Appearance
《抗爆间室结构设计规范[附条文说明]》GB 50907-2013
🗓️ 住房和城乡建设部 实施时间:2014-03-01
前言
中华人民共和国国家标准
抗爆间室结构设计规范
Code for design of blast resistant chamber structures
GB 50907-2013
主编部门:中国兵器工业集团公司
批准部门:中华人民共和国住房和城乡建设部
施行日期:2014年3月1日
中华人民共和国住房和城乡建设部公告
第112号
住房城乡建设部关于发布国家标准《抗爆间室结构设计规范》的公告
现批准《抗爆间室结构设计规范》为国家标准,编号为GB 50907-2013,自2014年3月1日起实施。其中,第3.0.1、4.0.3条为强制性条文,必须严格执行。
本规范由我部标准定额研究所组织中国计划出版社出版发行。
中华人民共和国住房和城乡建设部
2013年8月8日
前 言
本规范是根据住房和城乡建设部《关于印发<2010年工程建设标准规范制订、修订计划>的通知》(建标[2010]43号)的要求,由中国五洲工程设计集团有限公司编制完成。
在本规范编制过程中,编制组经广泛调查研究,认真总结实践经验,参考有关国外先进标准,并广泛征求意见,最后经审查定稿。
本规范共分9章和5个附录,主要内容包括:总则,术语和符号,基本规定,材料,爆炸对结构的整体作用计算和局部破坏验算,结构内力分析,截面设计计算,构造要求,抗爆门等效静荷载简化计算等。
本规范中以黑体字标志的条文为强制性条文,必须严格执行。
本规范由住房和城乡建设部负责管理和对强制性条文的解释,由中国五洲工程设计集团有限公司负责具体技术内容的解释。执行过程中如有意见或建议,请寄送中国五洲工程设计集团有限公司(地址:北京市西城区西便门内大街85号,邮政编码:100053),以供今后修订时参考。
本规范主编单位、主要起草人和主要审查人:
主编单位 :中国五洲工程设计集团有限公司
主要起草人 :邵庆良 鲁容海 侯国平 王健 吴丽波 董文学
主要审查人 :杜修力 王伟 李云贵 钱新明 段卓平 宋春静 张同亿 胡八一 郁永刚 陈力
条文说明
中华人民共和国国家标准 抗爆间室结构设计规范 GB50907-2013 条文说明 制订说明 《抗爆间室结构设计规范》GB50907-2013,经住房和城乡建设部2013年8月以第112号公告批准、发布。 本规范是根据住房和城乡建设部《关于印发<2010年工程建设标准规范制订、修订计划>的通知》(建标[2010]43号)的要求,由中国五洲工程设计集团有限公司编制完成。 中国五洲工程设计集团有限公司(中国兵器工业第五设计研究院)从20世纪50年代末开始,经过近20年对抗爆间室的内爆炸荷载进行探索和试验研究,并进行了相应的结构弹塑性响应试验研究及20多个弹药、火工品厂的生产状态和事故频率调查,取得了相关的科研成果。这些科研成果分别组织召开专题评审会议,各专题评审会议邀请了清华大学、北京大学、浙江大学、同济大学、北京理工大学、中国科学院力学所及工程兵学院等有关单位的著名专家20余人参加。各专题的科研成果均通过了评审。在这些科研成果的基础上,编制了以能量集聚原理计算室内爆炸荷载和弹塑性理论按事故频率分级设防的《抗爆间室结构设计规定》。该规定经过几十年的使用,取得了较好的效果,经受住了实践的检验,证明其能量集聚原理计算室内爆炸荷载的计算方法是正确的,各项规定是基本合适的。编写组认真分析研究了设计规定及相关的科研成果,认真总结近年来的实践经验,参考有关国内及国外相关标准,在广泛征求意见的基础上,最后经审查定稿。 为便于广大设计、施工、科研、学校等有关人员在使用本规范时能正确理解和执行条文规定,《抗爆间室结构设计规范》编制组按章、节、条的顺序编制了本规范的条文说明,对条文规定的目的、依据以及执行中需要注意的事项进行了说明,还对强制性条文的强制性理由作了解释。但是,本条文说明不具备与规范正文同等的法律效力,仅供使用者作为理解和把握规范规定的参考。
1 总则
1 总 则
1.0.1 为了在抗爆间室结构设计中贯彻执行国家的技术经济政策,做到安全、适用、经济,保证质量,制定本规范。
条文说明
1.0.1本条主要说明制定本规范的目的。抗爆间室在设计中应确保安全,根据生产中发生事故可能性的大小区别对待,充分利用结构的抗爆性能,应用先进技术,做到经济合理并确保安全。抗爆间室设计应具体问题具体分析,在保证安全的基础上,做到经济合理。
1.0.2 本规范适用于新建、改建、扩建和技术改造工程项目中的钢筋混凝土抗爆间室结构的设计。
条文说明
1.0.2本条规定了本规范的适用范围。凡有抗内爆炸要求而设置的抗爆间室,不论是主导工序上的还是次要工序上的,都是重要的。其重要性就在于确保抗爆间室外部操作人员的人身安全,以及从泄爆面泄出的冲击波和飞散物对周围环境的影响减少到最小的限度内。同时还要求发生事故以后一般不做修理,或者虽经修理也能以最快的速度恢复生产。
1.0.3 抗爆间室结构的设计,除应符合本规范外,尚应符合国家现行有关标准的规定。
2 术语和符号
2.1 术语
2 术语和符号
2.1 术 语
2.1.1 抗爆间室 blast resistant chamber
具有承受本室内因发生爆炸而产生破坏作用的间室,对间室外的人员、设备以及危险品起到保护作用。
2.1.2 抗爆屏院 blast resistant shield yard
当抗爆间室内发生爆炸事故时,为阻止爆炸冲击波或爆炸破片向四周扩散,在抗爆间室泄爆面外设置的屏障。
2.1.3 设计药量 design quantity of explosives
折合成TNT当量的能同时爆炸的危险品药量。
2.1.4 整体破坏 entirety damage
在爆炸荷载等作用下,使结构产生变形、裂缝或倒塌等的破坏。
2.1.5 局部破坏 local damage
在爆炸荷载作用下,爆心垂直投影点一定范围内墙(板)产生的爆炸飞散、爆炸震塌破坏和爆炸破片的穿透破坏。
2.1.6 爆炸飞散 blast fall apart
装药在靠近墙(板)表面爆炸时,在爆炸荷载作用下爆心投影点一定范围内钢筋混凝土墙(板)迎爆面的混凝土被压碎,并向四周飞散形成飞散漏斗坑的破坏现象。
2.1.7 爆炸震塌 blast peeling-off
在爆炸荷载作用下,在爆心投影点墙(板)内产生的应力波传到墙(板)背爆面产生反射拉伸波,当拉应力大于墙(板)混凝土抗拉强度时,墙(板)背爆面崩塌成碎块而掉落或飞出,形成震塌漏斗坑的破坏现象。
2.1.8 穿透破坏 penetration damage
具有外壳的装药爆炸或装药在设备内爆炸时,爆炸破片冲击墙(板),从墙(板)穿出的破坏现象。
2.1.9 延性比 ductility ratio
结构最大位移与结构弹性极限位移的比值。
2.1.19 自振频率 natural vibration frequency
结构作自由振动时的固有振动频率。
2.1.11 轻质易碎屋盖 light fragile roof
由轻质易碎材料构成,当建筑物内部发生爆炸事故时,不仅具有泄压效能,且破碎成小块,减轻对外部影响的屋盖。
2.2 符号
2.2 符 号
Q——设计药量(kg);
R a ——爆心与计算墙(板)面的垂直距离(m);
L、H——计算墙(板)的长度和高度(m);
i——作用于墙(板)面上的平均冲量(N·s/mm 2 );
i m ——作用于抗爆门面上的平均冲量(N·s/mm 2 );
r 0 ——等效球形集团装药半径(m);
η——考虑抗爆间室内爆炸冲击波多次反射使能量集聚的能效系数;
Q 0 ——产生局部破坏的TNT有效装药量(kg);
ω——墙(板)挠曲型自振圆频率(1/s);
Ω——频率系数;
D——墙(板)的圆柱刚度(kg·m);
Ψ——钢筋混凝土墙(板)刚度折减系数,采用0.6;
υ——泊松比,对于钢筋混凝土υ= 
;
g——重力加速度,g=9.81(m/s 2 );
E d ——混凝土动弹性模量(kg/m 2 )。
3 基本规定
3 基本规定
3.0.1 抗爆间室(泄爆面除外)在设计药量爆炸荷载作用下,不应产生爆炸飞散、爆炸震塌破坏和爆炸破片的穿透破坏。
条文说明
3.0.1本条提出了抗爆间室(不包括抗爆屏院及泄爆面)设计的最低要求。如果达不到本条的要求,一旦发生爆炸事故,抗爆间室将不可修复,并对周围环境及相邻厂房产生严重危害,达不到设计抗爆间室的目的。只要按本规范提出的整体作用计算、局部破坏验算及构造要求进行设计,就能满足本条提出的要求。本条为强制性条文,必须严格执行。 本条中规定的爆炸飞散破坏是指在爆炸荷载作用下钢筋混凝土墙(板)迎爆面的混凝土被压碎,并向四周飞散形成飞散漏斗坑的破坏现象,不包括爆炸破片对墙(板)的冲击所引起的飞散破坏。 本条中规定的爆炸震塌是指在爆炸荷载作用下钢筋混凝土墙(板)背爆面的混凝土崩塌成碎块而掉落或飞出,形成震塌漏斗坑的破坏现象,不包括爆炸破片对墙(板)的冲击所引起的震塌破坏。 本条中规定的穿透破坏是指爆炸产生的破片从钢筋混凝土墙(板)穿出的破坏现象。此处破片主要是指发生爆炸事故时产品外壳及设备所产生的破片。
3.0.2 抗爆间室设计应符合下列规定:
1 设计药量不大于100kg,且一面或多面墙(或屋盖)应为易碎性泄爆面。
2 抗爆间室泄爆面外应设置П形和Γ形的抗爆屏院。
3 墙(板)的长边与短边之比不宜大于2。
4 墙(板)的厚度不应大于墙(板)长度及高度的1/6。
5 墙(板)尺寸、爆心距墙(板)距离与设计药量应同时满足下列公式要求:

6 墙(板)尺寸、爆心距墙(板)距离与设计药量无法满足本条第5款的要求时,钢筋混凝土墙(板)应配置连续波浪形斜拉系筋,并应在两个边墙(板)的条形基础间设拉梁或在地面下设置整块底板等措施,且应同时满足下列公式的要求:

7 当30kg<Q≤50kg时,应分析冲击波漏泄压力对邻室的影响。
8 设置在厂房内的50kg<Q≤100kg的抗爆间室,有关专业应共同采取保护周围人员、设备和建筑物安全的措施。
条文说明
3.0.2本条提出了本规范抗爆间室适用的条件。根据试验所确定的抗爆间室墙(板)面上平均冲量计算公式,是从这些测试条件下的冲击波数据总结分析拟合而得到的。 对于爆心到墙面的距离Ra与药量的对比距离为0.15≤Ra/
<0.45时的情况,参考了美国陆海空三军联合编写的《抗偶然性爆炸效应结构(设计手册)》,对采取设置斜拉结筋、基础设置拉梁及地面下设置整块底板三项措施后放宽适用本条第5款的要求。 设置在厂房内的50kg<Q≤100kg的抗爆间室,各有关专业共同采取有效措施,主要是为了消除或限制由于爆炸事故引起的振动、位移、倾覆、飞散物以及冲击波漏泄压力对周围人员、设备和建筑物的危害影响。 药量大于100kg的抗爆间室,由于试验数据较少,因此提出Q>100kg的抗爆间室必须单独设置。
3.0.3 设计药量Q>100kg的抗爆间室应独立设置,且一面或多面墙(或屋盖)应为易碎性泄爆面,并应符合本规范第3.0.2条第2~8款的要求。
3.0.4 抗爆间室内设计药量的确定应符合下列规定:
1 对于TNT炸药,设计药量应为抗爆间室内能同时爆炸的药量。
2 对于非TNT炸药的其他种类爆炸品,设计药量应由工艺专业结合危险品性能及状态等确定。
条文说明
3.0.4确定抗爆间室内爆炸的设计药量,由于牵涉因素很多,如装药位置、形状、密度、数量,传爆及殉爆的可能性,容器模具设备的约束程度和破坏时的能量消耗程度,有无定向爆炸作用等,是一件很困难的工作。工艺专业必须在设计时根据生产工艺分析确定,作为结构设计的依据。
3.0.5 抗爆间室设防等级应符合下列规定:
1 在生产过程中,发生满设计药量的爆炸事故频繁的抗爆间室,应为一级设防。
2 在生产过程中,发生满设计药量的爆炸事故较少的抗爆间室,应为二级设防。
3 在生产过程中,发生爆炸事可能性极少的抗爆间室,应为三级设防。
4 同一抗爆间室的不同墙(板)可根据其不同的使用要求划分为不同的设防等级。
5 抗爆屏院的设防等级应与抗爆间室一致。
6 各类抗爆间室设防等级可按本规范附录A确定。
条文说明
3.0.5为做到区别对待、经济合理地确保安全,根据发生爆炸事故的概率对抗爆间室划分为不同的设防等级。抗爆间室可使爆炸危害限制在一定范围内,以减少人员伤亡,将从泄爆面泄出的冲击波和飞散物对周围环境的影响减少到最小的限度,以确保安全的要求。 多年生产实践表明,各类抗爆间室由于存药量性质不同、生产运行的方式不同,发生事故的频率也不同。合理的设计,应使事故频率不同的各种抗爆间室,在设计使用年限期间,在经受了可能发生的满设计药量的允许爆炸次数后,最终破坏程度大体相当。因此,在设计抗爆间室时,是以事故频率来划分设防等级的。 考虑到有些抗爆间室边墙或其他墙面要求不高,抗爆间室总体可以划分为二级或三级,但中间墙面(或其他墙面)因设备精度或人员高度集中等原因,可以将此墙面的设防等级予以提高。因此本条规定,必要时同一抗爆间室的不同墙(板)根据不同的使用要求,也可分别划分为不同的设防等级。 抗爆屏院设防等级与抗爆间室相一致,亦划分为三级。
3.0.6 抗爆间室与抗爆屏院允许延性比和设计延性比应按表3.0.6采用。
表3.0.6 抗爆间室与抗爆屏院允许延性比和设计延性比

