Appearance
《底部框架-抗震墙砌体房屋抗震技术规程[附条文说明]》JGJ 248-2012
🗓️ 住房和城乡建设部 实施时间:2012-08-01
前言
中华人民共和国行业标准
底部框架-抗震墙砌体房屋抗震技术规程
Technical specification for earthquake-resistant of masonry buildings with frame and seismic-wall in the lower stories
JGJ 248-2012
批准部门:中华人民共和国住房和城乡建设部
施行日期:2012年8月1日
中华人民共和国住房和城乡建设部公告
第1321号
关于发布行业标准《底部框架-抗震墙砌体房屋抗震技术规程》的公告
现批准《底部框架-抗震墙砌体房屋抗震技术规程》为行业标准,编号为JGJ 248-2012,自2012年8月1日起实施。其中,第3.0.2、3.0.6、3.0.9、5.5.15、5.5.28、6.2.1、6.2.3、6.2.5、6.2.8、6.2.13、6.2.15条为强制性条文,必须严格执行。
本规程由我部标准定额研究所组织中国建筑工业出版社出版发行。
中华人民共和国住房和城乡建设部
2012年3月1日
前言
根据原建设部《关于印发“一九九九年工程建设城建、建工行业标准制订、修订计划”的通知》(建标[1999]309号)的要求,规程编制组经广泛调查研究,认真总结实践经验,参考有关国际标准和国外先进标准,并在广泛征求意见的基础上,编制本规程。
本规程的主要技术内容是:1.总则;2.术语和符号;3.基本规定;4.地震作用和结构抗震验算;5.底部框架-抗震墙抗震设计;6.上部砌体结构抗震设计;7.结构薄弱楼层判别及弹塑性变形验算;8.施工。
本规程中以黑体字标志的条文为强制性条文,必须严格执行。
本规程由住房和城乡建设部负责管理和对强制性条文的解释,由中国建筑科学研究院负责具体技术内容的解释。执行过程中如有意见或建议,请寄送中国建筑科学研究院(地址:北京市北三环东路30号,邮政编码:100013)。
本规程主编单位:中国建筑科学研究院
本规程参编单位:中国建筑西南设计研究院有限公司
北京三茂建筑工程检测鉴定有限公司
辽宁省城乡建设规划设计院
西安建筑科技大学
大连理工大学
东南大学
四川大西南正华建设有限公司
大连市城乡建设委员会
本规程主要起草人员:肖伟 高小旺 王菁 王巍 张志明 张宜磊 李清洋 杨树成 汪颖富 周晓夫 周培正 梁兴文 黄宗瑜 程文瀼 蔡贤辉
本规程主要审查人员:刘志刚 周炳章 张前国 李德荣 苏经宇 钟益村 耿树江 钱稼茹 曾德民 霍文营
条文说明
中华人民共和国行业标准
底部框架-抗震墙砌体房屋抗震技术规程
JGJ248-2012
条文说明
制订说明 《底部框架-抗震墙砌体房屋抗震技术规程》JGJ248-2012,经住房和城乡建设部2012年3月1日以第1321号公告批准、发布。 规程制订过程中,编制组进行了广泛的调查研究,总结了近年来国内外大地震、特别是汶川大地震的经验教训。结合我国的经济条件和工程实践,总结了近十多年来我国底部框架-抗震墙砌体房屋抗震性能研究成果和工程应用经验,采纳了工程抗震的新科研成果,通过底层框架-抗震墙砖房和底部两层框架-抗震墙砖房整体模型试验等大量的试验研究,取得了这类房屋抗震性能的重要技术参数。