Appearance
《建筑消能减震技术规程[附条文说明]》JGJ 297-2013
🗓️ 住房和城乡建设部 实施时间:2013-12-01
前言
中华人民共和国行业标准
建筑消能减震技术规程
Technical specification for seismic energy dissipation of buildings
JGJ 297-2013
批准部门:中华人民共和国住房和城乡建设部
施行日期:2013 年 12 月 1 日
中华人民共和国住房和城乡建设部公告
第48号
住房城乡建设部关于发布行业标准《建筑消能减震技术规程》的公告
现批准《建筑消能减震技术规程》为行业标准,编号为JGJ 297-2013,自2013年12月1日起实施。其中,第4.1.1、7.1.6条为强制性条文,必须严格执行。
本规程由我部标准定额研究所组织中国建筑工业出版社出版发行。
中华人民共和国住房和城乡建设部
2013年6月9日
前 言
根据原建设部《关于印发<2006年工程建设标准规范制订、修订计划(第一批)>的通知》(建标[2006]77号)的要求,规程编制组经广泛调查研究,认真总结实践经验,参考有关国际标准和国外先进标准,并在广泛征求意见的基础上,编制本规程。
本规程主要技术内容是:总则、术语和符号、基本规定、地震作用与作用效应计算、消能器的技术性能、消能减震结构设计、消能部件的连接与构造、消能部件的施工、验收和维护。
本规程以黑体字标志的条文为强制性条文,必须严格执行。
本规程由住房和城乡建设部负责管理和对强制性条文的解释,由广州大学负责具体技术内容的解释。在执行过程中,如有意见或建议,请寄送广州大学(地址:广州市大学城外环西路230号,邮政编码:510006)。
本规程主编单位:广州大学
本规程参编单位:中国建筑科学研究院
同济大学
清华大学
东南大学
大连理工大学
哈尔滨工业大学
南京工业大学
北京工业大学
华南理工大学
北京市建筑设计研究院
中国建筑标准设计研究院
太原理工大学
青岛理工大学
云南大学
深圳华侨城房地产有限公司
上海隆诚实业有限公司
上海材料研究所
上海蓝科建筑减震科技有限公司
昆明理工大学
隔而固(青岛)振动控制有限公司
南京丹普科技工程有限公司
四川国方建筑机械有限公司
常州容大结构减振设备有限公司
上海赛弗工程减震技术有限公司
本规程主要起草人员:周福霖 周云 吕西林 程绍革 郭彦林 翁大根 李爱群 李宏男 叶列平 滕军 刘伟庆 闫维明 谭平 吴波 苗启松 曾德民 张文芳 刘文锋 叶燎原 苏经宇 刘维亚 吴从永 陈清祥 徐斌 宫海 徐赵东 潘鹏 潘文 尹学军 刘康安 佟建国 张敏 徐丽 陈明中
本规程主要审查人员:王亚勇 汪大绥 莫庸 娄宇 郁银泉 冯远 薛彦涛 方泰生 章一萍 陈星 吴斌
条文说明
中华人民共和国行业标准
建筑消能减震技术规程
JGJ297-2013
条文说明
制订说明 《建筑消能减震技术规程》JGJ297-2013,经住房和城乡建设部2013年6月9日以第48号公告批准、发布。 本规程编制过程中,编制组对国内外消能减震技术的应用情况进行了广泛的调查研究,总结了我国消能减震建筑的设计、施工和验收领域的实践经验,同时参考了国外先进技术法规、技术标准,通过科学研究取得了能够反映我国当前消能减震建筑领域设计、施工和验收整体水平的重要技术参数。 为了便于广大设计、施工、科研、学校等单位有关人员在使用本规程时能正确理解和执行条文规定,《建筑消能减震技术规程》编制组按章、节、条顺序编制了本规程的条文说明,对条文规定的目的、依据以及执行中需注意的有关事项进行了说明,还着重对强制性条文的强制性理由作了解释。但是,本条文说明不具备与规程正文同等的法律效力,仅供使用者作为理解和把握规程规定的参考。
1 总则
1 总 则
1.0.1 为了贯彻执行国家的技术经济政策,在消能减震工程中做到安全适用、技术先进、经济合理、确保质量,制定本规程。
条文说明
1.0.1消能减震结构是指在建筑结构的某些部位(如支撑、剪力墙、节点、联结缝或连接件、楼层空间、相邻建筑间、主附结构间等)设置了消能(阻尼)器(或元件)的建筑结构。消能减震结构由主体结构、消能器和支撑组成的消能部件及基础等组成。消能子结构是指与消能部件直接连接的主体结构单元(图1)。
图1消能减震结构示意 1—消能器;2—支撑;3—消能子结构;4—消能减震层 在地震作用下,消能减震结构通过设置的消能器产生摩擦,弯曲(或剪切、扭转)弹塑(或黏弹)性滞回变形来耗散或吸收地震输入结构中的能量,以减小主体结构的地震反应,与相应的非消能减震结构相比,消能减震结构可减少地震反应20%~40%左右,从而增加结构抗震能力,保护主体结构的安全。 在建筑结构中布置消能器以耗散地震输入结构的能量,是减轻地震反应和地震破坏的一种新技术和新方法。为了提高建筑抗震设计水准,推进消能减震技术的应用,制订本规程。 消能器一般属非承重构件,其功能仅在结构变形过程中发挥耗能作用,一般情况下不承担结构竖向荷载作用,即增设消能器不改变主体结构的竖向受力体系,故消能减震技术不受结构类型、形状、层数、高度等条件的限制,应用范围广。由于消能器是因两端产生相对速度或相对位移而产生滞回变形耗能的,相对运动速度越大或相对位移越大,耗能越多。一般来说,结构越高、越柔、跨度越大、变形越大,或抗震设防烈度越高,消能减震效果越显著,故消能减震技术尤其适用于高烈度区的各类建筑结构,以及使用功能有特殊要求的结构,如:首脑机关、救灾中心、纪念性建筑、特种医院、通信、消防、动力等重要建筑;从经济性、安全性和技术合理性角度考虑,应优先采用消能减震技术。 由于消能减震技术减震机理明确、减震效果显著,在施工过程中对用户的干扰较小,施工方便、施工周期短,对结构基础影响较小,因此,可用于既有建筑结构的抗震加固中。 国内外学者研制开发的消能器类型主要有:金属消能器、摩擦消能器、黏弹性消能器、黏滞消能器和复合型消能器等。我国及美国、日本、加拿大和意大利等国家已将消能器应用到新建建筑结构和既有建筑结构抗震加固工程中,取得了良好的经济和社会效益。 消能器的使用可能会减少结构造价,也可能增加结构造价。确定消能减震结构设计方案时,宜综合考虑抗震设防分类、抗震设防烈度、场地条件、使用功能等因素,对不同减震设计方案及传统抗震设计方案进行技术、经济的综合比较分析,确定最优消能减震技术方案,体现消能减震结构设计在提高结构抗震性能和经济性上的优势。
1.0.2 本规程适用于抗震设防烈度为6~9度地区新建建筑结构和既有建筑结构抗震加固的消能减震设计、施工、验收和维护。
抗震设防烈度大于9度地区及有特殊要求的新建建筑结构和既有建筑结构抗震加固的消能减震设计、施工、验收和维护,应按有关专门规定执行。
条文说明
1.0.2本规程的适用范围与现行国家标准《建筑抗震设计规范》GB50011一致,在较低的设防区,一方面可能会发生特大的地震,如我国唐山地震、日本神户地震等;另一方面,亦会建有重要的建筑物,如医院、交通指挥中心等。因此,采用消能减震技术可起到主动耗散地震输入能量,有效保证建筑物具有良好的抗震性能。此外,消能减震技术应用于高烈度区更能显示其优越的减震效果和良好的经济效益和社会效益。在抗震设防烈度9度以上的地区也宜采用消能减震技术,可参照本规程进行设计,但应进行专门研究。
1.0.3 按本规程设计与施工的消能减震结构,其抗震设防目标是:当遭受低于本地区抗震设防烈度的多遇地震影响时,消能部件正常工作,主体结构不受损坏或不需要修理可继续使用;当遭受相当于本地区抗震设防烈度的设防地震影响时,消能部件正常工作,主体结构可能发生损坏,但经一般修理仍可继续使用;当遭受高于本地区抗震设防烈度的罕遇地震影响时,消能部件不应丧失功能,主体结构不致倒塌或发生危及生命的严重破坏。
条文说明
1.0.3与传统抗震结构相比,消能减震结构能有效减小结构的地震反应20%~40%,在相同的结构可靠度下,采用消能减震技术能减小结构构件的截面尺寸和配筋率,达到节约材料,降低造价的目的;在同一结构中,采用消能减震技术可大大提高结构安全性、增加结构安全储备,但在我国目前经济水平下,尚难完全做到,因此,可合理利用消能减震技术实现降低建筑结构造价的目的;另一方面,结构中安装消能器后,不改变主体结构的竖向受力体系,因此,按本规程设计与施工的消能减震结构的设防目标,与现行国家标准《建筑抗震设计规范》GB50011基本的抗震设防目标保持一致,即当遭受低于本地区抗震设防烈度的多遇地震影响时,消能部件正常工作,主体结构不受损坏或不需要修理可继续使用;当遭受相当于本地区抗震设防烈度的设防地震影响时,消能部件正常发挥功能,主体结构可能发生损坏,但经一般修理仍可继续使用;当遭受高于本地区抗震设防烈度的罕遇地震影响时,消能部件不应丧失功能,消能子结构不宜破坏到影响消能部件的功能发挥,主体结构不致倒塌或发生危及生命的严重破坏。
1.0.4 消能减震结构设计、施工、验收和维护,除应符合本规程外,尚应符合国家现行有关标准的规定。
2 术语和符号
2.1 术语
2 术语和符号
2.1 术 语
条文说明
本节汇总了本规程所采用与消能减震结构设计相关的专门术语。本规程中采用的其他术语均符合现行国家标准《建筑结构设计术语和符号标准》GB/T50083的规定。
2.1.1 消能器 energy dissipation device
消能器是通过内部材料或构件的摩擦,弹塑性滞回变形或黏(弹)性滞回变形来耗散或吸收能量的装置。包括位移相关型消能器、速度相关型消能器和复合型消能器。
2.1.2 消能减震结构 energy dissipation structure
设置消能器的结构。消能减震结构包括主体结构、消能部件。
2.1.3 位移相关型消能器 displacement dependent energy dissipation device
耗能能力与消能器两端的相对位移相关的消能器,如金属消能器、摩擦消能器和屈曲约束支撑等。
2.1.4 速度相关型消能器 velocity dependent energy dissipation device
耗能能力与消能器两端的相对速度有关的消能器,如黏滞消能器、黏弹性消能器等。
2.1.5 复合型消能器 composite energy dissipation device
耗能能力与消能器两端的相对位移和相对速度有关的消能器,如铅黏弹性消能器等。
2.1.6 金属消能器 metal energy dissipation device
由各种不同金属材料(软钢、铅等)元件或构件制成,利用金属元件或构件屈服时产生的弹塑性滞回变形耗散能量的减震装置。
2.1.7 摩擦消能器 friction energy dissipation device
由钢元件或构件、摩擦片和预压螺栓等组成,利用两个或两个以上元件或构件间相对位移时产生摩擦做功而耗散能量的减震装置。
2.1.8 屈曲约束支撑 buckling-restrained brace
由核心单元、外约束单元等组成,利用核心单元产生弹塑性滞回变形耗散能量的减震装置。
2.1.9 黏滞消能器 viscous energy dissipation device
由缸体、活塞、黏滞材料等部分组成,利用黏滞材料运动时产生黏滞阻尼耗散能量的减震装置。
2.1.10 黏弹性消能器 viscoelastic energy dissipation device
由黏弹性材料和约束钢板或圆(方形或矩形)钢筒等组成,利用黏弹性材料间产生的剪切或拉压滞回变形来耗散能量的减震装置。
2.1.11 消能部件 energy dissipation part
由消能器和支撑或连接消能器构件组成的部分。
2.1.12 消能减震层 energy dissipation layer
布置消能部件的楼层。
2.1.13 附加阻尼比 additional damping ratio
消能减震结构往复运动时消能器附加给主体结构的有效阻尼比。
2.1.14 附加刚度 additional stiffness
消能减震结构往复运动时消能部件附加给主体结构的刚度。
2.1.15 消能器极限位移 ultimate displacement of energy dissipation device
消能器能达到的最大变形量,消能器的变形超过该值后认为消能器失去消能功能。
2.1.16 消能器极限速度 ultimate velocity of energy dissipation device
消能器能达到的最大速度值,消能器的速度超过该值后认为消能器失去消能功能。
2.1.17 消能器设计位移 design displacement of energy dissipation device
消能减震结构在罕遇地震作用下消能器达到的位移值。
2.1.18 消能器设计速度 design velocity of energy dissipation device
消能减震结构在罕遇地震作用下消能器达到的速度值。
2.2 符号
2.2 符 号
条文说明
本节汇总了本规程所采用的主要符号及其含义,按拉丁字母和希腊字母顺序排列。每个符号由主体符号或主体符号带上、下标构成。主体符号一般代表物理量,上、下标代表物理量以外的术语、说明语,用以进一步说明符号的涵义。本节未列出的其他符号及其含义均在各有关章节的条文中列出。
2.2.1 结构参数
F sy ——设置消能部件的主体结构层间屈服剪力;
K t ——结构抗扭刚度;
T i ——消能减震结构的第i阶振型周期;
ζ——消能减震结构总阻尼比;
ζ 1 ——主体结构阻尼比;
ω——结构自振频率;
△u py ——消能部件在水平方向的屈服位移或起滑位移;
△u sy ——设置消能部件的主体结构层间屈服位移。
2.2.2 消能器参数
C D ——消能器的线性阻尼系数;
C j ——第j个消能器由试验确定的线性阻尼系数;
F d ——消能器在相应位移下的阻尼力;
G′——黏弹性材料剪切模量;
G″——黏弹性材料储存模量;
K b ——支撑构件沿消能方向的刚度;
t v ——黏弹性消能器的黏弹性材料的总厚度;
W cj ——第j个消能部件在结构预期层间位移△uj下往复循环一周所消耗的能量;
[γ]——黏弹性材料允许的最大剪切应变;
ζ d ——消能部件附加给结构的有效阻尼比;
△u dmax ——沿消能方向消能器最大可能的位移;
△u——沿消能方向消能器的位移。
3 基本规定
3.1 一般要求
3 基本规定
3.1 一般要求
3.1.1 消能减震结构设计可分为新建消能减震结构设计和既有建筑结构消能减震加固设计。
条文说明
3.1.1消能器可有效减少结构的水平地震作用,适用范围较广,可用于不同结构类型和高度的建筑结构中,同时消能器给结构附加一定的阻尼,可满足罕遇地震下预期的位移要求,对震后需抗震加固的建筑结构及由于抗震设防烈度提高而不能满足新抗震性能要求的建筑结构,在满足竖向承载力要求的情况下可采用消能减震技术来实现新的抗震设防要求。 结构中设置消能器的目的主要是为了减少消能减震结构在地震作用下的反应,降低结构构件的内力和变形。对于新建建筑结构,消能器若在设计地震作用下即发挥耗能作用,则可增加消能减震结构的总阻尼比,有利于降低结构构件的受力及变形,减小结构构件的截面尺寸,进而体现工程的经济性;若仅提高结构抗震性能,不减小结构构件的截面尺寸,不考虑工程经济性需求,则相同的抗震设防烈度下,结构的安全性能得到明显的提高。对于既有建筑结构采用消能减震技术进行抗震加固可解决既有建筑结构施工工程的难度、降低加固费用,并有效而可靠地提高结构的抗震性能。
3.1.2 新建消能减震结构的抗震设防目标应符合本规程第1.0.2条的规定,既有建筑结构采用消能减震加固时,抗震设防目标不应低于现行国家标准《建筑抗震鉴定标准》GB 50023规定。
条文说明
3.1.2消能减震结构主要由主体结构和消能部件组成,通过调整消能部件附加给结构的阻尼来实现消耗地震输入能量的目的,从而控制主体结构在不同设防目标下的反应,如主体结构保持弹性或部分构件进入弹塑性等。消能器不会改变主体结构的基本形式,主体结构设计仍按主体结构设计规范和标准执行,但增设消能器后,结构抗震安全性明显提高,可使结构更容易实现比现有的规范更高的设防目标,可采用性能化的抗震设计方法对结构进行设计。 现行国家标准《建筑抗震鉴定标准》GB50023中要求在预期的后续使用年限内加固的建筑结构具有相应的抗震设防目标,即后续使用年限50年的既有建筑,具有与现行国家标准《建筑抗震设计规范》GB50011相同的设防目标,后续使用年限少于50年的既有建筑,在遭遇同样的地震影响时其损坏程度略大于按后续使用年限50年鉴定的建筑,其设防目标可略低于后续使用年限为50年的既有建筑。 消能器作为结构附属构件,一般不承担结构竖向荷载。因此,对既有建筑结构进行抗震加固时,一方面主体结构构件的竖向承载能力应达到相关规范要求;另一方面消能器与结构构件相连的节点应具有良好的抗震性能,并应进行详细的检测和分析,避免节点在地震作用下发生损伤破坏,以保证消能器在地震作用下能发挥良好的耗能性能。
3.1.3 消能减震结构的抗震性能化设计,应根据建筑结构的实际需求,分别选定针对整个结构、局部部位或关键部位、关键部件、重要构件、次要构件以及建筑构件和消能部件的性能目标。
条文说明
3.1.3结构抗震性能化设计综合考虑结构承载能力和变形能力,具有很强的针对性和灵活性,可根据具体工程需要,对整个结构、局部部位或关键构件采取有效的抗震措施以达到预期的性能目标,进而提高结构的抗震安全性,并满足建筑结构不同使用功能的要求。性能化设计以现有抗震性能水平和经济条件为前提,一般需综合考虑使用功能、设防烈度、结构不规则程度和类型、结构延性变形能力、造价、震后损失与修复难度等因素,不同的抗震设防类别,其性能设计要求也有所不同。鉴于目前强震下结构弹塑性分析方法的计算模型及参数选用尚存在不少经验因素,缺少从强震记录、设计施工资料及实际震害的验证,对结构性能的判断难以准确把握,因此,宜偏于安全地选用性能目标。 基于现行国家标准《建筑抗震设计规范》GB50011的要求和消能减震结构的性能水准,根据建筑重要性等级,提出消能减震结构可按以下三个层次的设防性能目标进行设计: 设防性能目标Ⅰ:“小震不坏,中震可修,大震不倒”,对于丙类建筑可采用该设防目标,如一般的工业与民用建筑、公共建筑等; 设防性能目标Ⅱ:“中震不坏,大震可修”,对于乙类建筑可采用该设防目标,如医院、公安消防、学校、通信、动力等建筑; 设防性能目标Ⅲ:“大震不坏”,对于甲类建筑可采用该设防目标,如人民大会堂、核武器储存室等。 采用消能减震技术后,消能器耗散大量的地震能量,设计的结构较容易实现不同性能目标需求,在不改变结构布置和形式的情况下,采用消能减震技术后可实现更高设防性能目标要求。 按照设防性能目标工设计的消能减震结构: 1当结构遭遇第一水准烈度(多遇地震)时,一般情况下消能器处于弹性状态,不耗散地震能量,但通过合理的设计,消能器也能产生滞回耗能。 2当结构遭遇第二水准烈度(设防地震)时,消能器处于消能状态,各性能指标都在正常工作范围内,允许主体结构发生一定的弹塑性变形,但最大变形值控制在结构允许变形能力的范围内,部分结构构件可能发生破坏,但经一般修理仍可继续使用。 3当结构遭遇第三水准烈度(罕遇地震)时,允许结构构件经历几次较大的弹塑性变形循环,产生较大的破坏,但消能器在地震中不应丧失功能,结构的最大变形幅值不应超过结构允许变形能力,以免结构发生倒塌,从而保障建筑内部人员的生命安全。 按照设防性能目标Ⅱ设计的消能减震结构: 1当结构遭遇第二水准烈度(设防地震)时,消能器基本处于消能状态,结构构件处于弹性状态,保持正常使用功能。 2当结构遭遇第三水准烈度(罕遇地震)时,消能器处于消能状态,各性能指标都在正常工作范围内,允许结构发生一定的塑性变形,但最大变形值限制在结构允许变形能力的范围内,部分构件发生塑性变形,但经一般修理仍可继续使用。 按照设防性能目标Ⅲ设计的消能减震结构: 当结构遭遇第三水准烈度(罕遇地震)时,消能器处于耗能状态,结构构件基本处于弹性状态,保持正常使用功能。 消能减震结构改变了传统抗震结构“硬碰硬”的抗震方式,改“抗”为“消”,消能减震结构的抗震性能化设计可使所设计的工程结构在设计使用期内满足各种预定的性能目标要求,可根据业主的不同需求确定不同的性能目标,是对当前基于承载力抗震设计理论框架的完善和补充。
3.1.4 确定消能减震结构设计方案时,消能部件的布置应符合下列规定:
1 消能部件宜根据需要沿结构主轴方向设置,形成均匀合理的结构体系。
2 消能部件宜设置在层间相对变形或速度较大的位置。
3 消能部件的设置,应便于检查、维护和替换,设计文件中应注明消能器使用的环境、检查和维护要求。
3.1.5 消能器的选择应考虑结构类型、使用环境、结构控制参数等因素,根据结构在地震作用时预期的结构位移或内力控制要求,选择不同类型的消能器。
条文说明
3.1.4、3.1.5消能部件的布置需经分析确定,一般宜沿结构两个主轴方向设置,并宜设置在结构相对变形或速度较大的部位,其数量和分布应通过综合分析合理确定,以为结构提供适当的附加阻尼和刚度,并保证消能器在地震作用下具有良好的消能能力。 消能部件在沿主体结构两个主轴方向布置时,应考虑结构的平面和立面上的规则性,消能部件布置后应减少结构的扭转,为此,美国NEHRP2000规范要求设置消能器应逐层每一方向至少两个,以免产生扭转效应。当然,实际设计中也可以按结构本身的设计需要作出适合的调整。设计人员可根据具体情况进行综合分析确定;结构侧向刚度沿竖向宜均匀变化、避免侧向刚度和承载力突变,对于竖向规则的结构,要尽量从下到上均匀布置。特殊情况消能器也可能布置于结构某局部楼层,如屈曲约束支撑布置在加强层位置。 消能器的选择包括消能器类型和规格的选择。在概念设计阶段,消能器类型的选择应综合考虑结构类型、周围环境、设防目标、消能器耗能机理、价格及安装、施工、维修费用等因素,可从以下三个方面综合考虑选择消能器。 1从消能器力学性能角度考虑选择消能器 消能器可分为速度相关型、位移相关型和复合型消能器三类。速度相关型消能器(黏滞消能器、黏弹性消能器)利用与速度有关的黏性抵抗地震作用,从黏滞材料的运动中获得阻尼力,消能能力取决于消能器两端相对速度的大小,速度越大,提供的阻尼力越大,消能能力也越强;位移相关型消能器(摩擦消能器、金属消能器等)利用材料的塑性滞回变形耗散能量,消能能力与消能器两端相对位移的大小有关,相对位移越大,消能能力越强。 复合型消能器是利用二种以上的消能原理或机制进行耗能的消能器,同时具有位移相关型消能器和速度相关型消能器的性能特征,但有时可能位移相关型消能器的特征比较明显,有时可能速度相关型消能器的特征比较明显,因此,对其性能的要求要根据其组合消能机理或机制具体确定。 金属消能器、摩擦消能器和黏弹性消能器能为主体结构提供附加刚度和附加阻尼,黏滞消能器只能为主体结构提供附加阻尼。为此,当结构只需要提供附加阻尼时,可考虑采用黏滞消能器;结构需要提供附加刚度和附加阻尼时,可考虑采用金属消能器、摩擦消能器和黏弹性消能器。 既有建筑结构的抗震加固时,常需要增加阻尼和侧向刚度,可以考虑选择金属消能器、摩擦消能器或黏弹性消能器。当既有建筑结构的抗震加固只需提供附加阻尼时,可采用黏滞消能器。 在确定采用哪类消能器后,还需要根据结构的位移、受力条件来确定消能器的型号。消能器型号的选用包括最大阻尼力、最大行程、工作效率等参数,对于不同的极限状态设计,均需保证消能器具有良好的安全富余度,在设计行程范围内必须避免破坏,消能器应具备良好的变形能力和消耗地震能量的能力,消能器的极限位移应大于消能器设计位移的120%。速度相关型消能器极限速度应大于消能器设计速度的120%。此外,为使消能器不会对结构造成不利影响,保护好支撑系统和连接节点不会因为阻尼力过大而先于结构破坏,控制罕遇地震时消能器的阻尼力。 2从周围环境影响的角度考虑选择消能器 消能器的性能受环境条件的影响较大,为保证在正常使用过程中消能器的反应特征,设计时应考虑下列环境因素: 1)风或其他反复荷载产生的高频率、小位移运动会引起消能器性能的退化。如金属消能器在大变形反复作用下刚度会降低,易产生疲劳破坏,故金属消能器的屈服强度宜大于在风、温度或其他周期荷载作用下消能器中产生的阻尼力;黏滞消能器在反复荷载作用下会使黏度降低、温度升高,且过大的运行速度易使黏滞材料中混入空气,影响消能器的耗能能力。 2)消能器在重力荷载作用下产生的内力和变形。 3)腐蚀或磨损。 4)老化、湿度或化学辐射。 5)紫外线辐射。 如果结构建筑物所处环境的温度变化较大,宜选择金属消能器和摩擦消能器,因为黏弹性消能器和黏滞消能器的耗能能力受温度影响较大。 3从经济性角度考虑选择消能器 随着经济的发展和消能减震技术的进步,消能器的价格、安装及施工费用也在不断发生变化。但目前来说,钢材是建筑材料中最常用的材料,金属消能器一般由碳素钢和低屈服点钢构成,采用机械加工制造,制作费用较低,坚实耐用,施工方便,维护与替换费用较低;摩擦消能器一般由钢板、摩擦片和高强度螺栓构成,加工也仅为普通的机械加工,费用也较低;黏弹性消能器制作需要加工模具,制作需要高温高压硫化成型,费用较金属消能器、摩擦消能器高;黏滞消能器的钢筒、活塞、密封的加工要求较高,因而成本相对较高。 消能器的数量、性能特征参数与地震作用有关,需综合分析确定。在消能器类型、型号一定的情况下,可用能量法来初步确定所需的数量,最后再通过时程分析进行验算。在预估消能器的数量时常采用能量方法进行计算,计算消能器预期耗散地震能量可由期望附加阻尼比确定,再由公式(1)计算消能器的数量。 n≥kWs/φWc(1) 式中:k——消能器预期耗散地震能量与地震输入结构的总能量比值; φ——消能器同时工作系数,一般可取值为0.4~0.6; Wc——消能部件在结构预期层间位移下往复循环一周所消耗的能量; Ws——消能减震结构在水平地震作用下的总应变能。 消能器布置位置和数量基本确定后,应选用合理的布置形式,可根据消能器的特点和建筑上使用要求确定,消能器可以布置在斜撑的不同部位上、斜撑本身也可能是一个消能器,如屈曲约束支撑等(图2)。 
图2消能器布置位置 1—消能器;2—支撑 消能部件在正常使用情况下要进行常规检查,特别是对于消能器使用年限小于主体结构使用年限的消能器,其在达到使用年限时应进行检查和更换。而消能减震结构在地震作用后消能器和主体结构都要进行应急检查,检查消能器是否超过预期的极限状态(如黏滞消能器是否出现漏油、金属消能器是否出现较大的残余变形等),确定消能器是否需要更换。为此,消能器布置位置和安装预留的措施将对检查十分重要。
3.1.6 当消能减震结构遭遇设防地震和罕遇地震后,应对消能器进行检查和维护。
条文说明
3.1.6消能器在使用过程中如遇变形缝被外物堵塞或消能器本身出现性能问题将会影响消能器对结构地震反应的控制效果,为避免该现象发生,设计文件中应注明可由生产厂家在消能器正常使用期间和地震发生后对消能器进行回访检查,以确保消能器正常使用;或设计文件中注明由业主在消能器正常使用期间和地震发生后对消能器进行检查。
3.1.7 抗震设防烈度为7、8、9度时,高度分别超过160m、120m、80m的大型消能减震公共建筑,应按规定设置建筑结构的地震反应观测系统,建筑设计应预留观测仪器和线路的位置和空间。
条文说明
3.1.7对于有特殊要求且重要的消能减震结构,为了验证消能器在实际地震作用下的减震性能,宜设置强震观测系统,为地震工程和工程抗震科学的发展提供可靠的现场实测数据。
3.2 消能器要求
3.2 消能器要求
3.2.1 消能器选择应符合下列规定:
1 消能器应具备良好的变形能力和消耗地震能量的能力,消能器的极限位移应大于消能器设计位移的120%。速度相关型消能器极限速度应大于消能器设计速度的120%。
2 在10年一遇标准风荷载作用下,摩擦消能器不应进入滑动状态,金属消能器和屈曲约束支撑不应产生屈服。
3 消能型屈曲约束支撑和屈曲约束支撑型消能器应满足位移相关型消能器性能要求。
4 消能器应具有良好的耐久性和环境适应性。
条文说明
3.2.1为满足三水准设防要求,在消能减震结构的抗震设计中,必须保证消能器在罕遇地震作用时仍能发挥良好的减震效果。由于国外的设计地震作用是设防地震作用,因此对于消能器的要求只需其在设防地震作用下发挥功能,并保证罕遇地震时消能器不丧失功能。而我国抗震设计的设计地震作用为多遇地震,所以在考虑经济性的新建建筑结构和既有建筑结构中采用消能减震技术,消能器必须在多遇地震作用时就可能需要发挥消能效果,并要保证罕遇地震时消能器不丧失功能,所以我国在消能减震设计时,对消能器的极限性能要求要比国外严格。 由于地震动的不确定性,地震破坏作用及结构在地震作用下的反应也是不确定的,同时结构计算模型的各种假定和实际情况存在一定差异,根据规定的地震作用进行结构抗震验算,不论计算理论和工具如何先进、计算如何严格,实际地震作用时结构的地震反应与计算结果仍存在较大的差异。为使消能减震结构实现大震不倒的设防目标,需保证大震作用下消能器不致丧失功能而产生破坏(如超过本地区结构抗震设防要求的汶川地震、青海玉树地震)。为此,消能器的极限位移不应小于采用第4章分析方法计算出在罕遇地震作用时消能器最大变形的1.2倍。如果采用现行国家标准《建筑抗震设计规范》GB50011中规定的结构在弹塑性变形限值为标准时,消能器的极限位移不应小于结构弹塑性变形限值反算出消能器的位移。同样,对于速度相关型消能器,其极限速度也应满足类似要求。 对于位移相关型消能器和屈曲约束支撑,随着循环圈数的不断增加,可能会出现低周疲劳失效的问题,为此,位移相关型消能器和屈曲约束支撑应保证在弹性范围内具有足够的抵抗设计风荷载的能力,以避免过早出现非预期的破坏。
3.2.2 应用于消能减震结构中的消能器应符合下列规定:
1 消能器应具有型式检验报告或产品合格证。
2 消能器的性能参数和数量应在设计文件中注明。
3.2.3 消能器的抽样和检测应符合下列规定:
1 消能器的抽样应由监理单位根据设计文件和本规程的有关规定进行。
2 消能器的检测应由具备资质的第三方进行。
条文说明
3.2.2、3.2.3目前国内仅有较少厂家生产的消能器形成了标准化产品,多数消能器厂家还是以销定产的形式,即根据设计单位提供的消能器性能参数来加工制作消能器产品,为此,消能器的性能稳定性和质量不一定能达到设计要求。对于标准化消能器生产厂家可直接按厂家提供的参数设计消能器。为了保证消能减震结构设计的安全,无论哪类消能器生产厂家都应提供消能器型式检验报告或产品合格证,同时还需对生产并应用于实际工程中的消能器产品进行抽检,产品的抽样应在监理监督下抽取,检测应由具有检测资质的第三方完成,以验证应用于实际工程中消能器检测出的性能参数与设计文件中的参数是否吻合,确保设计出的消能减震结构的安全性。
3.3 结构分析
3.3 结构分析
3.3.1 消能减震结构分析模型应正确地反映不同荷载工况的传递途径、在不同地震动水准下主体结构和消能器所处的工作状态。 ( 自2022年1月1日起废止该条,详见新规 《建筑与市政工程抗震通用规范》GB 55002-2021)
3.3.2 消能减震结构的分析方法应根据主体结构、消能器的工作状态选择,可采用振型分解反应谱法、弹性时程分析法、静力弹塑性分析法和弹塑性时程分析法。
条文说明
3.3.1、3.3.2不同类型消能器对消能减震结构的动力特性和动力反应会产生比较大的影响,消能器工作时表现的强非线性特性使消能减震结构的分析复杂化:在多遇地震作用时,主体结构保持弹性状态,消能器未进入或刚进入工作状态,此时消能部件(黏弹性消能部件或位移相关型消能部件)基本只为主体结构提供刚度;在设防地震,消能器在主体结构进入弹塑性变形之前进入耗能阶段,消能器将表现出较强的非线性特征;在罕遇地震作用下,主体结构将产生较大的弹塑性变形,消能器也进入强烈的非线性工作状态。因此,消能减震结构分析必须考虑主体结构和消能部件在不同工作状态下的性能特征。消能减震结构的抗震计算分析,一般情况下宜采用静力弹塑性分析或弹塑性时程分析方法,但当主体结构构件基本处于弹性工作阶段时,可采取弹性分析方法,如基于等价线性化的振型分解反应谱法作简化估算。主体结构和消能器所处的状态及适合的分析方法可按表1选取。 表1主体结构和消能器所处的状态及适合的分析方法 
3.3.3 消能减震结构的总阻尼比应为主体结构阻尼比和消能器附加给主体结构的阻尼比的总和,结构阻尼比应根据主体结构处于弹性或弹塑性工作状态分别确定。
3.3.4 消能减震结构的总刚度应为结构刚度和消能部件附加给结构的有效刚度之和。
条文说明
3.3.3、3.3.4消能减震结构由于消能器的存在,增加了结构的总阻尼比ζ。因此,消能部件附加给结构的有效阻尼比的计算是消能减震结构体系设计中的关键问题。当ζ计算过高时,会高估消能器的耗能能力,消能器将不能有效地保护主体结构,使结构设计偏于不安全;当ζ计算过低时,消能器不能发挥其应有的作用,将增加经费投入。因此,需合理地计算消能器附加给结构的阻尼比,使结构设计安全又经济。 消能减震结构的阻尼比由主体结构阻尼比ζ1和消能部件附加给结构的有效阻尼比ζd组成,当结构处于弹性状态时,主体结构阻尼比ζ1为一定值(混凝土结构为0.05、钢结构为0.02/0.03);当主体结构进入塑性状态后,部分结构构件发生塑性变形,阻尼比相对于弹性状态有所提高,主体结构阻尼比ζ1应重新计算,并考虑结构构件塑性变形的影响。 按照现行国家标准《建筑抗震设计规范》GB50011的要求,当消能减震结构总阻尼比超过30%时,应取30%。 消能减震结构中的消能器会给结构提供附加刚度,对于位移相关型消能器附加刚度大小与消能器的相对位移有关,而速度相关型消能器的附加刚度与消能器的相对速度有关。因此,在计算结构地震反应和振动周期时应考虑附加刚度的影响,消能器为结构提高的附加刚度一般采用有效刚度。
3.3.5 消能器的恢复力模型应采用成熟的模型并经试验验证。
条文说明
3.3.5消能器恢复力模型大致有两类:一种是用复杂的数学公式予以描述的曲线型;另一种是分段线性化的折线型。曲线型恢复力模型中的刚度是连续变化的,与工程实际较为接近,但在刚度的确定及计算方法上较为复杂,在实际工程计算中并不常用。目前,广泛使用的是折线型模型,对于摩擦消能器和铅消能器宜采用理想弹塑性模型(图3)。 
图3理想弹塑性力学模型 消能器的弹性刚度: Kd=Fdy/Δudy(2) 消能器一周耗能: Wc=4Fdy(Δudmax-Δudy)(Δudmax≥Δudy)(3) 式中:Fdy——消能器屈服(起滑)荷载(kN); Kd——消能器弹性刚度(kN/m); Δudmax——沿消能方向消能器最大可能的位移(m); Δudy——沿消能方向消能器屈服(起滑)位移(m); Wc——消能器在Δudmax位移上循环一周耗散的能量(N·m)。 金属消能器和屈曲约束支撑可采用双线性模型(图4)。 
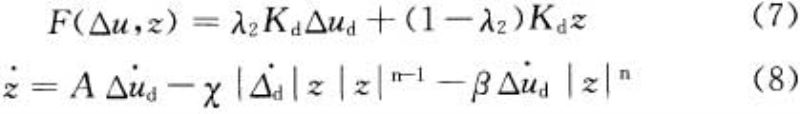
图4双线性模型 消能器的弹性刚度: Kd=Fdy/Δudy(4) 消能器有效刚度: 消能器一周耗能: Wc=4(FdyΔudmax-FdmaxΔudy)(Δudmax≥Δudy)(6) 式中:F0——消能器位移为“0”时的荷载(kN); Keff——消能器有效刚度(N·m); Fdmax——消能器最大荷载(kN)。 金属消能器和屈曲约束支撑可采用Wen模型(文模型),其关系式为: 
式中:λ2——屈服后刚度比; χ、β、A和n——分别为滞回曲线形状控制参数。 Wen模型中消能器的弹性刚度、有效刚度与双线性模型计算公式相同,能量可采用积分进行计算。 速度相关型消能器宜采用Maxwell模型(麦克斯韦模型)或Kelvin模型(开尔文模型)。Maxwell模型中阻尼单元与“弹簧单元”串联(图5),当模拟黏滞消能器时可将弹簧单元刚度设成无穷大,则模型中只有阻尼单元发挥作用。 Kelvin模型(图6),该模型是由一个线性弹簧单元和一个线性阻尼单元并联组成,模型中的输出力是二者之和。 
黏滞消能器和黏弹性消能器的典型滞回曲线见图7。 
图7速度型消能器滞回曲线 黏滞消能器和黏弹性消能器的耗能量及相关参数的计算公式如下: 
式中:ω1——试验加载圆频率(rad/s); Cd——消能器阻尼系数[kN/(m·s)]; G′——黏弹性材料剪切模量(kN/m); G″——黏弹性材料储存模量(kN/m); A——黏弹性材料层横截面面积(m2); h——黏弹性材料层厚度(m)。 消能器分析模型参数宜采用足尺试验来确定,通过足尺试验可对消能器结构构造、构件的相互作用,结构破坏阶段的实际工作情况及消能器在不同位移或速度下的力学性能进行全面的了解。虽然足尺试验能较好地反应消能器的实际性能,但试验受到多方面的制约,如实验室规模、试验设备的能力和试验费用等,且随着消能器加工和制作技术的不断发展,消能器的最大阻尼力及速度相关型消能器最大速度都有很大提高,如屈曲约束支撑最大阻尼力会超过1000t,现有的试验设备很难满足足尺试验的要求。为此,对于消能器性能参数超过现有检测机构试验设备要求时,可采用缩尺模型试验确定分析模型参数,但实际消能器的性能参数应考虑尺寸效应影响。
3.3.6 地震作用下消能减震结构的内力和变形分析,宜采用不少于两个不同软件进行对比分析,计算结果应经分析判断确认其合理、有效后方可用于工程设计。
3.3.7 罕遇地震作用下消能器的设计位移计算,应通过结构整体弹塑性分析确定。
3.4 连接与节点
3.4 连接与节点
3.4.1 消能器与支撑、支承构件的连接,应符合钢构件连接、钢与钢筋混凝土构件连接、钢与钢管混凝土构件连接构造的规定。
条文说明
3.4.1日本《被动减震结构设计与施工手册》JSSI中指出当屈曲约束支撑加固的钢筋混凝土截面支撑设置成K字形时,由于其与上层大梁连接节点处采用钢板焊接,使得钢板部分发生互不相同的平面外失稳,并导致大梁发生大的扭转变形和钢筋混凝土加固部分的混凝土剥落。由于屈曲约束支撑端部的十字形节点板或连接板,即使其区间很短,也往往以单独的板单元出现,故必须考虑该节点处屈曲失稳的可能性。因此,对节点所连接杆件部分的应力分析不能简单地采用构件模型进行评估,必须建立节点区域局部的详细模型用以分析塑性变形的集中程度。在设计消能器时必须考虑到在结构总体达到极限承载力前不产生上述的局部损伤。 由于水平地震作用集中在支撑上,作为力传递路径的楼板将产生平面内剪力,单独的组合大梁有可能发生楼板剪切破坏的情况。此时水平面内作用有剪力,当大梁中间部分设置有“人”字形支撑时,支撑所产生的剪力可能使梁发生压剪破坏。 为了避免上述情况在消能部件中出现,消能部件设计过程中必须考虑支撑的连接部位在消能器最大阻尼力作用下的受力性能及整体稳定性,其连接构造措施应满足国家现行标准《混凝土结构设计规范》GB50010、《钢结构设计规范》GB50017和《型钢混凝土组合结构技术规程》JGJ138的要求。
3.4.2 消能器与支撑、连接件之间宜采用高强度螺栓连接或销轴连接,也可采用焊接。
条文说明
3.4.2消能器与支撑构件和主体结构的连接,考虑到施工制作方便和易于更换一般采用螺栓连接或销栓连接。
3.4.3 在消能器极限位移或极限速度对应的阻尼力作用下,与消能器连接的支撑、墙、支墩应处于弹性工作状态;消能部件与主体结构相连的预埋件、节点板等应处于弹性工作状态,且不应出现滑移或拔出等破坏。
条文说明
3.4.3通过对经历过实际地震考验的消能减震结构调研分析,发现消能部件存在一定的侧向失稳现象,其原因在于建筑结构的复杂性及不规则性,使得按照平面框架理论分析设计的消能部件与实际情况可能存在较大偏差,而侧向失稳与否直接关系到消能器的减震效果。因此,在消能减震设计中,需保证在地震作用下,消能部件和消能部件与结构构件相连的节点不会发生侧向失稳或破坏等问题,以保证消能器正常工作。
3.5 消能部件材料与施工
3.5 消能部件材料与施工
3.5.1 支撑及连接件一般采用钢构件,也可采用钢管混凝土或钢筋混凝土构件。对支撑材料和施工有特殊规定时,应在设计文件中注明。
3.5.2 钢筋混凝土构件作为消能器的支撑构件时,其混凝土强度等级不应低于C30。
3.5.3 消能部件的安装可在主体结构完成后进行或在主体结构施工时进行,消能器安装完成后不应出现影响消能器正常工作的变形,且计算分析时应考虑消能部件安装次序的影响。
条文说明
3.5.1~3.5.3消能部件在材料选用、施工程序及材料采用应满足现行国家标准《建筑抗震设计规范》GB50011的规定。当消能器所用材料有特殊要求时,应在设计文件中做特殊说明。
3.6 耐久性规定
3.6 耐久性规定
3.6.1 消能部件的耐久性应符合现行国家标准《混凝土结构设计规范》GB 50010的规定,承受竖向荷载作用的消能器应按主体结构的要求进行防火处理。
条文说明
3.6.1钢结构在高温条件下材料强度会明显降低,并发生蠕变,从而使其失去承载能力,对于消能减震结构,为了避免消能器在建筑自重下出现明显的变形,一般情况下布置于建筑中的消能器不承受建筑的竖向荷载,为此,消能器在发生火灾后即使出现失效,也不会导致结构失去竖向承载能力,从而不需要进行防火处理。但屈曲约束支撑在建筑中使用,有可能要承受竖向荷载,对于该类支撑需要按主体结构要求进行防灾处理。
3.6.2 消能器经过火灾高温环境后,应对消能器进行检查和试验。
条文说明
3.6.2对于金属消能器、摩擦消能器和屈曲约束支撑,其消能材料或消能元件可能都是钢材,由于钢材在高温情况下性能会发生明显的改变,可能会使消能器的性能发生变化,达不到原设计要求,导致结构偏于不安全。黏弹性消能器中的消能材料为改性橡胶或复合性高分子材料,其都为易燃材料,过火后消能器可能会失去消能功能。黏滞消能器中黏滞材料的消能性能对温度较为敏感。为此,消能器在过火或高温之后应进行检查和性能检测,重新判定消能器是否能继续使用或更换。
4 地震作用与作用效应计算
4.1 一般规定
4 地震作用与作用效应计算
4.1 一般规定
4.1.1 消能减震结构的地震作用,应符合下列规定:
1 应在消能减震结构的各个主轴方向分别计算水平地震作用并进行抗震验算,各方向的水平地震作用应由该方向消能部件和抗侧力构件承担。
2 有斜交抗侧力构件的结构,当相交角度大于15°时,应分别计算各抗侧力构件方向的水平地震作用。
3 质量和刚度分布明显不对称的消能减震结构,应计入双向水平地震作用下的扭转影响;其他情况,应允许采用调整地震作用效应的方法计入扭转影响。
4 8度及8度以上的大跨度与长悬臂消能减震结构及9度时的高层消能减震结构,应计算竖向地震作用。
条文说明
4.1.1消能器布置于结构中,一般情况下不改变主体结构的结构形式和竖向承载能力,只是通过消能器消耗部分地震能量来减小结构在水平荷载作用下的反应,对于不同方向的水平地震作用由该方向的主体结构抗侧力构件和消能器共同承担。但在消能减震结构计算时,可将其分为主体结构和消能部件两部分,而消能部件一般不承载结构的竖向荷载,不改变主体结构类型(承载型屈曲约束支撑除外),为此,消能减震结构地震作用计算的基本要求还是应满足现行国家标准《建筑抗震设计规范》GB50011的要求。
4.1.2 消能减震结构的地震作用效应计算,应采用下列方法:
1 当消能减震结构主体结构处于弹性工作状态,且消能器处于线性工作状态时,可采用振型分解反应谱法、弹性时程分析法。
2 当消能减震结构主体结构处于弹性工作状态,且消能器处于非线性工作状态时,可将消能器进行等效线性化,采用附加有效阻尼比和有效刚度的振型分解反应谱法、弹性时程分析法;也可采用弹塑性时程分析法。
3 当消能减震结构主体结构进入弹塑性状态时,应采用静力弹塑性分析方法或弹塑性时程分析方法。
4.1.3 在弹性时程分析和弹塑性时程分析中,消能减震结构的恢复力模型应包括结构恢复力模型和消能部件的恢复力模型。
4.1.4 采用振型分解反应谱法分析时,宜采用时程分析法进行多遇地震下的补充计算,当取3组加速度时程曲线输入时,计算结果宜取时程分析法包络值和振型分解反应谱法的较大值;当取7组及7组以上的时程曲线时,计算结果可取时程分析法的平均值和振型分解反应谱法的较大值。
4.1.5 采用时程分析法分析时,应按建筑场地类别和设计地震分组选实际强震记录和人工模拟的加速度时程曲线,其中实际强震记录数量不应少于总数的2/3,多组时程曲线的平均地震影响系数曲线应与振型分解反应谱法采用的地震影响系数曲线在统计意义上相符,其地震加速度时程的最大值可按表4.1.5采用。弹性时程分析时,每条时程曲线计算所得主体结构底部剪力不应小于振型分解反应谱法计算结果的65%,多条时程曲线计算主体结构底部剪力的平均值不应小于振型分解反应谱法计算结果的80%。
表4.1.5 时程分析所用的地震加速度时程曲线的最大值(cm/s 2 )

