Appearance
《排水工程混凝土模块砌体结构技术规程[附条文说明]》CJJ/T 230-2015
🗓️ 住房和城乡建设部 实施时间:2015-09-01
前言
中华人民共和国行业标准
排水工程混凝土模块砌体结构技术规程
Technical specification for concrete small hollow block masonry structures of drainage engineering
CJJ/T 230-2015
批准部门:中华人民共和国住房和城乡建设部
施行日期:2015年9月1日
中华人民共和国住房和城乡建设部公告
第694号
住房城乡建设部关于发布行业标准 《排水工程混凝土模块砌体结构技术规程》的公告
现批准《排水工程混凝土模块砌体结构技术规程》为行业标准,编号为CJJ/T 230-2015,自2015年9月1日起实施。
本规程由我部标准定额研究所组织中国建筑工业出版社出版发行。
中华人民共和国住房和城乡建设部
2015年1月9日
前言
根据住房和城乡建设部《关于印发<2012年工程建设标准规范制订、修订计划>的通知》(建标[2012]5号)的要求, 规程编制组经广泛调查研究,认真总结实践经验,参考有关国际标准和国外先进标准,并在广泛征求意见的基础上,编制本规程。
本规程的主要技术内容是:1.总则;2.术语和符号;3.材料;4.排水管道和构筑物;5.模块砌体结构设计;6.施工;7.质量验收。
本规程由住房和城乡建设部负责管理,由北京市市政工程研究院负责具体技术内容的解释。执行过程中如有意见或建议,请寄送北京市市政工程研究院(地址:北京市西城区百万庄大街3号,邮编:100037)。
本规程主编单位 :北京市市政工程研究院
云南官房建筑集团股份有限公司
本规程参编单位 :北京市市政工程设计研究总院有限公司
北京市四方如钢混凝土制品有限公司
北京市建设工程质量第三检测所有限责任公司
福州市规划设计研究院
吉林市北盟新型墙体材料有限公司
北京市政路桥股份有限公司
北京四方通达建筑工程检测有限公司
北京市公联公路联络线有限责任公司
本规程主要起草人员 :陈辉 王乃震 何彬 张汎 谭勇庆 王光明 杜杰 许哲 梁林华 唐丽虹 林功波 孙西濛 王贯明 夏昌 程工 李文华 李永生
本规程主要审查人员 :刘雨生 郑克白 高学珑 焦永达 王长祥 姜红 赵乐军 杨铁荣 周国华 陶乐然 缪宗镐
1 总则
1 总 则
1.0.1 为在城镇排水工程混凝土模块砌体结构的设计、施工及验收中,做到经济合理、安全适用、节能环保,确保工程质量,制定本规程。
条文说明
1.0.1原建设部于2002年颁布了禁止使用黏土砖的禁令,禁令中要求四大直辖市于2003年停止使用黏土砖,全国在2005年全面禁止使用黏土砖。禁令发布后,各方面积极采取措施寻求替代产品。市政、公用工程中各种管线的检查井、雨水口等排水构筑物一直使用实心黏土砖作为主要材料。而黏土砖强度低、透水性高,使用一段时间后表皮脱落内里疏松,造成检查井整体下沉,周边路面沉降,成为道路工程中的一大通病。本规程涉及的混凝土模块砌体材料,解决了排水工程砌体材料的更新换代问题,成为市政公用管线快速装配化施工的重要一环。
1.0.2 本规程适用于内压不大于0.06MPa的矩形排水管渠和检查井、内水深度不大于4m的排水构筑物等排水工程混凝土模块砌体结构的设计、施工及验收。
条文说明
1.0.2模块砌体具有较好的抗渗性能及较高的力学性能,本规程适用范围较传统砌体结构略有增加。排水管渠的工作内压不大于0.06MPa是依据现行国家标准《混凝土和钢筋混凝土排水管》GB/T11836的抗渗压力提出的。水深的限制主要考虑混凝土模块砌体结构的适用性及技术经济指标,水深过大抗渗难以满足要求且结构的配筋会大大增加。具有特殊要求的排水构筑物是指厂矿企业中特殊要求的储液构筑物及介质温度大于100℃的盛水构筑物等。
1.0.3 排水工程混凝土模块砌体结构设计、施工及验收,除应符合本规程外,尚应符合国家现行有关标准的规定。
条文说明
1.0.3砌体是一种脆性材料,抗震能力弱,遭受强烈地震时破坏较为严重。在砌体结构中设置钢筋混凝土构造柱和芯柱与钢筋混凝土圈梁共同约束墙体,是改善其抗震能力的一项重要构造措施。排水工程构筑物多建于道路范围内,基底处理对于保证排水结构和路面结构使用功能的实现和安全至关重要。本规程的制定原则遵照现行国家标准《工程结构可靠性设计统一标准》GB50153、《给水排水工程构筑物结构设计规范》GB50069及《砌体结构设计规范》GB50003。其中,涉及混凝土部分有关构件截面、地基基础设计及抗震设计等的计算应符合现行国家标准《混凝土结构设计规范》GB50010、《建筑地基基础设计规范》GB50007、《室外给水排水和燃气热力工程抗震设计规范》GB50032和《建筑抗震设计规范》GB50011的有关规定。
2 术语和符号
2.1术语
2 术语和符号
2.1 术 语
2.1.1 混凝土模块 concrete small hollow block
混凝土通过专用加工设备制作,用于砌体构筑物,具有不同形式和系列化模数的混凝土预制单块砌筑产品,简称模块。
条文说明
2.1.1模块上下左右均设置凹凸相接的榫槽;横向两端设置半开圆弧,用以模块与模块链接时构成相接圆;中间设置中孔,用以模块与模块纵向相接时错缝压茬对孔;模块的上顶面设置环筋槽,竖筋通过模块上的纵孔放置,横筋通过环筋槽放置。灌孔后形成上下契合左右嵌锁、纵横孔道相互贯通的几何结构特征。
2.1.2 标准模块 standard small hollow block
外形为长方体,用于矩形小室、矩形储液池及矩形沟渠墙体结构的模块。
条文说明
2.1.2标准模块的宽度根据不同结构受力特征确定,一般为250mm~500mm;高度由踏步的间距确定,一般为170mm;长度一般为400mm,特殊情况可加长。
2.1.3 弧型模块 arc type small hollow block
外形为圆弧形,用于圆形构筑物墙体结构的模块。
条文说明
2.1.3模块以圆周长与半径的几何关系确定模数,直径
700由七块构成,直径
800由八块构成。
2.1.4 轴头模块 axis end small hollow block
采用标准模块切割而成,用于直壁墙体端头及节点的模块。
条文说明
2.1.4轴头模块根据墙体配筋及墙体节点特点可分为左L型块、右L型块、左角块、右角块、半标准块、单侧块六种不同块型。
2.1.5 角度模块 angle small hollow block
外形为折线形,用于直壁墙体转弯处连接墙体结构,且折线角度与之相适宜的墙体结构的模块。
条文说明
2.1.5角度模块根据折角不同可分为7.5°、15°、22.5°、30°、45°、90°六种不同块型。
2.1.6 模块砌体 small hollow block masonry structure
模块由干码或砂浆砌筑,经混凝土灌孔形成墙体作为构筑物主要受力构件,是砌体的一个分支。
2.1.7 模块砌体灌孔混凝土 grout for small hollow block
由水泥、集料、水以及根据需要掺入的掺合料和外加剂等组分按一定比例,采用机械拌和制成,专门用于浇筑模块砌体芯柱或其他需要填实部位孔洞的混凝土。
2.1.8 芯柱 core column
模块砌体中对孔砌筑的竖向孔洞内浇灌混凝土形成的混凝土柱。竖向孔洞内不插钢筋称素混凝土芯柱,竖向孔洞内插有钢筋称钢筋混凝土芯柱。
条文说明
2.1.8水泥、砂、碎石和水按一定比例配置搅拌,灌注在模块孔内而形成芯柱。模块内设钢筋的,通过芯柱混凝土就能把模块和钢筋组成一个整体,提高握裹力,共同抵御外来荷载的作用。模块内不设钢筋的,也可以用同样的芯柱混凝土方式进行补强以达到:①增大砌体的荷载面积,以便承受更大垂直荷载和水平荷载的作用;②增加自身的体积重量,增强抗剪能力;③填实后的模块中孔可充分达到密实,完成抗渗指标,满足闭水要求。
2.2符号
2.2 符 号
2.2.1 材料性能
C——模块砌体灌孔混凝土强度等级;
M——模块砌体砌筑砂浆强度;
E——模块砌体弹性模量;
E b ——垫梁混凝土的弹性模量;
E s ——钢筋的弹性模量;
G——模块砌体剪切模量;
MU——模块换算强度;
f c ——灌孔混凝土轴心抗压强度设计值;
f g ——模块砌体抗压强度设计值;
f gk ——模块砌体抗压强度标准值;
f t,mg ——模块砌体通(齿)缝弯曲抗拉强度设计值;
f t,g ——模块砌体轴心抗拉强度设计值;
f vg ——模块砌体抗剪强度设计值;
f y ,f′ y ——受拉、受压主筋强度设计值;
f yh ——水平钢筋抗拉强度设计值;
f yv ——箍筋抗拉强度设计值;
σ s ——钢筋A s 应力;
ν——模块砌体泊松比。
2.2.2 作用和作用效应
M——弯矩设计值;
N——轴向力设计值;
N 0 ——上部轴向力设计值;
N l ——梁(板)端支承压力设计值;
N t ——轴向拉力设计值;
N u ——上层墙体传递轴力;
V——剪力设计值;
V b ——连梁的剪力设计值;
σ 0 ——水平截面平均压应力。
2.2.3 几何参数
A——截面面积;
A 0 ——影响局部抗压强度的计算面积;
A 1 ——局部受压面积;
A b ——梁垫面积;
A m ——构件毛截面积;
A n ——墙体净截面面积;
A w ——T(L)形配筋模块砌体截面腹板截面面积;
A s ——受拉钢筋截面面积;
A′ s ——受压钢筋截面面积;
A sh ——配置在同一截面内的水平分布钢筋全部截面面积;
A sv ——配置在同一截面内箍筋各肢全部截面面积;
H——墙体高度、构件高度;
H 0 ——构件计算高度;
I——截面惯性矩;
I b ——垫梁的截面惯性矩
S——间距、截面面积矩;
W——截面抵抗矩;
a 0 ——梁(板)端有效支承长度;
a 1 、a 2 ——局部受压面积A 1 的边长;
a s 、a′ s ——纵向受拉、受压钢筋面积的重心至截面较近边缘距离;
b——矩形截面宽度、边长、梁端支承宽度;
b b ——垫梁在墙厚方向宽度;
b f ——T(L)形截面翼缘宽度、翼墙计算宽度;
b′ f ——T(L)形截面、L形截面受压区翼缘计算宽度;
b g ——灌孔模块砌体截面宽度;
b s ——在宽度(s)范围内洞口总宽度;
C 1 、C 2 ——为局部受压面积的外边缘至构件截面边缘距离;
e——轴向力偏心距;
e N ——轴向力作用点到竖向受拉主筋合力点之间的距离;
e a ——配筋模块砌体构件在轴向力作用下的附加偏心矩;
h——模块砌体厚度;
h 0 ——截面有效高度、垫梁折算高度;
h b ——垫梁实际高度;
h c ——混凝土梁(板)截面高度;
h′ f ——T(L)形截面偏心受压构件翼缘高度;
h T ——T(L)形截面墙体折算厚度;
h w ——墙体高度、墙梁墙体计算截面高度;
i——截面回转半径;
x——截面受压区高度;
x 0 ——计算倾覆点至墙体外边缘距离;
y——截面重心至轴向力所在偏心方向截面边缘距离;
z——内力臂。
2.2.4 计算系数
K——整体稳定抗力系数;
α——修正系数;
α 1 ——模块砌体线膨胀系数;
α 2 ——与砌筑砂浆强度等级有关的系数;
β——墙、柱高厚比;
[β]——墙、柱允许高厚比;
β s ——受弯承载力系数;
γ——模块砌体局部抗压强度提高系数;
γ a ——模块砌体抗压强度调整系数;
γ l ——混凝土梁垫面积以外的砌体对砌体承载能力的影响系数;
δ——模块砌体的开孔率系数;
η——梁(板)端底部支承面压力图形完整系数;
λ——梁(板)计算截面剪跨比;
μ——修正系数;
μ 1 ——自承重墙允许高厚比修正系数;
μ 2 ——开有洞口的模块墙体允许高厚比修正系数;
ξ——截面受压区相对高度系数;
ξ b ——截面受压区相对高度界限值;
ζ 1 ——翼墙对墙梁墙体受剪承载能力影响系数;
ζ 2 ——洞口对墙梁墙体受剪承载能力影响系数;
φ——轴向力影响系数;
φ 0 ——轴心受压构件稳定系数;
ψ——折减系数;
δ 1 ——刚性梁垫有效支承长度(a 0 )影响系数;
δ 2 ——荷载相关系数。
3 材料
3.1一般规定
3 材 料
3.1 一般规定
3.1.1 模块砌体所用的材料应有产品合格证书、产品性能检验报告,质量应符合国家现行标准的有关要求。
条文说明
3.1.1材料的产品合格证书、产品性能检验报告是工程质量验收的必备资料。
3.1.2 模块砌体砌筑砂浆的强度等级应为M7.5、M10和M15,并应符合设计规定。
3.1.3 模块砌体砌筑砂浆宜采用预拌砂浆,流动性宜为50mm~70mm,稠度宜为50mm-~80mm,分层度宜为10mm~30mm,保水性不应小于88%,其余各项技术性能指标应符合现行行业标准《混凝土小型空心砌块和混凝土砖砌筑砂浆》JC 860的有关规定。
条文说明
3.1.2、3.1.3精确计量是保证砂浆质量的关键。当砂的含水状态发生变化时,需立即测定砂的含水率,依据检测结果及时调整砂用量和水用量,确定合理的施工配合比。混凝土模块砌体在砌筑时,其粘灰面较小,且砂浆极易失水;为提高砌筑砂浆的施工可操作性,保证工程质量,要求采用粘结性好、保水性好的砂浆砌筑。砌筑砂浆强度等级是重要技术指标,涉及结构安全,必须符合设计要求。
3.1.4 模块砌体灌孔混凝土的强度等级应为C20、C25和C30,并应符合设计规定。
3.1.5 模块砌体灌孔混凝土中的骨料最大粒径应控制在墙厚的1/10~1/15且不宜超过30mm,构造柱混凝土中的粗骨料粒径宜为10mm~30mm,并应符合现行行业标准《普通混凝土用砂、石质量及检验方法标准》JGJ 52的有关规定。
条文说明
3.1.5灌孔混凝土中的骨料最大粒径,当与墙厚小于等于180mm宜取下限;当墙厚大于180mm宜取上限。
3.1.6 模块砌体灌孔混凝土应具有高流动性、硬化后体积微膨胀或有补偿收缩性能,坍落度应控制在180mm±20mm,其余各项性能指标应符合现行行业标准《混凝土砌块(砖)砌体用灌孔混凝土》JC 861的有关规定。
条文说明
3.1.6模块砌体的芯柱孔洞截面尺寸较小,还没有竖向及水平钢筋,且浇筑高度有的超过2m,普通混凝图很难浇筑密实;灌孔混凝土干缩会导致其与砌块的界面形成间隙,影响受力性能,故要求灌孔混凝土应采用高流动性。且具有补偿收缩性能的混凝土。
3.1.7 模块砌体灌孔混凝土的抗渗及抗冻性能应符合现行国家标准《给水排水工程构筑物结构设计规范》GB 50069及《给水排水工程管道结构设计规范》GB 50332的有关规定。用于污水工程模块砌体灌孔混凝土的抗渗性能应在上述规范要求的基础上提高一个等级。
条文说明
3.1.7计算灌芯混凝土抗渗指标时,混凝土壁厚可采用模块厚度计算,如:400mm厚墙取400mm计算。
3.1.8 模块砌体芯柱钢筋应采用HRB335、HRB400和HRB500级热轧带肋钢筋,质量应符合现行国家标准《钢筋混凝土用钢 第2部分:热轧带肋钢筋》GB 1499.2的有关规定。水平钢筋、构造柱、箍筋可采用HRB335、HRB400级热轧带肋钢筋及HPB300级热轧光圆钢筋,热轧光圆钢筋质量应符合现行国家标准《钢筋混凝土用钢 第1部分:热轧光圆钢筋》GB 1499.1的有关规定。
条文说明
3.1.8要求芯柱插筋采用热轧带肋钢筋,是因为其构件截面较小,带肋钢筋与混凝土的握裹力强,受力性能好,且不需加工弯钩,有利于混凝土浇筑。钢筋的品种、级别、规格及数量等是根据结构计算的强度或最小配筋率等构造要求由设计决定的,需变更设计时,应经设计单位验算,确定等强度或等截面积等代换方案。
3.2模块
3.2 模 块
3.2.1 模块的原材料应符合下列规定:
1 水泥应符合现行国家标准《通用硅酸盐水泥》GB 175的有关规定;
2 砂应符合现行国家标准《建设用砂》GB/T 14684的有关规定,骨料应符合现行行业标准《普通混凝土用砂、石质量及检验方法标准》JGJ 52的有关规定;
3 粉煤灰应符合现行国家标准《用于水泥和混凝土中的粉煤灰》GB/T 1596的有关规定;
4 外加剂应符合现行国家标准《混凝土外加剂》GB 8076的有关规定;
5 水质应符合现行行业标准《混凝土用水标准》JGJ 63的有关规定。
3.2.2 模块根据使用场所和外形特征不同分为标准模块、弧形模块、轴头模块和角度模块四种块型,不同块型模块规格尺寸应按本规程附录A确定。
3.2.3 模块的长度、宽度、高度尺寸允许偏差应为±3mm。
3.2.4 模块的开孔率应在35%~80%之间。
3.2.5 模块外观质量应符合表3.2.5的规定。
3.2.6 模块抗压强度等级应按表3.2.6确定。
条文说明
3.2.6模块采用换算强度等级是考虑到模块的自身特点及工程应用的特殊要求。排水工程不允许采用空心砌体结构而需百分之百灌孔,单提模块的毛面积抗压强度没有实际意义,在确定模块砌体的抗压强度时应关注用于制造模块混凝土的抗压强度。另一方面,由于大部分模块的开孔率都比较大,如果按毛面积抗压强度标定模块的强度等级.就会出现同样的混凝土生产不同规格模块的抗压强度相差很大,容易引起误解。采用模块换算强度等级则可以较好地解决这个问题。本规程所谓基准开孔率是根据建筑用小型承重混凝土砌块的开孔率一般在35%~46%,本规程取40%作为参照,即所谓模块的换算强度等级相当于模块开孔率为40%的抗压强度等级。模块的强度等级范围的确定主要考虑到市政工程中的地下砌体结构受压构件的轴压比一般很低,对砌体的抗压强度要求不高,而对砌体的弯曲抗拉强度要求相对较高。如采用强度等级较高的模块会造成材料浪费。
3.2.7 模块干缩率和相对含水率应符合表3.2.7的规定。
表3.2.5 模块外观质量

