Appearance
《建筑抗震鉴定标准[附条文说明] 》GB 50023-2009
🗓️ 住房和城乡建设部 实施时间:2009-07-01
前言
中华人民共和国国家标准
建筑抗震鉴定标准
Standard for seismic appraisal of buildings
GB 50023-2009
主编部门:中华人民共和国住房和城乡建设部
批准部门:中华人民共和国住房和城乡建设部
施行日期:2 0 0 9 年 7 月 1 日
中华人民共和国住房和城乡建设部
公 告
第322号
关于发布国家标准《建筑抗震鉴定标准》的公告
现批准《建筑抗震鉴定标准》为国家标准,编号为GB 50023-2009,自2009年7月1日起实施。其中,第1.0.3、3.0.1、 3.0.4 (1、 2、 3)、 4.1.2、 4.1.3、 4.1.4、 4.2.4、5.1.2、 5.1.4、 5.1.5、 5.2.12、 6.1.2、 6.1.4、 6.1.5、6.2.10、6.3.1、7.1. 2、7.1.4、7.1.5、9.1. 2、9.1.5条(款)为强制性条文,必须严格执行。原《建筑抗震鉴定标准》GB 50023-95同时废止。
本标准由我部标准定额研究所组织中国建筑工业出版社出版发行。
中华人民共和国住房和城乡建设部
2009年6月5日
前 言
本标准是根据原建设部《关于印发<2004年工程建设标准制订、修订计划>的通知》([2004]67号)的要求,由中国建筑科学研究院会同有关单位对《建筑抗震鉴定标准》GB 50023-95进行修订而成。
修订过程中,调查总结了近年来我国发生的地震,特别是汶川大地震的经验教训,总结了原95鉴定标准颁布实施以来的建筑抗震鉴定的工程经验,采纳了建筑抗震鉴定技术的最新研究成果,并在全国范围内广泛征求了有关设计、科研、教学、房屋鉴定单位及抗震管理部门的意见,经反复讨论、修改、充实,最后经审查定稿。
本次修订后共包括11章和7个附录,主要修订内容是:一是扩大了原鉴定标准的适用范围;将原95鉴定标准仅针对TJ 11-78实施以前设计建造的房屋,扩大到已投入使用的现有建筑。二是提出了现有建筑鉴定的后续使用年限;根据现有建筑设计建造年代及原设计依据规范的不同,将其后续使用年限划分为30、40、50年三个档次。三是给出了不同后续使用年限的建筑应采用的抗震鉴定方法,即本标准中的A、B、C类建筑抗震鉴定方法。四是明确了现有建筑抗震鉴定的设防目标;后续使用年限50年的建筑与新建工程的设防目标一致,后续使用年限少于50年的建筑,在遭遇同样的地震影响时,其损坏程度略大于按后续使用年限50年鉴定的建筑。五是适度提高了乙类建筑的抗震鉴定要求。
本标准以黑体字标志的条文为强制性条文,必须严格执行。
本标准由住房和城乡建设部负责管理和对强制性条文的解释,由中国建筑科学研究院负责具体技术内容的解释。在执行过程中,请各单位结合工程实践,认真总结经验,并将意见和建议寄交中国建筑科学研究院国家标准《建筑抗震鉴定标准》管理组(地址:北京市北三环东路30号,邮编:100013,E-mail:GB50023@cabr.com.cn)。
本标准主编单位:中国建筑科学研究院
本标准参加单位:中国机械工业集团有限公司
中国航空工业规划设计研究院
四川省建筑科学研究院
中冶集团建筑研究总院
中国中元国际工程公司
中国地震局工程力学研究所
西北建筑抗震勘察设计研究院
同济大学
本标准主要起草人:程绍革 戴国莹(以下按姓氏笔画排列)尹保江 史铁花 白雪霜 吕西林 吴 体 辛鸿博 张 耀 李仕全 金来建 徐建 戴君武
本标准主要审查人:吴学敏 刘志刚(以下按姓氏笔画排列)王亚勇 韦开波 吴翔天 李彦莉 苗启松 杨玉成 娄 宇 高永昭 莫庸 袁金西 黄世敏
1 总则
1 总 则
1.0.1 为贯彻执行《中华人民共和国建筑法》和《中华人民共和国防震减灾法》,实行以预防为主的方针,减轻地震破坏,减少损失,对现有建筑的抗震能力进行鉴定,并为抗震加固或采取其他抗震减灾对策提供依据,制定本标准。
符合本标准要求的现有建筑,在预期的后续使用年限内具有相应的抗震设防目标:后续使用年限50年的现有建筑,具有与现行国家标准《建筑抗震设计规范》GB 50011相同的设防目标;后续使用年限少于50年的现有建筑,在遭遇同样的地震影响时,其损坏程度略大于按后续使用年限50年鉴定的建筑。
条文说明
1.0.1 地震中建筑物的破坏是造成地震灾害的主要原因。现有建筑有些未考虑抗震设防,有些虽然考虑了抗震,但与新的地震动参数区划图等的规定相比,并不能满足相应的设防要求。1977年以来建筑抗震鉴定、加固的实践和震害经验表明,对现有建筑进行抗震鉴定,并对不满足鉴定要求的建筑采取适当的抗震对策,是减轻地震灾害的重要途径。 95版鉴定标准是在1976年唐山地震后发布的77版鉴定标准基础上修订而成的,针对建造于20世纪90年代以前的建筑,在震前进行抗震鉴定和加固的要求编制的。按照国家的技术政策,考虑当时的经济、技术条件和需要加固工程量很大的具体情况,鉴定和加固的设防目标略低于《建筑抗震设计规范》GBJ 11-89设计规范的设防目标,并要求不符合鉴定要求的现有建筑,应根据具体情况,提出相应的维修、加固、改造或更新的减灾对策。 在1998年的国际标准《结构可靠性总原则》ISO 2394中,也开始提出既有建筑的可靠性评定方法,强调了依据用户提出的使用年限对可变作用采用系数的方法折减,并对结构实际承载力(包括实际尺寸、配筋、材料强度、已有缺陷等)与实际受力进行比较从而评定其可靠性,当可靠程度不足时,鉴定的结论可包括:出于经济理由保持现状、减少荷载、修补加固或拆除等。 按照国务院《建筑工程质量管理条例》的规定,结构设计必须明确其合理使用年限,对于鉴定和加固,则为合理的后续使用年限。近年来的研究表明,从后续使用年限内具有相同概率的角度,在全国范围内平均,30、40、50年地震作用的相对比例大致是0.75、0.88和1. 00;抗震构造综合影响系数的相对比例,6度为0.76、0.90、1.00,7度为0.71、0.87、1.00,8度为0.63、0.84、1.00,9度为0.57、0.81、1.00。据此,考虑到95版鉴定标准的抗力调整系数取设计规范的0.85倍,89版设计规范系列的场地设计特征周期比2001版规范约减少10%且材料强度大致为2001版规范系列的1.05~1.15,于是可以认为:95版鉴定标准、89版设计规范和2001版设计规范大体上分别在使用年限30年、40年和50年具有相同的概率保证。 震害经验也表明,按照77版鉴定标准进行鉴定加固的房屋,在20世纪80年代和90年代我国的多次地震中,如1981年邢台M6级地震、1981年道孚M6.9级地震、1985年自贡M4.8级地震、1989年澜沧耿马M7.6级地震、1996年丽江M7级地震,均经受了考验。2008年汶川地震中,除震中区外,不仅严格按89版规范、2001版规范进行设计和施工的房屋没有倒塌,经加固的房屋也没有倒塌,再一次证明按照95系列鉴定标准执行对于减轻建筑的地震破坏是有效的。 现有建筑抗震鉴定的设防目标在相同概率保证的前提下与现行国家标准《建筑抗震设计规范》GB 50011一致。因此,在遭遇同样的地震影响时,后续使用年限少于50年的建筑,其损坏程度要大于后续使用年限50年的建筑。按后续30年进行鉴定时,95版鉴定标准的第1.0.1条规定的设防目标是“在遭遇设防烈度地震影响时,经修理后仍可继续使用”,即意味着也在一定程度上达到大震不倒塌。 合理的后续使用年限可能与规范的设计基准期不同,本标准明确划分为30年、40年和50年三个档次。新建工程设计规范规定的设计基准期为50年。
1.0.2 本标准适用于抗震设防烈度为6~9度地区的现有建筑的抗震鉴定,不适用于新建建筑工程的抗震设计和施工质量的评定。
抗震设防烈度,一般情况下,采用中国地震动参数区划图的地震基本烈度或现行国家标准《建筑抗震设计规范》GB 50011规定的抗震设防烈度。
古建筑和行业有特殊要求的建筑,应按专门的规定进行鉴定。
注:本标准以下将“抗震设防烈度为6度、7度、8度、9度”简称“6度、7度、8度、9度”。
条文说明
1.0.2 本标准适用于抗震设防区现有建筑的抗震鉴定。
抗震设防烈度与设计基本地震加速度的对应关系如表1所示。
表1 抗震设防烈度和设计基本地震加速度值的对应关系

由于新建建筑工程应符合设计规范的要求,古建筑及属于文物的建筑,有专门的要求,危险房屋不能正常使用。因此,本标准的现有建筑,只是既有建筑中的一部分,不包括古建筑、新建的建筑工程(含烂尾楼)和危险房屋,一般情况,在不遭受地震影响时,仍在正常使用。
由于“现有建筑”抗震安全性的评估不同于新建建筑的抗震设计,应注意以下问题:
1 对新建建筑,抗震安全性评估属于判断房屋的设计和施工是否符合抗震设计及施工规范要求的质量要求;对现有建筑,抗震安全性评估是从抗震承载力和抗震构造两方面综合判断结构实际具有的抗御地震灾害的能力。
2 必须明确,需要进行抗震鉴定的“现有建筑”主要分为三类:第一类是使用年限在设计基准期内且设防烈度不变,但原规定的抗震设防类别提高的建筑;第二类是虽然抗震设防类别不变,但现行的区划图设防烈度提高后又使之可能不符合相应设防要求的建筑;第三类是设防类别和设防烈度同时提高的建筑。
3 现有建筑增层时的抗震鉴定,情况复杂,本标准未作规定。对现有建筑进行装修和改 善使用功能的改造时,若不增加房屋层数,应按鉴定标准的要求进行抗震鉴定,并确定结构改造的可能性;若进行加层改造,一般说来,加层的要求应高于现有建筑鉴定而接近或达到新建工程的要求,此时可以采用综合抗震能力鉴定的原则,但不能直接套用抗震鉴定标准的具体要求。
4 不得按本标准的规定进行新建工程的抗震设计,或作为新建工程未执行设计规范的借口。
1.0.3 现有建筑应按现行国家标准《建筑工程抗震设防分类标准》GB 50223分为四类,其抗震措施核查和抗震验算的综合鉴定应符合下列要求:
1 丙类,应按本地区设防烈度的要求核查其抗震措施并进行抗震验算。
2 乙类,6~8度应按比本地区设防烈度提高一度的要求核查其抗震措施,9度时应适当提高要求;抗震验算应按不低于本地区设防烈度的要求采用。
3 甲类,应经专门研究按不低于乙类的要求核查其抗震措施,抗震验算应按高于本地区设防烈度的要求采用。
4 丁类,7~9度时,应允许按比本地区设防烈度降低一度的要求核查其抗震措施,抗震验算应允许比本地区设防烈度适当降低要求;6度时应允许不作抗震鉴定。
注:本标准中,甲类、乙类、丙类、丁类,分别为现行国家标准《建筑工程抗震设防分类标准》GB 50223特殊设防类、重点设防类、标准设防类、适度设防类的简称。
条文说明
1.0.3 现有建筑进行抗震鉴定时,根据国家标准《建筑工程抗震设防分类标准》GB 50223的规定,设防分类分为四类。在医疗建筑中,重点设防类的建筑包括二、三级医院的门诊、医技、住院用房,具有外科手术室或急诊科的乡镇卫生院的医疗用房,县级及以上急救中心的指挥、通信、运输系统的重要建筑,县级及以上的独立采供血机构的建筑。在教育建筑中,重点设防类的建筑包括幼儿园、小学、中学的教学用房以及学生宿舍和食堂。
不同设防类别的要求,本标准在文字上突出了鉴定不同于设计的特点。
丙类,即标准设防类,属于一般房屋建筑。
乙类,即重点设防类,是需要比当地一般建筑提高设防要求的建筑。在本标准中,凡没有专门明确的抗震措施,均需按提高一度的规定进行相应的检查。9度时适当提高,指A类9度的抗震措施按B类9度的要求、B类9度按C类9度的要求进行检查。乙类设防时,规模很小的工业建筑以及Ⅰ类场地的地基基础抗震构造应符合有关规定。
现有的甲类,其抗震鉴定要求需要专门研究,按不低于乙类的抗震措施和高于乙类的地震作用进行检查和评定其综合抗震能力。
1.0.4 现有建筑应根据实际需要和可能,按下列规定选择其后续使用年限:
1 在70年代及以前建造经耐久性鉴定可继续使用的现有建筑,其后续使用年限不应少于30年;在80年代建造的现有建筑,宜采用40年或更长,且不得少于30年。
2 在90年代(按当时施行的抗震设计规范系列设计)建造的现有建筑,后续使用年限不宜少于40年,条件许可时应采用50年。
3 在2001年以后(按当时施行的抗震设计规范系列设计)建造的现有建筑,后续使用年限宜采用50年。
1.0.5 不同后续使用年限的现有建筑,其抗震鉴定方法应符合下列要求:
1 后续使用年限30年的建筑(简称A类建筑),应采用本标准各章规定的A类建筑抗震鉴定方法。
2 后续使用年限40年的建筑(简称B类建筑),应采用本标准各章规定的B类建筑抗震鉴定方法。
3 后续使用年限50年的建筑(简称C类建筑),应按现行国家标准《建筑抗震设计规范》GB 50011的要求进行抗震鉴定。
条文说明
1.0.4、1.0.5 鉴于现有建筑需要鉴定和加固的数量很大,情况又十分复杂,如结构类型不同、建造年代不同、设计时所采用的设计规范、地震动区划图的版本不同、施工质量不同、使用者的维护也不同,投资方也不同,导致彼此的抗震能力有很大的不同,需要根据实际情况区别对待和处理,使之在现有的经济技术条件下分别达到其最大可能达到的抗震防灾要求。 与第1.0.1条相对应,这两条给出了不同设计建造年代、不同后续使用年限的建筑所采用鉴定要求的基本标准,并明确规定,有条件时应采用更高的标准,即尽可能提高其抗震能力。
对于国家投资的项目,可依据相关部门的要求,按较高的要求鉴定。
本标准对于后续使用年限30年的建筑,简称A类建筑,通常指在89版规范正式执行前设计建造的房屋(各地执行89规范的时间可能不同,一般不晚于1993年7月1日)。其鉴定要求,基本保持本标准95版的有关规定,主要增加7度(0.15g)和8度(0.30g)的相关内容,但对设防类别为乙类的建筑,有较明显的提高。
本标准对于后续使用年限40年的建筑,简称B类建筑,通常指在89版设计规范正式执行后,2001版设计规范正式执行前设计建造的房屋(各地执行2001版规范的时间,一般不晚于2003年1月1日)。其鉴定要求,基本按照89版抗震设计规范的有关规定,从鉴定的角度加以归纳、整理。其中,凡现行规范比89版规范放松的要求,也反映到条文中。对于按89规范系列设计建造的现有建筑,由于本地区提高设防烈度或建筑抗震设防类别提高而进行抗震鉴定时,参照国际标准《结构可靠性总原则》ISO 2394的规定,当“出于经济理由”选择40年 的后续使用年限确有困难时,允许略少于40年。
对于后续使用年限50年的建筑,简称C类建筑,其鉴定要求,完全采用现行设计规范的有关要求,本标准不重复规定。
1.0.6 下列情况下,现有建筑应进行抗震鉴定:
1 接近或超过设计使用年限需要继续使用的建筑。
2 原设计未考虑抗震设防或抗震设防要求提高的建筑。
3 需要改变结构的用途和使用环境的建筑。
4 其他有必要进行抗震鉴定的建筑。
条文说明
1.0.6 本条规定了需要进行抗震鉴定的房屋建筑的主要范围。
1.0.7 现有建筑的抗震鉴定,除应符合本标准的规定外,尚应符合国家现行标准、规范的有关规定。
条文说明
1.0.7 建筑抗震鉴定的有关规定,主要包括:
1 抗震主管部门发布的有关通知;
2 危险房屋鉴定标准,工业厂房可靠性鉴定标准,民用房屋可靠性鉴定标准等;
3 现行建筑结构设计规范中,关于建筑结构设计统一标准的原则、术语和符号的规定以及静力设计的荷载取值等。
2 术语和符号
2.1 术语
2 术语和符号
2.1 术 语
2.1.1 现有建筑 available buildings
除古建筑、新建建筑、危险建筑以外,迄今仍在使用的既有建筑。
2.1.2 后续使用年限 continuous seismic working life,continuing seismic service life
本标准对现有建筑经抗震鉴定后继续使用所约定的一个时期,在这个时期内,建筑不需重新鉴定和相应加固就能按预期目的使用、完成预定的功能。
2.1.3 抗震设防烈度 seismic fortification intensity
按国家规定的权限批准作为一个地区抗震设防依据的地震烈度。
2.1.4 抗震鉴定 seismic appraisal
通过检查现有建筑的设计、施工质量和现状,按规定的抗震设防要求,对其在地震作用下的安全性进行评估。
2.1.5 综合抗震能力 compound seismic capability
整个建筑结构综合考虑其构造和承载力等因素所具有的抵抗地震作用的能力。
2.1.6 墙体面积率 ratio of wall section area to floor area
墙体在楼层高度1/2处的净截面面积与同一楼层建筑平面面积的比值。
2.1.7 抗震墙基准面积率characteristic ratio of seismic wall
以墙体面积率进行砌体结构简化的抗震验算时所取用的代表值。
2.1.8 结构构件现有承载力 available capacity of member
现有结构构件由材料强度标准值、结构构件(包括钢筋)实有的截面面积和对应于重力荷载代表值的轴向力所确定的结构构件承载力。包括现有受弯承载力和现有受剪承载力等。
2.2 主要符号
2.2 主要符号
2.2.1 作用和作用效应
N——对应于重力荷载代表值的轴向压力
V e ——楼层的弹性地震剪力
S——结构构件地震基本组合的作用效应设计值
p 0 ——基础底面实际平均压力
2.2.2 材料性能和抗力
M y ——构件现有受弯承载力
V y ——构件或楼层现有受剪承载力
R——结构构件承载力设计值
f——材料现有强度设计值
f k ——材料现有强度标准值
2.2.3 几何参数
A s ——实有钢筋截面面积
A w ——抗震墙截面面积
A b ——楼层建筑平面面积
B——房屋宽度
L——抗震墙之间楼板长度、抗震墙间距,房屋长度
b——构件截面宽度
h——构件截面高度
l——构件长度,屋架跨度
t——抗震墙厚度
2.2.4 计算系数
β——综合抗震承载力指数
γ Ra ——抗震鉴定的承载力调整系数
ξ y ——楼层屈服强度系数
ξ 0 ——砖房抗震墙的基准面积率

——结构构造的体系影响系数

——结构构造的局部影响系数
3 基本规定
3 基本规定
3.0.1 现有建筑的抗震鉴定应包括下列内容及要求:
1 搜集建筑的勘察报告、施工和竣工验收的相关原始资料;当资料不全时,应根据鉴定的需要进行补充实测。
2 调查建筑现状与原始资料相符合的程度、施工质量和维护状况,发现相关的非抗震缺陷。
3 根据各类建筑结构的特点、结构布置、构造和抗震承载力等因素,采用相应的逐级鉴定方法,进行综合抗震能力分析。
4 对现有建筑整体抗震性能作出评价,对符合抗震鉴定要求的建筑应说明其后续使用年限,对不符合抗震鉴定要求的建筑提出相应的抗震减灾对策和处理意见。
条文说明
3.0.1 本条明确规定了抗震鉴定的基本步骤和内容:搜集原始资料,进行建筑现状的现场调查,进行综合抗震能力的逐级筛选分析,以及对建筑整体抗震性能作出评定结论并提出处理意见。
考虑到按不同后续使用年限抗震鉴定结果的差异,按照国务院《建筑工程质量管理条例》的要求,增加了在鉴定结论中说明选用的后续使用年限的规定。
抗震鉴定系对现有建筑物是否存在不利于抗震的构造缺陷和各种损伤进行系统的“诊断”,因而必须对其需要包括的基本内容、步骤、要求和鉴定结论作出统一的规定,并要求 强制执行,才能达到规范抗震鉴定工作,提高鉴定工作质量,确保鉴定结论的可靠性。
1 关于建筑现状的调查,主要有三个内容:其一,建筑的使用状况与原设计或竣工时有无不同;其二,建筑存在的缺陷是否仍属于“现状良好”的范围,需从结构受力的角度,检查结构的使用与原设计有无明显的变化;其三,检测结构材料的实际强度等级。
2 “现状良好”是对现有建筑现状调查的重要概念,涉及施工质量和维修情况。它是介于完好无损和有局部损伤需要补强、修复二者之间的一种概念。抗震鉴定时要求建筑的现状良好,即建筑外观不存在危及安全的缺陷,现存的质量缺陷属于正常维修范围之内。
3 20世纪80年代的抗震鉴定及加固,偏重于对单个构件、部件的鉴定,而缺乏对总体抗震性能的判断,只要某部位不符合抗震要求,就认为该部位需要加固处理,因而不仅增加了房屋的加固量,甚至在加固后还形成了新薄弱环节,致使结构的抗震安全性仍无保证。例如,天津市某三层框架厂房,在1976年7月唐山地震后加固时缺乏整体观点,局部加固后使底层形成新的明显的薄弱层,以致在同年11月的宁河地震中倒塌。因此,要强调对整个结构总体上所具有抗震能力的判断。综合抗震能力的定义,见本标准第2.1.5条;逐级鉴定方法,见本标准第3.0.3条。
4 在抗震鉴定中,将构件分成具有整体影响和仅有局部影响两大类,予以区别对待。前者以组成主体结构的主要承重构件及其连接为主,不符合抗震要求时有可能引起连锁反应,对结构综合抗震能力的影响较大,采用“体系影响系数”来表示;后者指次要构件、非承重构件、附属构件和非必需的承重构件(如悬挑阳台、过街楼、出屋面小楼等),不符合抗震要求时只影响结构的局部,有时只需结合维修加固处理,采用“局部影响系数”来表示。
5 对建筑结构抗震鉴定的结果,按本标准第3.0.7条统一规定为五个等级:合格、维修、加固、改变用途和更新。要求根据建筑的实际情况,结合使用要求、城市规划和加固难易等因素的分析,通过技术经济比较,提出综合的抗震减灾对策。
3.0.2 现有建筑的抗震鉴定,应根据下列情况区别对待:
1 建筑结构类型不同的结构,其检查的重点、项目内容和要求不同,应采用不同的鉴定方法。
2 对重点部位与一般部位,应按不同的要求进行检查和鉴定。
注:重点部位指影响该类建筑结构整体抗震性能的关键部位和易导致局部倒塌伤人的构件、部件,以及地震时可能造成次生灾害的部位。
3 对抗震性能有整体影响的构件和仅有局部影响的构件,在综合抗震能力分析时应分别对待。
条文说明
3.0.2 本条规定了区别对待的鉴定要求。除了抗震设防类别(甲、乙、丙、丁)和设防烈度(6、7、8、9度)的区别外,强调了下列三个区别对待,使鉴定工作有更强的针对性:
1 现有建筑中,要区别结构类型;
2 同一结构中,要区别检查和鉴定的重点部位与一般部位;
3 综合评定时,要区别各构件(部位)对结构抗震性能的整体影响与局部影响。
3.0.3 抗震鉴定分为两级。第一级鉴定应以宏观控制和构造鉴定为主进行综合评价,第二级鉴定应以抗震验算为主结合构造影响进行综合评价。
A类建筑的抗震鉴定,当符合第一级鉴定的各项要求时,建筑可评为满足抗震鉴定要求,不再进行第二级鉴定;当不符合第一级鉴定要求时,除本标准各章有明确规定的情况外,应由第二级鉴定作出判断。
B类建筑的抗震鉴定,应检查其抗震措施和现有抗震承载力再作出判断。当抗震措施不满足鉴定要求而现有抗震承载力较高时,可通过构造影响系数进行综合抗震能力的评定;当抗震措施鉴定满足要求时,主要抗侧力构件的抗震承载力不低于规定的95%、次要抗侧力构件的抗震承载力不低于规定的90%,也可不要求进行加固处理。
条文说明
3.0.3 抗震鉴定采用两级鉴定法,是筛选法的具体应用。
对于后续使用年限30年的A类建筑,第一级鉴定的工作量较少,容易掌握又确保安全。其中的有些项目不合格时,可在第二级鉴定中进一步判断,有些项目不合格则必须处理。第二级鉴定是在第一级鉴定的基础上进行的,当结构的承载力较高时,可适当放宽某些构造要求;或者,当抗震构造良好时,如砌体房屋有圈梁和构造柱形成约束,其承载力的要求可酌情降低。
对于后续使用年限40年的B类建筑,两级鉴定的工作量相对较多,同样要综合考虑抗震构造和承载力的情况。
这种鉴定方法,将抗震构造要求和抗震承载力验算要求更紧密地联合在一起,具体体现了结构抗震能力是承载能力和变形能力两个因素的有机结合。
3.0.4 现有建筑宏观控制和构造鉴定的基本内容及要求,应符合下列规定:
1 当建筑的平立面、质量、刚度分布和墙体等抗侧力构件的布置在平面内明显不对称时,应进行地震扭转效应不利影响的分析;当结构竖向构件上下不连续或刚度沿高度分布突变时,应找出薄弱部位并按相应的要求鉴定。 (自2022年4月1日起废止该条,点击查看:新规《既有建筑鉴定与加固通用规范》GB 55021-2021)
2 检查结构体系,应找出其破坏会导致整个体系丧失抗震能力或丧失对重力的承载能力的部件或构件;当房屋有错层或不同类型结构体系相连时,应提高其相应部位的抗震鉴定要求。 (自2022年4月1日起废止该条, 点击查看:新规《既有建筑鉴定与加固通用规范》GB 55021-2021 )
3 检查结构材料实际达到的强度等级,当低于规定的最低要求时,应提出采取相应的抗震减灾对策。 (自2022年4月1日起废止该条, 点击查看:新规《既有建筑鉴定与加固通用规范》GB 55021-2021 )
4 多层建筑的高度和层数,应符合本标准各章规定的最大值限值要求。
5 当结构构件的尺寸、截面形式等不利于抗震时,宜提高该构件的配筋等构造抗震鉴定要求。
6 结构构件的连接构造应满足结构整体性的要求;装配式厂房应有较完整的支撑系统。
7 非结构构件与主体结构的连接构造应满足不倒塌伤人的要求;位于出入口及人流通道等处,应有可靠的连接。
8 当建筑场地位于不利地段时,尚应符合地基基础的有关鉴定要求。
条文说明
3.0.4 本条的规定,主要从房屋高度、平立面和墙体布置、结构体系、构件变形能力、连接的可靠性、非结构的影响和场地、地基等方面,概括了抗震鉴定时宏观控制的概念性要求,即检查现有建筑是否存在影响其抗震性能的不利因素。
3.0.5 6度和本标准各章有具体规定时,可不进行抗震验算;当6度第一级鉴定不满足时,可通过抗震验算进行综合抗震能力评定;其他情况,至少在两个主轴方向分别按本标准各章规定的具体方法进行结构的抗震验算。
当本标准未给出具体方法时,可采用现行国家标准《建筑抗震设计规范》GB 50011规定的方法,按下式进行结构构件抗震验算:
式中 S——结构构件内力(轴向力、剪力、弯矩等)组合的设计值;计算时,有关的荷载、地震作用、作用分项系数、组合值系数,应按现行国家标准《建筑抗震设计规范》GB 50011的规定采用;其中,场地的设计特征周期可按表3.0.5确定,地震作用效应(内力)调整系数应按本标准各章的规定采用,8、9度的大跨度和长悬臂结构应计算竖向地震作用。
R——结构构件承载力设计值,按现行国家标准《建筑抗震设计规范》GB 50011的规定采用;其中,各类结构材料强度的设计指标应按本标准附录A采用,材料强度等级按现场实际情况确定。
γ Ra ——抗震鉴定的承载力调整系数,除本标准各章节另有规定外,一般情况下,可按现行国家标准《建筑抗震设计规范》GB 50011的承载力抗震调整系数值采用,A类建筑抗震鉴定时,钢筋混凝土构件应按现行国家标准《建筑抗震设计规范》GB 50011承载力抗震调整系数值的0.85倍采用。
表3.0.5 特征周期值(s)