4.1.6 消能减震结构采用弹塑性时程分析法计算时,根据主体结构构件弹塑性参数和消能部件的参数确定消能减震结构非线性分析模型,相对于弹性分析模型可有所简化,但二者在多遇地震下的线性分析结果应基本一致。
4.1.7 采用静力弹塑性分析方法分析时应满足下列要求:
1 消能部件中消能器和支撑根据连接形式不同,可采用串联模型或并联模型,将消能器刚度和支撑的刚度进行等效,在计算中消能部件采用等刚度的连接杆代替。
2 结构目标位移的确定应根据结构的不同性能来选择,宜采用结构总高度的1.5%作为顶点位移的界限值。
3 消能减震结构的阻尼比由主体结构阻尼比和消能部件附加给结构的有效阻尼比组成,主体结构阻尼比应取结构弹塑性状态时的阻尼比。
条文说明
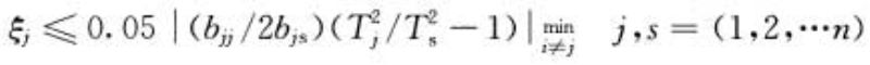
4.1.2~4.1.7不同结构采用不同的分析方法在各国抗震规范中均有体现,振型分解反应谱法仍是基本方法,时程分析法作为补充计算方法,对不规则、重要和高度较高的高层建筑要求采用。 进行时程分析时,鉴于各不同地震波输入进行时程分析的结果不同,本条规定根据小样本容量下的计算结果来估计地震效应值。通过大量地震加速度记录输入不同结构类型进行时程分析结果的统计分析,若选用不少于二条实际记录和一条人工模拟的加速度时程曲线作为输入,计算的平均地震效应值不小于大样本容量平均值的保证率在85%以上,而且一般也不会偏大很多。所谓“在统计意义上相符”指的是,其平均地震影响系数曲线与振型分解反应谱法所用的地震影响系数曲线相比,在各个周期点上相差不大于20%。计算结果的平均底部剪力一般不会小于振型分解反应谱法计算结果的80%。每条地震波输入的计算结果不会小于65%。 消能器在实际工程结构中的设置通常很难沿结构楼层均匀布置的,各楼层消能器所提供的阻尼力也不相同,因此
一般为非经典阻尼矩阵,若忽略其非正交项进行强行解耦,其计算结果将可能出现不同程度的误差。国内外众多学者对具有非经典阻尼结构采用强解耦振型分解法的计算精度进行了详细的研究,根据非经典阻尼矩阵忽略非正交项的误差问题,提出了采用这种方法的适用条件为: 
(13)
式中:ξj——忽略非正交项求得的第j振型阻尼比;
bjs——矩阵B=M*-1C * 的元素。
通过大量计算表明,当上式满足时,忽略非经典阻尼矩阵非正交项的结构反应误差不超过10%,大多数情况下误差不超过5%,即使振型阻尼比大于20%时仍能保持5%的精度。
国内学者研究则表明:对于设置黏滞消能器的消能减震结构,并不能保证满足上式要求并且计算误差较大。另外,通过对仅在底层设置黏滞消能器的5层结构进行了对比分析,研究表明忽略正交项的振型分解法,第一、二振型阻尼比略高于精确值,第三振型阻尼比产生较大的误差(约61.8%),而顶点位移则偏小(比精确解小18%);对设置黏弹性消能器、金属或摩擦消能器的结构,虽然可采用强行解耦的振型分解法,但由于等效线性化得到的刚度矩阵和阻尼矩阵随结构反应的变化而变化,由此产生的反复迭代过程会使计算量大大增加。
目前研究大多是针对中低层建筑、模型简单、无刚度突变的结构(常为规则结构或平面框架),且消能器的布置也较为均匀,很少针对复杂结构(如出现薄弱层、扭转效应明显的结构等)。另外,针对消能减震结构,现行国家标准《建筑抗震设计规范》GB50011仅给出了简单的原则性规定:“当主体结构基本处于弹性工作阶段时,可采用线性分析方法简化估算,并根据结构的变形特征和高度等,分别采用振型分解反应谱法和时程分析法”。
总的来说,对安装位移相关型消能器结构进行初步分析时,当结构较为规则且消能器较为均匀布置时可采用振型强分解法进行分析计算,若消能器仅在个别薄弱楼层设置则一般不适用,但应注意采用振型强分解法会忽略非正交阻尼比,消能器的附加刚度和附加阻尼在迭代计算过程中不断变化,消能部件性能参数变化的“不确定性”会导致结构性能反应的“不稳定性”。
黏弹性消能器同时为结构提供附加阻尼和附加刚度,使结构自振频率增大,附加阻尼对结构的动力反应有显著的衰减效果,附加刚度虽能有效控制结构的位移反应,但不能有效抑制结构的加速度反应,因此在采用振型分解反应谱法分析黏弹性消能结构地震作用时,需进行阻尼比和刚度变化的修正。位移相关型消能器通常需要与支撑构件进行组合,并为结构提供一定初始附加刚度,当位移相关型消能器进入耗能工作状态后,其附加刚度将发生较大的变化(金属消能器屈服后刚度相对于初始弹性刚度也较小),消能器的等效线性刚度取割线刚度,等效阻尼按能量相等原理等效为线性黏滞阻尼。
4.1.8 消能器的恢复力模型宜按下列规定选取:
1 软钢消能器和屈曲约束支撑可采用双线性模型、三线性模型或Wen模型。
2 摩擦消能器、铅消能器可采用理想弹塑性模型。
3 黏滞消能器可采用麦克斯韦模型。
4 黏弹性消能器可采用开尔文模型。
5 其他类型消能器模型可根据组成消能器的元件是采用串联还是并联具体确定。
6 消能器的恢复力模型参数应通过足尺试验确定。
条文说明
4.1.8条文中各类消能器的恢复力学模型可参照第3.3.5条条文说明。
4.1.9 计算地震作用时,建筑的重力荷载代表值应取结构和构配件自重标准值和各可变荷载组合值之和。各可变荷载的组合值系数,应按表4.1.9采用。
表4.1.9 各可变荷载的组合值系数

