Appearance
《混凝土中氯离子含量检测技术规程[附条文说明]》JGJ/T 322-2013
🗓️ 住房和城乡建设部 实施时间:2014-06-01
前言
中华人民共和国行业标准
混凝土中氯离子含量检测技术规程
Technical specification for test of chloride ion content in concrete
JGJ/T 322-2013
批准部门:中华人民共和国住房和城乡建设部
施行日期:2014年6月1日
中华人民共和国住房和城乡建设部公告
第229号
住房城乡建设部关于发布行业标准《混凝土中氯离子含量检测技术规程》的公告
现批准《混凝土中氯离子含量检测技术规程》为行业标准,编号为JGJ/T 322-2013,自2014年6月1日起实施。
本规程由我部标准定额研究所组织中国建筑工业出版社出版发行。
中华人民共和国住房和城乡建设部
2013年12月3日
前言
根据住房和城乡建设部《关于印发<2012年工程建设标准规范制订、修订计划>的通知》(建标[2012]5号)的要求,编制组经广泛调查研究,认真总结实践经验,参考有关国际标准和国外先进标准,并在广泛征求意见的基础上,编制本规程。
本规程的主要技术内容是:1 总则;2 术语和符号;3 基本规定;4 混凝土拌合物中氯离子含量检测;5 硬化混凝土中氯离子含量检测;6 既有结构或构件混凝土中氯离子含量检测。
本规程由住房和城乡建设部负责管理,中国建筑科学研究院负责具体技术内容的解释。执行过程中如有意见或建议,请寄送至中国建筑科学研究院(地址:北京市北三环东路30号;邮政编码:100013)。
本规程主编单位 :中国建筑科学研究院
江西昌南建设集团有限公司
本规程参编单位 :江苏博特新材料有限公司
舟山市博远科技开发有限公司
广东省建筑科学研究院
河北建设集团有限公司混凝土分公司
新疆西部建设股份有限公司
浙江恒力建设有限公司
贵州中建建筑科研设计院有限公司
丰润建筑安装股份有限公司
上海中技桩业股份有限公司
上海市建筑科学研究院(集团)有限公司
北京市建设工程质量第三检测所有限责任公司
宁波市建工检测有限公司
广东瑞安科技实业有限公司
浙江求是工程检测有限公司
北京中关村开发建设股份有限公司
浙江盛业建设有限公司
哈尔滨佳连混凝土技术开发有限公司
宁波三江检测有限公司
深圳市罗湖区建设工程质量检测中心
本规程主要起草人员 :冷发光 丁威 王晶 周永祥 何春凯 诸华丰 王元光 刘建忠 魏立学 吴志旗 董志坚 何更新 钟安鑫 户均永 聂顺金 马永胜 张墙 姜钦德 於林锋 王军民 毛朝晖 仲以林 范晓冬 袁勇军 韦庆东 王永海 张洪基 裴晓文 蒋屹军 王伟
本规程主要审查人员 :阎培渝 石云兴 郝挺宇 张显来 陈爱芝 王军 李昕成 蓝九元 崔金华 桂苗苗 周岳年 刘数华
条文说明
中华人民共和国行业标准
混凝土中氯离子含量检测技术规程
JGJ/T322-2013
条文说明
制订说明 《混凝土中氯离子含量检测技术规程》JGJ/T322-2013,经住房和城乡建设部2013年12月3日以第229号公告批准、发布。 本规程编制过程中,编制组进行了广泛而深入的调查研究,总结了我国目前工程建设中混凝土氯离子含量检测技术的实践经验,同时参考了国外先进技术法规、技术标准,通过试验取得了混凝土氯离子检测的重要技术参数。 为便于广大设计、施工、科研、学校等单位有关人员在使用本规程时能正确理解和执行条文规定,《混凝土中氯离子含量检测技术规程》编制组按章、节、条顺序编制了本规程的条文说明,对条文规定的目的、依据以及执行中需注意的有关事项进行了说明。但是,本条文说明不具备与规程正文同等的法律效力,仅供使用者作为理解和把握规程规定的参考。
1 总则
1 总 则
1.0.1 为保证混凝土工程的耐久性,规范混凝土中氯离子含量的检测,制定本规程。
条文说明
1.0.1混凝土主要由水泥、矿物掺合料、骨料、水和外加剂等原材料组成,混凝土拌制过程中引入的氯离子和在服役过程中受到氯离子的侵蚀,均会使混凝土含有氯离子,当混凝土中氯离子含量,尤其是水溶性氯离子超过一定浓度时就会引起钢筋的锈蚀,直接危害混凝土结构的耐久性和安全性。本规程以确保混凝土的工程质量为目的,主要根据我国现有的标准规范、科研成果和实践经验,并参考国外先进标准制定而成。本规程规定的试验方法适用于普通混凝土,对于聚合物混凝土、纤维混凝土等特种混凝土来说,具备条件时可参照本规程规定的方法执行。
1.0.2 本规程适用于混凝土拌合物、硬化混凝土中氯离子含量的检测。
条文说明
1.0.2本规程的适用范围包括混凝土拌合物,以及硬化混凝土试件和既有结构或构件混凝土。
1.0.3 混凝土中氯离子含量的检测除应符合本规程外,尚应符合国家现行有关标准的规定。
条文说明
1.0.3对于混凝土中氯离子含量检测的有关技术内容,本规程规定的以本规程为准,未作规定的应按其他标准执行。
2 术语和符号
2.1 术语
2 术语和符号
2.1 术 语
2.1.1 水溶性氯离子 water-soluble chloride ion
混凝土中可溶于水的氯离子。
条文说明
2.1.1一般来讲,混凝土中的氯离子可以分为两大类:混凝土中的氯离子,其中一类氯离子在混凝土孔隙溶液中仍保持游离状态,称为自由氯离子,可溶于水;另一类氯离子是结合氯离子。这里水溶性氯离子指混凝土中可用水溶出的氯离子。
2.1.2 酸溶性氯离子 acid-soluble chloride ion
混凝土中用规定浓度的酸溶液溶出的氯离子。
条文说明
2.1.2混凝土中氯离子包括自由氯离子和结合氯离子,其中结合氯离子又包括与水化产物反应以化学结合方式固化的氯离子和被水泥带正电的水化物所吸附的氯离子。氯离子的这些状态也是可以相互转化的,如以化学结合方式固化的氯离子只有在强碱性环境下才能生成和保持稳定,而当混凝土的碱度降低时,以化学结合方式固化的氯离子转化为游离形式存在的自由氯离子,参与对钢筋的锈蚀反应。因此,酸溶性氯离子含量有时也称为氯离子总含量,包括水溶性氯离子和以物理化学吸附、化学结合等方式存在的固化氯离子。
2.2 符号
2.2 符 号
条文说明
为了避免与密度单位“kg/m3”相混淆,mB、mS、mW和mC所代表混凝土配合比中每立方米混凝土原材料的用量单位采用“kg”,而且采用单位“kg”在相应的计算公式中的意义也更加明确。由于计算公式中mCl-与mB、mS、mW和mC单位量纲一致,因此每立方米混凝土拌合物中水溶性氯离子质量mCl-的单位也为“kg”。
C AgNO 3 ——硝酸银标准溶液的浓度;
C NaCl ——氯化钠标准溶液的浓度;