条文说明
3.0.5 对于A类建筑,抗震验算一般采用本标准提供的具体方法,与抗震设计规范的方法相比,有所简化,容易掌握。对于B类建筑,也可参照A类的简化方法进行验算,但应计入后续使用年限的不同,计算参数有所变化。
本标准中给出的具体抗震验算方法,即综合抗震能力验算方法,可表示为: S≤
R
式中:
——抗震鉴定的整体构造影响系数;
——抗震鉴定的局部构造影响系数。
将抗震构造对结构抗震承载力的影响用具体数据表示,从而实现了综合抗震能力验算的量化。因此,在采用设计规范方法进行抗震承载力验算时,也可以加入
来体现构造的影响。
考虑到抗震鉴定与抗震设计不同,其实际截面、实际材料强度、实际配筋与原设计计算可能不同。当按现行设计规范的方法验算时,需注意89设计规范系列与现行设计规范系列在地震作用、材料设计指标、内力调整系数、承载力验算公式有可能不同,本标准在相关附录 中列入89规范系列的设计参数,供后续使用年限30年和40年的房屋进行抗震验算之用。还引进抗震鉴定的承载力调整系数γRa替代设计规范的承载力抗震调整系数γRE,使之既符合《建筑结构可靠度设计统一标准》GB 50068的原则,又保持A类建筑鉴定的延续性。
根据震害经验,对6度区的一般建筑,着重从构造措施上提出鉴定要求,可不进行抗震承载力验算。
3.0.6 现有建筑的抗震鉴定要求,可根据建筑所在场地、地基和基础等的有利和不利因素,作下列调整:
1 Ⅰ类场地上的丙类建筑,7~9度时,构造要求可降低一度。
2 Ⅳ类场地、复杂地形、严重不均匀土层上的建筑以及同一建筑单元存在不同类型基础时,可提高抗震鉴定要求。
3 建筑场地为Ⅲ、Ⅳ类时,对设计基本地震加速度0.15g和0.30g的地区,各类建筑的抗震构造措施要求宜分别按抗震设防烈度8度(0.20g)和9度(0.40g)采用。
4 有全地下室、箱基、筏基和桩基的建筑,可降低上部结构的抗震鉴定要求。
5 对密集的建筑,包括防震缝两侧的建筑,应提高相关部位的抗震鉴定要求。
条文说明
3.0.6 本条要求针对现有建筑存在的有利和不利因素,对有关的鉴定要求予以适当调整:
对建在Ⅳ类场地、复杂地形、不均匀地基上的建筑以及同一建筑单元存在不同类型基础时,应考虑地震影响复杂和地基整体性不足等的不利影响。这类建筑要求上部结构的整体性更强一些,或抗震承载力有较大富余,一般可根据建筑实际情况,将部分抗震构造措施的鉴定要求按提高一度考虑,例如增加地基梁尺寸、配筋和增加圈梁数量、配筋等的鉴定要求。
对有全地下室、箱基、筏基和桩基的建筑可放宽对上部结构的部分构造措施要求,如圈梁设置可按降低一度考虑,支撑系统和其他连接的鉴定要求,可在一度范围内降低,但构造 措施不得全面降低。
对密集建筑群中的建筑,例如市内繁华商业区的沿街建筑,房屋之间的距离小于8m或小于建筑高度一半的居民住宅等,根据实际情况对较高的建筑的相关部分,以及防震缝两侧的房屋局部区域,构造措施按提高一度考虑。
对建造于7度(0.15g)和8度(0.30g)设防区的现有建筑,当场地类别为Ⅲ、Ⅳ类时,与现行设计规范协调,也要求分别按8度和9度的构造措施进行鉴定。
3.0.7 对不符合鉴定要求的建筑,可根据其不符合要求的程度、部位对结构整体抗震性能影响的大小,以及有关的非抗震缺陷等实际情况,结合使用要求、城市规划和加固难易等因素的分析,提出相应的维修、加固、改变用途或更新等抗震减灾对策。
条文说明
3.0.7 所谓符合抗震鉴定要求,即达到本标准第1.0.1条规定的目标。对不符合抗震鉴定要求的建筑提出了四种处理对策:
维修:指综合维修处理;适用于仅有少数、次要部位局部不符合鉴定要求的情况。
加固:指有加固价值的建筑。大致包括:①无地震作用时能正常使用;②建筑虽已存在质量问题,但能通过抗震加固使其达到要求;③建筑因使用年限久或其他原因(如腐蚀等),抗侧力体系承载力降低,但楼盖或支撑系统尚可利用;④建筑各局部缺陷尚多,但易于加固或能够加固。
改变用途:包括将生产车间、公共建筑改为不引起次生灾害的仓库,将使用荷载大的多层房屋改为使用荷载小的次要房屋,将使用上属于乙类设防的房屋改为使用功能为丙类设防的房屋等。改变使用性质后的建筑,仍应采取适当的加固措施,以达到相应使用功能房屋的抗震要求。
更新:指无加固价值而仍需使用的建筑或在计划中近期要拆迁的不符合鉴定要求的建筑,需采取应急措施。如在单层房屋内设防护支架,烟囱、水塔周围划为危险区,拆除装饰物、危险物及卸载等。
4 场地、地基和基础
4.1 场地
4 场地、地基和基础
条文说明
考虑到场地、地基和基础的鉴定和处理的难度较大,而且由于地基基础问题导致的实际震害例子相对很少,缩小了鉴定的范围,并主要列出一些原则性规定。
4.1 场 地
条文说明
岩土失稳造成的灾害,如滑坡、崩塌、地裂、地陷等,其波及面广,对建筑物危害的严重性也往往较重。鉴定需更多地从场地的角度考虑,因此应慎重研究。 含液化土的缓坡(1°~5°)或地下液化层稍有坡度的平地,在地震时可能产生大面积的土体滑动(侧向扩展),在现代河道、古河道或海滨地区,通常宽度在50~100m或更大,其长度达到数百米,甚至2~3km,造成一系列地裂缝或地面的永久性水平、垂直位移,其上的建筑与生命线工程或拉断或倒塌,破坏很大。海城地震、唐山地震中,沿海河故道和陡河、滦河等河流两岸都有这种滑裂带,损失甚重。 本次汶川地震,危险地段的房屋严重破坏,强风化岩石地基上的建筑也有明显的震害,鉴定时需予以注意。
4.1.1 6、7度时及建造于对抗震有利地段的建筑,可不进行场地对建筑影响的抗震鉴定。
注:1 对建造于危险地段的建筑,场地对建筑影响应按专门规定鉴定;
2 有利、不利等地段和场地类别,按现行国家标准《建筑抗震设计规范》GB 50011划分。
4.1.2 对建造于危险地段的现有建筑,应结合规划更新(迁离);暂时不能更新的,应进行专门研究,并采取应急的安全措施。 (自2022年4月1日起废止该条, 点击查看:新规《既有建筑鉴定与加固通用规范》GB 55021-2021 )
4.1.3 7~9度时,建筑场地为条状突出山嘴、高耸孤立山丘、非岩石和强风化岩石陡坡、河岸和边坡的边缘等不利地段,应对其地震稳定性、地基滑移及对建筑的可能危害进行评估;非岩石和强风化岩石陡坡的坡度及建筑场地与坡脚的高差均较大时,应估算局部地形导致其地震影响增大的后果。 (自2022年4月1日起废止该条, 点击查看:新规《既有建筑鉴定与加固通用规范》GB 55021-2021 )
4.1.4 建筑场地有液化侧向扩展且距常时水线100m范围内,应判明液化后土体流滑与开裂的危险。 (自2022年4月1日起废止该条, 点击查看:新规《既有建筑鉴定与加固通用规范》GB 55021-2021 )
4.2 地基和基础
4.2 地基和基础
4.2.1 地基基础现状的鉴定,应着重调查上部结构的不均匀沉降裂缝和倾斜,基础有无腐蚀、酥碱、松散和剥落,上部结构的裂缝、倾斜以及有无发展趋势。
条文说明
4.2.1 本条为新增条文,列出了对地基基础现状进行抗震鉴定应重点检查的内容。对震损建筑,尚应检查因地震影响引起的损伤,如有无砂土液化现象、基础裂缝等。
4.2.2 符合下列情况之一的现有建筑,可不进行其地基基础的抗震鉴定:
1 丁类建筑。
2 地基主要受力层范围内不存在软弱土、饱和砂土和饱和粉土或严重不均匀土层的乙类、丙类建筑。
3 6度时 的各类建筑。
4 7度时,地基基础现状无严重静载缺陷的乙类、丙类建筑。
条文说明
4.2.2 对工业与民用建筑,地震造成的地基震害,如液化、软土震陷、不均匀地基的差异沉降等,一般不会导致建筑的坍塌或丧失使用价值,加之地基基础鉴定和处理的难度大,因此,减少了地基基础抗震鉴定的范围。
4.2.3 对地基基础现状进行鉴定时,当基础无腐蚀、酥碱、松散和剥落,上部结构无不均匀沉降裂缝和倾斜,或虽有裂缝、倾斜但不严重且无发展趋势,该地基基础可评为无严重静载缺陷。
4.2.4 存在软弱土、饱和砂土和饱和粉土的地基基础,应根据烈度、场地类别、建筑现状和基础类型,进行液化、震陷及抗震承载力的两级鉴定。符合第一级鉴定的规定时,应评为地基符合抗震要求,不再进行第二级鉴定。
静载下已出现严重缺陷的地基基础,应同时审核其静载下的承载力。 (自2022年4月1日起废止该条, 点击查看:新规《既有建筑鉴定与加固通用规范》GB 55021-2021 )
4.2.5 地基基础的第一级鉴定应符合下列要求:
1 基础下主要受力层存在饱和砂土或饱和粉土时,对下列情况可不进行液化影响的判别:
1)对液化沉陷不敏感的丙类建筑;
2)符合现行国家标准《建筑抗震设计规范》GB 50011液化初步判别要求的建筑。
2 基础下主要受力层存在软弱土时,对下列情况可不进行建筑在地震作用下沉陷的估算:
1)8、9度时,地基土静承载力特征值分别大于80kPa和100kPa;
2)8度时,基础底面以下的软弱土层厚度不大于5m。
3 采用桩基的建筑,对下列情况可不进行桩基的抗震验算:
1)现行国家标准《建筑抗震设计规范》GB 50011规定可不进行桩基抗震验算的建筑;
2)位于斜坡但地震时土体稳定的建筑。
条文说明
4.2.5 地基基础的第一级鉴定,包括:饱和砂土、饱和粉土的液化初判,软土震陷初判及可不进行桩基验算的规定。 液化初判除利用设计规范的方法外,略加补充。 软土震陷问题,只在唐山地震时津塘地区表现突出,以前我国的多次地震中并不具有广泛性。唐山地震中,8、9度区地基承载力为60~80kPa的软土上,有多栋建筑产生了100~300mm的震陷,相当于震前总沉降量的50%~60%。 桩基不验算范围,基本上同现行抗震设计规范。 本次修订,考虑到独立基础和条基,95版规定的1.5倍的基础宽度不一定能满足部分消除地基液化的深度要求;在8、9度时,这可能会造成因液化或震陷使建筑坍塌或丧失使用价值。故对95版的规定加以调整。 95版的“承载力设计值”,按现行地基基础设计规范改为“承载力特征值”。 此外,已有研究表明,8度时软弱土层厚度小于5m可不考虑震陷的影响,但9度时,5m产生的震陷量较大,不能满足要求。
4.2.6 地基基础的第二级鉴定应符合下列要求:
1 饱和土液化的第二级判别,应按现行国家标准《建筑抗震设计规范》GB 50011的规定,采用标准贯入试验判别法。判别时,可计入地基附加应力对土体抗液化强度的影响。存在液化土时,应确定液化指数和液化等级,并提出相应的抗液化措施。
2 软弱土地基及8、9度时Ⅲ、Ⅳ类场地上的高层建筑和高耸结构,应进行地基和基础的抗震承载力验算。
条文说明
4.2.6 地基基础的第二级鉴定,包括:饱和砂土、饱和粉土的液化再判,软土和高层建筑的天然地基、桩基承载力验算及不利地段上抗滑移验算的规定。
建筑物的存在加大了液化土的固结应力。研究表明,正应力增加可提高土的抗液化能力。当砂性土达到中密时,剪应力的加大亦使其抗液化能力提高。
4.2.7 现有天然地基的抗震承载力验算,应符合下列要求:
1 天然地基的竖向承载力,可按现行国家标准《建筑抗震设计规范》GB 50011规定的方法验算,其中,地基土静承载力特征值应改用长期压密地基土静承载力特征值,其值可按下式计算:
f s E =ζ s f sc (4.2.7-1)
f sc =ζ c f s (4.2.7-2)
式中 f s E ——调整后的地基土抗震承载力特征值(kPa);
ζ s ——地基土抗震承载力调整系数,可按现行国家标准《建筑抗震设计规范》GB 50011采用;
f sc ——长期压密地基土静承载力特征值(kPa);
f s ——地基土静承载力特征值(kPa),其值可按现行国家标准《建筑地基基础设计规范》GB 50007采用;
ζ c ——地基土静承载力长期压密提高系数,其值可按表4.2.7采用。
2 承受水平力为主的天然地基验算水平抗滑时,抗滑阻力可采用基础底面摩擦力和基础正侧面土的水平抗力之和;基础正侧面土的水平抗力,可取其被动土压力的1/3;抗滑安全系数不宜小于1.1;当刚性地坪的宽度不小于地坪孔口承压面宽度的3倍时,尚可利用刚性地坪的抗滑能力。
表4.2.7 地基土静承载力长期压密提高系数

注:1 p 0 指基础底面实际平均压应力
2 使用期不够或岩石、碎石土、其他软弱土,提高系数值可取1.0。
条文说明
4.2.7 本条规定,在一定的条件下,现有天然地基基础竖向承载力验算时,可考虑地基土的长期压密效应;水平承载力验算时,可考虑刚性地坪的抗力。
1 地基土在长期荷载作用下,物理力学特性得到改善,主要原因有:①土在建筑荷载作用下的固结压密;②机械设备的振动加密;③基础与土的接触处,发生某种物理化学作用。 大量工程实践和专门试验表明,已有建筑的压密作用,使地基土的孔隙比和含水量减小,可使地基承载力提高20%以上;当基底容许承载力没有用足时,压密作用相应减少,故表4.2.7中ζc值下降。 岩石和碎石类土的压密作用及物理化学作用不显著;硬黏土的资料不多;软土、液化土和新近沉积黏性土又有液化或震陷问题,承载力不宜提高,故均取ζc=1。
2 承受水平力为主的天然地基,指柱间支撑的柱基、拱脚等。震害及分析证明地坪可以很好地抵抗结构传来的基底剪力。根据实验结果,由柱传给地坪的力约在3倍柱宽范围内分布,因此要求地坪在受力方向的宽度不小于柱宽的3倍。 地坪一般是混凝土的,属脆性材料,而土是非线性材料。二者变形模量相差4倍,当地坪受压达到破坏时,土中的应力甚小,二者不在同一时间破坏,故可选地坪抗力与土抗力二者中较大者进行验算。
4.2.8 桩基的抗震承载力验算,可按现行国家标准《建筑抗震设计规范》GB 50011规定的方法进行。
条文说明
4.2.8 本条95版编写时,当时的《建筑抗震设计规范》GBJ 11-89对桩基抗震的计算方法还没有规定,而2001版抗震设计规范已明确规定了桩基抗震承载力的验算方法,可以直接引用而不重复规定。
4.2.9 7~9度时山区建筑的挡土结构、地下室或半地下室外墙的稳定性验算,可采用现行国家标准《建筑地基基础设计规范》GB 50007规定的方法;抗滑安全系数不应小于1.1,抗倾覆安全系数不应小于1.2。验算时,土的重度应除以地震角的余弦,墙背填土的内摩擦角和墙背摩擦角应分别减去地震角和增加地震角。地震角可按表4. 2.9采用。
表4. 2.9 挡土结构的地震角

4.2.10 同一建筑单元存在不同类型基础或基础埋深不同时,宜根据地震时可能产生的不利影响,估算地震导致两部分地基的差异沉降,检查基础抵抗差异沉降的能力,并检查上部结构相应部位的构造抵抗附加地震作用和差异沉降的能力。
5 多层砌体房屋
5.1 一般规定
5 多层砌体房屋
5.1 一般规定
5.1.1 本章适用于烧结普通黏土砖、烧结多孔黏土砖、混凝土中型空心砌块、混凝土小型空心砌块、粉煤灰中型实心砌块砌体承重的多层房屋。
注: 1 对于单层砌体房屋,当横墙间距不超过三开间时,可按本章规定的原则进行抗震鉴定;
2 本章中烧结普通黏土砖、烧结多孔黏土砖、混凝土小型空心砌块;混凝土中型空心砌块、粉煤灰中型实心砌块分别简称为普通砖、多孔砖、混凝土小砌块、混凝土中砌块、粉煤灰中砌块。
条文说明
5.1.1 本章适用于黏土砖和混凝土、粉煤灰砌块墙体承重的房屋,对砂浆砌筑的料石结构房屋,抗震鉴定时也可参考。
本章所适用的房屋层数和高度的规定,依据其后续使用年限的不同,分别在各节中规定。
对于单层砌体结构,当其横墙间距与本章多层砌体结构相当时,可比照本章规定进行抗震鉴定。
5.1.2 现有多层砌体房屋抗震鉴定时,房屋的高度和层数、抗震墙的厚度和间距、墙体实际达到的砂浆强度等级和砌筑质量、墙体交接处的连接以及女儿墙、楼梯间和出屋面烟囱等易引起倒塌伤人的部位应重点检查;7~9度时,尚应检查墙体布置的规则性,检查楼、屋盖处的圈梁,检查楼、屋盖与墙体的连接构造等。 (自2022年4月1日起废止该条, 点击查看:新规《既有建筑鉴定与加固通用规范》GB 55021-2021 )
条文说明
5.1.2 本条是第3章中概念鉴定在多层砌体房屋的具体化,明确了鉴定时重点检查的主要项目。地震时不同烈度下多层砌体房屋的破坏部位变化不大而程度有显著差别,其检查重点基本上可不按烈度划分。
5.1.3 多层砌体房屋的外观和内在质量应符合下列要求:
1 墙体不空鼓、无严重酥碱和明显歪闪。
2 支承大梁、屋架的墙体无竖向裂缝,承重墙、自承重墙及其交接处无明显裂缝。
3 木楼、屋盖构件无明显变形、腐朽、蚁蚀和严重开裂。
4 混凝土构件符合本标准第6.1.3条的有关规定。
5.1.4 现有砌体房屋的抗震鉴定,应按房屋高度和层数、结构体系的合理性、墙体材料的实际强度、房屋整体性连接构造的可靠性、局部易损易倒部位构件自身及其与主体结构连接构造的可 靠性以及墙体抗震承载力的综合分析,对整幢房屋的抗震能力进行鉴定。
当砌体房屋层数超过规定时,应评为不满足抗震鉴定要求;当仅有出入口和人流通道处的女儿墙、出屋面烟囱等不符合规定时,应评为局部不满足抗震鉴定要求。 (自2022年4月1日起废止该条, 点击查看:新规《既有建筑鉴定与加固通用规范》GB 55021-2021 )
条文说明
5.1.4 本条明确规定了砌体房屋进行综合抗震能力评定所需要检查的具体项目——房屋高度和层数、墙体实际材料强度、结构体系的合理性、主要构件整体性连接构造的可靠性、局部易损构件自身及与主体结构连接的可靠性和抗震承载力验算要求,以规范砌体结构抗震鉴定工作。
本条还将2002年版《工程建设强制性条文》的主要相关条款予以集中规定。
5.1.5 A类砌体房屋应进行综合抗震能力的两级鉴定。在第一级鉴定中,墙体的抗震承载力应依据纵、横墙间距进行简化验算,当符合第一级鉴定的各项规定时,应评为满足抗震鉴定要求;不符合第一级鉴定要求时,除有明确规定的情况外,应在第二级鉴定中采用综合抗震能力指数的方法,计入构造影响作出判断。
B类砌体房屋,在整体性连接构造的检查中尚应包括构造柱的设置情况,墙体的抗震承载力应采用现行国家标准《建筑抗震设计规范》GB 50011的底部剪力法等方法进行验算,或按照A类砌体房屋计入构造影响进行综合抗震能力的评定。 (自2022年4月1日起废止该条, 点击查看:新规《既有建筑鉴定与加固通用规范》GB 55021-2021 )
条文说明
5.1.5 砌体结构房屋受模数化的限制,一般比较规整。建筑参数如开间、层高、进深等,相差较小,尤其在同一地区内相差甚微;当采用标准设计时,房屋种类就更少。因此,多层砌体房屋的结构体系满足刚性、规则性要求时,抗震鉴定方法可有所简化。
本章A类砌体房屋的鉴定方法,强调了综合评定,从房屋的整体出发,根据现有房屋的特点,对其抗震能力进行分级鉴定。大量的现有建筑,通过较少的几项检查即可评定,减少不必要的逐项、逐条的鉴定。A类多层砌体房屋的两级鉴定可参照图1进行。

第一级鉴定分两种情况。对刚性体系的房屋,先检查其整体性和易引起局部倒塌的部位,当整体性良好且易引起局部倒塌的部位连接良好时,根据大量的计算分析,可不必计算墙体面积率而直接按房屋宽度、横墙间距和砌筑砂浆强度等级来判断是否满足抗震要求,不符合时才进行第二级鉴定;对非刚性体系的房屋,第一级鉴定只检查其整体性和易引起局部倒塌的部位,并需进行第二级鉴定。
第二级鉴定分四种情况进行综合抗震能力的分析判断。一般需计算砖房抗震墙的面积率,当质量和刚度沿高度分布明显不均匀,或房屋的层数在7、8、9度时分别超过六、五、三层,需按设计规范的方法和要求验算其抗震承载力,鉴定的承载力调整系数γRa取值与设计规范的承载力抗震调整系数γRE相同。当面积率较高时,可考虑构造上不符合第一级要求的程度,利用体系影响系数和局部影响系数来综合评定。这些影响系数的取值,主要根据唐山地震的大量资料统计、分析和归纳得到的。
对B类建筑抗震鉴定的要求,与A类建筑的抗震鉴定相同的是,同样对结构体系、材料强度、整体连接和局部易损部位进行鉴定;不同的是,B类建筑还必须经过墙体抗震承载力验算,方可对建筑的抗震能力进行评定,同时也可参照A类建筑抗震鉴定的方法,进行抗震能力的综合评定。B类多层砌体房屋的鉴定可参照图2进行:

5.2 A类砌体房屋抗震鉴定
5.2 A类砌体房屋抗震鉴定
(Ⅰ)第一级鉴定
5.2.1 现有砌体房屋的高度和层数应符合下列要求:
1 房屋的高度和层数不宜超过表5.2.1所列的范围。对横向抗震墙较少的房屋,其适用高度和层数应比表5.2.1的规定分别降低3m和一层;对横向抗震墙很少的房屋,还应再减少一层。
2 当超过规定的适用范围时,应提高对综合抗震能力的要求或提出改变结构体系的要求等。
表5.2.1 A类砌体房屋的最大高度(m)和层数限值

注:1 房屋高度计算方法同现行国家标准《建筑抗震设计规范》GB 50011的规定;
2 空心墙指由两片120mm厚砖墙或120mm厚砖与240mm厚砖通过卧砌形成的墙体;
3 乙类设防时应允许按本地区设防烈度查表,但层数应减少一层且总高度应降低3m;其抗震墙不应为180mm普通砖实心墙、普通砖空斗墙。
条文说明
5.2.1 现有房屋的高度和层数是已经存在的,鉴于其对砌体结构的抗震性能十分重要,明确规定适用的高度和层数超过时应要求加以处理。
对于乙类设防的房屋高度和层数的控制,参照现行设计规范的规定,也予以明确。当乙类设防的房屋属于横墙较少时,需比表5.2.1内的数值减少2层和6m。
需要注意,凡本章的条文没有对乙类设防给出具体规定时,乙类设防的房屋,应根据第1.0.3条的规定,按提高一度的对应规定进行检查。
5.2.2 现有砌体房屋的结构体系,应按下列规定进行检查:
1 房屋实际的抗震横墙间距和高宽比,应符合下列刚性体系的要求:
抗震横墙的最大间距应符合表5.2.2的规定;
房屋的高度与宽度(有外廊的房屋,此宽度不包括其走廊宽度)之比不宜大于2.2,且高度不大于底层平面的最长尺寸。
2 7~9度时,房屋的平、立面和墙体布置宜符合下列规则性的要求:
质量和刚度沿高度分布比较规则均匀,立面高度变化不超过一层,同一楼层的楼板标高相差不大于500mm;
楼层的质心和计算刚心基本重合或接近。
表5.2.2 A类砌体房屋刚性体系抗震横墙的最大间距(m)

注:对Ⅳ类场地,表内的最大间距值应减少3m或4m以内的一开间。
3 跨度不小于6m的大梁,不宜由独立砖柱支承;乙类设防时不应由独立砖柱支承。
4 教学楼、医疗用房等横墙较少、跨度较大的房间,宜为现浇或装配整体式楼、屋盖。
条文说明
5.2.2 结构体系的鉴定,包括刚性和规则性的判别。刚性体系的高宽比和抗震横墙间距限值不同于设计规范的规定,因二者的含义不同。
本次修订,吸取汶川地震的教训,增加了大跨度梁支承结构构件和现浇楼盖的要求。
5.2.3 承重墙体的砖、砌块和砂浆实际达到的强度等级,应符合下列要求:
1 砖强度等级不宜低于MU7.5,且不低于砌筑砂浆强度等级;中型砌块的强度等级不宜低于MU10,小型砌块的强度等级不宜低于MU5。砖、砌块的强度等级低于上述规定一级以内时,墙体的砂浆强度等级宜按比实际达到的强度等级降低一级采用。
2 墙体的砌筑砂浆强度等级,6度时或7度时二层及以下的砖砌体不应低于M0.4,当7度时超过二层或8、9度时不宜低于M1;砌块墙体不宜低于M2.5。砂浆强度等级高于砖、砌块的强度等级时,墙体的砂浆强度等级宜按砖、砌块的强度等级采用。
条文说明
5.2.3 本条规定的墙体材料实测强度是最低的要求,相当于墙体抗震承载力的最基本的验算。当已经使用的年限较长时,砌体表面的砂浆强度因碳化而明显降低,需采用合适的方法进一步确定其真实的强度。
5.2.4 现有房屋的整体性连接构造,应着重检查下列要求:
1 墙体布置在平面内应闭合,纵横墙交接处应有可靠连接,不应被烟道、通风道等竖向孔道削弱;乙类设防时,尚应按本地区抗震设防烈度和表5.2.4-1检查构造柱设置情况。
表5.2.4-1 乙类设防时A类砖房构造柱设置要求

注:横墙较少时,按增加一层的层数查表。砌块房屋按表中提高一度的要求检查
芯柱或构造柱。
2 木屋架不应为无下弦的人字屋架,隔开间应有一道竖向支撑或有木望板和木龙骨顶棚。
3 装配式混凝土楼盖、屋盖(或木屋盖)砖房的圈梁布置和配筋,不应少于表5.2.4-2的规定;纵墙承重房屋的圈梁布置要求应相应提高;空斗墙、空心墙和180mm厚砖墙的房屋,外墙每层应有圈梁。
4 装配式混凝土楼盖、屋盖的砌块房屋,每层均应有圈梁;其中,6~8度时内墙上圈梁的水平间距与配筋应分别符合表5.2.4-2中7~9度时的规定。
表5.2.4-2 A类砌体房屋圈梁的布置和构造要求


注:6度时,同非抗震要求。
5.2.5 现有房屋的整体性连接构造,尚应满足下列要求:
1 纵横墙交接处应咬槎较好;当为马牙槎砌筑或有钢筋混凝土构造柱时,沿墙高每10皮砖(中型砌块每道水平灰缝)或500mm应有2φ 6拉结钢筋;空心砌块有钢筋混凝土芯柱时,芯柱在楼层上下应连通,且沿墙高每隔600mm应有φ 4点焊钢筋网片与墙拉结。
2 楼盖、屋盖的连接应符合下列要求:
楼盖、屋盖构件的支承长度不应小于表5.2.5的规定;
混凝土预制构件应有坐浆;预制板缝应有混凝土填实,板上应有水泥砂浆面层。
表5.2.5 楼盖、屋盖构件的最小支承长度(mm)

3 圈梁的布置和构造尚应符合下列要求:
现浇和装配整体式钢筋混凝土楼盖、屋盖可无圈梁;
圈梁截面高度,多层砖房不宜小于120mm,中型砌块房屋不宜小于200mm,小型砌块房屋不宜小于150mm;
圈梁位置与楼盖、屋盖宜在同一标高或紧靠板底;
砖拱楼盖、屋盖房屋,每层所有内外墙均应有圈梁,当圈梁承受砖拱楼盖、屋盖的推力时,配筋量不应少于4φ 12;
屋盖处的圈梁应现浇;楼盖处的圈梁可为钢筋砖圈梁,其高度不小于4皮砖,砌筑砂浆强度等级不低于M5,总配筋量不少于表5.2.4-2中的规定;现浇钢筋混凝土板墙或钢筋网水泥砂浆面层中的配筋加强带可代替该位置上的圈梁;与纵墙圈梁有可靠连接的进深梁或配筋板带也可代替该位置上的圈梁。
条文说明
5.2.4、5.2.5 整体性连接构造的鉴定,包括纵横向抗震墙的交接处、楼(屋)盖及其与墙体的连接处、圈梁布置和构造等的判别。鉴定的要求低于设计规范。丙类建筑对现有房屋构造柱、芯柱的布置不做要求,当有构造柱且其与墙体的连接符合设计规范的要求时,在第二级鉴定中体系影响系数可取大于1.0的数值。A类砌体房屋按乙类设防时构造柱、芯柱的要求,因其后续使用年限较少,比B类砌体房屋的要求低些。
其中,将着重检查的内容与一般检查的内容分为两条表达。
5.2.6 房屋中易引起局部倒塌的部件及其连接,应着重检查下列要求:
1 出入口或人流通道处的女儿墙和门脸等装饰物应有锚固。
2 出屋面小烟囱在出入口或人流通道处应有防倒塌措施。
3 钢筋混凝土挑檐、雨罩等悬挑构件应有足够的稳定性。
5.2.7 楼梯间的墙体,悬挑楼层、通长阳台或房屋尽端局部悬挑阳台,过街楼的支承墙体,与独立承重砖柱相邻的承重墙体,均应提高有关墙体承载能力的要求。
5.2.8 房屋中易引起局部倒塌的部件及其连接,尚应分别符合下列规定:
1 现有结构构件的局部尺寸、支承长度和连接应符合下列要求:
承重的门窗间墙最小宽度和外墙尽端至门窗洞边的距离及支承跨度大于5m的大梁的内墙阳角至门窗洞边的距离,7、8、9度时分别不宜小于0.8m、 1.0m、1.5m;
非承重的外墙尽端至门窗洞边的距离,7、8度时不宜小于0.8m,9度时不宜小于1.0m;
楼梯间及门厅跨度不小于6m的大梁,在砖墙转角处的支承长度不宜小于490mm;
出屋面的楼梯间、电梯间和水箱间等小房间,8、9度时墙体的砂浆强度等级不宜低于M2.5;门窗洞口不宜过大;预制楼盖、屋盖与墙体应有连接。
2 非结构构件的现有构造应符合下列要求:
隔墙与两侧墙体或柱应有拉结,长度大于5.1m或高度大于3m时,墙顶还应与梁板有连接;
无拉结女儿墙和门脸等装饰物,当砌筑砂浆的强度等级不低于M2.5且厚度为240mm时,其突出屋面的高度,对整体性不良或非刚性结构的房屋不应大于0.5m;对刚性结构房屋的封闭女儿墙不宜大于0.9m。
条文说明
5.2.6~5.2.8 易引起局部倒塌部位的鉴定包括墙体局部尺寸、楼梯间、悬挑构件、女儿墙、出屋面小烟囱等的判别。基本上与95版鉴定标准相同,但强调了楼梯间的要求。
5.2.9 第一级鉴定时,房屋的抗震承载力可采用抗震横墙间距和宽度的下列限值进行简化验算:
1 层高在3m左右,墙厚为240mm的普通黏土砖房屋,当在层高的1/2处门窗洞所占的水平截面面积,对承重横墙不大于总截面面积的25%、对承重纵墙不大于总截面面积的50%时,其承重横墙间距和房屋宽度的限值宜按表5.2.9-1采用,设计基本地震加速度为0.15g和0.30g时,应按表中数值采用内插法确定;其他墙体的房屋,应按表5.2.9-1的限值乘以表5.2.9-2规定的抗震墙体类别修正系数采用。
2 自承重墙的限值,可按本条第1款规定值的1.25倍采用。
3 对本标准第5.2.7条规定的情况,其限值宜按本条第1、2款规定值的0.8倍采用;突出屋面的楼梯间、电梯间和水箱间等小房间,其限值宜按本条第1、2款规定值的1/3采用。
表5.2.9-1 抗震承载力简化验算的抗震横墙间距和房屋宽度限值(m)


注:1 L指240mm厚承重横墙间距限值;楼盖、屋盖为刚性时取平均值,柔性时取最大值,中等刚性可相应换算;
2 B指240mm厚纵墙承重的房屋宽度限值;有一道同样厚度的内纵墙时可取1.4倍,有2道时可取1.8倍;平面局部突出时,房屋宽度可按加权平均值计算;
3 楼盖为混凝土而屋盖为木屋架或钢木屋架时,表中顶层的限值宜乘以0.7。
表5.2.9-2 抗震墙体类别修正系数