为了进一步规范底部框架-抗震墙砌体房屋的 抗震设计与施工,使之满足我国6度~8度区抗震设防的要求,本规程在主要与国家标准《建筑抗震设计规范》GB50011-2010协调的基础上,对国家标准中底部框架-抗震墙砌体房屋的内容作了补充和细化。 为便于广大设计、施工、科研、学校等单位有关人员在使用本标准时能正确理解和执行条文规定,《底部框架-抗震墙砌体房屋抗震技术规程》编制组按章、节、条顺序编制了本规程的条文说明,对条文规定的目的、依据以及执行中需注意的有关事项进行了说明,还着重对强制性条文的强制性理由做了解释。但是,本条文说明不具备与规程正文同等的法律效力,仅供使用者作为理解和把握规程规定的参考。
1 总则
1 总则
1.0.1 为使底部框架一抗震墙砌体房屋经抗震设防后,减轻建筑地震破坏,避免人员伤亡,减少经济损失,制定本规程。
条文说明
1.0.1底层框架-抗震墙砌体房屋和底部两层框架-抗震墙砌体房屋,早期是城市旧城改造和避免商业过分集中的较好结构形式。随着国民经济的快速发展,在农村城镇化及乡镇城市化的过程中,该种结构形式的房屋仍在继续兴建。目前大多集中在中小型城镇的沿街房屋中。 为了适应底部框架-抗震墙砌体房屋在抗震设防区建造的要求,总结了近十多年来的实际工程的震害经验(特别是“5·12”汶川大地震中的宝贵震害经验),结合十多年来对这种类型结构抗震性能和设计方法以及工程实践等研究成果,编制了本规程。
1.0.2 本规程主要适用于抗震设防烈度为6度、7度和8度(0.20g)、抗震设防类别为标准设防类的底层或底部两层框架一抗震墙砌体房屋的抗震设计与施工。
注:本规程中“6度、7度、8度”即“抗震设防烈度为6度、7度、8度”的简称。
条文说明
1.0.2本规程的适用范围主要为抗震设防烈度为6度~8度(0.05g~0.20g)的底部框架-抗震墙砌体房屋的抗震设计与施工。由于该类结构形式抗震性能相对较弱,规定仅允许用于标准设防类建筑。
1.0.3 砌体类型适用于烧结类砖(包括烧结普通砖、烧结多孔砖)砌体、混凝土砖(包括混凝土普通砖、混凝土多孔砖)砌体和混凝土小型空心砌块砌体;采用非黏土的烧结砖、混凝土砖的房屋,块体的材料性能应有可靠的试验数据;当本规程未作具体规定时,可按本规程普通砖、多孔砖房屋的相应规定执行。
注:本规程中“小砌块”即“混凝土小型空心砌块”的简称。
条文说明
1.0.3烧结类砖包括烧结页岩砖、烧结煤矸石砖、烧结粉煤灰砖和烧结黏土砖等,烧结多孔砖的孔洞率不大于35%。混凝土小型空心砌块是指主规格尺寸为390mm×190mm×190mm、空心率为50%左右的单排孔混凝土小型空心砌块。砌体块体类型扩大了适用范围,包括混凝土砖。对于底部框架-抗震墙砌体房屋这类抗震性能相对较弱的结构形式,由于蒸压类砖材料性能相对差,不适宜采用。
1.0.4 进行抗震设计的底部框架-抗震墙砌体房屋,当遭受低于本地区抗震设防烈度的多遇地震影响时,主体结构不受损坏或不需修理可继续使用;当遭受相当于本地区抗震设防烈度的设防地震影响时,可能发生损坏,但经一般性修理仍可继续使用;当遭受高于本地区抗震设防烈度的罕遇地震影响时,不致倒塌或发生危及生命的严重破坏。
条文说明
