Appearance
《工程结构可靠性设计统一标准[附条文说明]》GB 50153-2008
🗓️ 住房和城乡建设部 实施时间:2009-07-01
前言
中华人民共和国国家标准
工程结构可靠性设计统一标准
Unified standard for reliability design of engineering structures
GB 50153-2008
主编部门:中华人民共和国住房和城乡建设部
批准部门:中华人民共和国住房和城乡建设部
施行日期:2009年 7 月 1 日
中华人民共和国住房和城乡建设部公告
第156号
关于发布国家标准《工程结构可靠性设计统一标准》的公告
现批准《工程结构可靠性设计统一标准》为国家标准,编号为GB 50153-2008,自2009年7月1日起实施。其中,第3.2.1、3.3.1条为强制性条文,必须严格执行。原《工程结构可靠度设计统一标准》GB 50153-92同时废止。
本标准由我部标准定额研究所组织中国建筑工业出版社出版发行。
中华人民共和国住房和城乡建设部
2008年11月12日
前 言
根据建设部《关于印发<二〇〇二~二〇〇三年度工程建设国家标准制订、修订计划)的通知》(建标[2003]102号)的要求,中国建筑科学研究院会同有关单位共同对国家标准《工程结构可靠度设计统一标准》GB50153-92进行了全面修订。
本标准在修订过程中,积极借鉴了国际标准化组织ISO发布的国际标准《结构可靠性总原则》ISO 2394:1998和欧洲标准化委员会CEN批准通过的欧洲规范《结构设计基础》EN1990:2002,同时认真贯彻了从中国实际出发的方针,总结了我国大规模工程实践的经验,贯彻了可持续发展的指导原则。修订后的新标准比原标准在内容上有所扩展,涵盖了工程结构设计基础的基本内容,是一项工程结构设计的基础标准。
修订后的新标准对建筑工程、铁路工程、公路工程、港口工程、水利水电工程等土木工程各领域工程结构设计的共性问题,即工程结构设计的基本原则、基本要求和基本方法作出了统一规定,以使我国土木工程各领域之间在处理结构可靠性问题上具有统一性和协调性,并与国际接轨。本标准把土木工程各领域工程结构设计的共性要求列入了正文;而将专门领域的具体规定和对专门问题的规定列入了附录。主要内容包括:总则、术语、符号、基本规定、极限状态设计原则、结构上的作用和环境影响、材料和岩土的性能及几何参数、结构分析和试验辅助设计、分项系数设计方法等。
本标准以黑体字标志的条文为强制性条文,必须严格执行。
本标准由住房和城乡建设部负责对强制性条文的管理和解释,由中国建筑科学研究院负责具体技术内容的解释。为了提高标准质量,请各单位在执行本标准的过程中,注意总结经验,积累资料,随时将有关的意见和建议寄给中国建筑科学研究院(地址:北京市北三环东路30号;邮政编码:100013),以供今后修订时参考。
本标准主编单位:中国建筑科学研究院
本标准参编单位:中国铁道科学研究院、铁道第三勘察设计院集团有限公司、中交公路规划设计院有限公司、中交水运规划设计院有限公司、水电水利规划设计总院、水利部水利水电规划设计总院、大连理工大学、西安建筑科技大学、上海交通大学、中国工程建设标准化协会
本标准主要起草人:袁振隆、史志华、李明顺、 胡德炘 、陈基发、李云贵、邸小坛、刘晓光、李铁夫、张玉玲、赵君黎、杜廷瑞、杨松泉、沈义生、周建平、雷兴顺、贡金鑫、姚继涛、鲍卫刚、姚明初、刘西拉、邵卓民、赵国藩
1 总则
1 总 则
1.0.1 为统一房屋建筑、铁路、公路、港口、水利水电等各类工程结构设计的基本原则、基本要求和基本方法,使结构符合可持续发展的要求,并符合安全可靠、经济合理、技术先进、确保质量的要求,制定本标准。
条文说明
1.0.1 本标准是我国工程建设领域的一本重要的基础性国家标准,是制定我国工程建设其他相关标准的基础。本标准对包括房屋建筑、铁路、公路、港口、水利水电在内的各类工程结构设计的基本原则、基本要求和基本方法做出了统一规定,其目的是使设计建造的各类工程结构能够满足确保人的生命和财产安全并符合国家的技术经济政策的要求。 近年来,“可持续发展”越来越成为各类工程结构发展的主题,在最新的国际标准草案《房屋建筑的可持续性——总原则》ISO/DIS 15392(Sustainability in building construction—Gener-al principles)中还对可持续发展(sustainable development)给出了如下定义:“这种发展满足当代人的需要而不损害后代人满足其需要的能力”。有鉴于此,本次修订中增加了“使结构符合可持续发展的要求”。 对于工程结构而言,可持续发展需要考虑经济、环境和社会三个方面的内容: 一、经济方面 应尽量减少从工程的规划、设计、建造、使用、维修直至拆除等各阶段费用的总和,而不是单纯从某一阶段的费用进行衡量。以墙体为例,如仅着眼于降低建造费用而使墙体的保暖性不够,则在使用阶段的采暖费用必然增加,就不符合可持续发展的要求。 二、环境方面 要做到减少原材料和能源的消耗,减少污染。建筑工程对环境的冲击性很大。以工程结构中大量采用的钢筋混凝土为例,减少对环境冲击的方法有提高水泥、混凝土、钢材的性能和强度,淘汰低性能和强度的材料;提高钢筋混凝土的耐久性;利用粉煤灰等作为水泥的部分替代用品(生产水泥时会大量产生二氧化碳),利用混凝土碎块作为骨料的部分替代用品等。 三、社会方面 要保护使用者的健康和舒适,保护建筑工程的文化价值。可持续发展的最终目标还是发展,工程结构的性能、功能必须好,能满足使用者日益提高的要求。 为了提高可持续性的应用水平,国际上正在做出努力,例如,国际标准化组织正在编制的国际标准或技术规程有《房屋建筑的可持续性——总原则》ISO 15392、《房屋建筑的可持续性——建筑工程环境性能评估方法框架》ISO/TS 21931(Sustainability in building construction—Framework for methods of assessment for environmental performance of construction work)等。 我国需要制定标准、规范,以大力推行可持续发展的房屋及土木工程。
1.0.2 本标准适用于整个结构、组成结构的构件以及地基基础的设计;适用于结构施工阶段和使用阶段的设计;适用于既有结构的可靠性评定。
条文说明
1.0.2 本条规定了本标准的适用范围。本标准作为我国工程结构领域的一本基础标准,所规定的基本原则、基本要求和基本方法适用于整个结构、组成结构的构件及地基基础的设计;适用于结构的施工阶段和使用阶段;也适用于既有结构的可靠性评定。
1.0.3 工程结构设计宜采用以概率理论为基础、以分项系数表达的极限状态设计方法;当缺乏统计资料时,工程结构设计可根据可靠的工程经验或必要的试验研究进行,也可采用容许应力或单一安全系数等经验方法进行。
条文说明
1.0.3 我国在工程结构设计领域积极推广并已得到广泛采用的是以概率理论为基础、以分项系数表达的极限状态设计方法,但这并不意味着要排斥其他有效的结构设计方法,采用什么样的结构设计方法,应根据实际条件确定。概率极限状态设计方法需要以大量的统计数据为基础,当不具备这一条件时,工程结构设计可根据可靠的工程经验或通过必要的试验研究进行,也可继续按传统模式采用容许应力或单一安全系数等经验方法进行。 荷载对结构的影响除了其量值大小外,荷载的离散性对结构的影响也相当大,因而不同的荷载采用不同的分项系数,如永久荷载分项系数较小,风荷载分项系数较大;另一方面,荷载对地基的影响除了其量值大小外,荷载的持续性对地基的影响也很大。例如对一般的房屋建筑,在整个使用期间,结构自重始终持续作用,因而对地基的变形影响大,而风荷载标准值的取值为平均50年一遇值,因而对地基承载力和变形影响均相对较小,有风组合下的地基容许承载力应该比无风组合下的地基容许承载力大。 基础设计时,如用容许应力方法确定基础底面积,用极限状态方法确定基础厚度及配筋,虽然在基础设计上用了两种方法,但实际上也是可行的。 除上述两种设计方法外,还有单一安全系数方法,如在地基稳定性验算中,要求抗滑力矩与滑动力矩之比大于安全系数K。 钢筋混凝土挡土墙设计是三种设计方法有可能同时应用的一个例子:挡土墙的结构设计采用极限状态法,稳定性(抗倾覆稳定性、抗滑移稳定性)验算采用单一安全系数法,地基承载力计算采用容许应力法。如对结构和地基采用相同的荷载组合和相同的荷载系数,表面上是统一了设计方法,实际上是不正确的。 设计方法虽有上述三种可用,但结构设计仍应采用极限状态法,有条件时采用以概率理论为基础的极限状态法。欧洲规范为极限状态设计方法用于土工设计,使极限状态方法在工程结构设计中得以全面实施,已经做出努力,在欧洲规范7《土工设计》(Eurocode 7 Geotechnical design)中,专门列出了土工设计状况。在土工设计状况中,各分项系数与持久、短暂设计状况中的分项系数有所不同。本标准因缺乏这方面的研究工作基础,因而未能对土工设计状况做出明确的表述。
1.0.4 各类工程结构设计标准和其他相关标准应遵守本标准规定的基本准则,并应制定相应的具体规定。
1.0.5 工程结构设计除应遵守本标准的规定外,尚应遵守国家现行有关标准的规定。
条文说明
1.0.4、1.0.5 本标准是制定各类工程结构设计标准和其他相关标准应遵守的基本准则,它并不能代替各类工程结构设计标准和其他相关标准,如从结构设计看,本标准主要制定了各类工程结构设计所共同面临的各种基本变量(作用、环境影响、材料性能和几何参数)的取值原则、作用组合的规则、作用组合效应的确定方法等,结构设计中各基本变量的具体取值及在各种受力状态下作用效应和结构抗力具体计算方法应由各类工程结构的设计标准和其他相关标准作出相应规定。
2 术语、符号
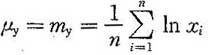
2.1 术语
2 术语、符号
条文说明
本章的术语和符号主要依据国家标准《工程结构设计基本术语和通用符号》GBJ 132-90、国际标准《结构可靠性总原则》ISO 2394:1998和原国家标准《工程结构可靠度设计统一标准》GB 50153-92,并主要参考国家标准《建筑结构可靠度设计统一标准》GB 50068-2001和欧洲规范《结构设计基础》EN1990:2002等。
2.1 术 语
2.1.1 结构 structure
能承受作用并具有适当刚度的由各连接部件有机组合而成的系统。
2.1.2 结构构件 structural member
结构在物理上可以区分出的部件。
条文说明
2.1.2 结构构件
例如,柱、梁、板、基桩等。
2.1.3 结构体系 structural system
结构中的所有承重构件及其共同工作的方式。
2.1.4 结构模型 structural model
用于结构分析、设计等的理想化的结构体系。
2.1.5 设计使用年限 design working life
设计规定的结构或结构构件不需进行大修即可按预定目的使用的年限。
条文说明
2.1.5 设计使用年限
在2000年第279号国务院令颁布的《建设工程质量管理条例》中,规定了基础设施工程、房屋建筑的地基基础工程和主体结构工程的最低保修期限为设计文件规定的该工程的“合理使用年限”;在1998年国际标准《结构可靠性总原则》ISO 2394:1998中,提出了“设计工作年限(design working life)”,其含义与“合理使用年限”相当。
在国家标准《建筑结构可靠度设计统一标准》GB 50068-2001中,已将“合理使用年限”与“设计工作年限”统一称为“设计使用年限”,
本标准首次将这一术语推广到各类工程结构,并规定工程结构在超过设计使用年限后,应进行可靠性评估,根据评估结果,采取相应措施,并重新界定其使用年限。
设计使用年限是设计规定的一个时段,在这一规定时段内,结构只需进行正常的维护而不需进行大修就能按预期目的使用,并完成预定的功能,即工程结构在正常使用和维护下所应达到的使用年限,如达不到这个年限则意味着在设计、施工、使用与维护的某一或某些环节上出现了非正常情况,应查找原因。所谓“正常维护”包括必要的检测、防护及维修。
2.1.6 设计状况 design situations
代表一定时段内实际情况的一组设计条件,设计应做到在该组条件下结构不超越有关的极限状态。
条文说明
2.1.6 设计状况
以房屋建筑为例,房屋结构承受家具和正常人员荷载的状况属持久状况;结构施工时承受堆料荷载的状况属短暂状况;结构遭受火灾、爆炸、撞击等作用的状况属偶然状况;结构遭受罕遇地震作用的状况属地震状况。
2.1.7 持久设计状况 persistent design situation
在结构使用过程中一定出现,且持续期很长的设计状况,其持续期一般与设计使用年限为同一数量级。
2.1.8 短暂设计状况 transient design situation
在结构施工和使用过程中出现概率较大,而与设计使用年限相比,其持续期很短的设计状况。
2.1.9 偶然设计状况 accidental design situation
在结构使用过程中出现概率很小,且持续期很短的设计状况。
2.1.10 地震设计状况 seismic design situation
结构遭受地震时的设计状况。
2.1.11 荷载布置 load arrangement
在结构设计中,对自由作用的位置、大小和方向的合理确定。
条文说明
2.1.11 荷载布置
荷载布置就是布置荷载的位置、大小和方向。只有自由作用有荷载布置的问题,固定作用不存在这个问题。荷载布置通常被称为图形加载。荷载布置的一个最简单例子,如对一根多跨连续梁,有各跨均加载、每隔一跨加载或相邻二跨加载而其余跨均不加载等荷载布置。
2.1.12 荷载工况 load case
为特定的验证目的,一组同时考虑的固定可变作用、永久作用、自由作用的某种相容的荷载布置以及变形和几何偏差。
条文说明
2.1.12 荷载工况
荷载工况就是确定荷载组合和每一种荷载组合下的各种荷载布置。假设某一结构设计共有3种荷载组合,荷载组合①有3种荷载布置,组合②有4种荷载布置,组合③有12种荷载布置,则该结构设计共有19种荷载工况。设计时对每一种荷载工况都要按式(8.2.4-1)或式(8.2.4-2)计算出荷载效应,结构各截面的荷载效应最不利值就是按式(8.2.4-1)或式(8.2.4-2)计算的基本组合的效应设计值。
除有经验、有把握排除对设计不起控制的荷载工况外,对每一种荷载工况均需要进行相应的结构分析。分析的目的是要找到各个截面、各个构件、结构各个部分及整个结构的最不利荷载效应。只要达到这个目的,任何计算过程都是可以的。
当荷载与荷载效应为线性关系时,叠加原理适用,荷载组合可转换为荷载效应叠加,即用式(8.2.4-2)取代式(8.2.4-1),此时,可先对每一种荷载(的每一种布置),计算出其荷载效应,然后按式(8.2.4-2)进行荷载效应叠加。
2.1.13 极限状态 limit states
整个结构或结构的一部分超过某一特定状态就不能满足设计规定的某一功能要求,此特定状态为该功能的极限状态。
2.1.14 承载能力极限状态 ultimate limit states
对应于结构或结构构件达到最大承载力或不适于继续承载的变形的状态。
2.1.15 正常使用极限状态 serviceability limit states
对应于结构或结构构件达到正常使用或耐久性能的某项规定限值的状态。 ·
2.1.16 不可逆正常使用极限状态 irreversible serviceability limit states
当产生超越正常使用极限状态的作用卸除后,该作用产生的超越状态不可恢复的正常使用极限状态。
2.1.17 可逆正常使用极限状态 reversible serviceability limit states
当产生超越正常使用极限状态的作用卸除后,该作用产生的超越状态可以恢复的正常使用极限状态。
2.1.18 抗力 resistance
结构或结构构件承受作用效应的能力。
条文说明
2.1.18 抗力
例如,承载力、刚度、抗裂度等。
2.1.19 结构的整体稳固性 structural integrity (structural ro-bustness)
当发生火灾、爆炸、撞击或人为错误等偶然事件时,结构整体能保持稳固且不出现与起因不相称的破坏后果的能力。
条文说明
2.1.19 结构的整体稳固性
结构的整体稳固性系指结构在遭遇偶然事件时,仅产生局部的损坏而不致出现与起因不相称的整体性破坏。
2.1.20 连续倒塌 progressive collapse
初始的局部破坏,从构件到构件扩展,最终导致整个结构倒塌或与起因不相称的一部分结构倒塌。
2.1.21 可靠性 reliability
结构在规定的时间内,在规定的条件下,完成预定功能的能力。
2.1.22 可靠度 degree of reliability (reliability)
结构在规定的时间内,在规定的条件下,完成预定功能的概率。
条文说明
2.1.22 可靠度
对于新建结构,“规定的时间”是指设计使用年限。结构的可靠度是对可靠性的定量描述,即结构在规定的时间内,在规定的条件下,完成预定功能的概率。这是从统计数学观点出发的比较科学的定义,因为在各种随机因素的影响下,结构完成预定功能的能力只能用概率来度量。结构可靠度的这一定义,与其他各种从定值观点出发的定义是有本质区别的。
2.1.23 失效概率 P f probability of failure P f
结构不能完成预定功能的概率。
2.1.24 可靠指标 β reliability index β
度量结构可靠度的数值指标,可靠指标 β 与失效概率 P f 的关系为 β=-Ф -1 (P f ) ,其中 Ф -1 ( · ) 为标准正态分布函数的反函数。
条文说明
2.1.24 可靠指标β
对于新建结构,与可靠度相对应的可靠指标β,是指设计使用年限的β。
2.1.25 基本变量 basic variable
代表物理量的一组规定的变量,用于表示作用和环境影响、材料和岩土的性能以及几何参数的特征。
2.1.26 功能函数 performance function
关于基本变量的函数,该函数表征一种结构功能。
2.1.27 概率分布 probability distribution
随机变量取值的统计规律,一般采用概率密度函数或概率分布函数表示。
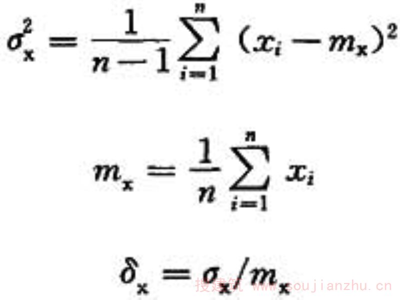
2.1.28 统计参数 statistical parameter
在概率分布中用来表示随机变量取值的平均水平和离散程度的数字特征。
条文说明
2.1.28 统计参数
例如,平均值、标准差、变异系数等。
2.1.29 分位值 fractile
与随机变量概率分布函数的某一概率相应的值。
2.1.30 名义值 nominal value
用非统计方法确定的值。
条文说明
2.1.30 名义值
例如,根据物理条件或经验确定的值。
2.1.31 极限状态法 limit state method
不使结构超越某种规定的极限状态的设计方法。
2.1.32 容许应力法 permissible (allowable) stress method
使结构或地基在作用标准值下产生的应力不超过规定的容许应力(材料或岩土强度标准值除以某一安全系数)的设计方法。
2.1.33 单一安全系数法 single safety factor method
使结构或地基的抗力标准值与作用标准值的效应之比不低于某一规定安全系数的设计方法。
2.1.34 作用 action
施加在结构上的集中力或分布力(直接作用,也称为荷载)和引起结构外加变形或约束变形的原因(间接作用)。
2.1.35 作用效应 effect of action
由作用引起的结构或结构构件的反应。
条文说明
2.1.35 作用效应
例如,内力、变形和裂缝等。
2.1.36 单个作用 single action
可认为与结构上的任何其他作用之间在时间和空间上为统计独立的作用。
2.1.37 永久作用 permanent action
在设计所考虑的时期内始终存在且其量值变化与平均值相比可以忽略不计的作用,或其变化是单调的并趋于某个限值的作用。
2.1.38 可变作用 variable action
在设计使用年限内其量值随时间变化,且其变化与平均值相比不可忽略不计的作用。
2.1.39 偶然作用 accidental action
在设计使用年限内不一定出现,而一旦出现其量值很大,且持续期很短的作用。
2.1.40 地震作用 seismic action
地震对结构所产生的作用。
2.1.41 土工作用 geotechnical action
由岩土、填方或地下水传递到结构上的作用。
2.1.42 固定作用 fixed action
在结构上具有固定空间分布的作用。当固定作用在结构某一点上的大小和方向确定后,该作用在整个结构上的作用即得以确定。
2.1.43 自由作用 free action
在结构上给定的范围内具有任意空间分布的作用。
2.1.44 静态作用 static action
使结构产生的加速度可以忽略不计的作用。
2.1.45 动态作用 dynamic action
使结构产生的加速度不可忽略不计的作用。
2.1.46 有界作用 bounded action
具有不能被超越的且可确切或近似掌握其界限值的作用。
2.1.47 无界作用 unbounded action
没有明确界限值的作用。
2.1.48 作用的标准值 characteristic value of an action
作用的主要代表值,可根据对观测数据的统计、作用的自然界限或工程经验确定。
2.1.49 设计基准期 design reference period
为确定可变作用等的取值而选用的时间参数。
条文说明
2.1.49 设计基准期
原标准中设计基准期,一是用于可靠指标β,指设计基准期的β,二是用于可变作用的取值。本标准中设计基准期只用于可变作用的取值。
设计基准期是为确定可变作用的取值而规定的标准时段,它不等同于结构的设计使用年限。设计如需采用不同的设计基准期,则必须相应确定在不同的设计基准期内最大作用的概率分布及其统计参数。
2.1.50 可变作用的组合值 combination value of a variable ac-tion
使组合后的作用效应的超越概率与该作用单独出现时其标准值作用效应的超越概率趋于一致的作用值;或组合后使结构具有规定可靠指标的作用值。可通过组合值系数( ψ c ≤1)对作用标准值的折减来表示。
2.1.51 可变作用的频遇值 frequent value of a variable action
在设计基准期内被超越的总时间占设计基准期的比率较小的作用值;或被超越的频率限制在规定频率内的作用值。可通过频遇值系数( ψ f ≤1)对作用标准值的折减来表示。
2.1.52 可变作用的准永久值 quasi-permanent value of a vari-able action
在设计基准期内被超越的总时间占设计基准期的比率较大的作用值。可通过准永久值系数( ψ c ≤1)对作用标准值的折减来表示。
2.1.53 可变作用的伴随值 accompanying value of a variableaction
在作用组合中,伴随主导作用的可变作用值。可变作用的伴随值可以是组合值、频遇值或准永久值。
条文说明
2.1.53 可变作用的伴随值
在作用组合中,伴随主导作用的可变作用值。主导作用:在作用的基本组合中为代表值采用标准值的可变作用;在作用的偶然组合中为偶然作用;在作用的地震组合中为地震作用。
2.1.54 作用的代表值 representative value of an action
极限状态设计所采用的作用值。它可以是作用的标准值或可变作用的伴随值。
条文说明
2.1.54 作用的代表值
作用的代表值包括作用标准值、组合值、频遇值和准永久值,其量值从大到小的排序依次为:作用标准值>组合值>频遇值>准永久值。这四个值的排序不可颠倒,但个别种类的作用,组合值与频遇值可能取相同值。
2.1.55 作用的设计值 design value of an action
作用的代表值与作用分项系数的乘积。
2.1.56 作用组合 (荷载组合) combination of actions (loadcombination)
在不同作用的同时影响下,为验证某一极限状态的结构可靠度而采用的一组作用设计值。
条文说明
2.1.56 作用组合(荷载组合)
原标准《工程结构可靠度设计统一标准》GB 50153-92在术语上都是沿用作用效应组合,在概念上主要强调的是在设计时对不同作用(或荷载)经过合理搭配后,将其在结构上的效应叠加的过程。实际上在结构设计中,当作用与作用效应间为非线性关系时,作用组合时采用简单的线性叠加就不再有效,因此在采用效应叠加时,还必须强调作用与作用效应“可按线性关系考虑”的条件。 为此,在不同作用(或荷载)的组合时,不再强调在结构上效应叠加的涵义,而且其组合内容,除考虑它们的合理搭配外,还应包括它们在某种极限状态结构设计表达式中设计值的规定,以保证结构具有必要的可靠度。
2.1.57 环境影响 environmental influence
环境对结构产生的各种机械的、物理的、化学的或生物的不利影响。环境影响会引起结构材料性能的劣化,降低结构的安全性或适用性,影响结构的耐久性。
2.1.58 材料性能的标准值 characteristic value of a materialproperty
符合规定质量的材料性能概率分布的某一分位值或材料性能的名义值。
2.1.59 材料性能的设计值 design value of a material property
材料性能的标准值除以材料性能分项系数所得的值。
2.1.60 几何参数的标准值 characteristic value of a geomet-rical parameter
设计规定的几何参数公称值或几何参数概率分布的某一分位值。
2.1.61 几何参数的设计值 design value of a geometrical pa-rameter
几何参数的标准值增加或减少一个几何参数的附加量所得的值。
2.1.62 结构分析 structural analysis
确定结构上作用效应的过程。
2.1.63 一阶线弹性分析 first order linear-elastic analysis
基于线性应力-应变或弯矩-曲率关系,采用弹性理论分析方法对初始结构几何形体进行的结构分析。
2.1.64 二阶线弹性分析 second order linear-elastic analysis
基于线性应力-应变或弯矩-曲率关系,采用弹性理论分析方法对已变形结构几何形体进行的结构分析。
2.1.65 有重分布的一阶或二阶线弹性分析 first order (or sec-ond order) linear-elastic analysis with redistribution
结构设计中对内力进行调整的一阶或二阶线弹性分析,与给定的外部作用协调,不做明确的转动能力计算的结构分析。
2.1.66 一阶非线性分析 first order non-linear analysis
基于材料非线性变形特性对初始结构的几何形体进行的结构分析。
2.1.67 二阶非线性分析 second order non-linear analysis
基于材料非线性变形特性对已变形结构几何形体进行的结构分析。
2.1.68 弹塑性分析(一阶或二阶) elasto-plastic analysis (first or second order)
基于线弹性阶段和随后的无硬化阶段构成的弯矩-曲率关系的结构分析。
2.1.69 刚性-塑性分析 rigid plastic analysis
假定弯矩-曲率关系为无弹性变形和无硬化阶段,采用极限分析理论对初始结构的几何形体进行的直接确定其极限承载力的结构分析。
条文说明
2.1.63~2.1.69 一阶线弹性分析~刚性-塑性分析
一阶分析与二阶分析的划分界限在于结构分析时所依据的结构是否已考虑变形。如依据的是初始结构即未变形结构,则是一阶分析;如依据的是已变形结构,则是二阶分析。
事实上结构承受荷载时总是要产生变形的,如变形很小,由结构变形产生的次内力不影响结构的安全性和适用性,则结构分析时可略去变形的影响,根据初始结构的几何形体进行一阶分析,以简化计算工作。
2.1.70 既有结构 existing structure
已经存在的各类工程结构。
2.1.71 评估使用年限 assessed working life
可靠性评定所预估的既有结构在规定条件下的使用年限。
2.1.72 荷载检验 load testing
通过施加荷载评定结构或结构构件的性能或预测其承载力的试验。
2.2 符号
2.2 符 号
2.2.1 大写拉丁字母的符号:
A Ek ——地震作用的标准值;
A d ——偶然作用的设计值;
C——设计对变形、裂缝等规定的相应限值;
F d ——作用的设计值;
F r ——作用的代表值;
G k ——永久作用的标准值;
P——预应力作用的有关代表值;
Q k ——可变作用的标准值;
R——结构或结构构件的抗力;
R d ——结构或结构构件抗力的设计值;
S——结构或结构构件的作用效应;

