Appearance
《架空索道工程技术标准[附条文说明]》GB 50127-2020
🗓️ 住房和城乡建设部 实施时间:2020-08-01
前言
中华人民共和国国家标准
架空索道工程技术标准
Technical standard for aerial ropeway engineering
GB 50127 2020
主编部门:中国有色金属工业协会
批准部门:中华人民共和国住房和城乡建设部
施行日期:2020年8月1日
中华人民共和国住房和城乡建设部公告
2020年 第45号
住房和城乡建设部关于发布国家标准《架空索道工程技术标准》的公告
现批准《架空索道工程技术标准》为国家标准,编号为GB 50127-2020,自2020年8月1日起实施。其中,第3.5.3、3.5.6(2)、3.6.4、3.6.8、3.7.1、4.2.1(3)、5.2.2、6.2.2(1)、7.2.2(1)、7.4.3(1、2、3)条(款)为强制性条文,必须严格执行。原国家标准《架空索道工程技术规范》GB 50127-2007同时废止。
本标准在住房和城乡建设部门户网站公开,并由住房和城乡建设部标准定额研究所组织中国计划出版社出版发行。
中华人民共和国住房和城乡建设部
2020年1月16日
本标准是根据住房和城乡建设部《关于印发2015年工程建设标准规范制订、修订计划的通知》(建标〔2014〕189号)的要求,由中国有色工程有限公司、昆明有色冶金设计研究院股份公司会同有关单位共同修订完成。
本标准在修订过程中,编制组进行了广泛深入的调查研究,总结了近年来我国索道工程设计、施工和运行的实践经验,依据有关国际标准和国外先进标准,吸取了近年来有关的科研成果,并广泛征求意见,对一些重要问题进行了研究和反复讨论,最后审查定稿。
本标准的主要技术内容是:总则、术语和符号、索道工程设计基本规定、双线循环式货运索道工程设计、单线循环式货运索道工程设计、双线往复式客运索道工程设计、单线循环式客运索道工程设计、索道工程施工、索道工程试车与验收。
本标准修订的主要内容是:
1.认真贯彻特种设备安全法及环保节能等法规,坚持安全第一、预防为主、节能环保、综合治理的原则,新增了确保索道安全及节能环保方面的要求。
2.采用了欧洲最新标准中符合世界索道发展趋势并适合我国索道实际情况的内容,尽量与国际先进标准接轨。
3.新增了抱索器的抗滑安全系数、救援索道、支架和安全电路等索道主要术语,并对原标准中叙述不准确的术语进行了修订。
4.新增了在钢丝绳和支架上,风雪及覆冰荷载的取值和计算方面的要求。
5.为确保人身安全,对救援设计提出更高、更全面的要求,并新增了对垂直救援和水平救援设备的规定。
6.对客货运索道的电气设计进行了全面修订,将原标准中分散在各章的电气内容,集中到索道工程设计基本规定一章中进行统一规定。新增了提高索道电气设计技术水平方面的要求。
7.新增了单、双线客运索道停运时,在风和冰作用下各种钢丝绳应确保的最小抗拉安全系数值的规定。
8.新增了提高索道抱索器、车厢、吊厢和吊篮设计技术水平和安全可靠性的要求。
9.新增了在客运索道驱动、拉紧和迂回装置上,设置防断轴的保护和检测装置以及防止钢丝绳脱出装置的要求。
10.删除了不符合索道实际情况、不利于索道技术进步的内容。
本标准中以黑体字标志的条文为强制性条文,必须严格执行。
本标准由住房和城乡建设部负责管理和对强制性条文的解释,由中国有色金属工业工程建设标准管理处负责日常管理工作,由昆明有色冶金设计研究院股份公司负责具体技术内容的解释。执行过程中如有意见或建议,请将有关意见和建议反馈给昆明有色冶金设计研究院股份公司(地址:云南省昆明市五华区小康大道399号,邮编:650224)。
本标准主编单位:中国有色工程有限公司
昆明有色冶金设计研究院股份公司
本标准参编单位:中国恩菲工程技术有限公司
中国瑞林工程技术有限公司
长沙有色冶金设计研究院有限公司
徐州天马索道缆车设备有限公司
宁夏中能恒力钢丝绳有限公司
泰安市泰山索道运营中心
鞍钢钢绳有限责任公司
北京北方车辆集团有限公司
本标准主要起草人员:王红敏 胡英禅 彭加宁 苏莘文 李学文 王春阳 肖湘 胡钦刚 曾庆荣 黄视凡 葛遵瑞 吴杞强 任宏州 刘小贵 佟舟 邢永晟 田龙 刘铁军
本标准主要审查人员:周新年 陶平凯 殷炳来 方艳萍 张建 徐培生 李珊 罗磊 王黎虹 李世诚
1 总则
1.0.1 为提高架空索道工程技术水平,贯彻执行国家技术经济政策,做到技术先进、经济合理、节能环保,确保工程质量和安全运行,制定本标准。
1.0.2 本标准适用于双线循环式货运索道、单线循环式货运索道、双线往复式客运索道和单线循环式客运索道的新建、扩建或改建工程设计、施工和验收。
1.0.3 客运索道和货运索道的运输方案,应根据建设条件和技术条件等,综合比较后确定。
1.0.4 涉及人身安全的新技术、新工艺、新设备和新材料应经过试验或通过生产实践证明安全可靠并鉴定合格后,才能在工程中采用。
1.0.5 客运索道建设应以保护生态和景观、与自然环境相协调和方便旅游为原则。索道站址和线路选择应符合景区总体规划或区域规划以及环境容量管理的要求。
1.0.6 索道工程设计、施工及验收,除应执行本标准的规定外,尚应符合国家现行有关标准的规定。
2 术语和符号
2.1 术语
2.1.1 架空索道 aerial ropeway
一种将钢丝绳架设在支承结构上作为运行轨道,用以运输物料或人员的运输系统。
2.1.2 单线循环式货运索道 monocable circulating material ropeway
仅有一根运载索,载着货车在线路上循环运行,用于运输物料的索道。
2.1.3 双线循环式货运索道 bicable circulating material ropeway
既有承载索又有牵引索,货车在线路上循环运行,用于运输物料的索道。
2.1.4 单线循环式客运索道 monocable circulating passenger ropeway
仅有一根运载索,载着客车在线路上循环运行,用于运输人员的索道。其中,根据抱索器结构型式的不同又分为单线循环脱挂抱索器吊厢(吊篮、吊椅)式客运索道和单线循环固定抱索器吊厢(吊篮、吊椅)式客运索道。
此外,根据运行方式的不同又分为单线循环固定抱索器吊厢式客运索道,单线脉动循环固定抱索器车组式客运索道。
2.1.5 双线往复式客运索道 bicable reversible passenger ropeway
既有承载索又有牵引索,客车在线路上往复运行,用于运输人员的索道。其中,根据客车编组的不同又分为双线往复车厢式客运索道和双线往复车组式客运索道。
2.1.6 货车 bucket
运输物料的运载工具。其中主要包括抱索器或运行小车、吊杆或吊架、货箱。
2.1.7 客车 carrier
运输人员的运载工具。其中主要包括抱索器或运行小车、吊杆或吊架、客厢或其他乘坐器具。乘坐器具可分为车厢、吊厢、吊篮、吊椅、拖牵座等不同形式。
2.1.8 抱索器 grip
客车或货车中与运载索或牵引索相联接的装置,称为抱索器。其中,进出站时无须脱开和挂结钢丝绳的抱索器,称为固定式抱索器;进出站时需要脱开和挂结钢丝绳的抱索器,称为脱挂式抱索器。
2.1.9 抱索器的抗滑安全系数 sliding resistance safety factor of grip
抱索器的抗滑力与重车重力在最大坡度处沿钢丝绳方向分力的比值。
2.1.10 支架 trestle
在索道站内和线路上用于支承钢丝绳的支承结构。
2.1.11 运输能力 transport capacity
单位时间内的单方向运输量。
2.1.12 高差 vertical rise
两站之间或线路支架两点之间的索底标高之差。
2.1.13 索距 gauge
支架两侧的运载索或承载索中心线之间的距离,称为索距。对于采用双承载索的双线索道,索距为支架两侧双承载索中心线之间的距离。
2.1.14 倾角 inclination angle
钢丝绳悬曲线在支承点处的切线与水平线形成的角度称为倾角。其中,倾角在支承点水平线以下的称为正倾角;在水平线以上的,称为负倾角。
2.1.15 进站角 entrance angle
线路中的承载索或运载索悬曲线在站口支承点处的切线与水平线形成的角度,称为进站角。其中,进站角在水平线以上的,称仰角进站;进站角在水平线以下的,称俯角进站。
2.1.16 挠度 sag
在跨距内钢丝绳悬曲线任意一点与弦线之间在垂直方向上的距离,称为钢丝绳在该点的挠度。
2.1.17 传动区段 driving section
由一个独立的驱动装置和拉紧装置或由一个驱动与拉紧联合装置和迂回轮组成的传动系统。
2.1.18 拉紧区段 tension section
在双线循环式货运索道线路中,把承载索分成数段,其中每一段都可称为拉紧区段。相邻拉紧区段之间的站房,称为拉紧区段站。其中,承载索两端拉紧的称为双拉站;两端锚固的称为双锚站;一端拉紧、一端锚固的称为拉锚站。
2.1.19 承载索 carrying rope
承受客车或货车重力而不主动运动的钢丝绳,称为承载索。其中,线路上没有运载工具时的承载索,称为空索;线路上按设计车距布满空运载工具时的承载索,称为空载索;线路上按设计车距布满满载运载工具的承载索,称为重载索。
2.1.20 牵引索 hauling rope
牵引客车或货车在承载索上运行的钢丝绳。
2.1.21 运载索 carrying-hauling rope
在单线索道中,既做承载又做牵引用的钢丝绳称为运载索。其中,线路上没有运载工具时的运载索,称为空索;线路上按设计车距布满空运载工具时的运载索,称为空载索;线路上按设计车距布满满载运载工具的运载索,称为重载索。
2.1.22 拉紧索 tension rope
连接拉紧小车与拉紧重锤的钢丝绳。
2.1.23 平衡索 counter rope
在双线往复式客运索道中,绕过拉紧装置,把往复运行的两辆客车连接起来,并起平衡牵引索拉力作用的钢丝绳。
2.1.24 救护索 rescue rope
当索道发生故障时,牵引救援小车将滞留在线路上的乘客运至安全地点的钢丝绳。
2.1.25 钢丝绳的抗拉安全系数 tensile resistance safety factor of steel wire rope
钢丝绳最小破断拉力与最大工作拉力的比值。
2.1.26 编接接头 splice
将牵引索或运载索两端编接在一起的连接段。
2.1.27 套筒 socket
连接钢丝绳的设备,称为套筒。其中,将2根相同规格的承载索连接起来的设备,称为线路套筒;将承载索和拉紧索连接起来的设备,称为过渡套筒;将承载索一端锚固在支座上的设备,称为末端套筒。
2.1.28 鞍座 saddle
在站内或线路支架上支承承载索的设备,称为鞍座。其中,鞍座固定不动的,称为固定鞍座;鞍座在垂直面上可以纵向摇摆一定角度的,称为摇摆鞍座;承载索在鞍座上可在水平和垂直方向弯绕的,称为偏斜鞍座。
2.1.29 托索轮 support roller
在站内或线路支架上承受运载索或牵引索向下作用力的小直径绳轮,称为托索轮。由2个或2个以上托索轮组成的轮组,称为托索轮组。
2.1.30 压索轮 compression roller
在站内或线路支架上承受运载索或牵引索向上作用力的小直径绳轮,称为压索轮。由2个或2个以上压索轮组成的轮组,称为压索轮组。
2.1.31 托索与压索组合轮组 combined roller battery
由托索轮与压索轮组合而成的轮组。
2.1.32 支索器 suspended haul rope support
对于采用双承载索的双线索道,在大跨距内吊装在双承载索上用于支承牵引索或平衡索的装置。
2.1.33 保护桥 protection bridge
建在被保护对象上方的桥式保护设施。
2.1.34 保护网 protection net
建在被保护对象上方的网式保护设施。
2.1.35 垂直救援 vertical rescue
客运索道发生故障时,利用救护设备把滞留在线路上的乘客垂直降落到地面或其他设施上的救援方式。
2.1.36 水平救援 horizontal rescue
沿线路方向转移至附近支架或站内的救援方式。
2.1.37 救援索道 rescue ropeway
客运索道不能运行时,将线路上滞留的乘客救援到安全地点的备用索道。
2.1.38 站房 station
索道线路的起止端站和分段连接的索道设施站,称为站房。通常情况下,在客运索道中,标高较高的端站,称为上站;标高较低的端站称为下站。在货运索道中,进行装载作业的站房,称为装载站;进行卸载作业的站房,称为卸载站。索道线路改变方向时所设置的站房,称为转角站;采用机械设备自动改变索道线路方向的转角站,称为自动转角站。客车或货车在站内完成作业并返回的站房,称为迂回站;客车或货车在站内自动完成作业并返回的迂回站,称为自动迂回站。设有驱动装置的站房,称为驱动站;设有拉紧装置的站房,称为拉紧站。
2.1.39 驱动装置 driving device
驱动运载索或牵引索的装置。其中,驱动轮水平配置时,称为卧式驱动装置;驱动轮垂直配置时,称为立式驱动装置。
2.1.40 拉紧装置 tension device
用于调节运载索、牵引索或平衡索使其保持设计拉力的装置。
2.1.41 脱开器 grip opening rail
客车或货车进站时能使脱挂式抱索器从钢丝绳上自动脱开的装置。
2.1.42 挂结器 grip closing rail
客车或货车出站时能使脱挂式抱索器自动挂结到钢丝绳上的装置。
2.1.43 滚轮 roller
在双线循环式货运索道中承受牵引索较小压力或防止牵引索颤动的小直径绳轮。其中,按钢丝绳的曲率半径并垂直配置的成组滚轮,称为垂直滚轮组;按钢丝绳的曲率半径并水平配置的成组滚轮,称为水平滚轮组。
2.1.44 驱动轮 driving sheave
驱动装置中驱动钢丝绳的绳轮。
2.1.45 迂回轮 return sheave
当索道一个端站采用可移动的驱动与拉紧联合装置时,另一端站固定安装的绳轮。
2.1.46 导向轮 deflection sheave
引导钢丝绳改变方向的绳轮。
2.1.47 主驱动 main drive
有独立的动力源和传动机构,在各种载荷情况下都能带动索道正常运行的驱动系统。对于双线往复式客运索道,主驱动应具有频繁切换运行方向的性能;对于单线循环式客运索道,主驱动以单向运行为主,必要时应有低速反向运行的性能。
2.1.48 紧急驱动 drive emergency
在索道的外部供电、主电气传动或机械设备局部出现故障时,利用备用动力源带动主驱动系统中的传动机构或部分传动机构,也可以是单独的驱动系统,把滞留在线路上的客车低速运回站内的驱动系统。该系统只能在紧急救援时使用,不能做营业性运行。
2.1.49 救援驱动 rescue drive
与主驱动系统脱离,有独立的动力源和传动机构,当索道发生故障时牵引救援小车将滞留在线路上的乘客转移至附近支架或站内的驱动系统。
2.1.50 安全电路 safety control circuit
在索道线路上和站房内设置的由安全装置组成的保障索道安全运行的连锁电路。
2.2 符号
2.2.1 基本参数
S——面积;
H——高差;
l——跨距、轴距、长度;
l'——斜距、弦长;
λ——车距;
υ——运行速度。
2.2.2 钢丝绳
d——承载索、牵引索或运载索公称直径;
σb——钢丝绳的公称抗拉强度。
2.2.3 牵引计算与设备选择
Q——重车重力;
QZ——重车侧集中载荷;
qc——承载索每米重力;
q0——牵引索或运载索每米重力;
T0——钢丝绳初拉力;
Tmax——钢丝绳最大工作拉力;
Tmin——钢丝绳最小工作拉力;
TP——钢丝绳平均拉力;
W——重锤重力;
tr——驱动轮入侧牵引索拉力;
tc——驱动轮出侧牵引索拉力;
f0——货车或客车的运行用力系数;
μ——摩擦系数;
p——比压;
[p]——允许比压、允许径向载荷;
D——绳轮直径;
R——曲率半径;
N——轮压。
2.2.4 线路设计
f——考察点挠度;
α——弦倾角;
β——空索倾角;
θ——重索倾角;
δ——总折角;
ω——体型系数;
ε——钢丝绳承受风力的折减系数;
k——承载索摩擦力的折减系数。
3 索道工程设计基本规定
3.1 风雪荷载
3.1.1 基本风压的取值应符合下列规定:
1 索道运行时应为0.25kN/m2,索道停运时应为1.2kN/m2;
2 最大风速大于44m/s时,应取当地最大风压值。
3.1.2 体型系数的取值宜符合下列规定:
1 密封钢丝绳的体型系数宜取1.2。
2 非密封钢丝绳的体型系数宜取1.3。
3 货车的体型系数宜取1.4。
4 客车的体型系数宜取值宜符合下列规定:
1)运行小车和吊架的体型系数宜取1.6;
2)矩形截面的车厢的体型系数宜取1.2;
3)带圆角的矩形截面三厢的体型系数宜按下式计算:

式中:ω——体型系数;
r——圆角半径(mm);
l1——车厢长度(mm)。
5 托、压索轮组的体型系数宜取1.6。
6 无外罩吊椅体型系数的取值宜符合下列规定:
1)对于空吊椅,体型系数宜按下式计算:
ω=(0.2+0.1n1)/S (3.1.2-2)
2)对于满载吊椅,体型系数宜按下式计算:
ω=(0.4+0.2n1)/S (3.1.2-3)
式中:ω——体型系数;
n1——吊椅人数;
S——迎风面积(m2)。
3.1.3 钢丝绳承受风力的计算长度应按下式计算:
lj=l'×ε (3.1.3)
式中:lj——钢丝绳承受风力的计算长度(m);
l'——弦长(m);
ε——钢丝绳承受风力的折减系数,l'≤200m时,ε应取1.00;l'=900m时,ε应取0.65;l'≥2000m时,ε应取0.50;l'为200m~900m或900m~2000m时,ε应通过线性插值法确定。
3.1.4 冰雪地区钢丝绳上的冰密度宜取600kg/m3,冰雪荷载宜符合下列规定:
1 当钢丝绳的公称直径不大于10mm时,冰层厚度取值宜为20mm,对应的冰雪荷载宜为11.1N/m;
2 当钢丝绳公称直径不小于100mm时,冰层厚度取值宜为25mm,对应的冰雪荷载宜为57.8N/m;
3 当钢丝绳公称直径为10mm~100mm时,对应的冰雪荷载宜通过线性插值法确定。
3.1.5 当风荷载和冰荷载同时作用时,风荷载和冰荷载取值宜符合下列规定:
1 索道运行时,宜按下列组合最不利情况确定:
1)风荷载取计算值,冰荷载按本标准第3.1.4条规定的40%取值;
2)风荷载取计算值的80%,冰荷载按本标准第3.1.4条规定取值。
2 索道停运时,宜按下列组合最不利情况确定:
1)风荷载取计算值的65%,冰荷载按本标准第3.1.4条规定的40%取值;
2)风荷载取计算值的40%,冰荷载按本标准第3.1.4条规定取值。
3.1.6 支架上的风雪及覆冰荷载应符合本标准第3.4节的有关规定。
3.2 线路和站址选择
3.2.1 线路的选择应符合下列规定:
1 索道线路的中心线在水平面上的投影宜为一直线,索距宜保持不变。
2 当线路方向或索距发生改变时,在不计风力和动态影响的情况下,各种载荷情况计算出承载索或运载索在鞍座或托压索轮上的横向水平力不得大于其垂直载荷的10%。承载索或运载索在该支架上的水平偏角不得大于0.005rad。
3 当线路方向改变不能满足本条第2款的规定时,应设置线路转角站。
4 循环式索道线路,宜选择地形起伏和高差不大的地段;往复式索道线路宜选择凹陷地形。
5 索道线路应避开不良工程地质区域或不良影响区域。当受条件限制不能避开时,站房和支架应采取确保索道安全的工程措施。
6 索道线路不宜跨越工厂区和居民区,也不宜跨越铁路、公路、航道和架空电力线路。当货运索道跨越上述设施时,应设置保护设施。当索道和高压线交叉时,宜从高压线下方通过,并应符合国家现行架空电力线路有关标准的规定。
7 建在风景名胜区的客运索道的线路选择,应符合本标准第1.0.5条的规定。
8 索道线路的选择,宜减小索道线路与主导风向的夹角。
9 客运索道线路的选择应便于救援的实施。
3.2.2 站址的选择应符合下列规定:
1 站址地形宜平坦;
2 站址应不占或少占农田;
3 站址应有良好的工程地质条件;
4 站址宜设置在有利于供电、供水、交通和施工的位置;
5 客运索道的站址应便于客流集散;
6 货运索道站址选择应使钢丝绳的进出站角符合站口设计的要求。
3.3 净空尺寸
3.3.1 索道跨越有关设施、区域时,最小垂直净空尺寸应符合表3.3.1的规定。

3.3.2 客货车与内外侧障得物之间的最小水平净空尺寸应符合表3.3.2的规定。


3.4 支架设计
3.4.1 支架设计应符合下列规定:
1 支架宜采用钢结构。有抗震设计要求时,尚应符合现行国家标准《构筑物抗震设计规范》GB 50191的有关规定。
2 气温低于-20℃时,支架承载构件的低温冲击韧性应符合现行国家标准《钢结构设计标准》GB 50017的有关规定。
3 立柱式支架横担和立柱管材及桁架式支架型材等主要承载构件的壁厚,不得小于5.0mm;支架的护栏和爬梯管材和型材等非主要承载构件的壁厚,不得小于2.5mm。
4 支架导向装置应符合下列规定:
1)当客车按本标准表3.3.2中摆动情况横向内摆和纵向摆动0.35rad或货车横向内摆0.14rad和纵向摆动0.20rad时,应能无障碍地通过支架导向装置的导向段和工作段;
2)双线往复式客运索道支架的导向装置,宜为对称于支架纵向中心线的封闭曲线环。
5 当客车按本标准表3.3.2中摆动情况横向内摆和纵向摆动0.35rad或货车横向内摆和纵向摆动0.20rad时,客、货车应能无障碍地通过无导向装置的支架。
6 支架顶部应设置用于安装和维修的起重架。
7 支架顶部应设置带护栏的操作台。对于需要设计成台阶形的操作台,台阶的倾角应与钢丝绳倾角和客货车纵向摆角之和相适应。
8 支架应设置爬梯,并应采取防止非工作人员攀爬的防护措施;当支架高度大于10m时,对于不带防坠绳的支架,爬梯应设置护圈。
9 客运索道钢支架构件的内外表面均应进行防腐处理。
3.4.2 支架计算应符合下列规定:
1 支架计算应包括下列荷载:
1)永久荷载,包括支架结构自重、线路设备自重和各种钢丝绳的自重;
2)可变荷载,包括各种钢丝绳产生的力、客货车重力、风荷载、雪荷载、覆冰荷载;
3)偶然荷载,包括钢丝绳断绳、脱索、撞击、卡车、不同钢丝绳制动力和按现行国家标准《构筑物抗震设计规范》GB 50191确定的地震作用。
2 支架的覆冰荷载计算应符合现行国家标准《高耸结构设计标准》GB 50135的有关规定。
3 支架荷载应分别按索道运行和索道停运工况组合,并应按最不利荷载组合并计入钢丝绳的动力影响进行计算。
4 支架的结构重要性系数应为1.1。
5 钢支架的主要构件应进行疲劳校核。
3.4.3 支架顶部的允许变形宜符合下列规定:
1 索道运行时,托索式支架的横向偏移宜小于高度的0.002倍,纵向偏移宜小于高度的0.003倍;压索式和托、压式支架的横向偏移宜小于高度的0.001倍,纵向偏移宜小于高度的0.002倍。
2 索道停运时,支架的横向偏移宜小于高度的0.005倍,纵向偏移宜小于高度的0.01倍。
3 索道运行时,水平扭转角宜小于0.003rad。
3.4.4 支架基础应符合下列规定:
1 基础设计应符合现行国家标准《建筑地基基础设计规范》GB 50007的有关规定;
2 地基基础设计等级应为甲级;
3 基础周围应有防护及排水设施。
3.5 站房设计
3.5.1 索道站房的配置在满足使用功能、保证人员安全的前提下,宜减少建筑面积。
3.5.2 站房高度应根据地形特征、地质条件、配置方式、设备起吊高度等确定。
3.5.3 有行人或车辆通过的单层站房的站口,必须设置防止横穿线路的隔离设施;高架站房的站口,必须设置防止人员或物体坠落的保护设施。
3.5.4 索道站房边缘高差大于1.0m的悬空处或陡坡处,应设置防护设施。对于站口的悬空处,距离站房地面不超过1.0m的范围内,应设置防护设施。
3.5.5 索道站内应设有检修设备和更换钢丝绳的设施。
3.5.6 客运索道站房应符合下列规定:
1 站房的建筑设计应与当地环境相适应,并与自然景观相协调;
2 客运索道站房的设计必须确保站内的机械设备、电气设备和钢丝绳等不危及乘客和工作人员的人身安全;
3 乘客进出站的通道不得互相干扰;
4 非公共通行的区域应隔离,非工作人员不得入内;
5 在乘客入口处应设有关于乘坐注意事项的告示牌。
3.6 电气设计
3.6.1 索道的供电应符合下列规定:
1 索道宜采用双重电源供电;
2 采用单电源供电的客运索道,应配备能以低速回运全部在线乘客的柴油发电机组或其他形式的内燃机,作为索道的应急电源或驱动源。
3.6.2 索道的电气传动装置应符合下列规定:
1 正常情况下,电气传动装置应能实现索道在各种负载特性下的平稳启动和制动,并能实现索道的反向运行。
2 客运索道主驱动系统的电气传动应采用具有无级调速性能的直流或交流变频的传动方式,传动装置应能实现四象限运行,发电运行时的能量宜能回馈电网。紧急驱动和救援驱动系统的电气传动,宜采用交流或液力传动方式。主驱动系统和紧急驱动系统的电气控制应各自独立。
3 货运索道主传动系统的电气传动,可采用交流或直流传动方式;对于有负力的货运索道,传动装置应能实现四象限运行,发电运行时的能量宜回馈电网。
4 电气传动装置应保持索道运行速度稳定,正常情况下运行速度的变化范围不得大于额定给定速度的±5%。
5 当工作制动器或安全制动器进行紧急制动时,主电机电源应同时自动切断;当进行正常制动时,主电机电源可在索道停止运行时切断。
6 索道应有0.3m/s~0.5m/s的检修速度。
3.6.3 索道的电气控制装置应设置自动和手动两种控制方式,控制方式的切换,应在索道停止运行的状态下进行。
3.6.4 索道必须设置由站内安全装置和线路安全装置组成的安全电路;安全电路在正常工作时必须是闭合回路,并必须通过断开电路的方式实现安全保护。
3.6.5 安全电路的设计除应符合本标准第3.6.4条的规定外,尚应符合下列规定:
1 对于线路安全回路的电源和电压,客运索道不应超过交流有效值25V或直流60V;货运索道不应超过交流有效值50V或直流60V。
2 延迟触发紧急停车时间不应超过500ms。
3 安全功能的屏蔽应通过钥匙开关或类似元件进行,安全功能屏蔽指示应醒目,并应在结束屏蔽时易于识别。
3.6.6 当索道出现下列情况时,安全电路应使索道自动停止运行,并显示故障位置。索道应在排除故障且安全装置经人工复位后,方能重新启动。
1 电气保护动作;
2 站内和线路安全监控装置动作;
3 对于多段驱动的货运索道,当某一段发生故障时,其他区段的索道同时停车。
3.6.7 准备就绪信号应在所需的全部条件具备后才能传递,保证安全的条件没有具备,均不应传递准备就绪信号;索道启动完毕后,准备就绪信号应自动撤销。
3.6.8 运行指令必须在所有涉及安全启动的条件均具备时才能生效。故障停车指令必须优先于其他控制指令。
3.6.9 索道应在下列位置设置独立于可编程控制器PLC的紧急停车按钮:
1 控制台;
2 运载工具控制点;
3 各中间停车点;
4 各站房;
5 各工作平台。
3.6.10 往复式客运索道的客车内宜设置独立于可编程控制器PLC的紧急停车按钮。
3.6.11 索道应在机房、站房、机械设备维修区域等位置设置维修开关。
3.6.12 索道的通信设施应符合下列规定:
1 各站房及控制室之间,应设有内部专用直通电话,并应设有备用通信系统;
2 当索道建在通信信号不能完全覆盖的区域时,至少在一个站房内应装设当地公用外线电话;
3 索道应配备无线对讲设备;
4 当安全功能部分或全部被屏蔽时,工作电话系统应始终保持畅通;
5 对于客车定员在16人及以上的索道,客车与驱动站之间应能直接通话联系;
6 当客车与驱动站之间不能直接通话联系时,应设置广播系统等其他通信方式将信息通知乘客;
7 在停电情况下,客运索道广播系统应保持有效。
3.6.13 在索道沿线主要风口处应设置电传风向风速仪,数据宜在控制台上显示;当风速达到报警值时,应发出报警信号,并自动减速运行;当风速达到20m/s时,索道应自动停止运行。
3.6.14 索道的照明应符合下列规定:
1 各索道站房应设置照明装置,照度标准值宜符合表3.6.14的规定;

2 客运索道的控制室、驱动机室、配电室、柴油发电机房应设置应急照明,照度应符合表3.6.13的规定;
3 夜间运行的客运索道,站房内应设置疏散照明,客车内应设置照明装置,线路支架上宜设置照明装置;
4 夜间运行的货运索道,站口应设置投光灯。
3.6.15 索道的防雷与接地应符合下列规定:
1 索道站房应设置防雷接地设施。防雷接地的冲击接地电阻不得大于5Ω。防雷接地应与站内所有金属构件、电气设备等接地共用同一接地装置,并应采取等电位连接措施。
2 建在雷电频繁地区的索道,宜在承载索或运载索上方设置接闪线,接闪线终端不宜与站房防雷装置连接。
3 线路支架应接地,接地电阻不得大于30Ω。
4 站房应采取防止雷电波形成的高电压从电源入户侧侵入的技术措施。
5 在电源引入的总配电箱处,宜设置过电压保护器。
6 承载索或运载索应与站房防雷接地装置联接,联接点不应少于2个。
7 客车的金属部件与运载索之间,不应实施电气绝缘。
8 安装在站房外部的监控摄像、广播、景观照明等外露电器设备和信号线路,均应安装在接闪器的保护范围内,户外线路应采取屏蔽、等电位连接等措施。
3.7 救援设计
3.7.1 客运索道必须进行应急运行设计和救援设计。
3.7.2 符合下列条件的索道或线路区段,宜采用垂直救援方式:
1 客车离地高度不超过100m时;
2 索道线路地形条件适合乘客疏散时;
3 索道线路气象条件允许时;
4 救援人员能从线路支架进入客车时。
3.7.3 垂直救援设备应符合下列规定:
1 救援设备材料应具有耐磨、抗腐蚀、抗老化及不易摩擦发热的性能。
2 救援设备的设计应符合人体工程学,不应对被救援人员造成伤害,并应符合操作人员的体力限度。
3 救援设备应便于安装和拆卸,并应设置防止意外开启的装置。
4 索道救援设备应进行现场适用性检验,并应验证更换设备或备件的兼容性;设备的使用、存储、维护、检查、测试及报废,应符合应急救援设备的有关标准规定和救援预案的要求。
5 救援设备应设有标识,并应保留完整清晰的使用说明。
3.7.4 符合下列条件的索道或线路区段,宜采用水平救援方式:
1 客车离地高度超过100m时;
2 索道线路地形条件不适合乘客疏散时;
3 索道线路气象条件不允许时;
4 索道线路中有难以进行垂直救援作业的障碍物时。
3.7.5 水平救援设备应符合下列规定:
1 采用水平救援方式的索道或线路区段,宜设置救援索道,救援索道应配置具有独立动力的驱动系统;
2 救援设备的尺寸应能确保救援作业的实施,容量宜按在救援计划规定时间内完成救援作业确定;
3 救援客车与线路客车的连接应方便、安全,并应便于乘客换乘;
4 救援客车应运行平稳;
5 水平救援设备宜安放在待救援位置上,但便于移动需要保管的设备,可放置在室内;
6 在救援客车及救护驱动系统之间应建立无线电直接联络系统;
7 救援设计宜配置夜间救援的照明装置。
3.7.6 对于条件特殊的索道,宜采用水平救援与垂直救援以及其他救援的联合救援方式。
3.7.7 在救援设计时,不应把乘客协助因素计入在内。
3.7.8 在救援设计时,应将救援作业的时间控制在3.5h内。
4 双线循环式货运索道工程设计
4.1 货车
4.1.1 货车的选择应符合下列规定:
1 宜选用下部牵引式货车,但对于凸起地形,线路长度不超过2km且不需要转角的,可选用水平牵引式货车;
2 应选用重力式抱索器,但当有效载荷大于32kN或运行速度大于3.6m/s时,应选用弹簧式抱索器;
3 应根据物料特性选用翻转式货车或底卸式货车;当运输黏结性物料时宜选用底卸式货车;
4 货车容积的利用系数,在运输松散物料时宜采用0.9~1.0;当运输黏结性物料时宜采用0.8~0.9;
5 货箱装料宽度与运输物料最大块度之比,当采用回转式装载设备时,不应小于8;当采用重力装载闸门和其他非振动装载设备时,不应小于4;当采用振动式装载设备时,可小于4。
4.1.2 货车的设计应符合下列规定:
1 货车有效载荷系列宜为10kN、20kN和32kN。
2 货车容积系列宜为0.5m3、0.63m3、0.8m3、1.0m3、1.25m3、1.6m3、2.0m3和2.5m3。
3 运行小车应符合下列规定:
1)有效载荷为10kN时,宜采用2轮式;有效载荷为20kN时,宜采用4轮式;
2)车轮轮缘断面形状应与线路套筒相适应,车轮直径不宜超过280mm;
3)车轮宜设置对承载索有保护作用的耐磨轮衬;
4)各车轮之间应设置载荷平衡装置。
4 货车吊架长度应按货车在承载索倾角最大的支架上纵、横向摆动0.20rad时货车不得接触该支架任何部位的条件确定。
5 货车应设置启闭灵活、锁定可靠、便于货箱自动复位的锁定装置。
6 重力式抱索器的设计应符合下列规定:
1)抱索器的抗滑安全系数不得小于1.3,并应分别校验空车和重车的抗滑力;
2)当牵引索直径变化在±10%范围内,抱索器的夹紧力应满足抗滑要求;
3)计算抱索器抗滑能力时,抱索器钳口与钢丝绳的摩擦系数宜取0.13。
4.1.3 货车的运行速度宜为1.6m/s、2.0m/s、2.5m/s、2.8m/s、3.15m/s、3.6m/s、4.0m/s、4.5m/s和5.0m/s。设置自动转角站或自动迂回站的索道,货车最高运行速度应符合表4.1.3的规定。检修速度宜为0.30m/s~0.50m/s。

