Appearance
《港口工程结构可靠性设计统一标准[附条文说明]》GB 50158-2010
🗓️ 住房和城乡建设部 实施时间:2010-12-01
前言
中华人民共和国国家标准
港口工程结构可靠性设计统一标准
Unified standard for reliability design of port engineering structures
GB 50158-2010
主编部门:中华人民共和国交通运输部
批准部门:中华人民共和国住房和城乡建设部
施行日期:2010年12月1日
中华人民共和国住房和城乡建设部公告
第582号
关于发布国家标准《港口工程结构可靠性设计统一标准》的公告
现批准《港口工程结构可靠性设计统一标准》为国家标准,编号为GB 50158-2010,自2010年12月1日起实施。其中,第3.0.2、3.0.3(1)、7.2.6、7.2.7条(款)为强制性条文,必须严格执行。原《港口工程结构可靠度设计统一标准》CB 50158-92同时废止。
本标准由我部标准定额研究所组织中国计划出版社出版发行。
中华人民共和国住房和城多建设部
二〇一〇年五月三十一日
前言
根据原建设部《关于印发<二〇〇四年度工程建设国家标准制订、修订计划>的通知》(建标〔2004〕67号)的要求,中国交通建设股份有限公司会同有关单位共同对国家标准《港口工程结构可靠度设计统一标准》GB 50158-92进行了全面修订。
本标准在修订过程中,进行了广泛调研,总结了我国多年来港口工程的建设经验,参考了国内外先进的相关技术标准,采纳了港口工程结构可靠性的最新研究成果和专家学者提出的建议,并广泛征求了有关设计、施工、科研、教学,建设等单位及管理部门的意见,经反复讨论、修改、完善,最后经审查定稿。
本次修订后共包括8章和4个附录,主要修订内容:一是提出了港口工程结构的设计使用年限,将设计使用年限划分为两个档次;二是新增了一种结构设计状况,将地震状况从偶然状况中分离出来,则结构设计状况改为持久、短暂、地震和偶然四种;三是完善了正常使用极限状态设计作用组合,根据结构损坏的可逆与不可逆,改为标准组合、频遇组合和准永久组合三种;四是增加了作用按有无界值的分类;五是提出了在结构设计时要考虑环境对结构和耐久性的不利影响;六是给出了极限状态设计的抗力表达式。
本标准以黑体字标志的条文为强制性条文,必须严格执行。
本标准由住房和城乡建设部负责管理和对强制性条文的解释,交通运输部负责日常管理,中国交通建设股份有限公司负责其体技术内容的解释。在执行过程中,请各单位注意总结经验,积累资料,随时将有关的意见和建议寄送中国交通建设股份有限公司国家标准《港口工程结构可靠性设计统一标准》管理组(地址:北京市德胜门外大街85号;邮政编码:100088)。
本标准主编单位、参编单位、参加单位、主要起草人和主要审查人:
主编单位: 中国交通建设股份有限公司
参编单位: 中交水运规划设计院有限公司 中交第一航务工程勘察设计院有限公司 中交第二航务工程勘察设计院有限公司 中交第三航务工程勘察设计院有限公司 中交第四航务工程勘察设计院有限公司 大连理工大学
参加单位: 中交四航工程研究院有限公司
主要起草人: 郭大慧 胡家顺 钱丽 贡金鑫 杨丽民 王晋 方爱东 刘进生 张黎明 夏琪琍 王胜年 冯海波 万宏 杜庭瑞 杨松泉
主要审查人: 蒋千 仉伯强(以下按姓氏笔画排序)卢永昌 史志华 刘永绣 刘志明 许廷兴 李悟洲 麦远俭 孙万禾 关澎 张建仁 曹称宇 潘德强
1 总则
1 总则
1.0.1 为统一各类港口工程结构可靠性设计的基本原则和方法,使港口工程符合可持续发展的要求,并做到安全可靠、耐久适用,技术先进、经济合理、确保质量,制定本标准。
1.0.2 本标准适用于港口工程结构、修造船水工结构可靠性设计,并适用于现有结构的修复等可靠性设计。
1.0.3 港口工程结构设计标准及相关标准的编制应遵守本标准规定的基本准则。
1.0.4 本标准规定了港口工程结构可靠性设计的基本要求。当本标准与国家法律、行政法规的规定相抵触时,应按国家法律、行政法规的规定执行。
1.0.5 港口工程结构设计除应符合本标准的规定外,尚应符合国家现行有关标准的规定。
2 术语
2 术语
2.0.1 可靠性 reliability
结构在规定的时间内,在规定的条件下,完成预定功能的能力。
2.0.2 可靠度 degree of reliability(reliability)
结构在规定的时间内,在规定的条件下,完成预定功能的概率。
2.0.3 失效概率 probability of failure
结构不能完成预定功能的概率。
2.0.4 可靠指标 reliability index
度量结构可靠度的数值指标。
2.0.5 基本变量 basic variable
代表物理量的一组规定的变量,用于表示作用和环境影响、材料和岩土的性能以及几何量的特征。
2.0.6 设计基准期 design reference period
为确定可变作用等的取值而选用的时间参数。
2.0.7 设计使用年限 design working life
设计规定的结构或结构构件不需进行大修即可按预定目的使用的年限。
2.0.8 极限状态 limit states
整个结构或结构的一部分超过某一特定状态就不能满足设计规定的某一功能要求,此特定状态为该功能的极限状态。
2.0.9 承载能力极限状态 ultimate limit states
对应于结构或结构构件达到最大承载力或不适于继续承载的变形的状态。
2.0.10 正常使用极限状态 serviceability limit states
对应于结构或结构构件达到正常使用或耐久性能的某项规定限值的状态。
2.0.11 可逆正常使用极限状态 reversible serviceability limit states
当产生超越正常使用要求的作用撤除后,该作用产生的后果可以恢复的正常使用极限状态。
2.0.12 不可逆正常使用极限状态 irreversible serviceability limit states
当产生超越正常使用要求的作用撤除后,该作用产生的后果不可恢复的正常使用极限状态。
2.0.13 设计状况 design situations
代表一定时段内实际情况的一组设计条件,设计应做到在该组条件下结构不超越有关的极限状态。
2.0.14 作用 action
施加在结构上的集中力或分布力(直接作用,也称为荷载)和引起结构外加变形或约束变形的原因(间接作用)。
2.0.15 永久作用 permanent action
在设计使用年限内始终存在且其量值变化与平均值相比可以忽略不计的作用,或其变化是单调的并趋于某个限值的作用。
2.0.16 可变作用 variable action
在设计使用年限内其量值随时间变化,且其变化与平均值相比不可忽略不计的作用。
2.0.17 偶然作用 accidental action
在设计使用年限内不一定出现,而一旦出现其量值很大,且持续期很短的事故作用。
2.0.18 地震作用 seismic action
地震对结构所产生的作用。
2.0.19 固定作用 fixed action
在结构上具有固定空间分布的作用。当固定作用在结构某一点上的大小和方向确定后,该作用在整个结构上的作用即得以确定。
2.0.20 自由作用 free action
在结构上给定的范围内具有任意空间分布的作用。
2.0.21 静态作用 static action
使结构产生的加速度可以忽略不计的作用。
2.0.22 动态作用 dynamic action
使结构产生的加速度不可忽略不计的作用。
2.0.23 有界作用 bounded action
具有不能被超越的且可确切或近似掌握界限值的作用。
2.0.24 无界作用 unbounded action
没有明确界限值的作用。
2.0.25 主导可变作用 dominating variable action
在同一作用组合中,效应设计值最不利情况下起控制作用的可变作用。
2.0.26 作用的代表值 representative value of an action
极限状态设计所采用的作用值,它可以是作用的标准值、组合值、频遇值和准永久值。
2.0.27 作用的标准值 characteristic value of an action
作用的主要代表值,可根据对观测数据的统计、作用的自然界限或工程经验确定。
2.0.28 作用的设计值 design value of an action
作用的代表值与作用分项系数的乘积。
2.0.29 可变作用的组合值 combination value of a variable action
使组合后的作用效应的超越概率与该作用单独出现时其标准值作用效应的超越概率趋于一致的作用值,或组合后使结构具有规定可靠指标的作用值。
2.0.30 可变作用的频遇值 frequent value of a variable action
在设计基准期内被超越的总时间占设计基准期的比率较小的作用值,或被超越的频率限制在规定频率内的作用值。
2.0.31 可变作用的准永久值 quasi-permanent value of a variable action
在设计基准期内被超越的总时间占设计基准期的比率较大的作用值。
2.0.32 作用效应 effect of action
由作用引起的结构或结构构件的反应。
2.0.33 环境影响 environmental influence
环境对结构产生的各种机械的、物理的、化学的或生物的不利影响。
2.0.34 材料、岩土性能 material and geometrical properties
结构所使用材料或岩土的物理力学性能,包括强度、弹性模量、变形性能、压缩系数、泊松比、内摩擦角、粘聚力、两介质间的摩擦系数等。
2.0.35 材料、岩土性能标准值 characteristic value of material and geometrical property
符合规定质量的材料、岩土性能概率分布的某一分位值或名义值。
2.0.36 材料、岩土性能设计值 design value of material and geometrical property
材料、岩土性能标准值除以材料、岩土性能分项系数所得的值。
2.0.37 几何量标准值 characteristic value of geometrical parameter
设计规定的几何量公称值或几何量概率分布的某一分位值。
2.0.38 几何量设计值 design value of geometrical parameter
几何量标准值增加或减少一个几何量附加量所得的值。
2.0.39 抗力 resistance
结构或结构构件承受作用效应的能力。
2.0.40 结构重要性系数 importance factor for structures
结构极限状态设计表达式中用于反映不同结构安全等级的数值。
2.0.41 结构体系 structural system
结构中所有承重构件及其共同工作的方式。
3 基本规定
3 基本规定
3.0.1 港口工程结构形式应根据使用要求、环境条件、施工条件和使用年限等进行技术经济比较,综合分析选定。
3.0.2 港口工程结构设计时,应根据结构失效可能产生的危及人的生命安全、造成经济损失以及影响社会和环境等后果的严重程度采用不同的安全等级。港口工程结构安全等级的划分应符合表3.0.2的规定。 ( 自2022年1月1日起废止该条,详见新规 《工程结构通用规范》GB 55001-2021 )
表3.0.2 港口工程结构的安全等级