——地震作用标准值的效应;

——偶然作用设计值的效应;
S d ——作用组合的效应设计值;

——不平衡作用效应的设计值;

——平衡作用效应的设计值;

——永久作用标准值的效应;
S p ——预应力作用有关代表值的效应;

——可变作用标准值的效应;
T——设计基准期;
X——基本变量。
2.2.2 小写拉丁字母的符号:
a——几何参数;
a d ——几何参数的设计值;
a k ——几何参数的标准值;
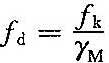
f d ——材料性能的设计值;
f k ——材料性能的标准值;
p f ——结构构件失效概率的运算值。
2.2.3 大写希腊字母的符号:
△ a ——几何参数的附加量。
2.2.4 小写希腊字母的符号:
β 一一结构构件的可靠指标;
γ O ——结构重要性系数;
γ I ——地震作用重要性系数;
γ F ——作用的分项系数;
γ G ——永久作用的分项系数;
γ L ——考虑结构设计使用年限的荷载调整系数;
γ M ——材料性能的分项系数;
γ Q ——可变作用的分项系数;
γ P ——预应力作用的分项系数;
ψ c ——作用的组合值系数;
ψ f ——作用的频遇值系数;
ψ q ——作用的准永久值系数。
3 基本规定
3.1 基本要求
3 基本规定
3.1 基本要求
3.1.1 结构的设计、施工和维护应使结构在规定的设计使用年限内以适当的可靠度且经济的方式满足规定的各项功能要求。
条文说明
3.1.1 结构可靠度与结构的使用年限长短有关,本标准所指的结构的可靠度或失效概率,对新建结构,是指设计使用年限的结构可靠度或失效概率,当结构的使用年限超过设计使用年限后,结构的失效概率可能较设计预期值增大。
3.1.2 结构应满足下列功能要求:
1 能承受在施工和使用期间可能出现的各种作用;
2 保持良好的使用性能;
3 具有足够的耐久性能;
4 当发生火灾时,在规定的时间内可保持足够的承载力;
5 当发生爆炸、撞击、人为错误等偶然事件时,结构能保持必需的整体稳固性,不出现与起因不相称的破坏后果,防止出现结构的连续倒塌。
注:1 对重要的结构,应采取必要的措施,防止出现结构的连续倒塌;对一般的结构,宜采取适当的措施,防止出现结构的连续倒塌。
2 对港口工程结构,“撞击”指非正常撞击。
条文说明
3.1.2 在工程结构必须满足的5项功能中,第1、4、5项是对结构安全性的要求,第2项是对结构适用性的要求,第3项是对结构耐久性的要求,三者可概括为对结构可靠性的要求。
所谓足够的耐久性能,系指结构在规定的工作环境中,在预定时期内,其材料性能的劣化不致导致结构出现不可接受的失效概率。从工程概念上讲,足够的耐久性能就是指在正常维护条件下结构能够正常使用到规定的设计使用年限。
偶然事件发生时,防止结构出现连续倒塌的设计方法有二类:1直接设计法;2间接设计法。
1 直接设计法
对可能承受偶然作用的主要承重构件及其连接予以加强或予以保护,使这些构件能承受荷载规范规定的或业主专门提出的偶然作用值。当技术上难以达到或经济上代价昂贵时,允许偶然事件引发结构局部破坏,但结构应具备荷载第二传递途径以替代原来的传递途径。前者有的称之为关键构件设计法,后者有的称之为荷载替代传递途径法。
直接设计法比通常用的设计方法复杂得多,代价也高。
2 间接设计法
实际上就是增强结构的整体稳固性。结构的整体稳固性是我国规范需要重点解决的问题。以房屋建筑为例,最简易可行的方法是将房屋捆扎牢固,如对钢筋混凝土框架结构,在楼盖和屋盖内部,设置沿柱列纵、横两个方向的系杆,系杆均需要通长设置,并且在楼盖和屋盖周边设置整个周边通长的系杆,将柱与整个结构连系牢固;房屋稍高时,除设置上述水平向系杆外,在柱内设置从基础到屋盖通长的竖直向系杆。 系杆设置的具体要求和方法应遵守相关技术规范的规定。而对钢筋混凝土承重墙结构,将承重墙与楼盖、屋盖连系牢固,组成“细胞状”结构。结构的延性、体系的连续性,都是设计时应予以注意的。
间接设计法的优点是易于实施,虽然这种方法不是建立在偶然作用下对结构详细分析的基础上,但是混凝土结构中连续的系杆和钢结构中加强的连接,可以使结构在偶然作用下发挥出高于其原有的承载力。虽然水平的系杆不能有效承受竖向荷载,但是原来由受损害部分承受的荷载有可能重分配至未受损害部分。
由于连续倒塌的风险对大多数建筑物而言是低的,因而可以根据结构的重要性采取不同的对策以防止出现结构的连续倒塌:
对于次要的结构,可不考虑结构的连续倒塌问题;
对于一般的结构,宜采用间接设计法;
对于重要的结构,应采用间接设计法,当业主有要求时,可采用直接设计法;
对于特别重要的结构,应采用直接设计法。
3.1.3 结构设计时,应根据下列要求采取适当的措施,使结构不出现或少出现可能的损坏:
1 避免、消除或减少结构可能受到的危害;
2 采用对可能受到的危害反应不敏感的结构类型;
3 采用当单个构件或结构的有限部分被意外移除或结构出现可接受的局部损坏时,结构的其他部分仍能保存的结构类型;
4 不宜采用无破坏预兆的结构体系;
5 使结构具有整体稳固性。
3.1.4 宜采取下列措施满足对结构的基本要求:
1 采用适当的材料;
2 采用合理的设计和构造;
3 对结构的设计、制作、施工和使用等制定相应的控制措施。
条文说明
3.1.3、3.1.4 为满足对结构的基本要求,使结构避免或减少可能的损坏,宜采取的若干主要措施。
3.2 安全等级和可靠度
3.2 安全等级和可靠度
3.2.1 工程结构设计时,应根据结构破坏可能产生的后果(危及人的生命、造成经济损失、对社会或环境产生影响等)的严重性,采用不同的安全等级。工程结构安全等级的划分应符合表3.2.1的规定。
表3.2.1 工程结构的安全等级

注:对重要的结构,其安全等级应取为一级;对一般的结构,其安全等级宜取为二级;对次要的结构,其安全等级可取为三级。 ( 自2022年1月1日起废止该条,详见新规 《工程结构通用规范》GB 55001-2021 )
条文说明
3.2.1 本条为强制性条文。在本标准中,按工程结构破坏后果的严重性统一划分为三个安全等级,其中,大量的一般结构宜列入中间等级;重要的结构应提高一级;次要的结构可降低一级。至于重要结构与次要结构的划分,则应根据工程结构的破坏后果,即危及人的生命、造成经济损失、对社会或环境产生影响等的严重程度确定。
3.2.2 工程结构中各类结构构件的安全等级,宜与结构的安全等级相同,对其中部分结构构件的安全等级可进行调整,但不得低于三级。
条文说明
3.2.2 同一工程结构内的各种结构构件宜与结构采用相同的安全等级,但允许对部分结构构件根据其重要程度和综合经济效果进行适当调整。如提高某一结构构件的安全等级所需额外费用很少,又能减轻整个结构的破坏从而大大减少人员伤亡和财物损失,则可将该结构构件的安全等级比整个结构的安全等级提高一级;相反,如某一结构构件的破坏并不影响整个结构或其他结构构件,则可将其安全等级降低一级。
3.2.3 可靠度水平的设置应根据结构构件的安全等级、失效模式和经济因素等确定。对结构的安全性和适用性可采用不同的可靠度水平。
3.2.4 当有充分的统计数据时,结构构件的可靠度宜采用可靠指标β度量。结构构件设计时采用的可靠指标,可根据对现有结构构件的可靠度分析,并结合使用经验和经济因素等确定。
3.2.5 各类结构构件的安全等级每相差一级,其可靠指标的取值宜相差0.5。
条文说明
3.2.4、3.2.5 可靠指标β的功能主要有两个:其一,是度量结构构件可靠性大小的尺度,对有充分的统计数据的结构构件,其可靠性大小可通过可靠指标β度量与比较;其二,目标可靠指标是分项系数法所采用的各分项系数取值的基本依据,为此,不同安全等级和失效模式的可靠指标宜适当拉开档次,参照国内外对规定可靠指标的分级,规定安全等级每相差一级,可靠指标取值宜相差0.5。
3.3 设计使用年限和耐久性
3.3 设计使用年限和耐久性
3.3.1 工程结构设计时,应规定结构的设计使用年限。 ( 自2022年1月1日起废止该条,详见新规 《工程结构通用规范》GB 55001-2021 )
条文说明
3.3.1 本条为强制性条文。设计文件中需要标明结构的设计使用年限,而无需标明结构的设计基准期、耐久年限、寿命等。
3.3.2 房屋建筑结构、铁路桥涵结构、公路桥涵结构和港口工程结构的设计使用年限应符合附录A的规定。
注:1 其他工程结构的设计使用年限应符合国家现行标准的有关规定;
2 特殊工程结构的设计使用年限可另行规定。
条文说明
3.3.2 随着我国市场经济的发展,迫切要求明确各类工程结构的设计使用年限。根据我国实际情况,并借鉴有关的国际标准,附录A对各类工程结构的设计使用年限分别作出了规定。国际标准《结构可靠性总原则》ISO 2394:1998和欧洲规范《结构设计基础》EN 1990:2002也给出了各类结构的设计使用年限的示例。表1是欧洲规范《结构设计基础》EN 1990:2002给出的结构设计使用年限类别的示例:
表1 设计使用年限类别示例