4.1.4 货车发车间隔时间应根据索道运量、货车容积、物料性质和装载设备性能确定,宜取12s~40s。
4.2 承载索与有关设备
4.2.1 承载索选择应符合下列规定:
1 承载索应选用密封钢丝绳,公称抗拉强度不宜小于1370MPa。
2 承载索的最小拉力,应符合下列公式的规定:


式中:T0——承载索的最小拉力(N);
N——每个车轮作用在承载索上的压力(N);
n2——每年通过承载索的车轮次数。
3 承载索的抗拉安全系数必须大于或等于3.0。
4.2.2 承载索计算应符合下列规定:
1 每个车轮作用在承载索上的压力,应符合下列规定:
1)对于下部牵引式货车,应按下式计算:

式中:N——每个车轮作用在承载索上的压力(N);
Q——货车重力(N);
q0——牵引索每米重力(N/m);
λ——车距(m);
tφ——牵引索作用在支架上的附加压力(N);侧形平坦时,tφ=(0.2~0.25)Q;侧形复杂时,tφ=(0.3~0.35)Q;
i——每辆货车的车轮数。
2)对于水平牵引式货车,应按下式计算:

2 承载索的最大与最小工作拉力,应按下列公式计算:
Tmax=W±qch+kΣ△T (4.2.2-3)
Tmin=W±qch-kΣ△T (4.2.2-4)
式中:Tmax——承载索的最大工作拉力(N);
Tmin——承载索的最小工作拉力(N);
W——承载索拉紧重锤重力(N);
qc——承载索每米重力(N/m);
h——承载索与计算点之间的高差(m);
k——计算区段内承载索摩擦力折减系数;
∑△T——计算区段内承载索摩擦力的总和(N)。
3 承载索摩擦力的折减系数宜按表4.2.2-1选取:

4 承载索与鞍座之间的摩擦系数宜按表4.2.2-2选取:

4.2.3 拉紧区段划分应符合下列规定:
1 拉紧区段总长内承载索摩擦阻力总和不宜大于承载索拉紧重锤重力的25%。
2 具有多个拉紧区段时,拉紧区段划分应经多方案比较确定;承载索锚固站宜设置在高端,拉紧站宜设置在低端。
4.2.4 承载索拉紧与锚固应符合下列规定:
1 在一个拉紧区段内,承载索宜采用一端重锤拉紧另一端锚固的方式,在拉紧力可测可调的条件下也可采用两端锚固的方式。
2 拉紧重锤宜采用重锤箱。重锤架或重锤井应便于检查和维护,重锤箱应设置刚性导轨;重锤井应设置排水设施。
3 承载索宜采用夹块、夹楔或圆筒锚固方式。
4 采用夹块锚固方式时,应符合本标准第6.2.4条的规定。
5 采用圆筒锚固方式时,承载索在圆筒上的缠绕圈数应以1.5倍最大拉力和0.2的摩擦系数计算确定,但不应少于3圈。圆筒直径不得小于承载索直径的60倍。
4.2.5 拉紧索及其导向轮应符合下列规定:
1 承载索的拉紧索宜选用挠性好和耐挤压的股捻钢丝绳;
2 拉紧索的抗拉安全系数不得小于5.0;
3 拉紧索导向轮直径不得小于拉紧索直径的25倍。
4.2.6 拉紧重锤的行程应计入线路载荷变化引起的重锤位移,以及承载索弹性、温差和结构性伸长所需的调节距离,还应计入0.5m~1.0m的余量。
4.2.7 承载索连接应符合下列规定:
1 在一个拉紧区段内宜采用整根密封钢丝绳,需要连接时应采用楔接线路套筒连接,拉紧索端宜采用巴氏合金浇注连接;
2 承载索与拉紧索的连接应采用过渡套筒,过渡套筒的承载索端应采用加楔连接。
4.2.8 鞍座应符合下列规定:
1 承载索鞍座应采月铸钢或焊接结构,绳槽宜设有带润滑装置的尼龙或青铜衬垫。
2 承载索在鞍座上的比压应满足下式要求:

式中:T——作用在鞍座绳槽上承载索的拉力(N);
d——承载索直径(mm);
R——鞍座绳槽的曲率半径(mm);
[p]——衬垫材料允许比压(MPa)。
3 承载索在支架上的最大折角不大于16°时,应选用摇摆鞍座;大于16°时,可选用固定鞍座。
4 无衬或青铜衬鞍座绳槽曲率半径不应小于承载索直径的100倍,尼龙衬鞍座绳槽曲率半径不应小于承载索直径的150倍,并应同时满足下式要求:
R≥0.5υ2 (4.2.8-2)
式中:R——鞍座绳槽曲率半径(m);
υ——货车的运行速度(m/s)。
4.3 牵引索与有关设备
4.3.1 牵引索应选用线接触或压实股同向捻股捻钢丝绳,公称抗拉强度不宜小于1670MPa。牵引索宜采用出厂前经过预拉伸的钢丝绳。
4.3.2 牵引索的抗拉安全系数不得小于4.5。
4.3.3 传动区段划分应符合下列规定:
1 传动区段划分应根据索道长度、高差、地形等因素确定,宜采用一段传动。
2 对于不能采用一段传动的索道,应划分成多传动区段。对于设有转角站和采用多传动区段的索道,宜将转角站和传动区段的中间站合并设置。
3 在采用多传动区段的索道中,各传动区段牵引索的规格应一致,各驱动装置型式宜相同。
4.3.4 牵引索导向轮和拉紧轮直径与牵引索直径的比值,不得小于表4.3.4中规定的比值。

4.3.5 拉紧装置应符合下列规定:
1 牵引索宜采用重锤拉紧方式。重锤箱应设置刚性导轨。
2 重锤架和拉紧索导绕系统应根据站房高度和地形确定。
3 重锤位置应能调节,并应设置防止重锤移动过快的阻尼装置。
4 当计算拉紧小车的行程时,应计入牵引索截去一次接头所需补偿的长度。
4.3.6 牵引索拉紧轮直径与索距宜相等,并应符合本标准第4.3.4条的规定,拉紧轮应设置软质耐磨衬垫。
4.3.7 拉紧索及其导向轮选择应符合下列规定:
1 牵引索的拉紧索,宜选用挠性好和耐挤压的股捻钢丝绳,公称抗拉强度不宜低于1670MPa;
2 拉紧索的抗拉安全系数不得小于5.0;
3 拉紧索导向轮直径不得小于拉紧索直径的40倍;
4 导向轮应衬软质耐磨衬垫。
4.4 牵引计算与驱动装置选择
4.4.1 牵引计算应符合下列规定:
1 特征点牵引索拉力应采用从拉紧轮两侧分别向驱动轮方向进行计算。
2 牵引计算应按下列载荷情况分别进行:
1)线路上按设计车距布满重车和空车的正常运行情况;
2)线路上按下坡区段缺重车或空车所产生的最不利动力运行载荷情况;
3)线路上按上坡区段缺重车或空车所产生的最不利制动运行载荷情况。
3 缺车区段的长度应按连续不发5辆货车计算。
4 牵引索通过各种导向轮的阻力,应计入牵引索的刚性阻力和导向轮轴承的阻力。
5 计算惯性力时应计入下列质量:
1)牵引索质量;
2)牵引索闭合环内的货车质量总和;
3)货车的装载质量总和;
4)导向轮、滚轮组和驱动装置旋转部分的变位质量。
4.4.2 货车在承载索上的运行阻力系数,对于采用铸钢车轮的货车,制动运行时宜为0.0045,动力运行时宜为0.0065;对于采用铸型尼龙轮衬的货车,制动运行时宜为0.0055,动力运行时宜为0.0075。
4.4.3 牵引索最小拉力的选择应符合下列规定:
1 应保证牵引索在驱动轮上不打滑,并应在垂直或水平滚轮组上稳定靠贴。
2 牵引索的最小拉力应按下式计算:
tmin≥C2q0 (4.4.3)
式中:tmin——牵引索的最小拉力(N);
C2——牵引索最小拉力与牵引索每米重力的比值;
q0——牵引索每米重力(N/m)。
3 牵引索最小拉力与牵引索每米重力的比值应符合下列规定:
1)采用下部牵引式货车的索道,应使货车在线路上具有较稳定的运行速度。C2宜为车距的10倍,但不宜小于600或大于1200。
2)采用水平牵引式货车的索道,牵引索和承载索在跨距内的挠度应接近。
4.4.4 驱动装置的选择应符合下列规定:
1 高架式站房宜采用立式驱动装置;单层站房宜采用卧式驱动装置。
2 应选用摩擦式驱动装置,不宜采用夹钳式驱动装置。
3 摩擦式驱动装置的抗滑安全系数,正常运行时不得小于1.5;在最不利载荷情况下启动或制动时不得小于1.25,并应按下式校核。

式中:tmin——最不利载荷情况下,启动、制动时驱动轮出绳侧或入绳侧牵引索的最小拉力(N);
tmax——最不利载荷情况下,启动、制动时驱动轮入绳侧或出绳侧牵引索的最大拉力(N);
e——自然对数的底数;
μ——牵引索与驱动轮衬垫之间的摩擦系数。采用中等硬度聚氯乙烯或高硬度丁腈橡胶衬垫时,宜取0.20;采用其他衬垫时应以厂家提供的数值为准;
α——牵引索在驱动轮上的包角(rad)。
4 驱动轮衬垫的工作比压,应按下式校核:

式中:tr——驱动轮轮槽入绳端的牵引索拉力(N);
tc——驱动轮轮槽出绳端的牵引索拉力(N);
D——驱动轮直径(mm);
d——牵引索直径(mm);
[p]一一驱动轮衬垫的允许比压(MPa)。
4.4.5 驱动装置电动机的选择应符合下列规定:
1 宜选用交流变频或直流电动机;
2 电动机功率按正常载荷情况计算时应计入功率备用系数,动力型索道应取1.15,制动型索道应取1.30,并应按最不利载荷情况下的启动或制动功率与电动机额定功率的比值不大于电动机过载系数的0.9倍校验。
4.4.6 驱动装置制动器应符合下列规定:
1 制动器应具有逐级加载和平稳停车的制动性能。
2 对于制动型索道和停车后会倒转的动力型索道,应设置工作制动器和安全制动器。对于断电后能自然停车并且停车后不会倒转的索道,可仅设置工作制动器。
3 当运行速度超过额定值的15%时,工作制动器和安全制动器应自动相继投入工作,并应使减速度控制在0.5m/s2~1.0m/s2的范围内。
4.4.7 对于启动时会自然反转的索道,驱动装置宜设置防止反转的装置。
4.5 线路设计
4.5 线路设计
4.5.1 线路配置应符合下列规定:
1 索道侧形宜平滑。
2 在凸起侧形地段内,承载索在每个支架上的弦折角,对于采用下部牵引式货车的索道宜为0.03rad~0.04rad;对于采用水平牵引式货车的索道宜为0.05rad~0.06rad。
3 承载索在每个支架上的最大折角宜为0.10rad~0.15rad,最大不宜超过0.30rad。
4 凸起地段支架的高度不得小于5m,跨距不宜小于20m。在总折角较大并受到地形限制时,可采用带有大曲率半径垂直滚轮组的连环架代替支架群。
5 凹陷地段支架高度应满足在相邻两跨没有货车、承载索拉力增大30%时,承载索不脱离鞍座。
6 跨距与车距水平投影值之比应避开整数值,宜取0.3~0.4,0.85,1.15~1.3,1.75,2.3~2.6,3.45数值。
7 站前第一跨的支架配置应符合下列规定:
1)站前第一跨的跨距宜小于车距,并宜小于60m;
2)承载索仰角进站时,空索倾角应大于站口轨道倾角,空索倾角与站口轨道倾角之差不宜大于0.05rad;
3)承载索俯角进站时,空索倾角应小于轨道倾角,轨道倾角与空索倾角之差不宜大于0.05rad;
4)承载索满载时,承载索倾角不得大于0.15rad。
4.5.2 弦倾角及承载索空索倾角计算应符合下列规定:
1 弦倾角应按下列公式计算:


式中:αz——计算支架左侧的弦倾角(°);
αy——计算支架右侧的弦倾角(°);
hz——左跨支架的承载索的索顶标高之差(m),计算支架高于左侧支架时为正,反之为负;
hy——右跨支架的承载索的索顶标高之差(m),计算支架高于右侧支架时为正,反之为负;
lz——左跨的跨距(m);
ly——右跨的跨距(m)。
2 承载索的空索倾角应按下列公式计算:


式中:βz——计算支架左侧的空索倾角(°);
βy——计算支架右侧的空索倾角(°);
qc——承载索每米重力(N/m);
T——承载索在计算支架上的拉力,检查钢索在支架上的靠贴情况时取最大拉力(N)。
4.5.3 承载索的重索倾角,应按线路上均匀布满货车、其中一辆货车紧靠计算支架左侧或右侧和承载索出现最小拉力的条件确定。
1 承载索的重索倾角应符合下列规定:
1)当一辆货车紧靠计算支架左侧时,应按下列公式计算:


式中:θz、θy——一辆货车紧靠计算支架左侧时,该支架左侧或右侧的重索倾角(°);
τz——左跨载荷分配系数;
τy——右跨载荷分配系数;
Qz——包括牵引索重力在内的货车集中载荷(N);
2)当一辆货车紧靠计算支架右侧时,应按下列公式计算:



式中:θz'、θy'——一辆货车紧靠计算支架右侧时,该支架左侧或右侧的重索倾角(°);
Q——货车重力(N);
qc——牵引索每米重力(N);
λ——车距(m)。
2 载荷分配系数应按下列公式计算:


式中:τ——载荷分配系数;
n3——支架间距内货车数目,按公式(4.5.3-7)计算,仅取整数部分;
α——弦倾角(°);
l——跨距(m)。
4.5.4 考察点的挠度,应按承载索出现最小拉力、线路上均匀布满货车且其中一辆货车正在考察点上方的条件确定。
1 考察点的挠度应按下式计算:

式中:fx——考察点的挠度(m);
x——考察点至左侧支架的水平距离(m);
T'min——相邻支架上承载索最小拉力的平均值(N);
τ'——载荷影响系数。
2 载荷影响系数应按下式计算:

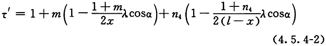
式中:m——考察点左侧货车个数,x≤λcosα时,m=0;x>λcosα时,
(仅取整数部分);
n4——考察点右侧货车个数,(l-x)≤λcosα时, n4=0;(l-x)>λcosα时,
(仅取整数部分)。
4.6 站房设计
4.6.1 站房配置应符合下列规定:
1 站房形式应根据用途、地形、地质和相关车间或运输设备的衔接关系等条件确定。
2 站房配置应简化牵引索的导绕系统。
3 站内离地高度小于2.5m的牵引索和设备运动部件应设置防护设施,货车在站内的净空尺寸应符合本标准第4.6.2条的规定。
4 机械设备与墙壁之间的距离不得小于0.5m,人行通道宽度不得小于1m。站口滚轮组和安装高度超过2m的站内辅助设备,应设置带栏杆的操作平台或检修栈道。
5 对于立式驱动装置宜设置单独驱动机房,机房的平面和空间布置应满足驱动机的起吊和维护要求;驱动机的控制室应设置在操作人员便于观察货车装卸载和进出站的位置。
6 装卸点应采取除尘措施。
4.6.2 货车在站内的最小净空尺寸应符合下列规定:
1 货车在未设置双导向板的轨道段的横向摆动值,在避风站内的直线轨道上宜为0.08rad,在曲线段轨道上宜为0.16rad;在非避风站内均宜为0.16rad。
2 货车的纵向摆动值不得大于0.14rad。
3 在计入货车的纵横向摆动后,货箱在翻转或打开时的最小净空应符合下列规定:
1)离站房地坪不得小于0.2m;离卸载口格筛不得小于物料最大块度加上0.05m;
2)有人通行时距墙不得小于0.8m,无行人通行时距墙不得小于0.6m;距突出物不得小于0.3m。
4.6.3 装载站和卸载站料仓的有效容积应根据索道长度、运输能力、工作制度、检修和处理故障的时间以及相关车间或运输方式的要求确定。
4.6.4 货车装载应符合下列规定:
1 装载设备应根据物料性质和索道运输能力选择;
2 货车装载宜采用内侧装载方式;
3 在装载位置应设置防止货箱摆动的导向板或稳车器;
4 装载口附近应设置待用货车的轨道区段。
4.6.5 货车的卸载与复位应符合下列规定:
1 在料仓顶部宜设有格筛。当卸载区段很长并采用机械推车时,可不设置格筛,但在料仓两侧或中间应设置带栏杆的操作通道。
2 运输松散物料的翻转式货车在运动中卸载时,卸载口长度宜按下式计算:
L≥3υ+l (4.6.5)
式中:L——卸载口长度(m);
υ——货车在卸载口的运行速度(m/s);
l——货箱长度(m)。
3 在卸载站内应设置货车复位装置。
4.6.6 站口设计应符合下列规定:
1 采用下部牵引式货车索道的站口设计应符合下列规定:
1)当承载索的俯角为0.05rad~0.10rad时,可采用无垂直滚轮组的站口设计。当采用无垂直滚轮组的站口设计时,应设置站口托索轮。当货车挂结或脱开时,牵引索应靠贴在站口托索轮上。
2)当承载索为仰角或俯角小于0.05rad时,应设置凹形垂直滚轮组。滚轮组曲率半径应按货车通过时牵引索不脱出钳口和不抬起空车的条件校验。
3)当承载索的俯角大于0.10rad时,应设置凸形垂直滚轮组。滚轮组曲率半径应使牵引索作用在抱索器上的附加压力小于允许值,并应设置防止货车滑向线路的抱索状态监控装置。
2 采用水平牵引式货车索道的站口设计,应符合下列规定:
1)承载索俯角出站时,站口可不设置垂直滚轮组,但应设置托索轮;
2)承载索仰角出站时,凹形滚轮组参数应根据牵引索向上的合力确定。
4.6.7 挂结器与脱开器的设计应符合下列规定:
1 应保证挂结器和脱开器两端的牵引索稳定运行。牵引索在挂结器和脱开器内托索轮上的折角宜为0.01rad~0.02rad。
2 挂结器前和脱开器后牵引索导向轮的安装高度应可调。
3 抱索器与牵引索挂结时,货车的速度应与牵引索的速度一致。
4 挂结器前的轨道加速段和脱开器后轨道减速段的坡度不宜大于10%。
4.6.8 货车的轨道应符合下列规定:
1 轨道宜采用轧制的双头钢轨。
2 轨道及其吊挂系统的计算载荷,在货车不脱开牵引索的轨道段,应按设计车距计算并反乘以动力系数1.1。在货车脱开牵引索的轨道段,应按货车紧密排列计算,可不计动力系数。
3 吊架或吊钩的间距应满足刚度要求,重车侧直线段宜为2m,空车侧直线段宜为2.5m~3.0m,曲线段吊架或吊钩的间距宜根据不同的曲率半径相应减小。每根轨道的吊挂点不得少于2个,且吊挂点离开轨道接头处的距离不得小于0.5m。吊架和吊钩结构应便于调整轨道坡度。
4 凡设有主轨的中间站应设有停放数辆货车的副轨。索道两个端站和中间站的主轨和副轨的总长,应能停放本条索道的全部货车。
5 轨道在平面和立面上的弯曲次数应减少。主轨的最小平面曲率半径应符合表4.6.8的规定。副轨的最小平面曲率半径可采用2m。主轨和副轨的立面曲率半径均不得小于5m。