注:t指小型砌块墙体的厚度。
条文说明
5.2.9 本条规定了刚性体系房屋抗震承载力验算的简化方法;对非刚性体系房屋抗震承载力的验算,本条规定的简化法不适用。表5.2.9-1系按底部剪力法取各层质量相等、单位面积重力荷载代表值为12kN/m2 且纵横墙开洞的水平面积率分别为50%和25%进行计算并适当取整后得到的。本次修订,明确7度(0.15g)和8度(0.30g)按内插法取值。对于乙类设防的房屋,因本条规定属于地震作用和抗震验算,按第1.0.3条的规定,不需要提高一度查表。使用中需注意:
1 承重横墙间距限值应取本条规定与刚性体系判别表5.2.2二者的较小值;同一楼层内各横墙厚度不同或砂浆强度等级不同时可相应折算;
2 楼层单位面积重力荷载代表值gE与12kN/m2 相差较多时,表5.2.9-1的数值需除以gE/12;
3 房屋的宽度,平面有局部突出时按面积加权平均计算,为了简化,平面内的局部纵墙略去不计;
4 砂浆强度等级为M7.5时,按内插法取值;
5 墙体的门窗洞所占的水平截面面积率λA,横墙与25%或纵墙与50%相差较大时,表5.2.9-1的数值,可分别按0.25/λA和0.50/λA换算。
5.2.10 多层砌体房屋符合本节各项规定可评为综合抗震能力满足抗震鉴定要求;当遇下列情况之一时,可不再进行第二级鉴定,但应评为综合抗震能力不满足抗震鉴定要求,且要求对房屋采取加固或其他相应措施:
1 房屋高宽比大于3,或横墙间距超过刚性体系最大值4m。
2 纵横墙交接处连接不符合要求,或支承长度少于规定值的75%。
3 仅有易损部位非结构构件的构造不符合要求。
4 本节的其他规定有多项明显不符合要求。
条文说明
5.2.10 本条规定了不需要进行第二级鉴定的情况。其中,当仅有第5.2.8条第2款的规定不符合时,属于第5.1.4条规定的局部不符合鉴定要求,可只要求对非结构构件局部处理。
(Ⅱ)第二级鉴定
5.2.11 A类砌体房屋采用综合抗震能力指数的方法进行第二级鉴定时,应根据房屋不符合第一级鉴定的具体情况,分别采用楼层平均抗震能力指数方法、楼层综合抗震能力指数方法和墙段综合抗震能力指数方法。
5.2.12 A类砌体房屋的楼层平均抗震能力指数、楼层综合抗震能力指数和墙段综合抗震能力指数应按房屋的纵横两个方向分别计算。当最弱楼层平均抗震能力指数、最弱楼层综合抗震能力指数或最弱墙段综合抗震能力指数大于等于1.0时,应评定为满足抗震鉴定要求;当小于1.0时,应要求对房屋采取加固或其他相应措施。 (自2022年4月1日起废止该条, 点击查看:新规《既有建筑鉴定与加固通用规范》GB 55021-2021 )
条文说明
5.2.12 本条规定了采用综合抗震能力指数方法进行第二级鉴定的基本内容:楼层平均抗震能力指数法,又称二(甲)级鉴定;楼层综合抗震能力指数法,又称二(乙)级鉴定;墙段综合抗震能力指数法,又称二(丙)鉴定;分别适用于不同的情况。
通常,抗震能力指数要在两个主轴方向分别计算,有明显扭转影响时,取扭转效应最大的轴线计算。
5.2.13 现有结构体系、整体性连接和易引起倒塌的部位符合第一级鉴定要求,但横墙间距和房屋宽度均超过或其中一项超过第一级鉴定限值的房屋,可采用楼层平均抗震能力指数方法进行第二级鉴定。楼层平均抗震能力指数应按下式计算:
β i =A i /(A bi ξ 0i λ) (5.2.13)
式中 β i ——第i楼层纵向或横向墙体平均抗震能力指数;
A i ——第i楼层纵向或横向抗震墙在层高1/2处净截面积的总面积,其中不包括高宽比大于4的墙段截面面积;
A bi ——第i楼层建筑平面面积;
ξ 0i ——第i楼层纵向或横向抗震墙的基准面积率,按本标准附录B采用;
λ——烈度影响系数;6、7、8、9度时,分别按0.7、1.0、1.5和2.5采用,设计基本地震加速度为0.15g和0.30g,分别按1.25和2.0采用。当场地处于本标准第4.1.3条规定的不利地段时,尚应乘以增大系数1.1~1.6。
条文说明
5.2.13 平均抗震能力指数,即按刚性楼盖计算的楼层横墙、纵墙的面积率与鉴定所需的面积率的比值。在第一级鉴定中,若查表5.2.9-1时根据重力荷载和墙体开洞情况作了调整,则这种鉴定方法基本上不会遇到。
本次修订,增加了7度(0.15g)和8度(0.30g)的烈度影响系数。还按2008年设计规范局部修订的内容,增加了山区地形影响的地震作用增大系数1.1~1.6。
5.2.14 现有结构体系、楼(屋)盖整体性连接、圈梁布置和构造及易引起局部倒塌的结构构件不符合第一级鉴定要求的房屋,可采用楼层综合抗震能力指数方法进行第二级鉴定,并应符合下列规定:
1 楼层综合抗震能力指数应按下式计算:
β ci = 

β i (5.2.14)
式中 β ci ——第i楼层的纵向或横向墙体综合抗震能力指数;

——体系影响系数,可按本条第2款确定;

——局部影响系数,可按本条第3款确定。
2 体系影响系数可根据房屋不规则性、非刚性和整体性连接不符合第一级鉴定要求的程度,经综合分析后确定;也可由表5.2.14-1各项系数的乘积确定。当砖砌体的砂浆强度等级为M0.4时,尚应乘以0.9;丙类设防的房屋当有构造柱或芯柱时,尚可根据满足本标准第5.3节相关规定的程度乘以1.0~1.2的 系数;乙类设防的房屋,当构造柱或芯柱不符合规定时,尚应乘以0.8~0.95的系数。
3 局部影响系数可根据易引起局部倒塌各部位不符合第一级鉴定要求的程度,经综合分析后确定;也可由表5.2.14-2各项系数中的最小值确定。

条文说明
5.2.14 楼层综合抗震能力指数,即平均抗震能力指数与构造影响系数的乘积。 鉴于M0.4砂浆的设计指标,88版和74版砌体结构设计规范的取值标准有明显的不同,为保持77版鉴定标准的延续性,当砂浆的强度等级为M0.4时,需乘以相应的体系影响系数。 构造影响系数表5.2.14-1和表5.2.14-2的数值,要根据房屋的具体情况酌情调整:
1 当该项规定不符合的程度较重时,该项影响系数取较小值,该项规定不符合的程度较轻时,该项影响系数取较大值;
2 当鉴定的要求相同时,烈度高时影响系数取较小值;
3 当构件支承长度、圈梁、构造柱和墙体局部尺寸等的构造符合新设计规范要求时,该项影响系数可大于1.0;本次修订的条文明确,对于丙类设防的房屋,有构造柱、芯柱时,按照符合B类建筑构造柱、芯柱要求的程度,可乘以1.0~1.2的构造影响系数;对于乙类设防的房屋则相反,不符合要求时需乘以影响系数0.8~0.95;
4 各体系影响系数的乘积,最好采用加权方法,不用简单乘法。
5.2.15 实际横墙间距超过刚性体系规定的最大值、有明显扭转效应和易引起局部倒塌的结构构件不符合第一级鉴定要求的房屋,当最弱的楼层综合抗震能力指数小于1.0时,可采用墙段综合抗震能力指数方法进行第二级鉴定。墙段综合抗震能力指数应按下式计算:
β cij = 

β ij (5.2.15-1)
β ij =A ij /A bij ξ 0i λ (5.2.15-2)
式中 β cij ——第i层第j墙段综合抗震能力指数;
β ij ——第i层第j墙段抗震能力指数;
A ij ——第i层第j墙段在1/2层高处的净截面面积;
A bij ——第i层第j墙段计及楼盖刚度影响的从属面积。
注:考虑扭转效应时,式(5.2.15-1)中尚应包括扭转效应系数,其值可按现行国家标准《建筑抗震设计规范》GB 50011的规定,取该墙段不考虑与考虑扭转时的内力比。
条文说明
5.2.15 墙段综合抗震能力指数,即墙段抗震能力指数与构造影响系数的乘积。墙段的局部影响系数只考虑对验算墙段有影响的项目。墙段从属面积的计算方法如下:
刚性楼盖,从属面积由楼层建筑平面面积按墙段的侧移刚度分配:

5.2.16 房屋的质量和刚度沿高度分布明显不均匀,或7、8、9度时房屋的层数分别超过六、五、三层,可按本标准第5.3节的方法进行抗震承载力验算,并可按本标准第5.2.14条的规定估算构造的影响,由综合评定进行第二级鉴定。
条文说明
5.2.16 本条规定了砌体房屋第二级鉴定时,需采用设计规范方法进行抗震验算的范围。鉴于95版的89设计规范的计算参数即本次修订B类建筑的计算参数,本条直接引用第5.3节的规定。
5.3 B类砌体房屋抗震鉴定
5.3 B类砌体房屋抗震鉴定
(Ⅰ)抗震措施鉴定
5.3.1 现有B类多层砌体房屋实际的层数和总高度不应超过表5.3.1规定的限值;对教学楼、医疗用房等横墙较少的房屋总高度,应比表5.3.1的规定降低3m,层数相应减少一层;各层横墙很少的房屋,还应再减少一层。
当房屋层数和高度超过最大限值时,应提高对综合抗震能力的要求或提出采取改变结构体系等抗震减灾措施。
表5.3.1 B类多层砌体房屋的层数和总高度限值(m)

注:1 房屋高度计算方法同现行国家标准《建筑抗震设计规范》GB 50011的规定;
2 乙类设防时应允许按本地区设防烈度查表,但层数应减少一层且总高度应降低3m。
条文说明
5.3.1 房屋的层数和高度,在设计规范中是强制性条文,鉴于现有建筑的层数和高度已经存在,对于超高时规定了相应的处理方法。本条还补充了多孔砖房屋的规定。
5.3.2 现有普通砖和240mm厚多孔砖房屋的层高,不宜超过4m;190mm厚多孔砖和砌块房屋的层高,不宜超过3.6m。
5.3.3 现有多层砌体房屋的结构体系,应符合下列要求:
1 房屋抗震横墙的最大间距,不应超过表5.3.3-1的要求。

2 房屋总高度与总宽度的最大比值(高宽比),宜符合表5.3.3-2的要求。
表5.3.3-2 房屋最大高宽比

注:单面走廊房屋的总宽度不包括走廊宽度。
3 纵横墙的布置宜均匀对称,沿平面内宜对齐,沿竖向应上下连续;同一轴线上的窗间墙宽度宜均匀。
4 8、9度时,房屋立面高差在6m以上,或有错层,且楼板高差较大,或各部分结构刚度、质量截然不同时,宜有防震缝,缝两侧均应有墙体,缝宽宜为50~100mm。
5 房屋的尽端和转角处不宜有楼梯间。
6 跨度不小于6m的大梁,不宜由独立砖柱支承;乙类设防时不应由独立砖柱支承。
7 教学楼、医疗用房等横墙较少、跨度较大的房间,宜为现浇或装配整体式楼盖、屋盖。
8 同一结构单元的基础(或桩承台)宜为同一类型,底面宜埋置在同一标高上,否则应有基础圈梁并应按1:2的台阶逐步放坡。
条文说明
5.3.3 本条依据89规范中有关结构体系的条文,从鉴定的角度予以归纳、整理而成。
吸取汶川地震的教训,同样增加了对大跨度粱制成构件和大跨度楼板用现浇板的检查要求。
当不符合时,可采用A类砌体房屋的体系影响系数表示其对结构综合抗震能力的影响。
需要注意,按第1.0.3条的规定,乙类设防的砌体房屋,本节第5.3.3~5.3.11条均应按提高一度的要求进行检查。
5.3.4 多层砌体房屋材料实际达到的强度等级,应符合下列要求:
1 承重墙体的砌筑砂浆实际达到的强度等级,砖墙体不应低于M2.5,砌块墙体不应低于M5。
2 砌体块材实际达到的强度等级,普通砖、多孔砖不应低于MU7.5,混凝土小砌块不宜低于MU5,混凝土中型砌块、粉煤灰中砌块不宜低于MU10。
3 构造柱、圈梁、混凝土小砌块芯柱实际达到的混凝土强度等级不宜低于C15,混凝土中砌块芯柱棍凝土强度等级不宜低于C20。
5.3.5 现有砌体房屋的整体性连接构造,应符合下列要求:
1 墙体布置在平面内应闭合,纵横墙交接处应咬槎砌筑,烟道、风道、垃圾道等不应削弱墙体,当墙体被削弱时,应对墙体采取加强措施。
2 现有砌体房屋在下列部位应有钢筋混凝土构造柱或芯柱:
1)砖砌体房屋的钢筋混凝土构造柱应按表5.3.5-1的要求检查,粉煤灰中砌块房屋应根据增加一层后的层数,按表5.3.5-1的要求检查;
表5.3.5-1 砖砌体房屋构造柱设置要求

2)混凝土小砌块房屋的钢筋混凝土芯柱应按表5.3.5-2的要求检查;
表5.3.5-2 混凝土小砌块房屋芯柱设置要求

3)混凝土中砌块房屋的钢筋混凝土芯柱应按表5.3.5-3的要求检查;
表5.3.5-3 混凝土中砌块房屋芯柱设置要求

4)外廊式和单面走廊式的多层房屋,应根据房屋增加一层后的层数,分别按本款第1)~3)项的要求检查构造柱或芯柱,且单面走廊两侧的纵墙均应按外墙处理;
5)教学楼、医疗用房等横墙较少的房屋,应根据房屋增加一层后的层数,分别按本款第1)~3)项的要求检查构造柱或芯柱;当教学楼、医疗用房等横墙较少的房屋为外廊式或单面走廊式时,应按本款第1)~4)项的要求检查,但6度不超过四层、7度不超过三层和8度不超过二层时应按增加二层后的层数进行检查。
3 钢筋混凝土圈梁的布置与配筋,应符合下列要求:
1)装配式钢筋混凝土楼盖、屋盖或木楼盖、屋盖的砖房,横墙承重时,现浇钢筋混凝土圈梁应按表5.3.5-4的要求检查;纵墙承重时每层均应有圈梁,且抗震横墙上的圈梁间距应比表5.3.5-4的规定适当加密;
2)砌块房屋采用装配式钢筋混凝土楼盖时,每层均应有圈梁,圈梁的间距应按表5.3.5-4提高一度的要求检查。

4 现有房屋楼盖、屋盖及其与墙体的连接应符合下列要求:
1)现浇钢筋混凝土楼板或屋面板伸进外墙和不小于240mm厚内墙的长度,不应小于120mm;伸进190mm厚内墙的长度不应小于90mm;
2)装配式钢筋混凝土楼板或屋面板,当圈梁未设在板的同一标高时,板端伸进外墙的长度不应小于120mm,伸进不小于240mm厚内墙的长度不应小于100mm,伸进190mm厚内墙的长度不应小于80mm,在梁上不应小于80mm;
3)当板的跨度大于4.8m并与外墙平行时,靠外墙的预制板侧边与墙或圈梁应有拉结;
4)房屋端部大房间的楼盖,8度时房屋的屋盖和9度时房屋的楼盖、屋盖,当圈梁设在板底时,钢筋混凝土预制板应相互拉结,并应与梁、墙或圈梁拉结。
5.3.6 钢筋混凝土构造柱(或芯柱)的构造与配筋,尚应符合下列要求:
1 砖砌体房屋的构造柱最小截面可为240mm×180mm,纵向钢筋宜为4 φ 12,箍筋间距不宜大于250mm,且在柱上下端宜适当加密,7度时超过六层、8度时超过五层和9度时,构造柱纵向钢筋宜为4φ 14,箍筋间距不应大于200mm。
2 混凝土小砌块房屋芯柱截面,不宜小于120mm×120mm;构造柱最小截面尺寸可为240mm×240mm。芯柱(或构造柱)与墙体连接处应有拉结钢筋网片,竖向插筋应贯通墙身且与每层圈梁连接;插筋数量混凝土小砌块房屋不应少于1 φ 2,混凝土中砌块房屋,6度和7度时不应少于1φ 14或2φ 10,8度时不应少于1φ 16或2φ 12。
3 构造柱与圈梁应有连接;隔层设置圈梁的房屋,在无圈梁的楼层应有配筋砖带,仅在外墙四角有构造柱时,在外墙上应伸过一个开间,其他情况应在外纵墙和相应横墙上拉通,其截面高度不应小于四皮砖,砂浆强度等级不应低于M5。
4 构造柱与墙连接处宜砌成马牙槎,并应沿墙高每隔500mm有2φ 6拉结钢筋,每边伸入墙内不宜小于1m。
5 构造柱应伸入室外地面下500mm,或锚入浅于500mm的基础圈梁内。
5.3.7 钢筋混凝土圈梁的构造与配筋,尚应符合下列要求:
1 现浇或装配整体式钢筋混凝土楼盖、屋盖与墙体有可靠连接的房屋,可无圈梁,但楼板应与相应的构造柱有钢筋可靠连接;6~8度砖拱楼盖、屋盖房屋,各层所有墙体均应有圈梁。
2 圈梁应闭合,遇有洞口应上下搭接。圈梁宜与预制板设在同一标高处或紧靠板底。
3 圈梁在表5.3.5-4要求的间距内无横墙时,可利用梁或板缝中配筋替代圈梁。
4 圈梁的截面高度不应小于120mm,当需要增设基础圈梁以加强基础的整体性和刚性时,截面高度不应小于180mm,配筋不应少于4φ 12,砖拱楼盖、屋盖房屋的圈梁应按计算确定,但不应少于4φ 10。
5.3.8 砌块房屋墙体交接处或芯柱、构造柱与墙体连接处的拉结钢筋网片,每边伸入墙内不宜小于1m,且应符合下列要求:
1 混凝土小砌块房屋沿墙高每隔600mm有φ 4点焊的钢筋网片。
2 混凝土中砌块房屋隔皮有φ 6点焊的钢筋网片。
3 粉煤灰中砌块6、7度时隔皮、8度时每皮有φ 6点焊的钢筋网片。
5.3.9 房屋的楼盖、屋盖与墙体的连接尚应符合下列要求:
1 楼盖、屋盖的钢筋混凝土梁或屋架应与墙、柱(包括构造柱、芯柱)或圈梁可靠连接,梁与砖柱的连接不应削弱柱截面,各层独立砖柱顶部应在两个方向均有可靠连接。
2 坡屋顶房屋的屋架应与顶层圈梁有可靠连接,檩条或屋面板应与墙及屋架有可靠连接,房屋出入口和人流通道处的檐口瓦应与屋面构件锚固;8度和9度时,顶层内纵墙顶宜有支撑端山墙的踏步式墙垛。
条文说明
5.3.5~5.3.9 依据89规范中有关结构整体性连接的条文,从鉴定的角度予以归纳、整理而成。
当不符合时,可采用A类砌体房屋的体系影响系数表示其对结构综合抗震能力的影响。但构造柱的影响,应予以考虑。
其中,重要内容在第5.3.5条中表示。
5.3.10 房屋中易引起局部倒塌的部件及其连接,应分别符合下列规定:
1 后砌的非承重砌体隔墙应沿墙高每隔500mm有2φ 6钢筋与承重墙或柱拉结,并每边伸入墙内不应小于500mm,8度和9度时长度大于5.1m的后砌非承重砌体隔墙的墙顶,尚应与楼板或梁有拉结。
2 下列非结构构件的构造不符合要求时,位于出入口或人流通道处应加固或采取相应措施:
1)预制阳台应与圈梁和楼板的现浇板带有可靠连接;
2)钢筋混凝土预制挑檐应有锚固;
3)附墙烟囱及出屋面的烟囱应有竖向配筋。
3 门窗洞处不应为无筋砖过梁;过梁支承长度,6~8度时不应小于240mm,9度时不应小于360mm。
4 房屋中砌体墙段实际的局部尺寸,不宜小于表5.3.10的 规定。

5.3.11 楼梯间应符合下列要求:
1 8度和9度时,顶层楼梯间横墙和外墙宜沿墙高每隔500mm有2φ 6通长钢筋;9度时其他各层楼梯间墙体应在休息平台或楼层半高处有60mm厚的配筋砂浆带,其砂浆强度等级不应低于M5,钢筋不宜少于2φ 10。
2 8度和9度时,楼梯间及门厅内墙阳角处的大梁支承长度不应小于500mm,并应与圈梁有连接。
3 突出屋面的楼梯间、电梯间,构造柱应伸到顶部,并与顶部圈梁连接,内外墙交接处应沿墙高每隔500mm有2φ 6拉结钢筋,且海边伸入墙内不应小于1m。
4 装配式楼梯段应与平台板的梁有可靠连接,不应有墙中悬挑式踏步或踏步竖肋插入墙体的楼梯,不应有无筋砖砌栏板。
条文说明
5.3.10、5.3.11 依据89规范中有关结构易损部位连接的条文,从鉴定的角度予以归纳、整理而成。
当不符合时,可采用A类砌体房屋的局部影响系数表示其对结构综合抗震能力的影响。
吸取汶川地震的教训,对楼梯间的要求单独列出。
(Ⅱ)抗震承载力验算
5.3.12 B类现有砌体房屋的抗震分析,可采用底部剪力法,并可按现行国家标准《建筑抗震设计规范》GB 50011规定只选择从属面积较大或竖向应力较小的墙段进行抗震承载力验算;当抗震措施不满足本标准第5.3.1~第5.3.11条要求时,可按本标准第5.2节第二级鉴定的方法综合考虑构造的整体影响和局部影响,其中,当构造柱或芯柱的设置不满足本节的相关规定时,体系影响系数尚应根据不满足程度乘以0.8~0.95的系数。当场地处于本标准第4.1. 3条规定的不利地段时,尚应乘以增大系数1. 1~1.6。
5.3.13 各类砌体沿阶梯形截面破坏的抗震抗剪强度设计值,应按下式确定:
f vE = ζ N f v (5.3.13 )
式中 f vE ——砌体沿阶梯形截面破坏的抗震抗剪强度设计值;
f v ——非抗震设计的砌体抗剪强度设计值,按本标准表A.0.1-2采用;
ζ N ——砌体抗震抗剪强度的正应力影响系数,按表5.3.13采用。
表5.3.13 砌体抗震抗剪强度的正应力影响系数

5.3.14 普通砖、多孔砖、粉煤灰中砌块和混凝土中砌块墙体的截面抗震承载力,应按下式验算:
V≤f vE A/γ Ra (5.3.14)
式中 V——墙体剪力设计值;
f vE ——砌体沿阶梯形截面破坏的抗震抗剪强度设计值;
A——墙体横截面面积;
γ Ra ——抗震鉴定的承载力调整系数,应按本标准第3.0.5条采用。
5.3.15 当按式(5.3.14)验算不满足时,可计入设置于墙段中部、截面不小于240mm×240mm且间距不大于4m的构造柱对受剪承载力的提高作用,按下列简化方法验算:

式中 A c ——中部构造柱的横截面总面积(对横墙和内纵墙,A c >0.15A时,取0.15A;对外纵墙,A c >0.25A时,取0.25A);
f t ——中部构造柱的混凝土轴心抗拉强度设计值,按本标准表A.0.2-2采用;
A s ——中部构造柱的纵向钢筋截面总面积(配筋率不小于0.6%,大于1.4%取1.4%);
f y ——钢筋抗拉强度设计值,按本标准表A.0.3-2采用;
ζ——中部构造柱参与工作系数;居中设一根时取0.5,多于一根取0.4;
η c ——墙体约束修正系数;一般情况下取1.0,构造柱间距不大于2.8m时取1.1。
5.3.16 横向配筋普通砖、多孔砖墙的截面抗震承载力,可按下式验算:

式中 A s ——层间竖向截面中钢筋总截面面积。
5.3.17 混凝土小砌块墙体的截面抗震承载力,应按下式验算:

式中 f t ——芯柱混凝土轴心抗拉强度设计值,按本标准表A.0.2-2采用;
A c ——芯柱截面总面积;
A s ——芯柱钢筋截面总面积;
ζ c ——芯柱影响系数,可按表5.3.17采用。
表5.3.17 芯柱影响系数

注:填孔率指芯柱根数与孔洞总数之比。
条文说明
5.3.12~5.3.17 依据89规范中有关砌体抗震计算的条文,从鉴定的角度予以归纳、整理而成。
按照设计规范的规定,只要求在纵横两个方向分别选择从属面积较大或竖向应力较小的墙段进行截面抗震承载力验算。
其中,材料设计指标,应按本标准附录A采用,以保持89规范的设计水平。
对于墙体墙中部有构造柱的情况,参照2001规范的规定,也予以纳入。
5.3.18 各层层高相当且较规则均匀的B类多层砌体房屋,尚可按本标准第5.2.12~第5.2.15条的规定采用楼层综合抗震能力指数的方法进行综合抗震能力验算。其中,公式(5.2.13)中的烈度影响系数,6、7、8、9度时应分别按0.7、1.0、2.0和4.0采用,设计基本地震加速度为0.15g和0.30g时应分别按1.5和3.0采用。
条文说明
5.3.18 本条明确,对于B类砌体承载力验算时按面积率计算的方法。采用面积率计算,可以更简便地得到砌体房屋的“综合抗震能力”,减少计算工作量。
当砌体实际达到的材料强度高于M2.5时,若层高和墙体开洞情况符合第5.2.9条的要求,还可更简便地参照表5.2.9-1的纵、横墙最大间距的方法估计房屋的抗震承载力:对6、7度设防,直接查表;对8度设防,表中数据乘以3/4;对9度设防,表中数据乘以5/8,如表2所示。

6 多层及高层钢筋混凝土房屋
6.1 一般规定
6 多层及高层钢筋混凝土房屋
6.1 一般规定
6.1.1 本章适用于现浇及装配整体式钢筋混凝土框架(包括填充墙框架)、框架-抗震墙及抗震墙结构。其最大高度(或层数)应符合下列规定:
1 A类钢筋混凝土房屋抗震鉴定时,房屋的总层数不超过10层。
2 B类钢筋混凝土房屋抗震鉴定时,房屋适用的最大高度应符合表6.1.1的要求,对不规则结构、有框支层抗震墙结构或Ⅳ类场地上的结构,适用的最大高度应适当降低。
表6.1.1 B类现浇钢筋混凝土房屋适用的最大高度(m)

注:1 房屋高度指室外地面到主要屋面板板顶的高度(不包括局部突出屋顶部分);
2 本章中的“抗震墙”指结构抗侧力体系中的钢筋混凝土剪力墙,不包括只承担重力荷载的混凝土墙。
条文说明
6.1.1 本章的适用范围分两类:
我国20世纪80年代以前建造的钢筋混凝土结构,普遍是10层以下。框架结构可以是现浇的或装配整体式的。
20世纪90年代以后建造的,最大适用高度引用了89规范的规定;结构类型包括框架、框架-抗震墙、全部落地抗震墙和部分框支抗震墙,不包括简体结构。
6.1.2 现有钢筋混凝土房屋的抗震鉴定,应依据其设防烈度重点检查下列薄弱部位:
1 6度时,应检查局部易掉落伤人的构件、部件以及楼梯间非结构构件的连接构造。
2 7度时,除应按第1款检查外,尚应检查梁柱节点的连接方式、框架跨数及不同结构体系之间的连接构造。
3 8、9度时,除应按第1、2款检查外,尚应检查梁、柱的配筋,材料强度,各构件间的连接,结构体型的规则性,短柱分布,使用荷载的大小和分布等。 (自2022年4月1日起废止该条, 点击查看:新规《既有建筑鉴定与加固通用规范》GB 55021-2021 )
条文说明
6.1.2 本条是第3章中概念鉴定在多层钢筋混凝土房屋的具体化。根据震害总结,6、7度时主体结构基本完好,以女儿墙、填充墙的损坏为主,吸取汶川地震教训,强调了楼梯间的填充墙;8、9度时主体结构有破坏且不规则结构等加重震害。据此,本条提出了不同烈度下的主要薄弱环节,作为检查重点。
6.1.3 钢筋混凝土房屋的外观和内在质量宜符合下列要求:
1 梁、柱及其节点的混凝土仅有少量微小开裂或局部剥落,钢筋无露筋、锈蚀。
2 填充墙无明显开裂或与框架脱开。
3 主体结构构件无明显变形、倾斜或歪扭。
6.1.4 现有钢筋混凝土房屋的抗震鉴定,应按结构体系的合理性、结构构件材料的实际强度、结构构件的纵向钢筋和横向箍筋的配置和构件连接的可靠性、填充墙等与主体结构的拉结构造以及构件抗震承载力的综合分析,对整幢房屋的抗震能力进行鉴定。
当梁柱节点构造和框架跨数不符合规定时,应评为不满足抗震鉴定要求;当仅有出入口、人流通道处的填充墙不符合规定时,应评为局部不满足抗震鉴定要求。 (自2022年4月1日起废止该条, 点击查看:新规《既有建筑鉴定与加固通用规范》GB 55021-2021 )
条文说明
6.1.4 根据震害经验,钢筋混凝土房屋抗震鉴定的内容与砌体房屋不同,但均从结构体系合理性、材料强度、梁柱等构件自身的构造和连接的整体性、填充墙等局部连接构造等方面和构件承载力加以综合评定。本条同样明确规定了鉴定的项目,使混凝土结构房屋的鉴定工作规范化。
对于明显不符合要求的情况,如8、9度时的单向框架,以及乙类设防的框架为单跨结构等,应要求进行加固或提出防震减灾对策。
6.1.5 A类钢筋混凝土房屋应进行综合抗震能力两级鉴定。当符合第一级鉴定的各项规定时,除9度外应允许不进行抗震验算而评为满足抗震鉴定要求;不符合第一级鉴定要求和9度时,除有明确规定的情况外,应在第二级鉴定中采用屈服强度系数和综合抗震能力指数的方法作出判断。
B类钢筋混凝土房屋应根据所属的抗震等级进行结构布置和构造检查,并应通过内力调整进行抗震承载力验算;或按照A类钢筋混凝土房屋计入构造影响对综合抗震能力进行评定。 (自2022年4月1日起废止该条, 点击查看:新规《既有建筑鉴定与加固通用规范》GB 55021-2021 )
条文说明
6.1.5 本条规定了A类混凝土房屋与B类混凝土房屋抗震鉴定的主要不同之处。
A类钢筋混凝土房屋的两级鉴定可参照图3进行。
第一级鉴定强调了梁、柱的连接形式和跨数,混合承重体系的连接构造和填充墙与主体结构的连接问题。7度Ⅲ、Ⅳ类场地和8、9度时,增加了规则性要求和配筋构造要求,有关规定基本上保持了77版、95版鉴定标准的要求。
第二级鉴定分三种情况进行楼层综合抗震能力的分析判断。屈服强度系数是结构抗震承载力计算的简化方法,该方法以震害为依据,通过震害实例验算的统计分析得到,设计规范用来控制结构的倒塌,对评估现有建筑破坏程度有较好的可靠性。在第二级鉴定中,材料强度等级和纵向钢筋不作要求,其他构造要求用结构构造的体系影响系数和局部影响系数来体现。

B类混凝土房屋抗震鉴定与A类混凝土房屋抗震鉴定相同的是,同样强调了梁、柱的连接形式和跨数,混合承重体系的连接构造和填充墙与主体结构的连接问题,以及规则性要求和配筋构造要求;不同的是,B类混凝土房屋必须经过抗震承载力验算,方可对建筑的抗震能力进行评定,同时也可按照A类混凝土房屋抗震鉴定的方法,进行抗震能力的综合评定。B类钢筋混凝土房屋的鉴定可参照图4进行。

6.1.6 当砌体结构与框架结构相连或依托于框架结构时,应加大砌体结构所承担的地震作用,再按本标准第5章进行抗震鉴定;对框架结构的鉴定,应计入两种不同性质的结构相连导致的不利影响。
条文说明
6.1.6 当框架结构与砌体结构毗邻且共同承重时,砌体部分因侧移刚度大而分担了框架的一部分地震作用,受力状态与单一的砌体结构不同;框架部分也因二者侧移的协调而在连接部位形成附加内力。抗震鉴定时要适当考虑。
6.1.7 砖女儿墙、门脸等非结构构件和突出屋面的小房间,应符合本标准第5章的有关规定。
6.2 A类钢筋混凝土房屋抗震鉴定
6.2 A类钢筋混凝土房屋抗震鉴定
(Ⅰ)第一级鉴定
6.2.1 现有A类钢筋混凝土房屋的结构体系应符合下列规定:
1 框架结构宜为双向框架,装配式框架宜有整浇节点,8、9度时不应为铰接节点。
2 框架结构不宜为单跨框架;乙类设防时,不应为单跨框架结构,且8、9度时按梁柱的实际配筋、柱轴向力计算的框架柱的弯矩增大系数宜大于1.1。
3 8、9度时,现有结构体系宜按下列规则性的要求检查:
1)平面局部突出部分的长度不宜大于宽度,且不宜大于该方向总长度的30%。
2)立面局部缩进的尺寸不宜大于该方向水平总尺寸的25%。
3)楼层刚度不宜小于其相邻上层刚度的70%,且连续三层总的刚度降低不宜大于50%。
4)无砌体结构相连,且平面内的抗侧力构件及质量分布宜基本均匀对称。
4 抗震墙之间无大洞口的楼盖、屋盖的长宽比不宜超过表6.2.1-1的规定,超过时应考虑楼盖平面内变形的影响。

