Appearance
《砌筑砂浆配合比设计规程[附条文说明]》JGJ/T 98-2010
🗓️ 住房和城乡建设部 实施时间:2011-08-01
前言
中华人民共和国行业标准
砌筑砂浆配合比设计规程
Specification for mix proportion design of masonry mortar
JGJ/T 98-2010
批准部门:中华人民共和国住房和城乡建设部
施行日期:2011年8月1日
中华人民共和国住房和城乡建设部
公 告
第798号
关于发布行业标准
《砌筑砂浆配合比设计规程》的公告
现批准《砌筑砂浆配合比设计规程》为行业标准,编号为JGJ/T 98-2010,自2011年8月1日起实施。原《砌筑砂浆配合比设计规程》JGJ 98-2000同时废止。
本规程由我部标准定额研究所组织中国建筑工业出版社出版发行。
中华人民共和国住房和城乡建设部
2010年11月4日
前 言
根据住房和城乡建设部《关于印发〈2008年工程建设标准规范制订、修订计划(第一批)〉的通知》(建标[2008]102号)的要求,规程编制组经广泛调查研究,认真总结实践经验,参考有关国际标准和国外先进标准,并在广泛征求意见的基础上,修订本规程。
本规程的主要技术内容是:1.总则;2.术语;3.材料要求;4.技术条件;5.砌筑砂浆配合比的确定与要求。
修订的主要技术内容是:1.增加了粉煤灰水泥砂浆和预拌砌筑砂浆配合比设计的内容;2.根据新型墙体材料性能,对砌筑砂浆施工稠度进行了调整;3.在砂浆强度等级上去掉了M2.5,增加了M25和M30两个等级;4.取消了分层度指标,增加了砂浆保水率的要求;5.根据不同气候区提出了砌筑砂浆抗冻性要求;6.增加了根据砂浆表观密度实测值及理论值校正砂浆配合比的步骤;7.将砂浆试配强度计算公式修改为f m,0 =kf 2 。
本规程由住房和城乡建设部负责管理,由陕西省建筑科学研究院负责具体技术内容的解释。执行过程中如有意见或建议,请寄送陕西省建筑科学研究院(地址:陕西省西安市环城西路北段272号,邮政编码:710082)。
本规程主编单位:陕西省建筑科学研究院
浙江八达建设集团有限公司
本规程参编单位:中国建筑科学研究院
福建省建筑科学研究院
上海市建筑科学研究院(集团)有限公司
陕西省第三建筑工程公司
山东省建筑科学研究院
浙江中技建设工程检测有限公司
嘉兴市春秋建设工程检测中心有限责任公司
浙江嘉善县建筑工程质量监督站
西安市建设工程质量安全监督站
西安天洋建材企业集团
本规程主要起草人员:李荣 孙占利 张秀芳 赵立群 刘军选 徐鹏如 王文奎 何希铨 金万春 王转英 袁永福 钱建武 张雪琴 薛天牢 金裕民 徐建 黄春文 毛国强 何富林 陈华 沈文忠
本规程主要审查人员:王福川 张昌叙 张玉忠 黄可明 张德思 陈栓发 李海波 施钟毅 王巧莉
1 总则
1 总则
1.0.1 为统一砌筑砂浆的技术条件和配合比设计方法,满足设计和施工要求,保证砌筑砂浆质量,做到技术先进、经济合理,制定本规程。
条文说明
1.0.1 本规程规定了砌筑砂浆的技术条件及配合比设计方法。编制本规程的目的是确保砌筑砂浆质量,使设计、施工和科研工作中在确定砂浆配合比时,有一个统一的标准。
1.0.2 本规程适用于工业与民用建筑及一般构筑物中所采用的砌筑砂浆的配合比设计。
条文说明
1.0.2 本规程属建筑砂浆范畴的专业标准,适用于工业与民用建筑及一般构筑物中的砌筑砂浆(包括现场配制砂浆和预拌砂浆)的质量控制。
1.0.3 砌筑砂浆配合比设计应根据原材料的性能、砂浆技术要求、块体种类及施工条件进行计算或查表选择,并应经试配、调整后确定。
条文说明
1.0.3 砌筑砂浆配合比设计时,需以原材料的性能和砂浆的技术要求为依据,经计算或查表选定。
1.0.4 砌筑砂浆配合比设计除应符合本规程外,尚应符合国家现行有关标准的规定。
