废止该条,详见新规 《钢结构通用规范》GB 55006-2021)
条文说明
5.3.1 本条基本采用了引用的方法。除第3款“7度(0.15g)”外,与现行国家标准《建筑抗震设计规范》GB 50011的规定基本一致。某一方向水平地震作用主要由该方向抗侧力构件承担。有斜交抗侧力构件的结构,当交角大于15°时,应考虑斜交构件方向的地震作用计算。扭转特别不规则的结构应考虑双向地震作用的扭转影响。
大跨度指跨度大于24m的楼盖结构、跨度大于12m的转换结构,悬挑长度大于5m的悬挑结构。大跨度、长悬臂结构应验算自身及其支承部位结构的竖向地震效应。
大跨度、长悬臂结构7度(0.15g)时也应计入竖向地震作用的影响。主要原因是:高层民用建筑由于高度较高,竖向地震作用效应放大比较明显。
5.3.2 高层民用建筑钢结构的抗震计算,应采用下列方法:
1 高层民用建筑钢结构宜采用振型分解反应谱法;对质量和刚度不对称、不均匀的结构以及高度超过100m的高层民用建筑钢结构应采用考虑扭转耦联振动影响的振型分解反应谱法。
2 高度不超过40m、以剪切变形为主且质量和刚度沿高度分布比较均匀的高层民用建筑钢结构,可采用底部剪力法。
3 7度~9度抗震设防的高层民用建筑,下列情况应采用弹性时程分析进行多遇地震下的补充计算。
1)甲类高层民用建筑钢结构;
2)表5.3.2所列的乙、丙类高层民用建筑钢结构;
3)不满足本规程第3.3.2条规定的特殊不规则的高层民用建筑钢结构。
表5.3.2 采用时程分析的房屋高度范围

4 计算罕遇地震下的结构变形,应按现行国家标准《建筑抗震设计规范》GB 50011的规定,采用静力弹塑性分析方法或弹塑性时程分析法。
5 计算安装有消能减震装置的高层民用建筑的结构变形,应按现行国家标准《建筑抗震设计规范》GB 50011的规定,采用静力弹塑性分析方法或弹塑性时程分析法。
条文说明
5.3.2 不同的结构采用不同的分析方法在各国抗震规范中均有体现,振型分解反应谱法和底部剪力法仍是基本方法。对高层民用建筑钢结构主要采用振型分解反应谱法,底部剪力法的应用范围较小。弹性时程分析法作为补充计算方法,在高层民用建筑中已得到比较普遍的应用。
本条第3款对于需要采用弹性时程分析法进行补充计算的高层民用建筑钢结构作了具体规定,这些结构高度较高或刚度、承载力和质量沿竖向分布不均匀的特别不规则建筑或特别重 要的甲、乙类建筑。所谓“补充”,主要指对计算的底部剪力、楼层剪力和层间位移进行比较,当时程法分析结果大于振型分解反应谱法分析结果时,相关部位的构件内力作相应的调整。
本条第4、5款规定了罕遇地震和有消能减震装置的高层民用建筑钢结构计算应采用的分析方法。
5.3.3 进行结构时程分析时,应符合下列规定:
1 应按建筑场地类别和设计地震分组,选取实际地震记录和人工模拟的加速度时程曲线,其中实际地震记录的数量不应少于总数量的2/3,多组时程曲线的平均地震影响系数曲线应与振型分解反应谱法所采用的地震反应谱曲线在统计意义上相符。进行弹性时程分析时,每条时程曲线计算所得结构底部剪力不应小于振型分解反应谱法计算结果的65%,多条时程曲线计算所得结构底部剪力平均值不应小于振型分解反应谱法计算结果的80%。
2 地震波的持续时间不宜小于建筑结构基本自振周期的5倍和15s,地震波的时间间距可取0.01s或0.02s。
3 输入地震加速度的最大值可按表5.3.3采用。
表5.3.3 时程分析所用地震加速度最大值(cm/s 2 )

注:括号内数值分别用于设计基本地震加速度为0.15g和0.30g的地区。
4 当取三组加速度时程曲线输入时,结构地震作用效应宜取时程法计算结果的包络值与振型分解反应谱法计算结果的较大值;当取七组及七组以上的时程曲线进行计算时,结构地震作用效应可取时程法计算结果的平均值与振型分解反应谱法计算结果的较大值。
条文说明
5.3.3 进行时程分析时,鉴于不同地震波输入进行时程分析的结果不同,本条规定一般可以根据小样本容量下的计算结果来估计地震效应值。通过大量地震加速度记录输入不同结构进行时程分析结果的统计分析,若选用不少于2组实际记录和1组人工模拟的加速度时程曲线作为输入,计算的平均地震效应值不小于大样本容量平均值的保证率在85%以上,而且一般也不会偏大很多。当选用较多的地震波,如5组实际记录和2组人工模拟时程曲线,则保证率很高。所谓“在统计意义上相符”是指,多组时程波的平均地震影响系数曲线与振型分解反应谱法所用的地震影响系数相比,在对应于结构主要振型的周期点上相差不大于20%。计算结果的平均底部剪力一般不会小于振型分解反应谱法计算结果的80%,每条地震波输入的计算结果不会小于65%;从工程应用角度考虑,可以保证时程分析结果满足最低安全要求。但时程法计算结果也不必过大,每条地震波输入的计算结果不大于135%,多条地震波输入的计算结果平均值不大于120%,以体现安全性与经济性的平衡。 正确选择输入的地震加速度时程曲线,要满足地震动三要素的要求,即频谱特性、有效峰值和持续时间均要符合规定。频谱特性可用地震影响系数曲线表征,依据所处的场地类别和设计地震分组确定;加速度的有效峰值按表5.3.3采用。输入地震加速度时程曲线的有效持续时间,一般从首次达到该时程曲线最大峰值的10%那一点算起,到最后一点达到最大峰值的10%为止,约为结构基本周期的(5~10)倍。 本次修订增加了结构抗震性能设计规定,本条第3款给出了设防地震(中震)和6度时的数值。
5.3.4 计算地震作用时,重力荷载代表值应取永久荷载标准值和各可变荷载组合值之和。各可变荷载的组合值系数应按表5.3.4采用。
表5.3.4 组合值系数

5.3.5 建筑结构的地震影响系数应根据烈度、场地类别、设计地震分组和结构自振周期以及阻尼比确定。其水平地震影响系数最大值α max 应按表5.3.5-1采用;对处于发震断裂带两侧10km以内的建筑,尚应乘以近场效应系数。近场效应系数,5km以内取1.5,5km~10km取1.25。特征周期T g 应根据场地类别和设计地震分组按表5.3.5-2采用,计算罕遇地震作用时,特征周期应增加0.05s。周期大于6.0s的高层民用建筑钢结构所采用的地震影响系数应专门研究。
表5.3.5-1 水平地震影响系数最大值α max

注:7、8度时括号内的数值分别用于设计基本地震加速度为0.15g和0.30g的地区。
表5.3.5-2 特征周期值T g (s)

条文说明
5.3.5 本条规定了水平地震影响系数最大值和场地特征周期取值。现阶段仍采用抗震设防烈度所对应的水平地震影响系数最大值αmax,多遇地震烈度(小震)和预估的罕遇地震烈度(大震)分别对应于50年设计基准周期内超越概率为63%和2%~3%的地震烈度。本次按现行国家标准《建筑抗震设计规范》GB 50011作了修订,补充中震参数和近场效应的规定;同时为了与结构抗震性能设计要求相适应,增加了设防烈度地震(中震)的地震影响系数最大值规定。 根据土层等效剪切波速和场地覆盖层厚度将建筑的场地划分为Ⅰ、Ⅱ、Ⅲ、Ⅳ四类,其中Ⅰ类分为Ⅰ0和Ⅰ1两个亚类,本规程中提及Ⅰ类场地而未专门注明Ⅰ0或Ⅰ1的均包含这两个亚类。
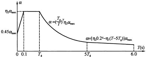
5.3.6 建筑结构地震影响系数曲线(图5.3.6)的阻尼调整和形状参数应符合下列规定:
1 当建筑结构的阻尼比为0.05时,地震影响系数曲线的阻尼调整系数应按1.0采用,形状参数应符合下列规定:
1)直线上升段,周期小于0.1s的区段;
2)水平段,自0.1s至特征周期T g 的区段,地震影响系数应取最大值α max ;
3)曲线下降段,自特征周期至5倍特征周期的区段,衰减指数γ应取0.9;
4)直线下降段,自5倍特征周期至6.0s的区段,下降斜率调整系数η 1 应取0.02。

图5.3.6 地震影响系数曲线
α-地震影响系数;α max -地震影响系数最大值;η 1 -直线下降段的下降斜率调整系数;γ-衰减指数;T g -特征周期;η 2 -阻尼调整系数;T-结构自振周期
2 当建筑结构的阻尼比不等于0.05时,地震影响系数曲线的阻尼调整系数和形状参数应符合下列规定:
1)曲线下降段的衰减指数应按下式确定:

式中:γ——曲线下降段的衰减指数;
ξ——阻尼比。
2)直线下降段的下降斜率调整系数应按下式确定:

式中:η 1 ——直线下降段的下降斜率调整系数,小于0时取0。
3)阻尼调整系数应按下式确定:

式中:η 2 ——阻尼调整系数,当小于0.55时,应取0.55。
条文说明
5.3.6 弹性反应谱理论仍是现阶段抗震设计的最基本理论,本规程的反应谱与现行国家标准《建筑抗震设计规范》GB 50011一致。这次《建筑抗震设计规范》GB 50011-2010只对其参数进行调整,达到以下效果: 1 阻尼比为5%的地震影响系数维持不变。 2 基本解决了在长周期段不同阻尼比地震影响系数曲线交叉、大阻尼曲线值高于小阻尼曲线值的不合理现象。Ⅰ、Ⅱ、Ⅲ类场地的地震影响系数曲线在周期接近6s时,基本交汇在一点上,符合理论和统计规律。 3 降低了小阻尼(2%~3.5%)的地震影响系数值,最大降低幅度达18%,使钢结构设计地震作用有所降低。 4 略微提高了阻尼比6%~10%的地震影响系数值,长周期部分最大增幅约5%。 5 适当降低了大阻尼(20%~30%)的地震影响系数,在5Tg周期以内,基本不变,长周期部分最大降幅约10%,扩大了消能减震技术的应用范围。
5.3.7 多遇地震下计算双向水平地震作用效应时可不考虑偶然偏心的影响,但应验算单向水平地震作用下考虑偶然偏心影响的楼层竖向构件最大弹性水平位移与最大和最小弹性水平位移平均值之比;计算单向水平地震作用效应时应考虑偶然偏心的影响。每层质心沿垂直于地震作用方向的偏移值可按下列公式计算:

式中:e i ——第i层质心偏移值(m),各楼层质心偏移方向相同;
r i ——第i层相应质点所在楼层平面的转动半径(m);
L i ——第i层垂直于地震作用方向的建筑物长度(m)。
条文说明
5.3.7 本条规定主要是考虑结构地震动力反应过程中可能由于地面扭转运动,结构实际的刚度和质量分布相对于计算假定值的偏差,以及在弹塑性反应过程中各抗侧力结构刚度退化程度不同等原因引起的扭转反应增大,特别是目前对地面运动扭转分量的强震实测记录很少,地震作用计算中还不能考虑输入地面运动扭转分量。采用附加偶然偏心作用计算是一种实用方法。 本条规定方形及矩形平面直接取各层质量偶然偏心为0.05Li,其他形式平面取0.172ri来计算单向水平地震作用。实际计算时,可将每层质心沿主轴的同一方向(正向或反向)偏移。 采用底部剪力法计算地震作用时,也应考虑偶然偏心的不利影响。 当采用双向地震作用计算时,可不考虑偶然偏心的影响,但进行位移比计算时,按单向地震作用考虑偶然偏心影响计算。同时应与单向地震作用考虑偶然偏心的计算结果进行比较,取不利的情况进行设计。
5.4 水平地震作用计算
5.4 水平地震作用计算
5.4.1 采用振型分解反应谱法时,对于不考虑扭转耦联影响的结构,应按下列规定计算其地震作用和作用效应:
1 结构j振型i层的水平地震作用标准值,应按下列公式确定:

式中:F ji ——j振型i层的水平地震作用标准值;
α j ——相应于j振型自振周期的地震影响系数,应按本规程第5.3.5条、第5.3.6条确定;
X ji ——j振型i层的水平相对位移;
γ j ——j振型的参与系数;
G i ——i层的重力荷载代表值,应按本规程第5.3.4条确定;
n——结构计算总层数,小塔楼宜每层作为一个质点参与计算;
m——结构计算振型数;规则结构可取3,当建筑较高、结构沿竖向刚度不均匀时可取5~6。
2 水平地震作用效应,当相邻振型的周期比小于0.85时,可按下式计算:

式中:S Ek ——水平地震作用标准值的效应;
S j ——j振型水平地震作用标准值的效应(弯矩、剪力、轴向力和位移等)。
5.4.2 考虑扭转影响的平面、竖向不规则结构,按扭转耦联振型分解法计算时,各楼层可取两个正交的水平位移和一个转角位移共三个自由度,并应按下列规定计算结构的地震作用和作用效应。确有依据时,尚可采用简化计算方法确定地震作用效应。
1 j振型i层的水平地震作用标准值,应按下列公式确定:

式中:F xji 、F yji 、F tji ——分别为j振型i层的x方向、y方向和转角方向的地震作用标准值;
X ji 、Y ji ——分别为j振型i层质心在x、y方向的水平相对位移;
φ ji ——j振型i层的相对扭转角;
r i ——i层转动半径,可取i层绕质心的转动惯量除以该层质量的商的正二次方根;
α j ——相当于第j振型自振周期T j 的地震影响系数,应按本规程第5.3.5条、第5.3.6条确定;
γ tj ——计入扭转的j振型参与系数,可按本规程式(5.4.2-2)~式(5.4.2-4)确定;
n——结构计算总质点数,小塔楼宜每层作为一个质点参与计算;
m——结构计算振型数。一般情况可取9~15,多塔楼建筑每个塔楼振型数不宜小于9。

式中:γ xj 、γ yj ——分别由式(5.4.2-2)、式(5.4.2-3)求得的振型参与系数;
θ——地震作用方向与x方向的夹角(度)。
2 单向水平地震作用下,考虑扭转耦联的地震作用效应,应按下列公式确定:

式中:S Ek ——考虑扭转的地震作用标准值的效应;
S j 、S k ——分别为j、k振型地震作用标准值的效应;
ξ j 、ξ k ——分别为j、k振型的阻尼比;
ρ jk ——j振型与k振型的耦联系数;
λ T ——k振型与j振型的自振周期比。
3 考虑双向水平地震作用下的扭转地震作用效应,应按下列公式中的较大值确定:

式中:S x ——仅考虑x向水平地震作用时的地震作用效应,按式(5.4.2-5)计算;
S y ——仅考虑y向水平地震作用时的地震作用效应,按式(5.4.2-5)计算。
条文说明
5.4.2 引用现行国家标准《建筑抗震设计规范》GB 50011的条文。增加了考虑双向水平地震作用下的地震效应组合方法。根据强震观测记录的统计分析,两个方向水平地震加速度的最大值不相等,二者之比约为1:0.85;而且两个方向的最大值不一定发生在同一时刻,因此采用完全两次型方根法计算两个方向地震作用效应的组合(CQC法)。 作用效应包括楼层剪力,弯矩和位移,也包括构件内力(弯矩、剪力、轴力、扭矩等)和变形。 本规程建议的振型数是对质量和刚度分布比较均匀的结构而言的。对于质量和刚度分布不均匀的结构,振型分解反应谱法所需的振型数一般可取为振型参与质量达到总质量的90%时所需的振型数。
5.4.3 采用底部剪力法计算高层民用建筑钢结构的水平地震作用时,各楼层可仅取一个自由度,结构的水平地震作用标准值,应按下列公式确定(图5.4.3)。

图5.4.3 结构水平地震作用计算简图
式中:F Ek ——结构总水平地震作用标准值(kN);
α 1 ——相应于结构基本自振周期的水平地震影响系数值,应按本规程第5.3.5条、第5.3.6条确定;
G eq ——结构等效总重力荷载代表值(kN),多质点可取总重力荷载代表值的85%;
F i ——质点i的水平地震作用标准值(kN);
G i 、G j ——分别为集中于质点i、j的重力荷载代表值(kN),应按本规程第5.3.4条确定;
H i 、H j ——分别为质点i、j的计算高度(m);
δ n ——顶部附加地震作用系数,按表5.4.3采用;
△F n ——顶部附加水平地震作用(kN)。
表5.4.3 顶部附加地震作用系数δ n

注:T 1 为结构基本自振周期。
条文说明
5.4.3 底部剪力法在高层民用建筑水平地震作用计算中已很少应用,但作为一种方法,本规程仍予以保留。 对于规则结构,采用本条方法计算水平地震作用时,仍应考虑偶然偏心的不利影响。
5.4.4 高层民用建筑钢结构采用底部剪力法计算水平地震作用时,突出屋面的屋顶间、女儿墙、烟囱等的地震作用效应,宜乘以增大系数3。此增大部分不应往下传递,但与该突出部分相连的构件应予计入;采用振型分解法反应谱时,突出屋面部分可作为一个质点。
5.4.5 多遇地震水平地震作用计算时,结构各楼层对应于地震作用标准值的剪力应符合现行国家标准《建筑抗震设计规范》GB 50011的有关规定。 ( 自2022年1月1日起废止该条,详见新规 《钢结构通用规范》GB 55006-2021)
条文说明
5.4.5 本条采用直接引用方法,与现行国家标准《建筑抗震设计规范》GB 50011的有关规定一致。由于地震影响系数在长周期段下降较快,对于基本周期大于3.5s的结构,由此计算所得的水平地震作用下的结构效应可能过小。出于结构安全的考虑,增加了对各楼层水平地震剪力最小值的要求,规定了不同设防烈度下的楼层最小地震剪力系数值。当不满足时,结构水平地震总剪力和各楼层的水平地震剪力均需要进行相应的调整,或改变结构的刚度使之达到规定的要求。但当基本周期为3.5s~5.0s的结构,计算的底部剪力系数比规定值低15%以内、基本周期为5.0s~6.0s的结构,计算的底部剪力系数比规定值低18%以内、基本周期大于6.0s的结构,计算的底部剪力系数比规定值低20%以内,不必采取提高结构刚度的办法来满足计算剪力系数最小值的要求,而是可采用本条关于剪力系数最小值的规定进行调整设计,满足承载力要求即可。 对于竖向不规则结构的薄弱层的水平地震剪力,本规程第3.3.3条规定应乘以不小于1.15的增大系数,该层剪力放大后,仍需要满足本条规定,即该层的地震剪力系数不应小于规定数值的1.15倍。
扭转效应明显的结构,是指楼层两端弹性水平位移(或层间位移)的最大值与其平均值的比值大于1.2倍的结构。
5.4.6 高层民用建筑钢结构抗震计算时的阻尼比取值宜符合下列规定:
1 多遇地震下的计算:高度不大于50m可取0.04;高度大于50m且小于200m可取0.03;高度不小于200m时宜取0.02;
2 当偏心支撑框架部分承担的地震倾覆力矩大于地震总倾覆力矩的50%时,多遇地震下的阻尼比可比本条1款相应增加0.005;
3 在罕遇地震作用下的弹塑性分析,阻尼比可取0.05。
条文说明
5.4.6 本条引用现行国家标准《建筑抗震设计规范》GB 50011的规定。 采用该阻尼比后,地震影响系数均应按本规程第5.3.5条、第5.3.6条的规定计算。
5.5 竖向地震作用
5.5 竖向地震作用
5.5.1 9度时的高层民用建筑钢结构,其竖向地震作用标准值应按下列公式确定(图5.5.1);楼层各构件的竖向地震作用效应可按各构件承受的重力荷载代表值的比例分配,并宜乘以增大

式中:F Evk ——结构总竖向地震作用标准值(kN);
F vi ——质点i的竖向地震作用标准值(kN);
α vmax ——竖向地震影响系数最大值,可取水平地震影响系数最大值的65%;
G eq ——结构等效总重力荷载代表值(kN),可取其总重力荷载代表值的75%。
条文说明
5.5.1 本条竖向地震作用的计算,是现行国家标准《建筑抗震设计规范》GB 50011所规定的,采用了简化的计算方法。
5.5.2 跨度大于24m的楼盖结构、跨度大于12m的转换结构和连体结构,悬挑长度大于5m的悬挑结构,结构竖向地震作用效应标准值宜采用时程分析法或振型分解反应谱法进行计算。时程分析计算时输入的地震加速度最大值可按规定的水平输入最大值的65%采用,反应谱分析时结构竖向地震影响系数最大值可按水平地震影响系数最大值的65%采用,设计地震分组可按第一组采用。
条文说明
5.5.2 本条主要考虑目前高层民用建筑中较多采用大跨度和长悬挑结构,需要采用时程分析方法或反应谱方法进行竖向地震分析,给出了反应谱和时程分析计算时需要的数据。反应谱采用水平反应谱的65%,包括最大值和形状参数,但认为竖向反应谱的特征周期与水平反应谱相比,尤其在远离震中时,明显小于水平反应谱,故本条规定,现行特征周期均按第一组采用。对处于发震断裂10km以内的场地,其最大值可能接近水平反应谱,特征周期小于水平谱。
5.5.3 高层民用建筑中,大跨度结构、悬挑结构、转换结构、连体结构的连接体的竖向地震作用标准值,不宜小于结构或构件承受的重力荷载代表值与表5.5.3规定的竖向地震作用系数的乘积。
表5.5.3 竖向地震作用系数

注:g为重力加速度。
条文说明
5.5.3 高层民用建筑中的大跨度、悬挑、转换、连体结构的竖向地震作用大小与其所处的位置以及支承结构的刚度都有一定关系,因此对于跨度较大,所处位置较高的情况,建议采用本规程第5.5.1条、第5.5.2条的规定进行竖向地震作用计算,并且计算结果不宜小于本条规定。
为了简化计算,跨度或悬挑长度不大于本规程第5.5.2条规定的大跨结构和悬挑结构,可直接按本条规定的地震作用系数乘以相应的重力荷载代表值作为竖向地震作用标准值。
6 结构计算分析
6.1 一般规定
6 结构计算分析
6.1 一般规定
6.1.1 在竖向荷载、风荷载以及多遇地震作用下,高层民用建筑钢结构的内力和变形可采用弹性方法计算;罕遇地震作用下,高层民用建筑钢结构的弹塑性变形可采用弹塑性时程分析法或静力弹塑性分析法计算。
条文说明
6.1.1 多遇地震作用下的内力和变形分析是对结构地震反应、截面承载力验算和变形验算最基本的要求。按现行国家标准《建筑抗震设计规范》GB 50011的规定,建筑物当遭受不低于本地区抗震设防烈度的多遇地震影响时,主体结构不受损坏或不需修理可继续使用,与此相应,结构在多遇地震作用下的反应分析的方法,截面抗震验算,以及层间弹性位移的验算,都是以线弹性理论为基础。因此,本条规定,当建筑结构进行多遇地震作用下的内力和变形分析时,可假定结构与构件处于弹性工作状态。 现行国家标准《建筑抗震设计规范》GB 50011同样也规定:当建筑物遭受高于本地区抗震设防烈度的罕遇地震影响时,不致倒塌或者发生危及生命的严重破坏。高层民用建筑钢结构抗侧力系统相对复杂,有可能发生应力集中和变形集中,严重时会导致重大的破坏甚至倒塌的危险,因此,本条也提出了弹塑性变形采用弹塑性分析方法的要求。
6.1.2 计算高层民用建筑钢结构的内力和变形时,可假定楼盖 在其自身平面内为无限刚性,设计时应采取相应措施保证楼盖平面内的整体刚度。当楼盖可能产生较明显的面内变形时,计算时应采用楼盖平面内的实际刚度,考虑楼盖的面内变形的影响。
条文说明
6.1.2 一般情况下,可将楼盖视为平面内无限刚性,结构计算时取为刚性楼盖。根据楼板开洞等实际情况,确定结构计算时是否按弹性楼板计算。
6.1.3 高层民用建筑钢结构弹性计算时,钢筋混凝土楼板与钢梁间有可靠连接,可计入钢筋混凝土楼板对钢梁刚度的增大作用,两侧有楼板的钢梁其惯性矩可取为1.5I b ,仅一侧有楼板的钢梁其惯性矩可取为1.2I b ,I b 为钢梁截面惯性矩。弹塑性计算时,不应考虑楼板对钢梁惯性矩的增大作用。
条文说明
6.1.3 钢筋混凝土楼板与钢梁连接可靠时,楼板可作为钢梁的翼缘,两者共同工作,计算钢梁截面的惯性矩时,可计入楼板的作用。大震时,楼板可能开裂,不计入楼板对钢梁刚度的增大作用。
6.1.4 结构计算中不应计入非结构构件对结构承载力和刚度的有利作用。
6.1.5 计算各振型地震影响系数所采用的结构自振周期,应考虑非承重填充墙体的刚度影响予以折减。 ( 自2022年1月1日起废止该条,详见新规 《钢结构通用规范》GB 55006-2021)
条文说明
6.1.5 大量工程实测周期表明:实际建筑物自振周期短于计算周期,为不使地震作用偏小,所以要考虑周期折减。对于高层民用建筑钢结构房屋非承重墙体宜采用填充轻质砌块,填充轻质墙板或外挂墙板。
6.1.6 当非承重墙体为填充轻质砌块、填充轻质墙板或外挂墙板时,自振周期折减系数可取0.9~1.0。
6.1.7 高层民用建筑钢结构的整体稳定性应符合下列规定:
1 框架结构应满足下式要求:

2 框架-支撑结构、框架-延性墙板结构、筒体结构和巨型框架结构应满足下式要求:

式中:D i ——第i楼层的抗侧刚度(kN/mm),可取该层剪力与层间位移的比值;
h i ——第i楼层层高(mm);
G i 、G j ——分别为第i、j楼层重力荷载设计值(kN),取1.2倍的永久荷载标准值与1.4倍的楼面可变荷载标准值的组合值;
H——房屋高度(mm);
EJ d ——结构一个主轴方向的弹性等效侧向刚度(kN·mm 2 ),可按倒三角形分布荷载作用下结构顶点位移相等的原则,将结构的侧向刚度折算为竖向悬臂受弯构件的等效侧向刚度。
条文说明
6.1.7 本条用于控制重力P-△效应不超过20%,使结构的稳定具有适宜的安全储备。在水平力作用下,高层民用建筑钢结构的稳定应满足本条的规定,不应放松要求。如不满足本条的规定,应调整并增大结构的侧向刚度。
为了便于广大设计人员理解和应用,本条表达采用了行业标准《高层建筑混凝土结构技术规程》JGJ 3-2010第5.5.4条相同的形式。
6.2 弹性分析
6.2 弹性分析
6.2.1 高层民用建筑钢结构的弹性计算模型应根据结构的实际情况确定,应能较准确地反映结构的刚度和质量分布以及各结构构件的实际受力状况;可选择空间杆系、空间杆-墙板元及其他组合有限元等计算模型;延性墙板的计算模型,可按本规程附录B、附录C、附录D的有关规定执行。
条文说明
6.2.1 高层民用建筑钢结构是复杂的三维空间受力体系,计算分析时应根据结构实际情况,选取能较准确地反映结构中各构件的实际受力状况的力学模型。目前国内商品化的结构分析软件所采用的力学模型主要有:空间杆系模型、空间杆-墙板元模型以及其他组合有限元模型。
6.2.2 高层民用建筑钢结构弹性分析时,应计入重力二阶效应的影响。
6.2.3 高层民用建筑钢结构弹性分析时,应考虑构件的下列变形:
1 梁的弯曲和扭转变形,必要时考虑轴向变形;
2 柱的弯曲、轴向、剪切和扭转变形;
3 支撑的弯曲、轴向和扭转变形;
4 延性墙板的剪切变形;
5 消能梁段的剪切变形和弯曲变形。
6.2.4 钢框架-支撑结构的支撑斜杆两端宜按铰接计算;当实际构造为刚接时,也可按刚接计算。
条文说明
6.2.4 在钢结构设计中,支撑内力一般按两端铰接的计算简图求得,其端部连接的刚度则通过支撑构件的计算长度加以考虑。有弯矩时也应考虑弯矩对支撑的影响。
6.2.5 梁柱刚性连接的钢框架计入节点域剪切变形对侧移的影响时,可将节点域作为一个单独的剪切单元进行结构整体分析,也可按下列规定作近似计算:
1 对于箱形截面柱框架,可按结构轴线尺寸进行分析,但应将节点域作为刚域,梁柱刚域的总长度,可取柱截面宽度和梁截面高度的一半两者的较小值。
2 对于H形截面柱框架,可按结构轴线尺寸进行分析,不考虑刚域。
3 当结构弹性分析模型不能计算节点域的剪切变形时,可将框架分析得到的楼层最大层间位移角与该楼层柱下端的节点域在梁端弯矩设计值作用下的剪切变形角平均值相加,得到计入节点域剪切变形影响的楼层最大层间位移角。任一楼层节点域在梁端弯矩设计值作用下的剪切变形角平均值可按下式计算:

式中:θ m ——楼层节点域的剪切变形角平均值;
M i ——该楼层第i个节点域在所考虑的受弯平面内的不平衡弯矩(N·mm),由框架分析得出,即M i =M b1 +M b2 ,M b1 、M b2 分别为受弯平面内该楼层第i个节点左、右梁端同方向的地震作用组合下的弯矩设计值;
n——该楼层的节点域总数;
G——钢材的剪切模量(N/mm 2 );
V p,i ——第i个节点域的有效体积(mm 2 ),按本规程第7.3.6条的规定计算。
条文说明
6.2.5 本条式(6.2.5)参考J.Struct.Eng,No.12,ASCE,1990,Tsai K.C.& Povop E.P.,Seismic Panel Zone Design Effects on Elastic story Drift of Steel Frame一文的方法计算,它忽略了框架分析时节点域刚度的影响,计算结果偏于安全。已在美国NEHRP抗震设计手册(第二版)采用。
6.2.6 钢框架-支撑结构、钢框架-延性墙板结构的框架部分按刚度分配计算得到的地震层剪力应乘以调整系数,达到不小于结构总地震剪力的25%和框架部分计算最大层剪力1.8倍二者的较小值。
条文说明
6.2.6 依据多道防线的概念设计,钢框架-支撑结构、钢框架-延性墙板结构体系中,支撑框架、带延性墙板的框架是第一道防线,在强烈地震中支撑和延性墙板先屈服,内力重分布使框架部分承担的地震剪力增大,二者之和大于弹性计算的总剪力。如果调整的结果框架部分承担的地震剪力不适当增大,则不是“双重抗侧力体系”,而是按刚度分配的结构体系。按美国IBC规范的要求,框架部分的剪力调整不小于结构总地震剪力的25%则可以认为是双重抗侧力体系了。
6.2.7 体型复杂、结构布置复杂以及特别不规则的高层民用建筑钢结构,应采用至少两个不同力学模型的结构分析软件进行整体计算。对结构分析软件的分析结果,应进行分析判断,确认其合理、有效后方可作为工程设计的依据。
条文说明
6.2.7 体型复杂、结构布置复杂以及特别不规则的高层民用建筑钢结构的受力情况复杂,采用至少两个不同力学模型的结构分析软件进行整体计算分析,可以相互比较和分析,以保证力学分析结果的可靠性。
在计算机软件广泛使用的条件下,除了要选择使用可靠的计算软件外,还应对计算结果从力学概念和工程经验等方面加以分析判断,确认其合理性和可靠性。
6.3 弹塑性分析
6.3 弹塑性分析
6.3.1 高层民用建筑钢结构进行弹塑性计算分析时,可根据实际工程情况采用静力或动力时程分析法,并应符合下列规定:
1 当采用结构抗震性能设计时,应根据本规程第3.8节的有关规定,预定结构的抗震性能目标;
2 结构弹塑性分析的计算模型应包括全部主要结构构件,应能较正确反映结构的质量、刚度和承载力的分布以及结构构件的弹塑性性能;
3 弹塑性分析宜采用空间计算模型。
条文说明
6.3.1 对高层民用建筑钢结构进行弹塑性计算分析,可以研究结构的薄弱部位,验证结构的抗震性能,是目前应用越来越多的一种方法。
在进行结构弹塑性计算分析时,应根据工程的重要性、破坏后的危害性及修复的难易程度,设定结构的抗震性能目标。可按本规程第3.8节的有关规定执行。
建立结构弹塑性计算模型时,应包括主要结构构件,并反映结构的质量、刚度和承载力的分布以及结构构件的弹塑性性能。
建议弹塑性分析要采用空间计算模型。
6.3.2 高层民用建筑钢结构弹塑性分析时,应考虑构件的下列变形:
1 梁的弹塑性弯曲变形,柱在轴力和弯矩作用下的弹塑性变形,支撑的弹塑性轴向变形,延性墙板的弹塑性剪切变形,消能梁段的弹塑性剪切变形;
2 宜考虑梁柱节点域的弹塑性剪切变形;
3 采用消能减震设计时尚应考虑消能器的弹塑性变形,隔震结构尚应考虑隔震支座的弹塑性变形。
条文说明
6.3.2 结构弹塑性分析主要的是薄弱层的弹塑性变形分析。本条规定了高层民用建筑钢结构构件主要弹塑性变形类型。
6.3.3 高层民用建筑钢结构弹塑性变形计算应符合下列规定:
1 房屋高度不超过100m时,可采用静力弹塑性分析方法;高度超过150m时,应采用弹塑性时程分析法;高度为100m~150m时,可视结构不规则程度选择静力弹塑性分析法或弹塑性时程分析法;高度超过300m时,应有两个独立的计算。
2 复杂结构应首先进行施工模拟分析,应以施工全过程完成后的状态作为弹塑性分析的初始状态。
3 结构构件上应作用重力荷载代表值,其效应应与水平地震作用产生的效应组合,分项系数可取1.0。
4 钢材强度可取屈服强度f y 。
5 应计入重力荷载二阶效应的影响。
6.3.4 钢柱、钢梁、屈曲约束支撑及偏心支撑消能梁段恢复力模型的骨架线可采用二折线型,其滞回模型可不考虑刚度退化;钢支撑和延性墙板的恢复力模型,应按杆件特性确定。杆件的恢复力模型也可由试验研究确定。
条文说明
6.3.3、6.3.4 结构材料的性能指标(如弹性模量、强度取值等)以及本构关系,与预定的结构或构件的抗震性能有密切关系,应根据实际情况合理选用。如钢材一般选用材料的屈服强度。
结构弹塑性变形往往比弹性变形大很多,考虑结构几何非线性进行计算是必要的,结果的可靠性也会因此有所提高。
结构材料的本构关系直接影响弹塑性分析结果,选择时应特别注意。
弹塑性计算结果还与分析软件的计算模型以及结构阻尼选取、构件破损程度衡量、有限元的划分有关,存在较多的人为因素和经验因素。因此,弹塑性计算分析首先要了解分析软件的适应性,选用适合于所设计工程的软件,然后对计算结果的合理性进行分析判断。工程设计中有时会遇到计算结果出现不合理或怪异现象,需要结构工程师与软件编制人员共同研究解决。
6.3.5 采用静力弹塑 性分析法进行罕遇地震作用下的变形计算时,应符合下列规定:
1 可在结构的各主轴方向分别施加单向水平力进行静力弹塑性分析;
2 水平力可作用在各层楼盖的质心位置,可不考虑偶然偏心的影响;
3 结构的每个主轴方向宜采用不少于两种水平力沿高度分布模式,其中一种可与振型分解反应谱法得到的水平力沿高度分布模式相同;
4 采用能力谱法时,需求谱曲线可由现行国家标准《建筑抗震设计规范》GB 50011的地震影响系数曲线得到,或由建筑场地的地震安全性评价提出的加速度反应谱曲线得到。
条文说明
6.3.5 采用静力弹塑性分析方法时,可用能力谱法或其他有效的方法确定罕遇地震时结构层间弹塑性位移角,可取两种水平力沿高度分布模式得到的层间弹塑性位移角的较大值作为罕遇地震作用下该结构的层间弹塑性位移角。
6.3.6 采用弹塑性时程分析法进行罕遇地震作用下的变形计算,应符合下列规定:
1 一般情况下,采用单向水平地震输入,在结构的各主轴方向分别输入地震加速度时程;对体型复杂或特别不规则的结构,宜采用双向水平地震或三向地震输入;
2 地震地面运动加速度时程的选取,时程分析所用地震加速度时程的最大值等,应符合本规程第5.3.3条的规定。
6.4 荷载组合和地震作用组合的效应
6.4 荷载组合和地震作用组合的效应
6.4.1 持久设计状况和短暂设计状况下,当荷载与荷载效应按 线性关系考虑时,荷载基本组合的效应设计值应按下式确定:

式中:S d ——荷载组合的效应设计值;
γ G 、γ Q 、γ w ——分别为永久荷载、楼面活荷载、风荷载的分项系数;
γ L ——考虑结构设计使用年限的荷载调整系数,设计使用年限为50年时取1.0,设计使用年限为100年时取1.1;
S Gk 、S Qk 、S wk ——分别为永久荷载、楼面活荷载、风荷载效应标准值;
ψ Q 、ψ w ——分别为楼面活荷载组合值系数和风荷载组合值系数,当永久荷载效应起控制作用时应分别取0.7和0.0;当可变荷载效应起控制作用时应分别取1.0和0.6或0.7和1.0;对书库、档案库、储藏室、通风机房和电梯机房,楼面活荷载组合值系数取0.7的场合应取0.9。 ( 自2022年1月1日起废止该条,详见新规 《钢结构通用规范》GB 55006-2021)
6.4.2 持久设计状况和短暂设计状况下,荷载基本组合的分项系数应按下列规定采用:
1 永久荷载的分项系数γ G :当其效应对结构承载力不利时,对由可变荷载效应控制的组合应取1.2,对由永久荷载效应控制的组合应取1.35;当其效应对结构承载力有利时,应取1.0。
2 楼面活荷载的分项系数γ Q :一般情况下应取1.4。
3 风荷载的分项系数γ w 应取1.4。 ( 自2022年1月1日起废止该条,详见新规 《钢结构通用规范》GB 55006-2021)
6.4.3 地震设计状况下,当作用与作用效应按线性关系考虑时,荷载和地震作用基本组合的效应设计值,应按下式确定:

式中:S d ——荷载和地震作用基本组合的效应设计值;
S GE ——重力荷载代表值的效应;
S Ehk ——水平地震作用标准值的效应,尚应乘以相应的增大系数、调整系数;
S Evk ——竖向地震作用标准值的效应,尚应乘以相应的增大系数、调整系数;
γ G 、γ Eh 、γ Ev 、γ w ——分别为上述各相应荷载或作用的分项系数;
ψ w ——风荷载的组合值系数,应取0.2。 ( 自2022年1月1日起废止该条,详见新规 《钢结构通用规范》GB 55006-2021)
6.4.4 地震设计状况下,荷载和地震作用基本组合的分项系数应按表6.4.4采用。当重力荷载效应对结构的承载力有利时,表6.4.4中的γ G 不应大于1.0。 ( 自2022年1月1日起废止该条,详见新规 《钢结构通用规范》GB 55006-2021)
表6.4.4 地震设计状况时荷载和地震作用基本组合的分项系数