3.3.3 工程结构设计时应对环境影响进行评估,当结构所处的环境对其耐久性有较大影响时,应根据不同的环境类别采用相应的结构材料、设计构造、防护措施、施工质量要求等,并应制定结构在使用期间的定期检修和维护制度,使结构在设计使用年限内不致因材料的劣化而影响其安全或正常使用。
3.3.4 环境对结构耐久性的影响,可根据工程经验、试验研究、计算或综合分析等方法进行评估。
3.3.5 环境类别的划分和相应的设计、施工、使用及维护的要求等,应遵守国家现行有关标准的规定。
3.4 可靠性管理
3.4 可靠性管理
3.4.1 为保证工程结构具有规定的可靠度,除应进行必要的设计计算外,还应对结构的材料性能、施工质量、使用和维护等进行相应的控制。控制的具体措施,应符合附录B和有关的勘察、设计、施工及维护等标准的专门规定。
3.4.2 工程结构的设计必须由具有相应资格的技术人员担任。
3.4.3 工程结构的设计应符合国家现行的有关荷载、抗震、地基基础和各种材料结构设计规范的规定。
3.4.4 工程结构的设计应对结构可能受到的偶然作用、环境影响等采取必要的防护措施。
3.4.5 对工程结构所采用的材料及施工、制作过程应进行质量控制,并按国家现行有关标准的规定进行竣工验收。
3.4.6 工程结构应按设计规定的用途使用,并应定期检查结构状况,进行必要的维护和维修;当需变更使用用途时,应进行设计复核和采取必要的安全措施。
条文说明
3.4.1~3.4.6 结构达到规定的可靠度水平是有条件的,结构可靠度是在“正常设计、正常施工、正常使用”条件下结构完成预定功能的概率,本节是从实际出发,对“三个正常”的要求作出了具有可操作性的规定。
4 极限状态设计原则
4.1 极限状态
4 极限状态设计原则
4.1 极限状态
4.1.1 极限状态可分为承载能力极限状态和正常使用极限状态,并应符合下列要求:
1 承载能力极限状态
当结构或结构构件出现下列状态之一时,应认为超过了承载能力极限状态:
1)结构构件或连接因超过材料强度而破坏,或因过度变形而不适于继续承载;
2)整个结构或其一部分作为刚体失去平衡;
3)结构转变为机动体系;
4)结构或结构构件丧失稳定;
5)结构因局部破坏而发生连续倒塌;
6)地基丧失承载力而破坏;
7)结构或结构构件的疲劳破坏。
2 正常使用极限状态
当结构或结构构件出现下列状态之一时,应认为超过了正常使用极限状态:
1)影响正常使用或外观的变形;
2)影响正常使用或耐久性能的局部损坏;
3)影响正常使用的振动;
4)影响正常使用的其他特定状态。
条文说明
4.1.1 承载能力极限状态可理解为结构或结构构件发挥允许的最大承载能力的状态。结构构件由于塑性变形而使其几何形状发生显著改变,虽未达到最大承载能力,但已彻底不能使用,也属于达到这种极限状态。
疲劳破坏是在使用中由于荷载多次重复作用而达到的承载能力极限状态。
正常使用极限状态可理解为结构或结构构件达到使用功能上允许的某个限值的状态。例如,某些构件必须控制变形、裂缝才能满足使用要求。因过大的变形会造成如房屋内粉刷层剥落、填充墙和隔断墙开裂及屋面积水等后果;过大的裂缝会影响结构的耐久性;过大的变形、裂缝也会造成用户心理上的不安全感。
4.1.2 对结构的各种极限状态,均应规定明确的标志或限值。
4.1.3 结构设计时应对结构的不同极限状态分别进行计算或验算;当某一极限状态的计算或验算起控制作用时,可仅对该极限状态进行计算或验算。
4.2 设计状况
4.2 设计状况
4.2.1 工程结构设计时应区分下列设计状况:
1 持久设计状况,适用于结构使用时的正常情况;
2 短暂设计状况,适用于结构出现的临时情况,包括结构施工和维修时的情况等;
3 偶然设计状况,适用于结构出现的异常情况,包括结构遭受火灾、爆炸、撞击时的情况等;
4 地震设计状况,适用于结构遭受地震时的情况,在抗震设防地区必须考虑地震设计状况。
条文说明
4.2.1 原标准规定结构设计时应考虑持久设计状况、短暂设计状况和偶然设计状况等三种设计状况,本次修订中增加了地震设计状况。这主要由于地震作用具有与火灾、爆炸、撞击或局部破坏等偶然作用不同的特点:首先,我国很多地区处于地震设防区,需要进行抗震设计且很多结构是由抗震设计控制的;其二,地震作用是能够统计并有统计资料的,可以根据地震的重现期确定地震作用,因此,本次修订借鉴了欧洲规范《结构设计基础》EN 1990:2002的规定,在原有三种设计状况的基础上,增加了地震设计状况。结构设计应分别考虑持久设计状况、短暂设计状况、偶然设计状况,对处于地震设防区的结构尚应考虑地震设计状况。
4.2.2 工程结构设计时,对不同的设计状况,应采用相应的结构体系、可靠度水平、基本变量和作用组合等。
4.3 极限状态设计
4.3 极限状态设计
4.3.1 对本章第4.2.1条规定的四种工程结构设计状况应分别进行下列极限状态设计:
1 对四种设计状况,均应进行承载能力极限状态设计;
2 对持久设计状况,尚应进行正常使用极限状态设计;
3 对短暂设计状况和地震设计状况,可根据需要进行正常使用极限状态设计;
4 对偶然设计状况,可不进行正常使用极限状态设计。
条文说明
4.3.1 当考虑偶然事件产生的作用时,主要承重结构可仅按承载能力极限状态进行设计,此时采用的结构可靠指标可适当降低。
4.3.2 进行承载能力极限状态设计时,应根据不同的设计状况采用下列作用组合:
1 基本组合,用于持久设计状况或短暂设计状况;
2 偶然组合,用于偶然设计状况;
3 地震组合,用于地震设计状况。
4.3.3 进行正常使用极限状态设计时,可采用下列作用组合:
1 标准组合,宜用于不可逆正常使用极限状态设计;
2 频遇组合,宜用于可逆正常使用极限状态设计;
3 准永久组合,宜用于长期效应是决定性因素的正常使用极限状态设计。
4.3.4 对每一种作用组合,工程结构的设计均应采用其最不利的效应设计值进行。
条文说明
4.3.2~4.3.4 工程结构按极限状态设计时,对不同的设计状况应采用相应的作用组合,在每一种作用组合中还必须选取其中的最不利组合进行有关的极限状态设计。设计时应针对各种有关的极限状态进行必要的计算或验算,当有实际工程经验时,也可采用构造措施来代替验算。
4.3.5 结构的极限状态可采用下列极限状态方程描述:
g(X 1 ,X 2 ,…,X n )=0 (4.3.5)
式中 g( · ) ——结构的功能函数;
X i =(1,2,3…,n) ——基本变量,指结构上的各种作用和环境影响、材料和岩土的性能及几何参数等;在进行可靠度分析时,基本变量应作为随机变量。
条文说明
4.3.5 基本变量是指极限状态方程中所包含的影响结构可靠度的各种物理量。它包括:引起结构作用效应S(内力等)的各种作用,如恒荷载、活荷载、地震、温度变化等;构成结构抗力R(强度等)的各种因素,如材料性能、几何参数等。分析结构可靠度时,也可将作用效应或结构抗力作为综合的基本变量考虑。基本变量一般可认为是相互独立的随机变量。 极限状态方程是当结构处于极限状态时各有关基本变量的关系式。当结构设计问题中仅包含两个基本变量时,在以基本变量为坐标的平面上,极限状态方程为直线(线性问题)或曲线(非线性问题);当结构设计问题中包含多个基本变量时,在以基本变量为坐标的空间中,极限状态方程为平面(线性问题)或曲面(非线性问题)。
4.3.6 结构按极限状态设计应符合下列要求:
g(X 1 ,X 2 ,…,X n )≥ 0 (4.3.6-1)
当采用结构的作用效应和结构的抗力作为综合基本变量时,结构按极限状态设计应符合下列要求:
R-S≥0 (4.3.6-2)
式中R——结构的抗力;
S——结构的作用效应。
4.3.7 结构构件的设计应以规定的可靠度满足本章第4.3.6条的要求。
条文说明
4.3.6、4.3.7 为了合理地统一我国各类材料结构设计规范的结构可靠度和极限状态设计原则,促进结构设计理论的发展,本标准采用了以概率理论为基础的极限状态设计方法。
以往采用的半概率极限状态设计方法,仅在荷载和材料强度的设计取值上分别考虑了各自的统计变异性,没有对结构构件的可靠度给出科学的定量描述。这种方法常常使人误认为只要设计中采用了某一给定的安全系数,结构就能百分之百的可靠, 将设计安全系数与结构可靠度简单地等同了起来。而以概率理论为基础的极限状态设计方法则是以结构失效概率来定义结构可靠度,并以与结构失效概率相对应的可靠指标β来度量结构可靠度,从而能较好地反映结构可靠度的实质,使设计概念更为科学和明确。
4.3.8 结构构件宜根据规定的可靠指标,采用由作用的代表值、材料性能的标准值、几何参数的标准值和各相应的分项系数构成的极限状态设计表达式进行设计;有条件时也可根据附录E的规定直接采用基于可靠指标的方法进行设计。
5 结构上的作用和环境影响
5.1 一般规定
5 结构上的作用和环境影响
5.1 一般规定
5.1.1 工程结构设计时,应考虑结构上可能出现的各种作用(包括直接作用、间接作用)和环境影响。
条文说明
5.1.1 本章内容是对结构上的外界因素进行系统的分类和规定。外界因素包括在结构上可能出现的各种作用和环境影响,其中最主要的是各种作用,就作用形态的不同,还可分为直接作用和间接作用,前者是指施加在结构上的集中力或分布力,习惯上常称为荷载;不以力的形式出现在结构上的作用,归类为间接作用,它们都是引起结构外加变形和约束变形的原因,例如地面运动、基础沉降、材料收缩、温度变化等。无论是直接作用还是间接作用,都将使结构产生作用效应,诸如应力、内力、变形、裂缝等。 环境影响与作用不同,它是指能使结构材料随时间逐渐恶化的外界因素,随影响性质的不同,它们可以是机械的、物理的、化学的或生物的,与作用一样,它们也要影响到结构的安全性和适用性。
5.2 结构上的作用
5.2 结构上的作用
5.2.1 结构上的各种作用,当可认为在时间上和空间上相互独立时,则每一种作用可分别作为单个作用;当某些作用密切相关且有可能同时以最大值出现时,也可将这些作用一起作为单个作用。
条文说明
5.2.1 结构上的大部分作用,例如建筑结构的楼面活荷载和风荷载,它们各自出现与否以及出现时量值的大小,在时间和空间上都是互相独立的,这种作用在计算其结构效应和进行组合时,均可按单个作用考虑。某些作用在结构上的出现密切相关且有可能同时以最大值出现,例如桥梁上诸多单独的车辆荷载,可以将它们以车队形式作为单个荷载来考虑。此外,冬季的雪荷载和结构上的季节温度差,它们的最大值有可能同时出现,就不能各自按单个作用考虑它们的组合。
5.2.2 同时施加在结构上的各单个作用对结构的共同影响,应通过作用组合(荷载组合)来考虑;对不可能同时出现的各种作用,不应考虑其组合。
条文说明
5.2.2 对有可能同时出现的各种作用,应该考虑它们在时间和空间上的相关关系,通过作用组合(荷载组合)来处理对结构效应的影响;对于不可能同时出现的作用,就不应考虑其同时出现的组合。
5.2.3 结构上的作用可按下列性质分类:
1 按随时间的变化分类:
1)永久作用;
2)可变作用;
3)偶然作用。
2 按随空间的变化分类:
1)固定作用;
2)自由作用。
3 按结构的反应特点分类:
1)静态作用;
2)动态作用。
4 按有无限值分类:
1)有界作用;
2)无界作用。
5 其他分类。
条文说明
5.2.3 作用按随时间的变化分类是作用最主要的分类,它直接关系到作用变量概率模型的选择。
永久作用的统计参数与时间基本无关,故可采用随机变量概率模型来描述;永久作用的随机性通常表现在随空间变异上。可变作用的统计参数与时间有关,故宜采用随机过程概率模型来描述;在实用上经常可将随机过程概率模型转化为随机变量概率模型来处理。
作用按不同性质进行分类,是出于结构设计规范化的需要,例如,车辆荷载,按随时间变化的分类属于可变荷载,应考虑它对结构可靠性的影响;按随空间变化的分类属于自由作用,应考虑它在结构上的最不利位置;按结构反应特点的分类属于动态荷载,还应考虑结构的动力响应。
在选择作用的概率模型时,很多典型的概率分布类型的取值往往是无界的,而实际上很多随机作用的量值由于客观条件的限制而具有不能被超越的界限值,例如水坝的最高水位,具有敞开泄压口的内爆炸荷载等。选用这类有界作用的概率分布类型时,应考虑它们的特点,例如可采用截尾的分布类型。
作用的其他分类,例如,当进行结构疲劳验算时,可按作用随时间变化的低周性和高周性分类;当考虑结构徐变效应时,可按作用在结构上持续期的长短分类。
5.2.4 结构上的作用随时间变化的规律,宜采用随机过程的概率模型来描述,但对不同的问题可采用不同的方法进行简化。
对永久作用,在结构可靠性设计中可采用随机变量的概率模型。
对可变作用,在作用组合中可采用简化的随机过程概率模型。在确定可变作用的代表值时可采用将设计基准期内最大值作为随机变量的概率模型。
5.2.5 当永久作用和可变作用作为随机变量时,其统计参数和概率分布类型,应以观测数据为基础,运用参数估计和概率分布的假设检验方法确定,检验的显著性水平可取0.05。
5.2.6 当有充分观测数据时,作用的标准值应按在设计基准期内最不利作用概率分布的某个统计特征值确定;当有条件时,可对各种作用统一规定该统计特征值的概率定义;当观测数据不充分时,作用的标准值也可根据工程经验通过分析判断确定;对有明确界限值的有界作用,作用的标准值应取其界限值。
注:可变作用的标准值可按本标准附录C规定的原则确定。
5.2.7 工程结构按不同极限状态设计时,在相应的作用组合中对可能同时出现的各种作用,应采用不同的作用代表值。对可变作用,其代表值包括标准值、组合值、频遇值和准永久值。组合值、频遇值和准永久值可通过对可变作用的标准值分别乘以不大于1的组合值系数 ψ c 、频遇值系数 ψ f 和准永久值系数 ψ q 等折减系数来表示。
注:可变作用的组合值、频遇值和准永久值可按本标准附录C规定的原则确定。
条文说明
5.2.4~5.2.7 作为基本变量的作用,应尽可能根据它随时间变化的规律,采用随机过程的概率模型来描述,但由于对作用观测数据的局限性,对于不同问题还可给以合理的简化。譬如,在设计基准期内结构上的最不利作用(最大作用或最小作用),原则上也应按随机过程的概率模型,但通过简化,也可采用随机变量的概率模型来描述。 在一个确定的设计基准期T内,对荷载随机过程作一次连续观测(例如对某地的风压连续观测30~50年),所获得的依赖于观测时间的数据就称为随机过程的一个样本函数。每个随机过程都是由大量的样本函数构成的。 荷载随机过程的样本函数是十分复杂的,它随荷载的种类不同而异。目前对各类荷载随机过程的样本函数及其性质了解甚少。对于常见的活荷载、风荷载、雪荷载等,为了简化起见,采用了平稳二项随机过程概率模型,即将它们的样本函数统一模型化为等时段矩形波函数,矩形波幅值的变化规律采用荷载随机过程{Q(t),t∈[0,T]}中任意时点荷载的概率分布函数FQ(x)=P{Q(t0)≤x,t0∈[0,T]}来描述。 对于永久荷载,其值在设计基准期内基本不变,从而随机过程就转化为与时间无关的随机变量{G(t)=G,t∈[0,T]},所以样本函数的图像是平行于时间轴的一条直线。此时,荷载一次出现的持续时间τ=T,在设计基准期内的时段数
,而且在每一时段内出现的概率p=1。 对于可变荷载(活荷载及风、雪荷载等),其样本函数的共同特点是荷载一次出现的持续时间τ<T,在设计基准期内的时段数r>1,且在T内至少出现一次,所以平均出现次数m=pr≥1。不同的可变荷载,其统计参数τ、P以及任意时点荷载的概率分布函数FQ(x)都是不同的。 对于活荷载及风、雪荷载随机过程的样本函数采用这种统一的模型,为推导设计基准期最大荷载的概率分布函数和计算组合的最大荷载效应(综合荷载效应)等带来很多方便。 当采用一次二阶矩极限状态设计法时,必须将荷载随机过程转化为设计基准期最大荷载: 
因T已规定,故QT是一个与时间参数t无关的随机变量。 各种荷载的概率模型必须通过调查实测,根据所获得的资料和数据进行统计分析后确定,使之尽可能反映荷载的实际情况,并不要求一律选用平稳二项随机过程这种特定的概率模型。 任意时点荷载的概率分布函数FQ(x)是结构可靠度分析的基础。它应根据实测数据,运用X2检验或K-S检验等方法,选择典型的概率分布如正态、对数正态、伽马、极值Ⅰ型、极值Ⅱ型、极值Ⅲ型等来拟合,检验的显著性水平可取0.05。显著性水平是指所假设的概率分布类型为真而经检验被拒绝的最大概率。 荷载的统计参数,如平均值、标准差、变异系数等,应根据实测数据,按数理统计学的参数估计方法确定。当统计资料不足而一时又难以获得时,可根据工程经验经适当的判断确定。 虽然任何作用都具有不同性质的变异性,但在工程设计中,不可能直接引用反映其变异性的各种统计参数并通过复杂的概率运算进行设计。因此,在设计时,除了采用能便于设计者使用的设计表达式外,对作用仍应赋予一个规定的量值,称为作用的代表值。根据设计的不同要求,可规定不同的代表值,以使能更确切地反映它在设计中的特点。在本标准中参考国际标准对可变作用采用四种代表值:标准值、组合值、频遇值和准永久值,其中标准值是作用的基本代表值,而其他代表值都可在标准值的基础上乘以相应的系数后来表示。 作用标准值是指其在结构设计基准期内可能出现的最大作用值。由于作用本身的随机性,因而设计基准期内的最大作用也是随机变量,尤其是可变作用,原则上都可用它们的统计分布来描述。作用标准值统一由设计基准期最大作用概率分布的某个分位值来确定,设计基准期应该统一规定,譬如为50年或100年,此外还应对该分位值的百分数作明确规定,这样标准值就可取分布的统计特征值(均值、众值、中值或较高的分位值,譬如90%或95%的分位值),因此在国际上也称标准值为特征值。 对可变作用的标准值,有时可以通过平均重现期的规定来定义,见附录第C.2.1条第3款。 在实际工程中,有时由于无法对所考虑的作用取得充分的数据,也不得不从实际出发,根据已有的工程实践经验,通过分析判断后,协议一个公称值或名义值作为作用的代表值。 当有两种或两种以上的可变作用在结构上要求同时考虑时,由于所有可变作用同时达到其单独出现时可能达到的最大值的概率极小,因此在结构按承载能力极限状态设计时,除主导作用应采用标准值为代表值外,其他伴随作用均应采用主导作用出现时段内的最大量值,即以小于其标准值的组合值为代表值(见附录第C.2.4条)。 当结构按正常使用极限状态的要求进行设计时,例如要求控制结构的变形、局部损坏以及振动时,理应从不同的要求出发,来选择不同的作用代表值;目前规范提供的除标准值和组合值外,还有频遇值和准永久值。频遇值是代表某个约定条件下不被超越的作用水平,例如在设计基准期内被超越的总时间与设计基准期之比规定为某个较小的比率,或被超越的频率限制在规定的频率内的作用水平。准永久值是代表作用在设计基准期内经常出现的水平,也即其持久性部分,当对持久性部分无法定性时,也可按频遇值定义,在设计基准期内被超越的总时间与设计基准期之比规定为某个较大的比率来确定(详见附录C.2.2和C.2.3条)。
5.2.8 对偶然作用,应采用偶然作用的设计值。偶然作用的设计值应根据具体工程情况和偶然作用可能出现的最大值确定,也可根据有关标准的专门规定确定。
条文说明
5.2.8 偶然作用是指在设计使用年限内不一定出现,而一旦出现其量值很大,且持续期在多数情况下很短的作用,例如爆炸、撞击、龙卷风、偶然出现的雪荷载、风荷载等。因此,偶然作用的出现是一种意外事件,它们的代表值应根据具体的工程情况和偶然作用可能出现的最大值,并且考虑经济上的因素,综合地加以确定,也可通过有关的标准规定。 对这类作用,由于历史资料的局限性,一般都是根据工程经验,通过分析判断,经协议确定其名义值。当有可能获取偶然作用的量值数据并可供统计分析,但是缺乏失效后果的定量和经济上的优化分析时,国际标准建议可采用重现期为万年的标准确定其代表值。 当采用偶然作用为结构的主导作用时,设计应保证结构不会由于作用的偶然出现而导致灾难性的后果。
5.2.9 对地震作用,应采用地震作用的标准值。地震作用的标 准值应根据地震作用的重现期确定。地震作用的重现期宜采用475年,也可根据具体工程情况采用其他地震作用的重现期。
条文说明
5.2.9 地震作用的代表值按传统都采用当地地区的基本烈度,根据大部分地区的统计资料,它相当于设计基准期为50年最大烈度90%的分位值。如果采用重现期表示,基本烈度相当于重现期为475年地震烈度。我国规范将抗震设防划分三个水准,第一水准是低于基本烈度,也称为众值烈度,俗称小震,它相当于50年最大烈度36.8%的分位值;第二水准是基本烈度;第三水准是罕遇地震烈度,它远高于基本烈度,俗称大震,相当于50年最大烈度98%分位值,或重现期为2500年地震烈度。
5.2.10 当结构上的作用比较复杂且不能直接描述时,可根据作用形成的机理,建立适当的数学模型来表征作用的大小、位置、方向和持续期等性质。
结构上的作用F的大小一般可采用下列数学模型:
F=ψ( F 0 ,ω) (5.2.10)
式中 ψ( · )——所采用的函数;
F 0 ——基本作用,通常具有随时间和空间的变异性(随机的或非随机的),但一般与结构的性质无关;
ω ——用以将 F 0 转化为F的随机或非随机变量,它与结构的性质有关。
条文说明
5.2.10 为了能适应各种不同形式的结构,将结构上的作用分成两部分因素:与结构类型无关的基本作用和与结构类型(包括外形和变形性能)有关的因素。基本作用F0通常具有随时间和空间的变异性,它应具有标准化的定义,例如对结构自重可定义为结构的图纸尺寸和材料的标准重度;对雪荷载可定义标准地面上的雪重为基本雪压;对风荷载可定义标准地面上10m高处的标准时距的平均风速为基本风压,如此等等。而作用值应在基本作用的基础上,考虑与结构有关的其他因素,通过反映作用规律的数学函数φ(·)来表述,例如,对雪荷载的情况,可根据屋面的不同条件将基本雪压换算为屋面上的雪荷载;对风荷载的情况,可根据场地地面粗糙度情况、结构外形及结构不同高度,将基本风压换算为结构上的风荷载。
5.2.11 当结构的动态性能比较明显时,结构应采用动力模型描述。此时,结构的动力分析应考虑结构的刚度、阻尼以及结构上各部分质量的惯性。当结构容许简化分析时,可计算“准静态作用”响应,并乘以动力系数作为动态作用的响应。
条文说明
5.2.11 当作用对结构产生不可忽略的加速度时,即与加速度对应的结构效应占有相当比重时,结构应采用动力模型来描述。此时,动态作用必须按某种方式描述其随时间的变异性(随机性),作用可根据分析的方便与否而采用时域或频域的描述方式,作用历程中的不定性可通过选定随机参数的非随机函数来描述,也可进一步采用随机过程来描述,各种随机过程经常被假定为分段平稳的。 在有些情况下,动态作用与材料性能和结构刚度、质量及各类阻尼有关,此时对作用的描述首先是在偏于安全的前提下规定某些参数,例如结构质量、初速度等。通常还可以进一步将这些参数转化为等效的静态作用。 如果认为所选用的参数还不能保证其结果偏于安全,就有必要对有关作用模型按不同的假设进行计算,从中选出认为可靠的结果。
5.2.12 对自由作用应考虑各种可能的荷载布置,并与固定作用等一起作为验证结构某特定极限状态的荷载工况。
5.3 环境影响
5.3 环境影响
5.3.1 环境影响可分为永久影响、可变影响和偶然影响。
5.3.2 对结构的环境影响应进行定量描述;当没有条件进行定量描述时,也可通过环境对结构的影响程度的分级等方法进行定性描述,并在设计中采取相应的技术措施。
条文说明
5.3.1、5.3.2 环境影响可以具有机械的、物理的、化学的或生物的性质,并且有可能使结构的材料性能随时间发生不同程度的退化,向不利方向发展,从而影响结构的安全性和适用性。
环境影响在很多方面与作用相似,而且可以和作用相同地进行分类,特别是关于它们在时间上的变异性,因此,环境影响可分类为永久、可变和偶然影响三类。例如,对处于海洋环境中的混凝土结构,氯离子对钢筋的腐蚀作用是永久影响,空气湿度对木材强度的影响是可变影响等。
环境影响对结构的效应主要是针对材料性能的降低,它是与材料本身有密切关系的,因此,环境影响的效应应根据材料特点而加以规定。在多数情况下是涉及化学的和生物的损害,其中环境湿度的因素是最关键的。
如同作用一样,对环境影响应尽量采用定量描述;但在多数情况下,这样做是有困难的,因此,目前对环境影响只能根据材料特点,按其抗侵蚀性的程度来划分等级,设计时按等级采取相应措施。
6 材料和岩土的性能及几何参数
6.1 材料和岩土的性能
6 材料和岩土的性能及几何参数
6.1 材料和岩土的性能
6.1.1 材料和岩土的强度、弹性模量、变形模量、压缩模量、内摩擦角、黏聚力等物理力学性能,应根据有关的试验方法标准经试验确定。
6.1.2 材料性能宜采用随机变量概率模型描述。材料性能的各种统计参数和概率分布类型,应以试验数据为基础,运用参数估计和概率分布的假设检验方法确定。检验的显著性水平可取0.05。
条文说明
6.1.1、6.1.2 材料性能实际上是随时间变化的,有些材料性能,例如木材、混凝土的强度等,这种变化相当明显,但为了简化起见,各种材料性能仍作为与时间无关的随机变量来考虑,而性能随时间的变化一般通过引进换算系数来估计。
6.1.3 当利用标准试件的试验结果确定结构中实际的材料性能时,尚应考虑实际结构与标准试件、实际工作条件与标准试验条件的差别。结构中的材料性能与标准试件材料性能的关系,应根据相应的对比试验结果通过换算系数或函数来反映,或根据工程经验判断确定。结构中材料性能的不定性,应由标准试件材料性能的不定性和换算系数或函数的不定性两部分组成。
岩土性能指标和地基、桩基承载力等,应通过原位测试、室内试验等直接或间接的方法确定,并应考虑由于钻探取样的扰动、室内外试验条件与实际工程结构条件的差别以及所采用公式的误差等因素的影响。
条文说明
6.1.3 用材料的标准试件试验所得的材料性能fspe,一般说来,不等同于结构中实际的材料性能fstr,有时两者可能有较大的差别。例如,材料试件的加荷速度远超过实际结构的受荷速度,致使试件的材料强度较实际结构中偏高;试件的尺寸远小于结构的尺寸,致使试件的材料强度受到尺寸效应的影响而与结构中不同;有些材料,如混凝土,其标准试件的成型与养护与实际结构并不完全相同,有时甚至相差很大,以致两者的材料性能有所差别。所有这些因素一般习惯于采用换算系数或函数K0来考虑,从而结构中实际的材料性能与标准试件材料性能的关系可用下式表示: 
由于结构所处的状态具有变异性,因此换算系数或函数K0也是随机变量。
6.1.4 材料强度的概率分布宜采用正态分布或对数正态分布。
材料强度的标准值可按其概率分布的0.05分位值确定。材料弹性模量、泊松比等物理性能的标准值可按其概率分布的0.5分位值确定。
当试验数据不充分时,材料性能的标准值可采用有关标准的规定值,也可根据工程经验,经分析判断确定。
条文说明
6.1.4 材料强度标准值一般取概率分布的低分位值,国际上一般取0.05分位值,本标准也采用这个分位值确定材料强度标准值。此时,当材料强度按正态分布时,标准值为: 
式中 μf、σf及δf分别为材料强度的平均值、标准差及变异系数。 当材料强度增加对结构性能不利时,必要时可取高分位值。
6.1.5 岩土性能的标准值宜根据原位测试和室内试验的结果, 按有关标准的规定确定。
当有条件时,岩土性能的标准值可按其概率分布的某个分位值确定。
条文说明
6.1.5 岩士性能参数的标准值当有可能采用可靠性估值时,可根据区间估计理论确定,单侧置信界限值由式
求得,式中tα为学生氏函数,按置信度1—α和样本容量n确定。
6.2 几何参数
6.2 几何参数
6.2.1 结构或结构构件的几何参数a宜采用随机变量概率模型描述。几何参数的各种统计参数和概率分布类型,应以正常生产情况下结构或结构构件几何尺寸的测试数据为基础,运用参数估计和概率分布的假设检验方法确定。
当测试数据不充分时,几何参数的统计参数可根据有关标准中规定的公差,经分析判断确定。
当几何参数的变异性对结构抗力及其他性能的影响很小时,几何参数可作为确定性变量。
条文说明
6.2.1 结构的某些几何参数,例如梁跨和柱高,其变异性一般对结构抗力的影响很小,设计时可按确定量考虑。
6.2.2 几何参数的标准值可采用设计规定的公称值,或根据几何参数概率分布的某个分位值确定。
7 结构分析和试验辅助设计
7.1 一般规定
7 结构分析和试验辅助设计
7.1 一般规定
7.1.1 结构分析可采用计算、模型试验或原型试验等方法。
7.1.2 结构分析的精度,应能满足结构设计要求,必要时宜进行试验验证。
7.1.3 在结构分析中,宜考虑环境对材料、构件和结构性能的影响。
条文说明
7.1.1~7.1.3 结构分析是确定结构上作用效应的过程,结构上的作用效应是指在作用影响下的结构反应,包括构件截面内力(如轴力、剪力、弯矩、扭矩)以及变形和裂缝。
在结构分析中,宜考虑环境对材料、构件和结构性能的影响,如湿度对木材强度的影响,高温对钢结构性能的影响等。
7.2 结构模型
7.2 结构模型
7.2.1 结构分析采用的基本假定和计算模型应能合理描述所考虑的极限状态下的结构反应。
条文说明
7.2.1 建立结构分析模型一般都要对结构原型进行适当简化,考虑决定性因素,忽略次要因素,并合理考虑构件及其连接,以及构件与基础间的力-变形关系等因素。
7.2.2 根据结构的具体情况,可采用一维、二维或三维的计算模型进行结构分析。
条文说明
7.2.2 一维结构分析模型适用于结构的某一维尺寸(长度)比其他两维大得多的情况,或结构在其他两维方向上的变化对结构分析结果影响很小的情况,如连续梁;二维结构分析模型适用于结构的某一维尺寸比其他两维小得多的情况,或结构在某一维方向上的变化对分析结果影响很小的情况,如平面框架;三维结构分析模型适用于结构中没有一维尺寸显著大于或小于其他两维的情况。
7.2.3 结构分析所采用的各种简化或近似假定,应具有理论或试验依据,或经工程验证可行。
7.2.4 当结构的变形可能使作用的影响显著增大时,应在结构分析中考虑结构变形的影响。
条文说明
7.2.4 在许多情况下,结构变形会引起几何参数名义值产生显著变异。一般称这种变形效应为几何非线性或二阶效应。如果这种变形对结构性能有重要影响,原则上应与结构的几何不完整性一样在设计中加以考虑。
7.2.5 结构计算模型的不定性应在极限状态方程中采用一个或几个附加基本变量来考虑。附加基本变量的概率分布类型和统计参数,可通过按计算模型的计算结果与按精确方法的计算结果或实际的观测结果相比较,经统计分析确定,或根据工程经验判断确定。
条文说明
7.2.5 结构分析模型描述各有关变量之间在物理上或经验上的关系。这些变量一般是随机变量。计算模型一般可表达为: 
式中 y——模型预测值; f(·)——模型函数; Xi(i=1,2,…,n)——变量。 如果模型函数f(·)是完整、准确的,变量Xi(i=1,2,…,n)值在特定的试验中经量测已知,则结果Y可以预测无误;但多数情况下模型并不完整,这可能因为缺乏有关知识,或者为设计方便而过多简化造成的。模型预测值的试验结果Y′可以写成如下: 
式中θi(i=1,2,…,n)为有关参数,它包含着模型不定性,且按随机变量处理。在多数情况下其统计特性可通过试验或观测得到。
7.3 作用模型
7.3 作用模型
7.3.1 对与时间无关的或不计累积效应的静力分析,可只考虑发生在设计基准期内作用的最大值和最小值;当动力性能起控制作用时,应有比较详细的过程描述。
条文说明
7.3.1 一个完善的作用模型应能描述作用的特性,如作用的大小、位置、方向、持续时间等。在有些情况下,还应考虑不同特性之间的相关性,以及作用与结构反应之间的相互作用。
在多数情况中,结构动态反应是由作用的大小、位置或方向的急剧变化所引起的。结构构件的刚度或抗力的突然改变,亦可能产生动态效应。当动态性能起控制作用时,需要比较详细的过程描述。动态作用的描述可以时间为主或以频率为主给出,依方便而定。为描述作用在时间变化历程中的各种不定性,可将作用描述为一个具有选定随机参数的时间非随机函数,或作为一个分段平稳的随机过程。
7.3.2 在不能准确确定作用参数时,应对作用参数给出上下限范围,并进行比较以确定不利的作用效应。
7.3.3 当结构承受自由作用时,应根据每一自由作用可能出现的空间位置、大小和方向,分析确定对结构最不利的荷载布置。
7.3.4 当考虑地基与结构相互作用时,土工作用可采用适当的等效弹簧或阻尼器来模拟。
7.3.5 当动力作用可被认为是拟静力作用时,可通过把动力作用分析结果包括在静力作用中或对静力作用乘以等效动力放大系数等方法,来考虑动力作用效应。
7.3.6 当动力作用引起的振幅、速度、加速度使结构有可能超过正常使用极限状态的限值时,应根据实际情况对结构进行正常使用极限状态验算。
7.4 分析方法
7.4 分析方法
7.4.1 结构分析应根据结构类型、材料性能和受力特点等因素,采用线性、非线性或试验分析方法;当结构性能始终处于弹性状态时,可采用弹性理论进行结构分析,否则宜采用弹塑性理论进行结构分析。
7.4.2 当结构在达到极限状态前能够产生足够的塑性变形,且所承受的不是多次重复的作用时,可采用塑性理论进行结构分析;当结构的承载力由脆性破坏或稳定控制时,不应采用塑性理论进行分析。
条文说明
7.4.1、7.4.2 当结构的材料性能处于弹性状态时,一般可假定力与变形(或变形率)之间的相互关系是线性的,可采用弹性理论进行结构分析,在这种情况下,分析比较简单,效率也较高;而当结构的材料性能处于弹塑性状态或完全塑性状态时,力与变形(或变形率)之间的相互关系比较复杂,一般情况下都是非线性的,这时宜采用弹塑性理论或塑性理论进行结构分析。
7.4.3 当动力作用使结构产生较大加速度时,应对结构进行动力响应分析。
条文说明
7.4.3 结构动力分析主要涉及结构的刚度、惯性力和阻尼。动力分析刚度与静力分析所采用的原则一致。尽管重复作用可能产生刚度的退化,但由于动力影响,亦可能引起刚度增大。惯性力是由结构质量、非结构质量和周围流体、空气和土壤等附加质量的加速度引起的。阻尼可由许多不同因素产生,其中主要因素有:
1 材料阻尼,例如源于材料的弹性特性或塑性特性;
2 连接中的摩擦阻尼;
3 非结构构件引起的阻尼;
4 几何阻尼;
5 土壤材料阻尼;
6 空气动力和流体动力阻尼。
在一些特殊情况下,某些阻尼项可能是负值,导致从环境到结构的能量流动。例如疾驰、颤动和在某些程度上的游涡所引起的反应。对于强烈地震时的动力反应,一般需要考虑循环能量衰减和滞回能量消失。
7.5 试验辅助设计
7.5 试验辅助设计
7.5.1 对某些没有适当分析模型的特殊情况,可进行试验辅助设计,其具体方法宜符合附录D的规定。
7.5.2 采用试验辅助设计的结构,应达到相关设计状况采用的可靠度水平,并应考虑试验结果的数量对相关参数统计不定性的影响。
条文说明
7.5.1、7.5.2 试验辅助设计(简称试验设计)是确定结构和结构构件抗力、材料性能、岩土性能以及结构作用和作用效应设计值的方法。该方法以试验数据的统计评估为依据,与概率设计和分项系数设计概念相一致。在下列情况下可采用试验辅助设计:
1 规范没有规定或超出规范适用范围的情况;
2 计算参数不能确切反映工程实际的特定情况;
3 现有设计方法可能导致不安全或设计结果过于保守的情况;
4 新型结构(或构件)、新材料的应用或新设计公式的建立;
5 规范规定的特定情况。
对于新技术、新材料等,在工程应用中应特别慎重,可能还有其他政策和规范要求,也应遵守。
8 分项系数设计方法
8.1 一般规定
8 分项系数设计方法
8.1 一般规定
8.1.1 结构构件极限状态设计表达式中所包含的各种分项系数,宜根据有关基本变量的概率分布类型和统计参数及规定的可靠指标,通过计算分析,并结合工程经验,经优化确定。
当缺乏统计数据时,可根据传统的或经验的设计方法,由有关标准规定各种分项系数。
条文说明
8.1.1 尽管概率极限状态设计方法全部更新了结构可靠性的概念与分析方法,但提供给设计人员实际使用的仍然是分项系数设计表达方式,它与设计人员长期使用的表达形式相同,从而易于掌握。
概率极限状态设计方法必须以统计数据为基础,考虑到对各类工程结构所具有的统计数据在质与量二个方面都很有很大差异,在某些领域根本没有统计数据,因而规定当缺乏统计数据时,可以不通过可靠指标β,直接按工程经验确定分项系数。
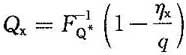
8.1.2 基本变量的设计值可按下列规定确定:
1 作用的设计值 F d 可按下式确定:
F d =γ F F r (8.1.2-1)
式中F r ——作用的代表值;
γ F ——作用的分项系数。
2 材料性能的设计值 f d 可按下式确定:

(8.1.2-2)
式中 f k ——材料性能的标准值;
γ M ——材料性能的分项系数,其值按有关的结构设计标准的规定采用。
3 几何参数的设计值 α d 可采用几何参数的标准值 α k 。 当几何参数的变异性对结构性能有明显影响时,几何参数的设计值可按下式确定:
α d =α k ±△ a (8.1.2-3)
式中 △ a ——几何参数的附加量。
4 结构抗力的设计值 R d 可按下式确定:
R d =R( f k /γ M , α d ) (8.1.2-4)
注:根据需要,也可从材料性能的分项系数 γ M 中将反映抗力模型不定性的系数 γ Rd 分离出来。
条文说明
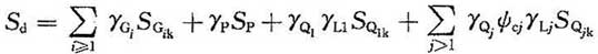
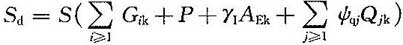
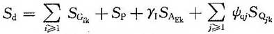
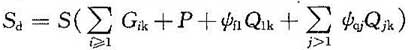
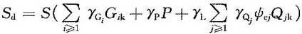
8.1.2 本条规定了各种基本变量设计值的确定方法。 1 作用的设计值Fd一般可表示为作用的代表值Fr与作用的分项系数γF的乘积。对可变作用,其代表值包括标准值、组合值、频遇值和准永久值。组合值、频遇值和准永久值可通过对可变作用标准值的折减来表示,即分别对可变作用的标准值乘以不大于1的组合值系数ψc、频遇值系数ψf和准永久值系数ψq。 工程结构按不同极限状态设计时,在相应的作用组合中对可能同时出现的各种作用,应采用不同的作用设计值Fd,见表2: 表2 作用的设计值Fd
作用分项系数γF的取值,应符合现行国家有关标准的规定。如对房屋建筑,γF的取值为:不利时,γG=1.2或1.35,γQ=1.4;有利时,γG≤1.0,γQ=0。
8.2 承载能力极限状态
8.2 承载能力极限状态
8.2.1 结构或结构构件按承载能力极限状态设计时,应考虑下列状态:
1 结构或结构构件(包括基础等)的破坏或过度变形,此时结构的材料强度起控制作用;
2 整个结构或其一部分作为刚体失去静力平衡,此时结构材料或地基的强度不起控制作用;
3 地基的破坏或过度变形,此时岩土的强度起控制作用;
4 结构或结构构件的疲劳破坏,此时结构的材料疲劳强度起控制作用。
条文说明
8.2.1 本条列出了四种承载能力极限状态,应根据四种状态性质的不同,采用不同的设计表达方式及与之相应的分项系数数值。
对于疲劳破坏,有些材料(如钢筋)的疲劳强度宜采用应力变程(应力幅)而不采用强度绝对值来表达。
8.2.2 结构或结构构件按承载能力极限状态设计时,应符合下列要求:
1 结构或结构构件(包括基础等)的破坏或过度变形的承载能力极限状态设计,应符合下式要求:
γ 0 S d ≤R d (8.2.2-1)
式中 γ 0 ——结构重要性系数,其值按附录A的有关规定采用;
S d ——作用组合的效应(如轴力、弯矩或表示几个轴力、弯矩的向量)设计值;
R d ——结构或结构构件的抗力设计值。
2 整个结构或其一部分作为刚体失去静力平衡的承载能力极限状态设计,应符合下式要求:
γ 0 S d,dst ≤S d,stb (8.2.2-2)
式中 S d,dst ——不平衡作用效应的设计值;
S d,stb ——平衡作用效应的设计值。
3 地基的破坏或过度变形的承载能力极限状态设计,可采用分项系数法进行,但其分项系数的取值与式(8.2.2-1)中所包含的分项系数的取值可有区别。
注:地基的破坏或过度变形的承载力设计,也可采用容许应力法等进行。
4 结构或结构构件的疲劳破坏的承载能力极限状态设计,可按附录F规定的方法进行。
条文说明
8.2.2 式(8.2.2-1)中,Sd包括荷载系数,Rd包括材料系数(或抗力系数),这二类系数在一定范围内是可以互换的。 以房屋建筑结构中安全等级为二级、设计使用年限为50年的钢筋混凝土轴心受拉构件为例: 
方案1和方案2是完全等价的,用相同的钢筋截面积承受相同的拉力设计值,安全度是完全相同的。 方案1的荷载系数及材料系数与国际及国内比较靠近,而方案2则有明显差异。方案2不可取,不利于各类工程结构之间的协调对比。
8.2.3 承载能力极限状态设计表达式中的作用组合,应符合下列规定:
1 作用组合应为可能同时出现的作用的组合;
2 每个作用组合中应包括一个主导可变作用或一个偶然作用或一个地震作用;
3 当结构中永久作用位置的变异,对静力平衡或类似的极限状态设计结果很敏感时,该永久作用的有利部分和不利部分应分别作为单个作用;
4 当一种作用产生的几种效应非全相关时,对产生有利效应的作用,其分项系数的取值应予降低;
5 对不同的设计状况应采用不同的作用组合。
8.2.4 对持久设计状况和短暂设计状况,应采用作用的基本组合。
1 基本组合的效应设计值可按下式确定:

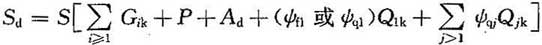
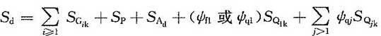
(8.2.4-1)
式中 S( · )——作用组合的效应函数;
G ik ——第 i 个永久作用的标准值;
P——预应力作用的有关代表值;
Q 1k ——第1个可变作用(主导可变作用)的标准值;
Q jk ——第 j 个可变作用的标准值;

——第 i 个永久作用的分项系数,应按附录A的有关规定采用;
γ P ——预应力作用的分项系数,应按附录A的有关规定采用;

——第1个可变作用(主导可变作用)的分项系数,应按附录A的有关规定采用;

——第 j 个可变作用的分项系数,应按附录A的有关规定采用;
γ L1 、γ Lj ——第1个和第 j 个考虑结构设计使用年限的荷载调整系数,应按有关规定采用,对设计使用年限与设计基准期相同的结构,应取 
=1.0;
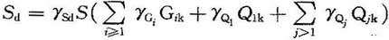
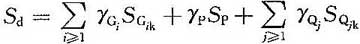
ψ cj ——第 j 个可变作用的组合值系数,应按有关规范的规定采用。
注:在作用组合的效应函数S(·)中,符号“∑”和“+”均表示组合,即同时考虑所有作用对结构的共同影响,而不表示代数相加。
2 当作用与作用效应按线性关系考虑时,基本组合的效应设计值可按下式计算:

(8.2.4-2)
式中 
——第 i 个永久作用标准值的效应;
S P ——预应力作用有关代表值的效应;

-——第1个可变作用(主导可变作用)标准值的效应;

——第 j 个可变作用标准值的效应。
注:1 对持久设计状况和短暂设计状况,也可根据需要分别给出作用组合的效应设计值;
2 可根据需要从作用的分项系数中将反映作用效应模型不定性的系数 γ Sd 分离出来。
条文说明
8.2.4 对基本组合,原标准只给出了用函数形式的表达式,设计人员无法用作设计。《建筑结构可靠度设计统一标准》GB 50068-2001给出了用显式的表达式,设计人员可用作设计,但仅限于作用与作用效应按线性关系考虑的情况,非线性关系时不适用。 本标准首次提出对各类工程结构、对线性与非线性两种关系全部适用的,设计人员可直接采用的表达式。 本标准对结构的重要性系数用γ0表示,这与原标准相同。 当结构的设计使用年限与设计基准期不同时,应对可变作用的标准值进行调整,这是因为结构上的各种可变作用均是根据设计基准期确定其标准值的。以房屋建筑为例,结构的设计基准期为50年,即房屋建筑结构上的各种可变作用的标准值取其50年一遇的最大值分布上的“某一分位值”,对设计使用年限为100年的结构,要保证结构在100年时具有设计要求的可靠度水平,理论上要求结构上的各种可变作用应采用100年一遇的最大值分布上的相同分位值作为可变作用的“标准值”,但这种作法对同一种可变作用会随设计使用年限的不同而有多种“标准值”,不便于荷载规范表达和设计人员使用,为此,本标准首次提出考虑结构设计使用年限的荷载调整系数γL,以设计使用年限100年为例,γL的含义是在可变作用100年一遇的最大值分布上,与该可变作用50年一遇的最大值分布上标准值的相同分位值的比值,其他年限可类推。在附录A.1中对房屋建筑结构给出了γL的具体取值,设计人员可直接采用;对设计使用年限为50年的结构,其设计使用年限与设计基准期相同,不需调整可变作用的标准值,则取γL=1.0。 永久荷载不随时间而变化,因而与γL无关。 当设计使用年限大于基准期时,除在荷载方面考虑γL外,在抗力方面也需采取相应措施,如采用较高的混凝土强度等级、加大混凝土保护层厚度或对钢筋作涂层处理等,使结构在更长的时间内不致因材料劣化而降低可靠度。
8.2.5 对偶然设计状况,应采用作用的偶然组合。
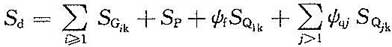
1 偶然组合的效应设计值可按下式确定:

(8.2.5-1)
式中 A d ———偶然作用的设计值;
ψ f1 ——第1个可变作用的频遇值系数,应按有关规范的规定采用;
ψ q1 、ψ qj ——第1个和第 j 个可变作用的准永久值系数,应按有关规范的规定采用。
2 当作用与作用效应按线性关系考虑时,偶然组合的效应设计值可按下式计算:

(8.2.5-2)
式中 
——偶然作用设计值的效应。
条文说明
8.2.5 偶然作用的情况复杂,种类很多,因而对偶然组合,原标准只用文字作简单叙述,本标准给出了偶然组合效应设计值的表达式,但未能统一选定式(8.2.5-1)或式(8.2.5-2)中用ψf1或ψq1,有关的设计规范应予以明确。
8.2.6 对地震设计状况,应采用作用的地震组合。
1 地震组合的效应设计值,宜根据重现期为475年的地震作用(基本烈度)确定,其效应设计值应符合下列规定:
1)地震组合的效应设计值宜按下式确定:

(8.2.6-1)
式中 γ I ——地震作用重要性系数,应按有关的抗震设计规范的规定采用;
A Ek ——根据重现期为475年的地震作用(基本烈度)确定的地震作用的标准值。
2)当作用与作用效应按线性关系考虑时,地震组合效应设计值可按下式计算:

(8.2.6-2)
式中 
——地震作用标准值的效应。
注:当按线弹性分析计算地震作用效应时,应将计算结果除以结构性能系数以考虑结构延性的影响,结构性能系数应按有关的抗震设计规范的规定采用。
2 地震组合的效应设计值,也可根据重现期大于或小于475年的地震作用确定,其效应设计值应符合有关的抗震设计规范的规定。
条文说明
8.2.6 各类工程结构都会遭遇地震,很多结构是由抗震设计控制的。目前我国地震作用的取值标准在各类工程结构之间相差很大,需加以协调。 国内外对地震作用的研究,今天已发展到可统计且有统计数据了。可以给出不同重现期的地震作用,根据地震作用不同的取值水平提出对结构相应的性能要求,这和现在无法统计或没有统计数据的偶然作用显然不同。将地震设计状况单独列出的客观条件已经具备,列出这一状况有利于各类工程结构抗震设计的统一协调与发展。 对房屋建筑而言,式(8.2.6-1)中地震作用的取值标准由重现期为50年的地震作用即多遇地震作用,提高到重现期为475年的地震作用即基本烈度地震作用(后者的地震加速度约为前者的3倍),作为选定截面尺寸和配筋量的依据,其目的绝不是要普遍提高地震设防水平,普遍增加材料用量,而是要将对结构抗震至关重要的结构体系延性作为抗震设计的重要参数,使设计合理。
结构在基本烈度地震作用下已处于弹塑性阶段,结构体系延性高,耗能能力强,可大幅度降低结构按弹性分析所得出的地震作用效应,鼓励设计人员设计出高延性的结构体系,降低地震作用效应,缩小截面,减少资源消耗。 上述做法在国际上是通用的,在有关标准规范中均有明确规定。国际标准《结构上的地震作用》ISO 3010,规定了结构系数(structural factor)kD;欧洲规范《结构抗震设计》EN 1998,规定了性能系数(behaviour factor)q;美国规范《国际建筑规范》IBC及《建筑荷载规范》ASCE7,规定了反应修正系数(response modification coefficient)R,这些系数虽然名称不同、符号各异,但含义类似。采用这些系数后,在设计基本地震加速度相同的条件下,可使延性高的结构体系与延性低的结构体系相比,大幅度降低结构承载力验算时的地震力。 式(8.2.6-1)中的地震作用重要性系数γ1与式(8.2.2-1)中的结构重要性系数γ0不应同时采用。在房屋建筑中,将量大面广的丙类建筑γⅠ取值为1.0,对甲类、乙类建筑γⅠ取大于1。
γⅠ与第8.2.4条说明中γL的含义类似。假设对甲类建筑采用重现期为2500年的地震,则对甲类建筑的γⅠ,含义就是2500年一遇的地震作用与475年一遇的地震作用的比值。
8.2.7 当永久作用效应或预应力作用效应对结构构件承载力起有利作用时,式(8.2.4)中永久作用分项系数 γ G 和预应力作用分项系数 γ P 的取值不应大于1.0。
8.3 正常使用极限状态
8.3 正常使用极限状态
8.3.1 结构或结构构件按正常使用极限状态设计时,应符合下式要求,
S d ≤C (8.3.1)
式中S d ——作用组合的效应(如变形、裂缝等)设计值;
C——设计对变形、裂缝等规定的相应限值,应按有关的结构设计规范的规定采用。
条文说明
8.3.1 对承载能力极限状态,安全与失效之间的分界线是清晰的,如钢材的屈服、混凝土的压坏、结构的倾覆、地基的滑移,都是清晰的物理现象。对正常使用极限状态,能正常使用与不能正常使用之间的分界线是模糊的,难以找到清晰的物理现象,区分正常与不正常,在很大程度上依靠工程经验确定。
8.3.2 按正常使用极限状态设计时,可根据不同情况采用作用的标准组合、频遇组合或准永久组合。
1 标准组合
1)标准组合的效应设计值可按下式确定:

(8.3.2-1)
2)当作用与作用效应按线性关系考虑时,标准组合的效应设计值可按下式计算:

(8.3.2-2)
2 频遇组合
1)频遇组合的效应设计值可按下式确定:

(8.3.2-3)
2)当作用与作用效应按线性关系考虑时,频遇组合的效应设计值可按下式计算:

(8.3.2-4)
3 准永久组合
1)准永久组合的效应设计值可按下式确定:

(8.3.2-5)
2)当作用与作用效应按线性关系考虑时,准永久组合的效应设计值可按下式计算:

(8.3.2-6)
注:标准组合宜用于不可逆正常使用极限状态;频遇组合宜用于可逆正常使用极限状态;准永久组合宜用在当长期效应是决定性因素时的正常使用极限状态。
条文说明
8.3.2 列出了三种组合,来源于《结构可靠性总原则》ISO 2394和《结构设计基础》EN 1990。
正常使用极限状态的可逆与不可逆的划分很重要。如不可逆,宜用标准组合;如可逆,宜用频遇组合或准永久组合。
可逆与不可逆不能只按所验算构件的情况确定,而且需要与周边构件联系起来考虑。以钢梁的挠度为例,钢梁的挠度本身当然是可逆的,但如钢梁下有隔墙,钢梁与隔墙之间又未作专门处理,钢梁的挠度会使隔墙损坏,则仍被认为是不可逆的,应采用标准组合进行设计验算;如钢梁的挠度不会损坏其他构件(结构的或非结构的),只影响到人的舒适感,则可采用频遇组合进行设计验算;如钢梁的挠度对各种性能要求均无影响,只是个外观问题,则可采用准永久组合进行设计验算。
8.3.3 对正常使用极限状态,材料性能的分项系数 γ M ,除各种材料的结构设计规范有专门规定外,应取为1.0。
附录A各类工程结构的专门规定
A.1房屋建筑结构的专门规定
附录A 各类工程结构的专门规定
A.1 房屋建筑结构的专门规定
A.1.1 房屋建筑结构的安全等级,应根据结构破坏可能产生后果的严重性按表A.1.1划分。
表A.1.1 房屋建筑结构的安全等级

注:房屋建筑结构抗震设计中的甲类建筑和乙类建筑,其安全等级宜规定为一级;
丙类建筑,其安全等级宜规定为二级;丁类建筑,其安全等级宜规定为三级。
A.1.2 房屋建筑结构的设计基准期为50年。
条文说明
A.1.2 房屋建筑结构取设计基准期为50年,即房屋建筑结构的可变作用取值是按50年确定的。
A.1.3 房屋建筑结构的设计使用年限,应按表A.1.3采用。
表A.1.3 房屋建筑结构的设计使用年限

条文说明
A.1.3 根据《建筑结构可靠度设计统一标准》GB 50068-2001给出了各类房屋建筑结构的设计使用年限。
A.1.4 房屋建筑结构构件持久设计状况承载能力极限状态设计的可靠指标,不应小于表A.1.4的规定。

条文说明
A.1.4 表A.1.4中规定的房屋建筑结构构件持久设计状况承载能力极限状态设计的可靠指标,是以建筑结构安全等级为二级时延性破坏的β值3.2作为基准,其他情况下相应增减0.5。可靠指标β与失效概率运算值pf的关系见表3: 表3 可靠指标β与失效概率运算值pf的关系 
表A.1.4中延性破坏是指结构构件在破坏前有明显的变形或其他预兆;脆性破坏是指结构构件在破坏前无明显的变形或其他预兆。 表A.1.4中作为基准的β值,是根据对20世纪70年代各类材料结构设计规范校准所得的结果并经综合平衡后确定的,表中规定的β值是房屋建筑各种材料结构设计规范应采用的最低值。 表A.1.4中规定的β值是对结构构件而言的。对于其他部分如连接等,设计时采用的β值,应由各种材料的结构设计规范另作规定。 目前由于统计资料不够完备以及结构可靠度分析中引入了近似假定,因此所得的失效概率pf及相应的β尚非实际值。这些值是一种与结构构件实际失效概率有一定联系的运算值,主要用于对各类结构构件可靠度作相对的度量。
A.1.5 房屋建筑结构构件持久设计状况正常使用极限状态设计的可靠指标,宜根据其可逆程度取0~1.5。
条文说明
A.1.5 为促进房屋使用性能的改善,根据《结构可靠性总原则》ISO 2394:1998的建议,结合国内近年来对我国建筑结构构件正常使用极限状态可靠度所作的分析研究成果,对结构构件正常使用的可靠度作出了规定。对于正常使用极限状态,其可靠指标一般应根据结构构件作用效应的可逆程度选取:可逆程度较高的结构构件取较低值;可逆程度较低的结构构件取较高值,例如《结构可靠性总原则》ISO 2394:1998规定,对可逆的正常使用极限状态,其可靠指标取为0;对不可逆的正常使用极限状态,其可靠指标取为1.5。 不可逆极限状态指产生超越状态的作用被卸除后,仍将永久保持超越状态的一种极限状态;可逆极限状态指产生超越状态的作用被卸除后,将不再保持超越状态的一种极限状态。
A.1.6 在承载能力极限状态设计中,对持久设计状况和短暂设计状况,尚应符合下列要求:
1 作用组合的效应设计值应按式(8.2.4-1)及下式中最不利值确定:

(A.1.6-1)
2 当作用与作用效应按线性关系考虑时,作用组合的效应设计值应按式(8.2.4-2)及下式中最不利值计算:

(A.1.6-2)
条文说明
A.1.6 为保证以永久荷载为主结构构件的可靠指标符合规定值,根据《建筑结构可靠度设计统一标准》GB 50068-2001的规定,式(A.1.6-1)与式(8.2.4-1)同时使用,式(A.1.6-1)对以永久荷载为主的结构起控制作用。
A.1.7 房屋建筑的结构重要性系数 γ 0 ,不应小于表A.1.7的规定。

条文说明
A.1.7 结构重要性系数γ0是考虑结构破坏后果的严重性而引入的系数,对于安全等级为一级和三级的结构构件分别取不小于1.1和0.9。可靠度分析表明,采用这些系数后,结构构件可靠指标值较安全等级为二级的结构构件分别增减0.5左右,与表A.1.4的规定基本一致。考虑不同投资主体对建筑结构可靠度的要求可能不同,故允许结构重要性系数γ0分别取不应小于1.1、1.0和0.9。
A.1.8 房屋建筑结构作用的分项系数,应按表A.1.8采用。
表A.1.8 房屋建筑结构作用的分项系数