条文说明
1.0.4 在按本规程进行配合比设计时,会涉及其他的现行标准、规范,也需要执行。
2 术语
2 术语
2.0.1 砌筑砂浆 masonry mortar
将砖、石、砌块等块材经砌筑成为砌体,起粘结、衬垫和传力作用的砂浆。
条文说明
2.0.1 砌筑砂浆一般分为现场配制砂浆和预拌砌筑砂浆,现场配制砂浆又分为水泥砂浆和水泥混合砂浆,预拌砌筑砂浆(商品砂浆)是由专业生产厂生产的湿拌砌筑砂浆和干混砌筑砂浆,它的工作性、耐久性优良,生产时不分水泥砂浆和水泥混合砂浆。
2.0.2 现场配制砂浆 masonry mortar site mixing
由水泥、细骨料和水,以及根据需要加入的石灰、活性掺合料或外加剂在现场配制成的砂浆,分为水泥砂浆和水泥混合砂浆。
条文说明
2.0.2 目前现场配制水泥砂浆时,有单纯用水泥作为胶凝材料进行拌制的,也有掺入粉煤灰等活性掺合料与水泥一起作为胶凝材料拌制的,因此,水泥砂浆包括单纯用水泥为胶凝材料拌制的砂浆,也包括掺入活性掺合料与水泥共同拌制的砂浆。
2.0.3 预拌砂浆 ready-mixed mortar
专业生产厂生产的湿拌砂浆或干混砂浆。
条文说明
2.0.3 按现行行业标准《预拌砂浆》JG/T 230给出了预拌砂浆的定义。
2.0.4 保水增稠材料 water-retentive and plastic material
改善砂浆可操作性及保水性能的非石灰类材料。
条文说明
2.0.4 预拌砂浆生产时会加入改善砂浆可操作性的非石灰类物质,按《砌筑砂浆增塑剂》JG/T 164-2004给出了保水增稠材料的定义。
3 材料要求
3 材料要求
3.0.1 砌筑砂浆所用原材料不应对人体、生物与环境造成有害的影响,并应符合现行国家标准《建筑材料放射性核素限量》GB 6566的规定。
条文说明
3.0.1 考虑到拌制砂浆时会用到水泥、粉煤灰等可能含有放射性物质的材料,而砂浆大多用于人们从事活动的建筑物,因此要求所用原材料不得对人体、生物和环境造成有害的影响,需符合现行国家标准《建筑材料放射性核素限量》GB 6566的规定。
3.0.2 水泥宜采用通用硅酸盐水泥或砌筑水泥,且应符合现行国家标准《通用硅酸盐水泥》GB 175和《砌筑水泥》GB/T 3183的规定。水泥强度等级应根据砂浆品种及强度等级的要求进行选择。M15及以下强度等级的砌筑砂浆宜选用32.5级的通用硅酸盐水泥或砌筑水泥;M15以上强度等级的砌筑砂浆宜选用42.5级通用硅酸盐水泥。
条文说明
3.0.2 为合理利用资源、节约材料,在配制砂浆时要尽量选用低强度等级的通用硅酸盐水泥和砌筑水泥。M15及以下强度等级的砌筑砂浆宜选用32.5级的通用硅酸盐水泥或砌筑水泥。M15以上强度等级的砌筑砂浆所用水泥宜选用42.5级通用硅酸盐水泥。预拌砂浆生产厂家在生产预拌砌筑砂浆时,为保证和易性的要求会加入外加剂、粉煤灰、保水增稠材料等,因此,在不浪费水泥的前提下,也可使用强度等级为42.5级的普通硅酸盐水泥或硅酸盐水泥。为保证砂浆质量需从原材料源头进行质量控制,要求经复验合格方可使用。
3.0.3 砂宜选用中砂,并应符合现行行业标准《普通混凝土用砂、石质量及检验方法标准》JGJ 52的规定,且应全部通过4.75mm的筛孔。
条文说明
3.0.3 采用中砂拌制砂浆既能满足和易性要求,又节约水泥,因此,建议优先选用。 砂中含泥量过大,不但会增加砂浆的水泥用量,还会使砂浆的收缩值增大、耐久性降低,影响砌筑质量,需特别关注。 目前,人工砂使用的越来越广泛,人工砂中石粉含量增大会增加砂浆的收缩,使用时要符合现行行业标准《普通混凝土用砂、石质量及检验方法标准》JGJ 52的要求。
3.0.4 砌筑砂浆用石灰膏、电石膏应符合下列规定:
1 生石灰熟化成石灰膏时,应用孔径不大于3mm×3mm的网过滤,熟化时间不得少于7d;磨细生石灰粉的熟化时间不得少于2d。沉淀池中储存的石灰膏,应采取防止干燥、冻结和污染的措施。严禁使用脱水硬化的石灰膏。
