Appearance
《钢结构加固设计标准[附条文说明]》GB 51367-2019
🗓️ 住房和城乡建设部 实施时间:2020-06-01
前言
中华人民共和国国家标准
钢结构加固设计标准
Standard for design of strengthening steel structure
GB 51367-2019
主编部门:中华人民共和国住房和城乡建设部
批准部门:中华人民共和国住房和城乡建设部
施行日期:2 0 2 0 年 6 月 1 日
中华人民共和国住房和城乡建设部公告
2019年 第312号
住房和城乡建设部关于发布国家标准《钢结构加固设计标准》的公告
现批准《钢结构加固设计标准》为国家标准,编号为GB 51367-2019,自2020年6月1日起实施。其中,第3.1.8、4.5.1条为强制性条文,必须严格执行。
本标准在住房和城乡建设部门户网站(www.mohurd.gov.cn)公开,并由住房和城乡建设部标准定额研究所组织中国建筑出版传媒有限公司出版发行。
中华人民共和国住房和城乡建设部
2019年11月22日
前言
根据住房和城乡建设部《关于印发<2012年工程建设标准规范制订、修订计划>的通知》(建标[2012]5号)的要求,标准编制组经广泛调查研究,认真总结实践经验,参考有关国际标准和国外先进标准,并在广泛征求意见的基础上,编制了本标准。
本标准的主要技术内容是:1.总则;2.术语和符号;3.基本规定;4.材料;5.改变结构体系加固法;6.增大截面加固法;7.粘贴钢板加固法;8.外包钢筋混凝土加固法;9.钢管构件内填混凝土加固法;10.预应力加固法;11.连接与节点的加固;12.钢结构局部缺陷和损伤的修缮。
本标准中以黑体字标志的条文为强制性条文,必须严格执行。
本标准由住房和城乡建设部负责管理和对强制性条文的解释,由四川省建筑科学研究院有限公司负责具体技术内容的解释。执行过程中如有意见或建议,请寄送四川省建筑科学研究院有限公司(地址:四川省成都市一环路北三段55号,邮编:610081)。
本标准主编单位: 四川省建筑科学研究院有限公司
清华大学
本标准参编单位: 武汉大学
同济大学
合肥工业大学
太原理工大学
住房和城乡建设部标准定额研究所
中国电子工程设计院有限公司
江苏东南特种技术工程有限公司
湖南大学
上海二十冶建设有限公司
广西建工集团第五建筑工程有限责任公司
中国五洲工程设计集团有限公司
中建科工集团有限公司
中信建筑设计研究总院有限公司
中建一局钢结构工程有限公司
北京市建筑工程研究院有限责任公司
北京梦想空间结构研究中心有限公司
上海同华特种土木工程有限公司
北京首钢建设集团有限公司
北京首钢国际工程技术有限公司
西南交通大学
同济大学建筑设计研究院(集团)有限公司
武汉武大天业结构设计事务所有限公司
法施达(大连)实业集团有限公司
福建省桃城建设工程有限公司
深圳市建筑设计研究总院有限公司
成都益国工程设计顾问有限公司
合肥工业大学设计院(集团)有限公司
本标准主要起草人员: 梁坦 王元清 梁爽 黎红兵 石永久 施刚 姚涛 卢亦焱 杜新喜 罗永峰 吴善能 完海鹰 舒兴平 卜良桃 雷宏刚 李海旺 薛伶俐 丁大益 胡孔国 刘臣 潘毅 张晓光 李军 温四清 左勇志 刘延年 孟祥武 陈振明 刘明路 叶国平 李杉 海涛 张坦贤 李今保 阮新伟 赵嘉康 赵娜 刘平原 李春严
本标准主要审查人员 :周绪红 范峰 白生翔 余海群 徐厚军 吴耀华 曾志攀 王文军 毕琼 林冰
1 总则
1 总则
1.0.1 为使钢结构的加固设计,做到技术可靠、安全适用、经济合理、确保质量,制定本标准。
条文说明
1.0.1 本条规定了制订本标准的目的和要求,这里应说明的是,本标准作为钢结构加固设计通用的国家标准,主要是针对为保障安全、质量、卫生、环保和维护公共利益所必须达到的最低指标和要求作出统一的规定。至于以更高质量要求和更能满足社会生产、生活需求的标准,则应由其他层次的标准,如专业性很强的行业标准、以新技术应用为主的推荐性标准和企业标准等在国家标准基础上进行充实和提高。然而,在前一段时间里,这一最基本的标准化关系,由于种种原因而没有得到遵循,出现了有些标准对安全、质量的要求反而低于国家标准的不正常情况。为此,在实施本标准过程中,若遇到上述情况,一定要从国家标准是保证加固结构安全可以接受的最低标准这一基点出发,按照国家标准法的规定来实施本标准,做好钢结构的加固设计工作,以避免在加固工程中留下安全隐患。
1.0.2 本标准适用于工业与民用建筑和一般构筑物钢结构加固的设计。
条文说明
1.0.2 本条规定的适用范围,与现行国家标准《钢结构设计标准》GB 50017相对应,以便于配套使用。
1.0.3 钢结构加固前,应根据建(构)筑物的种类,分别按现行国家标准《工业建筑可靠性鉴定标准》GB 50144和《民用建筑可靠性鉴定标准》GB 50292进行检测或鉴定。当与抗震加固结合进行时,尚应按现行国家标准《建筑抗震设计规范》GB 50011或《构筑物抗震鉴定标准》GB 50117等进行抗震能力鉴定。
条文说明
1.0.3 本条主要是对本标准在实施中与其他有关标准配套使用的关系作出规定。钢结构加固前,应根据建筑物的种类,分别按现行国家标准《工业建筑可靠性鉴定标准》GB 50144和《民用建筑可靠性鉴定标准》GB 50292进行检测或鉴定。当与抗震加固结合进行时,尚应按现行国家标准《建筑抗震设计规范》GB 50011或《构筑物抗震鉴定标准》GB 50117等进行抗震能力鉴定。
1.0.4 钢结构加固的设计,除应符合本标准外,尚应符合国家现行有关标准的规定。
2 术语和符号
2.1 术语
2 术语和符号
2.1 术语
2.1.1 钢结构加固 strengthening of steel structure
对可靠性不足或产权人要求提高可靠度的钢结构、构件及其相关部分采取增强、局部更换或调整其内力等措施,使其具有现行设计标准及产权人所要求的安全性、适用性和耐久性。
2.1.2 原结构 existing structure
实施加固前的原有结构,也称加固前的结构。
2.1.3 原构件 existing member
实施加固前的原有构件,也称加固前的构件。
2.1.4 结构卸荷加固 strengthening of unloading structure
在原位上使结构完全卸荷,或将构件拆解后进行的加固。
2.1.5 结构负荷加固 strengthening of loading structure
结构卸去或部分卸去活荷载后在原位上进行的加固。
2.1.6 名义应力 nominal stress
按标准规定或由材料力学一般方法算得的构件截面应力。
2.1.7 净截面 net section
扣除孔洞、锈蚀和损伤削弱失效后的截面。
2.1.8 扩展性裂纹 expansible crack
长度或深度有可能不断增加的裂纹。
2.1.9 脆断倾向性裂纹 brittle fracture orientated crack
有使钢结构、构件可能发生突然脆性断裂的裂纹。
2.1.10 摩擦型高强度螺栓连接 friction-type high strength bolt connection
仅考虑由板件间摩擦力传递板件间作用力的高强度螺栓连接。
2.1.11 结构胶粘剂 structural adhesive
用于承重结构或构件胶接的、能长期承受设计应力和环境作用的胶粘剂,简称结构胶。
2.2 符号
2.2 符号
2.2.1 作用效应
M——弯矩;
M 0 ——构件加固前的弯矩;
N——轴心力;
N 0 ——构件加固前的轴心力;
V——剪力;
V 0 ——构件加固前的剪力;
σ——全部使用荷载作用下构件最大应力;
σ 1 ——扣除初始荷载的使用荷载作用下构件最大应力;
σ 0 ——不能卸载的初始荷载作用下构件最大应力;
σ f ——垂直于角焊缝长度方向,按角焊缝有效截面计算的焊缝正应力;
τ——剪应力;
τ f ——沿角焊缝长度方向,按角焊缝有效截面计算的焊缝剪应力。
2.2.2 计算指标
E——钢材的弹性模量;
f——钢材抗拉、抗压和抗弯强度设计值;
f * ——钢材抗拉、抗压和抗弯换算强度设计值;
f w f ——角焊缝的抗拉、抗压和抗剪强度设计值;
f 0 ——原结构钢材抗拉、抗压和抗弯强度设计值;
f s ——加固用钢材抗拉、抗压和抗弯强度设计值;
f v ——钢材抗剪强度设计值;
f y ——钢材屈服强度或屈服点的标准值;
G——钢材的剪变模量;
N E ——欧拉临界力。
2.2.3 几何参数
A——毛截面面积或全部截面面积;
A n ——净截面面积;
A 0 ——原构件的毛截面面积;
A n0 ——原构件的净截面面积;
A s ——构件加固部分的截面面积;
A t ——构件加固后的总截面面积,即A 0 与A s 之和;
a——间距;
d——直径;
e 0 ——等效偏心距;
h e ——角焊缝有效厚度;
h f ——角焊缝焊脚尺寸;
I——毛截面惯性矩;
I 0 ——原构件毛截面惯性矩;
I s ——构件加固部分的截面惯性矩;
L——长度;
L 0 ——构件的计算长度;
L s ——加固件焊缝延续的总长度;
L w ——焊缝长度;
L ws ——加固焊缝实际施焊段的长度;
W——毛截面抵抗矩;
W n ——净截面抵抗矩;
W 0n ——原构件净截面抵抗矩;
t——板件厚度;
λ——长细比;
λ 0 ——构件的相对长细比;
ω——挠度;
ω 0 ——初始挠度;
ω T ——总挠度;
ω w ——焊接残余挠度;
△ω——挠度增量。
2.2.4 计算系数及其他
t'——考虑抽样数量影响的计算系数;
α N ——压弯构件的弯矩增大系数;
α v ——新增钢筋混凝土的强度修正系数;
β mx 、β ty ——压弯构件稳定计算的等效弯矩系数;
γ——截面塑性发展系数;
η m ——受弯构件加固强度修正系数;
η n ——轴心受力构件加固强度修正系数;
η v ——受弯构件腹板粘钢加固强度修正系数;
ψ f ——经验系数;
ξ——焊接残余挠度影响系数;
δ——考虑加固件间断焊缝连续性系数;
φ——轴心受压构件稳定系数;
φ b ——均匀受弯构件的整体稳定系数。
条文说明
2.2.1~2.2.4 本标准采用的符号及其意义,尽可能与现行国家标准《钢结构设计标准》GB 50017及《混凝土结构设计规范》GB 50010相一致,以便于在加固设计、计算中引用其公式,只有在遇到公式中必须给出加固设计专用的符号时,才另行规定,即使这样,在制定过程中仍然遵循下列原则:
1 对主体符号及其上、下标的选取,应符合现行国家标准《工程结构设计通用符号标准》GB/T 50132的符号用字及其构成规则;
2 当必须采用通用符号,但又必须与新建工程使用的该符号有所区别时,可在符号的释义中加上定语。
3 基本规定
3.1 一般规定
3 基本规定
3.1 一般规定
3.1.1 钢结构经可靠性鉴定确认需要加固时,应根据鉴定结论并结合产权人提出的要求,按本标准的规定进行加固设计。加固设计的范围,可按整幢建筑物或其中某独立区段确定,也可按指定的结构、构件或连接确定,但均应考虑该结构的整体稳固性。
条文说明
3.1.1 钢结构是否需要加固,应经结构可靠性鉴定确认。我国已发布的现行国家标准《工业建筑可靠性鉴定标准》GB 50144和《民用建筑可靠性鉴定标准》GB 50292,是通过实测、验算并辅以专家评估才作出可靠性鉴定的结论,因而较为客观、稳健,可以作为钢结构加固设计的基本依据;但须指出的是钢结构加固设计所面临的不确定因素远比新建工程多而复杂,况且还要考虑业主的种种要求;因而本条作出了“应根据鉴定结论并结合产权人提出的要求,按本标准的规定进行加固设计”的规定。 此外,众多的工程实践经验表明,承重结构的加固效果,除了与其所采用的方法有关外,还与该建筑物现状有着密切的关系。一般而言,结构经局部加固后,虽然能提高被加固构件的安全性,但这并不意味着该承重结构的整体承载便一定是安全的。因为就整个结构而言,其安全性还取决于原结构方案及其布置是否合理,结构构件之间的支撑、连接、拉结、锚固是否系统而可靠,其原有的构造措施是否得当与有效等等;而这些就是结构整体稳固性的内涵;其所起到的综合作用就是使结构具有足够的延性和冗余度。因此,本标准要求专业技术人员在承担结构加固设计时,应对该承重结构的整体稳固性进行检查与评估,以确定是否需作相应的加强。
3.1.2 加固后钢结构的安全等级,应根据结构破坏后果的严重性、结构的重要性和加固设计使用年限,由产权人与设计方按实际情况共同商定。
条文说明
3.1.2 被加固的钢结构、构件,其加固前的服役时间各不相同,其加固后的结构使用功能又可能有所改变,因此不能直接沿用原设计的安全等级作为加固后的安全等级,而应根据委托方对该结构下一目标使用期的要求,以及该房屋加固后的用途和重要性重新进行定位。故有必要由委托方与设计单位共同商定。
3.1.3 钢结构的加固设计,应与实际施工方法紧密结合,采取有效措施,保证新增构件及部件与原结构连接可靠,新增截面与原截面结合牢固,形成整体共同工作;并不应对未加固部分,以及相关的结构、构件和地基基础造成不利的影响。
条文说明
3.1.3 大量的工程实践表明,加固设计应与施工密切配合,这是不言而喻的;本标准则进一步作出了“不应对未加固部分,以及相关的结构、构件和地基基础造成不利的影响”的规定。因为在当前的结构加固设计领域中,经验不足的设计人员占较大比重,致使加固工程出现“顾此失彼”的失误案例时有发生,故有必要加以提示。
3.1.4 对高温、高湿、低温、冻融、化学腐蚀、振动、温度应力、收缩应力、地基不均匀沉降等影响因素引起的原结构损坏,应在加固设计中提出有效的防治对策,并应按设计规定的顺序进行治理和加固。
条文说明
3.1.4 由高温、高湿、冻融、冷脆、腐蚀、振动、温度应力、收缩应力、地基不均匀沉降等原因造成的结构损坏,在加固时,应采取有效的治理对策,从源头上消除或限制其有害的作用。与此同时,尚应正确把握处理的时机,使之不致对加固后的结构重新造成损坏。就一般概念而言,通常应先治理后加固,但也有一些防治措施可能需在加固后采取。因此,在加固设计时,应合理地安排好治理与加固的工作顺序,以使这些有害因素不至于复萌。这样才能保证加固后结构的安全和正常使用。
3.1.5 钢结构的加固设计,应综合考虑其技术经济效果,不应加固适修性很差的结构,且不应导致不必要的拆除或更换。
条文说明
3.1.5 适修性很差的结构,指其加固总费用达到新建结构总造价70%以上的结构,但不包括文物建筑和其他有历史价值或艺术价值的建筑。
3.1.6 对加固过程中可能出现倾斜、失稳、过大变形或坍塌的钢结构,应在加固设计文件中提出有效的临时性安全措施。
3.1.7 钢结构的加固设计使用年限,应按下列原则确定:
1 结构加固后的使用年限,应由产权人和设计单位共同商定;
2 当结构的加固材料中使用结构胶粘剂或其他聚合物成分时,其结构加固后的使用年限宜按30年考虑;当产权人要求结构加固后的使用年限为50年时,其所使用的胶和聚合物的粘结性能,应通过耐长期应力作用能力的检验;
3 使用年限到期后,当重新进行的可靠性鉴定认为该结构工作正常,仍可继续延长其使用年限;
4 对使用胶粘方法或掺有聚合物材料加固的结构、构件,尚应定期检查其工作状态;检查的时间间隔可由设计单位确定,但第一次检查时间不应迟于10年;
5 当为局部加固时,应考虑原建筑物剩余设计使用年限对结构加固后设计使用年限的影响;
6 在钢结构加固设计文件中,应依据本条规定的原则注明该结构加固后的设计使用年限。
条文说明
3.1.7 本条是在标准编制组调研工作基础上,根据征求意见过程中反馈的意见进行修订的。其主要点如下:
1 结构加固的设计使用年限,应与结构加固后的使用状态及其维护制度相联系,否则是无法确定的。因此,本标准给出的是在正常使用与定期维护条件下的设计使用年限,至于其他使用条件下的设计使用年限,应由专门技术规程作出规定。
2 当结构加固使用的是传统材料(如型钢、钢板和混凝土等),且其设计计算和构造符合本标准的规定时,可按业主要求的年限,但不高于现行国家标准《建筑结构可靠性设计统一标准》GB 50068的规定进行确定。当使用的加固材料含有合成树脂(如常用的结构胶)或其他聚合物成分时,其设计使用年限宜按30年确定。若业主要求结构加固的设计使用年限为50年,其所使用的合成材料的粘结性能,应通过耐长期应力作用能力的检验。检验方法应按现行国家标准《工程结构加固材料安全性鉴定技术规范》GB 50728的规定执行。
3 当为局部加固时,尚应考虑原建筑物(或原结构)剩余的设计使用年限对结构加固设计使用年限的影响。
4 结构的定期检查维护制度应由设计单位制定,由物管单位执行。 基于以上所做的工作,制定了本条确定设计使用年限的原则。
3.1.8 设计应明确结构加固后的用途和使用环境,在加固设计使用年限内,未经技术鉴定或设计许可,不得改变加固后结构的用途和使用环境。 (自2022年4月1日起废止该条, 点击查看:新规《既有建筑鉴定与加固通用规范》GB 55021-2021 )
条文说明
3.1.8 钢结构的加固设计,系以委托方提供的结构用途、使用条件和使用环境为依据进行的。倘若加固后任意改变其用途、使用条件或使用环境,将显著影响结构加固的安全性及耐久性。因此,改变前必须经技术鉴定或设计许可,否则其后果将很严重。本条为强制性条文,必须严格执行。
3.2 设计计算原则
3.2 设计计算原则
3.2.1 钢结构加固设计可采用线弹性分析方法计算结构的作用效应,并应符合现行国家标准《钢结构设计标准》GB 50017的有关规定。
条文说明
3.2.1 由于弹性分析方法是最成熟的结构加固分析方法,迄今为国外结构加固设计标准和指南所广泛采用。因此,本标准作出了“在一般情况下,应采用弹性分析方法计算被加固结构的作用效应”的规定,但允许构件截面有一定塑性变形发展。当被加固结构为超静定结构,且符合现行国家标准《钢结构设计标准》GB 50017规定的条件时,可采用塑性分析。
3.2.2 加固钢结构时,应按下列规定进行承载能力极限状态和正常使用极限状态的设计、验算。
1 结构上的作用,应经调查或检测核实,并应按本标准附录A的规定确定其标准值或代表值,当此项工作已在可靠性鉴定中完成时,宜加以引用。
2 被加固结构、构件的作用效应,应按下列规定确定:
1)结构的计算图形,应符合其实际受力和构造状况;
2)作用效应组合和组合值系数以及作用的分项系数,应按现行国家标准《建筑结构荷载规范》GB 50009确定,并应考虑由于实际荷载偏心、结构变形、温度作用造成的附加内力。
3 结构、构件的尺寸,对原有部分应根据鉴定报告采用原设计值或实测值;对新增部分,可采用加固设计文件给出的设计值。
4 原结构、构件材料的抗拉强度、抗压强度和抗剪强度设计值应按下列规定取值:
1)当结构可靠性鉴定认为原设计文件有效,且未发现结构构件或连接的性能有明显退化时,可采用原设计值;
2)当结构可靠性鉴定认为应重新进行现场检测时,应采用检测结果推定的屈服强度或条件屈服点进行确定。
5 采用钢材为加固材料时,其性能和质量,应符合本标准第4章的有关规定;当采用其他材料为加固材料时,其性能和质量的要求尚应按现行国家标准《工程结构加固材料安全性鉴定技术规范》GB 50728的规定执行;加固材料性能的设计值应按本标准各相关章节的规定采用。
6 验算结构、构件承载力时,应考虑原结构在加固时的实际受力状态,包括加固部分应变滞后的特点及加固部分与原结构的共同工作程度。
7 加固后改变传力路线或使结构质量增大时,应对相关结构、构件及建筑物地基基础进行验算。
8 对超静定结构尚应考虑因构件截面改变、构件刚度改变致使体系内力重分布的影响,并应采用合理的计算分析方法。
条文说明
3.2.2 本条对钢结构的加固验算作了详细而明确的规定。这里仅指出一点,即其中大部分计算参数已在该结构加固前可靠性鉴定中通过实测或验算予以确定。因此,在进行结构加固设计时,宜尽可能加以引用,这样不仅节约时间和费用,而且在被加固结构日后万一出现问题时,也便于分清责任。
3.2.3 抗震设防区结构、构件的加固,除应满足承载力要求外,尚应复核其抗震能力;不应存在因局部加强或刚度突变而形成的新薄弱部位。
条文说明
3.2.3 本条是根据国内外众多震害教训作出的规定。对抗震设防区的结构、构件单纯进行承载力加固,未必对抗震有利。因为局部的加强或刚度的突变,会形成新的薄弱部位,或导致地震作用效应的增大,故必须在从事承载力加固的同时,考虑其抗震能力是否需要加强;同理,在从事抗震加固的同时,也应考虑其在重力荷载作用下的承载力是否需要提高。倘若忽略了这个问题,将会因原结构、构件承载力的不足,而使抗震加固无效。两者相辅相成,在结构、构件加固问题上,必须全面考虑周到,决不可就事论事,片面地采取加固措施,以致留下安全隐患。
3.2.4 本标准的各种加固方法可用于结构的抗震加固,但具体采用时,尚应在设计、计算和构造上执行现行国家标准《建筑抗震设计规范》GB 50011的有关规定。
条文说明
3.2.4 对本条需要说明的是,本标准给出的各加固方法计算公式,当用于抗震验算时,仅需将计算的构件承载力除以抗震承载力调整系数即可。该系数一般由现行国家标准《建筑抗震设计规范》GB 50011给出,若对个别加固方法未给出,可暂按本标准给出的值采用。
3.2.5 为防止结构加固部分意外失效而导致的坍塌,在使用胶粘剂或掺有聚合物的加固方法时,其加固设计除应按本标准的规定进行外,尚应对原结构进行验算。验算时,应要求原结构、构件能承担n倍恒载标准值的作用。当可变荷载标准值与永久荷载标准值之比值不大于1时,n应取1.2;当该比值等于或大于2时,n应取1.5;其间应按线性内插法确定。
条文说明
3.2.5 为防止使用胶粘剂或其他聚合物,如改性混凝土、聚合物改性砂浆等的结构加固部分意外失效(如火灾或人为破坏等)而导致的建筑物坍塌,国外有关的设计规程和指南,如英国混凝土协会设计指南便要求设计者对原结构、构件提供附加的安全保护。一般是要求原结构、构件必须具有一定的承载力,以便在结构加固部分意外失效时尚能承受永久荷载和少量可变荷载的作用。为此,标准编制组提出了按可变荷载标准值与永久荷载标准值之比值的大小,分别给出验算用的荷载值,以供设计校核原结构、构件在应急状态下的承载力使用。至于n值取1.2和1.5,系参照上述国外资料和国内设计经验确定的,但应指出,本条所指的可变荷载不包括地震作用。
3.3 加固方法及配合使用技术
3.3 加固方法及配合使用技术
3.3.1 钢结构的加固可分为直接加固与间接加固两类,设计时,可根据实际条件和使用要求选择适宜的加固方法及配合使用的技术。
条文说明
3.3.1 根据结构加固方法的受力特点,本标准参照国内外有关文献将加固方法分为两类。就一般情况而言,直接加固法较为灵活,便于处理各类加固问题,间接加固法较为简便、可靠,且便于日后的拆卸、更换,因此在有些情况下,还可用于有逆性要求的历史、文物建筑的抢险加固。设计时,可根据实际条件和使用要求进行选择。
3.3.2 直接加固宜根据工程的实际情况选用增大截面加固法、粘贴钢板加固法和组合加固法。
3.3.3 间接加固宜根据工程的实际情况采用改变结构体系加固法、预应力加固法。
条文说明
3.3.2、3.3.3 本标准共纳入6种加固方法和5种配合使用的修复、修补技术,基本上满足了当前加固工程的需要。这里应指出的是,每种方法和技术,均有其适用范围和应用条件:选用时,若无充分的科学试验和论证依据,切勿随意扩大其使用范围,或忽视其应用条件,以免考虑不周而酿成安全质量事故。
3.3.4 钢结构加固的连接方法宜采用焊缝连接、摩擦型高强螺栓连接;亦可采用焊缝与摩擦型高强螺栓的混合连接等。
条文说明
3.3.4 钢结构的连接对钢结构加固至关重要。在钢结构常用连接方法中,钢结构加固宜采用焊接连接和摩擦型高强度螺栓连接。摩擦型高强度螺栓与焊接混合连接,国内外已进行了不少试验研究,且已进入工程实用阶段;但为稳妥计,在本标准第11.4节中作出了限制性规定。
3.3.5 与结构加固方法配合使用的技术应采用符合本标准规定的连接技术和修复、修补技术。
4 材料
4.1 原钢材及其连接材料
4 材料
4.1 原钢材及其连接材料
4.1.1 钢结构原构件的强度设计值,当按现场检测的屈服强度推定值f y 确定时,其抗拉强度设计值f应取f y 与γ R 的比值;抗力分项系数γ R 应取为1.2。
条文说明
4.1.1 考虑到现行国家标准《钢结构设计标准》GB 50017已将大部分结构用钢的抗力分项系数γR调整为1.111,因此,对使用多年的原钢材的抗拉强度设计值,当按现场检测得到的屈服强度推定值fy确定时,其γR值取为1.2,还是合适的。如果是新建工程的加固,其原钢材的γR值,仍可按现行国家标准《钢结构设计标准》GB 50017的规定取用。
4.1.2 对受有气相腐蚀的钢结构原构件,当其截面面积损失大于25%或其板件剩余厚度小于5mm时,其验算时的钢材强度设计值,尚应乘以表4.1.2规定的强度降低系数。对特殊环境中受腐蚀的钢结构加固,其强度降低系数应专门研究确定。经验算认定尚可继续使用的原构件及其连接,均应重新采取有效的防腐蚀措施进行处理。
表4.1.2 考虑腐蚀损伤的强度降低系数