1.0.4本条所阐述的抗震设防的三个水准的要求,是与《建筑抗震设计规范》GB50011-2010提出的抗震设防要求相一致的。 根据我国华北、西北和西南地区对建筑工程有影响的地震发生概率的统计分析,50年内超越概率约为63%的地震烈度为众值烈度,比基本烈度约低一度半,规范取为第一水准烈度,称为“多遇地震”;50年超越概率约10%的烈度,即1990中国地震烈度区划图规定的地震基本烈度或中国地震动参数区划图规定的峰值加速度所对应的烈度,规范取为第二水准烈度,称为“设防地震”;50年超越概率2%~3%的烈度,规范取为第三水准烈度,称为“罕遇地震”,对应基本烈度6度时为7度强、7度时为8度强、8度时为9度弱。 与各烈度水准相应的抗震设防目标是:一般情况下(不是所有情况下),遭遇第一水准烈度——众值烈度(多遇地震)时,建筑处于正常使用状态,从结构抗震分析角度,可以视为弹性体系,采用弹性反应谱进行弹性分析;遭遇第二水准烈度——基本烈度(设防地震)时,结构进入非弹性工作阶段,但非弹性变形或结构体系的损坏控制在可修复的范围;遭遇第三水准烈度——最大预估烈度(罕遇地震)时,结构有较大的非弹性变形,但应控制在规定的严重破坏范围内,以免倒塌。
1.0.5 底部框架-抗震墙砌体房屋进行抗震设计与施工时,除应符合本规程要求外,尚应符合国家现行有关标准的规定。
条文说明
1.0.5主要阐明了本规程与国家现行有关标准的关系,即除遵守本规程规定外,尚应遵守国家现行其他有关标准的规定。
2 术语和符号
2.1 术语
2 术语和符号
2.1 术语
2.1.1 底层框架-抗震墙砌体房屋 masonry buildings with frame and seismic-wall in first story
底层横向与纵向均为框架-抗震墙体系、第二层及其以上楼层为砌体墙承重体系构成的房屋。
2.1.2 底部两层框架-抗震墙砌体房屋 masonry buildings with frame and seismic-wall in the lower-two stories
底部两层横向与纵向均为框架-抗震墙体系、第三层及其以上楼层为砌体墙承重体系构成的房屋。
2.1.3 底部框架-抗震墙砌体房屋 masonry buildings with frame and seismic-wall in the lower stories
底层框架-抗震墙砌体房屋和底部两层框架-抗震墙砌体房屋的统称。
2.1.4 过渡楼层 transitional story
底层框架-抗震墙砌体房屋的第二层和底部两层框架-抗震墙砌体房屋的第三层。
2.2 符号
2.2 符号
2.2.1 作用和作用效应
F Ek ——结构总水平地震作用标准值;
F i ——质点 i 的水平地震作用标准值;
G eq ——地震时结构等效总重力荷载代表值;
G i 、 G j ——分别为集中于质点 i 、 j 的重力荷载代表值;
M ——弯矩;
N ——轴向力;
V ——剪力;
σ 0 ——对应于重力荷载代表值的砌体截面平均压应力。
2.2.2 材料性能
C——混凝土强度等级;
Cb——混凝土小砌块灌孔混凝土的强度等级;
E ——砌体弹性模量;
E c ——混凝土弹性模量;
E g ——配筋混凝土小砌块砌体抗震墙的弹性模量;
E s ——钢筋弹性模量;
f ck 、 f c ——混凝土轴心抗压强度标准值、设计值;
f gk 、 f g ——灌孔小砌块砌体抗压强度标准值、设计值;
f gvk 、 f gv ——灌孔小砌块砌体抗剪强度标准值、设计值;
f tk 、 f t ——混凝土轴心抗拉强度标准值、设计值;
f v 、 f vu ——非抗震设计的砌体抗剪强度设计值、极限抗剪强度计算取值;