2 制作电石膏的电石渣应用孔径不大于3mm×3mm的网过滤,检验时应加热至70℃后至少保持20min,并应待乙炔挥发完后再使用。
3 消石灰粉不得直接用于砌筑砂浆中。
条文说明
3.0.4 为了保证砂浆质量,需将生石灰、生石灰粉熟化成石灰膏后,方可使用。 1 为了保证石灰膏的质量,要求石灰膏需防止干燥、冻结、污染。脱水硬化的石灰膏不但起不到塑化作用,还会影响砂浆强度,故规定严禁使用。 2 为了保证电石膏的质量,要求按规定过滤后方可使用。电石膏中乙炔含量大会对人体造成伤害,因此规定检验后才可使用。 3 消石灰粉是未充分熟化的石灰,颗粒太粗,起不到改善和易性的作用。还会大幅度降低砂浆强度,因此规定不得使用。 磨细生石灰粉必须熟化成石灰膏才可使用。严寒地区,磨细生石灰直接加入砌筑砂浆中属冬期施工措施。
3.0.5 石灰膏、电石膏试配时的稠度,应为120mm±5mm。
条文说明
3.0.5 砂浆配制时,膏类(石灰膏、电石膏等)材料的含水量不计入砂浆用水量中,为了使膏类材料的含水率有一个统一的标准,根据国内外常规做法,规定其稠度一般为120mm±5mm。如稠度不在规定范围可按表1进行换算。
该系数为石灰膏不同稠度时的重量换算系数。即:当计算石灰膏用量为160kg时,而石灰膏的实际稠度为110mm,此时称量石灰膏的重量为158.4kg。
3.0.6 粉煤灰、粒化高炉矿渣粉、硅灰、天然沸石粉应分别符合国家现行标准《用于水泥和混凝土中的粉煤灰》GB/T 1596、《用于水泥和混凝土中的粒化高炉矿渣粉》GB/T 18046、《高强高性能混凝土用矿物外加剂》GB/T 18736和《天然沸石粉在混凝土和砂浆中应用技术规程》JGJ/T 112的规定。当采用其他品种矿物掺合料时,应有可靠的技术依据,并应在使用前进行试验验证。
条文说明
3.0.6 凡使用的矿物掺合料,其品质指标,需符合国家现行的有关标准要求。粉煤灰不宜采用Ⅲ级粉煤灰。高钙粉煤灰使用时,必须检验安定性指标是否合格,合格后方可使用。
3.0.7 采用保水增稠材料时,应在使用前进行试验验证,并应有完整的型式检验报告。
条文说明
3.0.7 为满足砂浆和易性的要求,在拌制砂浆时有时会掺入保水增稠材料,但目前市场上的保水增稠材料质量良莠不齐,有些保水增稠材料虽能改善和易性,却会大幅度降低砂浆强度从而影响砌体强度,因此规定使用保水增稠材料需在使用前进行试验验证,并有完整的型式检验报告。
3.0.8 外加剂应符合国家现行有关标准的规定,引气型外加剂还应有完整的型式检验报告。
条文说明
3.0.8 实践中常常在砌筑砂浆中掺入砂浆外加剂,国内外的试验数据表明有些外加剂的加入,会降低砌体破坏荷载,但随着材料技术发展,这种状况得到很大程度的改善,故规范规定,使用外加剂需在使用前进行试验验证,并有完整的型式检验报告。与原《砌筑砂浆配合比设计规程》JGJ 98-2000第3.0.7条的规定“需出具有法定检测机构出具的该产品的砌体强度型式检验报告,并经砂浆性能试验合格后,方可使用”的要求一致。
3.0.9 拌制砂浆用水应符合现行行业标准《混凝土用水标准》JGJ 63的规定。
条文说明
3.0.9 当水中含有有害物质时,将会影响水泥的正常凝结,并可能对钢筋产生锈蚀作用,故要求拌制砂浆的水,其水质需符合现行行业标准《混凝土用水标准》JGJ 63的要求。
4 技术条件
4 技术条件
4.0.1 水泥砂浆及预拌砌筑砂浆的强度等级可分为M5、M7.5、M10、M15、M20、M25、M30;水泥混合砂浆的强度等级可分为M5、M7.5、M10、M15。
条文说明