条文说明
4.1.2 钢结构构件由于气相腐蚀,当其截面积损失超过25%或其板件的剩余厚度小于5mm时,材料强度设计值应根据钢材腐蚀程度的不同,乘以本标准给出的降低系数予以折减,且应力也应按实际净截面计算。 本条中所指出的腐蚀类别系按现行国家标准《工业建筑防腐蚀设计标准》GB/T 50046的划分确定。
4.1.3 与钢结构原构件匹配的连接,其强度设计值,当按现场检测的结果或专家论证的结果评定时,其取值不得高于现行国家标准《钢结构设计标准》GB 50017的规定值;对受有气相腐蚀的钢结构连接,尚应乘以本标准表4.1.2规定的强度降低系数。
条文说明
4.1.3 这是考虑到连接的重要性而作出的规定。由于与原构件匹配的连接,其材质和设计指标值因现行国家标准《钢结构设计标准》GB 50017的多次修订,已与建造时有显著不同,在这种情况下,若检测或专家论证结果较现行相应指标显著偏低,只能按该推定值除以较大的分项系数来确定其设计值,以保证连接不先于构件破坏。
4.2 加固用钢材及焊接材料
4.2 加固用钢材及焊接材料
4.2.1 钢结构加固用钢材的品种、质量和性能应符合下列规定:
1 加固件的钢号应与原构件的钢号相同或相当;其质量应符合现行国家标准《碳素结构钢》GB/T 700、《低合金高强度结构钢》GB/T 1591、《建筑结构用钢板》GB/T 19879的有关规定;其韧性、塑性及焊接性能应能与原构件钢材相匹配;
2 不得使用无出厂合格保证、无标志的钢材;
3 表面原始锈蚀等级为D级的钢材不应用作结构钢。
条文说明
4.2.1 本条为选择结构加固用钢材的最基本要求,执行时,应以严格遵守现行国家标准《钢结构设计标准》GB 50017的规定,并保证实现设计意图为前提,采取各种有效措施,使新老截面、构件、结构能良好地共同工作,并应注意新老材料之间的强度、韧性及焊接性能的匹配,以充分利用材料潜能的发挥。为此,应拒收来路不明和无出厂合格证的钢材,并拒用原始锈蚀等级为D级的钢材,以确保结构加固的安全性。
4.2.2 钢结构加固用焊接材料的质量和性能应符合下列规定:
1 手工焊接采用的焊条,应符合现行国家标准《非合金钢及细晶粒钢焊条》GB/T 5117或《热强钢焊条》GB/T 5118的规定,选择的焊条型号应与主体金属力学性能相适应。
2 焊丝应符合现行国家标准《熔化焊用钢丝》GB/T 14957、《气体保护电弧焊用碳钢、低合金钢焊丝》GB/T 8110、《非合金钢及细晶粒钢药芯焊丝》GB/T 10045、《热强钢药芯焊丝》GB/T 17493的规定。
3 埋弧焊用焊丝和焊剂应符合现行国家标准《埋弧焊用非合金钢及细晶粒钢实心焊丝、药芯焊丝和焊丝-焊剂组合分类要求》GB/T 5293、《埋弧焊用热强钢实心焊丝、药芯焊丝和焊丝-焊剂组合分类要求》GB/T 12470的规定。气体保护焊使用的氩气应符合现行国家标准《氩》GB/T 4842的规定,其纯度不应低于99.95%。
条文说明
4.2.2 本条是对钢结构加固用的焊接材料提出基本要求。主要说明两点:
1 手工焊接时焊条型号中关于药皮类型的确定,应按结构的受力情况和重要性区别对待;对受动力荷载需要验算疲劳的结构,为减少焊缝金属中的含氢量,以防止冷裂纹,并使焊缝金属脱硫,以减小形成热裂纹的倾向,故应采用低氢型碱性焊条;对其他结构可采用普通焊条。
2 自动焊或半自动焊所采用的焊丝和焊剂应符合设计对焊缝金属力学性能的要求。在焊接材料的选用中,由于我国已颁布了焊丝和焊剂的现行国家标准《熔化焊用钢丝》GB/T 14957、《气体保护电弧焊用碳钢、低合金钢焊丝》GB/T 8110、《非合金钢及细晶粒钢药芯焊丝》GB/T 10045、《热强钢药芯焊丝》GB/T 17493、《埋弧焊用非合金钢及细晶粒钢实心焊丝、药芯焊丝和焊丝-焊剂组合分类要求》GB/T 5293、《埋弧焊用热强钢实心焊丝、药芯焊丝和焊丝-焊剂组合分类要求》GB/T 12470等。因此,只要按上述现行国家标准来选用焊丝和焊剂的型号即可。
4.2.3 钢结构加固用钢筋的品种、质量和性能应符合下列规定:
1 宜选用HRB400级或HPB300级钢筋;
2 钢筋的质量应分别符合现行国家标准《钢筋混凝土用钢第2部分:热轧带肋钢筋》GB/T 1499.2、《钢筋混凝土用钢第1部分:热轧光圆钢筋》GB/T 1499.1和《钢筋混凝土用余热处理钢筋》GB 13014的规定;
3 钢筋的强度设计值应按现行国家标准《混凝土结构设计规范》GB 50010的规定采用;
4 不得使用无出厂合格证、无标志或未经进场复验的钢筋以及再生钢筋。
条文说明
4.2.3 钢筋的其他性能设计值也应按现行国家标准《混凝土结构设计规范》GB 50010的规定采用,其他性能包括最大力下的总伸长率、弹性模量、疲劳应力等。
4.3 螺栓、焊钉、栓钉及锚栓
4.3 螺栓、焊钉、栓钉及锚栓
4.3.1 加固钢结构用螺栓的质量和性能应符合下列规定:
1 钢结构连接用4.6级及4.8级普通螺栓应为C级螺栓;5.6级及8.8级普通螺栓应为A级或B级螺栓;其性能和质量应符合现行国家标准《紧固件机械性能 螺栓、螺钉和螺柱》GB/T 3098.1的规定。C级螺栓与A级、B级螺栓的规格及尺寸应分别符合现行国家标准《六角头螺栓 C级》GB/T 5780与《六角头螺栓》GB/T 5782的规定。
2 钢结构用大六角高强度螺栓应符合现行国家标准《钢结构用高强度大六角头螺栓》GB/T 1228、《钢结构用高强度大六角螺母》GB/T 1229、《钢结构用高强度垫圈》GB/T 1230、《钢结构用高强度大六角头螺栓、大六角螺母、垫圈技术条件》GB/T 1231的规定。钢结构用扭剪型高强度螺栓应符合现行国家标准《钢结构用扭剪型高强度螺栓连接副》GB/T 3632的规定。
3 螺栓球网架用高强度螺栓应符合现行国家标准《钢网架螺栓球节点用高强度螺栓》GB/T 16939的规定。
4.3.2 加固钢结构用焊钉、栓钉和锚栓的质量和性能应符合下列规定:
1 圆柱头焊钉、栓钉应以ML15钢或ML15AL钢制作,焊钉或栓钉的屈服强度不应小于360N/mm 2 ,抗拉强度不应小于400N/mm 2 。焊/栓钉连接件的材料及焊接用瓷环应符合现行国家标准《电弧螺柱焊用圆柱头焊钉》GB/T 10433的规定。
2 锚栓应采用优质碳素结构钢制成,其质量和性能等级应符合现行国家标准《优质碳素结构钢》GB/T 699和《紧固件机械性能 螺栓、螺钉和螺柱》GB/T 3098.1的规定。
条文说明
4.3.1、4.3.2 对这两条规定,需要说明以下4点:
1 高强度螺栓。按现行国家标准《钢结构用高强度大六角头螺栓》GB/T 1228,大六角头高强度螺栓的规格为M12~M30,其性能等级分为8.8级和10.9级。8.8级高强度螺栓推荐采用的钢号为40B钢、45号钢和35号钢,10.9级高强度螺栓推荐采用的钢号为20MnTiB钢和35VB钢;扭剪型高强度螺栓的规格为M16~M24,其性能等级只有10.9级,推荐采用的钢号为20MnTiB钢。 2 圆柱头焊钉的性能等级相当于碳素钢的Q235钢,屈服强度fy取240N/mm2。
3 铆钉的性能和质量要求已很长时间没有发布国家或行业标准,只能借用标准件的标准进行定制,若定制有困难,可采用高强度螺栓按本标准的规定进行替换或替代。
4 钢结构用的锚栓,其性能和质量主要是执行现行国家标准《优质碳素结构钢》GB/T 699和《紧固件机械性能 不锈钢螺栓、螺钉和螺柱》GB/T 3098.6的规定。
4.4 预应力用钢拉索和钢拉杆
4.4 预应力用钢拉索和钢拉杆
4.4.1 预应力加固钢结构的拉索,可采用钢绞线索、钢丝拉索、钢丝绳索及钢拉杆。
条文说明
4.4.1 本条规定了可用于外加预应力加固的钢拉索品种,但应针对被加固构件、结构的施力特点和要求进行选择。
4.4.2 加固用钢绞线拉索的质量及性能应分别符合现行国家标准《无粘结预应力钢绞线》JG/T 161、《填充型环氧涂层钢绞线》JT/T 737和《高强度低松弛预应力热镀锌钢绞线》YB/T 152的规定。
条文说明
4.4.2 结构加固用的钢绞线索,一般可选用无粘结钢绞线,其规格以1×7结构居多;这种钢绞线摩擦力小,且耐腐性好,货源也较充足,故应用较多。近些年来,还开发了耐蚀性更好的填充型环氧涂层钢绞线。这种钢绞线具有与母材相同的强度特性和粘结强度,其柔软性与喷漆前相同;且可以避免无涂层钢丝间通常存在的由于毛细现象而导致的内部钢丝锈蚀;同时,由于钢丝间无相对滑动,还提高了抗疲劳性能。另外应指出的是,早期使用的镀锌类钢绞线虽然成本较低,但易锈蚀,只有在干燥且有防护措施的场合使用,才不会出问题。
4.4.3 加固用钢丝拉索的质量及性能应符合现行行业标准《高密度聚乙烯护套钢丝拉索》CJ/T 504的规定。
4.4.4 加固用钢丝绳的质量及性能应符合现行国家标准《重要用途钢丝绳》GB 8918的规定。
条文说明
4.4.4 加固用的钢丝绳,其实与钢绞线同属一类,当钢丝绳为单股结构时,也称为钢绞线,加固常用的钢丝绳应为6×7+IWS或6×19+IWS的钢芯类产品。
4.4.5 加固用钢拉杆,可采用普通圆钢制作的拉杆,也可采用高强度钢拉杆。高强度钢拉杆的质量和性能应符合现行国家标准《钢拉杆》GB/T 20934的规定。
4.4.6 加固用拉索的锚具应符合国家现行标准《预应力筋用锚具、夹具和连接器》GB/T 14370和《预应力筋用锚具、夹具和连接器应用技术规程》JGJ 85的规定。
条文说明
4.4.5 高强度钢拉杆是由合金钢或不锈钢制成。其合金钢屈服强度在345MPa~1160MPa之间;不锈钢材料屈服强度在205MPa~1080MPa之间。用作预应力杆件应要求其材料屈服强度不低于460MPa。在这种情况下,才能较好地发挥其质量轻、耐疲劳的特性。目前新修订的国家标准《钢拉杆》GB/T 20934-2016已发布。其新增内容较适应建设工程需求,可为预应力杆件的设计提供基本依据。
4.5 结构胶粘剂
4.5 结构胶粘剂
4.5.1 钢结构加固用的结构胶粘剂,应采用以钢为基材的结构胶,且应符合下列规定:
1 当使用环境为常温时,应采用Ⅰ类AAA级或AA级常温结构胶;
2 当使用环境有高温时,应采用Ⅱ类或Ⅲ类耐温结构胶;
3 在任何情况下,严禁采用以不饱和聚酯或醇酸树脂为主成分的胶粘剂。
4.5.2 钢结构加固用结构胶的粘结抗剪强度标准值应具有按置信水平为0.90确定的不小于95%的保证率。钢结构加固用的结构胶,其安全性能和耐久性能必须分别符合表4.5.2-1、表4.5.2-2的规定。
表4.5.2-1 钢结构加固用结构胶安全性能指标

注:表中各项性能指标,除标有标准值外,均为平均值。
表4.5.2-2 钢结构加固用结构胶耐久性能指标

4.5.3 钢结构加固用结构胶的胶体性能应符合表4.5.3的规定。
表4.5.3 钢结构加固用结构胶胶体性能指标

注:表中各项性能指标,除标有标准值外,均为平均值。
4.5.4 与钢结构加固用的结构胶配套使用的界面胶、底胶和修补胶,其安全性能应符合现行国家标准《工程结构加固材料安全性鉴定技术规范》GB 50728的规定。
4.6 混凝土和水泥基灌浆料
4.6 混凝土和水泥基灌浆料
4.6.1 钢结构加固用混凝土的强度等级不应低于C30;其耐久性应符合现行国家标准《混凝土结构设计规范》GB 50010的规定。
条文说明
4.6.1 就结构加固工程存在的局限性和不利条件而言,其新采用的加固材料确有必要适当提高其强度等级。而钢结构外包钢筋混凝土加固法和钢管构件内填混凝土加固法的实验结果也表明,以C30混凝土作为这种加固材料在力学性能上的可接受的最低要求是较为合适的。因为在这个基础上,较易实现钢结构加固所期望的安全性。故作出了加固用混凝土的强度等级应不低于C30的规定。
4.6.2 钢结构加固用的混凝土可使用商品混凝土,当混凝土中掺加粉煤灰时,粉煤灰应为Ⅰ级灰,且烧失量不应大于5%。
条文说明
4.6.2 钢结构加固用的混凝土宜掺加粉煤灰,但要求使用的是Ⅰ级灰,且烧失量应不大于5%。之所以作这样较严格的规定,主要是使掺有粉煤灰的混凝土,其收缩率不致过大,才能发挥良好的作用。
4.6.3 钢结构加固用的聚合物混凝土、微膨胀混凝土、钢纤维混凝土、合成纤维混凝土和喷射混凝土,应在工程施工前进行试配,经检测性能符合设计要求后方可使用。
4.6.4 钢结构加固用水泥基灌浆料的性能和质量应符合现行国家标准《水泥基灌浆材料应用技术规范》GB/T 50448的规定;其施工工艺应符合现行国家标准《建筑结构加固工程施工质量验收规范》GB 50550的规定。
条文说明
4.6.4 当以水泥基灌浆料来替代普通混凝土用于钢结构加固时,应主要注意以下3点:
1 加固工程用的水泥基灌浆料,其性能和质量是否符合《水泥基灌浆材料应用技术规范》GB/T 50448的规定;
2 其施工工艺是否符合《建筑结构加固工程施工质量验收规范》GB 50550的要求;
3 若直接使用Ⅳ类灌浆料,进场时应见证检验浆料的坍落度,且检验结果应符合设计要求。
4.7 防腐蚀、防火涂装材料
4.7 防腐蚀、防火涂装材料
4.7.1 钢结构防腐蚀、防锈采用的涂装材料,钢材表面的除锈等级及防腐蚀对钢结构的构造要求等,应符合现行国家标准《工业建筑防腐蚀设计标准》GB/T 50046和《涂覆涂料前钢材表面处理 表面清洁度的目视评定 第1部分:未涂覆过的钢材表面和全面清除原有涂层后的钢材表面的锈蚀等级和处理等级》GB/T 8923.1的有关规定。
条文说明
4.7.1 本条规定了钢结构防腐蚀、防锈涂装材料、钢材表面除锈等级及防腐蚀构造要求等应执行的国家标准,但应注意的是,当其他标准的规定与本标准规定的执行标准不一致时,应以本标准的规定为准。另外,应注意的是国家标准《涂装前钢材表面锈蚀等级和除锈等级》GB 8923-1988已被新版本所替代,不应继续采用《涂装前钢材表面锈蚀等级和除锈等级》GB 8923-1988。
4.7.2 当加固的钢结构只能采用人工除锈时,宜采用溶剂型涂料作为第一道和第二道涂料;不宜采用带锈涂料。
条文说明
4.7.2 带锈涂料存在一些尚未解决的缺点,故不宜在加固工程中采用。
4.7.3 钢结构防火涂装材料的品种、质量和性能应符合现行国家标准《钢结构防火涂料》GB 14907的有关规定。
条文说明
4.7.3 关于防火涂料的品种、质量和性能要求不仅应执行现行国家标准《钢结构防火涂料》GB 14907的规定,而且对疑难问题,还应直接向消防部门咨询,才能获得确定性的解答。
5 改变结构体系加固法
5.1 一般规定
5 改变结构体系加固法
5.1 一般规定
5.1.1 当采用改变结构体系的加固方法时,可根据实际情况和条件,采用改变荷载分布方式、传力途径、节点性质、边界条件、增设附加杆件、施加预应力或考虑空间受力等措施对结构进行加固。
条文说明
5.1.1 通过改变结构体系或计算图形来达到加固的目的,通常是较为有效而经济的加固途径。本标准根据国内外工程实践经验并参照国外资料,提出了几种改变结构体系的加固方法,主要是通过改变传力途径、荷载分布、节点性质、边界条件、增设附加构件或支撑、施加预应力、考虑空间协同工作等手段,改变结构体系或计算图形,以调整原结构内力,使结构按设计要求进行内力重分配,从而达到加固的目的。
5.1.2 改变结构体系的加固设计,除应考虑结构、构件、节点、支座中的内力重分布与二次受力外,尚应考虑新体系对相关部分的地基基础和结构造成的影响。
条文说明
5.1.2 本条指出改变结构计算图形可能对相关的结构(包括基础、构件、节点)和支座的使用状态和承载能力产生影响,因此加固设计时,除应对被直接加固结构进行承载能力和正常使用极限状态的计算外,尚应对相关结构和地基基础进行必要的验算。对有影响的部位应采取切实可行的增强措施,以保证其安全。
5.1.3 采用调整内力的方法加固结构时,应在加固设计图中规定调整应力或位移的限值及允许偏差,并应规定其监测部位及检验方法。
条文说明
5.1.3 调整内力可能影响结构的承载能力、刚度和使用功能。因此,采用这种方法加固钢结构时,应在加固设计中规定调整内力(应力)值或位移(应变)值的允许幅度和偏差,以及其监测位置和检验方法。
5.1.4 采用增设支点的方法改变结构体系时,应根据被加固结构的构造特点和工作条件,选用刚性支点加固法或弹性支点加固法。
5.1.5 采用预应力进行改变结构体系的加固时,其设计应符合本标准第10章的规定。
5.1.6 采用改变结构体系加固法时,其设计应与施工紧密配合;未经设计允许,不得擅自修改设计对施工的要求。
条文说明
5.1.6 改变结构体系所要达到的加固目的,在很大程度上需通过合适的施工程序和巧妙的施工方法来实现,而且施工方法正确与否也影响结构的受力状态。为了准确地实现加固设计的意图及保证安全可靠,本条特别强调设计应与施工紧密配合,且未经设计许可,不得擅自修改施工方法和施工程序。
5.2 改变结构体系加固法
5.2 改变结构体系加固法
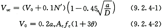
5.2.1 当选用改变结构或构件刚度的方法对钢结构进行加固时,可选用下列方法:
1 可增设支撑系统形成空间结构并按空间受力进行验算(图5.2.1-1); 。
2 可增设支柱或撑杆增加结构刚度(图5.2.1-2);

图5.2.1-1 增设支撑系统以形成空间作用示意

图5.2.1-2 增设支柱或撑杆以改变体系示意
3 可增设支撑或辅助杆件使构件的长细比减小提高稳定性(图5.2.1-3);
4 在排架结构中,可重点加强某柱列的刚度(图5.2.1-4);
5 可通过将一个集中荷载转化为多个集中荷载改变荷载的分布;

图5.2.1-3 用再分杆加固桁架示意

图5.2.1-4 加强边柱柱列刚度示意
6 在桁架中,可通过将端部铰接支承改为刚接(图5.2.1-5)改变其受力状态;

图5.2.1-5 桁架端支承由铰接改变为刚接示意
7 可增设中间支座,或将简支结构端部连接成为连续结构(图5.2.1-6);对连续结构,可采取措施调整结构的支座位置;
8 在空间网架结构中,可通过改变网络结构形式提高刚度和承载力;亦可在网架周边加设托梁,或增加网架周边支撑点,改善网架受力性能;
9 可采取措施使加固构件与其他构件共同工作或形成组合结构进行加固(图5.2.1-7)。

