Appearance
《装配式劲性柱混合梁框架结构技术规程[附条文说明]》JGJ/T 400-2017
🗓️ 住房和城乡建设部 实施时间:2017-10-01
前言
中华人民共和国行业标准
装配式劲性柱混合梁框架结构技术规程
Technical specification for precast frame structure assembled by stiff-columns and hybrid-beams
JGJ/T 400-2017
批准部门:中华人民共和国住房和城乡建设部
施行日期:2017年10月1日
中华人民共和国住房和城乡建设部公告
第1520号
住房城乡建设部关于发布行业标准《装配式劲性柱混合梁框架结构技术规程》的公告
现批准《装配式劲性柱混合梁框架结构技术规程》为行业标准,编号为JGJ/T 400-2017,自2017年10月1日起实施。
本规程由我部标准定额研究所组织中国建筑工业出版社出版发行。
中华人民共和国住房和城乡建设部
2017年4月11日
前言
根据住房和城乡建设部《关于印发2015年工程建设标准规范制订、修订计划的通知》(建标[2014]189号)的要求,规程编制组经广泛调查研究,认真总结工程实践经验,参考有关国际标准和国外先进标准,并在广泛征求意见的基础上,编制了本规程。
本规程主要技术内容是:1.总则;2.术语和符号;3.材料;4.结构计算;5.构造规定;6.构件制作、存放与运输;7.装配施工;8.工程验收。
本规程由住房和城乡建设部负责管理,由中国建筑第七工程局有限公司负责具体技术内容的解释。执行过程中如有意见或建议,请寄送中国建筑第七工程局有限公司(地址:河南省郑州市城东路108号中建七局大厦1110室;邮政编码:450004)。
本规程主编单位 :中国建筑第七工程局有限公司
山东聊建集团有限公司
本规程参编单位 :重庆大学
河南中建工程设计咨询有限公司
中国建筑股份有限公司
清华大学
同济大学
华北水利水电大学
山东万斯达建筑科技股份有限公司
河南省建筑科学研究院有限公司
郑州市建筑设计院
南京工业大学
中国建筑西北设计研究院有限公司
上海江欢成建筑设计有限公司
深圳市建筑科学研究院股份有限公司
中国建筑第四工程局有限公司
河南建业地产股份有限公司
本规程主要起草人员 :焦安亮 李正良 黄延铮 张鹏 张中善 张海东 张晶波 冯大阔 孙忠伟 李永辉 郑培君 刘红军 鲁万卿 樊健生 李国强 赵顺波 张波 栾景阳 王斌 周峰 吴琨 江欢成 汪四新 令狐延 兰平亮 韩金涛 刘建 郜玉芬 石登辉 王耀
本规程主要审查人员 :周绪红 黄小坤 刘树屯 李晓明 范峰 高丹盈 周学军 蒋金生 胡伦坚
1 总则
1 总 则
1.0.1 为规范装配式劲性柱混合梁框架结构的设计、施工及验收,做到技术先进、安全适用、经济合理、节能减排,制定本规程。
条文说明
1.0.1 装配式劲性柱混合梁框架结构是由劲性柱、混合梁和混凝土叠合楼板通过可靠连接方式装配而成的框架结构(图1)。劲性柱采用外包混凝土进行防腐、防火,柱内设置竖向加劲板来提高梁柱节点处的受剪承载力,混合梁两端可埋置一定长度工字形钢接头,也可采用型钢混凝土梁,劲性柱和混合梁通过工字形钢接头进行连接,工字形钢接头的腹板通过高强度螺栓连接,翼缘采用焊接连接。混合梁箍筋间隔伸出梁顶,并与叠合板板端预留钢筋绑扎连接。
装配式劲性柱混合梁框架结构是融合装配式混凝土结构及 钢-混凝土组合结构为一体的一种新型结构,其特点是结构简单、施工方便,所有构件采用工厂制造,现场安装,能够有效地缩短工期、降低成本,且能做到结构安全可靠。

1.0.2 本规程适用于抗震设防烈度为6度、7度和8度地震区装配式劲性柱混合梁框架结构工程的设计、施工及验收。
1.0.3 装配式劲性柱混合梁框架结构的设计、施工及验收除应符合本规程外,尚应符合国家现行有关标准的规定。
2 术语和符号
2.1术语
2 术语和符号
2.1 术 语
条文说明
本节对装配式劲性柱混合梁框架结构特有的常用术语进行定义。在《工程结构设计基本术语标准》GB/T 50083和《装配式混凝土结构技术规程》JGJ 1以及其他国家和行业现行相关标准中已有表述的,基本不重复列出。
2.1.1 装配式劲性柱混合梁框架结构 precast frame structure assembled by stiff-columns and hybrid-beams
采用劲性柱、混合梁及混凝土叠合楼板,通过可靠连接方式进行连接并与现场后浇混凝土形成整体的装配整体式框架结构。
条文说明
2.1.1 劲性柱、混合梁和混凝土叠合楼板均为预制构件,劲性柱是柱内设竖向加劲板的钢管混凝土柱,混合梁是两端埋置一定长度工字形钢接头的钢筋混凝土梁。劲性柱和混合梁通过预留工字形钢接头进行连接,工字形钢接头的腹板采用高强度螺栓连接,翼缘采用焊接连接。
2.1.2 混合梁 hybrid-beams
在两端埋入有效长度的工字形钢接头,与劲性柱进行连接的钢-混凝土组合梁。
条文说明
2.1.2 本规程推荐用混合梁中间段为钢筋混凝土梁,两端设有一定长度的工字形钢接头,梁纵向受力钢筋与工字形钢接头有效焊接,设计者可根据结构受力、跨度以及施工条件改变混合梁中间段的构造,框架梁也可采用型钢混凝土梁。
2.1.3 加劲板 stiffener plate
为加强构件刚度并保证局部稳定所设置的板状加劲件。
2.1.4 竖向加劲板 vertical stiffener
在梁柱节点处,沿劲性柱竖向设置的与混合梁工字形钢接头腹板等高的加劲钢板。
条文说明
2.1.4 竖向加劲板延柱轴线方向设置,并与劲性柱钢管壁有效焊接。此种加劲板可方便钢管内混凝土的浇筑并保证其纵向不中断。可根据节点位置设置为“十”字形加劲板、“T”形加劲板、“一”字形加劲板,与梁连接部位的竖向加劲板宜贯通设置,伸出柱壁一定长度,作为劲性柱与混合梁连接的工字形钢接头的腹板。劲性柱与混合梁不连接时也可不设置竖向加劲板。
2.1.5 劲性柱 stiff-columns
钢管及其管内混凝土共同承受外荷载作用,钢管外包混凝土仅起防腐、防火作用,钢管内设竖向加劲板并与柱外壁工字形钢接头腹板连为一体的柱。
条文说明
2.1.5 劲性柱钢管内混凝土为现场浇筑,并参与结构受力,钢管外包混凝土为工厂预制,仅起防腐、防火作用。本规程推荐采用钢管壁外焊接栓钉、挂钢丝网片并外包混凝土的方法进行防火、防腐。主要是因为钢结构使用防火、防腐涂料后,需要不定期地进行维护和保养,费用较高,且影响建筑物正常使用;外包混凝土可与结构同寿命,无需不定期维护,防火及防腐性能良好。
2.2符号
2.2 符 号
条文说明
本规程中与《混凝土结构设计规范》GB 50010、《钢结构设计规范》GB 50017等现行国家标准相同的符号基本沿用,并增加了本规程专用的符号。
2.2.1 材料性能
f bf ——工字形钢接头翼缘的设计强度;
f bw ——工字形钢接头腹板的设计强度;
f c ——混凝土轴心抗压强度设计值;
f b c ——销轴连接中耳板的承压强度设计值;
f t ——混凝土轴心抗拉强度设计值;
f v1 ——劲性柱钢管腹板的抗剪强度设计值;
f v2 ——竖向加劲板的抗剪强度设计值;
f b v ——销轴的抗剪强度设计值;
f yr ——叠合板钢筋抗拉强度设计值;
f yv ——箍筋抗拉强度设计值;
τ p ——混凝土抗剪强度设计值。
2.2.2 作用和作用效应
F con ——叠合板与劲性柱钢管翼缘接触处的受压承载力设计值;
F r ——叠合板钢筋受拉承载力设计值;
M j ——梁柱连接处梁端受弯承载力设计值;
N——劲性柱轴向压力设计值;
N t ——杆件轴向拉力设计值;
N c v ——单个栓钉受剪承载力设计值;
V 1 ——劲性柱钢管腹板受剪承载力设计值;
V 2 ——竖向加劲板受剪承载力设计值;
V c ——劲性柱钢管内混凝土受剪承载力设计值;
V b ——混合梁斜截面受剪承载力设计值;
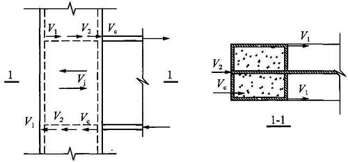
V j ——混合梁与劲性柱连接节点域受剪承载力设计值;
σ c ——销轴截面压应力;
σ sN ——竖向轴力对劲性柱钢管腹板产生的压应力;
σ θt ——等效圆形截面劲性柱钢管腹板受到的环向拉应力;
τ b ——销轴截面剪应力。
2.2.3 几何参数
A c,j ——劲性柱钢管内混凝土截面面积;
A g ——竖向加劲板的抗剪截面面积;
A r ——叠合板有效宽度范围内纵向钢筋的总面积;
A s,j ——劲性柱钢管截面面积;
A sv ——配置在同一截面内箍筋各肢的全部截面面积;
A w ——劲性柱钢管腹板截面面积;
a——集中荷载作用点至支座截面距离;
a e ——销轴孔边距板边缘距离;
a s1 ——叠合板上部钢筋中心到板上边缘的距离;
a s ——工字形钢接头上翼缘形心到混合梁上边缘的距离;
a′ s ——工字形钢接头下翼缘形心到梁下边缘的距离;
B——正方形截面劲性柱钢管宽度;
B f ——H型钢支撑翼缘的宽度;
b——混合梁截面宽度;
b bf ——工字形钢接头翼缘的宽度;
b cf ——劲性柱钢管翼缘宽度;
b e ——连接耳板两侧边缘与销轴孔边缘净距;
d——销轴直径;
h——H型钢支撑腹板连接板的高度;
h 0 ——混合梁截面有效高度;
h b ——混合梁高;
h bw ——工字形钢接头腹板的高度;
h c ——叠合板与劲性柱钢管翼缘接触处的高度;
h w ——H型钢支撑腹板的高度;
l g ——混合梁工字形钢接头伸出混凝土的长度;
l p ——连接板的长度;
r′——正方形截面钢管等效为圆形截面钢管的外径;
s——沿混合梁长度方向箍筋的间距;
t 0 ——顶板厚度;
t d ——下节柱钢管的壁厚;
t u ——上节柱钢管的壁厚;
t——正方形截面劲性柱钢管壁厚;
t′——正方形截面钢管等效为圆形截面钢管的壁厚;
t 1 ——H型钢支撑翼缘外侧连接板的厚度;
t 2 ——H型钢支撑翼缘内侧连接板的厚度;
t b ——H型钢支撑腹板连接板的厚度;
t bf ——工字形钢接头翼缘的厚度;
t bw ——工字形钢接头腹板的厚度;
t e ——耳板厚度;
t f ——H型钢支撑翼缘厚度;
t w ——H型钢支撑腹板的厚度;
x c ——混合梁截面混凝土受压区高度;
x′——叠合板顶面至混合梁工字形钢接头形心处的高度。
2.2.4 系数
p——外层钢管对混凝土约束产生的侧压力;
α 1 ——箍筋受剪承载力的折减系数;
α E ——钢材弹性模量与混凝土弹性模量的比值;
β 1 ——混凝土局部受压时的强度提高系数;
λ——剪跨比;
λ′——折算剪跨比。
2.2.5 其他
n SC ——混合梁端负弯矩区段内抗剪栓钉的个数;
n v ——销轴受剪面数目。
3 材料
3.1结构构件材料
3 材 料
3.1 结构构件材料
3.1.1 钢筋、混凝土的材料性能应符合现行国家标准《混凝土结构设计规范》GB 50010的有关规定。
条文说明
3.1.1 钢筋、混凝土的各项指标应严格控制,具体要求应符合现行国家标准《混凝土结构设计规范》GB 50010的有关规定。
3.1.2 装配式劲性柱混合梁框架结构混凝土最低强度等级应符合表3.1.2的规定。节点和接缝处的后浇混凝土强度等级不应低于预制构件的混凝土强度等级。
表3.1.2 装配式劲性柱混合梁框架结构混凝土最低强度等级