表3.2.6 模块抗压强度等级

表3.2.7 模块干缩率和相对含水率

注:1 潮湿系指年平均相对湿度大于75%地区;
2 中等系指年平均相对湿度50%~75%地区;
3 干燥系指年平均相对湿度小于50%地区。
3.2.8 模块用混凝土的抗渗等级应为S4和S6。
3.2.9 严寒及寒冷地区,用于露天环境的模块混凝土应具有抗冻性能,其抗冻等级应符合设计规定。
条文说明
3.2.9模块采用干硬性混凝土挤压成型,其自身抗冻性能一般不能满足规范要求,用于寒冷及严寒地区,应经设计人员专门设计。如:模块混凝土采用塑性混凝土、采取保温抗冻措施等。
3.2.10 模块尺寸允许偏差、外观质量、开孔率、干缩率和相对含水率的试验方法应符合现行国家标准《混凝土砌块和砖试验方法》GB/T 4111的有关规定。
3.2.11 模块用混凝土抗渗性能及抗冻性能的试验方法应符合现行国家标准《普通混凝土长期性能和耐久性能试验方法标准》GB/T 50082的有关规定。
3.2.12 混凝土模块抗压强度试验方法应符合本规程附录B的规定。
3.3模块砌体结构设计计算指标
3.3 模块砌体结构设计计算指标
3.3.1 当施工质量控制等级为B级时,模块砌体的抗压强度标准值和设计值应按表3.3.1-1和表3.3.1-2的规定采用。
表3.3.1-1 模块砌体的抗压强度标准值(MPa)


注:1 当模块砌体墙厚等于或小于240mm时,应按表中数值乘以修正系数1.10。当采用轴头模块砌体抗压强度时,应根据不同墙厚180mm、240mm、300mm和400mm分别按表中数值乘以修正系数0.75、0.81、0.86和0.92;
2 对T形截面砌体,应按表中数值乘以0.85,模块规格按翼缘厚度确定;
3 表中180mm和240mm模块厚度均限于弧形模块。
表3.3.1-2 模块砌体的抗压强度设计值(MPa)


注:1 当模块砌体墙厚等于或小于240mm时,应按表中数值乘以修正系数1.10。当采用轴头模块砌体抗压强度时,应根据不同墙厚180mm、240mm、300mm和400mm分别按表中数值乘以修正系数0.75、0.81、0.86和0.92;
2 对T形截面砌体,应按表中数值乘以0.85,模块规格按翼缘厚度确定;
3 表中180mm和240mm模块厚度均限于弧形模块。
条文说明
3.3.1施工质量控制等级是根据现行国家标准《砌体结构工程施工质量验收规范》GB50203进行划分的。表3.3.1-1、表3.3.1-2所给强度值均以模块砌体的试验结果数据分析统计为依据。试验采用400mm厚模块砌体的试件,该型模块砌体开孔率为δ=0.75,灌孔率为100%,抗压强度变异系数为0.15~0.16(该变异系数是按现行国家标准《混凝土结构设计规范》GB50010取值,试验统计所得变异系数仅相当于规范值的70%左右)。由于所设计的C30灌孔混凝土试验组其灌孔混凝土的实际抗压强度仅为设计强度的85%(相当于C25混凝土),故表中部分C30的数值为推算数值。模块砌体试验还揭示出这样一个现象,即模块开孔率(当采用中低强度等级混凝土灌孔时),其值大小对模块砌体的抗压强度影响较小。模块砌体抗压强度试验表明,砌筑砂浆的抗压强度差异对模块砌体的抗压强度的影响甚微。在排水工程砌体结构均采用水泥砂浆作为砌体的砌筑材料,为了保证砌筑砂浆有较好的和易性,一般情况下水泥砂浆的强度等级都不会低于M10,故本规程砌筑砂浆的最低强度等级定为M10。考虑到排水砌体工程不得采用空心砌体这一基本要求,如再由空心模块砌体抗压强度出发,进而导出混凝土灌孔后的模块砌体抗压强度已经没有现实意义,因此本规程砌体抗压强度均为灌孔砌体抗压强度。考虑到模块产品的自身发展变化以及设计人使用规范的习惯,方便设计人选用不同开孔率的模块砌体,本规程仍按现行行业标准《混凝土小型空心砌块建筑技术规程》JGJ/T14中灌孔砌体抗压强度模式给出模块砌体拟合强度计算公式: 
式中:fg,k——模块砌体的抗压强度标准值(MPa),按表3.3.1-1采用; fc,k——灌孔混凝土的抗压强度标准值(MPa),按现行国家标准《混凝土结构设计规范》GB50010采用; fm——模块的抗压强度代表值(MPa),MU15、MU12.5、MU10分别对应的代表值为:15、12.5和10.0(MPa); δ——模块的开孔率。 该计算式直接采用了试验结果的数据分析拟合公式参数。对于试验数值以外的数据均参考现行国家标准《混凝土结构设计规范》GB50010进行了偏于安全的推算,此部分有待今后的研究试验进一步加以完善。此外模块砌体抗压试验结果揭示:模块开孔率对砌体的抗压强度的影响并非呈线性增长关系。
3.3.2 当施工质量控制等级为B级时,模块砌体沿砌体灰缝的轴心抗拉强度、弯曲抗拉强度和抗剪强度的标准值和设计值应按表3.3.2-1和表3.3.2-2的规定采用。
表3.3.2-1 模块砌体沿砌体灰缝的轴心抗拉强度、弯曲抗拉强度和抗剪强度的标准值(MPa)


注:1 轴心抗拉强度等于0.9倍的弯曲抗拉强度值;
2 对形状规则的模块砌体,模块搭接长度与模块高度比小于1时,其轴心抗拉强度设计值(f tg )和弯曲抗拉强度设计值(f t,mg )应按表中数值乘以模块搭接长度与模块高度比值后采用(轴头模块砌体不适用此项)。
表3.3.2-2 模块砌体沿砌体灰缝的轴心抗拉强度、弯曲抗拉强度和抗剪强度的设计值(MPa)


注:表中各设计值等于对应的标准值除以材料分项系数γ i ,其中抗剪强度分项系数取γ i =1.60,抗拉强度分项系数γ i =1.70。
条文说明
3.3.2本规程采用现行行业标准《混凝土小型空心砌块建筑技术规程》JGJ/T14中的混凝土砌块墙体的抗剪强度表述。由于模块砌体自身的结构特征,从模块砌体的抗剪试验结果证实模块砌体的抗剪强度比建筑用混凝土砌块砌体的抗剪强度更高(主要是模块自身的特殊构造所决定的,试验中极限抗剪强度达到1.78MPa)。由于模块的开孔率大,现浇混凝土对砌体的抗剪强度影响的权重增加,导致模块砌体的抗剪强度增加。但考虑到模块砌体抗剪试验总体数量不多,本规程仅在现行行业标准《混凝土小型空心砌块建筑技术规程》JGJ/T14砌体抗剪公式的基础上做局部调整。关于模块砌体抗压强度分项系数γf,本规程并未采用现行国家标准《砌体结构设计规范》GB50003中有关砌体抗压强度分项系数,这是因为充分考虑模块砌体的基本构造特征所致。模块砌体强度来自模块和灌孔混凝土两部分材料的贡献,从试验统计资料反映模块砌体抗压强度变异系数小于现行国家标准《砌体结构设计规范》GB50003的数值,出于结构安全方面的考虑,本规程仍采用了规范的变异系数。在确定模块砌体抗压强度分项系数γf时,维持了《砌体结构设计规范》GBJ3-88的水平,即分项系数采用1.5。在确定模块砌体抗剪强度时,考虑到模块砌体的抗剪强度虽有较高表现,但因这类试验数据较少,故材料抗剪强度分项系数采用1.6。在确定模块砌体通齿缝弯曲抗拉强度时,考虑到模块砌体的材料构成特征,离散性较大(试验数据统计变异系数δ采用0.2),分项系数采用1.7。
3.3.3 对孔砌筑的模块砌体抗剪强度设计值应按下式计算:

式中:f vg ——模块砌体的抗剪强度设计值(MPa);
f g ——模块砌体的抗压强度设计值(MPa)。
3.3.4 当模块砌体用于盛水构筑物或为配筋模块砌体时,不得采用C级施工质量控制等级。
条文说明
3.3.4现行国家标准《砌体结构设计规范》GB50003中,把砌体的施工质量控制等级分为A、B、C三个等级,本规程亦采用了这一施工质量控制标准,且只涉及B、C两个等级。考虑到盛水构筑物的抗渗要求较高,且多为配筋模块砌体结构,因此本规程特别明确此类构筑物模块砌体的施工质量控制等级不得低于B级。
3.3.5 模块砌体抗压强度值应乘以调整系数γ a ,调整系数取值应符合下列规定:
1 当模块砌体结构构件承受的车辆荷载效应占总荷载效应的比例不小于75%时,γ a 值应为0.9;
2 对无筋砌体构件,截面面积小于0.3m 2 时,γ a 值应为该截面面积数值加0.7;对配筋砌体构件,截面面积小于0.2m 2 时,γ a 值应为该截面面积数值加0.8;
3 当施工质量控制等级为C级时,γ a 值应为0.89;
4 当对结构进行施工阶段验算时,γ a 值应为1.1。
条文说明
3.3.5关于γa在不同情况下的取值除去水泥砂浆砌筑一项其余均与砌体规范相协调。这是源于市政工程基础设施中砌体工程只能采用水泥砂浆砌筑,且所有的基础试验数据也都是水泥砂浆砌筑的数据,因此不涉及砌筑材料调整问题。对车辆荷载所占比重超过75%时砌体抗压强度值也作了调整。在大量的工程实践中,某些处于重要交通道路下方且覆土厚度较小(或只有一个道路面层的市政设施,这种情况在雨水工程中较为普遍),当车辆荷载成为主控荷载时出于安全考虑,本规程采用0.9的强度折减。
3.3.6 干码砌筑的模块砌体,经混凝土灌孔后的强度与砂浆砌筑的模块砌体相同,其值应符合本规程第3.3.1条和3.3.2条的规定。
条文说明
3.3.6关于模块干码砌筑,在试验中专门做了一批干法砌筑抗压试件并进行同样的混凝土灌孔,该批试件28d的抗压强度均高于同等条件的水泥砂浆砌筑的试件的抗压强度。这与人们常规认识是不一致的,认真研究一下模块的特殊构造,这种现象还是可以解释的。首先机械化生产的模块的尺寸精度相对较高,模块上下层结合部分经特殊设计的构造形式,能够保证灌孔混凝土的浆液将这些构造间隙充填密实。由于模块的这些构造间隙比灰缝小得多,对调整上下层模块的变形十分有利,仅从模块砌体的抗压试件的实测数据看,其强度值一般偏高5%左右。这样一个结果非常具有现实意义。如采用干法砌筑不仅可以大幅度地减少现场湿作业,提高施工效率,更重要的是这种工法,能真正杜绝了模块砌筑过程的“落灰”现象,从而可以有效地保证模块砌体的内在质量,对提高模块砌体抗渗能力颇具优势。另一方面,干法砌筑可以在很大程度上降低砌筑作业对操作人员的技能要求,对进一步降低施工的技术成本,颇具潜力。不言而喻,这种模块砌体的砌筑工法,必须建立在高品质模块产品的基础之上,显然这不是短时间可以实现的目标。不同地区不同厂家提供的模块产品不尽相同,产品的内在和外观质量上会有不同程度上的差异,因此,能否采取这样一种砌筑方式,设计人应在对当地模块供货的实际情况进行充分了解基础上再做选择。鉴于目前的情况,干砌法砌筑的砌体还缺少系统的试验研究及相应的数据支持,本规程并未把干法砌筑的砌体作为规程的主要内容表述,这方面数据有待进一步总结提高、补充完善。
3.3.7 对于冬期施工的模块砌体,砌筑砂浆强度等级不应低于M15,并不得使用氯盐作为砂浆防冻剂。
3.3.8 模块砌体的弹性模量、剪切模量、泊松比、线膨胀系数、收缩率及摩擦系数可按下列规定采用:
1 模块砌体的弹性模量、剪切模量可按下列公式计算:

式中:E——模块砌体弹性模量(MPa);
G——模块砌体剪切模量(MPa)。
2 模块砌体泊松比ν可取0.15;
3 模块砌体线膨胀系数α 1 可取1×10 -5 (1/℃);达到收缩允许标准的模块砌筑的龄期为28d的模块砌体收缩率可取—2×10 -4 :
4 模块砌体的摩擦系数可按表3.3.8采用。
表3.3.8 模块砌体的摩擦系数

条文说明
3.3.8关于模块砌体的弹性模量国内外的资料出入较大,由于模块的开孔率高、灌孔率大,其弹性模量相对更接近素混凝土,故本规程在这方面比现行国家标准《砌体结构设计规范》GB50003取值偏高10%左右。关于模块砌体的泊松比本规程参考了混凝土小型砌块的有关文献给出的建议值,目的是为解决某些空间板壳结构设计的需要。小型混凝土砌块砌体泊松比大致范围0.13~0.23,且砌体通齿缝的情况也不尽相同,由于模块砌体灌孔混凝土部分的权重增加,砌体通齿缝差异随之减小,其泊松比应与混凝土更为接近。模块砌体的泊松比受诸多因素影响,很难通过少数试验得出,并且试验的难度也较大。通过一些实际工程案例看,模块砌体的泊松比对砌体结构的最终设计结果影响不大。模块砌体的线膨胀系数不同文献得出的结果不尽相同,有些有较大差别。本规程采用现行国家标准《砌体结构设计规范》GB50003中的数据。由于市政工程所涉及的砌体构筑物(如各种小室)平面尺寸一般不大,对于管(沟)渠一类的构筑物本规程从构造上(如变形缝设置间距)作了较严格的限定。
3.3.9 模块砌体结构材料自重标准值,可按表3.3.9采用。
表3.3.9 模块砌体结构材料自重标准值(kN/m 3 )

4 排水管道和构筑物
4.1模块式矩形排水管道
4 排水管道和构筑物
4.1 模块式矩形排水管道
4.1.1 模块式矩形排水管道宜为混合式结构,由预制钢筋混凝土盖板、模块砌体墙体和现浇钢筋混凝土底板组成。
条文说明
4.1.1矩形排水管道基础应现浇,浇筑时首层模块应嵌入底板。矩形、端头和渐变段等基本单元用不同模块系列组砌成型。
4.1.2 模块式矩形排水管道可用于流速小于5m/s的重力流排水管道工程。
条文说明
4.1.2矩形排水管道建议用于单孔矩形管道结构工程。宽度级差建议采用200mm,高度级差建议采用180mm,管道的粗糙系数值建议采用0.014。
4.1.3 模块式矩形排水管道结构的勾板缝、坐浆和抹三角灰宜采用M10防水水泥砂浆,当盖板位于地下水位以下时宜采用聚合物防水砂浆。
4.1.4 当模块式矩形排水管道结构中心转弯半径大于15m时,侧墙可直接采用标准模块砌筑。
条文说明
4.1.4矩形排水管道中心转弯半径小于15m建议采用角度模块砌筑。
4.1.5 模块式矩形排水管道其他设计要求应符合现行国家标准《给水排水工程管道结构设计规范》GB 50332的有关规定。
4.2模块式检查井
4.2 模块式检查井
4.2.1 模块式检查井宜为混合式结构,由预制钢筋混凝土盖板、模块砌体墙体、现浇或预制钢筋混凝土底板和流槽组成。
条文说明
4.2.1检查井可采用预制底板主要是考虑地下水丰富地区快速装配化快速施工需要。首层模块可在预制底板时提前植入一并浇筑。检查井盖板以上覆土深度满足设计要求。
4.2.2 检查井井筒可使用钢筋混凝土预制构件或混凝土模块灌孔成型,内径可分为700mm和800mm两种。
条文说明
4.2.2检查井井筒可利用制管工艺生产制作,上下企口连接,与地面高程可通过不同高度调节块控制。预制井筒有利于检查井快速装配化施工,有利于与井圈更合理地连接。
4.2.3 污水检查井流槽高度应与下游管内顶齐平;雨水检查井流槽高度应与上游管中心齐平;当上下游管道内底不在同一高度时,上下游管道内底流槽坡度不宜大于10%。
4.2.4 检查井井型应根据接入管的管径、方向、管顶覆土、地下水和地面荷载等条件确定。
4.2.5 管道接入检查井宜为管内顶平接,与检查井连接的管段应采用混凝土基础。
4.2.6 管道与检查井的接口可根据管道形状切割模块后砌筑,当接口处墙体不足半块模块尺寸时应支护模板后用模块砌体灌孔混凝土浇筑。
条文说明
4.2.6模块式检查井与管道接口的处理对于检查井整体的抗渗性至关重要,应根据管道的材质与接口方式不同区别对待。
4.2.7 模块式检查井其他设计要求应符合现行国家标准《室外排水设计规范》GB 50014和《建筑给水排水设计规范》GB 50015的有关规定。
4.3模块式调蓄池
4.3 模块式调蓄池
4.3.1 模块式调蓄池宜为混合式结构,由预制钢筋混凝土盖板、模块砌体墙体和现浇钢筋混凝土底板组成。
4.3.2 模块式调蓄池结构应考虑施工期间水密性试验和运行期间养护维修时可能发生的各种工况组合作用,包括温度、湿度作用等环境影响。
条文说明
4.3.2模块式小型蓄水排水池的各种功能实现除考虑水压力和土压力影响外,尚需考虑池壁结构承受的池壁内外及季节变化的温差和湿差。
4.3.3 模块式调蓄池应符合雨水收集、调节及循环利用的有关规定。
条文说明
4.3.3雨水调蓄是利用城镇内和周边的天然湖塘洼地、沼泽地、湿地等自然水体,在雨水径流高峰流量时进行暂存,待径流量下降后再排放或利用,用以减少洪涝灾害的影响。
4.3.4 模块式调蓄池的导流、消能、排气、排空等设施应符合设计要求。
4.3.5 对位于地表水或地下水位以下的小型蓄水排水池应核算施工及使用期间的抗浮稳定性,核算水位应依据勘察文件提供的最高水位确定,当抗浮稳定性不能满足要求时应采取抗浮措施。
4.3.6 模块式调蓄池其他设计要求应符合现行国家标准《室外排水设计规范》GB 50014和《建筑给水排水设计规范》GB 50015的有关规定。
4.4模块式化粪池
4.4 模块式化粪池
4.4.1 模块式化粪池宜为混合式结构,由预制钢筋混凝土盖板、模块砌体墙体和现浇钢筋混凝土底板组成。
条文说明
4.4.1化粪池分为无覆土和有覆土两种情况,无覆土是指池顶覆土厚度为250mm~450mm,有覆土是指池顶覆土厚度为450mm~2000mm。
4.4.2 模块式化粪池池壁和池底应有防渗漏措施。
4.4.3 模块式化粪池的设置地点应符合下列规定:
1 化粪池距离地下水取水构筑物不应小于30m,距离埋地式生活饮用水储水池不应小于10m;
2 化粪池宜设置在接户管的下游端、便于机动车清掏的位置;
3 化粪池距离建筑物外墙净距不宜小于5m,不应影响建筑物基础。
4.4.4 模块式化粪池盖板、池壁内表面及池底均宜采用1:2水泥砂浆掺水泥重量0.03%超浓缩阻渗剂的防水砂浆抹面,阴角处抹45°斜面。有地下水时,池壁外表面和所有外露铁件均应采取防锈措施。
条文说明
4.4.4化粪池采取严格抗渗措施可防止污染物污染地下水和地表水。
4.4.5 模块式化粪池其他设计要求应符合现行国家标准《建筑给水排水设计规范》GB 50015的有关规定。
4.5模块式雨水口
4.5 模块式雨水口
4.5.1 模块式雨水口宜为混合式结构,由雨水箅子、模块砌体墙体和现浇混凝土底板组成。
4.5.2 雨水口形式应根据流量、道路形式和坡度确定。
条文说明
4.5.2模块式雨水口可分为平箅式、偏沟式,按箅数可分为单箅、双箅和多箅。
4.5.3 在机动车可到达范围内,与模块砌体雨水口配套使用的雨水箅子和井圈应为球墨铸铁制作。
条文说明
4.5.3非金属材质雨水箅子承载能力和抗冲击能力不足,近年来由于机动车辆载重与冲击作用致使雨水箅子损坏而频繁发生安全事故。球磨铸铁雨水箅子性能优于非金属材质雨水箅子。
4.5.4 雨水口泄水能力应按表4.5.4的规定采用。
表4.5.4 雨水口泄水能力(L/s)

条文说明
4.5.4雨水口泄水能力水工模型水力试验中道路不设纵坡,横坡设为2%,箅前水深设为40mm。
4.5.5 模块式雨水口其他设计要求应符合现行国家标准《室外排水设计规范》GB 50014的有关规定。
5 模块砌体结构设计
5.1一般规定
5 模块砌体结构设计
5.1 一般规定
5.1.1 模块砌体结构设计可采用以概率理论为基础的极限状态设计方法,以可靠度指标度量结构可靠度,用分项系数的设计表达式进行计算。
条文说明
5.1.1模块砌体结构采用以概率理论为基础的极限状态设计方法,并采用分项系数的设计表达式,依据是现行国家标准《建筑结构可靠度设计统一标准》GB50068的有关规定。
5.1.2 模块砌体结构中主要构筑物的主体结构和地下干管结构设计使用年限不应低于50年,结构安全等级不应低于二级。
条文说明
5.1.2模块砌体构筑物结构安全等级根据各相关专业技术规范及规程之规定确定。
5.1.3 模块砌体结构应按承载能力极限状态设计,并应有相应的构造措施满足正常使用极限状态的要求。
5.1.4 模块砌体结构的内力与位移分析可采用线弹性分析方法。应根据结构分析所得到的内力,分别按轴心受压、偏心受压、偏心受拉等构件进行正截面承载力和斜截面承载力计算。
5.1.5 模块砌体结构上的作用分类、作用代表值、极限状态计(验)算及构造要求等应符合现行国家标准《给水排水工程构筑物结构设计规范》GB 50069和《给水排水工程管道结构设计规范》GB 50332的有关规定。
5.2静力计算
5.2 静力计算
5.2.1 模块砌体结构静力计算模型,宜采用下列方法:
1 模块砌体管(沟)渠侧墙可假定为下端固结于基础顶面,上端铰接于顶板的竖向承压构件;
2 根据构筑物几何形状,矩形或多边形模块砌体检查井或小室结构在横向荷载作用下,其侧墙可假定为下端固结或铰接于底板,上端铰接于顶板,侧边为连续弹性约束的双向板(壳)结构;矩形或多边形模块砌体检查井或小室结构在竖向荷载作用下,其侧墙可假定为下端固结或铰接于底板、上端铰接于顶板的竖向承压构件;
3 圆形模块砌体检查井或小室结构在横向荷载作用下,其侧墙可假定为下端固结或铰接于底板、上端铰接于顶板的柱壳结构;圆形模块砌体检查井或小室结构在竖向荷载作用下,其侧墙可假定为下端固结或铰接于底板、上端铰接于顶板的轴心受(拉)压构件;
4 对尺度较大、重要性较高的构筑物,宜采用更为精确的结构模型和分析方法进行结构静力计算。
条文说明
5.2.1模块砌体结构的计算模型的确定,基本是按排水工程砌体结构的常规做法确定的,同时考虑了与现行的行业标准相协调的结果。也仅是规程建议模式,设计人可以根据本行业的习惯做法确定砌体结构的计算模型。
5.2.2 梁(板)端支承压力(N l )作用点至模块墙体边缘的距离应为有效支承长度(a 0 )的0.4倍[图5.2.2(a)]。当构筑物设有多于一层的小室时,来自上层墙体传递的轴力(N u )可视为该轴力的作用点位于墙截面重心处[图5.2.2(b)]。

图5.2.2 板端或梁端的支承反力作用位置
5.2.3 带壁柱墙的计算截面翼缘宽度(b f )应符合下列规定:
1 当横墙或壁柱间距小于等于3m时,截面翼缘的计算宽度应取壁柱间距;
2 当横墙或壁柱间距大于3m时,截面翼缘的计算宽度应取墙高的2/3,且不应大于壁柱间距。
5.3无筋模块砌体构件
5.3 无筋模块砌体构件
Ⅰ 受压构件
5.3.1 受压构件承载能力应符合下式要求:

式中:N——轴向力设计值(N);
φ——轴向力影响系数,应按本规程附录C的规定采用;
A m ——构件毛截面积(m 2 ),对带壁柱墙的翼缘计算宽度可按本规程第5.2.3条的规定采用。
5.3.2 轴向力偏心距应按下列公式计算:

式中:e——轴向力偏心距(mm),按内力设计值计算;
y——截面重心至轴向力所在偏心距方向截面边缘距离(mm);
M——弯矩设计值(kN·m)。
当0.7y<e≤0.95y时,应按下列公式进行截面承载能力验算:

式中:f t,mg ——模块砌体通(齿)缝弯曲抗拉强度设计值(MPa);
A——截面面积(mm 2 );
W——截面抵抗矩(mm 3 );
h——模块砌体厚度(mm)。
条文说明
5.3.2有关模块砌体结构偏心受压构件的偏心距e的限定标准的确定,考虑到市政工程设施结构的受力特殊性,在多数情况下,砌体结构直接承受来自砌体平面外的水平倚载作用,一般弯矩较大,如果完全按现行国家标准《砌体结构设计规范》GB50003的规定必将导致同等条件下砌体结构的断面增加幅度相当大,显然这是很难行得通的。并且与此前按原规范设计的市政工程中的砌体结构也是不相符合的,存这方面除有些工程构筑物由于材料耐久性方面存在一些问题,还没有砌体结构因结构本身的问题造成安全方面问题的案例。从另外一方面看,市政工程中的砌体结构断面厚度比建筑工程中的砌体结构断面普遍要大得多,而轴压比要小得多。鉴于实际工程上的这种明显差异,有充分理由认为:市政工程的砌体结构,应更多地利用砌体的抗拉强度,尤其是在模块砌体抗拉强度较传统砌体有了大幅度提升的前提下,就更应该考虑发挥这种新型砌体材料的优势。为此,本规程仍沿用了《砌体结构设计规范》GBJ3-88中对砌体结构中偏心受压构件偏心距的限制标准,即公式(5.3.2-1)、公式(5.3.2-2)所示,同时对截面偏心距大于0.7y而小于等于0.95y的情况也作了相应的规定。
Ⅱ 局部受压
5.3.3 模块砌体构件承受局部均匀压力时的承载力,应符合下式要求:

式中:N 0 ——局部受压面积上部轴向力设计值(N);
A 1 ——局部受压面积(m 2 );
γ——模块砌体局部抗压强度提高系数;
f g ——模块砌体抗压强度设计值(MPa),按本规程表3.3.1-2的规定采用,且不考虑模块砌体抗压强度调整系数(γ a )的影响。
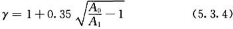
5.3.4 模块砌体局部抗压强度提高系数可按下式计算,且计算所得γ值应符合本规程表5.3.5的限值:

式中:A 0 ——影响局部抗压强度的计算面积(m 2 )(图5.3.4)。

图5.3.4 影响局部抗压强度的计算面积
条文说明
5.3.4图5.3.4分别表示砌体局部受压的四种不同状况。
5.3.5 影响局部抗压强度的计算面积和模块砌体局部抗压强度提高系数限值可按表5.3.5的规定采用。
表5.3.5 影响局部抗压强度的计算面积和模块砌体局部抗压强度提高系数限值

注:1 a 1 、a 2 为局部受压面积A 1 的边长;
2 c 1 、c 2 为局部受压面积的外边缘至构件截面边缘距离,当c 1 、c 2 大于墙厚h时,应取h。
5.3.6 梁(板)端支承处砌体的局部受压承载能力应符合下列公式要求:

式中:ψ——折减系数,当 
≥3时,取ψ=0;
N 0 ——局部受压面积内上部轴向力设计值(N);
N l ——梁(板)端支承压力设计值(N);
η——梁(板)端底部支承面压力图形完整系数,可取0.7;洞口过梁可取1.0;
σ 0 ——上部平均压应力设计值(N/mm 2 );
b——矩形截面宽度、边长、梁端支承宽度(mm);
a 0 ——梁(板)端有效支承长度(mm),当a 0 大于梁(板)的实际支撑长度a时,应取a 0 =a。
5.3.7 当混凝土梁(板)直接支承于模块砌体上时,其梁(板)端有效支承长度可按下式计算:

式中:h c ——混凝土梁(板)截面高度(mm)。
条文说明
5.3.7对于直接支承于模块砌体上的混凝土梁(板),其端部有效支承长度的确定,本规程考虑到排水工程中的梁板由于负载较大,故梁板构件的刚度一般较大,端部转角亦较小。《砌体结构设计规范》GBJ3-88中曾用两个近似公式计算梁板有效支撑长度,但在现行国家标准《砌体结构设计规范》GB50003中只保留了其中一个简化公式,另一个近似公式: 
式中的构件端部支座转角(θ),《砌体结构设计规范》GBJ3-88中采用了建筑工程中常规简支受弯构件的挠跨比为(1/250)时所对应的端部转角(θ),即:(tanθ≈1/78);本规程公式(5.3.7)是将此挠跨比值减少50%后的近似结果,即相当于将有效支承长度a0增加倍,按公式(5.3.7)计算的结果对于模块砌体结构的偏心受压构件是偏于安全的。
5.3.8 当混凝土梁下设有刚性现浇或预制混凝土梁垫时(图5.3.8),刚性现浇混凝土梁垫下的模块砌体局部受压承载能力应符合下列规定:
1 混凝土刚性梁垫的局部受压承载力应符合下式要求:

式中:N 0 ——混凝土梁垫面积(A b )内上部轴向力设计值,应取梁垫面积(A b )上的平均压应力设计值与该梁垫面积的乘积;
φ——轴向力影响系数,应按本规程第5.3.1条及附录C的规定,取当β≤3时的φ值;
γ l ——混凝土梁垫面积以外的砌体对砌体承载能力的影响系数,应取按本规程公式(5.3.4)计算值的80%,且不应小于1.0,计算时需以梁垫面积(A b )取代式(5.3.4)中的局部受压面积(A l );
A b ——梁垫面积(mm 2 ),取梁垫伸入墙内的长度(a b )与该梁垫宽度(b b ))的乘积。
2 混凝土刚性梁垫上梁的有效支承长度应按下式计算:

式中:δ 1 ——刚性梁垫有效支承长度(a 0 )影响系数,可根据轴压比(σ 0 /f g )按表5.3.8采用。
3 梁垫上N l 的作用点位置可取0.4倍的a 0 处。
表5.3.8 刚性梁垫有效支承长度(a 0 )影响系数

注:当σ 0 /f g 为中间数值时,δ 1 值可采用插入法求得。

图5.3.8 梁下设有刚性现浇或预制混凝土梁垫
条文说明
5.3.8模块砌体偏压构件的梁下局部承压在市政工程中是一个很少遇到的情况。原因是很少采用梁板承载这样的结构形式,如有梁下的局部承压问题一般应是覆土很浅或无覆土的情况,此时与建筑结构的受力特征十分相近,因此本规程采用现行国家标准《砌体结构设计规范》GB50003的局压部分的相关公式作为本规程模块砌体局部承压的表达式,仅在轴压比上做了限制。计算中,轴向力偏心矩e为作用于混凝土梁垫上的轴向力设计值及梁(板)端支承压力设计值合力对梁垫的偏心矩,轴向力偏心矩方向的边长h为梁垫的边长。
5.3.9 当混凝土板或梁下设有混凝土垫梁时(图5.3.9),垫梁下模块砌体局部受压承载能力应符合下列公式要求:

图5.3.9 混凝土板或梁下设有混凝土垫梁

式中:b b ——垫梁在墙厚方向宽度(mm);
h 0 ——混凝土梁(板)截面高度(mm);
δ 2 ——荷载相关系数,当荷载沿墙厚方向均匀分布时取1.0,不均匀分布时取0.8;
E b ——垫梁混凝土的弹性模量(N/mm 2 );
I b ——垫梁的截面惯性矩(mm 4 );
E——模块砌体弹性模量(N/mm 2 )。
条文说明
5.3.9模块砌体结构就一般工程情况而言,其自身所具有的抗压强度已经不再需要另外设置混凝土梁垫或是垫梁,但考虑某些行业特殊工程也可能遇到墙顶部作用有较大的集中荷载的情况。为此,本规程引用现行国家标准《砌体结构设计规范》GB50003的公式,但是考虑到市政工程设施的特点以及模块砌体结构工程实践的领域尚不够广泛,因此本规程特对砌体结构构件的轴压比作了必要的限定。
Ⅲ 受剪构件
5.3.10 砌体构件截面受剪切破坏时的承载能力,应符合下列公式要求:

式中:V——剪力设计值(N);
f vg ——模块砌体抗剪强度设计值(MPa);
α——修正系数,取0.64;
μ——剪压复合受力影响系数;
σ 0 ——水平截面平均压应力(MPa);

——轴压比,不应大于0.6。
条文说明
5.3.10关于模块砌体的抗剪强度问题,已在砌体结构设计计算指标一节做过说明。本规程虽采用了现行国家标准《砌体结构设计规范》GB50003的公式,但是考虑模块砌体的实际情况和与市政行业的国家现行标准《给水排水工程构筑物结构设计规范》GB50069、《给水排水工程管道结构设计规范》GB50332及《城镇供热管网结构设计规范》CJJ105等协调,除了对砌体结构构件的轴压比作了必要的限制,对公式本身也作了必要调整,取消了当永久荷载分项系数γ=1.35时的有关计算表达式。
Ⅳ 轴心受拉构件
5.3.11 轴心受拉构件的承载力应符合下式要求:

式中:N t ——轴向拉力设计值(N);
f tg ——模块砌体轴心抗拉强度设计值(MPa),应按本规程表3.3.2-2的规定采用。
Ⅴ 受弯构件
5.3.12 受弯构件的承载力应符合下式要求:

式中:M——弯矩设计值(kN·mm);
f t,mg ——模块砌体通(齿)缝弯曲抗拉强度设计值(MPa),应按本规程表3.3.2-2的规定采用;
W——截面抵抗矩(kN·mm)。
条文说明
5.3.11、5.3.12排水工程中某些储液构筑物中的隔墙或导流墙,在某些特定工况下砌体齿缝截面处于轴心受拉状态,而某些无覆土的地下储液槽,墙体受力接近纯弯状态,圆形水池接近轴拉。虽然以上这两种情况都是砌体结构中不常遇到的,但是考虑到方便设计人员应用,本规程仍旧给出了相应的计算公式(5.3.11)和公式(5.3.12)。
5.3.13 受弯构件的受剪承载力应符合下列公式要求:

式中:V——剪力设计值(N);
b——矩形截面宽度(mm);
z——内力臂(mm),当截面为矩形时取z= 
;
I——截面惯性矩(mm 4 );
S——截面面积矩(mm 3 )。
5.4配筋模块砌体构件
5.4 配筋模块砌体构件
Ⅰ 一般规定
5.4.1 配筋模块砌体结构的内力与位移,可按结构力学的弹性分析方法计算。应根据结构分析所得内力,分别按轴心受压、偏心受压或轴心受拉、偏心受拉及受弯剪构件进行正截面承载力和斜截面承载力计算,并应根据结构分析所得的位移进行变形验算。
5.4.2 配筋模块砌体结构不宜选用24M及以下系列的模块。
条文说明
5.4.2配筋模块砌体纯弯试验结果表明配筋模块砌体的“结构效率”随截面内力臂的减小而降低。有至少两方面原因导致了这种现象,一是材料方面的原因,断面越小混凝土的离散度就越高,混凝土力学性能参数的“稳定性”就越差;二是断面越小,施工的难度就越大,来自施工的保证率也就越低。综上所述,本规程不建议采用厚度小于或等于240mm的模块做配筋模块砌体结构,尤其是竖向配筋砌体结构。对于环形截面中设置环向钢筋以及单层的竖向钢筋不在此列。
Ⅱ 正截面受压承载力计算
5.4.3 配筋模块砌体构件正截面承载力的基本假定计算应符合下列规定:
1 截面应变保持平面;
2 竖向钢筋与其毗邻的砌体、灌孔混凝土的应变应相同;
3 不应考虑砌体、灌孔混凝土的抗拉强度;
4 根据材料选择模块砌体、灌孔混凝土的极限压应变不应大于0.003;
5 根据材料选择钢筋的极限拉应变不应大于0.008。
条文说明
5.4.3配筋模块砌体结构与普通钢筋混凝土结构一个根本的不同就是前者是由二次现浇灌孔混凝土复合而成,其受力性能不如同等强度等级的普通钢筋混凝土,因此本规程对模块砌体的极限压应变及钢筋的极限拉应变在普通钢筋混凝土的基础上分别作了适当的调整。
5.4.4 当配有箍筋或水平分布钢筋时,轴心受压配筋模块砌体墙,正截面受压承载力应符合下列公式要求:

式中:f′ y ——受压主筋强度设计值(MPa);
A m ——构件毛截面积(mm 2 );
A′ s ——受压钢筋截面面积(mm 2 );
φ 0 ——轴心受压构件稳定系数;
β——墙、柱高厚比。
注:1 当无箍筋或水平分布钢筋时,应取f′ y A′ s =0;
2 配筋模块砌体构件计算高度H 0 可取模块砌体实际高度。
5.4.5 当竖向钢筋仅配在中间时,配筋模块墙平面外偏心受压承载力可按本规程式(5.3.3)进行计算。
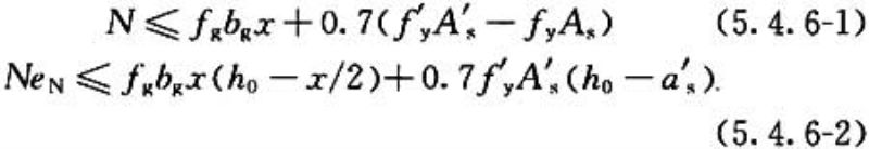
5.4.6 矩形截面偏心受压配筋模块砌体正截面承载力计算,应符合下列规定:
1 大小偏心受压界限应符合下列公式要求:
1)当x≤ξ b h 0 时,为大偏心受压;
2)当x>ξ b h 0 时,为小偏心受压。
式中:ξ b ——截面受压区相对高度界限值,对HPB300级钢筋取0.56,对HRB335级钢筋取0.54,对HRB级钢筋取0.50;
x——截面受压区高度(mm);
h 0 ——截面有效高度(mm)。
2 大偏心受压时应符合下列公式要求[图5.4.6(a)]:

式中:f y ,f′ y ——受拉、受压主筋强度设计值(MPa);
b g ——灌孔模块砌体截面宽度(mm);
e N ——轴向力作用点到竖向受拉主筋合力点之间的距离(mm),可按式(5.4.6-4)计算:
A s ,A′ s ——受拉、受压钢筋的截面面积(mm 2 );
a′ 0 ——受压钢筋面积的重心至截面较近边缘距离(mm),对于水平纵筋a′ s =90mm。

图5.4.6 矩形截面偏心受压正截面承载力计算简图
当受压区高度x<2a′ s 时,其正截面承载力可按下列公式计算:

式中:e′ N ——轴向力作用点至竖向受压主筋合力点之间的距离(mm);
e——轴向力偏心矩(mm),按荷载设计值计算,当e小于0.05h时,应取e=0.05h;
e a ——配筋模块砌体构件在轴向力作用下的附加偏心矩(mm)。
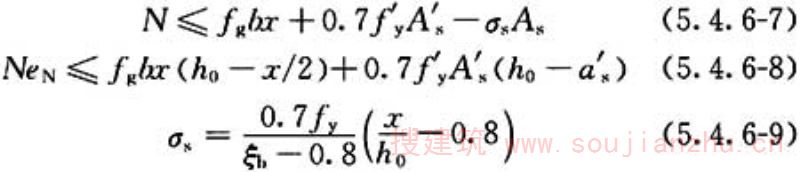
3 小偏心受压时应符合下列公式要求(图5.4.6(b)):