C Cl - ——混凝土滤液试样的水溶性氯离子浓度;
G——砂浆样品质量;
m Cl - ——每立方米混凝土拌合物中水溶性氯离子质量;
m B ——混凝土配合比中每立方米混凝土的胶凝材料用量;
m S ——混凝土配合比中每立方米混凝土的砂用量;
m W ——混凝土配合比中每立方米混凝土的用水量;
m C ——混凝土配合比中每立方米混凝土的水泥用量;
W W Cl - ——硬化混凝土中水溶性氯离子占砂浆试样质量的百分比;
W A Cl - ——硬化混凝土中酸溶性氯离子占砂浆试样质量的百分比;
W C Cl - ——硬化混凝土中水溶性氯离子含量占水泥质量的百分比;
W B Cl - ——硬化混凝土中酸溶性氯离子含量占胶凝材料质量的百分比;
w Cl - ——混凝土拌合物中水溶性氯离子含量占水泥质量的百分比。
3 基本规定
3 基本规定
3.0.1 预拌混凝土应对其拌合物进行氯离子含量检测。
条文说明
3.0.1本条规定了预拌混凝土的检测对象,应对混凝土拌合物进行氯离子含量检测。
3.0.2 硬化混凝土可采用混凝土标准养护试件或结构混凝土同条件养护试件进行氯离子含量检测,也可钻取混凝土芯样进行氯离子含量检测。存在争议时,应以结构实体钻取混凝土芯样的氯离子含量的检测结果为准。
条文说明
3.0.2本条规定了硬化混凝土的检测对象,可对混凝土标准养护试件、结构混凝土同条件养护试件和钻取芯样进行氯离子含量检测。由于结构实体的芯样最能够反映混凝土结构的真实情况,因此规定在存在争议时,以结构实体钻取芯样的氯离子含量作为最终检测结果进行评定。
3.0.3 受检方应提供实际采用的混凝土配合比。
条文说明
3.0.3本条规定了受检方需要提供实际采用的混凝土配合比,用于检测混凝土中氯离子含量的结果计算与评定。
3.0.4 在氯离子含量检测和评定时,不得采用将混凝土中各原材料的氯离子含量求和的方法进行替代。
条文说明
3.0.4混凝土中各原材料中氯离子含量的检测方法与本规程规定的测试方法存在一定差异,测试结果存在一定出入,故规定在执行本规程进行氯离子含量检测和评定时,不得采用将混凝土中各原材料氯离子含量相加求和的方法进行替代。
4 混凝土拌合物中氯离子含量检测
4.1 一般规定
4 混凝土拌合物中氯离子含量检测
4.1 一般规定
4.1.1 混凝土施工过程中,应进行混凝土拌合物中水溶性氯离子含量检测。
条文说明
4.1.1由于混凝土中的水溶性氯离子含量的高低会直接影响钢筋混凝土结构的耐久性,造成严重的工程质量问题甚至酿成事故。因此,在配合比设计阶段和生产施工过程中检测混凝土拌合物的水溶性氯离子含量是非常必要的。本条中规定了配合比设计阶段和施工过程中对混凝土拌合物中水溶性氯离子含量由第三方检测机构进行检测。
4.1.2 同一工程、同一配合比的混凝土拌合物中水溶性氯离子含量的检测不应少于1次;当混凝土原材料发生变化时,应重新对混凝土拌合物中水溶性氯离子含量进行检测。
条文说明
4.1.2对同一工程、同一配合比的混凝土,至少检测1次混凝土拌合物中水溶性氯离子含量的规定有利于质量控制,确保所用混凝土的安全性。当原材料发生变化时,应重新对混凝土拌合物中水溶性氯离子含量进行检测。对于海砂混凝土来说,当海砂砂源批次改变时,也应重新检测新拌海砂混凝土中水溶性氯离子含量。
4.2 取样
4.2 取 样
4.2.1 拌合物应随机从同一搅拌车中取样,但不宜在首车混凝土中取样。从搅拌车中取样时应使混凝土充分搅拌均匀,并在卸料量约为1/4~3/4之间取样。取样应自加水搅拌2h内完成。
条文说明
4.2.1对混凝土中氯离子含量进行检测评定时,保证混凝土取样的随机性,是使所取试样具有代表性的重要条件。现场混凝土的拌制和浇筑是以一盘或一车混凝土为基本单位,一盘指搅拌混凝土的搅拌机一次搅拌的混凝土,因此也可以盘为基本单位进行取样。只有在同一盘或同一车混凝土拌合物中取样,才能代表该基本单位的混凝土,但不宜在首车或首盘混凝土中取样。另外规定了取样前使混凝土充分搅拌均匀,并在卸料量约为1/4~3/4之间取样,也是为了保证所取试样能够代表该车或该盘混凝土,使所取试样更具代表性。同时考虑到混凝土拌合物经运输到达施工现场,混凝土的质量还可能发生变化,因此宜在施工现场取样。当运送时间超过2h时,混凝土拌合物性能与刚出机混凝土差异较大,而且此时取样试验的可操作性变差,因此宜在搅拌机出口取样。并且还规定了完成混凝土拌合物取样的时限,加水搅拌后2h以内砂浆未完全硬化,在等质量蒸馏水中能够分散均匀。
4.2.2 取样方法应符合现行国家标准《普通混凝土拌合物性能试验方法标准》GB/T 50080的有关规定。
条文说明
4.2.2按现行国家标准《普通混凝土拌合物性能试验方法标准》GB/T50080的规定取样也是保证所取试样具有代表性和试验的可操作性。
4.2.3 取样数量应至少为检测试验实际用量的2倍,且不应少于3L。
条文说明
4.2.3本条规定了最小取样量:应至少为试验实际用量的2倍,且不少于3L,以免影响取样的代表性和试验的可操作性。
4.2.4 雨天取样应有防雨措施。
条文说明
4.2.4本条规定了雨天取样应有防雨措施,避免外界雨水影响样品的代表性和客观性。
4.2.5 取样时应进行编号、记录下列内容并写入检测报告:
1 取样时间、取样地点和取样人;
2 混凝土的加水搅拌时间;
3 采用海砂的情况;
4 混凝土标记;
5 混凝土配合比;
6 环境温度、混凝土温度,现场取样时的天气状况。
条文说明
4.2.5本条规定了取样记录内容的有关要求。其中取样时间应注明混凝土的加水搅拌时间;取样还应包含是否采用海砂和混凝土配合比等信息,以及环境温度及混凝土样品温度应记录取样时的天气状况。
4.2.6 检测应采用筛孔公称直径为5.00mm的筛子对混凝土拌合物进行筛分,获得不少于1000g的砂浆,称取500g砂浆试样两份,并向每份砂浆试样加入500g蒸馏水,充分摇匀后获得两份悬浊液密封备用。
条文说明
4.2.6取样后,应立即用筛孔公称直径为5.00mm的筛子进行筛分,否则时间越长筛分离的难度越大。本规程附录A和附录B的试验方法规定的砂浆试样均为2份,每份500g,向砂浆试样中加入500g蒸馏水。因此本条规定从筛出的砂浆中称取2份、每份500g的砂浆试样,加入500g蒸馏水摇匀后密封,能够防止污染和水分挥发。同时盛放样品的容器应为玻璃容器或对溶液氯离子浓度无影响的塑料密封容器,避免污染滤液试样。
4.2.7 滤液的获取应自混凝土加水搅拌3h内完成,并应按本规程附录A.0.5条的规定分取不少于100mL的滤液密封以备仲裁,用于仲裁的滤液保存时间应为一周。