4.0.1 根据国内砌筑砂浆的应用情况,M2.5等级砂浆使用较少,而配筋砌体结构需要砂浆具有较高的强度等级,且新型砌块的出现,高强度等级砂浆的需求越来越大,因此本次修订既要考虑到与现行国家标准《砌体结构设计规范》GB 50003匹配,又要跟上砌筑砂浆的发展方向,去掉了M2.5等级砂浆,增加了M25、M30,将砌筑砂浆强度等级划分为:M5、M7.5、M10、M15、M20、M25、M30共七个等级。
4.0.2 砌筑砂浆拌合物的表观密度宜符合表4.0.2的规定。

条文说明
4.0.2 根据调查及试验结果表明,水泥混合砂浆拌合物的表观密度大于1800kg/m3的占90%以上,水泥砂浆拌合物的表观密度大于1900kg/m3的占93%以上,且考虑到过分降低砂浆密度,会对砌体力学性能产生不利影响。因此规定,水泥砂浆拌合物的表观密度不应小于1900kg/m3,水泥混合砂浆及预拌砌筑砂浆拌合物表观密度不应小于1800kg/m3。该表观密度值是对以砂为细骨料拌制的砂浆密度值的规定,不包含轻骨料砂浆。
4.0.3 砌筑砂浆的稠度、保水率、试配抗压强度应同时满足要求。
条文说明
4.0.3 明确指出所谓合格砂浆,即是砌筑砂浆的稠度、保水率、强度必须都合格。这里仅指砂浆配合比设计时,必检项目是三项,现场验收砂浆按相关评定规范执行。
4.0.4 砌筑砂浆施工时的稠度宜按表4.0.4选用。

条文说明
4.0.4 原砌筑砂浆的稠度选用,是按国家标准《砌体工程施工及验收规范》GB 50203-98表3.3.2的规定套用的,也是根据当时砌块种类确定的。本次修订根据目前常用砌块种类分为四类十种:烧结普通砖、粉煤灰砖、混凝土砖、普通混凝土小型空心砌块、灰砂砖、烧结多孔砖、烧结空心砖、轻骨料混凝土小型空心砌块、蒸压加气混凝土砌块及石砌体。石砌体主要是指由毛石等几乎不吸水的块体砌筑的砌体。
4.0.5 砌筑砂浆的保水率应符合表4.0.5的规定。

条文说明
4.0.5 保水率是衡量砂浆保水性能的指标,参考国外标准及考虑到我国目前砂浆品种日益增多,有些新品种砂浆用分层度试验来衡量砂浆各组分的稳定性或保持水分的能力已不太适宜,而且在砌筑砂浆实际试验应用中与保水率相比,分层度难操作、可复验性差且准确性低,所以本次修订中取消了分层度指标,增加了保水率要求。
4.0.6 有抗冻性要求的砌体工程,砌筑砂浆应进行冻融试验。砌筑砂浆的抗冻性应符合表4.0.6的规定,且当设计对抗冻性有明确要求时,尚应符合设计规定。

条文说明
4.0.6 受冻融影响较多的建筑部位,当设计中有冻融循环要求时,必须进行冻融试验,本条根据不同的气候区对冻融次数进行了规定,测定其重量损失率和强度损失率两项指标,参照相关标准,确定以砂浆试件质量损失率不大于5%,抗压强度损失率不大于25%的两项指标同时满足与否,来衡量该组砂浆试件抗冻性能是否合格,具体方法按现行行业标准《建筑砂浆基本性能试验方法标准》JGJ/T 70规定进行。当设计中对循环次数有明确的规定时,按设计要求进行。
4.0.7 砌筑砂浆中的水泥和石灰膏、电石膏等材料的用量可按表4.0.7选用。

注:1 水泥砂浆中的材料用量是指水泥用量。
2 水泥混合砂浆中的材料用量是指水泥和石灰膏、电石膏的材料总量。
3 预拌砌筑砂浆中的材料用量是指胶凝材料用量,包括水泥和替代水泥的粉煤灰等活性矿物掺合料。
条文说明
4.0.7 为保证水泥砂浆的保水性能,满足保水率要求,经试验和验证,提出水泥砂浆最小水泥用量不宜小于200kg/m3的要求,如果水泥用量太少,不能填充砂子孔隙,稠度、保水率将无法保证。另外从调研的400多组数据看,水泥混合砂浆中胶结料和掺合料(石灰膏、黏土膏等)总量在350kg/m3既满足和易性又满足试配强度的占98%以上。因此,作出了本条规定。考虑到预拌砌筑砂浆的耐久性及砌体强度的要求,也对其最小胶凝材料用量作出了规定。
4.0.8 砌筑砂浆中可掺入保水增稠材料、外加剂等,掺量应经试配后确定。
条文说明