条文说明
3.0.2 本条为强制性条文。本次修订仍将安全等级分为三级,但将对应的结构具体化。设计时要根据结构破坏产生的后果,即危及人的生命安全、造成经济损失、对社会和环境产生影响等的严重程度分析、确定结构的安全等级。永久性港口工程结构安全等级为一级或二级。对于大量的一般港口工程结构,安全等级为二级,既足够安全,也是经济合理的;对于集装箱干线港的大型集装箱码头结构、附近没有可替代港口工程的大型原油码头结构、液化天然气码头结构等一般按安全等级一级设计;港口工程的临时护岸、围埝等临时性结构,安全等级为三级。
3.0.3 结构的设计使用年限应按下列规定采用:
1 永久性港口建筑物:50年; ( 自2022年1月1日起废止该条,详见新规 《工程结构通用规范》GB 55001-2021 )
2 临时性港口建筑物:5年~10年。
条文说明
3.0.3 本条第1款永久性港口建筑物设计使用年限为50年是强制内容。设计使用年限为正常设计、正常施工、正常使用和维护下所达到的使用年限;所谓正常维护包括必要的检测、防护和维修。在国际上,国际标准《结构可靠性总原则》ISO 2394 和欧洲规范《结构设计基础》EN 1990都给出了各类结构的设计使用年限(design working life)的示例;随着我国市场经济的发展,建筑结构也已明确了设计使用年限。因此,本次修订中,增加了对港口工程结构设计使用年限的规定,在规定年限内,只需进行正常的维护而不需进行大修就可以按预期目的使用,满足预定的使用功能要求。 随着各种防腐蚀技术趋于成熟、可靠,高性能、高耐久性混凝土的广泛应用,故本改修订中进行了“港口工程结构设计使用年限调查专题研究”,根据研究结论,从混凝土材料的耐久性方面,重力式、板桩码头正常使用情况下,使用年限可以达到50年以上,按高性能混凝土设计、施工的海港高桩码头结构,使用年限可以达到50年以上。考虑到港口工程结构的造价在整个港口工程的总投资的比例平均为20%左右,永久性港口建筑物的设计使用年限为50年是合理的。
3.0.4 港口工程结构设计应遵守下列原则:
1 合理选择结构体系,正确进行分析和设计。
2 执行质量控制标准。
3 做好耐久性和维护设计。
4 采取有效的防护措施。
条文说明
3.0.4 合理选择结构体系指选择整体性好、传力合理、抗危险能力强的结构体系,有抗震要求时增加结构体系的超静定次数。通过执行质量控制标准,避免设计过程中的人为过失。
3.0.5 港口工程结构在规定的设计使用年限内应满足下列功能要求:
1 在正常施工和正常使用时,能安全承受可能出现的各种作用。
2 在正常使用时具有良好的工作性能。
3 在正常维护下具有足够的耐久性能。
4 有特殊要求时,在发生设定的偶然事件下,主体结构仍能保持整体稳定。
条文说明
3.0.5 在结构应满足的4项功能中,第1款、第4款所述是安全性要求,第2款所述是适用性要求,第3款所述是耐久性要求,三者可概括为结构可靠性的要求。
3.0.6 港口工程结构设计宜采用以概率理论为基础,以分项系数表达的极限状态设计方法,有条件时可按本标准附录A直接采用可靠指标的方法。
条文说明
3.0.6 以分项系数表达的极限状态设计方法是现阶段结合可靠性分析和长期实践经验的实用方法。各分项系数和设计表达式是通过可靠性分析与实践经验相结合得出的。该方法的现实性和合理性在于既较全面地继承历史经验,又为将来直接采用可靠指标的方法积累经验、创造条件,以分项系数表达的极限状态设计方法与安全系数法的安全度水平保持总体相当。 本条规定有条件时可按本标准附求A直接采用可靠指标的方法设计,是希望各结构设计规范的编制人员和广大设计人员都能尽量发掘和创造有利条件,以促进越来越多的港口工程结构直接采用可靠指标的方法设计。直接采用可靠指标的方法设计并不排斥实践经验,如何使二者很好的结合,也需要通过大量实践积累经验。
3.0.7 港口工程结构与其组成部分宜取相同的安全等级,必要时可对其中某些结构构件的重要性系数进行调整。
条文说明
3.0.7 条文规定允许对部分结构构件根据其重要程度调整重要性系数,是指如果提高某一构件的重要性系数所增加的费用很少,但能减轻整个结构的破坏程度,从而大大减少人员伤亡和财物损失,则可将该构件的重要性系数提高一级。相反,如果降低某一构件的重要性系数,对整个结构的破坏和可能造成的人员伤亡、财物损失影响较小,则可将该构件的重要性系数降低一级。
3.0.8 港口工程结构应按其破坏前有无明显变形或其他预兆分为有预兆破坏和无预兆破坏两种类型。设计中应避免采用无预兆破坏的结构;当不可避免时,无顶兆破坏的结构应具有更高的可靠度。
条文说明
3.0.8 结构要求的可靠度与结构的破坏类型有关。无预兆的破坏比有预兆的破坏具有更大的危险性,因此,规定无预兆破坏的结构应具有更高的可靠度。
3.0.9 港口工程结构设计时,应分析下列因素对结构耐久性的影响:
1 预期的使用要求;
2 预估的环境条件;
3 材料和制品的性能;
4 结构体系的选择;
5 构件形状和结构细部构造,
6 施工质量和控制水平;
7 特殊的保护措施;
8 设计使用年限内要进行的维护。
3.0.10 设计阶段应对勘察、观测、设计、试验、施工、使用与维护等提出相应质量的控制要求。
条文说明
3.0.10 规定港口工程对勘察、设计、试验、施工直到使用的全过程都要进行有效的质量管理和控制,是为了尽量消除人为过失的影响,使设计预期的可靠性在工程的各个环节得到保证。结构的可靠性不仅仅是针对设计,而是对整体工程的全过程。
4 极限状态设计原则
4 极限状态设计原则
4.0.1 极限状态可分为承载能力极限状态和正常使用极限状态,并应符合下列规定:
1 结构或结构构件出现下列状态之一时,应认为超过了承载能力极限状态:
结构整体或结构的一部分作为刚体失去平衡;结构构件或连接件因超过材料强度而破坏,或因过度变形而不适于继续承载;结构转变为机动体系;结构或结构构件丧失稳定;地基丧失承载能力而失效;结构构件的疲劳破坏。
2 结构或结构构件出现下列状态之一时,应认为超过了正常使用极限状态:
影响正常使用或外观的变形;影响正常使用或耐久性能的局部损坏;影响正常使用的振动;影响正常使用或影响耐久性能的其他特定状态。
条文说明
4.0.1 承载能力极限状态可理解为结构或结构构件发挥允许的最大承载能力的状态,如结构或结构一部分的倾覆、滑移,结构构件的压曲等,结构构件由于塑性变形而使其几何形状发生显著改变,虽未达到最大承载能力,但已彻底不能使用,也属于达到这种极限状态。 疲劳破坏是在使用中由于荷载多次重复作用而达到的承载能力极限状态,港口工程中钢结构存在疲劳问题。 正常使用极限状态可以理解为结构或结构构件达到使用功能上允许的某个限值的状态。正常使用极限状态的控制,一般采用一个或几个约束条件,采用的限值要满足使用要求,主要根据经验确定。如某些构件必须控制变形、裂缝、振动才能满足使用要求,因过大的裂缝会影响结构的耐久性。
4.0.2 港口工程结构设计时应对不同的设计状况进行分析。对每一种设计状况应采用相应的结构体系、可靠度水平、基本变量,并分析施工和使用中的环境条件和影响等。港口工程结构宜分为下列设计状况:
1 持久状况:持续时段与设计使用年限相当的设计状况。
2 短暂状况:在结构施工和使用过程中一定出现,而与设计使用年限相比,持续时段较短的设计状况,包括施工、维修和短期特殊使用等。
3 地震状况:结构遭受地震作用时的设计状况。
4 偶然状况:偶发的使结构产生异常状态的设计状况。包括非正常撞击、火灾、爆炸等。
条文说明
4.0.2 原标准规定结构设计时应考虑持久状况、短暂状况和偶然状况三种设计状况,本次修订根据设计需考虑的持续时段长短和出现概率的高低,将设计状况分为持久状况、短暂状况、地震状况和偶然状况四种,将地震状况从偶然状况中分离出来。这主要是由于地震作用是能够统计并有统计资料的,可以根据地震的重现期确定地震作用,因此,本次修订借鉴了欧洲规范《结构设计基础》EN 1990的规定,增加了地震设计状况。
4.0.3 根据港口工程结构的设计状况,结构设计应符合下列规定:
1 持久状况应进行承载能力极限状态和正常使用极限状态设计。
2 短暂状况应进行承载能力极限状态设计,可根据需要进行正常使用极限状态设计。
3 地震状况应进行承载能力极限状态设计,主体结构在出现设计的地震状况时不应丧失承载力。
4 有特殊要求时,也可对偶然状况进行承载能力极限状态设计或进行防护设计。
条文说明
4.0.3 持久状况是贯穿结构整个使用期的设计情况,要考虑承载能力极限状态和正常使用极限状态。如在整个设计使用年限内码头面承受堆货荷载和流动机械的设计状况,防波堤承受波浪力的状况。 短暂状况在结构施工和使用过程中一定出现,一般仅考虑承载能力极限状态,需要时还要考虑正常使用极限状态。如施工期吊运构件需要控制变形或抗裂的设计状况,使用期维修时承受荷载的状况。 地震状况一般按承载能力极限状态进行设计,使主要承重结构不致因出现设计的地震状况而丧失承载力,即能够抵抗设计烈度的地震,有局部损坏,经一般修理仍能继续使用。 偶然状况包括非正常撞击、爆炸、火灾等偶然事件,如果有特殊要求而规定在设计中考虑时,只进行承载能力极限状态设计或采取防护措施,使主体结构不致因出现设计规定的偶然事件而丧失稳定。
4.0.4 港口工程结构设计时,所选择的极限状态应采用相应的结构可能同时出现作用的最不利组合,并应符合下列规定:
1 承载能力极限状态设计应采用作用的持久组合、短暂组合和地震组合,有特殊要求时可采用作用的偶然组合。
2 正常使用极限状态设计应根据不同设计目的,分别选用下列作用组合:
标准组合:用于当超越极限状态时将产生永久性不可逆损坏的情况;频遇组合:用于当短期效应是决定性因素时的情况;准永久组合:用于当长期效应是决定性因素时的情况。
条文说明
4.0.4 本次修订明确了正常使用极限状态的作用组合为标准组合、频遇组合和准永久组合三种,设计时根据工程的具体情况,选定符合实际的作用组合。 标准组合,用于不可逆正常使用极限状态,当超越极限状态时将产生永久性不可逆损坏。例如:有抗裂要求的构件,一旦产生裂缝会造成不可逆的损坏。 频遇组合,主要用于当一个极限状态被超越时将产生局部损害、较大变形或振动等情况,一般用于可逆的正常使用极限状态。 准永久组合,主要用于当长期效应是决定性因素时的情况,如码头的沉降、钢筋混凝土构件的裂缝开展宽度计算。
5 基本变量
5.1 作用
5 基本变量
5.1 作用
5.1.1 结构上的作用应分为直接作用和间接作用。
条文说明