条文说明
4.2.7规定了完成滤液获取的时限。自加水搅拌3h内完成能够避免试验时差对氯离子溶出结果的影响,减小试验结果的波动并且规定按照本规程附录A.0.5的规定要求提取足量滤液密封保存,用于仲裁的滤液保存时间应为一周。
4.2.8 检测结果应在试验后及时告知受检方。
条文说明
4.2.8混凝土拌合物中氯离子含量的检测结果直接影响着施工进度和混凝土质量控制,因此检测结果应在试验后及时告知受检方。
4.3 检测方法与结果评定
4.3 检测方法与结果评定
4.3.1 混凝土拌合物中水溶性氯离子含量可采用本规程附录A或附录B的方法进行检测,也可采用精度更高的测试方法进行检测;当作为验收依据或存在争议时,应采用本规程附录B的方法进行检测。
条文说明
4.3.1本条规定了混凝土拌合物中水溶性氯离子含量测试方法及其应用范围:混凝土拌合物中水溶性氯离子含量可采用本规程附录A或者附录B的方法进行检测,也可采用离子色谱法等精度更高的测试方法进行检测;附录A的测试方法主要作为筛查和质检的检测方法;当作为验收依据或存在争议时,按照本规程附录B的规定检测混凝土拌合物中水溶性氯离子含量。
4.3.2 当采用本规程附录A的方法检测混凝土拌合物中水溶性氯离子含量时,每个混凝土试样检测前均应重新标定电位-氯离子浓度关系曲线。
条文说明
4.3.2为了提高检测的精度和稳定性,本条规定采用本规程附录A的方法检测混凝土拌合物中水溶性氯离子含量时,每测一个试样前均应重新标定电位-氯离子浓度关系曲线。
4.3.3 混凝土拌合物中水溶性氯离子含量,可表示为水泥质量的百分比,也可表示为单方混凝土中水溶性氯离子的质量。
条文说明
4.3.3本条规定了试验结果的表示方式。通过对国外标准的调研,美国混凝土学会(ACI)分别在ACI201.2R《耐久混凝土指南》、ACI222R《混凝土中金属防锈保护》与ACI318M《美国混凝土结构设计规范》中作出相关规定,均以氯离子占水泥质量的百分比作为限制指标进行了规定;而日本的标准规定了单方混凝土中氯离子质量的限定值。在混凝土配合比已知的条件下,两者是可以相互换算的。我国现行国家标准《混凝土质量控制标准》GB50164和《预拌混凝土》GB/T14902中均以混凝土拌合物中水溶性氯离子含量占水泥的质量分数作为限制指标进行了规定,考虑到换算的简便性和与我国相关标准的协调性,规定混凝土拌合物的水溶性氯离子含量可表示为占水泥质量的百分比,也可以表示为单方混凝土所含的水溶性氯离子质量。
4.3.4 混凝土拌合物中水溶性氯离子含量应符合国家现行标准《混凝土质量控制标准》GB 50164、《预拌混凝土》GB/T 14902和《海砂混凝土应用技术规范》JGJ 206的有关规定。
条文说明
4.3.4混凝土拌合物水溶性氯离子含量应符合国家现行标准《混凝土质量控制标准》GB50164、《预拌混凝土》GB/T14902和《海砂混凝土应用技术规范》JGJ206的有关规定。
5 硬化混凝土中氯离子含量检测
5.1 一般规定
5 硬化混凝土中氯离子含量检测
5.1 一般规定
5.1.1 当检测硬化混凝土中氯离子含量时,可采用标准养护试件、同条件养护试件;存在争议时,应采用标准养护试件。
条文说明
5.1.1本条对硬化混凝土氯离子含量检测试件的要求进行了规定。当检测硬化混凝土中氯离子含量时,可采用标准养护试件、同条件养护试件。存在争议时应采用标准养护试件。
5.1.2 当检测硬化混凝土中氯离子含量时,标准养护试件测试龄期宜为28d,同条件养护试件的等效养护龄期宜为600℃·d。
条文说明
5.1.2本条规定了硬化混凝土氯离子含量检测时试件龄期的要求。标准养护试件龄期宜为28d,同条件养护试件的等效养护龄期宜为600℃·d。
5.2 试件的制作和养护
5.2 试件的制作和养护
5.2.1 用于检测氯离子含量的硬化混凝土试件的制作应符合现行国家标准《普通混凝土力学性能试验方法标准》GB/T 50081的有关规定;也可采用抗压强度测试后的混凝土试件进行检测。
条文说明
5.2.1本条规定了硬化混凝土氯离子含量检测试件的制作要求。硬化混凝土中氯离子含量的检测试件应符合现行国家标准《普通混凝土力学性能试验方法标准》GB/T50081中有关抗压强度试件制作的规定;当检测氯离子含量的试件要求与测试强度的试件一致时,也可采用抗压强度测试后的混凝土试件。
5.2.2 用于检测氯离子含量的硬化混凝土试件应以3个为一组。
条文说明
5.2.2本条规定了每组试件的数量要求。3个试件为一组。
5.2.3 试件养护过程中,不应接触外界氯离子源。
条文说明
5.2.3本条规定了试件的养护要求。养护过程中应避免外界的氯离子污染试件,保证试验的客观准确。
5.2.4 试件制作时应进行编号、记录下列内容并写入检测报告:
1 试件制作时间、制作人;
2 养护条件;
3 采用海砂的情况;
4 混凝土标记;
5 混凝土配合比;
6 试件对应的工程及其结构部位。
条文说明
5.2.4本条规定了试件制作时需要记录并写入检测报告的信息。对于制作的混凝土试件应进行编号,记录试件制作时间、制作人、养护条件、是否采用海砂和试件对应的工程及其结构部位等信息。
5.3 取样
5.3 取 样
5.3.1 检测硬化混凝土中氯离子含量时,应从同一组混凝土试件中取样。
5.3.2 应从每个试件内部各取不少于200g、等质量的混凝土试样,去除混凝土试样中的石子后,应将3个试样的砂浆砸碎后混合均匀,并应研磨至全部通过筛孔公称直径为0.16mm的筛;研磨后的砂浆粉末应置于105℃±5℃烘箱中烘2h,取出后应放入干燥器冷却至室温备用。
条文说明
5.3.1、5.3.2这两条规定了硬化混凝土氯离子含量的取样方法。从一组(3个)硬化混凝土试件内部分别取样200g,去除石子,这里的石子指公称粒径大于5.00mm的岩石颗粒及其破碎部分;去除石子后将剩余砂浆混合,研磨全部通过筛孔公称直径为0.16mm的筛,105℃±5℃烘箱中烘2h后应放入干燥器冷却至室温备用。之所以采用筛孔公称直径为0.16mm的筛,是因为编制组对于同一硬化混凝土试样,进行分别通过筛孔公称直径分别为0.63mm、0.315mm、0.16mm和0.08mm筛的砂浆粉末的水溶性氯离子含量的对比试验,检测结果表明通过筛孔公称直径0.16mm筛的砂浆粉末的水溶性氯离子含量最高(图1),试验结果最安全。而且与日本JISA1154规定加工成0.15mm以下的粉末要求基本相当,考虑到试验的可操作性和测试结果的安全性,以及与我国相关标准的协调性,故规定采用筛孔公称直径为0.16mm的筛。 