条文说明
4.1.9按现行国家标准《建筑结构可靠度设计统一标准》GB50068的规定,地震发生时恒荷载与其他重力荷载可能的组合结果总称为“抗震设计的重力荷载代表值”,即永久荷载标准值与有关可变荷载组合值之和。考虑到藏书库等活荷载在地震时组合的概率较大,故按等效楼面均布荷载计算活荷载时,其组合值系数为0.8。 硬钩吊车的组合值系数,只适用于一般情况,吊重较大时需按实际情况取值。
4.1.10 消能减震结构的地震影响系数应根据烈度、场地类别、设计地震分组和结构自振周期以及阻尼比确定,水平地震影响系数最大值应按表4.1.10-1采用,特征周期应根据场地类别和设计地震分组按表4.1.10-2采用,计算罕遇地震作用时,特征周期应增加0.05s;周期大于6.0s的建筑结构所采用的地震影响系数应专门研究。
表4.1.10-1 水平地震影响系数最大值

表4.1.10-2 特征周期(s)

4.1.11 消能减震结构地震影响系数曲线(图4.1.11)的阻尼调整系数和形状参数应符合下列规定:

1 当消能减震结构的阻尼比为0.05时,地震影响系数曲线的阻尼调整系数应按1.0采用,形状参数应符合下列规定:
1)直线上升段,周期小于0.1s的区段。
2)水平段,自0.1s至特征周期区段,应取最大值α max 。
3)曲线下降段,特征周期至5倍特征周期区段,衰减指数应取0.9。
4)直线下降段,自5倍特征周期至6s区段,下降斜率调整系数应取0.02。
2 当消能减震结构的阻尼比不等于0.05时,地震影响系数曲线的阻尼调整系数和形状参数应符合下列规定:
1)曲线及直线下降段的衰减指数应按下式确定:

式中:γ——曲线下降段的衰减指数;
ζ——消能减震结构总阻尼比。
2)直线下降段的下降斜率调整系数应按下式确定:

式中:η 1 ——直线下降段的下降斜率调整系数,小于0时取0。
3)阻尼调整系数应按下式确定:

式中:η 2 ——阻尼调整系数,当小于0.55时,应取0.55。
4.2 水平地震作用计算
4.2 水平地震作用计算
4.2.1 采用振型分解反应谱法分析时,不考虑扭转耦联振动影响的结构,应按下列规定计算其地震作用和作用效应:
1 结构j振型i质点的水平地震作用标准值,应按下列公式计算:
F ji =α j γ j X ji G i (i=1,2,…n,j=1,2,…m) (4.2.1-1)

式中:F ji ——j振型i质点的水平地震作用标准值(kN);
α j ——相应于j振型自振周期的地震影响系数,应按本规程第4.1.11条确定;
X ji ——j振型i质点的水平相对位移(m);
γ j ——j振型的参与系数;
G i ——集中于i质点的重力荷载代表值(kN)。
2 水平地震作用效应(弯矩、剪力、轴向力和变形),应按下式确定:

式中:S Ek ——水平地震作用标准值的效应;
S j ——j振型水平地震作用标准值的效应,可只取前2~3个振型,当基本自振周期大于1.5s或房屋高宽比大于5时,振型个数应适当增加。
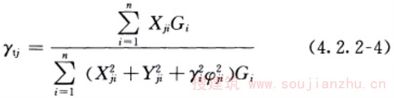
4.2.2 消能减震结构计算水平地震作用扭转影响时,应按下列规定计算地震作用和作用效应:
1 规则结构不进行扭转耦联计算时,平行于地震作用方向的两个边榀各构件,其地震作用效应应乘以增大系数。一般情况下,短边可按1.15采用,长边可按1.05采用;当扭转刚度较小时,角边各构件宜按不小于1.30采用,角部构件宜同时乘以两个方向各自的增大系数。
2 按扭转耦联振型分解法计算时,各楼层可取两个正交的水平位移和一个转角共三个自由度,并应按下列公式计算结构的地震作用和作用效应。
1)j振型i层的水平地震作用标准值,应按下列公式计算:
F xji =α j γ tj X ji G i (4.2.2-1)
F yji =α j γ tj Y ji G i (i=1,2,…n,j=1,2,…m) (4.2.2-2)
F tji =α j γ tj γ i 2 φ ji G i (4.2.2-3)
式中:F xji 、F yji 、F tji ——分别为j振型i层的x方向、y方向和转角方向的地震作用标准值(kN);
X xji 、Y yji ——分别为j振型i层质心在x、y方向的水平相对位移(m);
φ ji ——j振型i层的相对扭转转角;
γ i ——i层的转动半径,可取i层绕质心的转动惯量除以该层质量的商的正二次方根;
γ tj ——计入扭转的j振型的参与系数,可按下列公式确定。
当仅取x方向地震作用时:

当仅取y方向地震作用时:

当取于x方向斜交的地震作用时:
γ tj =γ xj cosθ+γ yj sinθ (4.2.2-6)
式中:γ xj 、γ yj ——分别由式(4.2.2-4)、式(4.2.2-5)求得的参与系数;
θ——地震作用方向与x方向的夹角(°)。
2)单向水平地震作用下的扭转耦联效应,可按下列公式计算:

式中:S Ek ——地震作用标准值的扭转效应;
S j 、S k ——分别为j、k振型地震作用标准值的效应,可取前9~15个振型;
ζ j 、ζ k ——分别为j、k振型的阻尼比;
ρ jk ——j振型与k振型的耦联系数;
λ T ——k振型与j振型的自振周期比。
3)双向水平地震作用的扭转耦联效应,可按下列公式中的较大值确定:

式中:S x 、S y ——分别为x向、y向单向水平地震作用按式(4.2.2-7)计算的扭转效应。
4.2.3 抗震验算时,结构任一楼层的水平地震剪力应符合下式规定:

式中:V Eki ——第i层对应于水平地震作用标准值的楼层剪力(kN);
λ——剪力系数,不应小于表4.2.3规定的楼层最小地震剪力系数值;对竖向不规则结构的薄弱层,尚应乘以1.15的增大系数;
G j ——第j层的重力荷载代表值(kN)。
表4.2.3 楼层最小地震剪力系数值

注:基本周期介于3.5s和5s之间的结构,可插入取值。
条文说明
4.2.1~4.2.3由于地震影响系数在长周期段下降较快,对于基本周期大于3.5s的结构,计算所得的水平地震作用效应可能会太小,为此,现行国家标准《建筑抗震设计规范》GB50011中规定了结构楼层最小地震剪力系数值,从而确保结构安全。但《建筑抗震设计规范》GB50011考虑的是结构阻尼比为5%情况下的结果,而对于位移相关型消能器、黏弹性消能器和部分复合型消能器能给结构提供附加刚度和阻尼,布置该类消能器的结构地震影响系数α值有可能还会出现增大的情况;黏滞消能器只给结构提供附加阻尼(刚度很小),结构的周期不会增大,地震影响系数α值是减小的,主体结构的楼层剪力是肯定会减小的。为此,消能减震结构的楼层最小地震剪力系数的减小,不是结构周期快速下降而导致水平地震作用效应太小,而是消能减震结构总阻尼比增加,减小结构地震反应的结果。设置各类消能器将使结构总阻尼比有所增加,一般都会大于5%。按《建筑抗震设计规范》GB50011提供的阻尼调整系数对地震影响系数曲线进行调整,将使地震影响系数最大值减小,计算的总地震剪力和楼层剪力也会减小。为了使结构总地震剪力和楼层地震剪力保持一个安全合理范围,消能减震结构的楼层最小地震剪力系数可根据消能器附加给结构的阻尼比大小进行调整,其值可取消能减震结构计算出的楼层剪力乘以1.2的增大系数与相应楼层的重力荷载代表值的比值。
4.2.4 消能减震结构的楼层水平地震剪力,应按下列原则分配:
1 现浇和装配整体式混凝土楼(屋)盖等刚性楼(屋)盖建筑,宜按抗侧力构件等效刚度的比例分配。
2 普通预制装配式混凝土楼(屋)盖等半刚性楼(屋)盖建筑,可按抗侧力构件等效刚度的比例分配与按抗侧力构件从属面积上重力荷载代表值的比例分配结果的平均值。
3 结构计入空间作用、楼盖变形、墙体弹塑性变形和扭转影响时,可按现行国家标准《建筑抗震设计规范》GB 50011的有关规定对本条第1、2款的分配结果作适当调整。
4.2.5 消能减震结构抗震计算,一般情况下可不计入地基与结构相互作用的影响;8度和9度时建造于Ⅲ、Ⅳ类场地,采用箱基、刚性较好的筏基和桩箱、桩筏联合基础的钢筋混凝土高层消能减震结构,当结构基本自振周期处于特征周期的1.2倍~5倍范围时,若计入地基与结构动力相互作用的影响,对刚性地基假定计算的水平地震剪力可按下列规定折减,其层间变形可按折减后的楼层剪力计算。
1 高宽比小于3的结构,各楼层水平地震剪力的折减系数,可按下式计算:

式中:ψ——计入地基与结构动力相互作用后的地震剪力折减系数;
T 1 ——按刚性地基假定确定的结构基本自振周期(s);
ΔT——计入地基与结构动力相互作用的附加周期(s),可按表4.2.5采用。
表4.2.5 附加周期(s)

2 高宽比不小于3的结构,底部的地震剪力按第1款规定折减,顶部不折减,中间各层按线性插入值折减。
3 折减后各楼层的水平地震剪力,应符合本规程第4.2.3条的规定。
4.3 竖向地震作用计算
4.3 竖向地震作用计算
4.3.1 9度时的高层消能减震结构,其竖向地震作用标准值应按下列公式确定(图4.3.1)。楼层的竖向地震作用效应可按各构件承受的重力荷载代表值的比例分配,并宜乘以增大系数1.5。
F Evk =α vmax G eq (4.3.1-1)

式中:F Evk ——结构总竖向地震作用标准值(kN);
F vi ——质点i的竖向地震作用标准值(kN);
α vmax ——竖向地震影响系数的最大值,可取水平地震影响系数最大值的65%;
G eq ——结构等效总重力荷载,可取其重力荷载代表值的75%(kN)。

图4.3.1 竖向地震作用计算简图
4.3.2 平板型网架屋盖和跨度大于24m屋架的消能减震结构竖向地震作用标准值,宜取其重力荷载代表值和竖向地震作用系数的乘积;竖向地震作用系数可按表4.3.2采用。
表4.3.2 竖向地震作用系数

注:括号中数值用于设计基本地震加速度为0.30g的地区。
4.3.3 长悬臂和其他大跨度消能减震结构的竖向地震作用标准值,8度和9度可分别取该结构、构件重力荷载代表值的10%和20%;设计基本地震加速度为0.30g时,可取该结构、构件重力荷载代表值的15%。
条文说明
4.3.1~4.3.3消能减震结构竖向地震作用计算和普通结构基本相同,可按现行国家标准《建筑抗震设计规范》GB50011计算。
4.4 地震作用组合的效应
4.4 地震作用组合的效应
4.4.1 在多遇地震作用下,结构构件的地震作用效应和其他荷载效应的基本组合的效应设计值应按下式计算:
S d =γ G S GE +γ Eh S Ehk +γ Ev S Evk +ψ w γ w S wk (4.4.1)
式中:S d ——荷载和地震作用组合的效应设计值;
S GE ——重力荷载代表值的效应;
S Ehk ——水平地震作用标准值的效应,尚应乘以相应的增大系数、调整系数;
S Evk ——竖向地震作用标准值的效应,尚应乘以相应的增大系数、调整系数;
S wk ——风荷载标准值的效应;
γ G ——重力荷载分项系数,一般情况下应采用1.2,当重力荷载效应对构件承载力有利时,不应大于1.0;
γ w ——风荷载分项系数,应采用1.4;
γ Eh ——水平地震作用分项系数,应按现行国家标准《建筑抗震设计规范》GB 50011取值;
γ Ev ——竖向地震作用分项系数,应按现行国家标准《建筑抗震设计规范》GB 50011取值;
ψ w ——风荷载的组合值系数,一般结构取0.0,风荷载起控制作用的建筑应取0.2。
条文说明
4.4.1消能减震结构设计的荷载组合同现行国家标准《建筑抗震设计规范》GB50011一致,在多遇地震作用时地震作用分项系数、抗震验算中作用组合系数、地震作用标准值的效应等都与现行国家标准《建筑抗震设计规范》GB50011相同。
4.4.2 在罕遇地震作用下,结构构件的地震作用效应和其他荷载效应的基本组合的效应应按下式计算:
S d =S GE +ψ e S Ek +ψ w S wk (4.4.2)
式中:S Ek ——罕遇地震作用标准值的效应;
ψ e ——地震作用的频率系数,一般结构取1.0。
4.4.3 结构构件截面抗震验算,应按现行国家标准《建筑抗震设计规范》GB 50011执行;当进行罕遇地震作用下的抗震验算时,结构构件承载力抗震调整系数均应采用1.0。
条文说明
4.4.2、4.4.3消能减震结构在设防地震作用时,消能减震结构中除消能子结构及消能部件外的其他结构构件应先达到屈服,消能子结构及消能部件宜作重要构件考虑;消能减震结构在罕遇地震作用时消能部件不丧失功能,需要保证消能子结构在罕遇地震作用具有足够的承载能力,为此,消能子结构抗震验算应考虑罕遇地震作用效应。通过对消能子结构进行专门的设计,使结构可能承受罕遇地震作用的消能子结构具有抵抗破坏的承载能力。 现行国家标准《建筑抗震设计规范》GB50011中指出罕遇地震为50年超越概率为2%~3%的地震,其重现期为1600年~2400年,可认为其是消能减震结构使用过程中的偶然荷载,计算时可按偶然荷载进行效应组合。 对于消能子结构及消能部件都要进行罕遇地震作用下、结构处于的弹塑性变形情况下的抗震验算,罕遇地震作用抗震验算时承载力调整系数取1.0。
5 消能器的技术性能
5.1 一般要求
5 消能器的技术性能
5.1 一般要求
5.1.1 消能器的设计使用年限不宜小于建筑物的设计使用年限,当消能器设计使用年限小于建筑物的设计使用年限时,消能器达到使用年限应及时检测,重新确定消能器使用年限或更换。
条文说明
5.1.1建筑物使用年限是设计规定在既定的时间内,建筑只需进行正常的维护而不需进行大修就能按预期目的使用,完成预定的功能,即房屋建筑在正常设计、正常施工、正常使用和维护下所应达到的使用年限。消能减震结构设计中,消能器的设计至关重要,消能器一旦失效,不仅原有减震设计目标很难达到,而且在地震作用下还可能产生负面效果,如结构刚度的改变、周期改变、加大地震作用,引起破坏等。 目前,还无法对地震的发生做出合理的预测,无法判断其发生的时间、地点和强度。消能器作为结构中消耗地震能量的主要构件之一,设计使用年限内应时刻处于有效工作状态,从而保证地震作用时起到减震作用。至今消能减震技术在实际结构中应用的时间还没有超过现有规范规定的建筑物使用年限,无法对每类消能器实际使用年限范围内的可靠性作出明确限定,只能通过试验推算消能器的使用年限。为此,每类消能器出厂前应由具有资质的第三方进行型式检验,并给出详细的型式检验报告,明确消能器使用年限。为了保证消能减震结构在使用年限内的安全性,消能器必须和建筑具有相同的使用年限,不满足建筑设计使用年限要求时,则在消能器达到其使用年限之前应进行重新检测,确定消能器新的使用年限,当不能满足原有设计要求时应进行更换。
5.1.2 消能器应具有良好的抗疲劳、抗老化性能,消能器工作环境应满足现行行业标准《建筑消能阻尼器》JG/T 209的要求,不满足时应作保温、除湿等相应处理。
条文说明
5.1.2国内外众多学者对黏弹性消能器和黏滞消能器进行了试验研究,得出了影响其耗能性能的主要因素是温度、频率和应变幅值。而影响位移相关型消能器如金属消能器、摩擦消能器等的耐久性影响主要包括腐蚀、磨耗及钢材在高温下的软化和低温下的脆性断裂等。摩擦消能器中的金属摩擦材料虽强度高,不易破裂,但经过多次反复滑动后摩擦系数下降快,胶合趋势增大。 为此,消能器的耗能性能很大程度上受温度、徐变、腐蚀、紫外线照射等因素的影响,要求在设计及使用消能器时应考虑到其所处的工作环境因素,必要时须采取特殊的措施消除环境因素的影响。
5.1.3 消能器的外观应符合下列规定:
1 消能器外表应光滑,无明显缺陷。
2 消能器需要考虑防腐、防锈和防火时,应外涂防腐、防锈漆、防火涂料或进行其他相应处理,但不能影响消能器的正常工作。
3 消能器的尺寸偏差应符合本规程有关规定。
4 消能器外观应符合本规程有关规定。
5.1.4 消能器的性能应符合下列规定:
1 消能器中非消能构件的材料应达到设计强度要求,设计时荷载应按消能器1.5倍极限阻尼力选取,应保证消能器中构件在罕遇地震作用下都能正常工作。
2 消能器在要求的性能检测试验工况下,试验滞回曲线应平滑、无异常。
条文说明
5.1.4消能器一般由消能元件或构件和非消能构件组成,如金属消能器由连接板和消能板组成、黏滞消能器由消能黏滞材料和非消能的缸体、活塞、密封圈等组成。为避免因材料缺陷、安装偏差、超强地震作用的突增等因素引起的非消能构件失效而导致消能器无法正常工作的情形,消能器中非消能构件必须具有足够的安全储备,为此,在消能器设计时,非消能元件或构件承载能力应大于消能器1.5倍极限阻尼力选取。
5.1.5 消能器应经过消能减震结构或子结构动力试验,验证消能器的性能和减震效果。
条文说明
5.1.5消能器的型式检验应根据现行行业标准《建筑消能阻尼器》JG/T209的要求对产品各项指标进行的全面检验,报告中应详细注明消能器的各项性能参数指标。 由于消能器的性能试验仅能反应消能器的性能,并不能充分体现出消能器在结构中的真实性能和耗能减震效果。即使是同类型的消能器,不同生产厂家消能器制作工艺的不同,其性能也会有所差异。为此,要求生产厂家对每类消能器至少应进行一次消能器布置于二层及以上的整体结构或子结构中进行动力性能试验或地震模拟振动台试验,验证下列性能: 1消能减震结构的整体工作性能和消能器的工作性能及减震效果; 2消能器和主体结构的连接是否可靠; 3消能部件是否会出现平面外失稳; 4消能器的连接形式对减震效果的影响。
5.2 位移相关型消能器
5.2 位移相关型消能器
Ⅰ 金属消能器
5.2.1 金属消能器的外观应符合下列规定:
1 金属消能器产品外观应标志清晰、表面平整、无锈蚀、无毛刺、无机械损伤,外表应采用防锈措施,涂层应均匀。
2 消能段与非消能段应光滑过渡,不应出现缺陷。
3 金属消能器尺寸偏差应为±2mm。
5.2.2 金属消能器的材料应符合下列规定:
1 金属消能器可采用钢材、铅等材料制作。
2 采用钢材制作的金属消能器的消能部分宜采用屈服点较低和高延伸率的钢材,钢板的厚度不宜超过80mm,钢棒直径根据实际情况确定,应具有较强的塑性变形能力和良好的焊接性能。
3 金属消能器中材料应符合现行行业标准《建筑消能阻尼器》JG/T 209的规定。
5.2.3 金属消能器的力学性能要求,应符合表5.2.3规定。
表5.2.3 金属消能器力学性能要求