4.0.8 为改善砌筑砂浆的工作性能,可在拌制砂浆中加入保水增稠材料、外加剂等,但考虑到这类材料品种多,性能、掺量相差较大,因此掺量应根据不同厂家的说明书确定,性能必须符合规范要求。
4.0.9 砌筑砂浆试配时应采用机械搅拌。搅拌时间应自开始加水算起,并应符合下列规定:
1 对水泥砂浆和水泥混合砂浆,搅拌时间不得少于120s。
2 对预拌砌筑砂浆和掺有粉煤灰、外加剂、保水增稠材料等的砂浆,搅拌时间不得少于180s。
条文说明
4.0.9 为了减少试配工作的劳动强度,克服人工拌合砂浆不易搅拌均匀的缺点,提高试验的精确性,减少误差,规定砂浆应采用机械搅拌。同时为指导合理使用设备以及使物料充分拌合,保证砂浆拌合质量,对不同砂浆品种分别规定了最少拌合时间。搅拌时间从加水算起。
5 砌筑砂浆配合比的确定与要求
5.1 现场配制砌筑砂浆的试配要求
5 砌筑砂浆配合比的确定与要求
5.1 现场配制砌筑砂浆的试配要求
5.1.1 现场配制水泥混合砂浆的试配应符合下列规定:
1 配合比应按下列步骤进行计算:
1)计算砂浆试配强度(f m,0 );
2)计算每立方米砂浆中的水泥用量(Q c );
3)计算每立方米砂浆中石灰膏用量(Q D );
4)确定每立方米砂浆中的砂用量(Q s );
5)按砂浆稠度选每立方米砂浆用水量(Q w )。
2 砂浆的试配强度应按下式计算:
f m,0 =kf 2 (5.1.1-1)
式中:f m,0 ——砂浆的试配强度(MPa),应精确至0.1MPa;
f 2 ——砂浆强度等级值(MPa),应精确至0.1MPa;
k——系数,按表5.1.1取值。

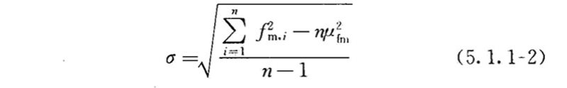
3 砂浆强度标准差的确定应符合下列规定:
1)当有统计资料时,砂浆强度标准差应按下式计算:

式中:f m,i ——统计周期内同一品种砂浆第i组试件的强度(MPa);
μ fm ——统计周期内同一品种砂浆n组试件强度的平均值(MPa);
n——统计周期内同一品种砂浆试件的总组数,n≥25。
2)当无统计资料时,砂浆强度标准差可按表5.1.1取值。
4 水泥用量的计算应符合下列规定:
1)每立方米砂浆中的水泥用量,应按下式计算:
Q c =1000(f m,0 -β)/(α·f ce ) (5.1.1-3)
式中:Q c ——每立方米砂浆的水泥用量(kg),应精确至1kg;
f ce ——水泥的实测强度(MPa),应精确至0.1MPa;
α、β——砂浆的特征系数,其中α取3.03,β取-15.09。
注:各地区也可用本地区试验资料确定α、β值,统计用的试验组数不得少于30组。
2)在无法取得水泥的实测强度值时,可按下式计算:
f ce =γ c ·f ce,k (5.1.1-4)
式中:f ce,k ——水泥强度等级值(MPa);
γ c ——水泥强度等级值的富余系数,宜按实际统计资料确定;无统计资料时可取1.0。
5 石灰膏用量应按下式计算:
Q D =Q A -Q c (5.1.1-5)
式中:Q D ——每立方米砂浆的石灰膏用量(kg),应精确至1kg;石灰膏使用时的稠度宜为120mm±5mm;
Q c ——每立方米砂浆的水泥用量(kg),应精确至1kg;
Q A ——每立方米砂浆中水泥和石灰膏总量,应精确至1kg,可为350kg。
6 每立方米砂浆中的砂用量,应按干燥状态(含水率小于0.5%)的堆积密度值作为计算值(kg)。
7 每立方米砂浆中的用水量,可根据砂浆稠度等要求选用210kg~310kg。
注:1 混合砂浆中的用水量,不包括石灰膏中的水;
2 当采用细砂或粗砂时,用水量分别取上限或下限;
3 稠度小于70mm时,用水量可小于下限;
4 施工现场气候炎热或干燥季节,可酌量增加用水量。
条文说明