图1两组混凝土经过不同公称直径筛孔的砂浆粉磨水溶性氯离子含量检测结果
5.4 检测方法与结果评定
5.4 检测方法与结果评定
5.4.1 硬化混凝土中水溶性氯离子含量应按本规程附录C的方法进行检测。
5.4.2 硬化混凝土中酸溶性氯离子含量应按本规程附录D的方法进行检测。
条文说明
5.4.1、5.4.2这两条规定了硬化混凝土中氯离子含量的检测方法。硬化混凝土中水溶性氯离子含量应按照本规程附录C的方法进行检测,硬化混凝土中酸溶性氯离子含量应按照本规程附录D的方法进行检测。
5.4.3 硬化混凝土中水溶性氯离子含量应符合现行国家标准《混凝土质量控制标准》GB 50164的有关规定。硬化混凝土中酸溶性氯离子含量应符合现行国家标准《混凝土结构设计规范》GB 50010的有关规定。存在争议时,应以酸溶性氯离子含量作为最终结果进行评定。
条文说明
5.4.3本条对硬化混凝土中氯离子含量要求进行了规定:硬化混凝土中水溶性氯离子含量应符合现行国家标准《混凝土质量控制标准》GB50164的规定。硬化混凝土中酸溶性氯离子含量应符合现行国家标准《混凝土结构设计规范》GB50010的规定。与硬化混凝土中水溶性氯离子含量相比,《混凝土结构设计规范》GB50010中对酸溶性氯离子含量的限值规定更加严格,偏于安全。因此,当存在争议时,应以酸溶性氯离子含量为准进行评定。
6 既有结构或构件混凝土中氯离子含量检测
6.1 一般规定
6 既有结构或构件混凝土中氯离子含量检测
6.1 一般规定
6.1.1 在对既有结构或构件混凝土进行氯离子含量检测时,当缺少同条件养护混凝土试件时,可从既有结构或构件钻取混凝土芯样检测混凝土中氯离子含量。
条文说明
6.1.1从既有结构或构件混凝土钻取芯样容易对结构或构件造成损伤,应尽量避免从既有结构或构件中钻取芯样来检测混凝土的氯离子含量,因此,有同条件混凝土试件时,检测同条件混凝土试件氯离子含量。但是,当缺少同条件混凝土试件或已有资料无法确认既有结构或构件混凝土中氯离子含量时,可从既有结构或构件钻取芯样检测混凝土中氯离子含量。
6.1.2 氯离子含量检测宜选择结构部位中具有代表性的位置,并可利用测试抗压强度后的破损芯样制作试样。
条文说明
6.1.2既有结构或构件混凝土取样应具有代表性,既有结构或构件混凝土的氯离子含量检测的试样可利用测试抗压强度后的破损芯样,可在降低对结构或构件的损伤的同时,减少了工作量,提高了可操作性。
6.2 取样
6.2 取 样
6.2.1 钻取混凝土芯样检测氯离子含量时,相同混凝土配合比的芯样应为一组,每组芯样的取样数量不应少于3个;当结构部位已经出现钢筋锈蚀、顺筋裂缝等明显劣化现象时,每组芯样的取样数量应增加一倍,同一结构部位的芯样应为同一组。
条文说明
6.2.1本条规定了既有结构或构件混凝土取样要求。对相同配合比的混凝土进行取样,所取混凝土芯样为一组,每组的混凝土芯样数量不应少于3个;如该结构部位已经出现钢筋锈蚀、顺筋裂缝等明显劣化现象时,取样数量应增加一倍,同一结构部位所取的芯样归为一组。
6.2.2 氯离子含量检测的取样深度不应小于钢筋保护层厚度。
6.2.3 取得的样品应密封保存和运输,不得被其他物质污染。
条文说明
6.2.2、6.2.3这两条规定了钻取芯样的要求。深度应不小于钢筋保护层厚度;在保存和运输过程中进行密封,使其他物质不会污染待检试样,保证试验的客观准确。
6.2.4 取样时应进行编号、记录下列内容并写入检测报告:
1 取样时间、取样地点和取样人;
2 工程名称、结构部位和混凝土标记;
3 采用海砂的情况;
4 取样方案简图和样品数量;
5 混凝土配合比。
条文说明
6.2.4本条规定了对既有结构或构件混凝土中氯离子含量进行检测时,需要记录并写入检测报告的取样信息。包括:取样时间、取样地点和取样人、工程名称、结构部位和混凝土标记、是否采用海沙和混凝土配合比等信息。
6.2.5 既有结构或构件混凝土中氯离子含量的检测应从同一组混凝土芯样中取样。应从每个芯样内部各取不少于200g、等质量的混凝土试样,去除混凝土试样中的石子后,应将3个试样的砂浆砸碎后混合均匀,并应研磨至全部通过筛孔公称直径为0.16mm的筛;研磨后的砂浆粉末应置于105℃±5℃烘箱中烘2h,取出后应放入干燥器冷却至室温备用。
条文说明
6.2.5本条规定了对既有结构或构件混凝土中氯离子含量检测时的制样方法;石子是指公称粒径大于5.00mm的岩石颗粒及其破碎部分。
6.3 检测方法与结果评定
6.3 检测方法与结果评定
6.3.1 既有结构或构件混凝土中水溶性氯离子含量应按本规程附录C的方法进行检测。
6.3.2 既有结构或构件混凝土中酸溶性氯离子含量应按本规程附录D的方法进行检测。
条文说明
6.3.1、6.3.2这两条规定了既有结构或构件混凝土中氯离子含量的检测方法。既有结构或构件混凝土中水溶性氯离子含量应按照本规程附录C的方法进行检测,既有结构或构件混凝土中酸溶性氯离子含量应按照本规程附录D的方法进行检测。
6.3.3 既有结构或构件混凝土中水溶性氯离子含量应符合现行国家标准《混凝土质量控制标准》GB 50164的有关规定。既有结构或构件混凝土中酸溶性氯离子含量应符合现行国家标准《混凝土结构设计规范》GB 50010的有关规定。存在争议时,应以酸溶性氯离子含量作为最终结果进行评定。
条文说明
6.3.3本条对既有结构或构件混凝土中氯离子含量要求进行了规定。结构或构件混凝土中水溶性氯离子含量应符合现行国家标准《混凝土质量控制标准》GB50164的有关规定。结构或构件混凝土中酸溶性氯离子含量应符合现行国家标准《混凝土结构设计规范》GB50010的有关规定。与硬化混凝土中氯离子含量的规定相同,《混凝土结构设计规范》GB50010中对酸溶性氯离子含量的限值规定更加严格,偏于安全。因此,当存在争议时,应以酸溶性氯离子含量为准进行评定。
附录A混凝土拌合物中水溶性氯离子含量快速测试方法
附录A 混凝土拌合物中水溶性氯离子含量快速测试方法
条文说明