条文说明
A.1.8 对永久荷载系数γG和可变荷载系数γQ的取值,分别根据对结构构件承载能力有利和不利两种情况,作出了具体规定。 在某些情况下,永久荷载效应与可变荷载效应符号相反,而前者对结构承载能力起有利作用。此时,若永久荷载分项系数仍取同号效应时相同的值,则结构构件的可靠度将严重不足。为了保证结构构件具有必要的可靠度,并考虑到经济指标不致波动过大和应用方便,规定当永久荷载效应对结构构件的承载能力有利时,γG不应大于1.0。 荷载分项系数系按下列原则经优选确定的:在各种荷载标准值已给定的前提下,要选取一组分项系数,使按极限状态设计表达式设计的各种结构构件具有的可靠指标与规定的可靠指标之间在总体上误差最小。在定值过程中,原《建筑结构设计统一标准》GBJ 68-84对钢、薄钢、钢筋混凝土、砖石和木结构选择了14种有代表性的构件,若干种常遇的荷载效应比值(可变荷载效应与永久荷载效应之比)以及3种荷载效应组合情况(恒荷载与住宅楼面活荷载、恒荷载与办公楼楼面活荷载、恒荷载与风荷载)进行分析,最后确定,在一般情况下采用γG=1.2,γG=1.4,国标《建筑结构可靠度设计统一标准》GB 50068-2001对以永久荷载为主的结构,又补充了采用γG=1.35的规定,本标准继续采用。
A.1.9 房屋建筑考虑结构设计使用年限的荷载调整系数,应按表A.1.9采用。

注:对设计使用年限为25年的结构构件, γ L 应按各种材料结构设计规范的规定采用。
条文说明
A.1.9 对设计使用年限为100年和5年的结构构件,通过考虑结构设计使用年限的荷载调整系数γL对可变荷载取值进行调整。
A.2铁路桥涵结构的专门规定
A.2 铁路桥涵结构的专门规定
A.2.1 铁路桥涵结构的安全等级为一级。
A.2.2 铁路桥涵结构的设计基准期为100年。
A.2.3 铁路桥涵结构的设计使用年限应为100年。
条文说明
A.2.1~A.2.3 依据国内外有关标准,规定了铁路桥涵结构的安全等级和设计使用年限。铁路桥涵结构的设计基准期选择与结构设计使用年限相同量级为100年,作为确定桥梁结构上可变作用最大值概率分布的时间参数。在结构设计基准期内可变作用重现期为100年的超越概率为63.2%,年超越概率为1%。
A.2.4 铁路桥涵结构承载能力极限状态设计,应采用作用的基本组合和偶然组合。
1 基本组合
1)基本组合的效应设计值应按下式确定:

(A.2.4-1)
式中 γ Sd ——作用模型不定性系数,一般取为1.0;
S( · ) ——作用组合的效应函数,其中符号“∑”和“+”表示组合;
G ik ——第i个永久作用的标准值;
Q 1k 、Q jK ——第1个和第j个可变作用的标准值;

——第i个永久作用的分项系数;

——承载能力极限状态设计第1个和第j个可变作用的组合分项系数。
2)当作用与作用效应按线性关系考虑时,基本组合的效应设计值应按下式计算:

(A.2.4-2)
式中 
——第i个永久作用标准值的效应;

——第1个和第j个可变作用标准值的效应。
2 偶然组合
1)偶然组合的效应设计值可按下式确定:

(A.2.4-3)
式中 A d ——偶然作用的设计值。
2)当作用与作用效应按线性关系考虑时,偶然组合的效应设计值可按下式计算:

(A.2.4-4)
式中 
——偶然作用设计值的效应。
条文说明
A.2.4 根据第4.3.2条,桥梁结构承载能力极限状态设计采用荷载(作用)的基本组合和偶然组合,地震组合表达形式与偶然组合相同。根据对现行桥规各类结构标准设计的校准优化确定结构目标可靠指标βt,采用《结构可靠性总原则》ISO 2394:1998附录E.7.2基于校准的分项系数方法优化确定桥梁结构承载能力极限状态设计组合的分项系数,使各类组合的结构可靠指标β接近所选定的目标可靠指标βt。 假设分项系数模式表达式为: 
式中 fki——材料i的强度标准值; γmi——材料i的分项系数; Fkj——荷载(作用)j的标准值; γfj——荷载(作用)j的分项系数。 选定的分项系数组(γm1,γm2,…,γf1,γf2,…)设计的结构构件的可靠指标βk使聚集的偏差D为最小: 
βk可以选定为桥梁结构中权重系数最大的结构可靠指标。
A.2.5 铁路桥涵结构正常使用极限状态设计,应采用作用的标准组合。
1 标准组合的效应设计值应按下式确定:

(A.2.5-1)
式中 
——正常使用极限状态设计第j个可变作用的组合分项系数。
2 当作用与作用效应按线性关系考虑时,标准组合的效应设计值应按下式计算:

(A.2.5-2)
条文说明
A.2.5 根据第4.3.3条,桥梁结构正常使用极限状态设计采用荷载(作用)标准组合,其分项系数根据与现行桥规(容许应力法)采用相同的荷载(作用)设计值确定。
A.2.6 铁路桥涵结构正常使用极限状态的设计,应根据线路等级、桥梁类型制定以下各种限值:
1 桥跨结构在静活载作用下竖向挠度限值、梁端转角限值和竖向自振频率限值;
2 桥跨结构横向宽跨比限值、横向水平变位限值和桥梁整体横向振动频率限值;
3 对在列车运行速度不小于200km/h的线路上,桥梁结构尚应进行车桥耦合动力响应分析,列车运行应满足的安全性和舒适性限值;
4 钢筋混凝土和允许出现裂缝的部分预应力 构件,在不同侵蚀性环境下的裂缝宽度限值;
5 混凝土受弯构件变形计算时应考虑刚度疲劳折减系数对构件计算刚度的影响。
条文说明
A.2.6 铁路桥涵结构正常使用极限状态设计,对不同线路等级、运行速度和桥梁类型提出不同的限值要求,且随着列车运营速度的不断提高,要求越来越严格。对桥梁变形(竖向和横向)和振动的限值要求以保证列车运行的安全和乘坐舒适度,保证结构材料的受力特性在弹性范围内,对桥梁裂缝宽度限值要求保证桥梁结构的耐久性。目前铁道部已颁布的行业标准以《铁路桥涵设计基本规范》TB 10002.1-2005为基准,适用于铁路网中客货列车共线运行、旅客列车设计行车速度小于或等于160km/h,货物列车设计行车速度小于或等于120km/h的Ⅰ、Ⅱ级标准轨距铁路桥涵设计;以《新建时速200公里客货共线铁路设计暂行规定》(铁建设函[2005]285号)、《新建时速200~250公里客运专线铁路设计暂行规定》(铁建设[2005]140号)、《京沪高速铁路设计暂行规定》(铁建设[2004]157号)为补充,分别制定出适用于不同速度等级客货共线和客运专线的限制规定,以满足列车运行的安全性和舒适性。
A.2.7 铁路桥涵结构中承受列车活载反复应力的焊接或非焊接的受拉或拉压钢结构构件及混凝土受弯构件,应按下列要求进行疲劳承载力验算:
1 铁路桥涵结构的疲劳荷载可采用根据不同运量等级线路调查统计分析制定的典型疲劳列车及疲劳作用(应力)谱、标准荷载效应比谱;
2 铁路桥涵结构疲劳承载能力极限状态验算,宜采用等效等幅重复应力法。
条文说明
A.2.7 铁路桥梁结构承受较大的列车动力活载的反复作用,对焊接或非焊接的受拉或拉压钢结构构件及混凝土受弯构件应进行疲劳承载能力验算,以满足结构设计使用年限的要求。根据对不同运量等级线路调查,测试统计分析制定出典型疲劳列车及标准荷载效应比频谱,把桥梁构件承受的变幅重复应力转换为等效等幅重复应力,并考虑结构模型、结构构造、线路数量及运量的影响系数,应满足结构构件或细节的200万次疲劳强度设计值要求。现行《铁路桥梁钢结构设计规范》TB 10002.2-2005第3.2.7条表3.2.7-1、表3.2.7-2分别规定出各种构件或连接的疲劳容许应力幅、构件或连接基本形式及疲劳容许应力幅类别用以钢结构构件或细节的疲劳容许应力验算。
A.3公路桥涵结构的专门规定
A.3 公路桥涵结构的专门规定
A.3.1 公路桥涵结构的安全等级,应按表A.3.1的要求划分。

A.3.2 公路桥涵结构的设计基准期为100年。
条文说明
A.3.2 公路桥涵结构的设计基准期为100年,以保持和现行的公路行业标准采用的时间域一致。
施于桥梁上的可变荷载是随时间变化的,所以它的统计分析要用随机过程概率模型来描述。随机过程所选择的时间域即为基准期。在承载能力极限状态可靠度分析中,由于采用了以随机变量概率模型表达的一次二阶矩法,可变荷载的统计特征是以设计基准期内出现的荷载最大值的随机变量来代替随机过程进行统计分析。《公路工程结构可靠度设计统一标准》GB/T 50283-1999确定公路桥涵结构的设计基准期为100年,是因为公路桥涵的主要可变荷载汽车、人群等,按其设计基准期内最大值分布的0.95分位值所取标准值,与原规范的规定值相近。这样,就可避免公路桥涵在荷载取值上过大变动,保持结构设计的连续性。
A.3.3 公路桥涵结构的设计使用年限,应按表A.3.3采用。

注:对有特殊要求结构的设计使用年限,可在上述规定基础上经技术经济论证后予以调整。
条文说明
A.3.3 表A.3.3所列设计使用年限,是在总结以往实践经验,考虑设计、施工和维护的难易程度,以及结构一旦失效所造成的经济损失和对社会、环境的影响基础上确定的;通过广泛征求意见得到认可。表中所列特大桥、大桥、中桥、小桥是指《公路工程技术标准》JTG B01-2003规定的单孔跨径,而非多孔跨径总长。在设计使用年限内,桥涵主体结构在正常施工和使用条件下,必须完成预定的安全性、耐久性和适用性功能的要求。对于桥涵附属的、可更换的构件不在本条规定之列,它们的设计使用年限可根据该构件所用材料、具体使用条件另行规定。
A.3.4 公路桥涵结构承载能力极限状态设计,对持久设计状况和短暂设计状况应采用作用的基本组合,对偶然设计状况应采用作用的偶然组合。
1 基本组合
1)基本组合的效应设计值 S d ,可按下式确定:

(A.3,4-1)
式中S( · )——作用组合的效应函数,其中符号“∑”和“+”表示组合;
G ik ——第i个永久作用的标准值;
Q 1k ——第1个可变作用(主导可变作用)的标准值;
Q jK ——第j个可变作用的标准值;

——第i个永久作用的分项系数,应按表A.3.7采用;

——第1个可变作用(主导可变作用)的分项系数,应按有关的公路桥涵结构规范的规定采用;

——第j个可变作用的分项系数,应按有关的公路桥涵结构规范的规定采用。
γ L ——考虑结构设计使用年限的荷载调整系数,应按有关的公路桥涵结构规范的规定采用;
ψ c ——可变作用的组合值系数,应按有关的公路桥涵结构规范的规定采用。
2)当作用与作用效应按线性关系考虑时,基本组合的效应设计值 S d ,可按下式计算:

(A.3.4-2)
式中 
——第i个永久作用标准值的效应;

——第1个可变作用(主导可变作用)标准值的效应;

——第j个可变作用标准值的效应。
2 偶然组合
1)偶然组合的效应设计值 S d ,可按下式确定:

(A.3.4-3)
式中 A d ——偶然作用的设计值;
ψ f1 ——第1个可变作用的频遇值系数,应按有关的公路桥涵结构规范的规定采用;
ψ q1 、ψ qj ——第1个和第j个可变作用的准永久值系数,应按有关的公路桥涵结构规范的规定采用。
2)当作用与作用效应按线性关系考虑时,偶然组合的效应设计值可按下式计算:

(A.3.4-4)
式中 
——偶然作用设计值的效应。
条文说明
A.3.4 本条列出了公路桥涵结构承载能力极限状态设计有关作用组合的设计表达式,规定分为基本组合和偶然组合两种情况。 1 公式(A.3.4-1)为基本组合中作用设计值名义上的组合;公式(A.3.4-2)为作用设计值效应的组合。后者是结构设计所需要的。 上述作用设计值效应的组合原则是:首先把永久作用效应与主导可变作用效应(公路桥涵一般为汽车作用效应)组合;然后再与其他伴随可变作用效应组合,在该组合前面乘以组合值系数。这样的组合原则顺应于目标可靠指标一结构设计依据的运算方法和作用组合方式。应该指出,结构可靠指标和永久作用与可变作用的比值有关,为了使运算不过于复杂化,在“标准”计算可靠指标时,采用了永久作用(结构自重)效应与主导可变作用(汽车)效应的最简单组合,通过一系列运算后判断确定了目标可靠指标。所以,公路工程结构有关统一标准中给出的可靠指标β值是在作用效应最简单基本组合下给出的。当多个可变作用参与组合时,将影响原先确定的可靠指标值,因而需要引入组合值系数ψc,对伴随可变作用标准值进行折减,这样所得最终作用效应组合表达式,可使原定可靠指标保持不变。 以上公式中的作用分项系数,可变作用的组合系数可在确定的目标可靠指标下,通过优化运算确定,或根据工程经验确定。 2 公路桥梁的偶然作用包括船舶撞击、汽车撞击等,在偶然组合中作为主导作用。由于偶然作用出现的概率很小,持续的时间很短,所以不能有两个偶然作用同时参与组合。组合中除永久作用(一般不考虑混凝土收缩及徐变作用)和偶然作用外,根据具体情况还可采用其他可变作用代表值,当缺乏观测调查资料时,可取用可变作用频遇值或准永久值。
A.3.5 公路桥涵结构正常使用极限状态设计,应根据不同情况采用作用的标准组合、频遇组合或准永久组合。
1 标准组合
1)标准组合的效应设计值 S d ,可按下式确定:

(A.3.5-1)
2)当作用与作用效应按线性关系考虑时,标准组合的效应设计值 S d ,可按下式计算:

(A.3.5-2)
2 频遇组合
1)频遇组合的效应设计值 S d ,可按下式确定:

(A.3.5-3)
2)当作用与作用效应按线性关系考虑时,频遇组合的效应设计值 S d ,应按下式计算:

(A.3.5-4)
3 准永久组合
1)准永久组合的效应设计值 S d ;可按下式确定:

(A.3.5-5)
2)当作用与作用效应按线性关系考虑时,准永久组合的效应设计值 S d ,应按下式计算:

(A.3.5-6)
条文说明
A.3.5 现行公路桥涵有关规范中,应用于正常使用极限状态设计的作用组合,规定采用作用的频遇组合和准永久组合。参照国际标准《结构可靠性总原则》ISO 2394:1998,新增了作用的标准组合。
A.3.6 公路桥涵结构的结构重要性系数,不应小于表A.3.6的规定。

条文说明
A.3.6 公路桥涵结构重要性系数仍采用《公路桥涵设计通用规范》JTG D60-2004第4.1.6条的规定值。
A.3.7 公路桥涵结构永久作用的分项系数,应按表A.3.7采用。

条文说明
A.3.7 公路桥涵结构永久作用的分项系数采用了《公路桥涵设计通用规范》JTG D60-2004第4.1.6条的规定值。
本附录暂未规定考虑结构设计使用年限的荷载调整系数的具体取值,它需要在修编行业标准和规范时开展研究工作并规定具体的设计取值。
A.4港口工程结构的专门规定
A.4 港口工程结构的专门规定
A.4.1 港口工程结构的安全等级,应按表A.4.1的要求划分。

条文说明
A.4.1 将安全等级为三级的结构具体化,即为临时性结构,如港口工程的临时护岸、围埝。永久性港工结构安全等级为一级或二级,如集装箱干线港的大型集装箱码头结构、大型原油码头而附近又没有可替代的港口工程、液化天然气码头结构等可按安全等级为一级设计。大量的一般港口工程结构的安全等级为二级,既足够安全也是经济合理的。
A.4.2 港口工程结构的设计基准期为50年。
条文说明
A.4.2 与《港口工程结构可靠度设计统一标准》GB 50158-92保持相同。
A.4.3 港口工程结构的设计使用年限,应按表A.4.3采用。

条文说明
A.4.3 随着各种防腐蚀技术的成熟、可靠及高性能、高耐久混凝土的广泛应用,根据《港口工程结构设计使用年限调查专题研究》,从混凝土材料的耐久性方面,重力式、板桩码头正常使用情况下,使用年限可以达到50a以上,按高性能混凝土设计、施工的海港高桩码头结构,使用年限可以达到50a以上。考虑港口工程结构的造价在整个港口工程的总投资的比例平均为20%左右,永久性港口建筑物的设计使用年限为50a是合理的。
A.4.4 港口工程结构持久设计状况承载能力极限状态设计的可靠指标,不宜小于表A.4.4的规定。

注:不包括土坡及地基稳定和防波堤结构。
条文说明
A.4.4 给出的可靠指标是根据对港口工程结构可靠度校准结果确定的,在设计中可作为可靠指标的下限值采用。
土坡及地基稳定由于抗力变异性较大,防波堤水平波浪力和波浪浮托力相关性强,因此其可靠指标值较低。
A.4.5 对承载能力极限状态,应根据不同的设计状况采用作用的持久组合、短暂组合、偶然组合和地震组合进行设计。
1 持久组合
1)港口工程结构作用持久组合的效应设计值,宜按下式确定:

(A.4.5-1)
式中S( · )——作用组合的效应函数,其中符号“∑”和“+”表示组合;
G ik ——第i个永久作用的标准值;
P——预应力的代表值;
Q 1k 、Q jk ——第1个和第j个可变作用的标准值;

——第i个永久作用的分项系数,可按表A.4.12取值;
γ P ——预应力的分项系数;

——第1个和第j个可变作用分项系数,可按表A.4.12取值;
ψ cj ——可变作用的组合值系数,可取0.7;对经常以界限值出现的有界作用,可取1.0。
2)当作用与作用效应按线性关系考虑时,作用持久组合的效应设计值可按下式计算:

(A.4.5-2)
3)对某些情况,作用持久组合的效应设计值,亦可按下式确定:

(A.4.5-3)
式中 γ F ——作用综合分项系数,由各有关设计规范中给出。
2 短暂组合
1)港口工程结构作用短暂组合的效应设计值,宜按下式确定:

(A.4.5-4)
2)当作用与作用效应按线性关系考虑时,可按下式计算:

(A.4.5-5)
式中 
——第j个可变作用分项系数,可按表A.4.12中所列数值减小0.1采用。
3)对某些情况,作用短暂组合的效应设计值,亦可按式(A.4.5-3)确定。
3 偶然组合
偶然组合应符合下列要求:
1)偶然作用的分项系数为1.0;
2)与偶然作用同时出现的可变作用取标准值。
4 地震组合
地震组合应符合下列要求:
1)地震作用代表值的分项系数为1.0;
2)具体的设计表达式及各种系数,应按国家现行有关标准的规定采用。
A.4.6 对持久设计状况正常使用极限状态,根据不同的设计要求,可分别采用作用的标准组合、频遇组合和准永久组合进行设计,使变形、裂缝等作用效应的设计值符合式(8.3.1)的规定。
1 标准组合
1)标准组合的效应设计值,可按下式确定:

(A.4.6-1)
2)当作用与作用效应按线性关系考虑时,标准组合的效应设计值,可按下式计算:

(A.4.6-2)
2 频遇组合
1)频遇组合的效应设计值,可按下式确定:

(A.4.6-3)
2)当作用与作用效应按线性关系考虑时,频遇组合的效应设计值,可按下式计算:

(A.4.6-4)
3 准永久组合
1)准永久组合的效应设计值,可按下式确定:

(A.4.6-5)
2)当作用与作用效应按线性关系考虑时,准永久组合的效应设计值,可按下式计算:

(A.4.6-6)
式中 
——可变作用的组合值系数、频遇值系数和准永久值系数。
条文说明
A.4.5、A.4.6 根据本标准第8章的原则,反映港口工程结构的特点,并与港口工程各结构规范相协调。
A.4.7 承载能力极限状态的作用组合,对海港工程计算水位应按下列规定确定:
1 持久组合:对设计高水位、设计低水位、极端高水位和极端低水位以及设计高水位与设计低水位之间的某一不利水位,及与地下水位相结合分别进行计算;
2 短暂组合:对设计高水位和设计低水位以及设计高水位与设计低水位之间的某一不利水位,及与地下水位相结合分别进行计算。
A.4.8 承载能力极限状态的作用组合,对河港工程计算水位应按下列规定确定:
1 持久组合:对设计高水位、设计低水位及与地下水位相组合的某一不利水位分别进行计算;
2 短暂组合:对设计高水位和设计低水位分别进行计算,施工期间可按某一不利水位进行设计。
A.4.9 承载能力极限状态的地震组合,计算水位应符合国家现行有关标准的规定。
A.4.10 正常使用极限状态设计采用的作用组合可不考虑极端水位。
条文说明
A.4.7~A.4.10 在港口工程结构设计中,设计水位是一个相当重要而又比较复杂的问题。对于承载能力极限状态的持久组合,海港工程规定了5种水位,河港工程规定了3种水位;对于承载能力极限状态的短暂组合,海港工程规定了3种水位;河港工程规定了2种水位,比《港口工程结构可靠度设计统一标准》GB 50158-92又增加了施工期间某一不利水位。海港工程和河港工程均需要考虑地下水位的影响。
需要提出注意的是,设计高水位、设计低水位、极端高水位和极端低水位都是设计水位。
A.4.11 港口工程结构重要性系数,应按表A.4.11采用。

注:1 安全等级为一级的港口工程结构,当对安全有特殊要求时, γ 0 可适当提高;
2 自然条件复杂、维护有困难时, γ 0 适当提高。
条文说明
A.4.11 重要性系数在标准中是考虑结构破坏后果的严重性而引入的系数,称为结构重要性系数,根据《港口工程结构安全等级研究报告》,本次修订维持安全等级为一、二、三级的结构重要性系数分别取1.1、1.0和0.9。可靠度分析表明,采用这些系数后,安全等级相差1级,结构可靠指标相差0.5左右。考虑不同投资主体对港口结构可靠度的要求可能不同,故允许根据自然条件、维护条件、使用年限和特殊要求等对重要性系数γ0进行调整,但安全等级不变。结构安全等级:为一、二、三级的γ0分别不应小于1.1、1.0和0.9。
A.4.12 承载能力极限状态持久组合的作用分项系数,应按表A.4.12采用。