5.2.4 金属消能器整体稳定和局部稳定应符合现行国家标准《钢结构设计规范》GB 50017的规定,消能器在消能方向运动时,平面外应具有足够的刚度,不能产生翘曲和侧向失稳。
条文说明
5.2.1~5.2.4金属消能器一般由不同金属(软钢、铅等)材料制成,利用金属材料屈服时产生的弹塑性滞回变形耗散外界荷载输入能量。金属消能器从受力形式上可分为剪切型、挤压型、弯曲型等。金属消能器一般需要采用精加工制作成型,在加工过程中如果出现明显的缺陷或机械损伤等,将会导致消能器出现应力集中等问题,不利于消能器发挥良好的耗能效果。
Ⅱ 摩擦消能器
5.2.5 摩擦消能器的外观应符合下列规定:
1 摩擦消能器产品外观应标志清晰、表面平整、无机械损伤、外表应采用防锈措施,涂层应均匀。
2 摩擦消能器尺寸偏差应为±2mm。
5.2.6 摩擦消能器的材料应符合下列规定:
1 摩擦材料可采用复合摩擦材料、金属类摩擦材料和聚合物类摩擦材料等。
2 摩擦消能器的性能主要由预压力和摩擦片的动摩擦系数确定,摩擦型消能器在正常使用过程中预压力变化不宜超过初始值的10%。
3 摩擦消能器预压螺栓宜采用高强度螺栓,高强度螺栓的数量n可由下式确定,且不应少于2个:

式中:n f ——传力摩擦面数;
μ——摩擦面的抗滑移系数,可按表5.2.6-1采用;
P——每个高强度螺栓的预拉力(kN),可按表5.2.6-2采用;
F dmax ——摩擦消能器最大阻尼力(kN)。
表5.2.6-1 摩擦面的抗滑移系数μ值

表5.2.6-2 每个高强度螺栓预拉力P值(kN)

4 摩擦消能器中采用的摩擦材料应具有稳定的摩擦系数,不应生锈,并应满足消能器预压力作用下的强度要求。
5 摩擦消能器中的受力元件应具有足够的刚度,不能产生翘曲和侧向失稳。
5.2.7 摩擦消能器力学性能要求,应符合表5.2.7规定。
表5.2.7 摩擦消能器力学性能要求

5.2.8 摩擦消能器宜实施保养,定期检查摩擦片的氧化、磨耗和锈蚀。
条文说明
5.2.5~5.2.8摩擦消能器一般由钢元件或构件、摩擦片和预压螺栓等组成,在地震作用下,钢元件或构件之间发生相对位移产生摩擦做功而耗散能量。由于预压螺栓的预压力在长期作用时会产生松弛,施加的预压力应大于设计值;另一方面,在长期预压力作用下钢元件或构件间、钢元件或构件与摩擦片之间会产生冷粘结或冷凝固,因此,为保证消能器的性能稳定,预压螺栓的预压力不应超过设计值的10%。 摩擦消能器虽构造简单、耗能原理清晰,但耗能性能受以下因素影响: 1摩擦元件类型; 2摩擦片和接触面处理情况; 3高强度螺栓类型; 4摩擦元件和孔槽的几何尺寸; 5使用时间; 6滑动速度与温度; 7循环次数; 8外荷载类型; 9加工精度。 为确保摩擦消能器在实际应用中具有良好的耗能性能,需对部分主要影响因素进行控制,结合现有摩擦学相关理论可知摩擦片质量及其表面处理情况是影响其耗能性能的主要因素之一,因而应对摩擦片的性能进行明确的限定。此外,高强度螺栓是摩擦消能器必要的组成部分,是摩擦元件相互运动过程中产生摩擦力的关键,通过高强度螺栓可以很容易施加所需要的预压力。预压力一般通过扭力扳手在高强度螺栓中产生预紧力来实现,高强度螺栓的设计预紧力应符合现行国家标准《钢结构设计规范》GB50017中的规定。
5.3 速度相关型消能器
5.3 速度相关型消能器
Ⅰ 黏滞消能器
5.3.1 黏滞消能器的外观应符合下列规定:
1 黏滞消能器产品外观应表面平整、无机械损伤、外表应采用防锈措施,涂层应均匀。
2 黏滞消能器密封处制作精细、无渗漏。
3 黏滞消能器各构件尺寸允许偏差应为产品设计值的±2%。
5.3.2 黏滞消能器的材料应符合现行行业标准《建筑消能阻尼器》JG/T 209的规定。
5.3.3 黏滞消能器力学性能要求,应符合表5.3.3的规定。
表5.3.3 黏滞消能器力学性能要求

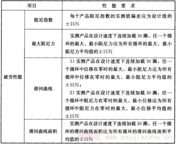
5.3.4 黏滞消能器的疲劳性能要求,应符合表5.3.4的规定,并且消能器在试验后应无渗漏、无裂纹。
表5.3.4 黏滞消能器疲劳性能要求

5.3.5 黏滞消能器的其他性能要求,应符合下列规定:
1 黏滞消能器应进行慢速试验和1.5倍最大阻尼力的静力过载试验,在极限位移及过载作用下消能器不应出现渗漏、屈服或破损等现象。
2 黏滞消能器在-20℃~40℃下,在1.0
1 测试频率下,输入位移采用公式(5.3.5-1),每隔10℃记录消能器的最大阻尼力的实测值偏差应为设计值的±15%。
Δu=Δu 0 sin(2π
1 t) (5.3.5-1)
式中:
1 ——消能减震结构的第一自振频率(Hz);
Δu 0 ——黏滞消能器设计位移(m)。
3 黏滞消能器在0.4
1 、0.7
1 、1.0
1 、1.3
1 、1.6
1 测试频率,输入位移采用公式(5.3.5-2),其最大阻尼力的实测值偏差应为设计值的±15%。
Δu=Δu 0 
1 /
(5.3.5-2)
式中:
——加载频率(Hz)。
Ⅱ 黏弹性消能器
5.3.6 黏弹性消能器的外观应符合下列规定:
1 要求黏弹性消能器钢板应平整、光滑、无锈蚀、无毛刺,涂刷防锈涂料两次,钢板坡口焊接,焊缝一级、平整。
2 黏弹性材料表面应密实、平整。
3 黏弹性材料与薄钢板之间应密实、无裂缝。
4 黏弹性消能器的尺寸偏差应满足下列要求:
1)黏弹性消能器钢构件和黏弹性层长宽的尺寸允许偏差应为产品设计值的±2%。
2)黏弹性层厚度允许偏差应为产品设计值的±3%,不同地方厚度允许偏差应为±5%。
5.3.7 黏弹性材料性能要求应符合现行行业标准《建筑消能阻尼器》JG/T 209的规定,钢材质量指标应符合现行国家标准《碳素结构钢》GB/T 700中碳素结构钢或低合金钢的规定。
5.3.8 在同种测量频率和温度下黏弹性消能器力学性能要求,应符合表5.3.8的规定。
表5.3.8 黏弹性消能器力学性能要求


5.3.9 在同种测量频率和温度下黏弹性消能器耐久性能要求(包括老化性能、疲劳性能),应符合表5.3.9的规定。
表5.3.9 黏弹性消能器耐久性能要求

5.3.10 黏弹性消能器在-20℃~40℃下,在1.0
1 测试频率下,输入位移采用公式(5.3.5-1),每隔10℃记录消能器最大阻尼力的实测值偏差应为设计值±15%。
条文说明
5.3.1~5.3.10黏滞消能器一般是由缸体、活塞、黏滞材料等部分组成,利用黏滞材料运动时产生黏滞阻尼耗散能量的减震装置。黏弹性消能器一般是由黏弹性材料和约束钢板或圆(方形或矩形)钢筒等组成,利用黏弹性材料间产生的剪切或拉压滞回变形来耗散能量的减震装置。其力学性能受黏滞材料和黏弹性材料及加载的频率的影响比较大,需要对材料和不同频率的加载情况进行限定。
5.4 屈曲约束支撑
5.4 屈曲约束支撑
5.4.1 屈曲约束支撑根据需求可采用外包钢管混凝土型屈曲约束支撑、外包钢筋混凝土型屈服约束支撑和全钢型屈曲约束支撑等。
条文说明
5.4.1屈曲约束支撑可分为承载型屈曲约束支撑和消能型屈曲约束支撑。承载型屈曲约束支撑是指利用屈曲约束的原理来提高支撑的设计承载力,保证支撑在屈服前不会发生失稳破坏,从而充分发挥钢材强度的承载结构构件,其设计要求宜符合现行国家标准《建筑抗震设计规范》GB50011的规定;消能型屈曲约束支撑是利用屈曲约束的原理来提高支撑的设计承载,防止核心单元产生屈曲或失稳,保证核心单元能产生拉压屈服,利用屈服后滞回变形来耗散地震能量。 屈曲约束支撑的构成分为横向构成与纵向构成。 横向构成分为3个部分:核心钢支撑、无粘结构造层、屈曲约束机构(约束单元)(图8)。 
图8屈曲约束支撑的典型构成 核心钢支撑又称芯材或核心受力单元,是屈曲约束支撑中主要受力元件,由特定强度的钢材制成,一般采用低强度钢材。常见的截面形式(图9)为十字形、T形、双T形、一字形或管形,分别适用于不同的刚度要求和耗能需求。 
图9常用截面形式 无粘结构造层用来有效减少或消除芯材受约束段与砂浆之间的剪力,可采用橡胶、聚乙烯、硅胶、乳胶等。由于约束机构作用,核心单元的耗能段可能会在高阶模态下发生微幅屈曲,此外,还需要足够的空间容许芯材在受压时膨胀,否则由于核心单元与约束机构接触而引起的摩擦力会迫使约束机构承受轴向力,因而,无粘结构造层和核心单元间需要留一定的间隙。但另一方面,如果间隙太大,核心单元的耗能段的屈曲变形和相关曲率会非常大,会减小屈服段的低周疲劳寿命,间隙过大时可能会导致核心单元的耗能段产生屈曲失稳。因此,间隙一般取1mm~2mm。 屈曲约束机构主要起约束作用,一般不承受轴力,可采用钢管、钢筋混凝土或钢管混凝土为约束机构(图9)。根据屈曲约束机构的不同可将屈曲约束支撑分为钢管混凝土型屈曲约束支撑、钢筋混凝土型屈曲约束支撑和全钢型屈曲约束支撑(图9)。 纵向构成指核心钢支撑的组成,分为3个部分:工作段、过渡段、连接段(图10)。 
图10核心钢支撑 1—连接段;2—过渡段;3—耗能段;Lc—耗能段长度;Lt—支撑长度 工作段又称耗能段:该部分可采用不同的截面形式,由于要求支撑在反复荷载下屈服耗能,因此需使用延性较好、屈服点低的钢材。同时要求钢材的屈服强度值稳定,这对屈曲约束支撑框架能力设计的可靠性非常重要。 过渡段:该部分也包在屈曲约束机构内,通常是耗能段的延伸部分。为确保其在弹性阶段工作,因此需要增加构件截面面积。可以通过增加耗能段的截面宽度实现(截面的转换需要平缓过渡以避免应力集中),也可通过焊接加劲肋来增加截面积。 连接段:该部分通常是过渡段的延伸部分,它穿出屈曲约束机构,与框架连接。为便于现场安装通常为螺栓连接,也可采用焊接连接。这部分的设计需考虑:安装公差,以便安装和拆卸,防止局部屈曲。
5.4.2 屈曲约束支撑核心单元应符合下列规定:
1 核心单元的材料宜采用屈服点低和高延伸率的钢材。
2 核心单元截面可设计成“一”字形、“H”字形、“十”字形、环形和双“一”字形等,宽厚比或径厚比限值应符合下列规定:
1)一字形板截面宽厚比取10~20;
2)十字形截面宽厚比取5~10;
3)环形截面径厚比不宜超过22;
4)其他截面形式,取现行国家标准《建筑抗震设计规范》GB 50011中心支撑的径厚比或宽厚比的限值。
3 核心单元截面采用“一”字形、“十”、“H”字形和环形时,钢板厚度宜为10mm~80mm。
5.4.3 屈曲约束支撑外约束单元应具有足够的抗弯刚度。
5.4.4 屈曲约束支撑连接段及过渡段的板件应保证不发生局部失稳破坏。
5.4.5 屈曲约束支撑的钢材选用应满足现行国家标准《金属材料 拉伸试验 第1部分:室温试验方法》GB/T 228.1和《金属材料 室温压缩试验方法》GB/T 7314的规定,混凝土材料等级不宜小于C25。
5.4.6 屈曲约束支撑在多遇地震作用下进入消能工作状态时,其力学性能应符合表5.4.6的规定。屈曲约束支撑在多遇地震作用下不进入消能工作状态时,其力学性能应符合现行国家标准《建筑抗震设计规范》GB 50011的规定。
表5.4.6 屈曲约束支撑在多遇地震作用下进入消能工作状态时力学性能要求

条文说明
5.4.6对于屈曲约束支撑节点所连接杆件部分的应力分析不能简单地采用构件模型进行评估,必须建立节点区域局部的详细模型以分析塑性变形的集中程度。在设计消能器时必须考虑到在结构总体达到极限承载力前不产生上述的局部损伤。因此,屈曲约束支撑的设计过程中必须考虑支撑连接部位在屈曲约束支撑最大承载力的受力性能及整体稳定性。
5.5 复合型消能器
5.5 复合型消能器
5.5.1 复合型消能器的外观和材料应满足本规程第5.2和5.3节规定。
5.5.2 复合型消能器性能应根据位移相关型消能器和速度相关型消能器的性能综合考虑确定。
条文说明
5.5.1、5.5.2复合型消能器是利用二种以上的消能原理或机制进行耗能的消能器,同时具有位移相关型消能器和速度相关型消能器的性能特征,但有可能位移相关型消能器的特征比较明显,有时可能速度相关型消能器的特征比较明显,因此,对其性能的要求要根据其组合的消能机理或机制具体确定。
5.6 消能器性能检验与性能参数确定
5.6 消能器性能检验与性能参数确定
5.6.1 消能器性能检验的检验批划分,应符合下列规定:
1 对黏滞消能器,抽检数量不少于同一工程同一类型同一规格数量的20%,且不应少于2个,检测合格率为100%,该批次产品可用于主体结构。检测合格后,消能器若无任何损伤、力学性能仍满足正常使用要求时,可用于主体结构。
2 对黏弹性消能器,抽检数量不少于同一工程同一类型同一规格数量的3%,当同一类型同一规格的消能器数量较少时,可在同一类型消能器中抽检总数量的3%,但不应少于2个,检测合格率为100%,该批次产品可用于主体结构。检测后的消能器不应用于主体结构。
3 对摩擦消能器、金属消能器和复合型消能器,抽检数量不少于同一工程同一类型同一规格数量的3%,当同一类型同一规格的消能器数量较少时,可在同一类型消能器中抽检总数量的3%,但不应少于2个,检测合格率为100%,该批次产品可用于主体结构。检测后的消能器不应用于主体结构。
4 对屈曲约束支撑,抽检数量不少于同一工程同一类型同一规格数量的3%,当同一类型同一规格的消能器数量较少时,可在同一类的屈曲约束支撑中抽检总数量的3%,但不应少于2个,检验支撑的工作性能和拉压反复荷载作用下的滞回性能,检测合格率为100%,该批次产品可用于主体结构。检测后的屈曲约束支撑不应用于主体结构。
5.6.2 产品检测合格率未达到100%,应在同批次抽检产品数量加倍抽检;加倍抽检的检测合格率为100%,该批次产品可用于主体结构;加倍抽检的检测合格率仍未达到100%,该批次消能器不能在主体结构中使用。
5.6.3 根据试验数据确定消能器的性能参数应符合下列规定:
1 位移相关型消能器及屈曲约束支撑的性能参数应按下列公式计算:

2 黏滞消能器的性能参数应按下列公式计算:

3 黏弹性消能器的性能参数应按下列公式计算:


条文说明
5.6.1~5.6.3在地震作用下消能器应充分发挥其耗能效果,以确保消能减震结构的安全性,因此,消能器的性能参数应进行严格检验。检验应采用产品质量监督抽查管理办法执行,对检验批次的消能器进行随机抽样方式确定检测试件,如有一件抽样试件的一项性能不合格,则该次抽样检验为不合格。 对于所有的消能器出厂检验应由第三方完成。第三方检验机构应为具有相应的消能器检测资质和试验设备要求的独立单位,与检验的消能器厂家不应有利益关系,也不应生产或是销售消能器。 第三方检验机构根据消能器的性能要求,依据本规程和设计文件,对消能器的性能进行检验,从而对整批产品质量水平给予相应的评价。 对于可重复利用的黏滞消能器,抽检数量适当增多,抽检的消能器在各项性能参数都能满足设计要求时,抽检后可应用于主体结构;对于金属消能器、摩擦消能器和屈曲约束支撑等抽检后不能继续使用的消能器,在同一类型中抽检数量不少于2个,抽检合格率应为100%。产品检测合格率未达到100%,应在该批次的消能器中进行加倍抽检;检测合格率仍未达到100%,该批次的消能器不应在工程中使用。 对于黏滞消能器,由于目前在国内外实际工程中应用得比较多,并且黏滞消能器的密封性能是影响其性能参数的关键问题,同时,黏滞消能器只给结构提供附加阻尼比,并不提供附加刚度,一旦消能器出现漏油或密封问题,对结构的安全性会造成较大的影响,基于安全考虑,黏滞消能器的抽检数量相对于其他类型的消能器数量应有所增加,本规程条文中给出的抽检数量不少于同一工程同一类型同一规格数量的20%,且不少于2个是对于丙类建筑的最低标准要求;对于乙类建筑抽检数量应不少于同一工程同一类型同一规格数量的50%;对于甲类建筑抽检数量应为消能器数量的100%。 对于位移相关型消能器,一般认为其阻尼力仅与消能器两端的相对位移有关,与激振速度、频率无关,但日本学者通过对金属消能器和摩擦消能器在不同加载频率下的滞回性能研究,发现金属消能器——特别是低屈服点钢制作的消能器在不同加载频率下其滞回性能会出现一定的变化。因此,位移相关型消能器在抽检过程中也应考虑加载速度影响,检测速度要求可按现行国家标准《金属材料拉伸试验方法第1部分:室温试验方法》GB/T228.1执行。
6 消能减震结构设计
6.1 一般规定
6 消能减震结构设计
6.1 一般规定
6.1.1 消能减震结构设计应保证主体结构符合现行国家标准《建筑抗震设计规范》GB 50011的规定;楼(屋)盖宜满足平面内无限刚性的要求。当楼(屋)盖平面内无限刚性要求不满足时,应考虑楼(屋)盖平面内的弹性变形,并建立符合实际情况的力学分析模型。抗震计算分析模型应同时包括主体结构与消能部件。
条文说明
6.1.1对于平面规则并且无大开洞的楼板,可采用现行国家标准《建筑抗震设计规范》GB50011中规定的刚性隔板假定。但对于复杂的结构,采用刚性隔板假定时,可能会使消能器消能力超过实际能力,从而高估了消能器的作用,为此,需考虑采用弹性板对消能减震结构进行分析。
6.1.2 当在垂直相交的两个平面内布置消能器,且分别按不同水平方向进行结构地震作用分析时,应考虑相交处的柱在双向地震作用下的受力。
条文说明
6.1.2在双向地震作用时,消能器都要发挥作用,通过支撑同时向双向交叉布置消能部件的柱附加荷载,为此,双向交叉布置消能部件相连的柱,交叉支撑对柱产生的外荷载要重点考虑。
6.1.3 消能减震结构的高度超过现行国家标准《建筑抗震设计规范》GB 50011规定时,应进行专项研究。
条文说明
6.1.3在结构中设置消能器增加结构阻尼来减少结构地震反应是公认的事实,随着消能减震技术的发展,为了适应我国经济发展的需要,可利用消能减震技术来减轻结构的地震灾害,从而也推动高烈度区高层建筑的发展。结构中布置消能器后形成消能减震支撑结构体系,当消能器在结构中的布置满足钢支撑在不同结构体系中的要求时,其形成的消能减震高层建筑结构的最大适用高度,可按现行国家标准《建筑抗震设计规范》GB50011中钢支撑结构体系要求取值。如果消能减震结构与满足相应抗震设防烈度要求设计的非消能减震结构水平地震影响系数之比小于0.5,其最大适用高度可按降一度要求考虑,但还应进行专门的研究。 消能减震结构采用屈曲约束支撑时,当屈曲约束支撑的布置符合现行国家标准《建筑抗震设计规范》GB50011中钢支撑布置的规定时,其建筑适用的最大高度可按采用钢支撑建筑要求取值。
6.1.4 消能减震结构构件设计时,应考虑消能部件引起的柱、墙、梁的附加轴力、剪力和弯矩作用。
条文说明
6.1.4已有的研究成果表明,消能减震结构中,与消能部件相连的柱(墙)和梁所承受的作用不仅包括地震作用部分,还包括与该柱(墙)和梁相连的消能部件传至连接节点的作用。这样,在地震作用下,虽然消能减震结构能减小结构地震作用下反应,但是消能部件子结构由于消能部件产生附加作用可能会比较大,从而增加与消能部件相连的柱(墙)和梁的作用,设计时应考虑与消能部件相连的主体结构构件由于消能部件附加作用的影响。
6.2 消能部件布置原则
6.2 消能部件布置原则
6.2.1 消能部件的布置应符合下列规定:
1 消能部件的布置宜使结构在两个主轴方向的动力特性相近。
2 消能部件的竖向布置宜使结构沿高度方向刚度均匀。
3 消能部件宜布置在层间相对位移或相对速度较大的楼层,同时可采用合理形式增加消能器两端的相对变形或相对速度的技术措施,提高消能器的减震效率。
4 消能部件的布置不宜使结构出现薄弱构件或薄弱层。
6.2.2 消能部件的布置宜使消能减震结构的设计参数符合下列规定:
1 采用位移相关型消能器时,各楼层的消能部件有效刚度与主体结构层间刚度比宜接近,各楼层的消能部件水平剪力与主体结构的层间剪力和层间位移的乘积之比的比值宜接近。
2 采用黏滞消能器时,各楼层的消能部件的最大阻尼力与主体结构的层间剪力与层间位移的乘积之比的比值宜接近。
3 采用黏弹性消能器时,各楼层的消能部件刚度与结构层间刚度的比值宜接近,各楼层的消能部件零位移时的阻尼力与主体结构的层间剪力与层间位移的乘积之比的比值宜接近。
4 消能减震结构布置消能部件的楼层中,消能器的最大阻尼力在水平方向上分量之和不宜大于楼层层间屈服剪力的60%。
条文说明
6.2.1、6.2.2消能器一般是和支撑(支承构件)一起布置在结构中,支撑(支承构件)和消能器构成消能部件。常见的布置形式有单斜撑、“V”字形撑、“人”字形等,概念设计阶段应根据消能器的类型、构造及原结构空间使用、建筑设计、施工和检修要求选择消能部件的类型。例如:从消能器的构造、类型角度考虑,圆筒式黏弹性消能器、筒式黏滞消能器等适合采用斜杆支撑;Pall型摩擦消能器、双环金属消能器、加劲圆环金属消能器适合采用交叉支撑;剪切型金属消能器适合采用“人”字形支撑或用于耗能剪力墙中。 由于抗震结构体系要求受力明确、传力途径合理、传力路线连续,合理的抗震结构能使结构抗震分析更加符合结构在地震时的实际表现,提高结构的抗震性能,是结构选型与布置结构抗侧力体系时首要考虑因素之一,因此,消能部件的布置应使结构形成均匀合理的受力体系,减少不规则性,提高整体结构的消能能力。 消能器的布置以使结构平面两个主轴方向动力特性相近或竖向方向刚度均匀为原则;对于规则结构,平面上可在两个主轴方向上分别采用对称布置,并且使结构竖向刚度均匀。当结构平面两个主轴动力特性相差较大时,可根据需要分别在两个主轴方向布置,也可以只在较弱的一个主轴方向布置,这时结构设计时应只考虑单个方向的消能作用。对于结构竖向存在薄弱层可优先在薄弱层布置,然后再考虑沿竖向每层或隔层或跨层布置。 消能减震结构中每一楼层中消能器的布置数量不能无限增加,当布置的消能器的数量较多时,消能器的最大阻尼力之和较大,使得该楼层的层剪力产生突变,但为了满足消能减震结构的布置要求,在其他楼层中也要布置大量的消能器,整个结构需要布置的消能器数量会明显增多,其结构设计是一种不经济的方案。 对于位移相关型消能器和部分复合型消能器,随着位移的增加,消能器的刚度是减小的,楼层中布置消能器数量过多,消能器的最大阻尼力之和过大后,当遭受更大的地震作用时,消能器的阻尼力会小于最初设计值,该楼层可能会出现薄弱构件。
6.3 消能部件设计及附加阻尼比
6.3 消能部件设计及附加阻尼比
6.3.1 消能部件的设计参数应符合下列规定:
1 位移相关型消能器与斜撑、支墩等附属构件组成消能部件时,消能部件的恢复力模型参数应符合下式规定:
Δu py /Δu sy ≤2/3 (6.3.1-1)
式中:Δu py ——消能部件在水平方向的屈服位移或起滑位移(m);
Δu sy ——设置消能部件的主体结构层间屈服位移(m)。
2 黏弹性消能器的黏弹性材料总厚度应符合下式规定:
t v ≥Δu dmax /[γ] (6.3.1-2)
式中:t v ——黏弹性消能器的黏弹性材料总厚度(m);
Δu dmax ——沿消能方向消能器的最大可能的位移(m);
[γ]——黏弹性材料允许的最大剪切应变。
3 速度线性相关型消能器与斜撑、墙体(支墩)或梁等支承构件组成消能部件时,支承构件沿消能器消能方向的刚度应符合下式规定:
K b ≥6πC D /T 1 (6.3.1-3)
式中:K b ——支撑构件沿消能器消能方向的刚度(kN/m);
C D ——消能器的线性阻尼系数[kN/(m·s)];
T 1 ——消能减震结构的基本自振周期(s)。
6.3.2 消能部件附加给结构的实际有效刚度和有效阻尼比,可按下列方法确定:
1 位移相关型消能部件和非线性速度相关型消能部件附加给结构的有效刚度可采用等价线性化方法确定。
2 消能部件附加给结构的有效阻尼比可按下式计算:

式中:ζ d ——消能减震结构的附加有效阻尼比;
W cj ——第j个消能部件在结构预期层间位移Δu j 下往复循环一周所消耗的能量(kN·m);
W S ——消能减震结构在水平地震作用下的总应变能(kN·m)。
3 不计及扭转影响时,消能减震结构在水平地震作用下的总应变能,可按下式计算:
W S =ΣF i u i /2 (6.3.2-2)
式中:F i ——质点i的水平地震作用标准值(一般取相应于第一振型的水平地震作用即可,kN);
u i ——质点i对应于水平地震作用标准值的位移(m)。
4 速度线性相关型消能器在水平地震作用下所往复一周所消耗的能量,可按下式计算:

式中:T 1 ——消能减震结构的基本自振周期(s);
C j ——第j个消能器由试验确定的线性阻尼系数[kN/(m·s)];
θ j ——第j个消能器的消能方向与水平面的夹角(°);
Δu j ——第j个消能器两端的相对水平位移(m)。
当消能器的阻尼系数和有效刚度与结构振动周期有关时,可取相应于消能减震结构基本自振周期的值。
5 非线性黏滞消能器在水平地震作用下往复循环一周所消耗的能量,可按下式计算:
W cj =λ 1 F djmax Δu j (6.3.2-4)
式中:λ 1 ——阻尼指数的函数,可按表6.3.2取值;
F djmax ——第j个消能器在相应水平地震作用下的最大阻尼力(kN)。
表6.3.2 λ 1 值

注:其他阻尼指数对应的λ 1 值可线性插值。
6 位移相关型和速度非线性相关型消能器在水平地震作用下往复循环一周所消耗的能量,可按下式计算:
W cj =∑A j (6.3.2-5)
式中:A j ——第j个消能器的恢复力滞回环在相对水平位移Δu j 时的面积(kN·m)。
6.3.3 采用振型分解反应谱法分析时,结构有效阻尼比可采用附加阻尼比的迭代方法计算。
条文说明
6.3.3对于消能减震结构,无法预先估计主体结构在加入消能部件后的最终变形情况,只能是预先假设一个阻尼比,将消能部件布置于结构中,并调整消能器的数量和位置,再对消能减震结构进行计算,反算出消能器在相应的阻尼比情况下的位移,通过消能器的恢复力模型和相应的公式求解消能减震结构的附加阻尼比,并反复迭代,使计算出的附加阻尼比与预先假设的阻尼比接近时,则计算结束。 采用附加阻尼比的迭代方法计算步骤如下: 1假定各个消能器的设计参数和消能减震结构的总阻尼比ζ。 2将消能减震结构的总阻尼比和各个消能器的设计参数代入分析模型中,根据现行国家标准《建筑抗震设计规范》GB50011的规定,采用振型分解反应谱法进行结构分析。 3经结构分析可得第i楼层的水平剪力Fi、水平地震作用标准值的位移ui及第j个消能器的阻尼力Fdj及相对位移Δudj。 4由式(6.3.2-1)、式(6.3.2-2)、式(6.3.2-3)、式(6.3.2-4)和式(6.3.2-5)计算消能器附加给结构的有效阻尼比ζd。 5重新修正各个消能器的设计参数,并利用下式计算消能减震结构的总阻尼比ζ: ζ=ζ1+ζd(14) 式中:ζ1——主体结构阻尼比; ζd——消能器附加给结构的有效阻尼比。 6将步骤5计算得到的消能减震结构的总阻尼比和各个消能器的参数作为初始假设值,重复步骤2~步骤5。反复迭代,直至步骤2使用的消能减震结构的总阻尼比与步骤5计算得到的消能减震结构的总阻尼比接近。
6.3.4 采用时程分析法计算消能器附加给结构的有效阻尼比时,消能器两端的相对水平位移Δu dj 、质点i的水平地震作用标准值F i 、质点i对应于水平地震作用标准值的位移u i ,应采用符合本规程第4.1.4条规定的时程分析结果的包络值。分析出的阻尼比和结构地震反应的结果应符合本规程第4.1.4条的规定。
条文说明
6.3.4消能减震结构的计算分析可根据主体结构所处的状态采用不同的分析方法,当主体结构基本处于弹性工作阶段时,可采用线性分析方法作简化计算,并根据结构的变形特征和高度等采用振型分解反应谱法和时程分析法。当主体结构进入弹塑性阶段时应采用静力弹塑性分析方法或非线性时程分析方法。振型分解反应谱法是目前国内结构设计时采用较多的分析方法,而时程分析方法又是对于消能减震结构设计分析时常需要增加补充计算的分析方法,但消能减震结构进行时程分析时,鉴于不同地震波输入进行时程分析的结果存在一定的差异,现行国家标准《建筑抗震设计规范》GB50011中规定一般可以根据小样本容量下(不小于2组实际记录和1组人工模拟的加速度时程曲线作为输入)的计算结果来估计结构地震作用效应值,也可以采用较大样本容量(不少地5组实际记录和2组人工模拟时程曲线作为输入)的计算结果来估计。如果3条地震波能满足现行国家标准《建筑抗震设计规范》GB50011中规定的“在统计意义上相符”要求,则3条地震波输入计算出结构的地震作用效应不会偏差太大,为了使设计出的结构更为安全则选用3条地震波时程曲线输入计算出结构地震反应的包络值反算消能器附加阻尼比。当取7组及7组以上的地震波时程曲线输入时,计算出结构的地震作用效应的保证率更高,选用7组及7组以上的地震波时程曲线输入计算出结构地震反应的平均值反算消能器附加阻尼比。
6.3.5 采用静力弹塑性分析方法时,计算模型中消能器宜采用第4章给出的恢复力模型,并由实际分析计算获得消能器附加给结构的有效阻尼比,不能采用预估值。位移相关型消能器可采用等刚度的杆单元代替,并根据消能器的力学特性于该杆单元上设置塑性铰,以模拟位移相关型消能器的力学特性。
6.3.6 消能减震结构在多遇和罕遇地震作用下的总阻尼比应分别计算,消能部件附加给结构的有效阻尼比超过25%时,宜按25%计算。
条文说明
6.3.5、6.3.6静力弹塑性分析方法是一种静力的分析方法,是在结构计算模型上施加按某种规则分布的水平侧向力,单调加载并逐级加大;一旦有构件开裂(或屈服)即修改其刚度(或使其退出工作),进而修改结构总刚度矩阵,进行下一步计算,依次循环直到结构达到预定的状态(成为机构、位移超限或达到目标位移),从而判断是否满足相应的抗震能力要求。 消能器产生减震效果主要体现在消能器的滞回耗能上,消能器需要产生往复位移或速度起作用,然而,静力弹塑性分析过程中无法直接体现出消能器的作用,以直接得出消能器附加结构的阻尼比,为了使静力弹塑性分析方法能够体现出消能器的作用,对于消能器的刚度和阻尼需要进行等代,并布置结构中进行分析。 消能减震结构中,消能器提供的附加阻尼比是反应消能器减震效果的主要因素。消能器提供的附加阻尼比可按下式计算: 
消能减震结构中消能器在多遇地震、设防地震和罕遇地震作用时提供的阻尼比皆不会相同。一般而言,在罕遇地震时消能器所提供的附加阻尼比会比在多遇地震或设防地震时小(当主体结构进入弹塑性阶段时,结构的总应变能包含了弹性应变能和非弹性应变能,结构的总应变能会比多遇地震时的弹性应变能大很多)。为此,消能器附加给结构的阻尼比应由实际分析计算得到,而不能采用预估值。 其主要步骤为: 1分别确定消能减震结构的主体结构截面、消能部件的非线性恢复模型及消能部件等代单元的塑性铰特性等。 2对消能减震结构进行非线性全过程静力分析,得到结构参考点水平侧移与结构底部总水平剪力的关系曲线。 3根据计算出消能减震结构的位移,计算消能减震结构的有效阻尼比,包括主体结构弹塑性变形耗能附加的有效阻尼比和消能器给主体结构附加的阻尼比。 4将多自由度消能减振结构等效为一个等价的单自由度体系,分别计算等价单自由度体系的能力曲线和反应曲线。 5图解等价单自由度体系的目标位移。 6将此位移转化成多自由度消能减震结构各层的层间位移。
6.4 主体结构设计
6.4 主体结构设计
6.4.1 主体结构的截面抗震验算应符合下列规定:
1 主体结构的截面抗震验算,应按现行国家标准《建筑抗震设计规范》GB 50011的规定执行。
2 振型分解反应谱法计算地震作用效应时,宜按多遇地震作用下消能器的附加阻尼比取值。
条文说明
6.4.1主体结构的强度和截面验算,依据第4章求得的内力按现行国家标准《建筑抗震设计规范》GB50011中对不同类建筑结构规定的公式计算。由于消能减震结构中附加刚度和附加阻尼相比于主体结构存在一定的变化,为此,计算地震作用效应时应考虑消能器附加刚度和附加阻尼的影响,并应考虑本规程第6.3.6条中规定的要求。
6.4.2 消能子结构的截面抗震验算宜符合下列规定:
1 消能子结构中梁、柱、墙构件宜按重要构件设计,并应考虑罕遇地震作用效应和其他荷载作用标准值的效应,其值应小于构件极限承载力。
2 消能子结构中的梁、柱和墙截面设计应考虑消能器在极限位移或极限速度下的阻尼力作用。
3 消能部件采用高强度螺栓或焊接连接时,消能子结构节点部位组合弯矩设计值应考虑消能部件端部的附加弯矩。
4 消能子结构的节点和构件应进行消能器极限位移和极限速度下的消能器引起的阻尼力作用下的截面验算。
5 当消能器的轴心与结构构件的轴线有偏差时,结构构件应考虑附加弯矩或因偏心而引起的平面外弯曲的影响。
条文说明
6.4.2对于消能器连接板与框架梁连接的情况,当消能器采用平行法安装时,支撑可能会限制框架梁的竖向变形,但其作用很小不能起到明显的约束作用,为此,在确定布置消能部件跨的横梁截面时,不应考虑消能部件在跨中的支承作用;消能器在地震作用下往复作用时,消能器产生的水平阻尼力会通过连接板传递到与其相连的框架梁上,导致框架梁除承受竖向荷载作用外,还要承受消能器在地震作用时消能器附加的水平阻尼力作用。 为了确保消能减震结构在罕遇地震作用下不发生倒塌,消能减震结构需要保证在主体结构达到极限承载力前,消能部件不能产生失稳或节点板破坏;为了保证消能部件的安全,其连接节点和构件都应进行罕遇地震作用下消能器引起的附加外荷载作用下的截面验算。
6.4.3 消能减震结构的抗震变形验算应符合下列规定:
1 消能减震结构的弹性层间位移角限值应按现行国家标准《建筑抗震设计规范》GB 50011取值。
2 消能减震结构的弹塑性层间位移角限值不应大于现行国家标准《建筑抗震设计规范》GB 50011规定的限值要求。
条文说明
6.4.3消能减震结构的层间位移角限值应与现行国家标准《建筑抗震设计规范》GB50011保持一致,但又要体现出消能减震技术提高结构抗震能力的优势,消能减震结构的层间位移角限值可比不设置消能减震的结构适当减小,从而更容易实现基于性能抗震设计要求。
6.4.4 主体结构的构造措施应符合下列规定:
1 主体结构的抗震等级应按现行国家标准《建筑抗震设计规范》GB 50011取值。
2 当消能减震结构的抗震性能明显提高时,主体结构的抗震构造措施要求可适当降低,降低程度可根据消能减震主体结构地震剪力与不设置消能部件的结构的地震剪力之比确定,最大降低程度应控制在1度以内。
条文说明
6.4.4对于消能减震混凝土结构中的主体结构由于消能部件附加的阻尼比使得结构的地震反应降低,构件的截面尺寸可能会有所减小,主体结构的抗震等级是根据设防烈度、结构类型、房屋高度进行区分,主体结构应采用对应结构体系的计算和构造措施执行,抗震等级的高低,体现了对结构抗震性能要求的严格程度。为此,对于消能减震混凝土结构的主体结构抗震等级应根据其自身的特点,按相应的规范和规程取值,当消能减震结构的减震效果比较明显时,主体结构的构造措施可适当降低,即当消能减震的地震影响系数不到非消能减震的50%时,主体结构的构造措施可降低一度执行。
6.4.5 消能部件子结构的构造措施应符合下列规定:
1 消能部件子结构的抗震构造措施要求应按设防烈度要求执行。
2 消能部件子结构为混凝土或型钢混凝土构件时,构件的箍筋加密区长度、箍筋最大间距和箍筋最小直径,应满足国家现行标准《混凝土结构设计规范》GB 50010和《高层建筑混凝土结构技术规程》JGJ 3的要求;消能部件子结构为剪力墙时,其端部宜设暗柱,其箍筋加密区长度、箍筋最大间距和箍筋最小直径,不应低于国家现行标准《混凝土结构设计规范》GB 50010和《高层建筑混凝土结构技术规程》JGJ 3中框架柱的要求。
3 消能部件子结构为钢结构构件时,钢梁、钢柱节点的构造措施应按国家现行标准《钢结构设计规范》GB 50017和《高层民用建筑钢结构技术规程》JGJ 99中中心支撑的要求确定。
条文说明
6.4.5消能减震结构中消能部件与结构构件进行连接,并且会传递给结构构件较大的阻尼力,为了保证结构构件在消能部件附加的外力作用下不至于发生破坏,需要在与消能部件连接的部位进行箍筋加密,并且加密区长度要延伸到连接板以外的位置,为此,加密区长度从连接板的外侧进行计算。
6.5 消能减震结构抗震性能化设计
6.5 消能减震结构抗震性能化设计
6.5.1 消能减震结构应结合建筑实际需求选择性能水准和性能目标。
6.5.2 消能减震结构的性能水准的判别可按表6.5.2确定。
表6.5.2 消能减震结构的性能水准的判别


