Appearance
《混凝土异形柱结构技术规程[附条文说明]》JGJ 149-2017
🗓️ 住房和城乡建设部 实施时间:2017-12-01
前言
中华人民共和国行业标准
混凝土异形柱结构技术规程
Technical specification for concrete structures with specially shaped columns
JGJ 149-2017
批准部门:中华人民共和国住房和城乡建设部
施行日期:2017年12月1日
中华人民共和国住房和城乡建设部公告
第1595号
住房城乡建设部关于发布行业标准《混凝土异形柱结构技术规程》的公告
现批准《混凝土异形柱结构技术规程》为行业标准,编号为JGJ 149-2017,自2017年12月1日起实施。其中,第4.1.5、6.2.5、6.2.10、7.0.2条为强制性条文,必须严格执行。原《混凝土异形柱结构技术规程》JGJ 149-2006同时废止。
本规程在住房城乡建设部门户网站(www.mohurd.gov.cn)公开,并由我部标准定额研究所组织中国建筑工业出版社出版发行。
中华人民共和国住房和城乡建设部
2017年6月20日
前言
根据住房和城乡建设部《关于印发<2010年工程建设标准规范制订、修订计划>的通知》(建标[2010]43号)的要求,规程编制组经广泛调查研究,认真总结实践经验,参考有关国际标准和国外先进标准,并在广泛征求意见的基础上,编制了本规程。
本规程的主要技术内容是:1.总则;2.术语和符号;3.结构设计的基本规定;4.结构计算分析;5.截面设计;6.结构构造;7.异形柱结构的施工及验收。
本规程修订的主要技术内容是:
1.增加了异形柱结构抗连续倒塌设计和结构隔震的原则规定;2.新增了500MPa级高强钢筋应用、Z形柱、肢端暗柱、节点区采用纤维混凝土和锚固板等技术规定;3.修订了考虑二阶效应的正截面承载力和节点受剪承载力等计算相关条文;4.调整了异形柱结构房屋适用最大高度、抗震等级、轴压比限值、纵向受力钢筋最小配筋率、混凝土保护层厚度和异形柱结构施工及验收的相关规定。
本规程中以黑体字标志的条文为强制性条文,必须严格执行。
本规程由住房和城乡建设部负责管理和对强制性条文的解释,由天津大学建筑工程学院负责具体技术内容的解释。执行过程中如有意见或建议,请寄送天津大学建筑工程学院(地址:天津市津南区海河教育园区雅观路135号,邮政编码:300350)。
本规程主编单位 :天津大学
山西六建集团有限公司
本规程参编单位 :中国建筑科学研究院
天津大学建筑设计研究院
重庆大学
大连理工大学
河北工业大学
深圳市建筑设计研究总院
昆明理工大学
昆明恒基施工图设计文件审查中心
天津天怡建筑设计有限公司
河北大地建设科技有限公司
中国建筑西南设计研究院
浙江工业大学
同济大学
天津市建筑设计院
中国建筑设计研究院
四川大学
深圳市国腾建筑设计咨询有限公司
本规程主要起草人员 :王铁成 王依群 李东驰 严士超 康谷贻 陈云霞 赵海龙 韩建刚 朱爱萍 薛彦涛 丁永君 傅剑平 王志军 黄承逵 戎贤 王启文 许贻懂 潘文 刘建 李文清 齐建伟 郝贵强 刘宜丰 杨俊杰 崔钦淑 卢文胜 黄兆纬 刘文珽 张新培 官国军 谢剑
本规程主要审查人员 :李庆刚 白生翔 陈敖宜 冯远 张洪波 桂国庆 于敬海 薛慧立 汪凯
1 总则
1 总 则
1.0.1 为在混凝土异形柱结构设计、施工及验收中贯彻执行国家技术经济政策,做到安全、适用、经济合理、确保质量,制定本规程。
条文说明
1.0.1 混凝土异形柱结构是以T形、L形、十字形、Z形的异形截面柱(以下简称异形柱)代替一般框架柱作为竖向支承构件而构成的结构,以避免框架柱在室内凸出,少占建筑空间,改善建筑观瞻,为建筑设计及使用功能带来灵活性和方便性;同时结合墙体改革,采用保温、隔热、轻质、高效的墙体材料作为框架填充墙及内隔墙,代替传统的烧结黏土砖墙,以贯彻国家关于节约能源、节约土地、保护环境的政策。 混凝土异形柱结构体系与一般矩形柱结构体系之间既存在着共性,也具有各自的特性。由于异形柱与矩形柱二者在截面特性、内力和变形特性、抗震性能等方面的显著差异,导致在异形柱结构设计与施工中一些不容忽视的问题,这些方面在目前我国现行规范均未涉及。随着异形柱结构在各地逐渐推广应用,需要不断补充完善异形柱结构的国家和行业标准,提供指导异形柱结构设计施工、工程审查及质量监控的依据。国内各高等院校、设计、研究单位对异形柱结构的基本性能、设计方法、构造措施及工程应用等方面进行了大量的科学研究与工程实践,包括:异形柱正截面、斜截面、梁柱节点的试验及理论研究、异形柱结构模型的模拟地震作用试验(振动台试验及低周反复水平荷载试验)研究、异形柱结构抗震分析及抗震性能研究、异形柱结构专用设计软件研究及异形柱结构标准设计研究等。一些省市制定并实施了异形柱结构地方标准,一些地方的国家级住宅示范小区中也建有异形柱结构住宅建筑,在这样的基础上,住房和城乡建设部组织编制了国家行业标准《混凝土异形柱结构技术规程》JGJ 149-2006,规程发布实施以来,我国混凝土异形柱结构的科学研究成果不断深化拓展,设计与施工的工程实践经验进一步积累,并首次获得了异形柱经受强烈地震经验的实际资料。为了在混凝土异形柱结构设计与施工中贯彻执行国家技术经济政策,做到安全适用、经济合理、确保质量,根据住房和城乡建设部建标[2010]43号文件的要求,对《混凝土异形柱结构技术规程》进行了修订。
1.0.2 本规程主要适用于非抗震设计和抗震设防烈度为6度、7度和8度地区的一般居住建筑混凝土异形柱结构的设计、施工及验收。
条文说明
1.0.2 本规程适用于一般混凝土异形柱结构体系,不适用于轻骨料混凝土及特种混凝土异形柱结构的设计、施工及验收。混凝土异形柱结构体系主要用于一般居住建筑,近年来逐渐扩展到用于平面及竖向布置较为规则的宿舍建筑等,工程实践表明效果良好。异形柱结构体系也可用于类似的较为规则的一般民用建筑。 由于我国目前尚无在8度(0.30g)抗震设防地区异形柱框架结构的设计与施工经验,也没有相关的研究成果,且考虑到异形柱框架结构的抗震性能特点,故未将抗震设防烈度为8度(0.30g)抗震设计的异形柱框架结构列入本规程适用范围,但是对于框架-剪力墙结构,基于其抗震性能较好,本次修订增补了8度(0.3g)的相关规定。
1.0.3 混凝土异形柱结构的设计、施工及验收,除应符合本规程的规定外,尚应符合国家现行有关标准的规定。
条文说明
1.0.3 本规程是在遵照现行国家标准《建筑结构可靠度设计统一标准》GB 50068、《建筑结构荷载规范》GB 50009、《混凝土结构设计规范》GB 50010、《建筑抗震设计规范》GB 50011、《混凝土结构工程施工规范》GB 50666、《混凝土结构工程施工质量验收规范》GB 50204及行业标准《高层建筑混凝土结构技术规程》JGJ 3等基础上,并根据异形柱结构有关试验、理论的研究成果和工程设计、施工及验收的实践经验,对行业标准《混凝土异形柱结构技术规程》JGJ 149-2006修订编制而成。
2 术语和符号
2.1 术语
2 术语和符号
2.1 术 语
条文说明
?本规程的术语是根据现行国家标准《工程结构设计基本术语标准》GB/T 50083给出的。
2.1.1 异形柱 specially shaped column
截面几何形状为L形、T形、十字形和Z形,且截面各肢的肢高肢厚比不大于4的柱。
2.1.2 异形柱结构 structure with specially shaped columns
采用异形柱的框架结构和框架-剪力墙结构。
2.1.3 柱截面肢高肢厚比 ratio of section height to section thickness of column leg
异形柱各肢的柱肢截面高度与厚度的比值。
2.2 符号
2.2 符 号
条文说明
本规程的符号主要是根据现行国家标准《混凝土结构设计规范》GB 50010和《建筑抗震设计规范》GB 50011规定的。有些符号基于异形柱结构特点作了相应的调整和补充。
2.2.1 作用和作用效应
M l b 、M r b ——框架节点左、右侧梁端弯矩设计值;
M x 、M y ——对截面形心轴x、y的弯矩设计值;
N——轴向力设计值;
V c ——柱斜截面剪力设计值;
V j ——节点核心区剪力设计值:
σ ci ——第i个混凝土单元的应力;
σ sj ——第j个钢筋单元的应力。
2.2.2 材料性能
f c ——混凝土轴心抗压强度设计值;
f t ——混凝土轴心抗拉强度设计值;
f y ——钢筋的抗拉强度设计值;
f yv ——横向钢筋的抗拉强度设计值。
2.2.3 几何参数
a′ s ——受压钢筋合力点至截面近边的距离;
A——柱的全截面面积;
A ci ——第i个混凝土单元的面积;
A sj ——第j个钢筋单元的面积;
A sv ——验算方向的柱肢截面厚度b c 范围内同一截面箍筋各肢总截面面积;
A svj ——节点核心区有效验算宽度范围内同一截而验算方向的箍筋各肢总截面面积;
b c ——验算方向的柱肢截面厚度;
b f ——垂直于验算方向的柱肢截面高度;
b j ——节点核心区的截面有效验算厚度;
d——纵向受力钢筋直径;
d v ——箍筋直径;
e a ——附加偏心距;
e i ——初始偏心距;
e 0 ——轴向力对截面形心的偏心距;
e ix ——轴向力对截面形心轴y的初始偏心距;
e iy ——轴向力对截面形心轴x的初始偏心距;
h b ——梁截面高度;
h b0 ——梁截面有效高度;
h c ——验算方向的柱肢截面高度;
h f ——垂直于验算方向的柱肢截面厚度;
h i ——第i层楼层层高;
h j ——节点核心区的截面高度;
h c0 ——验算方向的柱肢截面有效高度;
H——房屋总高度;
H c ——节点上、下层柱反弯点之间的距离;
l c ——柱的计算长度;
r α ——柱截面对垂直于弯矩作用方向形心轴x α —x α 的回转半径;
r min ——柱截面最小回转半径;
s——箍筋间距:
X ci 、Y ci ——第i个混凝土单元的形心坐标;
X sj 、Y sj ——第j个钢筋单元的形心坐标;
X 0 、Y 0 ——截面形心坐标;
α——弯矩作用方向角。
2.2.4 系数及其他
n c ——混凝土单元总数;
n s ——钢筋单元总数;
λ——框架柱的剪跨比;
λ v ——配箍特征值;
η jb ——节点核心区剪力增大系数;
γ RE ——承载力抗震调整系数;
ζ v ——节点核心区正交肢影响系数;
ζ h ——节点核心区截面高度影响系数;
ζ N ——节点核心区轴压比影响系数;
η α ——杆件挠曲偏心距增大系数;
ρ——全部纵向受力钢筋配筋率;
ρ min ——全部纵向受力钢筋最小配筋率:
ρ max ——全部纵向受力钢筋最大配筋率;
ρ v ——箍筋体积配箍率;
ψ T ——非承重填充墙刚度对结构自振周期影响的折减系数。
3 结构设计的基本规定
3.1 结构体系
3 结构设计的基本规定
3.1 结构体系
3.1.1 异形柱结构可采用框架结构和框架剪力墙结构体系。根据建筑布置及结构受力的需要,异形柱结构中的框架柱,可全部采用异形柱,也可部分采用一般框架柱。当根据建筑功能需要设置底部大空间时,可通过框架底部抽柱并设置转换梁,形成底部抽柱带转换层的异形柱结构,其结构设计应符合本规程附录A的规定。
条文说明
3.1.1 工程实际应用的主要是以T形、L形、十字形和Z形截面的异形柱构成的框架结构和框架-剪力墙结构体系。 本规程适用于异形柱框架结构体系,包括全部由异形柱作为竖向受力构件组成的钢筋混凝土结构,也包括由于结构受力需要而部分采用一般框架柱的情形。异形柱和一般框架柱应分别按各自有关规范规定进行设计。 此次修订新增了肢端设暗柱的异形柱,用于受力复杂、不利的结构部位。 为满足在建筑物底部设置大空间的建筑功能要求,异形柱结构体系还可以采用底部抽柱带转换层的异形柱框架结构或异形柱框架-剪力墙结构,此时应遵守本规程附录A的规定。
3.1.2 异形柱结构房屋适用的最大高度应符合表3.1.2的要求。底部抽柱带转换层的异形柱结构,房屋适用的最大高度应符合本规程附录A的规定;8度(0.30g)的异形柱框架-剪力墙结构仅限用于Ⅰ、Ⅱ类场地。
表3.1.2 混凝土异形柱结构房屋适用的最大高度(m)

注:房屋高度超过表内规定的数值时,结构设计应有可靠依据,并采取有效的加强措施。
条文说明
3.1.2 房屋高度是指室外地面至主要屋面板板顶的高度(不包括局部突出屋顶部分)。从结构安全和经济合理等方面综合考虑。混凝土异形柱结构房屋适用的最大高度应有所限制,《混凝土异形柱结构技术规程》JGJ 149-2006对异形柱结构房屋适用的最大高度作出了规定。本次修订对混凝土异形柱框架及框架-剪力墙两种结构体系的一批代表性典型工程,主要考虑下列基本条件:①非抗震设计;②抗震设防烈度为6度(0.05g)、7度(0.10g,0.15g)及8度(0.20g,0.30g)的抗震设计;③不同场地类别;④不同开间柱网尺寸;⑤结构平均自重按12kN/m2~14kN/m2;⑥标准层层高按3.0m。根据本规程及相关标准的规定,进行了系统的结构分析计算。综合考虑异形柱结构逐步积累和不断发展的理论研究、试验研究成果、设计施工的工程实践经验及汶川大地震中异形柱结构的震害调查资料,通过系统的结构计算及一批典型工程设计的检验、归纳、总结,从而完成了本条关于异形柱结构房屋适用的最大高度规定的修订。 ?结构顶层采用坡屋顶时房屋适用的最大高度在国家现行有关标准中亦未作具体规定,异形柱结构设计时可由设计人员根据实际情况合理确定。通常的做法是当檐口标高不设水平楼板时,总高度可算至檐口标高处;当檐口标高附近有水平楼板,即带阁楼的坡屋顶情形,此时高度可算至坡高的1/2高度处。 平面和竖向均不规则的异形柱结构,其房屋适用的最大高度:非抗震设计时宜适当降低,抗震设计时应适当降低,体现了对不同情况、不同宽严程度区别对待。 6度、7度抗震设计时,建于Ⅰ、Ⅱ类场地的异形柱框架结构房屋适用最大高度可按表中数值增加3m;建于Ⅲ、Ⅳ类场地的异形柱结构房屋适用最大高度应适当降低;框架-剪力墙结构在基本振型地震作用下,根据框架部分承受的地震倾覆力矩占结构总倾覆力矩之比例,按本规程第3.1.6条规定确定其适用最大高度;8度(0.30g)的异形柱框架-剪力墙结构仅限用于Ⅰ、Ⅱ类场地。这些都是针对异形柱结构的性能特点,基于结构安全的考虑所作的规定。 底部抽柱带转换层异形柱结构,属于结构沿竖向不连续的不规则情形,其适用最大高度应符合本规程附录A的规定。 当异形柱结构中采用少量一般框架柱时,房屋适用最大高度仍可按全部为异形柱的结构采用。 在异形柱结构实际工程设计中应综合考虑结构体系、结构设计方案、抗震设防烈度、场地类别、结构平均自重、开间与进深尺寸及结构布置的规则性等影响因素,正确使用本规程关于异形柱结构房屋适用最大高度的规定。当房屋高度超过表中规定的数值时,结构设计应有客靠的依据,并采取有效的加强措施。 原规程实施以来,通过异形柱结构设计和施工经验积累和意见反馈,以及汶川地震震害经验调查,并与国家现行标准《建筑抗震设计规范》GB 50011和《高层建筑混凝土结构技术规程》JGJ 3协调,对原规定进行适当调整。系列核算和分析结果表明:调整后的规定是合适的。
3.1.3 异形柱结构适用的最大高宽比不宜超过表3.1.3的限值。
表3.1.3 异形柱结构适用的最大高宽比