5 8度时,厚度不小于240mm、砌筑砂浆强度等级不低于M2.5的抗侧力黏土砖填充墙,其平均间距应不大于表6.2.1-2规定的限值。

条文说明
6.2.1 现有结构体系的鉴定包括节点连接方式、跨数的合理性和规则性的判别。 连接方式主要指刚接和铰接,以及梁底纵筋的锚固。 单跨框架对抗震不利,明确要求乙类设防的混凝土房屋不能为单跨框架;乙类设防的多跨框架在8、9度时,还建议检查其“强柱弱梁”的程度。此时,最好计入梁侧面楼板分布钢筋的影响,参照欧洲抗震规范,可计入柱边以外2倍楼板厚度的分布钢筋。 房屋的规则性判别,基本同89版设计规范,针对现有建筑的情况,增加了无砌体结构相连的要求。 对框架-抗震墙体系,墙体之间楼盖、屋盖长宽比的规定同设计规范;抗侧力黏土砖填充墙的最大间距判别,是8度时抗震承载力验算的一种简化方法。 需要注意,按照第1.0.3条的要求,对于乙类设防的房屋,本节第6.2.1~6. 2.8条的规定,凡无明确指明乙类设防的内容,均需按提高一度的规定检查。
6.2.2 梁、柱、墙实际达到的混凝土强度等级,6、7度时不应低于C13,8、9度时不应低于C18。
条文说明
6.2.2 本条对材料强度的要求是最低的,直接影响了结构的承载力。
6.2.3 6度和7度Ⅰ、Ⅱ类场地时,框架结构应按下列规定检查:
1 框架梁柱的纵向钢筋和横向箍筋的配置应符合非抗震设计的要求,其中,梁纵向钢筋在柱内的锚固长度,HPB 235级钢筋不宜小于纵向钢筋直径的25倍,HRB 335级钢筋不宜小于纵向钢筋直径的30倍;混凝土强度等级为C13时,锚固长度应相应增加纵向钢筋直径的5倍。
2 6度乙类设防时,框架的中柱和边柱纵向钢筋的总配筋率不应少于0.5%,角柱不应少于0.7%,箍筋最大间距不宜大于8倍纵向钢筋直径且不大于150mm,最小直径不宜小于6mm。
6.2.4 7度Ⅲ、Ⅳ类场地和8、9度时,框架梁柱的配筋尚应着重按下列要求检查:
1 梁两端在梁高各一倍范围内的箍筋间距,8度时不应大于200mm,9度时不应大于150mm。
2 在柱的上、下端,柱净高各1/6的范围内,丙类设防时,7度Ⅲ、Ⅳ类场地和8度时,箍筋直径不应小于φ 6,间距不应大于200mm;9度时,箍筋直径不应小于φ 8,间距不应大于150mm;乙类设防时,框架柱箍筋的最大间距和最小直径,宜按当地设防烈度和表6.2.4的要求检查。

3 净高与截面高度之比不大于4的柱,包括因嵌砌黏土砖填充墙形成的短柱,沿柱全高范围内的箍筋直径不应小于φ 8,箍筋间距,8度时不应大于150mm,9度时不应大于100mm。
4 框架角柱纵向钢筋的总配筋率,8度时不宜小于0.8%,9度时不宜小于1.0%;其他各柱纵向钢筋的总配筋率,8度时不宜小于0.6%,9度时不宜小于0.8%。
5 框架柱截面宽度不宜小于300mm,8度Ⅲ、Ⅳ类场地和9度时不宜小于400mm; 9度时,柱的轴压比不应大于0.8。
6.2.5 8、9度时,框架-抗震墙的墙板配筋与构造应按下列要求检查:
1 抗震墙的周边宜与框架梁柱形成整体或有加强的边框。
2 墙板的厚度不宜小于140mm,且不宜小于墙板净高的1/30,墙板中竖向及横向钢筋的配筋率均不应小于0.15%。
3 墙板与楼板的连接,应能可靠地传递地震作用。
条文说明
6.2.3~6.2.5 整体性连接构造的鉴定分两类:
6度和7度Ⅰ、Ⅱ类场地时,只判断梁柱的配筋构造是否满足非抗震设计要求。其中,梁纵筋在柱内的锚固长度按20世纪70年代的规范检查。对乙类设防的混凝土房屋,增加了框架柱最小纵向钢筋和箍筋的检查要求。
7度Ⅲ、Ⅳ类场地和8、9度时,要检查纵筋、箍筋、轴压比等。作为简化的抗震承载力验算,要求控制柱截面,9度时还要验算柱的轴压比。框架-抗震墙中抗震墙的构造要求,是参照89版设计规范提出的。
6.2.6 框架结构利用山墙承重时,山墙应有钢筋混凝土壁柱与框架梁可靠连接;当不符合时,8、9度应加固。
条文说明
6.2.6 本条提出了框架结构与砌体结构混合承重时的部分鉴定要求——山墙与框架梁的连接构造。其他构造按第6.1.6条规定的原则鉴定。
6.2.7 砖砌体填充墙、隔墙与主体结构的连接应按下列要求检查:
1 考虑填充墙抗侧力作用时,填充墙的厚度,6~8度时不应小于180mm,9度时不应小于240mm;砂浆强度等级,6~8度时不应低于M2.5,9度时不应低于M5;填充墙应嵌砌于框架平面内。
2 填充墙沿柱高每隔600mm左右应有2φ 6拉筋伸入墙内,8、9度时伸入墙内的长度不宜小于墙长的1/5且不小于700mm;当墙高大于5m时,墙内宜有连系梁与柱连接;对于长度大于6m的黏土砖墙或长度大于5m的空心砖墙,8、9度时墙顶与梁应有连接。
3 房屋的内隔墙应与两端的墙或柱有可靠连接;当隔墙长度大于6m,8、9度时墙顶尚应与梁板连接。
条文说明
6.2.7 砌体填充墙等与主体结构连接的鉴定要求,系参照现行抗震设计规范提出的。
6.2.8 钢筋混凝土房屋符合本节上述各项规定可评为综合抗震能力满足要求;当遇下列情况之一时,可不再进行第二级鉴定,但应评为综合抗震能力不满足抗震要求,且应对房屋采取加固或其他相应措施:
1 梁柱节点构造不符合要求的框架及乙类的单跨框架结构。
2 8、9度时混凝土强度等级低于C13。
3 与框架结构相连的承重砌体结构不符合要求。
4 仅有女儿墙、门脸、楼梯间填充墙等非结构构件不符合本标准第5.2.8条第2款的有关要求。
5 本节的其他规定有多项明显不符合要求。
条文说明
6.2.8 本条规定了不需要进行第二级鉴定就评为不符合抗震鉴定要求的情况。其中,当仅有女儿墙等非结构构件不符合本标准第5.2.8条第2款的规定时,属于局部不符合抗震鉴定要求,可只要求对非结构构件局部处理。
(Ⅱ)第二级鉴定
6.2.9 A类钢筋混凝土房屋,可采用平面结构的楼层综合抗震能力指数进行第二级鉴定。也可按现行国家标准《建筑抗震设计规范》GB 50011的方法进行抗震计算分析,按本标准第3.0.5条的规定进行构件抗震承载力验算,计算时构件组合内力设计值不作调整,尚应按本节的规定估算构造的影响,由综合评定进行第二级鉴定。
6.2.10 现有钢筋混凝土房屋采用楼层综合抗震能力指数进行第二级鉴定时,应分别选择下列平面结构:
1 应至少在两个主轴方向分别选取有代表性的平面结构。
2 框架结构与承重砌体结构相连时,除应符合本条第1款的规定外,尚应选取连接处的平面结构。
3 有明显扭转效应时,除应符合本条第1款的规定外,尚应选取计入扭转影响的边榀结构。 (自2022年4月1日起废止该条, 点击查看:新规《既有建筑鉴定与加固通用规范》GB 55021-2021 )
条文说明
6.2.10 本条规定了采用楼层综合抗震能力指数法进行第二级鉴定的三种情况,要求取不同的平面结构进行楼层综合抗震承载力指数的验算。
6.2.11 楼层综合抗震能力指数可按下列公式计算:

式中β——平面结构楼层综合抗震能力指数;

——体系影响系数;可按本标准第6.2.12条确定;

——局部影响系数;可按本标准第6.2.13条确定;
ξ y ——楼层屈服强度系数;
V y ——楼层现有受剪承载力,可按本标准附录C计算;
V e ——楼层的弹性地震剪力,可按本标准第6.2.14条计算。
6.2.12 A类钢筋混凝土房屋的体系影响系数可根据结构体系、梁柱箍筋、轴压比等符合第一级鉴定要求的程度和部位,按下列情况确定:
1 当上述各项构造均符合现行国家标准《建筑抗震设计规范》GB 50011的规定时,可取1.4。
2 当各项构造均符合本标准第6.3节B类建筑的规定时,可取1.25。
3 当各项构造均符合本节第一级鉴定的规定时,可取1.0。
4 当各项构造均符合非抗震设计规定时,可取0.8。
5 当结构受损伤或发生倾斜但已修复纠正,上述数值尚宜乘以0.8~1.0。
6.2.13 局部影响系数可根据局部构造不符合第一级鉴定要求的程度,采用下列三项系数选定后的最小值:
1 与承重砌体结构相连的框架,取0.8~0.95。
2 填充墙等与框架的连接不符合第一级鉴定要求,取0.7~0.95。
3 抗震墙之间楼盖、屋盖长宽比超过表6.2.1-1的规定值,可按超过的程度,取0.6~0.9。
6.2.14 楼层的弹性地震剪力,对规则结构可采用底部剪力法计算,地震作用按本标准第3.0.5条的规定计算,地震作用分项系数取1.0;对考虑扭转影响的边榀结构,可按现行国家标准《建筑抗震设计规范》GB 50011规定的方法计算。当场地处于本标准第4.1.3条规定的不利地段时,地震作用尚应乘以增大系数1.1~1.6。
条文说明
6.2.11~6.2.14 钢筋混凝土结构的综合抗震能力指数,采用楼层屈服强度系数与构造影响系数的乘积。构造影响系数的取值要根据具体情况确定:
1 由于第二级鉴定时,对材料强度和纵向钢筋不做要求,体系影响系数只与规则性、箍筋构造和轴压比等有关;
2 当部分构造符合第一级鉴定要求而部分构造符合非抗震设计要求时,可在0.8~1.0之间取值;
3 不符合的程度大或有若干项不符合时取较小值;对不同烈度鉴定要求相同的项目,烈度高者,该项影响系数取较小值;
4 结构损伤包括因建造年代甚早、混凝土碳化而造成的钢筋锈蚀;损伤和倾斜的修复,通常宜考虑新旧部分不能完全共同发挥效果而取小于1.0的影响系数;
5 局部影响系数只乘以有关的平面框架,即与承重砌体结构相连的平面框架、有填充墙的平面框架或楼屋盖长宽比超过规定时其中部的平面框架。 计算结构楼层现有承载力时,与89规范系列的设计规范相同,应取结构构件现有截面尺寸、现有配筋和材料强度标准值计算,具体见本标准附录C;楼层的弹性地震剪力系按现行《建筑抗震设计规范》GB 50011的方法计算,但设计特征周期按89规范(即本标准表3.0.5规定)取值,地震作用的分项系数取1.0。
6.2.15 符合下列规定之一的多层钢筋混凝土房屋,可评定为满足抗震鉴定要求;当不符合时应要求采取加固或其他相应措施:
1 楼层综合抗震能力指数不小于1.0的结构。
2 按本标准第3.0.5条规定进行抗震承载力验算并计入构造影响满足要求的结构。
条文说明
6.2.15 本条规定了评定钢筋混凝土结构综合抗震能力的两种方法:楼层综合抗震能力指数法与考虑构造影响的规范抗震承载力验算法。一般情况采用前者,当前者不适用时,需采用后者。
6.3 B类钢筋混凝土房屋抗震鉴定
6.3 B类钢筋混凝土房屋抗震鉴定
(Ⅰ)抗震措施鉴定
6.3.1 现有B类钢筋混凝土房屋的抗震鉴定,应按表6.3.1确定鉴定时所采用的抗震等级,并按其所属抗震等级的要求核查抗震构造措施。

条文说明
6.3.1 本条引用了89规范对抗震等级的规定,属于鉴定时的重要要求。如果原设计的抗震等级与本条的规定不同,则需要严格 按新的抗震等级仔细检查现有结构的各项抗震构造,计算的内力调整系数也要仔细核对。
6.3.2 现有房屋的结构体系应按下列规定检查:
1 框架结构不宜为单跨框架;乙类设防时不应为单跨框架结构,且8、9度时按梁柱的实际配筋、柱轴向力计算的框架柱的弯矩增大系数宜大于1.1。
2 结构布置宜按本标准第6.2.1条的要求检查其规则性,不规则房屋设有防震缝时,其最小宽度应符合现行国家标准《建筑抗震设计规范》GB 50011的要求,并应提高相关部位的鉴定要求。
3 钢筋混凝土框架房屋的结构布置的检查,尚应按下列规定:
1)框架应双向布置,框架梁与柱的中线宜重合;
2)梁的截面宽度不宜小于200mm;梁截面的高宽比不宜大于4;梁净跨与截面高度之比不宜小于4;
3)柱的截面宽度不宜小于300mm,柱净高与截面高度(圆柱直径)之比不宜小于4;
4)柱轴压比不宜超过表6.3.2-1的规定,超过时宜采取措施;柱净高与截面高度(圆柱直径)之比小于4、Ⅳ类场地上较高的高层建筑的柱轴压比限值应适当减小。

4 钢筋混凝土框架-抗震墙房屋的结构布置尚应按下列规定检查:
1)抗震墙宜双向设置,框架梁与抗震墙的中线宜重合;
2)抗震墙宜贯通房屋全高,且横向与纵向宜相连;
3)房屋较长时,纵向抗震墙不宜设置在端开间;
4)抗震墙之间无大洞口的楼盖、屋盖的长宽比不宜超过表6.3.2-2的规定,超过时应计入楼盖平面内变形的影响;

5)抗震墙墙板厚度不应小于160mm且不应小于层高的1/20,在墙板周边应有梁(或暗梁)和端柱组成的边框。
5 钢筋混凝土抗震墙房屋的结构布置尚应按下列规定检查:
1)较长的抗震墙宜分成较均匀的若干墙段,各墙段(包括小开洞墙及联肢墙)的高宽比不宜小于2;
2)抗震墙有较大洞口时,洞口位置宜上下对齐;
3)一、二级抗震墙和三级抗震墙加强部位的各墙肢应有翼墙、端柱或暗柱等边缘构件,暗柱或翼墙的截面范围按现行国家标准《建筑抗震设计规范》GB 50011的规定检查;
4)两端有翼墙或端柱的抗震墙墙板厚度,一级不应小于160mm,且不宜小于层高的1/20,二、三级不应小于140mm,且不宜小于层高的1/25。
注:加强部位取墙肢总高度的1/8和墙肢宽度的较大值,有框支层时尚不小于到框支层上一层的高度。
6 房屋底部有框支层时,框支层的刚度不应小于相邻上层刚度的50%;落地抗震墙间距不宜大于四开间和24m的较小值,且落地抗震墙之间的楼盖长宽比不应超过表6.3.2-2规定的数值。
7 抗侧力黏土砖填充墙应符合下列要求:
1)二级且层数不超过五层、三级且层数不超过八层和四级的框架结构,可计入黏土砖填充墙的抗侧力作用;
2)填充墙的布置应符合框架-抗震墙结构中对抗震墙的设置要求;
3)填充墙应嵌砌在框架平面内并与梁柱紧密结合,墙厚不应小于240mm,砂浆强度等级不应低于M5,宜先砌墙后浇框架。
条文说明
6.3.2 本条依据89规范有关钢筋混凝土房屋结构布置的规定,从鉴定的角度予以归纳、整理而成。
吸取汶川地震的教训,本次修订,要求单跨框架不得用于乙类设防建筑,还要求对多跨框架,在8、9度设防时检查“强柱弱梁”的情况。
6.3.3 梁、柱、墙实际达到的混凝土强度等级不应低于C20。一级的框架梁、柱和节点不应低于C30。
条文说明
6.3.3 本条来自89规范中关于材料强度的要求。
6.3.4 现有框架梁的配筋与构造应按下列要求检查:
1 梁端纵向受拉钢筋的配筋率不宜大于2.5%:且混凝土受压区高度和有效高度之比,一级不应大于0.25,二、三级不应大于0.35。
2 梁端截面的底面和顶面实际配筋量的比值,除按计算确定外,一级不应小于0.5,二、三级不应小于0.3。
3 梁端箍筋实际加密区的长度、箍筋最大间距和最小直径应按表6.3.4的要求检查,当梁端纵向受拉钢筋配筋率大于2%时,表中箍筋最小直径数值应增大2mm。
4 梁顶面和底面的通长钢筋,一、二级不应少于2φ 14,且不应少于梁端顶面和底面纵向钢筋中较大截面面积的1/4,三、四级不应少于2φ 12。
5 加密区箍筋肢距,一、二级不宜大于200mm,三、四级不宜大于250mm。

6.3.5 现有框架柱的配筋与构造应按下列要求检查:
1 柱实际纵向钢筋的总配筋率不应小于表6.3.5-1的规定,对Ⅳ类场地上较高的高层建筑,表中的数值应增加0.1。

2 柱箍筋在规定的范围内应加密,加密区的箍筋最大间距和最小直径,不宜低于表6.3.5-2的要求。

3 柱箍筋的加密区范围,应按下列规定检查:
1)柱端,为截面高度(圆柱直径)、柱净高的1/6和500mm三者的最大值;
2)底层柱为刚性地面上下各500mm;
3)柱净高与柱截面高度之比小于4的柱(包括因嵌砌填充墙等形成的短柱)、框支柱、一级框架的角柱,为全高。
4 柱加密区的箍筋最小体积配箍率,不宜小于表6,3.5-3 规定。一、二级时,净高与柱截面高度(圆柱直径)之比小于4的柱的体积配箍率,不宜小于1.0%。
5 柱加密区箍筋肢距,一级不宜大于200mm,二级不宜大于250mm,三、四级不宜大于300mm,且每隔一根纵向钢筋宜在两个方向有箍筋约束。
6 柱非加密区的实际箍筋量不宜小于加密区的50%,且箍筋间距,一、二级不应大于10倍纵向钢筋直径,三级不应大于15倍纵向钢筋直径。

6.3.6 框架节点核心区内箍筋的最大间距和最小直径宜按本标准表6.3.5-2检查,一、二、三级的体积配箍率分别不宜小于1. 0%、0.8%、0.6%,但轴压比小于0.4时仍按本标准表6.3.5-3检查。
6.3.7 抗震墙墙板的配筋与构造应按下列要求检查:
1 抗震墙墙板横向、竖向分布钢筋的配筋,均应符合表6.3.7-1的要求;Ⅳ类场地上三级的较高的高层建筑,其一般部位的分布钢筋最小配筋率不应小于0.2%。框架-抗震墙结构中的抗震墙板,其横向和竖向分布筋均不应小于0.25%。

2 抗震墙边缘构件的配筋,应符合表6.3.7-2的要求;框架-抗震墙端柱在全高范围内箍筋,均应符合表6.3.7-2中底部加强部位的要求。
3 抗震墙的竖向和横向分布钢筋,一级的所有部位和二级的加强部位,应为双排布置,二级的一般部位和三、四级的加强部位宜为双排布置。双排分布钢筋间拉筋的间距不应大于600mm,且直径不应小于6mm,对底部加强部位,拉筋间距尚应适当加密。

6.3.8 钢筋的接头和锚固应符合现行国家标准《混凝土结构设计规范》GB 50010的要求。
条文说明
6.3.4~6.3.8 依据89规范对梁、柱、墙体配筋的规定,以及钢筋锚固连接的要求,从鉴定的角度予以归纳、整理而成。其中,凡2001规范放松的要求,均按2001规范调整。
6.3.9 填充墙应按下列要求检查:
1 砌体填充墙在平面和竖向的布置,宜均匀对称。
2 砌体填充墙,宜与框架柱柔性连接,但墙顶应与框架紧密结合。
3 砌体填充墙与框架为刚性连接时,应符合下列要求:
1)沿框架柱高每隔500mm有2φ 6拉筋,拉筋伸入填充墙内长度,一、二级框架宜沿墙全长拉通;三、四级框架不应小于墙长的1/5且不小于700mm;
2)墙长度大于5m时,墙顶部与梁宜有拉结措施,墙高度超过4m时,宜在墙高中部有与柱连接的通长钢筋混凝土水平系梁。
条文说明
6.3.9 本条是89规范中关于填充墙规定的归纳。
(Ⅱ)抗震承载力验算
6.3.10 现有钢筋混凝土房屋,应根据现行国家标准《建筑抗震设计规范》GB 50011的方法进行抗震分析,按本标准第3.0.5条的规定进行构件承载力验算,乙类框架结构尚应进行变形验算;当抗震构造措施不满足第6.3.1~第6.3.9条的要求时,可按本标准第6.2节的方法计入构造的影响进行综合评价。
6.3.11 构件截面抗震验算时,其组合内力设计值的调整应符合本标准附录D的规定,截面抗震验算应符合本标准附录E的规定。
当场地处于本标准第4.1.3条规定的不利地段时,地震作用尚应乘以增大系数1.1~1.6。
6.3.12 考虑黏土砖填充墙抗侧力作用的框架结构,可按本标准附录F进行抗震验算。
条文说明
6.3.10~6.3.12 依据89规范系列对钢筋混凝土结构抗震计算分析和构件抗震验算的要求归纳、整理而成,其中,不同于现行设计规范的内力调整系数和构件承载力验算公式,均在本标准的附录中给出,以便应用。对乙类设防的建筑,要求进行变形验算。
鉴于现有房屋在静载下可正常使用,对于梁截面现有的抗震承载力验算,必要时可按梁跨中底面的实际配筋与梁端顶面的实际配筋二者的总和来判断实际配筋是否足够。
6.3.13 B类钢筋混凝土房屋的体系影响系数,可根据结构体系、梁柱箍筋、轴压比、墙体边缘构件等符合鉴定要求的程度和部位,按下列情况确定:
1 当上述各项构造均符合现行国家标准《建筑抗震设计规范》GB 50011的规定时,可取1.1。
2 当各项构造均符合本节的规定时,可取1.0。
3 当各项构造均符合本标准第6.2节A类房屋鉴定的规定时,可取0.8。
4 当结构受损伤或发生倾斜但已修复纠正,上述数值尚宜乘以0.8~1.0。
条文说明
6.3.13 本条给出B类建筑参照A类建筑进行综合抗震承载能力验算时的体系影响系数。
7 内框架和底层框架砖房
7.1 一般规定
7 内框架和底层框架砖房
7.1 一般规定
7.1.1 本章适用于按丙类设防的黏土砖墙与钢筋混凝土柱混合承重的内框架、底层框架砖房、底层框架-抗震墙砖房。
条文说明
7.1.1 内框架砖房指内部为框架承重,外部为砖墙承重的房屋,包括内部为单排柱到顶、多排柱到顶的多层内框架房屋,以及仅底层为内框架而上部各层为砖墙的底层内框架房屋。底层框架砖房指底层为框架(包括填充墙框架等)承重而上部各层为砖墙承重的多层房屋。
鉴于这类房屋的抗震能力较差,本次修订,明确这类房屋仅适用于丙类设防的情况。
采用砌块砌体和钢筋混凝土结构混合承重的房屋,尚无鉴定的经验,只能原则上参考。
7.1.2 现有内框架和底层框架砖房抗震鉴定时,对房屋的高度和层数、横墙的厚度和间距、墙体的砂浆强度等级和砌筑质量应重点检查,并应根据结构类型和设防烈度重点检查下列薄弱部位:
1 底层框架和底层内框架砖房的底层楼盖类型及底层与第二层的侧移刚度比、结构平面质量和刚度分布及墙体(包括填充墙)等抗侧力构件布置的均匀对称性。
2 多层内框架砖房的屋盖类型和纵向窗间墙宽度。
3 7~9度设防时,尚应检查框架的配筋和圈梁及其他连接构造。 (自2022年4月1日起废止该条, 点击查看:新规《既有建筑鉴定与加固通用规范》GB 55021-2021 )
条文说明
7.1.2 本条是第3章中概念鉴定在内框架和底层框架砖房的具体化。根据震害经验总结,内框架和底层框架砖房的震害特征与多层砖房、多层钢筋混凝土房屋不同。本条在多层砖房和多层钢筋混凝土房屋各自薄弱部位的基础上,增加了相应的内容。
7.1.3 房屋的外观和内在质量应符合下列要求:
1 砖墙体应符合本标准第5.1.3条的有关规定。
2 混凝土构件应符合本标准第6.1.3条的有关规定。
7.1.4 现有内框架和底层框架砖房的抗震鉴定,应按房屋高度和层数、混合承重结构体系的合理性、墙体材料的实际强度、结构构件之间整体性连接构造的可靠性、局部易损易倒部位构件自身及其与主体结构连接构造的可靠性以及墙体和框架抗震承载力的综合分析,对整幢房屋的抗震能力进行鉴定。
当房屋层数超过规定或底部框架砖房的上下刚度比不符合规定时,应评为不满足抗震鉴定要求;当仅有出入口和人流通道处的女儿墙等不符合规定时,应评为局部不满足抗震鉴定要求。 (自2022年4月1日起废止该条, 点击查看:新规《既有建筑鉴定与加固通用规范》GB 55021-2021 )
条文说明
7.1.4 根据震害经验,内框架和底层框架房屋抗震鉴定的内容与钢筋混凝土、砌体房屋有所不同,但均从结构体系合理性、材料强度、梁柱墙体等构件自身的构造和连接的整体性、易损易倒的非结构构件的局部连接构造等方面和构件承载力加以综合评定。本条同样明确规定了鉴定的项目,使这类结构房屋的鉴定工作规范化。
对于明显影响抗震安全性的问题,如房屋总高度和底部框架房屋的上下刚度比等,也明确要求在不符合规定时应提出加固或减灾处理。
7.1.5 对A类内框架和底层框架砖房,应进行综合抗震能力的 两级评定。符合第一级鉴定的各项规定时,应评为满足抗震鉴定要求;不符合第一级鉴定要求时,除有明确规定的情况外,应在第二级鉴定采用屈服强度系数和综合抗震能力指数的方法,计入构造影响作出判断。
对B类内框架和底层框架砖房,应根据所属的抗震等级和构造柱设置等进行结构布置和构造检查,并应通过内力调整进行抗震承载力验算,或按照A类房屋计入构造影响对综合抗震能力进行评定。 (自2022年4月1日起废止该条, 点击查看:新规《既有建筑鉴定与加固通用规范》GB 55021-2021 )
条文说明
7.1.5 本条进一步明确A类房屋和B类房屋鉴定方法的不同。
7.1.6 内框架和底层框架砖房的砌体部分和框架部分,除符合本章规定外,尚应分别符合本标准第5章、第6章的有关规定。
条文说明
7.1.6 内框架和底层框架砖房为砖墙和混凝土框架混合承重的结构体系,其抗震鉴定方法可将第5、6两章的方法合并使用。
7.2 A类内框架和底层框架砖房抗震鉴定
7.2 A类内框架和底层框架砖房抗震鉴定
(Ⅰ)第一级鉴定
7.2.1 现有A类内框架和底层框架砖房实际的最大高度和层数宜符合表7.2.1规定的限值,当超过规定的限值时,应提高对综合抗震能力的要求或提出采取改变结构体系等减灾措施。

条文说明
7.2.1 本节适用的房屋最大总高度及层数较B类房屋略有放宽,主要依据震害并考虑当时我国现实情况。如海城地震时,位于9度区的海城农药厂粉剂车间为三层的单排柱内框架砖房,高15m,虽遭严重破坏但未倒塌,震后修复使用。
180mm墙承重时只能用于底层框架房屋的上部各层。由于这种墙体稳定性较差,故适用的高度一般降低6m,层数降低二层。
当现有房屋比表7.2.1的规定多一层或3m时,即使符合第一级鉴定的各项规定,也要在第二级鉴定中采用规范方法进行验算。
对于新建工程已经不能采用的早年建造的底层内框架砖房,应通过鉴定予以更新,暂时仍需使用的,应加固成为底部框架-抗震墙上部砖砌体房屋。
7.2.2 现有房屋的结构体系应按下列规定检查:
1 A类内框架和底层框架砖房抗震横墙的最大间距应符合表7.2.2的规定,超过时应要求采取相应措施。

2 底层框架、底层内框架砖房的底层和第二层,应符合下列要求:
1)在纵横两个方向均应有砖或钢筋混凝土抗震墙,每个方向第二层与底层侧向刚度的比值,7度时不应大于3.0,8、9度时不应大于2.0,且均不应小于1.0;当底层的墙体在平面布置不对称时,应考虑扭转的不利影响;
2)底层框架不应为单跨;框架柱截面最小尺寸不宜小于400mm,在重力荷载下的轴压比,7、8、9度分别不宜大于0.9、0.8、0.7;
3)第二层的墙体宜与底层的框架梁对齐,其实测砂浆强度等级应高于第三层。
3 内框架砖房的纵向窗间墙的宽度,6、7、8、9度时,分别不宜小于0.8m、1.0m、1.2m、1.5m;8、9时厚度为240mm的抗震墙应有墙垛。
条文说明
7.2.2 结构体系鉴定时,针对内框架和底层框架砖房的结构特点,要检查底层框架、底层内框架砖房的二层与底层侧移刚度比,以减少地震时的变形集中;要检查多层内框架砖房的纵向窗间墙宽度,以减轻地震破坏。抗震墙横墙最大间距,基本上与设计规范相同,在装配式钢筋混凝土楼、屋盖时其要求略有放宽,但不能用于木楼盖的情况。
本次修订,强调了底框房屋不得采用单跨框架、底部墙体布置要基本对称,以及控制框架柱轴压比的要求。
7.2.3 底层框架、底层内框架砖房的底层和多层内框架砖房的砖抗震墙,厚度不应小于240mm,砖实际达到的强度等级不应低于MU7.5;砌筑砂浆实际达到的强度等级,6、7度时不应低于M2.5,8、9度时不应低于M5;框架梁、柱实际达到的强度等级不应低于C20。
7.2.4 现有房屋的整体性连接构造应符合下列规定:
1 底层框架和底层内框架砖房的底层,8、9度时应为现浇或装配整体式混凝土楼盖;6、7度时可为装配式楼盖,但应有圈梁。
2 多层内框架砖房的圈梁,应符合本标准第5.2.4条第3款的规定;采用装配式混凝土楼盖、屋盖时,尚应符合下列要求:
1)顶层应有圈梁;
2)6度时和7度不超过三层时,隔层应有圈梁;
3)7度超过三层和8、9度时,各层均应有圈梁。
3 内框架砖房大梁在外墙上的支承长度不应小于240mm,且应与垫块或圈梁相连。
4 多层内框架砖房在外墙四角和楼梯间、电梯间四角及大房间内外墙交接处,7、8度时超过三层和9度时,应有构造柱或沿墙高每10皮砖应有2φ 6拉结钢筋。
条文说明
7.2.4 整体性连接鉴定,针对此两类结构的特点,强调了楼盖的整体性、圈梁布置、大梁与外墙的连接。
7.2.5 房屋中易引起局部倒塌的构件、部件及其连接的构造,可按照本标准第5.2节的有关规定鉴定;底层框架、底层内框架砖房的上部各层的第一级鉴定,应符合本标准第5.2节的有关要求;框架梁、柱的第一级鉴定,应符合本标准第6.2节的有关要求。
条文说明
7.2.5 本条规定了第一级鉴定中需按本标准第5、6章A类抗震鉴定有关规定执行的内容。
7.2.6 第一级鉴定时,房屋的抗震承载力可采用抗震横墙间距和宽度的下列限值进行简化验算:
1 底层框架、底层内框架砖房的上部各层,抗震横墙间距和房屋宽度的限值应按本标准第5.2.9条的有关规定采用。
2 底层框架砖房的底层,横墙厚度为370mm时的抗震横墙间距和纵墙厚度为240mm时的房屋宽度限值,宜按表7.2.6采用,其他厚度的墙体,表7.2.6中数值可按墙厚的比例相应换算。设计基本地震加速度为0.15g和0.30g时,应按表7.2.6中数值采用内插法确定。
3 底层内框架砖房的底层,抗震横墙间距和房屋宽度的限值,可按底层框架砖房的0.85倍采用,9度时不适用。
4 多排柱到顶的内框架砖房的抗震横墙间距和房屋宽度限值,顶层可按本标准第5.2.9条规定限值的0.9倍采用,底层可分别按本标准第5.2.9条规定限值的1.4倍和1.15倍采用;其他各层限值的调整可用内插法确定。
5 单排柱到顶砖房的抗震横墙间距和房屋宽度限值,可按多排柱到顶砖房相应限值的0.85倍采用。