5.1.1 现场配制水泥混合砂浆的试配应符合下列要求: 1 规定了水泥混合砂浆配合比的计算步骤,原行业标准《建筑砂浆力学性能试验方法》JGJ 70-90规定砂浆强度试验底模为普通黏土砖,而现行行业标准JGJ/T 70-2009标准规定砂浆强度试验底模为钢底模,因将钢底模实测值乘以系数换算成砖底模砂浆强度值,砂浆强度实际还是按砖底模确定的,故配合比计算步骤与原规程基本一致。 2 参照混凝土生产质量水平的划分,对一般质量的混凝土强度不低于要求强度等级的百分率应大于85%。鉴于砌体结构的特殊性,即砌体是多种材料的复合体,砌筑砂浆仅是其中一种材料,它的强度对砌体强度(抗压、轴压、弯压、抗剪)的影响程度为:砌筑砂浆抗压强度降低10%,各种砌体强度值降低可不超过5%。可以认为,砌筑砂浆生产水平为一般时,其强度不低于要求强度等级的百分率(统计概率)可定为75%~80%。 根据现行国家标准《建筑结构可靠度设计统一标准》GB 50068规定,“材料强度的概率分布宜采用正态分布或对数正态分布”。在砌筑砂浆强度的概率分布按正态分布时,标准差为0.25倍砌筑砂浆强度等级值的条件下,当砌筑砂浆试配强度fm,0为1.20f2时,其强度不低于要求强度等级的百分率为78.8%,当标准差为0.30倍砌筑砂浆强度等级值的条件下,砌筑砂浆试配强度fm,0为1.25f2时,其强度不低于要求强度等级的百分率为79.7%。 由于砌筑砂浆立方体抗压强度试验方法的改变,砂浆试模采用钢底模代替砖底模,试块强度的变异系数将减少。因此砌筑砂浆试配强度公式中的系数k的取值是合理的。 3 规定了砂浆现场强度标准差的确定方法。计算试配强度时,所需的标准差σ是根据现场多年来的统计资料,汇总分析而得,凡施工水平优良的取Cv值为0.20;施工水平一般的Cv值为0.25;施工水平较差的取Cv值为0.30。通过计算制成表5.1.1。该表仍然是根据多年来砖底模的试验数据统计得来的,改作钢底模后,离散性明显减少,变异系数及标准偏差也明显降低,但考虑到这次修订钢底模数据不多,因此仍采用原标准偏差,这样计算出的试配强度偏高,工程质量保证率提高,待积累一定数据后再作修改。 4 规定了水泥用量的计算方法。原行业标准《砌筑砂浆配合比设计规程》JGJ 98-2000目前已应用近十年,经过调研按JGJ 98-2000中公式(5.1.4-1)对水泥用量进行确定,能满足试配的要求,本次修订又收集了山东、陕西、福建、浙江、上海等地区398组试验验证数据,进行数理统计分析,发现水泥混合砂浆的强度与水泥用量是线性显著相关的,且α取3.03,β取-15.09也是适用的。 5 水泥混合砂浆石灰膏用量的确定,仍是依据多年实践,基本上采用胶结料和石灰膏的总量,为每立方米砂浆350kg。 6 砂浆中的水、胶结料和掺合料是用来填充砂子的空隙,因此,1m3的砂子就构成了1m3的砂浆。1m3干燥状态的砂子的堆积密度值,也就是1m3砂浆所用的干砂用量。砂子干燥状态体积属恒定,当砂子含水5%~7%时,体积最大可膨胀30%左右,当砂子含水处于饱和状态,体积比干燥状态要减少10%左右。故必须按干燥状态为基准计算。 7 210kg~310kg用水量是砂浆稠度为70mm~90mm、中砂时的用水量参考范围。该用水量不包括石灰膏(电石膏)中的水;当采用细砂或粗砂时,用水量分别取上限或下限;稠度小于70mm时,用水量可小于下限;施工现场气候炎热或干燥季节,可酌情增加用水量。
5.1.2 现场配制水泥砂浆的试配应符合下列规定:
1 水泥砂浆的材料用量可按表5.1.2-1选用。

注:1 M15及M15以下强度等级水泥砂浆,水泥强度等级为32.5级;M15以上强度等级水泥砂浆,水泥强度等级为42.5级;
2 当采用细砂或粗砂时,用水量分别取上限或下限;
3 稠度小于70mm时,用水量可小于下限;
4 施工现场气候炎热或干燥季节,可酌量增加用水量;
5 试配强度应按本规程式(5.1.1-1)计算。
2 水泥粉煤灰砂浆材料用量可按表5.1.2-2选用。