图5.2.1-6 托架增设中间支座示意

图5.2.1-7 使天窗架与屋架连成整体共同受力
条文说明
5.2.1 本条列举了几种增加结构或构件刚度的加固方法,其中包括加设支撑以增加厂房空间刚度或纵向刚度;增设辅助杆件以减少构件的长细比;重点加强排架结构中某一列柱的刚度以减轻其他列柱的负荷;以及在塔架结构中设置拉杆或拉索以加强结构的刚度,或调整结构的自振率以提高抗振能力等等。但在具体的加固设计时,必须根据工程的实际情况,进行设计计算,绘制施工图,方可实施。
5.2.2 改变结构体系的加固设计,应按加固后形成的新结构体系进行验算。
5.2.3 当采用刚性支点加固结构、构件时,应按下列步骤进行设计计算:
1 计算并绘制原结构、构件的内力图;
2 初步确定预加力,并绘制在支撑点预紧力作用下原结构构件的内力图;
3 绘制加固后结构构件在新增荷载作用下的内力图;
4 将本条第1款~第3款的内力图叠加,绘出构件各截面内力包络图;
5 计算构件各截面实际承载力;
6 调整预加力值,使构件各截面最大内力值小于截面实际承载力;
7 根据最大的支点反力,设计支承结构及其基础。
5.2.4 当采用弹性支点加固结构、构件时,应先计算出所需支点弹性反力,然后确定支承结构所需的刚度。计算步骤应符合下列规定:
1 计算并绘制原结构的内力图;
2 绘制原结构在新增荷载下的内力图;
3 确定原结构所需的预加力,即卸荷值,并由此求出相应的弹性支点反力值R;
4 根据所需的弹性支点反力R及支承结构类型,计算支承结构所需的刚度;
5 根据所需的刚度确定支承结构截面尺寸,设计支承结构及其基础。
条文说明
5.2.3、5.2.4 考虑到这两种加固方法的每一计算步骤及其计算内容已写得很明白,且设计人员也很熟悉,只要按每一项目进行计算,便可如同常规设计一样去完成,因此,略去了具体的结构力学计算和截面设计。
5.3 构造规定
5.3 构造规定
5.3.1 改变结构体系所采用的支柱、支撑、撑杆等,其端部应与被加固结构构件可靠连接,且连接的构造不应过多削弱原构件的承载能力。
条文说明
5.3.1 主要强调新增的构件,其端部应与被加固结构、构件可靠地连接,且连接的构造应设计得不过多削弱原构件的承载力。
5.3.2 钢结构加固所使用的支柱、支撑、撑杆等,当直接支承于基础时,可按一般地基基础构造进行处理;当其端部以梁、柱为支承时,宜选用型钢套箍的构造方式。
条文说明
5.3.2 型钢套箍虽是首选的构造方法,但在潮湿部位使用时,应仔细做好防潮、防腐蚀处理。
6 增大截面加固法
6.1 一般规定
6 增大截面加固法
6.1 一般规定
6.1.1 采用焊接连接、螺栓连接、铆钉连接和粘贴钢板的增大截面法加固,应符合本章的规定。
条文说明
6.1.1 本章适用范围涵盖焊接加固、螺栓连接加固及铆钉连接加固的增大截面法加固。
6.1.2 采用增大截面加固钢构件,应考虑原构件受力情况及存在的缺陷和损伤;在施工可行、传力可靠的前提下,可按本标准附录B选取有效的截面增大形式。
条文说明
6.1.2 采用增大构件截面加固钢结构时,会较大影响基本单元——构件甚至结构的受力工作性能,因而指出应根据构件缺陷、损伤状况、加固要求,考虑施工可能,经过设计比较选择最有利的截面形式,本标准附录B给出了各受力构件的一些截面加固形式,可供参考。
6.1.3 采用增大截面法加固钢结构构件时,其构造设计应符合下列规定:
1 加固件应有明确、合理的传力途径;
2 加固件与被加固件应能可靠地共同工作,并采取措施保证截面的不变形和板件的稳定性;
3 对轴心受力、偏心受力构件和非简支受弯构件,其加固件应与原构件支座或节点有可靠的连接和锚固;
4 加固件的布置不宜采用导致截面形心偏移的构造方式;
5 加固件的切断位置,应以最大限度减小应力集中为原则,并应保证未被加固处的截面在设计荷载作用下仍处于弹性工作阶段。
条文说明
6.1.3 增大截面加固结构构件时,有新、旧两种钢材在同一构件截面中共同参与受力工作,因而必须采取必要的构造及工艺措施,以保证新、旧两种钢材能协同工作。同时还应保证不致因加固、焊接顺序不当等施工原因而造成不应有的截面、构件几何形状的弯扭畸变。此外,当采用焊缝连接加固截面时,常有较大焊接残余应力,它对钢结构的受力及耐久性都有影响,因而在加固构造及施工措施中,应极力避免较大的应力集中,以使构件,尤其受动荷载作用的构件在正常使用极限状态下能处于弹性范围内工作。
6.1.4 完全卸荷状态下,采用增大截面法加固钢构件的设计、计算可按现行国家标准《钢结构设计标准》GB 50017的规定进行,并应符合下列条件:
1 原构件的缺陷和损伤应已得到有效补强;
2 原构件钢材强度设计值应已根据可靠性鉴定报告确定;
3 当采用焊接方法加固时,其新老构件之间的可焊性应已得到确认。
条文说明
6.1.4 非负荷下加固的钢构件的计算可按现行国家标准《钢结构设计标准》GB 50017规定进行,但因需要考虑被加固部分材料性质的变化、缺陷修补、截面和构件几何受力特征改变等,故仍应执行本标准规定的条件。
6.1.5 负荷状态下,采用增大截面法加固钢构件的设计、计算应按本标准第6.2节~第6.4节的规定进行。
6.1.6 负荷状态下,钢构件的焊接加固,应根据原构件的使用条件,校核其最大名义应力σ 0max 是否符合表6.1.6应力比限值的规定。若不符合规定时,不得在负荷状态下进行焊接加固;应改用其他增大截面的方法进行加固。
表6.1.6 焊接加固构件的使用条件及其应力比限值

条文说明
6.1.6 考虑到原构件钢材有硬化、韧性降低、疲劳和断裂的可能,故应根据其所受荷载性质(静力、动力或多次反复)、环境状况(温度、湿度等)和结构的连接方法(焊接或螺栓、铆钉连接),即结构的设计工作条件,选择截面以控制其最大名义应变范围(弹性、部分塑性或塑性发展),以保证结构的耐久、安全和节约,并依此划分了构件的工作类别,其中Ⅰ类结构的使用条件最不利于结构的工作。 本条针对四类不同设计工作条件结构,分别给出了负荷下焊接加固时的初始最大名义应力的限制水平。根据标准编制组近期完成的负载下焊接加固钢梁的试验研究和有限元分析,发现可以保证承受初始应力比为0.673的构件在负载下焊接加固的安全性;同时汲取了近期实际工程应用的经验,故规定Ⅲ类构件可将应力比限值提高到0.65。
6.1.7 负荷状态下,采用增大截面法加固钢结构时,其原构件在轴力和弯矩作用下的最大名义应力σ 0max 可按下式确定:

式中:N 0 ,M 0x ,M 0y ——分别为原构件的轴力(N)和绕x轴和y轴的弯矩设计值(N·mm);
A n0 ,W 0nx ,W 0ny ——分别为原构件的净截面面积(mm 2 )和对x轴和y轴的净截面抵抗矩(mm 3 );
α Nx ,α Ny ——弯矩增大系数,按本标准第6.1.8条的规定采用。
6.1.8 对拉弯构件,弯矩增大系数α Nx ,α Ny 的取值均应为1.0;对其他构件,弯矩增大系数应按下列公式计算确定:


式中:A 0 ——原构件的毛截面面积(mm 2 );
E——钢材的弹性模量(N/mm 2 );
λ x ——原构件的毛截面面积对x轴的长细比;
λ y ——原构件的毛截面面积对y轴的长细比。
6.1.9 焊接加固后的Ⅰ、Ⅱ类构件,宜对其剩余疲劳寿命进行专门的评估或计算;当处于低温下工作时,尚宜对其低温冷脆风险进行专门评估。
条文说明
6.1.9 加固后的Ⅰ、Ⅱ类构件,其疲劳寿命会有变化,所以宜对其剩余疲劳寿命进行专门评估和计算。增大截面的焊接或开孔会带来原构件部分的削弱,过程中不可避免地伴随应力重分布、应力集中等,所以宜对其低温冷脆的风险进行专门评估。
6.1.10 负荷状态下,采用螺栓连接或铆钉连接加固钢结构时,原构件最大名义应力σ 0max 不应大于0.85f y 。
条文说明
6.1.10 考虑到螺栓连接或铆钉连接加固对截面削弱,控制负载下加固应力比限值不大于0.85。对超过应力限值时的高负荷下焊接连接、螺栓连接或铆钉连接的增大截面加固应采取其他方法,不在本章所述范围。
6.2 受弯构件加固计算
6.2 受弯构件加固计算
6.2.1 主平面内受弯的加固构件,应按下式验算其抗弯强度:

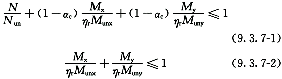
式中:M x ,M y ——绕加固后截面形心x轴和y轴的加固前弯矩与加固后增加的弯矩之和(N·mm);
W nx ,W ny ——对加固后截面x轴和y轴的净截面抵抗矩(mm 3 );
γ x ,γ y ——截面塑性发展系数,对Ⅰ、Ⅱ、Ⅲ类结构γ x 、γ y 的值均取为1.0;对Ⅳ类结构,应根据截面形状按现行国家标准《钢结构设计标准》GB 50017的规定采用;
η m ——受弯构件加固强度修正系数,对双侧加固,按表6.2.1取值;对单侧加固,按表6.2.1系数的0.9倍取值;
f——钢材的抗弯强度设计值(MPa),取截面中最低强度级别钢材的抗弯强度设计值。
表6.2.1 η m 系数取值

注:表中应力比σ 0max /f的限值尚应符合本标准表6.1.6的规定。
条文说明
6.2.1 本条给出了加固的受弯构件强度计算的统一表达式及其塑性发展系数的取值。在表达形式上与现行国家标准《钢结构设计标准》GB 50017的相一致,但考虑到新加固截面部分的应力滞后及原有截面应变可能过多塑性发展,引入了受弯构件强度修正系数ηm,并针对其不同设计工作条件类别和不同加固方法进行取值。取值时,除了引用有关试验和计算分析的资料外,还遵循了栓接加固和铆接加固的参数优于焊接加固参数,并对此参数取为0.05的整数倍;为保证结构安全,还规定其钢材强度设计值应取较低强度级别钢材的值。此外,强度修正系数ηm与加固件布置有关,表6.2.1参数针对双侧加固布置方案,即在原截面翼缘均布置加固件;若为单侧加固方案,即仅在原截面翼缘一侧布置加固件,强度修正系数ηm取为双侧加固对应系数的0.9倍。
6.2.2 Ⅰ、Ⅱ、Ⅲ类结构的受弯实腹构件的抗剪应力τ、组合梁腹板计算高度边缘处的局部承压应力σ c 和折算应力应分别按现行国家标准《钢结构设计标准》GB 50017的规定计算;对Ⅳ类构件,当按现行国家标准《钢结构设计标准》GB 50017关于塑性设计的规定,由腹板承受剪力进行计算时,其钢材强度应取计算部位腹板强度设计值。
条文说明
6.2.2 钢材抗剪强度、局部承压强度对结构韧性降低影响一般较小,且都不是疲劳裂纹扩展的主导性参量,为简便计算,仍采用现行国家标准《钢结构设计标准》GB 50017有关规定进行核算。
6.2.3 主平面内受弯的加固构件,其整体稳定性的验算应符合现行国家标准《钢结构设计标准》GB 50017的规定,稳定系数应按加固后截面计算,但验算时,应将钢材抗弯强度设计值f改取为钢材换算强度设计值f * ,并应乘以强度折减系数η m 。
条文说明
6.2.3 实腹式受弯构件的整体稳定计算,仍采用现行国家标准《钢结构设计标准》GB 50017的有关规定及方法。稳定系数φ应按加固后截面计算,采用加固后整个截面的φ值对强度设计值进行折减以计算构件稳定承载力。强度设计值取钢材换算强度设计值f*并乘以折减系数ηm。
6.2.4 用于加固构件整体稳定验算的钢材换算强度设计值f * 可按下列规定进行确定:
1 当f 0 ≤f s ≤1.15f 0 时,可取f * 等于f 0 ;
2 当f s >1.15f 0 时,可按下式计算:

式中:f 0 ,f s ——分别为构件原来用钢材和加固用钢材的强度设计值(MPa);
A 0 ,A s ——分别为加固构件原有截面和加固的截面面积(mm 2 );
I 0 ,I s ——分别为加固构件原有截面和加固截面对加固后截面形心主轴的惯性矩(mm 4 )。
条文说明
6.2.4 计算截面加固构件的整体稳定性时所用钢材换算强度设计值f * ,系引用了国外的表达式。承重结构加固不允许使用fs<f0的钢材,故未给出fs<f0的f * 取值。
6.2.5 组合截面板梁的翼缘和腹板的局部稳定性,应按现行国家标准《钢结构设计标准》GB 50017的规定进行验算;对按塑性设计的Ⅳ类构件,其宽厚比尚应符合现行国家标准《钢结构设计标准》GB 50017关于塑性设计的规定。
条文说明
6.2.5 组合板梁的局部稳定性,即板件的稳定性计算和翼缘、腹板宽厚比限值计算,仍按现行国家标准《钢结构设计标准》GB 50017有关规定进行,未作改动。
6.2.6 钢结构受弯构件加固后的总挠度ω T 可按下式确定,且不应超过现行国家标准《钢结构设计标准》GB 50017规定的限值。

式中:ω 0 ——初始挠度,按实测资料或加固前实有荷载与加固前的截面特性计算确定(mm);
ω w ——焊接加固时的焊接残余挠度,可按本标准第6.2.7条确定(mm);
△ω——挠度增量,按加固后增加的荷载标准值和已加固截面特性计算确定(mm)。
条文说明
6.2.6 加固后受弯构件的总挠度ωT应包括加固前负荷下的初始挠度ω0,焊接时因加热、固化引起的焊接残余挠度ωW及焊后新增荷载下的挠度增量△ω。ω0、△ω可按一般材料力学方法计算求得。
6.2.7 焊接残余挠度ω w 宜采取施工措施消除;其数值可按以下经验公式确定:

式中:δ——考虑加固件间断焊缝连续性系数,当为连续焊缝时,取δ为1.0,当为间断焊缝时,取加固焊缝实际施焊段长度与连续施焊长度的比值;
h f ——角焊缝焊脚尺寸(mm);
L s ——加固件焊缝连续的总长度(mm);
L 0 ——受弯构件在弯曲平面内的计算长度(mm);单跨简支梁时取梁的计算跨度(mm);
I 0 ——原构件截面的惯性矩(mm 4 );
y i ——第i条加固焊缝至构件截面形心的距离(mm);
ξ i ——与加固焊缝处结构初始应力水平σ 0i 有关的系数,应按表6.2.7取值;
f y ——原构件钢材的屈服强度标准值(MPa);
ψ f ——经验系数,结构构件受拉和受压区均有加固焊缝时取1.0;仅拉或压区有加固焊缝时取0.8;计算稳定性时取0.7。
表6.2.7 ξ i 系数取值

注:中间值按线性内插法确定。
条文说明
6.2.7 ωW的计算较为复杂,应根据构件实际几何尺寸特性和焊接条件研究确定,原协会标准《钢结构加固技术规范》CECS 77-96考虑到国内当时研究不成熟,采用了国外的计算式,并经计算在表达形式上做了一些修改简化。
6.3 轴心受力构件加固计算
6.3 轴心受力构件加固计算
6.3.1 轴心受拉或轴心受压构件宜采用对称的或不改变形心位置的增大截面形式,其加固后强度应按下式验算:

式中:N——计算构件所承受的总轴心力(N);
A n ——加固后构件净截面面积(mm 2 );
f——钢材强度设计值(MPa),取截面中最低强度级别钢材的强度设计值;
η n ——轴心受力构件加固强度修正系数,对双侧加固,按表6.3.1取值;对单侧加固,按表6.3.1系数的0.9倍取值。
表6.3.1 η n 系数取值

注:表中应力比σ 0max /f的限值尚应符合本标准表6.1.6的规定。
条文说明
6.3.1 轴心构件原有截面一般是对称的,若其损伤的非对称性不显著,可采用对称的加固截面形式;若其损伤非对称性较大,宜采用不改变截面形心位置的加固截面形式,以减小附加受力影响。本条给出的加固构件强度计算公式中引入了轴心受力构件的强度修正系数,以考虑其加固后截面的应力滞后的控制拉应变过大ηn,表达式参照了国外资料,轴心受力构件的加固强度修正系数仍需针对其不同设计工作条件类别和不同加固方法进行取值。取值方法与本标准第6.2.1条相同。
6.3.2 当采用非对称或改变形心位置的增大截面加固时,应按本标准第6.4节的规定进行计算。
条文说明
6.3.2 当截面损伤非对称性较大和采用非对称或形心位置改变的加固截面时,应按偏心受力构件计算其强度。标准编制组负荷下焊接加固轴压钢柱试验结果表明,加固后构件的极限承载力和残余变形将受初始负荷大小的影响。为防止初始负荷对其极限承载能力的不利影响,务必在卸荷、计算和构造上采取稳健措施予以处理。
6.3.3 实腹式轴心受压构件,当无初弯曲和损伤,且采用对称或形心位置不变的增大截面形式加固时,其整体稳定性可按下式验算:

式中:N——加固时和加固后构件所受总轴心压力(N);
φ——轴心受压构件稳定系数,应按现行国家标准《钢结构设计标准》GB 50017的规定值采用;
A——构件加固后的截面面积(mm 2 );
η n ——轴心受力构件加固强度修正系数,按本标准第6.3.1条的规定采用;
f * ——钢材换算强度设计值(MPa),按本标准第6.2.4条采用。
条文说明
6.3.3 截面加固的实腹式轴心受力构件的稳定性,其承载力与加固前后截面都有关系,由于稳定系数φ是临界应力除以钢材的屈服强度,当加固截面的钢材与原构件钢材屈服强度不一致时,计算将很麻烦。为此,参考国外加固标准的处理方法,在采用本标准的规定进行计算时,引入了换算强度设计值f * ,以考虑新、旧材料屈服强度不同的影响。
6.3.4 当构件有初始弯曲或有形心位置改变引起的附加偏心矩时,应按本标准第6.4节对压弯构件加固的规定计算其整体稳定性。
6.3.5 对初始应力比不大于0.2的负荷下焊接加固的钢柱,其计算可不乘以强度降低系数。
条文说明
6.3.5 根据标准编制组近期完成的负荷下焊接加固钢柱的试验研究和有限元分析,发现钢柱在应力比小于0.2时,负荷下加固对其极限承载力无明显影响,推荐按照未负荷焊接加固的情况考虑。
6.4 拉弯、压弯构件加固计算
6.4 拉弯、压弯构件加固计算
6.4.1 拉弯或压弯构件的截面加固应根据原构件的截面特性、受力性质和初始几何变形状况等条件,综合考虑选择适当的加固截面形式,其截面强度应按下式验算:

式中:N——构件承受的总轴心力(N);
M x ,M y ——分别为绕x轴和y轴的总最大弯矩(N·mm);
A n ——计算截面净截面面积(mm 2 );
W nx ,W ny ——分别为计算截面净截面面积对x轴和y轴的净截面抵抗矩(mm 3 );
ω Tx ,ω Ty ——构件对x轴和y轴的总挠度(mm),按本标准公式(6.2.6)计算;
γ x ,γ y ——截面塑性发展系数,对Ⅰ、Ⅱ类结构构件,取γ x 等于γ y 等于1.0;对Ⅲ、Ⅳ类结构构件,可按现行国家标准《钢结构设计标准》GB 50017的规定采用;
η EM ——拉弯或压弯加固构件的强度修正系数,对双侧加固,按表6.4.1取值;对单侧加固,按表6.4.1系数的0.9倍取值;
f——钢材强度设计值(MPa),取截面中最低强度级别钢材的强度设计值。
表6.4.1 η EM 系数取值

注:1 表中应力比σ 0max /f的限值尚应符合本标准表6.1.6的规定;
2 η n 值应符合本标准表6.3.1的规定。
条文说明
6.4.1 偏心受力的拉弯或压弯构件,其截面加固比较复杂,应根据原有构件截面特征、损伤状况、加固要求等综合考虑选择加固截面。计算中除考虑加固前后构件总挠度ωT可能引起的附加弯矩外,还引入了偏心受力构件的设计强度降低系数ηEM,其值除经模拟计算分析简化外,尚与轴心受压构件和受弯构件作了对比、协调。 偏心受力构件的设计强度降低系数ηEM仍需针对其不同设计工作条件类别和不同加固方法进行取值。其中需要说明的是,对Ⅲ、Ⅳ类结构,首先应按初始轴力比对系数的确定分为两类:当N/An >0.55fy时,偏心受力构件受力接近于轴心受力构件,可按ηn取值;当N/An ≤0.55fy 时,此系数介于受弯构件与轴心受力构件之间,其取值原则与本标准第6.2.1条相同。
6.4.2 加固弯矩作用在对称平面内的实腹式压弯构件,其稳定性的验算应符合下列规定。
1 弯矩作用平面内的稳定性验算应符合下列规定:
1)弯矩作用平面内的稳定性验算应按下列公式验算:

式中:N——所计算构件段范围内轴心压力(N);
φ x ——弯矩作用平面内的轴心受压构件的稳定系数,按现行国家标准《钢结构设计标准》GB 50017的规定值采用;
M x ——所计算构件段范围内最大弯矩(N·mm);
γ x ——截面塑性发展系数,对Ⅰ、Ⅱ类构件,γ x 应取1.0;对Ⅲ、Ⅳ类构件,可按现行国家标准《钢结构设计标准》GB 50017的规定采用;
W 1x ——弯矩作用平面内较大受压纤维的毛截面抵抗矩(mm 3 );
ω x ——构件对x轴的初始挠度ω 0 及焊接加固残余挠度ω w 之和(mm),ω w 按本标准第6.2.7条确定;
β mx ——等效弯矩系数,按现行国家标准《钢结构设计标准》GB 50017的规定采用;
f * ——钢材换算强度设计值(MPa),按本标准第6.2.4条采用;
N Ex ——欧拉临界力(N);
A——构件加固后的截面面积(mm 2 );
λ x ——加固后构件对截面x轴的长细比。
2)对轧制或组合成的T形和槽形单轴对称截面,当弯矩作用在对称轴平面且使较大受压翼缘受压时,除应按本标准公式(6.4.2-1)验算外,尚应按下式验算:

式中:W 2x ——对较小翼缘或腹板边缘的毛截面抵抗矩(mm 3 )。
2 弯矩作用平面外的稳定性应按下式验算:

式中:N——构件所受轴心压力(N);
φ y ——弯矩作用平面外的轴心受压构件稳定系数,按现行国家标准《钢结构设计标准》GB 50017的规定值采用;
A——加固后构件的截面面积(mm 2 );
φ b ——均匀受弯构件的整体稳定系数,按现行国家标准《钢结构设计标准》GB 50017的规定计算;计算时f y 取f * ;对闭口截面取φ b 取1.0;
M x ——所计算构件段范围内最大弯矩(N·mm);
η——截面影响系数,闭口截面η取0.7;其他截面η取1.0;
β tx ——等效弯矩系数,按现行国家标准《钢结构设计标准》GB 50017的规定采用;
ω x ——构件对x轴的初始挠度ω 0x 与焊接残余挠度ω w 之和(mm)。
条文说明
6.4.2 实腹式压弯构件截面加固的计算,主要考虑了加固钢材与原构件屈服强度的可能不同且存在应力滞后,以及加固构件因负荷、焊接加固引起的挠度增加等因素,故在其计算表达式中分别引入了钢材换算强度设计值f * 、压弯构件强度折减系数ηEM、截面影响系数η,以及初始挠度ω0和焊接残余挠度ωw(ωx=ω0+ωw)引起的附加弯矩的影响。
6.4.3 弯矩作用在两个主平面内的双轴对称加固实腹式工字形和箱形截面压弯构件,其稳定性应按下列公式验算:

式中:φ x ,φ y ——对强轴和弱轴的轴心受压构件稳定系数,按现行国家标准《钢结构设计标准》GB 50017的规定值采用;
φ bx ,φ by ——均匀受弯构件的整体稳定系数;对闭口截面取φ bx 等于φ by 等于1.0;对工字形截面,φ by 取1.0;φ bx 可按现行国家标准《钢结构设计标准》GB 50017的规定计算,计算时f y 取1.1f * ;
M x ,M y ——所计算构件段范围内对强轴和弱轴的最大弯矩(N·mm);
N Ex ,N Ey ——构件分别对x轴和y轴的欧拉临界力(N);
ω x ——构件对x轴的初始挠度ω 0x 与焊接残余挠度ω wx 之和(mm);
ω y ——构件对y轴的初始挠度ω 0y 与焊接残余挠度ω wy 之和(mm);
W 1x ,W 1y ——对强轴和弱轴的毛截面抵抗矩(mm 3 );
β mx ,β my ,β tx ,β ty ——等效弯矩系数,按现行国家标准《钢结构设计标准》GB 50017的规定采用。
条文说明
6.4.3 弯矩作用在两主平面内的加固的工字形或箱形截面构件的整体稳定性计算原理和表达式,除引入了上述f * 、ηEM和Nωx、Nωy参量外,与现行国家标准《钢结构设计标准》GB 50017的有关规定相同。
6.4.4 格构式轴心受压构件的加固应符合下列规定:
1 当无初弯曲且为对称加固截面时,可分别按本标准第6.3.1条和第6.3.3条的规定验算其强度和稳定性;但对虚轴的长细比应按现行国家标准《钢结构设计标准》GB 50017的规定取用换算长细比。
2 当构件有初始弯曲、焊接残余挠度或非对称加固截面引起的附加偏心时,应视为格构式压弯构件,分别按本标准第6.4.5条~第6.4.8条验算其稳定性。
6.4.5 弯矩的整体稳定性应符合下列规定:
1 仅有绕虚轴x轴作用的弯矩和初弯曲的附加偏心ω x 时,加固格构式压弯构件,其弯矩作用平面内的整体稳定性可按下列公式验算:

式中:I x ——加固后截面对x轴的毛截面惯性矩(mm 4 );
y 0 ——由x轴到压力较大分肢的轴线距离或者到压力较大分肢的腹板边缘的距离(mm),二者取较大者。
2 弯矩作用平面外的整体稳定性可不验算,但应验算分肢的稳定性。分肢的轴力可按桁架的弦杆,并应考虑构件所受轴力、弯矩和弯曲损伤引起的附加偏心算得;对缀板式构件的分肢尚应计入由剪力引起的弯矩。
6.4.6 弯矩绕实轴作用,且无弯矩作用平面外初始弯曲损伤及附加偏心的格构式压弯构件,其弯矩作用平面内和平面外的稳定性计算均应与加固后实腹式压弯构件相同,且在计算弯矩作用平面外的整体稳定性时,长细比应取换算长细比且φ b 应取1.0。
6.4.7 弯矩作用在两个主平面和有双向初弯曲和附加偏心(ω x ,ω y )的双肢格构式压弯构件,其加固后稳定性验算应符合下列规定:
1 按整体计算时,应按公式(6.4.7-1)计算,其中,φ x 和N Ex 由换算长细比及本标准第6.3.3条中关于轴心受压稳定系数的规定确定。

2 按分肢计算时,在轴心力N和弯矩M y 作用下,可将分肢作为桁架弦杆计算其轴心力;对弯矩M y ,可按公式(6.4.7-2)和公式(6.4.7-3),分配给两分肢(图6.4.7),然后按本标准第6.4.2条的规定计算分肢的稳定性。

图6.4.7 格构式构件截面
1、2-均为分肢
1)分肢1可按下式计算:

2)分肢2可按下式计算:

式中:I 1 ,I 2 ——分肢1,分肢2对y轴的惯性矩(mm 4 );
y 1 ,y 2 ——M y 作用的主轴平面至分肢1、分肢2轴线的距离(mm)。
条文说明
6.4.4~6.4.7 截面加固的格构式偏心受压构件稳定性计算采用现行国家标准《钢结构设计标准》GB 50017的有关表达式,并引入f * 、ηEM和Nωx、Nωy以分别考虑不同钢材屈服强度、应力滞后和附加弯矩影响,但格构式构件因其受力、截面加固、损伤状况等可能不相同,采用本标准的方法时,应分析研究其受力,并在整体稳定、分肢稳定计算中予以考虑。
6.4.8 对实腹式轴心受压、压弯构件和格构式构件单肢的板件应按现行国家标准《钢结构设计标准》GB 50017的有关规定验算其局部稳定性。
条文说明
6.4.8 上述各类构件加固后的局部稳定验算应根据新形成的几何特征,按现行国家标准《钢结构设计标准》GB 50017的有关规定执行。
6.5 构造规定及设计对施工要求
6.5 构造规定及设计对施工要求
6.5.1 负荷状态下进行钢结构加固时,应制定详细的加固工艺过程和技术条件,其所采用的工艺应保证加固件的截面因焊接加热、附加钻、扩孔洞等所引起的削弱不致产生显著影响,并应按隐蔽工程进行验收。
条文说明
6.5.1 负荷下加固钢构件时,常需进行焊接,开、扩螺栓孔洞。此时必须制定合理的施工工艺,保证构件在施工过程中有足够的承载力,以免加固施工中发生工程事故。对加固后不便于检查质量并影响结构承载能力的施工过程中的结构状况,尚应详细记录并作为隐蔽工程进行验收,以保证加固效果。
6.5.2 采用螺栓或铆钉连接方法增大钢结构构件截面时,加固与被加固板件应相互压紧,并应从加固件端部向中间逐次做孔和安装、拧紧螺栓或铆钉,且不应造成加固过程中截面的过大削弱。
6.5.3 增大截面法加固有2个以上构件的静不定结构时,应首先将加固与被加固构件全部压紧并点焊定位,并应从受力最大构件开始依次连续地进行加固连接。
条文说明
6.5.3 本条特别强调了对有2个以上构件组成的静不定结构(框架、连续梁等)进行加固时,应先点焊定位,使结构初成整体,再从受力最大的构件开始,逐次焊接,以便结构能较自由变形,减少焊接残余应力。
6.5.4 当采用增大截面法加固开口截面时,应将加固后截面密封,以防止内部锈蚀;加固后截面不密封时,板件间应留出不小于150mm的操作空间,用于日后检查及防锈维护。
7 粘贴钢板加固法
7.1 一般规定
7 粘贴钢板加固法
7.1 一般规定
7.1.1 本方法可用于钢结构受弯、受拉、受剪实腹式构件的加固以及受压构件的加固。
条文说明
7.1.1 本方法作为钢结构传统增大截面加固方法的补充。由于考虑到胶粘结构的可靠性和耐久性,本方法当前主要应用于现场不适宜焊接以及要求加固周期比较短的钢结构加固工程。
7.1.2 粘贴钢板加固钢结构构件时,加固钢结构构件表面宜采取喷砂方法处理。
条文说明
7.1.2 钢结构构件的表面处理方法对粘钢的粘接强度有显著影响。根据ISO有关标准的推荐,在保证结构胶粘结性能和质量的前提下,对碳钢而言,喷砂是钢构件表面糙化处理的首选方法,它可以保证钢板与原加固构件表面的粘合更牢固。
7.1.3 粘贴在钢结构构件表面上的钢板,其最外层表面及每层钢板的周边均应进行防腐蚀处理,并应符合本标准第4.7节的有关规定。钢板表面处理用的清洁剂和防腐蚀材料不应对钢板及结构胶粘剂的工作性能和耐久性产生不利影响。
条文说明
7.1.3 粘贴在钢结构表面的钢板之所以要进行防护处理,主要是考虑加固的钢板一般较薄,容易因锈蚀而显著削弱截面,或引起粘合面剥离破坏,其后果必然影响使用安全。钢结构构件表面、粘贴钢板表面的防锈蚀和清洁处理,是影响结构胶力学性能和耐久性能的重要方面。严禁采用与结构胶粘剂发生化学反应或影响结构胶性能的清洁剂和防锈蚀材料。结构胶的供应商应提供结构胶粘剂配套使用的清洁剂和防锈蚀材料。
7.1.4 采用本方法加固的钢结构,其长期使用的环境温度不应高于60℃;处于高温、高湿、介质侵蚀、放射等特殊环境的钢结构采用本方法加固时,除应按国家现行有关标准的规定采取相应的防护措施外,尚应采用耐环境因素作用的胶粘剂,并应按专门的工艺要求进行粘贴。
条文说明
7.1.4 本条规定了长期使用的环境温度不应高于60℃,是按常温条件下使用结构胶的性能确定的。当采用与钢板匹配的耐高温结构胶时,可不受此规定限制,但应受现行国家标准《钢结构设计标准》GB 50017有关规定的限制。在特殊环境下(如高温、高湿、介质侵蚀、放射等)采用粘贴钢板加固法时,除应遵守国家现行有关标准的规定采取专门的粘贴工艺和相应的防护措施外,尚应采用耐环境因素作用的结构胶,并由专业部门做相应的检测和认证后方可使用。
7.1.5 采用粘贴钢板对钢结构进行加固时,宜在加固前采取措施卸除或大部分卸除作用在结构上的活荷载。
条文说明
7.1.5 采用粘贴钢板加固时,应采取措施卸除或大部分卸除作用在结构上的活荷载。其目的是减少二次受力的影响,也就是降低钢板的滞后应变,使得加固新增的钢板能充分发挥强度。
7.1.6 采用粘贴钢板加固的钢结构,应符合现行国家标准《建筑设计防火规范》GB 50016耐火等级及耐火极限的规定,并应对胶粘剂和钢板进行防护。
条文说明
7.1.6 粘贴钢板的结构胶一般是可燃的,故应按现行国家标准《建筑设计防火规范》GB 50016规定的耐火等级和耐火极限要求及有关防火构造规定进行防护。
7.2 受弯构件的加固计算
7.2 受弯构件的加固计算
7.2.1 采用粘贴钢板对实腹式受弯构件进行加固时,除应符合现行国家标准《钢结构设计标准》GB 50017受弯构件承载力计算的规定外,加固后的构件尚应符合在达到受弯承载能力极限状态前,其外贴钢板与原钢构件之间不致出现粘结剥离破坏的规定。
条文说明
7.2.1 采用粘贴钢板对实腹式受弯构件的加固计算,其基本假设条件是构件的变形平截面假定和考虑二次受力影响的滞后应变效应。
7.2.2 受弯构件粘贴钢板加固后的截面面积和截面弹性模量可按组合截面进行计算,计算中可不计胶层的厚度。
条文说明
7.2.2 粘钢加固后的截面属性根据弹性力学的基本公式,按照复合截面的形式进行计算,并需注意截面中和轴的改变。
7.2.3 受弯构件的受拉边或受压边翼缘粘钢加固时(图7.2.3),其正截面承载力应按下列公式确定:

图7.2.3 工字形截面构件正截面受弯承载力计算
1-粘钢A' SP ;2-粘钢A SP

式中:σ 0 ——不能卸载的初始荷载作用下构件最大应力(MPa);
σ 1 ——扣除初始荷载的使用荷载作用下构件最大应力(MPa);
σ——全部使用荷载作用下构件最大应力(MPa);
W nx0 ——原构件净截面模量(mm 3 );
W nx ——加固后构件净截面模量(mm 3 );
M x0 ——不能卸载的初始荷载作用下的弯矩设计值(N·mm);
M x ——构件加固后弯矩设计值(N·mm);
f——钢材的抗弯强度设计值(MPa);
η m ——受弯构件加固强度修正系数,应按本标准表7.2.3的规定取值。
表7.2.3 η m 系数取值

注:表中应力比σ 0max /f的限值尚应符合本标准表6.1.6的规定。
条文说明
7.2.3 受弯承载力以及受剪承载力的加固计算,应考虑不能卸载的荷载引起的原构件应力,该应力应按原截面模量进行计算;受弯构件粘钢加固尚应引入针对不同使用条件类别构件的强度修正系数。粘钢加固后的截面可采用弹性力学的基本公式,按复合截面的形式进行计算,计算时应注意截面中和轴的改变。
7.2.4 受弯构件的腹板上粘钢进行受剪加固时(图7.2.4),其抗剪强度应符合下列规定:

图7.2.4 工字形截面构件受剪加固计算
1-粘钢
1 承受静力荷载的构件应符合下列规定:

2 承受动力荷载的构件应符合下列规定:

式中:V——加固后计算截面沿腹板平面作用的剪力(N);
V 1 ——加固过程中实际荷载作用下的剪力(N);
S 0 、S——加固前和加固后构件在计算剪应力处以上毛截面对中和轴的面积矩(mm 3 );
I 0 、I——加固前原截面和加固后构件的毛截面惯性矩(mm 4 );
t 0 w ——加固前原有构件腹板厚度(mm);
t w1 ——加固后腹板增加的换算厚度(mm);
f v ——计算部位原钢材的抗剪强度设计值(MPa);
η v ——受弯构件腹板粘钢加固强度修正系数,对于Ⅰ、Ⅱ类结构取为0.80;对其他类结构取为0.85。
条文说明
7.2.4 受弯构件抗剪加固计算,应考虑不能卸载的荷载引起的原构件应力,该应力应按原截面模量进行计算;与本标准第7.2.3条相同,受弯构件粘钢加固尚应引入强度修正系数。加固过程中实际荷载应包括施工荷载。
7.2.5 在对主平面内受弯构件进行粘钢加固时,其整体稳定性验算,可采用本标准第6.2.4条的有关公式。验算时,应将钢材抗弯强度设计值f改取为钢材换算强度设计值f * ,并应乘以强度修正系数η m 。钢材换算强度设计值f * ,应按本标准第6.2.4条的有关规定计算;其抗弯加固强度修正系数η m 应按本标准表6.2.1的规定取值。
7.2.6 受弯构件采用粘钢加固后,其受弯承载力以及受剪承载力的提高幅度,均不应超过30%。
条文说明
7.2.6 考虑到胶体材料的特性及其施工工艺的高要求等因素,可能对被加固构件工作产生的影响,以及加固后引起的翼缘板和腹板应力的变化等因素,有必要控制加固后构件的承载力提高幅度。与本标准第6.1.10条对非焊接加固方法所规定的最大名义应力的折减相类似,为了保证粘钢加固的可靠性,规定其受弯承载力以及受剪承载力的提高幅度,均不应超过30%。
7.2.7 被加固结构构件的总挠度验算,可采用本标准第6.2.6条的有关公式,但不应考虑焊接残余挠度计算项。
条文说明
7.2.7 采用结构胶粘贴钢板加固方法,一般不与焊接工艺同时使用,因此,挠度计算中就不存在焊接残余挠度的有关计算项。
7.2.8 对受弯构件正弯矩区的正截面加固,其受拉面沿轴向粘贴的钢板的截断位置,应从其强度充分利用的截面算起,且粘贴延伸长度的取值应符合下式规定:

式中:l sp ——受拉钢板粘贴延伸长度(mm);
t sp ——粘贴的钢板总厚度(mm);
f sp ——加固钢板的抗拉强度设计值(MPa);
f bd ——钢板与钢板之间的粘结强度设计值(MPa),可取为2.OMPa。
条文说明
7.2.8 对粘钢加固的受弯构件,粘钢板的长度应按其强度充分利用的截面点算起,再外加200mm来确定其取值,以保证加固后强度的充分发挥。
7.2.9 受弯构件粘贴钢板加固爪的翼缘和腹板的局部稳定性验算,应符合本标准第6.2.5条的有关规定。
条文说明
7.2.9 受弯构件的受拉翼缘表面粘钢加固后,虽然提高了其受弯承载力,但其局部稳定性和整体稳定性可能有问题,故应按现行国家标准《钢结构设计标准》GB 50017的有关规定进行验算,以确定是否也需增强。
7.3 轴心受力构件加固计算
7.3 轴心受力构件加固计算
7.3.1 轴心受拉或者轴心受压宜采用对称或不改变形心位置的加固截面形式,粘钢加固的轴心受拉或者轴心受压构件的强度验算,应采用本标准第6.3节的有关公式;轴心受力构件加固强度修正系数η n ,应按本标准表6.3.1取值。
条文说明
7.3.1 轴心受力构件之所以宜采用对称加固,其主要目的是为了防止构件受力方式的改变。考虑到粘贴钢板加固后的有效截面面积的折减因素,在计算公式上采用了设计强度修正的形式。
7.3.2 当粘钢端部有可靠锚固时,轴心受拉构件的局部加固,其正截面承载力应同时符合下列公式规定:

式中:N——轴向拉力设计值(N);
f——钢材的抗弯强度设计值(MPa);
A n0 ——原构件净截面面积(mm 2 );
η n ——轴心受力构件加固强度修正系数,应按本标准表7.3.2的规定取值;
f sp ——粘贴钢板的抗拉强度设计值(MPa);
A sp ——粘贴钢板的截面面积(mm 2 )。
表7.3.2 η n 系数取值

注:表中应力比σ 0max /f的限值尚应符合本标准表6.1.6的规定。
条文说明
7.3.2 轴心受拉情况下,只要被加固构件端部锚固构造可靠、合理,其计算截面就能达到极限状态,但应考虑后加固的粘钢与原构件之间的协同工作问题。为慎重计,要求承载力的提高不应大于原构件承载力的40%。
7.3.3 轴心受压构件的整体稳定性验算,应采用本标准第6.3.3条的有关公式计算。轴心受压构件截面的分类应依据加固前的原有截面类型,板件厚度应按加固后的毛截面面积确定。
条文说明
7.3.3 粘钢加固后的轴心受压构件,其整体稳定性验算和截面分类,均按现行国家标准《钢结构设计标准》GB 50017的有关规定执行。本标准暂不考虑胶粘和焊接两种加固方法在构件稳定承载力上的差异性及其影响,即轴心受压构件的截面分类和稳定系数的确定取相同的类别和φ值。
7.4 拉弯和压弯构件的加固计算
7.4 拉弯和压弯构件的加固计算
7.4.1 粘钢加固的拉弯或压弯构件,其截面强度应按本标准公式6.4.1验算;拉弯或压弯构件加固的强度修正系数η EM ,应按本标准表7.4.1的规定取值。
表7.4.1 η EM 系数取值

注:表中应力比σ 0max /f的限值尚应符合本标准表6.1.6的规定。
7.4.2 弯矩作用在对称轴子面内的实腹式压弯构件的粘钢加固,其平面内稳定性应按本标准第6.4.2条第1款的公式验算;截面塑性发展系数γ x 应取为1.0。
7.4.3 粘钢加固的实腹式压弯构件在弯矩作用平面外的稳定性应按本标准第6.4.2条第2款的规定进行验算。
条文说明
7.4.1~7.4.3 粘钢加固的拉弯或压弯构件的强度验算、平面内的稳定性验算和平面外的稳定性验算,可通过强度修正系数ηEM来综合考虑加固后的二次受力以及由于粘贴工艺和胶体材料的特性所造成的截面设计强度的下降,另外,从结构构件安全出发,在稳定验算中,均不考虑构件截面的塑性发展,即截面塑性发展系数γx取为1.0。
7.4.4 粘钢加固受压圆钢管时,其加固后外径D与其壁厚之比应符合下式规定:

条文说明
7.4.4 粘钢加固受压圆钢管径厚比的限制是依据现行国家标准《钢结构设计标准》GB 50017对于局部稳定的有关规定。
7.4.5 加固后构件的局部稳定应按现行国家标准《钢结构设计标准》GB 50017的规定验算;对构造措施充分、可按塑性设计的钢结构构件,其宽厚比尚应符合现行国家标准《钢结构设计标准》GB 50017的规定。
7.5 构造规定
7.5 构造规定
7.5.1 当工字形钢梁的腹板局部稳定需要加固时,可采用在腹板两侧粘贴T形钢件的方法进行加固(图7.5.1),其中T形钢件的粘贴宽度不应小于板厚的25倍。

图7.5.1 工字形截面腹板局部稳定加固
1-T形粘钢;2-腹板
条文说明
7.5.1 当工字形钢梁的腹板局部稳定不符合规定时,可采用在腹板两侧粘贴T形钢部件进行加固,T形钢部件的厚度不应小于6mm。对T形钢部件粘贴宽度的要求是为了保证腹板与T形钢翼缘板有足够的胶粘面积,以满足可靠连接;并通过分区构造提高被加固钢构件腹板的局部稳定承载力。分区腹板的局部稳定验算公式和构造要求应符合现行国家标准《钢结构设计标准》GB 50017的有关规定。
7.5.2 在受弯构件的受拉边或受压边钢构件表面上进行粘钢加固时,粘贴钢板的宽度不应超过加固构件的宽度;其受拉面沿构件轴向连续粘贴的加固钢板宜延长至支座边缘,且应在包括截断处的钢板端部及集中荷载作用点的两侧设置不少于2M12的连接螺栓(图7.5.2),作为粘钢端部的机械锚固措施;对受压边的粘钢加固,尚应在跨中位置设置不少于2M12的连接螺栓。

图7.5.2 工字形截面受弯加固端部构造
1-M12螺栓
条文说明
7.5.2 在受弯构件的粘钢加固中,从构造方面要求粘贴钢板的宽度不应超过加固构件的宽度;从受力合理性角度,要求其受拉面的加固板须沿构件轴向连续粘贴,并延长至支座边缘,且应配合必要的锚固连接螺栓。为了避免削弱截面强度,对于受拉边的跨中不增设连接螺栓;对于受压边跨中增设连接螺栓,可有效提升构件整体性。
7.5.3 采用手工涂胶粘贴的单层钢板厚度不应大于5mm,采用压力注胶粘贴的钢板厚度不应大于10mm。
条文说明
7.5.3 由于胶体变形能力和抗剪强度的局限性,不适宜粘贴厚型钢板;考虑到加固增量、施工工艺以及施工方便程度等方面的因素,对粘贴钢板的总厚度做了适当的限制。
7.5.4 为避免胶层出现应力集中而提前破坏,宜将粘贴钢板端部削成30°斜坡角,且不应大于45°。
条文说明
7.5.4 将粘贴钢板端部削成45°斜坡角,可以有效缓解加固端由于截面突变造成的应力集中,使得纵向剪力的传递平缓一些。
7.5.5 加固件的布置不宜采用引起截面形心轴偏移的形式,不可避免时,应在加固计算中考虑形心轴偏移的影响。
条文说明
7.5.5 加固件引起截面形心轴的偏移,应按新的截面特性进行设计验算,并在验算中考虑附加偏心引起的附加弯矩。
8 外包钢筋混凝土加固法
8.1 一般规定
8 外包钢筋混凝土加固法
8.1 一般规定
8.1.1 实腹式轴心受压、压弯和偏心受压的型钢构件加固应符合本章规定。
条文说明
8.1.1 外包钢筋混凝土加固法虽适用于加固各类压弯和偏压型钢构件,但它由于湿作业工作量大、养护期长、占用建筑空间较多,故一般仅用于需要大幅度提高承载能力的实腹式型钢构件加固。
8.1.2 采用外包钢筋混凝土加固型钢构件时,宜采取措施卸除或大部分卸除作用在结构上的活荷载。
条文说明
8.1.2 采取措施卸载主要是为了减少二次受力的影响,从而可以收到较好的加固效果。
8.1.3 型钢构件采用符合本标准设计规定的外包钢筋混凝土加固后,在进行结构整体内力和变形分析时,其截面弹性刚度可按下列公式确定:

式中:E t I t 、E t A t 、G t A t ——分别为加固后组合截面抗弯刚度(N·mm 2 )、轴向刚度(N)和抗剪刚度(N);
EI 0 、EA 0 、GA 0 ——分别为原有型钢构件的截面抗弯刚度(N·mm 2 )、轴向刚度(N)和抗剪刚度(N);
E c I c 、E c A c 、G c A c ——分别为新增钢筋混凝土部分的截面抗弯刚度(N·mm 2 )、轴向刚度(N)和抗剪刚度(N)。
条文说明
8.1.3 本条规定了对加固后结构进行的整体内力及位移分析,可采用叠加方法计算组合构件的刚度。
8.2 加固计算
8.2 加固计算
8.2.1 采用外包钢筋混凝土加固压弯构件和偏心受压构件,其正截面承载力应按下列公式验算:


式中:N、M——分别为构件加固后的轴向压力设计值(N)和考虑二阶效应后控制截面的弯矩设计值(N·mm);应按现行国家标准《混凝土结构设计规范》GB 50010的规定计算;
N su 、M su ——分别为型钢构件的轴心受压承载力(N)及相应的受弯承载力(N·mm);当为对称截面时可分别按本标准公式(8.2.2-1)和公式(8.2.2-2)计算;
N cu 、M cu ——分别为钢筋混凝土部分承担的轴心受压承载力(N)及相应的受弯承载力(N·mm),可按现行国家标准《混凝土结构设计规范》GB 50010计算;
η cs ——被加固构件的强度修正系数,按表8.2.1取值。
表8.2.1 η cs 系数取值

注:表中应力比σ 0max /f的限值尚应符合本标准表6.1.6的规定。
条文说明
8.2.1 采用外包钢筋混凝土加固构件时,其正截面承载力计算公式系参照现行行业标准《钢骨混凝土结构技术规程》YB 9082的计算公式给出,但为考虑二次受力及二次施工因素的影响,引入了强度修正系数对外包钢筋混凝土部分的承载力予以折减。
8.2.2 型钢构件和新增钢筋宜布置成矩形截面(图8.2.2),并可按下列简化方法设计:

图8.2.2 对称配筋截面
1 先计算钢构件部分的轴心受压承载力及相应的受弯承载力,型钢构件部分承担的轴力及相应的受弯承载力可按下列公式计算:

2 再确定钢筋混凝土部分承担的轴力和弯矩设计值,钢筋混凝土部分承担的轴力设计值及相应的弯矩设计值可按下列公式计算:

式中:N c 、M c ——分别为钢筋混凝土部分承担的轴力(N)和弯矩设计值(N·mm);
N u0 ——加固后,组合构件短柱轴心受压承载力(N);
N s0 ——型钢构件的轴心受压承载力(N);
N c0 ——钢筋混凝土部分的轴心受压承载力(N);
N b ——界限破坏时的轴力(N);
M s0 ——型钢构件的受弯承载力(N·mm);
m——N su -M su 相关线性形状系数,按表8.2.2取值;
f' st ——钢筋抗压强度设计值(MPa);
A s ——纵向钢筋截面面积(mm 2 );
α 1 、β 1 ——混凝土等效矩形应力图系数,按现行国家标准《混凝土结构设计规范》GB 50010确定;
γ——截面塑性发展系数,对Ⅰ、Ⅱ类结构构件,γ应取1.0;对Ⅲ、Ⅳ类结构构件,可按现行国家标准《钢结构设计标准》GB 50017的规定采用;
W 0n ——型钢构件净截面抵抗矩(mm 3 )。
表8.2.2 N su -M su 相关线性形状系数m

3 然后可按现行国家标准《混凝土结构设计规范》GB 50010计算钢筋混凝土部分偏心受压正截面承载力及其配筋。
条文说明
8.2.2 本条公式(8.2.2-3)及公式(8.2.2-4)是钢筋混凝土部分承担的轴力及相应的弯矩设计值的计算公式。设计时,为考虑二次受力和二次施工因素的影响,对钢筋混凝土部分承担的轴力和弯矩予以放大。对配置非对称截面的钢构件,当钢构件的非对称性不是很大时,可偏于安全地换算成对称截面,再按本条进行计算。
8.2.3 对承受压力和双向弯矩作用的矩形截面外包钢筋混凝土型钢构件,其正截面受弯承载力应按下列公式验算:

式中:M x 、M y ——分别为绕x轴和y轴的弯矩设计值(N·mm);
M sux 、M suy ——分别为型钢构件部分绕x轴和y轴的受弯承载力(N·mm);
M cux 、M cuy ——分别为钢筋混凝土部分绕x轴和绕y轴的受弯承载力(N·mm)。
条文说明
8.2.3 采用外包钢筋混凝土加固承受压力和双向弯矩的钢构件时,其正截面受弯承载力计算公式考虑了二次受力及二次施工因素的影响,对外包钢筋混凝土部分承载力乘以强度修正系数ηcs予以折减。ηcs取值同本标准第8.2.1条的规定。本条公式(8.2.3-1)和公式(8.2.3-2)给出了双向受弯正截面承载力的一般叠加方法,其计算原理与本标准第8.2.1条相同,即对于给定的轴力N值,根据轴力平衡方程,任意分配钢构件部分和钢筋混凝土部分承担的轴力,并分别求得相应各部分绕x轴和y轴的受弯承载力,两部分受弯承载力之和的最大值,即为在该轴力下钢骨混凝土柱的受弯承载力。
8.2.4 外包钢筋混凝土加固型钢构件时,其受剪截面应符合下列限制条件:

式中:V——加固后构件的剪力设计值(N);
t w 、h w ——分别为钢构件腹板的厚度和腹板的高度(mm),t w 、h w 应计入与受剪方向一致的所有钢板的面积;
f v ——钢材的抗剪强度设计值(MPa);
V cu ——外包钢筋混凝土部分的受剪承载力(N),可按现行国家标准《混凝土结构设计规范》GB 50010的规定计算;
β c ——混凝土强度影响系数,当混凝土强度等级不高于C50时,β c 取1.0;当混凝土强度等级为C80时,β c 取0.8;其间按线性内插法确定。
8.2.5 外包钢筋混凝土加固型钢构件时,其斜截面受剪承载力应符合下列规定:

式中:V——加固后构件的剪力设计值(N);
V su ——型钢构件的受剪承载力(N);
V cu ——外包钢筋混凝土部分的受剪承载力(N),可按现行国家标准《混凝土结构设计规范》GB 50010的规定计算;
α v ——新增钢筋混凝土的强度修正系数,α v 取0.85;
t w 、h w ——分别为钢构件腹板的厚度和腹板的高度(mm),t w 、h w 应计入与受剪方向一致的所有钢板的面积;
f v ——钢材的抗剪强度设计值(MPa)。
条文说明
8.2.4、8.2.5 采用外包钢筋混凝土加固钢构件时,其斜截面受剪承载力计算公式也考虑了二次受力和二次施工因素的影响,而且其影响较大,故对外包钢筋混凝土部分的承载力予以折减,取抗剪强度利用系数为0.85,并直接表达在本标准公式(8.2.5-1)中。
8.3 构造规定
8.3 构造规定
8.3.1 采用外包钢筋混凝土加固法时,混凝土强度等级不应低于C30;外包钢筋混凝土的厚度不宜小于100mm。
条文说明
8.3.1 外包钢筋混凝土厚度的规定是保证型钢结构构件耐火性、耐久性,并保证钢构件不产生局部压屈的重要条件。同时还需要考虑施工方便,能使混凝土浇筑密实。因此外包钢筋混凝土厚度不宜太小
8.3.2 外包钢筋混凝土内纵向受力钢筋的两端应有可靠的连接和锚固。
条文说明
8.3.2 为保证力的可靠传递,纵向受力钢筋两端应有可靠的连接和锚固,柱下端应深入基础并应满足锚固要求;其上端应穿过楼板与上层节点连接或在屋面板处封顶锚固。此外为保证外包混凝土与型钢构件的共同工作,防止外包混凝土过早剥落而导致承载力降低,因此构件中应按现行国家标准《混凝土结构设计规范》GB 50010的要求配置箍筋;同时在端部塑性铰区的箍筋宜采用焊接封闭箍筋,并且尚应加密配置。
8.3.3 采用外包钢筋混凝土加固时,对于过渡层、过渡段及钢构件与混凝土间传力较大部位经计算需要在钢构件上设置抗剪连接件时,宜采用栓钉。
条文说明
8.3.3 采用外包钢筋混凝土加固钢构件的截面设计是按叠加原理,在计算中并未要求钢构件与混凝土共同作用,一般不需要设抗剪连接件。对过渡层、过渡段、型钢构件与混凝土间传力较大部位,为保证型钢构件与外包混凝土间的传力可靠和共同受力,仍宜设置抗剪连接件。由于目前抗剪连接件通常采用栓钉,因此本标准中关于抗剪连接件的设置,均按采用栓钉确定。
8.3.4 除本标准规定的构造要求外,钢筋混凝土部分的其他构造尚应符合现行国家标准《混凝土结构设计规范》GB 50010的有关规定。
9 钢管构件内填混凝土加固法
9.1 一般规定
9 钢管构件内填混凝土加固法
9.1 一般规定
9.1.1 轴心受压和偏心受压的圆形和方形截面钢管构件的加固应符合本章规定。
条文说明
9.1.1 本条规定了被加固钢管构件的基本构造要求。圆形钢管的直径不宜过小,以保证混凝土浇筑质量。
9.1.2 采用内填混凝土加固法的钢管构件应符合下列条件:
1 圆形钢管的外直径D不宜小于200mm;钢管壁厚t不宜小于4mm;
2 方形钢管的截面边长不宜小于200mm;钢管壁厚不宜小于6mm;
3 矩形截面钢管的高宽比h/b尚不应大于2;
4 被加固钢管构件应无显著缺陷或损伤;若有显著缺陷或损伤,应在加固前修复。
条文说明
9.1.2 方形钢管包括正方形钢管和矩形钢管为保证钢管与混凝土共同工作,矩形钢管截面边长之比不宜过大。为避免加固后形成的矩形钢管混凝土构件在丧失整体承载能力之前钢管壁板件局部屈曲,除应要求钢管壁厚不小于6mm外,尚应保证钢管全截面有效。故钢管截面高宽比不应大于2。
9.1.3 采用内填混凝土加固法,宜采取措施卸除或大部分卸除作用在结构上的活荷载。
条文说明
9.1.3 采用内填混凝土加固时,为了减小二次受力的影响,宜采取措施对结构上的活荷载进行卸载。
9.1.4 采用内填混凝土加固法时,混凝土宜采用无收缩混凝土或自密实混凝土,其强度等级不应低于C30,且不宜高于C80。当采用普通混凝土时,应通过添加减缩剂减小混凝土收缩的不利影响。
条文说明
9.1.4 考虑到混凝土与钢材的合理匹配,保证质量,提出了混凝土强度等级不低于C30的要求,并应采取措施减小管内混凝土由于收缩等可能产生的不利影响。
9.1.5 对有抗震设防要求的结构,采用内填混凝土加固钢管构件,其相关设计、计算和构造尚应符合现行国家标准《建筑抗震设计规范》GB 50011的规定。
9.1.6 内填混凝土加固的钢管结构,在进行结构整体内力和变形分析时,其截面弹性刚度可按下列公式计算:

式中:E t A t ——加固后截面的轴压刚度(N);
E t I t ——加固后截面的抗弯刚度(N·mm 2 );
G t A t ——加固后截面的抗剪刚度(N);
E、E c 一分别为原钢管和内填混凝土的弹性模量(MPa);
G、G c ——分别为原钢管和内填混凝土的剪变模量(MPa);
A 0 、A c ——分别为原钢管和内填混凝土的截面面积(mm 2 );
I 0 、I c ——分别为原钢管和内填混凝土的截面惯性矩(mm 4 )。
条文说明
9.1.6 钢管内填混凝土后形成钢管混凝土构件,其截面弹性刚度可近似按原钢管和内填混凝土弹性刚度之和确定。
9.2 圆形钢管构件加固计算
9.2 圆形钢管构件加固计算
9.2.1 内填混凝土圆形钢管构件的轴心受压承载力应符合下列规定:

式中:N——内填混凝土圆形钢管构件所受轴心压力设计值;
N u ——内填混凝土圆形钢管构件的轴心受压承载力设计值。
9.2.2 内填混凝土圆形钢管构件的轴心受压承载力设计值,应符合下列规定:

1 当θ≤1/(α-1) 2 时,内填混凝土圆形钢管构件的轴心受压承载力设计值应按下式计算:

2 当θ>1/(α-1) 2 时,内填混凝土圆形钢管构件的轴心受压承载力设计值应按下式计算:

3 且本条第1、2款在任何情况下均应符合下列条件:

式中:N 0 ——内填混凝土圆形钢管轴心受压短柱的承载力设计值(N);
θ——内填混凝土圆形钢管构件的套箍系数,当θ大于2时,θ取2;
α——与内填混凝土强度等级有关的系数,按表9.2.2-1取值;
A c ——内填混凝土的截面面积(mm 2 );
f c ——内填混凝土的抗压强度设计值(MPa);
A 0 ——原钢管构件的截面面积(mm 2 );
f——原钢管构件的抗拉、抗压强度设计值(MPa);
η c ——内填混凝土圆形钢管构件加固强度修正系数,按表9.2.2-2取值;
φ e ——考虑偏心率影响的承载力折减系数,按现行国家标准《钢管混凝土结构技术规范》GB 50936的规定采用;
φ l ——考虑长细比影响的承载力折减系数,按现行国家标准《钢管混凝土结构技术规范》GB 50936的规定采用;
φ 0 ——按轴心受压构件考虑的φ l 值。
表9.2.2-1 系数α

表9.2.2-2 η c 系数取值

注:表中应力比σ 0max /f的限值尚应符合本标准表6.1.6的规定。
条文说明
9.2.1、9.2.2 参照现行国家标准《钢管混凝土结构技术规范》GB 50936给出了圆形钢管构件加固后承载力设计值的计算公式。本条公式(9.2.2-2)和公式(9.2.2-3)右端系数0.9,是参照现行国家标准《混凝土结构设计规范》GB 50010,为提高包括螺旋箍筋柱在内的各种钢筋混凝土受压构件的安全度而引入的附加系数。内填混凝土加固圆形钢管构件的强度修正系数ηc,是考虑二次受力、二次施工质量及施工环境对构件承载力的影响。标准编制组及国内院校等对有初应力的圆钢管混凝土构件进行了试验研究。研究表明钢管初应力降低了钢管混凝土试件的承载力,且钢管的初应力越大,试件的承载力下降得越多。根据试验研究结果,对加固后构件承载力予以折减。
9.2.3 当内填混凝土圆形钢管构件的剪跨a小于构件直径D的2倍时,应验算构件的横向受剪承载力,并应符合下式的规定。剪跨a应为横向集中荷载作用点至支座或节点边缘的距离。

式中:V——横向剪力设计值(N);
V uc ——内填混凝土圆形钢管构件的横向受剪承载力设计值(N)。
9.2.4 内填混凝土圆形钢管构件的横向受剪承载力设计值,应按下列公式计算:

式中:V 0 ——内填混凝土圆形钢管构件受纯剪时的承载力设计值(N);
N'——与横向剪力设计值V对应的轴向压力设计值(N);
a——剪跨,即横向集中荷载作用点至支座或节点边缘的距离(mm);
D——原钢管的外径(mm);
a v ——新增混凝土的强度修正系数,a v 取0.85;
A c ——内填混凝土的截面面积(mm 2 );
f c ——内填混凝土的抗压强度设计值(MPa);
θ——内填混凝土圆形钢管构件的套箍系数,按本标准公式(9.2.2-4)确定。
条文说明
9.2.4 参照现行国家标准《钢管混凝土结构技术规范》GB 50936给出了圆形钢管构件加固后横向受剪承载力设计值的计算公式。同时考虑二次受力、二次施工质量及施工环境对构件承载力的影响,对新增内填混凝土强度予以折减,折减系数取为0.85。
9.3 方形钢管构件加固计算
9.3 方形钢管构件加固计算
Ⅰ 轴心受压构件的加固计算
9.3.1 内填混凝土方形钢管轴心受压构件的承载力应符合下列规定:


式中:N——内填混凝土方形钢管轴心压力设计值(N);
N un ——轴心受压时净截面受压承载力设计值(N);
η r ——加固方形钢管构件的承载力折减系数,η r 取0.75;
A n0 ——钢管的净截面面积(mm 2 )。
9.3.2 轴心受压构件的稳定性应符合下列规定:

1 当λ 0 ≤0.215时,轴心受压构件的稳定系数应按下式计算:

2 当λ 0 >0.215时,轴心受压构件的稳定系数应按下式计算:

式中:N u ——内填混凝土方形钢管构件的轴心受压承载力设计值(N);
φ——轴心受压构件的稳定系数;
λ 0 ——构件的相对长细比,按本标准第9.3.3条计算。
条文说明
9.3.1、9.3.2 参照国内外有关推荐性标准和指南,给出了方形钢管轴心受压构件计算公式。考虑到二次受力及施工质量、施工环境对构件承载力的影响,对加固后构件承载力予以折减,折减系数取为0.75。在进行承载力验算时,取净截面进行验算;当截面无削弱时,按毛截面进行验算。
9.3.3 轴心受压构件的相对长细比应按下列公式计算:

式中:f y ——原矩形钢管的屈服强度(MPa);
λ——内填混凝土方形钢管轴心受压构件的长细比;
l 0 ——轴心受压构件的计算长度(mm);
r 0 ——内填混凝土方形钢管轴心受压构件截面的当量回转半径(mm)。
Ⅱ 压弯构件的加固计算
9.3.4 弯矩作用在一个主平面内的内填混凝土方形钢管压弯构件,其承载力应符合下列规定:

式中:N——轴心压力设计值(N);
M——弯矩设计值(N·mm);
A n0 ——原构件的净截面面积(mm 2 );
α c ——内填混凝土工作承担系数;当α c 小于0.7时,α c 取0.7;
M un ——只有弯矩作用时净截面的受弯承载力设计值(N·mm);
f——钢管钢材的抗弯强度设计值(MPa);
b、h——方形钢管截面平行、垂直于弯曲轴的边长(mm);
t——钢管壁厚(mm);
d n ——内填混凝土受压区高度(mm)。
9.3.5 弯矩作用在一个绕X轴的主平面内的内填混凝土方形钢管压弯构件,其弯矩作用平面内的稳定性应符合下列规定:


式中:φ x ——弯矩作用平面内轴心受压稳定系数,按本标准公式(9.3.2-3)、公式(9.3.2-4)计算;
N Ex ——欧拉临界力(N);
M ux ——只有弯矩M x 作用时截面的受弯承载力设计值(N·mm);
β mx ——等效弯矩系数,按现行国家标准《钢结构设计标准》GB 50017确定。
9.3.6 弯矩作用在一个绕X轴主平面内的内填混凝土方形钢管压弯构件,其弯矩作用平面外的稳定性应符合下列规定:

式中:φ y ——弯矩作用平面外的轴心受压稳定系数,按本标准公式(9.3.2-3)、公式(9.3.2-4)计算;
β tx ——等效弯矩系数,按现行国家标准《钢结构设计标准》GB 50017确定。
9.3.7 弯矩作用在两个主平面内的双轴压弯内填混凝土方形钢管构件,其承载力应符合下列规定:

式中:M x 、M y ——分别为绕主轴x、y轴作用的弯矩设计值(N·mm);
M unx 、M uny ——分别为绕x、y轴的净截面受弯承载力设计值(N·mm),按本标准公式(9.3.4-4)计算。
9.3.8 双轴压弯内填混凝土方形钢管构件绕主轴x轴的稳定性,应符合下列规定:

式中:φ x ——绕主轴x轴的轴心受压稳定系数,可按本标准公式(9.3.2-3)、公式(9.3.2-4)计算;
β ty ——弯矩等效系数,按现行国家标准《钢结构设计标准》GB 50017确定。
M ux 、M uy ——分别为绕x、y轴的受弯承载力设计值(N·mm),按本标准公式(9.3.5-3)计算。
9.3.9 双轴压弯内填混凝土方形钢管构件绕主轴y轴的稳定性,应符合下列规定:

式中:φ y ——绕主轴y轴的轴心受压稳定系数,可按本标准公式(9.3.2-3)、公式(9.3.2-4)计算;
β tx ——等效弯矩系数,按现行国家标准《钢结构设计标准》GB 50017确定。
条文说明
9.3.4~9.3.9 参照国内外有关推荐性标准和指南,给出方形钢管混凝土压弯构件的计算公式,并考虑二次受力、二次施工质量及施工环境对构件承载力的影响,引入了承载力折减系数ηrr,ηr取值同本标准第9.3.1条。
9.3.10 内填混凝土方形钢管框架柱的计算长度应按现行国家标准《钢结构设计标准》GB 50017的规定执行。
9.3.11 内填混凝土方形钢管柱的剪力可假定由钢管管壁承受,其剪切强度应同时符合下式规定:

式中:V x 、V y ——方形钢管混凝土柱中沿主轴x轴、主轴y轴的最大剪力设计值(N);
b——方形钢管沿主轴x轴方向的边长(mm);
h——方形钢管沿主轴y轴方向的边长(mm);
f v ——钢材的抗剪强度设计值(MPa)。
9.4 设计对管内新填混凝土施工的要求
9.4 设计对管内新填混凝土施工的要求
9.4.1 混凝土浇筑之前,应配合混凝土浇筑方法在原钢管构件上选定合适位置开混凝土浇筑口和排气孔,待混凝土浇筑完毕后,应再将浇筑口和排气孔补焊封闭。当负荷较大时,应考虑开口或开孔对被加固件的截面削弱的影响,并采取加强措施。
9.4.2 管内混凝土浇筑可根据实际情况采用常规浇捣法、泵送顶升浇筑法或自密实免振捣法施工;当采用泵送顶升浇筑法或自密实免振捣法浇筑混凝土时,宜根据现行国家标准《钢管混凝土结构技术规范》GB 50936的有关规定加强浇筑过程控制。
9.4.3 内填混凝土钢管构件中的混凝土宜采用无收缩混凝土。混凝土的配合比,除应满足强度指标外,尚应控制混凝土坍落度。混凝土配合比应根据混凝土的设计强度等级计算,并通过试验确定。对泵升浇筑法,混凝土配合比尚应符合可泵性规定。
条文说明
9.4.1~9.4.3 本节给出的常规浇捣法、泵送顶升法或自密实免振捣法等3种混凝土浇筑方法是目前国内钢管混凝土工程施工中较为成熟的方法。随着施工技术的发展,在工程实践中钢管混凝土的施工工艺将会有所不同,但无论采用哪种工艺,都要保证内填混凝土的强度和混凝土的密实度,以及混凝土与钢管壁的粘结强度。
10 预应力加固法
10.1 一般规定
10 预应力加固法
10.1 一般规定
10.1.1 钢结构体系或构件的加固可采用预应力加固法。
条文说明
10.1.1 本条主要说明本章加固方法的适用范围,分别包括对结构或者具有独立结构功能的子结构或结构单元和构件的加固,以改善结构或构件的受力状态。 主要加固目的包括:
1 提高结构或构件的刚度。
2 提高结构或构件的承载能力。
3 改善原结构或构件受力性态以及工作状态。
10.1.2 加固钢结构、构件的预应力构件,可采用中、高强度的钢丝、钢绞线、钢拉杆、钢棒、钢带或型钢,亦可采用碳纤维棒或碳纤维带,但应根据实际加固条件通过构造和计算进行选择;所选材料的性能应符合本标准第4章的规定。
条文说明
10.1.2 用于加固结构或构件的预应力构件,通常是相对较柔的。其截面尺寸与长度相比相对很小,因而其整体弯曲刚度很小。本条规定除高强钢索、高强钢棒外,钢带或型钢也可以作为预应力构件,只要其整体弯曲刚度相对小即可。总之,预应力构件不能因自身弯曲刚度大而在被加固构件中形成额外弯曲内力。
10.1.3 钢结构预应力加固设计,宜根据被加固结构、构件的实际受力状况、构造和使用环境确定预应力构件的布置、锚固节点构造以及张拉方式。施加预应力的技术方案及预应力大小的确定,应遵守结构或构件的卸载效应大于结构或构件的增载效应的原则。
条文说明
10.1.3 设计钢结构预应力加固锚固节点,宜设法避开被加固构件应力较大的区域。同时,锚固节点构造应便于除尘、防腐与防火维护。预应力的施加应保证提高结构或构件抗力,尽量减小荷载增加的不利效应。
10.1.4 采用预应力对钢结构进行整体加固时,可通过张拉加固索、调整支座位置及临时支撑卸载等方法施加预应力。
条文说明
10.1.4 施加预应力的方法有多种,目前常用的方法有:张拉加固索法、调整支座位置法及临时支撑卸载法,可根据被加固结构或构件的自身状态及工作环境选择。当有其他方法可选择时,应通过试验验证其有效性及安全性。
10.1.5 采用预应力加固钢结构构件时,可选择下列方法:
1 对正截面受弯承载力不足的梁、板构件,可采用预应力水平拉杆进行加固,亦可采用下撑式预应力拉杆进行加固。若工程需要且构造条件允许,尚可同时采用水平拉杆和下撑式拉杆进行加固。
2 对受压承载力不足的轴心受压柱、小偏心受压柱以及弯矩变号的大偏心受压柱,可采用双侧预应力撑杆进行加固;若偏心受压柱的弯矩不变号,亦可采用单侧预应力撑杆进行加固。
3 对桁架中承载力不足的轴心受拉构件和偏心受拉构件,可采用预应力杆件进行加固。
10.1.6 采用预应力加固钢结构、构件时,结构的计算模型应根据加固后的结构体系及构件受力方式建立,并应考虑结构抗震要求、非线性效应以及原结构缺陷、损伤和变形的影响。
条文说明
10.1.6 被加固的钢结构,由于已使用一段时间或已出现变形或损伤,其结构状态已不同于设计之初。因此,建立准确的计算模型应考虑变形或损伤的存在及其影响。另外,采用预应力加固时,由于预应力构件相对较细,且预应力可能需要分级施加,在理论分析时往往需要考虑几何非线性效应才能获得较为准确的数值结果。
10.1.7 采用预应力加固的钢结构构件,除应根据设计状况进行承载能力验算及正常使用极限状态验算外,尚应对施工阶段进行验算。当原结构上既有荷载较小或尚未施加时,加固所用预应力大小不应在施工阶段导致原梁发生局部或整体失稳。
条文说明
10.1.7 常规的结构设计,仅需要进行承载力验算及正常使用极限状态验算,但对于采用预应力加固的结构,由于预应力可能需要分级施加,施工阶段结构的受力状态可能不同于设计计算状态。因此,为了保证结构安全及其使用性能,应对施工阶段可能出现的不利荷载状态进行必要的验算。施工时原结构的荷载状态是指结构承载或部分承载或完全不承载。
10.1.8 预应力加固钢结构的设计验算,应计入预应力的作用效应,预应力的作用效应属永久荷载效应,并应考虑预应力施加的张拉系数、预应力损失系数的影响。
10.1.9 预应力加固后的钢结构构件和节点,应按下式进行承载能力极限状态验算:

式中:γ pi ——预应力作用分项系数,当预应力作用效应对结构有利时取1.0,不利时取1.2;
γ T ——张拉系数;
S pi ——预应力标准值效应。
条文说明
10.1.9 根据现行国家标准《工程结构可靠性设计统一标准》GB 50153的有关规定,当进行钢结构加固构件承载能力极限状态验算的荷载效应组合时,应计入预应力作用效应并参与组合。 在正常使用极限状态下,预应力作用分项系数γP通常取1.0。
10.1.10 结构构件的预应力张拉系数γ T ,应分别按下列规定确定:
1 当杆件内荷载产生的应力与预应力同号时,或两者反号但预应力大于荷载应力时,γ T 应取1.1;
2 当杆件内荷载产生的应力大于预应力且符号相反时,γ T 应取0.9;
3 当可用有效手段直接监测得到预应力值时,γ T 应取1.0。
条文说明
10.1.10 本条关于预应力张拉系数γT是参考苏联预应力钢结构设计有关标准制定的。
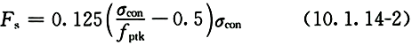
10.1.11 预应力构件的张拉控制应力值σ con 应符合下列规定:
1 消除应力钢丝、钢绞线的张拉控制应力,应按下式计算:

2 中强度预应力钢丝的张拉控制应力,应按下式计算:

3 预应力钢筋、钢带或钢棒的张拉控制应力,应按下式计算:

4 预应力碳纤维棒或碳纤维板的张拉控制应力,应按下式计算:

式中:f ptk ——预应力构件钢丝、钢绞线的极限强度标准值(MPa);
f pyk ——预应力钢筋、钢带或钢棒的屈服强度标准值(MPa);
f f ——预应力碳纤维棒或碳纤维板的强度设计值(MPa)。
5 钢绞线、消除应力钢丝、中强度预应力钢丝的张拉控制应力值σ con 不应小于0.4f ptk ;预应力钢筋、钢带或钢棒的张拉控制应力值σ con 不宜小于0.5f pyk 。
条文说明
10.1.11 本条部分内容系参照行业标准《铁路桥涵混凝土结构设计规范》TB 10092-2017制定的。
10.1.12 计算预应力构件的预应力损失时,应考虑下列影响因素:
1 锚具变形、预应力索的回缩及滑移;
2 预应力索张拉端锚口摩擦和转向装置处的摩擦;
3 预应力索的应力松弛;
4 温度的影响。
10.1.13 预应力索因锚具变形、索身回缩及滑移的预应力损失F m ,可按下式计算:

式中:A a ——预应力拉索横截面积(mm 2 );
E a ——预应力拉索弹性模量(MPa);
l——预应力拉索长度(mm);
△a——锚具变形、回缩及滑移总量(mm)。
条文说明
10.1.13 各种锚具的锚固变形、回缩和滑移值可实测获得,变形值一般是固定的。预应力的损失率和结构的跨度有关,跨度越大损失率越小,跨度越小损失率越大。这种损失可通过现场的施工进行一定量的超张拉得到补偿。预应力构件张拉端锚口摩擦和在转向装置处的摩擦力,可在设计孔道时采取构造措施尽量避免摩擦以减小损失。
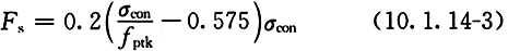
10.1.14 预应力索的应力松弛损失F s ,可按下列规定计算:
1 钢绞线、消除应力钢丝的应力松弛损失应符合下列规定:
1)普通松弛时,可按下式计算:

2)低松弛,当σ con ≤0.7f ptk 时,可按下式计算:

3)低松弛,当0.7f ptk ≤σ con <0.8f ptk 时,可按下式计算:

式中:f ptk ——预应力索极限强度标准值(MPa)。
2 中强度预应力钢丝F s 应取0.08σ con 。
3 预应力钢棒、钢带、碳纤维棒或碳纤维板只应取0.03σ con 。
4 当σ con /f ptk ≤0.5时,预应力构件的应力松弛损失值可忽略不计。
条文说明
10.1.14 预应力损失可由钢材的松弛和徐变或温度变化引起。松弛可作为非弹性变形进行预应力损失估算。钢材的松弛与徐变引起的预应力损失不是局部性的,而是发生在结构各构件中,必须通过整体结构分析确定损失状况,并可在预应力设计中予以补偿。温度影响是指构件随温度变化而发生非弹性变形,温度对预应力的影响是整体的。温度因素需要在预应力设计阶段分析时考虑。 当索的长度较小时,如30m以下,应考虑应力松弛损失;索较长时可不考虑。 预应力加固用钢丝、钢绞线的应力松弛试验表明,应力松弛损失值与钢丝的初始应力值和极限强度有关。本条给出的普通松弛和低松弛预应力钢丝、钢绞线的松弛损失值计算公式,参照了国家标准《混凝土结构设计规范》GB 50010-2010(2015年版)。
10.1.15 预应力加固钢结构抗震设计验算的阻尼比,弹性分析宜取0.02,弹塑性分析宜取0.05。
10.1.16 预应力加固钢结构在施加预应力后,结构或构件的反向变形不应超过其原荷载标准组合下的挠度。
10.1.17 加固钢结构或钢构件的预应力构件,在使用荷载作用下应不松弛或张力大于零,并应满足稳定性要求。
10.1.18 被加固的钢结构或构件以及用于加固的预应力构件,在正常工作状态的荷载作用下,均应处于弹性工作状态。
条文说明
10.1.17、10.1.18 加固后结构或构件的预应力,若松弛则失去加固作用。因此,用于加固的预应力构件在正常使用状态不允许松弛;其受力应处于弹性工作状态。
10.1.19 用于加固的预应力高强度钢索的设计应力,承重索不宜大于索材极限抗拉强度的40%;稳定索不宜大于索材极限抗拉强度的55%。
条文说明
10.1.19 承重索因其破坏后危及结构整体安全,故应从严控制;稳定索因其破坏后仅影响结构局部构件正常使用,而不影响结构安全,故可予以适当放宽。索力设计限值的确定,目前统计资料还不多,仅参考一些实际工程资料以及有关规程的规定,偏于安全地给出。
10.1.20 钢构件预应力输入端节点局部区域的零部件,应采用合理的计算方法进行验算。
条文说明
10.1.20 钢构件预应力输入端包括张拉端和锚固端,采用传统的简化近似公式计算张拉端及锚固端,难以获得准确的计算结果。为了保证安全,故要求采用较为精确的数值计算方法验算该节点。
10.1.21 采用本标准加固方法新增的预应力拉杆、撑杆、缀板以及各种紧固件和锚固件,均应进行防腐蚀处理。
10.1.22 当被加固构件表面有防火要求时,应按现行国家标准《建筑设计防火规范》GB 50016规定的耐火等级及耐火极限要求,对预应力构件及其连接进行防护。
10.2 构件预应力加固设计
10.2 构件预应力加固设计
10.2.1 钢结构构件预应力加固法,可用于单个钢构件的加固,亦可用于连续跨的同一种构件的加固。常用的加固方法宜包括:预应力钢索加固法、预应力钢索加撑杆加固法(图10.2.1-1)、预应力撑杆加拉杆加固法(图10.2.1-2)及钢梁预应力钢索吊挂加固法,且可用于钢梁、拱、托架和桁架加固(图10.2.1-3)。

(c)梁加固形式
图10.2.1-1 预应力钢索加撑杆加固法示意

图10.2.1-2 双侧刚性预应力撑杆加固法示意
1-衬垫角钢;2、10-箍板;3、7、9-撑杆;4、6-工具式拉紧装置;5-预应力拉杆;8-顶板;11-加宽箍板

图10.2.1-3 钢构件预应力加固法示意
条文说明
10.2.1 连续跨的同一种构件包括梁、柱、拱、桁架、支撑及其他各种杆件。本条列出的单个构件预应力加固方法为常见且成熟的方法,也可采用其他有效且安全的加固新方法。当采用新方法时,宜通过准确的计算分析验证或模型实验验证。
10.2.2 用于加固的预应力构件及节点的布置,应具有明确的传力路径。加固后的组合构件应有明确的计算简图。
10.2.3 用于加固钢构件的预应力构件的设置,不宜削弱或损伤原构件及其节点,并应根据实际情况采取补强措施。锚固节点的布置,宜位于被加固构件受力较小处。
条文说明
10.2.3 本条规定的目的主要是为了保证原构件不被削弱或其受力性质不发生变化。否则,应采取措施,保证原构件受力性质不发生变化。
10.2.4 预应力拉索的转折点或撑杆的支点,宜位于构件变形较大处。
10.2.5 用于加固钢构件的预应力构件及节点,宜根据被加固构件的截面对称布置。
10.2.6 采用拉杆吊挂加固法时,拉杆安装后应施加一定的预应力使其处于张紧状态。
条文说明
10.2.6 若加固用的拉杆安装后不施加一定的预应力,则该拉杆将滞后承载,导致原构件变形过大甚至损坏,起不到预定的加固效果。
10.2.7 加固后钢构件的设计验算,可按组合构件验算,亦可将组合构件拆分成单一构件分别验算其承载力和刚度,并应验算组合构件的整体变形。
条文说明
10.2.7 采用传统的简化近似公式难以获得准确计算结果,为了保证安全,应采用较为精确的数值计算方法进行验算。
10.2.8 在输入预应力的锚固节点处,被加固构件的截面宜加强,且应按实际受力状态对该节点域及其连接进行设计验算。
10.2.9 预应力加固所增加的节点应进行承载力验算,并应符合构造措施规定。
10.2.10 采用预应力高强度钢索加固的轴心拉杆,可按下式估算所需高强度钢索的总截面面积:

式中:A、A p ——分别为被加固杆件、预应力高强度钢索的截面面积(mm 2 );
f、f p ——分别为被加固杆件、预应力高强度钢索的强度设计值(MPa);
φ——被加固杆件的稳定系数,按现行国家标准《钢结构设计标准》GB 50017确定。
10.2.11 预应力加固轴心拉杆的验算应符合下列规定:
1 被加固的轴心拉杆,可按下式进行验算:

2 预应力拉杆,可按下式进行验算:

式中:N pe ——预应力产生的构件中的有效预应力,扣除损失后的预应力值(N);
N——加固后构件承受的轴心拉力设计值(N);
A n 、A p ——分别为被加固构件及预应力构件的净截面面积(mm 2 );
E n 、E p ——分别为被加固构件及预应力构件的弹模量(MPa);
f、f p ——分别为被加固构件及预应力构件的材料设计强度(MPa)。
条文说明
10.2.11 构件中的预应力Npe为张拉后的实际有效预应力。
10.2.12 预应力索与撑杆加固轴心受压柱或杆(图10.2.1-1),应符合下列规定:
1 被加固的轴心压杆可按下式进行验算:

2 预应力拉杆可按下式进行验算:

3 撑杆可按下式进行验算:

式中:φ、φ c ——分别为被加固杆件及撑杆的稳定系数,应根据构件计算长度,按现行国家标准《钢结构设计标准》GB 50017查表得到;
N——加固后构件承受的轴心压力设计值(N);
f、f p ——分别为被加固构件及预应力构件的材料设计强度(MPa);
A、A p 、A c ——分别为被加固构件、预应力拉杆、撑杆的截面面积(mm 2 );
N pe ——预应力产生的构件中的有效预应力,扣除损失后的预应力值(N);
N pc 、f c ——分别为撑杆承受的轴力设计值(N)、撑杆材料强度设计值(MPa)。
条文说明
10.2.12 采用预应力索与撑杆的加固设计方法,通常是用于钢管类闭口截面构件,且预应力索可从管中穿过。本条公式的前提是被加固构件在加固施加的预应力作用下不失稳。为此在加固设计时,应采取措施,保证被加固构件在施加预应力时的稳定性。
10.2.13 预应力索与撑杆加固梁或梁式构件(图10.2.1-1),应符合下列规定:
1 梁的强度可按下式进行验算:

2 梁的平面内稳定可按下式进行验算:

3 梁的平面外稳定可按下式进行验算:

4 预应力撑杆稳定可按下式进行验算:

5 预应力拉杆可按下式进行验算:

式中:N p ——被加固梁中由于预应力构件的张力产生的轴向内力(N),为初始预张力与荷载作用后产生的后期张力之和;
M p ——由于N p 的作用在梁中产生的弯矩(N·mm);
N pc 、A c ——分别为撑杆的轴力设计值(N)、撑杆截面面积(mm 2 );
△N p ——拉杆由于荷载产生的轴力设计值(N)。
条文说明
10.2.13 关于被加固梁的验算方法,形式与国家标准《钢结构设计标准》GB 50017-2017相同,但增加了预应力的影响。构件中的预应力Npe为张拉后的实际有效预应力,与本标准第10.2.12条的定义相同。
10.2.14 刚性预应力撑杆加固的轴心受压构件(图10.2.1-2),可按下式进行验算:

式中:φ、φ c ——分别为被加固杆件及撑杆的稳定系数,应根据构件计算长度,按现行国家标准《钢结构设计标准》GB 50017确定;
N——加固后构件承受的轴心压力设计值(N);
η p ——加固构件承载力降低系数,可取0.9;
A、A c ——分别为被加固构件、撑杆的截面面积(mm 2 )。
10.2.15 采用双侧预应力索及撑杆加固偏心受压构件时,可按受压较大一侧的单侧撑杆进行加固设计验算。选用的加固构件应能满足原构件加固后承受最不利偏心受压的设计要求。构件另一侧应采用同规格的加固构件,使加固构件双侧对称。
10.2.16 对于预应力加固的桁架结构,可将包含预应力拉杆的桁架结构视为静不定结构进行内力分析,在求得桁架杆件的内力和结构变形后,可按现行国家标准《钢结构设计标准》GB 50017的规定进行验算。
条文说明
10.2.16 计算被加固桁架结构的内力和变形时,可将实际施加的预应力作为荷载进行计算。对于采用吊挂方式加固的桁架结构,也可采用同样的方法进行计算。
10.2.17 预应力加固构件的连接节点,可按现行国家标准《钢结构设计标准》GB 50017的规定进行验算。
10.3 结构整体预应力加固设计
10.3 结构整体预应力加固设计
10.3.1 钢结构整体预应力加固法,宜用于大跨度及空间结构体系。加固方法宜采用预应力钢索加固法、预应力钢索加撑杆加固法、预应力钢索斜拉法或悬索吊挂加固法(图10.3.1)。

图10.3.1 整体预应力加固法示意
1-塔架;2-索;3-原结构
条文说明
10.3.1 本条给出的结构整体预应力加固方法均为常见且成熟的方法,也可采用其他有效且安全的加固方法。当采用新方法时,宜通过准确的计算分析验证或模型实验验证。
10.3.2 用于结构整体预应力加固的预应力构件及节点,宜布置在被加固钢结构或结构单元的范围内,且应具有明确的传力路径和计算简图。
条文说明
10.3.2 结构体系的外部空间一般用于建筑或其他功能。因此,不考虑在外部空间设置预应力系统。
10.3.3 预应力拉索的转折点、锚固节点及撑杆的支点,应位于原结构的节点或支座。
条文说明
10.3.3 本条规定的目的主要是为了保证原构件受力性质不发生变化。否则,应采取措施予以处理,使之达到此要求。
10.3.4 对结构整体预应力加固的预应力构件宜对称布置,预应力加固的效应宜使原结构多数杆件内力减少、少数杆件内力增加。对内力增加的杆件,当其内力组合设计值超过构件承载力设计值时宜先行加固,再施加预应力。
条文说明
10.3.4 结构的加固改造必定会造成部分构件内力增加,为此,需特别提请关注,当实施加固时,应对加固过程中设计应力超过钢材强度设计值的构件先行加固,保证其在加固过程中及竣工后均满足承载力要求,以保证安全。
10.3.5 采用预应力钢索和撑杆加固时,与同一根预应力环索相连的撑杆长度宜相等,或斜索与撑杆的夹角宜相等。
10.3.6 用于施加预应力的构件及其锚固节点宜对称布置,用于锚固预应力索的钢构件及其节点不宜偏心受力。
条文说明
10.3.5、10.3.6 制定这两条的目的是为了保证预应力构件内力分布尽可能均匀;当不能保证内力分布均匀时,应通过计算分别确定加固构件的截面尺寸。
10.3.7 与撑杆连接的原结构节点应重新设计。现场增设撑杆连接零件时,应采取必要的防护措施,确保原结构安全。
条文说明
10.3.7 原结构在受力状态下进行加固,其节点设计与新结构的节点设计完全不同,应考虑已存在的内应力。同时,在加固施工时,应采取事先释放内应力的措施或其他安全措施。
10.3.8 构件和节点的极限承载力验算以及结构整体承载力验算,应包括加固时的预应力状态和加固后的使用状态。结构分析计算时,预应力状态的初始条件,应为现状结构的变形状态;使用状态的初始状态,应为预应力状态结束时的变形状态。
条文说明
10.3.8 加固结构的设计是在结构受力状态下进行增加构件及预应力的设计计算,与新结构的设计完全不同,应考虑加固过程中的内力状态,同时,还应考虑原结构的早期变形或损伤。
10.3.9 结构整体预应力加固验算应包括下列内容:
1 构件的强度、刚度与稳定性验算,以及构件本身的局部稳定性验算;
2 节点的强度与节点板件的稳定性验算;
3 结构整体变形验算;
4 对需要计算整体稳定的结构体系,尚应进行整体稳定性验算。
条文说明
10.3.9 本条规定了钢结构预应力加固验算的内容。验算公式及方法可参照现行国家标准《钢结构设计标准》GB 50017以及不同结构体系对应的结构设计标准或技术规程;至于大跨度结构的整体稳定性验算可参照现行行业标准《空间网格结构技术规程》JGJ 7的规定。
10.4 构造规定
10.4 构造规定
10.4.1 加固结构的预应力杆件、锚具和连接器的形式和构造,均应符合国家现行标准《预应力筋用锚具、夹具和连接器》GB/T 14370和《预应力筋用锚具、夹具和连接器应用技术规程》JGJ 85的规定。
10.4.2 加固用预应力高强度钢索,宜为不分段的连续索,索转折处宜采用可转动节点,且转动节点构造应符合索的最小转弯半径规定。
10.4.3 拉索端锚固节点应传力可靠,且宜采用预应力损失低且施工方便的锚具。
10.4.4 索张拉端节点及张拉时索滑动的节点,宜采取减少摩擦的构造措施。
10.4.5 转换器构造,应采用能使预应力杆件尺寸平缓过渡的措施。
10.4.6 预应力张拉端节点构造,应考虑施加预应力的施工方法及超张拉的影响。
条文说明
10.4.6 用于施加预应力的张拉节点构造,应考虑张拉时采用的设备、张拉方式以及张拉时辅助零件的设置、所需的张拉空间及施工作业的可操作性,且要考虑锚固的可靠性。同时,还应考虑超张拉的安全性。
10.4.7 张拉端节点的板件,其宽厚比或高厚比应符合现行国家标准《钢结构设计标准》GB 50017的规定;其撑杆长细比应符合现行国家标准《钢结构设计标准》GB 50017关于轴心压杆的规定。
条文说明
10.4.7 关于板件的宽厚比限值,应参照现行国家标准《钢结构设计标准》GB 50017的规定执行。
10.4.8 自由长度较长的预应力索,应设置吊索或吊杆。
条文说明
10.4.8 拉索过长就会产生明显的下垂,虽然不影响受力,但会影响观感或正常使用。一般可在索的中部增设吊索或吊杆,以减小其垂度。
10.4.9 在预应力撑杆加拉杆加固法中,撑杆采用角钢时,其构造设计应符合下列规定:
1 预应力撑杆用角钢的截面不应小于50mm×50mm×5mm。压杆肢的两根角钢宜用缀板连接,形成槽形的截面。缀板厚度不应小于6mm,宽度不应小于80mm,长度可按角钢与被加固柱间的间隙确定,相邻缀板间距应保证单个角钢的长细比不大于40。
2 承压末端的传力构造,应采用抵承传力方式。角钢顶端焊接的抵承传力顶板的厚度不宜小于16mm。
10.4.10 刚性预应力撑杆加固的压杆肢的弯折与复位,应符合下列规定:
1 弯折压杆肢前,应在角钢的侧立肢上切出三角形缺口,缺口背面,应补焊加强钢板(图10.4.10);
2 弯折压杆肢的复位应采用工具式拉紧螺杆,螺杆直径不应小于16mm,螺帽高度不应小于螺杆直径的1.5倍。