条文说明
3.1.2 劲性柱混凝土的最低强度等级参照现行国家标准《钢管混凝土结构技术规范》GB 50936的有关规定确定。混合梁、叠合板、楼梯及墙板混凝土的最低强度等级参照现行行业标准《装配式混凝土结构技术规程》JGJ 1的有关规定确定。
3.1.3 自密实混凝土的性能应符合现行行业标准《自密实混凝土应用技术规程》JGJ/T 283的有关规定。
条文说明
3.1.3 自密实混凝土具有高流动性、均匀性和稳定性,浇筑时无需外力振捣,能够在自重作用下流动密实。自密实混凝土用于预制构件的生产,可以消除预制构件振动成型时的噪声,降低模具的损耗,同时可以解决异形构件混凝土浇筑困难的问题,本规程劲性柱内设置有竖向加劲板,柱内混凝土宜采用自密实混凝土,因此本规程增加了对自密实混凝土性能的规定。
3.1.4 装配式劲性柱混合梁框架结构钢材的材料性能应符合国家现行标准《钢结构设计规范》GB 50017及《高层民用建筑钢结构技术规程》JGJ 99的有关规定。
条文说明
3.1.4 装配式劲性柱混合梁框架结构的劲性柱所采用的钢管、混合梁两端的工字形钢接头以及连接用钢材的性能应符合国家现行有关标准的规定。
3.2连接材料
3.2 连接材料
3.2.1 连接用焊接材料、螺栓的性能应符合现行国家标准《钢结构设计规范》GB 50017的有关规定。
条文说明
3.2.1 本规程推荐使用的梁柱连接方式为高强度螺栓连接和焊接连接两种连接方式的结合,连接用焊接材料及螺栓的性能应符合国家现行相关标准的规定。
3.2.2 锚栓可采用Q235、Q345钢制作,并应符合现行国家标准《碳素结构钢》GB/T 700及《低合金高强度结构钢》GB/T 1591的有关规定。
条文说明
3.2.2 劲性柱柱脚可采用锚栓与基础连接,锚栓性能应符合现行国家标准《碳素结构钢》GB/T 700及《低合金高强度结构钢》GB/T 1591的有关规定。
3.2.3 圆柱头焊钉应符合现行国家标准《电弧螺柱焊用圆柱头焊钉》GB/T 10433的有关规定。
条文说明
3.2.3 为增强劲性柱钢管壁与外包混凝土的结合度、混合梁两端工字形钢接头与梁混凝土部分连接,本规程推荐钢管外壁、混合梁工字形钢接头翼缘焊接抗剪栓钉,栓钉的性能应符合国家现行相关标准的规定。
3.2.4 灌浆材料的性能指标应符合现行国家标准《水泥基灌浆材料应用技术规范》GB/T 50448的有关规定。
条文说明
3.2.4 水泥基灌浆材料可用于地脚螺栓锚固、柱脚底板的二次灌浆以及预制混凝土结构预留孔洞的灌浆,灌浆材料的性能直接影响构件连接以及结构受力性能,其材料性能应符合现行国家标准《水泥基灌浆材料应用技术规范》GB/T 50448的有关规定。
3.2.5 外墙板与主体结构连接用预埋件和连接件的性能应符合国家现行标准《混凝土结构设计规范》GB 50010、《钢结构设计规范》GB 50017及《装配式混凝土结构技术规程》JGJ 1的有关规定。
条文说明
3.2.5 本规程外墙板为外挂板,即非承重的,作为维护结构使用的、仅跨越一个层高和一个开间的外挂墙板。外墙板与主体结构的连接节点包括预埋件和连接件。其中预埋件包括主体结构支撑构件中的预埋件,以及外墙板中的预埋件,两种预埋件通过连接件连接。预埋件及连接件的性能指标应符合国家和行业现行相关标准的规定。
3.2.6 夹心外墙板内外叶墙板连接件的性能应符合现行行业标准《装配式混凝土结构技术规程》JGJ 1的有关规定。
条文说明
3.2.6 连接件是保证夹心外墙板内、外叶墙板可靠连接的重要部件。目前工程应用较多为纤维增强塑料连接件和不锈钢连接件。保证夹心外墙板内外叶墙板连接件的性能是十分重要的,必要时应对连接件的受力性能进行试验检验。
我国有关预制夹心外墙板内外叶墙板连接件的建工行业产品标准的编制工作正在进行,待相关标准颁布后,应按相关标准执行。
3.3防护材料
3.3 防护材料
3.3.1 钢结构用防腐涂料、稀释剂和固化剂的品种、规格、性能等应符合国家现行标准《钢结构工程施工规范》GB 50755、《建筑用钢结构防腐涂料》JG/T 224的有关规定。
3.3.2 钢结构防火涂料的品种和技术性能应符合现行国家标准《钢结构防火涂料》GB 14907的有关规定。
条文说明
3.3.1、3.3.2 本规程劲性柱和混合梁等钢混结构预制构件推荐采用外包混凝土进行防腐、防火,在实际设计、制作及施工中,设计、生产、施工单位可根据具体情况采用其他防腐、防火涂料,防腐、防火涂料的性能指标应符合国家及行业相关标准的规定。
3.4其他材料
3.4 其他材料
3.4.1 外墙板接缝处用防水密封胶宜选用耐候性密封胶,其性能应符合现行行业标准《混凝土建筑接缝用密封胶》JC/T 881的有关规定。
3.4.2 外墙板接缝处用橡胶止水条材料应符合现行国家标准《高分子防水材料 第3部分:遇水膨胀橡胶》GB/T 18173.3的有关规定。
条文说明
3.4.1、3.4.2 外墙接缝处的防水密封,本规程推荐密封胶与橡胶止水条结合使用的方法,密封胶及橡胶止水条的性能应符合国家和行业现行相关标准的规定。
3.4.3 夹心外墙板接缝处填充用保温材料的燃烧性能应符合现行国家标准《建筑材料及制品燃烧性能分级》GB 8624中的A级要求。
3.4.4 夹心外墙板中的保温材料的导热系数、体积吸水率及燃烧性能应符合现行行业标准《装配式混凝土结构技术规程》JGJ 1的有关规定。
条文说明
3.4.4 由于夹心外墙板在我国的应用历史还较短,行业标准《装配式混凝土结构技术规程》JGJ 1-2014在借鉴美国PCI手册的基础上,综合、定性地提出基本规定,因此本规程推荐夹心外墙板中保温材料的导热系数、体积吸水率及燃烧性能应符合行业标准《装配式混凝土结构技术规程》JGJ 1-2014的有关规定。
4 结构计算
4.1一般规定
4 结构计算
4.1 一般规定
4.1.1 装配式劲性柱混合梁框架结构建筑的抗震设防分类及其抗震设防要求应符合现行国家标准《建筑工程抗震设防分类标准》GB 50223的有关规定。
条文说明
4.1.1 在抗震设防地区,装配式劲性柱混合梁框架结构的抗震设防类别及相应的抗震设防标准,应符合现行国家标准《建筑工程抗震设防分类标准》GB 50223的有关规定。
4.1.2 装配式劲性柱混合梁框架结构房屋的最大适用高度应符合表4.1.2的规定。
表4.1.2 装配式劲性柱混合梁框架结构房屋的最大适用高度(m)

条文说明
4.1.2 当装配式劲性柱混合梁框架结构的结构类型为框架时,其房屋的最大适用高度与现行国家标准《钢管混凝土结构技术规范》GB 50936第4.3.3条的规定保持一致。
本规程装配式劲性柱混合梁框架结构的劲性柱为外包混凝土的钢管混凝土柱,混合梁为两端设置工字形钢接头的钢筋混凝土梁,从框架拟静力试验、振动台试验结果可以看出,装 配式劲性柱混合梁框架结构及其节点的抗震性能均优于钢筋混凝土结构,因此本规程依据国家标准《建筑抗震设计规范》GB 50011-2010(2016年版)附录G的有关规定将结构房屋的最大适用高度适当提高,且不大于行业标准《装配式混凝土结构技术规程》JGJ 1-2014第6.1.1条装配整体式框架-现浇剪力墙结构房屋的最大适用高度。
4.1.3 高层装配式劲性柱混合梁框架结构高宽比不宜大于表4.1.3的规定。
表4.1.3 装配式劲性柱混合梁框架结构最大适用高宽比

条文说明
4.1.3 装配式劲性柱混合梁框架结构不采用柱间支撑时,其结构房屋的最大高宽比与现行行业标准《装配式混凝土结构技术规程》JGJ 1保持一致,当采用柱间支撑时,其房屋的最大适用高宽比依据现行国家标准《钢管混凝土结构技术规范》GB 50936进行确定,并适当降低。
4.1.4 装配式劲性柱混合梁框架结构,抗震等级应根据设防类别、烈度、结构类型和房屋高度确定,并应符合相应的计算和构造措施要求。丙类建筑装配式劲性柱混合梁框架结构的抗震等级应按表4.1.4确定。接近或等于高度分界时,可结合房屋不规则程度及场地、地基条件确定抗震等级。建筑场地为Ⅲ、Ⅳ类时,对设计基本地震加速度为0.15g和0.30g的地区,宜分别按抗震设防烈度8度(0.20g)和比8度(0.30g)更高的抗震设防类别建筑的要求采取抗震构造措施。
表4.1.4 丙类装配式劲性柱混合梁框架结构的抗震等级

条文说明
4.1.4 当柱间不设置支撑时,丙类装配式劲性柱混合梁框架结构的抗震等级与现行行业标准《装配式混凝土结构技术规程》JGJ 1的规定保持一致。当采用柱间支撑时,丙类装配式劲性柱混合梁框架结构的抗震等级按《装配式混凝土结构技术规程》JGJ 1-2014第6.1.3条装配整体式框架-现浇剪力墙结构的抗震等级确定。
4.1.5 构件及节点承载力抗震调整系数γ RE 应按表4.1.5采用;当仅考虑竖向地震作用组合时,γ RE 应取1.0。
表4.1.5 构件及节点承载力抗震调整系数γ RE

条文说明
4.1.5 构件及节点承载力抗震调整系数主要参照现行国家标准《建筑抗震设计规范》GB 50011、《钢管混凝土结构技术规范》GB 50936确定。
4.1.6 按弹性方法计算的风荷载或多遇地震标准值作用下的楼层层间最大位移与层高之比的限值不宜大于1/550。
条文说明
4.1.6 装配式劲性柱混合梁框架结构楼层层间最大位移与层高之比的限值是参照现行行业标准《装配式混凝土结构技术规程》JGJ 1确定的。当采用柱间支撑时,楼层层间最大位移与层高之比的限值宜按框架结构和框架-剪力墙结构采用内插法确定。
4.1.7 装配式劲性柱混合梁框架结构的平、立面布置以及支撑布置应符合现行国家标准《建筑抗震设计规范》GB 50011的有关规定。
条文说明
4.1.7 本规程结构属于装配式结构,其平、立面的布置要求,严于现浇混凝土结构,应优先选用规则的建筑;特别不规则的建筑,在地震作用下内力分布较复杂,不宜采用装配式结构。
4.1.8 装配式劲性柱混合梁框架结构的作用及作用组合应符合现行国家标准《建筑结构荷载规范》GB 50009和《建筑抗震设计规范》GB 50011的有关规定。
条文说明
4.1.8 对装配式劲性柱混合梁框架结构进行承载能力极限状态和正常使用极限状态验算时,荷载和地震作用的取值及其组合均应按国家现行相关标准执行。
4.1.9 预制构件在翻转、运输、吊运、安装及脱模等短暂设计状况下的施工验算,应符合国家现行标准《混凝土结构工程施工规范》GB 50666和《装配式混凝土结构技术规程》JGJ 1的有关规定。
条文说明
4.1.9 预制构件的施工验算应采用等效荷载标准值。预制构件翻转、运输、吊运、安装时的等效静力荷载标准值由构件自重乘以动力系数得到。预制构件脱模时,等效静力荷载标准值取构件自重标准值乘以动力系数与脱模吸附力之和,脱模吸附力是作用在模具与构件接触表面的均布荷载,与构件表面和模具状况有关,根据经验此荷载一般不小于1.5kN/m2。
4.1.10 施工阶段验算时,混凝土叠合板的施工活荷载取值应按实际情况确定,且不宜小于1.5kN/m 2 。
条文说明
4.1.10 叠合板施工验算时的施工活荷载应根据实际情况进行取值,且不应小于1.5kN/m2。
4.1.11 劲性柱的钢管在混凝土浇筑前的轴向应力不宜大于钢管抗压强度设计值的60%,并应满足稳定性要求。
条文说明
4.1.11 劲性柱钢管内混凝土浇筑前,结构没有完全形成,构件只有空钢管受力,需要验算此时构件的稳定和承载力。
施工阶段的荷载主要为湿混凝土的重力和实际可能作用的施工荷载。施工阶段验算时的混凝土湿重,在现行国家标准《建筑结构荷载规范》GB 50009中未作出规定,设计者可根据经验按《建筑结构荷载规范》GB 50009-2012给出的素混凝土自重22kN/m3~24kN/m3取用,施工阶段如设置施工支撑,一般不作验算。
4.1.12 装配式劲性柱混合梁框架结构承载力极限状态及正常使用极限状态的作用效应分析可采用弹性方法。
条文说明
4.1.12 结构分析方法主要有弹性分析方法、考虑塑性内力重分布的分析方法、弹塑性分析方法、塑性极限分析方法以及试验分析方法等五种分析方法。其中弹性分析方法是最基本和最成熟的结构分析方法,也是其他分析方法的基础和特例,此方法适用于大部分混凝土结构,且简单易行、承载力偏于安全,装配式劲性柱混合梁框架结构依然属于混凝土结构的范畴,因此本规程进行承载力分析时宜采用弹性分析方法。
4.1.13 在结构内力与位移计算时,叠合板可假定其在自身平面内为无限刚性,混合梁的刚度可计入翼缘作用予以增大,梁刚度增大系数可根据翼缘情况近似取1.4~1.8。
条文说明
4.1.13 带楼板节点和不带楼板节点的受弯承载力试验结果有很大区别:梁端受负弯矩作用,与梁筋平行的梁左右现浇板中一定宽度的板筋会参与受拉;梁端受正弯矩作用,混凝土楼板在一定范围内部分参与受压。混凝土楼板的这种有利作用在框架的中间节点和端节点都是存在的,且其影响作用不同。装配式劲性柱框架梁框架结构的梁板连接方式形成的梁刚度弱于现浇结构,因此梁刚度增大系数小于现浇结构的梁刚度增大系数,本规程中间节点的梁刚度增大系数取1.6~1.8,边节点梁刚度增大系数取1.4~1.5。
4.2构件计算
4.2 构件计算
4.2.1 劲性柱承载力计算应符合现行国家标准《钢管混凝土结构技术规范》GB 50936的有关规定。
条文说明
4.2.1 劲性柱采用钢管混凝土柱,其承载力应按现行国家标准《钢管混凝土结构技术规范》GB 50936的有关规定进行计算。
4.2.2 混合梁的混凝土正截面受弯承载力计算应符合现行国家标准《混凝土结构设计规范》GB 50010的有关规定。
条文说明
4.2.2 试验表明混合梁的开裂弯矩及极限弯矩与现行国家标准《混凝土结构设计规范》GB 50010计算值接近,混合梁两端工字形钢接头对跨中截面承载力没有影响,混合梁的受弯破坏模式和普通钢筋混凝土梁非常类似,因此,混合梁的混凝土正截面受弯承载力计算应符合现行国家标准《混凝土结构设计规范》GB 50010的有关规定。框架梁采用型钢混凝土梁时,其正截面的受弯承载力计算应符合现行行业标准《型钢混凝土组合结构技术规程》JGJ 138的有关规定。
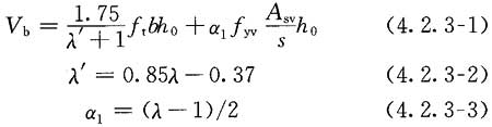
4.2.3 混合梁的混凝土斜截面受剪承载力应按下列公式计算:

式中:V b ——混合梁斜截面受剪承载力设计值(N);
α 1 ——箍筋受剪承载力的折减系数,且α 1 ≤1.0;α 1 >1.0时,取1.0;
λ′——折算剪跨比;
λ——剪跨比,取a/h 0 ;
f t ——混凝土轴心抗拉强度设计值(MPa);
a——集中荷载作用点至支座截面距离(mm);
b——混合梁截面宽度(mm);
h 0 ——混合梁截面有效高度(mm);
f yv ——箍筋抗拉强度设计值(MPa);
A sv ——配置在同一截面内箍筋各肢的全部截面面积(mm 2 );
s——沿混合梁长度方向箍筋的间距(mm)。
条文说明
4.2.3 混合梁在斜裂缝形成前与钢筋混凝土梁受力类似,但随着荷载增大,端部钢接头的存在阻碍了支座处的开裂,斜裂缝倾角较普通钢筋混凝土梁更陡峭,混合梁失效模式改变,试验结果小于规范值,因而不能按现行国家标准《混凝土结构设计规范》GB 50010计算混合梁的受剪承载力。
斜截面计算一般均在梁支座位置。但是,该区域设型钢段,改变了混合梁剪切破坏模式,钢接头分担了其附近混凝土的大部分应力,并使弯剪斜裂缝倾角更陡,箍筋屈服前混凝土先被压溃。因此,假定:梁支座位置未发生斜截面破坏或梁支座位置发生斜截面破坏后于钢筋混凝土梁部分发生斜截面破坏,忽略型钢的作用,承载力计算斜截面如图2所示。本规程通过折减后的剪跨比考虑了钢接头长度。箍筋折减系数最大值为1,是因为箍筋屈服后受剪承载力不会再提高。

框架梁采用型钢混凝土梁时,其斜截面的受剪承载力计算应符合现行行业标准《型钢混凝土组合结构技术规程》JGJ 138的有关规定。
4.2.4 支撑的受压承载力计算应符合国家现行标准《建筑抗震设计规范》GB 50011、《钢结构设计规范》GB 50017和《高层民用建筑钢结构技术规程》JGJ 99的有关规定。
4.2.5 叠合板承载力计算应符合国家现行标准《混凝土结构设计规范》GB 50010和《装配式混凝土结构技术规程》JGJ 1的有关规定。
4.2.6 外墙板承载力计算应符合现行行业标准《装配式混凝土结构技术规程》JGJ 1的有关规定。
条文说明
4.2.4~4.2.6 支撑、叠合板及外墙板的承载力计算应符合国家现行相关标准的规定。
4.3连接计算
4.3 连接计算
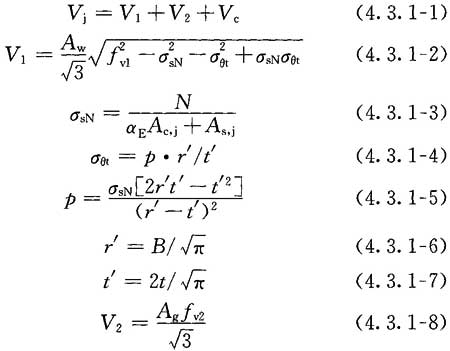
4.3.1 混合梁与劲性柱连接节点域受剪承载力应按下列公式计算:


式中:V j ——混合梁与劲性柱连接节点域受剪承载力设计值(N)(图4.3.1-1);
V 1 ——劲性柱钢管腹板受剪承载力设计值(N);
V 2 ——竖向加劲板受剪承载力设计值(N);
V c ——劲性柱钢管内混凝土受剪承载力设计值(N);
A w ——劲性柱钢管腹板截面面积(mm 2 );
f v1 ——劲性柱钢管腹板的抗剪强度设计值(MPa);
σ sN ——竖向轴力对劲性柱钢管腹板产生的压应力(MPa);
N——劲性柱轴向压力设计值(N);
σ θt ——等效圆形截面劲性柱钢管腹板受到的环向拉应力(MPa);
p——外层钢管对混凝土约束产生的侧压力(MPa);
r′——正方形截面钢管等效为圆形截面钢管的外径(mm)(图4.3.1-2);
t′——正方形截面钢管等效为圆形截面钢管的壁厚(mm)(图4.3.1-2);
B——正方形截面劲性柱钢管宽度(mm);
t——正方形截面劲性柱钢管壁厚(mm);
α E ——钢材弹性模量与混凝土弹性模量的比值;

图4.3.1-1 梁柱连接节点域抗剪受力示意
A c,j ——劲性柱钢管内混凝土截面面积(mm 2 );
A s,j ——劲性柱钢管截面面积(mm 2 );
A g ——竖向加劲板的抗剪截面面积,取节点核心区竖向加劲板的水平截面面积(mm 2 );
f v2 ——竖向加劲板的抗剪强度设计值(MPa);
τ p ——混凝土抗剪强度设计值(MPa)。

图4.3.1-2 钢管截面示意
条文说明
4.3.1 本规程采用等效面积的方法将正方形截面方钢管等效为圆形截面钢管进行分析计算,从而得出钢管的环向拉应力σθt。
在轴压及梁端竖向荷载作用下,劲性柱节点核心区抗剪受力较为复杂,根据节点域剪力传递路径分析,除了正方形截面钢管劲性柱腹板与钢管内混凝土提供剪力以外,其中平行于柱腹板的竖向加劲板因穿过了柱翼缘而成为钢接头腹板,所以同时还要考虑该方向竖向加劲板对受剪承载力的贡献。从节点拟静力试验结果可以得到:对节点核心区受剪承载力贡献最大的为劲性柱腹板,其次为竖向加劲板,混凝土最小。
劲性柱节点内部只有竖向放置的竖向板,没有与钢管混凝土柱壁形成钢板框架,因而不考虑斜压杆作用。根据试验结果可以将混凝土抗剪模型简化为上升段和水平段式,考虑到混凝土受到钢管的约束作用,认为其抗剪强度达到τp后保持恒定值,取τp=0.42f0.55cu。
4.3.2 叠合板钢筋受拉承载力应按下式计算:

式中:F r ——叠合板钢筋受拉承载力设计值(N);
A r ——叠合板有效宽度范围内纵向钢筋的总面积(mm 2 );有效宽度按现行国家标准《钢结构设计规范》GB 50017的有关规定进行计算;
f yr ——叠合板钢筋抗拉强度设计值(MPa);
n SC ——混合梁端负弯矩区段内抗剪栓钉的个数;
N c v ——单个栓钉受剪承载力设计值(N),应按现行国家标准《钢结构设计规范》GB 50017的有关规定进行计算,同时考虑负弯矩区受力应乘以折减系数0.9。
4.3.3 叠合板与劲性柱钢管翼缘接触处的受压承载力应按下式计算:

式中:F con ——叠合板与劲性柱钢管翼缘接触处的受压承载力设计值(N);
β 1 ——混凝土局部受压时的强度提高系数,取1.25;
b cf ——劲性柱钢管翼缘宽度(mm),劲性柱为圆钢管时,取板与劲性柱钢管接触处钢管弧长(图4.3.3);
h c ——叠合板与劲性柱钢管翼缘接触处的厚度(mm);
f c ——混凝土轴心抗压强度设计值(MPa)。

图4.3.3 圆形截面劲性柱钢管翼缘宽度示意
条文说明
4.3.2、4.3.3 叠合板对劲性柱-混合梁节点梁端受弯承载力有一定的增强作用,在节点梁端受弯时,本规程通过分析,主要考虑叠合板钢筋受拉承载力及叠合板与柱钢管翼缘接触处的受压承载力两个作用力。
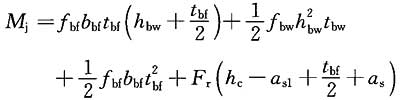
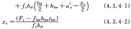
4.3.4 负弯矩作用下梁柱连接处梁端受弯承载力应按下列规定计算:
1 当中和轴位于工字形钢接头上翼缘内时(图4.3.4-1),应按下列公式计算:

图4.3.4-1 中和轴在工字形钢接头上翼缘内
1-叠合板、混合梁分界线;2-中和轴;3-工字形钢接头形心轴


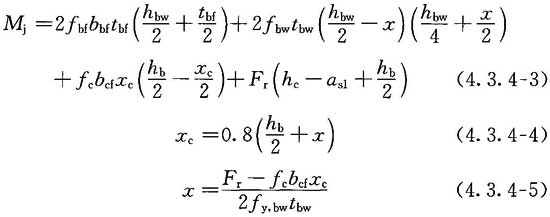
式中:M j ——梁柱连接处梁端受弯承载力设计值(N·mm);
x c ——混合梁截面混凝土受压区高度(mm);
f bf ——工字形钢接头翼缘的设计强度(MPa);
b bf ——工字形钢接头翼缘的宽度(mm);
t bf ——工字形钢接头翼缘的厚度(mm);
h bw ——工字形钢接头腹板的高度(mm);
t bw ——工字形钢接头腹板的厚度(mm);
f bw ——工字形钢接头腹板的设计强度(MPa);
h c ——叠合板与劲性柱钢管翼缘接触处的高度(mm);
a s1 ——叠合板上部钢筋中心到板上边缘的距离(mm);
a s ——工字形钢接头上翼缘形心到混合梁上边缘的距离(mm);
f c ——混凝土轴心抗压强度设计值(MPa);
b cf ——劲性柱钢管翼缘宽度(mm);
a′ s ——工字形钢接头下翼缘形心到梁下边缘的距离(mm)。
2 当中和轴位于工字形钢接头腹板内时(图4.3.4-2),应按下列公式计算:

图4.3.4-2 中和轴在工字形钢接头腹板内
1-叠合板、混合梁分界线;2-中和轴;3-工字形钢接头形心轴

式中:h b ——混合梁高(mm)。
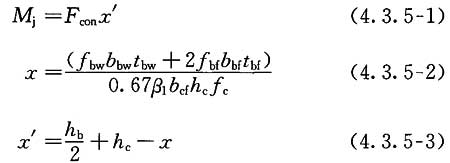
4.3.5 正弯矩作用下梁柱连接处梁端受弯承载力应按下列规定计算:
1 当中和轴位于叠合板内时(图4.3.5-1),应按下列公式计算:

式中:x′——叠合板顶面至混合梁工字形钢接头形心处的高度(mm)。

图4.3.5-1 中和轴在叠合板内
1-叠合板、混合梁分界线;2-中和轴;3-工字形钢接头形心轴
2 当中和轴位于工字形钢接头截面内时(图4.3.5-2),应按下列公式计算:

图4.3.5-2 中和轴在工字形钢接头截面内
1-叠合板、混合梁分界线;2-中和轴;3-工字形钢接头形心轴
条文说明
4.3.4、4.3.5 本规程根据劲性柱-混合梁节点的特点,计算时考虑混凝土局部受压、栓钉受剪等因素对节点承载力的影响,同时加入混凝土楼板及楼板钢筋的贡献,提出了节点梁端受弯承载力的计算公式。在正弯矩作用时,楼板钢筋参与作用较小,计算时将其忽略。
不带楼板的节点可按现行行业标准《型钢混凝土组合结构技术规程》JGJ 138的有关规定进行梁正截面受弯承载力的计算。
4.3.6 劲性柱柱脚连接处的承载力、支撑与梁柱连接处的承载力应按现行行业标准《高层民用建筑钢结构技术规程》JGJ 99有关规定进行验算。
条文说明
4.3.6 劲性柱柱脚连接处的承载力、支撑连接处的承载力应按国家现行相关标准进行验算。
4.3.7 连接板、销轴、螺栓、焊缝等应按现行国家标准《钢结构设计规范》GB 50017和《钢结构焊接规范》GB 50661的有关规定进行承载力验算。
条文说明
4.3.7 劲性柱-混合梁连接用连接板、销轴、螺栓、焊缝应按国家现行相关标准进行验算。
5 构造规定
5.1劲性柱
5 构造规定
5.1 劲性柱
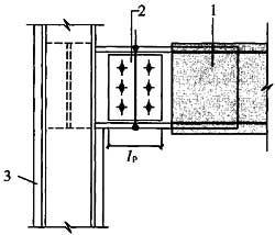
5.1.1 劲性柱构造应符合下列规定(图5.1.1):
1 劲性柱可采用正方形钢管或圆形钢管。圆形钢管外径、正方形钢管截面边长不宜小于200mm,壁厚不应小于5mm。圆形钢管外径与壁厚之比、正方形钢管截面边长和壁厚之比应符合现行国家标准《钢管混凝土结构技术规范》GB 50936的有关规定。
2 劲性柱与混合梁连接处,柱钢管外应设置工字形钢接头并与劲性柱一体制作,柱钢管内应设置竖向加劲板,竖向加劲板宜与工字形钢接头的腹板连成整体,工字形钢接头的长度l c 不宜小于1.0倍的混合梁高。工字形钢接头的上下翼缘与柱钢管外壁应采用全熔透坡口焊缝连接。
3 钢管应外包混凝土防护层,外包混凝土宜采用细石混凝土,混凝土厚度应根据建筑物类别、耐火等级、劲性柱截面尺寸等确定,且不宜小于50mm。外包混凝土层内应设置钢丝网片,钢丝网片的直径宜为2mm~4mm,每平方米宜为300目~500目。
4 钢管外壁应焊接栓钉,栓钉间距不宜大于300mm,也不宜小于7.5倍的栓钉直径。
条文说明
5.1.1 劲性柱可根据设计要求选择圆形截面钢管或正方形截面钢管。限制圆形截面钢管外径与壁厚之比、正方形截面钢管截面边长和壁厚之比是为保证管壁的局部稳定,具体要求应符合现行国家标准《钢管混凝土结构技术规范》GB 50936的有关规定。
竖向加劲板与劲性柱工字形钢接头的腹板为整体受力构件,劲性柱工字形钢接头的长度应满足施工要求,本条对劲性柱工字形钢接头的长度提出最低要求。
劲性柱钢管外混凝土可以起到防火的作用,外包混凝土的厚度可按现行国家标准《钢管混凝土结构技术规范》GB 50936中的水泥砂浆保护层在不同耐火等级下的厚度取值。外包混凝土厚度不宜小于50mm;当外包混凝土厚度小于50mm时,混凝土与钢管不易结合且施工难度大。
为了使外包混凝土更容易附着于钢管外壁,钢管外壁宜设置一定规格和数量的钢丝网片和栓钉。
5.1.2 当劲性柱钢管直径大于1000mm且满足施工工艺要求时,应在竖向加劲板的上、下方设置内加强环(图5.1.2),内加强环的厚度不宜小于工字形钢接头翼缘的厚度,内加强环上应设置透气孔和浇筑孔,透气孔孔径不宜小于25mm,混凝土浇筑孔的孔径不应小于200mm。内加强环应与钢管内壁、竖向加劲板全熔透坡口焊缝连接。

图5.1.1 劲性柱构造
1-钢管壁;2-钢丝网片;3-栓钉;4-竖向加劲板;5-连接内衬;6-劲性柱工字形钢接头;7-钢管外包混凝土

图5.1.2 劲性柱设置内加强环的构造
1-竖向加劲板;2-内加强环;3-透气孔;4-浇筑孔
条文说明
5.1.2 在地震作用下,与柱连接的梁在上、下两边中总会有一边受拉,若在竖向加劲板的上、下方都设置内加强环,并与工字形钢接头的上下翼缘连接,则梁柱节点连接更强,抗震性能会进一步得到保障。原则上,应尽量设置内加强环,但内加强环式节点涉及钢管内部的焊接,施工工艺较为复杂,当劲性柱管径较小时焊接困难,而且将妨碍管内混凝土的浇灌和振捣,当劲性柱钢管直径大于或等于800mm且能满足施工工艺要求时,可考虑在劲性柱内增设内加强环。
5.2混合梁
5.2 混合梁
5.2.1 混合梁构造应符合下列规定(图5.2.1-1):
1 工字形钢接头埋入混凝土的长度不应小于3倍工字形钢接头伸出混凝土的长度,且工字形钢接头伸出混凝土的长度应符合下式规定:

式中:l g ——混合梁工字形钢接头伸出混凝土的长度(mm);
l p ——连接板的长度(mm)(图5.2.1-2)。

图5.2.1-1 混合梁构造示意
1-栓钉;2-与叠合板连接箍筋;3-混合梁工字形钢接头;4-混合梁纵向受力钢筋;5-附加拉筋;6-键槽
2 混合梁纵向受力钢筋与工字形钢接头翼缘焊接时宜采用双面焊(图5.2.1-3),搭接长度不应小于钢筋直径的5倍,当不能进行双面焊接时,可采用单面焊,搭接长度不应小于钢筋直径的10倍。混合梁纵向受力钢筋与工字形钢接头翼缘的焊接焊缝宽度不应小于钢筋直径的0.60倍,焊接焊缝高度不应小于钢筋直径的0.35倍。

图5.2.1-2 连接板构造示意
1-混合梁;2-连接板;3-劲性柱

图5.2.1-3 混合梁纵向受力钢筋与工字形钢接头搭接焊接头
d-钢筋直径;l w -搭接长度;b w -焊缝宽度;h w -焊缝高度
3 工字形钢接头上翼缘应沿混合梁方向设置栓钉,栓钉间距不宜大于200mm,也不宜小于7.5倍的栓钉直径。
4 梁内箍筋应间隔伸出,伸出高度应为叠合板的厚度减去板顶保护层的厚度。混合梁顶部应设附加拉筋,附加拉筋末端应做成135°弯钩,平直段长度不应小于10倍钢筋直径。
5 混合梁顶面应做成凹凸差不小于6mm的粗糙面,粗糙面的面积不宜小于结合面的80%。
6 混合梁预制混凝土端面应设置键槽或粗糙面,键槽的深度不宜小于30mm,宽度不宜小于深度的3倍且不宜大于深度的10倍,键槽间距宜等于键槽宽度;槽口距离截面边缘不宜小于50mm,键槽端部倾斜面倾角不宜大于30°。粗糙面的面积不宜小于结合面的85%,粗糙面的凹凸深度不应小于6mm。
条文说明
5.2.1 混合梁两端工字形钢接头埋入混凝土的长度主要是考虑混合梁运输、吊装及安装过程中等短暂状况下的受力情况,通过计算和有限元模拟确定的最小值。
混合梁纵向受力钢筋与工字形钢接头翼缘焊接参照现行行业标准《钢筋焊接及验收规程》JGJ 18的有关规定给出。
混合梁附加拉筋的构造按行业标准《装配式混凝土结构技术规程》JGJ 1-2014第7.3.2条的有关规定确定。
混合梁顶面应设置粗糙面;梁端宜优先采用键槽的方式,试验表明,其受剪承载力一般大于粗糙面,且易于控制加工质量及检验。受混合梁的尺寸或工字形钢接头的影响不能设置键槽时,梁端也可以设置粗糙面。混合梁粗糙面要求及键槽的尺寸按行业标准《装配式混凝土结构技术规程》JGJ 1-2014第6.5.5条的有关规定确定。
5.2.2 当混合梁侧面设有纵向构造钢筋时(图5.2.2),工字形钢接头腹板上应设横向加劲板,加劲板应与工字形钢接头上下翼缘平行布置,加劲板长度应与工字形钢接头埋入梁内长度相同,厚度应与工字形钢接头的翼缘厚度相同,纵向构造钢筋应与加劲板焊接连接,搭接长度应符合本规程第5.2.1条的规定。

图5.2.2 混合梁纵向构造钢筋布置
1-纵向构造钢筋;2-加劲板
条文说明
5.2.2 当混合梁侧面设有纵向构造钢筋时,应在工字形钢接头腹板上焊接一定长度的加劲板,混合梁纵向构造钢筋与加劲板焊接连接。
5.2.3 当混合梁需设双排纵向受力钢筋时(图5.2.3),上下排钢筋可与工字形钢接头的上下翼缘分别焊接,焊接长度应符合本规程第5.2.1条的规定。

图5.2.3 混合梁双排纵向受力钢筋布置
1-纵向受力钢筋
5.3连接及节点
5.3 连接及节点
5.3.1 相同截面钢管拼接时,上下钢管之间应采用全熔透坡口焊缝,接缝位置宜设置在叠合板叠合层平面位置处,且应在接缝处设置连接内衬(图5.3.1)。连接内衬插入上下钢管的长度l宜相同,且不宜小于100mm,厚度不宜小于5mm,外径宜比钢管内径小2mm。

图5.3.1 相同截面钢管拼接方式示意
1-连接内衬;2-上节柱;3-下节柱
条文说明
5.3.1 受材料长度、制作水平、吊装能力或运输能力的影响,钢管需要在施工现场对接。相同截面钢管对接时,可按本条规定执行。劲性柱接缝位置设置在叠合板叠合层平面位置处,有利于结构美观,且方便斜撑安装。
5.3.2 不同截面正方形钢管拼接时应符合下列规定:
1 当上节柱外壁与下节外壁之间的差距S不大于25mm时,可采用顶板拼接方式(图5.3.2-1),顶板厚度t 0 不应小于20mm且应符合下列公式要求:

式中:t 0 ——顶板厚度(mm);
t u ——上节柱钢管的壁厚(mm);
t d ——下节柱钢管的壁厚(mm)。

图5.3.2-1 不同截面正方形钢管顶板拼接方式示意
1-顶板;2-透气孔;3-浇筑孔;4-上柱外壁加劲肋
2 当上节柱外壁与下节柱外壁间的差距S大于25mm但不大于50mm时,可采用上节柱加劲拼接方式(图5.3.2-1c),顶板厚度t 0 不应小于20mm且应符合下式要求:

式中:t 0 ——顶板厚度(mm);
t d ——下节柱钢管的壁厚(mm)。
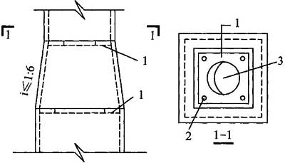
3 当上节柱外壁与下节柱外壁间的差距S大于50mm时,宜采用台锥形拼接方式,台锥的上下两端均宜设置开孔隔板,台锥壁厚不应小于所连接的钢管壁厚,台锥斜度不宜大于1:6(图5.3.2-2)。

图5.3.2-2 不同截面正方形钢管台锥形拼接方式示意
1-开孔隔板;2-透气孔;3-浇筑孔
条文说明
5.3.2 不同截面的正方形钢管拼接时,应根据上、下节柱外壁间的差距选择合适的拼接方式。
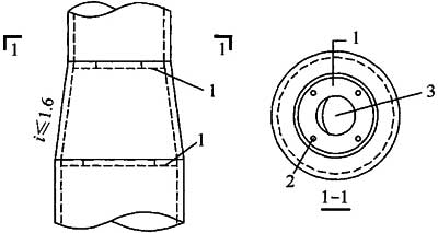
5.3.3 不同截面圆形钢管拼接时,宜采用一段变直径钢管对接(图5.3.3)。变径钢管的上下两端均宜设置开孔隔板,变径钢管的壁厚不应小于所连接的钢管壁厚,变径段的斜度不宜大于1:6,变径段宜设置在楼盖结构高度范围内。