5.1.1 作用一词引自国际标准《结构可靠性总原则》ISO 2394,用以描述引起结构效应的各种原因。结构上的作用包括直接作用和间接作用。 直接作用是指施加于结构上的集中力和分布力,如自重、堆货荷载、波浪力等。工程上习惯于将这些力称为“荷载”,为了保持用语上的习惯和连续性,“荷载”仅作为直接作用的同义词。 间接作用是指引起结构外加变形和约束变形的原因,如地震、地基沉降、温度变形等。
5.1.2 结构上的各种作用,当在时间上和空间上相互独立时,每一种作用可分别作为结构的单个作用;当某些作用密切相关,且可能同时以最大值出现时,可将这些作用一起作为单个作用。
条文说明
5.1.2 结构上的某些作用,如码头面堆货荷载和系缆力,它们各自出现与否以及量值大小,在时间上和空间上均彼此互不相关,故称为在时间上和空间上相互独立的作用,这种作用在计算其效应和进行组合时,按单独的作用处理;而波浪力和波浪浮托力密切相关,它们的最大值会同时出现,就不能各自按单独作用考虑它们的组合。
5.1.3 结构上的作用可按下列原则分类:
1 随时间的变化分类:
永久作用;可变作用;偶然作用。
2 随空间的变化分类:
固定作用;自由作用。
3 按结构的反应特点分类:
静态作用:动态作用。
4 按有无界值分类:
有界作用;无界作用。
条文说明
5.1.3 结构上的作用随时间的变化分类是作用的基本分类,它直接关系到概率模型的选择。永久作用的统计参数与时间基本无关,一般采用随机变量概率模型来描述,如结构自重,其量值在整个设计基准期内基本保持不变;可变作用的统计参数与时间有关,一般采用随机过程概率模型来描述,如码头堆货荷载;偶然作用目前没有适合的概率模型,其特点是在设计基准期内不一定出现,而一旦出现量值很大,持续时间很短,如非正常撞击、爆炸、火灾等,一般通过协议确定代表值。 随空间的变化分类,主要考虑荷载在空间的位置及其所占面积的大小。固定作用的特点是在结构上出现的空间位置固定不变,但其量值可能具有随机性,如船舶系缆力、撞击力、门机防风锚碇力、顶升力等;自由作用的特点是在结构的一定空间上任意分布,出现的位置及量值都可能是随机的,如流动机械荷载、码头面堆货荷载等。 按结的反应分类,是因为进行结构分析时,某些出现在结构上的作用需要考虑结构的动力响应。 按有界和无界划分,对港口工程结构设计是很有必要的。有些作用在设计基准期内基本不会超越某一界限值,并且限值是确定的或已知的,如铁路荷载、汽车荷载、运输机械荷载、液体管道重力荷载等,或者像装卸机械荷载、液体管道推力荷载等达到限值概率较低的作用,这些作用为有界作用;对波浪力、风荷载、冰荷载等无法给出界限值的,为无界作用。对港口工程结构各种作用如何划分有界或无界,由相关的结构规范给出具体规定。
5.1.4 结构设计时,应根据不同极限状态和使用要求,在设计表达式中采用不同的作用代表值。永久作用应采用标准值作为唯一代表值;可变作用应采用标准值、组合值、频遇值和准永久值作为代表值。作用代表值可按本规范附录B确定。
5.1.5 可变作用的标准值应根据结构的不利状态,按在设计基准期内最不利作用概率分布的某个统计特征值确定;当观测数据不充分时,作用的标准值也可根据工程经验通过分析判断确定。对有明确界限值的有界作用,作用的标准值应取其界值。
5.1.6 地震作用标准值应根据地震作用的重现期确定。地震作用的重现期宜采用475年,也可根据具体工程情况采用其他重现期。
条文说明
5.1.6 地震作用的代表值按传统都采用当地地区的基本烈度,根据大部分地区的统计资料,它相当于设计基准期为50年最大烈度90%的分位值。如果采用重现期表示,基本烈度相当于重现期为475年的地震烈度。
5.2 材料、岩土性能
5.2 材料、岩土性能
5.2.1 材料的性能应以标准试件按相应的标准试验方法得到的结果为基础确定。当利用标准试件的试验结果确定工程结构中实际的材料性能时,应分析实际工程结构与标准试件,实际工作条件与标准试验条件差异产生的影响。
条文说明
5.2.1 用材料的标准试件试验所得的材料性能,一般来说,不等同于结构中实际的材料性能,有时两者可能有较大的差别。例如:材料试件的加荷速度远超过实际结构的受荷速度,致使试件的材料强度较实际结构中偏高;试件的尺寸远小于结构的尺寸,致使试件的材料强度受到尺寸效应的影响而与结构中不同;有些材料如混凝土,其标准试件的成型与养护和实际结构并不完全相同,有时甚至相差很大,以致两者的材料性能有所差别,因此条文对材料性能作了相应规定。
5.2.2 岩土性能、两介质间的摩擦系数等应通过室内试验、原位试验或现场测试等方法确定,并应分析钻探取样扰动以及室内,室外试验条件与实际工程条件差异产生的影响。
条文说明
5.2.2 岩土性能远较工程材料复杂,一是岩土种类多,各地区各土层间变化较大,二是性能本身有相关性,如粘聚力c与内摩擦角Φ值之间相互关联,因此,通过试验来确定。 对于试验值与现场实际值的差异,目前主要根据工程经验判断确定。
5.2.3 材料性能的标准值应根据符合规定质量的材料性能的概率分布的某一分位值确定。强度宜取概率为0.05的分位值,弹性模量、泊松比等物理性能的标准值宜取概率为0.5的分位值。当试验数据不充分或特殊情况时,材料性能的标准值可根据工程经验经分析判断确定。
条文说明
5.2.3 材料性能标准值是极限状态设计表达式中材料性能的取值,也是生产中对材料提出质量要求的主要依据。材料强度标准值一般取概率分布的低分位值,国际上一般取0.05分位值,本标准也采用这个分位值确定材料强度标准值。
5.2.4 岩土性能的标准值宜根据原位测试和室内试验的结果,结合工程经验,经分析判断按概率分布的某一分位值确定。砂石重度、砂石内摩擦角和两介质摩擦系数等较为稳定的性能可经过统计分析定出统一数值。
条文说明
5.2.4 砂石重度、内摩擦角和两介质间(如混凝土块之间、混凝土块与砂石之间)的摩擦系数,由于其性能比较稳定,若有足够数量的统计分析,可在设计规范中给出统一数值。
5.3 几何量
5.3 几何量
5.3.1 当几何量的变异性与各种作用、材料性能相比较小或是可忽略时,几何量可采用确定值,并在设计中规定。
条文说明
5.3.1 一般情况下,结构及结构构件的高度、宽度、长度、混凝土保护层厚度、钢筋直径、钢筋间距等几何特征值变异性小,取设计规定的值,土层的厚度和分布、水深等也属于几何量范围。
5.3.2 当几何量偏差对结构的影响不可忽略时,几何量应采用设计值。
条文说明
5.3.2 结构存在偏差是不可避免的,如打桩偏位、构件安装误差等,其偏差取决于施工工艺水平和相关的条件。如几何量的偏差可能对结构的性能和抗力产生显著的影响时,几何量的偏差需要在计算中考虑。
5.4 环境影响
5.4 环境影响
5.4.1 当环境对材料或岩土、构件和结构性能的影响不能忽略时,应在结构安全性和耐久性等设计中根据其产生的影响采取相应措施。
5.4.2 环境影响的效应可根据材料特性进行判定。当条件具备时,环境影响可采用数值描述,并建立对特定材料的模型。当两种或两种以上的环境影响产生组合效应时,应将环境影响作为一个总体进行分析。
条文说明
5.4.2 在某些情况下,环境影响可以用数值来描述,如建立海水中氯离子对钢筋影响的模型。 环境影响往往是根据它们对特定材料的侵蚀性来分类的。通常由两种或两种以上的环境影响产生组合效应,它比单一影响效应的总和更严重。因此规定应将环境影响作为一个总体进行分析。
6 结构分析
6.1 一般规定
6 结构分析
6.1 一般规定
6.1.1 结构分析应包括作用分析、作用效应分析、抗力分析。
条文说明
6.1.1 在结构设计时,对结构上的作用、作用效应和结构的抗力等及它们间的相互关系了解和认识的过程,即为结构分析。
6.1.2 结构分析应以结构理论和工程实践经验为基础,可采用计算、模型试验或原型试验等方法。
6.1.3 结构分析应将地基作为结构的一部分,并应按地基与上部结构共同作用进行结构分析。
条文说明
6.1.2、6.1.3 结构分析的基本方法有结构计算、模型试验和原型试验等,其中结构计算方法应用最为普遍。对某些重要的结构或构件,影响因素较为复杂,用计算方法难以得到满意的分析结果时,常采用模型试验方法进行分析。如果采用模型试验方法由于尺寸效应不能取得满意分析结果时,则采用原型试验方法。在具体分析时,通常将这些方法结合起来使用。 地基分析也是结构分析的重要组成部分,在港口工程结构设计中,地基与上部结构作为一个整体,因此应考虑地基与上部结构的共同作用。
6.2 计算
6.2 计算
6.2.1 结构分析采用的基本假定和计算模型应能合理描述所选择的极限状态下的结构反应。
条文说明
6.2.1 计算时,建立结构分析模型一般都要对结构原型进行适当简化,考虑决定性因素,忽略次要因素。
6.2.2 当结构按承载能力极限状态设计时,根据结构和材料对作用的反应,可采用线性理论或非线性理论计算;当结构按正常使用极限状态设计时,可采用线性理论计算;必要时,可采用非线性理论计算。
6.2.3 当结构承受自由作用时,最不利的作用布置应根据每一自由作用可能出现的空间位置确定。
6.2.4 当位移或变形使得作用的影响显著增大时,应对位移或变形的影响进行分析。
6.2.5 动态作用宜按结构的动态反应确定结构的作用效应。当将动态作用假设为准静态作用时,可将动态作用效应分析结果加入静态作用中,也可对静态作用乘以等效动力放大系数间接计算动态作用效应。
6.3 试验
6.3 试验
6.3.1 当缺乏适合的结构计算模型或现有计算方法精确度达不到要求时,结构的作用、作用效应、破坏形态或结构抗力应通过试验确定。基于试验模型的设计应符合本规范附录C的规定。
条文说明
6.3.1 为了保证港口工程结构的安全性和经济性,对结构上的作用、作用效应、破坏形态和结构抗力常采用模型试验的方法确定。
6.3.2 模型或原型试验条件应模拟实际情况,试验和分析方法应按实际结构的性能要求选择。
6.3.3 对试验结果应采用统计方法进行评估,并应分析试验结果的数量对相关参数统计不定性的影响,以及根据工程经验,分析模型与实际工程结构差异产生的影响。
7 极限状态设计表达式
7.1 一般规定
7 极限状态设计表达式
7.1 一般规定
7.1.1 结构极限状态设计表达式应根据各种极限状态的设计要求,采用有关的作用代表值、材料和岩土性能标准值、几何量及各种分项系数等表达。
7.1.2 结构极限状态设计表达式中各基本变量应采用设计值,并应符合下列规定:
1 作用的设计值可按下式确定:
F d =γ F F r (7.1.2-1)
式中:F d ——作用的设计值;
γ F ——作用的分项系数,含作用值向不利方向偏离代表值的可能性;当需对各种作用先行组合时,则表示综合分项系数;
F r ——作用的代表值。
2 材料、岩土性能或两介质间摩擦系数的设计值可按下式确定:

式中: 
d ——材料,岩土性能或两介质间摩擦系数的设计值;

k ——材料、岩土性能或两介质间摩擦系数的标准值;
γ M ——材料、岩土性能或两介质间摩擦系数的分项系数。含材料、岩土性能向不利方向偏离其标准值的可能性。
3 几何量设计值可按下式确定:
a d =a k (7.1.2-3)
式中:a d ——几何量的设计值;
a k ——几何量的标准值。
当几何量的偏差对结构可靠性具有显著影响时,几何量设计值应按下式计算:
a d =a k ±△a (7.1.2-4)
式中:a d ——几何量的设计值;
a k ——几何量的标准值;
△a——几何量的附加值。
4 结构抗力的设计值可按下列情况确定:
当结构抗力设计值按材料性能确定时,结构抗力的设计值应符合下式:
R d =R( 
d ,a d ,F d ,C,γ d ) (7.1.2-5)
当结构抗力设计值按岩土性能或静力平衡确定时,结构抗力的设计值应符合下式:
R d =R( 
k ,a k ,F r ,C,γ d )/γ R (7.1.2-6)
式中:R d ——结构抗力设计值;
R(·)——与材料、岩土性能或两介质间摩擦系数、几何量、作用代表值、结构规定限值和结构调整系数等有关的抗力函数;有些情况可以用R k 代替R( 
k ,a k ,F r ,C,γ d ),R k 为抗力标准值;
γ R ——抗力分项系数。
正常使用极限状态结构抗力设计值可采用结构规定限值。
条文说明
7.1.1、7.1.2 按本标准第3.0.6条的规定,结构可靠性采用以分项系数表达的极限状态设计方法。 采用分项系数是为了考虑各基本变量的设计值及其变异性对结构可靠度的影响。结构极限状态设计中,各基本变量是采用设计值,设计值为代表值乘(或除)以相应的分项系数。 港口工程中,材料、岩土性能可能作为组成结构抗力的基本变量,也可能作为组成作用效应的基本变量,需要根据不同情况分析。 依据有些港口工程结构当前所采用的计算方法,本次修订列入了对各种作用先进行组合,再相应地采用综合分项系数γF的内容。 式(7.1.2-5)和式(7.1.2-6)中,引进了结构调整系数γd。由于在校准计算中,其计算结果与以往公认的结果有差异,因而引进结构调整系数进行调整。但γd不是普遍要用的,只对少量特殊情况根据需要对抗力乘以
,其值由各有关规范给出。
7.2 设计表达式
7.2 设计表达式
7.2.1 承载能力极限状态设计表达式应符合下式:
γ 0 S d ≤R d (7.2.1)
式中:γ 0 ——不同结构安全等级的重要性系数,可按本标准表7.2.1取值;
S d ——作用组合的效应设计值;
R d ——抗力设计值。
表7.2.1 不同结构安全等级的重要性系数

注:1 安全等级为一级的港口工程结构,当对安全有特殊要求时,γ 0 可适当提高;
2 自然条件复杂、维护有困难时,γ 0 可适当提高。
条文说明
7.2.1 本条的表达式是通用的,要求抗力不小于作用效应。 重要性系数γ0在标准中是考虑结构破坏后果的严重性而引入的系数,称为结构重要性系数,根据《港口工程结构安全等级研究报告》,本次修订维持安全等级为一、二、三级的结构分别取1.1、1.0和0.9。可靠度分析表明,采用这些系数后,安全等级相差1级,结构可靠指标相差0.5左右。考虑到不同投资主体对港口结构可靠度的要求可能不同,因此,条文中允许根据自然条件、维护条件、使用年限和特殊要求等对结构重要性系数γ0进行调整,但安全等级不变。
7.2.2 承载能力极限状态应按本标准第4.0.4条的要求采用作用的持久组合、短暂组合、地震组合和偶然组合进行设计,并应符合下列规定:
1 采用持久组合设计应符合下列规定:
作用与作用效应为线性关系或假设为线性关系时,持久组合的效应设计值可按下式确定:

当作用与作用效应为非线性关系时,持久组合的效应设计值可按下式确定:

式中:S d ——作用组合的效应设计值;
γ Gi ——第i个永久作用的分项系数,可按本标准表7.2.2取值;
S Gik ——第i个永久作用标准值的效应;
γ P ——预应力的分项系数;
S P ——预应力作用有关代表值的效应;
γ Q1 、γ Qj ——分别为主导可变作用和第j个可变作用的分项系数,可按本标准表7.2.2取值;
S G1k 、S Gjk ——分别为主导可变作用和第j个可变作用标准值的效应;

——可变作用的组合系数,可取0.7;对经常以界值出现的有界作用可取1.0;
γ F ——作用综合分项系数;
G ik ——第i个永久作用的标准值;
Q jk ——第j个可变作用的标准值;
S(·)——作用组合的效应函数;
“+”——组合。
表7.2.2 永久作用和可变作用分项系数