图10.4.10 角钢缺口处加焊钢板补强
1-工具式拉紧螺杆;2-补强钢板;3-角钢撑杆;4-剖口处箍板
条文说明
10.4.9、10.4.10 这两条系参照现行国家标准《混凝土结构加固设计规范》GB 50367的要求制定的。
10.5 设计对施工的要求
10.5 设计对施工的要求
10.5.1 在钢结构加固施工前,应预先制定加固施工方案,并应编制相应的施工组织设计文件。
条文说明
10.5.1 由于钢结构加固施工比新建结构更为复杂,因此,应要求施工企业在加固施工之前预先制定加固施工方案,并应编制相应的施工组织设计文件。这样才能保证施工质量以及施工安全。
10.5.2 对已确定的加固施工方案,应进行数值模拟计算,同时应记录各施工步骤关键构件的应力及节点位移。
条文说明
10.5.2 工程实践经验表明,不进行准确的施工过程模拟计算,就不能预先掌握各施工阶段被加固结构及构件的内力、变形的分布及变化,也就难以进行施工控制;要保证施工安全顺利进行,就应该预先进行模拟计算,了解各个施工步骤的结构状态。
10.5.3 进行钢结构加固施工前,应对加固区域的结构构件及节点进行复测,对用于加固的构件和节点进行定位。
10.5.4 进行加固的钢结构,在施加预应力前,应对关键构件或超应力构件进行加固。
10.5.5 钢结构加固用张拉设备和仪器,应事先进行计量标定。施加预应力应采用专门设备,其负荷标定值应大于施加拉力值的2倍,施加预应力的偏差不应超过设计值的5%。
10.5.6 钢结构加固施工时,预应力施加的张拉顺序应符合设计规定。当设计无规定时,应根据结构特点、施工条件,由施工方制定张拉方案,并应经设计方或业主审核同意。
条文说明
10.5.6 钢结构加固的施工张拉,设计通常有要求。当设计未规定时,施工方可根据结构特点、施工条件,按照对称张拉的原则制定张拉方案;但应经设计方或业主技术代表审核同意,以保证施工过程安全。
10.5.7 钢结构加固施工张拉时,对直线索可采用一端张拉法,对折线索宜采用两端张拉法。采用多个千斤顶同时张拉时,应同步加载。
10.5.8 进行钢结构加固施工前,应制定施工过程监测与控制方案。监测手段应能反应各施工步骤中关键结构参数的数值及其变化状况。
10.5.9 钢结构加固施工过程中,应根据预定的监测方案,对主要构件的内力、变形、位置及其变化进行实时监测,并应与理论计算值比较,应使结构及构件的状态处在预定的控制范围内。
条文说明
10.5.8、10.5.9 钢结构加固施工过程中,施工过程监测与控制至关重要。因此,应事先制定施工过程监测方案,确定应监测的应力、位移以及应监测的位置,并在实际施工时,通过实时监测数据与理论计算值的比较,判定当前施工的结构状态是否安全,是否满足质量要求,是否达到合理控制的目的。
11 连接与节点的加固
11.1 一般规定
11 连接与节点的加固
11.1 一般规定
11.1.1 钢结构连接的加固方法,可依据原结构的连接方法和实际情况选用焊接、铆接、普通螺栓或高强度螺栓连接的方法。
条文说明
11.1.1 连接加固方法的选择应综合考虑结构加固的原因、目的、受力状态、结构构造和使用条件以及原结构采用的连接方法;一般宜与原结构的连接方法一致。当原结构为焊接时,应采用焊接加固,而不宜用普通螺栓等其他连接方法;当原结构为铆钉连接时,可采用摩擦型高强度螺栓连接方法加固;当为防止板件疲劳裂纹的扩展时,可采用有盖板的摩擦型高强度螺栓连接方法加固。
11.1.2 在同一受力部位连接的加固中,不宜采用焊缝与铆钉或普通螺栓共同受力的刚度相差较大的混合连接方法,可采用焊缝和摩擦型高强螺栓在一定条件下共同受力的并用连接。
条文说明
11.1.2 钢结构常用的连接方法中,其连接的刚度,即抵抗变形的能力,依次为焊接、摩擦型高强度螺栓、铆接和普通螺栓连接。一般而言,刚度大的连接很难与刚度小的连接同时受力,而且很容易发生逐个破坏。因此,通常计算时不宜考虑两种不同刚度的连接共同受力。但最新的试验研究表明,在受力较简单明确的接头中,焊缝与摩擦型高强度螺栓在相当程度上可以共同受力,并构成混合连接方式。
11.1.3 负荷下连接的加固,当采用端焊缝或螺栓加固而需要拆除原有连接,或需要扩大原钉孔,或增加钉孔时,应采取合理的施工工艺和安全措施,并核算结构、构件及其连接在负荷下加固过程中是否具有施工所要求的承载力。
11.2 焊接连接的加固
11.2 焊接连接的加固
11.2.1 焊缝连接的加固,可依次采用增加焊缝长度、有效厚度或两者同时增加的方法。
11.2.2 加固新增的角焊缝,其长度和焊脚尺寸,或熔焊层的厚度,应由连接处结构加固前后设计受力改变的差值,并考虑原有连接实际可能的承载力计算确定。计算时应对焊缝的受力重新进行复核并考虑加固前后焊缝的共同工作、受力状态的改变以及本标准第11.2.5条和第11.2.6条的规定。
条文说明
11.2.1、11.2.2 不论从施工难易或加固效果而言,焊缝连接的加固均应首先考虑增加长度来实现,其次才考虑增加焊脚尺寸或同时增加焊缝长度和焊脚尺寸来实现。但不论哪种方法,都应对施焊前后和过程中的焊缝连接强度进行验算,以保证安全。
11.2.3 负荷下用焊接加固结构时,不宜采用长度垂直于受力方向的横向焊缝。
条文说明
11.2.3 负荷下采用长度垂直于受力方向的横向焊缝加固钢结构承重构件时,极容易因施焊过程中焊件过热而导致原构件连接的承载力急剧下降,甚至完全失控。在这种情况下,往往来不及采取应急措施,便已发生安全事故。因此,在未采取可靠的安全措施的情况下,不得采用长度垂直于受力方向的横向焊缝。
11.2.4 负荷下用增加非横向焊缝长度的方法加固焊缝连接时,原有焊缝中的应力不得超过该焊缝的强度设计值;加固处及其相邻区段结构的最大初始名义应力σ 0max 不得超过本标准第6.1.6条的规定。加固前后的新老焊缝可共同受力,但应按本标准第11.2.6条的规定进行强度计算。
11.2.5 负荷下采用堆焊增加角焊缝有效厚度的方法加固焊缝连接时,宜通长满焊加固;不能通长满焊时,加固焊缝总长度不应小于100mm,并应按下式验算焊缝应力:

式中:σ f 、τ f ——按角焊缝有效面积h e L w 计算的垂直于焊缝长度方向的正应力和沿焊缝长度方向的剪应力(MPa);
η f ——焊缝强度影响系数,可按表11.2.5采用;
f w t ——角焊缝的强度设计值(MPa)。
表11.2.5 焊缝强度影响系数η f

注:当加固焊缝总长度为表中中间值时,应按相邻的偏小值取用η f 值。
条文说明
11.2.5 负荷下增大堆焊焊脚尺寸以增加其有效厚度来达到加固焊缝的目的时,由于施焊加热原有焊缝,需考虑600℃影响区域内焊缝暂时失去承载力,以致焊缝的总平均设计强度降低的情况,故根据国内试验研究和计算分析的结果,引入了焊缝长度影响系数ηf以考虑这一影响。其值见本标准表11.2.5。当加固焊缝总长度为中间值时,可按线性内插法确定ηf值。
11.2.6 加固后直角的角焊缝强度可按下列公式计算,并允许新增和原有的焊缝共同受力:
1 当力垂直于焊缝长度方向时,可按下式计算:

2 当力平行于焊缝长度方向时,可按下式计算:

3 当σ f 和τ f 共同作用时,可按下式计算:

式中:σ f ——按角焊缝有效截面(h e L w )计算,垂直于焊缝长度方向的应力(MPa);
τ f ——按角焊缝有效截面计算,沿焊缝长度方向的剪应力(MPa);
h e ——角焊缝的有效厚度(mm),对于直角角焊缝等于0.7h f ,h f 为较小焊脚尺寸;
L w ——角焊缝的计算长度(mm),对每条焊缝其实际长度减去10mm;
f w f ——角焊缝的强度设计值(MPa),应根据加固结构原有和新增钢材强度较低者,按现行国家标准《钢结构设计标准》GB 50017确定。
条文说明
11.2.6 加固后的角焊缝可考虑新、旧焊缝的共同受力工作,但由于现场施焊,负荷下加固焊缝中可能存在应力滞后现象,故将角焊缝设计强度fwf适当降低,即乘以0.85的系数。并对角焊缝同时受有σf和τf时,做了进一步简化, 即令:
。
11.2.7 当仅用增加焊缝长度、有效厚度或者两者并用的方法不能满足连接加固的要求时,可采用附加连接板的方法,附加连接板可用角焊缝与基本构件相连,亦可用附加节点板与原节点板对接,并应进行连接的受力分析,应使焊缝及其附加板件、节点板能承受荷载作用效应组合。
条文说明
11.2.7 由于加固受力和构造等原因,当仅增加焊缝长度,或仅增加有效厚度,或两者并用均不能满足加固要求时,可采用附加节点板的措施,使加固的连接受力能够适当分担,但需要对其受力状态进行分析,使所分担的力不仅成为可能,而且符合实际构造情况。
11.3 螺栓或铆钉连接的加固
11.3 螺栓或铆钉连接的加固
11.3.1 更换螺栓或铆钉或新增加固连接件时,宜采用适宜直径的高强度螺栓连接。当负荷下进行结构加固,需要拆除结构原有受力螺栓、铆钉或增加孔数、扩大栓、钉孔径时,除应验算结构原有和新增连接件的承载力外,还应校核板件的净截面面积的强度。
条文说明
11.3.1 原有铆钉或螺栓存在松动、残损或连接强度不足而需要更换或新增时,应首先考虑采用相同直径的摩擦型高强度螺栓,若摩擦型高强度螺栓承载力不能满足强度要求时,可考虑改用承压型高强度螺栓。当采用前者时,应合理确定板件间的抗滑移系数υf;采用后者时,应先将错位不平整的钉孔或螺孔设法扩钻平整,然后用B级或A级螺栓进行安装,同时还应校核被连接板件的净截面强度。
11.3.2 当用高强度摩擦型螺栓更换结构原连接的部分铆钉,组成高强度螺栓与铆钉的并用连接时,应保证连接受力均匀,与缺损铆钉对称布置的非缺损铆钉应一并更换。
条文说明
11.3.2 因同直径的摩擦型高强度螺栓的承载力一般仅为铆钉连接受剪承载力的85%,故宜对称地更换松动、损伤的铆钉,以保证其连接受力均匀;对构造性铆钉的更换,可不受此限制。
11.3.3 用高强度螺栓更换有缺损的铆钉或螺栓时,可选用直径比原钉孔小1mm~3mm的高强度螺栓,且其承载力应满足加固设计计算的要求。
条文说明
11.3.3 本条仅指经计算确认,采用直径略小的摩擦型高强度螺栓仍然具有足够强度来承担被换下铆钉所承受的力的情况。
11.3.4 用高强度摩擦型螺栓加固铆钉连接时,可采用两种连接共同受力的计算模式,计算时高强度摩擦型螺栓的承载力设计值应按现行国家标准《钢结构设计标准》GB 50017的有关规定计算确定。
条文说明
11.3.4 根据标准编制组的相关研究成果,加固螺栓或铆钉连接时采用焊缝连接时,若两者的刚度比控制在一定范围,可以考虑二者共同作用,具体规定见本标准第11.5节;若焊缝连接的刚度远大于铆钉或螺栓连接,则不应考虑二者共同受力,而应按焊缝承担全部作用力的计算模式进行设计计算,且不宜拆除原有铆钉或螺栓,已损坏失效者除外。
11.3.5 用焊缝连接加固螺栓或铆钉连接时,连接构造不符合焊缝与原有连接件的共同受力条件时,应按焊缝承受全部作用力进行设计计算,且不宜拆除原有连接件;若符合焊缝与原有连接件的共同受力条件,则可按本标准第11.5节和第11.6节的有关规定进行设计计算。
11.4 栓焊并用连接的加固
11.4 栓焊并用连接的加固
11.4.1 抗剪螺栓群采用焊缝加固的栓焊并用连接接头的设计计算应符合本节的规定。
条文说明
11.4.1 本节规定了适用于栓焊并用连接接头的设计计算,其构造要求可参照现行行业标准《钢结构高强度螺栓连接技术规程》JGJ 82的规定执行。
11.4.2 栓焊并用的连接加固(图11.4.2),应符合下列规定:
1 平行于受力方向的侧焊缝起弧点距连接板近端不应小于角焊缝焊脚尺寸h f ,且与最近的螺栓距离不应小于1.5倍的螺栓公称直径d 0 ;
2 侧焊缝末端应连续绕角焊缝长度不小于2h f 。连接板边缘与焊件边缘距离不应小于30mm。

图11.4.2 栓焊并用的连接接头要求
1-侧焊缝;2-端焊缝;3-连续烧焊
11.4.3 摩擦型高强度螺栓与焊缝并用的连接,当其连接的承载力比值在0.5~3.0范围内时,可按共同工作的假定进行加固计算;当其连接的承载力比值在0.5~3.0范围外时,荷载应由摩擦型高强度螺栓与焊缝中承载力大的连接承担,不考虑承载力小的连接的作用。
条文说明
11.4.3 采用焊缝与高强度螺栓并用连接时,应符合两者的承载力比值范围要求和刚度一致原则。若比值超出这一范围,荷载将主要由强的连接承担,较弱的连接起不到分担作用;一旦荷载超过强连接的极限承载力,两种连接会同时发生破坏,造成严重后果。
11.4.4 施工时必须先紧固高强度摩擦型螺栓,后实施焊接,并应在设计文件中作出规定。在焊接24h后还应对摩擦型高强度螺栓进行补拧,补拧扭矩应为施工终拧扭矩值。焊缝形式应为角焊缝。
条文说明
11.4.4 焊接热效应对螺栓连接会产生影响,导致螺栓连接预紧力降低。因此焊接24h后需要对螺栓进行补拧。
11.4.5 在原有摩擦型高强度螺栓连接接头上新增角焊缝进行加固补强时,摩擦型高强度螺栓连接和角焊缝焊接连接应分别承担加固焊接补强前的荷载和加固焊接后新增的荷载。
条文说明
11.4.5 采用新角焊缝补强时,其原有荷载由螺栓连接单独承担。因为这部分荷载在焊接前已作用于节点,不能引起焊缝的变形,因而焊缝不受力;加固焊接补强后所增加的荷载由焊缝单独承担,不考虑螺栓的分担作用,是偏于安全的设计。
11.4.6 高强度摩擦型螺栓连接不得设计成仅与端焊缝并用的连接。
条文说明
11.4.6 端焊缝连接刚度较大,若用于加固螺栓连接,则荷载应由端焊缝承担。设计时不宜考虑由螺栓和端焊缝共同分担荷载。
11.4.7 栓焊并用连接的受剪承载力的计算应符合下列规定:
1 高强度摩擦型螺栓与侧焊缝并用连接:
ψ=N b /N fs (11.4.7-1)
1)当ψ<0.5时,应按下式计算:
N v =N fs (11.4.7-2)
2)当0.5≤ψ<0.8时,应按下式计算:
N v =0.75N fs +N b (11.4.7-3)
3)当0.8≤ψ≤2时,应按下式计算:
N v =0.9N fs +0.8N b (11.4.7-4)
4)当2<ψ≤3时,应按下式计算:
N v =N fs +0.75N b (11.4.7-5)
5)当ψ>3时,应按下式计算:
N v =N b (11.4.7-6)
式中:ψ——栓焊强度比;
N v ——栓焊并用连接受剪的承载力设计值(N);
N fs ——侧焊缝受剪承载力设计值(N);
N b ——高强度摩擦型螺栓连接受剪承载力设计值(N)。
2 高强度摩擦型螺栓与侧焊缝及端焊缝并用连接时,应按下式计算:

式中:N fe ——连接接头中端焊缝受剪承载力设计值(N)。
条文说明
11.4.7 本条公式(11.4.7-1)~公式(11.4.7-5)系参考标准编制组相关研究报告《钢结构高强度螺栓与侧焊缝并用连接建议设计方法》给出的;公式(11.4.7-6)是引用现行行业标准《钢结构高强度螺栓连接技术规程》JGJ 82的相应公式制定的。这些公式均具有良好的安全性和实用性。
11.5 节点的加固
11.5 节点的加固
11.5.1 当端板连接节点承载力不足时,可采用侧面角焊缝加固或围焊加固(图11.5.1);当受弯承载力满足要求时,宜采用侧面角焊缝加固。

图11.5.1 端板连接节点加固示意
1-侧面角焊缝;2-端板围焊
条文说明
11.5.1 当端板连接节点的加固执行本条的规定时,其内力计算可按现行国家标准《钢结构设计标准》GB 50017的有关规定执行。
11.5.2 螺栓连接节点的焊接加固,当螺栓承担的荷载大于其设计承载力的65%时,不应考虑原螺栓的承载作用,而应按焊缝承担全部荷载进行验算;当螺栓承担的荷载小于其设计承载力的65%时,允许原螺栓与新增焊缝共同受力,并应按下列规定验算其承载力:
1 受弯承载力应按下式计算:

式中:M wb ——栓焊并用连接受弯承载力设计值(N·mm);
M w ——焊缝受剪承载力设计值(N·mm);
M b ——高强度摩擦型螺栓连接受弯承载力设计值(N·mm);
η ep ——高强度摩擦型螺栓连接受弯承载力修正系数,当螺栓承担的荷载小于其设计承载力的20%时,取0.65;当螺栓承担的荷载为其设计承载力的20%~40%时,取0.55;当螺栓承担的荷载为其设计承载力的40%~65%时,取0.4。
2 受剪承载力验算可按本标准第11.4.7条的规定执行;角焊缝焊脚尺寸h f 宜取现行国家标准《钢结构设计标准》GB 50017允许的最小值。
3 当节点域构造不满足设计要求时,可按本标准第11.5.7条的规定进行加固。
条文说明
11.5.2 综合国内外有关标准和研究文献以及实验研究成果来看,摩擦型高强度螺栓连接与角焊缝能较好地共同工作。当螺栓的规格、数量等与焊缝尺寸相匹配在一定范围内时,两种连接的承载力可以叠加;摩擦型高强度螺栓连接受弯承载力折减系数ηep系根据参数分析对比试验的数据确定;焊缝与高强度螺栓并用连接时,新增角焊缝焊脚尺寸hf宜取允许的最小值,以保证原螺栓与新增焊缝共同作用的可靠性。
11.5.3 梁柱节点加固前,节点的最大名义应力应小于0.6f y ,并应符合下列规定:
1 当负载下加固梁柱节点加固前的实际名义应力值小于0.3时,可按照非负载下加固梁柱节点考虑,其受力性能和新建加强型盖板节点的受力性能无明显差别;
2 当负载下加固梁柱节点加固前的实际名义应力值在0.3倍~0.6倍屈服应力之间时,应考虑初始荷载对加固后结构受力的影响且不应考虑加固构件的塑性变形发展。加固后节点连接的弹性极限弯矩应大于梁的塑性弯矩。
11.5.4 负载下采用盖板加固梁柱节点(图11.5.4),盖板长度宜为梁高的1/2~2/3;厚度宜为0.8倍~1.2倍梁翼缘厚度;其节点连接强度应按下列公式进行验算:

图11.5.4 盖板加固梁柱节点示意
1-柱;2-梁;3-盖板

式中:M——加固后梁端弯矩设计值(N·mm);
η b ——原梁端承载力折减系数,取0.75;
M by ——加固前梁的屈服弯矩(N·mm),计算时可不考虑梁柱连接处焊接工艺孔及螺栓等的削弱;
η cp ——考虑盖板焊接残余应力影响的折减系数,取0.8;
M cp ——盖板的屈服弯矩(N·mm)
f ycp ——盖板钢材的屈服强度(MPa)
t cp ——盖板厚度(mm);
b cp ——盖板宽度(mm);
d——梁截面高度(mm)。
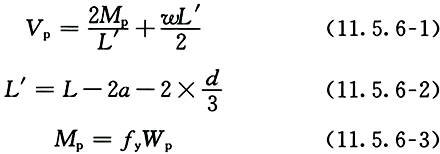
11.5.5 盖板与柱翼缘之间的对接焊缝宜按等强连接设计。盖板端部与梁翼缘之间的角焊缝内力值应按下列公式计算,盖板侧面两道半熔透焊缝所承受剪力设计值应为塑性铰处梁的设计剪力V p ,单侧焊缝所承受的剪力设计值应为塑性铰处梁的设计剪力V p 的1/2。

式中:P——盖板末端与梁翼缘之间的角焊缝对盖板的竖向约束力(N);
Q——盖板末端与梁翼缘之间的角焊缝对盖板的水平约束力(N);
V p ——塑性铰处梁的设计剪力(N)。
条文说明
11.5.4、11.5.5 盖板加固梁柱节点的验算方法系基于标准编制组的研究成果制定的。 梁柱节点加固后,是否满足“强柱弱梁”的要求,可按下式进行评估:

式中:Wpe——柱的塑性截面模量;
fyc——柱钢材的屈服强度;
Ac——柱截面面积;
N——柱轴向压力设计值;
∑Mb——梁柱连接处弯矩设计值M之和。
11.5.6 塑性铰处梁的设计剪力V p 应按下列公式确定:

式中:M p ——梁的塑性弯矩(N·mm);
L'——塑性铰之间的距离(mm);
d——梁截面高度(mm);
ω——梁自重或其他均布荷载(N/mm);
a——剪跨,即横向集中荷载作用点至支座或节点边缘的距离(mm);
W p ——塑性截面模量或塑性抵抗矩(mm 3 )。
11.5.7 当端板连接的节点域不满足设计要求时,宜采用增设节点域加劲肋的加固方式。中柱对应的节点域不满足设计要求时,应增设交叉加劲肋(图11.5.7a);角柱对应的节点域不满足设计要求时,应沿节点域主压应力迹线增设加劲肋(图11.5.7b)。增设加劲肋仍不能满足设计要求时,可考虑加厚节点域板件,并可按本标准第11.5.8条的规定执行。

图11.5.7 端板连接节点域加固
1-加劲肋;2-加劲肋
11.5.8 当梁柱节点域厚度不符合现行国家标准《钢结构设计标准》GB 50017的有关规定时,对H形截面柱节点域可采用下列补强措施(图11.5.8):