式中:σ s ——钢筋A s 应力(N/mm 2 )。
注:当受压区竖向受压主筋无箍筋或无水平钢筋约束时,可不考虑竖向受压主筋的作用,即取f′ y A′ s =0。
矩形截面对称配筋模块砌体小偏心受压时,钢筋截面面积也可按下式近似计算:

5.4.7 当翼缘和腹板采用专用模块砌筑且配置横向钢筋时,T(L)形截面偏心受压构件,可考虑翼缘的共同工作,翼缘的计算宽度应按本规程第5.2.3条和表5.4.7规定的较小值采用,其正截面受压承载力应符合下列规定:
1 当受压区高度x≤h′ f 时,应按宽度为b′ f 的矩形截面计算;
2 当受压区高度x>h′ f 时,应考虑腹板的受压作用,并应符合下列公式要求:
1)大偏心受压[图5.4.7(a)]

式中:b′ f ——T(L)形截面受压区翼缘计算宽度(mm),可按表5.4.7的规定确定;
h′ f ——T(L)形截面偏心受压构件翼缘高度(mm)。

图5.4.7 T(L)形截面偏心受压正截面承载力计算简图
2)小偏心受压[图5.4.7(b)]

表5.4.7 T(L)形截面受压区翼缘计算宽度

注:构件计算高度H 0 可取墙的实际高度。
条文说明
5.4.7配筋模块砌体由于模块自身具有的大开孔率的特点,为砌体配筋创造了良好的条件。试验表明:配筋模块砌体受弯构件具有与普通钢筋混凝土受弯构件非常相似,在适筋梁范围内同样表现出较好强度及较好延性的特征。本规程采用了现行国家标准《混凝土结构设计规范》GB50010中的单筋矩形受弯构件的力学分析模型及本构公式,这对广大的工程结构设计员来说是非常便于理解和掌握的。设计时设计人只需用模块砌体的抗压强度fg代替原式中的混凝土的抗压强度即可。但是,考虑到与配筋模块砌体的耐久性直接关联的裂缝控制计算尚未得到有效的解决办法(这也是所有配筋砌体的共同难题),本规程采用降低钢筋使用应力的办法,来减小配筋砌体构件的实际拉应变,从而达到控制裂缝的目的。随着配筋模块砌体的研究工作的进一步深入,将来有可能提出配筋模块砌体构件自己的裂缝验算公式,目前本规程所给各公式中均已在钢筋设计强度前乘以0.7的系数予以折减,其钢筋设计强度仍按现行国家标准《混凝土结构设计规范》GB50010选用。
Ⅲ 斜截面受剪承载力计算
5.4.8 偏心受压和偏心受拉配筋模块砌体,其斜截面受剪承载力计算应符合下列规定:
1 灌孔模块砌体的截面应符合下式要求:

式中:V——剪力设计值(N);
b——配筋模块砌体或T形、倒L形截面腹板的截面宽度(mm)。
2 配筋模块砌体在偏心受压时的斜截面受剪承载力应符合下列公式要求:

式中:A——截面面积(mm 2 ),其中翼缘的有效面积,可按本规程表5.4.7的规定确定;
A w ——T(L)形配筋模块砌体截面腹板截面面积(mm 2 ),对矩形截面取A w =A;
M——弯矩设计值(kN·mm);
N——轴向力设计值;
V——剪力设计值(N),当N>0.25f g bh时,取N=0.25f g bh;
λ——梁(板)计算截面剪跨比,当λ小于1.5时取1.5,当λ大于等于2.2时取2.2;
h 0 ——截面有效高度(mm);
A sh ——配置在同一截面内的水平分布钢筋全部截面面积(mm 2 );
s——间距(mm);
f yb ——水平钢筋抗拉强度设计值(MPa)。
3 配筋模块砌体在偏心受拉时的斜截面受剪承载力应符合下式要求:

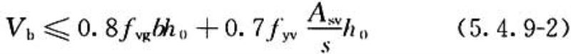
5.4.9 配筋模块砌体连梁的斜截面受剪承载力,应符合下列规定:
1 当连梁采用钢筋混凝土时,连梁的承载力应按现行国家标准《混凝土结构设计规范》GB 50010的有关规定进行计算;
2 当连梁采用配筋模块砌体时,应符合下列规定:
1)连梁的截面受剪承载力应符合下式要求:

2)连梁的斜截面受剪承载力应符合下式要求:

式中:V b ——连梁的剪力设计值(N);
b——连梁的截面宽度(mm);
A sv ——配置在同一截面内箍筋各肢全部截面面积(mm 2 );
f yv ——箍筋抗拉强度设计值(MPa);
s——间距(mm)。
注:连梁的正截面受弯承载力应按现行国家标准《混凝土结构设计规范》GB 50010受弯构件的有关规定进行计算,当采用配筋模块砌体时,应采用相应的计算参数和指标。
条文说明
5.4.9砌体构筑物结构构件的抗剪一般不在墙体平面内,而是与墙体平面呈正交方向的剪切作用,此时的墙体所配箍筋是指沿模块砌体层间所配的梯形钢筋,面积是梯形钢筋沿剪力作用方向上的钢筋面积之和。
Ⅳ 正截面受弯承载能力计算
5.4.10 矩形截面或翼缘处于受拉区的T(L)形截面受弯构件,正截面的受弯承载力应符合下式要求(图5.4.10):

模块砌体截面受压区高度应按下式计算:

模块砌体截面受压区高度尚应符合下列公式要求:

式中:E s ——钢筋的弹性模量(MPa)。

图5.4.10 矩形截面正截面受弯承载力计算简图
5.4.11 T(L)形受弯构件,正截面的受弯承载力应符合下列规定(图5.4.11):
1 当满足下列条件时应按截面宽为b′ f 的矩形截面计算:

2 当不满足式(5.4.11-1)时应按下式计算:

式中:a′ s ——受压钢筋面积的重心至截面较近边缘距离(mm),对于水平纵筋a′ s =90mm;
a s ——受拉钢筋面积的重心至截面较近边缘距离(mm),对于水平纵筋a s =90mm。

图5.4.11 T(L)形截面正截面受弯承载力计算简图
Ⅴ 截面轴心受拉承载能力计算
条文说明
5.4.10、5.4.11砌体构筑物结构构件当轴力很小时(如:挡土墙、挡水墙等)截面往往近乎于纯弯状态,因此有必要补充模块砌体构件的正截面受弯承载力的计算内容。以400mm厚的配筋混凝土模块砌体为例,其构件受弯的系列试验与同等条件(即与模块砌体的灌孔混凝土强度等级相同、配筋面积As相同、截面宽度及有效高度h0相同)的混凝土受弯构件的正截面的受弯承载能力对比及数据统计分析,得到通缝方向配筋模块砌体纯弯构件的截面抵抗弯矩值与混凝土纯弯梁的截面抵抗弯矩值之比为0.873,齿缝方向配筋模块砌体纯弯构件的截面抵抗弯矩值与混凝土纯弯梁的截面抵抗弯矩值之比为0.813(有的实际对比试验此比值达到0.9以上)。本规程充分考虑了模块砌体受弯构件的特点以及计算方便,公式(5.4.10-1)、公式(5.4.10-2)采取在钢筋抗拉强度乘以折减系数予以调整。为了控制截面受压区的高度不能过大、配筋率不能过高,因此在计算截面压区的压区界限相对高度ξb时,仍直接采用了钢筋的抗拉强度而未进行折减。此外,配筋模块砌体的截面特征及可能应用到的抗压强度等级的范围不会高于C50混凝土的抗压强度,故对ξb的计算公式进行必要的简化。配筋模块砌体受弯构件主要用于承受来自墙体平面外的弯矩作用,而构件内的纵向配筋位置距截面边缘的距离较大,受压区钢筋很难达到抗拉强度,因此在确定配筋模块砌体构件(墙体平面外的)正截面受弯承载力时,一律不考虑受压钢筋的影响,即取:f′sA′s=0。对于T形截面配筋模块砌体受弯构件应根据压区的实际高度,判定截面纵向受压钢筋是否参与工作。
5.4.12 轴心受拉构件的承载力应符合下式要求:

条文说明
5.4.12盛水构筑物的隔墙在满水工况下部分墙体处于轴心受拉状态,特别是在做满水试验的工况下,靠近外侧池壁隔水墙尤为如此。
5.5构造要求
5.5 构造要求
Ⅰ 墙体允许高厚比
5.5.1 模块砌体高厚比应按下式计算:

式中:H 0 ——构件计算高度(mm);
μ 1 ——自承重墙允许高厚比修正系数,非承重墙体取1.2,承重墙取1.0;
μ 2 ——开有洞口的模块墙体允许高厚比修正系数;
[β]——墙允许高厚比,应按表5.5.1的规定采用。
当S≤μ 1 μ 2 [β]h时,墙的高厚比可不受此限制。
表5.5.1 模块砌体墙体允许高厚比[β]

注:验算施工阶段砂浆未硬化的新砌墙体允许高厚比取10。
条文说明
5.5.1排水工程中一般砌体构筑物,由于结构所受荷载作用的特殊性决定了高厚比不可能太大。表5.5.1所给出的模块砌体高厚比限制值是考虑与现行国家标准《砌体结构工程施工质量验收规范》GB50203相协调,当采用配筋模块砌体时,其高厚比(β)可以根据具体情况适当提高。
5.5.2 带壁柱的模块砌体高厚比应符合下列规定:
1 当按本规程式(5.5.1)验算带壁柱墙的高厚比时,式中墙厚h应采用墙体折算厚度h T ;当计算带壁柱墙截面的回转半径时,截面的翼缘宽度可按本规程第5.2.3条和表5.4.7规定的较小者取值;当计算带壁柱或有横墙的模块砌体的计算高度H 0 时,可取该模块砌体的实际高度H与0.6S的较小值(S为相邻壁柱或横墙间的距离);
2 对设有钢筋混凝土壁柱的墙体,当混凝土圈梁的宽度(b)与相邻钢筋混凝土壁柱间的距离(S)之比不小于1/10时,混凝土圈梁可视为模块墙体的不动铰支点。当圈梁宽度(b)不能满足此要求时,可按刚度(墙体平面外刚度)等效原则增加圈梁的高度。
条文说明
5.5.2在排水工程中,通常砌体构筑物要承受比较大的水平荷载作用,作为墙体支承的梁的断面也必然较大。其次是灌孔后的模块砌筑墙体自身的刚度大、砌体的弹性模量高,因此对现浇混凝土圈梁的刚度要求作了必要的调整。
5.5.3 开有洞口的模块墙体允许高厚比修正系数应按下式计算:

式中:μ 2 ——开有洞口的模块墙体允许高厚比修正系数,当μ 2 <0.7时,取0.7;当洞口高度等于或小于墙高的1/5时,取1.0;当洞口高度等于或大于墙高的4/5时,可按独立墙段计算;
b s ——在宽度(S)范围内的洞口总宽度(mm);
S——间距(mm)。
Ⅱ 一般构造要求
5.5.4 模块砌体结构材料的最低强度等级和抗渗等级应符合表5.5.4的规定。
表5.5.4 材料最低强度等级和抗渗等级

注:此为模块砌体材料的最低要求,工程设计时尚应符合现行国家及行业相关标准的规定。
条文说明
5.5.4模块雨水口属于露天环境,在寒冷及严寒地区,混凝土模块的强度等级应大于等于MU15。处于寒冷及严寒地区的露天小型蓄水排水池应按设计要求采取抗冻措施。
5.5.5 模块砌体的构造应符合下列规定:
1 承重直线及折线墙厚度不应小于250mm,承重弧形墙厚度不应小于180mm;
2 非承重直线及折线墙厚度不应小于180mm,弧形墙厚度不应小于150mm;
3 配筋模块砌体直线及折线墙厚度不应小于250mm,弧形墙厚度不应小于180mm。
条文说明
5.5.5此项规定基于市政基础设施的多样性及目前市场供货的模块产品规格尺寸而定。
5.5.6 模块砌体墙体与现浇混凝土底板的连接构造设计,应符合下列规定:
1 侧墙最下层模块应嵌入混凝土底板中,模块嵌入底板混凝土中的深度应为30mm~50mm,底层模块应与底板混凝土同时浇筑[图5.5.6(a)];
2 底板襟边外伸宽度不应小于100mm;
3 侧墙模块可直接砌筑于混凝土底板上[图5.5.6(b)],截面的抗剪强度应按摩擦强度采用。
条文说明
5.5.6模块砌体之所以具有相对传统砌体较好的抗渗性能,其根本原因在于砌筑的墙体内部存在一个连续不间断的混凝土现浇体。如果侧墙与底板没有一个良好的嵌固,则在混凝土底板与模块砌筑的侧墙之间形成两次浇筑的混凝土界面,容易造成模块砌体抗渗性能降低或渗漏(该界面的抗剪强度也很难保证)。对内外墙砌体交接处的要求同样是出于这一原因。另外,该界面的抗剪及轴心抗拉强度也要通过灌孔混凝土来实现。
5.5.7 模块砌体的内外墙交接处,应保证沿墙体全高范围内的灌孔混凝土连续贯通。

图5.5.6 侧墙模块与底板的连接
1-灌心混凝土;2-混凝土模块;3-混凝土界面;4-防水砂浆抹角;5-混凝土底板
条文说明
5.5.7盛水构筑物的内外墙交接节点是模块砌体抗渗的薄弱环节,应保证节点范围内的灌孔混凝土连续性和完整性。
5.5.8 模块砌体墙顶部遇有较大的集中荷载时,应设置现浇的钢筋混凝土垫梁或刚性梁垫,钢筋混凝土垫梁或刚性梁垫的混凝土强度等级不应低于C30,垫梁高度不应小于模块砌体墙厚度的2/3,同时不得小于180mm,且应与墙厚同宽。
条文说明
5.5.8由于模块顶部有凸起的特殊构造,为使荷载得到有效分散而不造成应力集中,故无论是梁垫还是垫梁都应现浇。
5.5.9 钢筋混凝土板(梁)为两端简支时,在模块砌体顶部的搁置长度应符合下列规定:
1 模块砌体墙体单侧搭板(梁)时,其顶板(梁)搁置长度不应小于模块砌体厚的0.4倍,且板不应小于120mm,梁不应小于180mm。
2 模块砌体墙体双侧搭板(梁)时,其顶板(梁)搁置长度应符合本规程第5.5.9条第1款的规定。当板上部有整浇钢筋混凝土叠合层时,可不受上述限制。
3 当模块砌体不符合本规程第5.5.9条第2款的规定时,对梁可增设墙壁柱增加搁置长度,对板则可增设垫梁(图5.5.9)或增加板端连接措施。
条文说明
5.5.9本规程所规定的顶板搁置长度是最小限值,此规定并非出于结构受力的考虑,若有防止顶板脱落的可靠连接措施,也可不受此项限制。
5.5.10 当模块砌体结构遇有设备管道接入时,预留设备洞不应靠近模块砌体墙的角部,洞口边缘距墙体内表面最小间距不宜小于墙厚的1/2且不应小于200mm。
条文说明
5.5.10开孔边缘距墙内皮最小净距要求主要是考虑模块组砌的需要。
5.5.11 模块砌体墙体的设备或管道洞口宜按预留设计,当后期补开洞口时,应按削弱后的截面验算模块墙体的承载能力,并在设计文件中注明补开洞口的方法。