本测试方法源于《水运工程混凝土试验规程》JTJ270-1998中的“海砂、混凝土拌合物中氯离子含量的快速测定”,原理不变,操作变动有以下几点: 1增加了对测试系统误差的规定:系统测试的最大允许误差为±10%。原标准发布实施已有15年之久,在此期间测试技术和仪器设备的精度不断得到提升,根据对目前测试设备和相关氯离子含量快速测定仪主流产品的调研,测试的最大允许误差可以满足±10%的要求。 2原测试方法将电极直接插入混凝土拌合物砂浆试样中进行测试,在工程实践中,操作方面的异议很多。本测试方法改变为采用砂浆与蒸馏水质量比1:1混合后的滤液进行测试。原因如下:1)氯离子选择电极和参比电极(的敏感膜)与溶液接触的良好程度直接关系到测量精度,而砂浆由于其非液态特性,有碍于氯离子在其中的自由扩散,使得电极敏感膜表面的氯离子溶度因扩散受限而小于实际值,直接插入砂浆中测量将难以保证其良好接触;2)砂浆中存在大量杂质颗粒,有损氯离子选择电极和参比电极的敏感膜(敏感膜的厚度非常薄),将严重损害电极的使用寿命;3)以滤液作为测试对象能较好地避免以上两个问题,而且测试状态与“电位-氯离子浓度”曲线标定的状态一致;4)验证试验证明可操作性提高,测试误差减小。 3原标准中只对砂浆试样进行一次测试,作为试验结果进行计算,本规程分别测量两份砂浆样品的氯离子含量,以计算平均值作为检测结果,能够降低主观因素和系统测试造成的误差,保证试验结果的科学性和客观性。
A.0.1 本方法适用于现场或试验室的混凝土拌合物中水溶性氯离子含量的快速测定。
A.0.2 试验用仪器设备应符合下列规定:
1 氯离子选择电极:测量范围宜为5×10 -5 mol/L~1×10 -2 mol/L;响应时间不得大于2min;温度宜为5℃~45℃;
2 参比电极:应为双盐桥饱和甘汞电极;
3 电位测量仪器:分辨值应为1mV的酸度计、恒电位仪、伏特计或电位差计,输入阻抗不得小于7MΩ;
4 系统测试的最大允许误差应为±10%。
A.0.3 试验用试剂应符合下列规定:
1 活化液:应使用浓度为0.001mol/L的NaCl溶液;
2 标准液:应使用浓度分别为5.5×10 -4 mol/L和5.5×10 -3 mol/L的NaCl标准溶液。
条文说明
A.0.3试验所用的浓度分别为5.5×10-4mol/L和5.5×10-3mol/L的NaCl标准溶液参照《化学试剂标准滴定溶液的制备》GB/T601中氯化钠标准滴定溶液的相关规定配制。
A.0.4 试验前应按下列步骤建立电位-氯离子浓度关系曲线:
1 氯离子选择电极应放入活化液中活化2h;
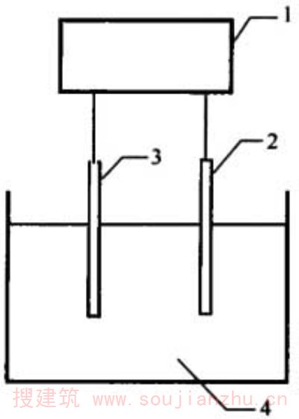
2 应将氯离子选择电极和参比电极插入温度为20℃±2℃、浓度为5.5×10 -4 mol/L的NaCl标准液中,经2min后,应采用电位测量仪测得两电极之间的电位值(图A.0.4);然后应按相同操作步骤测得温度为20℃±2℃、浓度为5.5×10 -3 mol/L的NaCl标准液的电位值。应将分别测得的两种浓度NaCl标准液的电位值标在E-lgC坐标上,其连线即为电位-氯离子浓度关系曲线;
3 在测试每个NaCl标准液电位值前,均应采用蒸馏水对氯离子选择电极和参比电极进行充分清洗,并用滤纸擦干;
4 当标准液温度超出20℃±2℃时,应对电位-氯离子浓度关系曲线进行温度校正。

图A.0.4 电位值测量示意图
1-电位测量仪;2-氯离子选择电极;3-参比电极;4-标准液或滤液
A.0.5 试验应按下列步骤进行:
1 试验前应先将氯离子选择电极浸入活化液中活化1h;
2 应将按本规程4.2.6条的规定获得的两份悬浊液分别摇匀后,以快速定量滤纸过滤,获取两份滤液,每份滤液均不少于100mL;
3 应分别测量两份滤液的电位值:将氯离子选择电极和参比电极插入滤液中,经2min后测定滤液的电位值;测量每份滤液前应采用蒸馏水对氯离子选择电极和参比电极进行充分清洗,并用滤纸擦干;应分别测量两份滤液的温度,并对建立的电位-氯离子浓度关系曲线进行温度校正;
4 应根据测定的电位值,分别从E-lgC关系曲线上推算两份滤液的氯离子浓度,并应将两份滤液的氯离子浓度的平均值作为滤液的氯离子浓度的测定结果。
A.0.6 每立方米混凝土拌合物中水溶性氯离子的质量应按下式计算:

式中:m Cl - ——每立方米混凝土拌合物中水溶性氯离子质量(kg),精确至0.01kg;
C Cl - ——滤液的氯离子浓度(mol/L);
m B ——混凝土配合比中每立方米混凝土的胶凝材料用量(kg);
m S ——混凝土配合比中每立方米混凝土的砂用量(kg);
m W ——混凝土配合比中每立方米混凝土的用水量(kg)。
条文说明
A.0.6本条规定了每立方米混凝土拌合物中水溶性氯离子质量的计算方法。由于砂浆为混凝土拌合物在加水搅拌初期取样,设水溶性氯离子分散于砂浆中,试验砂浆质量为500.0g,水溶性氯离子占砂浆质量分数为x,则可根据测试数据建立下列公式:
将式(2)代入式(3)中,即可得到本规程附录式(A.0.6),单位为kg。
A.0.7 混凝土拌合物中水溶性氯离子含量占水泥质量的百分比应按下式计算:

式中:w Cl - ——混凝土拌合物中水溶性氯离子占水泥质量的百分比(%),精确至0.001%;
m C ——混凝土配合比中每立方米混凝土的水泥用量(kg)。
条文说明
A.0.7本条规定了混凝土拌合物中水溶性氯离子含量占水泥质量的百分比的计算方法。每立方米混凝土拌合物中水溶性氯离子含量与每立方米混凝土拌合物的水泥用量的比值,为混凝土拌合物中水溶性氯离子含量占水泥质量的百分比,即本规程附录式(A.0.7)。
附录B混凝土拌合物中水溶性氯离子含量测试方法
附录B 混凝土拌合物中水溶性氯离子含量测试方法
条文说明
本测试方法源于我国台湾标准《混凝土拌合物中水溶性氯离子含量试验方法》CNS13465A3343中的“以硝酸银滴定法分析氯离子含量”方法,原理不变,操作变动有以下几点: 1将原标准中试样滤液的取样方式由抽气过滤或离心分离的方式调整为加蒸馏水后、沸煮、再过滤。变动的主要理由是:对于强度等级C40以下的混凝土来说,通过抽气过滤或离心分离的方式能够获得足量的滤液,但对较高强度的混凝土或水胶比较小的普通强度的混凝土来说,通过抽气过滤或离心分离的方式获得的滤液量非常有限,在试验操作过程中由于滤液挥发或人为因素引入的误差对最终试验结果影响较大,而且可操作性较差。本规程规定加入等质量水获取滤液的方法,误差小,测试结果比较准确。 2原标准对滤液未进行进一步的处理,本规程参照ASTMC1218增加了沸煮、过滤的处理。经过沸煮5min能够有效促进水溶性氯离子的溶出,沸煮处理后的滤液试样比只经过振摇后的略高(图2),所得测试结果偏于安全。 3省去了添加除干扰离子的特殊试剂。变动的主要理由是:本规程针对的是混凝土拌合物水溶性氯离子含量的测定,测定时采用了蒸馏水制备滤液,因此干扰离子含量非常低,故省去了添加除干扰离子的化学试剂,验证试验结果表明,是否添加除干扰离子化学试剂对试验结果没有影响。
B.0.1 试验用仪器设备应符合下列规定:
1 天平:配备天平两台,其中一台称量宜为2000g、感量应为0.01g;另一台称量宜为200g、感量应为0.0001g;