条文说明
7.2.6 结构体系满足要求且整体性连接及易引起倒塌部位都良好的房屋,可类似多层砖房,按横墙间距、房屋宽度及砌筑砂浆强度等级来判断是否满足抗震要求而不进行抗震验算。这主要是根据震害经验及统计分析提出的,以减少鉴定计算的工作量。
考虑框架承担了大小不等的地震作用,本条规定的限值与多层砖房有所不同。使用时,尚需注意本标准第5.2.9条的说明。
7.2.7 内框架和底层框架砖房符合本节各项规定可评为综合抗震能力满足抗震要求;当遇下列情况之一时,可不再进行第二级鉴定,但应评为不符合鉴定要求并提出采取加固或其他相应措施:
1 横墙间距超过表7.2.2的规定,或构件支承长度少于规定值的75%,或底层框架、底层内框架砖房第二层与底层侧向刚度比不符合本标准第7.2.2条第2款规定。
2 8、9度时混凝土强度等级低于C13。
3 仅有非结构构件的构造不符合本标准5.2.8条第2款的有关要求。
条文说明
7.2.7 本条规定了不需进行第二级鉴定而评为不符合鉴定要求的情况。其中,当仅非结构构件不符合本标准第5.2.8条第2款的规定时,可只对非结构构件局部处理。
(Ⅱ)第二级鉴定
7.2.8 内框架和底层框架砖房的第二级鉴定,一般情况下,可采用综合抗震能力指数的方法;房屋层数超过本标准表7.2.1所列数值时,应按本标准第3.0.5条的规定,采用现行国家标准《建筑抗震设计规范》GB 50011的方法进行抗震承载力验算,并可按照本节的规定计入构造影响因素,进行综合评定。
条文说明
7.2.8 内框架和底层框架砖房的第二级鉴定,直接借用多层砖房和框架结构的方法,使本标准的鉴定方法比较协调。
一般情况,采用综合抗震能力指数的方法,使抗震承载力验算可有所简化,还可考虑构造对抗震承载力的影响。
当房屋高度和层数超过表7.2.1的数值范围时,与多层砖房类似,需采用考虑构造影响的规范抗震承载力验算法。
7.2.9 底层框架、底层内框架砖房采用综合抗震能力指数方法进行第二级鉴定时,应符合下列要求:
1 上部各层应按本标准第5.2节的规定进行。
2 底层的砖抗震墙部分,可根据房屋的总层数按照本标准第5.2节的规定进行。其抗震墙基准面积率,应按本标准附录B. 0.2采用;烈度影响系数,6、7、8、9度时,可分别按0.7、1.0、1.7、3.0采用,设计基本地震加速度为0.15g和0.30g,分别按1.35和2.35采用。
3 底层的框架部分,可按本标准第6.2节的规定进行。其中,框架承担的地震剪力可按现行国家标准《建筑抗震设计规范》GB 50011有关规定采用。
条文说明
7.2.9 底层框架、底层内框架砖房的体系影响系数和局部影响系数,通常参照多层砖房和钢筋混凝土框架的有关规定确定。
底层框架、底层内框架砖房的烈度影响系数,保持77、95鉴定标准的有关规定,取值不同于多层砖房;考虑框架承担一部分地震作用,底层的基准面积率也不同于多层砖房。
7.2.10 多层内框架砖房采用综合抗震能力指数方法进行第二级鉴定时,应符合下列要求:
1 砖墙部分可按照本标准第5.2节的规定进行。其中,纵向窗间墙不符合第一级鉴定时,其影响系数应按体系影响系数处理;抗震墙基准面积率,应按本标准附录B.0.3采用;烈度影响系数,6、7、8、9度时,可分别按0.7、1.0、1.7、3.0采用,设计基本地震加速度为0.15g和0.30g,分别按1. 35和2.35采用。
2 框架部分可按照本标准第6.2节的规定进行。其外墙砖柱(墙垛)的现有受剪承载力,可根据对应于重力荷载代表值的砖柱轴向压力、砖柱偏心距限值、砖柱(包括钢筋)的截面面积和材料强度标准值等计算确定。
条文说明
7.2.10 多层内框架砖房的体系影响系数和局部影响系数,除参照多层砖房和钢筋混凝土框架的有关规定确定外,其纵向窗间墙的影响系数由局部影响系数改按整体影响系数对待。
多层内框架砖房的烈度影响系数,保持77、95鉴定标准的有关规定,取值与底层框架、底层内框架砖房相同;考虑框架承担一部分地震作用,基准面积率取值不同于多层砖房及底层框架、底层内框架砖房。
内框架楼层屈服强度系数的具体计算方法,与钢筋混凝土框架不同,见本标准附录C的说明。
7.3 B类内框架和底层框架砖房抗震鉴定
7.3 B类内框架和底层框架砖房抗震鉴定
(Ⅰ)抗震措施鉴定
7.3.1 房屋实际的最大高度和层数不宜超过表7.3.1规定的限值,超过最大限值时,应提高综合抗震能力的要求或提出采取改变结构体系等减灾措施。
表7.3.1 B类内框架和底层框架砖房最大高度(m)和层数限值

条文说明
7.3.1 本条同89设计规范关于内框架和底层框架房屋的高度,需要严格控制。
7.3.2 现有房屋的结构体系应符合下列规定:
1 抗震横墙的最大间距,应符合表7.3.2的要求。
表7.3.2 B类内框架和底层框架砖房抗震横墙的最大间距(m)

2 底层框架砖房的底层和第二层,应符合下列要求:
1)在纵横两个方向均应有一定数量的抗震墙,每个方向第二层与底层侧向刚度的比值,7度时不应大于3.0,8、9度时不应大于2.0,且不应小于1.0;抗震墙宜为钢筋混凝土墙,6、7度时可为嵌砌于框架间的砌体墙;当底层的墙体在平面布置不对称时,应计入扭转的不利影响;
2)底层框架不应为单跨;框架柱截面最小尺寸不宜小于400mm,其轴压比,7、8、9度时分别不宜大于0.9、 0.8、 0.7;
3)第二层的墙体宜与底层的框架梁对齐,在底层框架柱对应部位应有构造柱,其实测砂浆强度等级应高于第三层。
3 多层内框架砖房的纵向窗间墙宽度,不应小于1.5m;外墙上梁的搁置长度,不应小于300mm,梁应与圈梁连接。
条文说明
7.3.2 本条依据89设计规范关于结构体系的规定,加以归纳而成。特别增加了底框不能用单跨框架、严格控制轴压比和加强过渡层的检查要求。
7.3.3 底层框架和多层内框架砖房的砖抗震墙厚度不应小于240mm,砖实际达到的强度等级不应低于MU7.5;砌筑砂浆实际达到的强度等级,6、7度时不应低于M2.5,8、9度时不应低于M5;框架梁、柱实际达到的强度等级不应低于C20,9度时不应低于C30。
7.3.4 房屋的整体性连接构造应符合下列规定:
1 底层框架砖房的上部,应根据房屋的高度和层数按多层砖房的要求检查钢筋混凝土构造柱设置。多层内框架砖房的下列部位应有钢筋混凝土构造柱:
1)外墙四角和楼梯间、电梯间四角;
2)6度不低于五层时,7度不低于四层时,8度不低于三层时和9度时,抗震墙两端以及内框架梁在外墙的支承处(无组合柱时)。
2 底层框架砖房的底层楼盖和多层内框架砖房的屋盖,应有现浇或装配整体式钢筋混凝土板,采用装配式钢筋混凝土楼盖、屋盖的楼层,均应有现浇钢筋混凝土圈梁。
3 构造柱截面不宜小于240mm×240mm,纵向钢筋不宜少于4φ 14,箍筋间距不宜大于200mm。
条文说明
7.3.4 本条依据89设计规范关于结构构件整体性连接的规定,加以归纳而成。
(Ⅱ)抗震承载力验算
7.3.5 底层框架砖房和多层内框架砖房的抗震计算,可采用底部剪力法,应按现行国家标准《建筑抗震设计规范》GB 50011的规定调整地震作用效应,并按本标准第3.0.5条规定进行截面 抗震验算;当抗震构造不满足本标准第7.3.2~第7.3.4条的构造要求时,可按本标准第6.2节的方法计入构造的影响进行综合评价。其中,当构造柱的设置不满足本节的相关规定时,体系影响系数尚应根据不满足程度乘以0.8~0.95的系数。
7.3.6 多层内框架砖房各柱的地震剪力,可按下式确定:

式中 V c ——各柱的地震剪力设计值;
V——楼层地震剪力设计值;

——柱类型系数,钢筋混凝土内柱可采用0.012,外墙组合砖柱可采用0.0075,无筋砖柱(墙)可采用0.005;
n b ——抗震横墙间的开间数;
n s ——内框架的跨数;
λ ——抗震横墙间距与房屋总宽度的比值,当小于0.75时,采用0.75;
ζ 1 、ζ 2 ——分别为计算系数,可按表7.3.6采用。
表7.3.6 计 算 系 数

7.3.7 外墙砖柱的抗震验算,应符合下列要求:
1 无筋砖柱地震组合轴向力设计值的偏心距,不宜超过0.9倍截面形心到轴向力所在截面边缘的距离;承载力调整系数可采用0.9。
2 组合砖柱的配筋应按计算确定,承载力调整系数可采用0.85。
条文说明
7.3.5~7.3.7 依据89设计规范关于承载力验算的规定,加以归纳而成。
内框架房屋的抗侧力构件有砖墙及钢筋混凝土柱与砖柱组合的混合框架两类构件。砖墙弹性极限变形较小,在水平力作用下,随着墙面裂缝的发展,侧移刚度迅速降低;框架则具有相当大的延性,在较大变形情况下侧移刚度才开始下降,而且下降的速度较缓。
混合框架各种柱子在地震作用下的抗剪承载力验算公式,是考虑楼盖水平变形、高阶空间振型及砖墙刚度退化的影响,以及对不同横墙间距、不同层数的大量算例进行统计得到的。外墙砖壁柱的抗震验算规定,见现行国家标准《建筑抗震设计规范》GB 50011。
7.3.8 钢筋混凝土结构抗震等级的划分,底层框架砖房的框架和内框架均可按表6.3.1的框架结构采用,抗震墙可按三级采用。
条文说明
7.3.8 本条明确了内框架和底层框架房屋中混凝土结构部分的抗震等级。
8 单层钢筋混凝土柱厂房
8.1 一般规定
8 单层钢筋混凝土柱厂房
8.1 一般规定
8.1.1 本章适用于装配式单层钢筋混凝土柱厂房和混合排架厂房。
注:1 钢筋混凝土柱厂房包括由屋面板、三角刚架、双梁和牛腿柱组成的锯齿形厂房;
2 混合排架厂房指边柱列为砖柱、中柱列为钢筋混凝土柱的厂房。
条文说明
8.1.1 本章所适用的厂房为装配式结构,柱子为钢筋混凝土柱,屋盖为大型屋面板与屋架、屋面梁构成的无檩体系或槽板、槽瓦等屋面瓦与檩条、各种屋架构成的有檩体系。混合排架厂房中的钢筋混凝土结构部分也可适用。
8.1.2 抗震鉴定时,下列关键薄弱环节应重点检查:
1 6度时,应检查钢筋混凝土天窗架的形式和整体性,排架柱的选型,并注意出入口等处的高大山墙山尖部分的拉结。
2 7度时,除按上述要求检查外,尚应检查屋盖中支承长度较小构件连接的可靠性,并注意出入口等处的女儿墙、高低跨封墙等构件的拉结构造。
3 8度时,除按上述要求检查外,尚应检查各支撑系统的完整性、大型屋面板连接的可靠性、高低跨牛腿(柱肩)和各种柱变形受约束部位的构造,并注意圈梁、抗风柱的拉结构造及平面不规则、墙体布置不匀称等和相连建筑物、构筑物导致质量不均匀、刚度不协调的影响。
4 9度时,除按上述要求检查外,尚应检查柱间支撑的有关连接部位和高低跨柱列上柱的构造。
条文说明
8.1.2 本条是第3章概念鉴定在单层钢筋混凝土厂房的具体化。震害表明,装配式结构的整体性和连接的可靠性是影响其抗震性能的重要因素。机械厂房等在不同烈度下的震害是:
1 突出屋面的钢筋混凝土Ⅱ形天窗架,立柱的截面为T形,6度时竖向支撑处就有震害,8、9度时震害较普遍;
2 无拉结的女儿墙、封檐墙和山墙山尖等,6度则开裂、外闪,7度时有局部倒塌;位于出入口、披屋上部时危害更大;
3 屋盖构件中,屋面瓦与檩条、檩条与屋架(屋面梁)、钢天窗架与大型屋面板、锯齿形 厂房双梁与牛腿柱等的连接处,常因支承长度较小而连接不牢,7度时就有槽瓦滑落等震害,8度时檩条和槽瓦一起塌落;
4 大型屋面板与屋架的连接,两点焊与三点焊有很大差别,焊接不牢,8度时就有错位,甚至坠落;
5 屋架支撑系统、柱间支撑系统不完整,7度时震害不大,8、9度时就有较重的震害:屋盖倾斜、柱间支撑压曲、有柱间支撑的上柱柱头和下柱柱根开裂甚至酥碎;
6 高低跨交接部位,牛腿(柱肩)在6、7度时就出现裂缝,8、9度时普遍拉裂、劈裂;9度时其上柱的底部多有水平裂缝,甚至折断,导致屋架塌落;
7 柱的侧向变形受工作平台、嵌砌内隔墙、披屋或柱间支 撑节点的限制,8、9度时相关构件如柱、墙体、屋架、屋面梁、大型屋面板的破坏严重;
8 圈梁与柱或屋架、抗风柱柱顶与屋架拉结不牢,8、9度时可能带动大片墙体外倾倒塌,特别是山墙墙体的破坏使端排架因扭转效应而开裂折断,破坏更重;
9 8、9度时,厂房体型复杂、侧边贴建披屋或墙体布置使其质量不匀称、纵向或横向刚度不协调等,导致高振型影响、应力集中、扭转效应和相邻建筑的碰撞,加重了震害。
根据上述震害特征和规率,本条明确提出不同烈度下单层厂房可能发生严重破坏或局部倒塌时易伤人或砸坏相邻结构的关键薄弱环节,作为检查的重点。
汶川地震中发现整体性不好的排架柱厂房破坏严重,故在本次修订中增加了排架柱选型的要求。
各项具体的鉴定要求列于第8.2节和第8.3节。
8.1.3 厂房的外观和内在质量宜符合下列要求:
1 混凝土承重构件仅有少量微小裂缝或局部剥落,钢筋无露筋和锈蚀。
2 屋盖构件无严重变形和歪斜。
3 构件连接处无明显裂缝或松动。
4 无不均匀沉降。
5 无砖墙、钢结构构件的其他损伤。
8.1.4 A类厂房,应按本标准第8.2节的规定检查结构布置、构件构造、支撑、结构构件连接和墙体连接构造等;当检查的各项均符合要求时,一般情况下,可评为满足抗震鉴定要求,但对本标准第8.2.9条规定的情况,尚应结合抗震承载力验算进行综合抗震能力评定。
B类厂房,应按本标准第8.3节检查结构布置、构件构造、支撑、结构构件连接和墙体连接构造等,并应按本标准第8.3.9条的规定进行抗震承载力验算,然后评定其抗震能力。
当关键薄弱环节不符合本章规定时,应要求加固或处理;一般部位不符合规定时,可根据不符合的程度和影响的范围,提出相应对策。
条文说明
8.1.4 厂房的抗震能力评定,既要考虑构造,又要考虑承载力;根据震害调查和分析,规定多数A类单层钢筋混凝土柱厂房不需进行抗震承载力验算,这是又一种形式的分级鉴定方法。详见图5。

对检查结果进行综合分析时,先对不符合鉴定要求的关键薄弱部位提出加固或处理意见,是提高厂房抗震安全性的经济而有效的措施;一般部位的构造、抗震承载力不符合鉴定要求时,则根据具体情况的分析判断,采取相应对策。例如,考虑构造不符合鉴定要求的部位和程度,对其抗震承载力的鉴定要求予以适当调整,再判断是否加固。
本条增加了B类厂房评定抗震能力的具体原则。
8.1.5 混合排架厂房的砖柱,应符合本标准第9章的有关规定。
8.2 A类厂房抗震鉴定
8.2 A类厂房抗震鉴定
(Ⅰ)抗震措施鉴定
8.2.1 厂房现有的结构布置应符合下列规定:
1 8、9度时,厂房侧边贴建的生活间、变电所、炉子间和运输走廊等附属建筑物、构筑物,宜有防震缝与厂房分开;当纵横跨不设缝时应提高鉴定要求。防震缝宽度,一般情况宜为50~90mm,纵横跨交接处宜为100~150mm。
2 突出屋面天窗的端部不应为砖墙承重;8、9度时,厂房两端和中部不应为无屋架的砖墙承重,锯齿形厂房的四周不应为砖墙承重。
3 8、9度时,工作平台宜与排架柱脱开或柔性连接。
4 8、9度时,砖围护墙宜为外贴式,不宜为一侧有墙另一侧敞开或一侧外贴而另一侧嵌砌等,但单跨厂房可两侧均为嵌砌式。
5 8、9度时仅一端有山墙厂房的敞开端和不等高厂房高跨的边柱列等存在扭转效应时,其内力增大部位的构造鉴定要求应适当提高。
条文说明
8.2.1 本条主要是8、9度时对结构布置的鉴定要求,包括:主体结构刚度、质量沿平面分布基本均匀对称、沿高度分布无突变的规则性检查,变形缝及其宽度、砌体墙和工作平台的布置及受力状态的检查等。
1 根据震害总结,比77鉴定标准增加了防震缝宽度的鉴定要求;
2 砖墙作为承重构件,所受地震作用大而承载力和变形能力低,在钢筋混凝土厂房中是不利的;7度时,承重的天窗砖端壁就有倒塌,8度时,排架与山墙、横墙混合承重的震害也较重;
3 当纵向外墙为嵌砌砖墙而中柱列为柱间支撑,或一侧有墙另一侧敞口,或一侧为外贴式另一侧为嵌砌式,均属于纵向各柱列刚度明显不协调的布置;
4 厂房仅一端有山墙或纵向为一侧敞口,以及不等高厂房等,凡不同程度地存在扭转效应问题时,其内力增大部位的鉴定要求需适当提高。
对纵横跨不设缝的情况,本次修订明确应提高鉴定要求。
8.2.2 厂房构件的形式应符合下列规定:
1 现有的钢筋混凝土Ⅱ形天窗架,8度Ⅰ、Ⅱ类场地在竖向支撑处的立柱及8度Ⅲ、Ⅳ类场地和9度时的全部立柱,不应为T形截面;当不符合时,应采取加固或增加支撑等措施。
2 现有的屋架上弦端部支承屋面板的小立柱,截面两个方向的尺寸均不宜小于200mm,高度不宜大于500mm;小立柱的主筋,7度有屋架上弦横向支撑和上柱柱间支撑的开间处不宜小于4φ 12,8、9度时不宜小于4φ 14;小立柱的箍筋间距不宜大于100mm。
3 现有的组合屋架的下弦杆宜为型钢;8、9度时,其上弦杆不宜为T形截面。
4 钢筋混凝土屋架上弦第一节间和梯形屋架现有的端竖杆的配筋,9度时不宜小于4φ 14。
5 对薄壁工字形柱、腹板大开孔工字形柱、预制腹板的工字形柱和管柱等整体性差或抗剪能力差的排架柱(包括高大山墙的抗风柱)的构造鉴定要求应适当提高。
8、9度时,排架柱柱底至室内地坪以上500mm范围内和阶形柱上柱自牛腿面至吊车梁顶面以上300mm范围内的截面宜为矩形。
6 8、9度时,山墙现有的抗风砖柱应有竖向配筋。
条文说明
8.2.2 不利于抗震的构件形式,除了Ⅱ形天窗架立柱、组合屋架上弦杆为T形截面外,参照设计规范,比77鉴定标准增加了对排架上柱、柱根及支承屋面板小立柱的截面形式进行鉴定的要求。
薄壁工字形柱、腹杆大开孔工字形柱和双肢管柱,在地震中容易变为两个肢并联的柱,受弯承载力大大降低。鉴定时着重检查其两个肢连接的可靠性,或进行相应的抗震承载力验算。
鉴于汶川地震中薄壁双肢柱厂房大量倒塌,适当提高了这类厂房的鉴定要求。
8.2.3 屋盖现有的支撑布置和构造应符合下列规定:
1 屋盖支撑布置应符合表8.2.3-1~表8.2.3-3的规定;缺支撑时应增设。

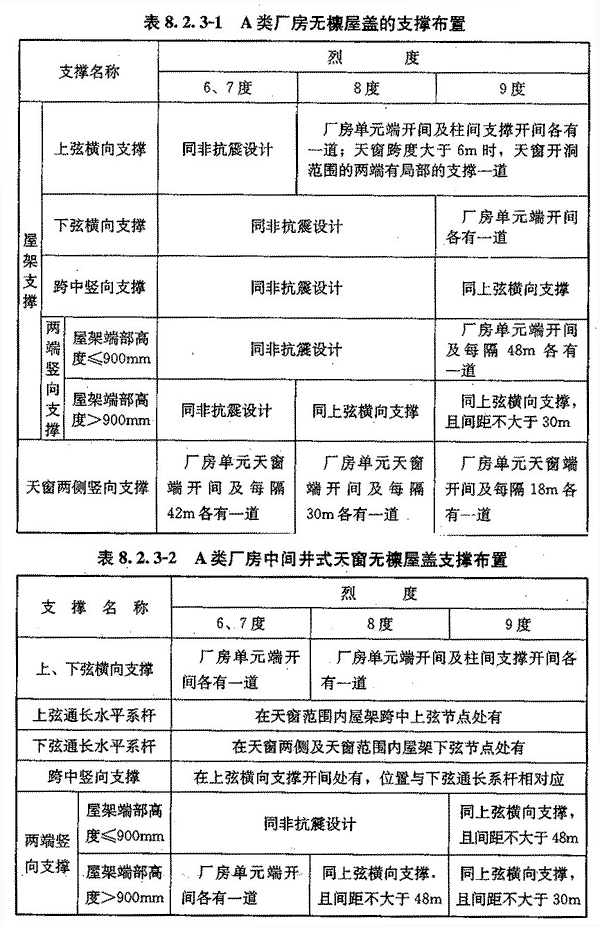
2 屋架支撑布置尚应符合下列要求:
1)厂房单元端开间有天窗时,天窗开洞范围内相应部位的屋架支撑布置要求应适当提高;
2)8~9度时,柱距不小于12m的托架(梁)区段及相邻柱距段的一侧(不等高厂房为两侧)应有下弦纵向水平支撑;
3)拼接屋架(屋面梁)的支撑布置要求,应按本标准第8.2.3条第1款的规定适当提高;
4)锯齿形厂房的屋面板之间用混凝土连成整体时,可无上弦横向支撑;
5)跨度不大于15m的无腹杆钢筋混凝土组合屋架,厂房单元两端应各有一道上弦横向支撑,8度时每隔36m、9度时每隔24m尚应有一道;屋面板之间用混凝土连成整体时,可无上弦横向支撑。

3 锯齿形厂房三角形刚架立柱间的竖向支撑布置,应符合表8.2.3-4的规定。

4 屋盖支撑的构造尚应符合下列要求:
1)7~9度时,上、下弦横向支撑和竖向支撑的杆件应为型钢;
2)8~9度时,横向支撑的直杆应符合压杆要求,交叉杆在交叉处不宜中断,不符合时应加固;
3)8度时Ⅲ、Ⅳ类场地跨度大于24m和9度时,屋架上弦横向支撑宜有较强的杆件和较牢的端节点构造。
条文说明
8.2.3 设置屋盖支撑是使装配式屋盖形成整体的重要构造措施。支撑布置的鉴定要求,与95鉴定标准相同。
屋盖支撑布置的非抗震要求,可按标准图或有关的构造手册确定。大致包括:
1 跨度大于18m或有天窗的无檩屋盖,厂房单元或天窗开洞范围内,两端有上弦横向支撑;
2 抗风柱与屋架下弦相连时,厂房单元两端有下弦横向支撑;
3 跨度为18~30m时在跨中,跨度大于30m时在其三等分处,厂房单元两端有竖向支撑,其余柱间相应位置处有下弦水平系杆;
4 屋架端部高度大于1m时,厂房单元两端的屋架端部有竖向支撑,其余柱间在屋架支座处有水平压杆;
5 天窗开洞范围内,屋架脊节点处有通长水平系杆。
8.2.4 现有排架柱的构造应符合下列规定:
1 7度时Ⅲ、Ⅳ类场地和8、9度时,有柱间支撑的排架柱,柱顶以下500mm范围内和柱底至设计地坪以上500mm范围内,以及柱变位受约束的部位上下各300mm的范围内,箍筋直径不宜小于φ 8,间距不宜大于100mm,当不符合时应加固。
2 8度时Ⅲ、Ⅳ类场地和9度时,阶形柱牛腿面至吊车梁顶面以上300mm范围内,箍筋直径小于φ 8或间距大于100mm时宜加固。
3 支承低跨屋架的中柱牛腿(柱肩)中,承受水平力的纵向钢筋应与预埋件焊牢。
条文说明
8.2.4 排架柱的箍筋构造对其抗震能力有重要影响,其规定与95鉴定标准相同,主要包括:
1 有柱间支撑的柱头和柱根,柱变形受柱间支撑、工作平台、嵌砌砖墙或贴砌披屋等约束的各部位;
2 柱截面突变的部位;
3 高低跨厂房中承受水平力的支承低跨屋盖的牛腿(柱肩)。
8.2.5 现有的柱间支撑应为型钢,其布置应符合下列规定,当不符合时应增加支撑或采取其他相应措施:
1 7度时Ⅲ、Ⅳ类场地和8、9度时,厂房单元中部应有一道上下柱柱间支撑,8、9度时单元两端宜各有一道上柱支撑;单跨厂房两侧均有与柱等高且与柱可靠拉结的嵌砌纵墙,当墙厚不小于240mm,开洞所占水平截面不超过总截面面积的50%,砂浆强度等级不低于M2.5时,可无柱间支撑。
2 8度时跨度不小于18m的多跨厂房中柱和9度时多跨厂房各柱,柱顶应有通长水平压杆,此压杆可与梯形屋架支座处通长水平系杆合并设置,钢筋混凝土系杆端头与屋架间的空隙应采用混凝土填实;锯齿形厂房牛腿柱柱顶在三角刚架的平面内,每隔24m应有通长水平压杆。
3 7度Ⅲ、Ⅳ类场地和8度时Ⅰ、Ⅱ类场地,下柱柱间支撑的下节点在地坪以上时应靠近地面处;8度时Ⅲ、Ⅳ类场地和9度时,下柱柱间支撑的下节点位置和构造应能将地震作用直接传给基础。
条文说明
8.2.5 设置柱间支撑是增强厂房整体性的重要构造措施。其鉴定要求基本上与95鉴定标准相同。
根据震害经验,柱间支撑的顶部有水平压杆时,柱顶受力小,震害较轻,9度时边柱列在上柱柱间支撑的顶部应有水平压杆,8度时对中柱列有同样要求。
柱间支撑下节点的位置,烈度不高时,只要节点靠近地坪则震害较轻;高烈度时,则应使地震作用能直接传给基础。
8.2.6 厂房结构构件现有的连接构造应符合下列规定,不符合时应采取相应的加强措施:
1 7~9度时,檩条在屋架(屋面梁)上的支承长度不宜小于50mm,且与屋架(屋面梁)应焊牢,槽瓦等与檩条的连接件不应漏缺或锈蚀。
2 7~9度时,大型屋面板在天窗架、屋架(屋面梁)上的支承长度不宜小于50mm,8、9度时尚应焊牢。
3 7~9度时,锯齿形厂房双梁在牛腿柱上的支承长度,梁端为直头时不应小于120mm,梁端为斜头时不应小于150mm。
4 天窗架与屋架,屋架、托架与柱子,屋盖支撑与屋架,柱间支撑与排架柱之间应有可靠连接;6、7度时Ⅱ形天窗架竖向支撑与T形截面立柱连接节点的预埋件及8、9度时柱间支撑与柱连接节点的预埋件应有可靠锚固。
5 8、9度时,吊车走道板的支承长度不应小于50mm。
6 山墙抗风柱与屋架(屋面梁)上弦应有可靠连接。当抗风柱与屋架下弦相连接时,连接点应设在下弦横向支撑节点处。
7 天窗端壁板、天窗侧板与大型屋面板之间的缝隙不应为砖块封堵。
条文说明
8.2.6 厂房结构构件连接的鉴定要求,与95鉴定标准基本相同。
屋面瓦与檩条、檩条与屋架的连接不牢时,7度时就有震害。
钢天窗架上弦杆一般较小,使大型屋面板支承长度不足,应注意检查;8、9度时,增加了大型屋面板与屋架焊牢的鉴定要求。
柱间支撑节点的可靠连接,是使厂房纵向安全的关键。一旦焊缝或锚固破坏,则支撑退出工作,导致厂房柱列震害严重。
震害表明,山墙抗风柱与屋架上弦横向支撑节点相连最有效,鉴定时要注意检查。
8.2.7 黏土砖围护墙现有的连接构造应符合下列规定:
1 纵墙、山墙、高低跨封墙和纵横跨交接处的悬墙,沿柱高每隔10皮砖均应有2φ 6钢筋与柱(包括抗风柱)、屋架(包括屋面梁)端部、屋面板和天沟板可靠拉结。高低跨厂房的高跨封墙不应直接砌在低跨屋面上。
2 砖围护墙的圈梁应符合下列要求:
1)7~9度时,梯形屋架端部上弦和柱顶标高处应有现浇钢筋混凝土圈梁各一道,但屋架端部高度不大于900mm时可合并设置;
2)8、9度时,沿墙高每隔4~6m宜有圈梁一道。沿山墙顶应有卧梁并宜与屋架端部上弦高度处的圈梁连接;
3)圈梁与屋架或柱应有可靠连接;山墙卧梁与屋面板应有拉结;顶部圈梁与柱锚拉的钢筋不宜少于4φ 12,变形缝处圈梁和柱顶、屋架锚拉的钢筋均应有所加强。
3 预制墙梁与柱应有可靠连接,梁底与其下的墙顶宜有拉结。
4 女儿墙可按照本标准第5.2.8条的规定,位于出入口、高低跨交接处和披屋上部的女儿墙不符合要求时应采取相应措施。
条文说明
8.2.7 黏土砖围护墙的鉴定要求,基本上与95鉴定标准相同。
突出屋面的女儿墙、高低跨封墙等无拉结,6度时就有震害。根据震害,增加了高低跨的封墙不宜直接砌在低跨屋面上的鉴定要求。
圈梁与柱或屋架需牢固拉结;圈梁宜封闭,变形缝处纵墙外甩力大,圈梁需与屋架可靠拉结。
根据震害经验并参照设计规范,增加了预制墙梁等的底面与其下部的墙顶宜加强拉结的鉴定要求。
8.2.8 砌体内隔墙的构造应符合下列规定:
1 独立隔墙的砌筑砂浆,实际达到的强度等级不宜低于M2.5;孔厚度为240mm时,高度不宜超过3m。
2 一般情况下,到顶的内隔墙与屋架(屋面梁)下弦之间不应有拉结,但墙体应有稳定措施;当到顶的内隔墙必须和屋架下弦相连时,此处应有屋架下弦水平支撑。
3 8、9度时,排架平面内的隔墙和局部柱列间的隔墙应与柱柔性连接或脱开,并应有稳定措施。
条文说明
8.2.8 内隔墙的鉴定要求,基本上与95鉴定标准相同。
到顶的横向内隔墙不得与屋架下弦杆拉结,以防其对屋架下弦的不利影响。
嵌砌的内隔墙应与排架柱柔性连接或脱开,以减少其对排架柱的不利影响。
(Ⅱ)抗震承载力验算
8.2.9 A类厂房的抗震承载力验算,应符合下列规定:
1 下列情况的A类厂房,应进行抗震验算:
1)8、9度时,厂房的高低跨柱列;支承低跨屋盖的牛腿(柱肩);双向柱距不小于12m、无桥式吊车且无柱间支撑的大柱网厂房;高大山墙的抗风柱;9度时,还应验算排架柱;
2)8、9度时,锯齿形厂房的牛腿柱;
3)7度Ⅲ、Ⅳ类场地和8度时结构体系复杂或改造较多的其他厂房。
2 上述钢筋混凝土柱厂房可按现行国家标准《建筑抗震设计规范》GB 50011的规定进行纵、横向的抗震计算,并可按本标准第3.0.5条的规定进行构件抗震承载力验算。
条文说明
8.2.9 鉴于高大山墙的抗风柱在唐山地震、汶川地震中均有破坏,故适当提高鉴定要求。根据震害并参照设计规范,略比95鉴定标准扩大了抗震验算范围:
1 8度高大山墙的抗风柱;
2 7度Ⅲ、Ⅳ类场地和8度时结构体系复杂或改造较多的其他厂房。
鉴定时验算方法按设计规范,但采用鉴定的承载力调整系数γRa替代抗震设计的承载力抗震调整系数γRE,以保持95鉴定标准的水准。
8.3 B类厂房抗震鉴定
8.3 B类厂房抗震鉴定
(Ⅰ)抗震措施鉴定
8.3.1 厂房的平面布置应符合下列规定:
1 厂房角部不宜有贴建房屋,厂房体型复杂或有贴建房屋时,宜有防震缝;防震缝宽度,一般情况宜为50~90mm,纵横跨交接处宜为100~150mm。
2 6~8时突出屋面的天窗宜采用钢天窗架或矩形截面杆件的钢筋混凝土天窗架;9度时,宜为下沉式天窗或突出屋面钢天窗架。天窗屋盖与端壁板宜为轻型板材;天窗架宜从厂房单元端部第三柱间开始设置。
3 厂房跨度大于24m,或8度Ⅲ、Ⅳ类场地和9度时,屋架宜为钢屋架;柱距为12m时,可为预应力混凝土托架。端部宜有屋架,不宜用山墙承重。
4 砖围护墙宜为外贴式,不宜为一侧有墙另一侧敞开或一侧外贴而另一侧嵌砌等,但单跨厂房可两侧均为嵌砌式。
条文说明
8.3.1 本条主要采用89抗规的要求,并根据01抗规的要求对9度时的屋架、天窗架选型增加了鉴定要求。
8.3.2 厂房现有构件的形式应符合下列规定:
1 现有的屋架上弦端部支承屋面板的小立柱截面不宜小于200mm×200mm,高度不宜大于500mm;小立柱的主筋,6~7度时不宜小于4 φ 12,8~9度时不宜小于4φ 14;小立柱的箍筋间距不宜大于100mm。
2 钢筋混凝土屋架上弦第一节间和梯形屋架现有的端竖杆的配筋,6~7度时不宜小于4φ 12,8~9度时不宜小于4φ 14。梯形屋架的端竖杆截面宽度宜与上弦宽度相同。
3 8、9度时,不宜有腹板大开孔或预制腹板的工字形柱等整体性差或抗剪能力差的排架柱(包括高大山墙的抗风柱)。排架柱柱底至室内地坪以上500mm范围内和阶形柱的上柱宜为矩形。
条文说明
8.3.2 本条主要采用89抗规的要求。对于薄壁工字形柱、腹杆大开孔工字形柱、预制腹板的工字形柱和管柱等,在地震中容易变为两个肢并联的柱,受弯承载力大大降低,明确不宜采用。
8.3.3 屋盖现有的支撑布置和构造应符合下列规定:
1 屋盖支撑符合表8.3.3-1~表8.3.3-3的规定;缺支撑时应增设。