图5.5.9 垫梁构造图
1-预制混凝土顶板;2-水泥砂浆填缝;3-混凝土垫梁;4-锚固钢筋;5-模块墙体
条文说明
5.5.11某些改造工程或是施工过程中的变更,都可能导致在即有结构上开洞。本条主要提示设计人在变更设计时,必须要做的工作内容。
5.5.12 地面式模块砌体盛水构筑物的内外墙节点和外墙转角节点宜每层或隔层设置构造钢筋(图5.5.12)。

图5.5.12 内外墙节点和外墙转角节点每层或隔层设置构造钢筋
条文说明
5.5.12某些工程的砌体盛液构筑物(如多格水池)结构,在做满水试验时,水池内部隔墙作为池外墙壁的支承边,并且会承受较大的轴向拉力,模块砌体截面处于轴心受拉状态。相应的构筑物外墙壁转角砌体截面处于大偏心受拉或小偏心受拉状态。考虑到以上截面往往又是施工控制的难点部位,为此本规程特别针对上述两种部位的构造作了具体的规定。
5.5.13 当直径小于1000mm管线接入或需在模块砌体墙面预留设备孔道时,侧墙洞口周边应利用模块内孔设置加强钢筋[图5.5.13(a)];当孔洞直径大于1000mm且靠近底板时,应单独设置钢筋混凝土边缘构件予以加固[图5.5.13(b)];当洞口直径大于2000mm时,边缘构件配筋按计算确定;当洞口边缘靠近模块砌体角部时,宜在洞口上下设置转角加强钢筋予以加固[图5.5.13(c)]。

图5.5.13 模块砌体墙洞口构造图
1-模块墙体;2-孔洞加强钢筋;3-模筑混凝土;4-底板结构混凝土
条文说明
5.5.13洞口加固是一个比较复杂的问题,之所以说其复杂,是因为开洞的位置很难确定为一个标准。实际上洞口边缘构件还应该按计算确定加固的方式及配筋,规程仅提供一种基本的构造形式。更重要的是设计人应先判断是否属于板开洞的问题。
5.5.14 模块砌体结构应设置变形缝,变形缝间距不宜超过15m。配有水平钢筋的模块墙体变形缝间距应符合现行国家标准《混凝土结构设计规范》GB 50010的有关规定。
条文说明
5.5.14关于模块砌体变形缝的设置规定,主要是针对各种管沟、渠之类的结构,而这类结构对开裂及渗漏都有较严格的限定,所以,在结构单元长度控制上做了“从严”处理。对于管沟一类的设施应严格按有关行业规范的规定执行,模块砌体的收缩值较大,变形缝的间距宜从严控制。
5.5.15 模块砌体变形缝宽度不应小于300mm,止水带应安装在模块砌体墙体中心位置,止水带距底板上表面不应小于150mm,浇筑变形缝混凝土强度不应低于C25(图5.5.15)。

图5.5.15 模块砌体与底板变形缝
1-止水带;2-嵌缝材料;3-闭孔型低发泡聚乙烯嵌缝板;4-变形缝混凝土;5-混凝土底板
5.5.16 预制顶板安装时,应符合下列规定:
1 墙顶应预铺强度等级不低于M10的干硬性水泥砂浆,预铺水泥砂浆厚度不应小于20mm;
2 预制顶板应在板与板之间的缝隙内,应采用强度等级不低于M10水泥砂浆填缝并用水泥砂浆抹带;
3 预制顶板两端与墙顶间应采用强度等级不低于M10水泥砂浆抹三角灰,抹灰底边宽度不宜小于60mm;
4 当预制顶板低于地下水位时,宜采用聚合物防水砂浆代替水泥砂浆。
Ⅲ 配筋模块砌体构造规定
5.5.17 钢筋的规格应符合下列规定:
1 应优先使用带肋钢筋。
2 钢筋的最大直径不应大于25mm,竖孔配筋的直径不宜小于12mm;设置水平抗剪或拉结钢筋时,其直径不应小于4mm。
3 配置在模块砌体竖向孔洞内的纵向钢筋面积(指一侧配筋的面积)不宜大于该方向孔洞面积的1.2%;配置在模块砌体内的水平纵向钢筋面积(指一侧配筋的面积)不宜大于该方向模块砌体面积的0.6%。
4 配筋模块砌体的最小配筋率不宜小于0.08%(按全截面计算)。
条文说明
5.5.17从受力方面看市政工程中的模块砌体构件与建筑工程中的砌块墙体构件也有很大差异,前者以平面外受弯为主,后者则以平面内的剪弯为主。因此,模块砌体如按现行国家标准《砌体结构设计规范》GB50003的配筋率控制,显然是过高,所以本规程对配筋率控制值做了较大幅度的下调。由于模块砌体的收缩率小于混凝土结构,另外模块砌体结构的尺度与混凝土结构相比一般较小,结构收缩应力也会相应降低,故最小配筋率的确定主要基于上述两方面的考虑。模块砌体中配筋其直径不宜超过25mm,钢筋过大对钢筋保护层有影响,其次是考虑到地下砌体结构的工作环境较差,钢筋直径过大可能裂缝难于控制,故本规程规定模块砌体内钢筋直径上限较现行国家标准《砌体结构设计规范》GB50003有所降低。
5.5.18 钢筋的设置应符合下列规定:
1 同一竖孔内的纵向钢筋间的净距不应小于30mm;
2 柱和壁柱中的竖向钢筋的净距不宜小于40mm;
3 不得在模块砌体的砌筑灰缝内配置钢筋。
条文说明
5.5.18由于模块自身具有的特点,为方便配筋模块特别设置了水平钢筋卡槽,能确保钢筋处于现浇混凝土的包裹之中,有效地保证结构构件的耐久性。市政基础设施工程的构筑物通常埋设地下,环境条件较差,若在灰缝中配置钢筋根本无法保证钢筋不被腐蚀,也就无法保证结构的耐久性。因此,本规程特别规定不得在灰缝中配置钢筋。
5.5.19 钢筋在灌孔混凝土中的锚固应符合下列规定:
1 当计算中充分利用竖向受拉钢筋强度时,其锚固长度l a ,对HRB335级钢筋不宜小于30d;对HRB400和RRB400级钢筋不宜小于35d;在任何情况下钢筋(包括钢丝)锚固长度不应小于300mm;
2 受拉钢筋不宜在受拉区截断,如必须截断时,应延伸至按正截面受弯承载力计算不需要该钢筋的截面以外,延伸的长度不应小于20d;
3 当受压钢筋在跨中截断时,应伸至按计算不需要该钢筋的截面以外,延伸的长度不应小于20d;对绑扎骨架中末端无弯钩的钢筋,不应小于25d;
4 钢筋骨架中的受力光圆钢筋,应在钢筋末端做弯钩,在焊接骨架、焊接网以及轴心受压构件中,可不做弯钩;绑扎骨架中的受力带肋钢筋,在钢筋的末端可不做弯钩。
5.5.20 当钢筋的直径大于18mm时,宜采用机械连接或焊接,其他直径的钢筋可采用搭接接头,并应符合下列规定:
1 钢筋的接头位置宜设置在受力较小处。
2 受拉钢筋的搭接长度不应小于1.1l a ,受压钢筋的搭接长度不应小于0.7l a ,且不应小于300mm。
3 当相邻搭接钢筋的间距小于等于75mm时,其搭接长度应为1.2l a 。当相邻钢筋间的接头错开间距小于30d时,搭接长度应增加1.2倍。
条文说明
5.5.20受模块砌体内部空间所限,配筋条件较差,大直径钢筋不便搭接,为确保钢筋可靠连接,本规程特提出相对严于现行国家标准《砌体结构设计规范》GB50003的规定。
5.5.21 水平受力钢筋(网片)的锚固和搭接长度应符合下列规定:
1 配置在模块钢筋卡槽中的钢筋,锚固长度不应小于30d,水平或垂直弯折段的长度不宜小于15d或200mm;
2 钢筋的搭接长度不应小于35d。
条文说明
5.5.21这里所指的钢筋(网片)是指专门为模块砌体配套的热镀锌小直径钢筋焊网。
5.5.22 模块砌体横孔中的水平钢筋,应准确嵌固于模块预设钢筋卡槽内,钢筋卡槽中心距模块表面应为90mm;模块砌体孔中的竖向钢筋应位于水平钢筋内侧(即靠近墙中心线一侧),并应采用架立钢筋焊接成钢筋骨架。
条文说明
5.5.22模块砌体横孔中的水平钢筋已有钢筋卡槽可以定位,竖孔中的竖向钢筋底端无法绑扎,故要求竖向钢筋能做到自行定位。
5.5.23 模块砌体中局部现浇钢筋混凝土构件的混凝土最小保护层厚度应按现行国家标准《混凝土结构设计规范》GB 50010的有关规定执行。
条文说明
5.5.23特指与模块砌体相连接的现浇混凝土构件,如扶壁柱、洞口加固构件等。
5.5.24 对地下水、构筑物或管道内部介质对模块砌体的钢筋有较强腐蚀或设计使用年限在50年以上的工程,应采用防腐蚀钢筋或其他可靠的防腐蚀措施。
条文说明
5.5.24配筋模块砌体内的钢筋由一定厚度的现浇混凝土所包裹,就钢筋的微观环境而言与普通钢筋混凝土并无不同,但考虑到模块砌体的钢筋绑扎有一定难度,且混凝土浇筑也与普通模筑混凝土有一定差异,故对于重要的构筑物及设计使用年限在50年以上的构筑物应考虑使用防腐钢筋。
5.5.25 当在本规程中没有明确要求时,配筋模块砌体中的受力钢筋应按现行国家标准《混凝土结构设计规范》GB 50010的有关规定执行。
5.5.26 模块砌体墙体的配筋可按下列方式采用:
1 内外模块墙体节点配筋(图5.5.26-1);
2 外墙角节点配筋(图5.5.26-2);
3 墙与底板节点配筋(当模块砌体墙内只配有一级竖向钢筋,即插筋一次到位时)(图5.5.26-3);
4 墙与底板节点配筋(当模块砌体墙内所配竖向钢筋需搭接时)(图5.5.26-4)。