条文说明
6.4.1~6.4.4 本节是高层民用建筑承载能力极限状态设计时作用组合效应的基本要求,主要根据现行国家标准《工程结构可靠性设计统一标准》GB 50153以及《建筑结构荷载规范》GB 50009、《建筑抗震设计规范》GB 50011的有关规定制订。①增加了考虑设计使用年限的可变荷载(楼面活荷载)调整系数;②仅规定了持久、短暂设计状况下以及地震设计状况下,作用基本组合时的作用效应设计值的计算公式,对偶然作用组合、标准组合不做强制性规定。有关结构侧向位移的规定见本规程第3.5.2条;③明确了本节规定不适用于作用和作用效应呈非线性关系的情况;④表6.4.4中增加了7度(0.15g)时,也要考虑水平地震、竖向地震作用同时参与组合的情况;⑤对水平长悬臂结构和大跨度结构,表6.4.4增加了竖向地震作用为主要可变作用的组合工况。 第6.4.1条和6.4.3条均适用于作用和作用效应呈线性关系的情况。如果结构上的作用和作用效应不能以线性关系表达,则作用组合的效应应符合现行国家标准《工程结构可靠性设计统一标准》GB 50153的规定。 持久设计状况和短暂设计状况作用基本组合的效应,当永久荷载效应起控制作用时,永久荷载分项系数取1.35,此时参与组合的可变作用(如楼面活荷载、风荷载等)应考虑相应的组合值系数;持久设计状况和短暂设计状况的作用基本组合的效应,当可变荷载效应起控制作用(永久荷载分项系数取1.2)的组合,如风荷载作为主要可变荷载、楼面活荷载作为次要可变荷载时,其组合值系数分别取1.0和0.7;对车库、档案库、储藏室、通风机房和电梯机房等楼面活荷载较大且相对固定的情况,其楼面活荷载组合系数应由0.7改为0.9;持久设计状况和短暂设计状况的作用基本组合的效应,当楼面活荷载作为主要可变荷载、风荷载作为次要可变荷载时,其组合值系数分别取1.0和0.6。 结构设计使用年限为100年时,本条式(6.4.1)中参与组合的风荷载效应应按现行国家标准《建筑结构荷载规范》GB 50009规定的100年重现期的风压值计算;当高层民用建筑对风荷载比较敏感时,风荷载效应计算尚应符合本规程第5.2.4条的规定。 地震设计状况作用基本组合的效应,当本规程有规定时,地震作用效应标准值应首先乘以相应的调整系数、增大系数,然后再进行效应组合。如薄弱层剪力增大、楼层最小地震剪力系数调整、转换构件地震内力放大、钢框架-支撑结构和钢框架-延性墙板结构有关地震剪力调整等。 7度(0.15g)和8、9度抗震设计的大跨度结构、长悬臂结构应考虑竖向地震作用的影响,如高层民用建筑的大跨度转换构件、连体结构的连接体等。 关于不同设计状况的定义以及作用的标准组合、偶然组合的有关规定,可参照现行国家标准《工程结构可靠性设计统一标准》GB 50153。
6.4.5 非抗震设计时,应按本规程第6.4.1条的规定进行荷载组合的效应计算。抗震设计时,应同时按本规程第6.4.1条和第6.4.3条的规定进行荷载和地震作用组合的效应计算;按本规程第6.4.3条计算的组合内力设计值,尚应按本规程的有关规定进行调整。
6.4.6 罕遇地震作用下高层民用建筑钢结构弹塑性变形计算时,可不计入风荷载的效应。
条文说明
6.4.6 一般情况下,可不考虑风荷载与罕遇地震作用的组合效应。
7 钢构件设计
7.1 梁
7 钢构件设计
7.1 梁
7.1.1 梁的抗弯强度应满足下式要求:

式中:M x ——梁对x轴的弯矩设计值(N·mm);
W nx ——梁对x轴的净截面模量(mm 3 );
γ x ——截面塑性发展系数,非抗震设计时按现行国家标准《钢结构设计规范》GB 50017的规定采用,抗震设计时宜取1.0;
f——钢材强度设计值(N/mm 2 ),抗震设计时应按本规程第3.6.1条的规定除以γ RE 。
条文说明
7.1.1 高层民用建筑钢结构除在预估的罕遇地震作用下出现一系列塑性铰外,在多遇地震作用下应保证不损坏。现行国家标准《钢结构设计规范》GB 50017对一般梁都允许出现少量塑性,即在计算强度时引进大于1的截面塑性发展系数γx,但对直接承受动荷载的梁,取γx=1。基于上述原因,抗震设计时的梁取γx=1.0。
在竖向荷载作用下,梁的弯矩取节点弯矩;在水平荷载作用下,梁的弯矩取柱面弯矩。
7.1.2 除设置刚性隔板情况外,梁的稳定应满足下式要求:

式中:W x ——梁的毛截面模量(mm 3 )(单轴对称者以受压翼缘为准);
φ b ——梁的整体稳定系数,应按现行国家标准《钢结构设计规范》GB 50017的规定确定。当梁在端部仅以腹板与柱(或主梁)相连时,φ b (或φ b >0.6时的φ′ b )应乘以降低系数0.85;
f——钢材强度设计值(N/mm 2 ),抗震设计时应按本规程第3.6.1条的规定除以γ RE 。
条文说明
7.1.2 支座处仅以腹板与柱(或主梁)相连的梁,由于梁端截面不能保证完全没有扭转,故在验算整体稳定时,φb应乘以0.85的降低系数。
7.1.3 当梁上设有符合现行国家标准《钢结构设计规范》GB 50017中规定的整体式楼板时,可不计算梁的整体稳定性。
7.1.4 梁设有侧向支撑体系,并符合现行国家标准《钢结构设计规范》GB 50017规定的受压翼缘自由长度与其宽度之比的限值时,可不计算整体稳定。按三级及以上抗震等级设计的高层民用建筑钢结构,梁受压翼缘在支撑连接点间的长度与其宽度之比,应符合现行国家标准《钢结构设计规范》GB 50017关于塑性设计时的长细比要求。在罕遇地震作用下可能出现塑性铰处,梁的上下翼缘均应设侧向支撑点。
条文说明
7.1.3、7.1.4 梁的整体稳定性一般由刚性隔板或侧向支撑体系来保证,当有压型钢板现浇钢筋混凝土楼板或现浇钢筋混凝土楼板在梁的受压翼缘上并与其牢固连接,能阻止受压翼缘的侧向位移时,梁不会丧失整体稳定,不必计算其整体稳定性。在梁的受压翼缘上仅铺设压型钢板,当有充分依据时方可不计算梁的整体稳定性。
框架梁在预估的罕遇地震作用下,在可能出现塑性铰的截面(为梁端和集中力作用处)附近均应设置侧向支撑(隅撑),由于地震作用方向变化,塑性铰弯矩的方向也变化,故要求梁的上下翼缘均应设支撑。如梁上翼缘整体稳定性有保证,可仅在下翼缘设支撑。
7.1.5 在主平面内受弯的实腹构件,其抗剪强度应按下式计算:

式中:V——计算截面沿腹板平面作用的剪力设计值(N);
S——计算剪应力处以上毛截面对中性轴的面积矩(mm 3 );
I——毛截面惯性矩(mm 4 );
t w ——腹板厚度(mm);
A wn ——扣除焊接孔和螺栓孔后的腹板受剪面积(mm 2 );
f v ——钢材抗剪强度设计值(N/mm 2 ),抗震设计时应按本规程第3.6.1条的规定除以γ RE 。
条文说明
7.1.5 本条按现行国家标准《钢结构设计规范》GB 50017规定,补充了框架梁端部截面的抗剪强度计算公式。
7.1.6 当在多遇地震组合下进行构件承载力计算时,托柱梁地震作用产生的内力应乘以增大系数,增大系数不得小于1.5。
条文说明
7.1.6 托柱梁的地震作用产生的内力应乘以增大系数是考虑地震倾覆力矩对传力不连续部位的增值效应,以保证转换构件的设计安全度并具有良好的抗震性能。
7.2 轴心受压柱
7.2 轴心受压柱
7.2.1 轴心受压柱的稳定性应满足下式要求:

式中:N——轴心压力设计值(N);
A——柱的毛截面面积(mm 2 );
φ——轴心受压构件稳定系数,应按现行国家标准《钢结构设计规范》GB 50017的规定采用;
f——钢材强度设计值(N/mm 2 ),抗震设计时应按本规程第3.6.1条的规定除以γ RE 。
7.2.2 轴心受压柱的长细比不宜大于120 
,f y 为钢材的屈服强度。
条文说明
7.2.1、7.2.2 轴心受压柱一般为两端铰接,不参与抵抗侧向力的柱。
7.3 框架柱
7.3 框 架 柱
7.3.1 与梁刚性连接并参与承受水平作用的框架柱,应按本规程第6章的规定计算内力,并应按现行国家标准《钢结构设计规范》GB 50017的有关规定及本节的规定计算其强度和稳定性。
条文说明
7.3.1 框架柱的强度和稳定,依本规程第6章计算得到的内力,按现行国家标准《钢结构设计规范》GB 50017的有关规定和本节的各项规定计算。
7.3.2 框架柱的稳定计算应符合下列规定:
1 结构内力分析可采用一阶线弹性分析或二阶线弹性分析。当二阶效应系数大于0.1时,宜采用二阶线弹性分析。二阶效应系数不应大于0.2。框架结构的二阶效应系数应按下式确定:

式中:∑N——所考虑楼层以上所有竖向荷载之和(kN),按荷载设计值计算;
∑H——所考虑楼层的总水平力(kN),按荷载的设计值计算;
△u——所考虑楼层的层间位移(m);
h i ——第i楼层的层高(m)。
2 当采用二阶线弹性分析时,应在各楼层的楼盖处加上假想水平力,此时框架柱的计算长度系数取1.0。
1)假想水平力H ni 应按下式确定:

式中:Q i ——第i楼层的总重力荷载设计值(kN);
n——框架总层数,当 
>1时,取此根号值为1.0。
2)内力采用放大系数法近似考虑二阶效应时,允许采用叠加原理进行内力组合。放大系数的计算应采用下列荷载组合下的重力:

式中:G——为永久荷载;
L——为活荷载;
ψ——为活荷载的准永久值系数。
3 当采用一阶线弹性分析时,框架结构柱的计算长度系数应符合下列规定:
1)框架柱的计算长度系数可按下式确定:

式中:K 1 、K 2 ——分别为交于柱上、下端的横梁线刚度之和与柱线刚度之和的比值。当梁的远端铰接时,梁的线刚度应乘以0.5;当梁的远端固接时,梁的线刚度应乘以2/3;当梁近端与柱铰接时,梁的线刚度为零。
2)对底层框架柱:当柱下端铰接且具有明确转动可能时,K 2 =0;柱下端采用平板式铰支座时,K 2 =0.1;柱下端刚接时,K 2 =10。
3)当与柱刚接的横梁承受的轴力很大时,横梁线刚度应乘以按下列公式计算的折减系数。

式中:α——横梁线刚度折减系数;
N b ——横梁承受的轴力(N);
I b ——横梁的截面惯性矩(mm 4 );
l b ——横梁的长度(mm)。
4)框架结构当设有摇摆柱时,由式(7.3.2-4)计算得到的计算长度系数应乘以按下式计算的放大系数,摇摆柱本身的计算长度系数可取1.0。

式中:η——摇摆柱计算长度放大系数;
∑P k ——为本层所有摇摆柱的轴力之和(kN);
∑N j ——为本层所有框架柱的轴力之和(kN)。
4 支撑框架采用线性分析设计时,框架柱的计算长度系数应符合下列规定:
1)当不考虑支撑对框架稳定的支承作用,框架柱的计算长度按式(7.3.2-4)计算;
2)当框架柱的计算长度系数取1.0,或取无侧移失稳对应的计算长度系数时,应保证支撑能对框架的侧向稳定提供支承作用,支撑构件的应力比ρ应满足下式要求。

式中:θ i ——所考虑柱在第i楼层的二阶效应系数。
5 当框架按无侧移失稳模式设计时,应符合下列规定:
1)框架柱的计算长度系数可按下式确定:

式中:K 1 、K 2 ——分别为交于柱上、下端的横梁线刚度之和与柱线刚度之和的比值。当梁的远端铰接时,梁的线刚度应乘以1.5;当梁的远端固接时,梁的线刚度应乘以2;当梁近端与柱铰接时,梁的线刚度为零。
2)对底层框架柱:当柱下端铰接且具有明确转动可能时,K 2 =0;柱下端采用平板式铰支座时,K 2 =0.1;柱下端刚接时,K 2 =10。
3)当与柱刚接的横梁承受的轴力很大时,横梁线刚度应乘以折减系数。当横梁远端与柱刚接和横梁远端铰接时,折减系数应按本规程式(7.3.2-5)和式(7.3.2-6)计算:当横梁远端嵌固时,折减系数应按本规程式(7.3.2-7)计算。
条文说明
7.3.2 框架柱的稳定计算应符合下列规定:
1 高层民用建筑钢结构,根据抗侧力构件在水平力作用下变形的形态,可分为剪切型(框架结构)、弯曲形(例如高跨比6以上的支撑架)和弯剪型;式(7.3.2-1)只适用于剪切型结构,弯剪型和弯曲型计算公式复杂,采用计算机分析更加方便。
2 现行国家标准《钢结构设计规范》GB 50017对二阶分析时的假想荷载引入钢材强度影响系数αy,对强度等级较高的钢材取较大值,若取αy等于,与《钢结构设计规范》GB 50017-2003规定给出的该系数值基本一致,仅稍大,可使假想水平力表达式简化。
二阶分析法叠加原理严格说来是不适用的,荷载必须先组合才能够进行分析,且工况较多。但考虑到实际工程的二阶效应不大,可近似采用叠加原理。这里规定了对二阶效应采用线性组合时,内力应乘以放大系数,其数值取自式(7.3.2-3)规定的重力荷载组合产生的二阶效应系数。对侧移对应的弯矩进行反施,这个放大系数也应施加于侧移对应的支撑架柱子的轴力上。
3 式(7.3.2-4)的计算长度系数是对框架稳定理论的有侧移失稳的七杆模型的解的拟合,最大误差约1.5%。
当一个结构中存在只承受竖向荷载,不参与抵抗水平力的柱子时,其余柱子的计算长度系数就应按照式(7.3.2-9)放大。这个放大,不仅包括框架柱,也适用于构成支撑架一部分的柱子的计算长度系数。
4 框架-支撑(含延性墙板)结构体系,存在两种相互作用,第1种是线性的,在内力分析的层面上得到自动的考虑,第2种是稳定性方面的,例如一个没有承受水平力的结构,其中框架部分发生失稳,必然带动支撑架一起失稳,或者在当支撑架足够刚强时,框架首先发生无侧移失稳。
水平力使支撑受拉屈服,则它不再有刚度为框架提供稳定性方面的支持,此时框架柱的稳定性,按无支撑框架考虑。
但是,如果希望支撑架对框架提供稳定性支持,则对支撑架的要求就是两个方面的叠加:既要承担水平力,还要承担对框架柱提供支撑,使框架柱的承载力从有侧移失稳的承载力增加到无侧移失稳的承载力。
研究表明,这两种要求是叠加的,用公式表达是

式中:Qi——第i层承受的总水平力(kN);
Qiy——第i层支撑能够承受的总水平力(kN);
Si——支撑架在第i层的层抗侧刚度(kN/mm);
Sith——为使框架柱从有侧移失稳转化为无侧移失稳所需要的支撑架的最小刚度(kN/mm);
Njb——框架柱按照无侧移失稳的计算长度系数决定的压杆承载力(kN);
Nju——框架柱按照有侧移失稳的计算长度系数决定的压杆承载力(kN);
hi——所计算楼层的层高(mm);
m——本层的柱子数量,含摇摆柱。
《钢结构设计规范》GB 50017-2003采用了表达式Sb≥3(1.2∑Nbi—∑N0i),其中,侧移刚度Sb是产生单位侧移倾角的水平力。当改用单位位移的水平力表示时,应除以所计算楼层高度hi,因此采用(2)式。
为了方便应用,式(2)进行如下简化:

对弯曲型支撑架,也有类似于式(1)的公式,因此式(7.3.2-10)适用于任何的支撑架。但是对应弯曲型支撑架,从底部到顶部应采用统一的二阶效应系数,除非结构立面分段(缩进),可以取各段的最大的二阶效应系数。
应力比不满足式(7.3.2-10),但是离1.0还有距离,则支撑架对框架仍有一定的支撑作用,此时框架柱的计算长度系数,可以参考有关稳定理论著作计算。
满足式(7.3.2-10)的情况下,框架柱可以按无侧移失稳的模式决定计算长度系数。
5 式(7.3.2-11)早在20世纪40年代即已提出,与稳定理论的七杆模型的精确结果比较,最大误差仅1%。
7.3.3 钢框架柱的抗震承载力验算,应符合下列规定:
1 除下列情况之一外,节点左右梁端和上下柱端的全塑性承载力应满足式(7.3.3-1)、式(7.3.3-2)的要求:
1)柱所在楼层的受剪承载力比相邻上一层的受剪承载力高出25%;
2)柱轴压比不超过0.4;
3)柱轴力符合N 2 ≤ φ A c f时(N 2 为2倍地震作用下的组合轴力设计值);
4)与支撑斜杆相连的节点。
2 等截面梁与柱连接时:

3 梁端加强型连接或骨式连接的端部变截面梁与柱连接时:

式中:W pc 、W pb ——分别为计算平面内交汇于节点的柱和梁的塑性截面模量(mm 3 );
W pb1 ——梁塑性铰所在截面的梁塑性截面模量(mm 3 );
f yc 、f yb ——分别为柱和梁钢材的屈服强度(N/mm 2 );
N——按设计地震作用组合得出的柱轴力设计值(N);
A c ——框架柱的截面面积(mm 2 );
η——强柱系数,一级取1.15,二级取1.10,三级取1.05,四级取1.0;
M v ——梁塑性铰剪力对梁端产生的附加弯矩(N·mm),M v =V pb ·x;
V pb ——梁塑性铰剪力(N);
x——塑性铰至柱面的距离(mm),塑性铰可取梁端部变截面翼缘的最小处。骨式连接取(0.5~0.75)b f +(0.30~0.45)h b ,b f 和h b 分别为梁翼缘宽度和梁截面高度。梁端加强型连接可取加强板的长度加四分之一梁高。如有试验依据时,也可按试验取值。
条文说明
7.3.3 可不验算强柱弱梁的条件之第1款第3)项,系根据陈绍蕃教授的建议进行更正;是将小震地震力加倍得出的内力设计值,而非01抗规就是2倍地震力产生的轴力。参考美国规定增加了梁端塑性铰外移的强柱弱梁验算公式。骨式连接的塑性铰至柱面的距离,参考FEMA350的规定采用;梁端加强型连接可取加强板的长度加四分之一梁高。强柱系数建议以7度(0.10g)作为低烈度区分界,大致相当于AISC的C级,按AISC抗震规程,等级B、C是低烈度区,可不执行该标准规定的抗震构造措施。强柱系数实际上已包含系数1.15,参见本规程第8.1.5条式(8.1.5-2)。
7.3.4 框筒结构柱应满足下式要求:

式中:N c ——框筒结构柱在地震作用组合下的最大轴向压力设计值(N);
A c ——框筒结构柱截面面积(mm 2 );
f——框筒结构柱钢材的强度设计值(N/mm 2 );
β——系数,一、二、三级时取0.75,四级时取0.80。
条文说明
7.3.4 一般框筒结构柱不需要满足强柱弱梁的要求,所以对于框筒结构柱要求符合本条轴压比要求,参考日本做法而提出的。轴压比系数的规定按下式计算得到:

与结构的延性设计综合考虑,本条偏于安全的规定系数β:一、二、三级时取0.75,四级时取0.80。
7.3.5 节点域的抗剪承载力应满足下式要求:

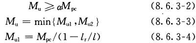
式中:M b1 、M b2 ——分别为节点域左、右梁端作用的弯矩设计值(kN·m);
V p ——节点域的有效体积,可按本规程第7.3.6条的规定计算。
条文说明
7.3.5 柱与梁连接的节点域,应按本条规定验算其抗剪承载力。 
式中Vc1和Vc2分别为上下柱传来的剪力,节点域高度和宽度hc1和hc2分别取梁翼缘中心间距离。 在工程设计中为了简化计算通常略去式中第二项,计算表明,这样使所得剪应力偏高20%~30%,所以将式(7.3.5)右侧抗剪强度设计值提高三分之一来代替。试验表明,节点域的实际抗剪屈服强度因边缘构件的存在而有较大提高。
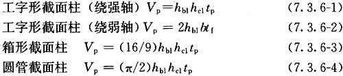
7.3.6 节点域的有效体积可按下列公式确定:

式中:h b1 ——梁翼缘中心间的距离(mm);
h c1 ——工字形截面柱翼缘中心间的距离、箱形截面壁板中心间的距离和圆管截面柱管壁中线的直径(mm);
t p ——柱腹板和节点域补强板厚度之和,或局部加厚时的节点域厚度(mm),箱形柱为一块腹板的厚度(mm),圆管柱为壁厚(mm);
t f ——柱的翼缘厚度(mm);
b——柱的翼缘宽度(mm)。

图7.3.6 十字形柱的节点域体积
条文说明
7.3.6 本次修订补充了圆管柱和十字形截面柱节点域有效体积Vp的计算公式。对于边长不等的矩形箱形柱,其有效节点域体积可参阅有关文献。
7.3.7 柱与梁连接处,在梁上下翼缘对应位置应设置柱的水平加劲肋或隔板。加劲肋(隔板)与柱翼缘所包围的节点域的稳定性,应满足下式要求:

式中:t p ——柱节点域的腹板厚度(mm),箱形柱时为一块腹板的厚度(mm);
h 0b 、h 0c ——分别为梁腹板、柱腹板的高度(mm)。
条文说明
7.3.7 日本规定节点板域尺寸自梁柱翼缘中心线算起,AISC的节点域稳定公式规定自翼缘内侧算起,为了统一起见,拟取自翼缘中心线算起。美国节点板域稳定公式为高度和宽度之和除以90,历次修订此式未变;我国同济大学和哈工大做过试验,结果都是1/70,考虑到试件板厚有一定限制,过去对高层用1/90,对多层用1/70。板的初始缺陷对平面内稳定影响较大,特别是板厚有限制时,一次试验也难以得出可靠结果。考虑到该式一般不控制,这次修订统一采用1/90。
7.3.8 抗震设计时节点域的屈服承载力应满足下式要求,当不满足时应进行补强或局部改用较厚柱腹板。

式中:ψ——折减系数,三、四级时取0.75,一、二级时取0.85;
M pb1 、M pb2 ——分别为节点域两侧梁段截面的全塑性受弯承载力(N·mm);
f yv ——钢材的屈服抗剪强度,取钢材屈服强度的0.58倍。
条文说明
7.3.8 对于抗震设计的高层民用建筑钢结构,节点域应按本条规定验算在预估的罕遇地震作用下的屈服承载力。在抗震设计的结构中,若节点域太厚,将使其不能吸收地震能量。若太薄,又使钢框架的水平位移过大。根据日本的研究,使节点域的屈服承载力为框架梁屈服承载力的(0.7~1.0)倍是适合的。但考虑到日本第一阶段相当于我国8度,结合我国实际,为避免由此引起节点域过厚导致多用钢材,本次修订保留了折减系数ψ,只是将98规程的折减系数适当提高,同时将按设防烈度划分改为按抗震等级划分,故三、四级时ψ取0.75,一、二级时ψ取0.85。
7.3.9 框架柱的长细比,一级不应大于60 
,二级不应大于70 
,三级不应大于80 
,四级及非抗震设计不应大于100 
。
条文说明
7.3.9 框架柱的长细比关系到钢结构的整体稳定。研究表明,钢结构高度加大时,轴力加大,竖向地震对框架柱的影响很大。本条规定比现行国家标准《建筑抗震设计规范》GB 50011的规定严格。
7.3.10 进行多遇地震作用下构件承载力计算时,钢结构转换构件下的钢框架柱,地震作用产生的内力应乘以增大系数,其值可采用1.5。
7.4 梁柱板件宽厚比
7.4 梁柱板件宽厚比
7.4.1 钢框架梁、柱板件宽厚比限值,应符合表7.4.1的规定。
表7.4.1 钢框架梁、柱板件宽厚比限值

条文说明
7.4.1 本条所列限值是参考了ANSI/AISC341-10对主要抗侧力体系的受压板件宽厚比限值以及日本2004年提出的规定拟定的。
钢框架梁板件宽厚比应随截面塑性变形发展的程度而满足不同要求。形成塑性铰后需要实现较大转动者,要求最严格。所以按不同的抗震等级划分了不同的要求。梁腹板宽厚比还要考虑轴压力的影响。
按照强柱弱梁的要求,钢框架柱一般不会出现塑性铰,但是考虑材料性能变异,截面尺 寸偏差以及一般未计及的竖向地震作用等因素,柱在某些情况下也可能出现塑性铰。因此,柱的板件宽厚比也应考虑按塑性发展来加以限制,不过不需要像梁那样严格。所以本条也按照不同的抗震等级划分了不同的要求。
7.4.2 非抗侧力构件的板件宽厚比应按现行国家标准《钢结构设计规范》GB 50017的有关规定执行。
7.5 中心支撑框架
7.5 中心支撑框架
7.5.1 高层民用建筑钢结构的中心支撑宜采用:十字交叉斜杆(图7.5.1-1a),单斜杆(图7.5.1-1b),人字形斜杆(图7.5.1-1c)或V形斜杆体系。中心支撑斜杆的轴线应交汇于框架梁柱的轴线上。抗震设计的结构不得采用K形斜杆体系(图7.5.1-1d)。当采用只能受拉的单斜杆体系时,应同时设不同倾斜方向的两组单斜杆(图7.5.1-2),且每层不同方向单斜杆的截面面积在水平方向的投影面积之差不得大于10%。

图7.5.1-2 单斜杆支撑
条文说明
7.5.1 本条是高层民用建筑钢结构中的中心支撑布置的原则规定。
K形支撑体系在地震作用下,可能因受压斜杆屈曲或受拉斜杆屈服,引起较大的侧向变形,使柱发生屈曲甚至造成倒塌,故不应在抗震结构中采用。
7.5.2 中心支撑斜杆的长细比,按压杆设计时,不应大于120 
,一、二、三级中心支撑斜杆不得采用拉杆设计,非抗震设计和四级采用拉杆设计时,其长细比不应大于180。 ( 自2022年1月1日起废止该条,详见新规 《钢结构通用规范》GB 55006-2021)
条文说明
7.5.2 国内外的研究均表明,支撑杆件的低周疲劳寿命与其长细比成正相关,而与其板件的宽厚比成负相关。为了防止支撑过早断裂,适当放松对按压杆设计的支撑杆件长细比的控制是合理的。欧洲EC8对相当于Q235钢制成的支撑长细比的限值为190左右;美国ANSI/AISC341-10规定:对普通中心支撑框架(OCBF)相当于Q235钢支撑长细比的限值为120,而对于延性中心支撑框架(SCBF),不管何钢种的支撑长细比限值均为200。考虑到本规程没有“普通”和“延性”之分,因此作出了“杆件的长细比不应大于120……”的规定。
7.5.3 中心支撑斜杆的板件宽厚比,不应大于表7.5.3规定的限值。
表7.5.3 钢结构中心支撑板件宽厚比限值

注:表中数值适用于Q235钢,采用其他牌号钢材应乘以 
,圆管应乘以235/f y 。 ( 自2022年1月1日起废止该条,详见新规 《钢结构通用规范》GB 55006-2021)
条文说明
7.5.3 在罕遇地震作用下,支撑杆件要经受较大的弹塑性拉压变形,为了防止过早地在塑性状态下发生板件的局部屈曲,引起低周疲劳破坏,国内外的有关研究表明,板件宽厚比取得比塑性设计要求更小一些,对支撑抗震有利。哈尔滨工业大学试验研究也证明了这种看法。
本条关于板件宽厚比的限值是根据我国研究并参考国外相关规范拟定的。
还有试验表明,双角钢组合T形截面支撑斜杆绕截面对称轴失稳时,会因弯扭屈曲和单肢屈曲而使滞回性能下降,故不宜用于一、二、三级抗震等级的斜杆。
7.5.4 支撑斜杆宜采用双轴对称截面。当采用单轴对称截面时,应采取防止绕对称轴屈曲的构造措施。
7.5.5 在多遇地震效应组合作用下,支撑斜杆的受压承载力应满足下式要求:

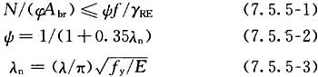
式中:N——支撑斜杆的轴压力设计值(N);
A br ——支撑斜杆的毛截面面积(mm 2 );
φ——按支撑长细比λ确定的轴心受压构件稳定系数,按现行国家标准《钢结构设计规范》GB 50017确定;
ψ——受循环荷载时的强度降低系数;
λ、λ n ——支撑斜杆的长细比和正则化长细比;
E——支撑杆件钢材的弹性模量(N/mm 2 );
f、f y ——支撑斜杆钢材的抗压强度设计值(N/mm 2 )和屈服强度(N/mm 2 );
γ RE ——中心支撑屈曲稳定承载力抗震调整系数,按本规程第3.6.1条采用。
条文说明
7.5.5 在预估的罕遇地震作用下斜杆反复受拉压,且屈曲后变形增长很大,转为受拉时变形不能完全拉直,这就造成再次受压时承载力降低,即出现退化现象,长细比越大,退化现象越严重,这种现象需要在计算支撑斜杆时予以考虑。式(7.5.5-1)是由国外规范公式加以改写得出的,计算时仍以多遇地震作用为准。
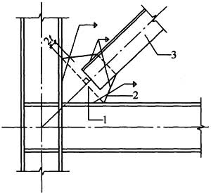
7.5.6 人字形和V形支撑框架应符合下列规定:
1 与支撑相交的横梁,在柱间应保持连续。
2 在确定支撑跨的横梁截面时,不应考虑支撑在跨中的支承作用。横梁除应承受大小等于重力荷载代表值的竖向荷载外,尚应承受跨中节点处两根支撑斜杆分别受拉屈服、受压屈曲所引起的不平衡竖向分力和水平分力的作用。在该不平衡力中,支撑的受压屈曲承载力和受拉屈服承载力应分别按0.3 φ Af y 及Af y 计算。为了减小竖向不平衡力引起的梁截面过大,可采用跨层X形支撑(图7.5.6a)或采用拉链柱(图7.5.6b)。

图7.5.6 人字支撑的加强
1-拉链柱
3 在支撑与横梁相交处,梁的上下翼缘应设置侧向支承,该支承应设计成能承受在数值上等于0.02倍的相应翼缘承载力f y b f t f 的侧向力的作用,f y 、b f 、t f 分别为钢材的屈服强度、翼缘板的宽度和厚度。当梁上为组合楼盖时,梁的上翼缘可不必验算。
条文说明
7.5.6 国内外的试验和分析研究均表明,在罕遇地震作用下,人字形和V形支撑框架中的成对支撑会交替经历受拉屈服和受压屈曲的循环作用,反复的整体屈曲,使支撑杆的受压承载力降低到初始稳定临界力的30%左右,而相邻的支撑受拉仍能接近屈服承载力,在横梁中产生不平衡的竖向分力和水平力的作用,梁应按压弯构件设计。显然支撑截面越大,该不平衡力也越大,将使梁截面增大很多,因此取消了98规程中关于该形支撑的设计内力应乘以增大系数1.5的规定,并引入了跨层X形支撑和拉链柱的概念,以便进一步减少支撑跨梁的用钢量。
顶层和出屋面房间的梁可不执行此条。
7.5.7 当中心支撑构件为填板连接的组合截面时,填板的间距应均匀,每一构件中填板数不得少于2块。且应符合下列规定:
1 当支撑屈曲后会在填板的连接处产生剪力时,两填板之间单肢杆件的长细比不应大于组合支撑杆件控制长细比的0.4倍。填板连接处的总受剪承载力设计值至少应等于单肢杆件的受拉承载力设计值。
2 当支撑屈曲后不在填板连接处产生剪力时,两填板之间单肢杆件的长细比不应大于组合支撑杆件控制长细比的0.75倍。
7.5.8 一、二、三级抗震等级的钢结构,可采用带有耗能装置的中心支撑体系。支撑斜杆的承载力应为耗能装置滑动或屈服时承载力的1.5倍。
7.6 偏心支撑框架
7.6 偏心支撑框架
7.6.1 偏心支撑框架中的支撑斜杆,应至少有一端与梁连接,并在支撑与梁交点和柱之间或支撑同一跨内另一支撑与梁交点之间形成消能梁段(图7.6.1)。超过50m的钢结构采用偏心支撑框架时,顶层可采用中心支撑。

图7.6.1 偏心支撑框架立面图
1-消能梁段
条文说明
7.6.1 偏心支撑框架的每根支撑,至少应有一端交在梁上,而不是交在梁与柱的交点或相对方向的另一支撑节点上。这样,在支撑与柱之间或支撑与支撑之间,有一段梁,称为消能梁段。消能梁段是偏心支撑框架的“保险丝”,在大震作用下通过消能梁段的非弹性变形耗能,而支撑不屈曲。因此,每根支撑至少一端必须与消能梁段连接。
7.6.2 消能梁段的受剪承载力应符合下列公式的规定:

式中:N——消能梁段的轴力设计值(N);
V——消能梁段的剪力设计值(N);

——系数,可取0.9;
V l 、V lc ——分别为消能梁段不计入轴力影响和计入轴力影响的受剪承载力(N),可按本规程第7.6.3条的规定计算;有地震作用组合时,应按本规程第3.6.1条规定除以γ RE 。
7.6.3 消能梁段的受剪承载力可按下列公式计算:
1 N≤0.15A f 时

式中:V l ——消能梁段不计入轴力影响的受剪承载力(N);
V lc ——消能梁段计入轴力影响的受剪承载力(N);
M lp ——消能梁段的全塑性受弯承载力(N·mm);
a、h、t w 、t f ——分别为消能梁段的净长(mm)、截面高度(mm)、腹板厚度和翼缘厚度(mm);
A w ——消能梁段腹板截面面积(mm 2 );
A——消能梁段的截面面积(mm 2 );
W np ——消能梁段对其截面水平轴的塑性净截面模量(mm 3 );
f、f y ——分别为消能梁段钢材的抗压强度设计值和屈服强度值(N/mm 2 )。
条文说明
7.6.2、7.6.3 当消能梁段的轴力设计值不超过0.15Af时,按AISC规定,忽略轴力影响,消能梁段的受剪承载力取腹板屈服时的剪力和消能梁段两端形成塑性铰时的剪力两者的较小值。本规程根据我国钢结构设计规范关于钢材拉、压、弯强度设计值与屈服强度的关系,取承载力抗震调整系数为1.0,计算结果与AISC相当。当轴力设计值超过0.15Af时,则降低梁段的受剪承载力,以保证消能梁段具有稳定的滞回性能。
7.6.4 消能梁段的受弯承载力应符合下列公式的规定:

式中:M——消能梁段的弯矩设计值(N·mm);
N——消能梁段的轴力设计值(N);
W——消能梁段的截面模量(mm 3 );
A——消能梁段的截面面积(mm 2 );
h、b f 、t f ——分别为消能梁段的截面高度(mm)、翼缘宽度(mm)和翼缘厚度(mm)。
f——消能梁端钢材的抗压强度设计值(N/mm 2 ),有地震作用组合时,应按本规程第3.6.1条的规定除以γ RE 。
7.6.5 有地震作用组合时,偏心支撑框架中除消能梁段外的构件内力设计值应按下列规定调整:

式中:N br ——支撑的轴力设计值(kN);
M b ——位于消能梁段同一跨的框架梁的弯矩设计值(kN·m);
M c 、N c ——分别为柱的弯矩(kN·m)、轴力设计值(kN);
V l ——消能梁段不计入轴力影响的受剪承载力(kN),取式(7.6.3-1)中的较大值;
V——消能梁段的剪力设计值(kN);
N br,com ——对应于消能梁段剪力设计值V的支撑组合的轴力计算值(kN);
M b,com ——对应于消能梁段剪力设计值V的位于消能梁段同一跨框架梁组合的弯矩计算值(kN·m);
M c,com 、N c,com ——分别为对应于消能梁段剪力设计值V的柱组合的弯矩计算值(kN·m)、轴力计算值(kN);
η br ——偏心支撑框架支撑内力设计值增大系数,其值在一级时不应小于1.4,二级时不应小于1.3,三级时不应小于1.2,四级时不应小于1.0;
η b 、η c ——分别为位于消能梁段同一跨的框架梁的弯矩设计值增大系数和柱的内力设计值增大系数,其值在一级时不应小于1.3,二、三、四级时不应小于1.2。
条文说明
7.6.5 偏心支撑框架的设计意图是提供消能梁段,当地震作用足够大时,消能梁段屈服,而支撑不屈曲。能否实现这一意图,取决于支撑的承载力。据此,根据抗震等级对支撑的轴压力设计值进行调整,保证消能梁段能进入非弹性变形而支撑不屈曲。
强柱弱梁的设计原则同样适用于偏心支撑框架。考虑到梁钢材的屈服强度可能会提高,为了使塑性铰出现在梁而不是柱中,可将柱的设计内力适当提高。但本条文的要求并不保证底层柱脚不出现塑性铰,当水平位移足够大时,作为固定端的底层柱脚有可能屈服。
为了使塑性铰出现在消能梁段而不是同一跨的框架梁,也应该将同一跨的框架梁的设计弯矩适当提高。
7.6.6 偏心支撑斜杆的轴向承载力应符合下式要求:

式中:N br ——支撑的轴力设计值(N);
A br ——支撑截面面积(mm 2 );
φ——由支撑长细比确定的轴心受压构件稳定系数;
f——钢材的抗拉、抗压强度设计值(N/mm 2 ),有地震作用组合时,应按本规程第3.6.1条的规定除以γ RE 。
7.6.7 偏心支撑框架梁和柱的承载力,应按现行国家标准《钢结构设计规范》GB 50017的规定进行验算;有地震作用组合时,钢材强度设计值应按本规程第3.6.1条的规定除以γ RE 。
7.7 伸臂桁架和腰桁架
7.7 伸臂桁架和腰桁架
7.7.1 伸臂桁架及腰桁架的布置应符合下列规定:
1 在需要提高结构整体侧向刚度时,在框架-支撑组成的筒中筒结构或框架-核心筒结构的适当楼层(加强层)可设置伸臂桁架,必要时可同时在外框柱之间设置腰桁架。伸臂桁架设置在外框架柱与核心构架或核心筒之间,宜在全楼层对称布置。
2 抗震设计结构中设置加强层时,宜采用延性较好、刚度及数量适宜的伸臂桁架及(或)腰桁架,避免加强层范围产生过大的层刚度突变。
3 巨型框架中设置的伸臂桁架应能承受和传递主要的竖向荷载及水平荷载,应与核心构架或核心筒墙体及外框巨柱有同等的抗震性能要求。
4 9度抗震设防时不宜使用伸臂桁架及腰桁架。
条文说明
7.7.1 在框架-支撑组成的筒中筒结构或框架-核心筒结构的加强层设置伸臂桁架及(或)腰桁架可以提高结构的侧向刚度,据统计对于200m~300m高度的结构,设置伸臂桁架后刚度可提高15%左右,设置腰桁架可提高5%左右,设计中为提高侧向刚度主要设置伸臂桁架。
由于伸臂桁架形成的加强层造成结构竖向刚度不均匀,使墙、柱形成薄弱层,因此对于抗震设计的结构为提高侧向刚度,优先采用其他措施,尽可能不设置或少设置伸臂桁架。同时由于这个原因提出9度抗震设防区不宜采用伸臂桁架。
抗震设计中设置加强层时,需控制每道伸臂桁架刚度不宜过大,需要时可设多道加强层。
非抗震设计的结构,可采用刚性伸臂桁架。
7.7.2 伸臂桁架及腰桁架的设计应符合下列规定:
1 伸臂桁架、腰桁架宜采用钢桁架。伸臂桁架应与核心构架柱或核心筒转角部或有T形墙相交部位连接。
2 对抗震设计的结构,加强层及其上、下各一层的竖向构件和连接部位的抗震构造措施,应按规定的结构抗震等级提高一级采用。
3 伸臂桁架与核心构架或核心筒之间的连接应采用刚接,且宜将其贯穿核心筒或核心构架,与另一边的伸臂桁架相连,锚入核心筒剪力墙或核心构架中的桁架弦杆、腹杆的截面面积不小于外部伸臂桁架构件相应截面面积的1/2。腰桁架与外框架柱之间应采用刚性连接。
4 在结构施工阶段,应考虑内筒与外框的竖向变形差。对伸臂结构与核心筒及外框柱之间的连接应按施工阶段受力状况采取临时连接措施,当结构的竖向变形差基本消除后再进行刚接。
5 当伸臂桁架或腰桁架兼作转换层构件时,应按本规程第7.1.6条规定调整内力并验算其竖向变形及承载能力;对抗震设计的结构尚应按性能目标要求采取措施提高其抗震安全性。
6 伸臂桁架上、下楼层在计算模型中宜按弹性楼板假定。
7 伸臂桁架上、下层楼板厚度不宜小于160mm。
条文说明
7.7.2 由于设置伸臂桁架在同层及上下层的核心筒与柱的剪力、弯矩都增大,构件截面设计及构造上需加强。
在高烈度设防区,当在较高的或者特别不规则的高层民用建筑中设置加强层时,宜采取进一步的性能设计要求和措施。在设防地震或预估的罕遇地震作用下,对伸臂桁架及相邻上下各一层的竖向构件提出抗震性能的更高要求,但伸臂桁架腹杆性能要求宜低于弦杆。
由于伸臂桁架上下弦同时承受轴力、弯矩、剪力,与一般楼层梁受力状态不同,在计算模型中应按弹性楼板假定计算上下弦的轴力。
7.8 其他抗侧力构件
7.8 其他抗侧力构件
7.8.1 钢板剪力墙的设计,应符合本规程附录B的有关规定。
7.8.2 无粘结内藏钢板支撑墙板的设计,应符合本规程附录C的有关规定。
7.8.3 钢框架-内嵌竖缝混凝土剪力墙板的设计,应符合本规程附录D的有关规定。
7.8.4 屈曲约束支撑的设计,应符合本规程附录E的有关规定。
8 连接设计
8.1 一般规定
8 连接设计
8.1 一般规定
8.1.1 高层民用建筑钢结构的连接,非抗震设计的结构应按现行国家标准《钢结构设计规范》GB 50017的有关规定执行。抗震设计时,构件按多遇地震作用下内力组合设计值选择截面;连接设计应符合构造措施要求,按弹塑性设计,连接的极限承载力应大于构件的全塑性承载力。
条文说明
8.1.1 钢框架的连接主要包括:梁与柱的连接、支撑与框架的连接、柱脚的连接以及构件拼接。连接的高强度螺栓数和焊缝长度(截面)宜在构件选择截面时预估。
8.1.2 钢框架抗侧力构件的梁与柱连接应符合下列规定:
1 梁与H形柱(绕强轴)刚性连接以及梁与箱形柱或圆管柱刚性连接时,弯矩由梁翼缘和腹板受弯区的连接承受,剪力由腹板受剪区的连接承受。
2 梁与柱的连接宜采用翼缘焊接和腹板高强度螺栓连接的形式,也可采用全焊接连接。一、二级时梁与柱宜采用加强型连接或骨式连接。
3 梁腹板用高强度螺栓连接时,应先确定腹板受弯区的高度,并应对设置于连接板上的螺栓进行合理布置,再分别计算腹板连接的受弯承载力和受剪承载力。
条文说明
8.1.2 钢框架梁柱连接设计的基本要求,与梁柱连接的新计算方法有关,详见计算方法规定。98规程提到的悬臂段式梁柱连接,根据日本2007年JASS 6的说明,此种连接形式的钢材和螺栓用量均偏高,影响工程造价,且运输和堆放不便;更重要的是梁端焊接影响抗震性能,1995年阪神地震表明悬臂梁段式连接的梁端破坏率为梁腹板螺栓连接时的3倍,虽然其梁端内力传递性能较好和现场施工作业较方便,但综合考虑不宜作为主要连接形式之一推广采用。1994年北岭地震和1995年阪神地震后,美日均规定梁端采用截面减弱型或加强型连接,目的是将塑性铰由柱面外移以减小梁柱连接的破坏,根据现行国家标准《建筑抗震设计规范》GB 50011的规定,对一、二级的高层民用建筑钢结构宜采用类似的加强措施。
8.1.3 钢框架抗侧力结构构件的连接系数α应按表8.1.3的规定采用。
表8.1.3 钢构件连接的连接系数α