注:个别指5%以下,部分指30%以下,多数指50%以上。
中等破坏的变形参考值,取规范弹性和弹塑性位移角限值的平均值,轻微损坏取1/2平均值。
6.5.3 消能减震结构的抗震性能目标宏观判别可按表6.5.3确定。
表6.5.3 消能减震结构的抗震性能目标宏观判别


条文说明
6.5.1~6.5.3消能减震结构的抗震性能化设计,应根据实际需要确定不同的性能目标和水准,以达到预期的设计要求。
6.5.4 不同性能目标的消能减震结构设计及模型计算应符合现行国家标准《建筑抗震设计规范》GB 50011的规定。
7 消能部件的连接与构造
7.1 一般规定
7 消能部件的连接与构造
7.1 一般规定
7.1.1 消能器与主体结构的连接一般分为:支撑型、墙型、柱型、门架式和腋撑型等,设计时应根据工程具体情况和消能器的类型合理选择连接形式。
7.1.2 当消能器采用支撑型连接时,可采用单斜支撑布置、“V”字形和人字形等布置,不宜采用“K”字形布置。支撑宜采用双轴对称截面,宽厚比或径厚比应满足现行行业标准《高层民用建筑钢结构技术规程》JGJ 99的要求。
条文说明
7.1.1、7.1.2消能器与主体结构的连接,根据消能器的不同,可采用不同的连接形式(图11)。K形支撑布置时会在框架柱中部交点处给柱带来侧向集中力的不利作用,在地震作用下,可能因受压斜杆屈曲或受拉斜杆屈服,引起较大的侧向变形,使柱发生屈曲甚至造成倒塌,故不宜采用“K”字形布置。 支撑斜杆宜采用双轴对称截面。当采用单轴对称截面(双角钢组合T形截面),应采取防止绕对称轴屈曲的构造措施。板件局部失稳影响支撑斜杆的承载力和消能能力,其宽厚比需要加以限制。 

图11消能器布置形式 1—梁;2—柱或墙;3—消能器;4—支撑;5—节点板;6—预制板; 7—支墩或剪力墙;8—水平平台;9—平面外限位装置
7.1.3 消能器与支撑、节点板、预埋件的连接可采用高强度螺栓、焊接或销轴,高强度螺栓及焊接的计算、构造要求应符合现行国家标准《钢结构设计规范》GB 50017的规定。
条文说明
7.1.3本条内容同现行国家标准《钢结构设计规范》GB50017有关条文。连接板(或连接件)和结构构件间的连接采用高强度螺栓连接或焊接,当采用螺栓连接时,应保证相连节点在罕遇地震下不发生滑移;当消能器的阻尼力较大时,宜采用刚接;与消能器相连的支撑应保证在消能器最大输出阻尼力作用下处于弹性状态,不发生平面内、外整体失稳,同时与主体相连的预埋件、节点板等也应处于弹性状态,不得发生滑移、拔出和局部失稳等破坏。与支撑相连接的节点承载力应大于支撑的极限承载力,以保证节点足以承受罕遇地震下可能产生的最大内力。消能器与连接支撑、主体结构之间的连接节点,应符合钢构件连接、或钢与混凝土构件连接、或钢与钢-混凝土组合构件连接的构造要求。
7.1.4 预埋件、支撑和支墩、剪力墙及节点板应具有足够的刚度、强度和稳定性。
条文说明
7.1.4消能部件属非承重构件,其功能仅在结构变形过程中发挥耗能作用,而不承担结构的竖向承载作用,即增设消能器不改变主体结构的竖向受力体系,为此,无论是新建消能减震结构还是既有建筑的抗震加固主体结构都必须满足竖向承载力的要求。与消能器相连的支撑应具有足够刚度,以保证消能部件中的变形绝大部分发生在消能器上,消能器支撑的刚度应根据计算确定。节点板在支撑力(考虑附加弯矩)作用下,除具有足够的承载力和刚度外,还应防止其发生面外失稳破坏,一般可采用增加节点板厚度或设置加劲肋的措施。 以前对于消能减震结构分析,一般将消能器视为单方向的消能,亦即沿着框架的平面方向消能,所以,一些相关研究皆是以平面框架(二维构架)装设消能器来探讨消能减震结构在地震作用下的反应,由于应用平面框架的概念,对于消能器出平面的方向皆视为不受地震作用而忽视消能器出平面的力学特性。然而,由于建筑结构体系的复杂及不规则以及应用平面框架理论有其条件的限制,建筑结构大部分已经不再适用平面框架的理论,加上近年来结构分析技术的进步,目前皆是以三维空间结构来做结构分析设计。所以,在三维空间结构分析时,消能器不仅需考虑框架平面内的力学特性,亦需考虑消能器在框架平面外的力学特性。并且由于附加支撑在消能器的阻尼力作用下,常产生轴压变形,在设计附加支撑时经常只考虑到附加支撑平面内的刚度,来保证消能器的大变形而忽略了附加支撑的平面外刚度,导致附加支撑在地震作用时平面外屈曲破坏,使消能器不能发挥其应有的耗能效果。为此,需要保证附加支撑在轴力作用的平面外刚度。 当使用无刚度黏滞消能器,且采用人字形支撑时,可同时考虑与橡胶支座的合理组合,通过橡胶支座或其他提供平面刚度装置给支撑提供一定的平面外刚度,以保持支撑平面外的稳定(图12)。位移相关型消能器和复合型消能器都能提供二个方面的水平刚度,可利用消能器自身的性能使其满足支撑平面外稳定性要求。 
图12消能器安装立面图 1—平面外限位装置;2—消能器;3—支撑
7.1.5 消能器的支撑或连接元件或构件、连接板应保持弹性。
条文说明
7.1.5由于消能支撑常采用连接板与主体结构相连,从现有的混凝土钢支撑结构和钢结构的支撑破坏情况发现,在地震中常出现连接钢板部分发生互不相同平面外的失稳,由此导致梁发生大的扭转变形并使钢筋混凝土剥落,使消能器不能产生相对位移,从而不能发挥相应的耗能效果。
7.1.6 与位移相关型或速度相关型消能器相连的预埋件、支撑和支墩、剪力墙及节点板的作用力取值应为消能器在设计位移或设计速度下对应阻尼力的1.2倍。 ( 自2022年1月1日起废止该条,详见新规 《建筑与市政工程抗震通用规范》GB 55002-2021)
条文说明
7.1.6与消能部件相连接的主体结构构件与节点应考虑消能器在最大输出阻尼力作用,从而保证消能器在罕遇地震作用下不丧失功能。
7.2 预埋件计算
7.2 预埋件计算
7.2.1 预埋件的锚筋应按拉剪构件或纯剪构件计算总截面面积。
条文说明
7.2.1预埋件的构造形式应根据受力性能和施工条件确定,力求构造简单,传力直接。预埋件可分为受力预埋件与构造预埋件两种。均由两部分组成:埋设在混凝土中的锚筋和外露在混凝土表面部分的锚板。锚筋和锚板都采用可焊性良好的结构钢。锚筋常用钢筋,对于受力较大的预埋件常采用角钢。对于L形预埋板相互垂直方向的预埋板承担的内力宜按支撑角度分解轴向力获取。
7.2.2 预埋件的锚筋和锚板设计应符合国家现行标准《混凝土结构设计规范》GB 50010和《混凝土结构后锚固技术规程》JGJ 145的规定。
7.3 支撑和支墩、剪力墙计算
7.3 支撑和支墩、剪力墙计算
7.3.1 支墩、剪力墙应按本规程第7.1.6条消能器附加的水平剪力进行截面验算。
7.3.2 支撑和支墩、剪力墙的计算长度应符合下列规定:
1 采用单斜消能部件时,支撑计算长度应取支撑与消能器连接处到主体结构预埋连接板连接中心处的距离。
2 采用人字形支撑时,支撑计算长度应取布置消能器水平梁平台底部到主体结构预埋连接板连接中心处的距离。
3 采用柱型支撑时,支撑计算长度应取消能器上连接板或下连接板到主体结构梁底或顶面的距离。
条文说明
7.3.2 支撑的计算长度取值遵循如下原则:计算支撑的轴向刚度时,计算长度取其净长。计算平面内、外失稳时,计算长度应取支撑与消能器的长度总和。
7.3.3 与速度线性相关型消能器连接的支撑、支墩、剪力墙的刚度应满足本规程第6.3.1条的要求,与其他类型消能器连接的支撑、支墩、剪力墙的刚度不宜小于消能器有效刚度的2倍。
7.4 节点板计算
7.4 节点板计算
7.4.1 节点板设计时应验算节点板构件的截面、节点板与预埋板间高强度螺栓或焊缝的强度。
7.4.2 节点板在抗拉、抗剪作用下的强度应按下列公式计算:

式中:N——作用于节点板上消能器作用力,按本规程第7.1.6条的规定取值(kN);
A i ——第i段破坏面的截面积,A i =tl i ;当为螺栓连接时,应取净截面面积(m 2 );
η i ——第i段的拉剪折算系数;
——钢材的抗拉和抗剪强度设计值(N/mm 2 );
α i ——第i段破坏线与拉力轴线的夹角;
t——板件厚度(mm);
l i ——第i段破坏段的长度(mm),应取板件中最危险的破坏线的长度(图7.4.2)。

图7.4.2 节点板的拉、剪撕裂
7.4.3 节点板在压力作用下的稳定性,应符合下列规定:
1 对梁柱相交处有斜向支撑或消能器的节点,其节点板c/t不得大于22 
。当c/t不大于15 
时,可不进行稳定验算。否则,按本条第3款进行计算。
2 对框架梁上的节点,其节点板c/t不得大于17.5 
。当c/t不大于10 
时,节点板的稳定承载力可取为0.8b e t
;当c/t大于10 
时,按本条第3款进行计算。
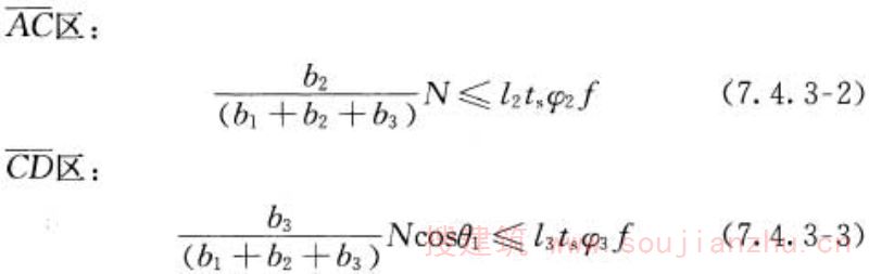
3 设有斜向支撑或消能器的节点板,在其轴向压力作用下,节点板 BA 、 AC 和 CD 的稳定性应满足下列要求(图7.4.3-1、图7.4.3-2):
BA 区:


图7.4.3-1 单斜撑节点板

图7.4.3-2 双斜撑节点板

式中:N——作用于节点板上的轴力(一般为消能器的极限承载力,kN);
t s ——节点板厚度(mm);
l 1 、l 2 、l 3 ——分别为屈折线 BA 、 AC 、 CD 的长度(mm);