图11.5.8 梁柱节点域焊贴补强板加强
1-塞焊;2-补强板
1 加厚节点域的柱腹板。腹板加厚的范围应伸出梁的上下翼缘外不小于150mm。
2 节点域处焊贴补强板加强。补强板与柱加劲肋和翼缘可采用角焊缝连接;并应与柱腹板采用塞焊连成整体;塞焊点之间的距离不应大于较薄焊件厚度的 
倍。
3 对轻型结构,可设置节点域斜向加劲肋加强。
条文说明
11.5.7 梁柱节点域应按现行国家标准《钢结构设计标准》GB 50017有关规定进行验算。
11.6 加固件的连接
11.6 加固件的连接
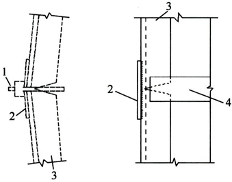
11.6.1 为加固结构而增设的板件,除应有足够的设计承载能力和刚度外,尚应与被加固结构有可靠的连接。
条文说明
11.6.1 为加固结构而设置的新加板件,也称加固板件或补强板。采用时应经计算,使其具有足够承载能力和刚度,并与原结构有可靠的连接,只有这样设计才能起到良好的共同受力作用。
11.6.2 加固件与被加固结构间的连接,应根据设计受力要求经计算并考虑构造和施工条件确定。对轴心受力构件,可根据下式计算;对受弯构件,应根据最大设计剪力计算;对压弯构件,可根据以上二者中的较大值计算。对仅用增设中间支承杆件或支点来减少受压构件自由长度时,支承杆件或支点与加固构件间的连接受力,亦可按下式计算,式中A t 应取原构件截面面积。

式中:A t ——构件加固后的总截面面积(mm 2 );
f——构件钢材强度设计值(MPa),当加固件与被加固构件钢材强度不同时,取较高钢材强度的值;
f y ——钢材的屈服强度(MPa),当加固件与被加固构件钢材强度不同时,取较高钢材强度的值。
条文说明
11.6.2 加固件与被加固结构的连接受力,对增大截面加固的轴心受力构件、受弯构件和压弯构件,本可取其所承受的剪力计算,但为安全和简化起见,本条规定:对轴心受力构件,采用截面加大后可以承受的最大剪力,亦即按公式(11.6.2)算得的剪力V进行计算;对受弯构件,采用最大设计剪力计算;对压弯构件,则按以上两种方法算得的剪力中取较大值计算。
11.6.3 加固件的焊缝、螺栓、铆钉等连接的计算可按现行国家标准《钢结构设计标准》GB 50017的规定进行,计算角焊缝强度设计值时,应乘以0.85的修正系数;计算其他连接强度设计值时,应乘以0.95的折减系数。
条文说明
11.6.3 加固件与结构间的连接施工常在现场进行,并且受力较不均匀,故按现行国家标准《钢结构设计标准》GB 50017规定计算时,应将角焊缝强度设计值乘以修正系数0.85;高强螺栓连接强度设计值应乘以修正系数0.95。
11.7 构造规定
11.7 构造规定
11.7.1 焊缝连接加固时,新增焊缝宜布置在应力集中最小、远离原构件的变截面以及缺口、加劲肋的截面处;应使焊缝对称于作用力,并避免使之交叉;新增的对接焊缝与原构件加劲肋、角焊缝、变截面等之间的距离不宜小于100mm;各焊缝之间的距离不应小于被加固板件厚度的4.5倍。
条文说明
11.7.1 为避免焊缝连接加固时的过大应力集中、附加应力和基本金属母材过热引起质变等,本条规定新增焊缝布置应远离构件截面缺口、加劲肋、截面急剧改变等应力集中和焊缝密集交错处,其间的距离一般不宜小于100mm和被加固板件厚度的4.5倍。
11.7.2 用盖板加固有动力荷载作用的构件时,盖板端应采用平缓过渡的构造措施,并应减少应力集中和焊接残余应力。
条文说明
11.7.2 以用盖板加固受动力荷载作用的构件时,盖板与构件连接宜平缓地过渡,以减少应力集中和恶化抗疲劳性能。
11.7.3 高强度螺栓摩擦型连接的板件连接接触面处理应按设计要求和现行国家标准《钢结构设计标准》GB 50017及《钢结构工程施工质量验收规范》GB 50205的规定进行。当不能满足要求时,应进行摩擦面的抗滑移系数试验,并应复核加固连接的设计计算。
条文说明
11.7.3 摩擦型高强度螺栓承载力与被连接板板间的抗滑移系数成正比,现行国家标准《钢结构设计标准》GB 50017和《钢结构工程施工质量验收规范》GB 50205有严格规定要求,加固施工时也应遵照执行。如果不能满足要求,应会同设计人员核算以确定是否需增加螺栓或采取其他增强措施,以免事故发生。
11.7.4 除焊接盖板加固方法外,钢结构梁柱节点加固还可选用焊接侧向盖板加固(图11.7.4-1)、梁翼缘加腋加固(图11.7.4-2)、梁翼缘增设肋板加固(图11.7.4-3)、高强度螺栓连接加固(图11.7.4-4)等方案,其设计方法应与焊接盖板加固方法设计方法一致,但应对加固件承载力折减系数进行专项论证。

图11.7.4-1 焊接侧向盖板加固

图11.7.4-2 梁翼缘加腋加固

图11.7.4-3 梁翼缘增设肋板加固
1-设置一道肋板;2-设置两道肋板

图11.7.4-4 高强度螺栓连接加固
12 钢结构局部缺陷和损伤的修缮
12.1 一般规定
12 钢结构局部缺陷和损伤的修缮
12.1 一般规定
12.1.1 钢结构构件或连接的局部缺陷和损伤的修复与处理应符合本章规定。
条文说明
12.1.1 本章规定了钢结构构件或连接的局部缺陷和损伤的一般修复方法或处理要求。为了使本章规定能得到正确的理解和应用,需说明以下两点:
1 本章规定的适用范围,仅限于对不显著影响结构、构件、连接承载力的局部缺陷和损伤进行修复或技术处理,不涉及需要采取加固措施的安全问题。因此,执行时不应随意扩大本章的适用范围。
2 本章所指的局部缺陷和损伤,仅涉及采用一般或传统工艺在正确的操作下即可得到修复或处理的缺陷和损伤;不涉及对疑难问题的解决。
12.1.2 对可能导致钢结构整体承载力不足的缺陷和损伤,应采取加固措施进行处理。
12.1.3 对下列缺陷和损伤,宜采取拆换措施:
1 高强度螺栓连接出现延迟断裂现象;
2 承受动力荷载的摩擦型高强度螺栓连接出现滑移现象;
3 钢结构节点板弯折损伤伴有裂纹;
4 承受动力荷载的钢构件出现疲劳裂纹。
条文说明
12.1.3 本条对所列的四种缺陷和损伤,之所以作出了“宜采取拆换措施”的规定,是基于技术经济效果的综合考虑。若一时确难更换原件时,应对拟采用的加固方案进行充分论证后方可实施。
12.1.4 经可靠性鉴定确认可以修复的钢结构局部缺陷和损伤,应根据其类型及产生原因进行专项修复设计。
12.1.5 钢结构的缺陷和损伤的修复,应按设计规定卸除或部分卸除作用于结构上的活荷载,并采取可靠的安全措施。
12.2 连接修缮
12.2 连接修缮
12.2.1 钢结构焊缝的修复应符合下列规定:
1 焊缝实际尺寸不足时,应根据验算结果在原有焊缝上堆焊辅助焊缝;
2 焊缝出现裂纹时,宜采用碳弧气刨或风铲刨掉原焊缝后重焊,并应作防腐蚀处理;
3 焊缝出现气孔、夹渣、咬边时,对常温下承受静载或间接动载的结构,若无裂纹或其他异常现象,可不作处理;
4 焊缝内部的夹渣、气孔等超过现行国家标准《钢结构焊接规范》GB 50661规定的外观质量要求时,应采用碳弧气刨或风铲将有缺陷的焊缝清除,然后以同型号焊条补焊,补焊长度不宜小于40mm。
条文说明
12.2.1 焊缝缺陷的修复,一般可用如下步骤:先仔细清除焊缝附近的焊药和杂质;打磨堆焊辅助焊缝的过大厚度且应在原焊缝冷却后进行;对未完全卸荷的连接焊缝应采取间断堆焊缝。对轻微咬边可采用钢锉或砂轮打磨,将边缘加工呈平缓过渡即可;较严重的咬边应打磨后补焊磨平;焊瘤可采用铲、磨、锉等手工活机械方法,将多余金属堆积物除去磨平。
12.2.2 由螺栓漏拧或终拧扭矩不足造成摩擦型高强度螺栓连接的滑移,可采用补拧并在盖板周边加焊进行修复。
12.2.3 铆钉连接的修复应符合下列规定:
1 对松动或漏铆的铆钉应更换或补铆;更换铆钉时,宜采用气割割掉铆钉头且不应烧伤主体金属;不得采用焊补、加热再铆合方法处理有缺陷的铆钉。修复时,可采用高强度螺栓代替铆钉,其直径换算按等强度确定。
2 当采用高强度螺栓替换铆钉修复时,若铆钉孔缺陷不妨碍螺栓顺利就位时,可不处理铆钉孔;当孔壁倾斜度超过5°,且螺栓不能与连接板表面紧贴时,应扩钻铆钉孔或采用楔形垫圈。
12.3 变形修缮
12.3 变形修缮
12.3.1 钢结构构件的变形可采用热加工方法矫正。当矫正有困难时,应予拆换或加固。
12.3.2 钢结构弯曲变形的处理,应符合下列规定:
1 压杆弯曲变形的处理,当其变形难以矫正时,应以杆件的最大内力和实际的弯曲尺寸,按偏心受压杆件验算。验算时,其承载力设计值应乘以表12.3.2规定的折减系数。若验算结果尚能满足承载要求,可不予处理;当不满足承载要求时应予以加固。
表12.3.2 受压杆件弯曲变形的承载力折减系数

注:1.当弯曲矢高为中间值时,承载力折减系数按线性内插法确定;
2.表中l为杆件计算长度。
2 拉杆弯曲变形的处理,承受静荷载的拉杆的弯曲,当其弯曲矢高f小于等于杆件长度l的1/150时,可不矫直;当f大于杆件长度l的1/150时,宜予以矫直;当f大于1/50时,应予以加固。
条文说明
12.3.1、12.3.2 钢结构构件的变形修复,应根据变形的大小经过必要的验算或试验后,综合确定修复方法。当构件变形较小时,可不进行修复;当构件变形不大时,可采用热加工法予以矫正;当构件变形较大且难以矫正时,应采用加固或调换构件的修复方法。
12.3.3 钢结构腹板局部凹凸的处理,应符合下列规定:
1 当梁、柱腹板的受压区有局部凹凸时,应进行承载力验算。验算结果满足承载要求时,可不予处理。当不满足要求时应予加固。当局部凹凸位于腹板受拉区且无裂纹时,可不予处理。
2 当局部凹凸对腹板受力有影响时,应进行修复。修复方法宜采用机械矫正法,当不能校平,可采用火焰法校平。对腹板的凹凸部分亦可采用增设加劲肋的方法处理,并应使加劲肋与腹板相贴一面的形状与腹板变形的轮廓一致。
12.3.4 钢结构节点板弯折变形的处理,应符合下列规定:
1 当节点板弯折处无裂纹时,可在矫正后加设加劲肋。
2 当节点板弯折处存在轻微裂纹,且节点板受力较小时,可用堵焊法修补裂纹,并按本条第1款进行处理。
3 当节点板弯折变形不满足本条第1款、第2款的规定时,应予以更换。
条文说明
12.3.4 加固或调换构件的修复方法是在构件变形处增设附加杆件进行局部加固,或者采取技术措施割除构件已变形部分,再通过焊接嵌入新构件以恢复构件正常工作能力。
12.4 裂纹修缮
12.4 裂纹修缮
12.4.1 结构因荷载反复作用及材料选择、构造、制作、施工安装不当产生的具有扩展性或脆断倾向性裂纹损伤时,应对结构进行修复。在修复前,必须分析产生裂纹的原因及其影响的严重性,制定加固方案、采取修复加固措施;对不宜采取修复加固措施的构件,应予拆除更换。在对含裂纹构件进行修复加固设计时,宜采用断裂力学方法进行抗脆断验算。
12.4.2 在钢结构构件上发现裂纹时,作为临时应急措施之一,可在裂纹端部以外0.5t~1.0t处钻孔(图12.4.2),防止裂纹进一步急剧扩展,并根据裂纹性质及扩展倾向采取修复加固措施。

图12.4.2 裂纹两端钻止裂孔
t-板厚
条文说明
12.4.2 钻孔止裂法只是应急措施;通过在裂纹尖端处钻孔,消除裂纹尖端严重的应力集中,阻止裂纹的扩展。在尽快确定适修方案之前,不宜直接补焊,以免恶化母材、增添附加焊接应力及产生新的有害裂纹。
12.4.3 承受静载或间接动载钢结构构件的裂纹修复应符合下列规定:
1 修复裂纹时应优先采用焊接方法。
2 对网状、分叉裂纹区和有破裂、过烧或烧穿等缺陷的梁、柱腹板部位,宜采用焊接的嵌板修补(图12.4.3)。

图12.4.3 裂纹的嵌板法修复示意
1-切割线;2-缺陷的界限;3-预热区域;4~7-焊接顺序
3 用附加盖板修补裂纹时,宜采用双层盖板,裂纹两端应钻孔。当盖板用焊接连接时,应将加固盖板压紧,其厚度应与原钢板等厚,焊脚尺寸应等于板厚。当用摩擦型高强度螺栓连接时,应在裂纹的每侧用双排螺栓,盖板宽度应能布置螺栓,盖板长度每边应超出裂纹端部150mm。
条文说明
12.4.3 如果只在开裂板件一侧设置盖板,将由于荷载偏心而产生平面外弯矩。这会使裂纹部位的应力集中情况更加恶化,严重影响裂纹修复的效果。疲劳裂纹通过双侧盖板工作会大大减小原有疲劳裂纹尖端的循环应力,从而达到止裂的目的。
12.5 涂装修缮
12.5 涂装修缮
12.5.1 钢结构构件涂装的修复应根据构件实际锈蚀、腐蚀程度采取修缮措施。当构件截面削弱程度不足以影响结构安全时,可采取表面除锈、增加防腐涂层的修复方法;当构件截面削弱程度已影响结构安全时,应采取相应加固措施进行修复。
12.5.2 钢结构构件表面除锈可采用手工除锈、机械除锈或喷砂除锈。除锈等级应符合现行国家标准《涂覆涂料前钢材表面处理表面清洁度的目视评定 第1部分:未深覆过的钢材表面和全面清除原有涂层后的钢材表面的锈蚀等级和处理等级》GB/T 8923.1的有关规定。
12.5.3 锈蚀、腐蚀缺陷的修复,应在重做防护措施前,采取酸洗、喷砂机械打磨等处理措施清除锈蚀、旧涂层和污垢等;新涂层的品种、涂刷层数和厚度应根据产品要求和耐久性要求确定。
附录A既有建筑物结构荷载标准值的确定方法
附录A 既有建筑物结构荷载标准值的确定方法
A.0.1 对已有结构上的荷载标准值取值,除应符合现行国家标准《建筑结构荷载规范》GB 50009的规定外,尚应符合本附录的规定。
条文说明
A.0.1 现行国家标准《建筑结构荷载规范》GB 50009是以新建工程为对象制定的;当用于已有建筑物结构加固设计时,还需要根据已有建筑物的特点做些补充规定。例如:现行国家标准《建筑结构荷载规范》GB 50009尚未规定的有些材料自重标准值的确定;加固设计使用年限调整后,楼面活荷载、风荷载、雪荷载标准值的确定等等。为此,作为对现行国家标准《建筑结构荷载规范》GB 50009的补充,供已有建筑物结构加固设计使用。
A.0.2 结构和构件自重的标准值,应根据构件和连接的实测尺寸,按材料或构件单位自重的标准值计算确定。对难以实测的连接构造的尺寸,可按结构详图估算。
A.0.3 常用材料和构件的单位自重标准值,应按现行国家标准《建筑结构荷载规范》GB 50009的规定采用。当现行国家标准《建筑结构荷载规范》GB 50009的规定值有上、下限时,应按下列规定采用:
1 当荷载效应对结构不利时,应取上限值;
2 当荷载效应对结构有利时,应取下限值。
条文说明
A.0.3 常用材料和构件的单位自重标准值,当荷载效应对结构有利时,取下限值。当荷载效应对结构有利的情况包括验算倾覆、抗滑移、抗浮起等。
A.0.4 当遇到下列情况之一时,材料和构件的自重标准值应按现场抽样称量确定:
1 现行国家标准《建筑结构荷载规范》GB 50009尚无规定;
2 自重变异较大的材料或构件;
3 材料或构件自重的原设计采用值与实际情况有显著出入。
A.0.5 现场抽样检测材料或构件自重的试样数量,不应少于5个。当按检测的结果确定材料或构件自重的标准值时,应按下列规定进行计算:
1 当其效应对结构不利时,应按下式计算:

式中:g k,sup ——材料或构件自重的标准值;
m g ——试样称量结果的平均值;
s g ——试样称量结果的标准差;
n——试样数量;
t'——考虑抽样数量影响的计算系数,按表A.0.5采用。
2 当其效应对结构有利时,应按下式计算:

表A.0.5 计算系数t'值

A.0.6 对非结构的构、配件,或对支座沉降有影响的构件,当其自重效应对结构有利时,应取其自重标准值g k,sup 等于0。
A.0.7 当房屋结构进行加固验算时,对不上人的屋面,应计入加固工程的施工荷载,其取值应符合下列规定:
1 当估算的荷载低于现行国家标准《建筑结构荷载规范》GB 50009规定的屋面均布活荷载或集中荷载时,应按现行国家标准《建筑结构荷载规范》GB 50009采用;
2 当估算的荷载高于现行国家标准《建筑结构荷载规范》GB 50009的规定值时,应按实际估算值采用;
3 当施工荷载过大时,宜采取措施予以降低。
A.0.8 对加固改造设计的验算,其基本雪压值、基本风压值和楼面活荷载的标准值,除应按现行国家标准《建筑结构荷载规范》GB 50009的规定采用外,尚应按下一目标使用年限,乘以表A.0.8的修正系数ψ a 予以修正。下一目标使用年限,应由委托方和鉴定方共同商定。
表A.0.8 基本雪压、基本风压及楼面活荷载的修正系数ψ a

注:对表中未列出的中间值,可按线性内插法确定,当目标使用年限低于10年时,应按10年取ψ a 值。
附录B钢构件截面加固形式的选用
附录B 钢构件截面加固形式的选用
条文说明
采用增大截面加固法加固钢构件时,新选截面形式应有利于加固技术要求,并考虑原构件受力情况及存在的缺陷和损伤;在施工可行、传力直接可靠的前提下,选取有效的截面增大形式,为此,结合工程实践经验编制了本附录供设计使用。
B.0.1 受拉构件的截面加固可采用规定的形式(图B.0.1)或其他形式。

图B.0.1 受拉构件的截面加固形式
1-原截面;2-增加截面
B.0.2 受压构件的截面加固可采用规定的形式(图B.0.2)或其他形式。

图B.0.2 受压构件的截面加固形式
1-原截面;2-增加截面;3-辅助板件
B.0.3 受弯构件的截面加固可采用规定的形式(图B.0.3)或其他形式。

图B.0.3 受弯构件的截面加固形式(一)
1-原截面;2-增加截面

图B.0.3 受弯构件的截面加固形式(二)
1-原截面;2-增加截面
B.0.4 弯矩不变号偏心受力构件的截面加固可采用不对称的形式(图B.0.4a~图B.0.4e)。若弯矩可能变号,应采用对称的截面形式(图B.0.4f)。

图B.0.4 弯矩不变号偏心受力构件的截面加固形式
1-原截面;2-增加截面
本标准用词说明
本标准用词说明
1 为便于在执行本标准条文时区别对待,对要求严格程度不同的用词说明如下:
1)表示很严格,非这样做不可的:
正面词采用“必须”,反面词采用“严禁”;
2)表示严格,在正常情况下均应这样做的:
正面词采用“应”,反面词采用“不应”或“不得”;
3)表示允许稍有选择,在条件许可时首先应这样做的:
正面词采用“宜”,反面词采用“不宜”;
4)表示有选择,在一定条件下可以这样做的,采用“可”。
2 条文中指明应按其他有关标准执行的写法为:“应符合……的规定”或“应按……执行”。
引用标准名录
引用标准名录
1《建筑结构荷载规范》GB 50009
2《混凝土结构设计规范》GB 50010
3《建筑抗震设计规范》GB 50011
4《建筑设计防火规范》GB 50016
5《钢结构设计标准》GB 50017
6《工业建筑防腐蚀设计标准》GB/T 50046
7《构筑物抗震鉴定标准》GB 50117
8《工业建筑可靠性鉴定标准》GB 50144
9《钢结构工程施工质量验收规范》GB 50205
10《民用建筑可靠性鉴定标准》GB 50292
11《水泥基灌浆材料应用技术规范》GB/T 50448
12《建筑结构加固工程施工质量验收规范》GB 50550
13《钢结构焊接规范》GB 50661
14《工程结构加固材料安全性鉴定技术规范》GB 50728
15《钢管混凝土结构技术规范》GB 50936
16《优质碳素结构钢》GB/T 699
17《碳素结构钢》GB/T 700
18《钢结构用高强度大六角头螺栓》GB/T 1228
19《钢结构用高强度大六角螺母》GB/T 1229
20《钢结构用高强度垫圈》GB/T 1230
21《钢结构用高强度大六角头螺栓、大六角螺母、垫圈技术条件》GB/T 1231
22《钢筋混凝土用钢 第1部分:热轧光圆钢筋》GB/T 1499.1
23《钢筋混凝土用钢 第2部分:热轧带肋钢筋》GB/T 1499.2
24《低合金高强度结构钢》GB/T 1591
25《紧固件机械性能螺栓、螺钉和螺柱》GB/T 3098.1
26《钢结构用扭剪型高强度螺栓连接副》GB/T 3632
27《氩》GB/T 4842
28《非合金钢及细晶粒钢焊条》GB/T 5117
29《热强钢焊条》GB/T 5118
30《埋弧焊用非合金钢及细晶粒钢实心焊丝、药芯焊丝和焊丝-焊剂组合分类要求》GB/T 5293
31《六角头螺栓 C级》GB/T 5780
32《六角头螺栓》GB/T 5782
33《气体保护电弧焊用碳钢、低合金钢焊丝》GB/T 8110
34《重要用途钢丝绳》GB 8918
35《涂覆涂料前钢材表面处理 表面清洁度的目视评定第1部分:未涂覆过的钢材表面和全面清除原有涂层后的钢材表面的锈蚀等级和处理等级》GB/T 8923.1
36《非合金钢及细晶粒钢药芯焊丝》GB/T 10045
37《电弧螺柱焊用圆柱头焊钉》GB/T 10433
38 《埋弧焊用热强钢实心焊丝、药芯焊丝和焊丝-焊剂组合分类要求》GB/T 12470
39《钢筋混凝土用余热处理钢筋》GBl3014
40《预应力筋用锚具、夹具和连接器》GB/T 14370
41《钢结构防火涂料》GB 14907
42《熔化焊用钢丝》GB/T 14957
43《钢网架螺栓球节点用高强度螺栓》GB/T 16939
44《热强钢药芯焊丝》GB/T 17493
45《建筑结构用钢板》GB/T 19879
46《钢拉杆》GB/T 20934
47《高密度聚乙烯护套钢丝拉索》CJ/T 504
48《预应力筋用锚具、夹具和连接器应用技术规程》JGJ 85
49《无粘结预应力钢绞线》JG/T 161
50《填充型环氧涂层钢绞线》JT/T 737
51《高强度低松弛预应力热镀锌钢绞线》YB/T 152
自2022年4月1日起废止的条文