条文说明
3.1.3 高宽比是对结构刚度、整体稳定、承载能力和经济合理性的宏观控制。本规程对异形柱结构适用的最大高宽比的规定系根据异形柱结构的特性,比原规程适当放宽,但较现行行业标准《高层建筑混凝土结构技术规程》JGJ 3对应的规定适当加严。本条适用于10层及10层以上或高度超过28m的情形,当层数或高度低于上述数值时,可适当放宽。 原规程实施以来,通过异形柱结构设计和施工经验积累和意见反馈,以及汶川地震震害经验调查,并与国家现行标准《建筑抗震设计规范》GB 50011和《高层建筑混凝土结构技术规程》JGJ 3协调,对原规定进行适当调整。系列核算和分析结果表明:调整后的规定是合适的。
3.1.4 异形柱结构体系应通过技术、经济和使用条件的综合分析比较确定,除应符合国家现行标准对一般钢筋混凝土结构的有关规定外,尚应符合下列规定:
1 不应采用部分由异形柱框架与部分砌体墙承重组成的混合结构形式;
2 抗震设计时,不应采用单跨框架结构,不宜采用连体和错层等复杂结构形式;
3 楼梯间、电梯井宜根据建筑布置及受力的需要,合理地布置剪力墙、一般框架柱或肢端设暗柱的异形柱;楼梯间的抗震设计应符合现行国家标准《建筑抗震设计规范》GB 50011的相关规定;
4 异形柱结构的柱、梁、楼梯、剪力墙均应采用现浇结构。抗震设计时,楼板宜采用现浇,也可采用现浇层厚度不小于60mm的装配整体式叠合楼板;非抗震设计时,楼板宜采用现浇,也可采用带现浇层的装配整体式叠合楼板。
条文说明
3.1.4 影响建筑结构安全的因素有三个层次:结构方案、内力效应分析和截面设计。结构方案虽属概念设计的范畴,但由此所决定的整体稳定性对结构安全的重要意义远超其他因素。在异形柱结构设计中,应根据是否抗震设防、抗震设防烈度、场地类别、房屋高度和高宽比、施工技术等因素。通过安全、技术、经济和使用条件的综合分析比较,选用合理的结构体系,并宜通过增加结构体系的多余约束和超静定次数、考虑传力途径的多重性、避免采用脆性材料和加强结构的延性等措施来加强结构的整体稳定性,使结构在承受自然界的灾害或人为破坏等意外作用而发生局部破坏时,不至于引发连续倒塌而导致严重恶性后果。 异形柱结构体系除应符合国家现行标准《建筑抗震设计规范》GB 50011、《混凝土结构设计规范》GB 50010及《高层建筑混凝土结构技术规程》JGJ 3的相关规定外,尚应符合本规程的相关规定。
1 框架结构与砌体结构在抗侧刚度、变形能力、抗震性能方面有很大差异,将这两种不同的结构混合使用于同一结构中,会对结构的抗震性能产生不利的影响。现行行业标准《高层建筑混凝土结构技术规程》JGJ 3对此做了强制性条文的规定,对异形柱结构同样必须遵守。
2 根据一般震害资料,多层及高层单跨框架结构震害严重,故本规程规定:抗震设计的异形柱结构不应采用单跨框架结构。规定异形柱结构不宜采用连体和错层等复杂结构形式,是因为目前缺乏工程应用及专门研究依据。
3 在结构设计中利用楼梯间、电梯井位置合理布置剪力墙,对电梯设备运行、结构抗震、抗风均有好处,但若剪力墙布置不合理,将导致结构平面不规则,加剧扭转效应,对结构抗震带来不利影响,故这里强调“合理地布置剪力墙、一般框架柱或肢端设暗柱的异形柱”。对高度不大的异形柱结构的楼梯间、电梯井,可采用一般框架柱。
4 在异形柱结构中异形柱的肢厚尺寸较小,相应梁宽尺寸及梁柱节点核心区尺寸均较小,为保证异形柱结构的整体安全,对主要受力构件——柱、梁、楼梯、剪力墙应采用现浇的施工方式。在这种条件下,连同楼板在一起采用全现浇施工方式更为合理、方便与安全。修订规定对抗震设计的楼板宜采用现浇,对非抗震设计的楼板宜采用现浇或装配整体式,以示区别对待。根据反馈的意见,考虑某些地区的条件,也列出了带有不小于60mm现浇层的装配整体式叠合楼板可按现浇板考虑的规定。 修订中增补了抗震设计的异形柱结构对楼梯的要求,楼梯是地震中重要的疏散逃生通道,根据汶川大地震中一般结构楼梯震害较普遍的教训,应对此给予足够重视。在抗震设计中应计入楼梯构件对地震作用及其效应的影响,应进行楼梯构件的抗震承载力验算,并宜采取构造措施,减少楼梯构件对主体结构刚度的影响。楼梯间两侧填充墙与异形柱之间应加强拉结,这些都应符合现行国家标准《建筑抗震设计规范》GB 50011的相关规定。
3.1.5 异形柱结构的填充墙与隔墙应符合下列规定:
1 填充墙与隔墙根据不同要求和条件宜采用轻质材料的非承重砌体或墙板;
2 非承重墙厚度宜与异形柱柱肢厚度协调,墙体材料应满足保温、隔热、节能、隔声、防水和防火等要求;
3 填充墙和隔墙的布置、材料和连接构造应符合国家现行标准的相关规定。
条文说明
3.1.5 国家有关部门已经发布专门文件,禁止使用烧结黏土砖,积极发展和推广应用新型墙体材料,是墙体材料革新的一项主要任务。异形柱结构体系就是20世纪70年代以来墙体材料革新推动下促进结构体系变革的产物,属于框架-轻墙(填充墙、隔墙)结构体系,应优先采用轻质高效的墙体材料,不应采用烧结实心黏土砖,由此带来的效益不仅是改善建筑的保温、隔热性能,节约能源消耗,而且减轻了结构的自重,有利于节约基础建设投资,有利于减小结构的地震作用;采用工业废料制作轻质墙体,有利于环境保护,其综合效益值得重视。 异形柱结构的主要特点就是柱肢厚度与非承重砌体墙的厚度取齐一致,在工程实用中尚应综合考虑墙身满足保温、隔热、节能、隔声、防水及防火等要求,以满足建筑功能的需要。在此前提下,根据不同条件选用合理经济的墙体形式——砌体或墙板。各地应根据当地实际条件,大力推进住宅产业现代化,解决好与异形柱结构体系配套的墙体材料产品,以确保质量,提高效率和降低成本。
3.1.6 抗震设计的异形柱框架-剪力墙结构,应根据在规定的水平力作用下结构底层框架部分承受的地震倾覆力矩与结构总地震倾覆力矩的比值,确定相应的设计方法,并应符合下列规定:
1 框架部分承受的地震倾覆力矩不大于结构总地震倾覆力矩的10%时,应按剪力墙结构进行设计,其中的框架部分应按框架-剪力墙结构的框架进行设计;
2 当框架部分承受的地震倾覆力矩大于结构总地震倾覆力矩的10%但不大于50%时,应按框架-剪力墙结构进行设计;
3 当框架部分承受的地震倾覆力矩大于结构总地震倾覆力矩的50%但不大于80%时,应按框架-剪力墙结构进行设计,其适用的最大高度可比框架结构适当增加,框架部分的抗震等级和轴压比限值宜按框架结构的规定采用;
4 当框架部分承受的地震倾覆力矩大于结构总地震倾覆力矩80%时,应按框架-剪力墙结构进行设计,其适用的最大高度宜按框架结构采用,框架部分的抗震等级和轴压比限值应按框架结构的规定采用。
条文说明
3.1.6 框架-剪力墙结构在基本振型地震作用下,结构底层框架部分承受的地震倾覆力矩与结构总地震倾覆力矩的比值不尽相同,结构性能有较大的差别。本次修订参照《高层建筑混凝土结构技术规程》JGJ 3-2010第8.1.3条作出相应具体规定。结构设计时,应根据结构底层框架承受的地震倾覆力矩与结构总地震倾覆力矩的比值确定该结构相应的使用高度和构造措施,计算模型及分析均按框架剪力墙结构进行实际输入和计算分析。
3.2 结构布置
3.2 结构布置
3.2.1 异形柱结构宜采用规则的结构设计方案;抗震设计的异形柱结构应采用符合抗震概念设计要求的结构设计方案,不应采用严重不规则的结构设计方案。
条文说明
3.2.1 合理设计方案的结构布置(包括平面布置及竖向布置)无论在非抗震设计还是抗震设计中都具有非常重要的意义,结构的平面和竖向布置宜简单、规则、均匀,这就需要结构工程师与建筑师密切协调配合,兼顾建筑功能与结构功能等方面的合理性。本规程提出:异形柱结构宜采用规则的结构设计方案;抗震设计的异形柱结构应符合抗震概念设计的要求,不应采用严重不规则的结构设计方案。这符合现行国家标准《建筑抗震设计规范》GB 50011的相关规定。这里所说的严重不规则,是指形体复杂,多项不规则指标超过本规程第3.2.2条条文说明中表1或表2所列的上限值,或某一项大大超过规定值,具有现有技术和经济条件不能克服的严重的抗震薄弱环节,可能导致地震破坏的严重后果者。
3.2.2 抗震设计时,对异形柱结构规则性的判别及对不规则异形柱结构的设计要求,除应符合现行国家标准《建筑抗震设计规范》GB 50011的相关规定外,尚应符合本规程第3.2.3条~第3.2.5条的相关规定。
条文说明
3.2.2 在异形柱结构抗震设计时,首先应对结构设计方案关于平面和竖向布置的规则性及不规则程度进行判别。对不规则异形柱结构的定义和设计要求,除应符合现行国家标准《建筑抗震设计规范》GB 50011对一般钢筋混凝土结构的有关要求外,尚应符合本规程第3.2.5条的相关规定。 为方便异形柱结构的抗震设计,这里列出现行国家标准《建筑抗震设计规范》GB?50011对平面不规则的主要类型及竖向不规则的主要类型的定义,作为对异形柱结构不规则类型判别的依据。
表1 平面不规则的主要类型

表2 竖向不规则的主要类型

根据表1及表2分别判定异形柱结构属于某项平面布置不规则类型或竖向布置不规则类型,并依据现行国家标准《建筑抗震设计规范》GB 50011的相关规定,确定该异形柱结构所属的不规则、特别不规则或严重不规则等不规则的程度。
3.2.3 异形柱结构的平面布置应符合下列规定:
1 异形柱结构的一个独立单元内,结构的平面形状宜简单、规则、对称,质量、刚度和承载力分布宜均匀。
2 异形柱结构的框架纵、横柱网轴线宜分别对齐拉通;异形柱截面肢厚中心线宜与框架梁及剪力墙中心线对齐。
3 异形柱框架-剪力墙结构中剪力墙宜均匀布置,抗震设计时,剪力墙的布置宜使各主轴方向的侧向刚度接近。剪力墙的间距不宜超过表3.2.3中限值的较小值;当剪力墙间距超过限值时,在结构计算中应计入楼盖、屋盖平面内变形的影响。
表3.2.3 异形柱结构的剪力墙最大间距(m)


注:表中B为楼盖宽度(m)。
条文说明
3.2.3 本规程根据异形柱结构的特点及抗震概念设计原则,对结构平面布置提出应符合的要求。结构的平面布置应力求简单、规则,避免质量、刚度和承载力分布不均匀,减少扭转的影响,这些都是抗震概念设计的基本要求。 本规程第3.2.1条规定:异形柱结构宜采用规则的设计方案。相应地在对结构柱网轴线的布置方面,本条提出了纵、横柱网轴线宜分别对齐拉通的要求。震害表明,若柱网轴线不对齐,形不成完整的框架,以避免地震中因扭转效应和传力路线中断等原因可能造成的结构严重震害。 当剪力墙之间的楼盖、屋盖有较大开洞时,剪力墙间距应比表3.2.3中限值适当减小,现浇层厚度不小于60mm的叠合楼板可作为现浇板考虑。 异形柱的肢厚较薄,其中心线宜与梁中心线对齐,尽量避免由于二者中心线偏移对受力带来的不利影响。 对异形柱框架-剪力墙结构中剪力墙的布置提出原则要求,抗震设计的剪力墙布置宜使各主轴方向的侧向刚度相近,还对剪力墙的最大间距提出了限制要求,其限值较一般钢筋混凝土结构的相关规定适当加严,且增加了8度(0.30g)的规定,对现浇层不小于60mm的叠合板按现浇板考虑来查表,底部抽柱带转换层异形柱结构的剪力墙间距宜符合本规程附录A的相关规定。 原规程实施以来,通过异形柱结构设计和施工经验积累和意见反馈以及汶川地震震害经验调查,并与国家现行标准《建筑抗震设计规范》GB 50011和《高层建筑混凝土结构技术规程》JGJ 3协调,对原规定进行适当的调整。系列核算和分析结果表明:调整后的规定是合适的。
3.2.4 异形柱结构的竖向布置应符合下列规定:
1 建筑的立面和竖向剖面宜规则、均匀,避免过大的外挑和内收;
2 结构的侧向刚度沿竖向宜相近或均匀变化,避免侧向刚度和承载力沿竖向的突变;高层异形柱框架-剪力墙结构相邻楼层的侧向刚度变化应符合现行行业标准《高层建筑混凝土结构技术规程》JGJ 3的有关规定;
3 异形柱框架-剪力墙结构体系的剪力墙应上下对齐、连续贯通房屋全高。
条文说明
3.2.4 本规程根据异形柱结构的特点及抗震概念设计原则,对结构竖向布置提出应符合的要求。 异形柱结构体系中,除异形柱上下连续贯通落地的一般框架结构之外,根据建筑功能之需要尚可采用底部抽柱带转换层的异形柱框架-剪力墙结构,这种结构上部楼层的一部分异形柱根据建筑功能的要求,并不上下连续贯通落地(即底部抽柱),而是落在转换大梁上(即梁托柱),完成上部小柱网到底部大柱网的转换,以形成底部大空间结构,但剪力墙应上下连续贯通房屋全高。
3.2.5 不规则的异形柱结构,其抗震设计应符合下列规定:
1 扭转不规则时,应计入扭转影响,且楼层竖向构件的最大弹性水平位移和层间位移分别与该楼层两端弹性水平位移和层间位移平均值的比值不应大于1.45;
2 侧向刚度不规则时,刚度小的楼层地震剪力应乘以不小于1.15的增大系数;
3 楼层承载力突变时,其薄弱层对应于地震作用标准值的地震剪力应乘以1.25的增大系数;楼层受剪承载力不应小于相邻上一楼层的65%;
4 竖向抗侧力构件不连续时,构件传递给水平转换构件的地震内力应根据不同条件和情况乘以1.25~1.50的增大系数;
5 受力复杂不利部位的柱,宜采用肢端设暗柱的异形柱或一般框架柱。
条文说明
3.2.5 高层异形柱框架-剪力墙结构相邻楼层侧向刚度变化应符合现行《高层建筑混凝土结构技术规程》JGJ 3-2010第3.5.2条的相关要求。当异形柱结构的扭转位移比(即楼层竖向构件的最大水平位移和层间位移与该楼层两端弹性水平位移和层间位移平均值之比)大于1.20时,可判定为“扭转不规则类型”,设计中要掌握扭转变形的下限和上限,并控制扭转位移比:不宜大于1.20,不应大于1.45(美国规范限制1.40)。本条的规定较现行国家标准《建筑抗震设计规范》GB 50011的相关规定的“不宜大于1.5”有所加严,目的是为了严格限制异形柱结构平面布置的规则性,避免过大的扭转效应。 当异形柱结构的层间受剪承载力小于相邻上一楼层的80%时,根据国家现行标准的相关规定,可判定为“楼层承载力突变类型”,其薄弱层的受剪承载力不应小于相邻上一楼层的65%,将薄弱层的地震剪力的增大系数1.20调整为1.25,与国家现行标准的相应规定相同,适当提高了安全度要求。侧向刚度不规则且承载力不连续时,应乘以1.25增大系数。 本条主要针对底部抽柱带转换层异形柱结构,根据国家现行标准的相关规定,可判定为“竖向抗侧力构件不连续类型”,且规定该构件传递给水平转换构件的地震内力应乘以1.25~1.5的增大系数。 抗震设计时,对异形柱结构中处于受力复杂、不利部位的柱,例如结构平面柱网轴线斜交处的柱,平面凹进不规则、错层等部位的柱,提出宜采用肢端暗柱加强的异形柱或一般框架柱的要求,以改善结构的整体受力性能。
3.2.6 对抗震安全性和使用功能有较高要求或专门要求的异形柱结构,可采用隔震设计,采用隔震设计时应符合现行国家标准《建筑抗震设计规范》GB 50011的相关规定。
条文说明
3.2.6 大量的分析和工程应用表明,结构采用隔震设计可以明显减轻其地震反应,考虑异形柱结构隔震设计的工程经验和实践相对较少,本规程对抗震安全性和使用功能有较高要求或专门要求的异形柱结构,提出其隔震设计应符合现行国家标准《建筑抗震设计规范》GB 50011的相关规定。
3.3 结构抗震等级
3.3 结构抗震等级
3.3.1 抗震设计时,异形柱结构应根据抗震设防烈度、建筑场地类别、结构类型和房屋高度,按表3.3.1的规定采用不同的抗震等级,并应符合相应的计算和构造措施要求。建筑场地为Ⅰ类时,除6度外,应允许按本地区抗震设防烈度降低一度所对应的抗震等级采取抗震构造措施,但相应的计算要求不应降低。
表3.3.1 异形柱结构的抗震等级