注:1 当永久作用效应对结构承载能力起有利作用时,永久作用分项系数γ G 取值不应大于1.0;
2 同一来源的作用,当总的作用效应对结构承载能力不利时,分作用均应乘以不利作用的分项系数;
3 永久作用为主时,其分项系数不应小于1.3;
4 当两个可变作用完全相关,其中一个为主导可变作用时,与其相关的可变作用的分项系数应取主导可变作用的分项系数;
5 海港结构在极端高水位和极端低水位情况下,承载能力极限状态持久组合的可变作用分项系数应减小0.1;
6 除构件计算外的波浪力分项系数应按国家现行有关标准选取。
2 采用短暂组合设计应符合下列规定:
当作用与作用效应为线性关系或假设为线性关系时,短暂组合的效应设计值可按下式确定:

当作用与作用效应为非线性关系时,短暂组合的效应设计值可按下式确定:

式中:S d ——作用组合的效应设计值;
γ Gi ——第i个永久作用的分项系数,可按本标准表7.2.2取值;
S Gik ——第i个永久作用标准值的效应;
γ P ——预应力的分项系数;
S P ——预应力作用有关代表值的效应;
γ Qj ——第j个可变作用的分项系数,可按本标准表7.2.2中所列数值减小0.1采用;
S Qjk ——第j个可变作用标准值的效应;
γ F ——作用综合分项系数;
G ik ——第i个永久作用的标准值;
Q jk ——第j个可变作用的标准值;
S(·)——作用组合的效应函数;
“+”——组合。
3 地震组合可按下列原则确定:
地震作用的代表值分项系数为1.0;具体的设计表选式及各种系数应符合国家现行有关标准的规定。
4 偶然组合可按下列原则确定:
偶然作用的代表值分项系数为1.0;与偶然作用同时出现的可变作用取标准值。
条文说明
7.2.2 由于原标准与各有关结构设计规范的表达式存在一定差别,本次修订专门进行了“作用和抗力分析专题”研究,结合各相关规范的使用情况,并通过协调,提出了统一设计表达式。 承载能力极限状态持久组合有两个表达式,其中式(7.2.2-1),采用多系数形式,是基本表达式,用于作用与作用效应按线性叠加的情况,港口工程结构大多属于此种情况。一般结构构件内力均可用此式计算,也可用于重力式结构抗倾、抗滑、板桩墙踢脚稳定、锚碇墙稳定等计算;式(7.2.2-2)用于作用与作用组合的效应不按线性叠加的情况,适用于板桩内力、沉箱底板内力、地基承载力和土坡及地基稳定等计算。各相关的港口工程结构规范遵照本条规定,根据各类结构的特点,给出具体表达式。 短暂组合的设计表达式与持久组合基本相同,只是考虑了短暂状况的持续时段较短,各种作用以较大值同时出现的机会较多,故未区分主导可变作用和非主导可变作用。这样处理结构偏于安全,计算工作有所简化。 偶然作用虽然量值很大,但因其是事故性的,发生纯属意外,故从安全和经济两方而考虑,采用的可靠度可以较低。本标准只给出了偶然组合的设计原则。 为了标准规范编制人员和设计人员使用方便,本次修订将作用分项系数表从国家现行标准《港口工程荷载规范》JTJ 215-98中移至本标准,该表给出了港口工程结构设计计的主要作用的分项系数,抗倾、抗滑稳定计算时的波浪力作用分项系数由相关结构规范给出。 根据对结构承载能力有利和不利两种情况,对永久作用和可变作用的分项系数作出了具体规定。对于以永久作用为主(约占50%)的结构,为使结构计算可靠指标与目标可靠指标相当,条文规定其分项系数不应小于1.3。
7.2.3 正常使用极限状态设计表达式应符合下式:
S d ≤C (7.2.3)
式中:S d ——作用组合的效应设计值,包括变形、裂缝宽度和沉降量等;
C——结构规定限值,包括规定的最大容许变形、裂缝宽度和沉降量等。
7.2.4 根据不同的设计要求,持久状况的正常使用极限状态设计应符合下列规定:
1 当作用与作用效应为线性关系或假设为线性关系时,可分别采用作用的标准组合、频遇组合和准永久组合进行设计。
标准组合的效应设计值可按下式计算:

频遇组合的效应设计值可按下式计算:

准永久组合的效应设计值可按下式计算:

2 当作用与作用效应为非线性关系时,持久状况的正常使用极限状态作用组合的效应设计值可按下式确定:

式中:S d ——作用组合的效应设计值;
S Gik ——第i个永久作用标准值的效应;
S P ——预应力作用有关代表值的效应;
S Q1k 、S Qjk ——分别为主导可变作用和第j个可变作用标准值的效应;
G ik ——第i个永久作用的标准值;
Q jk ——第j个可变作用的标准值;
S(·)——作用组合的效应函数;
“+”——组合。

——可变作用的组合系数,频遇值系数和准永久值系数,可分别取0.7、0.7、0.6;对经常以界值出现的有界作用,组合系数和准永久值系数可取1.0。
条文说明
7.2.4 本次修订在明确了正常使刚极限状态三种作用组合的基础上,对各相关结构设计规范中频遇组合的表达式进行了调整。国内外相关研究表明:作用代表值包括作用标准值、组合值、频遇值和准永久值,其量值从大到小的排序依次为:作用标准值>组合值>频遇值>准永久值。原标准及各结构设计规范对可变作用的组合系数0.7和准永久值系数0.6进行了校准分析,本次修订沿用此结果,但对频道组合的可变作用频遇值系数按上述原则调整为0.7。
7.2.5 短暂状况的正常使用极限状态设计应符合下列规定:
1 当作用与作用效应为线性关系或假设为线性关系时,短暂状况的正常使用极限状态作用组合的效应设计值可按下式计算:

2 当作用与作用效应为非线性关系时,短暂状况的正常使用极限状态作用组合的效应设计值可按下式确定:

式中:S d ——作用组合的效应设计值;
S Gik ——第i个永久作用标准值的效应;
S P ——预应力作用有关代表值的效应;
S Qjk ——第j个可变作用标准值的效应;
G ik ——第i个永久作用的标准值;
Q jk ——第j个可变作用的标准值;
S(·)——作用组合的效应函数;
“+”——组合。
7.2.6 在承载能力极限状态作用组合计算中,海港工程结构设计应符合下列规定:
1 持久组合:计算水位应分别采用设计高水位、设计低水位、极端高水位、极端低水位和设计高水位与设计低水位之间的某一不利水位,并对各水位分别与地下水位相结合进行计算。
2 短暂组台:计算水位应分别采用设计高水位、设计低水位和设计高水位与设计低水位之间的某一不利水位,并对各水位分别与地下水位相结合进行计算。 ( 自2022年1月1日起废止该条,详见新规 《工程结构通用规范》GB 55001-2021 )
7.2.7 在承载能力极限状态作用组合计算中,河港工程结构设计应符合下列规定:
1 持久组合:计算水位应分别采用设计高水位、设计低水位和设计高水位与设计低水位之间的某一不利水位,并对各水位分别与地下水位相结合进行计算。
2 短暂组合:计算水位应分别采用设计高水位和设计低水位,施工期间可按设计高水位与设计低水位之间的某一不利水位进行计算。 ( 自2022年1月1日起废止该条,详见新规 《工程结构通用规范》GB 55001-2021 )
条文说明
7.2.6、7.2.7 这两条均为强制性条文。计算水位在港口工程结构设计中相当重要而又比较复杂,条文编写参考了国家现行标准《港口工程荷载规范》JTJ 215-98的相关规定。对于承载能力极限状态的持久组合,海港工程规定了五种水位,河港工程规定了三种水位;对于承载能力极限状态的短暂组合,海港工程规定了三种水位;河港工程比原标准增加了考虑施工期间某一不利水位。海港工程和河港工程均需要考虑地下水位的影响。 需要注意的是,设计高水位、设计低水位、极端高水位和极端低水位都是设计水位。
7.2.8 承载能力极限状态地震组合,计算水位按国家现行有关标准的规定执行。
7.2.9 正常使用极限状态作用组合可不计算极端高水位和极端低水位的情况。
8 质量控制要求
8 质量控制要求
8.0.1 对港口工程结构应实施保证结构可靠性所必需的质量控制,其质量控制应包括下列内容:
1 勘察和设计的质量控制。
2 结构材料和制品的质量控制。
3 施工的质量控制。
4 使用与维护的质量控制。
条文说明
8.0.1 结构的目标可靠指标,只有在真实的原始资料,正确的设计、施工,合理的使用、维护下才能够实现。因此,要对勘察、设计、材料及制品,施工过程以及使用期间的维护等进行全面、有效的控制。
8.0.2 勘察质量应达到下列要求:
1 各设计阶段的勘察、试验成果应满足相应阶段的设计要求。
2 地形、地貌、水深、气象和水文等观测的内容、范围、质量应符合设计要求。
3 地形、地貌、水深、气象和水文的观测方法、试验方法、精度及资料统计分析方法应符合有关标准的规定。
4 岩土工程地质单元体的划分、岩土样品的数量和质量应符合有关标准的规定,岩土物理力学性能指标应通过标准试验确定。
5 岩土勘察、试验成果的结论应明确,数据应准确,文件、图纸应清晰齐全。
条文说明
8.0.2 港口工程设计中,对拟建港口地区进行地形、地貌、水深、气象和水文(潮、浪、流、泥沙、冰)等进行勘察和观测,是为了提出反映客观自然条件的勘察成果,为设计提供可靠的依据,因此,条文对勘察的质量提出了原则要求。
8.0.3 设计质量控制应包括下列内容:
1 采用的资料齐全、可靠,分析准确。
2 数据、条件符合实际,基本假定合理。
3 计算模型合理,计算结果准确。
4 试验模型模拟技术路线正确。
5 符合实际的或可能的资源和施工条件。
6 图纸和其他设计文件符合有关规定。
7 符合国家对基本建设管理和质量管理的有关规定。
条文说明
8.0.3 本条文的规定是为了保证设计质量,使结构安全可靠、经济合理。
8.0.4 材料、制品和施工质量的控制应包括下列内容:
1 初步控制:经检验选用合格的原材料,通过试生产确定合理的原材料组成和工艺参数,提出生产控制所需的材料和构件性能的统计参数。
2 生产控制:对生产和施工过程的质量控制,保证生产过程正常运行和成品质量稳定。
3 合格控制:对材料质量、生产或施工成果进行控制,材料或成品的最终质量检验应符合设计规定的质量要求。
8.0.5 质量控制可采用总体控制或统计控制。总体控制应对每一生产单元全部进行检验,其质量验收标准应包括质量特征指标或允许偏差等;统计控制应采用抽样检验的方法进行,其质量验收标准的制定应以概率统计理论为基础,并应明确规定验收批量、抽样方法和数量,验收函数和验收界限等。
8.0.6 施工的质量控制宜将结构的整个施工过程按施工工序和操作人员的职责范围划分子工序。子工序内应实行质量自检,子工序间应规定交接的质量准则。
8.0.7 当材料、制品或施工的质量被判为不合格时,应根据有关的质量验收规定进行处理。
8.0.8 结构应在设计预定的使用条件下使用,当实际使用条件与设计预定的使用条件不同时,应进行专门验算,必要时应采取措施。
8.0.9 港口工程结构应定期检查工程状况,及时维护。
8.0.10 对既有结构变更使用用途、达到设计使用年限等情况,应对结构可靠性进行评估。既有结构的可靠性评估应符合本标准附录D的规定。
附录A可靠指标设计方法
A.1一般规定
附录A 可靠指标设计方法
A.1 一般规定
A.1.1 结构采用可靠指标方法设计应符合下列条件:
1 具有结构极限状态的方程。
2 基本变量具有可靠的统计数据并服从某一概率分布,
3 具有一定的工程设计经验。
条文说明
A.1.1 可靠性方法比较合理地反映了结构设计、使用中的不确定性,是结构设计发展的一个重要方向。目前来讲,直接用可靠性方法进行设计有两个方面的困难,一是不能获得全部设计基本变量的统计参数,二是计算比较复杂,不便于设计人员应用。所以,目前结构设计中采用的是以概率理论为基础的实用表达式,表达式中的分项系数是通过可靠度校准并结合以往设计经验确定的。为了推动可靠性设计理论的发展,鼓励设计中收集各种数据,使结构的设计更为合理,本标准给出了直接用可靠指标进行设计的方法,本条则给出了直接用可靠指标进行设计应具备的条件。
A.1.2 两个及以上可变作用参与组合时可选用特克斯特拉(Turkstra)组合规则。
条文说明
A.1.2 当结构上有两个及两个以上可变作用参与组合时,设计使用年限内这些作用同时以最大值出现的概率很小,所以应考虑这些作用效应的概率组合问题。目前有多种实用的作用组合规则,其中特克斯特拉(Turkstra)组合规则概念比较明确,计算也比较简单,与理论方法的对比分析表明,大多数情况下都能给出合理的结果。所以本条建议采用特克斯特拉(Turkstra)组合规则。
A.1.3 在设计使用年限内,港口工程结构持久状况承载能力极限状态情况下,不同安全等级结构的最小目标可靠指标可按表A.1.3采用。
表A.1.3 不同安全等级结构的最小目标可靠指标β T