图5.3.3 不同截面钢管拼接方式
1-开孔隔板;2-透气孔;3-浇筑孔
条文说明
5.3.3 不同截面圆形钢管对接时,不能直接对接,需要设置变径钢管过渡,由于过渡段钢管转折处存在较大的横向作用,因此过渡段的坡度不宜过大,而且要在转折处设置环形隔板抵抗横向作用,本条对变径钢管的壁厚及过渡段坡度的规定与国家标准《钢管混凝土结构技术规范》GB 50936-2014的第7.2.2条保持一致。
5.3.4 劲性柱钢管拼接用顶板及开孔隔板上的透气孔孔径不宜小于25mm,混凝土浇筑孔的孔径不应小于200mm。
条文说明
5.3.4 钢管柱拼接时,顶板及开孔隔板上应设透气孔和浇筑孔,本条规定了透气孔和浇筑孔的最小孔径,设计者可根据实际情况相应增加。
5.3.5 劲性柱钢管分段接头在现场连接时,宜加焊内套圈和必要的焊缝定位件。
条文说明
5.3.5 内套圈有利于钢管的定位和对接焊缝的焊接,因此本规程推荐使用内套圈。
5.3.6 劲性柱与混合梁的连接构造应符合下列规定(图5.3.6):

图5.3.6 混合梁与劲性柱连接构造
1-高强度螺栓;2-焊接;3-梁预制与现浇混凝土分界面;4-连接板;5-竖向加劲板;6-劲性柱钢管;7-劲性柱外包混凝土;8-梁混凝土保护层
1 劲性柱和混合梁预留的工字形钢接头腹板处应通过连接板和高强度螺栓连接,连接板应采用双板,每个连接板的厚度不宜小于工字形钢接头腹板厚度的0.7倍,且不应小于螺栓间距的1/12;翼缘之间应采用全熔透坡口焊缝焊接;
2 劲性柱与混合梁的工字形钢接头长度之和L 0 不应小于0.16L及1.3h的较大值,且应小于0.25L,L为相邻劲性柱钢管壁间的距离,h为混合梁的高度;
3 混合梁与劲性柱连接后,应在工字形钢接头处绑扎封闭箍筋,箍筋间距不应大于100mm,箍筋直径不应小于8mm。
条文说明
5.3.6 劲性柱和混合梁预留的工字形钢接头腹板采用两块连接板通过高强度螺栓连接,连接板的厚度应符合本规程的规定。
根据试验结果,当混合梁达到最大承载力时,随着相邻劲性柱钢管壁间的距离L的增加,劲性柱与混合梁的工字形钢接头长度之和也随之增长,但L0/L却维持在0.15~0.156之间,因此建议工字形钢接头长度取为梁长的0.16倍。
根据试验结果,工字形钢接头高度对劲性柱与混合梁的工字形钢接头长度之和的取值有一定影响,只是工字形钢接头高度变化不大时,该影响也可以忽略。结合承载力和用钢量的角度来看,工字形钢高度可以取梁高0.7~0.8倍,此时工字形钢接头长度为1.3h。
工字形钢接头长度越大混合梁挠度越小,但是工字形钢接头太长会超出现有规范对普通梁体挠度规定,所以接头长度不应大于0.25L。
劲性柱与混合梁上的工字形钢接头通过高强度螺栓连接后,须对表面进行防火和防腐处理。但为美观和便于装饰装修,可在节点处的工字形钢接头处绑扎封闭箍筋和构造钢筋,并浇筑混凝土。
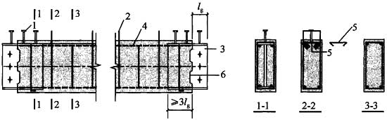
5.3.7 主次梁刚性连接节点构造应符合下列规定:
1 主次梁中间节点处(图5.3.7a),主梁应沿次梁轴线方向埋置工字形钢接头,钢接头伸出长度应与次梁工字形钢接头的

图5.3.7 主次梁刚性连接节点构造
1-主梁与次梁连接工字形钢接头;2-主梁;3-次梁;4-加强筋;5-高强度螺栓;6-焊接;7-栓钉;8-连接板
伸出长度相等;
2 主次梁边节点处(图5.3.7b),主梁应沿次梁轴线方向埋置工字形钢接头,钢接头伸出长度应与次梁工字形钢接头的伸出长度相等,工字形钢接头埋入部分应伸过支座中心线,且其腹板上宜打孔穿加强筋,加强筋的长度不宜小于1500mm;
3 工字形钢接头上翼缘应沿梁轴线方向焊接栓钉,栓钉间距应符合本规程第5.2.1条的规定;
4 主梁与次梁连接处的工字形钢接头的腹板通过连接板及高强度螺栓连接,上下翼缘采用全熔透坡口焊缝连接。
5.3.8 主次梁铰接连接节点构造应符合下列规定(图5.3.8):
1 主梁与次梁连接处的工字形钢接头的腹板通过连接板及高强度螺栓连接;

图5.3.8 主次梁铰接连接节点构造
1-主梁与次梁连接工字形钢接头;2-主梁;3-次梁;4-加强筋;5-高强度螺栓;6-连接板
2 主梁与次梁连接处的工字形钢接头翼缘间距δ不宜小于10mm,且不宜大于12mm。
条文说明
5.3.7、5.3.8 国内外关于装配式混凝土结构主次梁连接构造已有很多种,如主梁预留后浇槽口、次梁端设后浇段及搁置式主次梁连接节点构造。本规程根据装配式劲性柱混合梁框架结构混合梁的特点给出一种主次梁刚性连接构造及一种铰接连接构造,主要是为了减少构件样式,方便装配式施工,提高施工效率,如实际需要设计其他类型节点,设计者也可按现行行业标准《装配式混凝土结构技术规程》JGJ 1的有关规定进行设计。
5.3.9 支撑形式宜采用中心支撑,中心支撑的形式宜采用交叉支撑或单斜杆支撑。支撑截面宜采用双轴对称截面,可采用圆形截面(图5.3.9a)、H形截面(图5.3.9b)钢构件。支撑杆件的长细比、宽厚比应符合现行国家标准《建筑抗震设计规范》GB 50011的有关规定。支撑与节点板可采用销轴连接、高强度螺栓连接或焊接连接。

图5.3.9 支撑形式示意
条文说明
5.3.9 装配式劲性柱混合梁框架结构可通过设置柱间支撑来保证整体稳定、提高侧向刚度和传递纵向水平力。根据现行国家标准《建筑抗震设计规范》GB 50011的有关规定,钢框架结构可采用中心支撑或偏心支撑。中心支撑的杆件轴线与梁柱的轴线相交于一点,偏心支撑的杆件轴线与梁柱的轴线不是相交于一点,而是偏离了一段距离。当装配式劲性柱混合梁框架结构采用偏心支撑时,由于混合梁中间段为钢筋混凝土,与支撑连接需增加钢结构连接件,构件制作和安装施工难度较大,采用中心支撑时,支撑可与劲性柱的工字形钢接头进行连接,因此本规程推荐柱间支撑采用中心支撑。 支撑采用对称截面时可以减小支撑的扭转,增加支撑的稳定性。超过12层的框架,支撑宜采用轧制H型钢;不超过12层的框架,可采用单轴对称截面(如用角钢组成的T形截面),但应采取防止杆件扭转的构造措施。
支撑与梁柱连接可根据实际情况采用销轴、高强度螺栓、焊接连接或以上两种方式的组合连接。
5.3.10 支撑与梁柱采用销轴连接时(图5.3.10a),应符合下列规定:
1 销轴孔径与销轴直径相差不宜大于1mm,销轴连接耳板(图5.3.10b)孔中心离两侧边缘距离b e 应相等,连接耳板宽厚比b e /t e 宜小于4,且销轴孔边距板边缘距离a e 及销轴连接耳板孔中心离两侧边缘距离b e 应符合下列公式要求:

式中:a e ——销轴孔边距板边缘距离(mm);
b e ——连接耳板两侧边缘与销轴孔边缘净距(mm);
t e ——耳板厚度(mm)。

图5.3.10 支撑与梁柱销轴连接的构造示意
1-销轴;2-节点板;3-连接耳板;4-盖板
2 销轴承压强度应按下列公式验算:

式中:σ c ——销轴截面压应力(MPa);
N t ——杆件轴向拉力设计值(N);
d——销轴直径(mm);
f b c ——销轴连接中耳板的承压强度设计值(MPa)。
3 销轴抗剪强度应按下列公式验算:


式中:τ b ——销轴截面剪应力(MPa);
n v ——销轴受剪面数目;
f b v ——销轴的抗剪强度设计值(MPa)。
条文说明
5.3.10 本条第1款中的连接耳板宽厚比要求主要是考虑避免连接耳板端部平面外失稳而提出的,其余构造要求是参考美国钢结构设计规范ANSI/AISC 360-05“Specification for Structural Steel Building”中的D5条给出。
第2款销轴承压强度验算及第3款销轴抗剪强度验算按国家标准《钢结构设计规范》GB 50017-2003第7.2.1条确定。
5.3.11 H型钢支撑与梁柱采用高强度螺栓连接时(图5.3.11),梁柱节点处宜焊接斜杆,斜杆半径不应小于200mm,支撑与斜杆的上下翼缘应采用三块连接板连接,腹板应采用两块连接板连接,翼缘连接板板厚t 1 不宜小于8mm,翼缘连接板板厚t 2 不宜小于10mm,腹板连接板板厚t b 不宜小于6mm,且应符合下列公式要求:

图5.3.11 支撑与梁柱高强度螺栓连接构造示意
1-支撑;2-斜杆;3-高强度螺栓;4-连接板


式中:t f ——H型钢支撑翼缘厚度(mm);
t 1 ——H型钢支撑翼缘外侧连接板的厚度(mm);
t 2 ——分别为H型钢支撑翼缘内侧连接板的厚度(mm);
t b ——H型钢支撑腹板连接板的厚度(mm);
h——H型钢支撑腹板连接板的高度(mm);
B f ——H型钢支撑翼缘的宽度(mm);
h w ——H型钢支撑腹板的高度(mm);
t w ——H型钢支撑腹板的厚度(mm)。
5.3.12 H型钢支撑与梁柱采用焊接连接时(图5.3.12),支撑与斜杆的上下翼缘及腹板应采用全熔透坡口焊缝连接。

图5.3.12 支撑与梁柱焊接连接构造示意
1-支撑;2-焊接;3-斜杆
条文说明
5.3.12 支撑与斜杆的上下翼缘及腹板应采用全熔透坡口焊缝连接,并应符合现行国家标准《钢结构设计规范》GB 50017及《钢结构焊接规范》GB 50661的有关规定。
5.4其他
5.4 其 他
5.4.1 楼板宜采用预制叠合楼板。叠合楼板可根据实际情况采用预制桁架钢筋混凝土叠合板、预制带肋底板混凝土叠合板、预应力底板混凝土叠合板及混凝土空心板等叠合板等。叠合板的构造要求应符合国家现行标准《混凝土结构设计规范》GB 50010及《装配式混凝土结构技术规程》JGJ 1的有关规定。
条文说明
5.4.1 叠合楼板有很多形式,本条主要介绍几种常规叠合楼板,其他形式叠合楼板的应用与设计可参考行业现行相关规程。
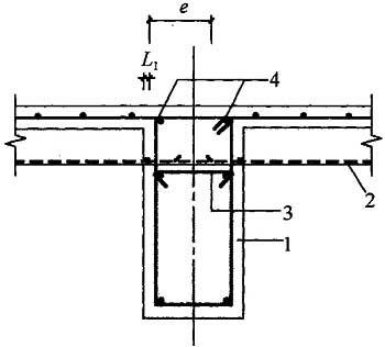
5.4.2 叠合板与混合梁连接构造应符合下列规定(图5.4.2):
1 叠合板在混合梁上的支承长度L 1 不应小于15mm;
2 叠合板板端预留钢筋应伸过支座中心线,预留钢筋长度e不应小于150mm,且不应小于5倍预留钢筋直径;
3 叠合板板端预留钢筋应与混合梁间隔伸出的箍筋绑扎连接,箍筋角部沿梁长方向应设两根直径为12mm的通长构造钢筋。

图5.4.2 叠合板与混合梁连接构造
1-混合梁;2-预制板;3-附加拉筋;4-叠合板与混合梁连接处纵向构造钢筋
条文说明
5.4.2 为保证楼板的整体性及传递水平力的要求,预制板内的纵向受力钢筋在板端应伸入支座。叠合板预制板板端预留钢筋与混合梁顶间隔伸出的箍筋绑扎连接有利于提高结合面的受拉、受剪能力。
5.4.3 外墙板宜采用外挂墙板,外挂墙板宜采用夹心保温板。外墙板的高度除顶层外不宜大于一个层高,跨度不宜大于一个柱距。
条文说明
5.4.3 预制夹心保温外墙板,是集承重、围护、保温、防水、防火等功能为一体的重要装配式预制构件。工厂化生产的预制夹心保温外墙板,质量稳定、精度高;内叶墙、保温层及外叶墙一次成型,通过可靠的连接件进行连接形成一个整体,无需再做外墙保温;采用外墙装配式的方式进行施工,预埋线盒、线管以及钢筋绑扎等复杂工序都在工厂内完成,可大大缩短施工周期。因此本规程推荐使用预制夹心保温外墙板。 外墙板尺度过长或过高,主体结构层间位移对外墙板内力影响较大,有时甚至需要考虑构件的P-△效应。由于目前相关研究工作较少,根据我国现阶段吊车的起重能力、汽车的运输能力、施工单位的施工水平,以及连接节点构造的成熟程度,目前还不宜将构件做得过大,因此本规程规定外墙板宽度不宜大于一个柱距,高度不宜大于一个层高,顶层为施工方便,可和女儿墙一起预制。
5.4.4 夹心保温外墙板的外叶墙板的厚度不宜小于60mm,保温材料的厚度不宜小于30mm,且不宜大于100mm,内叶墙板的厚度不宜小于100mm。
条文说明
5.4.4 夹心外墙板的厚度主要由建筑功能要求、连接件锚固构造要求,以及墙体的抗火性能要求等因素决定。
5.4.5 外墙板与劲性柱连接时(图5.4.5),外墙板与劲性柱应预留连接件,连接件的厚度不宜小于20mm。锚板和锚筋的构造要求应符合现行国家标准《混凝土结构设计规范》GB 50010的有关规定。