2 滴定管:宜为50mL棕色滴定管;
3 容量瓶:100mL、1000mL容量瓶应各一个;
4 试验筛:筛孔公称直径为5.00mm金属方孔筛,应符合现行国家标准《试验筛 金属丝编织网、穿孔板和电成型薄板筛孔的基本尺寸》GB/T 6005的有关规定;
5 移液管:应为20mL移液管;
6 三角烧瓶:应为250mL三角烧瓶;
7 烧杯:应为250mL烧杯;
8 带石棉网的试验电炉、快速定量滤纸、量筒、表面皿等。
B.0.2 试验用试剂应符合下列内容:
1 分析纯-硝酸;
2 乙醇:体积分数为95%的乙醇;
3 化学纯-硝酸银;
4 化学纯-铬酸钾;
5 酚酞;
6 分析纯-氯化钠。
B.0.3 铬酸钾指示剂溶液的配制步骤应为:称取5.00g化学纯铬酸钾溶于少量蒸馏水中,加入硝酸银溶液直至出现红色沉淀,静置12h,过滤并移入100mL容量瓶中,稀释至刻度。
B.0.4 物质的量浓度为0.0141mol/L的硝酸银标准溶液的配制步骤应为:称取2.40g化学纯硝酸银,精确至0.01g,用蒸馏水溶解后移入1000mL容量瓶中,稀释至刻度,混合均匀后,储存于棕色玻璃瓶中。
B.0.5 物质的量浓度为0.0141mol/L的氯化钠标准溶液的配制步骤应为:称取在550℃±50℃灼烧至恒重的分析纯氯化钠0.8240g,精确至0.0001g,用蒸馏水溶解后移入1000mL容量瓶中,并稀释至刻度。
B.0.6 酚酞指示剂的配制步骤应为:称取0.50g酚酞,溶于50mL乙醇,再加入50mL蒸馏水。
B.0.7 硝酸溶液的配制步骤应为:量取63mL分析纯硝酸缓慢加入约800mL蒸馏水中,移入1000mL容量瓶中,稀释至刻度。
B.0.8 试验应按下列步骤进行:
1 应将按本规程4.2.6条的规定获得的两份悬浊液分别摇匀后,分别移取不少于100mL的悬浊液于烧杯中,盖好表面皿后放到带石棉网的试验电炉或其他加热装置上沸煮5min,停止加热,静置冷却至室温,以快速定量滤纸过滤,获取滤液;
2 应分别移取两份滤液各20mL(V 1 ),置于两个三角烧瓶中,各加两滴酚酞指示剂,再用硝酸溶液中和至刚好无色;
3 滴定前应分别向两份滤液中各加入10滴铬酸钾指示剂,然后用硝酸银标准溶液滴至略带桃红色的黄色不消失,终点的颜色判定必须保持一致。应分别记录两份滤液各自消耗的硝酸银标准溶液体积V 21 和V 22 ,取两者的平均值V 2 作为测定结果。
条文说明
B.0.8根据莫尔法试验原理,以K2CrO4作指示剂,用AgNO3标准溶液滴定Cl-时,由于AgCl的溶解度比Ag2CrO4小,溶液中先出现AgCl白色沉淀,当AgCl定量沉淀完全后,稍过量的
图2不同氯离子含量的C40和C60系列混凝土的氯离子含量试验结果 Ag+与K2CrO4生成砖红色的Ag2CrO4沉淀,从而指示终点的到达。滴定试验必须在中性或在弱碱性溶液中进行,适宜pH值范围为6.5~10.5,必要时可用稀硝酸、氢氧化钠溶液和酚酞指示剂,调整滤液pH值至7~10。
B.0.9 硝酸银标准溶液浓度的标定步骤应为:用移液管移取氯化钠标准溶液20mL(V 3 )于三角瓶中,加入10滴铬酸钾指示剂,立即用硝酸银标准溶液滴至略带桃红色的黄色不消失,记录所消耗的硝酸银体积(V 4 )。硝酸银标准溶液的浓度应按下式计算:

式中:C AgNO 3 ——硝酸银标准溶液的浓度(mol/L),精确至0.0001mol/L;
C NaCl ——氯化钠标准溶液的浓度(mol/L);
V 3 ——氯化钠标准溶液的用量(mL);
V 4 ——硝酸银标准溶液的用量(mL)。
B.0.10 每立方米混凝土拌合物中水溶性氯离子的质量应按下式计算:

式中:m Cl - ——每立方米混凝土拌合物中水溶性氯离子质量(kg),精确至0.01kg;
V 2 ——硝酸银标准溶液的用量的平均值(mL);
V 1 ——滴定时量取的滤液量(mL);
m B ——混凝土配合比中每立方米混凝土的胶凝材料用量(kg);
m S ——混凝土配合比中每立方米混凝土的砂用量(kg);
m W ——混凝土配合比中每立方米混凝土的用水量(kg)。
条文说明
B.0.10本条规定了每立方米混凝土拌合物中水溶性氯离子质量的计算方法。由于砂浆为混凝土拌合物的加水搅拌初期取样,设水溶性氯离子分布于砂浆中,试验砂浆质量为500.0g,水溶性氯离子占砂浆质量分数为x,则可根据测试数据建立下列公式:
将式(5)代入式(6)中,即可得到本规程附录式(B.0.10),单位为kg。
B.0.11 混凝土拌合物中水溶性氯离子含量占水泥质量的百分比应按本规程附录A.0.7计算。
附录C硬化混凝土中水溶性氯离子含量测试方法
附录C 硬化混凝土中水溶性氯离子含量测试方法
条文说明
本测试方法源于《水运工程混凝土试验规程》JTJ270-1998中的“混凝土中砂浆的水溶性氯离子含量测定”,同时借鉴了我国台湾标准《混凝土拌合物中水溶性氯离子含量试验方法》CNS13465A3343中的“以硝酸银滴定法分析氯离子含量”方法中的相关规定,JTJ270-1998和CNS13465A3343的原理一致。主要变动为: 1将原标准中滴定所配制的硝酸银浓度、标定的氯化钠浓度0.02mol/L,均参照CNS13465A3343调整为0.0141mol/L。调整的理由是:通常硬化混凝土中水溶性氯离子含量较低,低浓度的硝酸银溶液具有很好的灵敏性,在滴定过程中可操作性更强,不容易过量,而且每消耗1mL该浓度的硝酸银,表明待测溶液中含有0.500mg氯离子,折算更加直接。 2将原标准中调pH值的硫酸调整为硝酸。调整的理由是:硫酸容易引入硫离子和亚硫酸根离子,对滴定来说引入了干扰离子,而硝酸则不会引入干扰离子,对滴定试验没有影响。 3在原标准静置24h的基础上增加了沸煮5min的处理。沸煮5min,停止加热,静置24h后,以快速定量滤纸过滤,是考虑与ASTMC1218的试样处理方法协调性规定的,试验结果也表明,进行沸煮5min后,静置24h的水溶性氯离子含量也比先沸煮再静置24h略高,说明沸煮有利于硬化混凝土中水溶性氯离子的溶出,所测结果偏于安全。 4将原标准中判定溶液滴定终点的砖红色改为略带桃红色的黄色。根据试验经验可知,当溶液滴定至显砖红色时硝酸银溶液已过量,计算结果超过真实值较大,而以略带桃红色的黄色不消失作为滴定终点的判定颜色则与真实值较为接近,误差较小。编制组按照两种不同的终点颜色进行了精确配制的已知浓度的氯化钠标准溶液的验证试验,试验结果如图3所示。根据图3的验证试验结果可知,与真实浓度相比,两种判定颜色所得结果均表现为正偏差,选定带桃红色的黄色的作为滴定终点更接近真实值,能够更准确反映混凝土中真实的氯离子含量。