注:1 表中水泥强度等级为32.5级;
2 当采用细砂或粗砂时,用水量分别取上限或下限;
3 稠度小于70mm时,用水量可小于下限;
4 施工现场气候炎热或干燥季节,可酌量增加用水量;
5 试配强度应按本规程式(5.1.1-1)计算。
条文说明
5.1.2 现场配制水泥砂浆的试配应符合下列规定: 1 行业标准《砌筑砂浆配合比设计规程》JGJ 98-2000修订时考虑到国内水泥的实际情况,以及参照国外先进标准将水泥砂浆配合比改为查表法,保证了砂浆的工作性能,根据近十年的使用情况,按直接查表确定水泥砂浆配合比,是合理可行的。但由于水泥新标准GB 175-2007的执行,使原规程表5.2.1的水泥用量不尽合理,本次修订编制组进行了大量的验证试验,提出了新的水泥砂浆材料用量表,表中M15及M15以下强度等级水泥砂浆所用水泥等级为32.5级;M15以上强度等级水泥砂浆,水泥强度等级为42.5级。该表为单纯使用水泥为胶凝材料的配合比材料用量表,当还掺入粉煤灰等其他活性混合材时可按表5.1.2-2选用。 表中每立方米砂浆用水量范围,仅供参考。仍以达到稠度要求为根据。 当采用细砂或粗砂时,用水量分别取上限或下限;稠度小于70mm时,用水量可小于下限;施工现场气候炎热或干燥季节,可酌情增加用水量。 2 以表格的形式给出了不同等级水泥粉煤灰砂浆配合比的参考用量。 砂浆中掺入粉煤灰后,其早期强度会有所降低,因此水泥与粉煤灰胶凝材料总量比表5.1.2-1中水泥用量略高。考虑到水泥中特别是32.5级水泥中会掺入较大量的混合材,为保证砂浆耐久性,规定粉煤灰掺量不宜超过胶凝材料总量的25%。当掺入矿渣粉等其他活性混合材时,可参照表5.1.2-2选用。
5.2 预拌砌筑砂浆的试配要求
5.2 预拌砌筑砂浆的试配要求
5.2.1 预拌砌筑砂浆应符合下列规定:
1 在确定湿拌砌筑砂浆稠度时应考虑砂浆在运输和储存过程中的稠度损失。
2 湿拌砌筑砂浆应根据凝结时间要求确定外加剂掺量。
3 干混砌筑砂浆应明确拌制时的加水量范围。
4 预拌砌筑砂浆的搅拌、运输、储存等应符合现行行业标准《预拌砂浆》JG/T 230的规定。
5 预拌砌筑砂浆性能应符合现行行业标准《预拌砂浆》JG/T 230的规定。
条文说明
5.2.1 目前预拌砂浆在我国大中城市逐步推广应用,为保证预拌砌筑砂浆质量、规范预拌砌筑砂浆的配合比设计,本规程对预拌砌筑砂浆配合比设计作出了规定,并提出了性能要求。
1 因在运输过程中湿拌砌筑砂浆稠度会有所降低,为保证施工性能,生产时应对其损失有充分考虑。
2 为保证不同的湿拌砌筑砂浆凝结时间的需要,应根据要求确定外加剂掺量。
3 不同材料的需水量不同,因此,生产厂家应根据配制结果,明确干混砌筑砂浆的加水量范围,以保证其施工性能。
4 对预拌砌筑砂浆的搅拌、运输、储存提出要求。
5 根据相关标准对干混砌筑砂浆、湿拌砌筑砂浆性能进行了规定,预拌砌筑砂浆性能应按表2确定。 
5.2.2 预拌砌筑砂浆的试配应符合下列规定:
1 预拌砌筑砂浆生产前应进行试配,试配强度应按本规程式(5.1.1-1)计算确定,试配时稠度取70mm~80mm。
2 预拌砌筑砂浆中可掺入保水增稠材料、外加剂等,掺量应经试配后确定 。
条文说明
5.2.2 对预拌砌筑砂浆配制时的试配强度等作出了原则性规定。
5.3 砌筑砂浆配合比试配、调整与确定
5.3 砌筑砂浆配合比试配 、 调整与确定
5.3.1 砌筑砂浆试配时应考虑工程实际要求,搅拌应符合本规程第4.0.9条的规定。
条文说明
5.3.1 强调实验室试配与现场的一致性。
5.3.2 按计算或查表所得配合比进行试拌时,应按现行行业标准《建筑砂浆基本性能试验方法标准》JGJ/T 70测定砌筑砂浆拌合物的稠度和保水率。当稠度和保水率不能满足要求时,应调整材料用量,直到符合要求为止,然后确定为试配时的砂浆基准配合比。
条文说明