图5.4.5 外墙板与劲性柱连接
1-混合梁;2-劲性柱;3-外墙板;4-劲性柱预留连接件;5-外墙板预
留连接件;6-底托;7-底板;8-焊接;9-防火封堵;10-发泡水泥;11-锚板;12-锚筋
条文说明
5.4.5 目前,美国、日本和我国的台湾地区,外墙板与主体结构的连接节点主要采用柔性连接的点支撑方式。一边固定的线支撑方式在我国部分地区有所应用,但目前我国有关线支撑的科研成果还偏少,柔性连接的点支撑方式在我国应用较为普遍。
本规程推荐外墙板与劲性柱通过预留连接件连接,外墙板与劲性柱连接后,仅在上部预留槽钢内发泡水泥,下部连接点为自由状态,劲性柱预留连接件与外墙板预留连接件之间有 足够的孔隙可以满足外墙板的上下左右运动。因此,本规程外墙板与主体结构的连接属于两点支撑的柔性连接,上部为两个承重节点,下部为两个非承重节点。劲性柱预留连接件与外墙板预留连接件的大小及焊接钢板的厚度应考虑外墙板自重、层间位移角等因素,可按现行国家标准《混凝土结构设计规范》GB 50010的有关规定进行计算。
5.4.6 夹心外墙板接缝处宜采用材料防水和构造防水相结合的做法,水平接缝宜采用高低缝或企口缝构造,竖向接缝可采用平口或槽口构造。
条文说明
5.4.6 夹心外墙板构造防水和材料防水相结合的方法在日本和我国台湾地区已较为普及和成熟,该构造组合有一定的抗变形能力,因此本规程予以推荐。图3为一种夹心外墙板接缝防水构造。 
5.4.7 预制楼梯与主体结构宜采用简支连接,一端可采用固定铰支座,另一端可采用滑动铰支座,滑动铰支座应设置防滑落措施。预制楼梯端部在支撑构件上的最小搁置长度应符合现行行业标准《装配式混凝土结构技术规程》JGJ 1的有关规定。
条文说明
5.4.7 预制楼梯与主体结构两端采用固定支座时,楼板起到斜支撑的作用,应进行抗震计算。当一端为固定铰支座,另一端为滑动简支座时,楼梯对结构刚度的贡献较小,可不参与抗震计算。设计时,应保证铰支连接具有足够的转动及滑动变形能力。图4为一种楼梯与梯梁连接构造。 
6 构件制作、存放与运输
6.1一般规定
6 构件制作、存放与运输
6.1 一般规定
6.1.1 原材料进场时,应按现行国家标准《混凝土结构工程施工质量验收规范》GB 50204和《钢结构工程施工质量验收规范》GB 50205的有关规定进行检验,合格后方可使用。
条文说明
6.1.1 预制构件生产、制作用原材料的检验应符合国家现行相关标准的规定。
6.1.2 构件制作前应根据建筑、结构和设备等专业以及制作、运输和施工各环节的综合要求进行施工设计。
条文说明
6.1.2 预制构件生产应以施工设计图纸为依据,生产单位应根据建筑、结构和设备等专业以及制作、运输和施工各环节的综合要求对施工设计图纸进行深化设计,当需要修改设计图纸时,应办理设计变更文件。
6.1.3 构件制作前,设计单位应对生产单位进行技术交底。
条文说明
6.1.3 构件制作前,设计单位必须对生产单位进行技术交底,以确保作业人员了解设计意图、构件特点、技术质量要求、施工方法与和安全生产措施。
6.1.4 构件制作前应编制生产方案,生产方案应包括生产计划及生产工艺、模具方案及模具计划、技术质量控制措施、成品保护及运输、吊装方案等。
条文说明
6.1.4 预制构件在工厂生产利于产品质量的控制,且每一道工序进行之前都应有相应的技术方案和质量控制措施。
6.1.5 预制构件应在混凝土浇筑前进行隐蔽工程检查并做好记录。
条文说明
6.1.5 隐蔽工程检查应包括下列内容:
1 钢筋的牌号、规格、数量、位置、间距等;
2 纵向受力钢筋的连接方式、接头位置、接头数量、接头面积百分率、搭接长度;
3 箍筋、横向钢筋的牌号、规格、数量、位置、间距,箍筋的弯折角度及平直段的长度;
4 预埋件、吊环、插筋以及栓钉的规格、数量、位置等;
5 劲性柱外挂钢丝网片的规格;
6 混合梁纵向受力钢筋与工字形钢接头的焊缝质量;
7 钢筋的混凝土保护层厚度;
8 夹心外墙板的保温层位置、厚度、连接件的规格、数量、位置等;
9 预埋管线、线盒的规格、数量、位置及固定措施。
6.1.6 构件断面的高宽比大于2.5时,存放时下部应加支撑或有坚固的存放架,上部应拉牢固定。
条文说明
6.1.6 构件断面高宽比过大时容易失稳,为保证运输安全,应做好固定措施。
6.2构件制作
6.2 构件制作
6.2.1 模具尺寸允许偏差及检验方法应符合表6.2.1的规定。
表6.2.1 模具尺寸允许偏差及检验方法


注:L为模具与混凝土接触面中最长边的尺寸。
6.2.2 固定在模具上的预埋件、预留孔洞中心位置的允许偏差及检验方法应符合表6.2.2的规定。检查中心线位置时,应取纵、横两个方向量测的较大值。
表6.2.2 模具预埋件、预留孔洞中心位置的允许偏差及检验方法