图3精确配制不同浓度氯化钠溶液的试验结果
C.0.1 试验用仪器设备应符合下列规定:
1 天平:配备天平两台,其中一台称量宜为2000g、感量应为0.01g;另一台称量宜为200g、感量应为0.0001g;
2 滴定管:应为50mL棕色滴定管;
3 容量瓶:100mL、1000mL容量瓶应各一个;
4 移液管:应为20mL移液管;
5 三角烧瓶:应为250mL三角烧瓶;
6 带石棉网的试验电炉、快速定量滤纸、量筒、小锤等。
C.0.2 试验用试剂应符合下列内容:
1 分析纯-硝酸;
2 乙醇:体积分数为95%的乙醇;
3 化学纯-硝酸银;
4 化学纯-铬酸钾;
5 酚酞;
6 分析纯-氯化钠。
C.0.3 铬酸钾指示剂溶液的配制步骤应为:称取5.00g化学纯铬酸钾溶于少量蒸馏水中,加入硝酸银溶液直至出现红色沉淀,静置12h,过滤并移入100mL容量瓶中,稀释至刻度。
C.0.4 物质的量浓度为0.0141mol/L的硝酸银标准溶液的配制步骤应为:称取2.40g化学纯硝酸银,精确至0.01g,用蒸馏水溶解后移入1000mL容量瓶中,稀释至刻度,混合均匀后,储存于棕色玻璃瓶中。
C.0.5 物质的量浓度为0.0141mol/L的氯化钠标准溶液的配制步骤应为:称取在550℃±50℃灼烧至恒重的分析纯氯化钠0.8240g,精确至0.0001g,用蒸馏水溶解后移入1000mL容量瓶中,并稀释至刻度。
C.0.6 酚酞指示剂的配制步骤应为:先称取0.50g酚酞,溶于50mL乙醇,再加入50mL蒸馏水。
C.0.7 硝酸溶液的配制步骤应为:量取63mL分析纯硝酸缓慢加入约800mL蒸馏水中,移入1000mL容量瓶中,稀释至刻度。
C.0.8 试验应按下列步骤进行:
1 应称取20.00g磨细的砂浆粉末,精确至0.01g,置于三角烧瓶中,并加入100mL(V 1 )蒸馏水,摇匀后,盖好表面皿后放到带石棉网的试验电炉或其他加热装置上沸煮5min,停止加热,盖好瓶塞,静置24h后,以快速定量滤纸过滤,获取滤液;
2 应分别移取两份滤液20mL(V 2 ),置于两个三角烧瓶中,各加两滴酚酞指示剂,再用硝酸溶液中和至刚好无色;
3 滴定前应分别向两份滤液中加入10滴铬酸钾指示剂,然后用硝酸银标准溶液滴至略带桃红色的黄色不消失,终点的颜色判定必须保持一致。应分别记录各自消耗的硝酸银标准溶液体积V 31 和V 32 ,取两者的平均值V 3 作为测定结果。
C.0.9 硝酸银标准溶液浓度的标定应按本规程附录B.0.9条的规定进行。
C.0.10 硬化混凝土中水溶性氯离子含量应按下式计算:

式中:W W Cl - ——硬化混凝土中水溶性氯离子占砂浆质量的百分比(%),精确至0.001%;
C AgNO 3 ——硝酸银标准溶液的浓度(mol/L);
V 3 ——滴定时硝酸银标准溶液的用量(mL);
G——砂浆样品质量(g);
V 1 ——浸样品的蒸馏水用量(mL);
V 2 ——每次滴定时提取的滤液量(mL)。
C.0.11 在已知混凝土配合比时,硬化混凝土中水溶性氯离子含量占水泥质量的百分比应按下式计算:

式中:W C Cl - ——硬化混凝土中水溶性氯离子占水泥质量的百分比(%),精确至0.001%;
m B ——混凝土配合比中每立方米混凝土的胶凝材料用量(kg);
m S ——混凝土配合比中每立方米混凝土的砂用量(kg);
m W ——混凝土配合比中每立方米混凝土的用水量(kg);
m C ——混凝土配合比中每立方米混凝土的水泥用量(kg)。
条文说明
C.0.11本条规定了硬化混凝土中水溶性氯离子占水泥质量的百分比的计算方法。在已知混凝土配合比时,每立方米混凝土中的砂浆质量近似为(mB+mS+mW),因此,每立方米混凝土中水溶性氯离子质量可按下式计算:
计算硬化混凝土中水溶性氯离子含量占水泥质量的百分比,只需将式(7)代入下式:
即可得本规程附录式(C.0.11)。
附录D硬化混凝土中酸溶性氯离子含量测试方法
附录D 硬化混凝土中酸溶性氯离子含量测试方法
条文说明
本测试方法源于《建筑结构检测技术标准》GB/T50344-2004中的“附录B混凝土中氯离子含量测定”方法。主要变动为: 1浸泡试样的溶液由水改为硝酸溶液(1+7)。改动理由是:原标准是对混凝土中氯离子含量测定,根据其使用水浸泡判断,应为混凝土中水溶性氯离子含量的测定,并不包含混凝土酸溶性氯离子含量,本试验的目的是检测硬化混凝土中氯离子的总含量,因此需要在硝酸溶液中浸泡一定时间后,待混凝土中的自由氯离子和物理吸附和化学结合氯离子溶出后进行检测,才能够反映硬化混凝土氯离子总含量的真实值,故本方法将浸泡液调整为硝酸溶液(1+7),与ASTMC1152中砂浆试样浸泡液的实际浓度一致。 2取消了滴定前向待测液加入硝酸(1+1)的步骤。变动原因是:原标准电位滴定时,待检液50mL为蒸馏水浸泡砂浆粉末的滤液,呈碱性,故在滴定前用硝酸(1+1)调为酸性,由于本测试方法采用100ml硝酸溶液(1+7)浸泡20g砂浆粉磨,量取20mL硝酸溶液(1+7)加入100mL蒸馏水后也为酸性,从试验原理上来说不会影响试验结果。 3将原标准中试验用216型银电极调整为“216型银电极或氯离子选择电极”。调整的理由是:银电极和氯离子选择电极均能够反映氯离子和银离子浓度的变化,而且编制组进行了平行对比试验,试验结果如图4所示。图4的结果表明,氯离子选择电极所测试结果的精度与银电极的基本相当。 4将50mL滤液作为待测液调整为20mL滤液+100mL蒸
图4不同电极所测不同浓度氯化钠溶液的试验结果 馏水作为待测液。改动的理由是:原标准中待测液较少,在100mL烧杯中试验,由于烧杯口径太小,插入电极后,不便于滴定操作,在较大容量的烧杯中试验,液面太低,转子容易碰到电极,原试验方法可操作性较差。通过按照比例放大待测液进行试验,能够在300mL的烧杯中进行试验,避免了以上问题,可操作性强。
D.0.1 试验用仪器设备应符合下列规定:
1 天平:配备天平两台,其中一台称量宜为2000g、感量应为0.01g;另一台称量宜为200g、感量应为0.0001g;
2 滴定管:应为50mL棕色滴定管;
3 容量瓶:应为1000mL容量瓶;
4 移液管:应为20mL移液管;
5 三角烧瓶:应为250mL三角烧瓶;
6 烧杯:应为300mL烧杯;
7 电位测量仪器:应使用分辨率为1mV的酸度计或分辨率为1mV的电位计;
8 指示电极:可为216型银电极或氯离子选择电极;