图5.5.26-1 内外模块墙体节点配筋
1-模块墙体;2-竖向配筋;3-水平配筋

图5.5.26-2 外墙角节点配筋
1-模块墙体;2-竖向配筋;3-水平配筋

图5.5.26-3 墙与底板节点配筋(一)
1-水平配筋;2-竖向配筋;3-模块定位钢筋;4-首层模块;5-底板上层配筋;6-墙底插筋;7-钢筋支架

图5.5.26-4 墙与底板节点配筋(二)
1-竖向蛇形架立钢筋;2-竖向配筋;3-水平配筋;4-底板插筋;5-模块定位钢筋;6-首层模块;7-底板上层配筋;8-钢筋支架;9-墙底插筋
条文说明
5.5.26配筋模块砌体截面内的配筋方式可以根据实际情况采取不同的做法,图5.5.26-1~图5.5.26-4提供设计人员参考。
6 施工
6.1一般规定
6 施 工
6.1 一般规定
6.1.1 模块砌体工程施工应符合现行国家标准《砌体结构工程施工质量验收规范》GB 50203、《给水排水管道工程施工及验收规范》GB 50268及《给水排水构筑物工程施工及验收规范》GB 50141的有关规定。
6.1.2 模块检查应符合下列规定:
1 进入施工现场的模块应提供产品的合格证,标明生产厂家的名称、模块的强度等级、型号、批量和生产日期。应核对模块的强度等级、模数,特别是圆形井的弧度模数是否符合设计规定。
2 模块外表应完好,表面和孔内污物应清理干净。
3 采用已预留管道孔的预制模块应检查孔径是否和管道外径尺寸一致。当模块无预留管道孔模块时应在地面进行管道孔切割并进行标记。
6.1.3 模块应对孔、错缝砌筑。轴头模块砌筑采取约束措施时可重缝。
条文说明
6.1.3模块对孔、错缝砌筑可保证墙体传递竖向荷载的直接性,避免产生竖向裂缝,影响砌体整体强度。
6.1.4 当气候干燥炎热时,应在砌筑前1h~2h对模块进行喷水湿润。
条文说明
6.1.4气候特别干燥时,灌芯混凝土和砌筑砂浆在灌芯铺摊后会过快失去水分,影响其与混凝土模块的粘结强度。
6.1.5 模块日砌筑高度应根据气温、墙体部位等不同情况分别控制,常温条件下的日砌筑高度宜控制在2m内,干砌施工可适当增加日砌筑高度。
条文说明
6.1.5适当控制模块砌体日砌筑高度有利于已砌筑砌体尽快稳定安全地形成强度,有利于砌体收缩裂缝的减少。
6.1.6 不同强度等级混凝土模块不得在同一结构中混砌。
条文说明
6.1.6在同一结构中混砌不同强度等级混凝土模块会浪费较高强度模块强度使用功能,降低砌体结构的强度和整稳性。
6.1.7 当模块砌体高度大于2m时应搭设脚手架,脚手架不得与正在砌筑的模块砌体连结。
条文说明
6.1.7模块砌体墙体达到一定高度时搭设脚手架有利于灌芯、振捣和模块顶层找平等后续工作的顺利进行。脚手架与正在砌筑的模块砌体连结将扰动砌体结构,不利于整体强度形成。
6.1.8 现场施工用电应符合现行行业标准《施工现场临时用电安全技术规范》JGJ 46的有关规定。
6.2基础施工
6.2 基础施工
6.2.1 模块砌体底板钢筋的品种、级别、规格及数量等应根据结构计算的强度或最小配筋率等构造要求确定。底板钢筋加工、连接、安装和验收应符合现行国家标准《混凝土结构工程施工质量验收规范》GB 50204的有关规定。
6.2.2 首层模块与底板混凝土应一次性浇筑,首层模块嵌入底板应控制在30mm~50mm。
条文说明
6.2.2首层模块与底板混凝土一次性浇筑,在后续砌筑施工时可约束、定位首层模块,在芯柱灌孔、振捣施工时结构更安全、可靠。
6.3砌筑施工
6.3 砌筑施工
6.3.1 砂浆砌筑应符合下列规定:
1 砌筑砂浆的强度等级应符合设计规定,砌筑砂浆应拌和均匀,符合施工规定且具有良好的保水性;
2 砌筑应分层进行,宜使用专用工具均匀铺浆,铺浆应均匀、饱满;
3 砌筑时每个混凝土模块间应槽榫相接,竖缝内侧面宽度应控制在6mm~14mm;
4 当砌筑因故停顿砂浆已超过初凝时间时,应待砂浆强度达到2.5MPa后才可继续施工;在继续砌筑前,应将原砌体表面的浮渣清除;砌筑时应避免振动下层砌体;
5 模块砌体灰缝应横平竖直,不得有瞎缝和透明缝;
6 直墙模块砌体、弧形模块砌体上下层应错缝对孔砌筑,轴头模块应对缝、对孔砌筑;
7 勾缝宜采用防水水泥砂浆进行碾缝,井壁勾缝宜采用平缝;
8 采用已预留管道孔的预制模块或自行加工的管道口模块砌体砌筑时应配合管道安装的平面方向和高程要求;
9 对于砌筑过程中因振捣不当,碰撞、踩踏等原因造成模块松动、失稳等情况,应进行修补或重新砌筑。
条文说明
6.3.1砌筑砂浆良好的保水性、稠度及粘结力可防止墙体渗漏、开裂与减少干缩裂缝。控制模块间槽榫相接宽度可避免砌体因外部环境变化而产生的变形。
6.3.2 干码砌筑应符合下列规定:
1 首层模块完成定位后,方可采用干码砌筑方式;
2 干码砌筑时,应按排块要求码砌模块,并应及时校正模块的水平和垂直度;
3 干码砌筑构筑物时,每砌筑3层~5层应用砂浆修正累积误差。
条文说明
6.3.2模块为模压成型产品,其尺寸偏差可控制在比较精确范围,干码砌筑对于模块砌体的水平和垂直度影响不大。采用干码砌筑方式一方面可加块现场施工进度,另一方面灌芯振捣后砂浆自动充盈连接缝,有利于避免灌芯施工对砌体的扰动。适当砌筑高度修正误差可避免累积误差对砌体高程的影响。
6.3.3 接入管道宜采用随砌随安同步施工的方式,亦可在接入管位置预留孔洞。
6.3.4 不同系列模块不同组合,可构成不同模块砌体。
条文说明
6.3.4模块既可当作不同模数混凝土砌块组合,也可当作不同模数混凝土模板组合。
6.4灌孔施工
6.4 灌孔施工
6.4.1 灌孔前应清除芯柱孔洞内的杂物及削掉孔内凸出的砂浆,并用水冲洗干净。校正钢筋位置并绑扎或焊接固定后,方可浇灌芯柱混凝土。
条文说明
6.4.1芯柱孔洞内的杂物及凸出的砂浆使芯柱断面缩小、灌芯混凝土与初上强度的结构形成断层,从而影响砌体强度。
6.4.2 平面结构复杂的模块砌体构筑物,灌孔前应制定混凝土灌注运输路线,确保混凝土连续灌注。
条文说明
6.4.2施工现场情况复杂,大部分为沟槽作业,灌混凝土灌注连续性可确保混凝土模块砌体具有较好的整体性。
6.4.3 灌孔前应做临时支撑,可在构筑物的最上层模块用紧固工具紧固、构筑物的角部采取支护措施后进行混凝土灌孔。
条文说明
6.4.3模块底层嵌入底板、最上层用紧固工具紧固、角部采取支护措施可堵塞灌孔振捣时漏浆通道,防止墙体位移。
6.4.4 模块砌体一次连续灌注高度不应大于2m,当采取可靠技术措施时,一次连续灌注高度可适当增加。
6.4.5 砂浆砌筑模块砌体,灌孔应在砌筑砂浆强度达到1.0MPa以上时进行。
条文说明
6.4.5砂浆砌筑砌体,砌筑砂浆强度达到要求后进行灌孔可保证墙体自身的稳定性,使芯柱与墙体更好地结合成整体。
6.4.6 灌注应分层、均匀、连续进行,厚度应控制在300mm~500mm。当与圈梁衔接时,墙体应预留200mm~300mm与圈梁一并灌注。
条文说明
6.4.6分层灌注厚度控制在三层模块高度以内,使灌孔混凝土能浇筑到模块砌体边角,也可使振捣更充分、密实。
6.4.7 顶层模块灌注应与模块顶面上沿平齐,不得出现局部凹凸不平情况。
条文说明
6.4.7顶层模块灌注与模块顶面上沿平齐,有利于盖板安装调适。
6.4.8 混凝土实际灌注量应与计算灌注量相吻合。当有较大偏差时应检测是否有空洞、漏浆情况,发现问题应采取补救措施。
条文说明
6.4.8模块开孔率较大且有横孔和纵孔相通,还有支线管道接入等,混凝土灌孔施工质量的好坏关系到砌体的整体力学性能。灌注前通过开孔率计算灌注量并与实际比较是发现问题及采取补救措施前提。
6.4.9 振捣应符合下列规定:
1 宜采用高频插入式混凝土振捣棒,振捣棒直径可视模块规格确定:当模块砌体厚度不大于400mm时,可选用振捣棒直径为20mm~30mm;当模块砌体厚度大于400mm时,可选用振捣棒直径为50mm。
2 连续浇灌芯柱混凝土,应每浇灌300mm~500mm振捣一次,或边浇灌边振捣密实,不得灌满整根芯柱后再振捣。
3 振捣棒插入混凝土应上下移动振捣,直至无上升气泡时为最佳。振捣过程中不得漏振、过振。
6.5配筋模块砌体施工
6.5 配筋模块砌体施工
6.5.1 模块砌体的类型、强度等级,砌体砂浆的强度等级,配筋模块砌体的混凝土或砂浆强度等级及钢筋的品种、规格和数量应符合设计规定。
6.5.2 钢筋设置、连接、锚固、搭接长度及在模块砌体内定位应符合设计和有关规定。
6.5.3 模块竖孔内宜采用焊接骨架定位装置固定钢筋,钢筋骨架底段100mm~200mm范围内的竖向钢筋应向内收敛20mm~30mm,且竖筋底端宜用 
10mm钢筋封闭。
6.5.4 模块砌体构造柱应与砌体墙同时施工,箍筋应同时砌入模块砌体内。构造柱应随砌筑墙体同时绑扎钢筋,应分段浇筑混凝土或砂浆并捣实,构造柱的外侧模板应固定牢固,并防止漏浆,构造柱竖向钢筋应按设计要求设置。箍筋应在环筋槽中间设置。
6.5.5 钢筋混凝土构造柱与模块砌体组合墙施工时,应先砌墙后浇混凝土构造柱,构造柱与墙体连接处应砌成马牙槎,马牙槎应先退后进,并应正确预留拉结筋位置。
6.5.6 配筋模块砌体剪力墙内竖向插筋应与基础或基础梁内的预埋钢筋连接。
条文说明
6.5.6配筋砌块砌体剪力墙内竖向插筋与基础或基础梁内的预埋钢筋连接,保证灌孔后的网状混凝土芯柱结构的整体性。
6.5.7 设置在潮湿环境或有化学侵蚀性介质环境中的模块砌体,芯柱内钢筋应采取防腐措施。
条文说明
6.5.7排水工程砌体一般设置在潮湿环境,因此钢筋应采取防腐措施。
6.5.8 当在配筋模块砌体横墙上留置施工洞口时,洞口的高度不得超过2/3墙高,并应设置洞口过梁和拉结筋,拉结筋沿洞口高度方向间距不应大于500mm,伸入两侧墙内长度不应小于500mm。
6.6附属构配件施工
6.6 附属构配件施工
6.6.1 踏步安装应符合下列规定:
1 踏步应满足设计要求,可配套使用模块专用踏步;
2 踏步间距应为两层模块高度;
3 踏步应随砌随安,安装踏步后,应做临时固定。当灌孔混凝土及砌筑砂浆未达到规定的强度时,不得踩踏。
条文说明
6.6.1踏步间距为两层模块高度是根据人机工程学原理确定的,一般认为360mm左右的步距符合人体上下梯习惯。模块专用踏步是根据模块特殊结构生产的专门用于模块砌体的踏步。
6.6.2 盖板可采用能够与模块铰接的预留凸起槽口预制盖板,如因运输及施工条件等因素限制,也可现场原位现浇。底板或基础可现浇成型,也可预制成型。
条文说明
6.6.2盖板上预留凸起槽口,有利于井筒施工底层模块的限位,同时对于盖板和井筒连接部位的防渗漏起到关键作用。
6.6.3 勾板缝、坐浆和抹三角灰均应采用M10水泥砂浆;当盖板位于地下水位以下时应采用M10聚合物水泥砂浆。
6.6.4 流槽砌筑可选用配套专用流槽砖,流槽砖应具有导流功能及闭水作用。
6.6.5 伸缩缝应按设计要求设置、施工。止水带安装应位置准确、牢固,并应符合下列规定:
1 止水带中线应与伸缩缝及结构厚度中心线重合,并应做到定位措施可靠、嵌缝材料位置准确;
2 橡胶止水带接头不得留在转角处,宜留在相对高的位置;
3 橡胶止水带在浇筑混凝土前应固定于专用的定位装置上,不得穿孔或用铁钉固定;
4 橡胶止水带宜采用热焊接头;
5 混凝土浇筑时止水带部位不应窝气和漏振。
6.6.6 当支管接入井室时,应在井室施工的同时安装预留支管,预留管径、方向、高程应符合设计要求,管与井壁衔接处应严密,预留管管口宜采用不低于砌筑砂浆强度的砂浆进行封口抹平。
6.7回填施工
6.7 回填施工
6.7.1 基坑回填应在模块砌体达到设计强度、盖板安装并在闭水试验合格后实施。
条文说明
6.7.1模块砌体达到设计强度后可抵抗回填施工产生的振动与侧压力等作用对砌体结构的影响。在闭水试验合格后回填主要考虑存在质量问题时有利于采取补救措施。
6.7.2 构筑物两侧应保持同步回填,其高度差不得大于300mm,回填时不得使用重型机械,回填土的压实度应按设计文件要求执行。当设计文件未明确具体要求时,回填土的压实度不应低于0.94。回填材料不得采用淤泥、有机土等,冻深范围内肥槽应使用非冻胀材料回填。
6.7.3 当构筑物位于路基、广场范围内,路基要求的压实度大于0.94时,应按路基要求的压实度执行,路基的压实系数应符合现行国家标准《给水排水管道工程施工及验收规范》GB 50268的有关规定;位于绿地或农田范围的构筑物基坑回填土的压实度可适当降低,但不应低于0.85。
6.7.4 构筑物盖板顶以上500mm范围内的覆土回填不得使用重型及振动压实机械碾压。构筑物盖板顶500mm以上的覆土回填如需使用重型及振动压实机械作业,应根据压实机械的规格和盖板设计承载力进行验算。
6.7.5 路面范围内,构筑物周边不易压实部位,应采取措施确保压实度,并应符合现行行业标准《城镇道路工程施工与质量验收规范》CJJ 1的有关规定。
6.7.6 构筑物回填材料可采用气泡混合轻质土,性能指标应符合现行行业标准《气泡混合轻质土填筑工程技术规程》CJJ/T 177的有关规定。
条文说明
6.7.6气泡混合轻质土具有轻质性、自立性、自密性、容重和强度可调节,对于管线、地下排水结构边角回填更具可操作性和便捷性。
6.8雨期和冬期施工
6.8 雨期和冬期施工
6.8.1 雨期施工模块存放不应被积水浸泡和雨淋。当降雨较大时应停止砌筑,并对已经砌筑的模块砌体采取遮雨措施,防止雨水浸入墙体。应及时抽离基槽积水,防止浸泡造成墙体失稳。雨后继续施工应检查墙体的垂直度。
条文说明
6.8.1模块被积水浸泡将产生湿胀,砌筑施工后因干缩易使墙体开裂。
6.8.2 不得使用水浸后受冻的模块,砌筑前应清除冰雪等冻结物,不得采用冻结法施工。
6.8.3 砌筑砂浆应防止水分蒸发。夏季应采取遮阳措施,冬季应采取保温措施。储存地点的环境温度不宜超过35℃,且不宜低于5℃。
6.8.4 当日最低气温高于或等于—15℃时,采用抗冻砂浆的强度等级应按常温施工提高一级。气温低于—15℃时不得进行模块的砌筑施工。
条文说明
6.8.4冬期施工适当提高砌筑砂浆强度等级有利于保证砌体质量。
6.8.5 冬期砌筑施工后应使用保温材料覆盖新砌的模块砌体。
6.8.6 解冻期间应对模块砌体进行观察,当发现裂缝、不均匀下沉等情况时,应分析原因并采取措施。
6.8.7 灌芯、圈梁等混凝土工程冬期施工应符合现行国家标准《混凝土结构工程施工质量验收规范》GB 50204的有关规定。冬期施工应按国家现行标准《砌体结构工程施工质量验收规范》GB 50203和《建筑工程冬期施工规程》JGJ/T 104的有关规定执行。
7 质量验收
7.1一般规定
7 质量验收
7.1 一般规定
7.1.1 模块砌体工程施工质量验收,应符合现行国家标准《建筑工程施工质量验收统一标准》GB 50300、《砌体结构工程施工质量验收规范》GB 50203、《给水排水管道工程施工及验收规范》GB 50268及《给水排水构筑物工程施工及验收规范》GB 50141的有关规定。
7.1.2 施工质量验收应按检验批验收、分项工程验收、子分部工程验收、分部工程验收依次进行。
7.1.3 模块砌体工程的检验批可按相关专业施工质量验收标准划分;当相关标准没有具体规定时,可按同类型、同强度等级的模块,不超过250m 3 的砌体应划分为一个检验批。
7.1.4 模块砌体工程应按主控项目和一般项目的有关要求进行验收,合格质量应符合下列规定:
1 主控项目应全部合格;
2 一般项目应有80%及以上的抽检处合格;
3 允许偏差项目,最大超差值不应超过允许偏差值的1.5倍。
条文说明
7.1.4主控项目对工程质量起决定性作用,应全部符合本规程的规定,一般项目对工程质量尤其涉及安全性方面不起决定性作用,可允许20%以内的抽检处超出本规程的规定。
7.1.5 模块砌体工程下列部位应进行隐蔽工程验收,并应做相应的影像和文字记录:
1 基础;
2 变形缝;
3 砌体内的竖向钢筋、水平钢筋、箍筋及拉结钢筋网片等;
4 芯柱灌孔混凝土;
5 构造柱钢筋;
6 其他隐蔽工程。
7.1.6 质量验收时,应提供下列文件和资料:
1 设计文件、图纸会审记录、技术交底记录及设计变更文件;
2 施工执行的技术标准;
3 施工方案;
4 模块、钢筋、水泥等原材料的出厂合格证书、产品性能检测报告、进场复检报告及现场验收记录;
5 砌筑砂浆和灌孔凝土的配合比设计通知单;
6 砌筑砂浆和灌孔混凝土试件抗压强度试验报告;
7 施工记录;
8 隐蔽工程验收记录;
9 各检验批质量验收记录;
10 重大技术问题处理记录;
11 其他应提供的资料。
7.1.7 模块砌体应进行结构实体检验,其灌孔混凝土强度的检验应符合现行国家标准《混凝土结构工程施工质量验收规范》GB 50204的有关规定。
7.1.8 当模块砌体工程质量不符合要求时,应按现行国家标准《建筑工程施工质量验收统一标准》GB 50300的有关规定执行。
7.2主控项目
7.2 主控项目
7.2.1 模块的强度等级应符合设计要求,抽检数量和检验方法应符合下列规定:
1 抽检数量:应以同一生产厂家、同一强度等级、相同原材料、相同成型设备及生产工艺生产的相同规格的模块,每20000块应划分为一个检验批;每一批抽检数量不应少于1组。
2 检验方法:应检查模块的产品合格证书和复检试验报告。
条文说明
7.2.1模块由模压成型,型式检验合格后同一生产厂家、同一强度等级、相同原材料、相同成型设备及生产工艺生产的模块质量不会有太大改变,模块与普通混凝土小型空心砌块存在一定差异,前者不单独使用,经混凝土灌孔后其质量保证率是有所提高的,故检验组批可比普通混凝土小型空心砌块适当放宽,但最小组批宜不大于20000块。待混凝土模块产品标准编制后,可按其产品标准执行。
7.2.2 砌筑砂浆的强度等级应符合设计要求,抽检数量、检验方法和合格标准应符合下列规定:
1 抽检数量:现场搅拌砂浆应以砌筑不超过250m 3 模块砌体的用量应划分为一个检验批,不同类型、不同强度等级的砂浆应分别抽检,同类型及同强度等级的砂浆试件不应少于3组,每台搅拌机应至少抽检1次。预拌砂浆应按每次进场的数量,且不超过250m 3 模块砌体的用量划分为一个检验批。
2 检验方法:应检查砂浆试件强度试验报告。
3 合格标准:同一检验批的砂浆试件抗压强度平均值不得低于设计值,其中抗压强度最小一组的平均值不得低于设计强度的85%;当同一检验批只有一组试件时,其抗压强度平均值不得低于设计值。
7.2.3 模块砌体灌孔混凝土的强度等级应符合设计要求,抽检数量和检验方法应符合下列规定:
1 抽检数量:应按同一强度等级、相同原材料、相同配合比,且不超过灌注250m 3 模块砌体的用量应划分为一个检验批,每检验批取样不得少于1组。
2 检验方法:应检查灌孔混凝土试件强度试验报告。
条文说明
7.2.3灌孔混凝土的施工质量缺陷现场采用锤击法简便易行;采用超声波法科学可靠,当对灌孔混凝土的施工质量存在异议时可采用钻孔取芯法。
7.2.4 模块砌体内钢筋的品种、级别、规格和数量应符合设计要求,抽检数量和检验方法应符合下列规定:
1 抽检数量:应按设计图纸全数检查。
2 检验方法:应检查合格证书、复检报告及隐蔽工程记录。
7.2.5 施工完毕的模块式矩形排水管道、检查井、调蓄池和化粪池应按现行国家标准《给水排水管道工程施工及验收规范》GB 50268的有关规定进行满水试验。
7.3一般项目
7.3 一般项目
7.3.1 模块式矩形排水管道尺寸和位置的允许偏差及检验方法应符合表7.3.1的规定。
表7.3.1 模块式矩形管道尺寸和位置的允许偏差及检验方法