条文说明
3.0.6抗爆间室与抗爆屏院按弹塑性阶段设计的允许延性比和设计延性比。试验证明在多次重复爆炸荷载作用下采用延性比μ>1设计也是可以的。我们根据事故次数的不同情况采用不同的延性比设计是合适的。 抗爆间室与抗爆屏院按弹塑性阶段设计的允许延性比和设计延性比的确定,主要依据是“7101试验”中的钢筋混凝土方形简支薄板弹塑性阶段受力试验。 允许延性比就是多次抗爆结构在规定抗爆次数的最后一次爆炸荷载作用下的最大动变形与弹性变形之比。 抗爆屏院的承载力和裂缝对人员伤亡和设备损毁影响远远小于抗爆间室,其允许延性比应远超过5。经过分析,抗爆屏院采用双筋矩形截面以结构不倒塌为允许极限状态,此时的允许延性比为20。 允许延性比[μ]与满负荷事故爆炸一次所产生的延性比μ(即设计延性比)的关系式为[μ]=1+n(μ-1),由此可得μ=1+([μ]-1)/n,其中n为在设计使用年限内发生爆炸事故的次数。一级设防抗爆间室次数不限,二级设防抗爆间室n=6~12,三级设防抗爆间室n=1~2。
3.0.7 厂房内抗爆间室屋盖选型应符合下列规定:
1 抗爆间室屋盖宜采用现浇钢筋混凝土屋盖。
2 设计药量Q≤5kg时,宜采用现浇钢筋混凝土屋盖,当已采取消除其对周围危害影响的措施或与之相连的厂房及其他抗爆间室均为现浇钢筋混凝土屋盖时,也可采用轻质易碎屋盖。
3 设计药量Q>5kg时,应采用现浇钢筋混凝土屋盖。
条文说明
3.0.7抗爆间室采用轻质易碎屋盖时,一旦发生事故,大部分冲击波和破片将从屋盖泄出。为了尽可能减少对相邻屋盖的影响以及构造上的需要,当与抗爆间室相邻的主厂房的屋盖低于抗爆间室屋盖或与抗爆间室屋盖等高时,宜采用钢筋混凝土屋盖,当采用轻质易碎屋盖时,抗爆间室应采用高出相邻屋面不少于500mm的钢筋混凝土女儿墙与相邻屋盖隔开的措施。当与抗爆间室相邻的主厂房的屋盖高出抗爆间室屋盖时,应采用钢筋混凝土屋盖。
3.0.8 抗爆屏院应符合下列规定:
1 抗爆屏院宜采用现浇钢筋混凝土结构。
2 当设计药量Q<1kg时,可采用厚度为370mm、强度等级不低于MU10的烧结普通砖与M7.5砂浆砌筑的П或Γ形抗爆屏院,且进深不应小于3m。
3 当设计药量1kg≤Q≤3kg时,应采用现浇钢筋混凝土的П或Γ形抗爆屏院,且进深不应小于3m。
4 当设计药量3kg<Q≤15kg时,应采用现浇钢筋混凝土的П或Γ形抗爆屏院,且进深不应小于4m。
5 当设计药量15kg<Q≤30kg时,应采用现浇钢筋混凝土的П形抗爆屏院,且进深不应小于5m。
6 当设计药量30kg<Q≤50kg时,应采用现浇钢筋混凝土的П形抗爆屏院,且进深不应小于6m。
7 当设计药量50kg<Q≤65kg时,应采用现浇钢筋混凝土的П形抗爆屏院,且进深不应小于7m。
8 当设计药量65kg<Q≤80kg时,应采用现浇钢筋混凝土的П形抗爆屏院,且进深不应小于8m。
9 当设计药量80kg<Q≤100kg时,应采用现浇钢筋混凝土的П形抗爆屏院,且进深不应小于9m。
10 抗爆屏院墙高不应低于抗爆间室的檐口底面标高。当抗爆屏院进深超过4m时,抗爆屏院中墙高度应按进深增加量的1/2增高,边墙应由抗爆间室檐口底面标高逐渐增至抗爆屏院中墙顶面标高。
条文说明
3.0.8本条提出抗爆屏院的高度要求及抗爆屏院的构造、平面形式和最小进深的要求。抗爆间室泄爆面的外面应设置抗爆屏院,这主要是从安全要求提出来的。抗爆屏院是为了承受抗爆间室内发生爆炸后泄出的空气冲击波和爆炸飞散物所产生的两类破坏作用,一是空气冲击波对抗爆屏院墙面的整体破坏作用,二是飞散物对抗爆屏院墙面造成的倒塌和穿透的局部破坏作用。要求从抗爆屏院泄出的冲击波和飞散物,不致对周围建筑物产生较大的破坏,因此,必须确保在空气冲击波作用下,抗爆屏院不致倒塌或成碎块飞出。当抗爆间室是多室时,抗爆屏院还应阻挡经抗爆间室泄爆面泄出的空气冲击波传至相邻的另一抗爆间室,防止发生殉爆的可能。 砖砌体和配筋砖砌体结构通过试验验证,由于砖石结构整体性差、抵抗重复多次爆炸荷载作用的性能很差。根据试验条件规定,砖砌体和配筋砖砌体结构抗爆屏院仅限于设计药量Q<1kg的情况。
3.0.9 抗爆间室与主体厂房之间的关系应符合下列规定:
1 抗爆间室与主体厂房间宜设缝,缝宽不应小于1.00mm。
2 设计药量Q<20kg的现浇钢筋混凝土屋盖的抗爆间室及轻质易碎屋盖的抗爆间室,且主体厂房结构跨度不大于7.5m时,抗爆间室与主体厂房之间可不设缝。主体厂房的结构可采用铰接的方式支承于抗爆间室的墙上。
3 设计药量Q≥20kg的现浇钢筋混凝土屋盖抗爆间室,抗爆间室与主体厂房之间应设置防震缝,并应与主体厂房结构脱开。
4 主体厂房结构的支承点,应设置在抗爆间室墙(板)有相邻墙(板)支承的交接处或其靠近部位。
条文说明
3.0.9本条提出了抗爆间室与相邻主厂房间的关系及构造要求。抗爆间室与相邻主厂房间设缝主要是从生产实践和事故中总结出来的。以往抗爆间室与主厂房之间不设缝,当抗爆间室内爆炸后,发现由于抗爆间室墙体变位,与主体结构连结松动,产生较大裂缝等问题。条文中针对药量较小时爆炸荷载作用下变位不大的特点,确定可不设缝,这是根据一定的实践经验和理论计算而决定的。规定轻质泄压盖及钢筋混凝土屋盖设计药量小于20kg,且主体结构跨度小于7.5m时可不设缝。为使连接部位相对变位控制在较小范围以内,仍要加强两者的连接,加大支承长度,加强锚固等措施。有条件时,抗爆间室与主体厂房间尽量设缝。
4 材料
4 材 料
4.0.1 抗爆间室钢筋混凝土结构构件不应采用冷轧带肋钢筋、冷拉钢筋等经冷加工处理的钢筋。
条文说明
4.0.1冷轧带肋钢筋、冷拉钢筋等冷加工钢筋伸长率低,塑性变形能力差,延性不好,因此本条规定不得采用此类钢筋。
4.0.2 抗爆间室钢筋混凝土结构钢筋宜采用延性、韧性和焊接性能较好的HRB400级和HRB500级的热轧钢筋。
条文说明
4.0.2提出抗爆间室钢筋混凝土结构钢筋宜优先采用延性、韧性和焊接性能较好的HRB400级和HRB500级的热轧钢筋,主要是从发展趋势及钢筋性能考虑。
4.0.3 抗爆间室钢筋混凝土结构钢筋的抗拉强度实测值与屈服强度实测值的比值不应小于1.25;钢筋的屈服强度实测值与屈服强度标准值的比值不应大于1.3,且钢筋在最大拉力下的总伸长率实测值不应小于9%;钢筋的强度标准值应具有不小于95%的保证率。
条文说明
4.0.3抗爆间室结构,其受力钢筋均应有足够的延性和钢筋伸长率的要求,这是控制钢筋延性的重要性能指标。抗爆间室钢筋混凝土结构钢筋的抗拉强度实测值与屈服强度实测值的比值不应小于1.25,目的是使抗爆结构某些部位出现较大塑性变形后,钢筋在大变形条件下具有必要的强度潜力,保证抗爆结构构件的基本抗爆能力。钢筋的屈服强度实测值与屈服强度标准值的比值不应大于1.3,主要是为了保证抗爆结构各墙(板)具有协调一致抗爆性能,避免因钢筋屈服强度离散性过大而出现局部严重破坏的情况。钢筋在最大拉力下的总伸长率实测值不应小于9%,主要为了保证钢筋具有足够的塑性变形能力。 现行国家标准《钢筋混凝土用钢第2部分:热轧带肋钢筋》GB1499.2中牌号带“E”的钢筋符合本条要求。
4.0.4 抗爆间室钢筋混凝土结构混凝土强度等级不宜小于C30,且不应小于C25。
4.0.5 在动荷载和静荷载同时作用或动荷载单独作用下,材料强度设计值可按下式计算确定:
? d =γ d ? (4.0.5)
式中:? d ——动荷载作用下材料强度设计值(N/mm 2 );
?——静荷载作用下材料强度设计值(N/mm 2 );
γ d ——动荷载作用下材料强度综合调整系数,可按表4.0.5的规定采用。
表4.0.5 材料强度综合调整系数γ d


注:1 表中同一种材料的强度综合调整系数,可适用于受拉、受压、受剪和受扭等不同受力状态;
2 对于采用蒸汽养护或掺入早强剂的混凝土,其强度综合调整系数应乘以0.9折减系数。
条文说明
4.0.5表4.0.5给出的材料强度综合系数是考虑了一般工业与民用建筑规范中材料分项系数、材料在快速加载作用下的动力强度提高系数和对抗爆结构可靠度分析后,参考现行国家标准《人民防空地下室设计规范》GB50038确定的。对于设计药量不大于100kg的抗爆间室结构构件达到最大弹性变形时间小于50ms,因此采用现行国家标准《人民防空地下室设计规范》GB50038最大变形时间为50ms时对应的材料动力强度提高系数是可以的。由于混凝土强度提高系数中考虑了龄期效应的因素,其提高系数为1.2~1.3,故对不应考虑后期强度提高的混凝土蒸气养护和掺入早强剂的混凝土应乘以折减系数。 根据有关单位对钢筋、混凝土试验,材料或构件初始静应力即使高达屈服强度的65%~70%,也不影响动荷载作用下材料动力强度提高的比值。而抗爆间室构件初始静应力远小于屈服强度,因此在动荷载与静荷载同时作用下材料动力强度提高系数可取同一数值。
4.0.6 在动荷载和静荷载同时作用或动荷载单独作用下,混凝土的弹性模量可取静荷载作用时的1.2倍;钢材的弹性模量可取静荷载作用时的数值。
4.0.7 在动荷载和静荷载同时作用或动荷载单独作用下,各种材料的泊松比均可取静荷载作用时的数值。
条文说明
4.0.6、4.0.7试验证明,在动荷载和静荷载同时作用或动荷载单独作用下,混凝土的弹性模量可取静荷载作用时的1.2倍;钢材的弹性模量可取静荷载作用时的数值;各种材料的泊松比均可取静荷载作用时的数值。
5 爆炸对结构的整体作用计算和局部破坏验算
5.1 爆炸对结构的整体作用计算
5 爆炸对结构的整体作用计算和局部破坏验算
5.1 爆炸对结构的整体作用计算
5.1.1 空气冲击波对抗爆间室墙(板)整体作用的平均冲量,可按下列公式计算:

式中:k——系数,根据所计算墙(板)面的相邻面(相邻的墙、板或地面)数量N和爆心位置,按本规范附录D计算;
U——角度和距离因子;
k α ——角度和距离的影响系数,根据计算墙(板)面的尺寸及爆心位置,按本规范附录D计算。
5.1.2 当 
≤0.45时,按本规范第5.1.1条计算出的平均冲量值应乘以冲量值修正系数。冲量值修正系数的取值应符合下列要求:
1 当 
=0.45时,冲量值修正系数应取1.0;
2 当 
=0.15时,冲量值修正系数应取1.6;
3 当0.45> 
>0.15时,冲量值修正系数应按线性插入法确定。
条文说明
5.1.1、5.1.2抗爆间室内爆炸,因抗爆墙的存在,使本来可以自由传播于无限空间的冲击波,受到约束而多次反射汇合,加之局部爆炸气体积聚,从而使其对墙面的破坏力远较自由空中同药量爆炸时要大。这种现象的实质是约束面使爆炸能量的集聚效应。建立墙面平均冲量计算式时,可以从能量集聚原理出发,引进能效系数η以η·Q作为爆炸药量,以此来反映受约束空气冲击波的能量集聚效应;以自由空中爆炸墙面各点冲量计算式中的距离角度变量因子之和为U,作为墙面总冲量的距离角度变量因子;采用一个包含反映受约束能量集聚及泄瀑面等影响的综合影响系数k。 室内爆炸冲击波受约束多次反射压力增大从而大大增加对结构的破坏力。由于问题的复杂性,在当前严格的理论计算尚未解决前通过试验采取近似的方法。在生产现有需求的药量条件下,试验证明对墙面有效作用持续时间为3T/8左右(T为墙的自振周期),可以用冲量荷载计算对墙(板)的作用。规范计算方法将冲击波多次反射能量集聚效应转化为增加爆炸药量效应,将复杂的冲击波多次反射简化为墙面各点都受到药量增大了的单一波的同步作用,这显然是有误差的,引进能效系数η只是一种方法,理论上尚不够严密。这些存在的误差与其他各项因素的误差一起用平均冲量经验系数k来修正。采用墙面平均冲量是简化计算不同步荷载的需要。由于冲量作用不同步时间都在毫秒级,而结构变形时间较长,不同步荷载在结构上的反应可近似地按同步作用来考虑。经验系数k起到上述所有误差综合修正的作用,它的确定来之于试验实测数据,起到使冲量值及其他计算趋于正确的作用。 我们对各种大小及各种可能的药量近百个抗爆间室进行与美国的“抗偶然性爆炸效应结构”比较计算,我们提出的近似计算方法计算的墙面平均冲量值比美国“抗偶然性爆炸效应结构”查出的值均偏大一些,绝大多数的偏差在10%以内,最大偏差为18%。对于工程设计来说两种计算方法的差别在10%以内,乃至个别差别在18%以内,应该说都是允许的。另外,该计算法经过几十年实践及几十起爆炸事故的检验,证明是切实可行的,也是符合我国国情的。
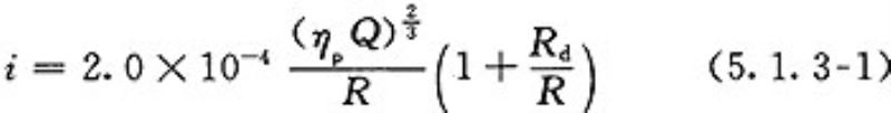
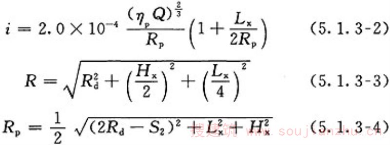
5.1.3 抗爆间室泄出的空气冲击波对抗爆屏院墙(板)面的平均冲量i的计算,应符合下列要求:
1 中墙(板)面平均冲量i可按下式计算:

2 边墙(板)面平均冲量i可按下列公式计算:

式中:η p ——能效系数,按本规范附录B计算;
R d ——等效爆心与抗爆屏院中墙(板)的垂直距离(m);
R——等效爆心与抗爆屏院中墙(板)面代表均布冲量点的距离(m);
R p ——等效爆心与抗爆屏院边墙(板)面中心P的距离(m);
L x ——抗爆间室泄爆墙(板)面的宽度(m);
H x ——抗爆间室泄爆墙(板)面的高度(m);
S 2 ——抗爆屏院的进深(m)。
条文说明
5.1.3抗爆间室泄出的空气冲击波对抗爆屏院墙(板)的作用,可视为装药爆炸冲击波在爆心附近(或稍远处)受约束反射后从泄压面泄出而做定向传播的空气冲击波对抗爆屏院墙(板)的作用,故可采用能量集聚原理进行计算。爆炸药量为ηPQ,用能效系数ηP来反映定向爆炸增大了的破坏效应,从而应用空气冲击波对墙(板)面冲量的计算式:
进行冲量计算。 根据“7101试验”结果归纳得出的经验系数k为0.2×10-3,式中的能效系数ηP见附录B。
5.2 爆炸对结构的局部破坏验算
5.2 爆炸对结构的局部破坏验算
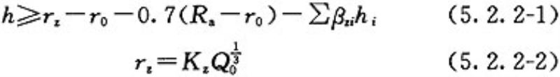
5.2.1 抗爆间室应满足抗爆炸震塌要求,爆心与所计算的墙(板)面的垂直距离应满足下式要求:

式中:h——计算墙(板)厚度(m)。
5.2.2 当爆心与所计算的墙(板)面的垂直距离不满足本规范第5.2.1条的要求时,应按下列公式进行背爆面的抗爆炸震塌破坏厚度计算:


式中:r z ——介质材料的爆炸震塌破坏半径(m);
K z ——介质材料的爆炸震塌屈服系数,按表5.2.2规定取用;
h i ——墙(板)迎爆面抗爆炸震塌覆盖防护层的第i层厚度(m);
β zi ——墙(板)迎爆面抗爆炸震塌覆盖防护层的第i层材料折算为钢筋混凝土的抗爆炸震塌材料折算系数,钢板采用β zi =10,土层采用β zi =0.9,其他材料可按表5.2.2介质材料的爆炸震塌屈服系数对比取值。
表5.2.2 介质材料的爆炸震塌屈服系数K z

5.2.3 抗爆间室应满足抗爆炸飞散的要求。爆心与所计算的墙(板)面的垂直距离应满足下式要求:

5.2.4 当爆心与所计算的墙(板)面的垂直距离不满足本规范第5.2.3条的要求时,应按下列公式进行迎爆面抗爆炸飞散破坏的防护层厚度计算:

式中:h i ——墙(板)迎爆面抗爆炸飞散覆盖防护层的第i层厚度(m);
β fi ——墙(板)迎爆面抗爆炸飞散覆盖防护层的第i层材料折算为钢筋混凝土的抗爆炸飞散材料系数,钢板采用β fi =10,其他材料可按表5.2.4的介质材料的爆炸飞散屈服系数对比取值;
r f ——介质材料的爆炸飞散破坏半径(m);
K f ——介质材料的爆炸飞散屈服系数,按表5.2.4规定取用。
表5.2.4 介质材料的爆炸飞散屈服系数

条文说明
5.2.1~5.2.4为防止出现爆炸飞散和爆炸震塌破坏,必须进行抗爆炸震塌及抗爆炸飞散破坏的防护层厚度验算。
5.2.5 产生爆炸震塌和爆炸飞散破坏的TNT有效装药量Q 0 ,应符合下列规定:
1 当装药为球形或各边长度差异不超过20%的长方体形状时,应取其全部药量;
2 当装药为长列圆柱形和长列方柱形,且长列边垂直于墙(板)面时[图5.2.5(a)],有效装药量可按下列公式确定:
1)当l≥2.25d时:

2)当l<2.25d时:

3 当装药为长列圆柱形和长列方柱形,且长列边平行于墙(板)面时[图5.2.5(b)],有效装药量可按下列规定确定:
1)当l<3.5d时,取其全部药量;
2)当l≥3.5d时:

式中:l——长列圆(方)柱形的长度(cm);
d——圆柱形的直径(cm);
r——圆柱形的半径(cm),计算方柱断面时应换算成等量的圆柱断面;
ρ 0 ——药柱的密度(g/cm 2 );
k 1 ——TNT当量系数。

图5.2.5 装药与墙面的位置关系
5.2.6 具有外壳的装药爆炸或装药在设备内爆炸时,墙(板)抗破片的穿透破坏厚度应按下列公式确定:

式中:h c ——局部穿透破坏的厚度(cm);
K c ——介质材料的穿透屈服系数,钢筋混凝土采用2~3,砖石采用10,钢板采用0.01;
E——破片的动能;
P——破片的质量(kg);
υ——破片到达墙(板)表面的着速(m/s)。
条文说明
5.2.6本条以动能为基础的穿透破坏厚度计算公式及其系数均参考前苏联《筑城工事防护断面设计》中的有关公式及系数。
6 结构内力分析
6 结构内力分析
6.0.1 抗爆间室和抗爆屏院的内力计算,可按瞬时冲量作用下等效单自由度体系的弹塑性阶段动力分析方法,各墙(板)面可单独进行计算。
条文说明
6.0.1按瞬时冲量作用下等效单自由度体系的弹塑性阶段动力分析法,各墙(板)面单独进行。对于抗爆间室结构来说,由于受墙(板)面的约束,爆炸空气冲击波多次反射作用在结构上的动荷载是十分复杂的。所以,要在设计中作严格的动力分析是比较困难的,故一般均采用近似方法,将它拆成单个构件,每一个构件都按单独的等效体系进行动力分析。对于事故性爆炸荷载作用的结构允许充分发挥其结构材料性能,规定可按照弹塑性阶段动力分析。
6.0.2 抗爆间室墙(板)支承条件的确定应符合下列规定:
1 墙面与泄爆面交接边,可为自由边。
2 墙(板)与墙(板)的交接边,相邻两墙(板)的厚度之比为0.6~1.7时,可互为部分固定支承;当相邻两墙(板)的厚度之比小于0.6或大于1.7时,计算薄墙(板)时该边可为固定支承,计算厚墙(板)时该边可为简支支承。
3 墙与基础交接边,可为部分固定支承。
4 轻质易碎屋盖的檐口梁可为边墙的角点支承。
5 靠近墙(板)与墙(板)的交接边开门洞,当门洞高度不大于1/2墙高时,相邻两墙(板)可互为简支支承,当门洞高度大于1/2墙高时,相邻两墙(板)可互为具有上下两角点支承的自由边。
6.0.3 抗爆屏院墙(板)支承条件的确定应符合下列规定:
1 抗爆屏院墙不做条形基础时,其上下边应为自由边。
2 当设置深度大于1/3墙高的条形基础时,墙与基础连接边可为部分固定支承;当设置深度小于0.8m的条形基础时,墙与基础连接边可为自由边;当设置深度为0.8m及小于1/3墙高的条形基础时,墙(板)与基础连接边可为简支支承。
3 抗爆屏院墙与抗爆间室边墙连接边可为简支支承。
4 抗爆屏院墙(板)与墙(板)的交接边,当相邻两墙(板)厚度之比为0.6~1.7时,可互为部分固定支承;当相邻两墙(板)厚度之比小于0.6或大于1.7,计算薄墙(板)时该边可为固定支承,计算厚墙(板)时该边可为简支支承。
6.0.4 墙(板)挠曲型自振圆频率可按下列公式计算:
1 双向墙(板):

式中:n——频率折减系数;
l f ——墙(板)简支支承和固定支承边的长度总和(m);
l 0 ——墙(板)全部支承边(不包括自由边)长度的总和(m);
l x ——墙(板)χ向的跨度,按本规范附录C选取(m);
h——墙(板)的厚度(m);
m ——墙(板)的单位面积质量(kg·s 2 /m 3 );
γ——钢筋混凝土墙(板)容重(kg/m 3 );
——墙(板)的相对刚度(m 2 /s)。
2 单向墙(板):

式中:n——频率折减系数,当一端为部分固定支承时取0.88,当两端为部分固定支承时取0.75,其他情况取1.0;
B——抗弯刚度;
m ——墙(板)的单位长度质量(kg·s 2 /m 2 );
——墙(板)的相对刚度(m 2 /s);
l——墙(板)跨度(m)。
条文说明
6.0.4试验表明,在爆炸荷载重复多次作用下,抗爆间室结构各墙(板)面的支承条件和刚度均随爆炸药量的增加或爆炸次数的增加而逐次改变,致使墙(板)面自振频率不断降低。为此,在计算自振频率时采用了理想的完全固定支承改变为部分固定支承的频率的折减系数n和反映刚度下降的刚度折减系数Ψ(取值Ψ=0.6)。考虑到墙(板)面支承边不全是部分固定支承的情况,对简支和确实是完全固定支承时频率系数不予折减。
6.0.5 墙(板)弯矩可按下列公式计算:
1 双向墙(板):

式中:M x ——平行于l x 向(简称χ向)的墙(板)跨中弯矩(N·m);
M y ——平行于l y 向的墙(板)跨中弯矩(N·m);
M 0 x ——χ向支座弯矩(N·m);
M 0 y ——y向支座弯矩(N·m);
K x ——χ向跨中弯矩系数,按本规范附录E采用;
α——y向跨中弯矩与χ向跨中弯矩比值,按本规范附录E采用;
β——支座弯矩与跨中弯矩比值,设防等级为一级取2,二级取1.6或1.8,三级取1.4;
l x ——墙(板)χ向跨度(m);
C——设防等级系数,按表6.0.5-1规定采用;
ξ——荷载实效修正系数。对于抗爆间室,根据相邻墙面数及有无相对墙面按表6.0.5-2规定采用;对于抗爆屏院ξ取1.0。
表6.0.5-1 设防等级系数C值

表6.0.5-2 荷载实效修正系数ξ值

2 单向墙(板):

式中:M 0 ——墙(板)的跨中弯矩(N·m);
M 0 0 ——墙(板)支座弯矩(N·m);
C——设防等级系数,按表6.0.5-1的规定采用;
ω——墙(板)自振圆频率(1/s),按本规范第6.0.4条计算;
l——墙(板)跨度(m);
K 0 ——跨中弯矩系数,按本规范附录E采用;
K 0 0 ——支座弯矩系数,按本规范附录E采用。
条文说明
6.0.5结构动力分析的荷载为瞬时冲量,对每面墙(板)面来说,作用时间与相邻面数及有无相对面有关。根据“6909试验”,当相邻墙面数N≥3时全墙面荷载作用时间为墙(板)面自振周期的3/8以上。根据对比计算,作用时间为3T/8的随时间而直线下降的荷载按瞬时冲量计算将偏大17%。对于相邻墙面数N=4的情况,试验表明作用时间更长,冲量计算结果偏大,将超过17%。对于相对面的影响,经过对比计算,情况比较复杂。但为了简化计算,相邻面数及相对面的影响,分别进行计算,最后综合两者计算结果统一采用一个荷载实效修正系数ξ。设防等级系数C值表(本规范表6.0.5-1是根据表3.0.6的设计延性比采用值按公式计算而得)。
6.0.6 墙(板)的支承反力应按下列规定计算:
1 双向墙(板)应按下列公式计算:
1)四边支承和三边支承墙(板)

2)带角点支承的两邻边支承墙(板)应按下列公式计算:

式中:V i-j ——墙(板)i-j边支承反力(N/m);
V 4 ——墙(板)角点支承反力(N);
K Vi-j ——i-j边支承反力系数,按本规范附录E采用;
K V4 ——角点支承反力系数,按本规范附录E采用;
M x ——墙(板)χ向的跨中弯矩(N·m/m);
M y ——墙(板)y向的跨中弯矩(N·m/m);
l x ——墙(板)χ向的边长(净跨度)(m);
l y ——墙(板)y向的边长(净跨度)(m)。
2 单向墙(板)应按下式计算:

式中:V i-j ——墙(板)i-j边支承反力(N/m);
M 0 ——墙(板)跨中弯矩(N·m/m);
l——墙(板)跨度(m);
K Vi-j ——i-j边支承反力系数,按本规范附录E采用。
6.0.7 泄爆面墙下的基础梁的拉力应按边墙底边总反力的1/4计算。承受静荷载的弯矩可按下式计算:

式中:M c ——基础梁在静荷载作用下的弯矩(N·m);
q——作用于基础梁上的静荷载(包括槛墙、轻型窗等)(N/m);
l——基础梁计算长度,取梁净跨度乘以1.05的系数(m)。
6.0.8 当在两边墙条形基础间按本规范第8.0.14条设置基础拉梁时,泄爆面墙下的基础梁的拉力应为边墙底边单位长度反力乘以梁的间距的1/2。
6.0.9 设置在两边墙条形基础顶部的基础拉梁仅考虑承受边墙反力作用产生的拉力时,基础拉梁的拉力可按边墙底边单位长度的反力的较大值乘以拉梁的间距取值。
6.0.10 设置在条形基础顶面的底板,应采用与抗爆间室墙(板)相同方法设计。当场地地基承载力特征值大于300kPa时,底板计算时可不考虑爆炸荷载产生的受弯作用。
条文说明
6.0.10考虑到一般情况下底板面上的平均冲量在20kN·s/m2以下,对于地基承载力不小于300kPa的土层,一般能满足对底板的支承。因此规定,当地基土承载力特征值大于300kPa时,底板可不考虑作用于板面的爆炸荷载产生的弯矩作用。
7 截面设计计算
7 截面设计计算
7.0.1 抗爆间室墙(板)截面设计计算可按单筋截面计算,并应采用对称双筋截面配筋。按双筋截面进行受弯截面验算时,计算受压钢筋面积不宜大于受拉钢筋面积的70%。
7.0.2 对于单独设置的抗爆间室,应按墙(板)所受的弯矩和支承邻墙(板)的支座拉力共同作用,分别计算受弯和受拉钢筋量。
对于两个及以上连排抗爆间室,顶板及中墙应按受弯构件计算;边墙应按墙所受弯矩和支承邻墙(板)的支座拉力共同作用,分别计算受弯和受拉钢筋量。
轻质易碎屋盖抗爆间室檐口梁,可按中心受拉构件计算。
基础梁和基础拉梁按静荷受弯和动荷受拉同时作用,应分别计算所需钢筋量,并应按计算钢筋量之和配置。
墙面多于两面且基础埋置深度不小于墙高1/3的抗爆间室,其基础截面计算可不考虑爆炸荷载引起的弯矩,可仅按静载作用的中心受压计算。
条文说明
7.0.1、7.0.2为简化计算及方便施工,抗爆间室墙(板)一般可按单筋截面设计,采用对称双筋截面配筋,受压区多配的钢筋可用作支承邻墙(板)的拉力所需的钢筋。
7.0.3 当抗爆屏院不设置条形基础或条形基础埋置深度小于0.8m时,墙计算时可不考虑基础对墙的支承作用;抗爆屏院墙(板)计算时应同时计算受弯和受拉作用。
7.0.4 抗爆屏院墙(板)交接处的边柱、梁,可不考虑爆炸荷载作用,按构造要求配置钢筋。
7.0.5 抗爆间室及抗爆屏院的墙(板)估算厚度,应符合下列规定:
1 墙(板)估算厚度可按下式计算:

式中:h——墙(板)估算厚度(m);
C——设防等级系数,按本规范表6.0.5-1采用;
?——钢筋设计强度(N/mm 2 );
K 0 ——构件跨中较大弯矩系数,对于双向墙(板),按本规范附录E采用,取χ向和y向的弯矩系数K x 和αK x 二者中之较大者,对于单向墙(板),按本规范表E.0.4采用;
n——频率折减系数,按本规范第6.0.4条规定采用。
2 抗爆屏院各墙(板)厚度可统一取抗爆屏院中墙(板)的厚度。
条文说明
7.0.5本条提出估算现浇钢筋混凝土抗爆间室及抗爆屏院墙(板)厚的计算方法。抗爆结构的墙(板)的厚度同时要满足本规范第8.0.1条的最小厚度要求。
8 构造要求
8 构造要求
8.0.1 抗爆间室的墙(板)应采用现浇钢筋混凝土墙(板),当设计药量不小于1kg时,墙(板)厚不应小于250mm。当设计药量小于1kg时,墙(板)厚不应小于200mm。抗爆屏院墙(板)厚不应小于120mm。
条文说明
8.0.1本条提出现浇钢筋混凝土抗爆间室及抗爆屏院的最小墙厚的要求。
8.0.2 抗爆间室结构构件受力钢筋的混凝土保护层厚度应符合下列要求:
1 抗爆间室结构构件受力钢筋混凝土保护层厚度不应小于钢筋的公称直径。
2 抗爆间室结构构件受力钢筋的混凝土保护层最小厚度c,应符合表8.0.2的规定。
表8.0.2 混凝土保护层最小厚度c(mm)

注:1 混凝土强度等级不大于C25时,表中数值应增加5mm;
2 基础中钢筋的保护层厚度不应小于40mm,当无垫层时不应小于70mm。
8.0.3 抗爆间室钢筋混凝土结构构件,其纵向受力钢筋的锚固和连接接头应符合下列要求:
1 纵向受拉钢筋的锚固长度l ak 应按下式计算:
l ak =1.15l a (8.0.3-1)
式中:l a ——受拉钢筋的锚固长度,应按现行国家标准《混凝土结构设计规范》GB 50010的有关规定采用(mm)。
2 抗爆间室结构构件纵向受力钢筋的连接宜采用机械连接和焊接。
3 当采用绑扎搭接接头时,纵向受拉钢筋搭接接头的搭接长度l lk 应按下式计算,且不应小于300mm:
l lk =ζ l l ak (8.0.3-2)
式中:ζ l ——纵向受拉钢筋搭接长度修正系数,本规范要求绑扎接头面积百分率不大于25%,取值1.2。
4 纵向受力钢筋连接接头的位置应设在受力较小处,并应互相错开,在任一搭接长度l lk 的区段内,有接头的受力钢筋截面面积不应超过总截面面积的百分率为:对于绑扎接头应为25%,对于对机械连接和焊接接头应为50%。
条文说明
8.0.2、8.0.3本条是根据现行国家标准《混凝土结构设计规范》GB50010及抗内爆炸结构构件特点制订的。
8.0.4 受弯构件及轴心受拉构件一侧的受拉钢筋的最小配筋百分率应按表8.0.4采用。
表8.0.4 受弯构件及轴心受拉构件一侧的受拉钢筋的最小配筋百分率(%)

条文说明
8.0.4本规范抗爆间室墙(板)为受弯构件,基础拉梁按轴心受拉构件考虑。受弯构件及轴心受拉构件一侧的受拉钢筋的最小配筋百分率,是参考现行国家标准《混凝土结构设计规范》GB50010非抗震和抗震框架梁的纵向受拉钢筋最小配筋百分率制订的。受弯构件及轴心受拉构件一侧的受拉钢筋的最小配筋百分率取用抗震等级为二级的梁跨中纵向受拉钢筋的最小配筋百分率,即为0.25和55?t/?y中的较大值,而不按设防等级再作区分。这主要是基于以下两点考虑:一是根据以往的工程实践,各类设防等级的抗爆间室墙(板)及基础拉梁的实际配筋基本上均为计算配筋,而且配筋百分率远远大于非抗爆结构构件的配筋百分率,最小配筋百分率几乎不起控制作用,因此按设防等级区分构件最小配筋百分率意义不大;二是抗爆间室承受的是偶然性爆炸荷载,而且对爆炸荷载的计算具有较高的准确性,因此按抗震等级为二级的梁跨中纵向受拉钢筋的最小配筋百分率取用,要求是适当的。 本条所列受拉钢筋最小配筋百分率是根据公式55?t/?y计算取整后与0.25的较大值给出,见表1。
8.0.5 抗爆间室结构构件受力钢筋直径不宜小于14mm,间距不宜大于200mm,最小净距不宜小于50mm。
8.0.6 墙(板)的受压区和受拉区的受力钢筋应用梅花形排列的S形拉结筋互相拉结。S形拉结筋直径及间距宜按表8.0.6的规定采用。
表8.0.6 S形拉结筋直径及间距

条文说明
8.0.6双面配筋的钢筋混凝土墙(板),为保证动荷载作用下钢筋与受压区混凝土共同工作,在内、外或上、下层钢筋之间设置一定数量的拉结筋是必要的。为了便于设置S形拉结筋,一般受压区和受拉区钢筋的间距相等,位置相对。 表1受拉钢筋最小配筋百分率计算
8.0.7 抗爆间室结构构件的交接处,包括墙、屋面板、基础底板、檐口梁相互交接处,均应加腋,并应采用斜筋加强(图8.0.7)。加腋尺寸应按构件截面高度的1/3~1/4取用,且不应小于100mm;斜筋直径应按主筋最大直径的2/3选用,且不应小于12mm;斜筋间距不宜大于150mm。

图8.0.7 墙(板)交接处和自由边缘加强构造
1—抗爆屏院拉结筋;2、3—附加垂直主筋;4—垂直主筋;5—S形拉结筋;
6—斜筋;d 1 —斜筋直径;l a —锚固长度;h—墙厚(mm)
条文说明
8.0.7为了避免抗爆间室中墙与侧墙交接处出现应力集中,必须在中墙与侧墙交接处采取加腋的构造措施。附加斜筋直径为主筋直径的2/3,间距100mm~150mm。同样,对于屋面板与墙及檐口梁与墙的连接处,也按此处理。
8.0.8 抗爆间室钢筋混凝土屋面板檐口处应采取加强措施,加厚部分宜设在板的上部(图8.0.8)。加强部位应上下各附加不少于4根直径与同方向受力钢筋相同的加强钢筋。端部宜设置直径不小于14mm,间距不大于200的附加构造钢筋,并应采用直径不小于10mm,间距不大于150的附加箍筋将加强部位钢筋箍住。