f vE 、 f vEu ——砌体沿阶梯形截面破坏的抗震抗剪强度设计值、抗震极限抗剪强度计算值;
f y 、 f' y ——钢筋的抗拉强度、抗压强度设计值;
f yk ——钢筋抗拉强度标准值;
G ——砌体剪变模量;
G c ——混凝土剪变模量;
G g ——配筋混凝土小砌块砌体抗震墙的剪变模量;
M ——砂浆强度等级;
Mb——混凝土小砌块砌筑砂浆的强度等级;
MU——块体(砖、砌块)强度等级。
2.2.3 几何参数
A ——墙水平截面面积;
A c ——墙内芯柱、构造柱或边缘构件的水平截面面积;
A s 、 A' s ——受拉区、受压区纵向钢筋截面面积;
A sv 、 A sh ——同一截面各肢竖向、水平箍筋或分布钢筋的全部截面面积;
A w ——T形、I字形截面抗震墙腹板的面积;
a s 、 a' s ——纵向受拉钢筋合力点、受压钢筋合力点至截面近边的距离;
b ——矩形截面宽度、T形和I字形截面的腹板宽度;
b f 、 b' f ——T形、I字形截面受拉区及受压区翼缘宽度;
b w ——抗震墙截面宽度;
d ——钢筋直径或圆形截面的直径;
e a ——附加偏心距;
H i 、 H j ——分别为质点 i 、 j 的计算高度;
H n ——框架柱的净高;
h ——层高;截面高度;
h 0 ——截面有效高度;
h f 、 h' f ——T形、I字形截面受拉区及受压区翼缘高度;
l a ——非抗震设计时纵向受拉钢筋的锚固长度;
l aE ——纵向受拉钢筋的抗震锚固长度;
l n ——梁的净跨度;
s ——箍筋或分布钢筋间距。
2.2.4 计算系数
α l ——受压区混凝土等效矩形应力图的应力值与混凝土轴心抗压强度设计值的比值;
α max ——水平地震影响系数最大值;
γ RE ——承载力抗震调整系数;
ζ N ——砌体抗震抗剪强度的正应力影响系数;
η c ——构造柱参与墙体工作时的墙体约束修正系数;柱端弯矩增大系数;

——底部框架-抗震墙砌体房屋的上部砌体房屋层间极限剪力系数;

——底部框架-抗震墙砌体房屋的底部层间屈服强度系数;
ρ ——小砌块墙体中芯柱的填孔率;
ρ v ——柱箍筋加密区的体积配箍率;
ρ w ——钢筋混凝土墙板竖向分布钢筋配筋率。
3 基本规定
3 基本规定
3.0.1 底部框架-抗震墙砌体房屋的抗震设计,宜使底部框架-抗震墙部分与上部砌体房屋部分的抗震性能均匀匹配,避免出现特别薄弱的楼层和避免薄弱楼层出现在上部砌体房屋部分。
条文说明
3.0.1底部框架-抗震墙砌体房屋是由两种承重和抗侧力体系构成的结构,具有与同一种抗侧力体系构成的房屋不同的受力、变形和薄弱楼层判别的特点。底部框架-抗震墙具有较好的承载能、力、变形能力和耗能能力,上部砌体房屋具有一定的承载能力,但其变形和耗能能力比较差,这类房屋的抗震能力不仅取决于底部框架-抗震墙和上部砌体房屋各自的抗震能力,而且还决定于两者之间抗震能力的匹配程度,即不能有一部分太弱。这种类型的房屋对结构抗震能力沿竖向分布的均匀性要求更加严格,关键在于底部与上部结构抗震能力的匹配关系,必须避免出现特别薄弱的楼层。 本规程对薄弱楼层的判别要求,是基于底部和上部之间抗震性能相匹配、不能有一部分过弱的前提而提出的,薄弱楼层系指在此前提下相对薄弱的楼层。由于底部框架-抗震墙部分具有较好的变形能力和耗能能力,在具有适当的极限承载力时不致发生集中的严重脆性破坏;而上部砌体部分的变形和耗能能力比较差,“大震”作用下若在极限承载力相对较小的楼层出现薄弱楼层,将产生集中的严重脆性破坏。实际震害表明,薄弱楼层出现在上部砌体部分时,房屋的整体抗震能力是比较差的。本规程规定结构的薄弱楼层不宜出现在上部砌体结构部分。