注:1 屈服强度高于Q345的钢材,按Q345的规定采用;
2 屈服强度高于Q345GJ的GJ钢材,按Q345GJ的规定采用;
3 括号内的数字用于箱形柱和圆管柱;
4 外露式柱脚是指刚接柱脚,只适用于房屋高度50m以下。
条文说明
8.1.3 钢结构连接系数修订,系参考日本建筑学会《钢结构连接设计指南》2006的规定拟定的,见表3。
表 3

注:1 高强度螺栓的极限承载力计算时按承压型连接考虑;
2 柱脚连接系数用于H形柱,对箱形柱和圆管柱取1.0。
该标准说明,钢柱脚的极限受弯承载力与柱的全塑性受弯承载力之比有下列关系:H形柱埋深达2倍柱宽时该比值可达1.2;箱形柱埋深达2倍柱宽时该比值可达0.8~1.2;圆管柱埋深达3倍外径时该比值可能达到1.0。因此,对箱形柱和圆管柱柱脚的连接系数取1.0,且圆管柱的埋深不应小于柱外径的3倍。
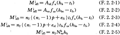
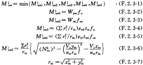
表3中的连接系数包括了超强系数和应变硬化系数。按日本规定,SS是碳素结构钢,SM是焊接结构钢,SN是抗震结构钢,其性能等级是逐步提高的;连接系数随钢种的提高而递减,也随钢材的强度等级递增而递减,是以钢材超强系数统计数据为依据的,而应变硬化系数各国普遍采用1.1。该文献说明,梁柱连接的塑性要求最高,连接系数也最高,而支撑连接和构件拼接的塑性变形相对较小,故连接系数可取较低值。高强螺栓连接受滑移的影响,且螺栓的强屈比低于相应母材的强屈比,影响了承载力。美国和欧洲规范中都没有这样详细的划分和规定。我国目前对建筑钢材的超强系数还没有作过统计。
8.1.4 梁与柱刚性连接时,梁翼缘与柱的连接、框架柱的拼接、外露式柱脚的柱身与底板的连接以及伸臂桁架等重要受拉构件的拼接,均应采用一级全熔透焊缝,其他全熔透焊缝为二级。非熔透的角焊缝和部分熔透的对接与角接组合焊缝的外观质量标准应为二级。现场一级焊缝宜采用气体保护焊。
焊缝的坡口形式和尺寸,宜根据板厚和施工条件,按现行国家标准《钢结构焊接规范》GB 50661的要求选用。
条文说明
8.1.4 梁与柱刚性连接的梁端全熔透对接焊缝,属于关键性焊缝,对于通常处于封闭式房屋中温度保持在10℃或稍高的结构,其焊缝金属应具有—20℃时27J的夏比冲击韧性。
8.1.5 构件拼接和柱脚计算时,构件的受弯承载力应考虑轴力的影响。构件的全塑性受弯承载力M p 应按下列规定以M pc 代替:
1 对H形截面和箱形截面构件应符合下列规定:

2 圆形空心截面的M pc 可按下列公式计算:


式中:N——构件轴力设计值(N);
N y ——构件的轴向屈服承载力(N);
A——H形截面或箱形截面构件的截面面积(mm 2 );
A w ——构件腹板截面积(mm 2 );
f y ——构件腹板钢材的屈服强度(N/mm 2 )。
条文说明
8.1.5 构件受轴力时的全塑性受弯承载力,对工形截面和箱形截面沿用了98规程的规定;对圆管截面参考日本建筑学会《钢结构连接设计指南》2001/2006的规定列入。
8.1.6 高层民用建筑钢结构承重构件的螺栓连接,应采用高强度螺栓摩擦型连接。考虑罕遇地震时连接滑移,螺栓杆与孔壁接触,极限承载力按承压型连接计算。
8.1.7 高强度螺栓连接受拉或受剪时的极限承载力,应按本规程附录F的规定计算。
8.2 梁与柱刚性连接的计算
8.2 梁与柱刚性连接的计算
8.2.1 梁与柱的刚性连接应按下列公式验算:

式中:M j u ——梁与柱连接的极限受弯承载力(kN·m);
M p ——梁的全塑性受弯承载力(kN·m)(加强型连接按未扩大的原截面计算),考虑轴力影响时按本规程第8.1.5条的M pc 计算;
∑M p ——梁两端截面的塑性受弯承载力之和(kN·m);
V j u ——梁与柱连接的极限受剪承载力(kN);
V Gb ——梁在重力荷载代表值(9度尚应包括竖向地震作用标准值)作用下,按简支梁分析的梁端截面剪力设计值(kN);
l n ——梁的净跨(m);
α——连接系数,按本规程表8.1.3的规定采用。
条文说明
8.2.1 梁截面通常由弯矩控制,故梁的极限受剪承载力取与极限受弯承载力对应的剪力加竖向荷载产生的剪力。
8.2.2 梁与柱连接的受弯承载力应按下列公式计算:


式中:M j ——梁与柱连接的受弯承载力(N·mm);
W j e ——连接的有效截面模量(mm 3 );
I e ——扣除过焊孔的梁端有效截面惯性矩(mm 4 );当梁腹板用高强度螺栓连接时,为扣除螺栓孔和梁翼缘与连接板之间间隙后的截面惯性矩;
h b 、h 0b ——分别为梁截面和梁腹板的高度(mm);
t wb ——梁腹板的厚度(mm);
f——梁的抗拉、抗压和抗弯强度设计值(N/mm 2 ),
h m ——梁腹板的有效受弯高度(mm),应按本规程第8.2.3条的规定计算。
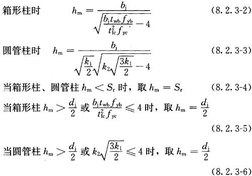
8.2.3 梁腹板的有效受弯高度h m 应按下列公式计算(图8.2.3):

图8.2.3 工字形梁与箱形柱和圆管柱连接的符号说明
a-壁板的屈服线;b-梁腹板的屈服区;c-钢管壁的屈服线

式中:d j ——箱形柱壁板上下加劲肋内侧之间的距离(mm);
b j ——箱形柱壁板屈服区宽度(mm),b j =b c —2t fc ;
b c ——箱形柱壁板宽度或圆管柱的外径(mm);
h m ——与箱形柱或圆管柱连接时,梁腹板(一侧)的有效受弯高度(mm);
S r ——梁腹板过焊孔高度,高强螺栓连接时为剪力板与梁翼缘间间隙的距离(mm);
h 0b ——梁腹板高度(mm);
f yb ——梁钢材的屈服强度(N/mm 2 ),当梁腹板用高强度螺栓连接时,为柱连接板钢材的屈服强度(N/mm 2 );
f yc ——柱钢材屈服强度(N/mm 2 );
t fc ——箱形柱壁板厚度(mm);
t fb ——梁翼缘厚度(mm);
t wb ——梁腹板厚度(mm);
k 1 、k 2 ——圆管柱有关截面和承载力指标,k 1 =b j /t fc ,k 2 =t wb f yb /(t fc f yc )。
条文说明
8.2.2、8.2.3 本条给出了新计算方法的梁柱连接弹性设计表达式。其中箱形柱壁板和圆管柱管壁平面外的有效高度也适用于连接的极限受弯承载力计算。
01抗规规定:当梁翼缘的塑性截面模量与梁全截面的塑性截面模量之比小于70%时,梁腹板与柱的连接螺栓不得少于二列;当计算仅需一列时,仍应布置二列,且此时螺栓总数不得少于计算值的1.5倍。该法不能对腹板螺栓数进行定量计算,并导致螺栓用量增多。但01抗规规定的方法仍可采用。
8.2.4 抗震设计时,梁与柱连接的极限受弯承载力应按下列规定计算(图8.2.4):

式中:W wpe ——梁腹板有效截面的塑性截面模量(mm 3 );
f yw ——梁腹板钢材的屈服强度(N/mm 2 );
h b ——梁截面高度(mm);
d j ——柱上下水平加劲肋(横隔板)内侧之间的距离(mm);
b j ——箱形柱壁板内侧的宽度或圆管柱内直径(mm),b j =b c —2t fc ;
r——圆钢管上下横隔板之间的距离与钢管内径的比值,r=d j /b j ;
t fc ——箱形柱或圆管柱壁板的厚度(mm);
f yc ——柱钢材屈服强度(N/mm 2 );
f yf 、f yw ——分别为梁翼缘和梁腹板钢材的屈服强度(N/mm 2 );
t fb 、t wb ——分别为梁翼缘和梁腹板的厚度(mm);
f ub ——为梁翼缘钢材抗拉强度最小值(N/mm 2 )。
条文说明
8.2.4 本条提出的梁柱连接极限承载力的设计计算方法,适用于抗震设计的所有等级,包括可不做结构抗震计算但仍需满足构造要求的低烈度区抗震结构。
钢框架梁柱连接,弯矩除由翼缘承受外,还可由腹板承受,但由于箱形柱壁板出现平面外变形,过去无法对腹板受弯提出对应的计算公式,采用弯矩由翼缘承受的方法,当弯矩超出翼缘抗弯能力时,只能采用加强腹板连接螺栓或采用螺栓连接和焊缝并用等构造措施,做到使其在大震下不坏。日本建筑学会于1998年在《钢结构极限状态设计规范》中提出,梁端弯矩可由翼缘和腹板连接的一部分承受的概念,于2001提出完整的设计方法,2006年又将其 扩大到圆管柱。
新方法的特点可概括如下:①利用横隔板(加劲肋)对腹板的嵌固作用,发挥了壁板边缘区的抗弯潜能,解决了箱形柱和圆管柱壁板不能承受面外弯矩的问题;②腹板承受弯矩区和承受剪力区的划分思路合理,解决了腹板连接长期无法定量计算的难题;③梁与工形柱(绕强轴)的连接,以前虽可用内力合成方法解决,但计算繁琐,新方法使计算简化,并显著减少螺栓用量,经济效果显著,值得推广。
本条中的梁腹板连接的极限受弯承载力Mjuw也可由下式直接计算:

8.2.5 梁腹板与H形柱(绕强轴)、箱形柱或圆管柱的连接,应符合下列规定:
1 连接板应采用与梁腹板相同强度等级的钢材制作,其厚度应比梁腹板大2mm。连接板与柱的焊接,应采用双面角焊缝,在强震区焊缝端部应围焊,对焊缝的厚度要求与梁腹板与柱的焊缝要求相同。
2 采用高强度螺栓连接时(图8.2.5-1),承受弯矩区和承受剪力区的螺栓数应按弯矩在受弯区引起的水平力和剪力作用在受剪区(图8.2.5-2)分别进行计算,计算时应考虑连接的不同破坏模式取较小值。

图8.2.5-1 柱连接板与梁腹板的螺栓连接

式中:n 1 、n 2 ——分别为承受弯矩区(一侧)和承受剪力区需要的螺栓数;
V j um ——为弯矩M j uw 引起的承受弯矩区的水平剪力(kN);
α——连接系数,按本规程表8.1.3的规定采用;
N b vu ,N b cu1 ,N b cu2 ,N b cu3 ,N b cu4 ——按本规程附录F中的第F.1.1条、第F.1.4条的规定计算。
3 腹板与柱焊接时(图8.2.5-3),应设置定位螺栓。腹板承受弯矩区内应验算弯应力与剪应力组合的复合应力,承受剪力区可仅按所承受的剪力进行受剪承载力验算。

条文说明
8.2.5 因Nbcu2~Nbcu4在破断面积计算时已计入螺栓数,而Nbvu和Nbcu1为单螺栓的承载力,故仅对单螺栓承载力乘以有关的螺栓数即可。
8.3 梁与柱连接的形式和构造要求
8.3 梁与柱连接的形式和构造要求
8.3.1 框架梁与柱的连接宜采用柱贯通型。在互相垂直的两个方向都与梁刚性连接时,宜采用箱形柱。箱形柱壁板厚度小于16mm时,不宜采用电渣焊焊接隔板。
条文说明
8.3.1 采用电渣焊时箱形柱壁板最小厚度取16mm是经专家论证的,更薄时将难以保证焊件质量。当箱形柱壁板小于该值时,可改用H形柱、冷成型柱或其他形式柱截面。
8.3.2 冷成型箱形柱应在梁对应位置设置隔板,并应采用隔板贯通式连接。柱段与隔板的连接应采用全熔透对接焊缝(图8.3.2)。隔板宜采用Z向钢制作。其外伸部分长度e宜为25mm~30mm,以便将相邻焊缝热影响区隔开。

图8.3.2 框架梁与冷成型箱形柱隔板的连接
1-H形钢梁;2-横隔板;3-箱形柱;4-大圆弧半径≈35mm;5-小圆弧半径≈10mm;6-衬板厚度8mm以上;7-圆弧端点至衬板边缘5mm;
8-隔板外侧衬板边缘采用连续焊缝;9-焊根宽度7mm,坡口角度35°
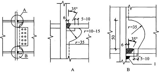
8.3.3 当梁与柱在现场焊接时,梁与柱连接的过焊孔,可采用常规型(图8.3.3-1)和改进型(图8.3.3-2)两种形式。采用改进型时,梁翼缘与柱的连接焊缝应采用气体保护焊。
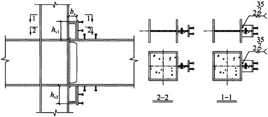
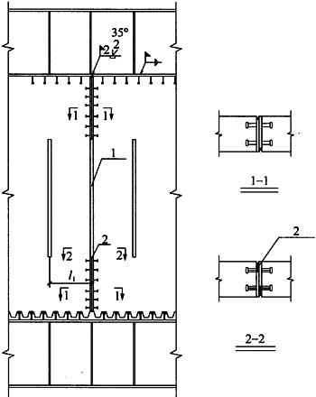
梁翼缘与柱翼缘间应采用全熔透坡口焊缝,抗震等级一、二级时,应检验焊缝的V形切口冲击韧性,其夏比冲击韧性在—20℃时不低于27J。
梁腹板(连接板)与柱的连接焊缝,当板厚小于16mm时可采用双面角焊缝,焊缝的有效截面高度应符合受力要求,且不得小于5mm。当腹板厚度等于或大于16mm时应采用K形坡口焊缝。设防烈度7度(0.15g)及以上时,梁腹板与柱的连接焊缝应采用围焊,围焊在竖向部分的长度l应大于400mm且连续施焊(图8.3.3-3)。

图8.3.3-1 常规型过焊孔
1-h w ≈5长度等于翼缘总宽度

图8.3.3-2 改进型过焊孔
r 1 =35mm左右;r 2 =10mm以上;
O点位置:t f <22mm:L 0 (mm)=0
t f ≥22mm:L 0 (mm)=0.75 t f —15,t f 为下翼缘板厚
h w ≈5长度等于翼缘总宽度

图8.3.3-3 围焊的施焊要求
条文说明
8.3.3 过焊孔是为梁翼缘的全熔透焊缝衬板通过设置的,美国标准称为通过孔,日本标准称为扇形切角,本规程按现行国家标准《钢结构焊接规范》GB 50661称为过焊孔。01抗规采用了常规型,并列入2010版。其上端孔高35mm,与翼缘相接处圆弧半径改为10mm,以便减小该处应力集中;下端孔高50mm,便于施焊时将火口位置错开,以避免腹板处成为震害源点。改进型与梁翼缘焊缝改用气体保护焊有关,上端孔型与常规型相同,下端孔高改为与上端孔相同,唯翼缘板厚大于22mm时下端孔的圆弧部分需适当放宽以利操作,并规定腹板焊缝端部应围焊,以减少该处震害。下孔高度减小使腹板焊缝有效长度增大15mm,对受力有利。鉴于国内长期采用常规型,目前拟推荐优先采用改进型,并对翼缘焊缝采用气体保护焊。此时,下端过焊孔衬板与柱翼缘接触的一侧下边缘,应采用5mm角焊缝封闭,防止地震时引发裂缝。 美国ANSI/AISC341-10规定采用FEMA350提出的孔型(图2),其特点是上下对称,在梁轴线方向孔较长,可适应较大 
图2 AISC推荐孔型 ①坡口角度符合有关规定;②翼缘厚度或12mm,取小者;③(1~0.75)倍翼缘厚度;④最小半径19mm;⑤3倍翼缘厚度(±12mm);⑥表面平整,圆弧开口不大于25°转角,应力集中普遍较小。我国对此种梁端连接形式尚缺少试验验证,采用时应进行试验。 ANSI/AISC341-10规定了四条关键性焊缝,即:梁翼缘与框架柱连接,梁腹板与框架柱连接,梁腹板与柱连接板连接和框架柱的拼接。按本规定,一、二级时对梁翼缘与柱连接焊缝应满足规定的冲击韧性要求,对其余焊缝采取构造措施加强。
8.3.4 梁与柱的加强型连接或骨式连接包含下列形式,有依据时也可采用其他形式。
1 梁翼缘扩翼式连接(图8.3.4-1),图中尺寸应按下列公式确定:

式中:h b ——梁的高度(mm);
b f ——梁翼缘的宽度(mm);
R——梁翼缘扩翼半径(mm)。

图8.3.4-1 梁翼缘扩翼式连接
2 梁翼缘局部加宽式连接(图8.3.4-2),图中尺寸应按下列公式确定:

式中:t f ——梁翼缘厚度(mm);
t s ——局部加宽板厚度(mm)。

图8.3.4-2 梁翼缘局部加宽式连接
3 梁翼缘盖板式连接(图8.3.4-3):

式中:t cp ——楔形盖板厚度(mm)。
4 梁翼缘板式连接(图8.3.4-4),图中尺寸应按下列公式确定:

式中:t tp ——梁翼缘板厚度(mm)。
5 梁骨式连接(图8.3.4-5),切割面应采用铣刀加工。图中尺寸应按下列公式确定:


图8.3.4-3 梁翼缘盖板式连接

图8.3.4-4 梁翼缘板式连接

图8.3.4-5 梁骨式连接
条文说明
8.3.4 本条推荐在一、二级时采用的梁柱刚性连接节点,形式有:梁翼缘扩翼式、梁翼缘局部加宽式、梁翼缘盖板式、梁翼缘板式、梁骨式连接。 梁翼缘加强型节点塑性铰外移的设计原理如图3所示。通过在梁上下翼缘局部焊接钢板或加大截面,达到提高节点延性,在罕遇地震作用下获得在远离梁柱节点处梁截面塑性发展的设计目标。 
图 3
1-翼缘板(盖板)抗弯承载力;2-侧板(扩翼式)抗弯承载力;3-钢梁抗弯承载力;4-外荷载产生弯矩;a-加强板;b-塑性铰
8.3.5 梁与H形柱(绕弱轴)刚性连接时,加劲肋应伸至柱翼缘以外75mm,并以变宽度形式伸至梁翼缘,与后者用全熔透对接焊缝连接。加劲肋应两面设置(无梁外侧加劲肋厚度不应小于梁翼缘厚度之半)。翼缘加劲肋应大于梁翼缘厚度,以协调翼缘的允许偏差。梁腹板与柱连接板用高强螺栓连接。

图8.3.5 梁与H形柱弱轴刚性连接
1-梁柱轴线
8.3.6 框架梁与柱刚性连接时,应在梁翼缘的对应位置设置水平加劲肋(隔板)。对抗震设计的结构,水平加劲肋(隔板)厚度不得小于梁翼缘厚度加2mm,其钢材强度不得低于梁翼缘的钢材强度,其外侧应与梁翼缘外侧对齐(图8.3.6)。对非抗震设计的结构,水平加劲肋(隔板)应能传递梁翼缘的集中力,厚度应由计算确定;当内力较小时,其厚度不得小于梁翼缘厚度的1/2,并应符合板件宽厚比限值。水平加劲肋宽度应从柱边缘后退10mm。

图8.3.6 柱水平加劲肋与梁翼缘外侧对齐
1-柱;2-水平加劲肋;3-梁;4-强轴方向梁上端;5-强轴方向梁下端
条文说明
8.3.6 加劲肋承受梁翼缘传来的集中力,与梁翼缘轴线对齐施工时难以保证,参考日本做法改为将外边缘对齐。其厚度应比梁翼缘厚2mm,是考虑板厚存在的公差,且连接存在偏心。加劲肋应采用与梁翼缘同等强度的钢材制作,不得用较低强度等级的钢材,以保证必要的承载力。
8.3.7 当柱两侧的梁高不等时,每个梁翼缘对应位置均应按本条的要求设置柱的水平加劲肋。加劲肋的间距不应小于150mm,且不应小于水平加劲肋的宽度(图8.3.7a)。当不能满足此要求时,应调整梁的端部高度,可将截面高度较小的梁腹板高度局部加大,腋部翼缘的坡度不得大于1:3(图8.3.7b)。当与柱相连的梁在柱的两个相互垂直的方向高度不等时,应分别设置柱的水平加劲肋(图8.3.7c)。

图8.3.7 柱两侧梁高不等时的水平加劲肋
8.3.8 当节点域厚度不满足本规程第7.3.5条~第7.3.8条要求时,对焊接组合柱宜将腹板在节点域局部加厚(图8.3.8-1),腹板加厚的范围应伸出梁上下翼缘外不小于150mm;对轧制H形钢柱可贴焊补强板加强(图8.3.8-2)。

条文说明
8.3.8 对焊接组合柱,宜加厚节点板,将柱腹板在节点域范围更换为较厚板件。加厚板件应伸出柱横向加劲肋之外各150mm,并采用对接焊缝与柱腹板相连。 轧制H形柱贴焊补强板时,其上、下边缘可不伸过柱横向加劲肋或伸过柱横向加劲肋之外各150mm。当不伸过横向加劲肋时,横向加劲肋应与柱腹板焊接,补强板与横向加劲肋之间的角焊缝应能传递补强板所分担的剪力,且厚度不小于5mm。当补强板伸过柱横向加劲肋时,横向加劲肋仅与补强板焊接,此焊缝应能将加劲肋传来的力传递给补强板,补强板的厚度及其焊缝应按传递该力的要求设计。补强板侧边可采用角焊缝与柱翼缘相连,其板面尚应采用塞焊与柱腹板连成整体。塞焊点之间的距离,不应大于相连板件中较薄板件厚度的21
倍。
8.3.9 梁与柱铰接时(图8.3.9),与梁腹板相连的高强度螺栓,除应承受梁端剪力外,尚应承受偏心弯矩的作用,偏心弯矩M应按下式计算。当采用现浇钢筋混凝土楼板将主梁和次梁连成整体时,可不计算偏心弯矩的影响。

图8.3.9 梁与柱的铰接
条文说明
8.3.9 日本《钢结构标准连接——H形钢篇》SCSS-H97规定:“楼盖次梁与主梁用高强度螺栓连接,采取了考虑偏心影响的设计方法,次梁端部的连接除传递剪力外,还应传递偏心弯矩。但是,当采用现浇钢筋混凝土楼板将主梁与次梁连成一体时,偏心弯矩将由混凝土楼板承担,次梁端部的连接计算可忽略偏心弯矩的作用”。参考此规定,凡符合上述条件者,楼盖次梁与钢梁的连接在计算时可以忽略螺栓连接引起的偏心弯矩的影响,此时楼板厚度应符合设计标准的要求(采用组合板时,压型钢板顶面以上的混凝土厚度不应小于80mm)。
8.4 柱与柱的连接
8.4 柱与柱的连接
8.4.1 柱与柱的连接应符合下列规定:
1 钢框架宜采用H形柱、箱形柱或圆管柱,钢骨混凝土柱中钢骨宜采用H形或十字形。
2 框架柱的拼接处至梁面的距离应为1.2m~1.3m或柱净高的一半,取二者的较小值。抗震设计时,框架柱的拼接应采用坡口全熔透焊缝。非抗震设计时,柱拼接也可采用部分熔透焊缝。
3 采用部分熔透焊缝进行柱拼接时,应进行承载力验算。当内力较小时,设计弯矩不得小于柱全塑性弯矩的一半。
条文说明
8.4.1 当高层民用建筑钢结构底部有钢骨混凝土结构层时,H形截面钢柱延伸至钢骨混凝土中仍为H形截面,而箱形柱延伸至钢骨混凝土中,应改用十字形截面,以便于与混凝土结合成整体。 框架柱拼接处距楼面的高度,考虑了安装时操作方便,也考虑位于弯矩较小处。操作不便将影响焊接质量,不宜设在低于本条第2款规定的位置。柱拼接属于重要焊缝,抗震设计时应采用一级全熔透焊缝。
8.4.2 箱形柱宜为焊接柱,其角部的组装焊缝一般应采用V形坡口部分熔透焊缝。当箱形柱壁板的Z向性能有保证,通过工艺试验确认不会引起层状撕裂时,可采用单边V形坡口焊缝。
箱形柱含有组装焊缝一侧与框架梁连接后,其抗震性能低于未设焊缝的一侧,应将不含组装焊缝的一侧置于主要受力方向。
组装焊缝厚度不应小于板厚的1/3,且不应小于16mm,抗震设计时不应小于板厚的1/2(图8.4.2-1a)。当梁与柱刚性连接时,在框架梁翼缘的上、下500mm范围内,应采用全熔透焊缝;柱宽度大于600mm时,应在框架梁翼缘的上、下600mm范围内采用全熔透焊缝(图8.4.2-1b)。
十字形柱应由钢板或两个H形钢焊接组合而成(图8.4.2-2);组装焊缝均应采用部分熔透的K形坡口焊缝,每边焊接深度不应小于1/3板厚。

条文说明
8.4.2 箱形柱的组装焊缝通常采用V形坡口部分熔透焊缝,其有效熔深不宜小于板厚的1/3,对抗震设计的结构不宜小于板厚的1/2。 柱在主梁上下各600mm范围内,应采用全熔透焊缝,是考虑该范围柱段在预估的罕遇地震作用时将进入塑性区。600mm是日本在工程设计中通常采用的数值,当柱截面较小时也有采用500mm的。
8.4.3 在柱的工地接头处应设置安装耳板,耳板厚度应根据阵风和其他施工荷载确定,并不得小于10mm。耳板宜仅设于柱的一个方向的两侧。
条文说明
8.4.3 箱形柱的耳板宜仅设置在一个方向,对工地施焊比较方便。
8.4.4 非抗震设计的高层民用建筑钢结构,当柱的弯矩较小且不产生拉力时,可通过上下柱接触面直接传递25%的压力和25%的弯矩,此时柱的上下端应磨平顶紧,并应与柱轴线垂直。坡口焊缝的有效深度t e 不宜小于板厚的1/2(图8.4.4)。

图8.4.4 柱接头的部分熔透焊缝
条文说明
8.4.4 美国AISC规范规定,当柱支承在承压板上或在拼接处端部铣平承压时,应有足够螺栓或焊缝使所有部件均可靠就位,接头应能承受由规定的侧向力和75%的计算永久荷载所产生的任何拉力。日本规范规定,在不产生拉力的情况下,端部紧密接触可传递25%的压力和25%的弯矩。我国现行国家标准《钢结构设计规范》GB 50017规定,轴心受压柱或压弯柱的端部为铣平端时,柱身的最大压力由铣平端传递,其连接焊缝,铆钉或螺栓应按最大压力的15%计算。考虑到高层民用建筑的重要性,本条规定,上下柱接触面可直接传递压力和弯矩各25%。
8.4.5 H形柱在工地的接头,弯矩应由翼缘和腹板承受,剪力应由腹板承受,轴力应由翼缘和腹板分担。翼缘接头宜采用坡口全熔透焊缝,腹板可采用高强度螺栓连接。当采用全焊接接头时,上柱翼缘应开V形坡口,腹板应开K形坡口。
条文说明
8.4.5 当按内力设计柱的拼接时,可按本条规定设计。但在抗震设计的结构中,应按本规程第8.4.1条的规定,柱的拼接采用坡口全熔透焊缝和柱身等强,不必做相应计算。
8.4.6 箱形柱的工地接头应全部采用焊接(图8.4.6)。非抗震设计时,可按本规程第8.4.4条的规定执行。

图8.4.6 箱形柱的工地焊接
下节箱形柱的上端应设置隔板,并应与柱口齐平,厚度不宜小于16mm。其边缘应与柱口截面一起刨平。在上节箱形柱安装单元的下部附近,尚应设置上柱隔板,其厚度不宜小于10mm。柱在工地接头的上下侧各100mm范围内,截面组装焊缝应采用坡口全熔透焊缝。
条文说明
8.4.6 图8.4.6所示箱形柱的工地接头,是日本高层民用建筑钢结构中采用的典型构造方式,在我国已建成的高层民用建筑钢结构中也被广泛采用。下柱横隔板应与柱壁板焊接一定深度,使周边铣平后不致将焊根露出。
8.4.7 当需要改变柱截面积时,柱截面高度宜保持不变而改变翼缘厚度。当需要改变柱截面高度时,对边柱宜采用图8.4.7a的做法,对中柱宜采用图8.4.7b的做法,变截面的上下端均应设置隔板。当变截面段位于梁柱接头时,可采用图8.4.7c的做法,变截面两端距梁翼缘不宜小于150mm。

图8.4.7 柱的变截面连接
条文说明
8.4.7 当柱需要改变截面时,宜将变截面段设于梁接头部位,使柱在层间保持等截面,变截面端的坡度不宜过大。为避免焊缝重叠,柱变截面上下接头的标高,应离开梁翼缘连接焊缝至少150mm。
8.4.8 十字形柱与箱形柱相连处,在两种截面的过渡段中,十字形柱的腹板应伸入箱形柱内,其伸入长度不应小于钢柱截面高度加200mm(图8.4.8)。与上部钢结构相连的钢骨混凝土柱,沿其全高应设栓钉,栓钉间距和列距在过渡段内宜采用150mm,最大不得超过200mm;在过渡段外不应大于300mm。

图8.4.8 十字形柱与箱形柱的连接
条文说明
8.4.8 伸入长度参考日本规定采用。十字形截面柱的接头,在抗震设计的结构中应采用焊接。十字形柱与箱形柱连接处的过渡段,位于主梁之下,紧靠主梁。伸入箱形柱内的十字形柱腹板,通过专用工具来焊接。 在钢结构向钢骨混凝土结构过渡的楼层,为了保证传力平稳和提高结构的整体性,栓钉是不可缺少的。
8.5 梁与梁的连接和梁腹板设孔的补强
8.5 梁与梁的连接和梁腹板设孔的补强
8.5.1 梁的拼接应符合下列规定:
1 翼缘采用全熔透对接焊缝,腹板用高强度螺栓摩擦型连接;
2 翼缘和腹板均采用高强度螺栓摩擦型连接;
3 三、四级和非抗震设计时可采用全截面焊接;
4 抗震设计时,应先做螺栓连接的抗滑移承载力计算,然后再进行极限承载力计算;非抗震设计时,可只做抗滑移承载力计算。
条文说明
8.5.1 本条所规定的连接形式中,第1种形式应用最多。
8.5.2 梁拼接的受弯、受剪承载力应符合下列规定:
1 梁拼接的受弯、受剪极限承载力应满足下列公式要求:

2 框架梁的拼接,当全截面采用高强度螺栓连接时,其在弹性设计时计算截面的翼缘和腹板弯矩宜满足下列公式要求:

式中:M j ub,sp ——梁拼接的极限受弯承载力(kN·m);
V j ub,sp ——梁拼接的极限受剪承载力(kN);
M f 、M w ——分别为拼接处梁翼缘和梁腹板的弯矩设计值(kN·m);
M j ——拼接处梁的弯矩设计值原则上应等于W b f y ,当拼接处弯矩较小时,不应小于0.5W b f y ,W b 为梁的截面塑性模量,f y 为梁钢材的屈服强度(MPa);
I w ——梁腹板的截面惯性矩(m 4 );
I 0 ——梁的截面惯性矩(m 4 );
ψ——弯矩传递系数,取0.4;
α——连接系数,按本规程表8.1.3的规定采用。
条文说明
8.5.2 高强度螺栓拼接在弹性阶段的抗弯计算,腹板的弯矩传递系数需乘以降低系数,是因为梁弯矩是在翼缘和腹板的拼接板间按其截面惯性矩所占比例进行分配的,由于梁翼缘的拼接板长度大于腹板拼接板长度,在其附近的梁腹板弯矩,有向刚度较大的翼缘侧传递的倾向,其结果使腹板拼接部分承受的弯矩减小。日本《钢结构连接设计指南》(2001/2006)根据试验结果对腹板拼接所受弯矩考虑了折减系数0.4,本条参考采用。
8.5.3 抗震设计时,梁的拼接应按本规程第8.1.5条的要求考虑轴力的影响;非抗震设计时,梁的拼接可按内力设计,腹板连接应按受全部剪力和部分弯矩计算,翼缘连接应按所分配的弯矩计算。
8.5.4 次梁与主梁的连接宜采用简支连接,必要时也可采用刚性连接(图8.5.4)。

图8.5.4 梁与梁的刚性连接
条文说明
8.5.4 次梁与主梁的连接,一般为次梁简支于主梁,次梁腹板通过高强度螺栓与主梁连接。次梁与主梁的刚性连接用于梁的跨度较大,要求减小梁的挠度时。图8.5.4为次梁与主梁刚性连接的构造举例。
8.5.5 抗震设计时,框架梁受压翼缘根据需要设置侧向支承(图8.5.5),在出现塑性铰的截面上、下翼缘均应设置侧向支承。当梁上翼缘与楼板有可靠连接时,固端梁下翼缘在梁端0.15倍梁跨附近均宜设置隅撑(图8.5.5a);梁端采用加强型连接或骨式连接时,应在塑性区外设置竖向加劲肋,隅撑与偏置45°的竖向加劲肋在梁下翼缘附近相连(图8.5.5b),该竖向加劲肋不应与翼缘焊接。梁端下翼缘宽度局部加大,对梁下翼缘侧向约束较大时,视情况也可不设隅撑。相邻两支承点间的构件长细比,应符合现行国家标准《钢结构设计规范》GB 50017对塑性设计的有关规定。

图8.5.5 梁的隅撑设置
条文说明
8.5.5 朱聘儒等学者对负弯矩区段组合梁钢部件的稳定性作了计算分析,指出负弯矩区段内的梁部件名义上虽是压弯构件,由于其截面轴压比较小,稳定问题不突出。
8.5.6 当管道穿过钢梁时,腹板中的孔口应予补强。补强时,弯矩可仅由翼缘承担,剪力由孔口截面的腹板和补强板共同承担,并符合下列规定:
1 不应在距梁端相当于梁高的范围内设孔,抗震设计的结构不应在隅撑范围内设孔。孔口直径不得大于梁高的1/2。相邻圆形孔口边缘间的距离不得小于梁高,孔口边缘至梁翼缘外皮的距离不得小于梁高的1/4。
圆形孔直径小于或等于1/3梁高时,可不予补强。当大于1/3梁高时,可用环形加劲肋加强(图8.5.6-1a),也可用套管(图8.5.6-1b)或环形补强板(图8.5.6-1c)加强。

图8.5.6-1 梁腹板圆形孔口的补强
圆形孔口加劲肋截面不宜小于100mm×10mm,加劲肋边缘至孔口边缘的距离不宜大于12mm。圆形孔口用套管补强时,其厚度不割小于梁腹板厚度。用环形板补强时,若在梁腹板两侧设置,环形板的厚度可稍小于腹板厚度,其宽度可取75mm~125mm。
2 矩形孔口与相邻孔口间的距离不得小于梁高或矩形孔口长度之较大值。孔口上下边缘至梁翼缘外皮的距离不得小于梁高的1/4。矩形孔口长度不得大于750mm,孔口高度不得大于梁高的1/2,其边缘应采用纵向和横向加劲肋加强。
矩形孔口上下边缘的水平加劲肋端部宜伸至孔口边缘以外各300mm。当矩形孔口长度大于梁高时,其横向加劲肋应沿梁全高设置(图8.5.6-2)。

图8.5.6-2 梁腹板矩形孔口的补强
矩形孔口加劲肋截面不宜小于125mm×18mm。当孔口长度大于500mm时,应在梁腹板两侧设置加劲肋。
条文说明
8.5.6 本条提出的梁腹板开洞时孔口及其位置的尺寸规定,主要参考美国钢结构标准节点构造大样。 用套管补强有孔梁的承载力时,可根据以下三点考虑:
1)可分别验算受弯和受剪时的承载力;
2)弯矩仅由翼缘承受;
3)剪力由套管和梁腹板共同承担,即 
式中:Vs——套管的抗剪承载力(kN);
Vw——梁腹板的抗剪承载力(kN)。 补强管的长度一般等于梁翼缘宽度或稍短,管壁厚度宜比梁腹板厚度大一些。角焊缝的焊脚长度可以取0.7tw,tw为梁腹板厚度。
8.6 钢柱脚
8.6 钢 柱 脚
8.6.1 钢柱柱脚包括外露式柱脚、外包式柱脚和埋入式柱脚三类(图8.6.1-1)。抗震设计时,宜优先采用埋入式;外包式柱脚可在有地下室的高层民用建筑中采用。各类柱脚均应进行受压、受弯、受剪承载力计算,其轴力、弯矩、剪力的设计值取钢柱底部的相应设计值。各类柱脚构造应分别符合下列规定:
1 钢柱外露式柱脚应通过底板锚栓固定于混凝土基础上(图8.6.1-1a),高层民用建筑的钢柱应采用刚接柱脚。三级及以上抗震等级时,锚栓截面面积不宜小于钢柱下端截面积的20%。
2 钢柱外包式柱脚由钢柱脚和外包混凝土组成,位于混凝土基础顶面以上(图8.6.1-1b),钢柱脚与基础的连接应采用抗弯连接。外包混凝土的高度不应小于钢柱截面高度的2.5倍,且从柱脚底板到外包层顶部箍筋的距离与外包混凝土宽度之比不应小于1.0。外包层内纵向受力钢筋在基础内的锚固长度(l a ,l aE )应根据现行国家标准《混凝土结构设计规范》GB 50010的有关规定确定,且四角主筋的上、下都应加弯钩,弯钩投影长度不应小于15d;外包层中应配置箍筋,箍筋的直径、间距和配箍率应符合现行国家标准《混凝土结构设计规范》GB 50010中钢筋混凝土柱的要求;外包层顶部箍筋应加密且不应少于3道,其间距不应大于50mm。外包部分的钢柱翼缘表面宜设置栓钉。
3 钢柱埋入式柱脚是将柱脚埋入混凝土基础内(图8.6.1-1c),H形截面柱的埋置深度不应小于钢柱截面高度的2倍,箱形柱的埋置深度不应小于柱截面长边的2.5倍,圆管柱的埋置深度不应小于柱外径的3倍;钢柱脚底板应设置锚栓与下部混凝土连接。钢柱埋入部分的侧边混凝土保护层厚度要求(图8.6.1-2a):C 1 不得小于钢柱受弯方向截面高度的一半,且不小于250mm,C 2 不得小于钢柱受弯方向截面高度的2/3,且不小于400mm。