注:1 房屋高度指室外地面到主要屋面板板顶的高度(不包括局部突出屋顶部分);
2 对7度((0.15g)时建于Ⅲ、Ⅳ类场地的异形柱框架结构和异形柱框架-剪力墙结构,应按表中括号内所示的抗震等级采取抗震构造措施;
3 房屋高度接近或等于表中高度分界数值时,允许结合房屋不规则程度及场地、地基条件适当确定抗震等级。
条文说明
3.3.1 抗震设计的混凝土异形柱结构应根据抗震设防烈度、结构类型、房屋高度划分为不同的抗震等级,有区别地分别采用相应的抗震措施,包括内力调整和抗震构造措施。抗震等级的高低,体现了对结构抗震性能要求的程度。本规程的结构抗震等级是针对异形柱结构的抗震性能特点及丙类建筑抗震设计的要求通过研究分析制定,考虑到近年来国内大地震中异形柱结构的表现,科研成果不断深化,工程实践不断积累,此次修订中对《混凝土异形柱结构技术规程》JGJ 149-2006的相关规定做了适当的放松。框架结构7度(0.1g)大于21m和7度(0.15g)大于18m的抗震等级规定是按本规程第3.1.6条给出的。对高度不大于21m的框架-剪力墙结构中的框架,在8度(0.3g)抗震设计时提出一级抗震等级要求。本规程目前仅限于全部为异形柱或少量矩形柱的异形柱框架结构和框架-剪力墙结构,工程中遇到的异形柱与一般框架柱共同使用的情况(二者的数量、比例等因素)比较复杂,由于缺少统一调查研究分析的基础,目前尚难以作出统一规定,设计人员可根据工程实际情况依据国家相关标准合理斟酌处理。 本条的房屋高度是指室外地面到主要屋面板板顶的高度(不包括局部突出屋顶部分),本条明确了某些场地类别对抗震构造措施的影响。
3.3.2 当异形柱结构的地下室顶板作为上部结构的嵌固部位时,地下一层与首层的侧向刚度比不宜小于2,地下一层及以下不应采用异形柱,地下一层结构的抗震等级应与上部结构相同,地下一层以下抗震构造措施的抗震等级可逐层降低一级,但不应低于四级。作为上部结构嵌固部位的地下室楼层的顶楼盖应采用梁板结构,楼板厚度不宜小于180mm,混凝土强度等级不宜小于C30,且应采用双层双向配筋,每层每个方向的配筋率不宜小于0.25%。
条文说明
3.3.2 本条根据国家现行标准《建筑抗震设计规范》GB 50011和《高层建筑混凝土结构技术规程》JGJ 3的相应规定编制。
4 结构计算分析
4.1 极限状态设计
4 结构计算分析
4.1 极限状态设计
4.1.1 异形柱结构的设计使用年限应按现行国家标准《工程结构可靠性设计统一标准》GB 50153的相关规定确定。
条文说明
4.1.1 混凝土异形柱结构属于一般混凝土结构,根据现行国家标准《工程结构可靠性设计统一标准》GB 50153的规定,其设计使用年限为50年。
4.1.2 一般居住建筑异形柱结构的安全等级应采用二级,抗震设防类别按丙类。
条文说明
4.1.2 按现行国家标准《混凝土结构设计规范》GB 50010关于承载能力极限状态的计算规定,根据建筑结构破坏后果的严重程度,建筑结构划分为三个安全等级,采用混凝土异形柱结构的居住建筑包括住宅、学生宿舍和别墅等,属于“一般的建筑物”类及以上,其破坏后果属于“严重”类及以上,其安全等级应为二级。较为规则的一般民用建筑当使用异形柱结构时,其安全等级也可参照此条确定。 异形柱结构的抗震设防分类主要以丙类为主。根据现行国家标准《建筑工程抗震设防分类标准》GB 50223,异形柱结构抗震设防类别应为丙类,即标准设防类。设防类别划分是侧重于使用功能和灾害后果的区分,并强调体现对人员安全的保障。 若建设单位对设计使用年限提出更长的要求,应采取专门措施,包括荷载设计值、设计地震动参数和耐久性措施等均应依据设计使用年限相应确定。
4.1.3 异形柱结构应进行承载能力极限状态计算和正常使用极限状态验算。
条文说明
4.1.3 混凝土异形柱结构和一般混凝土结构一样,应进行承载能力极限状态和正常使用极限状态的计算和验算。
4.1.4 异形柱结构中异形柱正截面、斜截面及梁柱节点承载力应按本规程第5章的规定进行计算;其他构件的承载力计算应符合国家现行相关标准的规定。
条文说明
4.1.4 基于异形柱受力性能及设计、构造的特点,本条明确异形柱正截面、斜截面及梁-柱节点承载力应按本规程第5章的规定进行计算;其他构件的承载力计算应遵守国家现行相关标准。
4.1.5 异形柱结构构件承载力应按下列公式验算:

式中:γ 0 ——结构重要性系数,不应小于1.0;
S——作用效应组合的设计值;
R——构件承载力设计值;
γ RE ——构件承载力抗震调整系数。 ( 自2022年4月1日起废止该条,点击查看:新规 《混凝土结构通用规范》 GB 55008-2021)
条文说明
4.1.5 本条修订后改为强制性条文,与现行国家标准《混凝土结构设计规范》GB 50010相关条文一致。结构的设计使用年限分类和安全等级划分,应分别按现行国家标准《建筑结构可靠度设计统一标准》GB 50068相关规定采用;结构重要性系数应根据《混凝土结构设计规范》GB 50010-2010(2015年版)第3.3.2条的规定采用,不应小于1.0;承载力抗震调整系数按《混凝土结构设计规范》GB 50010-2010(2015年版)第11.1.6条规定采用。
4.1.6 异形柱结构防连续倒塌设计应符合现行国家标准《混凝土结构设计规范》GB 50010防连续倒塌设计的相关原则。
条文说明
4.1.6 异形柱结构防连续倒塌设计是结构设计的重要部分,鉴于结构防连续倒塌设计还处于研究阶段,本规程对异形柱结构防连续倒塌设计原则与现行国家标准《混凝土结构设计规范》GB 50010的相关规定相同。对于安全等级为一级的高层异形柱结构尚应符合现行行业标准《高层建筑混凝土结构技术规程》JGJ 3的相关规定。
4.1.7 异形柱结构的构件截面配筋应根据结构的实际情况,按本规程第5章的规定具体计算,其中材料强度设计值应按现行国家标准《混凝土结构设计规范》GB 50010的相关规定采用。
4.1.8 异形柱结构应进行风荷载、地震作用下的水平位移验算。
4.2 荷载和地震作用
4.2 荷载和地震作用
4.2.1 异形柱结构的竖向荷载、风荷载、雪荷载等取值及组合应符合现行国家标准《建筑结构荷载规范》GB 50009的相关规定。
4.2.2 异形柱结构抗震设防烈度和设计地震动参数应按现行国家标准《建筑抗震设计规范》GB 50011的相关规定确定。
4.2.3 抗震设防烈度为6度、7度和8度的异形柱结构应进行地震作用计算及结构抗震验算。
条文说明
4.2.3 本条在应进行地震作用计算及结构抗震验算的抗震设防烈度规定中,比现行国家标准《建筑抗震设计规范》GB 50011的相关规定多包括了6度,这是基于异形柱抗震性能特点和要求而制定的。
4.2.4 异形柱结构的地震作用计算,应符合下列规定:
1 应至少在结构两个主轴方向分别计算水平地震作用并进行抗震验算,7度(0.15g)和8度(0.20g,0.30g)时尚应对与主轴成45°方向计算水平地震作用并进行抗震验算;
2 在计算单向水平地震作用时应计入扭转影响;对扭转不规则的结构,水平地震作用计算应计入双向水平地震作用下的扭转影响。
条文说明
4.2.4 异形柱结构对地震作用计算基本按国家现行标准的相关规定,并考虑了异形柱结构的特点而作出补充要求。
1 异形柱与矩形柱具有不同的截面特性及受力特性,试验研究及理论分析表明:异形柱的双向偏压正截面承载力随荷载(作用)方向不同而有较大的差异。在L形、T形和十字形三种异形柱中,以L形柱的差异最为显著。当异形柱结构中混合使用等肢异形柱与不等肢异形柱时,则差异情况及相应影响更为错综复杂,成为异形柱结构地震作用计算中不容忽视的问题。规程编制组进行的典型工程试设计表明:按45°方向水平地震作用计算所得的结构底部剪力,与0°及90°正交方向水平地震作用下的结构底部剪力相比,可能减小,也可能增大。即使结构底部剪力减小,也可能在某些异形柱构件出现内力增大的现象,甚至增幅不小。这种由于荷载(作用)不同方向导致内力变化的差异,除与柱截面形状、柱截面尺寸比例有关外,还与结构平面形状、结构布置及柱所在位置等因素有关。要精确确定异形柱结构中各异形柱构件对应的水平地震作用的最不利方向是一个很复杂的问题,具体设计中一般可以采取工程实用方法。编制组对异形柱结构的地震作用分析研究及典型工程试设计表明:对于全部采用等肢异形柱且较为规整的矩形平面结构布置情形,一般地震作用沿45°、135°方向作用时,L形柱要求的配筋量变化差异最大,比0°、90°方向情形的增幅有时可达10%~20%。由于6度、7度(0.10g)抗震设计时异形柱的截面设计一般是由构造配筋控制的,其差异可能被掩盖,故本条仅规定7度(0.15g)及8度(0.20g,0.30g)抗震设计时才进行45°方向的水平地震作用计算与抗震验算,着重注意结构底部、角部、负荷较大及结构平面变化部位的异形柱在水平地震作用不同方向情形的内力变化,从中选取最不利情形作为异形柱截面设计的依据,以增加异形柱结构抗震设计的安全性,必要时应对多方向进行验算。对于更复杂的情形,例如具有较多不等肢异形柱情形,适当补充其他角度方向的水平地震作用计算,并通过分析比较从中选出最不利数据作为设计的依据是可取的。
2 国内外历次大地震的震害、试验和理论研究均表明,平面不规则、质量与刚度偏心和抗扭刚度太弱的结构,扭转效应可能导致结构严重的震害,对异形柱结构尤其需要在抗震设计中加以重视。条文中所指“扭转不规则的结构”,可按现行国家标准《建筑抗震设计规范》GB 50011相关规定的条件(即扭转位移比大于1.20)来判别,此时异形柱结构的水平地震作用计算应计入双向水平地震作用下的扭转影响,并可不考虑质量偶然偏心的影响;而计算单向地震作用时则应考虑偶然偏心的影响。
4.2.5 异形柱结构地震作用计算宜采用振型分解反应谱法,不规则异形柱结构的地震作用计算应采用扭转耦联振型分解反应谱法,必要时应补充弹塑性分析或时程分析。
条文说明
4.2.5 异形柱结构地震作用计算的方法,根据现行国家标准《建筑抗震设计规范》GB 50011的规定,振型分解反应谱法和底部剪力法都是地震作用计算的基本方法,但考虑到现今在结构设计计算中计算机应用日益普遍,且实际工程中大多存在着不同程度的不对称、不均匀等情况,已很少应用底部剪力法,故本条仅列考虑振型分解反应谱法;平面不规则结构的扭转影响显著,应采用扭转耦联振型分解反应谱法。 本规程主要用于住宅,突出屋面的大多为面积较小、高度不大的屋顶间、女儿墙或烟囱,根据现行国家标准《建筑抗震设计规范》GB 50011的相关规定,当采用振型分解法时此类突出屋面部分可作为一个质点来计算;当结构顶部有小塔楼且采用振型分解反应谱法时,根据现行行业标准《高层建筑混凝土结构技术规程》JGJ 3的相关规定,无论是考虑还是不考虑扭转耦联振动影响,小塔楼宜每层作为一个质点参与计算。
4.3 结构分析模型与计算参数
4.3 结构分析模型与计算参数
4.3.1 在竖向荷载、风荷载或多遇地震作用下,异形柱结构的内力和位移可按弹性方法计算。框架梁可考虑在竖向荷载作用下梁端局部塑性变形引起的内力重分布。
条文说明
4.3.1 无论是非抗震设计还是抗震设计,在竖向荷载、风荷载、多遇地震作用下混凝土异形柱结构的内力和变形分析,按我国现行规范体系,均采用弹性方法计算,但在截面设计时则考虑材料的弹塑性性质。在竖向荷载作用下框架梁可以考虑梁端部塑性变形引起的内力重分布。
4.3.2 异形柱结构的分析模型应符合结构的实际受力状况,异形柱结构的内力和位移分析应采用空间分析模型,可选择空间杆系模型、空间杆-墙板元模型或其他组合有限元等分析模型。
条文说明
4.3.2 关于分析模型的选择,考虑到异形柱结构的特点,应采用基于三维空间的计算分析方法及相应软件。平面结构空间协同计算模型虽然计算简便,但缺点是对结构空间整体的受力性能反映得不完全,现已较少应用,当规则结构初步设计时也可应用。
4.3.3 异形柱结构按空间分析模型计算时,应考虑下列变形:
1 梁的弯曲、剪切、扭转变形,必要时考虑轴向变形;
2 柱的弯曲、剪切、轴向、扭转变形;
3 剪力墙的弯曲、剪切、轴向、扭转、翘曲变形。
条文说明
4.3.3 本规程适用的异形柱,其柱肢截面的肢高肢厚比限制在不大于4的范围,与矩形柱相比,其柱肢一般相对较薄,研究表明:这样尺度比例的异形柱,其内力和变形性能具有一般杆件的特征,并不满足划分为薄壁杆件的基本条件。故在计算分析中,异形柱应按杆系模型分析,剪力墙可按薄壁杆系或墙板元模型分析。 按空间整体工作分析时,不同分析模型的梁、柱自由度是相同的;剪力墙采用薄壁杆系模型时比采用墙板元模型时多考虑翘曲变形自由度。
4.3.4 异形柱结构内力与位移计算时,可假定楼板在其自身平面内为无限刚性,并应在设计中采取措施保证楼板平面内的整体刚度。当楼板可能产生明显的面内变形时,计算时应考虑楼板平面内的变形,或对采用楼板平面内无限刚性假定的计算结果进行适当调整。
条文说明
4.3.4 进行结构内力和位移计算时,可采取楼板在其自身平面内为无限刚性的假定,以使结构分析的自由度大大减少,从而减少由于庞大自由度系统而带来的计算误差,实践证明这种刚性楼板假定对绝大多数多高层结构分析具有足够的工程精度,但这时应在设计中采取必要措施以保证楼盖的整体刚度。绝大多数异形柱结构的楼板采用现浇钢筋混凝土楼板,能够满足该假定的要求,但还应在结构平面布置中注意避免楼板局部削弱或不连续,当存在楼盖大洞口的不规则类型时,计算时应考虑楼板的面内变形,或对采用楼板面内无限刚性假定计算方法的计算结果进行适当调整,并采取楼板局部加厚、设置边梁、加大楼板配筋等措施。
4.3.5 异形柱结构的重力二阶效应使作用效应显著增大时,在异形柱结构分析中应考虑重力二阶效应的不利影响。在结构分析中可按现行国家标准《混凝土结构设计规范》GB 50010规定的方法考虑结构重力二阶效应的影响,计算中可不考虑杆件的扭曲变形。
条文说明
4.3.5 对异形柱结构,当二阶效应使作用效应显著增大而不可忽略时,即结构在水平荷载作用下的重力附加弯矩大于初始弯矩的10%,应考虑二阶效应的影响,建筑结构的二阶效应包括重力二阶效应(P-△效应)和受压构件的挠曲效应(P-δ效应)两部分。重力二阶效应计算属于结构整体层面的问题,应在结构整体分析中考虑。受压构件的挠曲效应计算属于构件层面的问题,应在构件设计时考虑,按本规程第5.1节规定计算。
4.3.6 异形柱结构内力与位移计算时,楼面梁刚度增大系数、梁端负弯矩和跨中正弯矩调幅系数、扭矩折减系数、连梁刚度折减系数的取值,以及框架-剪力墙结构中框架部分承担的地震剪力调整要求,可根据国家现行标准按一般混凝土结构的相关规定采用。
条文说明
4.3.6 计算系数根据国家现行标准按一般混凝土结构的相关规定采用。
4.3.7 计算各振型地震影响系数所采用的结构自振周期应考虑非承重填充墙体刚度影响予以折减。
条文说明
4.3.7 框架结构中的非承重填充墙属于非结构构件,已有工程实测表明,框架结构中非承重填充墙的存在,会增大结构整体刚度,减小结构自振周期,从而产生增大结构地震作用的影响。为反映这种影响,可根据工程实际采用的非承重填充墙体材料,采用折减系数ψT对结构的计算自振周期进行折减。
4.3.8 异形柱结构的计算自振周期折减系数ψ T 可按下列规定取值:
1 框架结构可取0.55~0.70;
2 框架-剪力墙结构可取0.65~0.80。
条文说明
4.3.8 本规程对异形柱结构的计算自振周期折减系数ψT给出了一个范围,较现行行业标准《高层建筑混凝土结构技术规程》JGJ 3的相关规定适当加严。当按本规程第3.1.5条的规定采用的轻质填充墙时,可按所列系数范围的较大值取用。系数的最低值对应于影响最强的实心砖砌体填充墙情形。目前轻质填充墙体材料品种繁多,材料性能方面差异较大,应根据工程实际情况,合理选定计算自振周期折减系数。
4.3.9 设计中所采用的异形柱结构分析软件应经考核和验证,对结构分析软件的计算结果应进行判断和校核,确认其合理、有效后方可用于工程设计。
条文说明
4.3.9 现有的一些结构分析软件,主要适用于一般钢筋混凝土结构,尚不能满足异形柱结构设计计算的需要。本规程颁布实施后,应从异形柱结构内力和变形计算到异形柱截面设计、构造措施等,按照本规程及国家现行有关标准的要求编制且通过专门审查鉴定的异形柱结构专用的设计软件,确保设计质量。
4.4 水平位移限值
4.4 水平位移限值
4.4.1 在风荷载、多遇地震作用下,异形柱结构按弹性方法计算的楼层最大层间位移应符合下式规定:

式中:△u e ——风荷载、多遇地震作用标准值产生的楼层最大弹性层间位移;
[θ e ]——弹性层间位移角限值,按表4.4.1采用;
h——计算楼层层高。
表4.4.1 异形柱结构弹性层间位移角限值

注:表中括号内的数字用于底部抽柱带转换层的异形柱结构。
4.4.2 罕遇地震作用下,异形柱结构的弹塑性变形验算应符合下列规定:
1 7度、8度抗震设计时楼层屈服强度系数小于0.5的异形柱框架结构,应进行罕遇地震作用下的弹塑性变形验算;
2 7度抗震设计时底部抽柱带转换层的异形柱框架结构、层数为10层及10层以上或高度超过28m的竖向不规则异形柱框架-剪力墙结构,宜进行罕遇地震作用下的弹塑性变形验算;
3 弹塑性变形的计算方法,应符合现行国家标准《建筑抗震设计规范》GB 50011的相关规定。
4.4.3 罕遇地震作用下,异形柱结构的弹塑性层间位移应符合下式要求:

式中:△u p ——罕遇地震作用标准值产生的弹塑性层间位移;
[θ p ]——弹塑性层间位移角限值,按表4.4.3采用。
表4.4.3 异形柱结构弹塑性层间位移角限值

注:表中括号内的数字用于底部抽柱带转换层的异形柱结构。
条文说明
4.4.1~4.4.3 对结构楼层层间位移的控制,实际上是对构件截面大小、刚度大小的控制,从而达到:保证主体结构基本处于弹性受力状态,保证填充墙、隔墙的完好,避免产生明显损伤。 非抗震设计中风荷载作用下的异形柱结构处于正常使用状态,此时结构应避免产生过大的位移而影响结构的承载力、稳定性和使用要求。为此,应保证结构具有必要的刚度。 抗震设计是根据抗震设防三个水准的要求,采用二阶段设计方法来实现的。要求在多遇地震作用下主体结构不受损坏,填充墙及隔墙没有过重破坏,保证建筑的正常使用功能;在罕遇地震作用下,主体结构遭受破坏或严重破坏但不倒塌。本规程对异形柱结构的弹性及弹塑性层间位移角限值的规定,系根据已有的异形柱结构试验实测值分析而制定的。 原规程实施以来,通过异形柱结构设计和施工经验积累和意见反馈以及汶川地震震害经验调查,并与国家现行标准《建筑抗震设计规范》GB 50011和《高层建筑混凝土结构技术规程》JGJ 3协调,对原规定进行适当的调整。系列核算和分析结果表明:调整后的规定是合适的。
5 截面设计
5.1 异形柱正截面承载力计算
5 截面设计
5.1 异形柱正截面承载力计算
5.1.1 异形柱正截面承载力计算的基本假定应符合国家标准《混凝土结构设计规范》GB 50010-2010(2015年版)第6.2.1条的规定。
条文说明
5.1.1 通过对28个L形、T形、十字形柱及17个Z形截面柱在轴力与双向弯矩共同作用下的试验研究,结果表明:从加载至破坏的全过程,截面平均应变保持平面的假定成立。混凝土受压应力-应变曲线、极限压应变εcu及纵向受拉钢筋极限拉应变εcu的取用,均与现行国家标准《混凝土结构设计规范》GB 50010一致。
5.1.2 异形柱双向偏心受压的正截面承载力可按下列方法计算:
1 将柱截面划分为有限个混凝土单元和钢筋单元(图5.1.2-1),近似取单元内的应变和应力为均匀分布,合力点在单元形心处。
2 截面达到承载能力极限状态时各单元的应变按截面应变保持平面的假定确定。
3 混凝土单元的应力和钢筋单元的应力应按本规程第5.1.1条的假定确定。

图5.1.2-1 异形柱双向偏心受压正截面承载力计算
A-A—截面中和轴
4 无地震作用组合时异形柱双向偏心受压的正截面承载力应按下列公式计算(图5.1.2-1):

式中:N——轴向力设计值;
η α ——考虑杆件挠曲偏心距增大系数,按本规程第5.1.4条的规定计算;
e ix 、e iy ——轴向力对截面形心轴y、x的初始偏心距(图5.1.2-2):
e i ——初始偏心距;
e 0 ——轴向力对截面形心的偏心距;
M x 、M y ——对截面形心轴x、y的弯矩设计值,由压力产生的偏心在x轴上侧时M x 取正值,由压力产生的偏心在y轴右侧时M y 取正值;
e a ——附加偏心距,取20mm和0.15r min 的较大值,此处r min 为截面最小回转半径;
α——弯矩作用方向角(图5.1.2-2),为轴向压力作用点至截面形心的连线与截面形心轴x正向的夹角,逆时针旋转为正;
n——角度参数,当M x 、M y 均为正值时,n=0;当M y 为负值、M x 为正或负值时n=1;当M x 为负值、M y 为正值时n=2;
σ ci 、A ci ——第i个混凝土单元的应力及面积,σ ci 为压应力时取正值;
σ sj 、A sj ——第j个钢筋单元的应力及面积,σ sj 为压应力时取正值;
X 0 、Y 0 ——截面形心坐标;
X ci 、Y ci ——第i混凝土单元的形心坐标;
X sj 、Y sj ——第j个钢筋单元的形心坐标;
n c 、n s ——混凝土及钢筋单元总数。

图5.1.2-2 双向偏心受压异形柱截面
I-轴向力作用点;o-截面形心;x、y-截面形心轴;x α -x α 垂直于弯矩作用方向的截面形心轴
5 有地震作用组合时异形柱双向偏心受压正截面承载力应按式(5.1.2-1)~式(5.1.2-8)计算,但在式(5.1.2-1)~式(5.1.2-3)右边应除以相应的承载力抗震调整系数γ RE ,γ RE 的取值,对偏心受压柱,轴压比小于0.15时取0.75,轴压比不小于0.15时取0.80,对偏心受拉柱取0.85。
5.1.3 异形柱双向偏心受拉正截面承载力应按本规程式(5.1.2-1)~式(5.1.2-3)计算,式中N ηα e iy 、N ηα e ix 分别以M x 、M y 替代,N为轴向拉力设计值。
条文说明
5.1.2、5.1.3 采用数值积分方法编制的电算程序,对28个L形、T形、十字形截面双向偏心受压柱正截面承载力进行计算,结果表明:试验值与计算值之比的平均值为1.198,变异系数为0.087,彼此吻合较好。又通过对5个矩形截面双向偏心受拉试件承载力及矩形截面偏心受压构件M-N相关曲线的核算,均有很好的一致性。此次修订中增加了Z形柱内容,采用数值积分方法编制的电算程序,对17个Z形截面双向偏心受压柱正截面承载力进行计算,结果表明:试验值与计算值之比的平均值为1.158,变异系数为0.085,吻合较好。上述研究表明所提出的计算方法正确可行。 由于荷载作用位置的不定性,混凝土质量的不均匀性以及施工的偏差,可能产生附加偏心距ea。本规程ea的取值基本与《混凝土结构设计规范》GB 50010-2010(2015年版)第6.2.5条中ea的取值相协调。对于偏心受压柱正截面承载力计算公式,考虑二阶效应的影响,偏心距增大系数ηα为杆件自身挠曲的影响(P-δ效应),Mx、My和N分别为根据本规程第4.3.5条确定的杆端截面对截面形心轴x、y的弯矩设计值和轴向压力设计值。
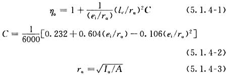
5.1.4 异形柱双向偏心受压正截面承载力计算应符合下列规定:
1 异形柱双向偏心受压正截面承载力计算应考虑构件挠曲二阶效应(P-δ效应)引起的附加内力,此时可将轴向力对截面形心的初始偏心距e i 乘以偏心距增大系数η α 。η α 应按下列公式计算:

式中:e i ——初始偏心距;
l c ——柱的计算长度,近似取偏心受压构件相应主轴方向上下支撑点之间的距离;
r α ——柱截面对垂直于弯矩作用方向形心轴x α —x α 的回转半径(图5.1.2-2);
I α ——柱截面对垂直于弯矩作用方向形心轴x α —x α 的惯性矩;
A——柱的全截面面积。
2 按式(5.1.4-1)计算时,柱的长细比l c /r α 不应大于70。当柱的长细比l c /r α 不大于17.5时,可取η α =1.0。
条文说明
5.1.4 杆件自身挠曲影响的偏心距增大系数ηα仍采用原规程的计算公式,对计算长度的取值作了调整。试验研究及理论分析表明,在截面、混凝土的强度等级以及配筋已定的条件下,柱的长细比lc/rα、相对偏心距e0/rα和弯矩作用方向角α是影响异形截面双向偏心受压柱承载力及侧向挠度的主要因素。为此,针对实际工程中常见的等肢L形、T形、十字形柱,以两端铰接的基本长柱作为计算模型,对各种不同情况的350根L形、T形、十字形截面双向偏心受压长柱(变化10种弯矩作用方向角、5种长细比lc/rα=17.5~90.07,5种相对偏心距e0/rα=0.346~2.425)进行了非线性全过程分析,得到了等肢异形柱承载力及侧向挠度的规律。电算分析表明:对于同一截面柱在相同的弯矩作用方向角下,异形柱的正截面承载能力及侧向挠度随柱的计算长度lc及偏心距e0的变化而变化;在相同lc及e0情况下,由于各弯矩作用方向角截面的受力特性及回转半径的差异,承载力及侧向挠度迥然不同。经分析,沿偏心方向的偏心距增大系数ηα=1+fα/e0主要与lc/rα及e0/rα有关,根据350个数据拟合回归得到偏心距增大系数ηα的计算式(5.1.4-1)、式(5.1.4-2),其相关系数γ=0.905。 按式(5.1.4-1)、式(5.1.4-2)计算的偏心距增大系数ηα与350个等肢异形柱电算ηα之比,其平均值为1.013,均方差为0.045;与38个不等肢异形柱电算η′αα之比,其平均值为1.014,均方差为0.025。因此式(5.1.4-1)、式(5.1.4-2)也适用于一般不等肢异形柱(指短肢不小于500mm,长肢不大于800mm,肢厚小于300mm的异形柱)。 当lc/rα>17.5时,应考虑侧向挠度的影响。当lc/rα≤17.5时,构件截面中由挠曲二阶效应(P—δ效应)引起的附加弯矩平均不会超过截面一阶弯矩的4.2%,因此可忽略其影响,取ηα=1。但当lc/rα>70时,属于细长柱,破坏时接近弹性失稳,本规程不适用。
5.1.5 抗震等级为一、二、三、四级异形柱框架的梁柱节点处,除框架顶层柱、轴压比小于0.15的柱外,有地震作用组合的柱端弯矩设计值应按下式计算:

式中:∑M b ——节点左、右侧梁端截面逆时针和顺时针方向组合的弯矩设计值之和的较大值,一级框架节点左、右侧梁端均为负弯矩时,绝对值较小的弯矩应取零;
∑M c ——节点上、下柱端截面顺时针或逆时针方向组合的弯矩设计值之和,上、下柱端弯矩设计值,可按弹性分析的弯矩比例分配确定;
η c ——柱端弯矩增大系数;对异形柱框架结构,抗震等级为二、三、四级分别取1.5、1.3、1.2;对异形柱框架-剪力墙结构中的框架,抗震等级为一、二、三、四级分别取1.4、1.2、1.1、1.1。
当反弯点不在柱的层高范围内时,柱端弯矩设计值可取有地震作用组合的弯矩值乘以柱端弯矩增大系数确定。框架顶层柱及轴压比小于0.15的柱,柱端弯矩设计值可取有地震作用组合的弯矩值。
条文说明
5.1.5 框架柱节点上、下端弯矩设计值的增大系数,按《混凝土结构设计规范》GB 50010-2020(2015年版)第11.4.1条的相关规定,对原规程规定作了相应调整。
5.1.6 抗震等级为二、三、四级异形柱框架结构的底层,柱下端截面的弯矩设计值,应取有地震作用组合的弯矩值分别乘以系数1.5、1.3、1.2确定,底层柱纵向钢筋应按上下端的不利情况配置。
条文说明
5.1.6 为了推迟异形柱框架结构底层柱下端截面塑性铰的出现,设计中对此部位柱的弯矩设计值应乘以增大系数,以增大其正截面承载力,其增大系数与《混凝土结构设计规范》GB 50010-2010(2015年版)第11.4.2条的规定值相同。
5.1.7 抗震等级为一、二、三、四级异形柱框架的角柱,其弯矩设计值应取本规程第5.1.5、5.1.6条调整后的弯矩值再乘以不小于1.1的增大系数。
条文说明
5.1.7 考虑到异形柱框架结构的角柱为薄弱部位,扭转效应对其内力影响较大,且受力复杂,因此规定对角柱的弯矩设计值按本规程第5.1.5条和第5.1.6条调整后的弯矩设计值再乘以不小于1.1的增大系数,以增大其正截面承载力,推迟塑性铰的出现。
5.1.8 对于楼板与梁整体浇筑的异形柱框架,通过增大框架梁的弯曲刚度来考虑楼板作用,在进行梁的内力分析和配筋时,不宜将梁端截面上部纵筋全部配置在梁(肋)矩形截面内,而应将其部分纵筋配置在梁侧有效翼缘宽度范围的楼板内。
条文说明
5.1.8 抗震分析和模拟计算表明,目前的工程做法将梁端截面上部纵筋全部配置在梁肋内,梁侧楼板再另行配筋,实际上增大了梁的受弯承载力,是造成地震时柱先于梁破坏的主要原因之一。因此,要求对于楼板与梁整体浇筑的结构,通过增大梁弯曲刚度考虑楼板作用,计算得到梁端上部纵筋不要全部配置在梁肋内,应将部分梁端上部纵筋配置在梁侧有效翼缘范围的楼板内,该部分钢筋也当作楼板抗弯钢筋使用。一般情况,梁的有效翼缘宽度可取梁两侧各6倍板厚的范围。 抗震设计时,对于二级抗震等级框架结构,该部分纵筋占梁端截面上部纵筋总量的比例宜取为30%(边梁15%)、对三、四级抗震等级宜取为40%(边梁20%);对于框架-剪力墙结构的框架该比例可适当减小。
5.2 异形柱斜截面受剪承载力计算
5.2 异形柱斜截面受剪承载力计算
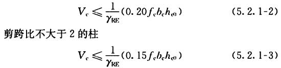
5.2.1 异形柱的受剪截面应符合下列条件:


式中:V c ——斜截面组合的剪力设计值;
γ RE ——承载力抗震调整系数.取0.85;
b c ——验算方向的柱肢截面厚度;
h c0 ——验算方向的柱肢截面有效高度。对Z形截面柱,当验算方向为翼缘方向时,取h c0 =h c +h′ c —h f —a s ,其中h c 和h′ c 分别为两侧翼缘的截面高度,h f 为腹板截面厚度,a s 为受拉钢筋合力点至截面近边的距离。
条文说明
5.2.1 本条规定异形柱的受剪承载力上限值,即受剪截面限制条件。计算公式不考虑另一正交方向柱肢的作用,与《混凝土结构设计规范》GB 50010-2010(2015年版)第6.3.1条和第11.4.6条规定相同。此次修订,对Z形柱的验算方向柱肢截面有效高度作出了规定,用于Z形柱斜截面受剪承载力计算。
5.2.2 异形柱的斜截面受剪承载力应符合下列公式规定:

式中:λ——剪跨比。无地震作用组合时,取柱上、下端组合的弯矩计算值M c 的较大值与相应的剪力计算值V c 和柱肢截面有效高度h c0 的比值;有地震作用组合时,取柱上、下端未按本规程第5.1.5条~第5.1.7条调整的组合的弯矩计算值M c 的较大值与相应的剪力计算值V c 和柱肢截面有效高度h c0 的比值,即λ=M c /(V c h c0 );当柱的反弯点在层高范围内时,均可取λ=H n /2h c0 ;当λ<1.0时,取λ=1.0;当λ>3时,取λ=3;此处,H n 为柱净高。
N——无地震作用组合时,为与荷载效应组合的剪力设计值V c 相应的轴向压力或拉力设计值;有地震作用组合时,为有地震作用组合的轴向压力或拉力设计值,当轴向压力设计值N>0.3f c A时,取N=0.3f c A;此处,A为柱的全截面面积。
A sv ——验算方向的柱肢截面厚度b c 范围内同一截面箍筋各肢总截面面积;A sv =nA sv1 ,此处n为b c 范围内同一截面内箍筋的肢数,A sv1 为单肢箍筋的截面面积。
f yv ——箍筋的抗拉强度设计值,其数值大于360N/mm 2 时应取360N/mm 2 。
s——沿柱高度方向的箍筋间距。
3)当式(5.2.2-3)右边的计算值和式(5.2.2-4)右边 

条文说明
5.2.2 L形柱和验算方向与腹板方向一致的T形柱的试验表明,外伸翼缘可以提高柱的斜截面受剪承载力。根据现行国家标准《混凝土结构设计规范》GB 50010适当提高框架柱受剪可靠度的原则,并为简化计算,本规程对L形、T形、十字形和Z形柱均采用了与现行国家标准《混凝土结构设计规范》GB 50010相同的计算公式,即按矩形截面柱计算而不考虑与验算方向正交柱肢的作用。 按式(5.2.1-1)、式(5.2.2-1)计算与52个单调加载的L形、T形和十字形截面异形柱试件的试验结果比较,计算值与试验值之比的平均值为0.696,变异系数为0.148,基本吻合并有较大的安全储备。 按式(5.2.1-2)、式(5.2.1-3)和式(5.2.2-2)计算与11个低周反复荷载作用的L形、T形和十字形截面异形柱试件的试验结果比较,计算值与试验值之比的平均值为0.609,是足够安全的。 按式(5.2.1-1)、式(5.2.2-1)计算与9个Z形柱单调加载试验结果比较,计算值与试验值之比的平均值为0.665,变异系数为0.074;按式(5.2.1-2)、式(5.2.1-3)和式(5.2.2-2)计算与6个Z形柱低周反复加载试验结果比较,计算值与试验值之比的平均值为0.697,变异系数为0.101,彼此吻合较好。是足够安全的。 式(5.2.2-3)和式(5.2.2-4)中轴向拉力对异形柱受剪承载力的影响项,取值与《混凝土结构设计规范》GB 50010-2010(2015年版)第6.3.14条和第11.4.8条的规定相同。
5.2.3 有地震作用组合的异形柱斜截面剪力设计值V c 应按下式就算,式中M t c 、M b c 之和应分别按顺时针和逆时针方向计算,并取其较大值。M t c 、M b c 的取值应符合本规程第5.1.5、5.1.6条的规定。

式中:M t c 、M b c ——有地震作用组合,且经调整后的柱上、下端弯矩设计值;
H n ——柱的净高;
η vc ——柱剪力增大系数;对异形柱框架结构,抗震等级为二、三、四级分别取1.3、1.2、1.1;对异形柱框架-剪力墙结构中的框架,抗震等级为一、二、三、四级分别取1.4、1.2、1.1、1.1。
条文说明
5.2.3 此次修订,对框架结构和框架-剪力墙结构中的框架,当有地震作用组合时,异形柱斜截面剪力设计值Vc计算公式中的系数作了调整,取值与《混凝土结构设计规范》GB 50010-2010(2015年版)第11.4.3条的规定相同。
5.2.4 各级抗震等级的角柱,有地震作用组合的剪力设计值应按本规程第5.2.3条经调整后的剪力值再乘以不小于1.1的增大系数。
5.3 异形柱框架梁柱节点核心区受剪承载力计算
5.3 异形柱框架梁柱节点核心区受剪承载力计算
5.3.1 异形柱框架应进行梁柱节点核心区受剪承载力计算。
条文说明
5.3.1 本条内容是保证异形柱结构安全可靠的重要技术规定。试验研究表明.异形柱框架梁柱节点核心区的受剪承载力低于截面面积相同的矩形柱框架梁柱节点的受剪承载力,是异形柱框架的薄弱环节。为确保安全,对抗震等级为一、二、三、四级的梁柱节点核心区以及非抗震设计的梁柱节点核心区均应进行受剪承载力计算。在设计中,尚可采取各类有效措施,包括例如梁端增设支托或水平加腋等构造措施,以提高或改善梁柱节点核心区的受剪性能。 对于纵横向框架共同交汇的节点,可以按各自方向分别进行节点核心区受剪承载力计算。
5.3.2 节点核心区受剪的水平截面应符合下列条件:

式中:V j ——节点核心区组合的剪力设计值;
γ RE ——承载力抗震调整系数,取0.85;
b j 、h j ——节点核心区的截面有效验算厚度和截面高度,当梁截面宽度与柱肢截面厚度相同,或梁截面宽度每侧凸出柱边小于50mm时,对L形、T形和十字形截面,可取b j =b c ,h j =h c ;对Z形截面,可取b j =b c ,h j =h c +h′ c ;其中b c 、h c 和h′ c 分别为验算方向的柱肢截面厚度和高度(图5.3.2);
α——纤维增强系数,当节点区采用普通混凝土时,取α=1;采用聚丙烯纤维混凝土时,取α=1.1;采用钢纤维混凝土时,取α=1.2;
ζ N ——轴压比影响系数,应按表5.3.2-1采用;
ζ v ——正交肢影响系数,与验算方向正交的柱肢对节点核心区受剪承载力的影响系数,应按本规程第5.3.4条的规定采用;
ζ h ——截面高度影响系数,应按表5.3.2-2采用。

图5.3.2 框架节点和梁柱截面
(图中验算方向柱肢,对Z形截面为翼缘,对其他异形截面为腹板)
表5.3.2-1 轴压比影响系数ζ N

注:轴压比为表列数值之间值时,ζ N 按直线内插法确定。
表5.3.2-2 截面高度影响系数ζ h

注:1 对于Z形截面,表中h j 应以翼缘的截面高度h c 和h′ c 的较大值代替;
2 h j 为表列数值之间值时,ζ h 按直线内插法确定。
5.3.3 节点核心区的受剪承载力应符合下列公式规定:

式中:N——与组合的节点剪力设计值对应的该节点上柱底部轴向力设计值,当N为压力且N>0.3f c A时,取N=O.3f c A;当N为拉力时,取N=0;
A svj ——核心区有效验算宽度范围内同一截面验算方向的箍筋各肢总截面面积;
h b0 ——梁截面有效高度,当节点两侧梁截面有效高度不等时取平均值;
a′ s ——梁纵向受压钢筋合力点至截面近边的距离。
5.3.4 正交肢影响系数应按下列规定采用:
1 对柱肢截面高度和厚度相同的L形、T形和十字形等肢异形柱节点,正交肢影响系数ζ v 应按表5.3.4-1取用。
2 对翼缘截面高度h c 和h′ c 相同、腹板截面高度b f 为翼缘截面高度的2倍且肢厚度b c 和h f 相同的Z形截面节点,正交肢影响系数ζ v 应按表5.3.4-1采用,但表中b f —b c 应以0.5b f —b c 代替。
表5.3.4-1 正交肢影响系数ζ v

注:1 表中b f 为垂直于验算方向的柱肢截面高度;
2 表中的十字形和T形截面是指冀缘为对称的截面,若不对称时,则翼缘的不对称部分不计算在b f 数值内;
3 b f —b c 为表列数值之间值时,ζ v 按直线内插法确定。
3 对柱肢截面高度与厚度不相同的L形、T形和十字形的不等肢异形柱节点,根据柱肢截面高度与厚度不相同的情况,按表5.3.4-2可分为四类;在本规程式(5.3.2-1)、式(5.3.2-2)和式(5.3.3-1)、式(5.3.3-2)中,ζ v 均应以有效正交肢影响系数ζ v,ef 代替,ζ v,ef 应按表5.3.4-2取用。
表5.3.4-2 有效正交肢影响系数ζ v,ef

注:1 对A类节点,取ζ v,ef =ζ v ,ζ v 值按表5.3.4-1取用,但表中(b f —b c )值应以(h c —b c )值代替;
2 对B类、C类和D类节点,确定ζ v,ef 值时,ζ v 值按表5.3.4-1取用,但对B类D类节点,表中(b f —b c )值应分别以(h c —h f )和(b f —h f )值代替。
4 对翼缘截面高度与肢厚不相同或腹板截面高度不符合第2款规定的Z形柱节点,其有效正交肢影响系数ζ v,ef 可根据翼缘截面高度h c 、h′ c 的相对大小将Z形截面划分为两个L形截面,按第3款规定求得两个L形截面的有效正交肢影响系数ζ v,ef 并取其较小值。
5 对Z形柱节点,当左、右侧梁端均为负弯矩且大小相同或相近时,应根据第4款规定,将Z形截面划分为两个L形截面,其正交肢影响系数ζ v 和有效正交肢影响系数ζ v,ef 按L形截面的相关规定确定。
6 对Z形柱节点,当验算方向为腹板方向,对T形柱节点,验算方向为翼缘方向时,节点核心区有效验算厚度和截面高度,可取b j =h f ,h j =b f ;轴压比影响系数ζ N 和截面高度影响系数ζ h 应按本规程表5.3.2-1和表5.3.2-2采用;正交肢影响系数ζ v 和有效正交肢影响系数ζ v,ef ,对Z形截面可均取为1.0,对T形截面可按L形截面的相关规定取值。
条文说明
5.3.2~5.3.4 式(5.3.2-1)和式(5.3.2-2)为规定的节点核心区截面限制条件,它是为避免节点核心区截面太小,混凝土承受过大的斜压力,导致核心区混凝土首先被压碎破坏而制定的。 式(5.3.3-1)和式(5.3.3-2)是节点核心区受剪承载力设计计算公式。参照《混凝土结构设计规范》GB 50010-2010(2015年版)第11.6.4条。取受剪承载力为混凝土项和水平箍筋项之和,并根据试验谨慎地考虑了柱轴向压力的有利影响。 针对异形柱框架的特点,由于正交方向梁的截面宽度相对较小且偏置(对T形、L形柱和Z形柱框架梁柱节点),正交梁对节点核心区混凝土的约束作用甚微,式(5.3.2-1)、式(5.3.2-2)和式(5.3.3-1)、式(5.3.3-2)均未考虑正交梁对节点的约束影响系数。 研究表明,肢高与肢厚相同的等肢L形、T形和十字形柱框架梁柱节点核心区的水平截面面积可表达为 
交肢全部有效利用时的正交肢影响系数(原规程称作翼缘影响系数)。本规程建立计算公式所依据的基本试验试件有L形、T形和十字形三种截面,其(bf—bc)值分别为300mm、270mm和360mm,计算求得的ζv分别为1.625、1.560和1.654。 试验表明,在相同条件下,节点水平截面面积相等时,等肢L形、T形和十字形截面柱的节点受剪承载力分别比矩形柱节点降低33%、18%和8%左右,这主要是由于节点核心区外伸翼缘面积hf(bf—bc)在节点破坏时未充分发挥作用所致。为此,对于等肢异形柱框架梁柱节点,在式(5.3.2-1)、式(5.3.2-2)和式(5.3.3-1)、式(5.3.3-2)中,当(bf—bc)等于300mm时,表5.3.4-1中正交肢影响系数ζv分别取为1.05、1.25和1.40。对于T形柱节点,当(bf—bc)值由270mm增加到570mm时,试验得到的受剪承载力提高约30%,而用有限元分析得到的受剪承载力仅提高约12%。据此当(bf—bc)等于600mm时,ζv—bc分别取为1.10、1.40和1.55。对于肢高与肢厚不相同的不等肢异形柱框架梁柱节点,表5.3.4-2中ζv,ef的取值是基于对等肢异形柱节点的分析并偏于安全给出的。 表5.3.2-1轴压比N/(fcA)是指与节点剪力设计值对应的该节点上柱底部轴向压力设计值N与柱全截面面积A和混凝土轴心抗压强度设计值fc乘积的比值。试验表明,十字形截面柱中间节点在轴压比为0.3时的节点核心区受剪承载力较轴压比为0.1时的提高约10%左右,但在轴压比为0.6时,其受剪承载力反而降低并接近轴压比为0.1时的数值。为此式(5.3.2-2)和式(5.3.3-2)引用轴压比影响系数ζN来反映轴压比对节点核心区受剪承载力的影响。 根据节点试件hj为480mm和550mm的试验结果比较,以及hj=480mm~1200mm的有限元计算分析结果说明,节点核心区的受剪承载力并不随hj呈线性增加的变化规律。为保证计算公式应用的可靠性,公式通过截面高度影响系数ζh予以调整。 原规程公式(5.3.2-2)提出的主要依据是:通过对116个T形柱节点(fcu=10~50N/mm2,ρv=0~1.3%,bf和hf为480mm~1200mm)进行的有限元分析,并考虑试验结果及反复加载的影响,求得节点核心区混凝土首先被压碎破坏的受剪承载力计算公式为:Vu=(0.232+0.56ρvfyv/fc+0.349/fc)ζvζhfcbjhj。若考虑在使用阶段节点核心区的裂缝宽度不宜大于0.2mm;根据12个试件的试验数据得到的P0.2/Pu,变化范围在0.387~0.692之间,平均值为0.534,变异系数为0.157,假定按正态分布分析,取保证率93.3%,则得P0.2/Pu=0.408。使用阶段用荷载和材料强度的标准值,在承载力计算时应分别乘以荷载和材料分项系数,合并近似取为1.55,则得1.55×0.408=0.632。最后将上式右边乘以0.632,从而Vu=(0.147+0.354ρvfyv/fc+0.221/fc)ζvζhfcbjhj。取常用的混凝土强度及框架节点核心区配箍特征最小值代入取整,引入轴压比影响系数ζN和承载力抗震调整系数γRE得到原规程公式(5.3.2-2)。此次修订,对原规程公式(5.3.2-2)作了放宽约10%的调整。 通过55个异形柱节点的低周反复荷载试验结果(十字形柱节点12个,T形柱节点28个,L形柱节点5个,Z形柱节点10个,fc=9.24~70.40MPa,ρv=0~2.07%,轴压比n=0~0.45)统计。分析表明:对原规程公式(5.3.2-2)中最大剪压比系数控制值由0.19提高至0.21,可保证梁端出现塑性铰后,节点核心区混凝土不被压溃,计算公式是可靠的。 此次修订对计算公式引入纤维增强系数,以考虑纤维对混凝土抗剪作用的增强效果。通过6个钢纤维增强十字形柱节点及4个聚丙烯纤维增强T形柱节点的试验结果分析,取钢纤维增强系数α=1.2,聚丙烯纤维增强系数α=1.1。增强系数取值是根据纤维对试验节点承载力增强效果的平均值,偏安全乘以0.5的折减系数取整数得出的。节点区纤维掺量按一般工程用量,掺入范围取节点核心区及相邻梁端一倍梁高范围,聚丙烯纤维体积百分率为0.1%,钢纤维体积百分率为1%。 此次修订,增加了Z形柱框架梁柱节点核心区受剪承载力计算的新内容。翼缘截面高度和厚度相同的Z形柱框架节点的试验研究表明,当主框架方向柱肢为翼缘时,节点核心区主要受力区为两个翼缘其受力是相同的,次要受力区为腹板可以一分为二,其受力状态也是相同的。近似将Z形截面柱节点看作是由两个L形截面柱节点组合而成,本规程据此给出Z形柱节点受剪承载力计算的相关规定。 按式(5.3.2-2)、式(5.3.3-2)计算与10榀Z形节点(其中2榀顶层节点)低周反复加载试验结果比较,计算值与试验值之比的平均值为0.682,变异系数为0.114;按式(5.3.2-1)、式(5.3.3-1)计算与7榀Z形节点单调加载的试验结果比较,计算值与试验值之比的平均值为0.805,变异系数为0.097。分析表明:Z形节点考虑正交肢作用和影响的设计计算公式是适用和可靠的。 对于无地震作用组合情况的式(5.3.2-1)和式(5.3.3-1)系取地震作用组合情况,考虑反复荷载作用的受剪承载力为非抗震情况的80%条件(但箍筋作用项不予折减)得出,且不引入轴压比影响系数ζN。 对低周反复荷载作用的55个异形柱框架节点试件的试验结果分析证明,本规程提出的考虑正交肢等因素作用和影响得设计计算公式是可靠的。
5.3.5 框架梁柱节点(图5.3.2)核心区组合的剪力设计值V j 应按下列公式计算:

式中:η jb ——核心区剪力增大系数,对异形柱框架结构,抗震等级为二、三、四级分别取1.35、1.2、1.0;对异形柱框架-剪力墙结构中的框架,抗震等级为一、二、三、四级分别取1.35、1.2、1.1、1.0;
M l b 、M r b ——框架节点左、右侧梁端弯矩设计值,无地震作用组合时,取荷载效应组合的弯矩设计值;有地震作用组合时,取有地震作用组合的弯矩设计值;对于抗震等级为一级的节点,当左、右侧梁端弯矩均为负弯矩时,绝对值较小的弯矩应取为零;
H c ——柱的计算高度,可取节点上柱与下柱反弯点之间的距离;
h b0 、h b ——梁的截面有效高度、截面高度,当节点两侧梁高不相同时,取其平均值。
3 在式(5.3.5-1)~式(5.3.5-4)中,M l b 、M r b 之和应分别按顺时针和逆时针方向计算,并取其较大值。
5.3.6 当框架梁截面宽度每侧凸出柱边不小于50mm但不大于75mm,且梁上、下角部的纵向受力钢筋在本柱肢的纵向受力钢筋外侧锚入梁柱节点时,可忽略凸出柱边部分的作用,近似取节点核心区有效验算厚度为柱肢截面厚度(b j =b c ),并按本规程第5.3.2条~第5.3.4条的规定验算节点核心区受剪承载力。也可根据梁纵向受力钢筋在柱肢截面厚度范围内、外的截面面积比例,对柱肢截面厚度以内和以外的范围分别验算其受剪承载力。此时,除应符合本规程第5.3.2条~第5.3.4条要求外,尚宜符合下列规定:
1 按本规程式(5.3.2-1)和式(5.3.2-2)验算核心区受剪截面时,核心区截面有效验算厚度可取梁宽和柱肢截面厚度的平均值;
2 验算核心区受剪承载力时,在柱肢截面厚度范围内的核心区,轴向力的取值应与本规程第5.3.3条的规定相同;柱肢截面厚度范围外的核心区,可不考虑轴向压力对受剪承载力的有利作用。
条文说明
5.3.6 当框架梁的宽度大于柱肢截面宽,且梁角部的纵向钢筋在本柱肢纵筋的外侧锚入梁柱节点核心区时,节点核心区的受剪承载力验算可偏安全地采用本规程第5.3.2条~第5.3.4条规定,取节点核心区有效验算宽度等于柱肢截面厚度,即取bj=bc而不计柱肢截面厚度以外部分作用的简化方法,亦可采用本条规定的后一种较准确的方法。 本条规定的后一种方法主要是参考《建筑抗震设计规范》GB 50011-2010扁梁框架梁柱节点的规定,并根据类似的异形柱框架梁柱节点试验结果给出的。
6 结构构造
6.1 一般规定
6 结构构造
6.1 一般规定
6.1.1 异形柱结构的梁、柱、剪力墙和节点构造措施,除应符合本规程规定外,尚应符合现行国家标准《混凝土结构设计规范》GB 50010的相关规定。
6.1.2 异形柱、梁、剪力墙和节点的材料应符合下列规定:
1 混凝土的强度等级不应低于C25,且不应高于C50,抗震设计时,一级抗震等级框架梁、柱及其节点的混凝土强度等级不应低于C30;
2 纵向受力钢筋宜采用HRB400、HRB500、HRBF400、HRBF500、HRB400E、HRB500E钢筋;箍筋宜采用HPB300、HRB400、HRBF400、HRB500、HRBF500钢筋。
条文说明
6.1.2 混凝土强度等级不应超过C50的规定,主要是考虑到C50级以上的混凝土在力学性能、本构关系等方面与一般强度混凝土有着较大的差异。由这类混凝土所建造的异形柱的结构性能、计算方法、构造措施等方面尚缺乏深入的研究,故未列入采用范围。试验分析表明,HRB500钢筋用于异形柱结构是可行且有效的,各类钢筋强度取值按现行国家标准《混凝土结构设计规范》GB 50010的相关规定确定。
6.1.3 框架梁截面高度可按(1/10~1/15)l b 确定(l b 为计算跨度),且非抗震设计时不宜小于350mm,抗震设计时不宜小于400mm。梁的净跨与截面高度的比值不宜小于4。梁的截面宽度不宜小于截面高度的1/4和200mm。
条文说明
6.1.3 梁截面高度太小会使柱纵向钢筋在节点核心区内锚固长度不足,容易引起锚固失效,损害节点的受力性能,特别是地震作用下抗震性能。所以,对框架梁的截面高度最小值作出规定。
6.1.4 异形柱截面的肢厚不应小于200mm,非抗震设计时,肢高不应小于400mm;抗震设计时,肢高不应小于450mm。Z形截面柱腹板净高不应小于200mm。
条文说明
6.1.4 本规程适用的异形柱柱肢截面最小厚度为200mm,最大厚度应小于300mm。根据近年异形柱结构的工程实践,异形柱柱肢厚度小于200mm时,会造成梁柱节点核心区的钢筋设置困难及钢筋与混凝土的粘结锚固强度不足,故限制肢厚不应小于200mm,以保证结构的安全及施工的方便。 抗震设计时宜采用等肢异形柱。当不得不采用不等肢异形柱时,两肢肢高比不宜超过1.6,且肢厚相差不大于50mm。
6.1.5 异形柱、梁的纵向受力钢筋连接接头可采用焊接、机械连接或绑扎搭接。接头位置宜设在构件受力较小处。在层高范围内柱的每根纵向受力钢筋接头数不应超过1个。柱的纵向受力钢筋在同一连接区段的连接接头面积百分率不应大于50%,连接区段的长度应按现行国家标准《混凝土结构设计规范》GB 50010的相关规定确定。
条文说明
6.1.5 异形柱截面尺寸较小,在焊接连接的质量有保证的条件下宜优先采用焊接,以方便钢筋的布置和施工,并有利于混凝土的浇筑。
6.1.6 异形柱最外层钢筋和纵向受力钢筋的混凝土保护层厚度应符合《混凝土结构设计规范》GB 50010-2010(2015年版)第8.2.1条的规定。处于一类环境且混凝土强度等级不低于C40时,异形柱的混凝土保护层最小厚度可减小5mm,但纵向受力钢筋的保护层厚度不应小于其直径。
条文说明
6.1.6 混凝土保护层厚度是从最外层钢筋的外表面算起,异形柱纵向受力钢筋的保护层厚度应符合现行国家标准《混凝土结构设计规范》GB 50010的规定。较高的混凝土强度具有较好的密实性,且考虑到本规程第7.0.8条异形柱截面尺寸不允许出现负偏差的规定,给出一类环境且混凝土强度等级不低于C40时,保护层最小厚度允许减小5mm的规定。
6.1.7 异形柱、梁纵向受拉钢筋的锚固长度l a 和抗震锚固长度l aE 应按现行国家标准《混凝土结构设计规范》GB 50010的相关规定确定。
6.2 异形柱结构
6.2 异形柱结构
6.2.1 异形柱的剪跨比宜大于2,抗震设计时不应小于1.50。
条文说明
6.2.1 试验表明,异形柱在单调荷载特别在低周反复荷载作用下粘结破坏较矩形柱严重。对柱的剪跨比不应小于1.5的要求,是为了避免出现极短柱,减小地震作用下发生脆性粘结破坏的危险性。为设计方便,当反弯点位于层高范围内时,本规定可表述为柱的净高与柱肢截面高度之比不宜小于4,抗震设计时不应小于3。
6.2.2 抗震设计时,异形柱的轴压比不宜大于表6.2.2规定的限值。
表6.2.2 异形柱的轴压比限值

注:1 剪跨比不大于2的异形柱,轴压比限值应按表内相应数值减小0.05;
2 肢端设暗柱时,L形、Z形柱按表内相应数值增大0.05;十字形、T形柱一、二级抗震等级按表内相应数值增大0.1,三、四级抗震等级按表内相应数值增大0 05;
3 纵向受力钢筋采用500MPa级钢筋时,轴压比限值应按表内相应数值减小0.05。
6.2.3 异形柱的钢筋(图6.2.3)应符合下列规定:
1 在同一截面内,纵向受力钢筋宜采用相同直径,其直径不应小于14mm,且不应大于25mm;

图6.2.3 异形柱的配筋形式
2 折角处应设置纵向受力钢筋;
3 纵向钢筋间距:一、二、三级抗震等级不宜大于200mm;四级抗震等级不宜大于250mm;非抗震设计不宜大于300mm。当纵向受力钢筋的间距不能满足上述要求时,应设置纵向构造钢筋,其直径不应小于12mm,并应设置拉筋,拉筋间距应与箍筋间距相同。
条文说明
6.2.3 双向偏心受压异形柱截面上的应变及应力分析表明:在不同弯矩作用方向角α时,截面任一端部的钢筋均可能受力最大,为适应弯矩作用方向角的任意性,纵向受力钢筋宜采用相同直径;研究及分析表明:当轴压比较大,受压破坏时(承载力由εcu=0.0033控制),在诸多弯矩作用方向角情形,内折角处钢筋的压应变可达到甚至超过屈服应变,受力也很大。同时还考虑此处应力集中的不利影响,所以内折角处也应设置相同直径的受力钢筋,本条特别强调内折角处应配置受力钢筋。 异形柱肢厚有限,当纵向受力钢筋直径太大(大于25mm),会造成粘结强度不足及节点核心区钢筋设置的困难。当纵向受力钢筋直径太小时(小于14mm),在相同的箍筋间距下,由于s/d增大,使柱延性下降,故也不宜采用。
6.2.4 异形柱纵向受力钢筋之间的净距不应小于50mm。柱肢厚度为200mm~250mm时,纵向受力钢筋每排不应多于3根;根数较多时,可分两排或并筋设置(图6.2.4)。

图6.2.4 纵向受力钢筋的布置
条文说明
6.2.4 参照《混凝土结构设计规范》GB 50010-2010(2015年版)第4.2.7条、第9.3.1条规定给出。
6.2.5 异形柱中全部纵向受力钢筋的配筋百分率不应小于表6.2.5-1规定的数值,且柱肢肢端纵向受力钢筋的配筋百分率不应小于表6.2.5-2规定的数值。 ( 自2022年4月1日起废止该条,点击查看:新规 《混凝土结构通用规范》 GB 55008-2021)
表6.2.5-1 异形柱全部纵向受力钢筋的最小配筋百分率(%)


注:1 表中括号内数值用于框架结构的柱;
2 采用400MPa级纵向受力钢筋时,应按表中数值增加0.05采用。
表6.2.5-2 异形柱截面各肢端纵向受力钢筋的最小配筋百分率(%)

条文说明
6.2.5 本条与《混凝土结构设计规范》GB 50010-2010(2015年版)中第11.4.12条强制性条文等效。 表6.2.5-1中异形柱全部纵向受力钢筋的配筋率应按构件的全截面面积计算。异形柱全部纵向受力钢筋最小总配筋率的规定,是根据《混凝土结构设计规范》GB 50010-2010(2015年版)第11.4.12条和第8.5.1条的规定并考虑异形柱的特点做了调整。肢端指沿肢高方向a为一倍肢厚范围的柱肢,如本规程图6.2.15所示。
6.2.6 异形柱全部纵向受力钢筋的配筋率,非抗震设计时不应大于4%。抗震设计时不应大于3%。
条文说明
6.2.6 异形柱肢厚有限,柱中纵向受力钢筋的粘结强度较差,因此将纵向受力钢筋的总配筋率由对矩形柱不大于5%降为不应大于4%(非抗震设计)和3%(抗震设计),以减少粘结破坏和节点处钢筋设置的困难。
6.2.7 异形柱应采用复合箍筋(图6.2.7),严禁采用有内折角的箍筋。箍筋应做成封闭式焊接箍筋,也可采用绑扎箍筋,其末端应做成135°的弯钩。弯钩端头平直段长度,非抗震设计时不应小于5d(d为箍筋直径);当柱中全部纵向受力钢筋的配筋率大于3%时,不应小于10d。抗震设计时不应小于10d,且不应小于75mm。

图6.2.7 箍筋形式
当采用拉筋形成复合箍筋时,拉筋应紧靠纵向钢筋并钩住箍筋。
6.2.8 非抗震设计时,异形柱的箍筋直径不应小于纵向受力钢筋的最大直径的1/4,且不应小于6mm;箍筋间距不应大于250mm,且不应大于柱肢厚度和15倍纵向受力钢筋的最小直径;当柱中全部纵向受力钢筋的配筋率大于3%时,箍筋直径不应小于8mm,间距不应大于200mm,且不应大于10倍纵向受力钢筋的最小直径;箍筋肢距不宜大于300mm。
6.2.9 抗震设计时,异形柱箍筋加密区的配箍特征值应符合下列规定:
1 加密区的配箍特征值应符合下列公式的规定:

式中:ρ v ——箍筋加密区的箍筋体积配箍率,计算复合箍筋的体积配箍率时,不应计入重叠部分的箍筋体积,对肢端设暗柱的异形柱尚不应计入暗柱的附加箍筋体积;
f c ——混凝土轴心抗压强度设计值,强度等级低于C35时,按C35计算;
f yv ——箍筋抗拉强度设计值;
λ v,min ——最小配箍特征值,按表6.2.9采用。
2 对抗震等级为一、二、三、四级的框架柱,箍筋加密区的箍筋体积配箍率分别不应小于1.0%、0.8%、0.6%、0.5%。
3 当剪跨比λ≤2时,抗震等级为一、二、三、四级的框架柱,箍筋加密区的箍筋体积配箍率不应小于1.2%。
表6.2.9 异形柱箍筋加密区的箍筋最小配箍特征值λ v,min


注:肢端设暗柱的异形柱,其箍筋最小配箍特征值按未增大的轴压比取表中的相应值。
条文说明
6.2.2、6.2.9 研究分析表明:双向偏心受压的异形柱(即L形、T形、十字形及Z形截面柱,以下同)的截面曲率延性比μφ不仅与轴压比μN、配箍特征值λv有关,而且弯矩作用方向角α有极重要的影响,因为在相同轴压比及配筋条件下,α角不同,混凝土受压区图形及高度差异很大,致使截面曲率延性相差甚多。另外,控制箍筋间距与纵筋直径之比s/d不要太大,推迟纵筋压曲也是保证异形柱截面延性需求的重要因素。因此,针对各截面在不同轴压比情况时最不利弯矩作用方向角α区域,进行了双向压弯异形柱截面曲率延性比μφ的电算分析,并拟合得到了异形柱μφ的计算公式。在计算分析中,抗震等级为一、二、三、四级框架柱的截面曲率延性比μφ分别相应取11~12、9~10、7~8、5~6,根据不同的λv,可由拟合的公式μφ=f(λv,μN)反算出相应的轴压比μN,据此提出了表6.2.9所示的异形柱对不同轴压比时柱端加密区箍筋最小配箍特征值的要求,以保证异形柱在不利弯矩作用方向角域时也具有足够的延性。 原规程对12960根L形、T形、十字形截面双向压弯柱截面曲率延性比μφ进行了电算分析,并拟合得到了L形、T形、十字形截面柱的μφ计算公式。电算分析所用的参数为:常用的15种等肢截面(肢长500mm~800mm,肢厚200mm~250mm);箍筋(HPB235)直径dv=6、8、10mm,箍筋间距s=70mm~150mm;纵筋(HRB335)直径d=16mm~25mm;混凝土强度等级C30~C50;箍筋间距与纵筋直径之比s/d=4~7。进而分析得到异形柱柱端加密区的最小配箍特征值如表6.2.9所示,与矩形柱的最小配箍特征值有着较大的差异。 本次修订中对34616根Z形截面双向压弯柱截面曲率延性比μφ进行了电算分析,并拟合得到了Z形截面柱的μφ计算公式。电算分析所用的参数为:常用的12种等肢截面(肢长500mm~800mm,肢厚200mm~250mm);箍筋(HPB300)直径dv=6、8、10mm,箍筋间距s=70mm~150mm;纵筋(HRB335)直径d=18mm~25mm;混凝土强度等级C30~C50;箍筋间距与纵筋直径之比s/d=4~7。据此得到了Z形柱在不同轴压比时柱端加密区对箍筋最小配箍特征值的要求,且其柱端加密区的最小配箍特征值与L形柱同,如表6.2.9所示。 本次修订考虑了高强钢筋HRB500的应用,对L形、Z形、T形、十字形柱(截面采用200mm×500mm)配有高强钢筋HRB500的截面延性进行计算;经分析,配高强钢筋的异形柱由于截面的屈服曲率增大,相应极限曲率降低,从而得到相应的延性有不同程度的降低;经拟合的公式反算出相应的轴压比较原有规程降低0.05,故修订后的表6.2.2异形柱轴压比限值,当采用HRB500级钢筋时,轴压比限值应按表内相应数值减小0.05取用。 考虑到实际施工的可操作性,体积配箍率ρv不宜大于2%,通过核算对L形、Z形、T形、十字形柱配箍特征值的上限值(箍筋强度以270N/mm2计算)可分别取为0.23、0.23、0.24、0.25,则可得到各抗震等级下异形柱的轴压比限值,如表6.2.2所示。研究表明,若不等肢异形柱肢长变化范围是500mm~800mm,则各抗震等级下不等肢异形柱的轴压比限值仍可按表6.2.2采用。本次修订对框架-剪力墙结构增加了一级抗震等级的轴压比限值的规定。试验研究分析表明,暗柱作为构造措施,当肢端设置暗柱时可有效提高异形柱的抗震能力。异形柱肢端加暗柱时轴压比限值可适当增大。表6.2.2中注2和注3的规定可累积计算。
6.2.10 抗震设计时,异形柱箍筋加密区的箍筋最大间距和箍筋最小直径应符合表6.2.10的规定。 ( 自2022年4月1日起废止该条,点击查看:新规 《混凝土结构通用规范》 GB 55008-2021)
表6.2.10 异形柱箍筋加密区箍筋的构造要求