9 参比电极:应为双盐桥饱和甘汞电极;
10 可调式微量移液器、电磁搅拌器、快速定量滤纸、小锤等。
D.0.2 试验用试剂应符合下列内容:
1 硝酸溶液:分析纯硝酸与蒸馏水按体积比为1:7配制;
2 化学纯-硝酸银;
3 淀粉溶液:浓度为10g/L的淀粉溶液;
4 分析纯-氯化钠。
D.0.3 物质的量浓度为0.01mol/L的硝酸银标准溶液的配制步骤应为:称取1.70g化学纯硝酸银,精确至0.01g,用蒸馏水溶解后移入1000mL容量瓶中,稀释至刻度,混合均匀后,储存于棕色玻璃瓶中。
D.0.4 物质的量浓度为0.01mol/L的氯化钠标准溶液的配制步骤应为:称取在550℃±50℃灼烧至恒重的分析纯氯化钠0.5844g,精确至0.0001g,用蒸馏水溶解后移入1000mL容量瓶中,并稀释至刻度。
D.0.5 硝酸银标准溶液的浓度应按下列步骤进行标定:
1 应移取20mL的氯化钠标准溶液于烧杯中,加蒸馏水稀释至100mL,再加淀粉溶液20mL,在电磁搅拌下,应用硝酸银标准溶液以电位滴定法测定终点,用二次微商法计算出硝酸银溶液消耗的体积V 01 ;
2 等当量点的判定应按二次微商法计算;
3 应移取蒸馏水20mL于烧杯中,按同样方法进行空白试验,空白试验的滴定应使用可调式微量移液器,计算空白试验硝酸银标准溶液的用量V 02 ,所用硝酸银标准溶液体积V 0 应按下式计算:

式中:V 0 ——20mL氯化钠标准溶液消耗的硝酸银标准溶液体积(mL);
V 01 ——达到等当量点时所消耗硝酸银标准溶液的体积(mL);
V 02 ——空白试验达到等当量点所消耗硝酸银标准溶液的体积(mL)。
4 硝酸银标准溶液的浓度C AgNO 3 应按下式计算:

式中:C AgNO 3 ——硝酸银标准溶液的浓度(mol/L);
C NaCl ——氯化钠标准溶液的浓度(mol/L);
V——氯化钠标准溶液的体积(mL)。
条文说明
D.0.5电位滴定试验应按照下列试验原理进行:用电位滴定法,以216型银电极或氯离子选择电极作为指示电极,其电势分别随Ag+或Cl-浓度而变化,以甘汞电极为参比电极,用电位计或酸度计测定两电极在溶液中组成原电池的电势,银离子与氯离子反应生成溶解度很小的氯化银白色沉淀。在等当量点前滴入硝酸银生成氯化银沉淀,两电极间电势变化缓慢,达到等当量点时氯离子全部生成氯化银沉淀,这时滴入少量硝酸银即引起电势急剧变化,可指示出滴定终点。等当量点的判定应按二次微商法计算:即绘制电压-消耗硝酸银溶液体积曲线,通过电压对体积二次导数变成零的办法来求出等当量点。假如在临近等当量点时,每次加入的硝酸银溶液是相等的,此函数(△2E/△V2)将在正负两个符号发生变化的体积之间的某一点变成零,通过电压对消耗硝酸银溶液体积二次导数变为零的点即为等当量点,对应这一点消耗的硝酸银体积即为等当量点,可用内插法计算求得;结合该曲线函数的一次导数在等当量点达到极值的规律,也可用于等当量点的判定。
D.0.6 试验应按下列步骤进行:
1 应称取20.00g(G)磨细的砂浆粉末,精确至0.01g,置于250mL的三角烧瓶中,并加入100mL(V 1 )硝酸溶液,盖上瓶塞,剧烈振摇1min~2min,浸泡24h后,以快速定量滤纸过滤,获取滤液;期间应摇动三角烧瓶;
2 应移取滤液20mL(V 2 )于300mL烧杯中,加100mL蒸馏水,再加入20mL淀粉溶液,烧杯内放入电磁搅拌器;
3 将烧杯放在电磁搅拌器上后,应开动搅拌器并插入指示电极及参比电极,两电极应与电位测量仪器连接,用硝酸银标准溶液缓慢滴定,同时应记录电势和对应的滴定管读数;
4 由于接近等当量点时,电势增加很快,此时应缓慢滴加硝酸银溶液,每次定量加入0.1mL,当电势发生突变时,表示等当量点已过,此时应继续滴入硝酸银溶液,直至电势趋向变化平缓;用二次微商法计算出达到等当量点时硝酸银溶液消耗的体积V 11 ;
5 同条件下,空白试验的步骤应为:在干净的烧杯中加入100mL蒸馏水和20mL硝酸溶液,再加入20mL淀粉溶液,在电磁搅拌下,应使用微量移液器缓慢滴加硝酸银溶液,同时记录电势和对应的硝酸银溶液的用量,应按二次微商法计算出达到等当量点时硝酸银标准溶液消耗的体积V 12 。
D.0.7 硬化混凝土中酸溶性氯离子含量应按下式计算:

式中:W A Cl - ——硬化混凝土中酸溶性氯离子占砂浆质量的百分比(%),精确至0.001%;
V 11 ——20mL滤液达到等当量点所消耗硝酸银标准溶液的体积(mL);
V 12 ——空白试验达到等当量点所消耗硝酸银标准溶液的体积(mL);
G——砂浆样品质量(g);
V 1 ——浸样品的硝酸溶液用量(mL);
V 2 ——电位滴定时提取的滤液量(mL)。
D.0.8 在已知混凝土配合比时,硬化混凝土中酸溶性氯离子含量占胶凝材料质量的百分比应按下式计算:

式中:W B Cl - ——硬化混凝土中酸溶性氯离子占胶凝材料质量的百分比(%),精确至0.001%;
m B ——混凝土配合比中每立方米混凝土的胶凝材料用量(kg);
m S ——混凝土配合比中每立方米混凝土的砂用量(kg);
m W ——混凝土配合比中每立方米混凝土的用水量(kg)。
条文说明
D.0.8本条规定了硬化混凝土中酸溶性氯离子含量占胶凝材料质量百分比的计算方法。在已知混凝土配合比时,每立方米混凝土中的砂浆质量近似为(mB+mS+mW),因此,可得到本规程附录式(D.0.8)计算每立方米混凝土中酸溶性氯离子含量占胶凝材料质量的百分比。
本规程用词说明
本规程用词说明
1 为便于在执行本规程条文时区别对待,对要求严格程度不同的用词说明如下:
1)表示很严格,非这样做不可的:
正面词采用“必须”,反面词采用“严禁”;
2)表示严格,在正常情况下均应这样做的:
正面词采用“应”,反面词采用“不应”或“不得”;
3)表示允许稍有选择,在条件许可时,首先应这样做的:
正面词采用“宜”,反面词采用“不宜”;
4)表示有选择,在一定条件下可以这样做的,采用“可”。
2 条文中指明应按其他有关标准执行的写法为:“应符合……的规定”或“应按……执行”。
引用标准名录
引用标准名录
1 《混凝土结构设计规范》GB 50010
2 《普通混凝土拌合物性能试验方法标准》GB/T 50080
3 《普通混凝土力学性能试验方法标准》GB/T 50081
4 《混凝土质量控制标准》GB 50164
5 《试验筛 金属丝编织网、穿孔板和电成型薄板 筛孔的基本尺寸》GB/T 6005
6 《预拌混凝土》GB/T 14902
7 《海砂混凝土应用技术规范》JGJ 206