注:表中结构不包括土坡及地基稳定和防波堤结构。
条文说明
A.1.3 表A.1.3给出的目标可靠指标是根据港口工程结构可靠度校准结果确定的,反映了我国以往港口工程结构的可靠度水平,在设计中可作为可靠指标的下限值使用,设计人员可根据业主的要求采用不同的可靠指标,但不能小于表A.1.3中的数值。 土坡及地基稳定由于抗力变异性较大,防波堤的波浪力和波浪浮托力相关性强,因此其目标可靠指标值较低,不包括在表A.1.3中。
A.1.4 结构可靠指标与结构失效概率的对应关系可按表A.1.4采用。
表A.1.4 结构可靠指标β与结构失效概率p f 的对应关系

A.2可靠指标设计
A.2 可靠指标设计
A.2.1 对某一设计状况,所设计结构或结构构件的可靠指标应满足下式要求:
β i ≥β T (A.2.1)
式中:β i ——结构第i种情况的可靠指标;
β T ——最小目标可靠指标。
条文说明
A.2.1 对一种设计状况中的多种情况,需要同时满足表A.1.3中可靠指标的要求,如重力式码头的承载能力极限状态设计,确定码头尺寸时需要同时满足抗倾稳定性、抗滑稳定性和地基承载力及构件承载力的要求,码头尺寸的变化会使得各种情况的可靠指标均发生变化,所以应按式(A.2.1)进行校核。
A.2.2 可靠指标可采用下列方法计算。
1 结构或结构构件的极限状态方程可按下式表达:
g(X 1 ,X 2 ,…,X n )=0 (A.2.2-1)
式中:X 1 ,X 2 ,…,X n ——基本变量,包括作用、材料和岩土性能、几何量及计算模型的不确定性系数;
g(X 1 ,X 2 ,…,X n )——基本变量的函数,当g(X 1 ,X 2 ,…,X n )>0时结构处于可靠状态;当g(X 1 ,X 2 ,…,X n )=0时结构处于极限状态;当g(X 1 ,X 2 ,…,X n )<0时结构处于失效状态。
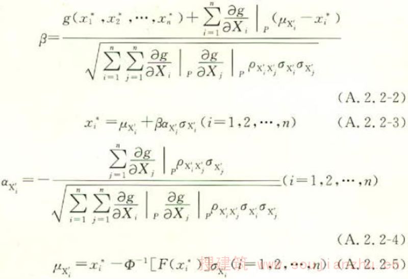
2 当采用一次二阶矩方法时,可靠指标可按下列公式迭代计算:


式中: 
——基本变量的验算点坐标值;

——功能函数在验算点P处对第i个变量的一阶偏导数值。

——第i个变量的灵敏度系数:

——第i个当量正态化变量的平均值和标准差;
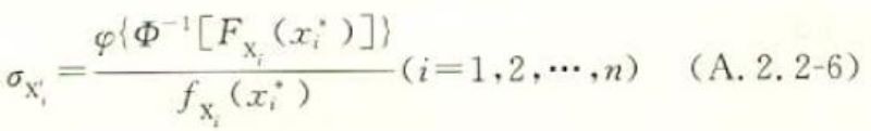
? Xi (·)、 F Xi (·)——第i个变量的概率密度函数和概率分布函数;

——标准正态随机变量的概率密度函数和概率分布函数的反函数;

——第i个和第j个当量正态化变量间的相关系数,可取为第i个和第j个变量间的相关系数ρ Xi Xj 。
3 采用其他方法确定结构或结构构件的失效概率时,可靠指标可按下式计算:

式中:β——可靠指标;
p f ——失效概率;

——正态分布函数的反函数。
条文说明
A.2.2 考虑随机变量概率分布的一次二阶矩方法是目前国内外广泛采用的方法。本条中的计算公式还考虑了变量间的统计相关性,因为在港口工程结构设计中,有些情况下变量统计上是相关的,这样使分析结果更为合理。根据式(A.2.2-2)~式(A.2.2-6)迭代计算可靠指标的步骤如下:
1 假定变量旧的验算点值(初值,可取平均值);
2 将验算点值取为旧的验算点值,按式(A.2.2-5)和式(A.2.2-6)计算当量正态随机变量的平均值和标准差;
3 按式(A.2.2-2)计算可靠指标;
4 按式(A.2.2-4)计算灵敏度系数;
5 按式(A.2.2-3)计算新的验算点值;
6 如果新得到的验算点值与假定的验算点值差的平方和的均方根满足规定的误差要求,则本次计算的可靠指标即为所求的可靠指标,停止计算;否则将假定的验算点值改为新的验算点值转第2步重新计算。 对港口工程的某些情况,如果用一次二阶矩方法进行可靠指标设计不是很方便,也可采用蒙特卡洛方法直接进行模拟,但当结构失效概率很小时(如小于10-6),模拟计算次数非常多,分析占用时间过多。所以选择可靠指标计算方法时,要全面进行权衡。
附录B作用代表值的确定方法
B.1永久作用的标准值
附录B 作用代表值的确定方法
B.1 永久作用的标准值
B.1.1 永久作用的概率分布可采用正态分布,其平均值和变异系数应根据观测资料,用数理统计方法确定。
B.1.2 永久作用的标准值可按下列原则确定:
1 结构自重的标准值应根据结构设计图纸规定的尺寸和材料的重度标准值进行计算。对自重变异性很小的结构,可取其平均值。对自重变异性较大的结构,结构自重的标准值应经统计分析,并应按下列规定采用概率分布的某一分位值确定:
当自重增加对结构不利时,应采用高分位值;当自重增加对结构有利时,应采用低分位值;当结构受其自重变异性的影响非常敏感时,即使变异性很小也应采用高分位和低分位两个标准值。
2 预应力作用可采用高分位和低分位两个标准值,两个值均应分析时间因素的影响。承载能力极限状态可采用平均值。
3 因施工方式、材料收缩或膨胀引起的外加变形量可采用指定值,因收缩或膨胀引起的变形宜分析时间因素的影响。
条文说明
B.1.2 一般情况下,结构自重的变异性不大,即使取用其概率分布的某一分位值,与平均值相差也不会很大,所以标准值可直接按结构设计图纸规定的尺寸和材料的重量密度标准值进行计算。而对某些自重变异性较大的结构,则应根据自重增加对结构的影响是不利的还是有利的,分别采用概率分布的高分位值和低分位值作为标准值。对自重变异性影响非常敏感的结构,如某些类型的预应力混凝土结构,变异性很小也会使结构产生的效应明显不同,所以需要采用两个标准值。 对正常使用极限状态设计,当预应力起有利作用时,采用低分位值,如抗裂验算或验算变形时;当预应力起不利作用时,采用高分位值,如反拱验算时。对承载能力极限状态,采用平均值,如局部承压验算。 因施工方式、材料收缩或膨胀引起的外加变形难以进行统计分析,所以根据工程经验采用指定值。
B.2可变作用的标准值
B.2 可变作用的标准值
B.2.1 永久性港口工程结构的设计基准期宜取为50年。
B.2.2 结构上的可变作用宜采用随机过程概率模型描述。具体分析时,可将可变作用的随机过程模型转化为结构设计基准期内的最大值或最小值随机变量概率模型描述。
当可变作用采用平稳随机过程模型时,可将结构设计基准期分为若干个相等的时段,应用可变作用的最大值或最小值分布原理,按下列公式确定设计基准期内可变作用最大值或最小值的概率分布函数:
F Q T (χ)=[F Q (χ)] r (B.2.2-1)
F Q t (χ)=1-[1-F Q (χ)] r (B.2.2-2)
式中:F Q T (χ)——可变作用设计基准期内最大值的概率分布函数;
F Q (χ)——可变作用任意时段最大值的概率分布函数;
r——设计基准期内可变作用的时段数;
F Q t (χ)——可变作用设计基准期内最小值的概率分布函数。
当可变作用采用其他类型的随机过程模型时,可变作用在设计基准期内最大值或最小值的概率分布函数应采用相应的公式确定。
B.2.3 可变作用的统计参数和任意时点概率分布应以实际观测或试验数据为基础,采用参数估计和概率分布的假设检验方法确定。
B.2.4 可变作用的标准值可按设计基准期内其最大值概率分布或最小值概率分布可接受的概率确定,并应符合下列规定:
1 如果可变作用增大对结构产生不利效应,标准值可根据最大值概率分布按下式确定:

式巾:Q k ——可变作用标准值;

——可变作用设计基准期内最大值概率分布函数的反函数;
p——可接受的概率,应取较大值。
2 如果可变作用减小对结构产生不利效应,标准值可根据最小值概率分布按下式确定:

式中:Q k ——可变作用标准值;

——可变作用设计基准期内最小值概率分布函数的反函数;
p——可接受的概率,应取较小值。
3 对自然因素产生的可变作用的标准值可根据重现期按下式确定:

式中:Q k ——可变作用标准值;

——可变作用任意时点值概率分布函数的反函数;
T R ——重现期。
条文说明
B.2.4 对能进行统计分析的可变作用,按其设计基准期内最大值或最小值概率分布的某一分位值确定标准值是一种常用的方法。
按重现期定义可变作用的标准值是工程中的另一种常用的方法。对于可变作用的标准值Qk
重现期T R 与设计基准期T内作用超越Q k 的概率p具有如下关系:

B.2.5 当不能确定可变作用的概率分布时,标准值可根据经验确定。
B.3可变作用的组合值
B.3 可变作用的组合值
B.3.1 可变作用组合值的确定应满足下列条件:
1 参与组合的作用互相独立。
2 每个作用的时段相等。
3 在代表性的时段内作用值的概率分布相同。
4 每个作用各时段间的量值不相关。
5 参与组合的作用是平稳各态历经过程。
条文说明
B.3.1 由于可变作用的形式复杂多样,用严格的随机过程模型描述可变作用也比较困难,所以确定可变作用的组合值是一个非常复杂的问题。本标准中确定组合系数或组合值的方法是以实用的特克斯特拉(Turkstra)组合规则为基础的,本条给出了应用特克斯特拉(Turkstra)组合规则的条件。
B.3.2 可变作用的组合值可按下式确定:

式中: 
——可变作用的组合系数;
Q k ——可变作用的标准值;

——可变作用设计基准期内最大值概率分布函数的反函数;

——标准正态随机变量的概率分布函数;
β T ——目标可靠指标;
r——设计基准期内可变作用的时段数。
条文说明
B.3.2 考虑两个可变作用组合的情形,极限状态方程为:
R-C1Q1-C2Q2=0 (2) 按照特克斯特拉(Turkstra)组合规则,当Q1为主导可变作用、Q2为非主导可变作用时,抗力和作用的验算点值满足: 
——主导可变作用设计基准期内最大值的验算点值、非主导可变作用任意时点值的验算点值和抗力的验算点值。
按照可靠性设计理论,基本变量的设计值取为基本变量的验算点值。当Q1为主导可变作用、Q2为非主导可变作用时,其设计值为:

参照国际标准《结构可靠性总原则》ISO 2394和欧洲规范《结构设计基础》EN 1990,取α Q2T =0.7,α Q2 =0.4×0.7=0.28,得可变作用的组合系数:

非主导可变作用的组合值为
Q 2k ,其中Q 2k 为Q 2 的标准值。
假定堆货荷载服从极值Ⅰ型分布,其50年设计基准期内的变异系数为0.0833(参见《港口工程结构可靠度》,人民交通出版社,1992年),当目标可靠指标β T 分别取为4.0、3.5和3.0时,求得
=0.625、0.646和0.665,本标准取
=0.7。
B.3.3 当不能给出可变作用的随机过程模型或任意时点分布及统计特征时,组合值或组合系数可根据经验确定。
B.4可变作用的频遇值
B.4 可变作用的频遇值
B.4.1 可变作用的频遇值可根据可变作用的随机过程模型按下列方法之一确定:
1 可变作用的频遇值宜根据超越作用值的总持续时间与设计基准期的比值按图B.4.1-1确定,其比值按下式计算:
μ x =∑t i /T (B.4.1-1)
式中:μ x ——超越作用值的总持续时间与设计基准期的比值,一般小于0.1;
∑t i ——超越作用值的总持续时间;
T——设计基准期。
对于平稳各态历经过程,当比值为规定的值时,可变作用频遇值可按下式确定:

式中:Q x ——可变作用频遇值;

——作用任意时点值概率分布函数的反函数;
μ x ——超越作用值的总持续时间与设计基准期的比值;
q——作用的非零概率。

图B.4.1-1 确定可变作用频遇值的图示
2 可变作用的频遇值也可根据跨阈率按图B.4.1-2确定,跨阈率按下式计算:
υ x =n x /T (B.4.1-3)
式中:υ x ——跨阈率;
n x ——设计基准期内超越作用值的总频数;
T——设计基准期。
当可变作用任意时点值的平均值及跨阈率已知,并且是高斯平稳各态历经随机过程时,对应于规定跨阈率的频遇值可按下式计算:

式中:Q x ——可变作用频遇值;
μ Q ——可变作用任意时点值的平均值;
σ Q ——可变作用任意时点值的标准差;
υ m ——可变作用跨越任意时点值平均值的跨阈率;
υ x ——可变作用跨越规定值的跨阈率。

图B.4.1-2 按跨阈率确定可变作用频遇值的图示
条文说明
B.4.1 超越频遇值Qx
的总持续时间与设计基准期的比值μ x =∑t i /T反映了可变作用超越该值的频繁程度,频遇值大时,μ x 小;频遇值小,μ x 大。当可变作用任意时点值的概率分布F Q (χ)已知时,超越Q x 的概率为:
p x =1-F Q (Q x ) (9)
对于平稳各态历经过程,随机过程样本函数按时间的平均等于随机过程的统计平均,从而有:
μ x =p x q (10)
式中:q——作用的非零概率。
这样即得到式(B.4.1-2)。
在随机过程理论中,单位时间内超越某一水平的平均频数为跨阈率。用跨阈率确定可变作用的频遇值更能反映跨越Qx的频繁程度。式(B.4.1-4)是根据高斯平稳各态历经随机过程理论确定的,只适用于作用是高斯平稳各态历经过程的可变作用。
B.4.2 可变作用频遇值系数可按下式确定:

式中: 
——可变作用频遇值系数;
Q x ——可变作用频遇值;
Q k ——可变作用标准值。
B.4.3 当不能确定可变作用的随机过程模型或任意时点值概率分布及统计特征时,频遇值或频遇值系数可根据经验确定。
B.5可变作用的准永久值
B.5 可变作用的准永久值
B.5.1 可变作用的准永久值可根据可变作用的随机过程模型按下列方法之一确定:
1 对在结构上经常出现的可变作用,可将其出现部分的平均值作为准永久值。
2 对不易判别是否在结构上经常出现的可变作用,准永久值可按作用值超越的总持续时间与设计基准期的比值确定,该比值可取0.5。当可变作用是平稳各态历经随机过程时,准永久值可直接按式(B.4.1-2)确定。
条文说明
B.5.1 可变作用的准永久值是在结构正常使用极限状态的分析中,将可变作用“折合”为永久作用的值。一种方法是以平均值为基准,按照“大值”与“小值”互补的原则进行“折合”,所以可用平均值作为准永久值;另一种方法是将超越的总持续时间约为设计基准期一半的值作为准永久值。
B.5.2 当不能确定可变作用的随机过程模型或任意时点分布及统计特征时,准永久值或准永久值系数可根据经验确定。
附录C基于试验模型的设计
C.1试验范围和类型
附录C 基于试验模型的设计
C.1 试验范围和类型
C.1.1 作用、作用效应及结构抗力和材料性能设计值可通过模型试验确定。基于模型试验的设计方法可用于下列情况:
1 不能按现行规范进行设计。
2 缺乏计算参数或计算参数不能正确反映工程实际情况。
3 对计算模型有怀疑,可能导致不利设计结果。
4 使用新型结构或构件、新材料或建立新设计公式。
条文说明
C.1.1 试验是一切理论的基础,科学的发展使得一些常规问题可以用计算代替试验,但由于问题的复杂性及设计中遇到的非常规问题。还需要直接用试验的方法解决。试验可以是结构、构件的足尺试验,也可以是物理模型试验。本条说明了基于试验进行设计的几种情况。
C.1.2 以试验为基础进行设计时,试验可进行下列分类:
1 确定作用或作用效应的试验。
2 在给定的荷载条件下,直接确定结构或结构构件极限承载力或使用性能的试验。
3 用规定的实验方法获得材料、岩土性能的试验。
4 结构或模型整体试验。
条文说明
C.1.2 本条说明了试验的类型。第1款为确定作用或作用效应的试验,如波或流作用等的试验;第2款和第3款为确定结构或结构构件抗力和材料性能的试验,如试桩、冲击试验,地基的现场试验或岩土的实验室试验、新材料试验,不包括材料的质量检验;第4款为不区分作用和抗力的结构或模型整体试验,如离心模型试验。
C.2试验方案与过程
C.2 试验方案与过程
C.2.1 试验前应制定一个符合相关技术标准的试验方案。根据试验的类型,试验方案应包括下列内窖:
1 试验依据和遵守的技术标准。
2 项目概况、试验目的、内容和要求。
3 试验的基本资料、试验方法和实施方案。
4 试验试件、物理模型的选取和制作。
5 试验设备和测量仪器。
6 试验进度计划、预期目标,试验结果和评估的必要说明。
C.2.2 试验应分析与真实条件的符合性。原型试验的试件尺寸、材料、加载方式、受力状态、边界条件应与结构的实际状况相符;对物理模型试验,模型的相似性和边界条件等应能反映结构设计的极限状况。
C.2.3 选择的试验环境和加载顺序应能代表在正常和异常的条件下,对结构所期望的工作状况。试验设备应适合试验的类型及所期望的测量范围。加载设备和支承刚架应具有足够强度和刚度,必要时应计算加载设备与结构反应间的相互作用。试验需规定的加载和环境条件应包括:加载点、加载历史、约束条件、温度、相对湿度和加载方式等。
C.2.4 试验过程中应按试验的内容和规定的环境条件进行相应记录,当试验过程中有不同于预测或不正常的情况出现时,应进行详细的注释。
C.3试验报告与结果处理
C.3 试验报告与结果处理
C.3.1 试验完成后应按试验所依据的标准编写试验报告。报告应按试验方案的内容编写,当试验过程中试验方案有调整时,应说明原因。试验报告应给出明确的试验过程、结果和结论,当试验结果与预分析的结果相差过大时,应分析原因,必要时增做补充试验。
C.3.2 当将试验结果用于实际设计时,应分析试件与实际构件质量控制水平、构件尺寸效应等可能存在的各种差别,试验结果应仅用于与试验相同的受力情况和环境条件。
条文说明
C.3.2 尽管要求试验与设计中的实际情况尽可能相符合,但仍会不可避免地出现各种差异,当将试验结果用于设计时,应考虑这些差异,否则会使设计的结构与同类结构的可靠度不同。
C.3.3 对承载能力极限状态,作用设计值应根据试验确定的作用标准值乘以作用分项系数确定;材料性能或抗力的设计值可根据试验确定的标准值除以材料性能分项系数或抗力分项系数确定,必要时要乘以转换系数,也可根据试验结果直接确定。
C.3.4 转换系数应通过试验并结合理论分析确定,理论分析应包括尺寸效应、时间效应、边界条件、影响材料性能的环境条件、工艺条件等影响因素。
C.3.5 根据试验确定标准值时,应分析试验结果的统计不确定性。对于材料性能或结构抗力,当变量服从正态分布或对数正态分布时,标准值可按下列方法确定:
1 当变量服从正态分布时,试验数据的平均值、标准差及变量的标准值按下列公式计算:

X k(n) =m X -k (n) s Χ (C.3.5-3)
式中:m X ——试验数据的平均值;
n——试验数据的数量(样本容量);
χ i ——第i个试验结果;
s Χ ——试验数据的标准差;
X k(n) ——变量的标准值;
k (n) ——与样本容量有关的系数,可按表C.3.5取值。
表C.3.5 分位值为5%,置信度为75%时的k (n) 值

2 当变量服从对数正态分布时,试验数据对数的平均值、标准差及变量的标准值按下式计算:

X k(n) =exp(m lnX -k (n) s lnX ) (C.3.5-6)
式中:m lnX ——试验数据对数的平均值;
χ i ——第i个试验结果;
n——试验数据的数量(样本容量);
s lnX ——试验数据对数的标准差;
X k(n) ——变量的标准值;
k (n) ——与样本容量有关的系数,可按表C.3.5取值。
条文说明
C.3.5 由表C.3.5可以看出,由于统计不确定性的存在,当试验数据较少时,系数k(n)比较大,如果数据的变异性也较大,则按止态分布确定的变量标准值可能为负值,这显然是不符合要求的,解决的一种方法是增加试验数量,另种方法是采用对数正态分布。具体还要结合工程判断。
附录D既有结构的可靠性评估
附录D 既有结构的可靠性评估
D.0.1 既有结构可靠性评估应明确进行评估的原因、目的和范围。
D.0.2 既有结构可靠性评估的内容应包括安全性、适用性和耐久性。
条文说明
D.0.2 结构可靠性设计包括安全性、适用性和耐久性三个方面,所以既有结构可靠性的评估也应该包括这三个方面。
D.0.3 既有结构可靠性评估应以现场检测和计算为基础。
条文说明
D.0.3 材料性能、几何尺寸等设计中的随机变量,对既有结构则是可以实测的量,因此,评估时应对这些量进行实测。另外,既有结构的实际受力状态、边界条件等也可能与设计时有所不同。所以实测是既有结构可靠性评估不可缺少的方面。
D.0.4 既有结构可靠性评估宜按初步评估和详细评估两步进行,是否进行详细评估应根据初步评估的结果确定。当初步评估结果显示结构处于危险状态或有向危险状态快速发展的趋势时,应报告委托人立即采取措施。
条文说明
D.0.4 将既有结构可靠性评估分为初步评估和详细评估两个步骤有两个优点。一是当初步评估结果表明结构处于良好工作状态时不需再进行详细评估,可减少评估的工作量和费用;二是可及时发现结构是否处于严重缺陷或危险状态,以便立即采取措施,避免危险的发生。
D.0.5 既有结构可靠性评估宜按结构的特点分为不同的层次,并应根据不同的层次确定检测内容和方法。
条文说明
D.0.5 一个结构往往由多个部分或构件组成,各个部分或构件的位置不同,功能也不同。所以评估中宜根据结构的特点划分为不同的层次,在不同的层次上进行评估,然后进行综合分析。
D.0.6 作用的代表值应根据既有结构使用期间曾出现过的最大作用,结构的新用途、结构继续使用期等综合确定。
条文说明
D.0.6 既有结构改变用途,结构上作用的代表值会变化;既有结构继续使用时,则需要根据继续使用的年限,结合使用过程中曾经出现过的最大作用,确定作用的代表值。
D.0.7 既有结构的材料性能应以实测为基础确定,并按本标准附录C的方法分析统计不确定性的影响,且应包括环境影响及地震作用、偶然作用下结构受到损伤及结构存在质量缺陷时材料性能或抗力的变化。对于环境影响,有条件时宜预测其变化趋势。
条文说明
D.0.7 尽管既有结构的材料性能是可测的,但由于材料的不均匀性及实测误差,仍需用数理统计方法处理,并考虑统计不确定性的影响。
D.0.8 既有结构的结构分析应根据实测的构件尺寸、材料性能、边界条件按本标准第6章的有关规定进行。
条文说明
D.0.8 既有结构的结构分析方法与设计时的结构分析方法基本相同,只是应以实际测得的构件尺寸、材料性能、边界条件为基础进行,
D.0.9 除分析和试验外,结构可靠性评估还应分析结构构造的影响。
条文说明
D.0.9 构造是保证结构可靠性的一个重要方面,所以既有结构可靠性评估不应忽略构造的影响。
D.0.10 结构性能退化和环境条件比较复杂、详细的结构分析或检测不能单独作出清晰的说明或不能单独证明结构具有规定的可靠性时,评估可采用结构现场试验的方法。
条文说明
D.0.10 结构现场试验是评估既有结构可靠性最直接的一种方法,具有一定的风险,需要专业人员进行,以免造成结构破坏,发生危险。
D.0.11 评估报告应有明确的评估结论和对结构采取措施的建议。
本标准用词说明
本标准用词说明
1 为便于在执行本标准条文时区别对待,对要求严格程度不同的用词说明如下:
表示很严格,非这样做不可的:
正面词采用“必须”,反而词采用“严禁”;
表示严格,在正常情况下均应这样做的:
正面词采用“应”,反面词采用“不应”或“不得”;
表示允许稍有选择,在条件许可时首先应这样做的:
正面词采用“宜”,反面词采用“不宜”;
表示有选择,在一定条件下可以这样做的,采用“可”。
2 条文中指明应按其他有关标准执行的写法为:“应符合……的规定”或“应按……执行”。
引用标准名录
引用标准名录
《结构可靠性总原则》ISO 2394
《结构设计基础》EN 1990
《港口工程荷载规范》JTJ 215
自2022年1月1日起废止的条文