6 与挂结器或脱开器衔接的轨道,保持2m内不得有平面上的弯曲。
7 轨道的反向弧之间应设置长度不小于1.5m的直线段。
4.6.9 货车的自溜速度应符合下列规定:
1 在等速段不宜大于2.0m/s。
2 在直线段上不宜小于0.8m/s;在曲线段上不宜小于1.0m/s。
3 货车自溜至挂结点的速度应与牵引索的速度一致。
4 货车进入推车机时的自溜速度宜比推车机运行速度大30%~40%。
4.6.10 货车在站内的运行阻力应符合下列规定:
1 货车在直线段轨道上的运行阻力系数,当货车重力不大于7.5kN时,宜为0.0065;当货车重力大于7.5kN时,宜为0.0055。
2 货车在曲线段轨道上的附加运行阻力系数,可按下式计算:

式中:f'o—一货车在曲线段轨道上的附加运行阻力系数;
l——二轮式货车的轴距或四轮式货车平面转向轴的轴距(m);
R——曲线段轨道的平面曲率半径(m)。
3 货车通过站内有关设施的附加阻力换算为高差时,道岔宜为0.07m;卸载挡杆宜为0.01m;螺旋复位器宜为0.1m;单导向板每米宜为0.005m;双导向板每米宜为0.008m。
4.6.11 自动转角站的水平滚轮组应符合下列规定:
1 滚轮的直径不宜小于0.6m,宽度不宜小于0.14m。
2 牵引索在每个滚轮上的折角不宜大于3°或按每个滚轮径向载荷不大于6kN的条件确定。
3 货车通过水平滚轮组时,牵引索作用在抱索器钳口上的水平力不得大于10kN。
4.6.12 自动转角站与自动迂回站应符合下列规定:
1 在距离水平滚轮组或迂回轮进出点的5m处,应各设置一个宽边垂直托辊,宽边托辊上方所对应的轨道应设置凸起过渡段,凸起过渡段两端的轨道宜用半径不小于5m的反向弧连接,反向弧之间宜插入不小于1.5m的直线段。
2 轨道立面过渡曲线应符合本标准第4.6.8条第5款、第7款的规定。
3 货车进出水平滚轮组或迂回轮,应设置轨道曲线过渡段,过渡段反向弧的半径不宜小于12m,反向曲线段之间宜插入不小于1.5m的直线段。
4.6.13 站内辅助设备应符合下列规定:
1 站内轨道、货车装载处和货车复位处宜设置推车设备;
2 对于运输黏结性物料的索道,料仓宜设置物料疏通设备;
3 装载处宜设置可以计量的装载设备;
4 发车位置应设置保证车距或发车间隔时间的发车设备。
4.6.14 双线循环式货运索道电气设计应符合本标准第3.6节的有关规定。
4.7 保护设施
4.7.1 保护设施的设置应符合下列规定:
1 保护网或保护桥的选择应根据技术经济比较确定。索道线路横向陡坡处应设置防止货车或物料滚落后造成安全事故的拦网。
2 保护网底面与跨越设施之间的净空尺寸应按货车坠落冲击的条件校验。
3 保护设施顶面与运动货车底面之间的净空尺寸不得小于货车的最大横向尺寸。
4 保护网的宽度不应小于索距宽度加3m;当货车坠落高度不大于3m时,保护桥的宽度不宜小于索距宽度加2.5m;当索道跨距超过250m时,保护设施的宽度应按承载索和货车均受0.25kN/m2工作风压作用发生偏斜的条件进行校验。
4.7.2 保护网应符合下列规定:
1 保护网应由粗细2层格网组成,细格网孔尺寸不宜大于10mm×10mm。
2 当不允许坠落粉料时,宜铺板或采用其他设施代替细格网。
3 保护网应设置挡边,挡边高度宜为0.5m~1.2m。
4 保护网的跨距不宜大于0.1m。
5 当保护网的跨距大于保护长度时,可仅在保护范围内设置格网。
6 保护网的支架应设置工作梯。
7 保护网的主索宜选用镀锌钢丝绳。
8 保护网的主索应采用两端锚固的方式,其中一端应设置拉紧力调节装置。
9 保护网的计算应符合下列规定:
1)保护网主索的最大工作拉力,应计入保护网承受自重、冰雪载荷、工作温度等因素的影响;
2)保护网主索的抗拉安全系数不得小于2.5;
3)货车坠落的允许高度,应按保护网跨度中间承受一辆重车冲击载荷的条件计算。
4.7.3 保护桥应符合下列规定:
1 保护桥宜采用钢筋混凝土结构或钢结构;
2 保护桥的桥面应设置缓冲设施;
3 保护桥的两侧应设置栏杆和防止坠落物料滚出桥面的侧板;
4 保护桥应设置工作梯。
5单线循环式货运索道工程设计
5.1 货车
5.1.1 货车的选择应符合下列规定:
1 运行速度大于2.5m/s且爬坡角大于30°时,宜选用弹簧式抱索器;
2 运行速度不大于2.5m/s和爬坡角为20°~30°时,可选用四连杆重力式抱索器;
3 线路比较平坦和爬坡角不大于20°时,宜选用鞍式抱索器;
4 采用固定式抱索器时,货车的最大爬坡角不得大于45°;
5 货车选择的其他要求应符合本标准第4.1.1条的有关规定。
5.1.2 货车的设计应符合下列规定:
1 货车的有效载荷系列宜为4kN、7kN、10kN和12.5kN。
2 货车的容积系列宜为0.25m3、0.32m3、0.4m3、0.5m3、0.63m3、0.8m3、1.0m3和1.25m3。
3 货车设计的其他要求,应符合本标准第4.1.2条的有关规定。
5.1.3 货车的发车间隔时间应符合本标准第4.1.4条的规定。
5.2 运载索与有关设备
5.2.1 运载索的选择应符合下列规定:
1 运载索应选用线接触或压实股同向捻带绳芯的股捻钢丝绳,公称抗拉强度不宜小于1670MPa。
2 运载索宜采用出厂前经过预拉伸的钢丝绳。
3 运载索表层钢丝的直径不宜小于1.5mm。
4 当采用鞍式抱索器时,运载索的捻向及捻距应与2个钳口的中心距相适应。
5.2.2 运载索的抗拉安全系数必须大于或等于4.5。
5.2.3 运载索的导向轮及其拉紧装置和拉紧索及其导向轮的选择,应符合本标准第4.3.4条~第4.3.7条的有关规定。
5.3 牵引计算与驱动装置选择
5.3.1 牵引计算应符合本标准第4.4.1条的有关规定。
5.3.2 运载索在托、压索轮组上的阻力系数取值应符合下列规定:
1 对于无衬托、压索轮组,动力运行时宜取0.015~0.025,制动运行时宜取0.01~0.015;
2 对于有衬托、压索轮组宜取0.03~0.04。
5.3.3 运载索的最小拉力,应按下式计算:
Tmin≥C3Q (5.3.3)
式中:Tmin——运载索的最小拉力(N);
C3——运载索引索最小拉力与重车重力的比值。选用四连杆重力式或弹簧式抱索器时,宜取10~12,选用鞍式抱索器时,宜取8~10;运输能力大、高差大或车距小时宜取小值,反之宜取大值。
Q——重车重力(N)。
5.3.4 驱动装置的选择,除应符合本标准第4.4.4条~第4.4.7条的有关规定外,尚应符合下列规定:
1 驱动装置宜采用卧式结构;
2 在多传动区段索道中,宜采用一台卧式驱动装置同时传动两个区段的方式。
5.4 线路设计
5.4.1 索道的最高运行速度不宜超过4.5m/s。
5.4.2 线路配置除应符合本标准第4.5.1条的有关规定外,尚应符合下列规定:
1 站前第一跨的跨距宜为5m~10m;
2 线路上每个托索轮的径向载荷宜相等;
3 对于平坦地段或坡度均匀的倾斜地段,运载索在各支架上的载荷宜接近;
4 凸起地段支架的高度不得小于4m,跨距不宜小于15m;
5 凹陷地段支架的高度,应按最不利载荷条件校验,运载索在托索轮上的靠贴系数不得小于1.3;
6 选用带导向翼的抱索器时,可采用压索支架;
7 运载索的最大倾角不得大于45°;
8 计算支架两侧的倾角和考察点的挠度时,应按本标准第4.5.2条~第4.5.4条中有关公式计算,计算时qc应以q0替换,Qz应以Q替换。
5.4.3 托、压索轮组应符合下列规定:
1 无衬托索轮的直径不宜小于运载索直径的15倍,并应符合300mm、400mm、500mm和600mm的直径系列。
2 单个无衬托索轮上的径向载荷,宜符合表5.4.3的规定。