注:1 d为纵向受力钢筋的最小直径;
2 柱根指底层柱下端箍筋加密区范围;
3 当剪跨比λ不大于2时,箍筋间距不应大于100mm,箍筋直径不应小于8mm。
条文说明
6.2.10 本条与《混凝土结构设计规范》GB 50010-2010(2015年版)中第11.4.12条强制性条文等效。 异形柱柱端箍筋加密区的箍筋应根据受剪承载力计算,同时满足体积配箍率条件和构造要求确定。 研究表明,箍筋间距与纵筋直径之比s/d,是异形柱纵向受压钢筋压曲的直接影响因素,s/d大,会加速受压纵筋的压曲;反之,则可延缓纵筋的压曲,从而提高异形柱截面的延性。因此为了保证异形柱的延性,根据对各抗震等级下最大轴压比时近6000根异形柱纵筋压曲情况的分析,当其箍筋加密区的构造要求符合表6.2.10的要求时,纵筋压曲柱的百分比可降到5%以下。对箍筋合理配置的研究中发现,当体积配箍率ρv相同时,采用较小的箍筋直径dv和箍筋间距s比采用较大的箍筋直径dv和箍筋间距s的延性好;只增大箍筋直径来提高体积配箍率而不减小箍筋间距并不一定能提高异形柱的延性,只有在箍筋间距s对受压纵筋支撑长度达到一定要求时,增大体积配箍率ρv,才能达到提高延性的目的。
6.2.11 抗震设计时,异形柱箍筋加密区箍筋的肢距:一、二、三级抗震等级不宜大于200mm,四级抗震等级不宜大于250mm。此外,每隔一根纵向钢筋宜在两个方向均有箍筋或拉筋约束。
6.2.12 抗震设计时,异形柱箍筋加密区范围应按下列规定采用:
1 柱端取截面长边尺寸、柱净高的1/6和500mm三者中的最大值;
2 底层柱柱根不应小于柱净高的1/3;当有刚性地面时,除柱端外尚应取刚性地面上、下各500mm;
3 剪跨比不大于2的柱以及因设置填充墙等形成柱净高与柱肢截面高度之比不大于4的柱取柱全高;
4 角柱及Z形柱取柱全高。
6.2.13 抗震设计时,异形柱非加密区箍筋的体积配箍率不宜小于箍筋加密区的50%;箍筋间距不应大于柱肢截面厚度;一、二级抗震等级不应大于10d(d为纵向受力钢筋直径):三、四级抗震等级不应大于15d和250mm。
6.2.14 当柱的纵向受力钢筋采用绑扎搭接接头时,搭接长度范围内箍筋直径不应小于搭接钢筋较大直径的0.25倍,箍筋间距不应大于搭接钢筋较小直径的5倍,且不应大于100mm。
6.2.15 一、二级抗震等级的房屋角部异形柱以及地震区楼梯间,异形柱肢端(转角处)应设暗柱(图6.2.15)。肢端(转角处)设暗柱时,暗柱沿肢高方向尺寸a不应小于120mm。暗柱的附加纵向钢筋直径不应小于14mm,可取与纵向受力钢筋直径相同;暗柱的附加箍筋直径和间距同异形柱箍筋,附加箍筋宜设在异形柱两箍筋中间。

图6.2.15 异形柱肢端暗柱构造
1-暗柱附加纵向钢筋:2-暗柱附加箍筋
条文说明
6.2.15 为此次修订新增加的条文,规定明确一、二级抗震等级的房屋角部异形柱及地震区楼梯间异形柱应设肢端加强的暗柱,并对暗柱提出了构造要求。
6.3 异形柱框架梁柱节点
6.3 异形柱框架梁柱节点
6.3.1 框架柱的纵向钢筋,应贯穿中间层的中间节点和端节点,且接头不应设置在节点核心区内。
6.3.2 框架顶层柱的纵向受力钢筋应锚固在柱顶、梁、板内,锚固长度应从梁底算起,纵向钢筋的锚固应符合下列规定:
1 顶层端节点柱内侧的纵向钢筋和顶层中间节点处的柱纵向钢筋均应伸至柱顶(图6.3.2),当采用直线锚固方式时,

图6.3.2 框架顶层柱纵向钢筋的锚固和搭接
1-异形柱;2-框架梁;3-柱的纵向钢筋
锚固长度对非抗震设计不应小于l a ,抗震设计不应小于l aE 。直线段锚固长度不足时,该纵向钢筋伸到柱顶后可采用钢筋锚固板锚固,锚固长度非抗震设计不应小于0.5l ab ,抗震设计不应小于0.5l abE ,也可采用90°钢筋弯折锚固,此时纵向钢筋分别向内、外弯折,弯折前的竖直投影长度非抗震设计时不应小于0.5l ab ,抗震设计时不应小于0.5l abE 。弯折后的水平投影长度不应小于12d。
2 抗震设计时,贯穿顶层十字形柱中间节点的梁上部纵向钢筋直径,对一、二、三级抗震等级不宜大于该方向柱肢截面高度h c 的1/30。
3 顶层端节点柱外侧纵向钢筋可与梁上部纵向钢筋搭接(图6.3.2a),搭接长度非抗震设计时不应小于1.6l ab ,抗震设计时不应小于1.6l abE 。且伸入梁内的柱外侧纵向钢筋截面面积不宜少于柱外侧全部纵向钢筋面积的50%。在梁宽范围以外的柱外侧纵向钢筋可伸入现浇板内,伸入长度应与伸入梁内的相同。
条文说明
6.3.2 图6.3.2中括号内数值为相应的非抗震设计规定。顶层端节点柱内侧的纵向钢筋和顶层中间节点处的柱纵向钢筋均应伸至柱顶,并可采用直线锚固方式、钢筋锚固板锚固方式或90°钢筋弯折锚固方式纵向钢筋伸到柱顶后分别向内、外弯折。 根据《混凝土结构设计规范》GB 50010-2010(2015年版)第9.3.7条和第11.6.7条规定并考虑异形柱的特点,顶层端节点柱外侧纵向钢筋沿节点外边和梁上边与梁上部纵向钢筋的搭接长度增大到1.6laE(1.6la),但伸入梁内的柱外侧纵向钢筋截面面积调整为不宜少于柱外侧全部纵向钢筋截面面积的50%。
6.3.3 当框架梁的截面宽度与异形柱柱肢截面厚度相等或梁截面宽度每侧凸出柱边不大于50mm时,在梁四角上的纵向受力钢筋应在离柱边不小于800mm且满足坡度不大于1/25的条件下,向本柱肢纵向受力钢筋的内侧弯折锚入梁柱节点核心区。在梁筋弯折处应设置不少于2根直径8mm的附加封闭箍筋(图6.3.3-1a)。
对梁的纵筋弯折区段内大于50mm的混凝土保护层宜采取有效的防裂构造措施。
当梁的截面宽度的任一侧凸出柱边不小于50mm时,该侧梁角部的纵向受力钢筋可在本柱肢纵向受力钢筋的外侧锚入节点核心区,但凸出柱边尺寸不应大于75mm(图6.3.3-1b)。且从柱肢纵向受力钢筋内侧锚入的梁上部、下部纵向受力钢筋,分别不宜小于梁上部、下部纵向受力钢筋截面面积的70%。
当上部、下部梁角的纵向钢筋在本柱肢纵向受力钢筋的外侧锚入节点核心区时,梁的箍筋配置范围应延伸到与另一方向框架梁相交处(图6.3.3-2),且节点处一倍梁高范围内梁的侧面应设置纵向构造钢筋并伸至柱外侧,钢筋直径不应小于8mm,间距不应大于100mm。

图6.3.3-1 框架梁纵向钢筋锚入节点区的构造
1-异形柱;2-框架梁;3-附加封闭箍筋;4-梁的纵向受力钢筋

图6.3.3-2 梁宽大于柱肢厚时的箍筋构造
1-异形柱;2-框架梁;3-梁箍筋
条文说明
6.3.3 当梁的纵向钢筋在本柱肢纵筋的内侧弯折伸入节点核心区内时,若该纵向钢筋受拉,则在柱边折角处会产生垂直于该纵向钢筋方向的撕拉力。折角越大,撕拉力越大。为此,条文对折角起点位置和弯折坡度给出了规定,并采用增添附加封闭箍筋(不少于2根直径8mm)来承受该撕拉力。当上部、下部梁角的纵向钢筋在本柱肢纵筋的外侧锚入柱肢截面厚度范围外的核心区时,为保证节点核心区的完整性,除要求控制从柱肢纵筋的外侧锚入的梁上部和下部纵向受力钢筋截面面积外,尚要求在节点处一倍梁高范围内的梁侧面设置纵向构造钢筋并伸至柱外侧。同时,为保证梁纵向钢筋在节点核心区的锚固,要求梁的箍筋设置到与另一向框架梁相交处。
6.3.4 框架中间层端节点(图6.3.4a、b),框架梁上部和下部纵向钢筋可采用直线方式锚入端节点,锚固长度非抗震设计不应小于l a ,抗震设计不应小于l aE ,尚应伸至柱外侧。当水平直线段的锚固长度不足时,梁上部和下部纵向钢筋应伸至柱外侧纵向钢筋内边,可采用钢筋锚固板锚固,锚固长度非抗震设计不应小于0.4l ab ,抗震设计不应小于0.4l abE ;也可采用90°钢筋弯折锚固,此时纵向钢筋分别向下、向上弯折,弯折前的水平投影长度非抗震设计时不应小于0.4l ab ,抗震设计时不应小于0.4l abE ,弯折后的竖直投影长度取15d。当框架梁纵向钢筋在柱筋外侧锚入节点时,对钢筋锚固板锚固和90°钢筋弯折锚固,其锚固长度和弯折前的水平投影段长度均不应小于0.5l ab 和0.5l abE 。
框架顶层端节点(图6.3.4c),梁上部纵向钢筋应伸至柱外侧并向下弯折到梁底标高,梁下部纵向钢筋应伸至柱外侧纵向钢筋内边并向上弯折,弯折前的水平投影长度非抗震设计时不应小于0.4l ab ,抗震设计时不应小于0.4l abE ,当框架梁纵向钢筋在柱筋外侧锚入节点时,则不应小于0.5l ab 和0.5l abE 。弯折后的竖直投影长度取15d。

图6.3.1 框架梁的纵向钢筋存端节点区的锚固
1-异形柱;2-框架梁;3-梁的纵向钢筋
条文说明
6.3.4 图6.3.4中括号内数值为相应的非抗震设计规定。异形柱的柱肢截面厚度小,为了保证梁纵向钢筋锚固的可靠性,采用直线锚固方式时,梁纵向钢筋要求伸至柱外侧。当水平直线段锚固长度不足时,可采用钢筋锚固板锚固或90°钢筋弯折锚固,其锚固长度和梁纵向钢筋的构造要求见本规程图6.3.4(a)、(b)。若梁纵向钢筋在柱筋外侧锚入节点核心区时,由于锚固条件较差,其锚固长度和弯折前的水平投影长度由≥0.4laE(0.4la)增加到≥0.5laE(0.5la)。
6.3.5 中间层十字形柱中间节点框架梁纵向钢筋应符合下列规定:
1 抗震设计时,对一、二、三级抗震等级,贯穿中柱的梁纵向钢筋直径不宜大于该方向柱肢截面高度h c 的1/30,当混凝土的强度等级为C40及以上时可取1/25,且纵向钢筋的直径不应大于25mm。
2 两侧高度相等的梁(图6.3.5a、b),上部及下部纵向钢筋各排宜分别采用相同直径,并均应贯穿中间节点。若两侧梁的下部钢筋根数不相同时,差额钢筋锚入中间节点的总长度,非抗震设计时不应小于l a ,抗震设计时不应小于l aE 。

图6.3.5 框架梁纵向钢筋在中间节点区的锚固
1-异形柱;2-框架梁;3-梁上部纵向钢筋;4-梁下部纵向钢筋
当直线段锚固长度不足时,可采用钢筋锚固板锚固,锚固长度非抗震设计时不应小于0.4l ab ,抗震设计时不应小于0.4l abE ,且伸过柱肢中心线均不应小于5d(d为纵向受力钢筋直径)。
3 两侧高度不相等的梁(图6.3.5c、d),上部纵向钢筋应贯穿中间节点,下部纵向钢筋锚入中间节点的总长度,非抗震设计时不应小于l a ,抗震设计时不应小于l abE 。当直线段锚固长度不足时,该纵向钢筋应伸至柱对侧纵向钢筋内边,可采用钢筋锚固板锚固,锚固长度非抗震设计时不应小于0.4l ab ,抗震设计时不应小于0.4l abE ;也可采用90°钢筋弯折锚固,弯折前的水平投影长度非抗震设计时不应小于0.4l ab ,抗震设计时不应小于0.4l abE ,弯折后的竖直投影长度不应小于15d;当框架梁纵向钢筋在柱筋外侧锚入节点核心区时,对于钢筋锚固板锚固和90°钢筋弯折锚固,其锚固长度和弯折前的水平投影长度均不应小于0.5l ab 和0.5l abE 。
条文说明
6.3.5 图6.3.5中括号内数值为相应的非抗震设计规定。本条规定了框架梁纵向钢筋在十字形柱中间节点应满足的其他构造要求,此次修订增加梁纵向钢筋采用锚固板锚固的新内容。 矩形柱框架的框架梁纵向钢筋伸入节点后,其相对保护层一般能满足c/d≥4.5,而异形柱的c/d大部分仅为2.0左右,根据变形钢筋粘结锚固强度公式分析对比可知,后者的粘结能力约为前者的0.7。为此,规定抗震设计时,梁纵向钢筋直径不宜大于该方向柱截面高度的1/30。由于粘结锚固强度随混凝土强度的提高而提高,当采用混凝土强度等级在C40及以上时,可放宽到1/25。且纵向钢筋的直径不应大于25mm。 考虑异形柱的柱肢截面厚度较小,若中间柱两侧梁高度相等时,梁的下部钢筋均在节点核心区内满足laE(la)条件后切断的做法会使节点区下部钢筋过于密集,造成施工困难并影响节点核心区的受力性能,故采取梁的上部和下部纵向钢筋均贯穿中间节点的规定。 两侧高度不相同的梁,当梁下部纵向钢筋伸入中间节点采用钢筋锚固板锚固和90°钢筋弯折锚固时,其构造要求见图6.3.5(c)、(d)。
6.3.6 Z形柱中间层和顶层中间节点框架梁纵向钢筋锚入节点的构造要求与本规程第6.3.4条异形柱框架中间层端节点的规定相同。
条文说明
6.3.6 此次修订新增的Z形柱中间节点框架梁纵筋锚入节点的构造规定,与十字形柱中间节点不同,由于Z形柱的翼缘不连通,从而节点左右框架梁的纵筋必须断开并分别锚固在各自的翼缘内。
6.3.7 梁柱纵向钢筋在节点区采用钢筋锚固板锚固时,除应符合本规程的规定外,尚应符合现行行业标准《钢筋锚固板应用技术规程》JGJ 256的相关规定。
6.3.8 节点核心区应设置水平箍筋。水平箍筋的配置应满足节点核心区受剪承载力的要求,并应符合下列规定:
1 非抗震设计时,节点核心区箍筋的最小直径、最大间距应符合本规程第6.2.8条的规定。
2 抗震设计时,节点核心区箍筋最大间距和最小直径宜按本规程表6.2.10采用。对一、二、三和四级抗震等级,节点核心区配箍特征值分别不宜小于0.12、0.10、0.08和0.06,且体积配箍率分别不宜小于0.9%、0.7%、0.6%和0.5%。对剪跨比不大于2的框架柱,节点核心区体积配箍率不宜小于核心区上、下柱端体积配箍率中的较大值。
3 当顶层端节点内设有梁上部纵向钢筋与柱外侧纵向钢筋的搭接接头时,节点核心区的箍筋尚应符合本规程第6.2.14条的规定。
4 抗震设计时,对一、二级抗震等级框架中间层节点,节点核心区可增设X形构造钢筋进行增强。X形构造钢筋配置在节点受力方向柱纵向钢筋内侧,其端部应有可靠锚固(图6.3.8)。