2 屋架支撑布置和构造尚应符合下列要求:
1)8~9度时跨度不大于15m的薄腹梁无檩屋盖,可仅在厂房单元两端各有竖向支撑一道;
2)上、下弦横向支撑和竖向支撑的杆件应为型钢;
3)8~9度时,横向支撑的直杆应符合压杆要求,交叉杆在交叉处不宜中断,不符合时应加固;
4)柱距不小于12m的托架(梁)区段及相邻柱距段的一侧(不等高厂房为两侧)应有下弦纵向水平支撑。

条文说明
8.3.3 屋盖支撑布置主要采用89抗规的要求。根据01抗规,适当增加了鉴定要求,大致包括:
1 8度时,天窗跨度≥9m时,厂房单元天窗端开间及柱间支撑开间宜各有一道天窗上弦横向支撑;
2 9度时,厂房单元天窗端开间及柱间支撑开间宜各有一道天窗上弦横向支撑。
8.3.4 现有排架柱的构造与配筋应符合下列规定:
1 下列范围内排架柱的箍筋间距不应大于100mm,最小箍筋直径应符合表8.3.4的规定。当不满足时应加固:
1)柱顶以下500mm,并不小于柱截面长边尺寸;
2)阶形柱牛腿面至吊车梁顶面以上300mm;
3)牛腿或柱肩全高;
4)柱底至设计地坪以上500mm;
5)柱间支撑与柱连接节点和柱变位受约束的部位上下各300mm。

2 支承低跨屋架的中柱牛腿(柱肩)中,承受水平力的纵向钢筋应与预埋件焊牢。6~7度时,承受水平力的纵向钢筋不应小于2φ 12,8度时不应小于2φ 14,9度时不应小于2φ 16。
条文说明
8.3.4 排架柱的箍筋构造采用89抗规的要求。
8.3.5 现有的柱间支撑应为型钢,其斜杆与水平面的夹角不宜大于55°。柱间支撑布置应符合下列规定,不符合时应增加支撑或采取其他相应措施:
1 厂房单元中部应有一道上下柱柱间支撑,有吊车或8~9度时,单元两端宜各有一道上柱支撑。
2 柱间支撑斜杆的长细比,不宜超过表8.3.5的规定。交叉支撑在交叉点应设置节点板,其厚度不应小于10mm,斜杆与该节点板应焊接,与端节点板宜焊接。

3 8度时跨度不小于18m的多跨厂房中柱和9度时多跨厂房各柱,柱顶应有通长水平压杆,此压杆可与梯形屋架支座处通长水平系杆合并设置,钢筋混凝土系杆端头与屋架间的空隙应采用混凝土填实。
4 下柱支撑的下节点位置和构造应能将地震作用直接传给基础。6~7度时,下柱支撑的下节点在地坪以上时应靠近地面处。
条文说明
8.3.5 柱间支撑设置基本采用89抗规的要求。根据震害,对于有吊车厂房,当地震烈度不大于7度,吊重不大于5t的软钩吊车,上柱高度不大于2m,上柱柱列能够传递纵向地震力时,也可以没有上柱支撑。
当单跨厂房跨度较小,可以采用砖柱或组合砖柱承重而采用钢筋混凝土柱承重,两侧均有与柱等高且与柱可靠拉结的嵌砌纵墙时,可按单层砖柱厂房鉴定。当两侧墙墙厚不小于 240mm,开洞所占水平截面不超过总截面面积的50%,砂浆强度等级不低于M2.5时,可无柱间支撑。
8.3.6 厂房结构构件现有的连接构造应符合下列规定,不符合时应采取相应的加强措施:
1 有檩屋盖的檩条在屋架(屋面梁)上的支承长度不宜小于50mm,且与屋架(屋面梁)应焊牢;双脊檩应在跨度1/3处相互拉结;槽瓦、瓦楞铁、石棉瓦等与檩条的连接件不应漏缺或锈蚀。
2 大型屋面板应与屋架(屋面梁)焊牢,靠柱列的屋面板与屋架(屋面梁)的连接焊缝长度不宜小于80mm;6、7度时,有天窗厂房单元的端开间,或8、9度各开间,垂直屋架方向两侧相邻的大型屋面板的顶面宜彼此焊牢;8、9度时,大型屋面板端头底面的预埋件宜采用角钢,并与主筋焊牢。
3 突出屋面天窗架的侧板与天窗立柱宜用螺栓连接。
4 屋架(屋面梁)与柱子的连接,8度时宜为螺栓,9度时宜为钢板铰或螺栓;屋架(屋面梁)端部支承垫板的厚度不宜小于16mm;柱顶预埋件的锚筋,8度时宜为4φ 14,9度时宜为4φ 16,有柱间支撑的柱子,柱顶预埋件还应有抗剪钢板;柱间支撑与柱连接节点预埋件的锚件,8度Ⅲ、Ⅳ类场地和9度时,宜采用角钢加端板,其他情况可采用HRB335、HRB400钢筋,但锚固长度不应小于30倍锚筋直径。
5 山墙抗风柱与屋架(屋面梁)上弦应有可靠连接;当抗风柱与屋架下弦相连接时,连接点应设在下弦横向支撑节点处;此时,下弦横向支撑的截面和连接节点应进行抗震承载力验算。
条文说明
8.3.6 厂房结构构件连接的鉴定要求,基本采用89抗规的要求,参考现行抗震规范,增加了抗风柱与屋架下弦相连接时的鉴定要求。
8.3.7 黏土砖围护墙现有的连接构造应符合下列规定:
1 纵墙、山墙、高低跨封墙和纵横跨交接处的悬墙,沿柱高每隔不大于500mm均应有2φ 6钢筋与柱(包括抗风柱)、屋架(包括屋面梁)端部、屋面板和天沟板可靠拉结。高低跨厂房的高跨封墙不应直接砌在低跨屋面上。
2 砖围护墙的圈梁应符合下列要求:
1)梯形屋架端部上弦和柱顶标高处应有现浇钢筋混凝土圈梁各一道,但屋架端部高度不大于900mm时可合并设置;
2)8、9度时,应按上密下疏的原则沿墙高每隔4m左右宜有圈粱一道。沿山墙顶应有卧梁并宜与屋架端部上弦高度处的圈梁连接,不等高厂房的高低跨封墙和纵横跨交接处的悬墙,圈梁的竖向间距应不大于3m;
3)圈梁宜闭合,当柱距不大于6m时,圈梁的截面宽度宜与墙厚相同,高度不应小于180mm,其配筋,6~8度时不应少于4φ 12,9度时不应少于4φ 14;厂房转角处柱顶圈梁在端开间范围内的纵筋,6~8度时不宜小于4φ 14,9度时不应少于4φ 16,转角两侧各1m范围内的箍筋直径不宜小于φ 8,间距不宜大于100mm;各圈梁在转角处应有不少于3根且直径与纵筋相同的水平斜筋;
4)圈梁与屋架或柱应有可靠连接;山墙卧粱与屋面板应有拉结;顶部圈梁与柱锚拉的钢筋不宜少于4φ 12,且锚固长度不宜少于35倍钢筋直径;变形缝处圈梁和柱顶、屋架锚拉的钢筋均应有所加强。
3 墙梁宜采用现浇;当采用预制墙梁时,预制墙梁与柱应有可靠连接,梁底与其下的墙顶宜有拉结;厂房转角处相邻的墙梁,应相互可靠连接。
4 女儿墙可按照本标准第5.2.8条的规定检查,位于出入口、高低跨交接处和披屋上部的女儿墙不符合要求时应采取相应措施。
条文说明
8.3.7 黏土砖围护墙的鉴定要求,基本采用89抗规的要求。根据震害和现行抗震设计规范,修订了部分文字,主要内容如下:
1 高低跨封墙和纵横向交接处的悬墙,增加了圈梁的鉴定要求;
2 明确了圈梁截面和配筋要求主要针对柱距为6m厂房;
3 变形缝处圈梁和屋架锚拉的钢筋应有所加强;
8.3.8 砌体内隔墙的构造应符合下列规定:
1 独立隔墙的砌筑砂浆,实际达到的强度等级不宜低于M2.5。
2 到顶的内隔墙与屋架(屋面梁)下弦之间不应有拉结,但墙体应有稳定措施。
3 隔墙应与柱柔性连接或脱开,并应有稳定措施,顶部应有现浇钢筋混凝土压顶梁。
条文说明
8.3.8 内隔墙的鉴定要求,基本采用89抗规的要求。
(Ⅱ)抗震承载力验算
8.3.9 6度和7度Ⅰ、Ⅱ类场地,柱高不超过10m且两端有山墙的单跨及等高多跨B类厂房(锯齿形厂房除外),当抗震构造措施符合本章规定时,可不进行截面抗震验算,其他B类厂房,均应按现行国家标准《建筑抗震设计规范》GB 50011的规定进行纵、横向的抗震计算,并可按本标准第3.0.5条的规定进行抗震承载力验算。
条文说明
8.3.9 对于B类厂房,鉴于89抗规与现行抗震设计规范相差不大,故承载力验算按现行规范采用。
9 单层砖柱厂房和空旷房屋
9.1 一般规定
9 单层砖柱厂房和空旷房屋
9.1 一般规定
9.1.1 本章适用于砖柱(墙垛)承重的单层厂房和砖墙承重的单层空旷房屋。
注:单层厂房包括仓库、泵房等,单层空旷房屋指剧场、礼堂、食堂等。
条文说明
9.1.1 本章适用的范围,主要是单层砖柱(墙垛)承重的砖柱厂房和砖墙承重的单层空旷房屋。混合排架厂房中的砖结构部分也可适用。
9.1.2 抗震鉴定时,影响房屋整体性、抗震承载力和易倒塌伤人的下列关键薄弱部位应重点检查:
1 6度时,应检查女儿墙、门脸和出屋面小烟囱和山墙山尖。
2 7度时,除按第1款检查外,尚应检查舞台口大梁上的砖墙、承重山墙。
3 8度时,除按第1、2款检查外,尚应检查承重柱(墙垛)、舞台口横墙、屋盖支撑及其连接、圈梁、较重装饰物的连接及相连附属房屋的影响。
4 9度时,除按第1~3款检查外,尚应检查屋盖的类型等。
注:单层砖柱厂房,6度时尚应重点检查变截面柱和不等高排架柱的上柱,7度时尚应检查与排架刚性连接但不到顶的砌体隔墙、封檐墙。 (自2022年4月1日起废止该条, 点击查看:新规《既有建筑鉴定与加固通用规范》GB 55021-2021 )
条文说明
9.1.2 本条是第3章概念鉴定在单层砖柱厂房和单层空旷砌体房屋的具体化。这类房屋的震害特征不同于多层砖房。根据其震害规律,提出了不同烈度下的薄弱部位,作为检查的重点。
本次修订增加了对山墙山尖、承重山墙的鉴定要求。
其中,仅属于单层砖柱厂房的要求,用“注”表示,未列入房屋建筑的强制性条文。
9.1.3 砖柱厂房和空旷房屋的外观和内在质量宜符合下列要求:
1 承重柱、墙无酥碱、剥落、明显裂缝、露筋或损伤。
2 木屋盖构件无腐朽、严重开裂、歪斜或变形,节点无松动。
3 混凝土构件符合本标准第6.1.3条的有关规定。
9.1.4 A类单层砖柱厂房,应按本标准第9.2章的规定检查结构布置、构件形式、材料强度、整体性连接和易损部位的构造等;当检查的各项均符合要求时,一般情况下可评为满足抗震鉴 定要求,但对本标准第9.2.7条规定的情况,尚应结合抗震承载力验算进行综合抗震能力评定。
B类砖柱厂房,应按本标准第9.4节检查结构布置、构件形式、材料强度、整体性连接和易损部位的构造等,并应按本标准第9.4. 7条的规定进行抗震承载力验算,然后评定其抗震能力。
当关键薄弱部位不符合本章规定时,应要求加固或处理;一般部位不符合规定时,可根据不符合的程度和影响的范围,提出相应对策。
条文说明
9.1.4 单层空旷房屋抗震能力的评定,同样要考虑构造和承载力这两个因素。
根据震害调查和分析,规定A类的多数单层砖柱厂房和空旷房屋不需进行抗震承载力验算,采用与单层钢筋混凝土柱厂房相同形式的分级鉴定方法。
对检查结果进行综合分析时,先对不符合鉴定要求的关键薄弱部位提出加固或处理意见,是提高厂房抗震安全性的经济而有效的措施;一般部位的构造、抗震承载力不符合鉴定要求时,则根据具体情况的分析判断,采取相应对策。
本次修订补充了B类单层砖柱厂房和单层空旷房屋抗震能力的评定方法。
9.1.5 单层空旷房屋,应根据结构布置和构件形式的合理性、构件材料实际强度、房屋整体性连接构造的可靠性和易损部位构件自身构造及其与主体结构连接的可靠性等,进行结构布置和构造的检查。
对A类空旷房屋,一般情况,当结构布置和构造符合要求时,应评为满足抗震鉴定要求;对有明确规定的情况,应结合抗震承载力验算进行综合抗震能力评定。
对B类空旷房屋,应检查结构布置和构造并按规定进行抗震承载力验算,然后评定其抗震能力。
当关键薄弱部位不符合规定时,应要求加固或处理;一般部位不符合规定时,应根据不符合 的程度和影响的范围,提出相应对策。 (自2022年4月1日起废止该条, 点击查看:新规《既有建筑鉴定与加固通用规范》GB 55021-2021 )
条文说明
9.1.5 本条列举了单层空旷房屋鉴定的具体项目,使其抗震鉴定的要求规范化。
9.1.6 砖柱厂房和空旷房屋的钢筋混凝土部分和附属房屋的抗震鉴定,应根据其结构类型分别按本标准相应章节的有关规定进行,但附属房屋与大厅或车间相连的部位,尚应符合本章的要求并计入相互的不利影响。
条文说明
9.1.6 单层空旷房屋的大厅与其附属房屋的结构类型不同,地震作用下的表现也不同。根据震害调查和分析,参照设计规范,规定单层砖柱厂房和空旷房屋与其附属房屋之间要考虑二者的相互作用。
9.2 A类单层砖柱厂房抗震鉴定
9.2 A类单层砖柱厂房抗震鉴定
(Ⅰ)抗震措施鉴定
9.2.1 单层砖柱厂房现有的结构布置和构件形式,应符合下列规定:
1 承重山墙厚度不应小于240mm,开洞的水平截面面积不应超过山墙截面总面积的50%。
2 8、9度时,砖柱(墙垛)应有竖向配筋。
3 7度时Ⅲ、Ⅳ场地和8、9度时,纵向边柱列应有与柱等高且整体砌筑的砖墙。
9.2.2 单层砖柱厂房现有的结构布置和构件形式,尚应符合下列规定:
1 多跨厂房为不等高时,低跨的屋架(梁)不应削弱砖柱截面。
2 有桥式吊车、或6~8度时跨度大于12m且柱顶标高大于6m、或9度时跨度大于9m且柱顶标高大于4m的厂房,应适当提高其抗震鉴定要求。
3 与柱不等高的砌体隔墙,宜与柱柔性连接或脱开。
4 9度时,不宜为重屋盖厂房;双曲砖拱屋盖的跨度,7、8、9度时分别不宜大于15m、12m和9m;拱脚处应有拉杆,山墙应有壁柱。
条文说明
9.2.1、9.2.2 结构布置的鉴定要求和95鉴定标准基本相同,主要内容有:
1 对砖柱截面沿高度变化的鉴定要求;对纵向柱列,在柱间需有与柱等高砖墙的鉴定要求;
2 房屋高度和跨度的控制性检查;
3 承重山墙厚度和开洞的检查;
4 钢筋混凝土面层组合砖柱、砖包钢筋混凝土柱的轻屋盖房屋在高烈度下震害轻微,保留了不配筋砖柱、重屋盖使用范围的限制;
5 设计合理的双曲砖拱屋盖本身震害是较轻的,但山墙及其与砖拱的连接部位有时震害明显;保留其跨度和山墙构造等的鉴定要求。
根据震害和正在修订的抗震规范的精神,对房屋高度和跨度规定得更严格一些。
9.2.3 砖柱(墙垛)的材料强度等级和配筋,应符合下列规定:
1 砖实际达到的强度等级,不宜低于MU7.5。
2 砌筑砂浆实际达到的强度等级,6、7度时不宜低于M1,8、9度时不宜低于M2.5。
3 8、9度时,竖向配筋分别不应少于4φ 10、4φ 12。
条文说明
9.2.3 根据震害调查和计算分析,为减少抗震承载力验算工作,保留了材料强度等级的最低鉴定要求,并根据震害保留了8、9度时砖柱要有配筋的鉴定要求。
9.2.4 单层砖柱厂房现有的整体性连接构造应符合下列规定:
1 屋架或大梁的支承长度不宜小于240mm,8、9度时尚应通过螺栓或焊接等与垫块连接;支承屋架(梁)的砖柱(墙垛)顶部应有混凝土垫块。
2 独立砖柱应在两个方向均有可靠连接;8度且房屋高度大于8m或9度且房屋高度大于6m时,在外墙转角及抗震内墙与外墙交接处,沿墙高每隔10皮砖应有2φ 6拉结钢筋,且每边伸入墙内不宜少于1m。
9.2.5 单层砖柱厂房现有的整体性连接构造,尚应符合下列规定:
1 木屋盖的支撑布置,宜符合表9.2.5的规定;波形瓦、瓦楞铁、石棉瓦等屋盖的支撑布置要求,可按照表9.2.5中无望板屋盖采用;钢筋混凝土屋盖的支撑布置要求,可按照本标准第8章的有关规定。

2 木屋盖的支撑与屋架、天窗架应为螺栓连接,6、7度时可为钉连接;对接檩条的搁置长度不应小于60mm,檩条在砖墙上的搁置长度不宜小于120mm。
3 8、9度时,支承钢筋混凝土屋盖的混凝土垫块宜有钢筋网片并与圈梁可靠拉结。
4 圈梁布置应符合下列要求:
1)7度时屋架底部标高大于4m和8、9度时,屋架底 部标高处沿外墙和承重内墙,均应有现浇闭合圈梁一道,并与屋架或大梁等可靠连接。
2)8度Ⅲ、Ⅳ类场地和9度,屋架底部标高大于7m时,沿高度每隔4m左右在窗顶标高处还应有闭合圈梁一道。
5 7度时,屋盖构件应与山墙可靠连接,山墙壁柱宜通到墙顶,8、9度时山墙顶尚应有钢筋混凝土卧梁;跨度大于10m且屋架底部标高大于4m时,山墙壁柱应通到墙顶,竖向钢筋应锚入卧梁内。
条文说明
9.2.4、9.2.5 房屋整体性连接的鉴定要求,与95鉴定标准相同,主要内容有:
1 保持了木屋盖的支撑布置要求、波形瓦等轻屋盖的鉴定要求;
2 7度时木屋盖震害极轻,保留了6、7度时屋盖构件的连接可采用钉接的要求;
3 屋架(梁)与砖柱(墙)的连接,要有垫块的鉴定要求;
4 山墙壁柱对房屋整体性能的影响较纵向柱列小,其连接要求保持了原标准的规定,比纵向柱列稍低;
5 保持了对独立砖柱、墙体交接处的连接要求。
9.2.6 房屋易损部位及其连接的构造,应符合下列规定:
1 7~9度时,砌筑在大梁上的悬墙、封檐墙应与梁、柱及屋盖等有可靠连接。
2 女儿墙等应符合本标准第5.2.8条第2款的有关规定。
条文说明
9.2.6 房屋易引起局部倒塌的部位,包括悬墙、封檐墙、女儿墙、顶棚等,其鉴定要求与95鉴定标准相同。
(Ⅱ)抗震承载力验算
9.2.7 A类单层砖柱厂房的下列部位,应按现行国家标准《建筑抗震设计规范》GB 50011的规定进行纵、横向抗震分析,并可按本标准第3.0.5条的规定进行结构构件的抗震承载力验算:
1 7度Ⅰ、Ⅱ场地,单跨或多跨等高且高度超过6m的无筋砖墙垛、高度超过4.5m的等截面无筋独立砖柱和混合排架房屋中高度超过4.5m的无筋砖柱及不等高厂房中的高低跨柱列。
2 7度Ⅲ、Ⅳ类场地的无筋砖柱(墙垛)。
3 8度时每侧纵筋少于3φ 10的砖柱(墙垛)。
4 9度时每侧纵筋少于3φ 12的砖柱(墙垛)和重屋盖房屋的配筋砖柱。
5 7~9度时开洞的水平截面面积超过截面总面积50%的山墙。
6 8、9度时,高大山墙的壁柱应进行平面外的截面抗震验算。
条文说明
9.2.7 试验研究和震害表明,砖柱的承载力验算只相当于裂缝出现阶段,到房屋倒塌还有一个发展过程。为简化鉴定时的验算,本条规定了较宽的不验算范围,基本保持95鉴定标准的规定。
根据震害和01抗规,增加了两种需要验算的情况:
1 对于单层砖柱厂房,山墙起到很大的作用,增加了鉴定要求;
2 增加了8、9度时高大山墙壁柱在平面外的鉴定要求。
A类单层砖柱厂房抗震承载力验算的方法,同01抗规。为保持95鉴定标准的水准,砖柱抗震鉴定的承载力调整系数γRa的取值同抗震设计的承载力抗震调整系数γRE。
9.3 A类单层空旷房屋抗震鉴定
9.3 A类单层空旷房屋抗震鉴定
(Ⅰ)抗震措施鉴定
9.3.1 A类单层空旷房屋的大厅,除应按本节的规定进行抗震鉴定外,其他要求应符合本标准第9.2节的有关规定检查;附属房屋的抗震鉴定,应按其结构类型按本标准相关章节的规定检查。
条文说明
9.3.1 本节仅规定单层空旷房屋的大厅及附属房屋相关的鉴定内容,与单层砖柱厂房和附属房屋自身结构类型有关的鉴定内容,均不再重复规定。
9.3.2 房屋现有的结构布置和构件形式,应符合下列规定:
1 大厅与前后厅之间不宜有防震缝;附属房屋与大厅相连,二者之间应有圈梁连接。
2 单层空旷房屋的大厅,支承屋盖的承重结构,9度时宜为钢筋混凝土结构。当7度时,有挑台或跨度大于21m或柱顶标高大于10m,8度时,有挑台或跨度大于18m或柱顶标高大于8m,宜为钢筋混凝土结构。
3 舞台后墙、大厅与前厅交接处的高大山墙,宜利用工作平台或楼层作为水平支撑。
条文说明
9.3.2 本条参照设计规范,对空旷房屋的结构体系提出了鉴定要求。
9.3.3 房屋现有的整体性连接构造应符合下列规定:
1 大厅的屋盖构造,应符合本标准第8章和弟9.2节的要求。
2 8、9度时,支承舞台口大梁的墙体应有保证稳定的措施。
3 大厅柱(墙)顶标高处应有现浇闭合圈梁一道,沿高度每隔4m左右在窗顶标高处还应有闭合圈梁一道。
4 大厅与相连的附属房屋,在同一标高处应有封闭圈梁并在交界处拉通。
5 山墙壁柱宜通到墙顶;8、9度时山墙顶尚应有钢筋混凝土卧梁,并与屋盖构件锚拉。
条文说明
9.3.3 本条规定了大厅及其与附属房屋连接整体性的要求。
房屋整体性连接的鉴定要求,与77鉴定标准相比有所调整:
1 保持了木屋盖的支撑布置要求,轻屋盖的震害很轻且类似于木屋盖,相应补充了波形瓦等轻屋盖的鉴定要求;
2 7度时木屋盖震害极轻,补充了6、7度时屋盖构件的连接可采用钉接的规定;
3 屋架(梁)与砖柱(墙)的连接,参照设计规范,提出要有垫块的鉴定要求;
4 圈梁对单层空旷房屋抗震性能的作用,与多层砖房相比有所降低,鉴定的要求保持了77鉴定标准的规定:柱顶增加闭合等要求,沿高度的要求稍有放宽;
5 山墙壁柱对房屋整体性能的影响较纵向柱列小,其连接要求保持了原标准的规定,比纵向柱列稍低;
6 保持了对独立砖柱的连接要求;但根据震害,对墙体交接处有配筋的鉴定要求有所放宽;
7 参照设计规范,提出了舞台口大梁有稳定支撑的鉴定要求。
9.3.4 房屋易损部位及其连接的构造,应符合下列规定:
1 8、9度时,舞台口横墙顶部宜有卧梁,并应与构造柱、圈梁、屋盖等构件有可靠连接。
2 悬吊重物应有锚固和可靠的防护措施。
3 悬挑式挑台应有可靠的锚固和防止倾覆的措施。
4 8、9度时,顶棚等宜为轻质材料。
5 女儿墙、高门脸等,应符合本标准第5.2.8条第2款的有关规定。
条文说明
9.3.4 房屋易引起局部倒塌的部位,包括舞台口横墙、悬吊重物、顶棚等,其鉴定要求与95鉴定标准相同。
(Ⅱ)抗震承载力验算
9.3.5 A类单层空旷房屋的下列部位,应按现行国家标准《建筑抗震设计规范》GB 50011的规定进行纵、横向抗震分析,并可按本标准第3.0.5条的规定进行结构构件的抗震承载力验算:
1 悬挑式挑台的支承构件。
2 8、9度时,高大山墙和舞台后墙的壁柱应进行平面外的截面抗震验算。
条文说明
9.3.5 本条规定了较宽的不验算范围,基本保持95鉴定标准的规定。根据震害和01抗规,增加了两种需要验算的情况:
1 对于单层空旷房屋,山墙起到很大的作用,增加了鉴定要求;
2 增加了8、9度时高大山墙壁柱在平面外的鉴定要求。
9.4 B类单层砖柱厂房抗震鉴定
9.4 B类单层砖柱厂房抗震鉴定
(Ⅰ)抗震措施鉴定
9.4.1 按B类要求进行抗震鉴定的单层砖柱厂房,宜为单跨、等高且无桥式吊车的厂房,6~8度时跨度不大于12m且柱顶标高不大于6m,9度时跨度不大于9m且柱顶标高不大于4m。
条文说明
9.4.1 本条主要采用89抗规的要求,并根据震害和正在修订的抗震规范的精神,对房屋高度和跨度规定得更严格一些。
9.4.2 砖柱厂房现有的平立面布置,宜符合本标准第8章的有关规定,但防震缝的检查宜符合下列要求:
1 轻型屋盖厂房,可没有防震缝。
2 钢筋混凝土屋盖厂房与贴建的建(构)筑物间宜有防震缝,其宽度可采用50~70mm。
3 防震缝处宜设有双柱或双墙。
注:本节轻型屋盖指木屋盖和轻钢屋架、瓦楞铁、石棉瓦屋面的屋盖。
条文说明
9.4.2 本条主要采用89抗规的要求,并结合01抗规增加了防震缝处宜设有双柱或双墙的鉴定要求。
9.4.3 厂房现有的结构体系,应符合下列要求:
1 6~8度时,宜为轻型屋盖,9度时,应为轻型屋盖。
2 6、7度时,可为十字形截面的无筋砖柱;8度Ⅰ、Ⅱ类场地时,宜为组合砖柱;8度Ⅲ、Ⅳ类场地和9度时,边柱应为组合砖柱,中柱应为钢筋混凝土柱。
3 厂房纵向独立砖柱柱列,可在柱间由与柱等高的抗震墙承受纵向地震作用,砖抗震墙应与柱同时咬槎砌筑,并应有基础;8度Ⅲ、Ⅳ类场地钢筋混凝土无檩屋盖厂房,无砖抗震墙的柱顶,应有通长水平压杆。
4 厂房两端均应有承重山墙。
5 横向内隔墙宜为抗震墙,非承重隔墙和非整体砌筑且不到顶的纵向隔墙宜为轻质墙,非轻质墙,应考虑隔墙对柱及其与屋架连接节点的附加地震剪力。
6 7度、8度和9度时,双曲砖拱的跨度分别不宜大于15m、12m和9m,砖拱的拱脚应有拉杆,并应锚固在钢筋混凝土圈梁内;地基为软弱黏性土、液化土、新近填土或严重不均匀土层时,不应采用双曲砖拱。
条文说明
9.4.3 本条基本采用89抗规的要求。根据01抗规,明确了烈度从低到高,可采用无筋砖柱、组合砖柱和钢筋混凝土柱,补充了非整体砌筑且不到顶的纵向隔墙宜采用轻质墙。
9.4.4 砖柱(墙垛)的材料强度等级,应符合下列规定:
1 砖实际达到的强度等级,不宜低于MU7.5。
2 砌筑砂浆实际达到的强度等级,不宜低于M2.5。
9.4.5 砖柱厂房现有屋盖的检查,应符合下列规定:
1 木屋盖的支撑布置,宜符合表9.4.5的要求。钢屋架、瓦楞铁、石棉瓦等屋面的支撑,可按表中无望板屋盖的规定检查;支撑与屋架、天窗架,应采用螺栓连接。