图8.6.1-1 柱脚的不同形式
1-基础;2-锚栓;3-底板;4-无收缩砂浆;5-抗剪键;6-主筋;7-箍筋
钢柱埋入部分的四角应设置竖向钢筋,四周应配置箍筋,箍筋直径不应小于10mm,其间距不大于250mm;在边柱和角柱柱脚中,埋入部分的顶部和底部尚应设置U形钢筋(图8.6.1-2b),U形钢筋的开口应向内;U形钢筋的锚固长度应从钢柱内侧算起,锚固长度(l a ,l aE )应根据现行国家标准《混凝土结构设计规范》GB 50010的有关规定确定。埋入部分的柱表面宜设置栓钉。

图8.6.1-2 埋入式柱脚的其他构造要求
1-U形加强筋(二根)
在混凝土基础顶部,钢柱应设置水平加劲肋。当箱形柱壁板宽厚比大于30时,应在埋入部分的顶部设置隔板;也可在箱形柱的埋入部分填充混凝土,当混凝土填充至基础顶部以上1倍箱形截面高度时,埋入部分的顶部可不设隔板。
4 钢柱柱脚的底板均应布置锚栓按抗弯连接设计(图8.6.1-3),锚栓埋入长度不应小于其直径的25倍,锚栓底部应设锚板或弯钩,锚板厚度宜大于1.3倍锚栓直径。应保证锚栓四周及底部的混凝土有足够厚度,避免基础冲切破坏;锚栓应按混凝土基础要求设置保护层。

图8.6.1-3 抗弯连接钢柱底板形状和锚栓的配置
5 埋入式柱脚不宜采用冷成型箱形柱。
条文说明
8.6.1 据日本的研究,埋入式柱脚管壁局部变形引起的应力集中,使角部应力最大,而冷成型钢管柱角部因冷加工使钢材变脆。在埋入部分的上端,应采用内隔板、外隔板、内填混凝土或外侧设置栓钉等措施,对箱形柱壁板进行加强。当采用外隔板时,外伸部分的长度应不小于管径的1/10,板厚不小于钢管柱壁板厚度。
8.6.2 外露式柱脚的设计应符合下列规定:
1 钢柱轴力由底板直接传至混凝土基础,按现行国家标准《混凝土结构设计规范》GB 50010验算柱脚底板下混凝土的局部承压,承压面积为底板面积。
2 在轴力和弯矩作用下计算所需锚栓面积,应按下式验算:

式中:M——柱脚弯矩设计值(kN·m);
M 1 ——在轴力与弯矩作用下按钢筋混凝土压弯构件截面设计方法计算的柱脚受弯承载力(kN·m)。设截面为底板面积,由受拉边的锚栓单独承受拉力,混凝土基础单独承受压力,受压边的锚栓不参加工作,锚栓和混凝土的强度均取设计值。
3 抗震设计时,在柱与柱脚连接处,柱可能出现塑性铰的柱脚极限受弯承载力应大于钢柱的全塑性抗弯承载力,应按下式验算:

式中:M pc ——考虑轴力时柱的全塑性受弯承载力(kN·m),按本规程第8.1.5条的规定计算;
M u ——考虑轴力时柱脚的极限受弯承载力(kN·m),按本条第2款中计算M 1 的方法计算,但锚栓和混凝土的强度均取标准值。
4 钢柱底部的剪力可由底板与混凝土之间的摩擦力传递,摩擦系数取0.4;当剪力大于底板下的摩擦力时,应设置抗剪键,由抗剪键承受全部剪力;也可由锚栓抵抗全部剪力,此时底板上的锚栓孔直径不应大于锚栓直径加5mm,且锚栓垫片下应设置盖板,盖板与柱底板焊接,并计算焊缝的抗剪强度。当锚栓同时受拉、受剪时,单根锚栓的承载力应按下式计算:

式中:N t ——单根锚栓承受的拉力设计值(N);
V v ——单根锚栓承受的剪力设计值(N);
N a t ——单根锚栓的受拉承载力(N),取N a t =A e f a t ;
V a v ——单根锚栓的受剪承载力(N),取V a v =A e f a v ;
A e ——单根锚栓截面面积(mm 2 );
f a t ——锚栓钢材的抗拉强度设计值(N/mm 2 );
f a v ——锚栓钢材的抗剪强度设计值(N/mm 2 )。
条文说明
8.6.2 外露式柱脚应用于各种柱脚中,外包式柱脚和埋入式柱脚中钢柱部分与基础的连接,都应按抗弯要求设计。锚栓承载力计算参考了高强度螺栓连接(承压型)同时受拉受剪的承载力计算规定。锚栓抗剪时的孔径不大于锚栓直径加5mm左右的要求,是参考国外规定,国内已有工程成功采用。当不能做到时,应设置抗剪键。
8.6.3 外包式柱脚的设计应符合下列规定:
1 柱脚轴向压力由钢柱底板直接传给基础,按现行国家标准《混凝土结构设计规范》GB 50010验算柱脚底板下混凝土的局部承压,承压面积为底板面积。
2 弯矩和剪力由外包层混凝土和钢柱脚共同承担,按外包层的有效面积计算(图8.6.3-1)。柱脚的受弯承载力应按下式验算:

式中:M——柱脚的弯矩设计值(N·mm);
A s ——外包层混凝土中受拉侧的钢筋截面面积(mm 2 );
f——受拉钢筋抗拉强度设计值(N/mm 2 );
h 0 ——受拉钢筋合力点至混凝土受压区边缘的距离(mm);
M 1 ——钢柱脚的受弯承载力(N·mm),按本规程第8.6.2条外露式钢柱脚M 1 的计算方法计算。
3 抗震设计时,在外包混凝土顶部箍筋处,柱可能出现塑性铰的柱脚极限受弯承载力应大于钢柱的全塑性受弯承载力(图8.6.3-2)。柱脚的极限受弯承载力应按下列公式验算:


图8.6.3-1 斜线部分为外包式钢筋混凝土的有效面积
1-底板

图8.6.3-2 极限受弯承载力时外包式柱脚的受力状态
1-剪力;2-轴力;3-柱的反弯点;4-最上部箍筋;5-外包钢筋混凝土的弯矩;6-钢柱的弯矩;7-作为外露式柱脚的弯矩

式中:M u ——柱脚连接的极限受弯承载力(N·mm);
M pc ——考虑轴力时,钢柱截面的全塑性受弯承载力(N·mm),按本规程第8.1.5条的规定计算;
M u1 ——考虑轴力影响,外包混凝土顶部箍筋处钢柱弯矩达到全塑性受弯承载力M pc 时,按比例放大的外包混凝土底部弯矩(N·mm);
l——钢柱底板到柱反弯点的距离(mm),可取柱脚所在层层高的2/3;
l r ——外包混凝土顶部箍筋到柱底板的距离(mm);
M u2 ——外包钢筋混凝土的抗弯承载力(N·mm)与M u3 之和;
M u3 ——钢柱脚的极限受弯承载力(N·mm),按本规程第8.6.2条外露式钢柱脚M u 的计算方法计算;
α——连接系数,按本规程表8.1.3的规定采用;
f yk ——钢筋的抗拉强度最小值(N/mm 2 )。
4 外包层混凝土截面的受剪承载力应满足下式要求:

式中:V——柱底截面的剪力设计值(N);
V u ——外包式柱脚的极限受剪承载力(N);
b e ——外包层混凝土的截面有效宽度(mm) (图8.6.3-1b);
f tk ——混凝土轴心抗拉强度标准值(N/mm 2 );
f t ——混凝土轴心抗拉强度设计值(N/mm 2 );
f yv ——箍筋的抗拉强度设计值(N/mm 2 );
f yvk ——箍筋的抗拉强度标准值(N/mm 2 );
ρ sh ——水平箍筋的配箍率;ρ sh =A sh /b e s,当ρ sh >1.2%时,取1.2%;A sh 为配置在同一截面内箍筋的截面面积(mm 2 );s为箍筋的间距(mm)。

图8.6.4-1 埋入式柱脚混凝土的侧向应力分布
条文说明
8.6.3 外包式柱脚的设计参考了日本的新规定,与以前的规定相比,在受力机制上有较大修改。它不再通过栓钉抗剪形成力偶传递弯矩,甚至对栓钉设置未作明确规定(但栓钉对加强柱脚整体性作用是不可或缺的),抗弯机制由钢筋混凝土外包层中的受拉纵筋和外包层受压区混凝土受压形成对弯矩的抗力。试验表明,它的破坏过程首先是钢柱本身屈服,随后外包层受拉区混凝土出现裂缝,然后外包层在平行于受弯方向出现斜拉裂缝,进而使外包层受拉区粘结破坏。为了确保外包层的塑性变形能力,要求在外包层顶部钢柱达到Mpc时能形成塑性铰。但是当柱尺寸较大时,外包层高度增大,此要求不易满足。 
图4 外包式柱脚的受力机制 外包式柱脚设计应注意的主要问题是:①当外包层高度较低时,外包层和柱面间很容易出现粘结破坏,为了确保刚度和承载力,外包层应达到柱截面的2.5倍以上,其厚度应符合有效截面要求。②若纵向钢筋的粘结力和锚固长度不够,纵向钢筋在屈服前会拔出,使承载力降低。为此,纵向钢筋顶部一定要设弯钩,下端也应设弯钩并确保锚固长度不小于25d。③如果箍筋太少,外包层就会出现斜裂缝,箍筋至少要满足通常钢筋混凝土柱的设计要求,其直径和间距应符合现行国家标准《混凝土结构设计规范》GB 50010的规定。为了防止出现承压裂缝,使剪力能从纵筋顺畅地传给钢筋混凝土,除了通常的箍筋外,柱顶密集配置三道箍筋十分重要。④抗震设计时,在柱脚达到最大受弯承载力之前,不应出现剪切裂缝。⑤采用箱形柱或圆管柱时,若壁板或管壁局部变形,承压力会集中出现在局部。为了防止局部变形,柱壁板宽厚比和径厚比应符合现行国家标准《钢结构设计规范》GB 50017关于塑性设计规定。也可在柱脚部分的钢管内灌注混凝土。
8.6.4 埋入式柱脚的设计应符合下列规定:
1 柱脚轴向压力由柱脚底板直接传给基础,应按现行国家标准《混凝土结构设计规范》GB 50010验算柱脚底板下混凝土的局部承压,承压面积为底板面积。
2 抗震设计时,在基础顶面处柱可能出现塑性铰的柱脚应按埋入部分钢柱侧向应力分布(图8.6.4-1)验算在轴力和弯矩作用下基础混凝土的侧向抗弯极限承载力。埋入式柱脚的极限受弯承载力不应小于钢柱全塑性抗弯承载力;与极限受弯承载力对应的剪力不应大于钢柱的全塑性抗剪承载力,应按下列公式验算:

式中:M u ——柱脚埋入部分承受的极限受弯承载力(N·mm);
M pc ——考虑轴力影响时钢柱截面的全塑性受弯承载力(N·mm),按本规程第8.1.5条的规定计算;
l——基础顶面到钢柱反弯点的距离(mm),可取柱脚所在层层高的2/3;
b c ——与弯矩作用方向垂直的柱身宽度,对H形截面柱应取等效宽度(mm);
h B ——钢柱脚埋置深度(mm);
f ck ——基础混凝土抗压强度标准值(N/mm 2 );
α——连接系数,按本规程表8.1.3的规定采用。
3 采用箱形柱和圆管柱时埋入式柱脚的构造应符合下列 规定:
1)截面宽厚比或径厚比较大的箱形柱和圆管柱,其埋入部分应采取措施防止在混凝土侧压力下被压坏。常用方法是填充混凝土(图8.6.4-2b);或在基础顶面附近设置内隔板或外隔板(图8.6.4-2c、d)。
2)隔板的厚度应按计算确定,外隔板的外伸长度不应小于柱边长(或管径)的1/10。对于有抗拔要求的埋入式柱脚,可在埋入部分设置栓钉(图8.6.4-2a)。

图8.6.4-2 埋入式柱脚的抗压和抗拔构造
1-灌注孔;2-基础顶面
4 抗震设计时,在基础顶面处钢柱可能出现塑性铰的边(角)柱的柱脚埋入混凝土基础部分的上、下部位均需布置U形钢筋加强,可按下列公式验算U形钢筋数量:
1)当柱脚受到由内向外作用的剪力时(图8.6.4-3a):

2)当柱脚受到由外向内作用的剪力时(图8.6.4-3b):

式中:M u ——柱脚埋入部分由U形加强筋提供的侧向极限受弯承载力(N·mm),可取M pc ;
T y ——U形加强筋的受拉承载力(N/mm 2 ),T y =A t f yk ,A t 为U形加强筋的截面面积(mm 2 )之和,f yk 为U形加强筋的强度标准值(N/mm 2 );
f ck ——基础混凝土的受压强度标准值(N/mm 2 );
a——U形加强筋合力点到基础上表面或到柱底板下表面的距离(mm)(图8.6.4-3);
l——基础顶面到钢柱反弯点的高度(mm),可取柱脚所在层层高的2/3;
h B ——钢柱脚埋置深度(mm);
b c ——与弯矩作用方向垂直的柱身尺寸(mm)。

图8.6.4-3 埋入式钢柱脚U形加强筋计算简图
条文说明
8.6.4 当边(角)柱混凝土保护层厚度较小时,可能出现冲切破坏,可用下列方法之一补强:①设置栓钉。根据过去的研究,栓钉对于传递弯矩没有什么支配作用,但对于抗拉,由于栓钉受剪,能传递内力。②锚栓。因柱子的弯矩和剪力是靠混凝土的承压力传递的,当埋深较深时,在锚栓中几乎不引起内力,但柱受拉时,锚栓对传递内力起支配作用。在埋深较浅的柱脚中,加大埋深,提高底板和锚栓的刚度,可对锚栓传力起积极作用,已得到试验确认。
8.7 中心支撑与框架连接
8.7 中心支撑与框架连接
8.7.1 中心支撑与框架连接和支撑拼接的设计承载力应符合下列规定:
1 抗震设计时,支撑在框架连接处和拼接处的受拉承载力应满足下式要求:

式中:N j ubr ——支撑连接的极限受拉承载力(N);
α——连接系数,按本规程表8.1.3的规定采用;
A br ——支撑斜杆的截面面积(mm 2 );
f y ——支撑斜杆钢材的屈服强度(N/mm 2 )。
2 中心支撑的重心线应通过梁与柱轴线的交点,当受条件限制有不大于支撑杆件宽度的偏心时,节点设计应计入偏心造成的附加弯矩的影响。
条文说明
8.7.1 为了安装方便,有时将支撑两端在工厂与框架构件焊接在一起,支撑中部设工地拼接,此时拼接应按式(8.7.1)计算。
8.7.2 当支撑翼缘朝向框架平面外,且采用支托式连接时(图8.7.2a、b),其平面外计算长度可取轴线长度的0.7倍;当支撑腹板位于框架平面内时(图8.7.2c、d),其平面外计算长度可取轴线长度的0.9倍。

图8.7.2 支撑与框架的连接
条文说明
8.7.2 采用支托式连接时的支撑平面外计算长度,是参考日本的试验研究结果和有关设计规定提出的。H形截面支撑腹板位于框架平面内时的计算长度,是根据主梁上翼缘有混凝土楼板、下翼缘有隅撑以及楼层高度等情况提出来的。
8.7.3 中心支撑与梁柱连接处的构造应符合下列规定:
1 柱和梁在与H形截面支撑翼缘的连接处,应设置加劲肋。加劲肋应按承受支撑翼缘分担的轴心力对柱或梁的水平或竖向分力计算。H形截面支撑翼缘与箱形柱连接时,在柱壁板的相应位置应设置隔板(图8.7.2)。H形截面支撑翼缘端部与框架构件连接处,宜做成圆弧。支撑通过节点板连接时,节点板边缘与支撑轴线的夹角不应小于30°。
2 抗震设计时,支撑宜采用H形钢制作,在构造上两端应刚接。当采用焊接组合截面时,其翼缘和腹板应采用坡口全熔透焊缝连接。
3 当支撑杆件为填板连接的组合截面时,可采用节点板进行连接(图8.7.3)。为保证支撑两端的节点板不发生出平面失稳,在支撑端部与节点板约束点连线之间应留有2倍节点板厚的间隙。节点板约束点连线应与支撑杆轴线垂直,以免支撑受扭。

图8.7.3 组合支撑杆件端部与单壁节点板的连接
1-假设约束;2-单壁节点板;3-组合支撑杆;t-节点板的厚度
条文说明
8.7.3 试验表明当支撑杆件发生出平面失稳时,将带动两端节点板的出平面弯曲。为了不在单壁节点板内发生节点板的出平面失稳,又能使节点板产生非约束的出平面塑性转动,可在支撑端部与假定的节点板约束线之间留有2倍节点板厚的间隙。按UBC规定,当支撑在节点板平面内屈曲时,支撑连接的设计承载力不应小于支撑截面承载力,以确保塑性铰出现在支撑上而不是节点板。当支撑可能在节点板平面外屈曲时,节点板应按支撑不致屈曲的受压承载力设计。
8.8 偏心支撑框架的构造要求
8.8 偏心支撑框架的构造要求
8.8.1 消能梁段及与消能梁段同一跨内的非消能梁段,其板件的宽厚比不应大于表8.8.1规定的限值。 ( 自2022年1月1日起废止该条,详见新规 《钢结构通用规范》GB 55006-2021)
表8.8.1 偏心支撑框架梁板件宽厚比限值

条文说明
8.8.1 构件宽厚比参照AISC的规定作了适当调整。当梁上翼缘与楼板固定但不能表明其下翼缘侧向固定时,仍需设置侧向支撑。
8.8.2 偏心支撑框架的支撑杆件的长细比不应大于120 
,支撑杆件的板件宽厚比不应大于现行国家标准《钢结构设计规范》GB 50017规定的轴心受压构件在弹性设计时的宽厚比限值。
8.8.3 消能梁段的净长应符合下列规定:

式中:a——消能梁段净长(mm);
ρ——消能梁段轴力设计值与剪力设计值之比值。
条文说明
8.8.3 支撑斜杆轴力的水平分量成为消能梁段的轴向力,当此轴向力较大时,除降低此梁段的受剪承载力外,还需减少该梁段的长度,以保证消能梁段具有良好的滞回性能。
8.8.4 消能梁段的腹板不得贴焊补强板,也不得开洞。
条文说明
8.8.4 由于腹板上贴焊的补强板不能进入弹塑性变形,因此不能采用补强板,腹板上开洞也会影响其弹塑性变形能力。
8.8.5 消能梁段的腹板应按下列规定设置加劲肋(图8.8.5):
1 消能梁段与支撑连接处,应在其腹板两侧设置加劲肋,加劲肋的高度应为梁腹板高度,一侧的加劲肋宽度不应小于(b f /2—t w ),厚度不应小于0.75t w 和10mm的较大值;
2 当a≤1.6M lp /V l 时,中间加劲肋间距不应大于(30t w —h/5);
3 当2.6M lp /V l <a≤5M lp /V l 时,应在距消能梁段端部1.5b f 处设置中间加劲肋,且中间加劲肋间距不应大于(52t w —h/5);
4 当1.6M lp /V l <a≤2.6M lp /V l 时,中间加劲肋的间距可取本条2、3两款间的线性插入值;
5 当a>5M lp /V l 时,可不设置中间加劲肋;
6 中间加劲肋应与消能梁段的腹板等高,当消能梁段截面的腹板高度不大于640mm时,可设置单侧加劲肋;消能梁段截面腹板高度大于640mm时,应在两侧设置加劲肋,一侧加劲肋的宽度不应小于(b f /2—t w ),厚度不应小于t w 和10mm的较大值;
7 加劲肋与消能梁段的腹板和翼缘之间可采用角焊缝连接,连接腹板的角焊缝的受拉承载力不应小于fA st ,连接翼缘的角焊缝的受拉承载力不应小于fA st /4,A st 为加劲肋的横截面面积。

图8.8.5 消能梁段的腹板加劲肋设置
1-双面全高设加劲肋;2-消能梁段上、下翼缘均设侧向支撑;3-腹板高大于640mm时设双面中间加劲肋;4-支撑中心线与消能梁段中心线交于消能梁段内
条文说明
8.8.5 为使消能梁段在反复荷载作用下具有良好的滞回性能,需采取合适的构造并加强对腹板的约束:
1 消能梁段与支撑斜杆连接处,需设置与腹板等高的加劲肋,以传递梁段的剪力并防止梁腹板屈曲。
2 消能梁段腹板的中间加劲肋,需按梁段的长度区别对待,较短时为剪切屈服型,加劲肋间距小些;较长时为弯曲屈服型,需在距端部1.5倍的翼缘宽度处设置加劲肋;中等长度时需同时满足剪切屈服型和弯曲屈服型要求。消能梁段一般应设计成剪切屈服型。
8.8.6 消能梁段与柱的连接应符合下列规定:
1 消能梁段与柱翼缘应采用刚性连接,且应符合本规程第8.2节、第8.3节框架梁与柱刚性连接的规定。
2 消能梁段与柱翼缘连接的一端采用加强型连接时,消能梁段的长度可从加强的端部算起,加强的端部梁腹板应设置加劲肋,加劲肋应符合本规程第8.8.5条第1款的要求。
8.8.7 支撑与消能梁段的连接应符合下列规定:
1 支撑轴线与梁轴线的交点,不得在消能梁段外;
2 抗震设计时,支撑与消能梁段连接的承载力不得小于支撑的承载力,当支撑端有弯矩时,支撑与梁连接的承载力应按抗压弯设计。
条文说明
8.8.7 偏心支撑的斜杆轴线与梁轴线的交点,一般在消能梁段的端部,也允许在消能梁段内,此时将产生与消能梁段端部弯矩方向相反的附加弯矩,从而减少消能梁段和支撑杆的弯矩,对抗震有利;但交点不应在消能梁段以外,因此时将增大支撑和消能梁段的弯矩,于抗震不利。
8.8.8 消能梁段与支撑连接处,其上、下翼缘应设置侧向支撑,支撑的轴力设计值不应小于消能梁段翼缘轴向极限承载力的6%,即0.06f y b f t f 。f y 为消能梁段钢材的屈服强度,b f 、t f 分别为消能梁段翼缘的宽度和厚度。
条文说明
8.8.8 消能梁段两端设置翼缘的侧向隅撑,是为了承受平面外扭转作用。
8.8.9 与消能梁段同一跨框架梁的稳定不满足要求时,梁的上、下翼缘应设置侧向支撑,支撑的轴力设计值不应小于梁翼缘轴向承载力设计值的2%,即0.02fb f t f 。f为框架梁钢材的抗拉强度设计值,b f 、t f 分别为框架梁翼缘的宽度和厚度。
条文说明
8.8.9 与消能梁段处于同一跨内的框架梁,同样承受轴力和弯矩,为保持其稳定,也需设置翼缘的侧向隅撑。
9 制作和涂装
9.1 一般规定
9 制作和涂装
9.1 一般规定
9.1.1 钢结构制作单位应具有相应的钢结构工程施工资质,应根据已批准的技术设计文件编制施工详图。施工详图应由原设计工程师确认。当修改时,应向原设计单位申报,经同意签署文件后修改才能生效。
条文说明
9.1.1 钢结构的施工详图,应由承担制作的钢结构制作单位负责绘制且应具有钢结构工程施工资质。编制施工详图时,设计人员应详细了解并熟悉最新的工程规范以及工厂制作和工地安装的专业技术。 施工详图审批认可后,由于材料代用、工艺或其他原因,可能需要进行修改。修改时应向原设计单位申报,并签署文件后才能生效,作为施工的依据。
9.1.2 钢结构制作前,应根据设计文件、施工详图的要求以及制作厂的条件,编制制作工艺书。制作工艺书应包括:施工中所依据的标准,制作厂的质量保证体系,成品的质量保证体系和措施,生产场地的布置,采用的加工、焊接设备和工艺装备,焊工和检查人员的资质证明,各类检查项目表格和生产进度计算表。
制作工艺书应作为技术文件经发包单位代表或监理工程师批准。
条文说明
9.1.2 钢结构的制作是一项很严密的流水作业过程,应当根据工程特点编制制作工艺。制作工艺应包括:施工中所依据的标准,制作厂的质量保证体系,成品的质量保证体系和为保证成品达到规定的要求而制定的措施,生产场地的布置,采用的加工、焊接设备和工艺装备,焊工和检查人员的资质证明,各类检查项目表格,生产进度计算表。一部完整的考虑周密的制作工艺是保证质量的先决条件,是制作前期工作的重要环节。
9.1.3 钢结构制作单位宜对构造复杂的构件进行工艺性试验。
条文说明
9.1.3 在制作构造复杂的构件时,应根据构件的组成情况和受力情况确定其加工、组装、焊接等的方法,保证制作质量,必要时应进行工艺性试验。
9.1.4 钢结构制作、安装、验收及土建施工用的量具,应按同一计量标准进行鉴定,并应具有相同的精度等级。
条文说明
9.1.4 本条规定了对钢尺和其他主要测量工具的检测要求,测量部门的校定是保证质量和精度的关键。校定得出的钢卷尺各段尺寸的偏差表,在使用中应随时依照调整。由于高层民用建筑钢结构工程施工周期较长,随着气温的变化,会使量具产生误差,特别是在大量工程测量中会更为明显,各个部门要按气温情况来计算温度修正值,以保证尺寸精度。
9.2 材料
9.2 材 料
9.2.1 钢结构所用钢材应符合设计文件、本规程第4章及国家现行有关标准的规定,应具有质量合格证明文件,并经进场检验合格后使用。常用钢材标准宜按表9.2.1采用。
表9.2.1 常用钢材标准


条文说明
9.2.1 本条对采用的钢材必须具有质量证明书并符合各项要求,作出了明确规定,对质量有疑义的钢材应抽样检查。这里的“疑义”是指对有质量证明书的材料有怀疑,而不包括无质量证明书的材料。 对国内材料,考虑其实际情况,对材质证明中有个别指标缺项者,可允许补作试验。
9.2.2 钢结构所用焊接材料、连接用普通螺栓、高强度螺栓等紧固件和涂料应符合设计文件、本规程第4章及国家现行有关标准的规定,应具有质量合格证明文件,并经进场检验合格后使用。常用焊接材料标准宜按表9.2.2-1采用,钢结构连接用紧固件标准宜按表9.2.2-2采用,并应符合下列规定:
1 严禁使用药皮脱落或焊芯生锈的焊条,受潮结块或已熔烧过的焊剂以及生锈的焊丝。用于栓钉焊的栓钉,其表面不得有影响使用的裂纹、条痕、凹痕和毛刺等缺陷。
2 焊接材料应集中管理,建立专用仓库,库内要干燥,通风良好,同时应满足产品说明书的要求。
3 螺栓应在干燥通风的室内存放。高强度螺栓的入库验收,应按现行行业标准《钢结构高强度螺栓连接技术规程》JGJ 82的要求进行,严禁使用锈蚀、沾污、受潮、碰伤和混批的高强度螺栓。
4 涂料应符合设计要求,并存放在专门的仓库内,不得使用过期、变质、结块失效的涂料。
表9.2.2-1 常用焊接材料标准


表9.2.2-2 钢结构连接用紧固件标准

条文说明
9.2.2 本条款提到的各种焊接材料、螺栓、防腐材料,为国家标准规定的产品或设计文件规定使用的产品,故均应符合国家标准的规定和设计要求,并应有质量证明书。 选用的焊接材料,应与构件所用钢材的强度相匹配,必要时应通过试验确定。表4、表5仅做参考,选用时应根据焊接工艺的具体情况作出适当的修正。厚板的焊接,特别是当低合金结构钢的板厚大于25mm时,应采用碱性低氢焊条,若采用酸性焊条,会使焊缝金属大量吸收氢,甚至引起焊缝开裂。 
本条款对焊接材料的贮存和管理做了必要的规定,编写时参考了现行行业标准《焊接材料质量管理规程》JB/T 3223、焊接材料产品样本等资料。由于各种资料提法不一,本规程仅对两项指标进行了一般性的规定。焊接材料保管的好坏对焊接质量影响很大,因此在条件许可时,应从严控制各项指标。 螺栓的质量优劣对连接部位的质量和安全以及构件寿命的长短都有影响,所以应严格按规定存放、管理和使用。扭矩系数是高强度螺栓的重要指标,若螺栓碰伤、混批,扭矩系数就无法保证,因此有以上问题的高强度螺栓应禁用。 在腐蚀损失中,钢结构的腐蚀损失占有重要份额,因此对高层民用建筑钢结构采用的防腐涂料的质量,应给予足够重视。对防腐涂料应加强管理,禁止使用失效涂料,保证涂装质量。
9.3 放样、号料和切割
9.3 放样、号料和切割
9.3.1 放样和号料应符合下列规定:
1 需要放样的工件应根据批准的施工详图放出足尺节点大样;
2 放样和号料应预留收缩量(包括现场焊接收缩量)及切割、铣端等需要的加工余量,钢框架柱尚应按设计要求预留弹性压缩量。
条文说明
9.3.1 为保证钢结构的制作质量,凡几何形状不规则的节点,均应按1:1放足尺大样,核对安装尺寸和焊缝长度,并根据需要制作样板或样杆。 焊接收缩量可根据分析计算或参考经验数据确定,必要时应作工艺试验。
9.3.2 钢框架柱的弹性压缩量,应按结构自重(包括钢结构、楼板、幕墙等的重量)和经常作用的活荷载产生的柱轴力计算。相邻柱的弹性压缩量相差不超过5mm时,可采用相同的压缩量。
柱压缩量应由设计单位提出,由制作单位、安装单位和设计单位协商确定。
条文说明
9.3.2 钢框架柱的弹性压缩量,应根据经常作用的荷载引起的柱轴力确定。压缩量与分担的荷载面积有关,周边柱压缩量较小,中间柱压缩量较大,因此,各柱的压缩量是不等的。根据日本《超高层建筑》构造篇的介绍,弹性压缩需要的长度增量在相邻柱间相差不超过5mm时,对梁的连接在容许范围之内,可以采用相同的增量。这样,可以按此原则将柱子分为若干组,从而减少增量值的种类。在钢结构和混凝土混合结构高层建筑中,混凝土剪力墙的压应力较低,而柱的压应力很高,二者的压缩量相差颇大,应予以特别重视。
9.3.3 号料和切割应符合下列规定:
1 主要受力构件和需要弯曲的构件,在号料时应按工艺规定的方向取料,弯曲件的外侧不应有冲样点和伤痕缺陷;
2 号料应有利于切割和保证零件质量;
3 型钢的下料,宜采用锯切。
条文说明
9.3.3 关于号料和切割的要求,要注意下列事项:
1 弯曲件的取料方向,一般应使弯折线与钢材轧制方向垂直,以防止出现裂纹。
2 号料工作应考虑切割的方法和条件,要便于切割下料工序的进行。
3 钢结构制作中,宽翼缘型钢等材料采用锯切下料时,切割面一般不需再加工,从而可大大提高生产效率,宜普遍推广使用,但有端部铣平要求的构件,应按要求另行铣端。由于高层民用建筑钢结构构件的尺寸精度要求较高,下料时除锯切外,还应尽量使用自动切割、半自动切割、切板机等,以保证尺寸精度。
9.3.4 框架梁端部过焊孔、圆弧半径和尺寸应符合本规程第8.3.3条的要求,孔壁表面应平整,不得采用手工切割。
9.4 矫正和边缘加工
9.4 矫正和边缘加工
9.4.1 矫正应符合下列规定:
1 矫正可采用机械或有限度的加热(线状加热或点加热),不得采用损伤材料组织结构的方法;
2 进行加热矫正时,应确保最高加热温度及冷却方法不损坏钢材材质。
条文说明
9.4.1 对矫正的要求可说明如下:
1 本条规定了矫正的一般方法,强调要根据钢材的特性、工艺的可能性以及成形后的外观质量等因素,确定矫正方法;
2 碳素结构钢和低合金高强度结构钢允许加热矫正的工艺要求,在现行国家标准《钢结构工程施工质量验收规范》GB 50205中已有具体规定,故本条只提出原则要求。
9.4.2 边缘加工应符合下列规定:
1 需边缘加工的零件,宜采用精密切割来代替机械加工;
2 焊接坡口加工宜采用自动切割、半自动切割、坡口机、刨边等方法进行;
3 坡口加工时,应用样板控制坡口角度和各部分尺寸;
4 边缘加工的精度,应符合表9.4.2的规定。
表9.4.2 边缘加工的允许偏差

注:L为弦长。
条文说明
9.4.2 对边缘加工的要求,可说明如下:
1 精密切割与普通火焰切割的切割机具和切割工艺过程基本相同,但精密切割采用精密割咀和丙烷气,切割后断面的平整和尺寸精度均高于普通火焰切割,可完成焊接坡口加工等,以代替刨床加工,对提高切割质量和经济效益有很大益处。本条规定的目的,是提高制作质量和促进我国钢结构制作工艺的进步。
2 钢结构的焊接坡口形式较多,精度要求较高,采用手工方法加工难以保证质量,应尽量使用机械加工。
3 使用样板控制焊接坡口尺寸及角度的方法,是方便可行的,但要时常检验,应在自检、互检和交检的控制下,确保其质量。
4 本条参考了现行国家标准《钢结构工程施工质量验收规范》GB 50205的规定,并增加了被加工表面的缺口、清渣及坡度的要求,为了更为明确,以表格的形式表示。 在表9.4.2中,边线是指刨边或铣边加工后的边线,规定的容许偏差是根据零件尺寸或不经划线刨边和铣边的零件尺寸的容许偏差确定的,弯曲矢高的偏差不得与尺寸偏差叠加。
9.5 组装
9.5 组 装
9.5.1 钢结构构件组装应符合下列规定:
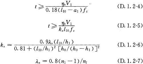
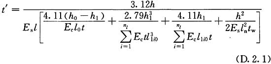
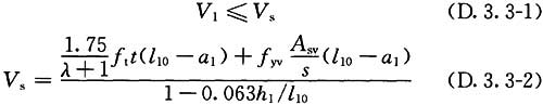
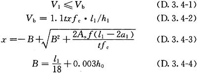
1 组装应按制作工艺规定的顺序进行;
2 组装前应对零部件进行严格检查,填写实测记录,制作必要的工装。
条文说明
9.5.1 对组装的要求,可作如下说明:
1 构件的组装工艺要根据高层民用建筑钢结构的特点来考虑。组装工艺应包括:组装次序、收缩量分配、定位点、偏差要求、工装设计等。
2 零部件的检查应在组装前进行,应检查编号、数量、几何尺寸、变形和有害缺陷等。
9.5.2 组装允许偏差,应符合现行国家标准《钢结构工程施工质量验收规范》GB 50205的有关规定。
条文说明
9.5.2 组装允许偏差,按照现行国家标准《钢结构工程施工质量验收规范》GB 50205的有关规定执行。
9.6 焊接
9.6 焊 接
9.6.1 从事钢结构各种焊接工作的焊工,应按现行国家标准《钢结构焊接规范》GB 50661的规定经考试并取得合格证后,方可进行操作。
条文说明
9.6.1 高层民用建筑钢结构的焊接与一般建筑钢结构的焊接有所不同,对焊工的技术水平要求更高,特别是几种新的焊接方法的采用,使得焊工的培训工作显得更为重要。因此,在施工中焊工应按照其技术水平从事相应的焊接工作,以保证焊接质量。 停焊时间的增加和技术的老化,都将直接影响焊接质量。因此,对焊工应每三年考核一次,停焊超过半年的焊工应重新进行考核。
9.6.2 在钢结构中首次采用的钢种、焊接材料、接头形式、坡口形式及工艺方法,应进行焊接工艺评定,其评定结果应符合设计及现行国家标准《钢结构焊接规范》GB 50661的规定。
条文说明
9.6.2 首次采用是指本单位在此以前未曾使用过的钢材、焊接材料、接头形式及工艺方法,都必须进行工艺评定。工艺评定应对可焊性、工艺性和力学性能等方面进行试验和鉴定,达到规定标准后方可用于正式施工。在工艺评定中应选出正确的工艺参数指导实际生产,以保证焊接质量能满足设计要求。
9.6.3 钢结构的焊接工作,必须在焊接工程师的指导下进行;并应根据工艺评定合格的试验结果和数据,编制焊接工艺文件。焊接工作应严格按照所编工艺文件中规定的焊接方法、工艺参数、施焊顺序等进行;并应符合现行国家标准《钢结构焊接规范》GB 50661的规定。
条文说明
9.6.3 高层民用建筑钢结构对焊接质量的要求高,厚板较多、新的接头形式和焊接方法的采用,都对工艺措施提出更严格的要求。因此,焊接工作必须在焊接工程师的指导下进行,并应制定工艺文件,指导施工。 施工中应严格按照工艺文件的规定执行,在有疑义时,施工人员不得擅自修改,应上报技术部门,由主管工程师根据情况进行处理。
9.6.4 低氢型焊条在使用前必须按照产品说明书的规定进行烘焙。烘焙后的焊条应放入恒温箱备用,恒温温度不应小于120℃。使用中应置于保温桶中。烘焙合格的焊条外露在空气中超过4h的应重新烘焙。焊条的反复烘焙次数不应超过2次。
条文说明
9.6.4 由于生产的焊条各个厂都有各自的配方和工艺流程,控制含水率的措施也有差异,因此本规程对焊条的烘焙温度和时间未做具体规定,仅规定按产品说明书的要求进行烘焙。 低氢型焊条的烘焙次数过多,药皮中的铁合金容易氧化,分解碳酸盐,易老化变质,降低焊接质量,所以本规程对反复烘焙次数进行了控制,以不超过二次为限。 本条款的制定,参考了国家现行标准《焊接材料质量管理规程》JB/T 3223、《钢结构焊接规范》GB 50661和美国标准《钢结构焊接规范》ANSI/AWS D1.1-88。
9.6.5 焊剂在使用前必须按产品说明书的规定进行烘焙。焊丝必须除净锈蚀、油污及其他污物。
条文说明
9.6.5 为了严格控制焊剂中的含水量,焊剂在使用前必须按规定进行烘焙。焊丝表面的油污和锈蚀在高温作用下会分解出气体,易在焊缝中造成气孔和裂纹等缺陷,因此,对焊丝表面必须仔细进行清理。
9.6.6 二氧化碳气体纯度不应低于99.9%(体积法),其含水量不应大于0.005%(重量法)。若使用瓶装气体,瓶内气体压力低于1MPa时应停止使用。
条文说明
9.6.6 本条款选自原国家机械委员会颁布的《二氧化碳气体保护焊工艺规程》JB 2286-87、用于二氧化碳气体保护焊的保护气体,必须满足本条款之规定数值,方可达到良好的保护效果。
9.6.7 当采用气体保护焊接时,焊接区域的风速应加以限制。风速在2m/s以上时,应设置挡风装置,对焊接现场进行防护。
条文说明
9.6.7 焊接场地的风速大时,会破坏二氧化碳气体对焊接电弧的保护作用,导致焊缝产生缺陷。因此,本条给出了风速限值,超过此限值时应设置防护装置。
9.6.8 焊接开始前,应复查组装质量、定位焊质量和焊接部位的清理情况。如不符合要求,应修正合格后方准施焊。
条文说明
9.6.8 装配间隙过大会影响焊接质量,降低接头强度。定位焊的施焊条件较差,出现各种缺陷的机会较多。焊接区的油污、锈蚀在高温作用下分解出气体,易造成气孔、裂纹等缺陷。据此,特对焊前进行检查和修整做出规定。
9.6.9 对接接头、T形接头和要求全熔透的角部焊缝,应在焊缝两端配置引弧板和引出板。手工焊引板长度不应小于25mm,埋弧自动焊引板长度不应小于80mm,引焊到引板的焊缝长度不得小于引板长度的2/3。
条文说明
9.6.9 本条是对一些较重要的焊缝应配置引弧板和引出板作出的具体规定。焊缝通过引板过渡升温,可以防止构件端部未焊透、未熔合等缺陷,同时也对消除熄弧处弧坑有利。
9.6.10 引弧应在焊道处进行,严禁在焊道区以外的母材上打火引弧。
条文说明
9.6.10 在焊区以外的母材上打火引弧,会导致被烧伤母材表面应力集中,缺口附近的断裂韧性值降低,承受动荷载时的疲劳强度也将受到影响,特别是低合金结构钢对缺口的敏感性高于碳素结构钢,故更应避免“乱打弧”现象。
9.6.11 焊接时应根据工作地点的环境温度、钢材材质和厚度,选择相应的预热温度对焊件进行预热。无特殊要求时,可按表9.6.11选取预热温度。凡需预热的构件,焊前应在焊道两侧各100mm范围内均匀进行预热,预热温度的测量应在距焊道50mm处进行。当工作地点的环境温度为0℃以下时,焊接件的预热温度应通过试验确定。
表9.6.11 常用的预热温度

