Appearance
《缓粘结预应力混凝土结构技术规程[附条文说明]》JGJ 387-2017
🗓️ 住房和城乡建设部 实施时间:2017-09-01
前言
中华人民共和国行业标准
缓粘结预应力混凝土结构技术规程
Technical specification for concrete structures prestressed with retard-bonded tendons
JGJ 387-2017
批准部门:中华人民共和国住房和城乡建设部
施行日期:2017年9月1日
中华人民共和国住房和城乡建设部公告
第 1469号
住房城乡建设部关于发布行业标准《缓粘结预应力混凝土结构技术规程》的公告
现批准《缓粘结预应力混凝土结构技术规程》为行业标准,编号为JGJ 387-2017,自2017年9月1日起实施。其中,第4.1.3条为强制性条文,必须严格执行。
本规程由我部标准定额研究所组织中国建筑工业出版社出版发行。
中华人民共和国住房和城乡建设部
2017年2月20日

前言
根据原建设部《关于印发〈2007年工程建设标准规范制订、修订计划(第一批)〉的通知》(建标[2007] 125号)的要求,规程编制组经广泛调查研究,认真总结工程实践经验,参考有关国际标准和国外先进标准,并在广泛征求意见的基础上,编制了本规程。
本规程的主要技术内容是:1.总则;2.术语和符号;3.材料及锚具系统;4.基本规定;5.构件设计;6.构造规定;7.施工及验收。
本规程以黑体字标志的条文为强制性条文,必须严格执行。
本规程由住房和城乡建设部负责管理和对强制性条文的解释,由中冶建筑研究总院有限公司负责具体技术内容的解释。执行过程中如有意见或建议,请寄送中冶建筑研究总院有限公司(地址:北京市海淀区西土城路33号,邮编:100088)。
本规程主编单位:中冶建筑研究总院有限公司
安徽华力建设集团有限公司
本规程参编单位:西南建工集团有限公司
中国建筑科学研究院
大连理工大学
同济大学
兰州交通大学
东南大学
北京市建筑设计研究院
北京市建筑工程研究院有限责任公司
北京中建建筑科学研究院有限公司
北京中筑天和建筑设计有限公司
中国京冶工程技术有限公司
上海同吉建筑工程设计有限公司
上海建科预应力技术工程有限公司
中交天津港湾工程研究院有限公司
本规程主要起草人员:尚仁杰 王坤 吴向东 谢应鹏 吴银国 郭朝友 李东彬 宋玉普 熊学玉 王起才 李金根 何忠于 李晨光 马敬友 喻远鹏 赵文海 汪继恕 刘文华 忻鼎康
本规程主要审查人员:任庆英 陶学康 郑文忠 刘琼祥 秦士洪 李延和 金凌志 朱万旭 朱龙 李欣 朱武卫
条文说明
中华人民共和国行业标准 缓粘结预应力混凝土结构技术规程 JGJ387-2017 条文说明 编制说明 《缓粘结预应力混凝土结构技术规程》JGJ387-2017,经住房和城乡建设部2017年2月20日以第1469号公告批准、发布。 本规程编制过程中,编制组进行了广泛的调查研究,总结了近几年我国缓粘结预应力混凝土结构技术的实践经验,同时参考了国外先进技术法规、技术标准,吸取了国内外最新研究成果。 为便于广大设计、施工、科研、学校等单位有关人员在使用本规程时能正确理解和执行条文规定,《缓粘结预应力混凝土结构技术规程》编制组按章、节、条顺序编制了本规程的条文说明,对条文规定的目的、依据以及执行中需注意的有关事项进行了说明。但是,本条文说明不具备与规程正文同等的法律效力,仅供使用者作为理解和把握规程规定的参考。
1 总则
1 总 则
1.0.1 为了在缓粘结预应力混凝土结构的设计、施工及验收中贯彻执行国家的技术政策,做到安全适用、技术先进、经济合理和确保质量,制定本规程。
条文说明
1.0.1缓粘结预应力技术是在有粘结和无粘结之后发展起来的一种新的预应力技术,是对有粘结和无粘结预应力技术的补充。缓粘结预应力具有无粘结预应力施工方便、构造简单的优点,也具有有粘结预应力混凝土结构延性好、抗震性能优等特点,同时,可避免有粘结预应力压力灌浆不密实引起的耐久性问题。日本和我国都在上世纪末开始进行缓粘结预应力技术研究和应用,经过10多年的技术研究和最近5年~6年的工程实践,我国缓粘结预应力技术已经在几十项工程中应用。编制本规程,一方面为了确保缓粘结预应力技术工程应用的工程质量,另一方面为了加快缓粘结预应力技术的推广应用。
1.0.2 本规程适用于建筑工程中采用缓粘结预应力混凝土结构的设计、施工及验收。
条文说明
1.0.2缓粘结预应力钢绞线由预应力钢绞线、外包护套和缓粘结剂组成,缓凝剂可分为两类,一类是环氧树脂类,另一类是缓凝砂浆类。环氧树脂类已经形成了缓粘结预应力钢绞线的生产线,缓凝砂浆类缓粘结钢绞线目前还没有实现产业化,因此,本规程没有涉及缓凝砂浆类的设计和施工。 缓粘结剂前期相当于无粘结的防腐油脂,具有一定流动性及对钢材良好的附着性,经挤压涂包工艺将预应力钢绞线及外包护套内的空隙填充并紧密封裹,随时间推移胶凝材料逐渐固化,与预应力钢绞线产生粘结力。缓粘结预应力筋与非预应力筋一起布置,然后浇筑混凝土,混凝土达到规定强度后进行预应力筋张拉,张拉后缓粘结剂在规定时间固化,当专用粘合剂完全固化后,通过凹凸不平的横肋与周围混凝土咬合,缓粘结预应力混凝土结构便具有有粘结预应力混凝土结构的力学效果,因此,缓粘结预应力技术主要应用在后张预应力混凝土结构中。本规程适合于工业与民用建筑和一般构筑物中采用的后张缓粘结预应力混凝土结构的设计、施工及验收。当在混凝土桥梁中应用时,可参考本规程。
1.0.3 缓粘结预应力混凝土结构的设计、施工及验收,除应符合本规程外,尚应符合国家现行有关标准的规定。
条文说明
1.0.3缓粘结预应力混凝土结构是预应力混凝土结构中的预应力筋采用缓粘结预应力筋,因此,其设计应符合现行国家标准《混凝土结构设计规范》GB50010的所有规定,只是缓粘结预应力筋的一些参数与有粘结预应力筋和无粘结预应力筋有所不同。另外,缓粘结预应力混凝土结构的设计应符合国家现行标准《建筑结构可靠度设计统一标准》GB50068、《建筑抗震设计规范》GB50011和《预应力混凝土结构抗震设计规程》JGJ140等的相关规定,施工、验收应符合现行国家标准《混凝土结构工程施工质量验收规范》GB50204的规定,本规程主要规定了缓粘结预应力混凝土结构特殊的要求。
2 术语和符号
2.1 术语
2 术语和符号
条文说明
本节根据现行国家标准《工程结构设计基本术语标准》GB/T50083规定了缓粘结预应力混凝土结构设计、施工中的术语、符号及其意义。由于张拉适用期和固化时间都与环境温度有关,因此,规定了室温下的标准张拉适用期和标准固化时间,本规程所说的室温是指25℃。目前,不同温度下张拉适用期和固化时间的影响试验正在进行,将来的缓粘结预应力钢绞线产品会给出不同温度下的张拉适用期和固化时间,工程中应该考虑环境温度的影响。
2.1 术 语
2.1.1 缓粘结预应力 retard-bonded prestress
通过缓粘结剂的固化实现预应力筋与混凝土之间从无粘结逐渐过渡到有粘结的一种预应力形式。
条文说明
2.1.1预应力混凝土结构中预应力筋与混凝土之间的粘结方式可分为二种:有粘结、无粘结和缓粘结。缓粘结预应力与无粘结预应力施工方法基本相同,在张拉适用期内预应力筋与混凝土之间能相对滑动,无粘结;结构投入使用时,缓粘结剂已经完全固化,预应力筋与混凝土之间不能滑动,为有粘结。因此,缓粘结是预应力筋与混凝土之间的从无粘结逐渐产生粘结到有粘结的一种粘结方式。
2.1.2 缓粘结预应力钢绞线 retard-bonded prestressing steel strand
用缓粘结剂涂敷和高密度聚乙烯护套包裹的预应力钢绞线。
2.1.3 护套 sheath
包裹在预应力钢绞线和缓粘结剂外的高密度聚乙烯套管。
2.1.4 横肋 transverse rib
缓粘结预应力钢绞线护套上与钢绞线轴线方向垂直的肋。
2.1.5 缓粘结预应力钢绞线专用粘合剂 retard-bonded adhesive
涂敷在预应力钢绞线外并包裹护套,按预期时间逐渐固化的胶凝材料,简称缓粘结剂。
2.1.6 张拉适用期 tensioning period limit
缓粘结剂从配制到仍适合于预应力钢绞线张拉的时间段。
2.1.7 标准张拉适用期 standard tensioning period limit
缓粘结剂在室温25℃下的张拉适用期称为标准张拉适用期。
2.1.8 固化时间 curing time
缓粘结剂从配制经固化到规定强度的时间。
2.1.9 标准固化时间 standard curing time
缓粘结剂在室温25℃下的固化时间称为标准固化时间。
2.1.10 粘滞力 viscous friction
缓粘结剂黏性引起的预应力筋与护套间的滑动阻力。
条文说明
2.1.10粘滞力:预应力钢绞线浸泡在缓粘结剂中,缓粘结剂外是聚乙烯护套,护套外是混凝土。实验表明,缓粘结剂近似为牛顿黏性流体,钢绞线在护套内滑动产生剪切应力τ为: 
式中:
——剪应变速率; υ——钢绞线与护套之间的滑动速度; h——计算点的缓粘结剂层的厚度。 可以看出,剪切应力与滑动速度成正比,而与缓粘结剂厚度成反比,剪切应力引起的滑动摩擦力为粘滞力。 温度降低,黏度η增大,粘滞力增大;张拉速度υ快,粘滞力增大;缓粘结剂层厚度h减小,粘滞力增大。一旦停止张拉,剪切速度υ降为0,粘滞力就会消失,预应力筋内的应力会进行调整,因此,可以通过持荷超张拉减小粘滞力的影响。
2.1.11 缓粘结预应力混凝土结构 retard-bonded prestressed concrete structure
配置缓粘结预应力钢绞线并经过张拉建立预加应力的混凝土结构。
2.2 符号
2.2 符 号
条文说明
符号保持与现行国家标准《混凝土结构设计规范》GB50010一致,新增了与缓粘结预应力相关的符号,缓粘结预应力束等效孔道直径dp和考虑缓粘结剂固化影响的预应力筋等效折减系数ap。
2.2.1 材料性能
E c ——混凝土弹性模量;
E s ——钢筋弹性模量;
E p ——预应力筋弹性模量;
f c ——混凝土轴心抗压强度设计值;
f tk 、f t ——混凝土轴心抗拉强度标准值、设计值;
f ptk ——缓粘结预应力筋极限强度标准值;
f py 、f' py ——缓粘结预应力筋抗拉、抗压强度设计值;
f y 、f' y ——非预应力筋抗拉、抗压强度设计值;
f yv ——横向钢筋的抗拉强度设计值。
2.2.2 作用和作用效应
M——弯矩设计值;
M cr ——受弯构件正截面开裂弯矩值;
M k 、M q ——按荷载效应的标准组合、准永久组合计算的弯矩值;
M u ——构件正截面受弯承载力设计值;
N p ——预应力混凝土构件的预加力;
N pO ——预应力构件混凝土法向预应力等于零时的预加力;
V——剪力设计值;
σ con ——缓粘结预应力筋的张拉控制应力;
σ pe ——缓粘结预应力筋的有效预应力;
σ pu ——在正截面承载力计算中缓粘结剂固化前缓粘结预应力筋的应力设计值;
σ l 、σ' l ——受拉区、受压区缓粘结预应力筋在相应阶段的预应力损失值;
ω max ——按荷载效应的标准组合并考虑长期作用影响计算的最大裂缝宽度。
2.2.3 几何参数
A——构件截面面积;
A n ——净截面面积;
A p 、A' p ——受拉区、受压区缓粘结预应力筋截面面积;
A s 、A' s ——受拉区、受压区非预应力钢筋截面面积;
B——受弯构件的截面刚度;
b——矩形截面宽度,T形、I形截面的腹板宽度;
b f 、b' f ——T形或I形截面受拉区、受压区的翼缘宽度;
d p ——缓粘结预应力束等效孔道直径;
h——截面高度;
h O ——截面有效高度;
h f 、h' f ——T形或I形截面受拉区、受压区的翼缘高度;
h p ——缓粘结预应力筋合力点至截面受压边缘的距离;
h s ——纵向受拉非预应力钢筋合力点至截面受压边缘的距离;
I O ——换算截面惯性矩;
W——截面受拉边缘的弹性抵抗矩。
2.2.4 计算系数及其他
a E ——钢筋弹性模量与混凝土弹性模量之比;
a p ——考虑缓粘结剂固化影响的预应力筋等效折减系数;
ε apu ——预应力筋-锚具组装件静载试验达到实测极限拉力时的总应变;
γ——混凝土构件的截面抵抗矩塑性影响系数;
η a ——预应力筋-锚具组装件静载试验测得的锚具效率系数;
k——考虑缓粘结预应力筋每米长度局部偏差的摩擦系数;
μ——摩擦系数;
θ——考虑荷载长期作用对挠度增大的影响系数,预应力筋从张拉端到计算截面曲线各部分切线的夹角之和;
ξ p ——综合配筋特征值。
3 材料及锚具系统
3.1 混凝土及普通钢筋
3 材料及锚具系统
3.1 混凝土及普通钢筋
3.1.1 缓粘结预应力混凝土结构的混凝土强度等级不应低于C30,其中梁、柱不宜低于C40,混凝土的力学性能指标应符合现行国家标准《混凝土结构设计规范》GB 50010的规定。
条文说明
3.1.1由于缓粘结预应力钢绞线采用了高强度低松弛预应力钢绞线,应采用较高强度等级的混凝土,才可充分发挥高强度预应力钢绞线的作用,达到更经济的目的。参考国内外的应用经验,规定混凝土强度等级不应低于C30。对于预应力混凝土梁、柱,由于构件平均压应力和锚固区应力较高,为了减小截面尺寸,一般采用C40或以上强度等级的混凝土。结构中局部采用预应力混凝土构件时,混凝土强度等级要求可适当降低。
3.1.2 缓粘结预应力混凝土结构中纵向普通钢筋宜采用HRB400、HRB500钢筋,其中梁、柱纵向受力钢筋应采用HRB400、HRB500钢筋,箍筋宜采用HRB400、HRB500钢筋,普通钢筋的力学性能指标应符合现行国家标准《混凝土结构设计规范》GB 50010的规定。
条文说明
3.1.2本条参考《混凝土结构设计规范》GB50010-2010的相关规定。根据“四节一环保”的要求,提倡采用高强、高性能钢筋,这些钢筋已经广泛供应。本条根据混凝土结构受力性能要求,规定了各种牌号钢筋的选用原则。 在预应力混凝土构件中,由于受压区高度是按预应力筋的条件屈服强度确定的,预应力筋达到条件屈服强度时钢筋早已达到屈服,因此,为了充分发挥钢筋强度并与预应力筋尽量协调,宜采用强度较高的普通钢筋,普通钢筋宜采用HRB400、HRB500钢筋。
3.2 缓粘结预应力筋
3.2 缓粘结预应力筋
3.2.1 本规程所采用的缓粘结预应力筋均指缓粘结预应力钢绞线,其质量要求应符合现行行业标准《缓粘结预应力钢绞线》JG/T 369的规定,当预应力筋布置在混凝土截面内时应采用带横肋缓粘结预应力钢绞线,当作为体外预应力束时可采用无横肋缓粘结预应力钢绞线。
3.2.2 制作缓粘结预应力筋的钢绞线应符合现行国家标准《预应力混凝土用钢绞线》GB/T 5224的规定,钢绞线可采用1×7规格,其主要力学性能及应力松弛性能应符合表3.2.2-1和表3.2.2-2的规定,弹性模量E p 宜取1.95×10 5 N/mm 2 ,必要时可采用实测值。
3.2.3 制作缓粘结预应力筋的钢绞线不应有死弯,钢绞线中的每根钢丝应是通长的。
3.2.4 缓粘结预应力筋外包护套材料宜采用挤塑型聚乙烯树脂,严禁使用聚氯乙烯,其性能指标应符合现行国家标准《聚乙烯(PE)树脂》GB/T 11115的规定。