图8.0.8 屋面板檐口处加强构造
1—附加加强钢筋;2—板内主筋;3—附加构造钢筋;h—墙厚(mm)
8.0.9 抗爆间室墙(板)不宜设置孔洞。生产上必需的门洞及洞孔应控制洞孔尺寸,并应设置在对结构受力和对操作人员危害小的部位。
8.0.10 抗爆间室墙(板)上开门洞处应采取加强措施,加强措施应符合下列规定:
1 门洞四角墙内外两侧应各设置4根直径与墙内最大受力钢筋直径相同的斜向加强钢筋,并应与洞边成45°夹角放置,长度应为直径的80倍,间距应为100mm(图8.0.10)。当门洞紧靠墙边时,紧靠墙一侧的斜向加强钢筋可不设置。
2 被门洞切断的垂直钢筋量应补足,并应平均配置于门洞两边,且每边内外侧应各不少于4根直径与墙内同方向受力钢筋相同的钢筋(图8.0.10)。当门洞紧靠墙边时,应将被切断的垂直钢筋量全部配置在门洞的另一侧。
3 被门洞切断的水平钢筋量应平均配置在门洞上下两端。当门洞底紧靠基础顶面或基础底板时,门洞下端的加强钢筋可不配置(图8.0.10)。
4 门洞四周的加强钢筋伸入支座的长度应满足锚固长度的要求。
5 当设计药量Q的爆心与门洞所在的墙面的垂直距离R a <0.45
时,应采取加厚门洞周边的加固措施。其他情况下,宜采取加厚门洞的加强措施(图8.0.10)。

图8.0.10 门洞处加强构造
1—水平主筋;2—水平补强筋;3—附加斜筋;4—垂直补强筋;
5—垂直主筋;6—附加钢筋;7—底板;8—抗爆门;h—墙厚(mm)
8.0.11 抗爆间室檐口梁、基础梁、基础拉梁的截面不应小于300mm×300mm。当抗爆间室需要设置底板时,其底板的厚度不应小于250mm。
8.0.12 抗爆间室与抗爆屏院墙连接的U形拉结筋应按计算确定,但直径不应小于8mm,其间距不应大于150mm(见图8.0.7)。
8.0.13 当抗爆间室屋盖为轻质易碎屋盖时,墙顶应设置钢筋混凝土女儿墙。女儿墙高度不应小于500mm,厚度不应小于150mm。女儿墙配置的钢筋直径不宜小于12mm,钢筋间距不宜大于150mm。
条文说明
8.0.13当抗爆间室屋盖为轻质易碎屋盖时,设置高度不小于500mm的女儿墙是为了减少泄爆面泄出的冲击波及爆炸破片危害相邻屋面。
8.0.14 抗爆间室基础按不考虑爆炸荷载作用设计时,应符合下列规定:
1 当20kg<Q≤50kg且爆心与计算墙面的垂直距离R a ≥0.45
及Q≤20kg时,条形基础的设置深度应为墙高度的1/3,且不应小于1.2m。基础宽度不应小于墙厚度加250mm,且在顶面以下500mm范围内不应小于墙厚度的2倍,并应在此范围内每侧配5根与墙内水平向主筋直径相同的钢筋加强。
2 当20kg<Q≤50kg且R a <0.45
时,除应满足本条第1款的要求外,边墙条形基础顶面应设置垂直于边墙条形基础的基础拉梁,基础拉梁的间距不应大于1.5m。
3 当50kg<Q≤100kg时,抗爆间室应设置底板,墙体延伸至基础底板下不应小于500mm,且配筋应同上部墙体(图8.0.14)。
4 当墙高是由于设备高度要求而不是由设计药量所确定时,基础埋置深度可由与设计药量相适应的墙高确定。

图8.0.14 抗爆间室墙(板)斜拉结筋位置和构造
1—垂直向斜拉结筋;2—水平向斜拉结筋;3—水平主筋;4—垂直主筋;5—底板;h—墙厚(mm)
条文说明
8.0.14有的抗爆间室由于设备高度很高,墙的高度就不得不做高,而设计药量并不大,这样如果基础埋置深度还是按墙高来确定,显然是不合适的。因此,在这种情况下,规范提出基础埋置深度与设计药量相适应的墙高来确定。例如某抗爆间室由于设备的原因需要层高为9m,而设计药量为15kg。而设计药量为15kg的抗爆间室墙高一般为4m~5m,则该9m高的抗爆间室与设计药量相适应的墙高可取4m~5m,相应的基础埋深按墙高的1/3可取1.5m~1.8m。
8.0.15 对于R a <0.45
的墙(板)宜设置波浪形斜拉结筋。波浪形斜拉结筋的设置应符合下列规定:
1 斜拉结筋的直径不应小于10mm,间距不应大于墙两侧受力钢筋间距离的0.75倍。
2 在同一配筋平面中斜拉结筋的斜拉部分与受弯钢筋所成夹角α不应小于45°。
3 斜拉结筋配置范围及方式应符合下列要求(图8.0.15):
1)斜拉结筋配置应垂直于支座。
2)两边支承单向受弯构件的斜拉结筋应在全跨度范围内连续配置。
3)悬臂构件在垂直并靠近于支座处,配置斜拉结筋,在自由边附近,构件全宽度范围内配置平行于支座边的通长的斜拉结筋。
4)双向受弯构件在两个方向均应配置斜拉结筋,在长跨方向配置通长的斜拉结筋,在短跨方向靠近支座边配置垂直于支座的斜拉结筋。
4 斜拉结筋当采用绑扎接头时,搭接长度不应小于绕过三根受弯钢筋的弯曲段的长度。
5 同一连接区段内的斜拉结筋的搭接截面面积百分率不宜大于50%。


图8.0.15 抗爆间室墙(板)拉结筋配置位置示意
1—水平向通长斜拉结筋;2—垂直向通长斜拉结筋;3—水平向非通长斜拉结筋;4—垂直向非通长斜拉结筋
8.0.16 对于R a <0.45
的墙(板),受条件限制施工配置波浪形斜拉结筋难以实现时,在Q≤50kg的情况下,可采用S形拉结筋,但应采取下列加强措施:
1 在全墙范围内纵横受弯钢筋的交点上均应设置S形拉结筋,S形拉结筋直径不应小于10mm。
2 以爆心在墙面上的垂直投影点为中心,在受弯钢筋外侧应设置钢筋网,钢筋网直径可为受弯主筋直径的1/2,间距应为100mm,钢筋网的长度和宽度均应为墙较长方向跨度的1/2,且不宜小于2m。
条文说明
8.0.15、8.0.16对于爆心离墙体小于0.45
的墙体,为了加强墙体的整体性,保证动荷载作用下钢筋与受压区混凝土共同工作,提出设置波浪式斜拉结筋,这一构造要求是参考了国外有关设计手册。在实际施工中设置波浪式斜拉结筋是有一定困难的,因此,规范提出在药量小于50kg的情况下,可按要求设置S形拉结筋。
8.0.17 抗爆间室及抗爆屏院宜连续浇筑,不宜设置施工缝。当施工困难必须设置施工缝时,施工缝应设在基础顶面或屋面板下500mm处,并应以不少于受弯主筋截面积1/2的钢筋加强。
条文说明
8.0.17本条提出一次绑扎钢筋连续施工的要求。钢筋混凝土抗爆间室因要承受很大的冲击波荷载,而施工缝又是潜在薄弱面,为了避免反复荷载作用下施工缝薄弱面及裂缝的扩大,影响安全及使用,本条要求抗爆间室墙(板)应连续浇筑,不设施工缝。当不可避免时,规定施工缝应设置在低应力区,即在基础顶面或屋面板下500mm处设置,并用插筋加固。
8.0.18 抗爆屏院墙交接处及上下边应设置边框柱、边框梁。当抗爆屏院墙长度或高度大于6m时,宜在墙长度或高度中部增加一道边框柱或边框梁。边框柱及边框梁截面尺寸及最小配筋应符合表8.0.18的要求。
表8.0.18 抗爆屏院墙边框柱、边框梁截面尺寸及最小配筋

9 抗爆门等效静荷载简化计算
9 抗爆门等效静荷载简化计算
9.0.1 抗爆门设计应能防止抗爆间室爆炸产生的空气冲击波、火焰的泄出及破片的穿透。
条文说明
9.0.1本条提出了抗爆门设计的最低要求。如果达不到本条的要求,一旦发生爆炸事故将对与抗爆间室相连的厂房产生比较严重的危害。
9.0.2 抗爆间室爆炸空气冲击波作用在抗爆门上的平均冲量,可按下列公式计算:
1 当R≥20r 0 时:

2 当R<20r 0 时:

式中:k m ——系数,对于钢筋混凝土屋盖间室取1.0×10 -3 ,对于轻质易碎屋盖间室取0.6×10 -3 ;
R——爆心至门面中心的距离(m);
α——爆心与门面中心的连线和爆心与门所在墙面的垂直线的夹角。
条文说明
9.0.2抗爆间室爆炸空气冲击波作用在抗爆门上的平均冲量计算公式是根据试验结构局部区域冲量的结果而提出的。空中爆炸距离爆心一定距离的冲量计算公式中的系数为0.2×10-3,由于抗爆间室墙面及顶板的约束使冲击波产生反复反射,从而增大了墙面的冲量。本条根据试验结果提出了系数的取值。
9.0.3 空气冲击波正压作用于抗爆门面上的等效时间,可按下式计算:

式中:t——空气冲击波正压作用于抗爆门面上的等效时间(s);
k t ——系数,对于钢筋混凝土屋盖间室取2.7,对于轻质易碎屋盖间室取1.8。
9.0.4 在空气冲击波作用下,对抗爆门产生的等效静载可按下列公式计算:
1 当t≤T/2时:

2 当t>T/2时:

式中:q——等效静载(N/mm 2 );
ω——门的自振圆频率(1/s);
T——门的自振周期(s),取2π/ω;
ε——系数。
附录A各类抗爆间室的设防等级
附录A 各类抗爆间室的设防等级
A.0.1 炮弹厂抗爆间室设防等级,可按表A.0.1查取。
表A.0.1 炮弹厂抗爆间室设防等级


注:1 分装压药柱法压药柱,生产自动化程度较高时,采用自动控制容积称量,可降低设防等级;
2 只生产TNT药柱(药块)时,可定为二级;
3 对于爆炸事故虽多,但殉爆的可能性小的药柱生产,可定为二级。
A.0.2 火工品厂和引信厂抗爆间室设防等级,可按表A.0.2查取。
表A.0.2 火工品厂和引信厂抗爆间室设防等级



A.0.3 火药厂抗爆间室设防等级,可按表A.0.3查取。
表A.0.3 火药厂抗爆间室设防等级

附录B间室泄出的空气冲击波对抗爆屏院墙冲量的能效系数ηp的计算方法
附录B 间室泄出的空气冲击波对抗爆屏院墙冲量的能效系数η p 的计算方法
B.0.1 本附录适用于具有一个及二个泄爆面的抗爆间室外的三面用墙组成下列四种形式的抗爆屏院:底部有泄爆带П形抗爆屏院、无泄爆带П形抗爆屏院、底部有泄爆带Γ形抗爆屏院及无泄爆带Γ形抗爆屏院(图B.0.1)。

图B.0.1 抗爆屏院
1—抗爆间室;2—抗爆屏院
B.0.2 П形抗爆屏院墙面承受抗内爆间泄出的空气冲击波冲量作用的能效系数η p 应符合下列规定:
1 墙底部有高度为h x 的排泄带的抗爆屏院应符合下列规定:
1)当抗爆间室屋盖和一面墙均为泄爆面时(图B.0.2-1),中墙的能效系数η p 可按下列公式计算:


式中:H——抗爆间室高度(m);
L——抗爆间室宽度(m);
R 0 ——实际爆心与抗爆间室中墙的距离(m);
h x ——抗爆屏院排泄带高度(m);
R d ——计算能效系数用的等效爆心O与抗爆屏院中墙面的垂直距离(m)。
2)当抗爆间室屋盖和一面墙均为泄爆面时(图B.0.2-1),边墙能效系数η p 可按下列公式计算:

式中:R p ——等效爆心O与抗爆屏院边墙面中心P的距离(m);
S 2 ——抗爆屏院进深(m)。
3)当抗爆间室屋盖为非泄爆面而一面墙为泄爆面时(图B.0.2-2),中墙的能效系数η p 可按下式计算:

式中:S 1 ——抗爆间室进深(m)。
4)当抗爆间室屋盖为非泄爆面而一面墙为泄爆面时(图B.0.2-2),边墙能效系数η p 可按下式计算:

2 墙底部无泄爆带的抗爆屏院应按下列规定计算。
1)当抗爆间室屋盖和一面墙均为泄爆面时(图B.0.2-1),中墙的能效系数η p 可按下式计算:

2)当抗爆间室屋盖和一面墙均为泄爆面时(图B.0.2-1),边墙能效系数η p 可按下式计算:

图B.0.2-1 抗爆间室屋盖及一面墙泄爆等效爆心位置
1—等效爆心;2—实际爆心

3)当抗爆间室屋盖为非泄爆面而一面墙为泄爆面时(图B.0.2-2),中墙的能效系数η p 可按下式计算:

4)当抗爆间室屋盖为非泄爆面而一面墙为泄爆面时(图B.0.2-2),边墙能效系数η p 按下式计算:

图B.0.2-2 抗爆间室一面墙泄爆等效爆心位置
1—等效爆心;2—实际爆心
B.0.3 Γ形抗爆屏院墙面承受抗爆间室泄出空气冲击波冲量作用的能效系数η p ,可按П形抗爆屏院墙面相应的能效系数乘以0.6取用。
附录C矩形薄板自振圆频率系数Ω值
附录C 矩形薄板自振圆频率系数Ω值
C.0.1 四边支承薄板自振圆频率系数Ω,可按表C.0.1查取。
表C.0.1 四边支承薄板自振圆频率系数Ω


C.0.2 三边支承薄板自振圆频率系数Ω,可按表C.0.2查取。
表C.0.2 三边支承薄板自振圆频率系数Ω


C.0.3 两相邻边支承及带角点支承的薄板自振圆频率系数Ω,可按表C.0.3查取。
表C.0.3 两相邻边支承及带角点支承的薄板自振圆频率系数Ω


C.0.4 单向悬臂和两对边支承薄板自振圆频率系数Ω,可按表C.0.4查取。
表C.0.4 单向悬臂和两对边支承薄板自振圆频率系数Ω

附录D系数k、能效系数η及角度和距离影响系数kα的计算方法
附录D 系数k、能效系数η及角度和距离影响系数k α 的计算方法
D.0.1 系数k、能效系数η及角度和距离影响系数k α 计算,可按表D.0.1-1~表D.0.1-3方法计算。
表D.0.1-1 系数k、能效系数η及角度和距离影响系数k α 计算



表D.0.1-2 系数k、能效系数η及角度和距离影响系数k α 计算


表D.0.1-3 系数k、能效系数η及角度和距离影响系数k α 计算


D.0.2 系数Z 1 、Z 2 、Z 3 值,可根据α和β按表D.0.2查取。
表D.0.2 系数Z 1 、Z 2 、Z 3 值








D.0.3 系数Z 2 、Z 3 值,可根据γ按表D.0.3查取。
表D.0.3 系数Z 2 ,Z 3 值(×10 -3 )

D.0.4 系数是k α 值,可根据α和β按表D.0.4查取。
表D.0.4 系数k α 值








附录E按极限平衡法计算矩形板的弯矩系数和动反力系数
附录E 按极限平衡法计算矩形板的弯矩系数和动反力系数
E.0.1 四边支承板的弯矩系数和动反力系数,可按表E.0.1查取。
表E.0.1 四边支承板的弯矩系数和动反力系数

































E.0.2 三边支承板的弯矩系数和动反力系数,可按表E.0.2查取。
表E.0.2 三边支承板的弯矩系数和动反力系数





















E.0.3 带角点支承的两相邻边支承板的弯矩系数和动反力系数,可按表E.0.3查取。
表E.0.3 带角点支承的两相邻边支承板的弯矩系数和动反力系数









E.0.4 单向支承板和两边支承板的弯矩系数和动反力系数,可按表E.0.4查取。
表E.0.4 单向支承板和两边支承板的弯矩系数和动反力系数

本规范用词说明
本规范用词说明
1 为便于在执行本规范条文时区别对待,对要求严格程度不同的用词说明如下:
1)表示很严格,非这样做不可的:
正面词采用“必须”,反面词采用“严禁”;
2)表示严格,在正常情况下均应这样做的:
正面词采用“应”,反面词采用“不应”或“不得”;
3)表示允许稍有选择,在条件许可时首先应这样做的:
正面词采用“宜”,反面词采用“不宜”;
4)表示有选择,在一定条件下可以这样做的,采用“可”。
2 条文中指明应按其他有关标准执行的写法为:“应符合……的规定”或“应按……执行”。
引用标准名录
引用标准名录
《混凝土结构设计规范》GB 50010