条文说明
9.6.11 本条的制定参考了现行国家标准《钢结构工程施工质量验收规范》GB 50205和部分国内高层民用建筑钢结构制作的有关技术资料。钢板厚度越大,散热速度越快,焊接热影响区易形成组织硬化,生成焊接残余应力,使焊缝金属和熔合线附近产生裂纹。当板厚超过一定数值时,用预热的办法减慢冷却速度,有利于氢的逸出和降低残余应力,是防止裂纹的一项工艺措施。 本条仅给出了环境温度为0℃以上时的预热温度,对于环境温度在0℃以下者未做具体规定,制作单位应通过试验确定适当的预热温度。
9.6.12 板厚超过30mm,且有淬硬倾向和拘束度较大低合金高强度结构钢的焊接,必要时可进行后热处理。后热处理的时间应按每25mm板厚为1h。
后热处理应于焊后立即进行。后热的加热范围为焊缝两侧各100mm,温度的测量应在距焊缝中心线75mm处进行。焊缝后热达到规定温度后,应按规定时间保温,然后使焊件缓慢冷却至常温。
条文说明
9.6.12 后热处理也是防止裂纹的一项措施,一般与预热措施配合使用。后热处理使焊件从焊后温度过渡到环境温度的过程延长,即降低冷却速度,有利于焊缝中氢的逸出,能较好地防止冷裂纹的产生,同时能调整焊接收缩应力,防止收缩应力裂纹。考虑到高层民用建筑钢结构厚板较多,防止裂纹是关键问题之一,故将后热处理列入规程条款中。因各工程的具体情况不同,各制作单位的施焊条件也不同,所以未做硬性规定,制作单位应通过工艺评定来确定工艺措施。
9.6.13 要求全熔透的两面焊焊缝,正面焊完成后在焊背面之前,应认真清除焊缝根部的熔渣、焊瘤和未焊透部分,直至露出正面焊缝金属时方可进行背面的焊接。
条文说明
9.6.13 高层民用建筑钢结构的主要受力节点中,要求全熔透的焊缝较多,清根则是保证焊缝熔透的措施之一。清根方法以碳弧气刨为宜,清根工作应由培训合格的人员进行,以保证清根质量。
9.6.14 30mm以上厚板的焊接,为防止在厚度方向出现层状撕裂,宜采取下列措施:
1 将易发生层状撕裂部位的接头设计成拘束度小、能减小层状撕裂的构造形式(图9.6.14);

图9.6.14 能减少层状撕裂的构造形式
2 焊接前,对母材焊道中心线两侧各2倍板厚加30mm的区域内进行超声波探伤检查。母材中不得有裂纹、夹层及分层等缺陷存在;
3 严格控制焊接顺序,尽可能减小垂直于板面方向的拘束;
4 根据母材的C eq (碳当量)和P cm (焊接裂纹敏感性指数)值选择正确的预热温度和必要的后热处理;
5 采用低氢型焊条施焊,必要时可采用超低氢型焊条。在满足设计强度要求的前提下,采用屈服强度较低的焊条。
条文说明
9.6.14 层状撕裂的产生是由于焊缝中存在收缩应力,当接头处拘束度过大时,会导致沿板厚度方向产生较大的拉力,此时若钢板中存在片状硫化夹杂物,就易产生层状撕裂。厚板在高层民用建筑钢结构中应用较多,特别是大于50mm厚板的使用,存在着层状撕裂的危险。因此,防止沿厚度方向产生层状撕裂是梁柱接头中最值得注意的问题。根据国内外一些资料的介绍和一些制作单位的经验,本条款综合给出了几个方面可采取的措施。由于裂纹的形成是错综复杂的,所以施工中应采取哪些措施,需依据具体情况具体分析而定。 碳当量法是将各种元素按相当于含碳量的作用总合起来,碳是各种合金元素中对钢材淬硬、冷裂影响最明显的因素,国际焊接学会推荐的碳当量为Ceq(%)=C+Mn/6+(Ni+Cu)/15+(Cr+Mo+V)/5,Ceq值越高,钢材的淬硬倾向越大,需较高的预热温度和严格的工艺措施。 焊接裂纹敏感系数是日本提出和应用的,它计入钢材化学成分,同时考虑板厚和焊缝含氢量对裂纹倾向的影响,由此求出防止裂纹的预热温度。焊接裂纹敏感性指数Pcm(%)=C+Si/30+Mn/20+Cu/20+Ni/60+Cr/20+Mo/15+V/10+5B,预热温度T℃=1440Pcm—392。
9.6.15 高层民用建筑钢结构箱形柱内横隔板的焊接,可采用熔嘴电渣焊设备进行焊接。箱形构件封闭后,通过预留孔用两台焊机同时进行电渣焊(图9.6.15),施焊时应注意下列事项:
1 施焊现场的相对湿度等于或大于90%时,应停止焊接;
2 熔嘴孔内不得受潮、生锈或有污物;
3 应保证稳定的网路电压;
4 电渣焊施焊前必须做工艺试验,确定焊接工艺参数和施焊方法;
5 焊接衬板的下料、加工及装配应严格控制质量和精度,使其与横隔板和翼缘板紧密贴合;当装配缝隙大于1mm时,应采取措施进行修整和补救;
6 同一横隔板两侧的电渣焊宜同时施焊,并一次焊接成型;
7 当翼缘板较薄时,翼缘板外部的焊接部位应安装水冷却装置;
8 焊道两端应按要求设置引弧和引出套筒;
9 熔嘴应保持在焊道的中心位置;
10 焊接起动及焊接过程中,应逐渐少量加入焊剂;
11 焊接过程中应随时注意调整电压;
12 焊接过程应保持焊件的赤热状态;

图9.6.15 箱形柱横隔板的电渣焊
1-横隔板;2-电渣焊部位;3-衬板;4-翼缘板;5-腹板
13 对厚度大于等于70mm的厚板焊接时,应考虑预热以加快渣池的形成。
条文说明
9.6.15 消耗熔嘴电渣焊在高层民用建筑钢结构中是常用的一种焊接技术,由于熔嘴电渣焊的施焊部位是封闭的,消除缺陷相当困难,因此要求改善焊接环境和施焊条件,当出现影响焊接质量的情况时,应停止焊接。 为保证焊接工作的正常进行,对垫板下料和加工精度应严格要求,并应严格控制装配间隙。间隙过大易使熔池铁水泄漏,造成缺陷。当间隙大于1mm时,应进行修整和补救。 焊接时应由两台电渣焊机在构件两侧同时施焊,以防焊件变形。因焊接电压随焊接过程而变化,施焊时应随时注意调整,以保持规定数值。 焊接过程中应使焊件处于赤热状态,其表面温度在800℃以上时熔合良好,当表面温度不足800℃时,应适当调整焊接工艺参数,适量增加渣池的总热能。采用电渣焊的板材宜选用热轧、正火的钢材。
9.6.16 栓钉焊接应符合下列规定:
1 焊接前应将构件焊接面上的水、锈、油等有害杂质清除干净,并应按规定烘焙瓷环;
2 栓钉焊电源应与其他电源分开,工作区应远离磁场或采取措施避免磁场对焊接的影响;
3 施焊构件应水平放置。
条文说明
9.6.16 栓钉焊接面上的水、锈、油等有害杂质对焊接质量有影响,因此,在焊接前应将焊接面上的杂质仔细清除干净,以保证栓焊的顺利进行。从事栓钉焊的焊工应经过专门训练,栓钉焊所用电源应为专门电源,在与其他电源并用时必须有足够的容量。
9.6.17 栓钉焊应按下列规定进行质量检验:
1 目测检查栓钉焊接部位的外观,四周的熔化金属应以形成一均匀小圈而无缺陷为合格。
2 焊接后,自钉头表面算起的栓钉高度L的允许偏差应为±2mm,栓钉偏离竖直方向的倾斜角度θ应小于等于5°(图9.6.17)。

图9.6.17 栓钉的焊接要求
3 目测检查合格后,对栓钉进行弯曲试验,弯曲角度为30°。在焊接面上不得有任何缺陷。
栓钉焊的弯曲试验采取抽样检查。取样率为每批同类构件抽查10%,且不应少于10件;被抽查构件中,每件检查焊钉数量的1%,但不应少于1个。试验可用手锤进行,试验时应使拉力作用在熔化金属最少的一侧。当达到规定弯曲角度时,焊接面上无任何缺陷为合格。抽样栓钉不合格时,应再取两个栓钉进行试验,只要其中一个仍不符合要求,则余下的全部栓钉都应进行试验。
4 经弯曲试验合格的栓钉可在弯曲状态下使用,不合格的栓钉应更换,并应经弯曲试验检验。
条文说明
9.6.17 栓钉焊是一种特殊焊接方法,其检查方法不同于其他焊接方法,因此,本规程将栓钉焊的质量检验作为一项专门条款给出。本条款的编制按现行国家标准《钢结构工程施工质量验收规范》GB 50205和参考了日本的有关标准和资料。 栓钉焊缝外观应全部检查,其焊肉形状应整齐,焊接部位应全部熔合。 需更换不合格栓钉时,在去掉旧栓钉以后,焊接新栓钉之前,应先修补母材,将母材缺损处磨修平整,然后再焊新栓钉,更换过的栓钉应重新做弯曲试验,以检验新栓钉的焊接质量。
9.6.18 焊缝质量的外观检查,应按设计文件规定的标准在焊缝冷却后进行。由低合金高强度结构钢焊接而成的大型梁柱构件以及厚板焊接件,应在完成焊接工作24h后,对焊缝及热影响区是否存在裂缝进行复查。
1 焊缝表面应均匀、平滑,无折皱、间断和未满焊,并与基本金属平缓连接,严禁有裂纹、夹渣、焊瘤、烧穿、弧坑、针状气孔和熔合性飞溅等缺陷;
2 所有焊缝均应进行外观检查,当发现有裂纹疑点时,可用磁粉探伤或着色渗透探伤进行复查。设计文件无规定时,焊缝质量的外观检查可按表9.6.18-1及表9.6.18-2的规定执行。
表9.6.18-1 焊缝外观质量要求


注:t为母材厚度。
表9.6.18-2 焊缝余高和错边允许偏差

注:t为对接接头较薄母材厚度。
条文说明
9.6.18 本条款对焊缝质量的外观检查时间进行了规定,这里考虑延迟裂纹的出现需要一定的时间,而高层民用建筑钢结构构件采用低合金高强度结构钢及厚板较多,存在延迟断裂的可能性更大,对构件的安全存在着潜在的危险,因此应对焊缝的检查时间进行控制。考虑到实际生产情况,将全部检查项目都放到24h后进行有一定困难,所以仅对24h后应对裂纹倾向进行复验作出了规定。 本条款在严禁的缺陷一项中,增加了熔合性飞溅的内容。当熔合性飞溅严重时,说明施焊中的焊接热能量过大,由此造成施焊区温度过高,接头韧性降低,影响接头质量,因此,对焊接中出现的熔合性飞溅要严加控制。 焊缝质量的外观检验标准大部分均由设计规定,设计无规定者极少。本规程给出的表9.6.18-1、表9.6.18-2仅用于设计无规定时。该表的编制,参考了现行国家标准《钢结构焊接规范》GB 50661。
9.6.19 焊缝的超声波探伤检查应按下列规定进行:
1 图纸和技术文件要求全熔透的焊缝,应进行超声波探伤检查。
2 超声波探伤检查应在焊缝外观检查合格后进行。焊缝表面不规则及有关部位不清洁的程度,应不妨碍探伤的进行和缺陷的辨认,不满足上述要求时事前应对需探伤的焊缝区域进行铲磨和修整。
3 全熔透焊缝的超声波探伤检查数量,应由设计文件确定。设计文件无明确要求时,应根据构件的受力情况确定;受拉焊缝应100%检查;受压焊缝可抽查50%,当发现有超过标准的缺陷时,应全部进行超声波检查。
4 超声波探伤检查应根据设计文件规定的标准进行。设计文件无规定时,超声波探伤的检查等级按现行国家标准《焊缝无损检测 超声检测 技术、检测等级和评定》GB/T 11345标准中规定的B级要求执行,受拉焊缝的评定等级为B检查等级中的Ⅰ级,受压焊缝的评定等级为B检查等级中的Ⅱ级。
5 超声波检查应做详细记录,并应写出检查报告。
条文说明
9.6.19 钢结构节点部位中,有相当一部分是要求全熔透的,因此,本规程特将焊缝的超声波检查探伤作为一个专门条款提出。 按照现行国家标准《钢结构工程施工质量验收规范》GB 50205的规定,焊缝检验分为三个等级,一级用于动荷载或静荷载受拉,二级用于动荷载或静荷载受压,三级用于其他角焊缝。本条款给出的超检数量,参考了该规范的规定。在现行国家标准《焊缝无损检测 超声检测 技术、检测等级和评定》GB/T 11345中,按检验的完善程度分为A、B、C三个等级。A级最低,B级一般,C级最高。评定等级分为Ⅰ、Ⅱ、Ⅲ、Ⅳ四个等级,Ⅰ级最高、Ⅳ级最低。根据高层民用建筑钢结构的特点和要求以及施工单位的建议,本条款比照《焊缝无损检测 超声检测技术、检测等级和评定》GB/T 11345的规定,给出了高层民用建筑钢结构受拉、受压焊缝应达到的检验等级和评定等级。 本条款给出的超声波检查数量和等级标准,仅限于设计文件无规定时使用。
9.6.20 经检查发现的焊缝不合格部位,必须进行返修。
1 当焊缝有裂纹、未焊透和超标准的夹渣、气孔时,必须将缺陷清除后重焊。清除可用碳弧气刨或气割进行。
2 焊缝出现裂纹时,应进行原因分析,并制定出修复措施后方可返修。当裂纹界限清楚时,应从裂纹两端加长50mm处开始,沿裂纹全长进行清除后再焊接。
3 对焊缝上出现的间断、凹坑、尺寸不足、弧坑、咬边等缺陷,应予补焊。补焊焊条直径不宜大于4mm。
4 修补后的焊缝应用砂轮进行修磨,并应按要求重新进行检查。
5 低合金高强度结构钢焊缝,在同一处返修次数不得超过2次。对经过2次返修仍不合格的焊缝,应会同设计或有关部门研究处理。
条文说明
9.6.20 为保证焊接质量,应对不合格焊缝的返修工作给予充分重视,一般应编制返修工艺。本规程仅对几种返修方法作出了一般性规定,施工单位还应根据具体情况作出返修方法的规定。 焊接裂纹是焊接工作中最危险的缺陷,也是导致结构脆性断裂的原因之一。焊缝产生裂纹的原因很多,也很复杂,一般较难分辨清楚。因此,焊工不得随意修补裂纹,必须由技术人员制定出返修措施后再进行返修。 本条款对低合金高强度结构钢的返修次数作出了明确规定。因低合金高强度结构钢在同一处返修的次数过多,容易损伤合金元素,在热影响区产生晶粒粗大和硬脆过热组织,并伴有较大残余应力停滞在返修区段,易发生质量事故。
9.7 制孔
9.7 制 孔
9.7.1 制孔应按下列规定进行:
1 宜采用下列制孔方法:
1)使用多轴立式钻床或数控机床等制孔;
2)同类孔径较多时,采用模板制孔;
3)小批量生产的孔,采用样板划线制孔;
4)精度要求较高时,整体构件采用成品制孔。
2 制孔过程中,孔壁应保持与构件表面垂直。
3 孔周围的毛刺、飞边,应用砂轮等清除。
条文说明
9.7.1 制孔分零件制孔和成品制孔,即组装前制孔和组装后制孔。 保证孔的精度可以有很多方法,目前国外广泛使用的多轴立式钻床、数控钻床等,可以达到很高精度,消除了尺寸误差,但这些设备国内还不普及,所以本规程推荐模板制孔的方法。正确使用钻模制孔,可以保证高强度螺栓组装孔和工地安装孔的精度。采用模板制孔应注意零件、构件与模板贴紧,以免铁屑进入钻套。零件、构件上的中心线与模板中心线要对齐。
9.7.2 高强度螺栓孔的精度应为H15级,孔径的允许偏差应符合表9.7.2的规定。
表9.7.2 高强度螺栓孔径的允许偏差

9.7.3 孔在零件、部件上的位置,应符合设计文件的要求。当设计无要求时,成孔后任意两孔间距离的允许偏差,应符合表9.7.3的规定。
表9.7.3 孔间距离的允许偏差

9.7.4 过焊孔的加工应符合下列规定:
1 过焊孔加工,应根据加工图的要求。
2 当对工字形截面端部坡口的加工没有注明要设置过焊孔时,可采用下列方法之一:
1)不设过焊孔(图9.7.4-1)按下列规定制作:

图9.7.4-1 不设过焊孔时的加工形状
2)设置过焊孔(图9.7.4-2),过焊孔的曲线圆弧应与翼缘相切,其中,r 1 =35mm,r 2 =10mm,半径改变和与翼缘相切处应光滑过渡。

图9.7.4-2 过焊孔的加工
3 过焊孔加工采用切削加工机或带有固定件手动气切加工机。当用手动气切切割机时,过焊孔圆弧的曲线与翼缘连接处应光滑,采用修边器修正。梁柱连接以外的过焊孔加工精度:当切削面的粗糙度为R z ≤100μm时,槽口深度应为1mm以下;当此精度不能确保时,应采用修边器修正。
条文说明
9.7.4 钢框架梁与柱连接中的梁端过焊孔,有以下几种形式:
1)柱贯通型连接中的常规过焊孔;
2)柱贯通型连接中的梁上翼缘无过焊孔形式;
3)梁贯通型连接中的常规过焊孔;
4)梁贯通型连接中的无过焊孔形式。 本条是引用了《日本建筑工程标准JASS 6钢结构工程》(2007)中的新构造规定。翼缘无过焊孔的连接目前在日本钢结构制作中应用已较多且颇受欢迎,因为它既有较好的抗震性能,又省工。随着电渣焊限定柱壁板厚度(不小于16mm),梁贯通型连接已难以避免,势在必行。本条也列入了梁贯通型连接有过焊孔和无过焊孔的构造形式,供设计和施工时参考。
9.8 摩擦面的加工
9.8 摩擦面的加工
9.8.1 采用高强度螺栓连接时,应对构件摩擦面进行加工处理。处理后的抗滑移系数应符合设计要求。
条文说明
9.8.1 高强度螺栓结合面的加工,是为了保证连接接触面的抗滑移系数达到设计要求。结合面加工的方法和要求,应按现行行业标准《钢结构高强度螺栓连接技术规程》JGJ 82执行。
9.8.2 高强度螺栓连接摩擦面的加工,可采用喷砂、抛丸和砂轮打磨等方法。砂轮打磨方向应与构件受力方向垂直,且打磨范围不得小于螺栓直径的4倍。
条文说明
9.8.2 本条参考现行国家标准《钢结构工程施工质量验收规范》GB 50205,规定了喷砂、抛丸和砂轮打磨等方法,是为方便施工单位根据自己的条件选择。但不论选用哪一种方法,凡经加工过的表面,其抗滑移系数值必须达到设计要求。 本条文去掉了酸洗加工的方法,是因为现行国家标准《钢结构设计规范》GB 50017已不允许用酸洗加工,而且酸洗在建筑结构上很难做到,即使小型构件能用酸洗,残存的酸液往往会继续腐蚀连接面。
9.8.3 经处理的摩擦面应采取防油污和损伤的保护措施。
条文说明
9.8.3 经过处理的抗滑移面,如有油污或涂有油漆等物,将会降低抗滑移系数值,故对加工好的连接面必须加以保护。
9.8.4 制作厂应在钢结构制作的同时进行抗滑移系数试验,并出具试验报告。试验报告应写明试验方法和结果。
条文说明
9.8.4 本条规定了制作单位进行抗滑移系数试验的时间和试验报告的主要内容。一般说来,制作单位宜在钢结构制作前进行抗滑移系数试验,并将其纳人工艺,指导生产。
9.8.5 应根据现行行业标准《钢结构高强度螺栓连接技术规程》JGJ 82的规定或设计文件的要求,制作材质和处理方法相同的复验抗滑移系数用的试件,并与构件同时移交。
条文说明
9.8.5 本条规定了高强度螺栓抗滑移系数试件的制作依据和标准。考虑到我国目前高层民用建筑钢结构施工有采用国外标准的工程,所以本文中也允许按设计文件规定的制作标准制作试件。
9.9 端部加工
9.9 端部加工
9.9.1 构件的端部加工应按下列规定进行:
1 构件的端部加工应在矫正合格后进行;
2 应根据构件的形式采取必要的措施,保证铣平端面与轴线垂直;
3 端部铣平面的允许偏差,应符合表9.9.1的规定。
表9.9.1 端面铣平面的允许偏差

条文说明
9.9.1 有些构件端部要求磨平顶紧以传递荷载,这时端部要精加工。为保证加工质量,本条规定构件要在矫正合格后才能进行端部加工。表9.9.1是根据现行国家标准《钢结构工程施工质量验收规范》GB 50205的规定制定的。
9.10 防锈、涂层、编号及发运
9.10 防锈、涂层、编号及发运
9.10.1 钢结构的除锈和涂装工作,应在质量检查部门对制作质量检验合格后进行。
9.10.2 除锈等级分为三级,并应符合表9.10.2的规定。
表9.10.2 除锈质量等级

条文说明
9.10.1、9.10.2 参照现行国家标准《钢结构工程施工质量验收规范》GB 50205的规定制定。
9.10.3 钢结构的防锈涂料和涂层厚度应符合设计要求,涂料应配套使用。
条文说明
9.10.3 本条指出了防锈涂料和涂层厚度的依据标准,强调涂料要配套使用。
9.10.4 对规定的工厂内涂漆的表面,要用机械或手工方法彻底清除浮锈和浮物。
条文说明
9.10.4 本条规定了涂漆表面的处理要求,以保证构件的外观质量,对有特殊要求的,应按设计文件的规定进行。
9.10.5 涂层完毕后,应在构件明显部位印制构件编号。编号应与施工图的构件编号一致,重大构件尚应标明重量、重心位置和定位标记。
条文说明
9.10.5 本条规定在涂层完毕后对构件编号的要求。由于高层民用建筑钢结构构件数量多,品种多,施工场地相对狭小,构件编号是一件很重要的工作。编号应有统一规定和要求,以利于识别。
9.10.6 根据设计文件要求和构件的外形尺寸、发运数量及运输情况,编制包装工艺。应采取措施防止构件变形。
条文说明
9.10.6 包装对成品质量有直接影响。合格的产品,如果发运、堆放和管理不善,仍可能发生质量问题,所以应当引起重视。一般构件要有防止变形的措施,易碰部位要有适当的保护措施;节点板、垫板等小型零件宜装箱保存;零星构件及其他部件等,都要按同一类别用螺栓和铁丝紧固成束;高强度螺栓、螺母、垫圈应配套并有防止受潮等保护措施;经过精加工的构件表面和有特殊要求的孔壁要有保护措施等。
9.10.7 钢结构的包装和发运,应按吊装顺序配套进行。
条文说明
9.10.7 高层民用建筑钢结构层数多,施工场地相对狭小,如果存放和发运不当,会给安装单位造成很大困难,影响工程进度和带来不必要的损失,所以制作单位应与吊装单位根据安装施工组织设计的次序,认真编制安装程序表,进行包装和发运。
9.10.8 钢结构成品发运时,必须与订货单位有严格的交接手续。
条文说明
9.10.8 由于高层民用建筑钢结构数量大,品种多,一旦管理不善,造成的后果是严重的,所以本条规定的目的是强调制作单位在成品发运时,一定要与订货单位作好交接工作,防止出现构件混乱、丢失等问题。
9.11 构件预拼装
9.11 构件预拼装
9.11.1 制作单位应对合同要求或设计文件规定的构件进行预拼装。
9.11.2 钢构件预拼装有实体预拼装和计算机辅助模拟预拼装方法。
9.11.3 除有特殊规定外,构件预拼装应按设计文件和现行国家标准《钢结构工程施工质量验收规范》GB 50205的有关规定进行验收。
9.11.4 当采用计算机辅助模拟预拼装的偏差超过现行国家标准《钢结构工程施工质量验收规范》GB 50205的有关规定时,应进行实体预拼装。
条文说明
9.11.1~9.11.4 对于连接复杂的构件及受运输条件和吊装条件限制,设计规定或者合同要求的构件在出厂前应进行预拼装。有关预拼装方法和验收标准应符合现行国家标准《钢结构工程施工质量验收规范》GB 50205和《钢结构工程施工规范》GB 50755的规定。
9.12 构件验收
9.12 构件验收
9.12.1 构件制作完毕后,检查部门应按施工详图的要求和本节的规定,对成品进行检查验收。成品的外形和几何尺寸的偏差应符合表9.12.1-1~表9.12.1-4的规定。
表9.12.1-1 高层多节柱的允许偏差



表9.12.1-2 梁的允许偏差


表9.12.1-3 异型断面柱外形尺寸的允许偏差


表9.12.1-4 钢板剪力墙的允许偏差

注:由于构件的外形影响手工测量,对角线的测量使用全站仪。
条文说明
9.12.1 本节所指验收,是构件出厂验收,即对具备出厂条件的构件按照工程标准要求检查验收。 表9.12.1-1~表9.12.1-4的允许偏差,是参考了现行国家标准《钢结构工程施工质量验收规范》GB 50205和日本《建筑工程钢结构施工验收规范》编制的,根据我国高层民用建筑钢结构施工情况,对其中各项做了补充和修改,补充和修改的依据是通过一些新建高层民用建筑钢结构的施工调查取得的。钢桁架外形尺寸的允许偏差应符合《钢结构工程施工质量验收规范》GB 50205的相关要求。
9.12.2 构件出厂时,制作单位应分别提交产品质量证明及下列技术文件。提交的技术文件同时应作为制作单位技术文件的一部分存档备查。
1 钢结构加工图纸;
2 制作中对问题处理的协议文件;
3 所用钢材、焊接材料的质量证明书及必要的实验报告;
4 高强度螺栓抗滑移系数的实测报告;
5 焊接的无损检验记录;
6 发运构件的清单。
条文说明
9.12.2 本条是在现行国家标准《钢结构工程施工质量验收规范》GB 50205规定的基础上,结合高层民用建筑钢结构的特点制定的,增加了无损检验和必要的材料复验要求。 本条规定的目的,是要制作单位为安装单位提供在制作过程中变更设计、材料代用等的资料,以便据此施工,同时也为竣工验收提供原始资料。
10 安装
10.1 一般规定
10 安 装
10.1 一般规定
10.1.1 钢结构安装前,应根据设计图纸编制安装工程施工组织设计。对于复杂、异型结构,应进行施工过程模拟分析并采取相应安全技术措施。
条文说明
10.1.1 编制施工组织设计或施工方案是组织高层民用建筑钢结构安装的重要工作,应按结构安装施工组织设计的一般要求,结合钢结构的特点进行编制,其具体内容这里不拟一一列举。 异型、复杂结构施工过程中,结构构件的受力与设计使用状态有较大差异,结构应力会产生复杂的变化,甚至出现应力和变形超限的情况,施工过程模拟分析可以有效地预测施工风险,通过采取必要的安全措施确保施工过程安全。
10.1.2 施工详图设计时应综合考虑安装要求;如吊装构件的单元划分、吊点和临时连接件设置、对位和测量控制基准线或基准点、安装焊接的坡口方向和形式等。
10.1.3 施工过程验算时应考虑塔吊设置及其他施工活荷载、风荷载等。施工活荷载可按0.6kN/m 2 ~1.2kN/m 2 选取,风荷载宜按现行国家标准《建筑结构荷载规范》GB 50009规定的10年一遇的风荷载标准值采用。
条文说明
10.1.3 塔吊锚固往往会对安装中的结构有较大影响,需要通过精确计算确保结构和锚固的安全。
10.1.4 钢结构安装时应有可靠的作业通道和安全防护措施,应制定极端气候条件下的应对措施。
10.1.5 电焊工应具备安全作业证和技能上岗证。持证焊工须在考试合格项目认可范围有效期内施焊。
10.1.6 安装用的焊接材料、高强度螺栓、普通螺栓、栓钉和涂料等,应具有产品质量证明书,其质量应分别符合现行国家标准《非合金钢及细晶粒钢焊条》GB/T 5117、《热强钢焊条》GB/T 5118、《熔化焊用钢丝》GB/T 14957、《气体保护电弧焊用碳钢、低合金钢焊丝》GB/T 8110、《碳钢药芯焊丝》GB/T 10045、《低合金钢药芯焊丝》GB/T 17493、《埋弧焊用碳钢焊丝和焊剂》GB/T 5293、《埋弧焊用低合金钢焊丝和焊剂》GB/T 12470、《钢结构用高强度大六角头螺栓、大六角螺母、垫圈技术条件》GB/T 1231、《钢结构用扭剪型高强度螺栓连接副》GB/T 3632、《紧固件机械性能 螺栓、螺钉和螺柱》GB/T 3098.1、《六角头螺栓 C级》GB/T 5780和《六角头螺栓》GB/T 5782、《电弧螺柱焊用圆柱头焊钉》GB/T 10433及其他相关标准。
条文说明
10.1.6 安装用的焊接材料、高强度螺栓和栓钉等,必须具有产品出厂的质量证明书,并符合设计要求和有关标准的要求,必要时还应对这些材料进行复验,合格后方能使用。
10.1.7 安装用的专用机具和工具,应满足施工要求,并定期进行检验,保证合格。
条文说明
10.1.7 高层民用建筑钢结构工程安装工期较长,使用的机具和工具必须进行定期检验,保证达到使用要求的性能及各项指标。
10.1.8 安装的主要工艺,如测量校正、厚钢板焊接、栓钉焊接、高强度螺栓连接的抗滑移面加工、防腐及防火涂装等,应在施工前进行工艺试验,并应在试验结论的基础上制定各项操作工艺指导书,指导施工。
条文说明
10.1.8 安装的主要工艺,在安装工作开始前必须进行工艺试验(也叫工艺考核),以试验得出的各项参数指导施工。
10.1.9 安装前,应对构件的外形尺寸、螺栓孔直径及位置、连接件位置及角度、焊缝、栓钉焊、高强度螺栓接头抗滑移面加工质量、构件表面的涂层等进行检查,在符合设计文件或本规程第9章的要求后,方能进行安装工作。
条文说明
10.1.9 高层民用建筑钢结构构件数量很多,构件制作尺寸要求严,对钢结构加工质量的检查,应比单层房屋钢结构构件要求更严格,特别是外形尺寸,要求安装单位在构件制作时就派员到构件制作单位进行检查,发现超出允许偏差的质量问题时,一定要在厂内修理,避免运到现场再修理。
10.1.10 安装使用的钢尺,应符合本规程第9.1.4条的要求。土建施工、钢结构制作、钢结构安装应使用同一标准检验的钢尺。
条文说明
10.1.10 土建施工单位、钢结构制作单位和钢结构安装单位三家使用的钢尺,必须是由同一计量部门由同一标准鉴定的。原则上,应由土建施工单位(总承包单位)向安装单位提供鉴定合格的钢尺。
10.1.11 安装工作应符合环境保护、劳动保护和安全技术方面现行国家有关法规和标准的规定。
条文说明
10.1.11 高层民用建筑钢结构是多单位、多机械、多工种混合施工的工程,必须严格遵守国家和企业颁发的现行环境保护和劳动保护法规以及安全技术规程。在施工组织设计中,要针对工程特点和具体条件提出环境保护、安全施工和消防方面的措施。
10.2 定位轴线、标高和地脚螺栓
10.2 定位轴线、标高和地脚螺栓
10.2.1 钢结构安装前,应对建筑物的定位轴线、平面闭合差、底层柱的位置线、钢筋混凝土基础的标高和混凝土强度等级等进行检查,合格后方能开始安装工作。
条文说明
10.2.1 安装单位对土建施工单位提出的钢结构安装定位轴线、水准标高、柱基础位置线、预埋地脚螺栓位置线、钢筋混凝土基础面的标高、混凝土强度等级等各项数据,必需进行复查,符合设计和规范的要求后,方能进行安装。上述各项的实际偏差不得超过允许偏差。
10.2.2 框架柱定位测量可采用内控法和外控法。每节柱的定位轴线应从地面控制轴线引上来,不得从下层柱的轴线引出。
条文说明
10.2.2 柱子的定位轴线,可根据现场场地宽窄,在建筑物外部或建筑物内部设辅助控制轴线。 现场比较宽敞、钢结构总高度在100m以内时,可在柱子轴线的延长线上适当位置设置控制桩位,在每条延长线上设置两个桩位,供架设经纬仪用;现场比较狭小、钢结构总高度在100m以上时,可在建筑物内部设辅助线,至少要设3个点,每2点连成的线最好要垂直,因此,三点不得在一条直线上。 钢结构安装时,每一节柱子的定位轴线不得使用下一节柱子的定位轴线,应从地面控制轴线引到高空,以保证每节柱子安装正确无误,避免产生过大的累积偏差。
10.2.3 地脚螺栓应采用套板或套箍支架独立、精确定位。当地脚螺栓与钢筋相互干扰时,应遵循先施工地脚螺栓,后穿插钢筋的原则,并做好成品保护。螺栓螺纹应采取保护措施。
条文说明
10.2.3 地脚螺栓(锚栓)可选用固定式或可动式,以一次或二次的方法埋设。不管用何种方法埋设,其螺栓的位置、标高、丝扣长度等应符合设计和规范的要求。 施工中经常出现地脚螺栓与底板钢筋位置冲突干扰,地脚螺栓不能正常就位而影响施工,必须做好工序间的协调。
10.2.4 底层柱地脚螺栓的紧固轴力,应符合设计文件的规定。一般螺母止退可采用双螺母固定。
条文说明
10.2.4 地脚螺栓的紧固力一般由设计规定,也可按表6采用。地脚螺栓螺母的止退,一般可用双螺母,也可在螺母拧紧后将螺母与螺栓杆焊牢。 
10.2.5 结构的楼层标高可按相对标高或设计标高进行控制,并符合下列规定:

图10.2.6 柱脚的调整螺母
1-地脚螺栓;2-止退螺母;3-紧固螺母;4-螺母垫板;5-钢柱底板;6-螺母垫板;7-调整螺母;8-钢筋混凝土基础
1 按相对标高安装时,建筑物高度的累积偏差不得大于各节柱制作、安装、焊接允许偏差的总和。
2 按设计标高安装时,应以每节柱为单位进行柱标高的测量工作。
条文说明
10.2.5 钢结构安装时,其标高控制可以用两种方法:一是按相对标高安装,柱子的制作长度偏差只要不超过规范规定的允许偏差±3mm即可,不考虑焊缝的收缩变形和荷载引起的压缩变形对柱子的影响,建筑物总高度只要达到各节柱制作允许偏差总和以及柱压缩变形总和就算合格;另一种是按设计标高安装(不是绝对标高,不考虑建筑物沉降),即按土建施工单位提供的基础标高安装,第一节柱子底面标高和各节柱子累加尺寸的总和,应符合设计要求的总尺寸,每节柱接头产生的收缩变形和建筑物荷载引起的压缩变形,应加到柱子的加工长度中去,钢结构安装完成后,建筑物总高度应符合设计要求的总高度。
10.2.6 第一节柱标高精度控制,可采用在底板下的地脚螺栓上加一调整螺母的方法(图10.2.6)。
条文说明
10.2.6 底层第一节柱安装时,可在柱子底板下的地脚螺栓上加一个螺母,螺母上表面的标高调整到与柱底板标高齐平,放上柱子后,利用底板下的螺母控制柱子的标高,精度可达±1mm以内,用以代替在柱子的底板下做水泥墩子的老办法。柱子底板下预留的空隙,可以用无收缩砂浆以捻浆法填实。使用这种方法时,对地脚螺栓的强度和刚度应进行计算。
10.2.7 地脚螺栓施工完毕直至混凝土浇筑终凝前,应加强测量监控,采取必要的成品保护措施。混凝土终凝后应实测地脚螺栓最终定位偏差值,偏差超过允许值影响钢柱就位时,可通过适当扩大柱底板螺栓孔的方法处理。
条文说明
10.2.7 地脚螺栓定位后往往会受到钢筋绑扎、混凝土浇筑及振捣等工序的影响,成品保护难度很大。即使初始定位精确,最终位置往往会发生一定的偏移,个别会出现超过规范允许值的偏差。本条规定可以对柱底板孔适当扩大予以解决,但扩大值一般不应超过20mm,且应在工厂完成。
10.3 构件的质量检查
10.3 构件的质量检查
10.3.1 构件成品出厂时,制作厂应将每个构件的质量检查记录及产品合格证交安装单位。
条文说明
10.3.1 安装单位应派有检查经验的人员深入到钢结构制作单位,从构件制作过程到构件成品出厂,逐个进行细致检查,并作好书面记录。
10.3.2 对柱、梁、支撑等主要构件,应在出厂前进行检查验收,检查合格后方可出厂。
条文说明
10.3.2 对主要构件,如梁、柱、支撑等的制作质量,应在出厂前进行验收。
10.3.3 端部进行现场焊接的梁、柱构件,其长度尺寸应按下列方法进行检查:
1 柱的长度,应增加柱端焊接产生的收缩变形值和荷载使柱产生的压缩变形值。
2 梁的长度应增加梁接头焊接产生的收缩变形值。
条文说明
10.3.3 对端头用坡口焊缝连接的梁、柱、支撑等构件,在检查其长度尺寸时,应将焊缝的收缩值计入构件的长度。如按设计标高进行安装时,还要将柱子的压缩变形值计入构件的长度。 制作单位在构件加工时,应将焊缝收缩值和压缩变形值计入构件长度。
10.3.4 钢构件的弯曲变形、扭曲变形以及钢构件上的连接板、螺栓孔等的位置和尺寸,应以钢构件的轴线为基准进行核对,不宜采用钢构件的边棱线作为检查基准线。
条文说明
10.3.4 在检查构件外形尺寸、构件上的节点板、螺栓孔等位置时,应以构件的中心线为基准进行检查,不得以构件的棱边、侧面对准基准线进行检查,否则可能导致误差。
10.3.5 钢构件焊缝的外观质量和超声波探伤检查,栓钉的位置及焊接质量,以及涂层的厚度和强度,应符合现行国家标准《钢结构焊接规范》GB 50661、《电弧螺柱焊用圆柱头焊钉》GB/T 10433和《涂覆涂料前钢材表面处理 表面清洁度的目视评定 第1部分:未涂覆过的钢材表面和全面清除原有涂层后的钢材表面的锈蚀等级和处理等级》GB/T 8923.1等的规定。
10.4 吊装构件的分段
10.4 吊装构件的分段
10.4.1 构件分段应综合考虑加工、运输条件和现场起重设备能力,本着方便实施、减少现场作业量的原则进行。
10.4.2 钢柱分段一般宜按(2~3)层一节,分段位置应在楼层梁顶标高以上1.2m~1.3m;钢梁、支撑等构件一般不宜分段;特殊、复杂构件分段应会同设计共同确定。
10.4.3 各分段单元应能保证吊运过程中的强度和刚度,必要时采取加固措施。
10.4.4 构件分段应在详图设计阶段综合考虑。
条文说明
10.4.1~10.4.4 为提高综合施工效率,构件分段应尽量减少。但由于受工厂和现场起重能力限制,构件分段重量应满足吊装要求;受运输条件限制,构件尺寸不宜太大。同时,应综合考虑构件分段后单元的刚度满足吊装运输要求。这些问题都应在详图设计阶段综合考虑确定。
10.5 构件的安装及焊接顺序
10.5 构件的安装及焊接顺序
10.5.1 钢结构的安装应按下列程序进行:
1 划分安装流水区段;
2 确定构件安装顺序;
3 编制构件安装顺序图、安装顺序表;
4 进行构件安装,或先将构件组拼成扩大安装单元,再进行安装。
条文说明
10.5.1 钢结构的安装顺序对安装质量有很大影响,为了确保安装质量,应遵循本条规定的步骤。
10.5.2 安装流水区段可按建筑物的平面形状、结构形式、安装机械的数量、现场施工条件等因素划分。
条文说明
10.5.2 流水区段的划分要考虑本条列举的诸因素,区段内的结构应具有整体性和便于划分。
10.5.3 构件的安装顺序,平面上应从中间向四周扩展,竖向应由下向上逐渐安装。
条文说明
10.5.3 每节柱高范围内全部构件的安装顺序,不论是柱、梁、支撑或其他构件,平面上应从中间向四周扩展安装,竖向要由下向上逐件安装,这样在整个安装过程中,由于上部和周边处于自由状态,构件安装进档和测量校正都易于进行,能取得良好的安装效果。 有一种习惯,即先安装一节柱子的顶层梁。但顶层梁固定了,将使中间大部分构件进档困难,测量校正费力费时,增加了安装的难度。
10.5.4 构件的安装顺序表,应注明构件的平面位置图、一构件所在的详图号,并应包括各构件所用的节点板、安装螺栓的规格数量、构件的重量等。
条文说明
10.5.4 钢结构构件的安装顺序,要用图和表格的形式表示,图中标出每个构件的安装顺序,表中给出每一顺序号的构件名称、编号,安装时需用节点板的编号、数量、高强度螺栓的型号、规格、数量,普通螺栓的规格和数量等。从构件质量检查、运输、现场堆存到结构安装,都使用这一表格,可使高层建筑钢结构安装有条不紊,有节奏、有秩序地进行。
10.5.5 构件接头的现场焊接应按下列程序进行:
1 完成安装流水段内主要构件的安装、校正、固定(包括预留焊接收缩量);
2 确定构件接头的焊接顺序;
3 绘制构件焊接顺序图;
4 按规定顺序进行现场焊接。
条文说明
10.5.5 构件接头的现场焊接顺序,比构件的安装顺序更为重要,如果不按合理的顺序进行焊接,就会使结构产生过大的变形,严重的会将焊缝拉裂,造成重大质量事故。本条规定的作业顺序必须严格执行,不得任意变更。高层民用建筑钢结构构件接头的焊接工作,应在一个流水段的一节柱范围内,全部构件的安装、校正、固定、预留焊缝收缩量(也考虑温度变化的影响)和弹性压缩量均已完成并经质量检查部门检查合格后方能开始,因焊接后再发现大的偏差将无法纠正。
10.5.6 构件接头的焊接顺序,平面上应从中部对称地向四周扩展,竖向可采用有利于工序协调、方便施工、保证焊接质量的顺序。当需要通过焊接收缩微调柱顶垂直偏差值时,可适当调整平面方向接头焊接顺序。
条文说明
10.5.6 构件接头的焊接顺序,在平面上应从中间向四周并对称扩展焊接,使整个建筑物外形尺寸得到良好的控制,焊缝产生的残余应力也较小。 柱与柱接头和梁与柱接头的焊接以互相协调为好,一般可以先焊一节柱的顶层梁,再从下往上焊各层梁与柱的接头;柱与柱的接头可以先焊也可以最后焊。
10.5.7 构件的焊接顺序图应根据接头的焊接顺序绘制,并应列出顺序编号,注明焊接工艺参数。
条文说明
10.5.7 焊接顺序编完后,应绘出焊接顺序图,列出焊接顺序表,表中注明构件接头采用那种焊接工艺,标明使用的焊条、焊丝、焊剂的型号、规格、焊接电流,在焊接工作完成后,记入焊工代号,对于监督和管理焊接工作有指导作用。
10.5.8 电焊工应严格按分配的焊接顺序施焊,不得自行变更。
条文说明
10.5.8 构件接头的焊接顺序按照参加焊接工作的焊工人数进行分配后,应在规定时间内完成焊接,如不能按时完成,就会打乱焊接顺序。而且,焊工不得自行调换焊接顺序,更不允许改变焊接顺序。
10.6 钢构件的安装
10.6 钢构件的安装
10.6.1 柱的安装应先调整标高,再调整水平位移,最后调整垂直偏差,并应重复上述步骤,直到柱的标高、位移、垂直偏差符合要求。调整柱垂直度的缆风绳或支撑夹板,应在柱起吊前在地面绑扎好。
条文说明
10.6.1 柱子的安装工序应该是:①调整标高;②调整位移(同时调整上柱和下柱的扭转);③调整垂直偏差。如此重复数次。如果不按这样的工序调整,会很费时间,效率很低。
10.6.2 当由多个构件在地面组拼成为扩大安装单元进行安装时,其吊点应经计算确定。
条文说明
10.6.2 当构件截面较小,在地面将几个构件拼成扩大单元进行安装时,吊点的位置和数量应由计算或试吊确定,以防因吊点位置不正确造成结构永久变形。
10.6.3 柱、梁、支撑等大构件安装时,应随即进行校正。
条文说明
10.6.3 柱子、主梁、支撑等主要构件安装时,应在就位并临时固定后,立即进行校正,并永久固定(柱接头临时耳板用高强度螺栓固定,也是永久固定的一种)。不能使一节柱子高度范围的各个构件都临时连接,这样在其他构件安装时,稍有外力,该单元的构件都会变动,钢结构尺寸将不易控制,安装达不到优良的质量,也很不安全。
10.6.4 当天安装的钢构件应形成空间稳定体系。
条文说明
10.6.4 已安装的构件,要在当天形成稳定的空间体系。安装工作中任何时候,都要考虑安装好的构件是否稳定牢固,因为随时可能会由于停电、刮风、下雨、下雪等而停止安装。
10.6.5 当采用内、外爬塔式起重机或外附塔式起重机进行高层民用建筑钢结构安装时,对塔式起重机与钢结构相连接的附着装置,应进行验算,并应采取相应的安全技术措施。
条文说明
10.6.5 安装高层民用建筑钢结构使用的塔式起重机,有外附在建筑物上的,随着建筑物增高,起重机的塔身也要往上接高,起重机塔身的刚度要靠与钢结构的附着装置来维持。采用内爬式塔式起重机时,随着建筑物的增高,要依靠钢结构一步一步往上爬升。塔式起重机的爬升装置和附着装置及其对钢结构的影响,都必须进行计算,根据计算结果,制定相应的技术措施。
10.6.6 进行钢结构安装时,楼面上堆放的安装荷载应予限制,不得超过钢梁和压型钢板的承载能力。
条文说明
10.6.6 楼面上铺设的压型钢板和楼板的模板,承载能力比较小,不得在上面堆放过重的施工机械等集中荷载。安装活荷载必须限制或经过计算,以防压坏钢梁和压型钢板,造成事故。
10.6.7 一节柱的各层梁安装完毕并验收合格后,应立即铺设各层楼面的压型钢板,并安装本节柱范围内的各层楼梯。
条文说明
10.6.7 一节柱的各层梁安装完毕后,宜随即把楼梯安装上,并铺好梁面压型钢板。这样的施工顺序,既方便下一道工序,又保证施工安全。国内有些高层民用建筑钢结构的楼梯和压型钢板施工,与钢结构错开(6~10)层,施工人员上下要从塔式起重机上爬行,既不方便,也不安全。
10.6.8 钢构件安装和楼盖中的钢筋混凝土楼板的施工,应相继进行,两项作业相距不宜超过6层。当超过6层时,应由责任工程师会同设计部门和专业质量检查部门共同协商处理。
条文说明
10.6.8 楼板对建筑物的刚度和稳定性有重要影响,楼板还是抗扭的重要结构,因此,要求钢结构安装到第6层时,应将第一层楼板的钢筋混凝土浇完,使钢结构安装和楼板施工相距不超过6层。如果因某些原因超过6层或更多层数时,应由现场责任工程师会同设计和质量监督部门研究解决。
10.6.9 一个流水段一节柱的全部钢构件安装完毕并验收合格后,方可进行下一个流水段的安装工作。
条文说明
10.6.9 一个流水段一节柱子范围的构件要一次装齐并验收合格,再开始安装上面一节柱的构件,不要造成上下数节柱的构件都不装齐,结果东补一根构件,西补一根构件,既延长了安装工期,又不能保证工程质量,施工也很不安全。
10.6.10 钢板剪力墙单元应随柱梁等构件从下到上依次安装。吊装及运输时应采取措施防止平面外变形;钢板剪力墙与柱和梁的连接次序应满足设计要求。当设计无要求时,宜与柱梁等构件同步连接。
条文说明
10.6.10 钢板剪力墙在国内应用相对较少。在形式上又有纯钢板剪力墙和组合式钢板剪力墙,构造形式有加肋和不加肋之分,连接节点又分为高强度螺栓连接和焊接连接,差异性较大。共同特点是单元尺寸大,平面外刚度差,本条仅对钢板剪力墙施工提出原则性要求。
10.6.11 对设有伸臂桁架的钢框架-混凝土核心筒结构,为避免由于施工阶段竖向变形差在伸臂结构中产生过大的初应力,应对悬挑段伸臂桁架采取临时定位措施,待竖向变形差基本消除后再进行刚接。
条文说明
10.6.11 在混合结构中,由于内筒和外框自重差异较大,沉降变形不均匀,如果不采取措施,极易在伸臂桁架中产生较大的初始内应力。在结构施工完成后,这种不均匀变形基本趋于完成,此时再焊接伸臂桁架连接节点,能最大限度减小或消除桁架的初始应力。
10.6.12 转换桁架或腰桁架应根据制作运输条件和起重能力进行分段并散装,采用由下到上,从中间向两端的顺序安装。
条文说明
10.6.12 转换桁架或腰桁架尺寸和重量都较大,现场一般采用原位散装法,安装工艺及要求同钢柱和钢梁。
10.7 安装的测量校正
10.7 安装的测量校正
10.7.1 钢结构安装前,应按本规程第10.2.5条的要求确定按设计标高或相对标高安装。
条文说明
10.7.1 钢结构安装中,楼层高度的控制可以按相对标高,也可以按设计标高,但在安装前要先决定用哪一种方法,可会同建设单位、设计单位、质量检查部门共同商定。
10.7.2 钢结构安装前应根据现场测量基准点分别引测内控和外控测量控制网,作为测量控制的依据。地下结构一般采用外控法,地上结构可根据场地条件和周边建筑情况选择内控法或外控法。
条文说明
10.7.2 地上结构测量方法应结合工程特点和周边条件确定。可以采用内控法,也可以采用外控法,或者内控外控结合使用。
10.7.3 高度大于400m的高层民用建筑的平面控制网在垂直传递时,宜采用GPS进行复核。
条文说明
10.7.3 建筑高度较高时,控制点需要经过多次垂直投递时,为减小多次投递可能造成的累计偏差过大,采用GPS定位技术对投递后的控制点进行复核,可以保证控制点精度小于等于20mm。
10.7.4 柱在安装校正时,水平及垂直偏差应校正到现行国家标准《钢结构工程施工质量验收规范》GB 50205规定的允许偏差以内,垂直偏差应达到±0.000。安装柱和柱之间的主梁时,应根据焊缝收缩量预留焊缝变形值,预留的变形值应作书面记录。
条文说明
10.7.4 柱子安装时,垂直偏差一定要校正到±0.000,先不留焊缝收缩量。在安装和校正柱与柱之间的主梁时,再把柱子撑开,留出接头焊接收缩量,这时柱子产生的内力,在焊接完成和焊缝收缩后也就消失。
10.7.5 结构安装时,应注意日照、焊接等温度变化引起的热影响对构件的伸缩和弯曲引起的变化,并应采取相应措施。
条文说明
10.7.5 高层民用建筑钢结构对温度很敏感,日照、季节温差、焊接等产生的温度变化,会使它的各种构件在安装过程中不断变动外形尺寸,安装中要采取能调整这种偏差的技术措施。 如果日照变化小的早中晚或阴天进行构件的校正工作,由于高层民用建筑钢结构平面尺寸较小,又要分流水段,每节柱的施工周期很短,这样做的结果就会因测量校正工作拖了安装进度。 另一种方法是不论在什么时候,都以当时经纬仪的垂直平面为垂直基准,进行柱子的测量校正工作。温度的变化会使柱子的垂直度发生变化,这些偏差在安装柱与柱之间的主梁时,用外力强制复位,使之回到要求的位置(焊接接头别忘了留焊缝收缩量),这时柱子内会产生(30~40)N/mm2的温度应力,试验证明,它比由于构件加工偏差进行强制校正时产生的内力要小得多。
10.7.6 安装柱与柱之间的主梁构件时,应对柱的垂直度进行监测。除监测这根梁的两端柱子的垂直度变化外,尚应监测相邻各柱因梁连接影响而产生的垂直度变化。
条文说明
10.7.6 仅对被安装的柱子本身进行测量校正是不够的,柱子一般有多层梁,一节柱有二层、三层,甚至四层梁,柱和柱之间的主梁截面大,刚度也大,在安装主梁时柱子会变动,产生超出规定的偏差。因此,在安装柱和柱之间的主梁时,还要对柱子进行跟踪校正;对有些主梁连系的隔跨甚至隔两跨的柱子,也要一起监测。这时,配备的测量人员也要适当增加,只有采取这样的措施,柱子的安装质量才有保证。
10.7.7 安装压型钢板前,应在梁上标出压型钢板铺放的位置线。铺放压型钢板时 ,相邻两排压型钢板端头的波形槽口应对准。
条文说明
10.7.7 在楼面安装压型钢板前,梁面上必须先放出压型钢板的位置线,按照图纸规定的行距、列距顺序排放。要注意相邻二列压型钢板的槽口必须对齐,使组合楼板钢筋混凝土下层的主筋能顺利地放入压型钢板的槽内。
10.7.8 栓钉施工前应标出栓钉焊接的位置。若钢梁或压型钢板在栓钉位置有锈污或镀锌层,应采用角向砂轮打磨干净。栓钉焊接时应按位置线排列整齐。
条文说明
10.7.8 栓钉也要按图纸的规定,在钢梁上放出栓钉的位置线,使栓钉焊完后在钢梁上排列整齐。
10.7.9 在一节柱子高度范围内的全部构件完成安装、焊接、铺设压型钢板、栓接并验收合格后,方能从地面引放上一节柱的定位轴线。
条文说明
10.7.9 各节柱的定位轴线,一定要从地面控制轴线引上来,并且要在下一节柱的全部构件安装、焊接、栓接并验收合格后进行引线工作;如果提前将线引上来,该层有的构件还在安装,结构还会变动,引上来的线也在变动,这样就保证不了柱子定位轴线的准确性。
10.7.10 各种构件的安装质量检查记录,应为结构全部安装完毕后的最后一次实测记录。
条文说明
10.7.10
结构安装的质量检查记录,必须是构件已安装完成,而且焊接、栓接等工作也已完成并验收合格后的最后一次检查记录,中间检查的各次记录不能作为安装的验收记录。如柱子的垂直度偏差检查记录,只能是在安装完毕,且柱间梁的安装、焊接、栓接也已完成后所作的测量记录。
10.8 安装的焊接工艺
10.8 安装的焊接工艺
10.8.1 钢结构安装前,应对主要焊接接头的焊缝进行焊接工艺试验,制定所用钢材的焊接材料、有关工艺参数和技术措施。
条文说明
10.8.1 高层民用建筑钢结构柱子和主梁的钢板,一般都比较厚,材质要求也较严,主要接头要求用焊缝连接,并达到与母材等强。这种焊接工作,工艺比较复杂,施工难度大,不是一般焊工能够很快达到所要求技术水平的。所以在开工前,必须针对工程具体要求,进行焊接工艺试验,以便一方面提高焊工的技术水平,一方面取得与实际焊接工艺一致的各项参数,制定符合高层民用建筑钢结构焊接施工的工艺规程,指导安装现场的焊接施工。
10.8.2 当焊接作业处于下列情况之一时,严禁焊接:
1 焊接作业区的相对湿度大于90%;
2 焊件表面潮湿或暴露于雨、冰、雪中;
3 焊接作业条件不符合现行国家标准《焊接与切割安全》GB 9448的有关规定。
10.8.3 焊接环境温度低于0℃但不低于—10℃时,应采取加热或防护措施。应确保接头焊接处各方向大于等于2倍板厚且不小于100mm范围内,母材温度不低于20℃和现行国家标准《钢结构焊接规范》GB 50661规定的最低预热温度二者的较大值,且在焊接过程中不应低于该温度。
10.8.4 当焊接环境温度低于—10℃时,必须进行相应焊接环境下的工艺评定试验,并应在评定合格后再进行焊接,否则,严禁焊接。
条文说明
10.8.2~10.8.4
焊接作业环境不符合要求,会对焊接施工造成不利影响。应避免在工件潮湿或雨、雪天气下进行焊接操作,因为水分是氢的来源,而氢是产生焊接延迟裂纹的重要因素之一。另外,低温会造成钢材脆化,使得焊接过程的冷却速度加快,易于产生淬硬组织,影响焊接质量。
10.8.5 低碳钢和低合金钢厚钢板,应选用与母材同一强度等级的焊条或焊丝,同时考虑钢材的焊接性能、焊接结构形状、受力状况、设备状况等条件。焊接用的引弧板的材质,应与母材相一致,或通过试验选用。
条文说明
10.8.5
焊接用的焊条、焊丝、焊剂等焊接材料,在选用时应与母材强度等级相匹配,并考虑钢材的焊接性能等条件。钢材焊接性能可参考下列碳当量公式选用:C eq (%)=C+Mn/6+Si/24+Ni/40+Cr/5+Mo/4+V/14<0.44%,引弧板的材质必须与母材一致,必要时可通过试验选用。
10.8.6 焊接开始前,应将焊缝处的水分、脏物、铁锈、油污、涂料等清除干净,垫板应靠紧,无间隙。
条文说明
10.8.6
焊接工作开始前,焊口应清理干净,这一点往往为焊工所忽视。如果焊口清理不干净,垫板又不密贴,会严重影响焊接质量,造成返工。
10.8.7 零件采用定位点焊时,其数量和长度应由计算确定,也可按表10.8.7的数值采用。
表10.8.7 点焊缝的最小长度

条文说明
10.8.7 定位点焊是焊接构件组拼时的重要工序,定位点焊不当会严重影响焊接质量。定位点焊的位置、长度、厚度应由计算确定,其焊接质量应与焊缝相同。定位点焊的焊工,应该是具有点焊技能考试合格的焊工,这一点往往被忽视。由装配工任意进行点焊是不对的。
10.8.8 柱与柱接头焊接,应由两名或多名焊工在相对称位置以相等速度同时施焊。
条文说明
10.8.8 框架柱截面一般较大,钢板又较厚,焊接时应由两个或多个焊工在柱子两个相对边的对称位置以大致相等的速度逆时针方向施焊,以免产生焊接变形。
10.8.9 加引弧板焊接柱与柱接头时,柱两对边的焊缝首次焊接的层数不宜超过4层。焊完第一个4层,切去引弧板和清理焊缝表面后,转90°焊另两个相对边的焊缝。这时可焊完8层,再换至另两个相对边,如此循环直至焊满整个柱接头的焊缝为止。
条文说明
10.8.9 柱子接头用引弧板进行焊接时,首先焊接的相对边焊缝不宜超过4层,焊毕应清理焊根,更换引弧板方向,在另两边连续焊8层,然后清理焊根和更换引弧板方向,在相垂直的另两边焊8层,如此循环进行,直到将焊缝全部焊完,参见图5。
10.8.10 不加引弧板焊接柱与柱接头时,应由两名焊工在相对称位置以逆时针方向在距柱角50mm处起焊。焊完一层后,第二层及以后各层均在离前一层起焊点(30~50)mm处起焊。每焊一遍应认真检查清渣,焊到柱角处要稍放慢焊条移动速度,使柱角焊成方角,且焊缝饱满。最后一遍盖面焊缝可采用直径较小的焊条和较小的电流进行焊接。
条文说明
10.8.10 柱子接头不加引弧板焊接时,两个焊工在对面焊接,一个焊工焊两面,也可以两个焊工以逆时针方向转圈焊接。前者要在第一层起弧点和第二层起弧点相距30mm~50mm开始焊接(图5)。每层焊道要认真清渣,焊到柱棱角处要放慢焊条运行速度,使柱棱成为方角。
10.8.11 梁和柱接头的焊接,应设长度大于3倍焊缝厚度的引弧板。引弧板的厚度、坡口角度应和焊缝厚度相适应,焊完后割去引弧板时应留5mm~10mm。
条文说明
10.8.11 梁与柱接头的焊缝在一条焊缝的两个端头加引弧板(另一侧为收弧板)。引弧板的长度不小于30mm,其坡口角应与焊缝坡口一致。焊接工作结束后,要等焊缝冷却再割去引弧板,并留5mm~10mm,以免损伤焊缝。 
10.8.12 梁和柱接头的焊缝,宜先焊梁的下翼缘板,再焊上翼缘板。先焊梁的一端,待其焊缝冷却至常温后,再焊另一端,不宜对一根梁的两端同时施焊。
条文说明
10.8.12 梁翼缘与柱的连接焊缝,一般宜先焊梁的下翼缘再焊上翼缘。由于在荷载下梁的下翼缘受压,上翼缘受拉,故认为先焊下翼缘最合理。一根梁两个端头的焊缝不宜同时焊接,宜先焊一端头,再焊另一端头。
10.8.13 柱与柱、梁与柱接头焊接试验完毕后,应将焊接工艺全过程记录下来,测量出焊缝的收缩值,反馈到钢结构制作厂,作为柱和梁加工时增加长度的依据。
厚钢板焊缝的横向收缩值,可按下式计算确定,也可按表10.8.13选用。

式中:S——焊缝的横向收缩值(mm);
A——焊缝横截面面积(mm 2 );
t——焊缝厚度,包括熔深(mm);
k——常数,一般可取0.1。
表10.8.13 焊缝的横向收缩值


条文说明
10.8.13 柱与柱、梁与柱接头的焊接收缩值,可用试验的方法,或按公式计算,或参考经验公式确定,有条件时最好用试验的方法。制作单位应将焊接收缩值加到构件制作长度中去。
10.8.14 进行手工电弧焊时当风速大于8m/s,进行气体保护焊时当风速大于2m/s,均应采取防风措施方能施焊。
条文说明
10.8.14 规定焊接时的风速是为了保证焊接质量。
10.8.15 焊接工作完成后,焊工应在焊缝附近打上代号钢印。焊工自检和质量检查员所作的焊缝外观检查以及超声波检查,均应有书面记录。
条文说明
10.8.15 焊接工作完成后,焊工应在距焊缝5mm~10mm的明显位置上打上焊工代号钢印,此规定在施工中必须严格执行。焊缝的外观检查和超声波探伤检查的各次记录,都应整理成书面形式,以便在发现问题时便于分析查找原因。
10.8.16 经检查不合格的焊缝应按本规程第9.6.20条的要求进行返修,并应按同样的焊接工艺进行补焊,再用同样的方法进行质量检查。同一部位的一条焊缝,修理不宜超过2次,否则应更换母材,或由责任工程师会同设计和专业质量检验部门协商处理。
条文说明
10.8.16 一条焊缝重焊如超过二次,母材和焊缝将不能保证原设计的要求,此时应更换母材。如果设计和检验部门同意进行局部处理,是允许的,但要保证处理质量。
10.8.17 发现焊接引起的母材裂纹或层状撕裂时,应会同相关部门和人员分析原因,制定专项处理方案。
条文说明
10.8.17 母材由于焊接产生层状撕裂时,若缺陷严重,要更换母材;若缺陷仅发生在局部,经设计和质量检验部门同意,可以局部处理。
10.8.18 栓钉焊接开始前,应对采用的焊接工艺参数进行测定,编制焊接工艺方案,并应在施工中执行。
条文说明
10.8.18 栓钉焊有直接焊在钢梁上和穿透压型钢板焊在钢梁上两种形式,施工前必须进行试焊,焊点处有铁锈、油污等脏物时,要用砂轮清除锈污,露出金属光泽。焊接时,焊点处不能有水和结露。压型钢板表面有锌层必须除去以免产生铁锌共晶体熔敷金属。栓钉焊的地线装置必须正确,防止产生偏弧。
10.9 高强度螺栓施工工艺
10.9 高强度螺栓施工工艺
10.9.1 高强度螺栓的入库、存放和使用,应符合本规程第9.2.2条第3款的要求。
10.9.2 高强度螺栓拧紧后,丝扣应露出2扣~3扣为宜;高强度螺栓长度可根据表10.9.2选用。
表10.9.2 高强度螺栓需增加的长度

条文说明
10.9.2 高强度螺栓长度按下式计算: 
式中:L为螺杆需要的长度;A为接头各层钢板厚度总和;B为垫圈厚度;C为螺母厚度;D为拧紧螺栓后丝扣露出(2~3)扣的长度。
统计出各种长度的高强度螺栓后,要进行归类合并,以5mm或10mm为级差,种类应越少越好。表10.9.2列出的数值,是根据上列公式计算的结果。
10.9.3 高强度螺栓接头的抗滑移面加工,应按本规程第9.8.1条、第9.8.2条的规定进行。
10.9.4 高强度螺栓接头各层钢板安装时发生错孔,允许用铰刀扩孔。一个节点中的扩孔数不宜多于节点孔数的1/3,扩孔直径不得大于原孔径2mm。严禁用气割扩孔。
条文说明
10.9.4
高强度螺栓节点上的螺栓孔位置、直径等超过规定偏差时,应重新制孔,将原孔用电焊填满磨平,再放线重新打孔。安装中遇到几层钢板的螺孔不能对正时,只允许用铰刀扩孔。扩孔直径不得超过原孔径2mm。绝对禁止用气割扩高强度螺栓孔,若用气割扩高强度螺栓孔时应按重大质量事故处理。
10.9.5 高强度螺栓应能自由穿入螺孔内,严禁用榔头强行打入或用扳手强行拧入。一组高强度螺栓宜同一方向穿入螺孔内,并宜以扳手向下压为紧固螺栓的方向。
条文说明
10.9.5 高强度螺栓按扭矩系数使螺杆产生额定的拉力。如果螺栓不是自由穿入而是强行打入,或用螺母把螺栓强行拉入螺孔内,则钢板的孔壁与螺栓杆产生挤压力,将使扭矩转化的拉力很大一部分被抵消,使钢板压紧力达不到设计要求,结果达不到高强度螺栓接头的安装质量,这是必须注意的。 高强度螺栓在一个接头上的穿入方向要一致,目的是为了整齐美观和操作方便。
10.9.6 当钢框架梁与柱接头为腹板栓接、翼缘焊接时,宜按先栓后焊的方式进行施工。
条文说明
10.9.6 高层民用建筑钢结构中,柱与梁的典型连接,是梁的腹板用高强度螺栓连接,梁翼缘用焊接。这种接头的施工顺序是,先拧紧腹板上的螺栓,再焊接梁翼缘板的焊缝,或称“先栓后焊”。焊接热影响使高强度螺栓轴力损失约5%~15%(平均损失10%左右),这部分损失在螺栓连接设计中通常忽略不计。
10.9.7 在工字钢、槽钢的翼缘上安装高强度螺栓时,应采用与其斜面的斜度相同的斜垫圈。
10.9.8 高强度螺栓应通过初拧、复拧和终拧达到拧紧。终拧前应检查接头处各层钢板是否充分密贴。钢板较薄,板层较少,也可只作初拧和终拧。
条文说明
10.9.8 高强度螺栓初拧和复拧的目的,是先把螺栓接头各层钢板压紧;终拧则使每个螺栓的轴力比较均匀。如果钢板不预先压紧,一个接头的螺栓全部拧完后,先拧的螺栓就会松动。因此,初拧和复拧完毕要检查钢板密贴的程度。一般初拧扭矩不能用得太小,最好用终拧扭矩的89%。
10.9.9 高强度螺栓拧紧的顺序,应从螺栓群中部开始,向四周扩展,逐个拧紧。
条文说明
10.9.9 高强度螺栓拧紧的次序,应从螺栓群中部向四周扩展逐个拧紧,无论是初拧、复拧还是终拧,都要遵守这一规则,目的是使高强度螺栓接头的各层钢板达到充分密贴,避免产生弹簧效应。
10.9.10 使用扭剪型高强度螺栓扳子时,应定期进行扭矩值的检查,每天上班前检查一次。
条文说明
10.9.10 拧紧高强度螺栓用的定扭矩扳子,要定期进行定扭矩值的检查,每天上下午上班前都要校核一次。高强度螺栓使用扭矩大,扳手在强大的扭矩下工作,原来调好的扭矩值很容易变动,所以检查定扭矩扳子的额定扭矩值,是十分必要的。
10.9.11 扭剪型高强度螺栓的初拧、复拧、终拧,每完成一次应做一次相应的颜色或标记。
条文说明
10.9.11 高强度螺栓从安装到终拧要经过几次拧紧,每遍都不能少,为了明确拧紧的次数,规定每拧一遍都要做上记号。用不同记号区别初拧、复拧、终拧,是防止漏拧的较好办法。
10.9.12 对于个别不能用扭剪型专用扳手进行终拧的扭剪型高强度螺栓,可用六角头高强度螺栓扳手进行终拧(扭转系数为0.13)。
10.9.13 高强度螺栓不得用作安装螺栓使用。
条文说明
10.9.13 作为安装螺栓使用会损伤高强螺栓丝扣,影响终拧扭矩。
10.10 现场涂装
10.10 现场涂装
10.10.1 高层民用建筑钢结构在一个流水段一节柱的所有构件安装完毕,并对结构验收合格后,结构的现场焊缝、高强度螺栓及其连接点,以及在运输安装过程中构件涂层被磨损的部位,应补刷涂层。涂层应采用与构件制作时相同的涂料和相同的涂刷工艺。
条文说明
10.10.1 钢结构都要用防火涂层,因此钢结构加工厂在构件制作时只作防锈处理,用防锈涂层刷两道,不涂刷面层。但构件的接头,不论是焊接还是螺栓连接,一般是不刷油漆和各种涂料的,所以钢结构安装完成后,要补刷这些部位的涂层。钢结构安装后补刷涂层的部位,包括焊缝周围、高强度螺栓及摩擦面外露部分,以及构件在运输安装时涂层被擦伤的部位。
10.10.2 涂装前应将构件表面的焊接飞溅、油污杂质、泥浆、灰尘、浮锈等清除干净。
条文说明
10.10.2 灰尘、杂质、飞溅等会影响油漆与钢材的粘接强度,影响耐久性。涂装前必须彻底清除。
10.10.3 涂装时环境温度、湿度应符合涂料产品说明书的要求,当产品说明书无要求时,温度应为5℃~38℃,湿度不应大于85%。
条文说明
10.10.3 本条规定涂装时温度以5℃~38℃为宜,该规定只适合室内无阳光直接照射的情况,一般来说钢材表面温度比气温高2℃~3℃。如果在阳光直接照射下,钢材表面温度比气温高8℃~12℃,涂装时漆膜耐热性只能在40℃以下,当超过43℃时,漆膜容易产生气泡而局部鼓起,降低附着力。低于0℃时,漆膜容易冻结而不易固化。湿度超过85%时,钢材表面有露点凝结,漆膜附着力差。
10.10.4 涂层外观应均匀、平整、丰满,不得有咬底、剥落、裂纹、针孔、漏涂和明显的皱皮流坠,且应保证涂层厚度。当涂层厚度不够时,应增加涂刷的遍数。
10.10.5 经检查确认不合格的涂层,应铲除干净,重新涂刷。
10.10.6 当涂层固化干燥后方可进行下道工序。
条文说明
10.10.4~10.10.6 钢结构安装补刷涂层工作,必须在整个安装流水段内的结构验收合格后进行,否则在刷涂层后再作别的项目工作,还会损伤涂层。涂料和涂刷工艺应和结构加工时所用相同。露天、冬季涂刷,还要制定相应的施工工艺。
10.11 安装的竣工验收
10.11 安装的竣工验收
10.11.1 钢结构安装工程的竣工验收应分下列两个阶段进行:
1 每个流水段一节柱的高度范围内全部构件(包括钢楼梯、压型钢板等)安装、校正、焊接、栓接完毕并自检合格后,应作隐蔽工程验收;
2 全部钢结构安装、校正、焊接、栓接完成并经隐蔽工程验收合格后,应做钢结构安装工程的竣工验收。
10.11.2 安装工程竣工验收,应提交下列文件:
1 钢结构施工图和设计变更文件,并在施工图中注明修改内容;
2 钢结构安装过程中,业主、设计单位、钢构件制作厂、钢结构安装单位达成协议的各种技术文件;
3 钢构件出厂合格证;
4 钢结构安装用连接材料(包括焊条、螺栓等)的质量证明文件;
5 钢结构安装的测量检查记录、高强度螺栓安装检查记录、栓钉焊质量检查记录;
6 各种试验报告和技术资料;
7 隐蔽工程分段验收记录。
10.11.3 钢结构安装工程的安装允许偏差应符合现行国家标准《钢结构工程施工质量验收规范》GB 50205的相关规定。
条文说明
10.11.1~10.11.3 钢结构的竣工验收工作分为两步:第一步是每个流水区段一节柱子的全部构件安装、焊接、栓接等各单项工程,全部检查合格后,要进行隐蔽工程验收工作,这时要求这一段内的原始记录应该齐全。第二步是在各流水区段的各项工程全部检查合格后,进行竣工验收。竣工验收按照本节规定的各条,由各相关单位办理。 钢结构的整体偏差,包括整个建筑物的平面弯曲、垂直度、总高度允许偏差等,本规程不再做具体规定,按现行国家标准《钢结构工程施工质量验收规范》GB 50205的规定执行。
11 抗火设计
11.1 一般规定
11 抗火设计
11.1 一般规定
11.1.1 钢结构的梁、柱和楼板宜进行抗火设计。钢结构各种构件的耐火极限应符合现行国家标准《建筑设计防火规范》GB 50016的规定。
11.1.2 在规定的结构耐火极限时间内,结构或构件的承载力应满足下式要求:

式中:R d ——结构或构件的承载力;
S m ——各种作用所产生的组合效应值。
11.1.3 结构的抗火设计可按各种构件分别进行。进行结构某一构件抗火设计时,可仅考虑该构件受火升温。
11.1.4 结构构件抗火设计应按下列步骤进行:
1 确定防火被覆厚度;
2 计算构件在耐火时间内的内部温度;
3 计算构件在外荷载和受火温度作用下的内力;
4 进行构件荷载效应组合;
5 根据构件和受载的类型,按本规程第11.2节的有关规定,进行构件抗火验算;
6 当设定的防火被覆厚度不适合时(过小或过大),调整防火被覆厚度,重复本条第1款至第5款的步骤。
11.1.5 构件在耐火时间内的内部温度可按下列公式计算:


式中:T s ——构件在耐火时间内的内部温度(℃);
t——构件耐火时间(s);
B——防火被覆的综合参数;
ρ s ——钢材的密度,ρ s =7850kg/m 3 ;
c s ——钢材的比热,c s =600J/(kg·K);
ρ i ——防火保护层的密度(kg/m 3 );
c i ——防火保护层的比热[J/(kg·K)];
F i ——单位构件长度的防火保护层的内表面积(m 3 /m);
d i ——防火保护层厚度(m);
λ i ——防火保护层的导热系数[W/(m·K)]。
11.1.6 进行结构构件抗火验算时,受火构件在外荷载作用下的内力,可采用常温下相同荷载所产生的内力。
11.1.7 进行结构抗火验算时,采用下式对荷载效应进行组合:

式中:S——荷载组合效应;
S Gk ——永久荷载标准值的效应;
S Qki ——楼面或屋面活载(不考虑屋面雪载)标准值的效应;
S Wk ——风荷载标准值的效应;
S T ——构件或结构的温度变化(考虑温度效应)产生的效应;
γ G ——永久荷载分项系数,取1.0;
γ Qi ——楼面或屋面活载分项系数,取0.7;
γ W ——风载分项系数,取0或0.3,选不利情况;
γ F ——温度效应的分项系数,取1.0。
11.1.8 进行钢构件抗火设计时,应考虑温度内力的影响。在荷载效应组合中不考虑温度内力时,则对于在结构中受约束较大的构件应将计算所得的保护层厚度增加30%作为构件的保护层设计厚度。
11.1.9 连接节点的防火保护层厚度不得小于被连接构件保护层厚度的较大值。
11.2 钢梁与柱的抗火设计
11.2 钢梁与柱的抗火设计
11.2.1 对于钢框架梁,当有楼板作为梁的可靠侧向支撑时,应按下列公式进行梁的抗火验算。

式中:q——作用在梁上的局部荷载设计值(N/mm);
l——梁的跨度(mm);
B n ——与梁连接有关的系数,当梁两端铰接时,取1.0,当梁两端刚接时,取0.5;
W p ——梁的塑性截面模量(mm 3 );
f——常温下钢材的抗拉、抗压和抗弯强度设计值(N/mm 2 );
γ R ——钢材抗火设计强度调整系数,取1.1;
η T ——高温下钢材强度折减系数;
T s ——火灾下构件的内部温度(℃),按本规程第11.1.5条确定。
11.2.2 钢框架柱应按下列公式验算火灾下框架平面内和平面外的整体稳定性。


式中:N——火灾下框架柱的轴压力设计值(N);
φ T ——按框架平面内或平面外柱的计算长度确定的高温下轴压构件的稳定系数的较小值;
α——系数,根据构件的长细比和温度按表11.2.2确定;
φ——受压构件的稳定系数,按现行国家标准《钢结构设计规范》GB 50017的有关规定确定。
表11.2.2 系数α的确定

11.3 压型钢板组合楼板
11.3 压型钢板组合楼板
11.3.1 当压型钢板组合楼板中的压型钢板仅用作混凝土楼板的永久性模板、不充当板底受拉钢筋参与结构受力时,压型钢板可不进行防火保护。
条文说明
11.3.1 压型钢板组合楼板是建筑钢结构中常用的楼板形式。压型钢板使用有两种方式:一是压型钢板只作为混凝土板的施工模板,在使用阶段不考虑压型钢板的受力作用(实际上不能算是组合楼板);二是压型钢板除了作为施工模板外,还与混凝土板形成组合楼板共同受力。显然,当压型钢板只作为模板使用时,不需要进行防火保护。当压型钢板作为组合楼板的受力结构使用时,由于火灾高温对压型钢板的承载力会有较大影响,因此应进行耐火验算与抗火设计。
11.3.2 当压型钢板组合楼板中的压型钢板除用作混凝土楼板的永久性模板外、还充当板底受拉钢筋参与结构受力时,组合楼板应按下列规定进行耐火验算与防火设计。
1 组合楼板不允许发生大挠度变形时,在温升关系符合国家现行标准规定的标准火灾作用下,组合楼板的耐火时间t d 应按式(11.3.2-1)进行计算。当组合楼板的耐火时间t d 大于或等于组合楼板的设计耐火极限t m 时,组合楼板可不进行防火保护;当组合楼板的耐火时间t d 小于组合楼板的设计耐火极限t m 时,应按本规程第11.3.3条规定采取措施。

式中:t d ——无防火保护的组合楼板的耐火时间(min);
M——火灾下单位宽度组合楼板内的最大正弯矩设计值(N·mm);
f t ——常温下混凝土的抗拉强度设计值(N/mm 2 );
W——常温下素混凝土板的截面模量(mm 3 )。
2 组合楼板允许发生大挠度变形时,组合楼板的耐火验算可考虑组合楼板的薄膜效应。当火灾下组合楼板考虑薄膜效应时的承载力符合下式规定时,组合楼板可不进行防火保护;不符合下式规定时,应按本规程第11.3.3条的规定采取措施。