3.2.5 缓粘结预应力筋中的有机类缓粘结剂初始黏度、固化后力学性能及耐久性应符合现行行业标准《缓粘结预应力钢绞线专用粘合剂》JG/T 370的规定。
条文说明
3.2.1~3.2.5本规程所指的缓粘结预应力筋均指缓粘结预应力钢绞线,在与非预应力筋或普通钢筋相对应时一般用,“缓粘结预应力筋”表达。缓粘结预应力钢绞线由钢绞线、缓粘结剂和外包高密度聚乙烯护套组成,缓粘结剂填充在外包套管和钢绞线之间,外包护套上有凸出的横肋。缓粘结预应力钢绞线在工程施工的前期像无粘结预应力筋一样布筋、张拉,缓粘结剂在预应力筋张拉后一段时间达到规定强度,预应力钢绞线可以和粘结剂紧密粘结,钢绞线与混凝土之间通过横肋的咬合作用产生粘结锚固,因此,在混凝土截面内采用缓粘结预应力筋时应采用带肋缓粘结预应力钢绞线,当用作体外预应力束时,表面可以无横肋,只是为了提高钢绞线耐久性。体外预应力混凝土结构设计和施工可参考现行行业标准《建筑结构体外预应力加固技术规程》JGJ/T279和《无粘结预应力混凝土结构技术规程》JGJ92的规定。 由于聚氯乙烯在长期使用过程中氯离子会析出,对周围的材料具有腐蚀作用,因此,严禁使用聚氯乙烯作为外包护套的材料。过去聚乙烯树脂分为《低密度聚乙烯树脂》GB11115-1989和《高密度聚乙烯树脂》GB11116-1989两个标准,缓粘结预应力钢绞线采用高密度聚乙烯树脂做外包护套,在现行行业标准《缓粘结预应力钢绞线》JG/T369中规定应满足过去两项标准,现在,两项标准合为《聚乙烯(PE)树脂》GB/T11115一项标准,因此,应符合该标准规定。 目前,后张预应力混凝土结构中使用最广泛的是1×7规格、公称直径15.20mm钢绞线,而且缓粘结预应力筋也都采用了这一规格的预应力钢绞线,《缓粘结预应力钢绞线》JG/T369-2012产品标准也只给出了这一规格的产品,因此,本规程也以这一规格钢绞线为准编写。近年来,强度标准值达1960MPa的预应力钢绞线已经批量生产和供应,现行国家标准《预应力混凝土用钢绞线》GB/T5224也给出了这一强度级别的力学性能,因此,在本规程中按其规定给出了该等级的钢绞线。另外,经供需双方同意,也可采用表中所列规格及强度等级别以外的预应力钢绞线制作缓粘结预应力筋。 缓粘结预应力筋中的有机类缓粘结剂初始黏度、固化后力学性能及耐久性应符合现行行业标准《缓粘结预应力钢绞线专用粘合剂》JG/T370的规定,是因为目前能够产业化的是符合该标准的专用粘合剂,缓凝砂浆也可以用于缓粘结预应力技术,但是,暂时还没有产业化,没有相应的参数。
3.3 锚具系统
3.3 锚具系统
3.3.1 缓粘结预应力筋采用的锚具、连接器应满足国家现行标准《预应力筋用锚具、夹具和连接器》GB/T 14370和《预应力筋用锚具、夹具和连接器应用技术规程》JGJ 85的规定。
3.3.2 缓粘结预应力筋宜采用单孔锚具锚固,张拉端宜采用圆套筒式夹片锚具,埋入式固定端宜采用挤压锚具;当分段缓粘结预应力筋需要连接时,可采用连接器连接。锚具、连接器性能应符合本规程第3.3.3条及第3.3.4条的要求。
条文说明
3.3.2目前,缓粘结预应力筋都采用直径15.20mm预应力钢绞线制造,单根张拉、单根锚固较为方便。张拉端采用夹片锚,埋入式固定端采用挤压锚,选用锚具或连接器时,可根据工程环境条件、结构的要求、预应力筋的品种、产品的技术性能、张拉施工方法和经济合理等因素进行综合分析比较后确定。当采用成束布置时,端部也应该分散开,采用单孔锚具锚固。由于群锚尺寸大,配套螺旋筋直径大,在梁柱节点不容易布置,因此,不建议采用群锚张拉锚固。
3.3.3 缓粘结预应力钢绞线-锚具组装件的静载锚固性能应符合下列公式规定:

式中:η a ——预应力钢绞线-锚具组装件静载试验测得的锚具效率系数,可按本规程第3.3.4条的公式计算;
ε apu ——预应力钢绞线-锚具组装件静载试验达到实测极限拉力时的总应变。
3.3.4 缓粘结预应力钢绞线-锚具组装件的锚具效率系数可按下式计算:

式中:F apu ——单根预应力筋-锚具组装件的实测极限拉力(N);
F pm ——实测单根预应力筋破断荷载平均值(N)。
3.3.5 缓粘结预应力筋-锚具组装件的疲劳锚固性能,应满足试验应力上限取预应力筋极限强度标准值f ptk 的65%、疲劳应力幅度不小于80N/mm 2 、循环次数为200万次要求的疲劳性能试验。当工程有特殊要求时,试验应力上限及疲劳应力幅值可根据工程需要确定。
条文说明
3.3.3~3.3.5预应力筋锚具组装件的静载和疲劳锚固性能,是根据现行国家标准《预应力筋用锚具、夹具和连接器》GB/T14370对锚具的锚固性能要求制定的。对于主要承受较大动荷载的预应力混凝土结构,要求所选锚具能承受的应力幅度可适当增加,具体数值可由工程设计单位根据需要确定。
4 基本规定
4.1 一般规定
4 基本规定
4.1 一般规定
4.1.1 混凝土梁、板、柱、墙等均可采用缓粘结预应力混凝土结构,当梁柱节点钢筋密集,采用预应力混凝土结构群锚布置困难时,宜优先采用缓粘结预应力混凝土结构。
条文说明
4.1.1缓粘结预应力技术是在有粘结和无粘结基础上产生的,原来可以采用有粘结或无粘结预应力技术的混凝土结构,均可采用缓粘结预应力技术。梁柱节点钢筋密集时,采用有粘结预应力技术群锚布置会非常困难,由于缓粘结预应力钢绞线采用了单孔锚固,锚具尺寸大大缩小,采用缓粘结预应力技术会很好解决这一问题。
4.1.2 缓粘结预应力混凝土结构设计应符合现行国家标准《混凝土结构设计规范》GB 50010的规定;结构上的直接作用应根据现行国家标准《建筑结构荷载规范》GB 50009及相关标准确定;地震作用应符合现行国家标准《建筑抗震设计规范》GB 50011的规定;间接作用或偶然作用应根据有关标准和具体情况确定。
条文说明
4.1.2缓粘结预应力混凝土结构内力计算、设计方法等都符合现行国家标准《混凝土结构设计规范》GB50010的相关规定,只是缓粘结预应力筋具有自身的力学参数,设计计算时只改变这些参数即可。
4.1.3 缓粘结预应力混凝土结构构件除应根据设计状况进行承载力计算及正常使用极限状态验算外,尚应对施工阶段进行验算。 ( 自2022年4月1日起废止该条,点击查看:新规《混凝土结构通用规范》GB 55008-2021)
条文说明
4.1.3本条为强制性条文。与《混凝土结构设计规范》GB50010-2010中第10.1.1条强制性条文相同。缓粘结预应力混凝土结构极限状态的分类系根据现行国家标准《工程结构可靠性设计统一标准》GB50153确定,极限状态仍分为两类。预应力混凝土结构除进行使用阶段极限状态验算外还要进行施工阶段的验算,一方面防止预应力引起预拉区裂缝超过规定,另一方面,施工阶段缓粘结剂尚未完全固化,应考虑预应力筋在混凝土内的滑动。
4.1.4 缓粘结预应力混凝土结构设计应计入预应力作用效应,对超静定结构,相应的次弯矩、次剪力等应参与组合计算,预应力分项系数应按下列规定取值:
1 对承载力极限状态,当预应力作用效应对结构有利时,预应力分项系数γ p 应取1.0,不利时γ p 应取1.2;
2 对正常使用极限状态,预应力分项系数γ p 应取1.0。
条文说明
4.1.4据现行国家标准《工程结构可靠性设计统一标准》GB50153的有关规定,当进行预应力混凝土构件承载能力极限状态及正常使用极限状态的荷载组合时,应计算预应力作用效应并参与组合,对后张法预应力混凝土超静定结构,预应力效应为综合内力,包括了超静定结构由于约束产生的预应力次弯矩、次剪力和次轴力。预应力分项系数及结构重要性系数是按现行国家标准《混凝土结构设计规范》GB50010确定。
4.1.5 预应力混凝土超静定结构,由预应力引起的内力和变形可采用弹性理论分析,并宜符合下列规定:
1 次弯矩M 2 宜按下列公式计算:

式中:N p ——预应力混凝土构件的预加力(N),按本规程第5.1.6条规定计算;
e pn ——净截面重心至预应力作用点的距离(mm),按本规程第5.1.6条规定计算;
M 1 ——预加力N p 对净截面重心偏心引起的弯矩值(N·mm);
M r ——由预加力N p 的等效荷载在结构构件截面上产生的弯矩值(N·mm)。
2 次剪力、次轴力可根据构件次弯矩分布及约束条件进行计算。
条文说明
4.1.5本条给出了次内力计算方法,设计中一定要注意次内力的符号和方向,正确确定次内力对结构有利还是对结构不利,尤其是次剪力,次剪力最好是通过次弯矩来计算,次弯矩的产生和次剪力是同时的,次弯矩的变化率就是次剪力,对于独立梁,一般情况下一跨内次剪力是一样的,次剪力对梁的两端产生的效果是正好相反的,对一端有利,对另一端就不利,因此,一定要注意方向。当计算次内力时,可略去σl5As的影响,取Np=σpeAp。 在设计中宜采取措施,避免或减少支座、柱、墙等约束构件对梁、板预应力作用效应的不利影响,有时也可以利用次内力,使其对结构产生有利影响。
4.1.6 缓粘结预应力混凝土结构的内力可采用弹性理论分析,承载力极限状态计算时,也可采用塑性理论分析。
4.1.7 匀布荷载作用下四边支承预应力混凝土板的弹性弯矩值,可按下列规定取弯矩控制值:
1 正弯矩:每个方向分别划分为板边区域和跨中区域三个配筋范围(图4.1.7),均按1/4板短跨尺寸分界;板边区域的弯矩控制值可取相应方向最大正弯矩值的1/2,跨中区域的弯矩控制值可取相应方向最大正弯矩值。

2 负弯矩:均可取相应方向负弯矩的最大值。
条文说明
4.1.7匀布荷载作用下,如果按计算出的板内最大弯矩值进行整块板的配筋,会造成浪费,本条参考了《现浇混凝土空心楼盖技术规程》JGJ/T268-2012的有关规定,将一跨板分为三个区域,给出了各区域配筋的正弯矩控制值,与全跨采用最大弯矩控制配筋相比,既能满足强度要求,又能有效节省钢筋。
4.1.8 缓粘结预应力混凝土板柱结构宜采用等代框架法进行结构分析。
条文说明
4.1.8混凝土板柱结构采用缓粘结预应力是一种很好的结构方案,板柱结构的计算比普通的框架结构复杂,经验系数法用于手算,要求的条件较多,等代框架法可利用有限元软件计算,因此,推荐用等代框架法。
4.1.9 缓粘结预应力混凝土构件挠度应按荷载效应的标准组合并考虑荷载长期作用影响进行计算,其计算值不应超过表4.1.9规定的限值,并应符合下列规定:
1 在验算挠度时,可将计算所得的挠度值减去预加力所产生的反拱值;
2 构件制作时的起拱值和预加力产生的反拱值,不宜超过构件在相应荷载组合作用下的计算挠度值;
3 当屋盖、楼盖及楼梯构件对挠度有较高要求时,可取表中括号内的数值;
4 
取计算跨度,悬臂结构的计算跨度按实际悬臂长度的2倍取。

条文说明
4.1.9本条是根据现行国家标准《混凝土结构设计规范》GB50010的有关条款给出的。
4.1.10 缓粘结预应力混凝土结构构件正截面的裂缝控制应符合下列规定:
1 一级:严格要求不出现裂缝的构件,按荷载标准组合计算时,构件受拉边缘混凝土不应产生拉应力。
2 二级:一般要求不出现裂缝的构件,按荷载标准组合计算时,构件受拉边缘混凝土拉应力不应大于混凝土抗拉强度标准值。
3 三级:允许出现裂缝的构件,按荷载标准组合并考虑长期作用的影响计算时,构件的最大裂缝宽度ω max 不应超过本规程表4.1.11规定的最大裂缝宽度限值ω lim ;对二a类环境的预应力混凝土构件,尚应按荷载准永久组合计算,且构件受拉边缘混凝土拉应力不应大于混凝土抗拉强度标准值。
4.1.11 缓粘结预应力混凝土结构应根据构件类型及环境类别,按表4.1.11及下列规定选用不同的裂缝控制等级及最大裂缝宽度限值ω lim :
1 环境类别应根据现行国家标准《混凝土结构设计规范》GB 50010的有关规定确定。
2 表中规定的裂缝控制等级、最大裂缝宽度限值仅适用于正截面的验算,斜截面的裂缝控制验算应符合现行国家标准《混凝土结构设计规范》GB 50010的有关规定。
3 在一类环境下,对预应力混凝土屋架、托架及双向板体系,应按二级裂缝控制等级进行验算;对一类环境下预应力混凝土屋面梁、托梁、单向屋面板,按表中二a类环境等级的要求进行验算;在一类和二a类环境下需做疲劳验算的预应力混凝土吊车梁,应按裂缝控制等级不低于二级的构件进行验算。
4 对于处于四类、五类环境下的预应力混凝土构件,其裂缝控制要求应符合专门标准的有关规定。
5 表中的最大裂缝宽度限值仅用于验算荷载作用引起的最大裂缝宽度。