2 钢筋混凝土屋盖的构造鉴定要求,应符合本标准第8.3节的有关规定。
9.4.6 砖柱厂房现有的连接构造,应按下列规定检查:
1 柱顶标高处沿房屋外墙及承重内墙应有闭合圈梁,8、9度时还应沿墙每隔3~4m增设有圈梁一道,圈梁的截面高度不应小于180mm,配筋不应少于4φ 12;地基为软弱黏性土、液化土、新近填土或严重不均匀土层时,尚应有基础圈梁一道。
2 山墙沿屋面应有现浇钢筋混凝土卧梁,并应与屋盖构件锚拉;山墙壁柱的截面和配筋,不宜小于排架柱,壁柱应通到墙顶并与卧梁或屋盖构件连接。
3 屋架(屋面梁)与墙顶圈梁或柱顶垫块,应为螺栓连接或焊接;柱顶垫块的厚度不应小于240mm,并应有直径不小于φ 8、间距不大于100mm的钢筋网两层;墙顶圈梁应与柱顶垫块整浇,9度时,在垫块两侧各500mm范围内,圈粱的箍筋间距不应大于100mm。
条文说明
9.4.4~9.4.6 均采用89抗规的要求。
(Ⅱ)抗震承载力验算
9.4.7 6度和7度Ⅰ、Ⅱ类场地,柱顶标高不超过4.5m,且两端均有山墙的单跨及多跨等高B类砖柱厂房,当抗震构造措施符合本节规定时,可评为符合抗震鉴定要求,不进行抗震验算。其他情况,应按现行国家标准《建筑抗震设计规范》GB 50011的规定进行纵、横向抗震分析,并可按本标准第3.0.5条的规定进行结构构件的抗震承载力验算。
条文说明
9.4.7 B类单层砖结构厂房抗震承载力验算的范围,采用89抗规的要求。鉴于89抗规与01抗规相差不大,故可按01抗规的方法验算其抗震承载力。
9.5 B类单层空旷房屋抗震鉴定
9.5 B类单层空旷房屋抗震鉴定
(Ⅰ)抗震措施鉴定
9.5.1 单层空旷房屋的结构布置,应按下列要求检查:
1 单层空旷房屋的大厅,支承屋盖的承重结构,9度时应为钢筋混凝土结构。当7度时,有挑台或跨度大于21m或柱顶标高大于10m,8度时,有挑台或跨度大于18m或柱顶标高大于8m,应为钢筋混凝土结构。
2 舞台口的横墙,应符合下列要求:
1)舞台口横墙两侧及墙两端应有构造柱或钢筋混凝土柱;
2)舞台口横墙沿大厅屋面处应有钢筋混凝土卧梁,其截面高度不宜小于180mm,并应与屋盖构件可靠连接;
3)6~8度时,舞台口大梁上的承重墙应每隔4m有一根立柱,并应沿墙高每隔3m有一道圈梁;立柱、圈梁的截面尺寸、配筋及其与墙体的拉结等应符合多层砌体房屋的要求;
4)9度时,舞台口大梁上不应由砖墙承重。
9.5.2 单层空旷房屋的结构布置,尚应按下列要求检查:
1 大厅和前后厅之间不宜有防震缝,大厅与两侧附属房屋之间可没有防震缝,但应加强相互之间的连接。
2 大厅的砖柱宜为组合柱,柱上端钢筋应锚入屋架底部的钢筋混凝土圈梁内;组合柱的纵向钢筋,应按计算确定,且6度Ⅲ、Ⅳ类场地和7度时,不应少于4φ 12,8度和9度时,不应少于6φ 14。
9.5.3 空旷房屋的实际材料强度等级,应符合下列规定:
1 砖实际达到的强度等级,不宜低于MU7.5。
2 砌筑砂浆实际达到的强度等级,不宜低于M2.5。
3 混凝土材料实际达到的强度等级,不应低于C20。
9.5.4 单层空旷房屋的整体性连接,应按下列要求检查:
1 大厅柱(墙)顶标高处应有现浇圈梁,并宜沿墙高每隔3m左右有一道圈梁,梯形屋架端部高度大于900mm时还应在上弦标高处有一道圈梁;其截面高度不宜小于180mm,宽度宜与墙厚相同,配筋不应少于4φ 12,箍筋间距不宜大于200mm。
2 大厅与附属房屋不设防震缝时,应在同一标高处设置有封闭圈梁并在交接处拉通,墙体交接处应沿墙高每隔不大于500mm有2φ 6拉结钢筋,且每边伸入墙内不宜小于1m。
3 悬挑式挑台应有可靠的锚固和防止倾覆的措施。
9.5.5 单层空旷房屋的易损部位,应按下列要求检查:
1 山墙应沿屋面设有钢筋混凝土卧梁,并应与屋盖构件锚拉,山墙应设有构造柱或组合砖柱,其截面和配筋分别不宜小于排架柱或纵墙砖柱,并应通到山墙的顶端与卧梁连接。
2 舞台后墙、大厅与前厅交接处的高大山墙,应利用工作平台或楼层作为水平支撑。
9.5.6 大厅的屋盖构造,以及大厅的其他鉴定要求,可按本标准第8.3节和第9.4节的相关要求检查。
条文说明
9.5.1~9.5.6 基本采用89抗规的要求,仅从鉴定的角度,对文字表达做了修改。
(Ⅱ)抗震承载力验算
9.5.7 B类单层空旷房屋,应按现行国家标准《建筑抗震设计规范》GB 50011的规定进行纵、横向抗震分析,并可按本标准第3.0.5条的规定进行结构构件的抗震承载力验算。
条文说明
9.5.7 B类单层空旷房屋抗震承载力验算,采用89抗规的要求。鉴于89抗规与01抗规相差不大,故可按01抗规的方法验算其抗震承载力。
10 木结构和土石墙房屋
10.1 木结构房屋
10 木结构和土石墙房屋
10.1 木结构房屋
(Ⅰ)一般规定
10.1.1 本节主要适用于屋盖、楼盖以及支承柱均由木材制作的下列中、小型木结构:
1 6~8度时,不超过二层的穿斗木构架、旧式木骨架、木柱木屋架房屋和康房,单层的柁木檩架房屋。
2 9度时,不超过二层的穿斗木构架房屋、康房和单层的旧式木骨架房屋,不包括木柱木屋架和柁木檩架房屋。
注:1 旧式木骨架房屋指由檩、柁(梁)、柱组成承重木骨架和砖围护墙的房屋;
2 柁木檩架指农村中构件截面较小的木柁架;
3 木柱和砖墙柱混合承重的房屋,砖砌体部分可按照本标准第9章的有关要求鉴定;
4 康房系藏族地区的木构架房屋;一般为二层,底层为辅助用房,二层居住。
条文说明
10.1.1 本节适用范围主要是村镇的中、小型木结构房屋。按抗震性能的优劣排列,依次为穿斗木构架、旧式木骨架、木柱木屋架、柁木檩架房屋和康房等五类;适用的层数包括了现有房屋的一般情况。
10.1.2 抗震鉴定时,承重木构架、楼盖和屋盖的质量(品质)和连接、墙体与木构架的连接、房屋所处场地条件的不利影响,应重点检查。
条文说明
10.1.2 木结构房屋要检查所处的场地条件,主要依据日本的统计资料:不利地段,冲积层厚度大于30m、回填土厚度大于4m及地表水、地下水容易集积或地下水位高的场地,都能加重震害。
10.1.3 木结构房屋以抗震构造鉴定为主,可不作抗震承载力验算。8、9度时Ⅳ类场地的房屋应适当提高抗震构造要求。
条文说明
10.1.3 与95鉴定标准相同,木结构房屋可不进行抗震承载力验算。
10.1.4 木结构房屋的外观和内在质量宜符合下列要求:
1 柱、梁(柁)、屋架、檩、椽、穿枋、龙骨等受力构件无明显的变形、歪扭、腐朽、蚁蚀、影响受力的裂缝和弊病。
2 木构件的节点无明显松动或拔榫。
3 7度时,木构架倾斜不应超过木柱直径的1/3,8、9度时不应有歪闪。
4 墙体无空鼓、酥碱、歪闪和明显裂缝。
10.1.5 木结构房屋抗震鉴定时,尚应按有关规定检查其地震时的防火问题。
条文说明
10.1.5 木结构抗震鉴定时考虑的防火问题,主要是次生灾害。
(Ⅱ)A类木结构房屋
10.1.6 旧式木骨架的布置和构造应符合下列要求:
1 8度时,无廊厦的木构架,柱高不应超过3m,超过时木柱与柁(梁)应有斜撑连接;9度时,木构架房屋应有前廊或兼有后厦(横向为三排柱或四排柱),檩下应有垫板和檩枋。
2 构造形式应合理,不应有悠悬柁架或无后檐檩(图10.1.6-1a),瓜柱高于0.7m的腊钎瓜柱柁架(图10.1.6-1b)、 柁与柱为榫接的五檩柁架(图10.1.6-1c)和无连接措施的接柁(图10.1.6-1d);

3 木构件的常用截面尺寸宜符合本标准附录G的规定。
4 木柱的柱脚与砖墩连接时,墩的高度不宜大于300mm,且砂浆强度等级不应低于M2.5;8、9度无横墙处的柱脚为拍巴掌榫墩接时,榫头处应有竖向连接铁件(图10.1.6-2);9度时木柱与柱础(基石)应有可靠连接。

5 通天柱与大梁榫接处、被楼层大梁间断的柱与梁相交处,均应有铁件连接。
6 檩与椽、柁(梁),龙骨与大梁、楼板应钉牢;对接檩下应有替木或爬木,并与瓜柱钉牢或为燕尾榫。
7 檩在瓜柱上的支承长度,6、7度时不应小于60mm,8、9度时不应小于80mm。
8 楼盖的木龙骨间应有剪刀撑,龙骨在大梁上的支承长度不应小于80mm。
10.1.7 木柱木屋架的布置和构造应符合下列要求:
1 梁柱布置不应零乱,并宜有排山架。
2 木屋架不应为无下弦的人字屋架。
3 柱顶在两个方向均应有可靠连接;被木梁间断的木柱与梁应有铁件连接;8度时,木柱上部与屋架的端部宜有角撑,多跨房屋的边跨为单坡时,中柱与屋架下弦间应有角撑或铁件连接,角撑与木柱的夹角不宜小于30°,柱底与基础应有铁件锚固。
4 柱顶宜有通长水平系杆,房屋两端的屋架间应有竖向支撑;房屋长度大于30m时,在中段且间隔不大于20m的柱间和屋架间均应有支撑;跨度小于9m且有密铺木望板或房屋长度小于25m且呈四坡顶时,屋架间可无支撑。
5 檩与椽和屋架,龙骨与大梁和楼板应钉牢;对接檩下方应有替木或爬木;对接檩在屋架上的支承长度不应小于60mm。
6 木构件在墙上的支承长度,对屋架和楼盖大梁不应小于250mm,对接檩和木龙骨不应小于120mm。
7 屋面坡度超过30°时,瓦与屋盖应有拉结;坐泥挂瓦的坡屋面,坐泥厚度不宜大于60mm。
10.1.8 柁木檩架的布置和构造应符合下列要求:
1 房屋的檐口高度,6、7度时不宜超过2.9m,8度时不宜超过2.7m。
2 柁(梁)与柱之间应有斜撑;房屋宜有排山架,无排山架时山墙应有足够的承载能力。
3 瓜柱直径,6、7度时不宜小于120mm,8度时不宜小于140mm。
4 檩与椽和柁(梁)应钉牢;对接檩下方应有替木或爬木,并与瓜柱钉牢或为燕尾榫。
5 檩条支承在墙上时,檩下应有垫木或卧泥垫砖;檩在柁(梁)或墙上的最小支承长度应符合表10.1.8的规定。

6 房屋的屋顶草泥(包括焦渣等)厚度,6、7度时不宜大于150mm,8度时不宜大于100mm。
10.1.9 穿斗木构架在纵横两方向均应有穿枋,梁柱节点宜为银锭榫,木柱被榫槽减损的截面面积不宜大于全截面的1/3;9度时,纵向柱间在楼层内的穿枋不应少于两道且应有1~2道斜撑。
10.1.10 康房的底层立柱应有稳定措施;8、9度时,柱间应有斜撑或轻质抗震墙;木柱应有基础,上柱柱脚与楼盖间应有可靠连接。
注:轻质抗震墙指由承重木构架与斜撑、木隔墙等组成的抗侧力构架。
条文说明
10.1.6~10.1.10 这几条按旧式木骨架、木柱木屋架、柁木檩架、穿斗木构架和康房的顺序分别列出该类房屋木构架的布置和构造的鉴定要求,是95鉴定标准有关规定的整理。
穿斗木构架的梁柱节点,用银锭榫连接可防止拔榫或脱榫;传统的做法,纵向多为平榫连接且檩条浮搁,导致纵向震害严重,高烈度时要着重检查、处理。
针对康房的特点,提出柱间有斜撑或轻质抗震墙的鉴定要求。
10.1.11 旧式木骨架、木柱木屋架房屋的墙体应符合下列要求:
1 厚度不小于240mm的砖抗震横墙,其间距不应大于三个开间;6、7度时,有前廊的单层木构架房屋,其间距可为五个开间。
2 8度时,砖实心墙可为白灰砂浆或M0.4砂浆砌筑,外整里碎砖墙的砂浆强度等级不应低于M1;9度时,应为砂浆强度等级不低于M2.5的砖实心墙。
3 山墙与檩条、檐墙顶部与柱应有拉结。
4 7度时墙高超过3.5m和8、9度时,外墙沿柱高每隔1m与柱应有一道拉结;房屋的围护墙,应在楼盖附近和檐口下每隔1m与梁或木龙骨有一道拉结。
5 用砂浆强度等级为M1砌筑的厚度120mm、高度大于2.5m且长度大于4.5m的后砌砖隔墙,7、8度时高度大于3m且长度大于5m的后砌砖隔墙和9度时的后砌砖隔墙,应沿墙高每隔1m与木构架有钢筋或钢丝拉结;8、9度时墙顶尚应与柁(梁)拉结。
6 空旷的木柱木屋架房屋,围护墙的砂浆强度等级不应低于M1,7度时柱高大于4m和8、9度时,墙顶应有闭合圈梁—道。
10.1.12 柁木檩架房屋的墙体应符合下列要求:
1 6、7度时,抗震横墙间距不宜大于三个开间;8度时,不宜大于二个开间。
2 承重墙体内无烟道,防潮碱草不腐烂。
3 土坯墙不应干码斗砌,泥浆应饱满;土筑墙不应有竖向施工通缝;表砖墙的表砖不应斗砌。
4 尽端三花山墙与排山架宜有拉结。
10.1.13 穿斗木构架房屋的墙体应符合下列要求:
1 6、7度时,抗震横墙间距不宜大于五个开间,轻质抗震墙间距不宜大于四个开间;8、9度时,砖墙或轻质抗震墙的间距不宜大于三个开间。
2 抗震墙不应为干码斗砌的土坯墙或卵石、片石墙,土筑墙不应有竖向施工通缝;6、7度时,空斗砖墙和毛石墙的砌筑砂浆强度等级不应低于M1;8、9度时,砖实心墙的砌筑砂浆强度等级分别不应低于M0.4、M2.5。
3 围护墙宜贴砌在木柱外侧或半包柱。
4 土坯墙、土筑墙的高度大于2.5m时,沿墙高每隔1m与柱应有一道拉结;砖墙在7度时高度大于3.5m和8、9度时,沿墙高每隔1m与柱应有一道拉结。
5 轻质的围护墙、抗震墙应与木构架钉牢。
10.1.14 康房的围护墙应与木构架钉牢。
条文说明
10.1.11~10.1.14 分别规定了各类木结构房屋墙体的布置和构造的鉴定要求,保持了95鉴定标准的有关规定。
对旧式木骨架、木柱木屋架房屋,主要对砖墙的间距、砂浆强度等级和拉结构造进行检查。
对柁木檩架房屋,主要对土坯墙或土筑墙的间距、施工方法和拉结构造等进行检查。
对穿斗木构架房屋,主要对空斗墙、毛石墙、砖墙和土坯墙、土筑墙等墙体的间距、施工方法和砂浆强度等级、拉结构造等进行检查。
对康房,只对墙体的拉结构造进行检查。
10.1.15 木结构房屋易损部位的构造应符合下列规定:
1 楼房的挑阳台、外走廊、木楼梯的柱和梁等承重构件应与主体结构牢固连接。
2 梁上、柁(排山柁除外)上或屋架腹杆间不应有砌筑的土坯、砖山花等。
3 抹灰顶棚不应有明显的下垂;抹面层或墙面装饰不应松动、离鼓;屋面瓦尤其是檐口瓦不应有下滑。
4 女儿墙、门脸等装饰和突出屋面小烟囱的构造,宜符合本标准第5.2.8条第2款的有关规定。
5 用砂浆强度等级为M0.4砌筑的卡口围墙,其高度不宜超过4m,并应与主体结构有可靠拉结。
条文说明
10.1.15 本条列出了木结构房屋中易损部位的鉴定要求,是95鉴定标准中有关规定的整理。
10.1.16 木结构房屋符合本节各项规定时,可评为满足抗震鉴定要求;当遇下列情况之一时,应采取加固或其他相应措施:
1 木构件腐朽、严重开裂而可能丧失承载能力。
2 木构架的构造形式不合理。
3 木构架的构件连接不牢或支承长度少于规定值的75%。
4 墙体与木构架的连接或易损部位的构造不符合要求。
条文说明
10.1.16 本条规定了需采取加固或相应措施的情况,强调木构件的现状、木构架的构造形式及其连接应符合鉴定要求。
(Ⅲ)B类木结构房屋
10.1.17 B类木结构房屋的结构布置,除按A类的要求检查 外,尚应符合下列规定:
1 房屋的平面布置应避免拐角或突出;同一房屋不应采用木柱与砖柱或砖墙等混合承重。
2 木柱木屋架和穿斗木构架房屋不宜超过二层,总高度不宜超过6m;木柱木梁房屋宜建单层,高度不宜超过3m。
3 礼堂、剧院、粮仓等较大跨度的空旷房屋,宜采用四柱落地的三跨木排架。
10.1.18 B类木结构房屋的抗震构造,除按A类的要求检查外,尚应符合下列规定:
1 木屋架屋盖的支撑布置,应符合本标准第8.3节的有关规定的要求,但房屋两端的屋架支撑,应设置在端开间。
2 柱顶须有暗榫插入屋架下弦,并用U形铁连接;8度和9度时,柱脚应采用铁件与基础锚固。
3 空旷房屋木柱与屋架(或梁)间应有斜撑;横隔墙较多的居住房屋在非抗震隔墙内应有斜撑,穿斗木构架房屋可没有斜撑;斜撑宜为木夹板,并应通到屋架的上弦。
4 穿斗木构架房屋的纵向应在木柱的上、下端设置穿枋,并应在每一纵向柱列间设置1~2道斜撑。
5 斜撑和屋盖支撑构件,均应采用螺栓与主体构件连接;除穿斗木构件外,其他木构件宜为螺栓连接。
6 围护墙应与木结构可靠拉结;土坯、砖等砌筑的围护墙宜贴砌在木柱外侧,不应将木柱完全包裹。
条文说明
10.1.17~10.1.18 本条参照89规范,列出B类木结构房屋比A类木结构增加的鉴定内容。
10.2 生土房屋
10.2 生土房屋
(Ⅰ)一般规定
10.2.1 本节适用于6~8度(0.20g)未经焙烧的土坯、灰土、夯土墙承重的房屋及土窑洞、土拱房。
注:1 灰土墙指掺石灰等粘结材料的土筑墙和掺石灰土坯砌筑的土坯墙;
2 土窑洞包括在未经扰动的原土中开挖而成的崖窖和由土坯砌筑拱顶的坑窑。
条文说明
10.2.1 本节对生土建筑作了分类,并就其使用范围作了一般性规定。因地区特点、建筑习惯的不同和名称的不统一,分类不可能全面。灰土墙承重房屋目前在我国仍有建造,故列入有关要求。
震害表明,除灰土墙房屋可为二层外,一般的土墙房屋宜为单层。
10.2.2 抗震鉴定时,对墙体的布置、质量(品质)和连接,楼盖、屋盖的整体性及出屋面小烟囱等易倒塌伤人的部位,应重点检查。
条文说明
10.2.2 生土房屋的检查重点,基本上与砌体结构相同。
10.2.3 房屋的外观和内在质量应符合下列要求:
1 墙体无明显裂缝和歪闪。
2 木梁(柁)、屋架、檩、椽等无明显的变形、歪扭、腐朽、蚁蚀和严重开裂等。
3 各类生土房屋的地基应夯实,墙脚宜设防潮层;土墙的防潮碱草不腐烂。
10.2.4 生土房屋以抗震构造鉴定为主,可不作抗震承载力验算。
条文说明
10.2.4 与95鉴定标准相同,生土房屋可不进行抗震承载力验算。
(Ⅱ)A类生土房屋
10.2.5 现有生土房屋的结构布置应符合下列规定:
1 房屋檐口高度和横墙间距应符合表10.2.5的规定:

2 墙体布置宜均匀,多层房屋立面不宜有错层;大梁不应支承在门窗洞口的上方。
3 同一房屋不宜有不同材料的承重墙体。
4 硬山搁檩房屋宜呈双坡屋面或弧形屋面;房屋应采用轻屋面材料,平屋顶上的土层厚度不宜大于150mm;坐泥挂瓦的坡屋面,其坐泥厚度不宜大于60mm。
条文说明
10.2.5 各类生土房屋,由于材料强度较低,在平立面布置上更要求简单,一般每开间均要有抗震横墙,不采用外廊为砖柱、石柱承重,或四角用砖柱、石柱承重的做法,也不要将大梁搁支在土墙上。房屋立面要避免错层、突变,同一栋房屋的高度和层数必须相同。这些措施都是为了避免在房屋各部分出现应力集中。
提倡用双坡和弧形屋面,可降低山墙高度,增加其稳定性;单坡屋面山墙过高,平屋面则防水有问题,不宜采用。
10.2.6 现有房屋土墙应符合下列规定:
1 房屋的土坯宜采用黏性土湿法成型并宜掺入草苇等拉结材料;土坯应卧砌并宜采用黏土浆或黏土石灰浆砌筑,泥浆要饱满;土筑墙不宜有竖向施工通缝。
2 内、外墙体应咬槎较好,土筑墙应同时分层交错夯筑。
3 生土房屋的外墙四角和内外墙交接处,墙体不应被烟道削弱,沿墙高每隔300mm左右宜有一层竹筋、枝条、荆条等材料编织的拉结网片;砖抱角的土墙,砖与土坯之间应有可靠连接。
4 灰土墙房屋,内、外山墙两侧的内纵墙顶面宜有踏步式墙垛。
5 多层生(灰)土房屋每层均应有圈梁,并在横墙上拉通;木圈梁的截面高度不宜小于80mm,钢筋砖圈梁的截面高度不宜小于4皮砖。
条文说明
10.2.6 土墙房屋墙体的质量和连接的鉴定要求,基本上保持了95鉴定标准的规定。
干码、斗砌对墙体的强度有明显的影响,在鉴定中要注意。
墙体的拉结材料,对土墙可以是竹筋、木条、荆条等。
多层房屋要有圈梁,灰土墙房屋可为木圈梁。
10.2.7 房屋的楼、屋盖构造应符合下列规定:
1 木屋盖构件应有圆钉、扒钉或钢丝等相互连接。
2 梁(柁)、檩下方应有木垫板,端檩应出檐;内墙上檩条应满搭,对接时应有夹板或燕尾榫。
3 木构件在墙上的支承长度,对屋架和楼盖大梁不应小于250mm或墙厚,对接檩和木龙骨不应小于120mm。
4 楼盖的木龙骨间应有剪刀撑,龙骨在大梁上的支承长度不应小于80mm。
5 7、8度时,对土结构屋盖尚应检查竖向剪刀撑和纵向水平系杆的设置情况,以免竖向剪刀撑的下端没有着力点。
条文说明
10.2.7 土墙房屋的屋盖、楼盖多为木结构,其鉴定要求与木结构房屋的有关部分相当。生土房屋的屋面采用轻质材料,可减轻地震作用。
10.2.8 房屋出入口或临街处突出屋面的小烟囱应有拉结;其他易损部位的构造宜符合本标准第5.2.8条第2款的规定。
(Ⅲ)B类生土房屋
10.2.9 B类生土房屋的抗震鉴定,除按A类的要求检查外,尚应满足下列要求:
1 生土房屋宜建单层,6度和7度的灰土墙房屋可建二层,但总高度不应超过6m;单层生土房屋的檐口高度不宜大于2.5m,开间不宜大于3.2m;窑洞净跨不宜大于2.5m。
2 房屋每开间均应有横墙,不应采用土搁梁结构。
3 土拱房应多跨连续布置,各拱脚均应支承在稳固的崖体上或支承在人工土墙上;拱圈厚度宜为300~400mm,应支模砌筑,不应无模后倾贴砌;外侧支承墙和拱圈上不应布置门窗。
4 土窑洞应避开易产生滑坡、山崩的地段;开挖窑洞的崖体应土质密实、土体稳定、坡度较平缓、无明显的竖向节理;崖窑前不宜接砌土坯或其他材料的前脸;不宜开挖层窑,否则应保持足够的间距,且上、下不宜对齐。
条文说明
10.2.9 关于B类生土房屋的鉴定要求,主要参考89设计规范的规定。
10.3 石墙房屋
10.3 石墙房屋
(Ⅰ)一般规定
10.3.1 本节适用于6、7度时单层的毛石和不超过三层的毛料石墙体承重的房屋。
注;砂浆砌筑的料石墙房屋,可按照本标准第5章的原则按专门的规定进行鉴定。
条文说明
10.3.1 本节保持95鉴定标准的规定,只适用于6、7度时的毛石和毛料石房屋。
根据试验研究,7度不超过三层的毛料石房屋,采用有垫片甩浆砌筑时,仍可有条件地符合鉴定要求,但毛石墙房屋只宜为单层。对浆砌料石房屋,可参照第5章的原则鉴定。
10.3.2 抗震鉴定时,对墙体的布置、质量(品质)和连接,楼盖、屋盖的整体性及出屋面小烟囱等易倒塌伤人的部位,应重点检查。
条文说明
10.3.2 石墙房屋的检查重点,基本上与砌体结构相同。
10.3.3 房屋的外观和内在质量宜符合下列要求:
1 墙体无明显裂缝和歪闪。
2 木梁(柁)、屋架、檩、椽等无明显的变形、歪扭、腐朽、蚁蚀和严重开裂等。
10.3.4 石墙房屋以抗震构造鉴定为主,可不进行抗震承载力验算。
条文说明
10.3.4 与95鉴定标准相同,石墙房屋可不进行抗震承载力验算。
(Ⅱ)A类石墙房屋
10.3.5 现有房屋的结构布置应符合下列规定:
1 房屋檐口高度和横墙间距应符合表10.3.5的规定。
2 墙体布置宜均匀,多层房屋立面不宜有错层;大梁不应支承在门窗洞口的上方。
3 同一房屋不宜有不同材料的承重墙体。

4 硬山搁檩房屋宜呈双坡屋面或弧形屋面;平屋顶上的土层厚度不宜大于150mm;坐泥挂瓦的坡屋面,其坐泥厚度不宜大于60mm。
5 石墙房屋的横墙,洞口的水平截面面积不应大于总截面面积的1/3。
10.3.6 房屋的石墙体应符合下列规定:
1 单层的毛石墙,其毛石的形状应较规整,可为1:3石灰砂浆砌筑;多层的毛料石墙,实际达到的砂浆强度等级不应低于M1,干砌甩浆时砂浆的饱满度不应少于30%并应有砂浆面层。
2 内、外墙体应咬槎较好,多层石墙房屋墙体留马牙槎时,每隔600mm左右宜有2φ 6拉结钢筋。
3 房屋每层的纵横墙均应设置圈梁,混凝土圈梁的截面高度不应小于120mm,宽度宜与墙厚相同,纵向钢筋不应小于4φ 10,箍筋间距不宜大于200mm;木圈梁的截面高度不宜小于80mm,钢筋砖圈梁的截面高度不宜小于4皮砖。
10.3.7 房屋的楼、屋盖构造应符合下列规定:
1 木屋盖构件应有圆钉、扒钉或钢丝等相互连接。
2 梁(柁)、檩下方应有木垫板,端檩宜出檐;内墙上檩条宜满搭,对接时宜有夹板或燕尾榫。
3 木构件在墙上的支承长度,对屋架和楼盖大梁不应小于250mm或墙厚,对接檩和木龙骨不应小于120mm;
4 楼盖的木龙骨间应有剪刀撑,龙骨在大梁上的支承长度不应小于80mm。7、8度时,尚应检查竖向剪刀撑和纵向水平系杆的设置情况,以免竖向剪刀撑的下端没有着力点。
10.3.8 房屋出入口或临街处突出屋面的小烟囱应有拉结;其他易损部位的构造宜符合本标准第5.2.8条第2款的规定。
(Ⅲ)B类石墙房屋
10.3.9 B类石墙房屋,在8度设防时可有二层。
10.3.10 B类石墙房屋的抗震鉴定,除按A类的要求检查外,尚应满足下列要求:
1 多层石房的层高不宜超过3m,总高度和层数不宜超过表10.3.10-1规定的限值。