条文说明
7.4.2、7.4.3本条内容同现行国家标准《钢结构设计规范》GB50017有关条文。
7.4.4 屈曲约束支撑连接节点应能够承担V形、人字形支撑产生的竖向力差值。
7.5 消能器与结构连接的构造要求
7.5 消能器与结构连接的构造要求
7.5.1 预埋件的锚筋应与钢板牢固连接,锚筋的锚固长度宜大于20倍锚筋直径,且不应小于250mm。当无法满足锚固长度的要求时,应采取其他有效的锚固措施。
7.5.2 支撑长细比、宽厚比应符合国家现行标准《钢结构设计规范》GB 50017和《高层民用建筑钢结构技术规程》JGJ 99中中心支撑的规定。
7.5.3 剪力墙、支墩沿长度方向全截面箍筋应加密,并配置网状钢筋。
条文说明
7.5.1~7.5.3消能器的附加内力通过预埋件、支撑和剪力墙(支墩)传递给主体结构构件,因此,要求预埋件、支撑和剪力墙(支墩)在消能器极限位移时附加的外力作用下不会出现失效,其构造措施比一般预埋件要求更高。
8 消能部件的施工、验收和维护
8.1 一般规定
8 消能部件的施工、验收和维护
8.1 一般规定
8.1.1 消能部件工程应作为主体结构分部工程的一个子分部工程进行施工和质量验收。消能减震结构的消能部件工程也可划分成若干个子分部工程。
条文说明
8.1.1本规程关于消能减震结构的施工、验收和维护的条文规定,是针对国内外消能减震技术工程应用中发展较为成熟的消能部件,结合混凝土结构、钢结构等类型的新建房屋,总结消能减震结构施工、验收和维护的工程实践经验,吸收日本、美国等国外相关规范和国内有关施工验收标准的先进技术而编制的。 消能减震结构中消能部件是关键部分。由于消能器有多种类型,构造多样,制作和施工安装方法各有特点。因此,消能部件及主体结构的施工安装组织设计或施工安装方案编制是组织消能减震结构施工的重要前期工作,应结合消能部件和主体结构的特点以及结构施工安装组织设计的基本要求编制。当既有建筑抗震加固采用消能减震技术时,可参照本规程的有关规定进行。
8.1.2 消能部件子分部工程的施工,宜根据本规程规定,结合主体结构的材料、体系、消能部件及施工条件,编制施工组织设计,确定施工技术方案。
条文说明
8.1.2结合消能减震结构的特点,根据现行国家标准《建筑工程施工质量验收统一标准》GB50300的有关规定,将消能部件作为上部主体结构分部工程的一个子分部工程进行施工质量管理和竣工验收。 虽然消能部件工程主要是钢部件的制作安装施工,但采用消能减震技术的结构材料类型除钢结构外,还有混凝土结构和木结构等,而且消能器是一种专门技术部件,具有多种类型和不同的构造特点,其设计呈多样化,安装工种和工序较多,施工工艺和施工技术复杂,同时,消能部件又是涉及安全的重要部件。因此,在消能部件的施工质量管理和竣工验收中,若将其视为几个分项工程并分别归结到主体结构的相应分项工程验收批中,是难以适应质量验收要求的。故本规程提出在主体结构分部工程中,不论上部主体结构为钢结构、混凝土结构还是其他结构,均将消能部件作为主体结构分部工程的一个子分部工程,以利于施工质量管理和验收。 消能部件子分部工程,根据结构材料和施工方法可分为:现浇混凝土结构、装配整体式混凝土结构、钢结构和木结构等建筑的消能部件子分部工程,以及抗震加固建筑的消能部件子分部工程。
8.1.3 消能部件子分部工程的施工作业,宜划分为二个阶段:消能部件进场验收和消能部件安装防护。消能器进场验收应提供下列资料:
1 消能器检验报告;
2 监理单位、建设单位对消能器检验的确认单。
条文说明
8.1.3根据施工方法和主要工序,将消能部件子分部工程的施工作业内容划分为二个阶段。 消能部件子分部工程可按不同施工阶段划分相应的分项工程,其中,消能部件原材料和成品的进场验收,是指进入消能部件各分项工程实施现场的主要原材料、标准件、成品件或其他特殊定制成品(如消能器等)的进场及验收。 消能部件中附加钢构件的制作,可划分为钢零件及钢组件的加工、钢构件组装、组装的焊接连接、紧固件连接、钢构件预拼装、钢构件防腐涂料涂装等六个分项工程。 消能部件的安装和维护,可划分为消能部件安装、安装和焊接连接、紧固件连接、消能部件防腐防火涂装等四个分项工程。其中,安装分项工程的内容包括制定安装次序、吊装就位、测量校正定位及临时固定等工序,涂装分项工程的内容包括安装连接后普通防腐涂料局部补充涂装、防火涂料涂装等工序。 各阶段的施工作业,应根据具体工程设计情况确定其所含的分项工程或工序。 检验批次是分项工程施工质量管理和验收的基本单元,可根据与施工方式一致且便于质量控制的原则划分。消能部件分项工程的检验批,可按主体结构检验批的划分方法确定,例如可按楼层或预制柱节高度范围、施工流水段、变形缝或空间刚单元等划分。
8.1.4 消能部件尺寸、变形、连接件位置及角度、螺栓孔位置及直径、高强度螺栓、焊接质量、表面防锈漆等应符合设计文件规定。
条文说明
8.1.4消能部件大多为钢材预制部件,消能器虽然不完全是钢材制作,其外廓或接头多为钢制件,消能部件在主体结构中的安装精度要求较高,其精度随主体结构的类型和安装顺序的不同而有所不同。因此,对消能部件的制作尺寸及其他加工质量应严格要求。在消能部件制作过程中或进场前,应对其进行检查,对发现的尺寸偏差或其他质量问题应在加工过程中进行修理,不宜在消能部件到现场安装时才进行质量检查,导致因质量问题而影响施工工期。
8.2 消能部件进场验收
8.2 消能部件进场验收
8.2.1 消能部件的制作单元,宜根据制作、安装和运输条件及消能部件的特点确定。
条文说明
8.2.1消能部件的制作单元一般将现场的安装单元、两个或多个制作单元在工地地面拼装为扩大的安装单元,因此,制作单元除根据生产、运输条件确定外,还要尽量便于安装连接,以保证安装质量。
8.2.2 消能器进场验收时,应具有产品检验报告;消能器类型、规格、尺寸偏差和性能参数,应符合设计文件和现行行业标准《建筑消能阻尼器》JG/T 209的规定。
8.2.3 消能器所用的钢材、焊接材料、紧固件和涂料,应具有质量合格证书,并应符合设计文件规定。
8.2.4 支撑或连接件等附属支承构件的制作单位应提供原材料、产品的质量合格证书。
条文说明
8.2.2~8.2.4消能器制造常为是一项专门技术,其采用的材料除钢材、焊接材料和紧固件外,还有油、橡胶及其他黏滞材料和黏弹性材料,还有摩擦材料、矿质材料、涂料等消能材料,为此,产品在进场时各类材料应具有质量合格证。进场时还应提供制作偏差等,这些材料的品种、规格和性能指标应符合现行行业标准《建筑消能阻尼器》JG/T209及设计文件中的规定。
8.3 消能部件的施工安装顺序
8.3 消能部件的施工安装顺序
8.3.1 消能部件的施工安装顺序,应由设计单位、施工单位和消能器生产厂家共同商讨确定,并符合现行国家标准《混凝土结构工程施工质量验收规范》GB 50204和《钢结构工程施工质量验收规范》GB 50205的规定。
条文说明
8.3.1该条既考虑了已有不同类型及构造特点的消能器安装施工,也有利于新型消能器及相关部件的研制、开发和推广应用。消能减震结构施工安装前,应确定结构的各类普通构件和消能部件的总体及局部施工安装顺序,这对施工安装质量有重要影响,应遵循本条规定的要求,以确保施工安装质量。
8.3.2 消能减震结构的施工安装顺序制定,应符合下列规定:
1 划分结构的施工流水段。
2 确定结构的消能部件及主体结构构件的总体施工顺序,并编制总体施工安装顺序表。
3 确定同一部位各消能部件及主体结构构件的局部安装顺序,并编制安装顺序表。
8.3.3 对于钢结构,消能部件和主体结构构件的总体安装顺序宜采用平行安装法,平面上应从中部向四周开展,竖向应从下向上逐渐进行。
条文说明
8.3.3消能减震钢结构的安装顺序,是根据一般钢结构的安装顺序,并结合消能部件的特点,按现行行业标准《高层民用建筑钢结构技术规程》JGJ99的规定综合制定的。采用本条的安装顺序,便于构件的安装进度和测量校正。 消能减震钢结构的安装顺序可采用以下顺序进行: 1在每层柱所在的高度范围内,应先安装平面内的中部柱,再沿本层柱高从下向上分别进行消能部件、楼层梁吊装连接;然后从中部向四周按上述次序,逐步安装其余柱、消能部件、梁及其他构件,最后安装本层柱高范围内的各层楼梯,并铺设各层楼面板。 2消能减震钢结构一个施工流水段的柱高度范围的全部消能部件和结构构件安装连接完毕,并验收合格后,方可进行该流水段的上一层柱范围或下一流水段的安装。 3进行钢构件的涂装和内外墙板施工。
8.3.4 对于现浇混凝土结构,消能部件和主体结构构件的总体安装顺序宜采用后装法进行。
条文说明
8.3.4消能减震的现浇混凝土结构施工中,消能部件和主体结构构件的总体安装顺序,应根据结构特点、施工条件等确定,本规程在编制过程中,研究并总结出两种安装方法:消能部件平行安装法和后装法。 消能部件平行安装法便于消能器的吊装进位和测量校正,各层消能部件和混凝土构件一次施工安装齐备,避免后期补装,缺点是每层施工工种多,存在交叉影响。 消能部件后装法,优点是混凝土构件施工快,不受消能部件安装影响。但混凝土构件浇筑完成后,重量较重或尺寸较长的消能部件吊装会受到楼板、水暖管网、外脚手架、施工安全网等的影响,可能加大安装难度;而且后装法对部件的制作、安装精度要求高,也可能增加难度;后装法的各层消能部件在混凝土构件施工完成后再进行,可能会延长施工工期。 消能减震混凝土结构的后装法可先施工一个或多个结构层的混凝土墙柱和梁板等构件,包括混凝土构件上与消能部件相连的节点预埋件;然后安装消能部件,并与混凝土构件的预埋件连接。当设计中不考虑消能部件的抗风作用时,可在各层混凝土柱墙、梁、板以及节点预埋件全部施工完毕后,再安装消能部件。
8.3.5 对于木结构和装配式混凝土结构,各类构件或部件的总体施工安装顺序,可按本规程相关内容执行。
8.3.6 既有消能减震加固结构,消能部件的总体施工安装顺序可按本规程相关结构形式的消能部件安装方法进行。
8.3.7 同一部位各消能部件的局部安装顺序编制应符合下列规定:
1 确定同一部位各消能部件的现场安装单元、安装连接顺序。
2 编制同一部位各消能部件的局部安装连接顺序,包括消能器、支撑、支墩、连接件的类型、规格和数量。
8.3.8 同一部位消能部件的现场安装单元及局部安装连接顺序,同一部位消能部件的制作单元超过一个时,宜先将各制作单元及连接件在现场地面拼装为扩大安装单元后,再与主体结构进行连接。
消能部件的现场安装单元或扩大安装单元与主体结构的连接,宜采用现场原位连接。
条文说明
8.3.7、8.3.8同一部位的消能部件,当仅有消能器时直接作为安装单元,当还设有附加支撑,或与结构为销栓铰接、球面铰接时,各制作单元及铰接件在现场地面拼装成扩大安装单元后,再与结构进行安装连接。 安装单元与结构的安装连接,精度要求高,连接施工较困难。如何进行安装连接,是消能部件安装中的一个普遍问题,例如黏滞消能器通过专门铰接件与结构连接时要求无间隙连接,经分析研究,总结了有关方法,制定本条款并独立列出。 对于消能减震的钢结构,在消能部件设置部位,柱的安装单元宜采用带悬臂梁段的柱,且在柱与消能部件连接处设置柱上连接件。对于黏滞消能器,其两端与节点连接件为球面铰接、销栓铰接或螺栓连接,其同一部位消能部件的局部安装顺序为:将地面拼装后的消能器及附加连接件一起起吊,并将附加连接件在柱或基础的连接板上初步定位、校正和临时固定,再连接牢固。 对于消能减震的现浇混凝土结构: 1采用消能部件平行安装法时,同一部位各消能部件的安装,应在其下层混凝土构件浇筑完毕以及其同层周围柱的钢筋、预埋件和模板安装后进行。黏滞消能器安装时,其两端与附加铰接件在地面拼装连接为扩大安装单元后一起起吊,再将消能器下方位端的附加连接件在已浇筑梁或基础预埋板上定位和临时固定(连接件在柱钢筋骨架中留出锚筋),将上方位端在柱的钢筋骨架上定位和临时固定,两端连接牢固之后,安装上部梁板的钢筋骨架、模板和浇筑混凝土。 2采用消能部件后装法时,在地面或楼面将消能部件进行拼装,检查测量拼装后的总尺寸和锚栓孔位置,并与安装部位的相应空当尺寸、锚栓位置进行对照核查,凡是预拼装尺寸大于安装位置预留尺寸,或锚栓与栓孔错位大于本规程或现行国家有关规范的允许偏差,导致不能就位时,安装前应在地面进行修理。对于黏滞消能器,两端与附加铰接件地面拼装后,安装时在已浇筑的混凝土结构上初步定位、校正、临时固定,最后用焊接或锚栓连接牢固。
8.4 施工测量和消能部件的安装、校正
8.4 施工测量和消能部件的安装、校正
8.4.1 消能部件平面与标高的测量定位、施工测量放样和安装测量定位应符合国家现行标准《工程测量规范》GB 50026和《建筑变形测量规范》JGJ 8的要求。
条文说明
8.4.1多高层建筑结构四廓主轴线及标高点施工测量放样的允许偏差,根据目前国内建筑施工测量水平,建筑物施工放线的允许偏差应符合表2规定,表中的允许偏差是根据国家现行标准《砌体结构工程施工质量验收规范》GB50203和《高层建筑混凝土结构技术规程》JGJ3的有关规定,对外廓主轴线及标高点相对于地面或首层的偏差控制,除控制顶部偏差外,增加了每层相对地面的偏差控制,以避免偏差的积累。 表2建筑物施工放线的允许偏差 

消能减震结构的施工安装及连接完成后,消能减震结构施工安装的允许偏差应符合表3规定。 表3消能减震结构施工安装的允许偏差 

8.4.2 消能部件安装前,准备工作应包括下列内容:
1 消能部件的定位轴线、标高点等应进行复查。
2 消能部件的运输进场、存储及保管应符合制作单位提供的施工操作说明书和国家现行有关标准的规定。
3 按照消能器制作单位提供的施工操作说明书的要求,应核查安装方法和步骤。
4 对消能部件的制作质量应进行全面复查。
8.4.3 消能部件安装的吊装就位、测量校正应符合设计文件的要求。
8.5 消能部件安装的焊接和紧固件连接
8.5 消能部件安装的焊接和紧固件连接
8.5.1 消能部件安装接头节点的焊接、螺栓连接,应符合设计文件和国家现行标准《钢结构焊接规范》GB 50661及《钢结构高强度螺栓连接技术规程》JGJ 82的规定。
8.5.2 消能部件采用铰接连接时,消能部件与销栓或球铰等铰接件之间的间隙应符合设计文件要求,当设计文件无要求时,间隙不应大于0.3mm。
条文说明
8.5.2 消能部件采用铰接连接时,连接间隙会影响消能部件的消能性能的发挥,为了减小其对结构减震性能的影响,对采用铰接连接时,消能部件与销栓或球铰等铰接件之间的间隙应做出相应的规定。
8.5.3 消能部件安装连接完成后,应符合下列规定:
1 消能器没有形状异常及损害功能的外伤。
2 消能器的黏滞材料、黏弹性材料未泄漏或剥落,未出现涂层脱落和生锈。
3 消能部件的临时固定件应予撤除。
8.6 施工安全和施工质量验收
8.6 施工安全和施工质量验收
8.6.1 消能部件的施工应符合国家现行标准《建筑施工高处作业安全技术规范》JGJ 80和《建筑机械使用安全技术规程》JGJ 33的有关规定,并根据消能部件的施工安装特点,在施工组织设计中制定施工安全措施。
条文说明
8.6.1消能减震结构的施工是土建、安装等多工种、多单位的交叉混合施工,应严格遵守国家、行业、企业有关施工安全的技术标准和规定,并根据消能减震结构的施工安装特点,在编制施工组织设计文件时应制定安全施工、消防和环保等措施。
8.6.2 消能部件子分部工程有关安全及功能的见证取样检测项目和检验项目可按表8.6.2的规定执行。
表8.6.2 消能部件子分部工程有关安全及功能的见证取样检测项目和检验项目

8.6.3 消能部件子分部工程观感质量检查项目可按表8.6.3的规定执行。
表8.6.3 消能部件子分部工程观感质量检查项目

条文说明
8.6.2、8.6.3在消能部件子分部工程的质量验收中,为便于该子分部工程有关安全及使用功能的见证取样检测和检验的可操作性,本条根据现行国家标准《钢结构工程施工质量验收规范》GB50205,结合消能部件子分部工程的施工安装特点,规定了具体检测项目。
8.7 消能部件的维护
8.7 消能部件的维护
8.7.1 消能部件的检查根据检查时间或时机可分为定期检查和应急检查,根据检查方法可分为目测检查和抽样检验。
条文说明
8.7.1为保证消能部件在地震作用下能正常发挥其预定功能,确保建筑结构的安全,并为以后工程应用和标准修订积累经验,业主或房产管理部门等应在建筑结构使用过程中进行维护管理。 本条根据美国《新建房屋抗震设计推荐性规范》FEMA368-2000、日本JSSI《被动减震结构设计与施工手册》等文献关于消能减震结构的规定,经综合整理而制定。 定期检查是由物业管理部门对消能部件本身及其与建筑物连接的状况进行的正常检查,其目的是力求尽早发现可能的异常以避免消能部件不能正常使用。 应急检查是指在发生强震、强风、火灾等灾害后立即实施的检查,目的是检查确认上述灾害对消能部件性能有无影响。 其中,抽样检查是消能部件的检查方法之一。所谓抽样检查,是指在定期检查或应急检查中,在结构中抽取在役的典型消能器,对其基本性能进行原位测试或实验室测试,目的是反映消能器在使用过程中可能发生的性能参数变化,并推定消能器能否达到设计使用年限等。
8.7.2 消能部件应根据消能器的类型、使用期间的具体情况、消能器设计使用年限和设计文件要求等进行定期检查。金属消能器、屈曲约束支撑和摩擦消能器在正常使用情况下可不进行定期检查;黏滞消能器和黏弹性消能器在正常使用情况下一般10年或二次装修时应进行目测检查,在达到设计使用年限时应进行抽样检验。消能部件在遭遇地震、强风、火灾等灾害后应进行抽样检验。
8.7.3 消能器目测检查时,应观察消能器、支撑及连接构件等的外观、变形及其他问题。目测检查内容及维护方法应符合表8.7.3的规定。
表8.7.3 消能器检查内容及维护方法


8.7.4 支撑目测检查时,应检查支撑、连接部位变形和外观及其他问题等,目测检查内容及维护处理方法应符合表8.7.4的规定。
表8.7.4 支撑目测检查内容及维护处理方法

8.7.5 消能部件抽样检验时,应在结构中抽取在役的典型消能器,对其基本性能进行原位测试或实验室测试,测试内容应能反映消能器在使用期间可能发生的性能参数变化,并应能推定可否达到预定的使用年限。
条文说明
8.7.2~8.7.5消能部件正常维护中,定期目测检查的周期主要根据消能部件中关键部件——消能器的设计使用年限,并参照现有一般结构构件的维护实践经验确定。一般结构构件实际检查周期大致为10~15年,约为结构设计使用年限的1/5~1/3。在正常使用与正常维护下,不同类型消能器的设计使用年限虽然不同,然而,定期检查的周期以消能器的设计使用年限为基础取其1/5~1/3,即约为10年,应该属于一个较正常的时间间隔。但由于建筑使用的特殊性,进行定期检查时会影响建筑使用,为此,对于金属消能器和屈曲约束支撑等金属材料耗能的消能器,在正常使用情况下可不进行定期检查;黏滞消能器和黏弹性消能器在正常使用情况下一般10年或二次装修时应进行目测检查,在达到设计使用年限时应进行抽样检查。 消能部件的应急检查,包括应急目测检查和应急抽样检测,与主体结构的应急检查要求是一致的,即在地震及其他外部扰动发生后(如地震、强风、火灾等灾害后),同样应对消能部件实施应急检查。通过应急检查,确认消能器是否超过极限能力或是否受到超过预估的损伤,以判断是否需要修理或更换。另外,即使消能器经检查未遭受到损伤,也要检查其附加支撑、连接件是否受到的影响。虽然消能部件一般是根据其设计使用年限内的累积地震损伤要求来设计制造的,但由于国内外消能减震工程应用实践的时间短,几乎没有大震下的实测性能数据及震害破坏经验,因而进行应急检查是必要的。
本规程用词说明
本规程用词说明
1 为便于在执行本规程条文时区别对待,对要求严格程度不同的用词说明如下:
1)表示很严格,非这样做不可的:
正面词采用“必须”,反面词采用“严禁”;
2)表示严格,在正常情况下均应这样做的:
正面词采用“应”,反面词采用“不应”或“不得”;
3)表示允许稍有选择,在条件许可时首先这样做的:
正面词采用“宜”,反面词采用“不宜”;
4)表示有选择,在一定条件下可以这样做的,采用“可”。
2 条文中指明应按其他有关标准执行的写法为:“应符合……的规定”或“应按……执行”。
引用标准名录
引用标准名录
1 《混凝土结构设计规范》GB 50010
2 《建筑抗震设计规范》GB 50011
3 《钢结构设计规范》GB 50017
4 《建筑抗震鉴定标准》GB 50023
5 《工程测量规范》GB 50026
6 《混凝土结构工程施工质量验收规范》GB 50204
7 《钢结构工程施工质量验收规范》GB 50205
8 《钢结构焊接规范》GB 50661
9 《金属材料 拉伸试验 第1部分:室温试验方法》GB/T 228.1
10 《碳素结构钢》GB/T 700
11 《金属材料 室温压缩试验方法》GB/T 7314
12 《高层建筑混凝土结构技术规程》JGJ 3
13 《建筑变形测量规范》JGJ 8
14 《建筑机械使用安全技术规程》JGJ 33
15 《建筑施工高处作业安全技术规范》JGJ 80
16 《钢结构高强度螺栓连接技术规程》JGJ 82
17 《高层民用建筑钢结构技术规程》JGJ 99
18 《混凝土结构后锚固技术规程》JGJ 145
19 《建筑消能阻尼器》JG/T 209
自2022年1月1日起废止的条文