条文说明
6.2.1、6.2.2 模具的精度是保证构件质量的关键,生产前应按要求进行尺寸偏差检验,合格后方可投入使用。
为了达到节约材料、方便施工、吊装可靠的目的,并避免外露金属件的锈蚀,预制构件的吊装方式优先采用内埋式螺母、内埋式吊杆或预留吊装孔。这些部件及配套的专用吊具等所采用的材料,应根据相应的产品标准和应用技术规程选用。
6.2.3 外墙板装饰层采用面砖时,面砖宜排版规则、缝隙均匀,面砖抗拔检测应符合现行行业标准《建筑工程饰面砖粘结强度检验标准》JGJ 110的有关规定;外墙板装饰层采用石材时,应进行专项连接设计。
条文说明
6.2.3 外墙板装饰层采用面砖饰面时,宜选用背面带燕尾槽的面砖,燕尾槽尺寸应符合相关标准要求,砖缝可采用发泡塑料条或硅胶造型胶膜成型,考虑到面砖可能会出现脱落,建筑高度超过100m时不宜采用面砖作为外装饰面,面砖抗拔检测应符合现行行业标准《建筑工程饰面砖粘结强度检验标准》JGJ 110的有关规定;外墙板装饰层采用石材饰面时,应进行专项连接设计,一般采用不锈钢卡件与外叶混凝土固定。
6.2.4 混合梁预制时模具应侧放,叠合板预制层预制时模具应平放,楼梯预制时模具宜立放,劲性柱、内外叶墙板预制时模具可平放或立放。
条文说明
6.2.4 有保温要求的墙板可采用水平浇筑方式或竖直浇筑方式,水平浇筑方式有利于保温材料在预制构件中的定位,如采用竖直浇筑方式,成型保温材料可在浇筑前放置固定。
6.2.5 零件及部件加工应根据设计和施工详图编制制作工艺。钢构件的切割、焊接、运输、吊装、探伤检验应符合现行国家标准《钢结构工程施工质量验收规范》GB 50205和《钢结构焊接规范》GB 50661的有关规定。
6.2.6 栓钉焊接前,应将构件焊接面的油、锈等杂物清除;焊接后栓钉高度的允许偏差应为±2mm。
条文说明
6.2.6 劲性柱和混合梁上的焊接栓钉,是保证钢材与混凝土有效结合的主要因素,因此应确保栓钉的焊接质量。
6.2.7 预制构件预埋吊环应使用未经冷加工的HPB300钢筋或Q235B圆钢制作,并应进行设计验算;内埋式螺母或内埋式吊杆及配套的吊具,应根据相应的产品标准选用,并应进行设计验算或试验检验,经验证合格后方可使用。
条文说明
6.2.7 本条与国家标准《混凝土结构设计规范》GB 50010-2010(2015年版)第9.7.6条的规定保持一致,由于国家标准《混凝土结构设计规范》GB 50010-2010(2015年版)将HPB300钢筋的直径限于不大于14mm,因此当吊环直径小于等于14mm时,可以采用HPB300钢筋;当吊环直径大于14mm时,可采用Q235B圆钢,其材料性能应符合现行国家标准《碳素结构钢》GB/T 700的有关规定。
6.2.8 劲性柱钢管外混凝土宜在工厂内浇筑。
条文说明
6.2.8 为了加快施工进度、保证制作质量,劲性柱钢管外混凝土宜在工厂浇筑。为避免柱钢管焊接热影响,上下层柱在连接处应各留200mm高外包混凝土,在焊缝验收合格后,进行该部位外包混凝土的浇筑。
6.2.9 预制构件的混凝土强度等级应符合设计要求,并应振捣密实。
6.2.10 预制构件与后浇混凝土、灌浆料、坐浆材料的结合面应设置粗糙面或键槽,并应符合现行行业标准《装配式混凝土结构技术规程》JGJ 1的有关规定。
条文说明
6.2.10 通过设置粗糙面或键槽,能够增加预制构件与后浇混凝土接触面的受剪承载力,实现可靠连接。粗糙面可采用拉毛或凿毛处理方法,也可采用化学处理方法。
6.2.11 预制构件宜采用蒸汽养护,应合理控制升温速度、降温速度和最高温度。
条文说明
6.2.11 预制构件可根据生产条件采用洒水养护、覆盖养护及蒸汽养护等不同的养护方法。
蒸汽养护可缩短养护时间,提高模具周转率,大大减少占用场地。采用蒸汽养护时,宜在常温下静停2h~6h,升温、降温速度不应超过20℃/h,最高的养护温度不宜超过70℃,预制构件出池的表面温度与环境温度的差值不宜超过25℃。
6.2.12 预制构件脱模起吊时,混凝土立方体抗压强度应满足设计要求,且不应小于15N/mm 2 。
条文说明
6.2.12 预制构件脱模时,混凝土应具有足够的强度,工程实践中,预先留设混凝土立方体试件,与预制构件同条件养护,并用该同条件养护的试件的强度作为预制构件混凝土强度控制的依据。
6.2.13 生产过程中混凝土试块的留置应符合下列规定:
1 每条生产线每工作班拌制的同一配合比混凝土不足100盘时,取样不应少于一次;每拌制100盘且不超过100m 3 的同配合比的混凝土,取样不应少于一次;
2 每次取样应至少留置一组标准养护试块,同条件养护试块的留置组数应根据构件生产的实际需要确定。
条文说明
6.2.13 构件生产时,应按相关规定以生产线为批次留置标准条件养护试块和同条件养护试块。
6.3构件存放与运输
6.3 构件存放与运输
6.3.1 应制定预制构件存放、运输方案,其内容应包括运输时间、次序、存放场地、运输线路、固定要求、堆放支垫及成品保护措施。
条文说明
6.3.1 预制构件的存放和运输涉及质量和安全要求,应按工程或产品特点制定存放和运输方案。
6.3.2 构件存放应符合下列规定:
1 预制构件运送到施工现场后,应按品种、规格、使用部位、吊装顺序分别设置存放场地和通道;
2 存放场地应设置在起重设备的有效起重范围内,场地应平整坚实并设置排水措施;
3 劲性柱、混合梁宜平放,支撑点位置应经计算确定;
4 叠合板的预制板宜沿垂直受力方向设置垫块分层叠放,每层间的垫块应上下对齐,叠放层数应根据构件、垫块的承载力和堆垛的稳定性确定;
5 内、外墙板宜采用支撑架立放,支撑架应有足够的强度和刚度,并应支垫稳固。
条文说明
6.3.2 预制构件应分类存放,根据构件特点,可采用叠放、立放、侧放等多种形式。
6.3.3 构件运输应符合下列规定:
1 运输车辆应满足构件尺寸和载重要求;
2 构件支承的位置和方法,不应引起构件损伤;
3 构件装运时应可靠固定,对构件边角部或与固定用链索接触的部位,宜采用柔性衬垫加以保护;
4 预制构件运输时,混凝土强度应达到设计要求;当设计无要求时,不应低于混凝土设计强度的75%。
条文说明
6.3.3 本条规定主要是为了运输安全和保护预制构件。预制构件运输时,如支承位置不当,可能造成构件开裂等缺陷。支承点位置应根据相关规范的有关规定进行计算和复核。
构件出厂强度不应低于设计强度的75%,主要是为避免构件在运输过程中和装配施工后,因强度不足造成构件不可修复性的破坏。
7 装配施工
7.1一般规定
7 装配施工
7.1 一般规定
7.1.1 装配式劲性柱混合梁框架结构施工前,施工单位应编制装配施工专项方案。
条文说明
7.1.1 施工前,施工单位应准确理解设计意图,掌握有关技术要求和细部构造,根据工程特点和施工规定,进行施工复核及安装全过程的各工况验算,编制装配施工专项方案,施工专项方案应包括施工平面布置、施工测量、构件吊装、安装及节点施工、质量管理措施、安全管理措施、绿色施工及环境保护措施等内容。
7.1.2 进入现场的预制构件应具有出厂合格证及质量证明文件,必要时应提供性能检测报告。
条文说明
7.1.2 预制构件作为成品,进入施工现场时,需要按批检查质量证明文件,并且需要核对构件上的标识,避免差错。
7.1.3 冬期施工应符合现行行业标准《建筑工程冬期施工规程》JGJ/T 104的有关规定。
7.1.4 后浇混凝土部位在浇筑前应进行隐蔽工程验收,验收项目应符合现行行业标准《装配式混凝土结构技术规程》JGJ 1的有关规定。
条文说明
7.1.4 为确保工程质量及使用安全,后浇混凝土部位在浇筑前应进行隐蔽工程验收,验收项目应符合现行行业标准《装配式混凝土结构技术规程》JGJ 1的有关规定。
7.2施工测量
7.2 施工测量
7.2.1 施工测量前,应收集有关测量资料,熟悉设计图纸,建立平面控制网和高程控制网。
条文说明
7.2.1 施工测量应根据设计施工图及施工工艺等编制测量方案,并应符合现行国家标准《工程测量规范》GB 50026的有关规定。
7.2.2 每层楼面轴线垂直控制点不应少于4个,楼层上的控制线应由底层原始点直接向上传递引测。
7.2.3 每个楼层应设置1个高程引测控制点。
7.2.4 预制构件吊装前,应在构件和相应的支承结构上设置控制线和标高,按设计要求校核预埋件及连接钢筋等的数量、位置、尺寸或牌号,并应做出标识。
条文说明
7.2.2~7.2.4 通过设置楼层竖向、横向控制线和构件纵、横控制线,可以使构件与构件之间、构件与楼面原始控制线保持吻合和对直。
7.2.5 沉降观测应符合现行行业标准《建筑变形测量规范》JGJ 8的有关规定。
条文说明
7.2.5 装配式劲性柱混合梁框架结构的沉降观测点的布置、观测方法及要求参照现行行业标准《建筑变形测量规范》JGJ 8确定。
7.2.6 施工测量除应符合本规程的规定外,尚应符合现行国家标准《工程测量规范》GB 50026的有关规定。
7.3构件吊装
7.3 构件吊装
7.3.1 吊具应按相应的产品标准进行设计验算或试验检验,确认可靠后,方可使用。
7.3.2 预制构件吊装应符合下列规定:
1 预制构件应按吊装顺序预先编号,吊装时应按编号顺序起吊;
2 竖向构件起吊不应少于2个吊点,叠合板不应少于4个吊点,跨度大于6m的叠合板宜采用8个吊点;
3 吊装过程中,吊索水平夹角不宜小于60°,不应小于45°,并应保证吊点合力与构件重心重合;
4 预制构件吊装校正,可采用起吊、就位、初步校正、精细调整的作业方式;
5 预制构件吊装就位并校准定位后,应设置临时支撑或采取临时固定措施。
条文说明
7.3.2 预制构件吊装前根据吊装顺序在预制构件上标出序号,并在图纸上标出序号位置,这样可直观表示出构件位置,便于吊装工和指挥操作,减少误吊概率。
7.3.3 预制构件临时支撑的验算和拆除应符合现行国家标准《混凝土结构工程施工规范》GB 50666的有关规定。
条文说明
7.3.3 采取临时固定措施有利于保证预制构件的稳定性和装配施工精度,临时支撑是重要的临时固定措施。通常包括水平构件如水平预制梁、板的临时支撑等以及竖向构件如预制柱、竖向墙板的临时支撑。
7.4安装施工
7.4 安装施工
7.4.1 劲性柱的钢管拼接时,宜分段对称施焊,并应采取有效措施减少焊接残余应力和变形。
条文说明
7.4.1 不均匀的加热和冷却容易形成焊接残余应力,焊接残余应力对钢管的刚度、静力强度及疲劳强度等都有一定程度的不利影响,为控制或减少残余应力,钢管拼接时,应对称施焊。施工单位也可根据实际情况采用热处理法、拉伸法、振动法及爆炸法等方法来消除焊接残余应力。
7.4.2 高强度螺栓的安装应符合现行行业标准《钢结构高强度螺栓连接技术规程》JGJ 82的有关规定。
7.4.3 劲性柱钢管内混凝土宜采用自密实混凝土,施工前应进行配合比设计,可采用高位抛落免振捣法、立式手工浇捣法、泵送顶升浇筑法进行浇筑,且应符合下列规定:
1 采用高位抛落免振捣法时,料口的下口直径应比圆形截面钢管内径、正方形截面钢管截面边长小100mm~200mm;
2 采用立式手工浇捣法时,应采用振捣器振实混凝土;
3 采用泵送顶升浇筑法浇筑混凝土时,施工前宜进行浇筑工艺试验;
4 钢管内混凝土宜连续浇筑,间歇时间不应超过混凝土的初凝时间;
5 混凝土施工缝宜留置在钢管拼接焊口500mm以下的位置;
6 已浇混凝土顶部浮浆宜采用吸附式清除;
7 钢管混凝土宜采用管口封水养护。
条文说明
7.4.3 管内混凝土可采用高位抛落免振捣法、立式手工浇捣法、泵送顶升法。施工单位没有成熟的施工经验时,应进行浇筑工艺试验,按施工方案及浇筑工艺试验结果确定浇筑方法。
采用高位抛落免振捣法时,为确保混凝土下落时管内空气能顺利排出,料口的下口直径应比圆形钢管内径、正方形钢管截面边长小100mm~200mm;在抛落混凝土的同时,宜采用钢筋棒振捣,特别是在上部2m范围内应仔细振捣,使混凝土充填密实。
采用立式手工浇捣法时,应采用振捣器振实混凝土。当管径大于350mm时,可采用振捣棒直接振捣混凝土,每次振捣时间不应少于30s,一次浇筑高度不宜大于2m。管径小于350mm时,可采用附着在钢管壁上的外部振动器进行振捣,每次振捣时间不应少于1min;外部振动器的位置应随混凝土浇筑高度变化;外部振动器工作时,以钢管横向振幅不小于0.3mm为有效,振幅可用百分表实测。
采用泵送顶升浇筑法时,钢管直径不宜小于泵径的2倍。
钢管内混凝土必须在混凝土初凝前浇筑完毕,同一管内的混凝土应最大程度地采用一次浇筑完毕,中间如需停留有间歇时,不能超过混凝土初凝时间。
管内混凝土的施工缝留置应在专项方案中作出明确规定。未作出规定时,应留置在钢管拼接焊口500mm以下的位置,以防钢管焊接时,其温度影响混凝土质量。
7.4.4 叠合板叠合层、混合梁顶水平后浇带的混凝土施工应符合下列规定:
1 浇筑前应清除杂物、浮浆及松散骨料,并应清扫干净,洒水湿润,但不应有积水;
2 宜先浇筑梁柱工字形钢接头处外包混凝土,叠合板叠合层浇筑宜采用从周圈向中间的浇筑方式;
3 混凝土应振捣密实,梁柱工字形钢接头处应辅以外部振动器振实;
4 混凝土强度达到设计要求后,方可拆除临时支撑。
条文说明
7.4.4 浇筑叠合板叠合层、混合梁顶水平后浇带混凝土之前应先浇筑梁柱工字形钢接头处的外包混凝土,确保工字形钢接头处外包混凝土浇筑质量符合国家现行相关标准的规定后,方可继续浇筑叠合板叠合层的混凝土。
7.4.5 外墙板接缝防水施工应符合下列规定:
1 外侧水平、竖直接缝的密封胶封堵前,侧壁应清理干净,保持干燥;
2 外侧水平、竖直接缝的密封胶应饱满、密实、连续、均匀、无气泡,注胶宽度、厚度应符合现行行业标准《玻璃幕墙工程质量检验标准》JGJ/T 139的有关规定。
7.5安全控制
7.5 安全控制
7.5.1 施工过程中应按现行行业标准《建筑施工安全检查标准》JGJ 59、《建筑施工现场环境与卫生标准》JGJ 146的有关规定执行。
7.5.2 作业人员应进行安全生产教育和培训,未经安全生产和教育培训合格的作业人员不得上岗作业。
条文说明
7.5.2 对作业人员进行安全教育培训可以增强作业人员的安全意识,是安全生产的基础。
7.5.3 施工区域应配置消防设施和器材,设置消防安全标志,并定期检验、维修,消防设施和器材应完好、有效。
7.5.4 预制构件吊装应采用慢起、快升、缓放的操作方式;起吊应依次逐级增加速度,不应越挡操作。雨、雪、雾天气,或者风力大于5级时,不应吊装预制构件。
7.5.5 作业人员应配备劳动防护用品并正确使用;高处作业使用的工具和零配件等,应采取防坠落措施,严禁上下抛掷。
8 工程验收
8.1一般规定
8 工程验收
8.1 一般规定
8.1.1 装配式劲性柱混合梁框架结构应在施工单位自行检验合格的基础上,按现行国家标准《建筑工程施工质量验收统一标准》GB 50300的有关规定进行子分部工程的验收。
条文说明
8.1.1 装配式劲性柱混合梁框架结构应按混凝土结构子分部工程进行验收,装配式结构部分可作为混凝土结构子分部工程的一个分项工程进行验收。
8.1.2 装配式劲性柱混合梁框架结构子分部工程可划分为模板分项工程、钢筋分项工程、混凝土分项工程、现浇结构分项工程及装配式结构分项工程。装配式结构分项工程应包括预制构件、安装与连接两个部分。各分项工程可根据与施工方式相一致且便于控制施工质量的原则,按进场批次、工作班、楼层、结构缝或施工段划分为若干检验批。
条文说明
8.1.2 装配式劲性柱混合梁框架结构子分部工程各分项工程的划分与现行国家标准《混凝土结构工程施工质量验收规范》GB 50204保持一致。
8.1.3 模板分项工程、钢筋分项工程、混凝土分项工程、现浇结构分项工程的检验应符合现行国家标准《混凝土结构工程施工质量验收规范》GB 50204的有关规定。
条文说明
8.1.3 装配式结构现场施工中涉及的钢筋、混凝土等施工内容,应分别纳入钢筋、混凝土等分项工程进行验收。模板工程仅作为分项工程验收,旨在确保模板工程质量,避免因模板工程质量问题造成安全事故,由于模板工程不构成工程实体,不作为子分部工程验收的内容。
8.1.4 对涉及混凝土结构安全的有代表性的部位应进行结构实体检验,结构实体检验应符合现行国家标准《混凝土结构工程施工质量验收规范》GB 50204的有关规定。
条文说明
8.1.4 结构实体检验并不是在子分部工程验收前的重新检验,而是在相应分项工程验收合格、过程控制使质量得到保证的基础上,对重要项目进行的验证性检查,其目的是为了加强装配式劲性柱混合梁框架结构的施工质量验收。
8.2预制构件
8.2 预制构件
Ⅰ 主控项目
8.2.1 预制构件进场时,预制构件的结构性能检验应符合现行国家标准《混凝土结构工程施工质量验收规范》GB 50204的有关规定。
检查数量:同一类型预制构件不超过1000个为一批,每批随机抽取1个构件进行结构性能检验。
检验方法:检查结构性能检验报告或实体检验报告。
条文说明
8.2.1 本条规定了预制构件进场时的结构性能要求,结构性能检验通常应在构件进场时进行,但考虑检验方便,可在各方参与下在预制构件生产场地进行。
8.2.2 预制构件的外观质量不应有严重缺陷,且不应有影响结构性能和安装、使用功能的尺寸偏差。
检查数量:全数检查。
检验方法:观察,尺量,检查处理记录。
条文说明
8.2.2 预制构件外观质量缺陷可分为一般缺陷和严重缺陷两类,预制构件的严重缺陷主要是指影响构件的结构性能或安装使用功能的缺陷,构件制作时应制定质量保证措施予以避免。
8.2.3 劲性柱的连接内衬、竖向加劲板、栓钉及钢丝网片的规格和数量应符合设计要求。
检查数量:同批构件抽查10%,且不少于3件。
检验方法:尺量检查,观察检查及检查出厂验收记录。
8.2.4 劲性柱拼装焊缝质量应符合设计要求和现行国家标准《钢结构工程施工质量验收规范》GB 50205的有关规定。
检查数量:全数检查。
检验方法:检查施工记录及焊缝检测报告。
8.2.5 混合梁纵向受力钢筋与工字形钢接头的焊接应进行焊接工艺评定。
检查数量:全数检查。
检验方法:检查施工记录及焊接工艺评定报告。
条文说明
8.2.5 混合梁纵向受力钢筋与工字形钢接头的焊接质量对混合梁的受力性能及节点连接性能有直接影响,因此需按实际施工采用的钢筋和钢材匹配进行焊接工艺评定试验,以保证焊接接头的质量。
Ⅱ 一般项目
8.2.6 预制构件的允许偏差及检验方法应符合表8.2.6的规定。
检查数量:同一类型的构件,不超过100个为一批,每批应抽查构件数量的5%,且不应少于3个。
检验方法:按表8.2.6执行。
表8.2.6 预制构件尺寸允许偏差及检验方法