注:1 当永久作用效应对结构承载能力起有利作用时,永久作用分项系数 γ G 取值不应大于1.0;
2 同一来源的作用,当总的作用效应对结构承载能力不利时,分作用均乘以不利作用的分项系数;
3 永久荷载为主时,其分项系数应不小于1.3;
4 当两个可变作用完全相关,其中一个为主导可变作用时,其非主导可变作用的分项系数应按主导可变作用的分项系数考虑;
5 海港结构在极端高水位和极端低水位情况下,承载能力极限状态持久组合的可变作用分项系数应减小0.1;
6 相关结构规范抗倾、抗滑稳定计算时的波浪力分项系数按相关结构规范规定执行。
条文说明
A.4.12 为使作用分项系数统一和便于设计人员采用,表中给出了港口工程结构设计的主要作用的分项系数;抗倾、抗滑稳定计算时的波浪力作用分项系数由相关结构规范给出。
对永久作用和可变作用的分项系数,分别根据对结构承载能力有利和不利两种情况,做出了具体规定。
对于以永久作用为主(约占50%)的结构,为使结构的可靠指标满足第A.4.4条的要求,永久作用的分项系数应增大为不小于1.3。
当两个可变作用完全相关时,应根据总的作用效应有利或不利选用分项系数。对结构承载能力有利时取为0,对结构承载能力不利时,两个完全相关的可变作用应取相同作用的分项系数。
附录B质量管理
B.1质量控制要求
附录B 质量管理
B.1 质量控制要求
B.1.1 材料和构件的质量可采用一个或多个质量特征表达。在各类材料的结构设计与施工规范中,应对材料和构件的力学性能、几何参数等质量特征提出明确的要求。
材料和构件的合格质量水平,应根据各类工程结构有关规范规定的结构构件可靠指标确定。
条文说明
B.1.1 材料和构件的质量可采用一个或多个质量特征来表达,例如,材料的试件强度和其他物理力学性能以及构件的尺寸误差等。为了保证结构具有预期的可靠度,必须对结构设计、原材料生产以及结构施工提出统一配套的质量水平要求。材料与构件的质量水平可按结构构件可靠指标β近似地确定,并以有关的统计参数来表达。当荷载的统计参数已知后,材料与构件的质量水平原则上可采用下列质量方程来描述: 
式中μf和δf为材料和构件的某个质量特征f的平均值和变异系数,β为规范规定的结构构件可靠指标。 应当指出,当按上述质量方程确定材料和构件的合格质量水平时,需以安全等级为二级的典型结构构件的可靠指标为基础进行分析。材料和构件的质量水平要求,不应随安全等级而变化,以便于生产管理。
B.1.2 材料宜根据统计资料,按不同质量水平划分等级。等级划分不宜过密。对不同等级的材料,设计时应采用不同的材料性能的标准值。
条文说明
B.1.2 材料的等级一般以材料强度标准值划分。同一等级的材料采用同一标准值。无论天然材料还是人工材料,对属于同一等级的不同产地和不同厂家的材料,其性能的质量水平一般不宜低于可靠指标β的要求。按本标准制定质量要求时,允许各有关规范根据材料和构件的特点对此指标稍作增减。
B.1.3 对工程结构应实施为保证结构可靠性所必需的质量控制。工程结构的各项质量控制要求应由有关标准作出规定。工程结构的质量控制应包括下列内容:
1 勘察与设计的质量控制;
2 材料和制品的质量控制;
3 施工的质量控制;
4 使用和维护的质量控制。
B.1.4 勘察与设计的质量控制应达到下列要求:
1 勘察资料应符合工程要求,数据准确,结论可靠;
2 设计方案、基本假定和计算模型合理,数据运用正确;
3 图纸和其他设计文件符合有关规定。
B.1.5 为进行施工质量控制,在各工序内应实行质量自检,在各工序间应实行交接质量检查。对工序操作和中间产品的质量,应采用统计方法进行抽查;在结构的关键部位应进行系统检查。
B.1.6 材料和构件的质量控制应包括下列两种控制:
1 生产控制:在生产过程中,应根据规定的控制标准,对材料和构件的性能进行经常性检验,及时纠正偏差,保持生产过程中质量的稳定性。
2 合格控制(验收):在交付使用前,应根据规定的质量验收标准,对材料和构件进行合格性验收,保证其质量符合要求。
条文说明
B.1.6 材料及构件的质量控制包括两种,其中生产控制属于生产单位内部的质量控制;合格控制是在生产单位和用户之间进行的质量控制,即按统一规定的质量验收标准或双方同意的其他规则进行验收。 在生产控制阶段,材料性能的实际质量水平应控制在规定的合格质量水平之上。当生产有暂时性波动时,材料性能的实际质量水平亦不得低于规定的极限质量水平。
B.1.7 合格控制可采用抽样检验的方法进行。
各类材料和构件应根据其特点制定具体的质量验收标准,其中应明确规定验收批量、抽样方法和数量、验收函数和验收界限等。质量验收标准宜在统计理论的基础上制定。
条文说明
B.1.7 由于交验的材料和构件通常是大批量的,而且很多质量特征的检验是破损性的,因此,合格控制一般采用抽样检验方式。对于有可靠依据采用非破损检验方法的,必要时可采用全数检验方式。 验收标准主要包括下列内容: 1 批量大小——每一交验批中材料或构件的数量; 2 抽样方法——可为随机的或系统的抽样方法;系统的抽样方法是指抽样部位或时间是固定的; 3 抽样数量——每一交验批中抽取试样的数量; 4 验收函数——验收中采用的试样数据的某个函数,例如样本平均值、样本方差、样本最小值或最大值等; 5 验收界限——与验收函数相比较的界限值,用以确定交验批合格与否。 当前在材料和构件生产中,抽样检验标准多数是根据经验来制定的。其缺点在于没有从统计学观点合理考虑生产方和用户方的风险率或其他经济因素,因而所规定的抽样数量和验收界限往往缺乏科学依据,标准的松严程度也无法相互比较。 为了克服非统计抽样检验方法的缺点,本标准规定宜在统计理论的基础上制定抽样质量验收标准,以使达不到质量要求的交验批基本能判为不合格,而已达到质量要求的交验批基本能判为合格。
B.1.8 对生产连续性较差或各批间质量特征的统计参数差异较大的材料和构件,在制定质量验收标准时,必须控制用户方风险率。计算用户方风险率时采用的极限质量水平,可按各类材料结构设计规范的有关要求和工程经验确定。仅对连续生产的材料和构件,当产品质量稳定时,可按控制生产方风险率的条件制定质量验收标准。
条文说明
B.1.8 现有质量验收标准形式很多,本标准系按下述原则考虑: 对于生产连续性较差或各批间质量特征的统计参数差异较大的材料和构件,很难使产品批的质量基本维持在合格质量水平之上,因此必须按控制用户方风险率制定验收标准。此时,所涉及的极限质量水平,可按各类材料结构设计规范的有关要求和工程经验确定,与极限质量水平相应的用户风险率,可根据有关标准的规定确定。 对于工厂内成批连续生产的材料和构件,可采用计数或计量的调整型抽样检验方案。当前可参考国际标准《计数检验的抽样程序》ISO 2859(Sampling procedures for inspection by attrib-utes)及《计量检验的抽样程序》ISO 3951(Sampling proce-dures for inspection by variables)制定合理的验收标准和转换规则。规定转换规则主要是为了限制劣质产品出厂,促进提高生产管理水平;此外,对优质产品也提供了减少检验费用的可能性。考虑到生产过程可能出现质量波动,以及不同生产单位的质量可能有差别,允许在生产中对质量验收标准的松严程度进行调整。当产品质量比较稳定时,质量验收标准通常可按控制生产方的风险率来制定。此时所涉及的合格质量水平,可按规范规定的结构构件可靠指标β来确定。确定生产方的风险率时,应根据有关标准的规定并考虑批量大小、检验技术水平等因素确定。
B.1.9 当一批材料或构件经抽样检验判为不合格时,应根据有关的质量验收标准对该批产品进行复查或重新确定其质量等级,或采取其他措施处理。
条文说明
B.1.9 当交验的材料或构件按质量验收标准检验判为不合格时,并不意味着这批产品一定不能使用,因为实际上存在着抽样检验结果的偶然性和试件的代表性等问题。为此,应根据有关的质量验收标准采取各种措施对产品作进一步检验和判定。例如,可以重新抽取较多的试样进行复查;当材料或构件已进入结构物时,可直接从结构中截取试件进行复查,或直接在结构物上进行荷载试验;也允许采用可靠的非破损检测方法并经综合分析后对结构作出质量评估。对于不合格的产品允许降级使用,直至报废。
B.2设计审查及施工检查
B.2 设计审查及施工检查
B.2.1 工程结构应进行设计审查与施工检查,设计审查与施工检查的要求应符合有关规定。
注:对重要工程或复杂工程,当采用计算机软件作结构计算时,应至少采用两套计算模型符合工程实际的软件,并对计算结果进行分析对比,确认其合理、正确后方可用于工程设计。
条文说明
B.2.1 结构设计的可靠性水平的实现是以正常设计、正常施工和正常使用为前提的,因此必须对设计、施工进行必要的审查和检查,我国有关部门和规范对此有明确规定,应予遵守。
国外标准对结构的质量管理十分重视,对设计审查和施工检查也有明确要求,如欧洲规范《结构设计基础》EN 1990:2002主要根据结构的可靠性等级(类似于我国结构的安全等级)的不同设置了不同的设计监督和施工检查水平的最低要求。规定结构的设计监督分为扩大监督和常规监督, 扩大监督由非本设计单位的第三方进行;常规监督由本单位该项目设计人之外的其他人员按照组织程序进行或由该项目设计人员进行自检。同样,结构的施工检查也分为扩大检查和常规检查,扩大检查由第三方进行;常规检查即按照组织程序进行或由该项目施工人员进行自检。
附录C作用举例及可变作用代表值的确定原则
C.1作用举例
附录C 作用举例及可变作用代表值的确定原则
C.1 作用举例
条文说明
在作用的举例中,第C.1.2条中的地震作用和第C.1.3条中的撞击既可作为可变作用,也可作为偶然作用,这完全取决于业主对结构重要性的评估,对一般结构,可以按规定的可变作用考虑。由于偶然作用是指在设计使用年限内很不可能出现的作用,因而对重要结构,除了可采用重要性系数的办法以提高安全度外,也可以通过偶然设计状况将作用按量值较大的偶然作用来考虑,其意图是要求一旦出现意外作用时,结构也不至于发生灾难性的后果。 对于一般结构的设计,可以采用当地的地震烈度按规范规定的可变作用来考虑,但是对于重要结构,可提高地震烈度,按偶然作用的要求来考虑;同样,对结构的撞击,也应该区分问题的普遍性和特殊性,将经常出现的撞击和偶尔发生的撞击加以区分,例如轮船停靠码头时对码头结构的撞击就是经常性的,而车辆意外撞击房屋一般是偶发的。欧洲规范还规定将雪荷载也可按偶然作用考虑,以适应重要结构一旦遭遇意外的大雪事件的设计需要。
C.1.1 永久作用可分为以下几类:
1 结构自重;
2 土压力;
3 水位不变的水压力;
4 预应力;
5 地基变形;
6 混凝土收缩;
7 钢材焊接变形;
8 引起结构外加变形或约束变形的各种施工因素。
C.1.2 可变作用可分为以下几类:
1 使用时人员、物件等荷载;
2 施工时结构的某些自重;
3 安装荷载;
4 车辆荷载;
5 吊车荷载;
6 风荷载;
7 雪荷载;
8 冰荷载;
9 地震作用;
10 撞击;
11 水位变化的水压力;
12 扬压力;
13 波浪力;
14 温度变化。
C.1.3 偶然作用可分为以下几类:
1 撞击;
2 爆炸;
3 地震作用;
4 龙卷风;
5 火灾;
6 极严重的侵蚀;
7 洪水作用。
注:地震作用和撞击可认为是规定条件下的可变作用,或可认为是偶然作用。
C.2可变作用代表值的确定原则
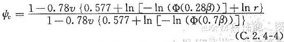
C.2 可变作用代表值的确定原则
C.2.1 可变作用标准值可按下述原则确定:
1 当可变作用采用平稳二项随机过程模型时,设计基准期T内可变作用最大值的概率分布函数 
可按下式计算:

(C.2.1-1)
式中 
——可变作用随机过程的截口概率分布函数;
m——可变作用在设计基准期T内的平均出现次数。
当截口概率分布为极值I型分布时(如年最大风压):

(C.2.1-2)
其最大值概率分布函数为:

(C.2.1-3)
2 可变作用的标准值 
可由可变作用在设计基准期T内最大值概率分布的统计特征值确定,最常用的统计特征值有平均值、中值和众值,也可采用其他的指定概率 
的分位值,即:

(C.2.1-4)
此时,对标准值 
在设计基准期内最大值分布上的超越概率为l-p。
3 在很多情况下,特别是对自然作用,采用重现期 
来表达可变作用的标准值 
比较方便,重现期是指连续两次超过作用值 
的平均间隔时间, 
与 
的关系如下:

(C.2.1-5)
重现期 
、概率 
和确定标准值的设计基准期T还存在下述近似关系:

(C.2.1-6)
条文说明
C.2.1 可变作用的标准值 可变作用的概率模型,为了便于分析,经常被简化为平稳二项随机过程的模型,这样,关于它在设计基准期内的最大值就可采用经过简化后的随机变量来描述。 可变作用的标准值通常是根据它在设计基准期内最大值的统计特征值来确定,常用的特征值有平均值、中值和众值。对大多数可变作用在设计基准期内最大值的统计分布,都可假定它为极值Ⅰ型(Gumbel)分布。当作用为风、雪等自然作用时,其在设计基准期内最大值按传统都采用分布的众值,也即概率密度最大的值作为标准值。对其他可变作用,一般也都是根据传统的取值,必要时也可取用较高的分位值,例如传统的地震烈度,它是相当于设计基准期为50年最大烈度分布的90%的分位值。 通过重现期TR来表达可变作用的标准值水平,有时比较方便,尤其是对自然作用,公式(C.2.1-5)给出作用的标准值和重现期的关系。当重现期有足够大时(一般在10年以上),对重现期TR、与分位值对应的概率p和确定标准值的设计基准期T还存在公式(C.2.1-6)的近似关系。
C.2.2 可变作用频遇值可按下述原则确定:
1 按作用值被超越的总持续时间与设计基准期的规定比率确定频遇值。
在可变作用的随机过程的分析中,将作用值超过某水平 
的总持续时间 
与设计基准期T的比率 
来表征频遇值作用的短暂程度(图C.2.2-1a)。图C.2.2-1b给出的是可变作用Q在非零时域内任意时点作用值 
的概率分布函数 
,超过 
水平的概率 
可按下式确定:

图C.2.2-1 以作用值超过某水平 
的总持续时间与设计基准期T的比率定义可变作用频遇值对各态历经的随机过程,存在下列关系式:

(C.2.2-2)
式中q——作用Q的非零概率。
当 
为规定值时,相应的作用水平 
可按下式确定:

(C.2.2-3)
对与时间有关联的正常使用极限状态,作用的频遇值可考虑按这种方式取值,当允许某些极限状态在一个较短的持续时间内被超越,或在总体上不长的时间内被超越,就可采用较小的 
值(不大于0.1),按式(C.2.2-3)计算作用的频遇值 
。
2 按作用值被超越的总频数或单位时间平均超越次数(跨阈率)确定频遇值。
在可变作用的随机过程的分析中,将作用值超过某水平 
的次数 
或单位时间内的平均超越次数 
(跨阈率)来表征频遇值出现的疏密程度(图C.2.2-2)。

图C.2.2-2 以跨阈率定义可变作用频遇值
跨阈率可通过直接观察确定,一般也可应用随机过程的某些特性(如谱密度函数)间接确定。当其任意时点作用 
的均值 
及其跨阈率 
为已知,而且作用是高斯平稳各态历经的随机过程,则对应于跨阈率 
的作用水平 
可按下式确定:

(C.2.2-4)
式中 
——-任意时点作用 
的标准差。
对与作用超越次数有关联的正常使用极限状态,作用的频遇值 
可考虑按这种方式取值,当结构振动时涉及人的舒适性、影响非结构构件的性能和设备的使用功能等的极限状态,都可采用频遇值来衡量结构的正常性。
条文说明
C.2.2 可变作用的频遇值 由于可变作用的标准值表征的是作用在设计基准期内的最大值,因此在按承载能力极限状态设计时,经常是以其标准值为设计代表值。但是在按正常使用极限状态设计时,作用的标准值有时很难适应正常使用的设计要求,例如在房屋建筑适用性要求中,短暂时间内超越适用性限值往往是可以被允许的,此时以作用的标准值为设计代表值,就显得与实际要求不相符合了;在有些正常使用极限状态设计中,涉及的是影响构件性能的恶化(耐久性)问题,此时在设计基准期内的超越作用某个值的次数往往是关键的参数。 可变作用的频遇值就是在上述意义上通常的一种代表值,理论上可以根据不同要求按附录提供的原理来确定,而实际上,目前在设计中还少有应用,只是在个别问题中得到采用,而且在取值上大多也是根据经验。
C.2.3 可变作用准永久值可按下述原则确定:
1 对在结构上经常出现的部分可变作用,可将其出现部分的均值作为准永久值 
采用。
2 对不易判别的可变作用,可以按作用值被超越的总持续时间与设计基准期的规定比率确定,此时比率可取0.5。当可变作用可认为是各态历经的随机过程时,准永久值 
可直接按式(C.2.2-3)确定。
条文说明
C.2.3 可变作用的准永久值 可变作用的准永久值是表征其经常在结构上存在的持久部分,它主要是在考察结构长期的作用效应时所必需的作用代表值,也即相当于在以往结构设计中的所谓长期作用的取值。 对可变作用,当在结构上经常出现的持久部分能够明显识别时,我们可以通过数据的汇集和统计来确定;而对于不易识别的情况,我们可以参照确定频遇值的原则,按作用值被超越的总持续时间与设计基准期的比率取0.5的规定来确定,这也表明在设计基准期一半的时间内它被超越,而另一半时间内它不被超越,当可变作用可以认为是各态历经的随机过程,准永久值就相当于作用在设计基准期内的均值。
C.2.4 可变作用组合值可按下述原则确定
1 可变作用近似采用等时段荷载组合模型,假设所有作用的随机过程Q(t)都是由相等时段 
组成的矩形波平稳各态历经过程(图C.2.4)。

图C.2.4 等时段矩形波随机过程
2 根据各个作用在设计基准期内的时段数r的大小将作用按序排列,在诸作用的组合中必然有一个作用取其最大作用 
,.而其他作用则分别取各自的时段最大作用或任意时点作用,统称为组合作用 
。
3 按设计值方法的原理,该最大作用的设计值 
和组合作用 
各为:

对极值I型的作用,还给出相应的公式:

式中 
——作用最大值的变异系数。
4 组合值系数也可作为伴随作用的分项系数,按附录E.5和E.6的有关内容确定。
条文说明
C.2.4 可变作用的组合值 按本标准对可变作用组合值的定义,它是指在设计基准期内使组合后的作用效应值的超越概率与该作用单独出现时的超越概率一致的作用值,或组合后使结构具有规定可靠指标的作用值。 早在国际标准《结构可靠性总原则》ISO 2394第2版(1986)附录B中,已经提供了确定基本变量设计值的原理及简化规则;在第3版(1998)附录E.6中依旧保留该设计值方法的内容。 在一阶可靠度方法(FORM)中,基本变量Xi的设计值Xid与变量统计参数和所假设的分布类型、对有关的极限状态和设计状况的目标可靠指标β以及按在FORM中定义的灵敏度系数αi有关。对变量Xi有任意分布F(Xi)的设计值Xid可由下式给出: 
灵敏度的计算在原则上将经过多次迭代而带来不便,但是根据经验制定一套取值的规则,即对抗力的主导变量,取αRi=0.8,抗力的其他变量,取αRi=0.8×0.4=0.32;对作用的主导变量,取αSi=0.7,作用的其他伴随变量,取αSi=0.7×0.4=—0.28。只要0.16<σSi/σRi<6.6,由于简化带来的误差是可接受的,而且还都是偏保守的。 附录按此原理给出作用组合值系数的近似公式,并且对多数情况采用极值Ⅰ型的作用,还给出相应的计算公式。
附录D试验辅助设计
D.1一般规定
附录D 试验辅助设计
D.1 一般规定
D.1.1 试验辅助设计应符合下列要求:
1 在试验进行之前,应制定试验方案;试验方案应包括试验目的、试件的选取和制作,以及试验实施和评估等所有必要的说明;
2 为制定试验方案,应预先进行定性分析,确定所考虑结构或结构构件性能的可能临界区域和相应极限状态标志;
3 试件应采用与构件实际加工相同的工艺制作;
4 按试验结果确定设计值时,应考虑试验数量的影响。
D.1.2 应通过适当的换算或修正系数考虑试验条件与结构实际条件的不同。换算系数 
应通过试验或理论分析来确定。影响换算系数 
的主要因素包括尺寸效应、时间效应、试件的边界条件、环境条件、工艺条件等。
D.2试验结果的统计评估原则
D.2 试验结果的统计评估原则
D.2.1 统计评估应符合下列基本原则:
1 在评估试验结果时,应将试件的性能和失效模式与理论预测值进行对比,当偏离预测值过大时,应分析原因,并做补充试验;
2 应根据已有的分布类型及参数信息,以统计方法为基础对试验结果进行评估;本附录给出的方法仅适用于统计数据(或先验信息)取自同一母体的情况;
3 试验的评估结果仅对所考虑的试验条件有效,不宜将其外推应用。
D.2.2 材料性能、模型参数或抗力设计值的确定应符合下列基本原则:
1 可采用经典统计方法或“贝叶斯法”推断材料性能、模型参数或抗力的设计值:先确定标准值,然后除以一个分项系数,必要时要考虑换算系数的影响;
2 在进行材料性能、模型参数或抗力设计值评估时,应考虑试验数据的离散性、与试验数量相关的统计不定性和先验的统计知识。
D.3单项性能指标设计值的统计评估
D.3 单项性能指标设计值的统计评估
D.3.1 单项性能指标设计值统计评估,应符合下列一般规定:
1 单项性能X可代表构件的抗力或提供构件抗力的性能;
2 D.3.2和D.3.3的所有结论是以构件的抗力或提供构件抗力的性能服从正态分布或对数正态分布给出的;
3 若没有关于平均值的先验知识,一般可基于经典方法进行设计值估算,其中“ 
未知”对应于没有变异系数先验知识的情况,“ 
已知”对应于已知变异系数全部知识的情况;
4 若已有关于平均值的先验知识,可基于贝叶斯方法进行,设计值估算。
D.3.2 经典统计方法
1 当性能x服从正态分布时,其设计值 
可写成如下形式:

(D.3.2-1)
式中 
——换算系数的设计值,换算系数的评估主要取决于试验类型和材料;

——分项系数,具体数值应根据试验结果的应用领域来选定;

——标准值单侧容限系数;

——性能X的平均值;

——性能X的变异系数。
2 当性能X服从对数正态分布时,式(D.3.2-1)可改写为:

(D. 3.2-2)
式中 
——变量 
的平均值,取 
;

——变量 
的均方差;

;


——性能X的第i个试验观测值。
条文说明
D.3.2 标准值单侧容限系数kuk计算。 1 单项性能指标X的变异系数δx值可通过试验结果按下列公式计算: 
2 标准值单侧容限系数knk分“δx已知”和“δx未知”两种情况,可分别按下列公式计算: 
式中 n——试验样本数量; up——对应分位值P的标准正态分布函数自变量值, PΦ{x>up}=p,当分位值p=0.05时,up=1.645; tp,v——自由度v=n—1的t分布函数对应分位值P的自变量值,Pt{x>tp,v}=p。 对于材料,一般取标准值的分位值p=0.05,knk值可由表4给出: 表4 分位值p=0.05时标准值单侧容限系数knk
D.3.3 贝叶斯法
1 当性能X服从正态分布时,其设计值可按下式确定:

式中 
——自由度为 
的t分布函数对应分位值 
的自变量值, 
;