2)抗震横墙洞口的水平截面面积,不应大于全截面面积的1/3。
3 多层石墙房屋整体性连接的检查,尚应符合下列要求:
1)外墙四角和楼梯间四角,6度和7度隔开间及8度每开间的内外墙交接处,应有钢筋混凝土构造柱;
2)房屋无构造柱的纵横墙交接处,应采用条石无垫片砌筑,且应沿墙高每隔500mm左右设拉结钢筋网片,每边每侧伸入墙内不宜小于1m;
3)多层石墙房屋宜采用现浇或装配整体式钢筋混凝土楼盖、屋盖。
4 其他有关构造要求,可按本标准第5章的规定执行。
10.3.11 石墙的截面抗震验算,可按本标准第5.3节的规定执行;其抗剪强度应根据试验数据确定。
条文说明
10.3.9~10.3.11 参照89规范对石砌体房屋的规定,列出B类石墙房屋的鉴定要求。
石结构房屋的构造柱设置要求,系参照混凝土砌块房屋对芯柱的设置要求规定的,而构造柱的配筋构造等要求,需参照多层黏土砖房的规定。
石墙在交接处用条石无垫片砌筑,并设置拉结钢筋网片,是根据石墙材料的特点,为加强房屋整体性而采取的措施。
从宏观震害和试验情况来看,石墙体的破坏特征和砖结构相近,石墙体的受剪承载力验算可与多层砌体结构采用同样的方法,但其承载力设计值应由试验确定。
11 烟囱和水塔
11.1 烟囱
11 烟囱和水塔
11.1 烟 囱
(Ⅰ)一般规定
11.1.1 本节适用于普通类型的独立砖烟囱和钢筋混凝土烟囱,特殊形式的烟囱及重要的高大烟囱应采用专门的鉴定方法。
条文说明
11.1.1 普通类型的独立式烟囱,指高度在100m以下的钢筋混凝土烟囱和高度在60m以下的砖烟囱。特殊构造形式的烟囱指爬山烟囱、带水塔烟囱等。
11.1.2 烟囱的筒壁不应有明显的裂缝和倾斜,砖砌体不应松动,混凝土不应有严重的腐蚀和剥落,钢筋无露筋和锈蚀。不符合要求时应修补和修复。
11.1.3 烟囱的抗震鉴定包括抗震构造鉴定和抗震承载力验算。当符合本节各项规定时,应评为满足抗震鉴定要求;当不符合时,可根据构造和抗震承载力不符合的程度,通过综合分析确定采取加固或其他相应对策。
条文说明
11.1.3 对烟囱的抗震能力进行综合评定时,同样要考虑抗震承载力和构造两个因素。
(Ⅱ)A类烟囱抗震鉴定
11.1.4 A类烟囱的抗震构造鉴定,应符合下列规定:
1 砖烟囱筒壁,砖实际达到的强度等级不应低于MU7.5,砌筑砂浆实际达到的强度等级不应低于M2.5;钢筋混凝土烟囱筒壁,混凝土实际达到的强度等级不应低于C18。
2 砖烟囱的顶部应有圈梁。
3 砖烟囱的实际配筋应符合表11.1. 4的规定;6度时,高度不超过30m的烟囱可不配筋,高度超过30mm的烟囱宜符合表中7度时Ⅰ、Ⅱ类场地的规定。
条文说明
11.1.4 独立式烟囱在静载下处于平衡状态,鉴定时需检查筒壁材料的强度等级。
震害表明,砖烟囱顶部易于破坏甚至坠落,7度时顶部就有破坏,故要求其顶部一定范围要有配筋;钢筋混凝土烟囱的筒壁损坏、钢筋锈蚀严重,8度时就有破坏,故应着重检查筒壁混凝土的裂缝和钢筋的锈蚀等。
11.1.5 A类烟囱的抗震承载力验算,应符合下列规定:
1 外观质量良好且符合非抗震设计要求的下列烟囱,可不进行抗震承载力验算:
1)6度时及7度时Ⅰ、Ⅱ类场地的砖和钢筋混凝土烟囱;
2)7度时Ⅲ、Ⅳ类场地和8度时Ⅰ、Ⅱ类场地,高度不超过60m的砖烟囱;
3)7度时Ⅲ、Ⅳ类场地和8度时Ⅰ、Ⅱ类场地,高度不超过100m或风荷载不小于0.7kN/m 2 且高度不超过210m的钢筋混凝土烟囱。

2 不符合本条第1款规定的情况,可按本标准第11.1.7条进行抗震承载力验算。
条文说明
11.1.5 根据震害经验和统计分析,参照抗震设计规范,提出了不进行抗震验算的范围。
烟囱的抗震承载力验算,以按设计规范的方法为主,高度不超过100m的烟囱可采用简化方法;超过时采用振型分解反应谱方法。为保持95鉴定标准的水准,烟囱抗震鉴定的承载力调整系数γRa的取值同抗震设计的承载力抗震调整系数γRE。
(Ⅲ)B类烟囱抗震鉴定
11.1.6 B类烟囱的抗震构造鉴定,应符合下列规定:
1 砖烟囱筒壁,砖实际达到的强度等级不应低于MU7.5,砌筑砂浆实际达到的强度等级不应低于M2.5;钢筋混凝土烟囱筒壁,混凝土实际达到的强度等级不应低于C20。
2 砖烟囱顶部应设置钢筋混凝土圈梁,8度时在总高度2/3处还宜加设钢筋混凝土圈梁一道,圈梁截面高度不宜小于180mm,宽度不宜小于筒壁厚度的2/3且不宜小于240mm,纵筋不宜小于4φ 12,箍筋间距不应大于250mm。
3 砖烟囱上部的最小配筋要求应符合表11.1. 6的规定,并宜有一半钢筋延伸到下部;当砌体内有环向温度钢筋时,环向钢筋可适当减少。
4 砖烟囱钢筋端部应设弯钩,搭接长度不应小于40倍钢筋直径,搭接长度范围内宜用钢丝绑牢;贯通的竖向钢筋应锚入顶部圈梁内,不贯通的钢筋端部应锚入砌体中预留孔内并用砂浆填实。

5 钢筋混凝土烟囱与烟道之间应设防震缝,其宽度应符合下列要求:
1)烟道高度不超过15m时,可采用50mm。
2)烟道高度超过15m时,6、7、8、9度,相应每增加高度5m、4m、3m、2m,宜加宽15mm。
11.1.7 B类烟囱的抗震承载力验算,应符合下列规定:
1 下列烟囱可不进行截面抗震验算,但应符合本标准第11.1.6条的构造规定:
1)7度时Ⅰ、Ⅱ类场地的烟囱;
2)7度时Ⅲ、Ⅳ类场地和8度时Ⅰ、Ⅱ类场地,高度不超过60m的砖烟囱;
3)7度时Ⅲ、Ⅳ类场地和8度时Ⅰ、Ⅱ类场地,高度不超过210m且风荷载不小于0.7kN/m 2 的钢筋混凝土烟囱。
2 烟囱的水平抗震计算,可采用下列方法:
1)高度不超过100m的烟囱,可采用本条第3款的简化方法;
2)除本款第1)项外的烟囱宜采用振型分解反应谱法,高度不超过150m时,可按前3个振型的组合,高度超过150m时宜按前3~5个振型的组合,高度超过210m时宜按前5~7个振型的组合。
3 独立烟囱采用简化方法进行抗震计算时,应按下列规定计算水平地震作用标准值产生的作用效应:
1)普通类型的独立烟囱的自振周期,可分别按下列公式确定:
高度不超过60m的砖烟囱
T 1 =0.26+0.0024H 2 /d (11.1.7-1)
高度不超过150m的钢筋混凝土烟囱
T 1 =0.45+0.0011H 2 /d (11.1.7-2)
式中 T 1 ——烟囱的基本自振周期(s);
H——自基础顶面算起的烟囱高度(m);
d——烟囱筒身半高处横截面的外径(m)。
2)烟囱底部地震弯矩和剪力,应按下列公式计算:
M 0 =α 1 G K H 0 (11.1.7-3)
V 0 =η c α 1 G K (11.1.7-4)
式中 M 0 ——烟囱底部由水平地震作用标准值产生的弯矩;
α 1 ——相应于烟囱基本自振周期的水平地震影响系数,按本标准第3.0.5条的规定取值;
G K ——烟囱恒荷载标准值;
H 0 ——基础顶面至烟囱重心处的高度;
V 0 ——烟囱底部由水平地震作用标准值产生的剪力;
η c ——烟囱底部的剪力修正系数,可按表11.1.7采用。

4 8、9度时应进行烟囱的竖向抗震验算,竖向地震作用可按现行国家标准《建筑抗震设计规范》GB 50011的规定确定,竖向地震作用效应的增大系数可采用2.5。
5 钢筋混凝土烟囱应计算地震附加弯矩;截面抗震验算时可不计入筒壁的温度应力,但应计入温度对材料物理力学性能的影响,其承载力抗震调整系数可采用0.9。
条文说明
11.1.6~11.1.7 新增B类烟囱的鉴定要求,并列出89规范的验算公式等。
11.2 A类水塔抗震鉴定
11.2 A类水塔抗震鉴定
11.2.1 本节适用于下列独立水塔,其他独立水塔或特殊形式、多种使用功能的综合水塔,应采用专门的鉴定方法:
1 容积不大于500m 3 、高度不超过35m的钢筋混凝土筒壁式和支架式水塔。
2 容积不大于200m 3 、高度不超过30m的砖、石筒壁水塔。
3 容积不大于20m 3 、高度不超过10m的砖支柱水塔。
条文说明
11.2.1 独立的水塔指有一个水柜作为供水用的水塔。本节的适用范围主要是常用容量和常用高度的水塔,大部分有标准图或通用图。
11.2.2 容积不大于50m 3 、高度不超过20m的钢筋混凝土筒壁式和支架式水塔,容积不大于30m 3 、高度不超过15m的砖、石筒壁水塔,可适当降低其抗震鉴定要求。
条文说明
11.2.2 本条规定一些小容量、低矮水塔,可“适当降低鉴定要求”。指在一度范围内降低构造的鉴定要求。
11.2.3 水塔抗震鉴定时,对筒壁、支架的构造和抗震承载力,基础的不均匀沉降等,应重点检查。
11.2.4 水塔的外观和内在质量宜符合下列要求:
1 钢筋混凝土筒壁和支架仅有少量微小裂缝,钢筋无露筋和锈蚀。
2 砖、石筒壁和砖支柱无裂缝、松动和酥碱。
3 基础无严重倾斜,水塔高度不超过20m时,倾斜率不应超过0.8%;水塔高度为20~45m时,倾斜率不应超过0.6%。
条文说明
11.2.4 水塔的基础倾斜过大,将影响水塔的安全,故提出控制倾斜的鉴定要求。
11.2.5 水塔的构造检查,应符合下列规定:
1 水塔构件材料实际达到的强度等级应符合下列要求:
1)水柜、支架的混凝土强度等级不应低于C18,筒壁、基础、平台等的混凝土强度等级不应低于C13;
2)砖砌体的强度等级,6度时和7度时Ⅰ、Ⅱ类场地不应低于M2.5,7度时Ⅲ、Ⅳ类场地和8、9度时不应低于M5,砖的强度等级不应低于MU7.5;对本标准第11.2.2条规定的水塔,砂浆强度等级不应低于M2.5,砖的强度等级不应低于MU5;
3)石砌体砌筑砂浆的强度等级不宜低于M7.5,石料的强度等级不应低于MU20;对本标准第11.2.2条规定的水塔,砂浆强度等级不宜低于M5。
2 砖支柱不应少于四根,每隔3~4m应有钢筋混凝土连系梁一道。
3 支架(支柱)水塔的基础宜为整体基础;Ⅱ~Ⅳ类场地的独立基础,应有连系梁将其连接为一体。
条文说明
11.2.5 水塔鉴定的内容,主要参照国家标准《给排水工程结构设计规范》GBJ 69-84的有关规定和震害经验确定。
11.2.6 水塔鉴定时,抗震承载力验算应符合下列规定:
1 外观和内在质量良好且符合抗震设计要求的下列水塔及其部件,可不进行抗震承载力验算:
1)6度时的各种水塔;
2)7度时Ⅰ、Ⅱ类场地容积不大于10m 3 、高度不超过7m的组合砖柱水塔;
3)7度时Ⅰ、Ⅱ类场地的砖、石筒壁水塔;
4)7度时Ⅲ、Ⅳ类场地和8度时Ⅰ、Ⅱ类场地每4~5m有钢筋混凝土圈梁并配有纵向钢筋或有构造柱的砖、石筒壁水塔;
5)7度时和8度时Ⅰ、Ⅱ类场地的钢筋混凝土支架式水塔;
6)7、8度时的水柜直径与筒壁直径比值不超过1.5的钢筋混凝土筒壁式水塔;
7)水塔的水柜,但不包括8度Ⅲ、Ⅳ类场地和9度时的支架式水塔下环梁。
2 对不符合本条第1款规定的水塔,可按本标准第11.3节规定的方法进行抗震承载力验算。
条文说明
11.2.6 根据震害经验和计算分析,参照设计规范,得到可不进行抗震承载力验算的范围。
水塔的抗震承载力验算,以按设计规范的方法为主:支架水塔和类似的其他水塔采用简化方法,较低的筒支承水塔采用底部剪力法,较高的砖筒支承水塔或筒高度与直径之比大于3.5时采用振型分解反应谱方法。为保持95标准的水准,水塔抗震鉴定的承载力调整系数γRa的取值同抗震设计的承载力抗震调整系数γRE。
经验表明,砖和钢筋混凝土筒壁水塔为满载时控制抗震设计,而支架式水塔和基础则可能为空载时控制设计,地震作用方向不同,控制部位也不完全相同。参照设计规范,在抗震鉴定的承载力验算中也作了相应的规定。
11.2.7 水塔符合本节各项规定时,可评为满足抗震鉴定要求;当不符合时,可根据构造和抗震承载力不符合的程度,通过综合分析确定采取加固或其他相应对策。
条文说明
11.2.7 综合评定时,只要水塔相应部位无震害或只有轻微震害,能满足不影响水塔使用或稍加处理即可继续使用的要求,均可通过鉴定。
11.3 B类水塔抗震鉴定
11.3 B类水塔抗震鉴定
条文说明
按89规范的规定新增B类水塔的鉴定要求,并列出89规范的验算公式等。
11.3.1 本节适用于普通类型的独立水塔。
11.3.2 B类水塔抗震鉴定时,检查重点及外观和内在质量要求,应分别按本标准第11.2.3条和第11.2.4条的规定执行。
11.3.3 钢筋混凝土筒支承水塔的构造,应符合下列构造要求:
1 筒壁的竖向钢筋不应小于φ 12,间距不应大于200mm,搭接长度不应小于40倍钢筋直径。
2 筒下部的门洞,宜有钢筋混凝土门框。
3 筒的窗洞和孔洞周围,应有不少于2φ 12的加强钢筋。
11.3.4 钢筋混凝土支架水塔的构造,应符合下列要求:
1 支架的横梁应有较大刚度,梁内箍筋的搭接长度不应小于40倍钢筋直径,箍筋间距不应大于200mm,且梁端在1倍梁高范围内的箍筋间距不应大于100mm。
2 水柜以下和基础以上各800mm的范围内,以及梁柱节点上下各1倍柱宽并不小于1/6柱净高的范围内,柱的箍筋间距不应大于100mm;8、9度时,柱的箍筋直径不应小于φ 8。
3 水柜下环梁和横梁的梁端应加腋;8、9度时,高度超过20m的水塔,沿支架高度每隔10m左右宜有钢筋混凝土水平交叉支撑一道,支撑截面不宜小于支架柱的截面。
11.3.5 砖筒支承水塔的构造,应符合下列要求:
1 砖筒支承水塔的砖筒壁配筋,应按计算确定,其实际配筋范围和配筋量应符合表11.3.5的要求。

2 砖筒壁内钢筋的搭接与锚固,应符合本标准第11.1.6条第4款的规定。
3 7度时Ⅲ、Ⅳ类场地和8度时Ⅰ、Ⅱ类场地的砖筒壁,宜有不少于4根构造柱,构造柱截面不宜小于240mm×240mm,其他构造应符合本标准第5.3.4条第3款的规定。
4 沿筒身高度每隔4m左右宜有圈梁一道,其截面高度不宜小于180mm,宽度不宜小于筒壁厚度的2/3且不宜小于240mm,纵向钢筋不应小于4φ 12,箍筋间距不应大于250mm。
5 砖筒下部的门洞上下应各有钢筋混凝土圈梁一道,门洞两侧宜设钢筋混凝土门框或砖门框;其他洞口上下应各配3φ 8钢筋,且两端伸入筒壁不应小于1m。
11.3.6 Ⅱ~Ⅳ类场地的柱支承水塔基础,宜为整片或环状基础,独立基础应有基础系梁相互连接。
11.3.7 B类水塔的下列构件符合本节构造要求时,可评为满足抗震鉴定要求不进行截面抗震验算,其他情况,应按本标准第11.3.8条规定进行下列抗震验算:
1 水塔的水柜,但不包括8度时Ⅲ、Ⅳ类场地和9度时的支架式水塔水柜的下环梁。
2 7度时Ⅰ、Ⅱ类场地的钢筋混凝土支架,容积不大于50m 3 且高度不超过20m的砖筒支承水塔的筒壁,容积不大于20m 3 且高度不超过7m的砖柱支承水塔的柱和梁。
3 7度时和8度时Ⅰ、Ⅱ类场地的钢筋混凝土筒支承水塔的筒壁。
11.3.8 水塔的抗震分析,应符合下列规定:
1 水塔的截面抗震验算,应考虑满载和空载两种情况;支架式水塔和平面为多角形的水塔,应分别按正向和对角线方向进行验算;较高水塔的竖向地震作用,可按现行国家标准《建筑抗震设计规范》GB 50011的有关规定计算。
2 水塔的水平抗震计算,可采用下列方法:
1)支架水塔和类似的其他水塔,相应于水平地震作用标准值产生的底部地震弯矩可按下式确定:
M 0 =α 1 (G i + 
G ts )H 0 (11.3.8)
式中 M 0 ——水塔底部地震作用标准值产生的弯矩;
α 1 ——相应于水塔基本自振周期的水平地震影响系数,按本标准第3.0.5条的规定取值;
G i ——水柜的重力荷载代表值,按现行国家标准《建筑抗震设计规范》GB 50011规定取值;

——弯矩等效系数,等刚度支承结构可采用0.35,变刚度支承结构可适当减小,但不应小于0.25;
G ts ——水塔支承结构和附属平台等的重力荷载代表值;
H 0 ——基础顶面至水柜重心的高度。
2)较低的筒支承水塔可采用底部剪力法;
3)较高的砖筒支承水塔或筒高度与直径之比大于3.5时,可采用振型分解反应谱法。
附录A砌体、混凝土、钢筋材料性能设计指标
附录A 砌体、混凝土、钢筋材料性能设计指标
A.0.1 砌体非抗震设计的抗剪强度标准值与设计值应分别按表A.0.1-1和表A.0.1-2采用。

A.0.2 混凝土强度标准值与设计值应分别按表A. 0.2-1和表A.0.2-2采用。

A.0.3 钢筋强度标准值与设计值应分别按表A.0.3-1和表A.0.3-2采用。

A.0.4 钢筋的弹性模量应按表A.0.4采用。

附录B砖房抗震墙基准面积率
附录B 砖房抗震墙基准面积率
条文说明
砖房抗震墙基准面积率,即77版鉴定标准的“最小面积率”。因新的砌体结构设计规范的材料指标和新的抗震设计规范地震作用取值改变,相应的计算公式也有所变化。为保持与77标准的衔接,M1和M2.5的计算结果不变,M0.4和M5有一定的调整。表B. 0.1-1~表B. 0.1-3的计算公式如下:
同一方向有承重墙和自承重墙或砂浆强度等级不同时,基准面积率的换算方法如下:用A1、A2分别表示承重墙和自承重墙的净面积或砂浆强度等级不同的墙体净面积, ξ1、ξ2分别表示按表B.0.1-1~表B.0.1-3查得的基准面积率,用 ξ0表示“按各自的净面积比相应转换为同样条件下的基准面积率数值”,则 
B.0.1 多层砖房抗震墙基准面积率,可按下列规定取值:
1 住宅、单身宿舍、办公楼、学校、医院等,按纵、横两方向分别计算的抗震墙基准面积率,当楼层单位面积重力荷载代表值g E 为12kN/m 2 时,可按表B. 0.1-1~表B. 0.1-3采用,设计基本地震加速度为0.15g和0.30g时,表中数值按内插法确定;当楼层单位面积重力荷载代表值为其他数值时,表中数值可乘以g E /12。
2 按纵、横两方向分别计算的楼层抗震墙基准面积率,承重墙可按表B. 0.1-2~表B. 0.1-3采用;自承重墙宜按表B. 0.1-1数值的1.05倍采用,设计基本地震加速度为0.15g和0.30g时,表中数值按内插法确定;同一方向有承重墙和自承重墙或砂浆强度等级不同时,可按各自的净面积比相应转换为同样条件下的数值。
3 仅承受过道楼板荷载的纵墙可当作自承重墙;支承双向楼板的墙体,均宜作为承重墙。
B.0.2 底层框架和底层内框架砖房的抗震墙基准面积率,可按下列规定取值:
1 上部各层,均可根据房屋的总层数,按多层砖房的相应规定采用。
2 底层框架砖房的底层,可取多层砖房相应规定值的0.85倍;底层内框架砖房的底层,仍可按多层砖房的相应规定采用。
B.0.3 多层内框架砖房的抗震墙基准面积率,可取按多层砖房相应规定值乘以下式计算的调整系数:

式中 η fi ——i层基准面积率调整系数;
η 0i ——i层的位置调整系数,按表B.0.3采用;
、ζ 1 、ζ 2 、λ、n b 、n s ——按现行国家标准《建筑抗震设计规范》GB 50011的规定采用。




附录C钢筋混凝土结构楼层受剪承载力
附录C 钢筋混凝土结构楼层受剪承载力
条文说明
钢筋混凝土结构的楼层现有受剪承载力,即设计规范中“按构件实际配筋面积和材料强度标准值计算的楼层受剪承载力”。由于现有框架多为“强梁弱柱”型框架,计算公式有所简化。
对内框架砖房的混合框架,参照设计规范中规定的钢筋混凝土柱、无筋砖柱、组合砖柱所承担剪力的比例,对楼层受剪承载力作适当的限制:
1 砖柱现有受弯承载力,取为N·[e],并参照设计规范的规定,无筋砖柱取[e]=0.9y;组合砖柱则参照配筋砖柱的有关公式作相应的计算;
2 内框架砖房混合框架的楼层现有受剪承载力可采用下列各式确定:

式中 vmu——外墙砖柱(垛)层间现有受剪承载力;
N——对应于重力荷载代表值的砖柱轴向压力;
H0——砖柱的计算高度,取反弯点至柱端的距离;
[e]——重力荷载代表值作用下现有砖柱的容许偏心距;无筋砖柱取0.9y(y为截面重心到轴向力所在偏心方向截面边缘的距离);组合砖柱,可参照现行国家标准《砌体结构设计规范》GB 50003偏心受压承载力的计算公式确定;其中,将不等式改为等式,钢筋取实有纵向钢筋面积,材料强度设计值改取标准值,按本标准附录A取值。
3 依据设计规范对内框架的钢筋混凝土柱、组合砖柱、无筋砖柱的“柱类型系数”的比例关系,对由相关公式算出的Vccy和Vcmu,尚应取其较小值,即:

C.0.1 钢筋混凝土结构楼层现有受剪承载力应按下式计算:

式中 V y ——楼层现有受剪承载力;
∑V cy ——框架柱层间现有受剪承载力之和;
∑V my ——砖填充墙框架层间现有受剪承载力之和;
∑V wy ——抗震墙层间现有受剪承载力之和。
C.0.2 矩形框架柱层间现有受剪承载力可按下列公式计算,并取较小值:

式中
——分别为验算层偏压柱上、下端的现有受弯承载力;
λ——框架柱的计算剪跨比,取λ=H n /2h 0 ;
N——对应于重力荷载代表值的柱轴向压力,当N>0.3f ck bh时,取N=0.3f ck bh;
A sv ——配置在同一截面内箍筋各肢的截面面积;
f yvk ——箍筋抗拉强度标准值,按本标准附录A表 A.0.3-1采用;
f ck ——混凝土轴心抗压强度标准值,按本标准附录A表A.0.2-1采用;
s——箍筋间距;
b——验算方向柱截面宽度;
h、h 0 ——分别为验算方向柱截面高度、有效高度;
H n ——框架柱净高。
C.0.3 对称配筋矩形截面偏压柱现有受弯承载力可按下列公式计算:

式中 N——对应于重力荷载代表值的柱轴向压力;
A s ——柱实有纵向受拉钢筋截面面积;
f yk ——现有钢筋抗拉强度标准值,按本标准附录A表A.0.3-1采用;
f cmk ——现有混凝土弯曲抗压强度标准值,按本标准附录A表A. 0. 2-1采用;
a' s ——受压钢筋合力点至受压边缘的距离;
ξ bk ——相对界限受压区高度,HPB级钢取0.6,HRB级钢取0.55;
h、h 0 ——分别为柱截面高度和有效高度;
b——柱截面宽度。
C.0.4 砖填充墙钢筋混凝土框架结构的层间现有受剪承载力可按下列公式计算:

式中 ζ N ——砌体强度的正压力影响系数,按本标准表5.3.13采用;
f vk ——砖墙的抗剪强度标准值,按本标准附录A表A. 0. 1-1采用;
A m ——砖填充墙水平截面面积,可不计入宽度小于洞口高度1/4的墙肢;
H 0 ——柱的计算高度,两侧有填充墙时,可采用柱净高的2/3,一侧有填充墙时,可采用柱净高。
C.0.5 带边框柱的钢筋混凝土抗震墙的层间现有受剪承载力可按下式计算:

式中 N——对应于重力荷载代表值的柱轴向压力,当N>0.2f ck A w 时,取N=0.2f ck A w ;
A w -——抗震墙的截面面积;
A sh ——配置在同一水平截面内的水平钢筋截面面积;
λ——抗震墙的计算剪跨比;其值可采用计算楼层至该抗震墙顶的1/2高度与抗震墙截面高度之比,当小于1.5时取1.5,当大于2.2时取2.2。
附录D钢筋混凝土构件组合内力设计值调整
附录D 钢筋混凝土构件组合内力设计值调整
D.0.1 框架梁和抗震墙中跨高比大于2.5的连梁,端部截面组合的剪力设计值应符合下列规定:

式中 λ b ——梁实配增大系数,可按梁的左右端纵向受拉钢筋的实际配筋面积之和与计算面积之和的比值的1.1倍采用;
l n ——梁的净跨;
V Gb ——梁在重力荷载代表值(9度时高层建筑还应包括竖向地震作用标准值)作用下,按简支梁分析的梁端截面剪力设计值;
——分别为梁的左右端顺时针或反时针方向截面组合的弯矩设计值;
——分别为梁左右端顺时针或反时针方向实配的正截面抗震受弯承载力所对应的弯矩值,可根据实际配筋面积和材料强度标准值确定。
D.0.2 一、二级框架的梁柱节点处,除顶层和柱轴压比小于0.15者外,梁柱端弯矩应分别符合下列公式要求:

D.0.3 一、二级框架结构的底层柱底和框支层柱两端组合的弯矩设计值,分别乘以增大系数1.5、1.25。
D.0.4 框架柱和框支柱端部截面组合的剪力设计值,一、二级应按下列各式调整,三级可不调整:

D.0.5 框架节点核心区组合的剪力设计值,一、二级可按下列各式调整:

D.0.6 抗震墙底部加强部位截面组合的剪力设计值,一、二级应乘以下列增大系数,三级可不乘增大系数:

D.0.7 双肢抗震墙中,当任一墙肢全截面平均出现拉应力且处于大偏心受拉状态时,另一墙肢组合的剪力设计值、弯矩设计值应乘以增大系数1.25。
D.0.8 一级抗震墙中,单肢墙、小开洞墙或弱连梁联肢墙各截面组合的弯矩设计值,应按下列规定采用:
1 底部加强部位各截面均应按墙底组合的弯矩设计值采用,墙顶组合的弯矩设计值应按顶部的约束弯矩设计值采用,中间各截面组合的弯矩设计值应按上述二者间的线性变化采用。
2 底部加强部位的最上部截面按纵向钢筋实际面积和材料强度标准值计算的实际正截面承载力,不应大于相邻的一般部位实际的正截面承载力。
附录E钢筋混凝土构件截面抗震验算
附录E 钢筋混凝土构件截面抗震验算
E.0.1 框架梁、柱、抗震墙和连梁,其端部截面组合的剪力设计值应符合下式要求:

E.0.2 框架梁的正截面抗震承载力应按下式计算:

E.0.3 框架梁的斜截面抗震承载力应按下式计算:

E.0.4 偏心受压框架柱、抗震墙的正截面抗震承载力应符合下列规定:
1 验算公式:

2 纵向钢筋的应力计算应符合下列规定:

E.0.5 偏心受拉框架柱,抗震墙的正截面抗震承载力应按下式计算:

E.0.6 框架柱的斜截面抗震承载力应按下式计算:

E.0.7 抗震墙的斜截面抗震承载力应下列公式计算:

E.0.8 节点核心区组合的剪力设计值应符合下列规定:


E.0.9 抗震墙结构框支层楼板的截面抗震验算,应符合下列规定:
1 验算公式:

2 框支层楼板应采用现浇,厚度不宜小于180mm,混凝土强度等级不宜低于C30,应采用双层双向配筋,且每方向的配筋率不应小于0.25%。
3 框支层楼板的边缘和洞口周边应设置边梁,其宽度不宜小于板厚的2倍,纵向钢筋配筋率不应小于1%且接头宜采用焊接;楼板中钢筋应锚固在边梁内。
4 当建筑平面较长或不规则或各抗震墙的内力相差较大时,框支层楼板尚应验算楼板平面内的受弯承载力,验算时可考虑框支层楼板受拉区钢筋与边梁钢筋的共同作用。
E.0.10 本附录未作规定的钢筋混凝土构件截面抗震验算,按现行国家标准的规定进行。
附录F砖填充墙框架抗震验算
附录F 砖填充墙框架抗震验算
F.0.1 黏土砖填充墙框架考虑抗侧力作用时,层间侧移刚度可按下列公式确定:


F.0.2 地震作用效应应符合下列规定:
1 楼层组合的剪力设计值,应按各榀框架和填充墙框架的层间侧移刚度比例分配,但无填充墙框架承担的剪力设计值,不宜小于对应填充墙框架中框架部分承担的剪力设计值(不包括由填充墙引起的附加剪力)。
2 填充墙框架的柱轴向压力和剪力,应考虑填充墙引起的附加轴向压力和附加剪力,其值可按下列公式确定:

F.0.3 填充墙框架的截面抗震验算,应采用下列设计表达式:

附录G木构件常用截面尺寸
附录G 木构件常用截面尺寸
G.0.1 旧式木骨架的木柱常用圆截面尺寸,宜按表G. 0.1采用。
表G. 0.1木柱常用圆截面尺寸(mm)

G.0.2 旧式木骨架楼层木大梁常用截面尺寸,宜按表G.0.2采用。
G.0.3 旧式木骨架的木龙骨常用截面尺寸,宜按表G.0.3采用。


G.0.4 旧式木骨架的木柁常用截面尺寸,宜按表G.0.4采用。

G.0.5 旧式木骨架的木檩常用截面尺寸,宜按表G.0.5采用。

G.0.6 旧式木骨架的木椽常用截面尺寸,宜按表G.0.6采用。

本标准用词说明
本标准用词说明
1 为了便于在执行本标准条文时区别对待,对要求严格程度不同的用词说明如下:
1)表示很严格,非这样做不可的用词:
正面词采用“必须”,反面词采用“严禁”;
2)表示严格,在正常情况下均应这样做的用词:
正面词采用“应”,反面词采用“不应”或“不得”;
3)表示允许稍有选择,在条件许可时首先应这样做的用词:
正面词采用“宜”,反面词采用“不宜”;
表示有选择,在一定条件下可以这样做的,采用“可”。
2 标准中指定应按其他有关标准、规范执行时,写法为:“应符合……的规定”或“应按……执行”。
引用标准名录
引用标准名录
1 《建筑地基基础设计规范》GB 50007
2 《混凝土结构设计规范》GB 50010
3 《建筑抗震设计规范》GB 50011
4 《建筑工程抗震设防分类标准》GB 50223
自2022年4月1日起废止的条文