注:1 L为构件长度(mm);
2 检查中心线位置时,应沿纵、横两个方向量测,并取其中较大值;
3 当采用计数检验时,除有专门要求外,合格点率应达到80%及以上,且不得有严重缺陷,可以评定为合格。
条文说明
8.2.6 本条给出了预制构件允许偏差标准及检验方法。质量检查是构件进入现场装配前的一个内容,通过对构件外观质量检查和尺寸允许偏差抽查,将符合要求的构件产品用于现场施工。本条给出的预制构件允许偏差为基本要求,如根据具体工程要求提出高于本条规定时,应按设计要求或合同规定执行。
8.2.7 混合梁纵向受力钢筋与工字形钢接头的搭接电弧焊接头,应符合下列规定:
1 焊缝表面应平整,不得有凹陷或焊瘤;
2 焊接接头区域不得有肉眼可见的裂纹;
3 混合梁纵向受力钢筋与工字形钢接头翼缘搭接焊接接头的尺寸偏差、缺陷允许值及检验方法,应符合表8.2.7的有关规定。
表8.2.7 混合梁纵向受力钢筋与工字形钢接头搭接焊接接头的允许偏差及检验方法

注:d为钢筋直径(mm)。
检查数量:全数检查。
检验方法:按表8.2.7执行。
条文说明
8.2.7 本条对混合梁纵向受力钢筋与工字形钢接头翼缘的搭接电弧焊接头的尺寸偏差允许值及检验方法进行了规定。质量检验及验收时,只做外观检查不做接头试件的拉伸试验。
8.2.8 预制构件的外观质量不应有一般缺陷。
检查数量:全数检查。
检验方法:观察,检查处理记录。
条文说明
8.2.8 外观质量的一般缺陷不会对结构性能、使用功能造成严重影响,但有碍观瞻。故对已经出现的一般缺陷,也应及时处理,并重新检查验收。
8.2.9 预制构件构件应在显著位置统一进行标识,标识内容宜包括生产单位、构件编号、制作日期、合格状态等信息。
检查数量:全数检查。
检验方法:观察。
条文说明
8.2.9 预制构件表面的标识应清晰、准确,以确保能够清楚识别预制构件的“身份”,并有利于实现施工过程中质量问题的可追溯性。
8.3安装与连接
8.3 安装与连接
Ⅰ 主控项目
8.3.1 预制构件临时固定措施应符合施工方案的要求。
检查数量:全数检查。
检验方法:观察。
条文说明
8.3.1 临时固定措施是装配式劲性柱混合梁框架结构安装过程中承受施工荷载、保证构件定位、确保施工安全的有效措施,因此应严格按施工方案的要求进行设置和安装。
8.3.2 钢筋采用焊接连接时,其焊接质量应符合现行行业标准《钢筋焊接及验收规程》JGJ 18的有关规定。
检查数量:按现行行业标准《钢筋焊接及验收规程》JGJ 18的有关规定确定。
检验方法:检查钢筋焊接施工记录及平行加工试件的强度试验报告。
8.3.3 钢筋采用机械连接时,其接头质量应符合现行行业标准《钢筋机械连接技术规程》JGJ 107的有关规定。
检查数量:按现行行业标准《钢筋机械连接技术规程》JGJ 107的有关规定确定。
检验方法:检查钢筋机械连接施工记录及平行加工试件的强度试验报告。
条文说明
8.3.2、8.3.3 钢筋采用焊接连接或机械连接时,大多数情况下无法现场截取试件进行检验,可采取模拟现场条件制作平行试件替代原位截取试件。平行试件的检验数量和试验方法应符合现场截取试件的要求,平行试件的制作应有质量管理措施,并保证具有代表性。
8.3.4 预制构件采用焊接、螺栓连接时应符合国家现行标准《钢结构工程施工质量验收规范》GB 50205、《钢筋焊接及验收规程》JGJ 18的有关规定。
检查数量:按国家现行标准《钢结构工程施工质量验收规范》GB 50205、《钢筋焊接及验收规程》JGJ 18的有关规定确定。
检验方法:检查施工记录及平行加工试件的检验报告。
8.3.5 预制构件采用销轴连接时,销轴的规格和性能应符合设计要求及现行国家标准《销轴》GB/T 882的有关规定。
检查数量:全数检查。
检验方法:检查销轴的进场和施工记录。
条文说明
8.3.4、8.3.5 装配式劲性柱混合梁框架结构中的焊接、螺栓连接及销轴等连接方式,钢材、焊条、螺栓,销轴等产品或材料应分批进行进场检验。焊接质量及螺栓连接质量应符合国家现行标准《钢结构工程施工质量验收规范》GB 50205、《钢筋焊接及验收规程》JGJ 18的有关规定。
8.3.6 劲性柱钢管内混凝土应浇筑密实。
检查数量:全数检查。
检验方法:检查钢管内混凝土浇筑工艺试验报告和混凝土浇筑施工记录。
条文说明
8.3.6 钢管内混凝土浇筑的密实度应达到设计要求,并应无脱粘、离析现象。由于混凝土密实度检查较为困难,因此应在施工过程中加强控制,为达到密实,可以优化配合比设计,做好混凝土的收缩控制等。近些年来,随着科技的进步和发展,出现了一些新型混凝土密实度的检测方法,如超声波检测法、雷达检测法,施工单位可根据具体情况选择使用不同的检测方法。
8.3.7 劲性柱钢管内混凝土施工缝的设置应符合本规程第7.4.3条的规定。
检查数量:全数检查。
检验方法:观察检查,检查施工记录。
条文说明
8.3.7 管内混凝土留置施工缝时,在钢管对接焊口,钢管应高出混凝土施工缝不少于500mm,以防钢管焊接时,其温度影响混凝土质量。
8.3.8 装配式劲性柱混合梁框架结构施工后,其外观质量不应有严重缺陷,且不应有影响结构性能和安装、使用功能的尺寸偏差。
检查数量:全数检查。
检验方法:观察,量测,检查处理记录。
条文说明
8.3.8 装配式劲性柱混合梁框架结构的外观质量缺陷可参照国家标准《混凝土结构工程施工质量验收规范》GB 50204-2015第8.1.2条的有关规定进行判断。对于出现的外观质量严重缺陷及影响结构性能和安装、使用功能的尺寸偏差,应按国家标准《混凝土结构工程施工质量验收规范》GB 50204-2015第8.2、8.3节的有关规定进行处理。
Ⅱ 一般项目
8.3.9 装配式劲性柱混合梁框架结构施工后,其外观质量不应有一般缺陷。
检查数量:全数检查。
检验方法:观察,检查处理记录。
条文说明
8.3.9 装配式劲性柱混合梁框架结构施工后,其外观质量不应有一般缺陷,对已经出现的一般缺陷,应由施工单位按技术处理方案进行处理。经处理的部位应重新验收。
8.3.10 装配式劲性柱混合梁框架结构施工后,预制构件安装允许偏差及检验方法应符合设计要求;当设计无具体要求时,应符合表8.3.10的规定。
检查数量:在同一检验批内,对混合梁和劲性柱,应抽查构件数量的10%,且不应少于3件;对墙板和叠合板,应按有代表性的自然间抽查10%,且不应少于3间。
检验方法:按表8.3.10执行。
表8.3.10 预制构件安装允许偏差及检验方法


条文说明
8.3.10 表8.3.10提出了装配式劲性柱混合梁框架结构中预制安装部分的位置和尺寸偏差要求。对于现浇与预制构件的交接部位,如现浇结构与预制安装部分的尺寸偏差不一致时,实际工程应协调控制二者尺寸偏差,取合适值。
8.4子分部工程验收
8.4 子分部工程验收
8.4.1 装配式劲性柱混合梁框架结构子分部工程合格质量标准应符合下列规定:
1 所含分项工程质量验收应合格;
2 应有完整的质量控制资料;
3 观感质量验收应合格;
4 结构实体检验结果应满足设计和本规程8.1.4的要求。
条文说明
8.4.1 本条根据现行国家标准《建筑工程施工质量验收统一标准》GB 50300的有关规定,给出了装配式劲性柱混合梁框架结构子分部工程质量合格标准。
8.4.2 装配式劲性柱混合梁框架结构施工质量不符合要求时,应按现行国家标准《建筑工程施工质量验收统一标准》GB 50300的有关规定进行处理。
条文说明
8.4.2 检验批、分项工程、子分部实体检验项目质量不符合要求时的处理方法应按现行国家标准《建筑工程施工质量验收统一标准》GB 50300的有关规定执行。
8.4.3 装配式劲性柱混合梁框架结构子分部工程验收时,应提供下列文件和记录:
1 工程设计文件;
2 预制构件的质量证明文件、结构性能检验报告及进场验收记录;
3 主要材料的质量证明文件和抽样检验报告;
4 预制构件安装验收记录;
5 隐蔽工程验收记录;
6 混凝土、灌浆料试件的性能检测报告;
7 钢筋接头试验报告;
8 有关安全及功能的检验和见证检测项目检查记录;
9 所含各分项工程质量验收记录;
10 有关观感质量检验项目检查记录;
11 重大质量问题的处理方案和验收记录;
12 结构实体检验记录;
13 其他必要的文件和记录。
条文说明
8.4.3 本条列出了混凝土结构子分部工程施工质量验收时应提供的主要文件和记录,涵盖了整个施工过程的质量控制资料,是确保工程质量的重要依据。
8.4.4 装配式劲性柱混合梁框架结构子分部工程施工质量验收合格后,应将所有验收文件存档备案。
条文说明
8.4.4 本条规定了验收文件应存档备案。这不仅是为了落实设计使用年限内的责任,而且在有必要进行维护、修理、检测、加固或改变使用功能时,可以提供有效的依据。
本规程用词说明
本规程用词说明
1 为便于在执行本规程条文时区别对待,对要求严格程度不同的用词说明如下:
1)表示很严格,非这样做不可的:
正面词采用“必须”,反面词采用“严禁”;
2)表示严格,在正常情况下均应这样做的:
正面词采用“应”,反面词采用“不应”或“不得”;
3)表示允许稍有选择,在条件许可时首先应这样做的:
正面词采用“宜”,反面词采用“不宜”;
4)表示有选择,在一定条件下可以这样做的,采用“可”。
2 条文中指明应按其他有关标准执行的写法为:“应符合……的规定”或“应按……执行”。
引用标准名录
引用标准名录
1 《建筑结构荷载规范》GB 50009
2 《混凝土结构设计规范》GB 50010
3 《建筑抗震设计规范》GB 50011
4 《钢结构设计规范》GB 50017
5 《工程测量规范》GB 50026
6 《混凝土结构工程施工质量验收规范》GB 50204
7 《钢结构工程施工质量验收规范》GB 50205
8 《建筑工程抗震设防分类标准》GB 50223
9 《建筑工程施工质量验收统一标准》GB 50300
10 《水泥基灌浆材料应用技术规范》GB/T 50448
11 《钢结构焊接规范》GB 50661
12 《混凝土结构工程施工规范》GB 50666
13 《钢结构工程施工规范》GB 50755
14 《钢管混凝土结构技术规范》GB 50936
15 《碳素结构钢》GB/T 700
16 《销轴》GB/T 882
17 《低合金高强度结构钢》GB/T 1591
18 《建筑材料及制品燃烧性能分级》GB 8624
19 《钢结构防火涂料》GB 14907
20 《电弧螺柱焊用圆柱头焊钉》GB/T 10433
21 《高分子防水材料 第3部分:遇水膨胀橡胶》GB/T 18173.3
22 《装配式混凝土结构技术规程》JGJ 1
23 《建筑变形测量规范》JGJ 8
24 《钢筋焊接及验收规程》JGJ 18
25 《建筑施工安全检查标准》JGJ 59
26 《钢结构高强度螺栓连接技术规程》JGJ 82
27 《高层民用建筑钢结构技术规程》JGJ 99
28 《建筑工程冬期施工规程》JGJ/T 104
29 《钢筋机械连接技术规程》JGJ 107
30 《建筑工程饰面砖粘结强度检验标准》JGJ 110
31 《玻璃幕墙工程质量检验标准》JGJ/T 139
32 《建筑施工现场环境与卫生标准》JGJ 146
33 《自密实混凝土应用技术规程》JGJ/T 283
34 《建筑用钢结构防腐涂料》JG/T 224
35 《混凝土建筑接缝用密封胶》JC/T 881