——先验分布参数。
2 先验分布参数 
的确定,应符合下列原则:
1)当有效数据很少时,则应取 
等于零,此时贝叶斯法评估结果与经典统计方法的“ 
未知”情况相同;
2)当根据过去经验几乎可以取平均值和标准差为定值时,则 
可取相对较大值,如取50或更大;
3)在一般情况下,可假定只有很少数据或无先验数据,此时 
,这样可能获得较佳的估算值。
条文说明
D.3.3 在统计学中,有两大学派,一个是经典学派,另一个是贝叶斯(Bayesian)学派。贝叶斯学派的基本观点是:重要的先验信息是可能得到的,并且应该充分利用。贝叶斯参数估计方法的实质是以先验信息为基础,以实际观测数据为条件的一种参数估计方法。在贝叶斯参数估计方法中,把未知参数θ视为一个已知分布π(θ)的随机变量,从而将先验信息数学形式化,并加以利用。
1 m′、σ′、n′和v′为先验分布参数,一般可将先验信息理解为假定的先验试验结果:m′为先验样本的平均值;σ′为先验样本的标准差;n′为先验样本数;v′为先验样本的自由度,v′=
,其中δ′为先验样本的变异系数。 2 当参数n′>0时,取δ(n′)=1;当n′=0时,取δ(n′)=0,此时存在如下简化关系: 
3 t分布函数对应分位值p=0.05的自变量值tp,v″,可由下表给出: 表5 t分布函数对应分位值p=0.05的自变量值tp,v″
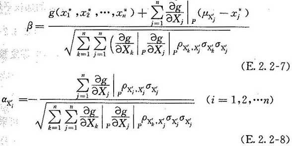
附录E结构可靠度分析基础和可靠度设计方法
E.1一般规定
附录E 结构可靠度分析基础和可靠度设计方法
E.1 一般规定
E.1.1 当按本附录方法确定分项系数和组合值系数时,除进行分析计算外,尚应根据工程经验对分析结果进行判断,必要时进行调整。
条文说明
E.1.1 从概念上讲,结构可靠性设计方法分为确定性方法和概率方法,如图1所示。在确定性方法中,设计中的变量按定值看待,安全系数完全凭经验确定,属于早期的设计方法。概率方法分为全概率方法和一次可靠度方法(FORM)。 
图1 结构可靠性设计方法概况
全概率方法使用随机过程模型及更准确的概率计算方法,从原理上讲,可给出可靠度的准确结果,但因为通常缺乏统计数据及数值计算上的困难,设计规范的校准很少使用全概率方法。一次可靠度方法使用随机变量模型和近似的概率计算方法,与当前的数据收集情况及计算手段是相适应的,所以,目前国内外设计规范的校准基本都采用一次可靠度方法。
本附录说明了结构可靠度校准、直接用可靠指标进行设计的方法及用可靠度确定设计表达式中分项系数和组合值系数的方法。
本附录只适用于一般的结构,不包括特大型、高耸、长大及特种结构,也不包括地震作用和由风荷载控制的结构。
E.1.2 按本附录进行结构可靠度分析和设计时,应具备下列条件:
1 具有结构的极限状态方程;
2 基本变量具有准确、可靠的统计参数及概率分布。
条文说明
E.1.2 进行结构可靠度分析的基本条件是建立结构的极限状态方程和确定基本随机变量的概率分布函数。功能函数描述了要分析结构的某一功能所处的状态:Z>0表示结构处于可靠状态;Z=0表示结构处于极限状态;Z<0表示结构处于失效状态。计算结构可靠度就是计算功能函数Z>0的概率。概率分布函数描述了基本变量的随机特征,不同的随机变量具有不同的随机特征。
E.1.3 当有两个及两个以上可变作用时,应进行可变作用的组合,并可采用下列规则之一进行:
1 设m种作用参与组合,将模型化后的作用 
在设计基准期T内的总时段数 
,按顺序由小到大排列,即r1≤r2≤…≤rm,取任一作用 
在[0,T]内的最大值 
与其他作用组合,得m种组合的最大作用 
,其中作用最大的组合为起控制作用的组合;
2 设m种作用参与组合,取任一作用 
在[0,T]内的最大值 
与其他作用任意时点值 
进行组合,得m种组合的最大作用 
,其中作用最大的组合为起控制作用的组合。
条文说明
E.1.3 结构一般情况下会受到两个或两个以上可变作用的作用,如果这些作用不是完全相关,则同时达到最大值的概率很小,按其设计基准期内的最大值随机变量进行可靠度分析或设计是不合理的,需要进行作用组合。结构作用组合是一个比较复杂的问题,完全用数学方法解决很困难,目前国际上通用的是各种实用组合方法,所以工程上常用的是简便的组合规则。本条提供了两种组合规则,规则1为“结构安全度联合委员会”(JCSS)组合规则,规则2为Turkstra组合规则,这两种组合规则在国内外都得到广泛的应用。
E.2结构可靠指标计算
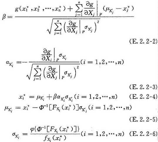
E.2 结构可靠指标计算
E.2.1 结构或构件的可靠指标宜采用考虑随机变量概率分布类型的一次可靠度方法计算,也可采用其他方法。
条文说明
E.2.1 结构可靠度的计算方法有多种,如一次可靠度方法(FORM)、二次可靠度方法(SORM)、蒙特卡洛模拟(Monte Carlo Simulation)方法等。本条推荐采用国内外标准普遍采用的一次可靠度方法,对于一些比较特殊的情况,也可以采用其他方法,如计算精度要求较高时,可采用二次可靠度方法,极限状态方程比较复杂时可采用蒙特卡洛方法等。
E.2.2 当采用一次可靠度方法计算可靠指标时,应符合下列要求:
1 当仅有作用效应和结构抗力两个相互独立的综合变量且均服从正态分布时,结构或结构构件的可靠指标可按下式计算:

(E.2.2-1)
式中 
——结构或结构构件的可靠指标;

——结构或结构构件作用效应的平均值和标准差;

——结构或结构构件抗力的平均值和标准差。
2 当有多个相互独立的非正态基本变量且极限状态方程为式(4.3.5)时,结构或结构构件的可靠指标按下面的公式迭代计算:

式中 
——结构或构件的功能函数,包括计算模式的不定性;


——功能函数 
的一阶偏导数在验算点 
处的值;

——基本变量 
的当量正态化变量 
的平均值和标准差;

——基本变量 
的概率密度函数和概率分布函数;

——标准正态随机变量的概率密度函数、概率分布函数和概率分布函数的反函数。
3 当有多个非正态相关的基本变量且极限状态方程为式(4.3.5)时,将式(E.2.2-2)和式(E.2.2-3)用下面的公式替换后进行迭代计算:

式中 
——当量正态化变量 
的相关系数,可近似取变量 
的相关系数 
。
条文说明
E.2.2 由简单到复杂,本条给出了3种情况的可靠指标计算方法。第1种情况用于说明可靠指标的概念;第2种情况是变量独立情况下可靠指标的一般计算公式;第3种情况是变量相关情况下可靠指标的一般计算公式,是对独立随机变量一次可靠度方法的推广,与独立变量一次可靠度方法的迭代计算步骤没有区别。迭代计算可靠指标的方法很多,下面是本附录建议的迭代计算步骤: 

从数学上讲,对于一般的工程问题,一次可靠度方法具有足够的计算精度,但计算所得到的可靠指标或失效概率只是一个运算值,这是因为:
1 影响结构可靠性的因素不只是随机性,还有其他不确定性因素,这些因素目前尚不能通过数学方法加以分析,还需通过工程经验进行决策;
2 尽管我国编制各统一标准时对各种结构承受的作用进行过大量统计分析,但由于客观条件的限制,如数据收集的持续时间和数据的样本容量,这些统计结果尚不能完全反映所分析变量的统计规律;
3 为使可靠度计算简化,一些假定与实际情况不一定完全符合,如作用效应与作用的线性关系只是在一定条件下成立的,一些条件下是近似的,近似的程度目前尚难以判定。
尽管如此,可靠度方法仍然是一种先进的方法,它建立了结构失效概率的概念(尽管计算的失效概率只是一个运算值,但可用于相同条件下的比较),扩大了概率理论在结构设计中应用的范围和程度,使结构设计由经验向科学过渡又迈出了一步。总的来讲,可靠度设计方法的优点不在于如何去计算可靠指标,而是在整个结构设计中根据变量的随机特性引入概率的概念,随着对事物本质认识的加深,使概率的应用进一步深化。
E.3结构可靠度校准
E.3 结构可靠度校准
E.3.1 结构可靠度校准是用可靠度方法分析按传统方法所设计结构的可靠度水平,也是确定设计时采用的可靠指标的基础,校准中所选取的结构或结构构件应具有代表性。
条文说明
E.3.1 结构可靠度校准的目的是分析现行结构设计方法的可靠度水平和确定结构设计的目标可靠指标,以保证结构的安全可靠和经济合理。校准法的基本思想是利用可靠度理论,计算按现行设计规范设计的结构的可靠指标,进而确定今后结构设计的可靠度水平。这实际上是承认按现行设计规范设计的结构或结构构件的平均可靠水平是合理的。随着国家经济的发展,有必要对结构或结构构件的可靠度进行调整,但也要以可靠度校准为依据。所以结构可靠度校准是结构可靠度设计的基础。
E.3.2 结构可靠度校准可采用下列步骤:
1 确定校准范围,如选取结构物类型(建筑结构、桥梁结构、港工结构等)或结构材料形式(混凝土结构、钢结构等),根据目标可靠指标的适用范围选取代表性的结构或结构构件(包括构件的破坏形式);
2 确定设计中基本变量的取值范围,如可变作用标准值与永久作用标准值比值的范围;
3 分析传统设计方法的表达式,如受弯表达式、受剪表达式等;
4 计算不同结构或结构构件的可靠指标 
;
5 根据结构或结构构件在工程中的应用数量和重要性,确定一组权重系数 
,并满足:

(E.3.2-1)
6 按下式确定所校准结构或结构构件可靠指标的加权平均:

(E.3.2-2)
条文说明
E.3.2 本条说明了结构可靠度校准的步骤。这一步骤只供参考,对于不同的结构,可靠度分析的方法可能不同,校准的步骤可能也有所差别。
E.3.3 结构或结构构件的目标可靠指标 
,应根据可靠度校准的 
经综合分析判断确定。
E.4基于可靠指标的设计
E.4 基于可靠指标的设计
E.4.1 根据目标可靠指标进行结构或结构构件设计时,可采用下列方法之一:
1 所设计结构或结构结构构件的可靠指标应满足下式要求:

(E.4.1-1)
式中 
——所设计结构或结构构件的可靠指标;

——所设计结构或结构构件的目标可靠指标。
当不满足式(E.4.1-1)的要求时,应重新进行设计,直至满足要求为止。
2 对某些结构构件的截面设计,如钢筋混凝土构件截面配筋,当抗力服从对数正态分布时,可在满足(E.4.1-1)式的条件下按下式直接求解结构构件的几何参数:

(E.4.1-2)
式中 
——抗力函数;

——迭代计算求得的正态化抗力的平均值;

——迭代计算求得的抗力验算点值;

——抗力的变异系数;

——材料性能标准值;

——几何参数的标准值,如钢筋混凝土构件钢筋的截面面积等;

——均值系数,即变量平均值与标准值的比值。
条文说明
E.4.1 本标准提供了两种直接用可靠度进行设计的方法。第1种实际上是可靠指标校核方法,因为很多情况下设计中一个量的变化可涉及多种情况的验算,如对于港口工程重力式码头的设计,需要进行稳定性验算、抗滑移验算及承载力验算,码头截面尺寸变化时,这三种情况都需要重新进行分析。第2种方法适合于比较简单的截面设计的情况,如承载力服从对数正态分布的钢筋混凝土构件的截面配筋计算,对于这种情况,可采用下面的迭代计算步骤: 1 根据永久作用效应SG、可变作用效应S1,S2,…,Sm和结构抗力R建立极限状态方程 

E.4.2 当按可靠指标方法设计的结果与传统方法设计的结果有明显差异时,应分析产生差异的原因。只有当证明了可靠指标方法设计的结果合理后方可采用。
条文说明
E.4.2 直接用可靠指标方法对结构或结构构件进行设计,理论上是科学的,但目前尚没有这方面的经验,需要慎重。如果用可靠指标方法设计的结果与按传统方法设计的结果存在差异,并不能说明哪种方法的结果一定是合理的,而要根据具体情况进行分析。
E.5分项系数的确定方法
E.5 分项系数的确定方法
E.5.1 结构或结构构件设计表达式中分项系数的确定,应符合下列原则:
1 结构上的同种作用采用相同的作用分项系数,不同的作用采用各自的作用分项系数;
2 不同种类的构件采用不同的抗力分项系数,同一种构件在任何可变作用下,抗力分项系数不变;
3 对各种构件在不同的作用效应比下,按所选定的作用分项系数和抗力系数进行设计,使所得的可靠指标与目标可靠指标 
具有最佳的一致性。
条文说明
E.5.1 本条规定了确定结构或结构构件设计表达式中分项系数的原则。
E.5.2 结构或结构构件设计表达式中分项系数的确定可采用下列步骤:
1 选定代表性的结构或结构构件(或破坏方式)、一个永久作用和一个可变作用组成的简单组合(如对建筑结构永久作用+楼面可变作用,永久作用+风作用)和常用的作用效应比(可变作用效应标准值与永久作用效应标准值的比值);
2 对安全等级为二级的结构或结构构件,重要性系数 
取为1.0;
3 对选定的结构或结构构件,确定分项系数 
下简单组合的抗力设计值;
4 对选定的结构或结构构件,确定抗力系数 
下简单组合的抗力标准值;
5 计算选定结构或结构构件简单组合下的可靠指标 
;
6 对选定的所有代表性结构或结构构件、所有 
的范围(以0.1或0.05的级差),优化确定 
;选定一组使按分项系数表达式设计的结构或结构构件的可靠指标 
与目标可靠指标 
最接近的分项系数 
;
7 根据以往的工程经验,对优化确定的分项系数 
进行判断,必要时进行调整;
8 当永久作用起有利作用时,分项系数表达式中的永久作用取负号,根据已经选定的分项系数 
,通过优化确定分项系数 
(以0.1或0.05的级差);
9 对安全等级为一、三级的结构或结构构件,以上面确定的安全等级为二级结构或结构构件的分项系数为基础,同样以按分项系数表达式设计的结构或结构构件的可靠指标 
与目标可靠指标 
最接近为条件,优化确定结构重要性系数 
。
条文说明
E.5.2 本条说明了确定结构或结构构件设计表达式中分项系数的步骤,对于不同的结构或结构构件,可能有所差别,可根据具体情况进行适当调整。国外很多规范都采用类似的方法,国际结构安全度联合委员会还开发了一个用优化方法确定分项系数、重要性系数的软件PROCODE。
E.6组合值系数的确定方法
E.6 组合值系数的确定方法
E.6.1 可变作用组合值系数的确定应符合下列原则:
在可变作用分项系数 
和抗力分项系数 
已确定的前提下,对两种或两种以上可变作用参与组合的情况,确定的组合值系数应使按分项系数表达式设计的结构或结构构件的可靠指标 
与目标可靠指标 
具有最佳的一致性。
条文说明
E.6.1 本条规定了结构或结构构件设计表达式中组合值系数的确定原则。
E.6.2 可变作用组合值系数的确定可采用下列步骤:
1 以安全等级为二级的结构或结构构件为基础,选定代表性的结构或结构构件(或破坏方式)、由一个永久作用和两个或两个以上可变作用组成的组合和常用的作用效应比(主导可变作用效应标准值与永久作用效应标准值的比值,伴随可变作用效应标准值与主导可变作用效应标准值的比值);
2 根据已经确定的分项系数 
,计算不同结构或结构构件、不同作用组合和常用作用效应比下的抗力设计值;
3 根据已经确定的抗力分项系数 
,计算不同结构或结构构件、不同作用组合和常用作用效应比下的抗力标准值;
4 计算不同结构或结构构件、不同作用组合和常用作用效应比下的可靠指标;
5 对选定的所有代表性结构或结构构件、作用组合和常用的作用效应比,优化确定组合值系数 
,使按分项系数表达式设计的结构或结构构件的可靠指标 
与目标可靠指标 
具有最佳的一致性;
6 根据以往的工程经验,对优化确定的组合值系数 
进行判断,必要时进行调整。
条文说明
E.6.2 本条说明了确定结构或结构构件设计表达式中组合值系数的步骤,对于不同的结构或结构构件,可能有所差别,可根据具体情况适当调整。
附录F结构疲劳可靠性验算方法
F.1一般规定
附录F 结构疲劳可靠性验算方法
F.1 一般规定
F.1.1 本附录适用于工程结构的疲劳可靠性验算。房屋建筑结构、铁路和公路桥涵结构、市政工程结构中承受高周疲劳作用的结构,可按本附录规定对结构的疲劳可靠性进行验算。
条文说明
F.1.1 本附录条文主要是针对我国近年来结构用钢大大增加,进而对应的钢结构疲劳问题日渐突出,需要特别关注的前提下,根据生产实践及科学试验的现有经验编写的,因此适用范围尽管包含了房屋建筑结构、铁路和公路桥涵结构、市政工程结构,但其经验主要来源于铁路桥梁,在一定程度上有其局限之处。一般讲,在单纯由于动荷载产生的疲劳、疲劳应力小于强度设计值(屈服强度除以某安全系数)规定、验算疲劳循环次数代表值在1.0×104~1.0x107范围,采用本附录进行疲劳验算是适宜的,对于由于其他原因如腐蚀疲劳、低周疲劳(高应力、低寿命)或无限寿命设计的情况,应先进行科学试验和研究工作,必要时还应进行现场观测,以取得设计所需的数据和经验来补充本条文之不足。 由于对既有结构的疲劳可靠性评定,除了进行与新结构设计步骤类似的对未来寿命的预测外,需要进行已经发生疲劳损伤的评估,而且所针对的结构是疲劳损伤过的,因此需要作专门的评定。
F.1.2 在下列情况下应对结构或构造的疲劳可靠性进行验算:
1 结构整体或局部构造承受反复荷载作用;
2 结构或局部构造存在应力集中现象且为交变作用;
3 反复荷载作用的持续时间与结构设计使用年限相比占主要部分。
条文说明
F.1.2 结构或局部构造存在应力集中现象,并不仅仅指结构的表面。所有焊接结构由于不可避免存在缺陷,都属于存在应力集中现象的范畴,需要进行疲劳可靠性验算。
F.1.3 根据需要可分别对结构疲劳可靠性进行承载能力极限状态或正常使用极限状态验算。
条文说明
F.1.3 结构疲劳可靠性,包括疲劳承载能力极限状态可靠性和疲劳正常使用极限状态可靠性。一般钢结构按承载能力极限状态进行验算,混凝土结构根据不同验算目的采用承载能力极限状态或正常使用极限状态进行验算。
验算疲劳承载能力极限状态可靠性时,应以结构危险部位的材料达到疲劳破损或产生过大变形作为失效准则。验算疲劳正常使用承载极限状态可靠性时,主要考虑重复荷载对结构变形的不利影响。
F.1.4 对结构的某个或多个细部构造可分别进行疲劳可靠性验算。
条文说明
F.1.4 对整个结构体系,应根据结构受力特征采用系统可靠性分析方法,分别在子系统(多个细部构造)疲劳可靠性验算基础上进行系统可靠性验算,本规定中暂未包含系统可靠性问题。
F.1.5 结构的疲劳可靠性验算应按下列步骤进行:
1 根据对结构的受力分析,确定关键部位或由委托方明确验算部位;
2 根据对结构使用期间承受荷载历程的调研和预测,制定相应的疲劳标准荷载频谱;
3 对结构或局部构造上的疲劳作用和对应的疲劳抗力进行分析评定;
4 提出疲劳可靠性的验算结论。
条文说明
F.1.5 结构的疲劳可靠性验算步骤是按照确定验算部位——确定疲劳作用——确定疲劳抗力——可靠性验算的思路进行的。
F.1.6 本附录涉及的力学模型和内力计算,应符合第7章的有关规定。
条文说明
F.1.6 为便于设计人员操作,疲劳可靠性验算的力学模型和内力计算,应与强度计算模型一致,仅在验算的具体规定中有区别。
F.1.7 结构的疲劳承载能力验算应以验算部位的计算名义应力不超过结构相应部位的疲劳强度设计值为准则。
条文说明
F.1.7 在验算结构疲劳时,采用计算名义应力,即根据疲劳荷载按弹性理论方法确定,作为疲劳作用;疲劳抗力也是以构造细节加载试验名义应力为基本要素给出相应SN曲线方程,焊缝热点应力以及其他应力集中的影响均通过疲劳SN曲线反映,如果应力集中影响严重,疲劳S-N曲线在双对数坐标图中的位置就低,反之就高。
F.1.8 疲劳强度设计值应根据结构或局部构造的疲劳试验结果,取某一概率分布的上分位值,以名义应力形式(非应力集中部位应力)确定。
条文说明
F.1.8 根据按相关试验规范进行的疲劳试验结果,疲劳强度设计值取其平均值减去某概率分布上分位值对应程度的标准差。通常情况下,取平均值减去2倍标准差,所对应的概率分布按照正态分布,其上分位值为97.7%。
F.1.9 疲劳验算采用的目标可靠指标可根据校准法确定。
条文说明
F.1.9 在目前的条件下,用校准法确定目标可靠指标是科学的,关键还是可操作的,即根据现有结构设计水准得出与之相当的可靠指标。更为准确合理的指标需要在系统积累足够样本数据的时候方可实施。
F.2疲劳作用
F.2 疲劳作用
F.2.1 结构承受的变幅重复荷载,其荷载历程可通过实测或模拟等方法确定。根据荷载历程,采用“雨流计数法”或“蓄水池法”,可转换为表示荷载变程 
与循环次数n关系的荷载频谱(图F.2.1)。根据“荷载频谱”可转换为结构、连接或局部构造关键部位的应力频谱。其中,应力变程 
,可根据荷载变程 
计算确定。

图F.2.1 荷载频谱
条文说明
F.2.1 疲劳荷载是结构设计寿命内实际承受的变幅重复荷载的总和,一般用谱荷载形式可以较为直观、确切地表达。对短期测量得到的荷载,不能直接作为疲劳荷载进行检算,需要考虑结构用途可能发生的改变,例如,桥梁通行能力的增加,荷载特征的变化等;有动力效应时疲劳荷载应计入其影响;当结构由于外载引起变形或者振动而产生次效应时,疲劳荷载应计入。 疲劳荷载频谱依据荷载的形式和变化规律形成模式,在结构验算部位引起所有大小不同的应力,为应力历程,将各种大小不同的名义应力出现率进行列表,即为应力频谱。列表中各级名义应力及其相应出现的次数,采用雨流计数法和蓄水池法得到。
疲劳应力频谱是疲劳荷载频谱在疲劳验算部位引起的应力效应。疲劳应力频谱可以根据疲劳荷载频谱通过弹性理论分析求得,也可通过实测应力频谱推算。疲劳设计应力频谱是结构设计寿命内所有加载事件引起的应力总和,可采用列表或直方图的形式表示。
F.2.2 根据结构构件(或连接)的应力频谱,采用“Miner累积损伤准则”,可换算为指定循环次数的等效等幅重复应力,考虑必要的影响参数后可形成等效疲劳作用(必要时还应包括恒载)。在一般情况下,等效等幅重复应力的指定循环次数可采用 
次。
钢结构和混凝土结构构造细节的疲劳作用计算方法如下:
1 钢结构疲劳作用
钢结构等效疲劳作用可按式(F.2.2-1)计算。

(F.2.2-1)
式中 
——钢结构验算部位等效疲劳应力变程标准值;

——荷载标准值作用下钢结构验算部位应力变程的标准值;

——钢结构第i个疲劳影响参数,其值由自身影响统计结果和 
的比值确定,并与 
以及相应疲劳抗力标准值规定的循环次数相协调;
m——钢结构疲劳影响参数的个数,与结构有关。
2 混凝土结构疲劳作用
混凝土结构等效疲劳作用可按式(F.2.2-2)、 (F.2.2-3)、(F.2.2-4)计算。

式中 
——分别为混凝土结构验算部位的混凝土等效疲劳应力标准值、预应力钢筋等效疲劳应力变程标准值、非预应力钢筋等效疲劳应力变程标准值;

——分别为荷载标准值作用下混凝土结构验算部位的混凝土应力标准值、预应力钢筋应力变程标准值、非预应力钢筋应力变程标准值;