7.3.2 模块式检查井允许偏差及检验方法应符合表7.3.2的规定。
表7.3.2 模块式检查井允许偏差及检验方法


7.3.3 模块式调蓄池、化粪池和雨水口允许偏差及检验方法应符合表7.3.3的规定。
表7.3.3 模块式调蓄池、化粪池和雨水口允许偏差及检验方法

7.3.4 配筋砌体构件内的配筋设置应符合表7.3.4的规定。
表7.3.4 配筋砌体构件内的配筋设置


附录A混凝土模块规格表
附录A 混凝土模块规格表
A.0.1 标准模块规格尺寸应符合表A.0.1的规定。
表A.0.1 标准模块规格尺寸

A.0.2 D700~D2800弧型模块规格尺寸应符合表A.0.2的规定。
表A.0.2 D700~D2800弧型模块规格尺寸

注:“MY 16”,其中“MY”表示弧形模块,“16”表示模块的内弧直径为1600mm。
A.0.3 轴头模块规格尺寸应符合表A.0.3的规定。
表A.0.3 轴头模块规格尺寸

注:图例所示角块外形均为左直角块,右直角块与之呈轴对称关系。
A.0.4 角度模块规格尺寸应符合表A.0.4的规定。
表A.0.4 角度模块规格尺寸


注:图例所示角块外形均为左角块,右角块与之呈轴对称关系。
附录B混凝土模块抗压强度试验方法
B.1基本规定
附录B 混凝土模块抗压强度试验方法
B.1 基本规定
B.1.1 模块抗压强度可采用换算法,也可采用取芯法,同时采用换算法和取芯法应以换算法为准。
B.1.2 模块抗压强度实验结果应以5个试件的算术平均值和单个试件的最小值来表示,数值应精确至0.1MPa。
B.2换算法
B.2 换 算 法
B.2.1 试验设备应符合下列规定:
1 材料试验机:示值误差不应大于1%,应能使试件的预期破坏荷载落在满量程的20%~80%之间;
2 钢板:厚度不应小于10mm,平面尺寸应大于440mm×240mm。钢板的一面应平整,在长度方向范围内的平面度不应大于0.1mm;
3 玻璃平板:厚度不应小于6mm,平面尺寸与钢板的要求相同;
4 水平尺:分度值应为1mm,可检验微小倾角。
B.2.2 试件制备应按符合下列规定:
1 试件的坐浆面和铺浆面应互相平行。将钢板置于底座上,平整面向上,调至水平;
2 应在钢板上涂一层机油或铺一层湿纸,然后铺一层1:2的水泥砂浆,试件坐浆面应湿润后再压入砂浆层内,砂浆层厚度应为3mm~5mm;
3 应在向上的铺浆面上铺一层砂浆、压上涂油的玻璃平板,将气泡排除,并应调制水平,砂浆层厚度应为3mm~5mm之间;
4 应清理试件棱边,在温度10℃以上不通风的室内应养护3d。
B.2.3 试验应按下列步骤进行:
1 应测量每个试件的长度和宽度,分别求出各个方向的平均值,精确到1mm;
2 将试件置于试验机承压板上,应保持试件的轴线与试验机的压板的压力中心重合,以10kN/s~30kN/s的速度加荷,直至试件破坏。记录破坏荷载P。
B.2.4 抗压强度应按下式计算:

式中:MU——抗压强度(MPa);
P——破坏荷载(N);
L——受压面的长度(mm);
B——受压面的宽度(mm);
δ——混凝土模块实际开孔率;
[δ]——混凝土模块基准开孔率,取0.40。
B.3取芯法
B.3 取 芯 法
B.3.1 试验设备应符合下列规定:
1 材料试验机的示值相对误差不应超过±1%,试件的预期破坏荷载落应在满量程的20%~80%之间。试验机的上、下压板应有一端为球绞支座,可任意转动。
2 当试验机的上压板或下压板支撑面不能完全覆盖试件的承压面时,应在试验机压板与试件之间放置一块钢板作为辅助压板。辅助压板的长度、宽度应比试件大10mm、厚度不应小于20mm;辅助压板经热处理后的表面硬度不应小于HRC60,平面度公差应小于0.12mm。
3 试件制备平台使用前应用水平仪检验找平,其长度方向范围内的平面度不应大于0.1mm。
4 玻璃平板厚度不应小于6mm。
5 水平仪规格应为250mm~500mm。
6 直角靠尺应有一端长度不小于120mm,分度值应为1mm。
7 钢直尺规格应为600mm,分度值应为1mm。
8 钻芯机应符合取芯要求、并应有水冷却系统。钻芯机主轴的径向跳动不应大于0.1mm,噪声不应大于90dB。钻取芯样时宜采用金刚石或人造金刚石薄壁钻头。钻头胎体不得有裂缝和变形,对钢体的同心度偏差不得大于0.3mm,钻头的径向跳动不得大于1.5mm。
9 锯切机应有冷却系统和夹紧芯样的装置,配套使用的人造金刚石圆锯片应具有足够的刚度。
10 补平装置或研磨机应保证芯样的端面平整和断面与轴线垂直。
B.3.2 找平和粘结材料应符合下列规定:
1 普通硅酸盐水泥应符合现行国家标准《通用硅酸盐水泥》GB 175的有关规定;
2 细砂应符合现行国家标准《水泥胶砂强度检验方法(ISO法)》GB/T 17671和《建设用砂》GB/T 14684的有关规定;
3 高强石膏粉应符合现行国家标准《建筑石膏力学性能的测定》GB/T 17669.3的有关规定;
4 水泥应符合现行国家标准《硫铝酸盐水泥》GB 20472的有关规定。
B.3.3 试件制备应符合下列规定:
1 试件数量应为5个,试件直径应为70mm±1mm,高径比(高度与直径之比)可以1.0为基准,亦可采用高径比为0.8~1.2的试件。
2 可从待检的混凝土模块中随机选择5块,在每块上各钻取一个芯样,共计5个。每个芯样试件取好后,测量其直径的实际值,编号备用。
3 当单个芯样厚度(试件的高度方向)小于56mm时,试件可采用取自同一模块上的两块芯样进行同心粘结。粘结材料应符合本规程第8.3.2条的规定,厚度应小于3mm。试件的两个端面宜采用磨平机磨平;也可采用符合本规程第B.3.2条规定的找平材料修补,其修补层厚度不宜超过1.5mm。
4 试件在进行抗压强度试验前,应进行养护。
5 在进行抗压强度试验前,应对试件进行下列几何尺寸的检验:
1)直径:应用游标卡尺测量试件的中部,在相互垂直的两个位置分别测量,取其算术平均值,精确至0.5mm,当沿试件高度的任一处直径与平均直径相差大于2mm时,该试件应作废;
2)高度:应用钢直尺在试件由底至面相互垂直的两个位置测量,取其算术平均值,应精确至1mm;
3)垂直度:应用游标量角器测量两个端面与母线的夹角,应精确至0.1°,当试件端面与母线的不垂直度大于1°时,该试件应作废;
4)平整度:应用钢直尺紧靠在试件端面上转动,用塞尺量测钢直尺和试件端面之间的缝隙,取其最大值,当此缝隙大于0.1mm时,该试件应作废。
B.3.4 试验应按下列步骤进行:
1 将试件放在试验机下压板上时,试件的圆心与试验机压板中心应重合;
2 试验机加荷应均匀平稳,不得发生冲击或振动;加荷速度宜为4kN/s~6kN/s,直至试件破坏为止,记录破坏荷载P。
B.3.5 抗压强度应按下式计算:

式中: 
——试件直径(mm);
η A ——不同高径比试件的换算系数,可按表B.3.5-1的规定选用;
η k ——换算系数,换算成直径和高度均为100mm的抗压强度值,η k =1.12;
K 0 ——换算系数,换算成边长150mm立方体试件的抗压强度的推定值,可按表B.3.5-2的规定选用。
表B.3.5-1 η A 值

表B.3.5-2 K 0 值

附录C无筋模块砌体偏心受压构件的轴向力影响系数φ
附录C 无筋模块砌体偏心受压构件的轴向力影响系数φ
C.0.1 无筋模块砌体偏心受压构件的轴向力影响系数φ可按表C.0.1的规定采用或按下列公式计算:

式中:φ 0 ——轴心受压构件稳定系数;
α 2 ——与砌筑砂浆强度等级有关的系数,当砌筑砂浆的强度等级≥M7.5时,α等于0.0015;当砌筑砂浆的强度等级等于0时,α等于0.009;
β——构件的高厚比。
表C.0.1 轴向力影响系数φ(砌筑砂浆的强度等级≥M7.5)

C.0.2 当计算T(L)形截面受压构件的轴向力影响系数φ时,应以构件断面折算厚度h T 代替本规程式(C.0.1-1)或式(C.0.1-2)中的h,h T 应按下式计算:

式中:i——截面回转半径(mm)。
本规程用词说明
本规程用词说明
1 为便于在执行本规程条文时区别对待,对要求严格程度不同的用词说明如下:
1)表示很严格,非这样做不可的:
正面词采用“必须”,反面词采用“严禁”;
2)表示严格,在正常情况下均应这样做的:
正面词采用“应”,反面词采用“不应”或“不得”;
3)表示允许稍有选择,在条件许可时首先应这样做的:
正面词采用“宜”,反面词采用“不宜”;
4)表示有选择,在一定条件下可以这样做的,采用“可”。
2 条文中指明应按其他有关标准执行的写法为:“应符合……的规定”或“应按……执行”。
引用标准名录
引用标准名录
1 《混凝土结构设计规范》GB 50010
2 《室外排水设计规范》GB 50014
3 《建筑给水排水设计规范》GB 50015
4 《给水排水工程构筑物结构设计规范》GB 50069
5 《普通混凝土长期性能和耐久性能试验方法标准》GB/T 50082
6 《给水排水构筑物工程施工及验收规范》GB 50141
7 《砌体结构工程施工质量验收规范》GB 50203
8 《混凝土结构工程施工质量验收规范》GB 50204
9 《给水排水管道工程施工及验收规范》GB 50268
10 《建筑工程施工质量验收统一标准》GB 50300
11 《给水排水工程管道结构设计规范》GB 50332
12 《通用硅酸盐水泥》GB 175
13 《钢筋混凝土用钢 第1部分:热轧光圆钢筋》GB 1499.1
14 《钢筋混凝土用钢 第2部分:热轧带肋钢筋》GB 1499.2
15 《用于水泥和混凝土中的粉煤灰》GB/T 1596
16 《混凝土砌块和砖试验方法》GB/T 4111
17 《混凝土外加剂》GB 8076
18 《建设用砂》GB/T 14684
19 《建筑石膏 力学性能的测定》GB/T 17669.3
20 《水泥胶砂强度检验方法(ISO法)》GB/T 17671
21 《硫铝酸盐水泥》GB 20472
22 《施工现场临时用电安全技术规范》JGJ 46
23 《普通混凝土用砂、石质量及检验方法标准》JGJ 52
24 《混凝土用水标准》JGJ 63
25 《建筑工程冬期施工规程》JGJ/T 104
26 《城镇道路工程施工与质量验收规范》CJJ 1
27 《气泡混合轻质土填筑工程技术规程》CJJ/T 177
28 《混凝土小型空心砌块和混凝土砖砌筑砂浆》JC 860
29 《混凝土砌块(砖)砌体用灌孔混凝土》JC 861