3 设有软质耐磨衬垫的托、压索轮组应符合本标准第7.4.2条的有关规定。
4 单个无衬托索轮的允许折角,应根据允许径向载荷和运载索的拉力计算确定,但不得大于5°。
5 6轮和8轮托索轮组的大平衡梁,应设置在托索轮内侧,不宜采取重叠设置方式。
6 托、压索轮组宜采用悬吊安装的可调式结构。
5.4.4 单线循环式货运索道保护设施的设计,应符合本标准第4.7节的有关规定。
5.5 站房设计
5.5.1 站房和料仓的设计应符合本标准第4.6节的有关规定。
5.5.2 挂结段的设计应符合下列规定:
1 运载索应采取下列稳定措施:
1)挂结段的两端应设置稳索轮。
2)站口稳索轮与站内稳索轮的平距宜为2.5m~4.0m。站内稳索轮与挂结点的平距不宜大于1.0m。
3)稳索轮宜采用可调式单轮结构,直径不得小于运载索直径的15倍。
4)运载索在每个稳索论上的最小折角,不宜小于0.01rad。
2 挂结段轨道设计应符合下列规定:
1)挂结段轨道应具有稳定性不易变形,轨道头部应与抱索器行走轮的轮缘相适应,并应保证行走轮的横向窜动不大于2mm。
2)挂结段轨道的立面变坡处,应采用曲率半径不小于10m的曲线平缓过渡;站口端轨道应设置坡度与运载索出站角相适应的导向段,端部应为立面曲率半径不小于3m的弧形段。
3)挂结段轨道的平面布置,应能保证抱索器在挂结过程中,不同开度钳口的中心线始终与运载索中心线相重合。轨道与运载索中心线之间的水平距离应能调节。
3 货车的挂结应符合下列规定:
1)采用弹簧式抱索器的货车,挂结前应使钳口处于最大开口状态;采用四连杆重力式抱索器的货车进入挂结段之前,宜设置钳口定向器,在挂结段内宜设置可调式弹性压板。
2)挂结段前轨道的平面曲率半径应符合本标准表4.6.8的规定,且不得小于12m。
3)货车进入挂结段时的横向摆动不得大于0.01rad。轨道下方宜设置限制货车左右摆动的双导向板。抱索器带有定位轮的货车,应设置定位轮导轨。
4)双导向板的结构及要求应符合本标准第5.5.3条的有关规定。
5)抱索器与运载索挂结时,货车的运行速度应与运载索的速度一致。
6)货车通过挂结段时的纵向摆动不得大于0.10rad。
5.5.3 脱开段设计应符合下列规定:
1 运载索的稳定措施,应符合本标准第5.5.2条第1款的规定。
2 脱开段轨道设计应符合下列规定:
1)脱开段轨道的结构、平面形状和支承或吊挂系统,应符合本标准第5.5.2条第2款的有关规定。
2)脱开段轨道的立面变坡处,应采用曲率半径不小于10m的曲线段平滑过渡;站口端轨道应设置坡度与运载索入站角相适应的导向段,端部应为立面曲率半径不小于5m的弧形段。
3 货车的脱开应符合下列规定:
1)货车进入脱开段轨道的导向段前,应采用限制货车左右摆动的双导向板。双导向板工作面的高度,应与站外运载索的挠度相适应。导向板弧形开口的平面曲率半径不得小于5m,并应按货车纵、横向摆动0.20rad的条件进行校验。
2)货车通过脱开段时的横向摆动不宜大于0.01rad,纵向摆动不得大于0.10rad。
3)脱开段之后轨道的平面曲率半径不得小于12m。
5.5.4 采用弹簧式抱索器的索道,站口辅助设备与监控装置应符合下列规定:
1 挂结段应设置加速装置,脱开段应设置减速装置;
2 挂结段应设置运载索位置监控装置、抱索力监控装置和抱索状态监控装置;
3 脱开段应设置运载索位置监控装置和脱索状态监控装置。
5.5.5 货车轨道应符合下列规定:
1 轨道的配置应符合本标准第4.6.8条的有关规定。
2 轨道的支承或吊挂系统应具有稳定性不易变形,轨道坡度应能调节。
3 轨道应减少弯曲次数并应采用尽可能大的平面曲率半径。出站侧的站内轨道与站口轨道宜为同一直线。
4 吊架或吊钩的间距,重车侧直线段宜取2m;空车侧直线段宜取2.5m;曲线段吊架或吊钩的间距宜小于直线段的取值。
5 货车在轨道直线段上的运行阻力系数,当货车重力不大于3.5kN时,宜为0.008;当货车重力大于3.5kN时,宜为0.0065。货车在轨道曲线段上的附加运行阻力系数和通过有关设施时的附加阻力,应符合本标准第4.6.10条第2款、第3款的规定。
5.5.6 转角站的配置应符合下列规定:
1 转角站宜采用以转角平分线为轴线的对称配置方式;
2 货车在转角站内的速度应与索道运行速度相适应,不得采用人工推车;
3 空车侧和重车侧的出口,应设置停放3辆及以上货车的副轨;
4 当转角站货车轨道采用本标准第5.5.5条第3款配置方式时,2个转角轮宜设置在主轨上方。
5.5.7 单线循环式货运索道的电气设计应符合本标准第3.6节的有关规定。
6 双线往复式客运索道工程设计
6.1 客车
6.1.1 乘务员配备应符合下列规定:
1 定员超过15人的客车应配备乘务员;
2 夜间运行的索道,其客车应配备乘务员;
3 对于定员超过15人的车组式索道,每组客车可仅配备乘务员1人。
6.1.2 工艺或设备设计时,定员不超过15人的客车,每位乘客的计算载荷应取740N;定员超过15人的客车,每位乘客的计算载荷应取690N。对于滑雪或登山运动的专用索道,每位乘客的计算载荷应增加100N。
6.1.3 客车计算应符合下列规定:
1 客车的主要载荷应为空车重力、乘客的计算载荷和牵引索对客车的附加压力之和;次要载荷应为风雪荷载、驱动装置或客车制动器的制动力、客车防摆装置的阻力和支架导向装置的阻力。
2 按主要载荷计算时,客车主要承载构件和重要部件的抗拉安全系数,不得小于5.0。在主要载荷和次要载荷联合作用下,特别是在承受扭转和疲劳载荷时,各主要承载构件和重要部件,应校核强度和刚度。
3 吊架头部和末端套筒的销轴,抗拉安全系数不得小于7.5。
6.1.4 运行小车应符合下列规定:
1 车轮应设置软质耐磨衬垫。
2 各车轮之间应设置平衡装置。
3 出现下列情况之一时,空车的各个车轮,不得从承载索上抬起或出轨:
1)客车纵、横向摆动均为0.35rad;
2)牵引索的拉力增大40%;
3)防摆装置的阻尼力或阻尼力矩达到最大值;
4)客车制动器在最不利位置紧急制动;
5)设有客车制动器的双承载索道,客车横向摆动0.10rad;
6)不设客车制动器的双承载索道,客车横向摆动0.20rad。
4 运行小车的两端应设置防止小车出轨的衬有软金属的导靴。导靴的下缘不得高于承载索的底部。
5 在多雪或裹冰地区,运行小车的两端,应设置刮雪或破冰装置。
6 牵引索或平衡索与客车的连接装置,应采用夹索器、夹板和缠绕套筒,不宜采用浇铸套筒。
7 不设置客车制动器的双承载索道,当客车横向摆动0.20rad时,任意一根承载索的载荷,不得小于客车全部载荷的25%。
6.1.5 吊架设计应符合下列规定:
1 吊架头部的销轴应能使车厢在等速运行时保持垂直状态;
2 吊架的高度应按客车在最大坡度处纵向摆动0.35rad时,车厢不得接触承载索或支架任何部位的条件确定;
3 运行速度大于3.6m/s和定员超过15人的客车,吊架与运行小车之间应设置防摆装置;
4 吊架上部应设置带栏杆的活动式或固定式检修平台,并应设置工作梯;
5 吊架与车厢的连接处应设置减振装置。
6.1.6 车厢的设计应符合下列规定:
1 车厢地板的有效面积应按下式计算:
S=0.18n5+0.4 (6.1.6)
式中:S——车厢地板的有效面积(m2);
n5——客车定员;
0.4——乘务员专用工作面积(m2)。
2 乘务员专用工作面积0.4m2,应高于车厢地板平面0.15m~0.2m,应有隔离标识,并应设高位独立座椅。
3 运送站立乘客的车厢,净空高度不得小于2m。
4 车厢内每侧距地板平面0.45m和1.1m的高度上应设置护栏,护栏应能承受每人200N的撞击力。车厢内应设置供站立的乘客使用的拉杆扶手,每个拉杆扶手应能承受392N的拉力。
5 定员超过40人的车厢,应进行局部隔断。
6 车窗玻璃应采用不易破碎的轻质、阻燃的材料,嵌装强度应经过计算和试验验证。
7 车门的开、关应能得到控制,门框最小净空高度不得小于1.9m,门扇内沿应设有软边。车门在闭锁状态下应能承受与车厢壁相同的横向撞击力。
8 手动开关厢门的闭锁装置应便于检查确认;自动开关门的闭锁装置应便于监测,并应满足下列规定:
1)门扇内沿的闭合锁紧力不得超过150N;
2)门扇应设置防止夹伤乘客的防夹系统;
3)门扇在开关前应有声响和灯光提醒;
4)当自动开关门系统失灵时,应能切换至手动开启。
9 车厢应设置顶部舱口,舱口尺寸应能允许直径为0.6m的球形体通过,顶部舱盖不得意外闭锁。
10 车厢应设置到达顶部的扶梯,扶梯应支撑到地板平面并能防止滑动。
11 车厢的结构应满足垂直和水平救援的要求,地板上应设置可拆卸救护舱盖口,舱口应能允许直径为0.6m的球形体通过;面向水平救援装置的厢体端部应设置可拆卸舱门。
12 车厢外部的两侧应设置缓冲导向板或导向装置。
13 车厢应设置通风窗,应以不危害乘客安全的方式开启。通风窗应能防止直径为0.2m的球形体通过。
14 车厢应有内部照明设施和外部聚光照明灯。
15 车厢的地板应防滑并应设置排水口。
16 车厢内应设立标有客车定员和最大载重的铭牌,应有乘客须知及危险提示标志。
6.1.7 客车制动器应符合下列规定:
1 对于单牵引索道,应设置客车制动器。
2 出现下列情况之一时,客车制动器应自动投入工作:
1)牵引索或平衡索断裂;
2)牵引索或平衡索与客车的连接件断裂;
3)速度超过最大运行速度的30%;
4)牵引索的拉力小于5kN。
3 制动力应符合下列规定:
1)客车下行时,不应小于上侧牵引索的最大拉力;
2)采用平均摩擦系数计算时,不应小于重车在线路上最大下滑力的1.5倍;
3)采用最小摩擦系数计算时,不应小于重车在线路上的最大下滑力。
4 制动减速度不得大于1.5m/s2。
5 采用最大摩擦系数计算并计入紧急制动的惯性力时,客车制动器及其构件对于屈服点的安全系数不得小于2.0。
6 在距离长、速度高、定员多或倾角变化大的索道上,宜采用分级制动或自动调节制动力的客车制动器。
7 客车制动器投入制动时,驱动装置上的工作制动器应自动投入工作。
8 在驱动装置以1.2m/s2减速度紧急制动情况下,牵引索或平衡索产生最小拉力时,客车制动器不得产生误动作。
9 在客车制动器制动过程中,横向摆动0.20rad的客车,应通过支架或进入站房。
10 制动衬垫应耐磨,但不得损伤承载索。制动衬垫磨损后,制动弹簧的最小工作载荷不得小于设计允许值。
11 客车制动器应能由乘务员直接操纵。在线路任何位置上,应保证乘务员既能使客车制动器制动,又能使客车制动器松开。
12 客车制动器的控制系统应识别客车的运行方向,并应自动控制两端制动器的制动顺序。
6.1.8 当采取防止牵引索断裂的设计措施并经论证后,单牵引索道可不设置客车制动器。不设置客车制动器的单牵引索道,在运营过程中应遵守牵引索安全的操作规程。双牵引索道可不设置客车制动器。
6.1.9 客车夹索器应符合下列规定:
1 夹索器的抗滑力不得小于重车最大下滑力的3倍;
2 钳口两端应倒圆并宜设置减小牵引索弯曲应力的变刚度装置;
3 新夹索器应有无损探伤合格证书。
6.1.10 空车或重车对承载索中心铅垂线的向内或向外偏斜均不得大于0.05rad。
6.2 承载索与有关设备
6.2.1 承载索的选择与计算应符合下列规定:
1 承载索应选用密封钢丝绳。
2 在一个拉紧区段内承载索应为整根钢丝绳,不得采用线路套筒连接。
3 承载索的最小拉力,对于车厢式索道应符合下列规定:
1)当车轮衬垫的弹性模量不超过5000N/mm2时,应满足下式的要求:

式中:Tmin——承载索的最小拉力(N);
N——车轮的最大轮压(N)。
2)当车轮衬垫的弹性模量超过5000N/mm2时,应满足下式的要求:

3)采用重锤或液压拉紧时,应满足下式的要求:

式中:Q——重车重力(N)。
4)采用两端锚固时,应满足下式的要求:

4 承载索的最大拉力应由下列各项组成:
1)承载索的初拉力。重锤拉紧时为拉紧重锤的重力;液压拉紧时为液压系统的设计拉力;两端锚固时为计算起点的设计拉力。
2)承载索在滚子链上或拉紧索在拉紧索导向轮上的阻力。
3)承载索在鞍座上的摩擦阻力。密封钢丝绳与鞍座上尼龙或青铜衬垫之间的摩擦系数为0.10。
4)由高差引起的承载索重力的分力。
6.2.2 承载索的抗拉安全系数应符合下列规定:
1 正常运行条件下,承载索的抗拉安全系数必须大于或等于3.15;计入客车的制动力时,必须大于或等于2.7。
2 停运时按本标准第3.1.5条确定风荷载和冰荷载时,承载索的抗拉安全系数不得小于2.25。
6.2.3 承载索拉紧应符合下列规定:
1 承载索可采用重锤拉紧、两端锚固或液压拉紧方式。采用两端锚固拉紧方式时,其中一端的拉紧力应可测可调;采用液压拉紧方式时应有失压保护。
2 滚子链曲率半径不得小于承载索直径的90倍。
3 拉紧索及其有关设备的选择应符合下列规定:
1)拉紧索应采用挠性好、抗挤压的股捻钢丝绳;
2)拉紧索的抗拉安全系数不得小于5.5;
3)过渡套筒的螺纹联接应设置防松装置;
4)拉紧索导向轮的直径应符合本标准表6.3.4中的规定。
6.2.4 夹块锚固方式应符合下列规定:
1 夹块的数量应按计算确定。
2 应采用一组夹块工作,另一组夹块备用的双重锚固方式。2组夹块的数量应相同,并应在2组夹块之间留有5mm的观察缝。
6.2.5 圆筒锚固方式应符合下列规定:
1 圆筒的直径不得小于承载索直径的65倍。
2 圆筒表面应衬抗滑耐压材料。
3 承载索在圆筒上的缠绕圈数应以1.5倍的最大拉力和0.2的摩擦系数来计算,并不得少于3圈。
4 承载索的剩余拉力应采用不少于3副夹块锚固在支座上,其中2副应工作,1副可备用。工作夹块与备用夹块之间应留有5mm的观察缝。夹块的抗滑力不得小于剩余拉力的2倍。
5 圆筒上各金属零件的抗拉安全系数不得小于6.0。
6.2.6 承载索的鞍座应符合下列规定:
1 应采用固定式鞍座。
2 有客车通过的鞍座,应符合下列规定:
1)曲率半径R不得小于承载索直径的300倍,并应满足下式要求:
R≥0.5υ2 (6.2.6)
式中:R——固定式鞍座曲率半径(m);
υ——客车通过鞍座时的运行速度(m/s)。
2)当客车车轮磨损10mm和客车按本标准表3.4.2所规定的横向摆动值摆动时,鞍座顶部形状应保证客车顺利通过。
3 重锤拉紧端站口鞍座的曲率半径不得小于承载索直径的250倍。
4 锚固端站口鞍座的曲率半径不得小于承载索直径的200倍。
5 承载索在鞍座上既无倾角变化又无轴向滑动时,鞍座的曲率半径不得小于承载索直径的65倍。
6 鞍座的比压应按本标准的公式(4.2.8-1)计算,计算值不应大于衬垫材料的允许值。
7 在最不利荷载情况下,鞍座两端应留有0.070rad~0.105rad的余量。
8 鞍座衬垫应有润滑装置。
6.2.7 对于跨距大且弦折角为负角的支架,应在鞍座上最小靠贴弧的中部设置防脱索装置 防脱索装置不得妨碍承载索的轴向滑动,也不得影响客车通过。
6.3 牵引索、平衡索、救护索与有关设备
6.3.1 牵引索、平衡索和救护索的选择应符合下列规定:
1 应选用线接触或压实股同向捻带绳芯的股捻钢丝绳;
2 宜选用出厂前经过预拉伸的钢丝绳;
3 宜选用镀锌钢丝绳。
6.3.2 牵引索、平衡索和救护索的抗拉安全系数应符合下列规定:
1 计算牵引索、平衡索和救护索的抗拉安全系数时,应计入索道正常启动或正常制动时的惯性力;
2 牵引索、平衡索和救护索的抗拉安全系数,不得小于表6.3.2的规定。

6.3.3 牵引索、平衡索和救护索的编接与拉紧应符合下列规定:
1 平衡索、无极缠绕的牵引索和救护索的拉紧,应采用重锤或液压拉紧方式;
2 采用重锤拉紧方式时,宜设置防止牵引索重锤快速移动的阻尼装置;
3 双牵引索道的每根平衡索,应采用单独的拉紧装置分别拉紧;
4 双牵引索道的牵引索应分别设置调绳装置。
6.3.4 导向轮和托索轮应符合下列规定:
1 导向轮和托索轮应设有软质耐磨衬垫;
2 导向轮直径与钢丝绳直径之比应符合表6.3.4的规定;

3 托索轮的直径,不宜小于牵引索直径的12倍和救护索直径的10倍;
4 牵引索或平衡索在每个托索轮上的允许折角和允许径向载荷应符合本标准第7.4.2条的规定。
6.4 牵引计算与驱动装置选择
6.4.1 牵引计算应符合下列规定:
1 应求出牵引索和平衡索等速运行时各特征点的拉力;
2 应计算出索道正常启动或制动时的惯性力;
3 应求出驱动轮上出、入侧牵引索拉力之和的最大值;
4 应按重车上行、空车下行和空车上行、重车下行两种载荷情况求出等效圆周力;
5 牵引索的抗滑要求应符合本标准第4.4.4条的有关规定;
6 对于有客车制动器的索道,当驱动机以1.2m/s2的减速度制动时,牵引索或平衡索不得出现使客车产生误动作的最小拉力。
6.4.2 牵引计算时,相关设备的阻力系数应采用表6.4.2中的数值。

6.4.3 驱动装置应符合下列规定:
1 驱动装置应设置主驱动系统和紧急驱动系统。主驱动系统的运行速度应可调,并应具有0.3m/s~0.5m/s的检修速度。紧急驱动系统工作时,应保证在索道最不利载荷情况下启动并低速运行。救护索的驱动装置,可不设置紧急驱动系统。
2 双牵引索道的驱动装置应设置机械差动或电气同步装置。运行速度不大于3m/s的小型双牵引索道,可不设置机械差动或电气同步装置。
3 驱动装置的抗滑性能应符合本标准第4.4.4条的规定。
4 驱动轮装置应设置防断轴的保护装置和检测装置。
5 牵引索和救护索的驱动轮的直径与钢丝绳直径之比,应符合表6.3.4中的规定。

6 驱动轮应设置软质耐磨衬垫。
7 驱动轮衬垫的比压应符合本标准第4.4.4条的有关规定。
8 驱动轮上应设置防止牵引索脱出的装置。
6.4.4 驱动装置的制动器应符合下列规定:
1 驱动装置应设置工作制动器和安全制动器。工作制动器可设置在高速轴或驱动轮上,安全制动器应设置在驱动轮上。对断电后能自然停车且停车后不会倒转的索道的驱动装置或救护索的驱动装置,可仅设置工作制动器。
2 制动器主要受力构件对屈服点的安全系数不得小于3.5。
3 正常工作时,工作制动器与安全制动器不得同时投入工作。
4 紧急制动时的减速度应为0.5m/s2~2.0m/s2。
5 安全制动器应设置手动控制。
6.5 线路设计
6.5.1 索道的运行速度宜符合下列规定:
1 配备乘务员时,在跨距内不宜超过12m/s;过支架时双承载不宜超过12m/s,单承载不宜超过10m/s。
2 不配备乘务员时,在跨距内不宜超过7m/s;过支架时双承载不宜超过7m/s,单承载不宜超过6m/s。
6.5.2 承载索在支架鞍座上的靠贴条件应符合下列规定:
1 空索折角不得小于0.02rad。
2 承载索在支架鞍座上的靠贴力,不得小于在该支架相邻两跨弦长之和的0.5倍的空索上,由0.5kN/m2风压而产生的作用力。
3 当承载索在鞍座上的包角为180°时,在承载索同时承受本条第2款向上作用力和基本风压的横向作用力的情况下的合力应作用在绳槽内。
4 当承载索在鞍座上包角小于180°时,在承载索分别承受0.25kN/m2和1kN/m2风压的横向作用力的情况下,承载索不得离开鞍座绳槽。
5 在下列情况下,靠贴力不得为负值:
1)当承载索最大拉力增加40%;
2)在站内压索式支座处的承载索最小拉力减小40%。
6.5.3 牵引索在支架托索轮组上的靠贴条件应符合下列规定:
1 相邻两跨没有客车、牵引索等速运行和相邻两跨的牵引索承受0.375kN/m2风压的向上风力作用时,靠贴力不得为负值;
2 等速运行的牵引索最大拉力增大40%或驱动装置制动器以1.2m/s2的减速度制动时,靠贴力不得为负值;
3 相邻两跨的牵引索承受1.2kN/m2停运风压的向上风力作用时,靠贴力不得为负值。
6.5.4 当有下列情况之一时,宜采用双承载方案:
1 采用定员不少于60人的客车;
2 线路上有1000m以上的跨距;
3 由于承载索直径过大或长度太长带来制造、运输、安装等困难时。
6.5.5 对于跨距较大的双承载索道,当牵引索拉紧行程过长导致索道运行不平稳时,宜设置支索器。支索器不得影响客车的运行,并应适应2根承载索移动不一致和相对横向摆动的工作状况。
6.5.6 客车的离地高度不宜大于100m。采用水平救护方式的索道,可不受此限。
6.6 站房设计
6.6.1 站房的设计应符合本标准第3.5节的有关规定。
6.6.2 站房应留有客车在极限位置纵向摆动0.35rad的空间。
6.6.3 站台设计应符合下列规定:
1 站台的地坪宜水平。
2 车槽长度不得小于车厢长度的1.5倍;车槽与客车的单侧间隙不得大于50mm;客车出入口处的车槽,应设置具有缓冲作用的导向装置。
3 站台上、下车处的隔离设施应能开闭。
4 未设置隔离设施的车槽两侧的站台不得作为候车区。
6.6.4 重锤间或重锤井设计应符合下列规定:
1 重锺间或重锤井应封闭或设置栏杆;
2 拉紧系统应设置便于观察拉紧行程的标尺;
3 重锤间或重锤井应便于检查和维护;重锤井应设有防水和排水设施;
4 拉紧装置和重锤应分别设置限位开关。
6.6.5 站内轨道与承载索之间应采用保证客车顺利运行的平滑曲线过渡。
6.6.6 电气设计除应符合本标准第3.6节的有关规定外,尚应设置下列装置:
1 不少于2套彼此独立的客车减速信号装置;
2 牵引索和平衡索的断绳监控装置;
3 双牵引索道的差速和差长监控装置;
4 牵引索鞭打或缠绕承载索的监控装置。
7 单线循环式客运索道工程设计
7.1 客车
7.1.1 乘客的计算载荷,应符合下列规定:
1 工艺设计时,每位乘客应为740N;设备设计时,对于单坐吊具,每位乘客宜为880N;对于双坐吊具,每位乘客宜为835N。
2 滑雪专用索道和滑雪与登山兼用索道,工艺设计和设备设计时,每位乘客的计算载荷应增加50N。
3 拖牵式索道工艺设计时,每位乘客应为790N;设备设计时每位乘客应为980N。
7.1.2 客车计算应符合下列规定:
1 客车的主要载荷应为空车重力和乘客的计算载荷之和。
2 次要载荷应为风雪荷载、索道紧急制动时的惯性力、线路和站内各种装置对客车的作用力以及乘客的横纵方向对客车的撞击力。
3 客车各主要承载构件和重要部件的屈服安全系数,在主要载荷作用下除拖牵座外的客车不得小于3.5,拖牵座不得小于4.0;在主要载荷和次要载荷联合作用下,不得小于2.0。
4 客车各主要承载构件和重要部件应进行疲劳验算。
5 对于同一型号的客车应抽样进行疲劳试验。
7.1.3 抱索器设计应符合下列规定:
1 抱索器的结构应能防止事故性松动或松开。
2 抱索器的最大爬坡角应与线路的最大倾角相适应。
3 除拖牵式索道外,抱索器的抗滑安全系数不得小于3.0,并且不得小于重车的重力。拖牵式索道抱索器的抗滑安全系数可不小于2.0。
4 抱索器夹持力应符合下列规定:
1)抱索器的抱索力应由两个及以上的弹簧产生;
2)弹簧应具有当钢丝绳直径减小3%时,应符合本条第3款的规定;
3)当钢丝绳直径减小10%时,夹持力的减小不得大于25%;
4)弹簧最大工作载荷所产生的变形量,不得超过弹簧总变形量的80%;
5)对于碟形弹簧抱索器,当一片碟形弹簧损坏时,夹持力的减小不得大于15%;
6)对于螺旋弹簧抱索器,当一个螺旋弹簧损坏时,夹持力的减小不得大于50%;
7)脱挂式抱索器弹簧的疲劳极限不得少于50万次负载周期。脱挂式抱索器的可靠性不得少于25万次开闭周期试验进行验证。
5 固定式抱索器和脱挂式抱索器的钳口与运载索之间的摩擦系数宜取0.13;当采用特殊设计的钳口或采取其他提高摩擦系数的措施时,钳口与运载索之间的摩擦系数可按试验结果取值。
6 抱索器钳口的形状与尺寸,应与托、压索轮组的轮槽相适应。当客车横向摆动0.35rad时,抱索器应能无障碍地通过托、压索轮组。
7 抱索器的内、外抱卡应采用合金钢锻造,不得采用铸造。在温度低于-20℃环境中工作的抱索器,应选用具有低温冲击韧性的材料。
8 抱索器钳口端部应倒圆。
9 抱索器的导向翼宜采用轻质、弹性、减振和降噪的材料。脱挂式抱索器的行走轮、脱挂轮和定位轮,宜采用轻质、耐磨、减振、抗冲击和降噪的材料。
10 固定式抱索器应能通过驱动轮和迂回轮,通过时所产生的水平折角不得大于9°。
11 固定式抱索器应便于移位,并符合下列规定:
1)移位的间隔时间,应按下式计算:

式中:τ——移位间隔时间(h);
l'——索道线路斜距(m);
υ——客车运行速度(m/s)。
2)固定式抱索器宜向钢丝绳运行的反方向移动,每次移动的距离应为包括导向翼长度在内的抱索器总长加上2倍钢丝绳直径。
12 新抱索器应有无损探伤合格证书。
7.1.4 吊厢设计应符合下列规定:
1 吊杆或吊架的高度,应按吊厢在最大坡度处纵、横向摆动0.35rad时,吊厢不得接触运载索或支架任何部位的条件确定。
2 吊杆、吊架与厢体的连接悬挂部位应设置防松和减振装置。
3 对于采用管状材料的吊杆,弯曲部位的内曲率半径不得小于该截面管径的3倍,弯曲后管材的压缩不应超过该段外径的12%,内弧面应平整光顺,不得有褶皱。
4 吊杆、吊架头部和受力较大部位不得有横向焊缝,内外表面均应做防腐处理,并应防止积水。
5 吊厢的承载悬挂部件和连接部件应便于检查、维护和更换。
6 吊杆、吊架、吊厢的承载悬挂部件、连接轴应进行无损探伤检验,并符合现行业标准《承压设备无损检测 第3部分:超声检测》NB/T 47013.3的Ⅰ级要求。
7 每位乘客的座位宽度,两人单排乘坐时不宜小于500mm,多于两人单排乘坐时不宜小于450mm;座位深度宜为450mm。
8 吊厢内距地板高度1100mm处应设置护栏,护栏应能承受吊厢内乘客每人200N的撞击力。
9 厢体的承载构件宜采用轻质的高强材料;厢体的蒙皮、车门、地板、座椅的椅面等应采用轻质的阻燃材料,地板应能防滑;车窗玻璃应采用不易碎裂的轻质、阻燃材料,嵌装强度应经过计算和试验验证。
10 吊厢厢门的开关应能得到控制,手动开关厢门的闭锁装置应便于检查确认,自动开关门的闭锁装置应便于监测,门扇内沿应设置软边。
11 对于2人、4人手动开关厢门应符合下列规定:
1)门扇打开后进入尺寸不得小于500mm;
2)闭锁后乘客在厢体内不能打开;
3)闭锁状态应能承受乘客每人以200N的横向力撞击时,门扇与厢体不脱开分离;
4)门扇外置锁具、拉手应无危及乘客安全的尖角挂钩;
5)4人吊厢应能两侧开门同时上下乘客。
12 对于6人、8人自动开关的厢门应符合下列规定:
1)门扇的闭合锁紧力,不得大于150N;
2)开关门机构应具备在关闭至开口不大于120mm时受阻,解除阻碍后能自行关闭至闭锁状态的功能;
3)自动开关门系统结构强度应能承受救援人员由吊厢顶部踩踏厢门进入厢内,用于滑雪索道时,尚应承受400N的外挂滑雪板的重量;
4)当自动开关门机构失灵时应能手动打开厢门;
5)门扇打开的尺寸,在进站自动操纵系统操纵开门时不得小于650mm,在为满足残障轮椅进入而特殊辅助手动打开时可至800mm;
6)厢门不得因撞击、振动、大风等因素影响意外开门。
13 吊厢应设置通风窗,应以不危害乘客安全方式开启。通风窗开启的尺寸,应能防止直径为200mm的球形体通过,并应有醒目提醒标志。对于2人、4人手动门吊厢,在门扇上设置通风窗时,应设置防止乘客从厢内打开车门的隔离防护装置。
14 吊厢的底部或旁侧应设置防止客车在站内横向摆动的导向装置。
15 吊厢顶部应采用防滑材料,吊杆或吊架应设置相应的安全绳及救护设施的固定点,应能满足救援、检查、维护的要求。
16 吊厢的地板应防滑,并应设有排水口。
17 吊厢内应设置产品铭牌,应明确允许的最大乘客载荷(kg)及定员,以及乘客安全行为提示。
18 对于新型号吊厢及改进吊厢应进行样厢静力试验及50万次样厢疲劳试验检测。
7.1.5 吊篮设计可按本标准第7.1.4条执行。
7.1.6 吊椅设计应符合下列规定:
1 吊椅的设计应便于乘客上下车。
2 吊杆或吊架的高度,应按吊椅在最大坡度处纵、横向摆动0.35rad时,吊椅的突出部分不得接触运载索或支架任何部位的条件确定。
3 吊椅的承载部件和连接部件应便于检查。
4 吊杆与吊架和吊架与座椅之间的连接应有防松装置。
5 吊椅应设有安全扶手和脚踏板。但运行时间少于5min时,可不设脚踏板。靠背和椅面之间的夹角宜为1.6rad,整个座椅宜向后倾斜0.2rad。
6 每位乘客的座椅宽度不宜小于450mm,深度宜为450mm。
7 采用脱挂式抱索器的吊椅,吊杆与吊架之间应设置减振装置。
8 应控制各主要承载件的焊接质量,对同一型号的吊椅应抽样进行静力试验。
7.1.7 拖牵座设计应符合下列规定:
1 拖牵座的设计应便于滑雪者使用。
2 空拖牵座纵向摆动0.15rad或在最不利运行情况下,拖牵座与绳轮、保护装置等设施不得挂碰。
3 拖牵盒应能保证拖牵索在最大伸长长度时,按设定速度收回,在缩回过程中不得刮伤乘客也不得损伤拖牵座。
7.1.8 客车的最小发车间隔时间,应符合表7.1.8的规定。