5.3.2 基准配合比是计算或查表选用的配合比,是指经试拌后,稠度、保水率已合格的配合比。
5.3.3 试配时至少应采用三个不同的配合比,其中一个配合比应为按本规程得出的基准配合比,其余两个配合比的水泥用量应按基准配合比分别增加及减少10%。在保证稠度、保水率合格的条件下,可将用水量、石灰膏、保水增稠材料或粉煤灰等活性掺合料用量作相应调整。
条文说明
5.3.3 为了满足砂浆试配强度的要求,所以使用至少三个水泥用量,除基准配合比外,另外增、减10%的水泥用量,制作试件,测定其强度。因现行行业标准《建筑砂浆基本性能试验方法标准》JGJ/T 70-2009将砂浆抗压强度试件底模改为钢底模,砂浆稠度对强度的影响很大,稠度大,用水量多,强度低,因此,在满足施工要求的情况下,试配时稠度尽可能取下限,这样得到的试块强度与砖底模更接近。
5.3.4 砌筑砂浆试配时稠度应满足施工要求,并应按现行行业标准《建筑砂浆基本性能试验方法标准》JGJ/T 70分别测定不同配合比砂浆的表观密度及强度;并应选定符合试配强度及和易性要求、水泥用量最低的配合比作为砂浆的试配配合比。
条文说明
5.3.4 因强度试验所用底模改为钢底模,为减少两种底模材料作出的强度差值,试配时稠度尽量取最小值,且应选择符合强度要求的,并且水泥用量最低的砂浆配合比。
5.3.5 砌筑砂浆试配配合比尚应按下列步骤进行校正:
1 应根据本规程第5.3.4条确定的砂浆配合比材料用量,按下式计算砂浆的理论表观密度值:
ρ t =Q c +Q D +Q s +Q w (5.3.5-1)
式中:ρ t ——砂浆的理论表观密度值(kg/m 3 ),应精确至10kg/m 3 。
2 应按下式计算砂浆配合比校正系数δ:
δ=ρ c /ρ t (5.3.5-2)
式中:ρ c ——砂浆的实测表观密度值(kg/m 3 ),应精确至10kg/m 3 。
3 当砂浆的实测表观密度值与理论表观密度值之差的绝对值不超过理论值的2%时,可将按本规程第5.3.4条得出的试配配合比确定为砂浆设计配合比;当超过2%时,应将试配配合比中每项材料用量均乘以校正系数(δ)后,确定为砂浆设计配合比。
条文说明
5.3.5 规定了根据砂浆表观密度实测值及理论值校正试配砂浆配合比的步骤。
5.3.6 预拌砌筑砂浆生产前应进行试配、调整与确定,并应符合现行行业标准《预拌砂浆》JG/T 230的规定。
条文说明
5.3.6 强调了预拌砌筑砂浆生产前也应该经过配合比试配、调整与确定,试配时稠度及性能应按现行行业标准《预拌砂浆》JG/T 230的要求进行。
本规程用词说明
本规程用词说明
1 为便于在执行本规程条文时区别对待,对于要求严格程度不同的用词说明如下:
1)表示很严格,非这样做不可的:
正面词采用“必须”;反面词采用“严禁”。
2)表示严格,在正常情况下均应这样做的:
正面词采用“应”;反面词采用“不应”或“不得”。
3)表示允许稍有选择,在条件许可时,首先应这样做的:
正面词采用“宜”;反面词采用“不宜”。
4)表示有选择,在一定条件下可以这样做的,采用“可”。
2 条文中指明应按其他有关标准执行的写法为:“应符合……的规定”或“应按……执行”。
引用标准名录
引用标准名录
1 《通用硅酸盐水泥》GB 175
2 《用于水泥和混凝土中的粉煤灰》GB/T 1596
3 《建筑材料放射性核素限量》GB 6566
4 《砌筑水泥》GB/T 3183
5 《用于水泥和混凝土中的粒化高炉矿渣粉》GB/T 18046
6 《高强高性能混凝土用矿物外加剂》GB/T 18736
7 《普通混凝土用砂、石质量及检验方法标准》JCJ 52
8 《混凝土用水标准》JGJ 63
9 《建筑砂浆基本性能试验方法标准》JGJ/T 70
10 《天然沸石粉在混凝土和砂浆中应用技术规程》JGJ/T 112
11 《预拌砂浆》JG/T 230