——分别为混凝土结构验算部位混凝土、预应力钢筋、非预应力钢筋第i个疲劳影响参数,其值分别由自身影响统计结果和相应的 
的比值确定,并分别与 
以及各自相应疲劳抗力标准值规定的循环次数相协调;
n——混凝土结果影响参数的个数,与结构形式有关。
条文说明
F.2.2 迄今为止,大部分室内疲劳试验都是研究等幅荷载下的疲劳问题。而实际结构承受的是随机变幅荷载。Palmgren和Miner根据试验研究,对二者的关系提出疲劳线性累积损伤准则,即认为疲劳是不同应力水平σi及其发生次数ni所产生的疲劳损伤的线性累加。用公式表示即为式(1) 
式中 ni——与应力水平σi对应的循环次数; Ni——与应力水平σi对应的疲劳破坏循环次数。 当D≥1时产生疲劳破坏。据此推导的等效等幅重复应力计算表达式为式(2)。 
式中 σrq——等效等幅重复应力; N——σeq作用下的疲劳破坏循环次数,此时N=∑ni; σi——变幅荷载引起的各应力水平; ni——与应力水平σi对应的循环次数。 “Miner累积损伤准则”假定:低于疲劳极限的应力不产生疲劳损伤;忽略加载大小的顺序对疲劳的影响。这些假定使由式(2)计算的结果有一定误差。但由于使用方便,各国规范的疲劳设计均采用该准则。
F.2.3 疲劳作用中各影响参数的概率分布类型和统计参数可采用数理统计方法确定,其标准值应取与静力作用相同的概率分布的平均值。
F.3疲劳抗力
F.3 疲劳抗力
F.3.1 疲劳抗力是指结构或局部构造抵抗规定循环次数疲劳作用的能力。
F.3.2 材料及非焊接钢结构的疲劳抗力与所受疲劳作用引起的最大应力 
和应力比 
以及结构构造细节有关。焊接钢结构的疲劳抗力与所受疲劳作用引起的应力变程 
和结构构造细节有关。钢结构和混凝土结构构造细节的疲劳抗力计算方法分述如下:
1 钢结构疲劳抗力
钢结构疲劳抗力表达式可通过式(F.3.2-1)所示的S—N疲劳曲线方程表述:

(F.3.2-1)
式中 
——钢结构验算部位构造细节的等幅疲劳应力变程(MPa);
N——疲劳失效时的应力循环次数;
m、C——疲劳参数,根据结构或构件的构造和受力特征,通过疲劳试验确定。
钢结构构件的疲劳抗力 
是指钢结构验算部位构造细节在指定循环次数、指定安全保证率下由式(F.3.2-1)确定的最大疲劳应力变程标准值。
2 混凝土结构疲劳抗力
1)混凝土
影响混凝土结构中混凝土疲劳抗力的因素包括疲劳强度、疲劳弹性模量和疲劳变形模量。
混凝土的疲劳强度标准值可根据混凝土静载强度标准值乘以疲劳强度等效折减系数确定:

(F.3.2-2)
式中 
——混凝土疲劳强度标准值;

——混凝土疲劳强度折减系数,与混凝土应力最小值等因素有关;

——混凝土静载强度标准值。
混凝土的疲劳弹性模量可通过试验确定。对适筋棍凝土受弯构件,混凝土的疲劳弹性模量标准值可取静载弹性模量标准值乘以0.7。
混凝土的疲劳变形模量可通过试验确定。对适筋混凝土受弯构件,混凝土的疲劳变形模量标准值可取静载变形模量标准值乘以0.6。
2)预应力钢筋或钢筋
混凝土结构中预应力钢筋或钢筋的疲劳强度可通过式(F.3.2-1)所示的S-N疲劳曲线方程确定。其疲劳抗力 
或 
是指混凝土结构验算部位预应力钢筋或钢筋在指定循环次数;指定安全保证率下由式(F.3.2-1)确定的最大疲劳应力变程标准值。
条文说明
F.3.2 根据大量试验,对焊接钢结构,由于存在残余应力,疲劳抗力对疲劳作用引起的应力变程敏感,而对所采用的材质变化和所施加疲劳作用引起的应力比变化的影响相对不敏感。为了便于设计人员使用,通常将对钢材料的疲劳验算统一用应力变程表述,混凝土材料的疲劳验算用最大应力表述。
F.4疲劳可靠性验算方法
F.4 疲劳可靠性验算方法
F.4.1 钢结构的疲劳可靠性一般按疲劳承载能力极限状态进行验算。根据需要可采用等效等幅重复应力法、极限损伤度法、断裂力学方法。
1 等效等幅重复应力法
1)当等效等幅重复应力法以容许应力设计法表达时,疲劳验算应满足下式的要求:

(F.4.1-1)
2)当等效等幅重复应力法以分项系数设计法表达时,疲劳作用的设计值可采用结构构件在设计使用年限内疲劳荷载名义效应的等效等幅重复作用标准值乘以疲劳作用分项系数。疲劳抗力可根据结构构造取与等效等幅重复作用相同循环次数的疲劳强度试验确定。此时,疲劳验算应满足式(F.4.1-2)的要求:

(F.4.1-2)
式中 
——结构重要性系数;

——考虑等效等幅疲劳作用和疲劳作用模型不定性的分项系数;

——疲劳抗力分项系数,当疲劳抗力取值的保证率为97.7%时, 
=1.0。
2 极限损伤度法
1)当极限损伤度法以疲劳损伤度为验算项目时,其量值为结构承受的不同疲劳作用和相应次数与该作用下破坏的次数之比的总和。根据Palmgren-Miner线性累积损伤法则,疲劳验算应满足式(F.4.1-3)的要求:

(F.4.1-3)
式中 
——为疲劳应力频谱中在应力变程水准 
下,实际施加的疲劳作用循环次数,当疲劳应力变程水准 
低于疲劳某特定值 
时,相应的疲劳作用循环次数取其乘以 
折减后的次数计算;

——为在应力变程水准 
下的致伤循环次数;

——为疲劳损伤度的临界值,理想状态下损伤度的临界值为1.0。
2)当极限损伤度法以分项系数设计法表达时,疲劳验算应满足下列公式的要求:

式中 
——考虑累积损伤准则、设计使用年限和失效后果不定性的分项系数;

——考虑疲劳应力变程水准和疲劳作用模型不定性的分项系数;

——考虑材料和构造疲劳抗力模型不定性的分项系数。
3 断裂力学方法
当钢结构在低温环境下工作时,应采用断裂力学方法。
F.4.2 对需要进行疲劳承载能力极限状态验算的混凝土结构,应分别对混凝土和钢筋进行疲劳验算。可根据需要采用等效等幅重复应力法、极限损伤度法。
1 等效等幅重复应力法
1)当等效等幅重复应力法以容许应力设计法表达时,结构验算部位混凝土、预应力钢筋、钢筋的疲劳验算应满足式(F.4.2-1)~式(F.4.2-3)的要求:

2)当等效等幅重复应力法以分项系数设计法表达时,疲劳作用的设计值可采用结构构件在设计使用年限内疲劳荷载名义效应的等效等幅重复作用标准值乘以疲劳作用分项系数。疲劳抗力可根据结构构造取与等效等幅重复作用相同循环次数的疲劳强度试验确定。此时,结构验算部位混凝土、预应力钢筋、钢筋的疲劳验算应满足式(F.4.2-4)一式(F.4.2-6)的要求:

式中 
——分别为考虑混凝土、预应力钢筋、钢筋的等效等幅疲劳作用和疲劳作用模型不定性的分项系数;

——分别为混凝土、预应力钢筋、钢筋的疲劳抗力分项系数。
2 极限损伤度法
混凝土结构按极限损伤度法进行疲劳承载能力极限状态可靠性验算方法与附录第F.4.1条中第2款所列钢结构的疲劳验算方法相同,其中验算部位的材料为混凝土、预应力钢筋、钢筋。
条文说明
F.4.1、F.4.2 等效等幅重复应力法是以指定循环次数下的疲劳抗力为验算项目;极限损伤度法是以结构设计寿命内的累积损伤度为验算项目。因此等效等幅重复应力法比较简便和偏于安全,极限损伤度法更加贴近实际情况。
本条文列出的三个分析方法,从顺序上有以下考虑:第一个方法,即等效等幅重复应力法,在实际中应用最多;第二个方法,即极限损伤度法,因其计算相对复杂一点,用得少些,但该方法更反映实际的疲劳损伤,因此也推荐作为疲劳验算的方法之一;第三个方法,即断裂力学方法,仅给出了方法的名称和使用条件,这是根据近年青藏铁路等低温疲劳断裂研究,表明低温环境下结构的疲劳不能按照常规理念的疲劳问题考虑,这主要是由于低温下结构破坏临界裂纹长度减小,导致疲劳安全储备下降,表现在裂纹稳定扩展区和急剧扩展区的交界点提前。断裂力学理论能够较为合理地分析和解释低温疲劳脆断破坏现象,进而得出安全合理的评判结果。具体方法因为尚需进一步补充和完善, 故未在条文中列出。断裂力学方法是疲劳可靠性验算方法的一部分,设计者在验算低温环境下结构疲劳问题时应予以注意。
公式(F.4.2-3)中n i 的定义中,提到当疲劳应力变程水准△σi低于疲劳某特定值△σ0时,相应的疲劳作用循环次数ni取其乘以
折减后的次数计算,这是因为不同构造存在一个不同的△σ0,当疲劳应力低于该值时,对结构的疲劳损伤程度降低,因此相应循环次数可以折减。
F.4.3 当结构疲劳需要按使用极限状态进行可靠性验算时,应首先建立正常使用极限状态约束方程。当疲劳作用效应需要且可以线性叠加时,应在正常使用极限状态约束方程中体现。在疲劳使用极限约束值的计算中,要考虑结构材料疲劳而可能引起的变形大。
附录G既有结构的可靠性评定
G.1一般规定
附录G 既有结构的可靠性评定
G.1 一般规定
G.1.1 本附录适用于按有关标准设计和施工的既有结构的可靠性评定。
条文说明
G.1.1 村镇中的一些既有结构和城市中的棚户房屋没有正规的设计与施工,不具备进行可靠性评定的基础,不宜按本附录的原则和方法进行评定。结构工程设计质量和施工质量的评定应该按结构建造时有效的标准规范评定。
G.1.2 在下列情况下宜对既有结构的可靠性进行评定:
1 结构的使用时间超过规定的年限;
2 结构的用途或使用要求发生改变;
3 结构的使用环境出现恶化;
4 结构存在较严重的质量缺陷;
5 出现影响结构安全性、适用性或耐久性的材料性能劣化、构件损伤或其他不利状态;
6 对既有结构的可靠性有怀疑或有异议。
条文说明
G.1.2 本条提出对既有结构检测评定的建议。第1款中的“规定的年限”不仅仅限于设计使用年限,有些行业规定既有结构使用5~10年就要进行检测鉴定,重新备案。出现第4款和第6款的情况,当争议的焦点是设计质量和施工质量问题时,可先进行工程质量的评定,再进行可靠性评定。
G.1.3 既有结构的可靠性评定应在保证结构性能的前提下,尽量减少工程处置工作量。
条文说明
G.1.3 既有结构可靠性评定的基本原则是确保结构的性能符合相应的要求,考虑可持续发展的要求;尽量减少业主对既有结构加固等的工程量。这里所说的相应的要求是现行结构标准对结构性能的基本要求。
G.1.4 既有结构的可靠性评定可分为安全性评定、适用性评定和耐久性评定,必要时尚应进行抗灾害能力评定。
条文说明
G.1.4 把安全性、适用性、耐久性和抗灾害能力等评定内容分开可避免概念的混淆,避免引发不必要的问题,同时便于业主根据问题的轻重缓急适时采取适当的处理措施。对既有结构进行可靠性评定时,业主可根据结构的具体情况提出进行某项性能的评定,也可进行全部性能的评定。
G.1.5 既有结构的可靠性评定,应根据国家现行有关标准的要求进行。
条文说明
G.1.5 既有结构的可靠性评定以现行结构标准的相关要求为依据是国际上通行的原则,也是本附录提出的“保障结构性能”的基本要求。但是,评定不是照搬设计规范的全部公式,要考虑既有结构的特点,对结构构件的实际状况(不是原设计预期状况)进行评定,这是实现尽量减少加固等工程量的具体措施。
G.1.6 既有结构的可靠性评定应按下列步骤进行:
1 明确评定的对象、内容和目的;
2 通过调查或检测获得与结构上的作用和结构实际的性能和状况相关的数据和信息;
3 对实际结构的可靠性进行分析;
4 提出评定报告。
条文说明
G.1.6 既有结构可靠性评定时,应尽量获得结构性能的信息,以便于对结构性能的实际状况进行评定。
G.2安全性评定
G.2 安全性评定
G.2.1 既有结构的安全性评定应包括结构体系和构件布置、连接和构造、承载力等三个评定项目。
条文说明
G.2.1 既有结构的安全性是指直接影响人员或财产安全的评定内容。为了便于评定工作的实施,本条把结构安全性的评定分成结构体系和构件布置、连接和构造、承载力三个评定项目。
G.2.2 既有结构的结构体系和构件布置,应以现行结构设计标准的要求为依据进行评定。
条文说明
G.2.2 结构体系和构件布置存在问题的结构必然会出现相应的安全事故,现行结构设计规范对结构体系和构件布置的要求是当前工程界普遍认同的下限要求,既有结构的结构体系在满足相应要求的情况下可以评为符合要求。在结构安全性评定中的结构体系和构件布置要求,不包括结构抗灾害的特殊要求。
G.2.3 既有结构的连接和与安全性相关的构造,应以现行结构设计标准的要求为依据进行评定。
条文说明
G.2.3 连接和构造存在问题的结构也会出现相应的安全事故,现行结构设计规范对连接和构造的要求是当前工程界普遍认同的相关下限要求,既有结构的连接和构造在满足相应要求的情况下可以评为符合要求。本条所提到的构造仅涉及与构件承载力相关的构造,与结构适用性和耐久性相关的构造要求不在本条规定的范围之内。
G.2.4 对结构体系和构件布置、连接和构造的评定结果满足第G.2.2和G.2.3条要求的结构,其承载力可根据结构的不同情况采取下列方法进行评定:
1 基于结构良好状态的评定方法;
2 基于分项系数或安全系数的评定方法;
3 基于可靠指标调整抗力分项系数的评定方法;
4 基于荷载检验的评定方法;
5 其他适用的评定方法。
条文说明
G.2.4 本条提出的承载力评定的方法,前提是要求既有结构的结构体系和构件布置、连接和构造要符合现行结构设计规范的要求。
G.2.5 当结构处于良好使用状态时,宜采用基于结构良好状态 的评定方法,此时对同时满足下列要求的结构,可评定其承载力符合要求:
1 结构未出现明显的影响结构正常使用的变形、裂缝、位移、振动等适用性问题;
2 在评估使用年限内,结构上的作用和环境不会发生显著的变化。
条文说明
G.2.5 本条提出基于结构良好状态的评定方法的评定原则,结构构件与连接部位未达到正常使用极限状态的限值且结构上的作用不会出现明显的变化,结构的安全性可以得到保证,当既有结构经历了相应的灾害而未出现达到正常使用极限状态限值的现象,也可以认定该结构可以抵抗这种灾害的作用。
G.2.6 当采取基于分项系数或安全系数的方法评定时,对同时满足下列要求的结构,可评定其承载力符合要求:
1 构件的承载力应按现行结构设计标准提供的结构计算模型确定,且应对模型中指标或参数进行符合实际情况的调整:
1)构件材料强度的取值,宜以实测数据为依据,按现行结构检测标准规定的方法确定;
2)计算模型的几何参数,可按构件的实际尺寸确定;
3)在计算分析构件承载力时,应考虑不可恢复性损伤的不利影响;
4)经过验证后,在计算模型中可增补对构件承载力有利因素的实际作用。
2 作用和作用效应按国家现行标准的规定确定,并可进行下列参数或分析方法的调整:
1)永久作用应以现场实测数据为依据按现行工程结构荷载标准规定的方法确定;
2)部分可变作用可根据评估使用年限情况采用考虑结构设计使用年限的荷载调整系数;
3)在计算作用效应时,应考虑轴线偏差、尺寸偏差和安装偏差等的不利影响;
4)应按可能出现的最不利作用组合确定作用效应。
3 按上述方法计算得到的构件承载力不小于作用效应或安全系数不小于有关结构设计标准的要求。
条文说明
G.2.6 本条提出基于结构分项系数或安全系数的评定原则。
结构的设计阶段有三类问题需要结构设计规范确定,其一为规律性问题,结构设计规范用计算模型反映规律问题;其二为离散性问题,结构设计规范用分项系数或安全系数解决这个问题;其三为不确定性问题,结构设计规范用额外的安全储备解决设计阶段的不确定性问题,这类储备一般不计入规范规定的安全系数或分项系数。对于既有结构来说,设计阶段的不确定性因素已经成为确定的,有些可以通过检验与测试定量确定。当这些因素确定后,在既有结构承载力评定中可以适度利用这些储备, 在保证分项系数或安全系数满足现行规范要求的前提下,尽量减少结构的加固工程量,体现可持续发展的要求。
例如:关于构件材料强度的取值,可利用混凝土的后期强度和钢材实际屈服点应力高于结构规范提供的强度标准值的部分;现行结构设计规范计算公式中未考虑的对构件承载力有利的因素,如纵向钢筋对构件受剪承载力的有利影响等。
既有结构还有一些已经确定的因素是对构件承载力不利的,例如轴线偏差、尺寸偏差以及不可恢复性损伤(钢筋锈蚀等),这些因素也应该在承载力评定时考虑。
经过上述符合实际情况的调整后,现行规范要求的分项系数或安全系数得到保证时,构件承载力可评为符合要求。
G.2.7 当可确定一批构件的实际承载力及其变异系数时,可采用基于可靠指标调整抗力分项系数的评定方法,此时对同时满足下列要求的一批构件,可评定其承载力符合要求:
1 作用效应的计算,应符合第G.2.6条的规定;
2 根据结构构件承载力的实际变异情况调整抗力分项系数;
3 按上述原则计算得到的承载力不小于作用效应。
条文说明
G.2.7 当构件的承载能力及其变异系数为已知时,计算模型中承载力的某些不确定储备可以利用,具体的方法是在保证可靠指标满足要求的前提下适度调整分项系数。
G.2.8 对具备相应条件的结构或结构构件,可采用基于荷载检验的评定方法,此时对同时满足下列要求的结构或结构构件,可评定其承载力符合要求:
1 检验荷载的形式应与结构承受的主要作用的情况基本一致,检验荷载不应使结构或构件出现不可逆的变形或损伤;
2 荷载检验及相应的计算分析结果符合有关标准的要求。
条文说明
G.2.8 荷载检验是确定构件承载力的方法之一。本条提出荷载检验确定承载力的原则。当结构主要承受重力作用时,应采用重力荷载的检验方法;当结构主要承受静水压力作用时,可采用蓄水检验的方法。检验的荷载值应通过预先的计算估计,并在检验时逐级进行控制,避免产生结构或构件的过大变形或损伤。
对于检验荷载未达到设计荷载的情况,可采取辅助计算分析的方法实现。
G.2.9 对承载力评定为不符合要求的结构或结构构件,应提出采取加固措施的建议,必要时,也可提出对其限制使用的要求。
条文说明
G.2.9 限制使用条件是桥梁结构常用的方法。对于现有建筑结构来说,对所有承载力不满足要求的构件都进行加固也许并不是最好的选择,例如:当楼板承载力不足时,也许采取限制楼板的使用荷载是最佳的选择。
G.3适用性评定
G.3 适用性评定
G.3.1 在结构安全性得到保证的情况下,对影响结构正常使用的变形、裂缝、位移、振动等适用性问题,应以现行结构设计标准的要求为依据进行评定,但在下列情况下可根据实际情况调整或确定正常使用极限状态的限值:
1 已出现明显的适用性问题,但结构或构件尚未达到正常使用极限状态的限值;
2 相关标准提出的质量控制指标不能准确反映结构适用性状况。
条文说明
G.3.1 本条对既有结构的适用性进行的定义,是在安全性得到保障的情况下影响结构使用性能的问题。以裂缝为例,有些裂缝是构件承载力不满足要求的标志,不能简单地看成适用性问题;只有在安全性得到保障的前提下,才能评定裂缝对结构的适用性构成影响。
G.3.2 对已经存在超过正常使用极限状态限值的结构或构件,应提出进行处理的意见。
条文说明
G.3.2 本条提出存在适用性问题的结构也要处理。但是适用性问题的处理并非一定要采取提高构件承载力的加固措施。
G.3.3 对未达到正常使用极限状态限值的结构或构件,宜进行评估使用年限内结构适用性的评定。此时宜遵守下列原则:
1 评定时可采用现行结构设计标准提供的计算模型,但模型中的指标和参数应进行符合结构实际情况的调整;
2 在条件许可时,可采用荷载检验或现场试验的评定方法;
3 对适用性评定为不满足要求的结构或构件,应提出采取处理措施的建议。
条文说明
G.3.3 本条提出未达到正常使用极限状态限值的结构或构件适用性评定原则和评定方法。
G.4耐久性评定
G.4 耐久性评定
G.4.1 既有结构的耐久性评定应以判定结构相应耐久年数与评估使用年限之间关系为目的。
注:耐久年数为结构在环境作用下达到相应正常使用极限状态限值的年数。
条文说明
G.4.1 结构的耐久年数为结构在环境作用下出现相应正常使用极限状态限值或标志的年限,判定耐久年数是否大于评估使用年限是结构耐久性评定的目的。
G.4.2 结构在环境作用下的正常使用极限状态限值或标志应按下列原则确定:
1 结构构件出现尚未明显影响承载力的表面损伤;
2 结构构件材料的性能劣化,使其产生脆性破坏的可能性增大。
条文说明
G.4.2 本条提出确定与耐久性有关的极限状态限值或标志的原则,耐久性属于正常使用极限状态范畴,不属于承载能力极限状态范畴。达到与耐久性有关的极限状态标志或限值表明应该对结构或构件采取修复措施。
G.4.3 既有结构的耐久年数推定,应将环境作用效应和材料性能相同的结构构件作为一个批次。
条文说明
G.4.3 环境是造成构件材料性能劣化的外界因素,材料性能体现其抵抗环境作用的能力,将环境作用效应和材料性能相同的构件作为一个批次进行评定,有利于既有结构的业主采取合理的修复措施。
G.4.4 评定批结构构件的耐久年数,可根据结构已经使用的时间、材料相关性能变化的状况、环境作用情况和结构构件材料性能劣化的规律推定。
条文说明
G.4.4 本条提出构件的耐久年数的评定方法。
G.4.5 对耐久年数小于评估使用年限的结构构件,应提出适宜的维护处理建议。
条文说明
G.4.5 对于耐久年数小于评估使用年限的构件的维护处理可以减慢材料劣化的速度,推迟修复的时间。
G.5抗灾害能力评定
G.5 抗灾害能力评定
G.5.1 既有结构的抗灾害能力宜从结构体系和构件布置、连接和构造、承载力、防灾减灾和防护措施等方面进行综合评定。
条文说明
G.5.1 本条提出既有结构的抗灾害能力评定的项目。
G.5.2 对可确定作用的地震、台风、雨雪和水灾等自然灾害,宜通过结构安全性校核评定其抗灾害能力。
条文说明
G.5.2 目前对于部分灾害的作用已经有了具体的规定,此时,既有结构抗灾害的能力应该按照这些规定进行评定。
G.5.3 对发生在结构局部的爆炸、撞击、火灾等偶然作用,宜通过评价其减小偶然作用及作用效应的措施、结构不发生与起因不相称的破坏和减小偶然作用影响范围措施等评定其抗灾害能力。
减小偶然作用及作用效应的措施包括防爆与泄爆措施、防撞击和抗撞击措施、可燃物质的控制与消防设施等。
减小偶然作用影响范围的措施包括结构变形缝设置和防止发生次生灾害的措施等。
条文说明
G.5.3 对于不能准确确定作用或作用效应的灾害,应该评价减小灾害作用及作用效应的措施及减小灾害影响范围和破坏范围等措施。
G.5.4 对结构不可抗御的灾害,应评价其预警措施和疏散措施等。
条文说明
G.5.4 山体滑坡和泥石流等灾害是结构不可抗御的灾害,采取规避的措施也许是最为经济的;对于不能规避这类灾害的既有结构,应该有灾害的预警措施和人员疏散的措施。
本标准用词说明
本标准用词说明
1 为便于在执行本标准条文时区别对待,对要求严格程度不同的用词说明如下:
1)表示很严格,非这样做不可的用词:
正面词采用“必须”,反面词采用“严禁”;
2)表示严格,在正常情况下均应这样做的用词:
正面词采用“应”,反面词采用“不应”或“不得”;
3)表示允许稍有选择,在条件许可时首先应这样做的用词:
正面词采用“宜”,反面词采用“不宜”;
表示有选择,在一定条件下可以这样做的用词,采用“可”。
2 条文中指明应按其他有关标准、规范执行时,写法为:“应符合……的规定”或“应按……执行”。
自2022年1月1日起废止的条文