条文说明
4.1.10、4.1.11缓粘结预应力筋的钢绞线外有缓粘结剂和外包护套,这两种物质对钢绞线都有很好的保护作用,提高预应力钢绞线的耐腐蚀性,因此,相同裂缝宽度下,缓粘结预应力混凝土结构中预应力筋比有粘结预应力筋和无粘结预应力筋具有更好的耐腐蚀性。本规程参考现行国家标准《混凝土结构设计规范》GB50010将裂缝控制等级划分为一级、二级和三级,设计时需根据环境类别选用不同的裂缝控制等级,控制等级没有降低,但是耐久性会优于有粘结预应力筋和无粘结预应力筋。
4.1.12 缓粘结预应力筋的张拉控制应力σ con 应符合下列规定:
1 一般情况下,张拉控制应力σ con 应符合下式规定:

式中:f ptk ——缓粘结预应力筋极限强度标准值(N/mm 2 )。
2 当符合下列情况之一时,张拉控制应力σ con 可提高0.05f ptk ,提高后的张拉控制应力不宜超过0.80f ptk :
1)要求提高构件在施工阶段的抗裂性能而在使用阶段受压区内设置的预应力筋;
2)要求部分抵消由于应力松弛、摩擦、分批张拉、低温张拉等因素产生的预应力损失。
条文说明
4.1.12本条参考现行国家标准《混凝土结构设计规范》GB50010。缓粘结预应力钢绞线由于缓粘结剂存在粘滞力,引起张拉过程中预应力损失偏大,当温度低于20℃进行预应力张拉时粘滞力影响不容忽视,可通过提高张拉控制应力抵消粘滞力的影响,在本规程第7.3节中有对应的持荷超张拉方法。
4.1.13 施加预应力时,同条件养护的混凝土立方体抗压强度应符合设计要求,并应符合下列规定:
1 不应低于设计强度等级的75%;
2 不应低于锚具供应商提供的产品技术手册要求的混凝土最低强度值要求;
3 对于现浇混凝土梁和板,混凝土龄期分别不宜低于7d和5d。
4 当张拉预应力筋是为防止混凝土早期出现的收缩裂缝时,可不受上述3款的限制,但应符合局部受压承载力的规定。
4.1.14 在有条件的情况下,缓粘结预应力筋两端均可采用张拉端形式,当预应力筋长度超过30m时,宜采取两端张拉;当预应力筋长超过60m时,宜采取分段张拉和锚固。当有可靠的设计依据和工程经验时,缓粘结预应力筋的长度可不受此限制。
条文说明
4.1.14预应力筋的长度会影响到预应力摩擦损失,当预应力筋长度超过本条规定长度时,预应力摩擦损失过大,不能充分发挥预应力筋的强度。如果开始设计时预应力筋长度没超过规定长度,而由于施工措施不得不增加预应力筋长度时,应重新计算预应力摩擦损失,调整预应力配筋。由于许多工程施工进度难以准确预测,为了避免在低温下预应力张拉引起过大的预应力损失,有条件的情况下两端均可采用张拉端形式,低温下可通过两端张拉减小预应力损失,方便时也可采用电加热法在低温下进行张拉。
4.2 预应力损失计算
4.2 预应力损失计算
4.2.1 缓粘结预应力筋的预应力损失值可按表4.2.1的规定计算。当计算求得的预应力总损失值小于80N/mm 2 时,应取80N/mm 2 。

4.2.2 缓粘结预应力直线筋由于锚具变形和预应力筋内缩引起的预应力损失σ l 1 (N/mm 2 )可近似按下式计算:

式中:a——锚具变形及预应力筋内缩值(mm),可按表4.2.2采用;
l——张拉端至锚固端之间的距离(mm);
E p ——预应力筋弹性模量(N/mm 2 )。

4.2.3 缓粘结预应力曲线筋或折线筋由于锚具变形和预应力筋内缩引起的预应力损失值σ l1 ,应根据缓粘结曲线筋或折线筋与护套之间反向摩擦长度l f 范围内的缓粘结预应力筋变形值等于锚具变形和预应力筋内缩值的条件确定。常用束形预应力筋在反向摩擦影响长度l f 范围内的预应力损失值σ l1 的计算,可按现行国家标准《混凝土结构设计规范》GB 50010的有关规定执行。
4.2.4 当采用持荷超张拉方式消除缓粘结预应力筋与护套之间的粘滞力时,缓粘结预应力筋与护套壁之间的摩擦引起的预应力损失值σ l2 (N/mm 2 )(图4.2.4)可按下列公式计算:

当kx+μθ≤0.3时,σ l2 可按下列近似公式计算:

式中:K——考虑缓粘结预应力筋护套壁每米长度局部偏差的摩擦系数(/m),按表4.2.4采用;
μ——缓粘结预应力筋与护套壁之间的摩擦系数,按表4.2.4采用;
x——从张拉端到计算截面的曲线长度(m),可近似取该曲线在纵轴上的投影长度;
θ——从张拉端到计算截面曲线各部分切线的夹角之和对应的弧度值。


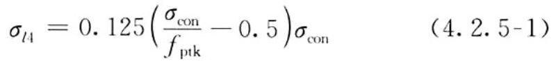
4.2.5 低松弛预应力钢绞线由于应力松弛引起的预应力损失值σ l4 (N/mm 2 )可按下列公式计算:
1 当 0.5f ptk <σ con ≤0.7f ptk 时

2 当0.7f ptk <σ con ≤0.8f ptk 时

3 当σ con ≤0.5f ptk 时,σ l4 可取为零。
4.2.6 混凝土收缩、徐变引起受拉区和受压区纵向缓粘结预应力筋的预应力损失值σ l5 (N/mm 2 ),σ' l5 (N/mm 2 )可按下列规定确定:
1 一般情况构件,可不考虑混凝土收缩、徐变及预应力筋应力松弛引起的预应力损失值随时间的变化,σ l5 (N/mm 2 )、σ' l5 (N/mm 2 )按下列公式计算:

式中:f' cu ——施加预应力时混凝土立方体抗压强度(N/mm 2 );
ρ、ρ'——受拉区、受压区缓粘结预应力筋和非预应力筋的配筋率:ρ=(A p +A s )/An,ρ'=(A' p +A' s )/An;对于对称配置预应力筋和非预应力筋的构件,配筋率ρ、ρ'应按钢筋总截面面积的一半计算;
σ pc 、σ' pc ——受拉区、受压区预应力筋合力点处混凝土法向压应力(N/mm 2 );计算σ pc 、σ' pc 时,预应力损失值仅考虑混凝土预压时(第一批)的损失σ l1 与σ l2 ;σ pc 、σ' pc 值不得大于0.5f' cu ;当σ' pc 为拉应力时,公式(4.2.6-2)中的 σ' pc 应取零;计算σ pc 、σ' pc 时,可根据构件制作情况考虑自重的影响:对处于年平均湿度低于40%干燥环境的结构,σ l5 、σ' l5 应增加30%。
2 重要的结构构件,当需要考虑与时间相关的混凝土收缩、徐变及预应力筋应力松弛引起的预应力损失值时,宜按现行国家标准《混凝土结构设计规范》GB 50010的规定执行。
4.2.7 缓粘结预应力筋采用分批张拉时,应考虑后批张拉预应力筋所产生的混凝土弹性变形对先批张拉预应力筋的影响,可将先批张拉预应力筋的张拉控制应力值σ con 增加aEσ pic 。此处,aE为预应力筋弹性模量与混凝土弹性模量之比,σ pic 为后批张拉预应力筋在先批张拉预应力筋重心处产生的混凝土法向压应力。
4.2.8 缓粘结预应力混凝土构件在各阶段的预应力损失值宜按表4.2.8的规定进行组合。

条文说明
4.2.1~4.2.8缓粘结预应力筋预应力损失值的计算原则和计算公式都按现行国家标准《混凝土结构设计规范》GB50010的有关规定执行。缓粘结预应力筋摩擦产生的预应力损失与有粘结预应力筋和无粘结预应力筋有很大的不同,缓粘结预应力钢绞线和外包护套之间有一层缓粘结剂,预应力钢绞线张拉过程中除了摩擦损失外,还存在粘滞力的影响,见第2.1.10条条文说明。缓粘结剂在冬季低温下黏度变大,张拉时粘滞力变大;缓粘结剂在开始固化后,粘滞力也会变大。缓粘结预应力筋在张拉适用期张拉时,粘滞力较小,因此,必须在张拉适用期内进行张拉。 表4.2.4中的摩擦系数是指张拉适用期内、常温下张拉时的摩擦系数参考值。当因工程原因,必须在超过张拉适用期进行张拉时,摩擦系数会有所增大,施工中应该注意。 粘滞力是缓粘结预应力钢绞线的主要特点,根据试验研究,当钢绞线在护套内滑动速度为υ=1.0mm/s时,缓粘结剂初始黏度为100Pa·s时,粘滞力与温度的关系见图1。由于粘滞力与滑动速度成正比,因此,可以通过控制张拉速度减小粘滞力影响。从图1中可以看出,当温度为20℃以上时,粘滞力只有0.14kN/m,影响较小,5℃以下影响较大。根据试验研究,确定采用持荷超张拉方式减小粘滞力的影响,通过控制张拉速度减小缓粘结钢绞线粘滞力的影响,张拉到1.05σcon,持荷一定时间,然后锚固。
4.3 防火与防腐
4.3 防火与防腐
4.3.1 根据不同耐火极限的要求,缓粘结预应力筋的混凝土保护层最小厚度应符合表4.3.1-1及表4.3.1-2的规定,且锚固区的耐火极限不应低于结构本身的耐火极限。当耐火等级较高,混凝土保护层厚度不能满足表中的要求时,应使用防火涂料。


条文说明
4.3.1缓粘结预应力钢绞线在缓粘结剂完全固化前,预应力钢绞线的拉力主要靠端部锚具施加,锚具失效,预应力钢绞线会缩进并失去预应力。当缓粘结剂完全固化后,预应力仍然是端部锚具施加的,如果万一锚具失效,预应力会通过钢绞线与混凝土之间一定距离的粘结传递,但是,锚具失效会影响到端部一定距离内预应力大小,因此,锚固还是非常重要的,要保证锚固区耐火极限。
4.3.2 缓粘结预应力筋的混凝土保护层最小厚度除应符合本规程第4.3.1条规定外,尚应满足环境类别和使用年限的要求。设计使用年限为50年的混凝土结构,最外层钢筋的保护层厚度应满足表4.3.2的规定;设计年限为100年的混凝土结构,保护层最小厚度不应小于表4.3.2中数值的1.4倍。

4.3.3 缓粘结预应力混凝土构件的混凝土中不得掺用氯盐。在混凝土施工中,包括外加剂在内的混凝土或砂浆各组成材料中,氯离子总含量以胶凝材料总量的百分率计,不应超过0.06%;
条文说明
4.3.3混凝土中氯离子含量过高,会引起预应力筋的锈蚀,严重影响结构构件受力性能和耐久性,因此,应严格控制。本条氯离子含量是按现行国家标准《混凝土质量控制标准》GB50164、《无粘结预应力混凝土结构技术规程》JGJ92及美国ACI318等的有关规定给出的。 4.3.4~4.3.8规定了缓粘结预应力混凝土构件锚固区密封要求,参考了国家现行标准《混凝土结构工程施工质量验收规范》GB50204、《混凝土结构工程施工规范》GB50666和《无粘结预应力混凝土结构技术规程》JGJ92的有关规定。为了保证预应力混凝土结构的耐久性,需要对构件端部锚具进行封堵。国内外应用经验表明,对处于三类环境条件下的无粘结预应力锚固系统,应采用全封闭体系,而缓粘结预应力筋在缓粘结剂固化后相对要比无粘结好些,在没有经过耐久性试验的前提下,先按无粘结预应力封堵要求进行封堵。参考美国ACI和PTI的有关规定,对全封闭系统应进行不透水试验,要求安装后的张拉端、固定端及中间连接器部位在不小于10kPa静水压力下,保持24h不透水,具体漏水位置可采用水中加颜色等方法检查。
4.3.4 预应力筋全长外包材料应连续,锚具及连接器部位,应封闭且能防水。在一类、二类及三类环境条件下,锚固区的保护措施应符合本规程第4.3.5条~第4.3.7条的有关规定;对于处于二类、三类环境条件下的缓粘结预应力锚固系统,尚应符合本规程第4.3.8条的规定。
4.3.5 张拉端夹片锚具系统(图4.3.5)应由锚环、夹片、承压板、间接钢筋组成,宜通过穴模凹进混凝土表面布置。张拉完成后应及时切除缓粘结预应力筋多余长度,然后在夹片及预应力筋端头用防腐油脂或环氧树脂涂抹,最后用微膨胀细石混凝土或无收缩砂浆进行封闭。

4.3.6 锚固区也可用后浇的钢筋混凝土外包圈梁进行封闭,但外包圈梁不宜突出在外墙面以外。当锚具凸出混凝土表面布置时,锚具的混凝土保护层厚度不应小于50mm;外露预应力筋的混凝土保护层厚度在处于一类室内正常环境时,不应小于30mm,在处于二类、三类易受腐蚀环境时,不应小于50mm。
对不能使用混凝土或砂浆包裹层的部位,应对缓粘结预应力筋的锚具全部涂以防腐油脂,并用具有可靠防腐和防火性能的保护罩将锚具全部封闭。
4.3.7 固定端挤压锚具系统应由挤压锚具、承压板和间接钢筋组成,钢绞线端部应采取密封措施(图4.3.7)。挤压锚具应将套筒等组装在钢绞线端部经专用设备挤压而成,挤压锚具与承压板应连接牢固。

4.3.8 对处于二类、三类环境条件下的缓粘结预应力锚固系统,应采用连续封闭的防腐蚀体系,并应符合下列规定:
1 锚固端应为预应力钢材提供全封闭防水设计;
2 缓粘结预应力筋与锚具部件的连接及其他部件的连接,应采用密封装置或采取封闭措施,使缓粘结预应力锚固系统处于全封闭保护状态;
3 连接部位在10kPa静水压力下应保持不透水;
4 设计对缓粘结预应力筋与锚具系统有电绝缘防腐蚀要求时,可采用塑料等绝缘材料对锚具系统进行表面处理,以形成整体电绝缘。
5 构件设计
5.1 一般规定
5 构件设计
5.1 一般规定
5.1.1 缓粘结预应力钢绞线专用粘合剂应在结构投入使用前固化,使用阶段承载力计算及正常使用极限状态验算均可按有粘结预应力考虑;施工阶段验算应按无粘结预应力考虑。
条文说明
5.1.1缓粘结预应力的特点是钢绞线与混凝土之间的粘结力要在缓粘结剂固化后建立。可以根据施工工期确定缓粘结预应力钢绞线的固化时间和相应的张拉适用期,并对张拉适用期留有一定的富余量,如工期稍有拖延,也能满足张拉的要求。一般情况下,固化时间为2年对应的张拉适用期约8个月,完全满足工程张拉要求和投入使用的时间要求。
5.1.2 缓粘结预应力混凝土构件的承载力极限状态应按下列公式验算:
持久设计状况、短暂设计状况:

地震设计状况:

式中:γ O ——结构重要性系数,应按现行国家标准《工程结构可靠性设计统一标准》GB 50153执行;
S d ——承载力极限状态下荷载效应组合设计值,应按现行国家标准《建筑结构荷载规范》GB 50009和《建筑抗震设计规范》GB 50011的规定执行;
R d ——结构构件承载力设计值;
γ RE ——承载力抗震调整系数。
5.1.3 缓粘结预应力混凝土构件的正常使用极限状态验算,应根据荷载效应的标准组合并考虑长期作用的影响按下式验算:

式中:S——正常使用极限状态荷载效应组合设计值;
C——构件达到正常使用要求所规定的变形、裂缝宽度等的限值,应按本规程第4.1.9条和第4.1.10条采用。
条文说明
5.1.2、5.1.3给出了缓粘结预应力混凝土结构按承载力极限状态验算的统一公式和正常使用极限状态验算的统一公式,后面章节中极限状态验算只是结合缓粘结预应力技术特点给出了缓粘结预应力混凝土结构的验算,计算原理和计算公式都符合现行国家标准《混凝土结构设计规范》GB50010的规定。
5.1.4 缓粘结预应力混凝土受弯构件的正截面受弯承载力设计值与正截面开裂弯矩之间应符合下式规定:

式中:M u ——构件正截面受弯承载力设计值(N·mm);
M cr ——受弯构件正截面开裂弯矩值(N·mm)。
条文说明
5.1.4本条避免缓粘结预应力混凝土结构一旦开裂就破坏的脆性破坏。
5.1.5 由预加力产生的混凝土法向应力%及相应阶段预应力筋的有效预应力σ pe ,宜根据各阶段的预应力损失并考虑次内力影响,按现行国家标准《混凝土结构设计规范》GB 50010的规定计算。
条文说明
5.1.5由预加力产生的混凝土法向应力和预应力筋应力计算时一定要注意计算阶段和相应的预应力损失值,预加力阶段采用扣除缓粘结预应力筋所占截面的净截面。
5.1.6 预加力N p 及其作用点的偏心距e pn ,宜根据各阶段有效预应力值及混凝土收缩、徐变对非预应力筋应力的影响,按现行国家标准《混凝土结构设计规范》GB 50010的规定计算。
条文说明
5.1.6预应力混凝土结构都采用了预应力筋和非预应力筋混合配筋的部分预应力混凝土结构,由于配有非预应力钢筋,预应力对混凝土产生的压应力会减小,普通钢筋的存在会影响混凝土收缩、徐变产生的预应力损失,现行国家标准《混凝土结构设计规范》GB50010给出了计算方法。
5.1.7 缓粘结预应力混凝土结构施加预应力阶段,除应进行承载力极限状态验算外,还应按下列规定进行截面混凝土应力验算:
1 在施加预应力阶段,截面边缘的混凝土法向拉应力和法向压应力可按下列公式计算:

2 施加预应力时截面拉应力区不允许出现裂缝的构件或全截面受压的构件,截面边缘的混凝土法向拉应力和法向压应力宜符合下列公式规定:

式中:σ ct ——相应施工阶段计算截面预拉区边缘纤维的混凝土拉应力(N/mm 2 ),拉应力为正;
σ cc ——相应施工阶段计算截面预压区边缘纤维的混凝土压应力(N/mm 2 ),压应力为正;
f' c 、f' ck ——与各施工阶段混凝土立方体强度f' cu 相应的抗拉强度标准值、抗压强度标准值(N/mm 2 );
N k 、M k ——按构件自重及施工荷载效应的标准组合计算的轴向力值(N,压力时取正值)、弯矩值(N·mm,取正值);
A O 、W O ——构件验算截面的换算截面面积(mn 2 )、验算边缘的换算截面弹性抵抗矩(mm 3 )。
3 简支构件的端部区段,截面拉应力区边缘纤维的混凝土拉应力可大于但不应大于1.2f' tk 。
4 叠合式受弯构件,当有可靠的工程经验时,混凝土法向拉应力可按σ ct 不大于2f' tk 控制。
条文说明
5.1.7本条规定了张拉阶段截面混凝土应力控制值,一方面为了防止张拉时混凝土强度还没有达到设计强度而产生开裂;另一方面,张拉时使用荷载还没加上,防止使用荷载下混凝土受压区可能由于预应力张拉产生的拉应力而导致混凝土开裂。另外,对于预制的缓粘结预应力混凝土构件,吊装时应考虑动力冲击荷载的影响。
5.1.8 预拉区非预应力钢筋应符合下列规定:
1 施工阶段预拉区允许出现拉应力的构件,预拉区纵向钢筋的配筋率 
不宜小于0.15%,其中A为构件截面面积;
2 预拉区纵向普通钢筋的直径不宜大于14mm,并应沿构件预拉区外边缘均匀配置;
3 施工阶段预拉区不允许出现裂缝的板类构件,预拉区纵向钢筋的配筋可根据具体情况按实践经验确定。
条文说明
5.1.8本条参考了现行国家标准《混凝土结构设计规范》GB50010,主要是控制预拉区混凝土可能开裂的裂缝宽度,提高结构耐久性。预拉区纵向普通钢筋的直径不宜大于14mm是指构造用钢筋,当承载力需要时,直径可不受此限制。
5.2 承载力极限状态计算
5.2 承载力极限状态计算
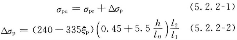
5.2.1 缓粘结预应力混凝土构件在施工阶段需要进行承载力计算时,预应力筋设计强度/py应取预应力筋的应力设计值σ pu ,σ pu 可按本规程第5.2.2条确定。
条文说明
5.2.1缓粘结预应力混凝土结构在缓粘结剂固化前,受力和无粘结预应力混凝土结构是一样的,因此,专用粘合剂固化前进行计算时可按无粘结预应力混凝土结构的方法计算。本规程第5.2.4条~第5.2.9条的计算公式中,当按无粘结预应力计算时,可以把公式中的fpy换为σpu。
5.2.2 在进行正截面承载力计算时,专用粘合剂固化前缓粘结预应力筋的应力设计值应符合下列规定:
1 缓粘结预应力筋的应力设计值σ pu 宜按下列公式计算:

2 对于跨数不小于3跨的连续梁、连续单向板及连续双向板,△σ p 取值不应小于50N/mm 2 ;
3 综合配筋特征值ξ p 可按下列规定计算:
矩形截面受弯构件以及受压区高度小于翼缘高度的T形、I形截面受弯构件:

受压区高度大于翼缘高度的T形、I形截面受弯构件:

4 缓粘结剂固化前预应力筋的应力设计值σ pu 尚应符合下式规定:

式中:σ pe ——扣除全部预应力损失后,缓粘结预应力筋中的有效预应力(N/mm 2 );
△σ p ——缓粘结预应力筋中的应力增量(N/mm 2 );
f y 一一非预应力筋抗拉强度设计值(N/mm 2 );
f c 一一混凝土轴心抗压强度设计值(N/mm 2 );
ξ p ——综合配筋特征值,不宜大于0.4;对于连续梁、板,取各跨内支座和跨中截面综合配筋特征值的平均值;
l O ——受弯构件计算跨度(mm);
h——受弯构件截面高度(mm);
h p ——缓粘结预应力筋合力点至截面受压边缘的距离(mm);
l 1 ——连续缓粘结预应力筋两个锚固端间的总长度(mm);
l 2 ——与l 1 相关的由施工荷载或活荷载最不利布置图确定的荷载跨长度之和(mm);
h' f ——T形、I形截面受压区的翼缘高度(mm);
b' f ——T形、I形截面受压区的翼缘计算宽度(mm)。
条文说明
5.2.2本条参考了国家现行标准《混凝土结构设计规范》GB50010和《无粘结预应力混凝土结构技术规程》JGJ92的有关规定。
5.2.3 纵向受拉钢筋屈服与受压区混凝土破坏同时发生时的相对界限受压区高度ξ b ,应按现行国家标准《混凝土结构设计规范》GB 50010的规定计算。
条文说明
5.2.3缓粘结预应力混凝土结构截面相对界限受压区高度按有粘结预应力确定。
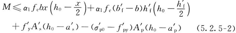
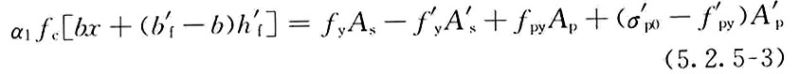
5.2.4 矩形截面或翼缘位于受拉边的倒T形截面受弯构件,其正截面受弯承载力应符合下列公式规定(图5.2.4):

混凝土受压区高度应按下式确定:

混凝土受压区高度尚应符合下列条件:

式中:M——弯矩设计值(N·mm),考虑次内力组合;
f' y ——非预应力筋抗压强度设计值(N/mm 2 );
f py 、f' py ——缓粘结预应力筋抗拉、抗压强度设计值(N/mm 2 );
a 1 ——系数,当混凝土强度等级不超过C50时,取1.0;当混凝土强度等级为C80时,取0.94,其间按线性内插法确定;
A s 、A' s ——受拉区、受压区纵向普通钢筋的截面面积(mm 2 );
A p 、A' p ——受拉区、受压区纵向预应力筋的截面面积(mm 2 );
σ' pO ——受压区纵向预应力筋合力点处混凝土法向应力等于零时的预应力筋应力(N/mm 2 );
b——矩形截面的宽度或倒T形截面的腹板宽度(mm);
h O ——截面有效高度(mm);
a' s 、a' p ——受压区纵向普通钢筋合力点、预应力筋合力点至截面受压边缘的距离(mm);
a'——受压区全部纵向钢筋合力点至截面受压边缘的距离(mm),当受压区未配置纵向预应力筋或受压区纵向预应力筋应力(σ' pO -f' py )为拉应力时,公式(5.2.4-4)中的a'用a' s 代替。
5.2.5 翼缘位于受压区的T形、I形截面受弯构件(图5.2.5),其正截面受弯承载力应分别符合下列规定:

1 当满足下式时,应按宽度为研的矩形截面计算:

2 当不满足公式(5.2.5-1)的条件时,应按下式计算:

3 混凝土受压区高度工应按下式计算,并应符合本规程公式(5.2.4-3)和公式(5.2.4-4)的要求:

式中:h' f ——T形、I形截面受压区的翼缘高度(mm);
b' f ——T形、I形截面受压区的翼缘计算宽度(mm),按现行国家标准《混凝土结构设计规范》GB 50010规定执行。
5.2.6 受弯构件正截面受弯承载力的计算,应符合本规程公式(5.2.4-3)的要求。当由构造要求或按正常使用极限状态验算要求配置的纵向受拉钢筋截面面积大于受弯承载力要求的配筋面积时,按本规程公式(5.2.4-2)或公式(5.2.5-3)计算的混凝土受压区高度x,可仅计入受弯承载力条件所需的纵向受拉钢筋截面面积。
5.2.7 当计算中计入纵向普通受压钢筋时,应满足本规程公式(5.2.4-4)的条件;当不满足此条件时,正截面受弯承载力应符合下式规定:

式中:a s 、a p ——受拉区纵向普通钢筋、预应力筋至受拉边缘的距离(mm)。
条文说明
5.2.4~5.2.7缓粘结预应力混凝土结构弯曲承载力计算公式均参考现行国家标准《混凝土结构设计规范》GB50010给出,注意当缓粘结剂没有完全固化时预应力筋的设计强度fpy应取σpu。
5.2.8 矩形、T形和I形截面的预应力混凝土受弯构件,其受剪截面尺寸要求及受剪承载力应符合现行国家标准《混凝土结构设计规范》GB 50010的规定。
条文说明
5.2.8缓粘结预应力混凝土结构受剪承载力均可按现行国家标准《混凝土结构设计规范》GB50010计算,注意当缓粘结剂没有完全固化时预应力筋的设计强度fpy应取σpu。
5.2.9 矩形、T形和I形截面的预应力受弯构件,当符合下式的要求时,均可不进行斜截面的受剪承载力计算,而仅需按构造要求配置箍筋:

式中:a cv ——斜截面混凝土受剪承载力系数,对于一般受弯构件取0.7;对集中荷载作用下(包括作用有多种荷载,其中集中荷载对支座截面或节点边缘所产生的剪力值占总剪力值的75%以上的情况)的独立梁,a cv 为 
,λ为计算截面的剪跨比,可取λ=a/h O ,a为集中荷载作用点至支座或节点边缘的距离,当λ<1.5时取λ=1.5,当λ>3时取λ=3。
5.2.10 缓粘结预应力混凝土板柱结构板柱节点受冲切承载力计算应符合现行国家标准《混凝土结构设计规范》GB 50010的规定。当板柱节点附近板有开洞时,应考虑洞口的影响;板柱结构在竖向荷载、水平荷载作用下,当考虑板柱节点临界截面上的剪应力传递不平衡弯矩时,集中反力设计值应取等效集中反力设计值。
条文说明
5.2.10现行国家标准《混凝土结构设计规范》GB50010对预应力混凝土平板的受冲切承载力计算作出了具体的规定,包括冲切面附近有洞口的情况、板柱节点存在不平衡弯矩时的受冲切承载力计算原则。由于板柱节点传递不平衡弯矩时,其受力特性及破坏形态较为复杂,《混凝土结构设计规范》GB50010-2010附录F规定了计算方法。
5.2.11 缓粘结预应力混凝土正截面受压、正截面受拉、受弯构件的斜截面受弯承载力计算以及承受疲劳荷载的疲劳验算均应按现行国家标准《混凝土结构设计规范》GB 50010规定执行。
条文说明
5.2.11缓粘结预应力主要用在受弯构件,也可以用在受压构件、受拉构件等。受压构件、受拉构件以及斜截面受弯承载力计算和疲劳验算,由于用的机会较少,规程没有专门给出计算公式,可以按现行国家标准《混凝土结构设计规范》GB50010规定的计算方法计算,注意当缓粘结剂没有完全固化时预应力筋的设计强度fpy应取σpu。
5.3 正常使用极限状态验算
5.3 正常使用极限状态验算
5.3.1 缓粘结预应力混凝土构件,应按下列规定进行受拉边缘应力或正截面裂缝宽度验算:
1 一级裂缝控制等级构件,在荷载标准组合下,受拉边缘应力应符合下式规定:

2 二级裂缝控制等级构件,在荷载标准组合下,受拉边缘应力应符合下式规定:

3 三级裂缝控制等级构件,最大裂缝宽度可按荷载标准组合并考虑长期作用影响的效应计算,最大裂缝宽度应符合下式规定:

对于环境类别为二a类的预应力混凝土构件,在荷载准永久组合下,受拉边缘应力尚应符合下式规定:

式中:σ ck 、σ cq ——荷载标准组合、准永久组合下抗裂验算边缘的混凝土法向拉应力(N/mm 2 );
σ pc ——厂扣除相应阶段预应力损失后在抗裂验算边缘混凝土的预压应力(N/mm 2 ),按本规程第5.1.5条的规定计算;
f tk ——混凝土轴心抗拉强度标准值(N/mm 2 );
ω max ——按荷载效应的标准组合并考虑长期作用影响计算的最大裂缝宽度(mm),按本规程第5.3.2条计算;
ω lim ——最大裂缝宽度限值(mm),按本规程第4.1.11条采取。
条文说明
5.3.1缓粘结预应力钢绞线有缓粘结剂和外包高密度聚乙烯护套,与有粘结和无粘结预应力相比,其耐久性会有很好的改善,但是,由于缓粘结预应力混凝土结构耐久性研究较少,因此,本规程还是按现行国家标准《混凝土结构设计规范》GB50010给出裂缝控制的准则。
5.3.2 在矩形、T形、倒T形和I形截面的缓粘结预应力混凝土轴心受拉和受弯构件中,按荷载标准组合并考虑长期作用影响的最大裂缝宽度ω max (mm),可按下列公式计算:

缓粘结剂固化前:

缓粘结剂固化后:

式中:a cr ——构件受力特征系数,对受弯、偏心受压构件取1.5,轴心受拉构件取2.2;
ψ——裂缝间纵向受拉钢筋应变不均匀系数,当ψ≤0.2时,取ψ=0.2;当ψ>1.0时和对直接承受重复荷载的构件,取ψ=1.0;
σ sk ——按荷载效应的标准组合计算的缓粘结预应力混凝土构件纵向受拉钢筋的等效应力(N/mm 2 ),按本规程第5.3.3条计算;
E s ——钢筋弹性模量(N/mm 2 );
c s ——最外层纵向受拉非预应力筋外边缘至受拉区底边的距离(mm),当c s ≤20时,取c s =20;当c s ≥65,取c s =65;
ρ te ——按有效受拉混凝土截面面积计算的纵向受拉钢筋配筋率,缓粘结剂固化前,仅取纵向受拉普通钢筋计算配筋率;在最大裂缝宽度计算中,当ρ te <0.01时,取ρ te =0.01 ;
A te ——有效受拉混凝土截面面积(mm 2 ),对轴心受拉构件,取构件截面;对受弯、偏心受压和偏心受拉构件,取A te =0.5bh+(b f —b)h f ,此处,b f 、h f 为受拉翼缘的宽度、高度;
A s ——受拉区纵向非预应力筋截面面积(mm 2 );
A p ——受拉区缓粘结预应力筋截面面积(mm 2 );
d eq ——受拉区纵向受拉非预应力筋的等效直径(mm),缓粘结剂固化前,仅考虑受拉区纵向普通钢筋;缓粘结剂固化后,应考虑预应力钢绞线;
d i ——受拉区第i种纵向钢筋的公称直径(mm);缓粘结剂固化后,预应力钢绞线束的直径取为 
d p1 ,其中d p1 为单根钢绞线的公称直径,按本规程表,3.2.2-1中的d取值,n 1 为单束钢绞线的根数;
n i ——受拉区第i种纵向受拉钢筋的根数;对于缓粘结预应力钢绞线束.当缓粘结剂固化后,取为钢绞线束数;
ν i ——受拉区第i种纵向受拉钢筋的相对粘结特性系数,对光面钢筋,取ν i =0.7;对带肋钢筋,取ν i =1.0;对缓粘结预应力钢绞线,专用粘合剂固化后,取ν i =0.4。
条文说明
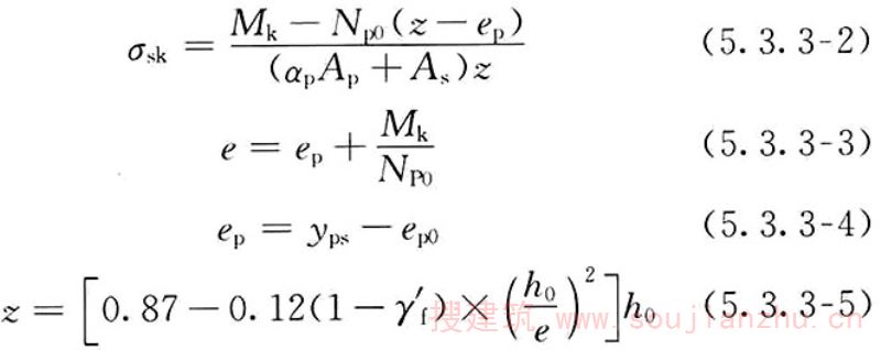
5.3.2参考现行国家标准《混凝土结构设计规范》GB50010给出裂缝计算公式,在计算受拉区纵向受拉非预应力钢筋的等效直径时,预应力筋按束计算其公称直径。缓粘结预应力钢绞线的粘结特性系数取0.4,比有粘结预应力钢绞线的0.5略低,是根据缓粘结预应力钢绞线的粘结锚固试验定量确定,并且也与环氧涂层钢绞线的粘结特性系数0.4一致。 缓粘结预应力钢绞线与150mm混凝土试块之间粘结长度75mm,采用C40混凝土,测得预应力筋与混凝土之间的粘结力可达到20kN,滑移量在0.2mm时,粘结力达到10kN,说明缓粘结预应力筋能有效和混凝土产生粘结力(图2)。另外,缓粘结预应力混凝土梁的受弯试验也证明了缓粘结预应力混凝土梁的裂缝分布与有粘结预应力混凝土梁裂缝分布基本是一致的,试验研究表明,环氧涂层钢筋混凝土的裂缝宽度略有增大,裂缝间距增大约10%,因此,考虑粘结特性系数由有粘结的0.5降低为0.4,这也是缓粘结预应力混凝土结构区别于有粘结预应力混凝土结构和无粘结预应力混凝土结构的重要标志之一。 
5.3.3 在荷载效应的标准组合下,缓粘结预应力混凝土构件受拉区纵向钢筋等效应力由可按下列公式计算:
1 轴心受拉构件:

2 受弯构件:

式中:A p ——受拉区预应力筋截面面积(mm 2 ):对轴心受拉钩件,取全部纵向预应力筋截面面积;对受弯构件,取受拉区纵向预应力筋截面面积;
e p ——混凝土法向应力等于零时预加力N pO 或的作用点至受拉区纵向预应力筋和非预应力筋合力点的距离(mm);
e——等效轴向压力作用点至受拉区纵向预应力筋和非预应力筋合力点的距离(mm);
y ps ——受拉区纵向预应力筋和非预应力筋合力点的偏心距(mm);
e pO 一一计算截面上混凝土法向预应力等于零时预加力N pO 作用点的偏心距;
z一一受拉区纵向非预应力筋和预应力筋的合力点至截面受压区合力点的距离(mm);
N k 、M k ——按荷载效应的标准组合计算的轴向力值(N)、弯矩值(N·mm),超静定结构考虑次内力组合;
N pO ——预应力构件混凝土法向预应力等于零时的预应力(N);
γ' f ——受压翼缘截面面积与腹板有效截面面积的比值;
a p ——考虑缓粘结剂固化影响的预应力筋等效折减系数,缓粘结剂固化前取0.3,固化后取1.0。
条文说明
5.3.3本条参考现行国家标准《混凝土结构设计规范》GB50010相关规定,给出了缓粘结预应力混凝土构件受拉区纵向钢筋的等效应力计算公式。注意在计算受弯构件受拉区纵向钢筋等效应力时考虑了缓粘结剂的固化与否,用预应力筋等效折减系数ap表示,固化前取缓粘结预应力筋面积的0.3,固化后取1.0。公式(5.3.3-3)是将截面等效为轴力为NpO、弯矩为Mk的偏压构件计算。
5.3.4 在荷载标准组合和准永久组合下,抗裂验算时截面边缘混凝土的法向应力应按下列公式计算:
1 轴向受拉构件:

2 受弯构件:

3 偏心受拉和偏心受压构件:

式中: A O ——构件换算截面面积(mm 2 );
ω O ——构件换算截面的弹性抵抗矩(mm 3 );
N q 、M q ——按荷载效应的准永久组合计算的轴向力值(N)、弯矩值(N·mm)。
5.3.5 预应力混凝土受弯构件在正常使用极限状态下的挠度,可根据构件的刚度用结构力学方法计算,其刚度取值及挠度限值应符合下列规定:
1 在等截面构件中,可假定各同号弯矩区段内的刚度相等,并取用该区段内最大弯矩处的刚度。当计算跨度内的支座截面刚度不大于跨中截面刚度的2倍或不小于跨中截面刚度的1/2时,该跨也可按等刚度构件进行计算,其构件刚度可取跨中最大弯矩截面的刚度。
2 受弯构件的挠度应按荷载效应标准组合并考虑荷载长期作用影响的刚度B进行计算,所求得的挠度计算值不应超过本规程第4.1.9条规定的限值。
条文说明
5.3.5本条参考现行国家标准《混凝土结构设计规范》GB50010相关条文编写,在正常使用极限状态下混凝土受弯构件的挠度,主要取决于构件的刚度。假定在同号弯矩区段内的刚度相等,并取该区段内最大弯矩处所对应的刚度,对于允许出现裂缝的构件,它就是该区段内的最小刚度,这样计算是偏于安全的。当支座截面刚度与跨中截面刚度之比在本规程规定的范围内时,采用等刚度计算构件挠度,其误差一般不超过5%。
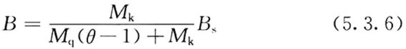
5.3.6 矩形、T形、倒T形和I形截面的缓粘结预应力混凝土受弯构件考虑荷载长期作用影响的刚度B可按下式计算:

式中:M k ——按荷载效应的标准组合计算的弯矩值(N·mm),取计算区段内的最大弯矩值;
M q ——按荷载效应的准永久组合计算的弯矩值(N·mm),取计算区段内的最大弯矩值;
θ——考虑荷载长期作用对挠度增大的影响系数,取2.0;
B s ——荷载效应的标准组合作用下受弯构件的短期刚度(N·mm 2 ),按本规程第5.3.7条的公式计算。
条文说明
5.3.6预应力混凝土受弯构件考虑荷载长期作用影响的刚度,采用在荷载标准组合计算的短期刚度值Bs基础上考虑荷载长期作用影响的方法。
5.3.7 在荷载效应的标准组合作用下,缓粘结预应力混凝土受弯构件的短期刚度且可按下列公式计算,对施加预应力时预拉区出现裂缝的构件,B s 应降低10%:
1 要求不出现裂缝的构件:

2 允许出现裂缝的构件:


式中:I O ——换算截面惯性矩(mm 4 );
E c ——混凝土弹性模量(N/mm 2 );
a E ——钢筋弹性模量与混凝土弹性模量的比值;
ρ——纵向受拉钢筋配筋率,取(a p A p +A s )/(bh O ),缓粘结剂固化前取a p =0.3,固化后取a p =1.0;
M cr ——受弯构件的正截面开裂弯矩值(N·mm);
γ f ——受拉翼缘截面面积与腹板有效截面面积的比值;
γ——混凝土构件的截面抵抗矩塑性影响系数,应按现行国家标准《混凝土结构设计规范》GB 50010规定计算;
b f 、h f ——受拉翼缘的宽度、高度(mm);
k cr ——缓粘结预应力混凝土受弯构件正截面的开裂弯矩
M cr 与弯矩M k 的比值,当k cr >1.0时,取k cr =1.0;
σ pc ——扣除全部损失后,由预加力在抗裂验算边缘产生的混凝土预压应力(N/mm 2 )。
条文说明
5.3.7预应力混凝土受弯构件的短期刚度Bs是按现行国家标准《混凝土结构设计规范》GB50010的有关条款给出的。缓粘结剂固化前,预应力筋能自由滑动,按现行行业标准《无粘结预应力混凝土结构技术规程》JGJ92要求,在计算纵向受拉钢筋配筋率时只考虑预应力筋截面积的0.3倍,固化后按有粘结考虑,考虑预应力筋全部截面积。试验研究表明,缓粘结预应力混凝土结构在缓粘结剂固化后受弯时的刚度与有粘结混凝土结构基本一致,其他研究者对环氧涂层钢筋混凝土的试验研究也证实了环氧涂层不影响结构的刚度。
5.3.8 缓粘结预应力混凝土受弯构件在使用阶段的预加力反拱值计算应符合下列规定:
1 可用结构力学方法按刚度E c I O 进行计算,并应考虑预压应力长期作用的影响,简化计算时可将计算求得的预加力反拱值乘以增大系数2.0;
2 缓粘结预应力筋的应力应扣除全部预应力损失;
3 对重要的或特殊的预应力混凝土受弯构件的长期反拱值,可根据专门的试验分析确定或采用合理的收缩、徐变计算方法经分析确定;
4 当考虑反拱后构件挠度仍不能满足规范要求时,可采用施工起拱等方式控制挠度,对恒载较小的构件,应考虑反拱过大对使用的不利影响。
条文说明
5.3.8预应力混凝土受弯构件在使用阶段的反拱计算中,先计算短期反拱值,考虑预加力长期作用对反拱增大的影响系数取为2.0。取2.0增大系数是近似考虑了混凝土收缩、徐变影响,因此,对长期反拱值,如有特殊要求或者要求非常严格时,可根据混凝土收缩、徐变随时间的变化规律进行专门计算分析。
5.4 抗震设计
5.4 抗震设计
5.4.1 缓粘结预应力混凝土结构可用于抗震设防烈度6度、7度、8度区,当9度区采用缓粘结预应力混凝土结构时,应有充分依据,并采取可靠措施。缓粘结预应力混凝土结构的抗震设计应符合国家现行标准《混凝土结构设计规范》GB 50010和《预应力混凝土结构抗震设计规程》JGJ 140的有关规定。
条文说明
5.4.1缓粘结预应力混凝土结构在缓粘结剂固化后可以达到有粘结预应力的受力效果,因此,可以按有粘结预应力的适用范围来应用在抗震混凝土结构中。本条按现行国家标准《混凝土结构设计规范》GB50010对有粘结预应力的规定确定。
5.4.2 缓粘结预应力混凝土结构的抗震计算应符合下列规定:
1 预应力混凝土框架结构的阻尼比宜取0.03;在框架-剪力墙结构、框架核心筒结构及板柱-剪力墙结构中,当仅采用预应力混凝土梁或板时,阻尼比应取0.05;
2 预应力混凝土结构构件截面抗震验算,在地震组合中,当预应力作用效应对构件承载力不利时预应力作用分项系数应取1.2,有利时应取1.0;
3 考虑地震作用组合的预应力混凝土框架柱,其轴压比计算应加上预应力筋有效预加力的设计值,并符合钢筋混凝土结构中对应框架柱的要求,框架柱的箍筋宜全高加密;
4 预应力筋穿过框架节点核心区时,节点核心区的截面抗震受承载力应按现行国家标准《混凝土结构设计规范》GB 50010有关规定执行。
条文说明
5.4.2缓粘结预应力混凝土结构构件的地震作用效应和其他荷载效应的基本组合主要按照现行国家标准《建筑抗震设计规范》GB50011的有关规定确定,并加入了预应力作用效应项,预应力作用效应包括预加力产生的次内力。当预应力作用效应对构件承载力有利时,预应力分项系数应取1.0,不利时应取1.2,是参考国内、国外有关标准作出的规定。
5.4.3 缓粘结预应力混凝土框架梁端纵向受拉钢筋按非预应力钢筋抗拉强度设计值换算的配筋率不应大于2.5%,且考虑受压钢筋的截面混凝土受压区高度应符合下列公式规定:
一级抗震等级:

二级、三级抗震等级:

条文说明
5.4.3混凝土框架梁在抗震作用下的破坏形式应控制为延性破坏,延性破坏可以通过混凝土受压区高度来控制,因此,缓粘结预应力混凝土框架梁也按现行国家标准《混凝土结构设计规范》GB50010的规定给出了受压区高度限制。
5.4.4 参与抗震的缓粘结预应力混凝土梁应采用预应力筋与非预应力筋混合配筋的方式,配筋宜满足下列规定:
1 缓粘结预应力混凝土框架梁,梁端截面配筋宜符合下式规定:

2 当为二级、三级抗震等级的框架-剪力墙、框架-核心筒结构中的预应力混凝土框架梁时,梁端截面配筋可符合下式规定:

条文说明
5.4.4预应力钢绞线没有明显的屈服点,而非预应力筋具有明显的屈服点和很大的塑性变形,因此,对于参与抗震计算的混凝土框架梁应采用部分预应力混凝土结构,并应控制非预应力筋的配筋数量,本条规定按现行国家标准《混凝土结构设计规范》GB50010的有关规定给出。
5.4.5 缓粘结预应力混凝土框架梁端截面底部和顶部纵向受力钢筋截面面积的比值,除按计算确定外,一级抗震等级不应小于0.5,二级、三级抗震等级不应小于0.3。计算顶部纵向受力钢筋截面面积时,应将预应力筋按抗拉强度设计值换算为普通钢筋截面面积。框架梁端底部纵向普通钢筋配筋率不应小于0.2%。
条文说明
5.4.5本条规定了预应力混凝土框架梁梁端底部钢筋的最小配筋,主要是考虑了地震的随机性,在计算中梁端不出现正弯矩或出现很小的正弯矩,而实际中可能出现偏大的正弯矩,故在底部钢筋用量上给出一定的储备,以免下部钢筋过早屈服拉断。本条参照了国家现行标准《高层建筑混凝土结构技术规程》JGJ3和《混凝土结构设计规范》GB50010的规定。
5.4.6 缓粘结预应力混凝土框架扁梁抗震设计应符合下列规定:
1 扁梁的跨高比 
不宜大于25,梁截面高度宜大于板厚度的2倍,且其截面尺寸应符合下列公式的规定:

式中:b c ——柱截面宽度(mm);
b b 、h b 一一扁梁截面宽度和高度(mm);
d一一柱纵筋直径(mm)。
2 扁梁除应满足承载力极限状态计算和正常使用极限状态验算外,构造配筋尚应按现行行业标准《预应力混凝土结构抗震设计规程》JGJ 140的有关规定执行。
条文说明
5.4.6预应力混凝土梁由于预应力作用,可以控制开裂,提高截面刚度,预应力反拱也能抵消挠度,因此,截面高度可以适当降低,设计成扁梁。扁梁太柔对抗震不利,本条参照现行行业标准《预应力混凝土结构抗震设计规程》JGJ140的规定以及国内外有关资料确定。
5.4.7 现浇缓粘结预应力混凝土板柱结构抗震设计应符合下列规定:
1 柱上板带的端截面应符合本规程第5.4.3条对受压区高度的要求和第5.4.4条对截面配筋的要求。
2 无柱帽平板应在柱上板带中设置构造暗梁,暗梁宽度可取柱宽及两侧各1.5倍板厚之和,暗梁支座上部预应力筋及普通钢筋截面面积不宜小于柱上板带相应配筋的50%,并应全跨贯通,暗梁下部普通钢筋应不小于上部普通钢筋的50%。暗梁箍筋直径不应小于8mm,间距不宜大于3/4板厚,肢距不宜大于2倍板厚;支座处暗梁箍筋加密区长度不应小于3倍板厚,箍筋间距不宜大于100mm,肢距不宜大于250mm。
3 沿两个主轴方向贯通节点柱截面的连续预应力筋及板底纵向普通钢筋总截面面积,应符合下式规定:

式中:N G ——本层楼面重力荷载代表值作用下的柱轴向压力设计值(N),8度时尚应计入竖向地震影响;
A s ——贯通柱截面的板底连续普通钢筋的总截面面积(mm 2 ),对一边在柱截面对边按受拉弯折锚固的普通钢筋,截面面积按一半计算;
A p ——贯通柱截面连续预应力筋截面面积(mm 2 ),对一边在柱截面对边锚固的预应力筋,截面面积按一半计算;
f py ——缓粘结预应力筋抗拉强度设计值(N/mm 2 ),固化前取缓粘结预应力筋应力设计值σ pu ;
4 按公式(5.4.7)计算的连续预应力筋应布置在板柱节点的上部,呈下凹进入板跨中。
5 按公式(5.4.7)计算的板底纵向普通钢筋的连接位置,宜在距柱截面l aE 与2倍板厚的较大值以外,且应避开板底受拉区范围,其中l aE 为纵向受拉钢筋的抗震锚固长度。
条文说明
5.4.7本条为预应力混凝土板柱结构中板的设计规定,参考了国家现行标准《高层建筑混凝土结构技术规程》JGJ3和《混凝土结构设计规范》GB50010的有关规定。缓粘结预应力筋由于是单根布置,单根锚固,预应力筋和混凝土之间有较好的粘结性能,因此用在板柱结构中比有粘结和无粘结都具有优势。有粘结预应力必须采用扁管和扁锚体系,扁管灌浆不容易密实;但是板柱结构要求柱上板带要承受水平地震力产生的弯矩,无粘结预应力尽管施工方便,但是预应力筋与混凝土之间没有粘结力,延性稍差,因此,缓粘结预应力技术应用在板柱结构中具有技术优势。
6 构造规定
6.1 一般规定
6 构造规定
6.1 一般规定
6.1.1 一般民用建筑采用的缓粘结预应力混凝土梁板结构,其跨高比可根据下列规定按表6.1.1中数值采用:
1 当为现浇混凝土空心楼板时,宜采用括号内数字。
2 周边支撑双向板的跨高比,应按柱网的短向跨度计算;板柱结构双向板的跨高比,应按柱网的长向跨度计算。
3 缓粘结预应力混凝土用于工业建筑或荷载较大的梁板时,表中所列跨高比宜按荷载情况适当减小。
4 外挑的悬臂板,其跨高比不宜大于15。
5 当有工程实践经验并经验算符合设计要求时,表6.1.1中跨高比可适当放宽。

条文说明
6.1.1本条规定的跨高比是在总结国内近几年的工程经验,参考现行行业标准《无粘结预应力混凝土结构技术规程》JGJ92和《现浇混凝土空心楼盖技术规程》JGJ/T268的相关规定并借鉴国外对无粘结预应力混凝土楼盖的设计规定给出的,适合于采用缓粘结预应力技术的一般民用建筑。
6.1.2 缓粘结预应力混凝土构件截面尺寸的确定,除应按本规程第6.1.1条规定并考虑结构荷载、建筑净高等条件外,还应考虑预应力束布置间距和保护层厚度等影响因素。
6.1.3 单根缓粘结预应力筋在构件端面上的水平和竖向排列最小间距不宜小于80mm。构件端部尺寸应考虑锚具位置、张拉设备的尺寸和局部受压的要求,必要时应适当加大。
6.2 预应力混凝土梁
6.2 预应力混凝土梁
6.2.1 梁中受拉区配置的非预应力纵向受力钢筋宜均匀分布在梁的受拉边缘,直径不宜小于14mm,最小截面面积A s 除应满足本规程第5.4.4条规定外,尚应符合下式规定:

条文说明
6.2.1截面非预应力筋最小配筋量是为了控制混凝土开裂后裂缝宽度,如果非预应力配筋太少,往往会形成集中裂缝,裂缝宽度较大。此条参照现行国家行业标准《无粘结预应力混凝土结构技术规程》JGJ92的相关规定制定。
6.2.2 缓粘结预应力混凝土屋面梁、吊车梁等构件靠近支座的斜向主拉应力较大部位,宜将一部分预应力筋弯起配置。
条文说明
6.2.2一些屋面梁、吊车梁都是简支梁,梁端剪力较大而梁的截面较小,预应力筋主要控制跨中开裂,到了梁端,预应力筋在梁底作用已经不大,为了提高梁端截面的抗剪能力,可以弯曲设置,从而有效减小梁端混凝土斜向主拉应力。
6.2.3 预应力筋在构件端部全部弯起的受弯构件,当构件端部与下部支承构件焊接时,应考虑混凝土收缩、徐变及温度变化所产生的不利影响,宜在构件端部可能产生裂缝的部位设置纵向构造钢筋。
条文说明
6.2.3本条主要是指下部构件刚度很大,几乎没有变形的情况。
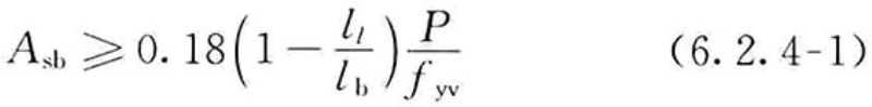
6.2.4 缓粘结预应力混凝土构件的端部锚固区,应按下列规定配置间接钢筋:
1 在预应力筋锚具及张拉设备支承处,应设置预埋承压钢垫板,混凝土局部受压承载力计算应按现行国家标准《混凝土结构设计规范》GB 50010执行,并应配置间接钢筋,其体积配筋率不应小于0.5%,垫板刚性扩散角应取45°。
2 局部受压承载力计算时,取1.2倍张拉控制力和f ptk A p 中的较大值。
3 在局部受压间接钢筋配置区以外,在构件端部长度l不小于截面重心线上部或下部预应力筋的合力点至邻近边缘的距离e的3倍、但不大于构件端部截面高度的1.2倍,高度为2e的附加配筋区范围内,应均匀配置附加防劈裂箍筋或网片(图6.2.4),配筋面积可按下式计算,且体积配筋率不应小于0.5%。

式中:p——作用在构件端部截面重心线上部或下部预应力筋的合力设计值(N),可按本条第2款确定;
l l 、l b ——分别为沿构件高度方向A l 、A b 的边长或直径(mm),A l 、A b 分别为混凝土局部受压面积和局部受压的计算底面积(mm 2 ),应按现行国家标准《混凝土结构设计规范》GB 50010的规定执行;
f yv ——附加抗劈裂钢筋的抗拉强度设计值(N/mm 2 )。

4 当构件端部预应力筋需集中布置在截面下部或集中布置在上部和下部时,应在构件端部0.2h范围内设置附加竖向防端面裂缝构造钢筋(图6.2.4)。竖向防端面裂缝构造钢筋宜靠近端面配置,可采用焊接钢筋网、封闭式箍筋及其他形式,且宜采用带肋钢筋,其截面面积应符合下列公式规定:

式中:T s ——锚固端端面拉力(N);
P——作用在构件端部截面重心线上部或下部预应力筋的合力设计值(N),可按本条第2款的规定确定;
e——截面重心线上部或下部预应力筋的合力点至截面近边缘的距离(mm);
h——构件端部截面高度(mm);
A sv ——附加竖向防端面裂缝构造钢筋截面面积(mm 2 ),当端部截面上部和下部均有预应力筋时,附加竖向钢筋的总截面面积应按上部和下部的预应力合力分别计算的较大值采用;当e>0.2h时,可根据实际情况适当调整。
5 在构件端面横向也应按本条第4款方法计算抗端面裂缝钢筋,并与本条第4款竖向钢筋形成网片筋配置。
6 在配筋稠密的梁柱节点处,当原配筋能起到钢筋网片或螺旋箍筋的等效作用时,可少配或不配钢筋网片或螺旋筋。
条文说明
6.2.4后张预应力混凝土构件端部锚固区在预应力筋张拉后容易出现两类裂缝:一类是局部承压区承压板后面的纵向劈裂裂缝;另一类是预应力束在构件端部偏心布置,偏心距较大时,在构件端面附近产生较高的竖向拉应力,产生位于截面中部的纵向水平端面裂缝。为了控制这两类裂缝产生,并保证预应力能可靠传给混凝土构件,设置了预应力构件端部防裂构造钢筋,内容参考了现行国家标准《混凝土结构设计规范》GB50010的规定。
6.2.5 当构件在端部有局部凹进时,应增设折线构造钢筋(图6.2.5)或其他有效的构造钢筋。

条文说明
6.2.5当后张预应力混凝土构件端部局部凹进时,为了防止混凝土开裂,根据试验研究和工程经验,设置了构造钢筋。此条参考了现行国家标准《混凝土结构设计规范》GB50010的规定。
6.2.6 缓粘结预应力筋的锚具不宜设置在梁柱节点核心区,应布置在梁端箍筋加密区以外。当缓粘结预应力筋在框架梁的梁端锚固,且建筑不允许在柱面外凸出锚固时,承压板过柱子中心线距离不应小于预应力钢绞线公称直径d的8倍(图6.2.6a)当次梁内缓粘结预应力筋在边梁锚固时,承压板过边梁中心线距离不应小于预应力钢绞线公称直径d的5倍(图6.2.6b)。

条文说明
6.2.6预应力筋的锚固一般要避开梁柱节点,但是,在梁的边跨,预应力筋必须锚固在梁柱节点的柱子内,或在柱子外加锚固块,由于过了柱子的形心轴后没有另一侧的混凝土梁,梁柱节点承受反复荷载的混凝土主要集中在有梁的一侧,因此,预应力筋可以在过柱子形心轴后一定距离锚固。本条参考了普通钢筋的锚固长度要求,并考虑预应力筋端部有承压板,预应力筋通过承压板将预加力压在混凝土上等因素,最终确定过中心线的距离。
6.2.7 缓粘结预应力混凝土构件中,曲线预应力束应符合下列规定:
1 曲线预应力束的曲率半径r p 宜按下式确定,但不宜小于4m,曲线预应力筋的端头,应有与之相切的直线段,直线段长度不应小于400mm。

式中:P——预应力束的合力设计值(N),可按本规范第6.2.4条第2款的规定确定;
r p ——预应力束的曲率半径(mm);
d p ——缓粘结预应力束等效孔道直径(mm),取 
d e ,其中n为单束钢绞线的根数,d e 为单根缓粘结钢绞线包括外包护套公称直径,公称直径15.20mm的钢绞线包括外包护套后公称直径取20.0mm;
f c ——混凝土轴心抗压强度设计值(N/mm 2 );当验算张拉阶段曲率半径时,可取施工阶段混凝土立方体抗压强度f' cu 对应的抗压强度设计值f' c ,以线性内插法确定。
2 对于折线配筋的构件,预应力束弯折处的曲率半径可适当减小,并宜采用圆弧过渡。当曲率半径r p 不满足公式(6.2.7)要求时,可在预应力束弯折处内侧设置钢筋网片或螺旋筋。
条文说明
6.2.7此条参照现行国家标准《混凝土结构设计规范》GB50010制定,只是在计算缓粘结预应力束等效孔道直径时没有直接按钢绞线裸线直径15.20mm计算,而是考虑了专用粘合剂与护套厚度,取考虑护套影响的单根缓粘结钢绞线公称直径20.0mm。
6.2.8 在预应力混凝土结构中,当沿构件凹面布置曲线缓粘结预应力束时(图6.2.8),应按下列规定进行防崩裂设计:

1 当曲率半径r p 满足下式要求时,可仅配置构造u形插筋:

式中:P——预应力束的合力设计值(N),可按本规程第6.2.4条第2款的规定确定;
f t ——混凝土轴心抗拉强度设计值(N/mm 2 ),当验算张拉阶段曲率半径时,可取与施工阶段混凝土立方体抗压强度f' cu 对应的抗拉强度设计值f' t ,以线性内插法确定;
c p ——预应力束净混凝土保护层厚度(mm)。
2 当曲率半径小不满足公式(6.2.8-1)要求时,每单肢U形插筋的截面面积应按下式确定:

式中:A svl ——每单肢插筋截面面积(mm 2 );
S v ——U形插筋间距(mm);
f yv ——u形插筋抗拉强度设计值(N/mm 2 ),当大于360N/mm 2 时取360N/mm 2 。
3 U形插筋的锚固长度不应小于l a 。当实际锚固长度l e 小于l a 时,每单肢U形插筋的截面面积可按A svl /k取值,其中,k取l e /(15d)和l e /200中的较小者且k不大于1.0,d为插筋直径。
4 当有平行的几束预应力筋,且中心距不大于2d p 时,预应力筋的合力设计值应按相邻全部预应力束的预应力筋确定。
条文说明
6.2.8预应力在曲率半径较小的部位,会产生径向平衡荷载,曲率半径越小,等效荷载越大,当等效荷载过大时会引起混凝土崩裂,此条参照现行国家标准《混凝土结构设计规范》GB50010有关规定制定。
6.2.9 预应力混凝土梁中缓粘结预应力钢绞线的布置应符合下列规定:
1 缓粘结预应力钢绞线应分束布置,每束钢绞线根数不宜多于5根;
2 混凝土梁中预应力束的竖向净间距不应小于缓粘结预应力束的等效直径d p 的1.5倍,水平方向的净间距不应小于缓粘结预应力束的等效外径d p 的2倍,且不应小于粗骨料粒径的1.25倍;使用插入式振动器捣实混凝土时,水平净距不宜小于80mm;
3 裂缝控制等级为一级、二级的梁,预应力束外边缘至构件边缘的净间距,梁底不宜小于50mm,梁侧不宜小于40mm;裂缝控制等级为三级的梁,梁底、梁侧分别不宜小于60mm和50mm;
4 凡制作时需要预先起拱的构件,预应力束曲线宜随构件同时起拱;
5 成束布置的缓粘结预应力钢绞线在端部宜分散开并单根锚固,分散距离应满足本规程第6.1.3条规定。
条文说明
6.2.9缓粘结预应力钢绞线要与周圈的混凝土产生粘结锚固效果,预应力束应该有足够的净距来保证,此条参照现行国家标准《混凝土结构设计规范》GB50010关于有粘结预应力混凝土波纹管之间的间距制定。由于缓粘结预应力钢绞线成束布筋时没有波纹管,根据缓粘结钢绞线成束构造的特点,采用了预应力束的等效孔道直径,等效孔道直径见本规程第6.2.7条。
6.2.10 预应力混凝土框架梁上开洞时,洞口宜位于梁跨中1/3区段,洞口高度不应大于梁高的0.4倍,孔洞偏心宜偏向受拉区;开洞较大时应进行承载力验算,梁上洞口周边应配置附加纵向钢筋和箍筋。预应力筋通过洞口截面时宜布置在截面受拉区(图6.2.10a),当洞口位于弯矩较小的区段时,预应力筋也可从洞口上、下分别通过,并保持预应力合力线的平滑过渡(图6.2.10b),预应力筋距洞口的距离宜满足本规程第6.2.9条的规定。

条文说明
6.2.10缓粘结预应力混凝土框架梁经常会遇到横向开孔的情况,开孔大小及位置规定参照现行行业标准《高层建筑混凝土结构技术规程》JGJ3的规定制定。对于非框架预应力混凝土梁横向开洞,也可参照本条执行。
6.3 预应力混凝土单向板及周边支承双向板
6.3 预应力混凝土单向板及周边支承双向板
6.3.1 缓粘结预应力混凝土单向板应符合下列规定:
1 受力方向受拉区普通钢筋直径不应小于8mm,间距不宜大于200mm,截面面积应满足本规程公式(5.4.4-2)及下式规定;

式中:b、h——截面宽度、截面高度。
2 在垂直于受力方向应布置分布钢筋,配筋率不宜小于0.15%;分布钢筋直径不宜小于6mm,间距不宜大于250mm;当集中荷载较大时,分布钢筋的配筋面积尚应增加,且间距不宜大于200mm。
条文说明
6.3.1缓粘结预应力混凝土单向板的构造参考了国家现行标准《混凝土结构设计规范》GB50010和《无粘结预应力混凝土结构技术规程》JGJ92的规定制定。
6.3.2 缓粘结预应力混凝土四边支承双向板应符合下列规定:
1 预应力筋宜双向布置,每个方向的非预应力配筋均应满足本规程第6.3.1条第1款的规定;
2 靠近板边缘处预应力配筋可按本规程第4.1.7条规定适当减少。
6.3.3 板中缓粘结预应力钢绞线宜单根布置,也可并束布置,并束时预应力钢绞线宜为2根,单根或并束间距不宜大于板厚的6倍,且不宜大于1m;现浇混凝土空心楼板可采用带状束的缓粘结预应力钢绞线布置,带状束的预应力钢绞线根数不宜多于5根,间距不宜超过12倍板厚,且不宜大于2.4m。
条文说明
6.3.3缓粘结预应力混凝土板中预应力筋宜单根布置,但是对于密肋板或者是混凝土空心楼板,会采用集中布束,本条对集中布束的间距和每束的预应力筋根数给出了规定。
6.4 预应力混凝土板柱结构双向板
6.4 预应力混凝土板柱结构双向板
6.4.1 板柱结构缓粘结预应力混凝土双向板,其非预应力纵向受力钢筋最小截面面积及其分布应符合下列规定:
1 在柱边的负弯矩区:非预应力纵向钢筋应分布在各离柱边1.5h的板宽范围内;每个方向至少应设置4根直径不小于16mm的钢筋;非预应力纵向钢筋间距不应大于300mm,外伸出柱边长度至少为支座每边净跨的1/6;在承载力计算中考虑非预应力纵向钢筋的作用时,其外伸长度应按计算确定,并应符合现行国家标准《混凝土结构设计规范》GB 50010对锚固长度的规定;每个方向上非预应力纵向受力钢筋的截面面积应符合下式规定。

式中:l——平行于计算纵向受力钢筋方向上板的跨度;
h——板的厚度。
2 在正弯矩区:非预应力纵向钢筋直径不应小于8mm,间距不应大于200mm,且应均匀分布在板的受拉区内,并应靠近受拉边缘布置;在承载力计算中考虑非预应力纵向钢筋的作用时,其长度应符合现行国家标准《混凝土结构设计规范》GB 50010对锚固长度的规定;每个方向上的非预应力纵向受力钢筋的截面面积应符合下式规定:

3 在双向板的边缘和拐角处:应设置暗圈梁或设置钢筋混凝土边梁,暗圈梁的纵向钢筋直径不应小于12mm,且不应少于4根,箍筋直径不应小于6mm,间距不应大于150mm。
6.4.2 均布荷载作用下,现浇混凝土板柱结构双向板中缓粘结预应力筋的布置和分配宜满足下列规定:
1 缓粘结预应力筋的布置方式可按划分柱上板带和跨中板带设置(图6.4.2)。缓粘结预应力筋分配在柱上板带的数量可占60%~75%,其余分配在跨中板带上。

2 每个方向穿过柱子的缓粘结预应力筋的数量不得少于2根。
6.4.3 板柱节点形式及构造设计应符合下列规定:
1 在两个方向分别按本规程第6.4.1条规定配置的非预应力纵向钢筋和按本规程第6.4.2条规定配置的缓粘结预应力筋应正交配置在规定范围。
2 可采用下列方法增强板柱节点的冲切承载力:
1)采用平托板将板柱节点附近板局部加厚(图6.4.3a)或加柱帽,平托板长度和厚度以及柱帽应按受冲切承载力要求确定。
2)采用穿过柱截面布置于板内的暗梁,暗梁由抗剪箍筋与纵向钢筋构成(图6.4.3b),上部钢筋不应少于暗梁宽度范围内柱上板带所需非预应力纵向钢筋,且直径不应小于16mm,下部钢筋直径也不应小于16mm。
3)采用互相垂直并通过柱子截面的型钢剪力架(图6.4.3c),抗冲切承载力应符合现行行业标准《无粘结预应力混凝土结构技术规程》JGJ 92的规定。

3 非抗震设计时,平托板底部宜布置构造钢筋;抗震设计时,托板底部钢筋应按计算确定,并应满足抗震锚固要求。计算柱上板带的支座钢筋时,可考虑托板厚度的有利影响。
4 对柱支承空心楼盖结构,在板柱节点周围应做成实心板,其宽度不应小于冲切破坏锥体的宽度;当采用箍筋、锚栓、弯起钢筋或剪力架加强节点的受冲切承载能力时,其宽度不应小于加强件的延伸长度。
6.4.4 缓粘结预应力混凝土板柱结构双向板可在局部开洞,但应验算开洞后承载力及刚度。当未作专门分析而在板的不同部位开单个洞时,所有洞边均应设置补强钢筋,开单个洞的大小应符合下列规定:
1 在两个方向的柱上板带公共区域内,所开洞的长边尺寸b不应大于相应方向柱宽b c 的1/4,且不应大于板厚的1/2;
2 在一方向的跨中板带和另一方向的柱上板带公共区域内,所开洞的边长a不应大于相应跨中板带宽度A 2 的1/4,边长b不应大于相应柱上板带宽度B 1 的1/4(图6.4.4洞2);
3 在两个方向的跨中板带公共区域内,所开洞的边长a不应大于相应跨中板带宽度A 2 的1/4,边长b不应大于相应跨中板带宽度民的1/4(图6.4.4洞3);
4 在同一部位开多个洞时,同一截面上各个洞宽之和不应大于该部位单个洞的允许宽度。

6.4.5 按6.4.4条规定开洞时,板内被孔洞阻断的缓粘结预应力筋可分两侧绕过洞口铺设,其离洞口的距离a不宜小于150mm,b不宜小于300mm,水平偏移的曲率半径R不宜小于4m(图6.4.5);偏移斜率c:d不宜大于1:6,当大于1:6时,宜配置U形钢筋。
6.4.6 当楼盖因楼梯、电梯间等开洞较大,且在板边需截断缓粘结预应力筋时,应沿洞口周边设置边梁或加强带,并应补足被洞口削弱的板的承载力和截面刚度。

条文说明
6.4.1~6.4.6板柱结构中预应力混凝土平板采用缓粘结预应力配筋比有粘结预应力配筋施工更方便;另外,由于板柱结构柱上板带参与抵抗水平地震力,因此,缓粘结预应力配筋比无粘结预应力配筋更适合板柱结构。本节的配筋原则和构造参照了国家现行标准《混凝土结构设计规范》GB50010和《无粘结预应力混凝土结构技术规程》JGJ92的相关规定。
7 施工及验收
7.1 施工准备
7 施工及验收
7.1 施工准备
7.1.1 缓粘结预应力混凝土结构施工前,应由施工单位根据设计图纸和施工进度,编制详细的预应力施工方案,施工方案应经设计单位确认后方可实施。
7.1.2 缓粘结剂的固化时间和张拉适用期应根据施工进度和缓粘结预应力钢绞线生产时间确定,对于过后浇带的缓粘结预应力钢绞线,应考虑后浇带浇筑时间的影响。
7.1.3 缓粘结预应力钢绞线应按工程所需的长度和锚固形式进行下料和组装,并应采取措施防止缓粘结剂从端头流出。下料长度应综合考虑其曲率、锚固端保护层厚度,并应根据不同的张拉方式和锚固形式预留张拉长度。
7.1.4 在缓粘结预应力钢绞线下料时,应对同批缓粘结预应力钢绞线留样观察,观察同条件下其固化情况。如果预应力专项验收时缓粘结剂还没达到固化时间,可根据环境温度和固化程度推断是否满足设计要求,固化期不宜超过2年。
7.1.5 缓粘结预应力钢绞线的包装、运输、贮存应符合下列规定:
1 缓粘结预应力钢绞线上应标明规格、型号、标准固化时间、标准张拉适用期,并应注明缓粘结剂与缓粘结预应力钢绞线的生产日期。
2 缓粘结预应力钢绞线在工厂加工成型后,可整盘包装运输或下料组装后成盘运输,运输应采取可靠保护措施避免包装破损及散包。
3 缓粘结预应力钢绞线的捆扎带应加衬垫防止搬运过程中损坏。在运输、装卸过程中应轻装、轻卸,并应采用尼龙吊索,严禁钢丝绳或其他坚硬吊具与缓粘结预应力钢绞线的外包护套直接接触,不得摔砸踩踏,应避免机械损伤缓粘结预应力钢绞线。
4 缓粘结预应力钢绞线在成品堆放期间,应按不同规格分类堆放于温度变化不大、通风良好处,当露天堆放时,不得直接与地面接触,并应采取覆盖措施。存放应远离热源,严禁太阳暴晒,并应按产品说明书温度存放。
条文说明
7.1.1~7.1.5缓粘结预应力施工准备中最重要的是第7.1.2条,根据工程的施工进度确定缓粘结预应力钢绞线的生产时间以及张拉适用期。温度高,缓粘结剂的固化速度加快,因此,缓粘结预应力钢绞线的储存和运输也要注意防止高温和暴晒,以免影响缓粘结预应力钢绞线的张拉适用期和固化时间。
7.2 缓粘结预应力筋的安装和混凝土浇筑
7.2 缓粘结预应力筋的安装和混凝土浇筑
7.2.1 缓粘结预应力钢绞线安装之前,应做下列检查:
1 检查标示的固化时间和张拉适用期,确认能符合工程要求。
2 检查其规格、长度和数量,确认满足设计图纸要求。
3 检查固定端组装件,确认组装件安装可靠。
4 检查外包护套外观,对于外包护套轻微破损,可采用外包防水聚乙烯胶带或热熔胶棒进行修补,外包防水聚乙烯胶带修复时每圈胶带搭接长度不应小于胶带宽度的1/2,缠绕层数不应小于2层,缠绕长度应超过破损长度的30mm,严重破损的应予以报废。
7.2.2 应按设计图纸的规定铺放缓粘结预应力筋,并应符合下列规定:
1 铺放前应通过计算确定缓粘结预应力筋的位置,其竖向高度宜采用架立钢筋控制,梁内架立钢筋间距不宜大于1m;板中单根缓粘结预应力钢绞线的架立钢筋间距不宜大于2m。
2 缓粘结预应力筋束形控制点的设计位置竖向偏差应符合表7.2.2的规定。