式中:q r ——火灾下组合楼板考虑薄膜效应时的承载力设计值(kN/m 2 ),应按国家现行标准的规定确定;
q——火灾下组合楼板的荷载设计值(kN/m 2 ),应按国家现行标准的规定确定。
条文说明
11.3.2 组合楼板中压型钢板、混凝土楼板之间的粘结,在楼板升温不高时即发生破坏,压型钢板在火灾下对楼板的承载力实际几乎不起作用。但忽略压型钢板的素混凝土板仍有一定的耐火能力。式(11.3.2-1)给出的耐火时间即为素混凝土板的耐火时间,此时楼板的挠度很小。 组合楼板在火灾下可产生很大的变形,“薄膜效应”是英国Cardington八层足尺钢结构火灾试验(1995年~1997年)的一个重要发现(图6),这一现象也出现于2001年5月我国台湾省东方科学园大楼的火灾事故中。楼板在大变形下产生的薄膜效应,使楼板在火灾下的承载力可比基于小挠度破坏准则的承载力高出许多。利用薄膜效应,发挥楼板的抗火性能潜能,有助于降低工程费用。 组合楼板在火灾下薄膜效应的大小与板块形状、板块的边界条件等有很大关系。如图7a所示支承于梁柱格栅上的钢筋混凝土楼板,在火灾下可能产生两种破坏模式:①梁的承载能力小于板的承载能力时,梁先于板发生破坏,梁内将首先形成塑性铰(图7b),随着荷载的增加,屈服线将贯穿整个楼板;在这种破坏模式下,楼板不会产生薄膜效应;②梁的承载力大于楼板的承载力时,楼板首先屈服,梁内不产生塑性铰,此时楼板的极限承载力将取决于单个板块的性能,其屈服形式如图7c所示;如楼板周边上的垂直支承变形一直很小,楼板在变形较大的情况下就会产生薄膜效应。因此,楼板产生薄膜效应的一个重要条件是:火灾下楼板周边有垂直支承且支承的变形一直很小。 
11.3.3 当组合楼板不满足耐火要求时,应对组合楼板进行防火保护,或者在组合楼板内增配足够的钢筋、将压型钢板改为只作模板使用。其中,组合楼板的防火保护应根据组合楼板耐火试验结果确定,耐火试验应按现行国家标准《建筑构件耐火试验方法 第1部分:通用要求》GB/T 9978.1、《建筑构件耐火试验方法 第3部分:试验方法和试验数据应用注释》GB/T 9978.3、《建筑构件耐火试验方法 第5部分:承重水平分隔构件的特殊要求》GB/T 9978.5的有关规定进行。
条文说明
11.3.3 由于楼板的面积很大,对压型钢板进行防火保护,工程量大、费用高、施工周期长。在有些情况下,将压型钢板设计为只作模板使用是更经济、可行的解决措施。 压型钢板进行防火保护时,常采用防火涂料。对于防火涂料保护的压型钢板组合楼板,目前尚没有简便的耐火验算方法,因此本条规定基于标准耐火试验结果确定防火保护。
附录A偏心率计算
附录A 偏心率计算
A.0.1 偏心率应按下列公式计算:

式中:ε x 、ε y ——分别为所计算楼层在x和y方向的偏心率;
e x 、e y ——分别为x和y方向水平作用合力线到结构刚心的距离;
r ex 、r ey ——分别为x和y方向的弹性半径;
∑K x 、∑K y ——分别为所计算楼层各抗侧力构件在x和y方向的侧向刚度之和;
K T ——所计算楼层的扭转刚度;
x、y——以刚心为原点的抗侧力构件坐标。
附录B钢板剪力墙设计计算
B.1一般规定
附录B 钢板剪力墙设计计算
B.1 一般规定
B.1.1 钢板剪力墙可采用非加劲钢板和加劲钢板两种形式,并符合下列规定:
1 非抗震设计及四级的高层民用建筑钢结构,采用钢板剪力墙时,可以不设加劲肋(图B.1.1-1);
2 三级及以上时,宜采用带竖向及(或)水平加劲肋的钢板剪力墙(图B.1.1-2),竖向加劲肋的设置,可采用竖向加劲肋不连续的构造和布置;
3 竖向加劲肋宜两面设置或两面交替设置,横向加劲肋宜单面或两面交替设置。

图B.1.1-1 非加劲钢板剪力墙

图B.1.1-2 加劲钢板剪力墙
条文说明
B.1.1 主要用于抗震的抗侧力构件不承担竖向荷载,在欧美日等国的抗震设计规范中是一个常见的要求,但是实际工程中具体的构造是很难做到这一点。因此在实践上对这个要求应进行灵活的理解:设置了钢板剪力墙开间的框架梁和柱,不能因为钢板剪力墙承担了竖向荷载而减小截面。这样,即使钢板剪力墙发生了屈曲,框架梁和柱也能够承担竖向荷载,从而限制钢板剪力墙屈曲变形的发展。 梁内加劲肋与剪力墙上加劲肋错开,可以减小或避免加劲肋承担竖向力,所以应采用这种构造和布置。
B.1.2 钢板剪力墙宜按不承受竖向荷载设计。实际情况不易实现时,承受竖向荷载的钢板剪力墙,其竖向应力导致抗剪承载力的下降不应大于20%。
B.1.3 钢板剪力墙的内力分析模型应符合下列规定:
1 不承担竖向荷载的钢板剪力墙,可采用剪切膜单元参与结构的整体内力分析;
2 参与承担竖向荷载的钢板剪力墙,应采用正交异性板的平面应力单元参与结构整体的内力分析。
条文说明
B.1.3 剪切膜单元刚度矩阵,参考《钢结构设计方法》(童根树,中国建筑工业出版社,2007年11月)或有关有限元分析方面的专门书籍。 加劲肋采取不承担竖向荷载的构造,使得地震作用下,加劲肋可以起到类似防屈曲支撑的外套管那样的作用,有利于提高钢板剪力墙的抗震性能(延性和耗能能力)。
B.2非加劲钢板剪力墙计算
B.2 非加劲钢板剪力墙计算
B.2.1 不承受竖向荷载的非加劲钢板剪力墙,不利用其屈曲后抗剪强度时,应按下列公式计算其抗剪稳定性:

式中:f v ——钢材抗剪强度设计值(N/mm 2 );
v——泊松比,可取0.3;
E——钢材弹性模量(N/mm 2 );
a s 、h s ——分别为剪力墙的宽度和高度(mm);
t——钢板剪力墙的厚度(mm)。
条文说明
B.2.1 本条提出的钢板剪力墙弹塑性屈曲的稳定系数,是早期EC3(1994年版本)分段公式的简化和修正,对比如图8所示。 按照不承担竖向荷载设计的钢板剪力墙,无需考虑竖向荷载在钢板剪力墙内实际产生的应力,因为钢板剪力墙一旦变形,共同的作用使得钢梁能够马上分担竖向荷载,并传递到两边柱子,变形不会发展。
B.2.2 不承受竖向荷载的非加劲钢板剪力墙,允许利用其屈曲后强度,但在荷载标准值组合作用下,其剪应力应满足本规程第B.2.1 的要求,且符合下列规定:
1 考虑屈曲后强度的钢板剪力墙的平均剪应力应满足下列公式要求:

2 按考虑屈曲后强度的设计,其横梁的强度计算中应考虑压力,压力的大小按下式计算:

式中:a s ——钢板剪力墙的宽度(mm);
t——钢板剪力墙的厚度(mm)。
3 横梁尚应考虑拉力场的均布竖向分力产生的弯矩,与竖向荷载产生的弯矩叠加。拉力场的均布竖向分力按下式计算:

4 剪力墙的边框柱,尚应考虑拉力场的水平均布分力产生的弯矩,与其余内力叠加。
5 利用钢板剪力墙屈曲后强度的设计,可设置少量竖向加劲肋组成接近方形的区格,其竖向强度、刚度应分别满足下列公式的要求:

式中:a x ——竖向加劲肋之间的水平距离(mm),在闭口截面加劲肋的情况下是区格净宽;
D——剪力墙板的抗弯刚度(N·mm)。
条文说明
B.2.2 考虑屈曲后的抗剪强度计算公式,参照《冷弯薄壁型钢结构技术规范》GB 50018-2003和EC3的简化公式,但是进行了连续化,由分段表示改为连续表示。对比如图9所示。 
B.2.3 竖向重力荷载产生的压应力应满足下列公式的要求:


式中:X——嵌固系数,取1.23。
B.2.4 钢板剪力墙承受弯矩的作用,弯曲应力应满足下列公式要求:

B.2.5 承受竖向荷载的钢板剪力墙或区格,应力组合应满足下式要求:

B.2.6 未加劲的钢板剪力墙,当有洞口时应符合下列规定:
1 洞口边缘应设置边缘构件,其平面外的刚度应满足下式的要求:

2 钢板剪力墙的抗剪承载力,应按洞口高度处的水平剩余截面计算;
3 当钢板剪力墙考虑屈曲后强度时,竖向边缘构件宜采用工字形截面或双加劲肋,尚应按压弯构件验算边缘构件的平面内、平面外稳定。其压力等于剪力扣除屈曲承载力;弯矩等于拉力场水平分力按均布荷载作用在两端固定的洞口边缘加劲肋上。
B.2.7 按不承受竖向重力荷载进行内力分析的钢板剪力墙,不考虑实际存在的竖向应力对抗剪承载力的影响,但应限制实际可能存在的竖向应力。竖向应力σ G 应满足本规程第8.2.3条的要求,σ G 应按下式计算:

式中:∑N i ,∑A i ——分别为重力荷载在剪力墙边框柱中产生的轴力(N)和边框柱截面面积(mm 2 )的和,当边框是钢管混凝土柱时,混凝土应换算成钢截面面积;
A s ——剪力墙截面面积(mm 2 )。
B.3仅设置竖向加劲肋的钢板剪力墙计算
B.3 仅设置竖向加劲肋的钢板剪力墙计算
B.3.1 按本节和第B.4节规定设计的加劲钢板剪力墙,一般不利用其屈曲后强度。竖向加劲肋宜在构造上采取不承受竖向荷载的措施。
条文说明
B.3.1 竖向加劲肋中断是措施之一。
B.3.2 仅设置竖向加劲肋的钢板剪力墙,其弹性剪切屈曲临界应力应按下列公式计算:


式中:X——闭口加劲肋时取1.23,开口加劲肋时取1.0。
J sy 、I sy ——分别为竖向加劲肋自由扭转常数和惯性矩(mm 4 );
a x ——在闭口加劲肋的情况下取区格净宽(mm);
n v ——竖向加劲肋的道数。
B.3.3 仅设置竖向加劲肋的钢板剪力墙,竖向受压弹性屈曲应力应按下列公式计算:

B.3.4 仅设置竖向加劲肋的钢板剪力墙,其竖向抗弯弹性屈曲应力应按下列公式计算:

B.3.5 加劲钢板剪力墙,在剪应力、压应力和弯曲应力作用下的弹塑性承载力的计算应符合下列规定:
1 应由受剪、受压和受弯各自的弹性临界应力,分别按本规程第B.2.1条、第B.2.3条和第B.2.4条计算稳定性;
2 在受剪、受压和受弯组合内力作用下的稳定承载力应按本规程第B.2.5条计算;
3 当竖向重力荷载产生的应力设计值,不符合本规程第B.2.7条的规定时,应采取措施减少竖向荷载传递给剪力墙。
B.4仅设置水平加劲肋的钢板剪力墙计算
B.4 仅设置水平加劲肋的钢板剪力墙计算
B.4.1 仅设置水平加劲肋的钢板剪力墙的受剪计算,应符合下列规定:


式中:J sx 、I sx ——分别为水平加劲肋自由扭转常数和惯性矩(mm 4 );
a y ——在闭口加劲肋的情况下取区格净高(mm);
n h ——水平加劲肋的道数。

B.4.2 仅设置水平加劲肋的钢板剪力墙竖向受压计算,应符合下列规定:

B.4.3 仅设置水平加劲肋的钢板剪力墙的受弯计算,应符合下列规定:

B.4.4 水平加劲钢板剪力墙,在剪应力、压应力和弯曲应力作用下的弹塑性承载力的验算,应符合下列规定:
1 应由受剪、受压和受弯各自的弹性临界应力,分别按本规程第B.2.1条、第B.2.3条和第B.2.4条计算各自的稳定性;
2 在受剪、受压和受弯组合内力作用下的稳定承载力应按本规程第B.2.5条计算;
3 当竖向重力荷载产生的应力设计值,不符合本规程第B.2.7条的规定时,应采取措施减小竖向荷载传递给剪力墙。
B.5设置水平和竖向加劲肋的钢板剪力墙计算
B.5 设置水平和竖向加劲肋的钢板剪力墙计算
B.5.1 同时设置水平和竖向加劲肋的钢板剪力墙,不宜采用考虑屈曲后强度的计算;加劲肋一侧的计算宽度取钢板剪力墙厚度的15倍(图B.5.1)。加劲肋划分的剪力墙板区格的宽高比宜接近1;剪力墙板区格的宽厚比应满足下列公式的要求:


图B.5.1 单面加劲时计算加劲肋惯性矩的截面
B.5.2 当加劲肋的刚度参数满足下列公式时,可只验算区格的稳定性。

条文说明
B.5.2
经过分析表明,在设置了水平加劲肋的情况下,只要γ x =γ y ≥22η,就不会发生整体的屈曲,考虑一部分缺陷影响,这里放大1.5倍。竖向加劲肋,虽然不要求它承担竖向应力,但是无论采用何种构造,它都会承担荷载,其抗弯刚度就要折减,因此对竖向加劲肋的刚度要求增加20%。
B.5.3 当加劲肋的刚度不符合本规程第B.5.2条的规定时,加劲钢板剪力墙的剪切临界应力应满足下列公式的要求:

式中:τ crp ——小区格的剪切屈曲临界应力(N/mm 2 );
τ cr0 ——未加劲板的剪切屈曲临界应力(N/mm 2 )。
条文说明
B.5.3 剪切应力作用下,竖向和水平加劲肋是不受力的,加劲肋的刚度完全被用来对钢板提供支撑,使其剪切屈曲应力得到提高,此时按照支撑的概念来对设置加劲肋以后的临界剪应力提出计算公式。有限元分析表明:如果按照98规程的规定,即式(11)来计算: 
即使这个公式本身,按照正交异性板剪切失稳的理论分析来判断,已经非常的保守,但与有限元分析得到的剪切临界应力计算结果相比也是偏大的,属不安全的。因此在剪切临界应力的计算上,在加劲肋充分加劲的情况下,应放弃正交异性板的理论。 在竖向应力作用下,加劲钢板剪力墙的屈曲则完全不同,此时竖向加劲肋参与承受竖向荷载,并且还可能是钢板对加劲肋提供支援。
B.5.4 当加劲肋的刚度不符合本规程第B.5.2条的规定时,加劲钢板剪力墙的竖向临界应力应按下列公式计算:


B.5.5 设置水平和竖向加劲肋的钢板剪力墙,其竖向抗弯弹性屈曲应力应按下列公式计算:

B.5.6 双向加劲钢板剪力墙,在剪应力、压应力和弯曲应力作用下的弹塑性稳定承载力的验算,应符合下列规定:
1 应由受剪、受压和受弯各自的弹性临界应力,分别按本规程第B.2.1条、第B.2.3条和第B.2.4条计算各自的稳定性;
2 在受剪、受压和受弯组合内力作用下的稳定承载力应按本规程第B.2.5条计算;
3 竖向重力荷载作用产生的应力设计值,不宜大于竖向弹塑性稳定承载力设计值的0.3倍。
B.5.7 加劲的钢板剪力墙,当有门窗洞口时,应符合下列规定:
1 计算钢板剪力墙的抗剪承载力时,不计算洞口以外部分的水平投影面积;
2 钢板剪力墙上开设门洞时,门洞口边加劲肋的刚度,应满足本规程第B.2.6条的要求,加强了的竖向边缘加劲肋应延伸至整个楼层高度,门洞上边的边缘加劲肋宜延伸600mm以上。
B.6弹塑性分析模型
B.6 弹塑性分析模型
B.6.1 允许利用屈曲后强度的钢板剪力墙,参与整体结构的静力弹塑性分析时,宜采用下列平均剪应力与平均剪应变关系曲线(图B.6.1)。
B.6.2 允许利用屈曲后强度的钢板剪力墙,平均剪应变应按下列公式计算:

式中:φ′ s 、φ′ sp ——分别为扣除竖向重力荷载影响的剩余剪切屈曲强度和屈曲后强度的稳定系数。
条文说明
B.6.2 钢板剪力墙屈曲后的剪切刚度,从屈曲瞬时的约0.7G逐渐下降,可以减小到(0.6~0.4)G,这里取一个中间值。
B.6.3 设置加劲肋的钢板剪力墙,不利用其屈曲后强度,参与静力弹塑性分析时,应采用下列平均剪应力与平均剪应变关系曲线(图B.6.3)。

B.6.4 弹塑性动力分析时,应采用合适的滞回曲线模型。在设置加劲肋的情况下,可采用双线性弹塑性模型,第二阶段的剪切刚度取为初始刚度的0.01~0.03,但最大强度应取为φ′ s f v 。
条文说明
B.6.4 非加劲的钢板剪力墙,不推荐应用在设防烈度较高(例如7度(0.15g)及以上)的地震区;滞回曲线形状随高厚比变化,标准作出规定将非常复杂。而对于设置加劲肋的钢板剪力墙,其设计思路已经发生变化,例如,此时屈曲后的退化就不是很严重,因此,作为近似可以采用理想弹塑性模型。但是考虑到实际工程的千变万化,设计人员仍要注意设置加劲肋以后的滞回曲线的形状与理想的双线性曲线之间的差别。
B.7焊接要求
B.7 焊接要求
B.7.1 钢柱上应焊接鱼尾板作为钢板剪力墙的安装临时固定,鱼尾板与钢柱应采用熔透焊缝焊接,鱼尾板与钢板剪力墙的安装宜采用水平槽孔,钢板剪力墙与柱子的焊接应采用与钢板等强的对接焊缝,对接焊缝质量等级三级;鱼尾板尾部与钢板剪力墙宜采用角焊缝现场焊接(图B.7.1)。

图B.7.1 焊接要求
a-钢梁;b-钢柱;c-水平加劲肋;d-贯通式水平加劲肋;
e-水平加劲肋兼梁的下翼缘;f-竖向加劲肋;g-贯通式水平
加劲肋兼梁的上翼缘;h-梁内加劲肋,与剪力墙上的加劲肋错开,
可尽量减少加劲肋承担的竖向应力;i-钢板剪力墙;k-工厂熔透焊缝
B.7.2 当设置水平加劲肋时,可以采用横向加劲肋贯通,钢板剪力墙水平切断的形式,此时钢板剪力墙与水平加劲肋的焊缝,采用熔透焊缝,焊缝质量等级二级,现场应采用自动或半自动气体保护焊,单面熔透焊缝的垫板应采用熔透焊缝焊接在贯通加劲肋上,垫板上部与钢板剪力墙角焊缝焊接。钢板厚度大于等于22mm时宜采用K形熔透焊。
B.7.3 钢板剪力墙跨的钢梁腹板,其厚度不应小于钢板剪力墙厚度。其翼缘可采用加劲肋代替,但此处加劲肋的截面,不应小于所需要钢梁的翼缘截面。加劲肋与钢柱的焊缝质量等级按梁柱节点的焊缝要求执行。
B.7.4 加劲肋与钢板剪力墙的焊缝,水平加劲肋与柱子的焊缝,水平加劲肋与竖向加劲肋的焊缝,根据加劲肋的厚度可选择双面角焊缝或坡口全熔透焊缝,达到与加劲肋等强,熔透焊缝质量等级为三级。
附录C无粘结内藏钢板支撑墙板的设计
C.1一般规定
附录C 无粘结内藏钢板支撑墙板的设计
C.1 一般规定
C.1.1 内藏钢板支撑的形式宜采用人字支撑、V形支撑或单斜杆支撑,且应设置成中心支撑。若采用单斜杆支撑,应在相应柱间成对对称布置。
C.1.2 内藏钢板支撑的净截面面积,应根据无粘结内藏钢板支撑墙板所承受的楼层剪力按强度条件选择,不考虑屈曲。
C.1.3 无粘结内藏钢板支撑墙板制作中,应对内藏钢板表面的无粘结材料的性能和敷设工艺进行专门的验证。无粘结材料应沿支撑轴向均匀地设置在支撑钢板与墙板孔壁之间。
C.1.4 钢板支撑的材料性能应符合下列规定:
1 钢材拉伸应有明显屈服台阶,且钢材屈服强度的波动范围不应大于100N/mm 2 ;
2 屈强比不应大于0.8,断后伸长率A不应小于20%;
3 应具有良好的可焊性。
C.2构造要求
C.2 构造要求
C.2.1 混凝土墙板厚度T c 应满足下列公式要求。支撑承载力调整系数可按表C.2.1采用。


式中:A——支撑钢板屈服段的横截面面积(mm 2 );
f y ——支撑钢材屈服强度实测值(N/mm 2 );
X——循环荷载下的墙板加厚系数,可结合滞回试验确定,无试验时可取1.2;
a 0 ——钢板支撑中部面外初始弯曲矢高与间隙之和(mm);
b——钢板支撑屈服段的宽度(mm);
f t ——墙板混凝土的轴心抗拉强度设计值(N/mm 2 );
N E ——宽度为5b的混凝土墙板的欧拉临界力(N),按两端铰支计算;
E c ——墙板混凝土弹性模量(N/mm 2 );
L——钢板支撑长度(mm);
t——钢板支撑屈服段的厚度(mm);
N max ——钢板支撑的最大轴向承载力(N);
β——支撑与墙板摩擦作用的受压承载力调整系数;
w——应变硬化调整系数;
η——钢板支撑钢材的超强系数,定义为屈服强度实测值与名义值之比,当f y 采用实测值时取η=1.0。
表C.2.1 支撑承载力调整系数

注:一般采用的钢材要求100N/mm 2 ≤f y ≤345N/mm 2 。
条文说明
C.2.1 公式(C.2.1-1)是在α=45°、L=4.3m的单斜无粘结支撑墙板轴心受压的基础上得出的,故暂且建议实际工程应用中,α应取45°左右,且L≤4.3m,方可用此公式确定墙板厚度。当L≥4.3m,且α<40°或α>50°时,应通过试验和分析确定墙板的厚度。 应用公式(C.2.1-2)~式(C.2.1-4)时,不受支撑倾角和长度限制。但结合所作的试验研究,支撑屈服后承载力进一步增大是客观事实,且考虑间隙对整体压弯作用的增大,对相关文献的公式进行了修正。 表7中三个系数的取值,建议通过试验确定。对于Q235钢材,表中系数是结合所作试验与相关文献确定的,为偏于安全,三个系数取值偏大。如表7所示,它们各有一定的取值范围。建议在工程设计中,根据具体情况由试验确定。当由试验确定时,w=+Nu/Nyc,+Nu为实测的支撑在最大设计层间位移角时的轴向受拉承载力,Nyc为支撑的实测屈服轴力,Nyc=ηAfy,当fy采用实测值时η=1.0;β=|—Nu|÷(+N),—Nu为实测的支撑在最大设计层间位移角时的轴向受压承载力。
表 7 
利用公式(C.2.1-2)确定墙板厚度时,需要试算。即事先假定墙板厚度(因为公式右侧NE的计算中需要先给Tc一个预设值),然后计算公式右侧,如果假定厚度满足该公式,则假定成立(如假定的墙板厚度超出公式右侧计算值较多,可以减小假定厚度,重新验算);如果假定厚度不满足该公式(表明假定厚度偏小),重新增大假定厚度,并验算,直至所假定的厚度满足该公式。式(C.2.1-3)、式(C.2.1-4)为构造要求。
C.2.2 支撑钢板与墙板间应留置适宜间隙(图C.2.2),为实现适宜间隙量值,板厚和板宽方向每侧无粘结材料的厚度宜满足下列公式要求:


图C.2.2 钢板支撑与墙板孔道间的适宜间隙
1-墙板;2-屈服段;3-墙板孔壁;4-钢板支撑;5-弹性段
条文说明
C.2.2 为隔离支撑与墙板间的黏着力,避免钢板受压时横向变形胀裂墙板,需要在钢板与墙板孔壁间为敷设无粘结材料留置间隙。
C.2.3 钢板支撑宜采用较厚实的截面,支撑的宽厚比宜满足下式的要求。钢板支撑两端应设置加劲肋。钢板支撑的厚度不应小于12mm。

C.2.4 墙板的混凝土强度等级不应小于C20。混凝土墙板内应设双层钢筋网,每层单向最小配筋率不应小于0.2%,且钢筋直径不应小于6mm,间距不应大于150mm。沿支撑周围间距应加密至75mm,加密筋每层单向最小配筋率不应小于0.2%。双层钢筋网之间应适当设置连系钢筋,在支撑钢板周围应加强双层钢筋网之间的拉结,钢筋网的保护层厚度不应小于15mm。应在支撑上部加劲肋端部粘贴松软的泡沫橡胶作为缓冲材料(图C.2.4)。

图C.2.4 墙板内钢筋布置
C.2.5 在支撑两端的混凝土墙板边缘应设置锚板或角钢等加强件,且应在该处墙板内设置箍筋或加密筋等加强构造(图C.2.5)。

图C.2.5 墙板端邵的加强构造
1-钢板支撑;2-拉结筋;3-加密的拉结筋;4-纵横向双层钢筋;
5-锚筋;6-箍筋;7-角钢;8-加密的纵横向钢筋;9-锚板
C.2.6 当平卧浇捣混凝土墙板时,应避免钢板自重引起支撑的初始弯曲。应使支撑的初始弯曲矢高小于L/1000,L为支撑的长度。
C.2.7 支撑钢板应进行刨边加工,应力求沿轴向截面均匀,其两端的加劲肋宜用角焊缝沿侧边均匀施焊,避免偏心和应力集中。
C.2.8 无粘结内藏钢板支撑墙板应仅在节点处与框架结构相连,墙板的四周均应与框架间留有间隙。在无粘结内藏钢板支撑墙板安装完毕后,墙板四周与框架之间的间隙,宜用隔音的弹性绝缘材料填充,并用轻型金属架及耐火板材覆盖。
墙板与框架间的间隙量应综合无粘结内藏钢板支撑墙板的连接构造和施工等因素确定。最小的间隙应满足层间位移角达1/50时,墙板与框架在平面内不发生碰撞。
C.3强度和刚度计算
C.3 强度和刚度计算
C.3.1 多遇地震作用下,无粘结内藏钢板支撑承担的楼层剪力V应满足下式的要求:

式中:n——支撑斜杆数,单斜杆支撑n=1,人字支撑和V形支撑n=2;
α——支撑杆相对水平面的倾角;
A p ——支撑杆屈服段的横截面面积(mm 2 );
f y ——支撑钢材的屈服强度(N/mm 2 )。
条文说明
C.3.1 给出支撑设计承载力V与抗侧屈服承载力的比值范围,是为了使支撑在多遇地震作用下处于弹性,而在罕遇地震作用下能先于框架梁和柱子屈服而耗能。
C.3.2 钢板在屈服前后,不考虑失稳的整个钢板支撑的抗侧刚度应按下列公式计算:

式中:△ y ——支撑的侧向屈服位移(mm);
A e ——支撑两端弹性段截面面积(mm 2 );
A p ——中间屈服段截面面积(mm 2 );
l p ——支撑屈服段长度(mm);
l e ——支撑弹性段的总长度(mm);
E——钢材的弹性模量(N/mm 2 );
E t ——屈服段的切线模量(N/mm 2 )。
C.3.3 无粘结内藏钢板支撑墙板可简化为与其抗侧能力等效的等截面支撑杆件(图C.3.3)。其等效支撑杆件的截面面积A eq ,等效支撑杆件的屈服强度f yeq ,等效支撑杆件的切线模量E teq ,可按下列公式计算:


图C.3.3 无粘结内藏钢板支撑墙板的简化模型
1-屈服段;2-弹性段
C.3.4 单斜和人字形无粘结内藏钢板支撑墙板计算分析时,可采用下列两种滞回模型(图C.3.4)。对于单斜钢板支撑,当拉、压两侧的承载力和刚度相差较小时,也可以采用拉、压两侧一致的滞回模型。

图C.3.4 无粘结内藏钢板支撑墙板的滞回模型
条文说明
C.3.4
对于单斜钢板支撑,因泊松效应和支撑受压后与墙板孔壁产生摩擦等因素,使相同侧移时,支撑的受压承载力高于受拉承载力。在多遇地震作用下,结构设计中需要考虑支撑拉压作用下受力差异对结构受力的不利作用时,可偏于安全取:|—P y |=1.1×|+P y |。
C.3.5 可应用性能化设计等方法,结合支撑屈服后超强等因素,对与支撑相连的框架梁和柱的承载力进行设计。
条文说明
C.3.5 这是为实现预估的罕遇地震作用下,钢支撑框架结构主要利用无粘结内藏钢板支撑墙板耗能和尽量保持框架梁和柱处于弹性的抗震设计目的。
C.3.6 当内藏钢板支撑为人字形和V字形时,在本规程第C.3.2条的基础上,被撑梁的设计不应考虑支撑的竖向支点作用。
条文说明
C.3.6 抗震分析表明,罕遇地震作用下,因支撑大幅累积塑性变形,导致其对被撑梁竖向支点作用几乎消失。
C.4墙板与框架的连接
C.4 墙板与框架的连接
C.4.1 内藏钢板支撑连接节点的极限承载力,应结合支撑的屈服后超强等因素进行验算,以避免在地震作用下连接节点先于支撑杆件破坏。连接的极限轴力N c 应按下列公式计算确定:

式中:N yc ——钢板支撑的屈服承载力。
C.4.2 钢板支撑的上、下节点与钢梁翼缘可采用角焊缝连接(图C.4.2-1),也可采用带端板的高强度螺栓连接(图C.4.2-2)。最终的固定,应在楼面自重到位后进行,以防支撑承受过大的竖向荷载。

图C.4.2-1 无粘结内藏钢板支撑墙板与框架的连接
1-无粘结内藏钢板支撑;2-混凝土墙板;3-泡沫橡胶等松软材料;
4-钢梁;5-钢柱;6-拉结筋;7-松软材料;8-钢板支撑;9-无粘结材料

图C.4.2-2 带端板的高强度螺栓连接方式示意
1-无粘结内藏钢板支撑;2-混凝土墙板;3-泡沫橡胶等松软材料;4-钢梁;5-钢柱;6-高强螺栓;7-端板
附录D钢框架 内嵌竖缝混凝土剪力墙板
D.1设计原则与几何尺寸
附录D 钢框架-内嵌竖缝混凝土剪力墙板
D.1 设计原则与几何尺寸
D.1.1 带竖缝混凝土剪力墙板应按承受水平荷载,不应承受竖向荷载的原则进行设计。
条文说明
D.1.1 使用阶段竖缝剪力墙板会承受一定的竖向荷载,本条规定不应承受竖向荷载是指:
1 横梁应该按照承受全部的竖向荷载设计,不能因为竖缝剪力墙承受竖向荷载而减小梁的截面;
2 两侧的立柱要按照承受其从属面积内全部的竖向荷载设计,为在预估的罕遇地震作用下竖缝剪力墙板开裂、竖向承载能力下降而发生的“竖向荷载重新卸载给两侧的柱子”做好准备,以保证整体结构的“大震不到”;
3 为达成以上目的,竖缝剪力墙的内力分析模型应按不承担竖向荷载的剪切膜单元进行分析。
D.1.2 带竖缝混凝土剪力墙板的几何尺寸,可按下列要求确定(图D.1.2):
1 墙板总尺寸l、h应按建筑和结构设计要求确定。
2 竖缝的数目及其尺寸,应按下列公式要求:

式中:h 0 ——每层混凝土剪力墙部分的高度(m);
h 1 ——竖缝的高度(m);
h sol ——实体墙部分的高度(m);
l 1 ——竖缝墙墙肢的宽度(m),包括缝宽。
3 墙板厚度t应满足下列公式的要求:

式中:k s ——竖向约束力对实体墙斜截面抗剪承载力影响系数;
η v ——剪力设计值调整系数,可取1.2;
f c ——混凝土抗压强度设计值(N/mm 2 );
λ s ——剪应力不均匀修正系数;
n l ——墙肢的数量;
V 1 ——单肢竖缝墙的剪力设计值(N);
l 10 ——单肢缝间墙的净宽,l 10 =l 1 —缝宽,缝宽一般取为10mm;
a 1 ——墙肢内受拉钢筋合力点到竖缝墙混凝土边缘的距离(mm)。
4 内嵌竖缝墙板的框架,梁柱节点应上下扩大加强。

图D.1.2 带竖缝剪力墙板结构的外形图
条文说明
D.1.2 本条前三款与98规程一致,第4款是新增要求,其目的:一是增强梁柱节点竖向抗剪能力;二是增强框架梁上下翼缘与竖缝墙板之间的传力,避免竖缝板与钢梁连接面成为薄弱环节。
D.1.3 墙板的混凝土强度等级不应低于C20,也不应高于C35。
D.2计算模型
D.2 计算模型
D.2.1 带竖缝剪力墙采用等效剪切膜单元参与整体结构的内力分析时,等效剪切膜的厚度应按下式确定:

式中:l 0 ——竖缝墙的总宽度(mm),l 0 = 
;
E c ——混凝土的弹性模量(N/mm 2 );
E s ——钢材的弹性模量(N/mm 2 );
l 1i ——第i个墙肢的宽度(mm),包括缝宽;
l 1i0 ——第i个墙肢的净宽(mm),l 1i0 =l 1i —缝宽;
h——层高(mm);
l n ——钢梁净跨度(mm);
t w ——钢梁腹板的厚度(mm);
t——墙板的厚度(mm)。
条文说明
D.2.1 混凝土实体墙和缝间墙的刚度计算采用现行国家标准《混凝土结构设计规范》GB 50010的有关规定,同时考虑混凝土的开裂因素,对弹性模量乘以0.7系数。竖缝墙刚度等效必须考虑如下变形分量: 
按照这个等效的刚度,换算出等效剪切膜的厚度。
在有限元的实现上,等效剪切板作为一个单元,四个角点(图10)的位移记为ui、vi(i=1,2,3,4),从这些位移中计算出剪切板的剪应变。整个剪力墙区块的变形包括剪切变形、弯曲变形和伸缩变形,变形示意图分别见图11,由于弯曲变形和伸缩变形中节点域两对角线的长度保持相等,两对角线长度差仅由剪切变形引起,因此可以通过两对角线变形后的长度差 来计算等效剪切板的剪切角。记剪切变形为γ,Ld为变形前剪力墙对角线的长度,L′1和L′2为变形后剪力墙两对角线的长度,h和l分别为剪力墙的层高和跨度(梁形心到梁形心,柱形心到柱形心),变形后对角线的长度差为:



剪切膜的单元刚度矩阵必须与其他单元一起使用。
D.2.2 钢梁梁端截面腹板和上、下加强板共同抵抗梁端剪力。梁端剪力应按下式计算:

式中:V——竖缝墙板承担的总剪力(kN);
V b,FEM ——框架梁内力计算输出的剪力(kN)。
条文说明
D.2.2 内嵌竖缝墙的钢框架梁的梁端小段长度范围内存在很大的剪力,剪切膜模型无法掌握,必须按照式(D.2.2)计算,确保梁端的抗剪强度得到满足。
D.3墙板承载力计算
D.3 墙板承载力计算
D.3.1 墙板的承载力,宜以一个缝间墙及在相应范围内的实体墙作为计算对象。
D.3.2 缝间墙两侧的纵向钢筋,应按对称配筋大偏心受压构件计算确定,且应符合下列规定:
1 缝根截面内力应按下列公式计算:


2 ρ 1 宜为0.075~0.185,且实配钢筋面积不应超过计算所需面积的5%。
条文说明
D.3.2 若超出此范围过多,则应重新调整缝间墙肢数nl、缝间墙尺寸l1、h1以及a1(受力纵筋合力点至缝间墙边缘的距离)、fc和fy的值,使ρ1尽可能控制在上述范围内。
D.3.3 缝间墙斜截面受剪承载力应满足下列公式要求:

式中:λ——偏心受压构件计算截面的剪跨比,λ=h 1 /l 10 ;
s——沿竖缝墙高度方向的箍筋间距(mm);
A sv ——配置在同一截面箍筋的全部截面面积(mm 2 );
f yv ——箍筋的抗拉强度设计值(N/mm 2 );
f t ——混凝土抗拉强度设计值(N/mm 2 )。
D.3.4 缝间墙弯曲破坏时的最大抗剪承载力V b 应满足下列公式要求:

式中:x——缝根截面的缝间墙混凝土受压区高度(mm);
A s ——缝间墙所配纵向受拉钢筋截面面积(mm 2 );
f——纵向受拉钢筋抗拉强度设计值(N/mm 2 )。
D.3.5 竖缝墙的配筋及其构造应满足下式要求:

条文说明
D.3.5 这是为了确保竖缝墙墙肢发生延性较好的压弯破坏。
D.4墙板骨架曲线
D.4 墙板骨架曲线
D.4.1 缝间墙板纵筋屈服时的总受剪承载力V y1 和墙板的总体侧移u y ,应按下列公式计算:

式中:μ——系数,按表D.4.1采用。
A s ——缝间墙所配纵筋截面面积(mm 2 );
K y ——缝间墙纵筋屈服时墙板的总体抗侧力刚度(N/mm);
ξ——考虑剪切变形影响的刚度修正系数;
f ak ——水平横向钢筋的强度标准值(N/mm 2 );
B 1 ——缝间墙抗弯刚度(N·mm 2 );
ρ——缝间墙的受拉钢筋的配筋率。
表D.4.1 μ系数值

D.4.2 缝间墙弯曲破坏时的最大抗剪承载力V u1 和墙板的总体最大侧移u u ,可按下列公式计算:

式中:K u ——缝间墙达到压弯最大力时的总体抗侧移刚度(N/mm);
x——缝根截面的缝间墙混凝土受压区高度(mm);
f ck ——混凝土抗压强度标准值(N/mm 2 )。
D.4.3 墙板的极限侧移可按下式确定:

D.4.4 进行墙板的弹塑性分析时,可采用下列墙板骨架曲线(图D.4.4)。

图D.4.4 墙板的骨架曲线
D.5强度和稳定性验算
D.5 强度和稳定性验算
D.5.1 梁柱连接和梁腹板的抗剪强度应满足下列公式要求:

式中:h w 、t w ——分别为钢梁腹板的高度和厚度(mm);
f v ——梁腹板或加强板钢材的抗剪强度设计值(N/mm 2 );
β——增强系数,梁柱连接的抗剪强度计算时取1.2,梁腹板抗剪强度计算时取1.0;
V u1 ——单肢剪力墙弯曲破坏时最大抗剪承载力(N);
h v1 、h v2 ——用于加强梁端截面抗剪强度的角部抗剪加强板的高度(mm)(图D.5.1);
t v ——角部加强板的厚度(mm)。
ΣN s v ——角部加强板预埋在混凝土墙里面的栓钉提供的抗剪能力(N)。

图D.5.1 梁柱节点角部抗剪加强板
条文说明
D.5.1 角部加强板起三个非常重要的作用:
1 为竖缝墙的安装提供快速固定,使墙板准确就位;
2 帮助框架梁抵抗式(D.2.2)的梁端剪力;
3 加强梁下翼缘与竖缝墙连接面的水平抗剪强度,避免出现抗剪薄弱环节。
D.5.2 框架梁腹板稳定性计算应符合下列规定:
1 梁腹板受竖缝墙膨胀力作用下的稳定计算应满足下式要求:

式中:N 1 ——缝间墙宽度l 1 传给钢梁腹板的竖向力(N);
φ——稳定系数,按现行国家标准《钢结构设计规范》GB 50017的柱子稳定系数b曲线计算;
w b ——承受竖向力N 1 的腹板宽度(mm),对蜂窝梁取墩腰处的最小截面,对实腹梁取l 1 ;
t w ——钢梁腹板的厚度(mm);
f——钢梁腹板钢材的抗压强度设计值(N/mm 2 )。
2 采用蜂窝梁时,长细比应按下式计算:

3 采用实腹梁时,长细比应按下式计算:

4 当不满足稳定要求时,应设置横向加劲肋,每片缝间墙对应的位置至少设置1道加劲肋。
D.5.3 钢梁与墙板采用栓钉的数量n s 、梁柱节点下部抗剪加强板截面应满足下式要求:

式中:n s ——钢梁与墙板间采用的栓钉数量;
N s v ——1个栓钉的抗剪承载力设计值(N);
b v ——梁柱节点下部加强板的宽度(mm);
t v ——梁柱节点下部加强板的厚度(mm);
f v ——加强板钢材的抗剪强度设计值(N/mm 2 )。
D.6构造要求
D.6 构造要求
D.6.1 钢框架-内嵌竖缝混凝土剪力墙板的构造应符合下列规定:
1 墙肢中水平横向钢筋应满足下列公式要求:

式中:s——横向钢筋间距(mm);
A sh ——同一高度处横向钢筋总截面积(mm 2 );
f sk ——水平横向钢筋的强度标准值(N/mm 2 );
V y1 、V u1 ——缝间墙纵筋屈服时的抗剪承载力(N)和缝间墙压弯破坏时的抗剪承载力(N),按本规程第D.4.1条、第D.4.2条计算;
ρ sh ——墙板水平横向钢筋配筋率,其值不宜小于0.3%。
2 缝两端的实体墙中应配置横向主筋,其数量不低于缝间墙一侧的纵向钢筋用量。
3 形成竖缝的填充材料宜用延性好、易滑移的耐火材料(如二片石棉板)。
4 高强度螺栓和栓钉的布置应符合现行国家标准《钢结构设计规范》GB 50017的有关规定。
5 框架梁的下翼缘宜与竖缝墙整浇成一体。吊装就位后,在建筑物的结构部分完成总高度的70%(含楼板),再与腹板和上翼缘组成的T形截面梁现场焊接,组成工字形截面梁。
6 当竖缝墙很宽,影响运输或吊装时,可设置竖向拼接缝。拼接缝两侧采用预埋钢板,钢板厚度不小于16mm,通过现场焊接连成整体(图D.6.1)。

图D.6.1 设置竖向拼缝的构造要求
1-缝宽等于2个预埋板厚;2-绕角焊缝50mm长度
条文说明
D.6.1 这是为了让竖缝墙尽量少地承受竖向荷载。形成竖缝的填充材料可采用石棉板等。
附录E屈曲约束支撑的设计
E.1一般规定
附录E 屈曲约束支撑的设计
E.1 一般规定
E.1.1 屈曲约束支撑的设计应符合下列规定:
1 屈曲约束支撑宜设计为轴心受力构件;
2 耗能型屈曲约束支撑在多遇地震作用下应保持弹性,在设防地震和罕遇地震作用下应进入屈服;承载型屈曲约束支撑在设防地震作用下应保持弹性,在罕遇地震作用下可进入屈服,但不能用作结构体系的主要耗能构件;
3 在罕遇地震作用下,耗能型屈曲约束支撑的连接部分应保持弹性。
条文说明
E.1.1 由于屈曲约束支撑在偏心受力状态下,可能在过渡段预留的空隙处发生弯曲,导致整个支撑破坏,所以屈曲约束支撑应用于结构中宜设计成轴心受力构件,并且要保证在施工过程中不产生过大的误差导致屈曲约束支撑成为偏心受力构件。 耗能型屈曲约束支撑在风荷载或多遇地震作用产生的内力必须小于屈曲约束支撑的屈服强度,而在设防地震与罕遇地震作用下,屈曲约束支撑作为结构中附加的主要耗能装置,应具有稳定的耗能能力,减小主体结构的破坏。 根据“强节点弱杆件”的抗震设计原则,在罕遇地震作用下核心单元发生应变强化后,屈曲约束支撑的连接部分仍不应发生损坏。
E.1.2 屈曲约束支撑框架结构的设计应符合下列规定:
1 屈曲约束支撑框架结构中的梁柱连接宜采用刚接连接;
2 屈曲约束支撑的布置应形成竖向桁架以抵抗水平荷载,宜选用单斜杆形、人字形和V字形等布置形式,不应采用K形与X形布置形式;支撑与柱的夹角宜为30°~60°;
3 在平面上,屈曲约束支撑的布置应使结构在两个主轴方向的动力特性相近,尽量使结构的质量中心与刚度中心重合,减小扭转地震效应;在立面上,屈曲约束支撑的布置应避免因局部的刚度削弱或突变而形成薄弱部位,造成过大的应力集中或塑性变形集中;
4 屈曲约束支撑框架结构的地震作用计算可采用等效阻尼比修正的反应谱法。对重要的建筑物尚应采用时程分析法补充验算。
条文说明
E.1.2 在屈曲约束支撑框架中,支撑与梁柱节点宜设计为刚性连接,便于梁柱节点部位的支撑节点的构造设计。尽管刚性连接可能会导致一定的次弯矩,但其影响可忽略不计。尽管铰接连接从受力分析是最合理的,但由于对连接精度的控制不易实现,故较少在工程中采用。 采用K形支撑布置方式,在罕遇地震作用下,屈曲约束支撑会使柱承受较大的水平力,故不宜采用。而由于屈曲约束支撑的构造特点,X形布置也难以实现。 屈曲约束支撑的总体布置原则与中心支撑的布置原则类似。屈曲约束支撑可根据需要沿结构的两个主轴方向分别设置或仅在一个主轴方向布置,但应使结构在两个主轴方向的动力特性相近。屈曲约束支撑在结构中布置时通常是各层均布置为最优,也可以仅在薄弱层布置,但后者由于增大了个别层的层间刚度,需要考虑相邻层层间位移放大的现象。屈曲约束支撑的数量、规格和分布应通过技术性和经济性的综合分析合理确定,且布置方案应有利于提高整体结构的消能能力,形成均匀合理的受力体系,减少不规则性。
E.2屈曲约束支撑构件
E.2 屈曲约束支撑构件
E.2.1 屈曲约束支撑可根据使用需求采用外包钢管混凝土型屈曲约束支撑、外包钢筋混凝土型屈曲约束支撑与全钢型屈曲约束支撑。屈曲约束支撑应由核心单元、约束单元和两者之间的无粘结构造层三部分组成(图E.2.1-1)。核心单元由工作段、过渡段和连接段组成(图E.2.1-2)。

图E.2.1-1 屈曲约束支撑的构成

图E.2.1-2 核心单元的构成
1-工作段;2-连接段;3-过渡段
条文说明
E.2.1 屈曲约束支撑的常用截面如图12所示。 
图12 屈曲约束支撑常用截面形式 屈曲约束支撑一般由三个部分组成:核心单元、无粘结构造层与约束单元。 核心单元是屈曲约束支撑中主要的受力元件,由特定强度的钢材制成,一般采用延性较好的低屈服点钢材或Q235钢,且应具有稳定的屈服强度值。常见的截面形式为十字形、T形、双T形、一字形或管形,适用于不同的承载力要求和耗能需求。 无粘结构造层是屈曲约束机制形成的关键。无粘结材料可选用橡胶、聚乙烯、硅胶、乳胶等,将其附着于核心单元表面,目的在于减少或消除核心单元与约束单元之间的摩擦剪力,保证外围约束单元不承担或极少承担轴向力。核心单元与约束单元之间还应留足间隙,以防止核心单元受压膨胀后与约束单元发生接触,进而在二者之间产生摩擦力。该间隙值也不能过大,否则核心屈服段的局部屈曲变形会较大,从而对支撑承载力与耗能能力产生不利影响。 约束单元是为核心单元提供约束机制的构件,主要形式有钢管混凝土、钢筋混凝土或全钢构件(如钢管、槽钢、角钢等)组成。约束单元不承受任何轴力。 其中核心单元也由三个部分组成:工作段、过渡段、连接段。 工作段也称为约束屈服段,该部分是支撑在反复荷载下发生屈服的部分,是耗能机制形成的关键。 过渡段是约束屈服段的延伸部分,是屈服段与非屈服段之间的过渡部分。为确保连接段处于弹性阶段,需要增加核心单元的截面积。可通过增加构件的截面宽度或者焊接加劲肋的方式来实现,但截面的转换应尽量平缓以避免应力集中。 连接段是屈曲约束支撑与主体结构连接的部分。为便于现场安装,连接段与结构之间通常采用螺栓连接,也可采用焊接。连接段的设计应考虑安装公差,此外还应采取措施防止局部屈曲。
E.2.2 屈曲约束支撑的承载力应满足下式要求:

式中:N——屈曲约束支撑轴力设计值(N);
f——核心单元钢材强度设计值(N/mm 2 );
A 1 ——核心单元工作段截面积(mm 2 )。
条文说明
E.2.2 设计承载力是屈曲约束支撑的弹性承载力,用于静力荷载、风荷载与多遇地震作用工况下的弹性设计验算,一般情况下先估计一个支撑吨位、确定核心单元材料,然后确定支撑构件核心单元的截面面积。
E.2.3 屈曲约束支撑的轴向受拉和受压屈服承载力可按下式计算:

式中:N ysc ——屈曲约束支撑的受拉或受压屈服承载力(N);
f y ——核心单元钢材的屈服强度(N/mm 2 );
η y ——核心单元钢材的超强系数,可按表E.2.3采用,材性试验实测值不应超出表中数值15%。
表E.2.3 核心单元钢材的超强系数η y

条文说明
E.2.3 屈曲约束支撑的轴向承载力由工作段控制,因此应根据该段的截面面积来计算轴向受拉和受压屈服承载力Nysc。 由于钢材依据屈服强度的最低值——强度标准值供货,所以钢材的实际屈服强度可能明显高于理论屈服强度标准值。为了确保结构中屈曲约束支撑首先屈服,设计中宜采用实际屈服强度来验算。由于实际屈服强度有一定的离散性,为方便设计,本条给出了三种钢材的超强系数中间值。 屈曲约束支撑的性能可靠性完全依赖于支撑构造的合理性,而且其对设计和制作缺陷十分敏感,难以通过一般性的设计要求来保证。因此,不能将屈曲约束支撑当作一般的钢结构构件来设计制作,必须由专业厂家作为产品来供货,其性能须经过严格的试验验证,其制作应有完善的质量保证体系,并且在实际工程应用时按照本规程第E.2.3条的规定进行抽样检验。 由于屈曲约束支撑按照其屈服承载力Nysc来供货,因此式(E.2.3)中的工作段截面面积A1为名义值,为避免因材料的实际屈服强度过大而造成工作段的实际截面面积过小,本条规定超强系数材性试验实测值不应大于表E.2.3中数值的15%。
E.2.4 屈曲约束支撑的极限承载力可按下式计算:

式中:N ymax ——屈曲约束支撑的极限承载力(N);
w——应变强化调整系数,可按表E.2.4采用。
表E.2.4 核心单元钢材的应变强化调整系数w

条文说明
E.2.4 极限承载力用于屈曲约束支撑的节点及连接设计。钢材经过多次拉压屈服以后会发生应变强化,应力会超过屈服强度,应变强化调整系数w是钢材应力因应变强化可能达到的最大值与实际屈服强度的比值。
E.2.5 屈曲约束支撑连接段的承载力设计值应满足下式要求:

式中:N c ——屈曲约束支撑连接段的轴向承载力设计值(N)。
条文说明
E.2.5 由于约束单元的作用,屈曲约束支撑的受压承载力大于受拉承载力,在应变强化系数中将这一因素一并考虑。屈曲约束支撑的连接段应按支撑的预期最大承载力来设计。式(E.2.5)中的系数1.2是安全系数。
E.2.6 屈曲约束支撑的约束比宜满足下列公式要求:


式中:ξ——屈曲约束支撑的约束比;
N cm ——屈曲约束支撑的屈曲荷载(N);
N ysc ——核心单元的受压屈服承载力(N);
L t ——屈曲约束支撑的总长度(mm);
α——核心单元钢材屈服后刚度比,通常取0.02~0.05;
E 1 、I 1 ——分别为核心单元的弹性模量(N/mm 2 )与核心单元对截面形心的惯性矩(mm 4 );
E r 、I r ——分别为约束单元的弹性模量(N/mm 2 )与约束单元对截面形心的惯性矩(mm 4 );
E c 、E s 、E 2 ——分别为约束单元所使用的混凝土、钢筋、钢管或全钢构件的弹性模量(N/mm 2 );
I c 、I s 、I 2 ——分别为约束单元所使用的混凝土、钢筋、钢管或全钢构件的截面惯性矩(mm 4 );当约束单元采用全钢材料时,I 2 取由各个装配式构件所形成的组合截面惯性矩(mm 4 );
K——约束单元刚度折减系数:当约束单元采用整体式钢管混凝土或整体式全钢时,取K=1;当约束单元外包钢筋混凝土时,按式(E.2.6-4)计算;当约束单元采用全钢构件时,取K=1;
B s ——钢筋混凝土短期刚度(N·mm 2 );
α E ——钢筋与混凝土模量比,α E =E s /E c ;
ρ s ——钢筋混凝土单侧纵向钢筋配筋率,ρ s = A s /(bh 0 ),其中A s 为单侧受拉纵向钢筋面积(mm 2 ),b为钢筋混凝土约束单元的截面宽度(mm),h 0 为钢筋混凝土约束单元的截面有效高度(mm)。
条文说明
E.2.6 Mochizuki等的研究认为,屈曲约束支撑的失稳承载力为核心钢支撑与约束单元失稳承载力的线性组合,如式(19)所示: 
式中:N
cm 为修正后的屈曲约束支撑失稳承载力;K为约束单元抗弯刚度的折减系数,0≤K≤1,反映随着混凝土开裂和裂缝发展,约束单元抗弯刚度的降低。当支撑芯材屈服后,取屈服后弹性模量为 α E 1 ,α为支撑芯材屈服后刚度比,通常取2%~5%。由N cm 大于核心钢支撑的屈服承载力N ysc 的条件,得到:

约束单元为钢管混凝土时,Black等认为K=1。用钢筋混凝土作为约束单元时,考虑纵向弯曲对钢筋混凝土抗弯刚度的降低影响,系数K可由式(21)确定:

式中:B s 为钢筋混凝土截面的短期刚度,B s =(0.22+3.75α E ρ s )E c I c ,α E 为钢筋与混凝土模量比,α E =E s /E c ,ρ s 为单边纵向钢筋配筋率,ρ s =A s /(bh 0 ),A s 为受拉纵向钢筋面积;h 0 为截面有效高度。
由于约束单元对核心单元的约束作用和钢材的强化,屈曲约束支撑的极限受压承载力N ymax 往往大于N ysc 。因此,为避免屈曲约束支撑在达到N ymax 前产生整体失稳,建议将式(20)修改为:

式中:β为受压承载力调整系数,由受压极限承载力N cmax 和受拉极限承载力N tmax 之比β=N cmax /N tmax 确定,FEMA450规定β≤1.3;w为钢材应变强化调整系数,根据Iwata M和TremblayR的试验结果,支撑应变为1.5%~4.8%时,w=1.2~1.5。偏于安全取β=1.3,w=1.5,则有β w =1.95,因此有:

当采用钢管混凝土作为支撑约束单元时,取K=1,则式(23)与Kmiura建议的约束钢管混凝土Euler稳定承载力应大于1.9倍核心单元屈服承载力的要求接近。
对于全钢型屈曲约束支撑,其约束单元只有全钢构件,其受力途径比较明确,故计算可以简化,E r 、I r 直接取为外约束全钢构件全截面的弹性模量和截面惯性矩。
E.2.7 屈曲约束支撑约束单元的抗弯承载力应满足下列公式要求:

式中:M——约束单元的弯矩设计值(kN·m);
M u ——约束单元的受弯承载力(kN·m),当采用钢管混凝土时,按现行行业标准《型钢混凝土组合结构技术规程》JGJ 138计算;当采用钢筋混凝土时,按现行国家标准《混凝土结构设计规范》GB 50010计算;当采用全钢构件时,依据边缘屈服准则按现行国家标准《钢结构设计规范》GB 50017计算;
N cmax ——核心单元的极限受压承载力(kN),取N cmax =2N ysc ;
a——屈曲约束支撑的初始变形(m),取L t /500和b/30两者中的较大值,其中b为截面边长尺寸中的较大值,当为圆形截面时,取截面直径。
条文说明
E.2.7 依据上海中巍钢结构设计有限公司委托清华大学所做的研究成果,屈曲约束支撑的抗弯计算要求应与其整体稳定计算相同,即应采用极限荷载Ncmax
作为抗弯设计的控制荷载,并应考虑约束混凝土部分开裂的刚度折减。
如图13所示,设屈曲约束支撑的初始缺陷为正弦函数,则在屈曲约束支撑的极限荷载N cmax 作用下的平衡方程为

式中:v 0 为初始挠度,v为轴向荷载产生的挠度;α为跨中初始变形,取值建议L t /500(《钢结构设计规范》GB 50017-2003)和(B1,B2)max/30(《混凝土结构设计规范》GB 50010-2010)两者中较大值。由式(23)、(24)可解得屈曲约束支撑跨中弯曲变形为:

按M max 进行约束单元的抗弯设计即可。
E.2.8 约束单元的钢管壁厚或钢筋混凝土的体积配箍率应符合下列规定:
1 当约束单元采用钢管混凝土时,约束单元的钢管壁厚应满足下式要求:

2 当约束单元采用钢筋混凝土时,其体积配箍率ρ sv 应满足下列公式要求:

式中:t s ——钢管壁厚(mm);
b 1 ——核心单元工作段宽度(mm),对于工字形钢和十字形钢,取翼缘宽度(mm);
f ck ——混凝土抗压强度标准值(N/mm 2 );
f——钢管钢材的抗拉强度设计值(N/mm 2 );
f v ——箍筋的抗拉强度设计值(N/mm 2 );
d——圆形截面直径(mm);
a s ——箍筋的保护层厚度(mm);
b、h——钢筋混凝土截面边长(mm)。
3 在约束单元端部的1.5倍截面长边尺寸范围内,钢管壁厚或钢筋混凝土的配箍率不应小于按式(E.2.8-1)、式(E.2.8-2)或式(E.2.8-3)确定值的2倍。
条文说明
E.2.8 核心单元在轴压力作用下会对约束单元产生侧向膨胀作用,侧向膨胀作用的大小与无粘结层厚度有关。通常无粘结材料的弹性模量远小于钢和混凝土材料,当无粘结层较厚时,约束单元对核心单元的约束作用较弱。随着轴向压力增大,核心单元板件最终形成如图14所示的多波高阶屈曲模态。此时当采用钢管混凝土作为约束单元时,可直接按抗弯要求确定钢管壁厚;采用钢筋混凝土作为约束单元时,箍筋可按现行国家标准《混凝土结构设计规范》GB 50010中的构造要求配置即可。 
当无粘结构造层较薄时,核心单元在轴压力作用下的侧向膨胀会对约束单元产生挤压作用(图15)。这种挤压作用可能导致混凝土开裂,所以约束单元应通过计算配置足够的箍筋或保证钢管具有足够的壁厚。核心单元膨胀容易使外包混凝土开裂,所以不考虑混凝土的抗拉强度,可将核心单元截面横向膨胀对约束单元的作用力简化如图16所示,箍筋或钢管的环向拉力应与核心单元的侧向膨胀力相平衡。 
按此受力模型,采用有限元方法对不同钢板厚度和混凝土强度时界面上的压应力进行分析。根据分析结果,当钢板与混凝土界面为完全无粘结时,中部截面核心单元膨胀对混凝土产生的界面压应力分布近似如图16所示。当约束单元为钢管时,可得支撑中部钢管的壁厚ts应满足下式: 
式中:fck
为混凝土轴心抗压强度标准值;f y 为钢管的屈服强度。
当采用钢筋混凝土时,可得到支撑中部箍筋的体积配箍率ρ sv 为:

式中:b、h为截面边长;a s 为混凝土保护层厚度;f yv 为箍筋屈服强度。
由于核心单元与混凝土界面存在摩擦,特别是在屈曲约束支撑端部,膨胀力比中部大,因此支撑端部应采取一定的加强措施。根据试验结果和有限元分析结果,屈曲约束支撑端部的钢管壁厚或者配箍率可取式(28)和式(29)计算值的两倍,且端部加强区长度可取为构件长边边长的1.5倍。
E.2.9 屈曲约束支撑的设计尚应满足以下要求:
1 屈曲约束支撑的钢材选用应满足现行国家标准《金属材料 拉伸试验 第1部分:室温试验方法》GB/T 228.1和《金属材料 室温压缩试验方法》GB/T 7314的规定,混凝土材料强度等级不宜小于C25。核心单元宜优先采用低屈服点钢材,其屈强比不应大于0.8,断后伸长率A不应小于25%,且在3%应变下无弱化,应具有夏比冲击韧性0℃下27J的合格保证,核心单元内部不允许有对接接头,且应具有良好的可焊性。
2 核心单元的截面可设计成一字形、工字形、十字形和环形等,其宽厚比或径厚比(外径与壁厚的比值)应满足下列要求:①对一字形板截面宽厚比取10~20;②对十字形截面宽厚比取5~10;③对环形截面径厚比不宜超过22;④对其他截面形式,应满足本规程表7.5.3中所规定的一级中心支撑板件宽厚比限值要求;⑤核心单元钢板厚度宜为10mm~80mm。
3 核心单元钢板与外围约束单元之间的间隙值每一侧不应小于核心单元工作段截面边长的1/250,一般情况下取1mm~2mm,并宜采用无粘结材料隔离。
4 当采用钢管混凝土或钢筋混凝土作为约束单元时,加强段伸入混凝土,伸入混凝土部分的过渡段与约束单元之间应预留间隙,并用聚苯乙烯泡沫或海绵橡胶材料填充(图E.2.9a)。过渡段与加强段不伸入混凝土内部,在外包约束段端部与支撑加强段端部斜面之间应预留间隙(图E.2.9b)。间隙值应满足罕遇地震作用下核心单元的最大压缩变形的需求。

图E.2.9 端部加强段构造
1-聚苯乙烯泡沫;2-连接加强段;3-间隙
条文说明
E.2.9 屈曲约束支撑的核心单元截面可选用一字形、十字形、H形或环形。Mase S,Yabe Y等人的试验研究表明,当核心单元截面采用一字形时,其宽厚比对屈曲约束支撑的低周疲劳性能有一定影响,截面积相同,宽厚比越小,极限承载力越高,力学行为越稳定。另外,对钢材的性能应有一定的要求,钢材的屈强比不应大于0.8,且在3%应变下无弱化,有较好的低周疲劳性能,当作为金属屈服型阻尼器设计时,可选择低屈服点特种钢材,但核心单元内部不能存在对接焊缝,因为焊接残余应力会影响核心单元的性能。 通常使用的无粘结材料有:环氧树脂、沥青油漆、乙烯基层+泡沫、橡胶层、硅树脂橡胶层等,厚度为0.15mm~3.5mm。Wakabayashi等研究了各种无粘结材料对屈曲约束支撑性能的影响,建议采用“硅树脂+环氧树脂”做无粘结材料。其他研究者也建议了多种无粘结构造,如0.15mm~0.2mm聚乙烯薄膜、1.5mm丁基橡胶、2mm硅树脂橡胶层等。
在外包混凝土约束段端部与支撑加强段端部斜面之间预留间隙,主要是为了避免在支撑受压时端部斜面楔入外包混凝土中,所以预留的间隙值应考虑罕遇地震下核心单元的最大压缩变形。
E.3屈曲约束支撑框架结构
E.3 屈曲约束支撑框架结构
E.3.1 耗能型屈曲约束支撑结构在设防地震和罕遇地震作用下的验算应采用弹塑性分析方法。可采用静力弹塑性分析法或动力弹塑性分析法,其中屈曲约束支撑可选用双线性恢复力模型(图E.3.1)。

图E.3.1 屈曲约束支撑双线性恢复力模型
注:N ysc 为屈曲约束支撑的屈服承载力(N);δ y 为屈曲约束支撑的初始屈服变形;k为屈曲约束支撑的刚度(N/mm),k=EA e /L t ;A e 为屈曲约束支撑的等效截面积(mm 2 );L t 为支撑长度(mm)。
条文说明
E.3.2 通过国内外已有的对支撑结构的分析表明,在地震作用时,地震水平力集中在支撑上,作为力传递路径的楼板也将产生平面内的剪力。单独的组合大梁有可能发生楼板剪切破坏的情况,此时水平面内作用有剪力,当大梁中间部分设置有“人”形支撑时,支撑所产生的剪力与上述水平剪力合成使楼板剪力变得非常大而导致其发生平面内的剪切破坏。由此可见,屈曲约束支撑设计时必须慎重考虑结构内力的传递路径。
E.3.2 屈曲约束支撑框架的梁柱设计应考虑屈曲约束支撑所传递的最大拉力与最大压力的作用。屈曲约束支撑采用人字形或V形布置时,横梁应能承担支撑拉力与压力所产生的竖向力差值,此差值可根据屈曲约束支撑的单轴拉压试验确定。梁柱的板件宽厚比应符合本规程第7.4.1条的规定。
E.3.3 屈曲约束支撑与结构的连接节点设计应符合下列规定:
1 屈曲约束支撑与结构的连接宜采用高强度螺栓或销栓连接,也可采用焊接连接。
2 当采用高强度螺栓连接时,螺栓数目n可由下式确定:

式中:n f ——螺栓连接的剪切面数量;
μ——摩擦面的抗滑移系数,按现行国家标准《钢结构设计规范》GB 50017的有关规定采用;
P——每个高强螺栓的预拉力(kN),按现行国家标准《钢结构设计规范》GB 50017的有关规定采用。
3 当采用焊接连接时,焊缝的承载力设计值N f 应满足下式要求:

4 梁柱等构件在与屈曲约束支撑相连接的位置处应设置加劲肋。
5 在罕遇地震作用下,屈曲约束支撑与结构的连接节点板不应发生强度破坏与平面外屈曲破坏。
条文说明
E.3.3 屈曲约束支撑与结构之间可以采用螺栓连接或焊接连接。采用螺栓连接可方便替换,建议采用高强度螺栓摩擦型连接,主要是为了保证地震作用下螺栓与连接板件间不发生相对滑移,减少螺栓滑移对支撑非弹性变形的影响。对于极限承载力较大的屈曲约束支撑,如节点采用螺栓连接,所需的螺栓数量比较多,使得节点所需连接段较长,此时也可采用焊接连接。 为了保证屈曲约束支撑具有足够的耗能能力,支撑的连接节点不应先于核心单元破坏。故屈曲约束支撑与梁柱的连接节点应有足够的强度储备。在设计支撑连接节点时,最大作用力按照支撑极限承载力的1.2倍考虑。 屈曲约束支撑与梁、柱构件的连接节点板应保证在最大作用力下不发生强度破坏和稳定破坏。节点板在支撑压力作用下的稳定性可按现行国家标准《钢结构设计规范》GB 50017节点板强度与稳定性计算的相关规定计算。
E.4试验及验收
E.4 试验及验收
E.4.1 屈曲约束支撑的设计应基于试验结果,试验至少应有两组:一组为组件试验,考察支撑连接的转动要求;另一组为支撑的单轴试验,以检验支撑的工作性状,特别是在拉压反复荷载作用下的滞回性能。
E.4.2 屈曲约束支撑的试验加载应采取位移控制,对构件试验时控制轴向位移,对组件试验时控制转动位移。
E.4.3 耗能型屈曲约束支撑的单轴试验应按下列加载幅值及顺序进行:
1 依次在1/300、1/200、1/150、1/100支撑长度的位移水平下进行拉压往复加载,每级位移水平下循环加载3次,轴向累计非弹性变形至少为屈服变形的200倍;
2 组件试验可不按1款加载幅值与顺序进行。
E.4.4 屈曲约束支撑的试验检验应符合下列规定:
1 同一工程中,屈曲约束支撑应按支撑的构造形式、核心单元材料和屈服承载力分类别进行试验检验。抽样比例为2%,每种类别至少有一根试件。构造形式和核心单元材料相同且屈服承载力在试件承载力的50%~150%范围内的屈曲约束支撑划分为同一类别。
2 宜采用足尺试件进行试验。当试验装置无法满足足尺试验要求时,可减小试件的长度。
3 屈曲约束支撑试件及组件的制作应反映设计实际情况,包括材料、尺寸、截面构成及支撑端部连接等情况。
4 对屈曲约束支撑核心单元的每一批钢材应进行材性试验。
5 当屈曲约束支撑试件的试验结果满足下列要求时,试件检验合格:
1)材性试验结果满足本规程第E.2.9条第1款的要求;
2)屈曲约束支撑试件的滞回曲线稳定饱满,没有刚度退化现象;
3)屈曲约束支撑不出现断裂和连接部位破坏的现象;
4)屈曲约束支撑试件在每一加载循环中核心单元屈服后的最大拉、压承载力均不低于屈服荷载,且最大压力和最大拉力之比不大于1.3。
E.4.5 试验结果的内插或外推应有合理的依据,并应考虑尺寸效应和材料偏差等不利影响。
条文说明
E.4.1~E.4.5 本节主要参照美国FEMA450、ANSI/AISC341-05的相关规定以及国内的相关试验研究结果制定,其中加载幅值结合现行国家标准《建筑抗震设计规范》GB 50011制定。 对支撑进行单轴试验的目的在于,为屈曲约束支撑满足强度和非弹性变形的要求提供证明,为检验支撑的工作性状,特别是在拉压反复荷载作用下的滞回性能,以及连接节点的设计计算提供依据。 支撑单轴试验中,试件中核心单元的形状和定位都应与原型支撑相同;试验的连接构造应尽可能接近实际的原型连接构造;试验构件中屈曲约束单元的材料应与原型支撑相同。 试验还应满足以下要求:
1)荷载-位移历程图应表现出稳定的滞回特性,且不应出现刚度退化现象。
2)试验中不应出现开裂、支撑失稳或支撑端部连接失效的现象。
3)对于支撑试验,在变形大于第一个屈服点的轴向变形值时,每一加载周期的最大拉力和最大压力都不应小于核心单元的屈服强度。
4)对于支撑试验,在变形大于第一个屈服点的轴向变形值时,每一加载周期的最大压力和最大拉力的比值不应大于1.3。
附录F高强度螺栓连接计算
F.1一般规定
附录F 高强度螺栓连接计算
F.1 一般规定
F.1.1 高强度螺栓连接的极限承载力应取下列公式计算得出的较小值:

式中:N b vu ——1个高强度螺栓的极限受剪承载力(N);
N b cu ——1个高强度螺栓对应的板件极限承载力(N);
n f ——螺栓连接的剪切面数量;
A b e ——螺栓螺纹处的有效截面面积(mm 2 );
f b u ——螺栓钢材的抗拉强度最小值(N/mm 2 );
f b cu ——螺栓连接板件的极限承压强度(N/mm 2 ),取1.5f u ;
d——螺栓杆直径(mm);
∑t——同一受力方向的钢板厚度(mm)之和。
F.1.2 高强度螺栓连接的极限受剪承载力,除应计算螺栓受剪和板件承压外,尚应计算连接板件以不同形式的撕裂和挤穿,取各种情况下的最小值。
F.1.3 螺栓连接的受剪承载力应满足下式要求:

式中:N——螺栓连接所受拉力或剪力(kN),按构件的屈服承载力计算;
N b u ——螺栓连接的极限受剪承载力(kN);
α——连接系数,按本规程表8.1.3的规定采用。
F.1.4 高强度螺栓连接的极限受剪承载力应按下列公式计算:
1 仅考虑螺栓受剪和板件承压时:

式中:N b u ——螺栓连接的极限承载力(N);
N b vu ——螺栓连接的极限受剪承载力(N);
N b cu1 ——螺栓连接同一受力方向的板件承压承载力(N)之和;
N b cu2 ——连接板边拉脱时的受剪承载力(N)(图F.1.4b);
N b cu3 ——连接板件沿螺栓中心线挤穿时的受剪承载力(N)(图F.1.4c);
N b cu4 ——连接板件中部拉脱时的受剪承载力(N)(图F.1.4a);
f u ——构件母材的抗拉强度最小值(N/mm 2 );
A ns ——板区拉脱时的受剪截面面积(mm 2 )(图F.1.4);
A nt ——板区拉脱时的受拉截面面积(mm 2 )(图F.1.4);
n——连接的螺栓数。

条文说明
F.1.4 板件受拉和受剪破坏时的强度不同,为了简化计算,式(F.1.4-4)将受剪破坏的计算截面近似取为与孔边相切的截面长度的一半,对受拉和受剪时的破断强度取相同值fu,该式参考日本规定的计算方法。
F.1.5 高强度螺栓连接在两个不同方向受力时应符合下列规定:
1 弹性设计阶段,高强度螺栓摩擦型连接在摩擦面间承受两个不同方向的力时,可根据力作用方向求出合力,验算螺栓的承载力是否符合要求,螺栓受剪和连接板承压的强度设计值应按弹性设计时的规定取值。
2 弹性设计阶段,高强度螺栓摩擦型连接同时承受摩擦面间剪力和螺栓杆轴方向的外拉力时(如端板连接或法兰连接),其承载力应按下式验算:

式中:N v 、N t ——所考虑高强度螺栓承受的剪力和拉力设计值(kN);
N b v ——高强度螺栓仅承受剪力时的抗剪承载力设计值(kN);
N b t ——高强度螺栓仅承受拉力时的抗拉承载力设计值(kN)。
3 极限承载力验算时,考虑罕遇地震作用下摩擦面已滑移,摩擦型连接成为承压型连接,只能考虑一个方向受力。在梁腹板的连接和拼接中,当工形梁与H形柱(绕强轴)连接时,梁腹板全高可同时受弯和受剪,应验算螺栓由弯矩和剪力引起的螺栓连接极限受剪承载力的合力。螺栓群角部的螺栓受力最大,其由弯矩和剪力引起的按本规程式(F.1.4-2)和式(F.1.4-3)分别计算求得的较小者得出的两个剪力,应根据力的作用方向求出合力,进行验算。
F.2梁拼接的极限承载力计算
F.2 梁拼接的极限承载力计算
F.2.1 梁拼接采用的极限承载力应按下列公式计算:


式中:M pb ——梁的全塑性截面受弯承载力(kN·m);
α——连接系数,按本规程表8.1.3确定;
V j u ——梁拼接的极限受剪承载力;
n w ——腹板连接一侧的螺栓数;
N b vu ——1个高强度螺栓的极限受剪承载力(kN)。
F.2.2 梁翼缘拼接的极限受弯承载力应按下列公式计算:

式中:M j uf1 ——翼缘正截面净面积决定的最大受弯承载力(N·mm);
M j uf2 ——翼缘拼接板正截面净面积决定的拼接最大受弯承载力(N·mm);
M j uf3 ——翼缘沿螺栓中心线挤穿时的最大受弯承载力(N·mm);
M j uf4 ——翼缘拼接板沿螺栓中心线挤穿时的最大受弯承载力(N·mm);
M j uf5 ——高强螺栓受剪决定的最大受弯承载力(N·mm);
A nf ——翼缘正截面净面积(mm 2 );
A ns ——翼缘拼接板正截面净面积(mm 2 );
f u ——翼缘钢材抗拉强度最小值(N/mm 2 );
f us ——拼接板钢材抗拉强度最小值(N/mm 2 );
h b ——上、下翼缘外侧之间的距离(mm);
h bs ——上、下翼缘拼接板外侧之间的距离(mm);
n 1 ——翼缘拼接螺栓每列中的螺栓数;
n 2 ——翼缘拼接螺栓(沿梁轴线方向)的列数;
n 3 ——翼缘拼接(一侧)的螺栓数;
e f1 ——梁翼缘板相邻两列螺栓横向中心间的距离(mm);
e s1 ——翼缘拼接板相邻两列螺栓横向中心间的距离(mm);
t f ——梁翼缘板厚度(mm);
t fs ——翼缘拼接板板厚(mm)(两块时为其和)。
F.2.3 梁腹板拼接的极限承载力应按下列公式计算

式中:M j uw1 ——梁腹板的极限受弯承载力(N·mm);
M j uw2 ——腹板拼接板正截面决定的极限受弯承载力(N·mm);
M j uw3 ——腹板横向单排螺栓拉脱时的极限受弯承载力(N·mm);
M j uw4 ——腹板拼接板横向单排螺栓拉脱时的极限受弯承载力(N·mm);
M j uw5 ——腹板螺栓决定的极限受弯承载力(N·mm);
W pw ——梁腹板全截面塑性截面模量(mm 3 );
W sn ——腹板拼接板正截面净面积截面模量(mm 3 );
e w1 ——梁腹板受力方向的端距(mm);
e s1 ——腹板拼接板受力方向的端距(mm);
t w ——梁腹板的板厚(mm);
t ws ——腹板拼接板板厚(mm)(二块时为厚度之和);
r i 、r m ——腹板螺栓群中心至所计算螺栓的距离(mm),r m 为r i 的最大值;
N b vu ——一个螺栓的极限受剪承载力(N);
V j ——腹板拼接处的设计剪力(N);
x m 、y m ——分别为最外侧螺栓至螺栓群中心的横标距和纵标距(mm)。
F.2.4 当梁拼接进行截面极限承载力验算时,最不利截面应取通过翼缘拼接最外侧螺栓孔的截面。当沿梁轴线方向翼缘拼接的螺栓数n f 大于该方向腹板拼接的螺栓数n w 加2时(图F.2.4a),有效截面为直虚线;当沿梁轴线方向的梁翼缘拼接的螺栓数n f 小于或等于该方向腹板拼接的螺栓数n w 加2时(图F.2.4b),有效截面位置为折虚线。

图F.2.4 有效截面
1-有效断面位置
本规程用词说明
本规程用词说明
1 为便于在执行本规程条文时区别对待,对于要求严格程度不同的用词说明如下:
1)表示很严格,非这样做不可的:
正面词采用“必须”,反面词采用“严禁”;
2)表示严格,在正常情况下均应这样做的:
正面词采用“应”,反面词采用“不应”或“不得”;
3)表示允许稍有选择,在条件许可时首先应这样做的:
正面词采用“宜”,反面词采用“不宜”;
4)表示有选择,在一定条件下可以这样做的,采用“可”。
2 条文中指明应按其他标准执行的写法为:“应符合……的规定”或“应按……执行”。
引用标准名录
引用标准名录
1 《建筑结构荷载规范》GB 50009
2 《混凝土结构设计规范》GB 50010
3 《建筑抗震设计规范》GB 50011
4 《建筑设计防火规范》GB 50016
5 《钢结构设计规范》GB 50017
6 《冷弯薄壁型钢结构技术规范》GB 50018
7 《钢结构工程施工质量验收规范》GB 50205
8 《建筑工程抗震设防分类标准》GB 50223
9 《钢结构焊接规范》GB 50661
10 《金属材料 拉伸试验 第1部分:室温试验方法》GB/T 228.1
11 《碳素结构钢》GB/T 700
12 《钢结构用高强度大六角头螺栓》GB/T 1228
13 《钢结构用高强度大六角螺母》GB/T 1229
14 《钢结构用高强度垫圈》GB/T 1230
15 《钢结构用高强度大六角头螺栓、大六角螺母、垫圈技术条件》GB/T 1231
16 《低合金高强度结构钢》GB/T 1591
17 《紧固件机械性能 螺栓、螺钉和螺柱》GB/T 3098.1
18 《钢结构用扭剪型高强度螺栓连接副》GB/T 3632
19 《耐候结构钢》GB/T 4171
20 《非合金钢及细晶粒钢焊条》GB/T 5117
21 《热强钢焊条》GB/T 5118
22 《埋弧焊用碳钢焊丝和焊剂》GB/T 5293
23 《厚度方向性能钢板》GB/T 5313
24 《六角头螺栓 C级》GB/T 5780
25 《六角头螺栓 全螺纹 C级》GB/T 5781
26 《六角头螺栓》GB/T 5782
27 《六角头螺栓 全螺纹》GB/T 5783
28 《金属材料 室温压缩试验方法》GB/T 7314
29 《焊接结构用铸钢件》GB/T 7659
30 《气体保护电弧焊用碳钢、低合金钢焊丝》GB/T 8110
31 《涂覆涂料前钢材表面处理 表面清洁度的目视评定第1部分:未涂覆过的钢材表面和全面清除原有涂层后的钢材表面的锈蚀等级和处理等级》GB/T 8923.1
32 《焊接与切割安全》GB 9448
33 《建筑构件耐火试验方法 第1部分:通用要求》GB/T 9978.1
34 《建筑构件耐火试验方法 第3部分:试验方法和试验数据应用注释》GB/T 9978.3
35 《建筑构件耐火试验方法 第5部分:承重水平分隔构件的特殊要求》GB/T 9978.5
36 《碳钢药芯焊丝》GB/T 10045
37 《电弧螺柱焊用圆柱头焊钉》GB/T 10433
38 《焊缝无损检测 超声检测 技术、检测等级和评定》GB/T 11345
39 《埋弧焊用低合金钢焊丝和焊剂》GB/T 12470
40 《建筑用压型钢板》GB/T 12755
41 《熔化焊用钢丝》GB/T 14957
42 《低合金钢药芯焊丝》GB/T 17493
43 《建筑结构用钢板》GB/T 19879
44 《建筑用低屈服强度钢板》GB/T 28905
45 《高层建筑混凝土结构技术规程》JGJ 3
46 《钢结构高强度螺栓连接技术规程》JGJ 82
47 《玻璃幕墙工程技术规范》JGJ 102
48 《金属与石材幕墙工程技术规范》JGJ 133
49 《型钢混凝土组合结构技术规程》JGJ 138
50 《人造板材幕墙工程技术规范>》JGJ 336
51 《建筑结构用冷弯矩形钢管》JG/T 178
52 《建筑结构用冷成型焊接圆钢管》JG/T 381