7.2 运载索与有关设备
7.2.1 运载索的选择应符合下列规定:
1 应选用线接触或压实股同向捻带绳芯的股捻钢丝绳;
2 宜选用出厂前经过预拉伸的钢丝绳;
3 宜选用镀锌钢丝绳。
7.2.2 运载索的抗拉安全系数应符合下列规定:
1 运载索的抗拉安全系数必须大于或等于4.5。
2 停运时按本标准第3.1.5条确定风荷载和冰荷载时,运载索的抗拉安全系数不得小于2.25。
7.2.3 运载索的拉紧装置可采用液压、重锤或其他能使运载索保持设定拉力的装置。各种装置都应留有拉紧行程,并应在极限位置设置限位开关。液压和重锤拉紧装置应符合下列规定:
1 液压拉紧装置应符合下列规定:
1)拉紧装置应能显示油压、油温;
2)拉紧装置应使拉紧力的变化保持在±5%范围内,当拉紧力的变化为±5%~±10%时,应能自动调整到±5%的范围内;
3)当油压超过额定值的±10%时,索道应能自动停车;
4)液压泵宜采用间歇工作制;
5)液压系统应设置手动控制装置;
6)对低温环境中工作的液压装置应采取抗低温措施。
2 重锤拉紧装置应符合下列规定:
1)拉紧索应采用挠性好和耐挤压的股捻钢丝绳;
2)拉紧索的抗拉安全系数不得小于5.5;
3)应设置调节重锤位置的装置;
4)拉紧索导向轮的直径,不得小于拉紧索直径的40倍;
5)拉紧索的导向轮应设置软质耐磨衬垫。
7.2.4 拉紧轮或迂回轮设计应符合下列规定:
1 拉紧轮或迂回轮的直径不得小于运载索直径的80倍。对于拖牵式索道,拉紧轮或迂回轮的直径不得小于运载索直径的60倍。
2 拉紧轮或迂回轮应设置软质耐磨衬垫。
3 对于采用固定式抱索器的客车,拉紧轮或迂回轮的轮缘和护圈,应与客车的抱索器和吊杆相适应。
4 拉紧轮或迂回轮应设置断轴保护装置和检测装置。
5 拉紧轮或迂回轮应设置防止运载索从绳槽中脱出的装置。
7.3 牵引计算与驱动装置选择
7.3.1 运载索的最小拉力,当客车定员不超过2人时,运载索的最小拉力不宜小于重车重力的20倍;当客车定员超过2人时,运载索的最小拉力不宜小于重车重力的15倍。
7.3.2 运载索的最大工作拉力,应在最不利载荷情况下计入下列数值:
1 从拉紧装置开始的初拉力;
2 由高差引起的运载索重力和重车重力的分力;
3 托、压索轮组的阻力;
4 站内各相关设备的运行阻力;
5 液压或其他拉紧装置拉紧力的增加值,但重锤拉紧装置的拉紧力增加值忽略不计;
6 运载索的最大工作拉力不计入索道启动、制动时的惯性力。
7.3.3 牵引和线路计算时,运载索在橡胶衬托、压索轮组上的阻力系数应为0.03;其他站内设备的阻力系数应按本标准表6.4.2取值;拖牵式索道的滑雪者在拖牵道上的阻力系数应取0.10。
7.3.4 牵引计算应符合下列规定:
1 牵引计算应求出运或索等速运行时各特征点的拉力。
2 牵引计算应求出索道正常启动或制动时的惯性力。
3 牵引计算应求出驱动轮上出、入侧运载索拉力之和的最大值。
4 牵引计算应求出驱动轮在下列载荷情况下的圆周力:
1)重车上行、空车下行;
2)空车上行、重车下行;
3)重车上行、重车下行;
4)空车上行、空车下行;
5)空索运行时。
5 对于单线脉动循环固定抱索器车组式客运索道,应求出驱动轮在本条第4款第1项~第4项载荷情况下的圆周力。
7.3.5 驱动装置应符合下列规定:
1 驱动装置除应设置主驱动系统外,还应设置紧急驱动系统。每条索道的2套驱动系统不得同时投入工作。
2 采用主驱动系统驱动索道时,在空索状态下正常运行时的索道运行速度应保持不变;在最不利载荷情况下,索道运行速度的变化范围不得大于额定速度的±5%,索道启动加速度不宜小于0.15m/s2。
3 索道应具有0.3m/s~0.5m/s的检修速度。
4 驱动轮装置应设置防断轴的保护装置和检测装置。
5 驱动轮的直径不得小于运载索直径的80倍。对于拖牵式索道,驱动轮的直径不得小于运载索直径的60倍。
6 驱动轮应设置软质耐磨衬垫。
7 驱动装置的抗滑性能和驱动轮衬垫的比压,应符合本标准第4.4.4条的有关规定。
8 驱动轮上应设置防止运载索脱出的装置。
9 驱动装置应设置工作制动器和安全制动器。制动器的设置和性能应符合下列规定:
1)工作制动器可设置在高速轴或驱动轮上,安全制动器应设置在驱动轮上。对于断电后能自然停车,并且停车后不会倒转的索道,驱动装置可仅设置工作制动器。
2)在最不利载荷情况下,工作制动器和安全制动器的平均减速度均不宜小于0.4m/s2。
3)当正常制动时,工作制动器的减速度不得大于1.5m/s2。
4)安全制动器应能手动控制。
5)正常制动时,工作制动器与安全制动器不得同时投入工作。
10 对于采用固定式抱索器的客车,驱动轮的轮缘和护圈,应与客车的抱索器和吊杆相适应。
11 对于拖牵式索道,可仅设置主驱动系统;当运行速度大于2m/s时,主驱动系统应能调速;主驱动系统宜设置防倒转装置。
7.4 线路设计
7.4.1 索道运行速度应符合下列规定:
1 对于脱挂抱索器索道,吊厢式不宜超过6.0m/s,吊椅或吊篮式不宜超过5.0m/s。
2 对于单线脉动式客运索道不宜超过5.0m/s。
3 对于固定抱索器索道,当客车定员不超过2人时,吊厢或吊篮式不宜超过1.1m/s,吊椅式不宜超过1.3m/s;当客车定员超过2人时,吊厢或吊篮式不宜超过0.8m/s。
4 用于滑雪的固定抱索器吊椅索道,1座或2座吊椅式不宜超过2.5m/s,3座或4座吊椅式不宜超过2.3m/s,6座吊椅式不宜超过2.0m/s。
5 高位拖牵式索道不宜超过3.5m/s;低位拖牵式索道不宜超过2.0m/s。
7.4.2 托索轮组和压索轮组设计应符合下列规定:
1 托索轮和压索轮的直径应符合下列规定:
1)托索轮直径不宜小于运载索直径的10倍~12倍;压索轮直径不宜小于运载索直径的8倍~10倍。
2)对于拖牵式索道,当运载索直径不大于16mm时,托、压索轮直径不得小于200mm;当运载索直径大于16mm时,托、压索轮直径不得小于250mm。
3)对于采用大直径托、压索轮的拖牵式索道,当运载索在支架上的最大折角不大于17°时,直径不得小于运载索直径的40倍;当运载索在支架上的最大折角大于17°时,直径不得小于运载索直径的60倍。
2 托、压索轮应设置软质耐磨衬垫。
3 每个有衬托、压索轮的允许径向载荷,应按下式计算:
[p]=pD2d (7.4.2)
式中:[p]——每个有衬托索轮的允许径向载荷(N);
p——软质耐磨衬垫的比压,根据衬垫材料的性能P可取0.2MPa~0.5MPa;
D2——托、压索轮新衬垫绳槽底部的直径(mm);
d——运载索直径(mm)。
4 运载索在每个托、压索轮上的允许折角不宜大于4°。
5 托、压索轮组宜采用悬吊安装的调式结构。
7.4.3 托、压索轮组的安全装置必须符合下列规定:
1 托、压索轮组中每个2轮组之间的内侧均必须设置挡索板,外侧必须设置捕索器。
2 8轮及以下托、压索轮组的两端和10轮及以上托、压索轮组的两端和中部,必须设置运载索脱索时索道能自动停车的监控装置。
3 在压索式支架上必须设置运载索脱索后的二次保护装置。
4 托、压索轮组两端头的挡索板的两端应设置导向段。
5 捕索器工作面的边缘应修圆,捕索器应保证脱索时不损伤运载索。
7.4.4 运载索在支架托索轮组和压索轮组上的靠贴条件应符合下列规定:
1 运载索在每个托索轮上的最小靠贴力不得小于500N,并应按下式计算:
Pmin=500+50[d-(D1-D2)] (7.4.4)
式中:Pmin——最小靠贴力(N);
d——运载索的直径(mm);
D1——托索轮外轮缘直径(mm);
D2——托索轮新衬垫绳槽底部直径(mm);
(D1-D2)/2的值应大于d/3,且不得小于10mm,D1应大于新衬垫的最大直径。
2 运载索在每个托索式支架上的靠贴力不得小于下列数值:
1)索道匀速运行时,应为在该支架两侧较大1跨内的空索或空载索上,由0.25kN/m2风压而产生的作用力的1.5倍。
2)索道停运时,应为在该支架相邻两跨斜长之和的0.5倍的空索或空载索上,由0.8kN/m2风压而产生的作用力。
3 对于拖牵式索道的托索式支架,在空索状态匀速运行时,运载索在该支架上的靠贴力,当采用托索轮组时不得小于500N;当采用大直径托索轮时不得小于900N。
4 对于弦折角为负值的托索式支架,在最不利载荷情况下,运载索的拉力增大40%时,运载索不得离开托索轮。
5 运载索在每个压索式支架上的靠贴力,不得小于在该支架两侧较大1跨内的重索上,由0.25kN/m2风压而产生的作用力的1.5倍。
6 对于拖牵式索道的压索式支架,在空索状态匀速运行时,运载索在该支架上的靠贴力,当采用压索轮组时不得小于1000N,当采用大直径压索轮时不得小于1800N。
7 当运载索的最小拉力减小20%,有效载荷增大25%时,运载索不得离开压索轮。
8 对于采用托索与压索组合轮组的支架,当运载索在该支架上所受的向上和向下的合力为零时,每个托压索轮上的最小靠贴力应符合本条第1款的规定,在其他情况下,运载索不得离开联合轮组中靠贴力较小的托索或压索轮。
7.4.5 支架配置应符合下列规定:
1 对于采用脱挂式抱索器的索道,当运载索俯角出站时,站前第一跨的运载索宜导平,且站前第一跨的跨距不得小于最大制动距离的1.2倍。
2 运载索的最大倾角不得大于45°。
3 对于客车均匀分布的单线循环式索道,当一个跨距内有数辆客车时,重载索与空载索在该跨端部的倾角之差不宜大于0.15rad。对于脉动式索道,重载索与空载索在该跨端部的倾角之差不宜大于0.225rad。
7.4.6 客车底面的离地高度应符合下列规定:
1 吊椅式索道不宜大于15m。当索道线路每侧凹陷地段长度,不超过200m时可达20m,不超过50m时可达25m。
2 吊篮式索道不宜大于25m。当索道每侧凹陷地段长度,不超过200m时可取30m,不超过50m时可取35m。
3 吊厢式索道不宜大于45m。当跨距内吊厢不超过5辆时,索道每侧凹陷地段的离地高度可取60m。
7.4.7 拖牵式索道的线路配置应符合下列规定:
1 拖牵式索道的线路配置,应满足不得将乘客向上拖起离开拖牵道的要求,但紧急制动时可不受此限。
2 低位拖牵式索道的水平长度不宜大于300m。
3 对于低位拖牵式索道拖牵道的向上纵向坡度,当乘客握住运载索上的把手时,不得大于25%;当采用拖牵座时,不得大于40%。
4 对于高位拖牵式索道拖牵道的向上纵向坡度,当采用单人拖牵座时,不得大于60%;当采用双人拖牵座时,不得大于50%。
5 拖牵式索道的拖牵道不宜有纵向向下坡度。
6 拖牵式索道拖牵道的横向坡度:当采用单人拖牵座时,不得大于10%;当采用双人拖牵座时,不得大于5%。
7.5 站房设计
7.5.1 站房设计应符合本标准第3.5节的有关规定,并应符合下列规定:
1 站口设备、站内主要设备和脱挂式抱索器的站内主要轨道,宜采用地面支撑方式进行配置。地面支撑构件应进行刚度校核。
2 对于有站房的索道,控制室宜设置在便于观察客车进、出站和乘客上、下车的位置。控制室应能隔声、通风和调温。索道的控制设备、控制按钮和计量仪表,宜集中设置在控制室内。对于无站房的索道、控制室可单独设置。
3 站房的地坪宜水平,当有纵向坡度时,坡度值不得大于10%。站内地面应防滑。
7.5.2 对于采用固定抱索器的吊椅或吊篮式索道,站房的设计应符合本标准第7.5.1条的规定,并应符合下列规定:
1 吊椅索道的上、下车段,应设有标志。在距离下车段前8s时,宜设有提示收回扶手及脚踏板的明显标志。
2 在吊椅索道的上、下车段内,站台与吊椅椅面之间的高度宜为0.5m。
3 在上、下车段附近应设置紧急停车按钮。
4 吊椅式索道上车段的长度,对于旅游索道,应为吊椅在5s内所运行的距离;对于滑雪专用索道,应为吊椅在3s内所运行的距离。
7.5.3 对于采用脱挂抱索器的车厢、吊篮或吊椅式索道,站房的设计应符合本标准第7.5.1条的规定,并应符合下列规定:
1 单独设置的驱动机室应能隔声并应设置通风设施,控制室的温度宜保持在10℃~26℃。
2 每条索道至少应在一个端站内设置车库。
3 乘客在站内上、下车时客车的运行速度,吊厢或吊篮式索道不宜大于0.5m/s;吊椅式索道宜为1.0m/s;滑雪专用吊椅式索道宜为1.3m/s。
4 对于吊厢或吊篮式索道,站内应设置防止客车横向摆动的并与客车底部导向装置相适应的导轨。
5 对于吊厢或吊篮式索道,上、下车站台宜与客车地板齐平。
6 推车系统加、减速器宜利用由运载索输出的动力直接驱动。
7.5.4 采用脱挂式抱索器的索道,应在站内设置下列装置和系统:
1 抱索状态监控装置;
2 脱索状态监控装置;
3 抱索力监控装置;
4 钢丝绳位置监控装置;
5 加减速及推车系统的速度监控装置;
6 对于自动开关门吊箱索道,设置开关门监控装置;
7 客车的排车和防撞系统。
7.5.5 对于拖牵式索道,起点站和终点站的设计应符合本标准第7.5.1条的规定,并应符合下列规定:
1 起点站和终点站的设计,应能防止乘客与驱动装置、拉紧装置、基础、支架和其他结构件相接触。
2 上车段的长度和上车点的位置,应根据索道运行速度、拖牵座形式和站内托索轮位置确定。
3 上车道前的候车区,应设立候车标志和引导乘客通向上车点的栏杆。上车道的设计,应便于乘客观察上车段。接近上车点的上车道,宜采用水平或微小的下坡坡度进行布置。
4 下车段的长度、下车点位置和下车道后的出口坡度,应根据索道运行速度、拖牵座形式和站内托索轮位置确定。
5 下车段宜采用水平或微小的下坡坡度进行布置。
6 下车点与运载索终点轮的距离,对于有拖牵盒的拖牵座不得小于拖牵座16s内所运行的距离,当拖牵盒的拖牵索长度小于2.5m时,则不得小于拖牵座11s内所运行的距离;对于有伸缩杠的拖牵座不得小于拖牵座6s内所运行的距离。
7 在上车点、准备下车的提示点、下车点、快速离开的提示点等位置,应设有标志。
8 当乘客在下车段未能离开拖牵座、拖牵杆未能收到正常位置可能造成事故或乘客滑近终点站可能出现危险时,索道应能自动停车。
7.5.6 单线循环式客运索道的电气设计应符合本标准第3.6节的有关规定。
8 索道工程施工
8.1 一般规定
8.1.1 索道工程的施工应具备下列技术文件:
1 索道设计说明书、施工图、设备材料清单以及其他设计文件;
2 机电设备产品合格证;
3 钢结构产品合格证或现场制作单位的质量证明文件,焊缝检查记录和预组装合格证;
4 钢丝绳产品质量证明书;
5 标有各测量桩点实测位置与实测标高的测量资料。
8.1.2 施工组织设计或施工方案应根据设计要求和复杂程度编制。
8.1.3 安装工程开始前,应复验与安装有关的土建基础工程,不合格的土建基础不得安装。
1 钢结构和设备基础的允许偏差,应符合表8.1.3的规定。


2 采用锚栓预埋装置的支架基础和其他基础,锚栓预埋应准确定位、测量合格并应固定牢固后方可浇灌混凝土。
8.1.4 钢结构的运输与存放应符合下列规定:
1 钢结构件应便于运输。客运索道钢结构宜采用热镀锌处理。附件及联接零件应单独进行标记。
2 钢结构在存放和搬运时,应能防止产生永久性变形,不得积水,并应防止底漆或热镀锌层的脱落。
8.1.5 索道工程施工前,应对安装设备及钢结构进行验收,不满足设计要求的产品不得交付安装。
8.1.6 机械设备的检查与安装应符合下列规定:
1 对于运输与保管过程中不能防止灰尘或杂物进入运动部位的机械设备,在安装前应进行解体检查和二次清洗,宜重新更换全部润滑剂;
2 机械设备安装应符合设备技术文件的规定,并应符合现行国家标准《机械设备安装工程施工及验收通用规范》GB 50231的有关规定。
8.1.7 电气设备的检查、保管、施工和安装,应符合电气装置安装工程施工及验收有关要求。
8.1.8 钢丝绳的安装应符合下列规定:
1 承载索和牵引索各种套筒的楔接或铸接以及运载索和牵引索的编接应满足质量要求;
2 套筒的分布位置及试验记录、套筒楔接或铸接的操作记录、运载索或牵引索的编接记录、检查结果、操作及检查人员均应记录。
8.2 钢结构安装
8.2.1 采用螺栓联接的钢结构,应在制造现场预组装,并应出具预组装合格证书。
8.2.2 在安装钢结构前,反检查并消除运输与存放过程中所产生的变形或缺陷。
8.2.3 永久性的普通螺栓连接,应接触紧密、连接牢固、有防松措施,外露丝扣不得少于2扣。高强度螺栓连接应符合现行国家标准《钢结构工程施工质量验收标准》GB 50205的有关规定。
8.2.4 钢结构的安装应符合下列规定:
1 索道纵横向中心线控制桩应由钢结构基础顶面设计中心点引出,并应用测量仪器控制钢结构的垂直偏差。
2 钢结构就位前,基础四角每一组锚栓中,应采用预先拧上一个螺母的方法,调整钢结构的垂直偏差。
3 每段钢结构偏差应逐段测量并控制。在安装上段钢结构时,应消除或减小下段钢结构的累积偏差,应防止连续出现同向偏差。对于桁架式钢结构支架,应校正每一层水平格的对角线尺寸,允许偏差应为对角线长度的1/1000。首层钢结构校正后应初步拧紧主肢底部的锚栓。
4 钢结构之间的联接面应接触紧密,接触面不应少于70%。
5 桅杆式钢结构的拉索,应从低排向高排顺序安装和拉紧。每一排拉索,应按对角线方向,成对地调节拉力,边观测边调节,直至达到设计拉力。
6 钢结构安装的允许偏差,应符合表8.2.4的规定。

8.2.5 已安装的钢结构,在测量或校正时,应避开风力、日照、温差等所造成的变形影响。
8.2.6 对于可调式或采用可调式线路设备的钢支架或钢结构站房,安装允许偏差可大于本标准表8.2.4的规定,但线路设备的安装应符合本标准第8.3节的有关规定。
8.2.7 钢结构就位并检查合格后,二次灌浆时宜采用无收缩灌浆料或比基础混凝土强度等级高一级的细石混凝土。二次灌浆层应密实平整,厚度不宜小于50mm。
8.2.8 钢结构固定后,脱落的热镀锌层、底漆、面漆以及安装连接处,应在除锈合格后采取防腐处理。
8.3 线路设备安装
8.3.1 单线循环式索道托、压索轮组的安装应符合下列规定:
1 托、压索轮组的绳槽中心线应与运载索中心线吻合,偏移或偏斜的最大横向值,不得大于索距的1/2000和运载索直径的1/15。
2 各托、压索轮绳槽中心面,在承受牵引索的空索载荷后的垂直度允许偏差应为1/1000。
8.3.2 单线循环式索道线路监控装置的安装应符合下列规定:
1 控制回路应配线整齐、绝缘良好、连接牢固。在可动部位两端,应用卡子固定牢固,并应留出裕度,不应使导线受到机械应力和磨损。
2 应对线路监控装置进行模拟试验。
8.3.3 固定鞍座的安装应符合下列规定:
1 衬垫应镶嵌密实,绳槽应平整光滑,各润滑点油路应畅通,绳槽应均匀涂上润滑油。
2 绳槽中心线应与承载索中心线吻合,偏移或偏斜的最大横向值,不得大于索距的1/2000和承载索直径的1/15。
3 托索轮组绳槽中心线应与牵引索中心线吻合,偏移或偏斜的最大横向值,不得大于牵引索直径的1/10。
4 托索轮组中的每个托索轮均应调整到设计位置。
5 对于采用双承载索的双线往复式客运索道,每侧承载索固定鞍座的绳槽的允许偏差,应符合本条第2款的规定,两个绳槽的间距和平行度的允许偏差为0~2mm,同一横截面绳槽中心标高的允许偏差为±2mm。
8.3.4 货运索道摇摆鞍座的安装应符合下列规定:
1 绳槽应清理干净并均匀涂上润滑脂;
2 绳槽的允许偏差,应符合本标准第8.3.3条第2款的规定;
3 中心轴水平度的允许偏差为2/1000;
4 水平牵引式索道摇摆鞍座的托索轮绳槽中心线,应与牵引索中心线吻合,偏移不得大于1.5mm,偏斜不得大于1/1000。
8.3.5 偏斜鞍座的安装应符合下列规定:
1 绳槽的清理和允许偏差,应符合本标准第8.3.4条第1款、第2款的规定;
2 偏斜鞍座底面对设计平面的倾斜度的允许偏差为2/1000;
3 轨道中心线应与承载索中心线吻合,偏移不得大于1.5mm;
4 应检查弹性轨道的变形,并应校正弹性轨道的对称度。
8.4 钢丝绳安装
8.4.1 承载索、运载索、牵引索、平衡索和救护索的展开应符合下列规定:
1 绳盘损坏、钢丝锈蚀、铭牌或证书不符合设计要求时不得展开。
2 钢丝绳的展开应采用装有制动器和专用绳盘的放绳装置,放绳装置应有专人操作。
3 钢丝绳宜支承在支架上或特制的托滚上展开。
4 在钢丝绳的展开过程中,应保持施工组织设计规定的拉力,应防止钢丝绳受到磨损、擦伤、弯折、打结、开裂、松散等损伤,不得在土壤、岩石、树桩、钢结构或钢筋混凝土构筑物上拖牵钢丝绳,不得将钢丝绳浸泡在水中。
5 钢丝绳展开时,沿线立配备专人观察钢丝绳的展开情况;钢丝绳端部应有随行人员观察;所有观察人员应配备与指挥人员联系的通信工具。
8.4.2 承载索的起吊应符合下列规定:
1 起吊前应检查承载索表面的涂油情况,受到破坏的涂油层宜补涂;
2 起吊前应逐个清理润滑各种鞍座;
3 在起吊过程中应防止承载索过度弯曲;
4 起吊时宜采用两端带有托座的起吊横梁,不应单点起吊承载索。
8.4.3 承载索的连接应符合下列规定:
1 线路套筒与支架鞍座横向中心线之间的距离,不得小于该支架鞍座总长的15倍。
2 紧靠线路套筒、过渡套筒和末端套筒的承载索或拉紧索,应有检查连接质量的标记。
3 套筒受力3d后,承载索或拉紧索从套筒内拉出的长度,当采用加楔连接时不得大于承载索直径1/3;当采用铸接时不得大于承载索直径的1/6。
4 采用铸接时,浇铸后的锥体应从套筒中抽出检查。
5 当重锤在导轨中运动到上、下极限位置时,过渡套筒与偏斜鞍座或拉紧索导向轮之间的净空尺寸,不得小于0.5m。
6 每个套筒应单独编号。
8.4.4 承载索的拉紧与锚固应符合下列规定:
1 承载索宜向锚固端方向拉紧。
2 承载索的拉紧应符合设计文件中规定的安装顺序和安装拉力。
3 承载索拉紧到设计值时,重锤应处于设计给定的位置。
4 重锤定位后,承载索的锚固应符合下列规定:
1)采用夹块锚固方式时,夹块槽部和承载索的相应表面,应去除油污;工作夹块组的端面应紧贴支承面,相邻的工作夹块应互相紧贴,备用夹块与工作夹块之间应留出5mm的观察缝;夹块上的每个螺母,应按对角线循环交叉的顺序按设计的力矩拧紧;采用双螺母时,在基本螺母拧紧之后,应按相同的顺序和要求拧紧防松螺母。
2)采用夹楔锚固方式时,楔块槽部和承载索的相应表面,应在去除油污后按设计要求将承载索楔紧。
3)采用圆筒锚固方式时,承载索应紧密整齐地缠绕在圆筒上,最少圈数应符合设计规定。应按设计要求用夹块将承载索固定在锚固支座上,夹块之间应紧贴,螺栓应拧紧并应采取防松措施。
5 承载索锚固前,在每一个拉紧区段内,应选择一个靠近重锤的跨距进行挠度测量,承载索挠度的允许偏差不得大于设计值的5%。
6 承载索锚固后,根据重锤撞杆的位置,应安装上、下限位开关,限位开关的位置应可调。
8.4.5 运载索、牵引索、平衡索和救护索的连接与就位应符合下列规定:
1 当牵引索、平衡索和救护索采用末端套筒与客车连接时,牵引索、平衡索和救护索应为整根钢丝绳,不得有编接接头,但在安装或使用中发生意外损伤时,可增加一个接头或编入一段新钢丝绳。编接接头与客车之间的距离应大于钢丝绳公称直径的3000倍。
2 无极缠绕的运载索、牵引索和救护索的编接接头不得超过2个。
3 编接接头的长度,货运索道不得小于钢丝绳直径的1000倍,客运索道不得小于钢丝绳直径的1200倍。编接接头所编入的绳股长度,不得小于钢丝绳公称直径的60倍。相邻2个编接接头之间没有编接的钢丝绳长度,不得小于钢丝绳公称直径的3000倍。
4 被编接的2盘钢丝绳的参数和生产厂家应完全相同。
5 钢丝绳编结前宜进行预拉伸。
6 在编接过程中拉紧钼丝绳时,应使用不损伤钢丝绳的专用夹具。
7 编好的绳体,应浑圆饱满坚挺结实、抗夹抗压;打结部位的绳体应充填结实、耐压耐夹。
8 钢丝绳编好后,编入股部位钢丝绳的直径增大量不得大于钢丝绳直径的6%,打结部位钢丝绳直径增大量不得大于钢丝绳直径的8%。
8.4.6 对于采用双牵引索的双线往复式客运索道,应测准每根牵引索和平衡索的长度,安装后应使2根牵引索的拉力相接近。
8.5 站内设备安装
8.5.1 吊梁的安装应符合下列规定:
1 站口段吊梁的平面位置允许偏差为0~5mm;非站口吊梁的平面位置允许偏差为0~10mm。
2 吊梁标高的允许偏差为 ± 5mm。
3 对于单线循环脱挂式抱索器客运索道,前后横梁的水平度的允许偏差为1/2000,2根横梁的间距允许偏差为0~5mm。
8.5.2 吊钩和吊架的安装应符合下列规定:
1 吊钩或吊架与轨道的接合面,应平行于轨道中心线,间距允许偏差为0~5mm。
2 吊钩或吊架与轨道的结合面中心标高的允许偏差为 ± 5mm。
3 吊钩或吊架与轨道的结合面垂直度的允许偏差为5/1000。
8.5.3 轨道的安装应符合下列规定:
1 运行区段轨道的允许偏差应符合表8.5.3的规定。检修区段轨道的允许偏差可加大1倍。