图6.3.8 X形配筋节点构造
条文说明
6.3.8 为使梁、柱纵向钢筋有可靠的锚固,并从构造上对框架梁柱节点核心区提供必要的约束给出了本条规定。条文中的第2款规定是参照本规程第6.2.9条和《建筑抗震设计规范》GB 50011-2010第6.3.10条给出的。
6.3.9 Z形柱节点核心区腹板构造应符合下列规定:
1 节点核心区腹板应在框架梁的梁高范围内配置水平箍筋,其直径和间距与核心区翼缘的箍筋相同。当两侧框架梁的截面高度不同时,应取较高梁的梁高范围。
2 当腹板方向无梁时,应在核心区腹板水平箍筋内侧设置暗梁(图6.3.9),暗梁高度h b ,不宜小于节点两侧框架梁梁高,暗梁上、下边缘单侧纵向钢筋的配筋率不应小于0.15%,钢筋直径不应小于12mm且不少于2根,暗梁的纵向钢筋应锚固在翼缘内;暗梁的箍筋应做成封闭式,其直径与腹板的水平箍筋相同,间距不宜大于100mm,采用非焊接封闭箍筋时,箍筋的末端应做成135°弯钩。弯钩端头平直段长度不应小于10d,d为箍筋直径。

图6.3.9 腹板暗梁配筋
1-暗梁纵筋;2-暗梁封闭箍筋;3-柱分布钢筋;4-拉筋;5-腹板水平箍筋
条文说明
6.3.9 当翼缘两侧有梁时,梁端弯矩可能导致腹板产生扭矩,所以提出在核心区腹板内设置暗梁的构造要求。当腹板方向有梁通过时,可不另设暗梁。但该梁在节点区尚应按构造要求配置封闭箍筋,以抵抗扭矩的作用。
7 异形柱结构的施工及验收
7 异形柱结构的施工及验收
7.0.1 异形柱结构的施工及验收应符合现行国家标准《混凝土结构工程施工规范》GB 50666和《混凝土结构工程施工质量验收规范》GB 50204的规定,并应与设计单位配合,针对异形柱结构的特点,制定专门的施工技术方案并严格执行。
7.0.2 对有抗震设防要求的异形柱结构,按一、二、三级抗震等级设计的框架,其纵向受力普通钢筋应符合下列规定:
1 钢筋的抗拉强度实测值与屈服强度实测值的比值不应小于1.25;
2 钢筋的屈服强度实测值与屈服强度标准值的比值不应大于1.30;
3 钢筋在最大拉力下的总伸长率实测值不应小于9%。 ( 自2022年4月1日起废止该条,点击查看:新规 《混凝土结构通用规范》 GB 55008-2021)
7.0.3 当钢筋的品种、级别或规格需作变更时,应办理设计变更文件。
7.0.4 异形柱框架的受力钢筋采用焊接或机械连接时,接头的类型及质量应符合设计要求及现行行业标准《钢筋焊接及验收规程》JGJ 18、《钢筋机械连接技术规程》JGJ 107的相关规定。
7.0.5 异形柱混凝土的粗骨料宜采用碎石,最大粒径不宜大于31.5mm,并应符合现行行业标准《普通混凝土用砂、石质量及检验方法标准》JGJ 52的相关规定。
条文说明
7.0.1~7.0.5 第7.0.2条与《混凝土结构工程施工质量验收规范》GB 50204-2015中第5.2.3条强制性条文等效。 根据现行国家标准《混凝土结构工程施工规范》GB 50666和《混凝土结构工程施工质量验收规范》GB 50204的规定,针对异形柱结构的特点,为了保证施工质量和结构安全,对混凝土用粗骨料、钢筋和钢筋的连接等提出了控制施工质量的要求。结构构件中纵向受力钢筋的变形性能直接影响结构构件在地震作用下的延性。考虑地震作用的框架梁、框架柱、剪力墙等结构构件的纵向受力钢筋宜选用HRB400级、HRB500级热轧带肋钢筋,箍筋宜选用热轧钢筋。当有较高要求时,钢筋牌号的强屈比、屈服强度实测值与屈服强度标准值的比值以及最大力下的总伸长率均应符合《混凝土结构设计规范》GB 50010-2010(2015年版)第11.2.3条的要求,其抗拉强度、屈服强度、强度设计值以及弹性模量的取值应符合《混凝土结构设计规范》GB 50010-2010(2015年版)第4.2节的相关规定。本次修订新增钢筋最大力下的总伸长率不应小于9%,主要是为了保证结构在强震作用大变形条件下,钢筋具有足够的塑性变形能力。 异形柱结构工程的施工单位应具有相应的资质,操作人员应通过考核并持有相应操作证件。
7.0.6 每楼层的异形柱混凝土应连续浇筑、分层振捣,且不得在柱净高范围内留置施工缝,条件允许时可采用自密实混凝土。框架节点核心区的混凝土应采用相交构件混凝土强度等级的最高值。
条文说明
7.0.6 异形柱结构节点核心区较小且钢筋密集,混凝土不易浇筑,在施工中应特别注意。本条强调当柱、楼盖、剪力墙的混凝土强度等级不同时,节点核心区混凝土应采用相交构件混凝土强度等级的最高值,以确保结构安全。
7.0.7 冬期施工应符合现行行业标准《建筑工程冬期施工规程》JGJ/T 104和施工技术方案的规定。
条文说明
7.0.7 考虑异形柱结构截面尺寸较小、表面系数较大的特点,强调冬期施工时应采取有效的防冻措施。
7.0.8 异形柱结构施工的尺寸允许偏差应符合表7.0.8的规定,尺寸允许偏差的检验方法应按现行国家标准《混凝土结构工程施工质量验收规范》GB 50204的规定执行。
表7.0.8 异形柱结构施工的尺寸允许偏差

条文说明
7.0.8 由于异形柱结构截面尺寸较小,为保证结构的安全和钢筋的保护层厚度,要求截面尺寸不允许出现负偏差。
7.0.9 当替换原设计的墙体材料时,应办理设计变更文件。填充墙与框架柱、梁之间均应有可靠的连接,尚应符合现行国家标准《混凝土结构设计规范》GB 50010的相关规定。
条文说明
7.0.9 本规程编制的初衷之一是促进墙体改革,减轻建筑物自重。因此规定:在施工中遇有框架填充墙体材料需替换时,应形成设计变更文件,且规定墙体材料自重不得超过设计要求。 有抗震设防要求的异形柱结构,其墙体与框架柱、梁的连接应注意满足国家相关标准的抗震构造要求。
7.0.10 异形柱柱体及节点核心区内不得预留或埋设水、电、燃气管道和线缆;安装水、电、燃气管道和线缆时,不应削弱柱截面。
条文说明
7.0.10 异形柱框架柱肢尺寸较小,柱肢损坏对结构的安全影响较大。在水、电、燃气管道和线缆等的施工安装过程中应特别注意避让,不应削弱异形柱截面。
附录A底部抽柱带转换层的异形柱结构
附录A 底部抽柱带转换层的异形柱结构
A.0.1 底部抽柱带转换层的异形柱结构,其转换结构构件应采用梁。
条文说明
A.0.1 国内已有一些采用梁式转换的底部抽柱带转换层异形柱结构(也称为托柱转换层结构)的试验研究成果和工程实例资料,且积累了一定的设计、施工实践经验,而采用其他形式转换构件,尚缺乏理论、试验研究和工程实践经验的依据。梁式转换的受力途径是柱→梁→柱,具有传力直接、明确、简捷的优点,故本规程规定转换构件应采用梁式转换,并对采用梁式转换的异形柱结构设计作了相应规定。
A.0.2 底部抽柱带转换层的异形柱结构可用于非抗震设计,以及抗震设计的6度、7度(0.1g)时Ⅰ、Ⅱ、Ⅲ类场地和7度(0.15g)时Ⅰ、Ⅱ类场地的房屋建筑。
条文说明
A.0.2 目前对底部带转换层异形柱结构的研究和工程实践经验主要限于非抗震设计及抗震设防烈度为6度、7度的条件,又考虑到其结构性能特点,故本规程没有将底部抽柱带转换层异形柱结构纳入抗震设防烈度为8度的使用范围。
A.0.3 底部抽柱带转换层的异形柱结构在地面以上大空间的层数,非抗震设计不宜超过3层,抗震设计不宜超过2层。
条文说明
A.0.3 高位转换对结构抗震不利,必须对地面以上大空间层数予以限制。考虑到工程实际情况,因此规定底部带转换层的异形柱结构在地面以上的大空间层数,非抗震设计时不宜超过3层;抗震设计时不宜超过2层。考虑到设置大空间层的目的就是为了满足商业或公共活动场所的需要,故大空间层的层高可按实际功能需要,但大空间层每层层高至多不宜超过4m。这样说明是为了严格控制结构总高度。
A.0.4 底部抽柱带转换层异形柱结构房屋适用的最大高度应按本规程第3.1.2条规定的限值降低不少于10%,且框架结构不宜超过7层。框架-剪力墙结构,非抗震设计不宜超过14层,抗震设计不宜超过12层。
条文说明
A.0.4 底部抽柱带转换层的异形柱结构属不规则结构,对其层数和适用最大高度作了适当调整。需要说明:仅有少量的异形柱不落地,例如:抽柱总数不大于框架柱总数的5%时,只要转换部分的设计合理,且不致加大结构扭转不规则的影响,仍可按非抽柱的异形柱框架结构相关规定处理。
A.0.5 抗震设计时, 底部抽柱带转换层的异形柱结构,其转换梁和转换梁下的柱的抗震等级应按本规程第3.3.1条的相关规定提高一级采用。
条文说明
A.0.5 转换梁(即托柱转换梁)和转换柱(即转换梁下的柱)的抗震等级按本规程第3.3.1条的相关规定提高一级采用。若为一级抗震等级就不再提高。
A.0.6 底部抽柱带转换层异形柱结构的结构布置除应符合本规程第3章的规定外,尚应符合下列规定:
1 框架-剪力墙结构中的剪力墙应全部落地,并贯通房屋全高。抗震设计时,在规定的水平力作用下,底层剪力墙部分承受的地震倾覆力矩应大于结构总地震倾覆力矩的50%。
2 矩形平面建筑中剪力墙的间距,非抗震设计不宜大于3倍楼盖宽度,且不宜大于36m;抗震设计不宜大于2倍楼盖宽度,且不宜大于24m。
3 框架结构的底部托柱框架不应采用单跨框架。
4 落地的框架柱应连续贯通其所在框架全高;不落地的框架柱应连续贯通其所在框架转换层以上的所有楼层。抗震设计时,底部抽柱数不宜超过转换层相邻上部楼层框架柱总数的30%;非抗震设计时,底部抽柱数不宜超过转换层相邻上部楼层框架柱总数的40%。
5 转换层下部结构的框架柱不应采用异形柱。
6 不落地的框架柱应直接落在转换层主结构上。托柱梁应双向布置,可双向均为框架梁,或一方向为框架梁,另一方向为托柱次梁。
条文说明
A.0.6 直接承托不落地柱的框架称托柱框架,直接承托不落地柱的框架梁称托柱框架梁,直接承托不落地柱的非框架梁称托柱次梁。底部抽柱带转换层异形柱结构的模拟地震振动台试验表明,异形柱结构在地震作用下的破坏呈现明显的梁铰机制,但由于平面布置不规则导致异形柱结构的扭转效应对异形柱较为不利,因此对底部大空间带转换层异形柱结构的平面布置要求应更严。本规程不允许剪力墙不落地,即仅允许底部抽柱转换。转换层下部结构框架柱应优先采用矩形柱,也可根据建筑外形需要采用圆形或六(八)角形截面柱。
A.0.7 转换层上部结构与下部结构的侧向刚度比宜接近1。转换层上、下部结构侧向刚度比可按《高层建筑混凝土结构技术规程》JGJ 3-2010附录E的相关规定计算。
条文说明
A.0.7 底部抽柱带转换层异形柱结构,当转换层上、下部结构侧向刚度相差较大时,在水平荷载和水平地震作用下,会导致转换层上、下部结构构件的内力突变,促使部分构件提前破坏;而转换层上、下部柱的截面几何形状不同,则会导致构件受力状况更加复杂,因此本规程对底部抽柱带转换层异形柱结构的转换层上、下部结构侧向刚度比作了严格的规定。工程实例和试设计工程的计算分析表明,当底部结构布置符合本规程第A.0.6条规定并合理控制底部抽柱数量,合理选择转换层上、下部柱截面,一般情况可以满足侧向刚度比接近1的要求。 本规程规定底部抽柱带转换层的异形柱框架结构和框架-剪力墙结构,仅允许底部抽柱,且采用梁式转换,因此,计算转换层上、下结构的刚度变化时,应考虑竖向抗侧力构件的布置和抗侧刚度中弯曲刚度的影响。《高层建筑混凝土结构技术规程》JGJ 3-2010附录E第E.0.3条规定的计算方法,综合考虑了转换层上、下结构竖向抗侧力构件的布置、抗剪刚度和抗弯刚度对层间位移量的影响。工程实例和试设计工程的计算分析表明,该方法也可用于本规程规定的底部大空间层数为1层的情况。
A.0.8 托柱框架梁的截面宽度,不应小于梁宽度方向被托异形柱截面的肢高或一般框架柱的截面高度;不宜大于托柱框架柱相应方向的截面宽度。托柱框架梁的截面高度不宜小于托柱框架梁计算跨度的1/8;当双向均为托柱框架时,不宜小于短跨框架梁计算跨度的1/8。
托柱次梁应垂直于托柱框架梁方向布置,梁的宽度不应小于400mm,其中心线宜与同方向被托异形柱截面肢厚或一般框架柱截面的中心线重合。
条文说明
A.0.8 底部抽柱带转换层异形柱结构的托柱梁,是支托上部不落地柱的水平转换构件,托柱梁的设计应满足承载力和刚度要求。托柱梁截面高度除满足本条规定外,尚应满足剪压比的要求。托柱梁截面组合的最大剪力设计值应满足《高层建筑混凝土结构技术规程》JGJ 3-2010第10.2.7条和第10.2.8条式(10.2.8-1)和式(10.2.8-2)的规定。 ?结构分析表明,托柱框架梁刚度大,其承受的内力就大。过大地增加托柱框架梁刚度,不仅增加了结构高度,不经济,而且将较大的内力集中在托柱框架梁上,对抗震不利。合理选择托柱框架梁的刚度,可以有效地达到托柱框架梁与上部结构共同工作、有利于抗震和优化设计的目的。
A.0.9 转换层及下部结构的混凝土强度等级不应低于C30。
A.0.10 转换层楼面应采用现浇楼板,楼板的厚度不应小于150mm,且应双层双向配筋,每层每方向的配筋率不宜小于0.25%。楼板钢筋应锚固在边梁或墙体内。楼板与异形柱内拐角相交部位宜加设呈放射形或斜向平行布置的板面钢筋。楼板边缘和较大洞口周边应设置边梁,其宽度不宜小于板厚的2倍,纵向钢筋配筋率不应小于1.0%,钢筋连接接头宜采用焊接或机械连接。
条文说明
A.0.10 转换层楼板是重要的传力构件,底部抽柱带转换层异形柱结构的模拟地震振动台试验结果显示,转换层楼板角部裂缝严重,故本条给出了该部位构造措施要求,并作出了保证楼板面内刚度的相应规定。
A.0.11 转换层上部异形柱向底部框架柱转换时,下部框架柱截面的外轮廓尺寸不宜小于上部异形柱截面外轮廓尺寸。转换层上部异形柱截面形心与下部框架柱截面形心宜重合,当不重合时应考虑偏心的影响。
条文说明
A.0.11 本条规定转换层上部异形柱截面外轮廓尺寸不宜大于下部框架柱截面的外轮廓尺寸,转换层上部异形柱截面形心与转换层下部框架柱截面形心宜重合,主要从节点受力和节点构造考虑,当不重合时应在设计中考虑偏心的影响。
A.0.12 底部大空间带转换层的异形柱结构的结构布置、计算分析、截面设计和构造要求,除应符合本规程的规定外,尚应符合国家现行有关标准的规定。
本规程用词说明
本规程用词说明
1 为便于在执行本规程条文时区别对待,对要求严格程度不同的用词说明如下:
1)表示很严格,非这样做不可的:
正面词采用“必须”,反面词采用“严禁”;
2)表示严格,在正常情况下均应这样做的:
正面词采用“应”,反面词采用“不应”或“不得”;
3)表示允许稍有选择,在条件许可时首先这样做的:
正面词采用“宜”,反面词采用“不宜”;
4)表示有选择,在一定条件下可以这样做的,可采用“可”。
2 条文中指明应按其他有关标准执行的写法为:“应符合……的规定”或“应按……执行”。
引用标准名录
引用标准名录
1 《建筑结构荷载规范》GB 50009
2 《混凝土结构设计规范》GB 50010
3 《建筑抗震设计规范》GB 50011
4 《工程结构可靠性设计统一标准》GB 50153
5 《混凝土结构工程施工质量验收规范》GB 50204
6 《混凝土结构工程施工规范》GB 50666
7 《高层建筑混凝土结构技术规程》JGJ 3
8 《钢筋焊接及验收规程》JGJ 18
9 《普通混凝土用砂、石质量及检验方法标准》JGJ 52
10 《建筑工程冬期施工规程》JGJ/T 104
11 《钢筋机械连接技术规程》JGJ 107
12 《钢筋锚固板应用技术规程》JGJ 256