3 缓粘结预应力筋的水平位置应保持顺直,板内缓粘结预应力筋绕过洞口铺放时,应符合本规程第6.4.5条的规定。
4 安装板内双向缓粘结预应力筋时,应根据纵横筋交叉点的标高先铺放标高较低方向的缓粘结预应力筋。
5 各种管线的敷设不应将缓粘结预应力筋的竖向位置抬高或压低。
6 当采取多根缓粘结预应力筋成束布置时,各根应保持平行走向,防止相互扭绞;束之间的水平净间距及束至构件边缘的净间距应满足本规程第6.2.9条规定。
7 当采用多根缓粘结预应力筋平行带状布束时,应采取可靠的支撑固定措施,保证同束中各根缓粘结预应力筋具有相同的矢高;带状束在锚固端应平顺张开,缓粘结预应力筋水平偏移应满足本规程第6.4.5条的规定。
8 缓粘结预应力筋采取竖向、环向或螺旋形铺放时,应有定位支架或其他构造措施控制位置。
9 斜向或竖向布置的缓粘结预应力筋,应对缓粘结预应力筋的下端进行严密封堵,防止缓粘结剂流淌。
7.2.3 张拉端和固定端的安装应符合下列规定:
1 张拉端部宜采用木模板,并应按施工图中预应力筋位置钻孔。
2 张拉端承压板应采用可靠措施固定在端部模板上,且应保持张拉作用线与承压板面垂直。
3 张拉端锚具系统安装时,缓粘结预应力筋的外露长度应根据张拉机具所需的长度确定,穴模与承压板之间不应有缝隙。
4 固定端锚具系统安装时,固定端锚具应按设计要求位置绑扎固定,内埋式固定端承压板不得重叠,锚具与承压板应贴紧。
5 张拉端和固定端均应按设计要求配置螺旋筋或钢筋网片,螺旋筋或钢筋网片均应紧靠承压板,并保证与缓粘结预应力筋对中和固定可靠。
7.2.4 混凝土的浇筑除按有关规定执行外,尚应满足下列规定:
1 缓粘结预应力筋铺放、安装完毕后,应进行隐蔽工程验收,当确认合格后方可浇筑混凝土。
2 混凝土浇筑时,严禁踏压撞碰缓粘结预应力筋、架立筋以及端部组装件。
条文说明
7.2.1~7.2.4缓粘结预应力钢绞线的安装与无粘结预应力钢绞线的安装基本相同,安装过程中应防止缓粘结预应力钢绞线外包护套破损后缓粘结剂滴漏,缓粘结剂流出后会在护套内形成空隙,影响粘结性能。实践证明,缓粘结剂的流淌性比无粘结预应力钢绞线所用防腐油脂的流淌性好得多,如采取措施不当,缓粘结剂很容易从下端口流出。根据工程经验,一般的胶带缠绕不能彻底阻止专用粘合剂的滴漏,采用热熔胶棒修补效果较好。
7.3 缓粘结预应力筋的张拉
7.3 缓粘结预应力筋的张拉
7.3.1 缓粘结预应力筋张拉机具及仪表的维护与校验应符合下列规定:
1 张拉机具及仪表应由专人使用和管理,并应定期维护和校验。
2 张拉设备应配套校验,压力表的精度不应低于1.5级,校验张拉设备用的试验机或测力计精度不得低于±2%,校验时千斤顶活塞的运行方向应与实际张拉工作状态一致。
3 张拉设备的校验期限不应超过半年,当张拉设备出现反常现象时或在千斤顶检修后,应重新校验。
7.3.2 安装张拉设备时,应使张拉力的作用线与缓粘结预应力筋末端中心线重合;因操作空间原因需要采用变角张拉时,应通过变角器平滑改变角度,张拉力作用线应与变角器末端平面垂直。
7.3.3 缓粘结预应力筋应在张拉适用期内进行张拉;缓粘结预应力筋张拉时,混凝土立方体抗压强度应符合本规程第4.1.13条的规定。
7.3.4 在等于或低于20℃进行缓粘结预应力筋张拉时应采用持荷超张拉方式,预应力筋应力从零张拉至1.05σ con ,并应在持荷一定时间后进行锚固,持荷时间可按本规程第7.3.5条规定确定。
条文说明
7.3.4缓粘结预应力技术特点是缓粘结剂在张拉适用期内具有一定的黏性,固化后具有很高的强度。缓粘结剂的黏度与温度具有直接关系,当温度高于20℃时,缓粘结剂的黏度较小,基本不影响张拉时预应力损失,当温度低于20℃时黏度变大,摩擦损失因缓粘结剂黏度增大而增大,如果按有粘结预应力和无粘结预应力张拉方法,低温下会由于黏度而造成摩擦损失增大,试验和工程实践表明,通过持荷超张拉可以基本消除由于缓粘结剂黏度对摩擦损失的影响。因此,为了保证预应力筋有效预应力的建立,确保达到原结构设计的有效预应力值,保证结构安全,要求在温度等于或低于20℃时应采用持荷超张拉方式,并注意预应力筋伸长值能满足设计要求。
7.3.5 持荷超张拉的持荷时间与温度之间的关系可按表7.3.5采用,必要时也可根据现场实测值确定,实测时应根据伸长值与理论计算伸长值相差不超过±6%确定对应的持荷时间。

条文说明
7.3.5本规程第7.3.4条规定在等于或低于20℃进行预应力张拉时应采用持荷超张拉方式,根据试验研究和现场测试,当缓粘结剂初始黏度为100Pa·s时,采用表7.3.5所列的持荷时间就能基本消除粘滞力影响。有关粘滞力及试验资料见第2.1.10条和第4.2节条文说明。
7.3.6 当温度高于20℃时可不持荷超张拉;当温度低于5℃时不宜进行缓粘结预应力筋张拉。若工程需要在低于5℃进行张拉时,应采用升温措施减小由粘滞力产生的预应力损失。如采用专业电加热设备对钢绞线加热,通电电压不应大于安全电压36V。
条文说明
7.3.6冬季温度低于5℃时缓粘结剂黏度显著增大,张拉需要持荷4分钟以上,影响张拉速度,如果工程中一定要张拉,可以通过电加热措施对钢绞线加热到10℃以上进行张拉,该方法已经在工程中使用。
7.3.7 当采用应力控制方法张拉时,应校核缓粘结预应力筋的伸长值,当实测伸长值与设计计算理论伸长值相对偏差超过±6%时,应暂停张拉,查明原因并采取措施予以调整后,方可继续张拉。
7.3.8 缓粘结预应力筋张拉伸长值宜按下列规定确定:
1 缓粘结预应力筋理论伸长值 
(mm)可按下式计算:

式中:F pm ——缓粘结预应力筋的平均张拉力(N),取张拉端的拉力与固定端(两端张拉时,取跨中)扣除摩擦损失后拉力的平均值;
l p ——缓粘结预应力筋的长度(mm);
A p ——缓粘结预应力筋的截面面积(mm 2 );
E p ——预应力筋的弹性模量(N/mm 2 )。
2 缓粘结预应力筋实测伸长值 
(mm)可按下式确定:

式中: 
—一张拉后与张拉前预应力筋外露部分长度差值(mm);
a——锚具变形及预应力筋内缩值(mm),可按本规程第4.2.2条取值;
△l c ——混凝土构件在张拉过程中的弹性压缩值(mm),对平均预压应力较小的板类构件△l c 可略去不计。
条文说明
7.3.8过去预应力筋实测伸长值都是量测从10%张拉控制应力到最大张拉力之间的伸长值,按线性推算前10%张拉控制应力的伸长值,得到总伸长值。对于缓粘结预应力钢绞线张拉,由于开始张拉时缓粘结剂黏度较大,伸长并不能按线性推算,因此采用了量测张拉前后预应力筋露出部分长度的方法,并考虑锚具回缩值的影响。对于两端张拉或一端张拉另一端用夹片锚外露的预应力筋,应测量两端外露预应力筋长度变化,因为一端张拉,另一端会产生向内的滑动,只测量一端变形会使测量值偏大。
7.3.9 当缓粘结预应力筋设计为纵向受力钢筋时,梁的侧模可在张拉前拆除,底模支架的拆除应在梁的预应力张拉后拆除;提前拆除部分支架时,应根据计算确定,并应在施工方案中明确。
7.3.10 缓粘结预应力筋的张拉顺序应符合设计要求;设计无要求时,可采用分批、分阶段对称张拉或依次张拉。
7.3.11 当张拉时间接近缓粘结预应力筋张拉适用期,预应力筋摩擦系数偏大时,可采用预张拉或持荷超张拉的方法消除缓粘结剂初期固化对摩擦系数的影响,预张拉按本规程第7.3.12条规定进行。
7.3.12 预张拉时先不装锚具夹片,将预应力筋张拉到控制应力的30%左右放张,然后装锚具夹片,按本规程第7.3.4条和第7.3.5条规定正式张拉。
7.3.13 缓粘结预应力筋张拉时,应逐根填写张拉记录表,表格可按本规程附录A采用。
7.3.14 预应力筋张拉时应注意预应力筋内缩值,锚固采用液压顶压器顶压时,应在保持张拉力的情况下进行顶压;预应力筋的内缩量应符合设计要求,当设计无具体要求时,其内缩量应符合本规程第4.2.2条的规定。
7.3.15 缓粘结预应力筋张拉锚固后实际预应力值与工程设计规定检验值的相对允许偏差为±5%。
7.3.16 张拉后应采用砂轮锯或其他机械方法切割多余缓粘结预应力筋,切断后露出锚具夹片外的长度不得小于30mm。
7.3.17 张拉后,应按本规程第4.3节的有关规定对张拉端锚具及时进行防护处理。
7.4 工程验收
7.4 工程验收
7.4.1 缓粘结预应力混凝土分项工程施工质量验收除应符合本规程规定外,尚应符合现行国家标准《建筑工程施工质量验收统一标准》GB 50300和《混凝土结构工程施工质量验收规范》GB 50204的规定。
7.4.2 缓粘结预应力混凝土分项工程根据材料类别,可划分为缓粘结预应力筋、锚具等检验批。
7.4.3 缓粘结预应力混凝土分项工程根据施工工艺流程,可划分缓粘结预应力筋下料与安装、张拉、防火与封锚等检验批。
条文说明
7.4.1~7.4.3给出了验收的依据和缓粘结预应力混凝土分项工程的检验批划分方法。参照了现行国家标准《混凝土结构工程施工质量验收规范》GB50204的相关要求。
Ⅰ 主控项目
7.4.4 原材料进场的主控项目验收应符合下列规定:
1 缓粘结预应力钢绞线应按现行国家标准《预应力混凝土用钢绞线》GB/T 5224的规定抽取钢绞线试件做力学性能检验,其质量应符合表3.2.2-1的要求。预应力钢绞线每60t为一个检验批,每批抽取一组试件,检验产品合格证、出厂检验报告和进场复验报告。
2 锚具应按设计要求采用,并应按现行国家标准《预应力筋用锚具、夹具和连接器》GB/T 14370的有关规定进行检验,其性能应符合本规程第3.3节规定。对于用量较少的一般工程,当供货方提供有效的试验报告时,可不做静载锚固性能试验。
7.4.5 缓粘结预应力筋下料与安装的主控项目应符合下列规定:
1 缓粘结预应力筋的品种、级别、规格、数量应符合设计要求;
2 施工过程中应避免火花损伤预应力筋,受损伤的预应力筋应予以更换。
7.4.6 张拉的主控验收项目应符合下列规定:
1 缓粘结预应力筋的张拉力、张拉顺序应符合设计及施工方案的要求;
2 张拉时混凝土强度应满足本规程第4.1.13条的规定;
3 实测伸长值与理论计算伸长值相对偏差应满足本规程第7.3.7条的规定;
4 张拉锚固后实际建立的预应力值与设计规定值的相对允许偏差应符合本规程第7.3.15条的规定;抽查预应力筋总数的3%,且不少于5束,检查方法为见证张拉记录;
5 缓粘结预应力筋张拉过程中应避免预应力筋断裂或滑脱,当发生断裂或滑脱时,其数量不应超过结构同一截面缓粘结预应力筋总根数的3%,且每束缓粘结预应力钢绞线中不得超过1根钢丝断裂;对于多跨双向连续板,其同一截面应按每跨计算。
7.4.7 缓粘结预应力筋防火与封锚的主控项目验收应符合下列规定:
1 缓粘结预应力筋及锚具的防火应满足本规程第4.3.1条和第4.3.2条的规定;
2 缓粘结预应力筋张拉后应及时封锚,封锚保护应符合设计要求,并应符合本规程第4.3.3条~第4.3.8条的规定。
条文说明
7.4.4~7.4.7结合缓粘结预应力混凝土特点给出了主控项目的验收方法,参照了现行国家标准《混凝土结构工程施工质量验收规范》GB50204和《混凝土结构工程施工规范》GB50666的相关要求。
Ⅱ 一般项目
7.4.8 原材料进场的一般项目验收应按下列规定进行:
1 缓粘结预应力筋使用前应进行全数外观检查,预应力筋展开后应平顺,不得弯折,外包护套横肋应均匀,缓粘结预应力筋护套轻微破损者应进行修补,严重破损者不得使用。
2 预应力筋用锚具使用前应进行全数外观检查,其表面应无锈蚀、机械损伤和裂纹。
7.4.9 缓粘结预应力筋下料、安装的一般项目验收应按下列规定进行:
1 预应力筋下料应采用砂轮锯或切割机切断,不得采用电弧切割;下料完的缓粘结预应力筋应两端封堵。
2 缓粘结预应力筋束形控制点的竖向位置偏差应符合本规程第7.2.2条的规定,抽查预应力筋总数的5%,且不少于5束,每束不应少于5处,用钢尺检查,束形控制点的竖向位置偏差合格点率应达到90%及以上,且不得有超过本规程表7.2.2中数值1.5倍的尺寸偏差。
3 张拉端预埋承压板应垂直于预应力筋。
4 内埋式锚固端承压板不应重叠,锚具与承压板应贴紧。
7.4.10 张拉的一般项目验收:锚固阶段张拉端预应力筋的内缩值应按本规程第7.3.14条规定进行检查,每工作班抽查预应力筋总数的3%,且不少于3束,用钢尺检查。
7.4.11 缓粘结预应力防火与封锚的一般项目验收:缓粘结预应力筋锚固后的外露部分按本规程第7.3.16条规定切割,抽查预应力筋总数的3%,且不少于5束,进行观察和钢尺检查。
7.4.12 缓粘结预应力钢绞线同条件固化试样一般项目验收:按本规程第7.1.4条留取试样,每件试样长度不少于100mm,每批不少于3件,观察缓粘结剂的固化情况。
7.4.13 缓粘结预应力混凝土结构分项工程验收时,应提供下列文件和记录:
1 经审查批准的施工技术方案;
2 设计变更文件;
3 缓粘结预应力筋的出厂质量合格证、出厂检验报告和进场复验报告;
4 锚具、连接器的出厂质量合格证、出厂检验报告和进场复验报告;
5 张拉设备配套标定报告;
6 加工、组装缓粘结预应力筋张拉端、固定端质量验收记录;
7 缓粘结预应力筋安装质量验收记录;
8 隐蔽工程验收记录;
9 张拉时混凝土立方体抗压强度同条件养护试件试验报告;
10 缓粘结预应力筋张拉记录;
11 封锚记录;
12 同条件固化观察记录;
13 其他必要的文件与记录。
条文说明
7.4.8~7.4.13结合缓粘结预应力混凝土特点给出了一般项目的验收方法,参照了现行国家标准《混凝土结构工程施工质量验收规范》GB50204和《混凝土结构工程施工规范》GB50666的相关要求。
附录A缓粘结预应力筋张拉记录表
附录A 缓粘结预应力筋张拉记录表
条文说明
由于缓粘结剂的黏度影响预应力筋张拉的摩擦损失,而黏度又与构件温度、张拉速度有关,不同温度可以通过不同的持荷时间消除缓粘结粘滞力的影响,因此,表A.0.2比一般的预应力张拉记录增加了温度和持荷时间。
A.0.1 缓粘结预应力筋张拉记录表首页可采用表A.0.1的样式。

A.0.2 缓粘结预应力筋张拉记录表可采用表A.0.2的样式。

本规程用词说明
本规程用词说明
1 为便于在执行本规程条文时区别对待,对要求严格程度不同的用词说明如下:
1)表示很严格,非这样做不可的:
正面词采用“必须”,反面词采用“严禁”。
2)表示严格,在正常情况下均应这样做的:
正面词采用“应”,反面同采用“不应”或“不得”。
3)表示允许稍有选择,在条件许可时首先应这样做的:
正面词采用“宜”,反面词采用“不宜”。
4)表示有选择,在一定条件下可以这样做的,采用“可”。
2 条文中指明应按其他有关标准执行的写法为“应符合……的规定”或“应按……执行”。
引用标准名录
引用标准名录
1 《建筑结构荷载规范》GB 50009
2 《混凝土结构设计规范》GB 50010
3 《建筑抗震设计规范》GB 50011
4 《工程结构可靠性设计统一标准》GB 50153
5 《混凝土结构工程施工质量验收规范》GB 50204
6 《建筑工程施工质量验收统一标准》GB 50300
7 《预应力混凝土用钢绞线》GB/T 5224
8 《聚乙烯(PE)树脂》GB/T 11115
9 《预应力筋用锚具、夹具和连接器》GB/T 14370
10 《预应力筋用锚具、夹具和连接器应用技术规程》JGJ 85
11 《无粘结预应力混凝土结构技术规程》JGJ 92
12 《预应力混凝土结构抗震设计规程》JGJ 140
13 《缓粘结预应力钢绞线》JG/T 369
14 《缓粘结预应力钢绞线专用粘合剂》JG/T 370
自2022年4月1日起废止的条文