2 站内轨道接头的轨顶高差不得大于0.5mm。
3 轨道接头至最近吊钩的距离,直线段不得大于0.7m,曲线段不得大于0.5m。
4 轨道工作面应润滑。
8.5.4 道岔的安装应符合下列规定:
1 搭接道岔的标高应与基本轨道的标高一致;
2 搭接道岔的岔尖应与基本轨道紧贴,当客车、货车通过道岔时,岔尖应无翘起和摇动;
3 平移道岔的轨道中心线与基本轨道中心线的偏移,不得大于0.5mm,接头间隙不得大于2mm,轨顶高差不得大于0.5mm。
8.5.5 导向板的安装应符合下列规定:
1 导向板与轨道之间水平距离的允许偏差为 ± 2mm。
2 导向板与轨道之间垂直距离的允许偏差,当客车、货车上装有导向滚轮时为 ± 5mm;没有导向滚轮时为 ± 10mm。
3 导向板的接头应平滑。
4 导向板的工作面应润滑。
8.5.6 挂结器和脱开器的安装应符合下列规定:
1 挂结器或脱开器安装的允许偏差,应符合表8.5.6的规定。

2 采用脱挂式抱索器的索道,应按设计要求,以牵引索或运载索为基准,对特征点横剖面上的相关尺寸和特征点的纵向定位尺寸进行检查,并应校正设备和监控装置工作面与牵引索或运载索的相对位置。
3 挂结器或脱开器安装后,应检查客车、货车的通过性,不得出现抱索失误、抱索不良、脱索失误、脱索不良等现象,客车、货车在进出站时也不得出现异常摆动现象。
8.5.7 驱动装置的安装应符合下列规定:
1 除放置垫板处外,其余的基础顶面应铲麻处理,每100cm2面积内应有3个~4个小坑,小坑的深度不得小于20mm,铲麻后用水冲洗干净。
2 驱动轮和从动轮安装应符合下列规定:
1)驱动轮纵、横向中心线对设计中心线的允许偏差,货运索道为0~2mm,客运索道为0~1mm。
2)卧式驱动装置驱劲轮的中心标高的允许偏差,货运索道为 ± 2mm,客运索道为 ± 1mm。
3)在任意方向检测,卧式或立式驱动装置驱动轮的水平度或垂直度的允许偏差,货运索道为0.3/1000,客运索道为0.15/1000。
4)单槽或双槽驱动轮的绳槽中心线,应与出侧和入侧牵引索的中心线吻合,偏移不得大于牵引索直径的1/20,偏斜不得大于1/1000。
5)从动轮的绳槽中心应对准双槽驱动轮相应的绳槽中心,用拉线法检测时,允许偏差应为牵引索直径的1/10。
6)立式驱动装置从动轮垂直度的允许偏差为0.3/1000;卧式驱动装置从动轮的轴心线,对驱动轮横向中心线方向的垂直剖面平行度的允许偏差为0~0.5mm。
8.5.8 拉紧装置的安装应符合下列规定:
1 小车轨道中心线与设计中心线的允许偏差为0~2mm;
2 轨道工作面标高的允许偏差为 ± 2mm;
3 轨距的允许偏差为+5mm;
4 轨道的接头应平整光滑;
5 拉紧轮或拉紧索导向轮绳槽的中心线,应与出侧和入侧牵引索、运载索或拉紧索的中心线吻合,偏移不得大于拉紧索直径的1/20,偏斜不得大于1/1000;
6 拉紧装置安装后,拉紧小车的4个滚轮均应靠贴在轨面上。
8.5.9 导向轮的安装应符合下列规定:
1 导向轮中心标高的允许偏差为 ± 3mm。当导向轮中心的标高直接关系到挂结或脱开质量时,允许偏差为 ± 1mm。
2 导向轮绳槽中心线应与牵引索或运载索的中心线吻合,偏移不得大于牵引索或运载索直径的1/15,偏斜不得大于1/1000。
3 垂直导向轮的垂直度、水平导向轮的水平度或倾斜导向轮的倾斜度的允许偏差为0.5/1000。
8.5.10 双线循环式货运索道迂回轮的安装应符合下列规定:
1 直径为5m或6m的迂回轮,在现场组装后,直径的允许偏差为 ± 6mm,径向圆跳动不得大于8mm,端面圆跳动不得大于10mm。
2 迂回轮工作面与轨道中心线之间径向尺寸的允许偏差为 ± 10mm。
3 迂回轮校正合格后,应将底座焊牢在支座上。
8.5.11 双线循环式货运索道滚轮组的安装应符合下列规定:
1 每个滚轮的径向圆跳动和端面圆跳动,不得大于2mm;
2 滚轮轮缘与货车运行小车之间的间隙,不得大于10mm;
3 滚轮组应能保证货车无障碍通过;
4 滚轮组的曲率半径,应采用弦长不小于1500mm的弧形样板检查,与样板之间的间隙不得大于2mm;
5 滚轮组的曲率半径应与轨道的曲率半径相适应,径向尺寸的允许偏差为 ± 5mm;
6 垂直滚轮组各滚轮绳槽中心直线度的允许偏差应为牵引索直径的1/10;
7 垂直滚轮组绳槽中心线应与牵引索中心线吻合,偏移的最大横向值,不得大于牵引索直径的1/10;
8 水平滚轮组各滚轮绳槽中心平面对设计水平面的允许偏差应为牵引索直径的1/10;
9 滚轮组弧长范围内轨道顶部标高的允许偏差为 ± 5mm。
8.5.12 双线往复式客运索道滚子链的安装应符合下列规定:
1 在安装过程中导轨或滚子架的工作面,不得受到损伤。
2 导轨或滚子架工作面的曲率半径,应采用弦长不小于1.5m的弧形样板检查,与样板之间的间隙不得大于1mm。
3 导轨任意横截面的槽底轮廓线或固定滚子的工作母线水平度的允许偏差为3/1000。
4 导轨或滚子架的接缝处,间隙不得大于1mm,高差不得大于0.5mm。
5 小链板滚轮中心线应与导轨及大链板导槽中心线吻合,滚轮运动时,滚轮不得损伤上、下导槽边缘。
6 大链板绳槽或固定滚子中心线应与承载索中心线吻合,偏移的最大横向值,不得大于承载索直径的1/20。
7 大链板绳槽中心或固定滚子工作面标高的允许偏差为 ± 3mm。
8 大链板绳槽与承载索表面或固定滚子工作面与承载索保护面宜相互接触;未接触处的间隙,不得大于1mm。
9 扁钢或滚子架与预埋件的正式焊接,应在滚子链安装合格后进行。
10 采用双承载索的双线往复式客运索道,每个轨路中的双滚子链,除应符合本条第1款~9款的规定外,2个绳槽的间距和平行度的允许偏差为0~2mm。同一横截面绳槽中心标高的允许偏差为 ± 2mm。
8.5.13 重锤的安装应符合下列规定:
1 导轨中心线对设计中心线的允许偏差为0~20mm。
2 在全长范围内,导轨垂直度的允许偏差为0~10mm。
3 导轨轨距的允许偏差为+50mm。
4 导轨的接头应平整光滑。
5 重锤块应交错排列、互相靠紧、避免松动和防止掉落。
6 整体混凝土重锤应按设计施工,并应取样测定密度和强度。
7 重锤或重锤箱上的导向块与导轨之间上下左右的间隙应相等,当间隙不相等时,应调整重锤块的位置。
8 重锤或重锤箱在升降过程中不得出现卡阻现象。
9 牵引索或运载索重锤质量的允许偏差,货运索道为8/1000;客运索道为4/1000。
10 承载索重锤质量的允许偏差,货运索道为12/1000;客运索道为6/1000。
8.5.14 货车的安装应符合下列规定:
1 货车应按设计要求逐辆检查脱挂式抱索器的功能尺寸,不合格的货车不得交付安装。
2 吊架在纵、横向的冬种变形不得大于5mm;吊钩间距的允许偏差为0~3mm;吊钩孔同轴度的允许偏差为0~2mm。
3 货箱箱体的变形量,货箱口对角线长度之差不得大于5mm,两端销轴同轴度的允许偏差为0~2mm。
4 对于翻转式货车,应检查启闭机构的灵活性与可靠性以及货箱翻转的灵活性。
5 对于底卸式货车,应检查启闭机构和底板的灵活性与可靠性。
6 应对货车与站内轨道、道岔、吊钩、护轨、挡轨、导向板、装载、卸载、复位等设施的适应性进行检查。
7 货车应按顺序编号。
8.5.15 客车安装应符合下列规定:
1 双线往复车厢式索道客车的安装应符合下列规定:
1)运行小车应先在地面进行检查,各车轮绳槽中心直线度的允许偏差应为运行小车总长的1/1500和承载索直径的1/20。各车轮与小横梁或各大、小横梁之间,应无松动、无窜动、无碰剐、无卡阻。采用双承载索的客车,2个运行小车的间距和平行度的允许偏差为0~3mm。
2)牵引索末端套筒的连接,应符合本标准第8.1.8条的规定。
2 单线循环式索道客车的安装应符合下列规定:
1)安全扶手、踏板或围栏,应能灵活动作;
2)车门和车门机构应能灵活动作,并应与站内的开关门机构相协调;
3)减振器、导向器等重要部件的安装,应符合设备技术文件的规定。
3 各种客车的导向器,应与站内的导向装置相协调。
4 应对各种客车与站内有关设施的适应性进行检查。
5 客车应按编号顺序安装。
9 索道工程试车与验收
9.1 试车
9.1.1 索道试车应在土建、设备安装工程完毕后,经检查已具备试车条件时进行。
9.1.2 索道无负荷试车,应由安装单位和主体设备供应方组织有关单位参加;索道负荷试车,应由建设单位组织有关单位参加。
9.1.3 无负荷试车应符合下列规定:
1 单机调试应符合下列规定:
1)应从部件到组件、从组件到单机逐级调试,上一步骤未合格前,不得进行下一步骤的调试;
2)驱动装置等设备的连续运转时间不得少于4h,其中额定速度的运转时间不应少于运转时间的60%;
3)驱动装置、液压拉紧装置等设备的液压与润滑系统的油压、油位和油温应正常。
2 在单机调试的基础上,应进行联动试车。联动试车累计试车时间不得少于4h。
3 牵引索和运载索试车应符合下列规定:
1)牵引索或运载索安装合格后,应由慢速至额定速度进行试车,累计试车时间不得少于4h;
2)牵引索或运载索在托、压索轮组上应稳定靠贴;
3)相关设备及运行系统的工作应正常。
9.1.4 负荷试车应符合下列规定:
1 空车试车应符合下列规定:
1)应从端站发一辆空车以慢速运行一圈,进行通过性检查;然后再以额定速度运行一圈,线路上和站内不得有任何阻碍。
2)循环式索道应以额定运行速度,先从端站分别将空车按2倍设计车距布满全线运行一圈进行试车,再按设计车距全线布满空车进行试车。线路上布满空车累计运行时间,不得少于4h。
3)上一步骤未合格前,不得进行下一步骤的试车。
2 货运索道重车试车应符合下列规定:
1)在全线按设计车距布满空车的基础上,应由装载站发出一辆重车以额定运行速度进行通过性检查,净空尺寸应符合本标准第3.3节的有关规定;
2)在全线按设计车距布满空车的基础上,应先按4倍设计车距将重车布满重车侧线路,再按2倍直至设计车距将重车布满重车侧线路,并应以额定运行速度进行重车试车;
3)全过程累计试车的时间不得少于4h;
4)在最不利缺车试车时,应检查驱动装置在启动和制动时的抗滑性能和电动机的过载、发热等情况。
3 往复式客运索道重车试车应符合下列规定:
1)应采用重物按设计载荷的25%、50%和100%分别进行试车;
2)控制系统应进行多次检测,并应检查超速、减速、越位、速度同步等监控装置的联锁性能;
3)客车制动器应按设计要求进行检测;
4)全过程累计试车的时间不得少于4h。
4 循环式客运索道重车试车应符合下列规定:
1)应采用重物按设计载荷的25%、50%和100%分别进行试车;
2)应对控制系统进行检测,并应检查索道在25%、50%和100%载荷情况下的启动和制动性能,以及检查站内和线路监控装置的联锁性能;
3)全过程累计试车的时间,不得少于4h。
9.1.5 客运索道试车期间,在满载情况下应进行紧急驱动运行试验;在索道线路适宜地段应对垂直救援设备的性能进行检查;对每一台水平救援设备应分别进行试验。
9.1.6 在整个试车过程中应进行记录。
9.2 试运行
9.2.1 索道的试运行应在联动负荷试车合格后进行。
9.2.2 索道试运行工作应由建设单位组织。
9.2.3 客运索道试运行不宜少于120h;货运索道试运行不宜少于60h。
9.3 工程验收
9.3.1 索道试运行结束后,可进行工程验收。
9.3.2 索道工程验收工作应由建设单位组织,有关单位参加。
9.3.3 索道工程验收时,应具备下列技术文件和资料:
1 全套施工图及设计说明书;
2 设计变更通知单;
3 主要材料出厂合格证及检验报告;
4 重要焊接部位的焊接试验记录;
5 机电设备和钢丝绳出厂合格证;
6 索道竣工测量成果;
7 隐蔽工程验收文件;
8 混凝土结构和钢结构工程验收备案文件;
9 设备安装工程验收文件;
10 接地电阻测试记录;
11 各种套筒的试验记录、操作记录、检查结果和分布位置;
12 牵引索或运载索的编接记录;
13 承载索、牵引索或运载索的挠度测量记录;
14 客车制动器的制动性能试验记录;
15 索道试车记录。
9.3.4 客运索道在有关责任方验收合格并试运行期满后,应进行安全检验,应在通过安全检验并取得运营许可证后正式投入运营。
9.3.5 货运索道应在工程验收后投入运营。
本标准用词说明
1 为便于在执行本标准条文时区别对待,对要求严格程度不同的用词说明如下:
1)表示很严格,非这样做不可的:
正面词采用“必须”反面词采用“严禁”;
2)表示严格,在正常情况下均应这样做的:
正面词采用“应”,反面词采用“不应”或“不得”;
3)表示允许稍有选择。在条件许可时首先应这样做的:
正面词采用“宜”,反面词采用“不宜”;
4)表示有选择,在一定条件下可以这样做的,采用“可”。
2 条文中指明应按其他有关标准执行的写法为:“应符合……的规定”或“应按……执行”。
引用标准名录
《建筑地基基础设计规范》GB 50007
《钢结构设计标准》GB 50017
《高耸结构设计标准》GB 50135
《构筑物抗震设计规范》GB 50191
《钢结构工程施工质量验收标准》GB 50205
《机械设备安装工程施工及验收通用规范》GB 50231
《承压设备无损检测 第3部分:超声检测》NB/T 47013.3