3.0.2 底部框架-抗震墙砌体房屋的总高度和层数应符合下列要求:
1 抗震设防类别为重点设防类时,不应采用底部框架-抗震墙砌体房屋。标准设防类的底部框架-抗震墙砌体房屋,房屋的总高度和层数不应超过表3.0.2的规定。
表3.0.2 底部框架-抗震墙砌体房屋总高度(m)和层数限值

注:1 房屋的总高度指室外地面到主要屋面板板顶或檐口的高度,半地下室可从地下室室内地面算起,全地下室和嵌固条件好的半地下室应允许从室外地面算起;对带阁楼的坡屋面应算到山尖墙的1/2高度处;
2 室内外高差大于0.6m时,房屋总高度应允许比表中数值适当增加,但增加量应少于1.0m;
3 表中上部小砌块砌体房屋不包括配筋小砌块砌体房屋。
2 上部为横墙较少时,底部框架-抗震墙砌体房屋的总高度,应比表3.0.2的规定降低3m,层数相应减少一层;上部砌体房屋不应采用横墙很少的结构。
注:横墙较少指同一楼层内开间大于4.2m的房间面积占该层总面积的40%以上;当开间不大于4.2m的房间面积占该层总面积不到20%且开间大于4.8m的房间面积占该层总面积的50%以上时为横墙很少。
3 6度、7度时,底部框架-抗震墙砌体房屋的上部为横墙较少时,当按规定采取加强措施并满足抗震承载力要求时,房屋的总高度和层数应允许仍按表3.0.2的规定采用。 ( 自2022年1月1日起废止该条,详见新规 《建筑与市政工程抗震通用规范》GB 55002-2021)
条文说明
3.0.2这类房屋的抗震能力不仅取决于底部框架-抗震墙和上部砌体房屋各自的抗震能力,而且还取决于两者抗震能力是否相匹配;在多层房屋中,存在着薄弱楼层,存在薄弱楼层的房屋的抗震能力,主要取决于其薄弱楼层的承载能力、变形能力以及与相邻楼层承载能力的相对比值。大量的震害表明,在强烈地震作用下,结构首先从最薄弱的楼层率先开裂、屈服、破坏,形成弹塑性变形和破坏集中的楼层,并将危及整个房屋的安全。对于底部框架-抗震墙砌体房屋,底部为钢筋混凝土框架-抗震墙体系,具有较好的承载能力、变形能力和耗能能力;上部为设置钢筋混凝土构造柱和圈梁的砌体房屋,具有一定的承载能力,其变形能力和耗能能力相对比较差,但构造柱与圈梁对脆性砌体的约束能提高其变形能力和耗能能力。依据这类房屋的抗震能力,给出了总层数和总高度的要求。 1高烈度地区,该类房屋的破坏较为严重,8度(0.30g)时不允许采用此类结构,8度(0.20g)时对总层数和高度作了更为严格的限制。 2房屋总层数为整数,必须严格遵守。房屋总高度按有效数字控制,当室内外高差不大于0.6m时,房屋总高度限值按表中数据的有效数字控制,即意味着可比表中数据增加0.4m;当室内外高差大于0.6m时,虽然规定房屋总高度允许比表中的数据增加不多于1.0m,实际上其增加量只能少于0.4m。 3突出屋面的屋顶间、女儿墙、烟囱等出屋面小建筑,可不计入房屋总层数和高度。但坡屋面阁楼层一般仍需计入房屋总层数和高度;对于斜屋面下的“小建筑”是否计入房屋总高度和层数,通常可按实际有效使用面积或重力荷载代表值是否小于顶层总数的30%控制。 4底部框架-抗震墙砌体房屋底部属于钢筋混凝土结构,其地下室的嵌固条件应符合现行国家标准《建筑抗震设计规范》GB50011对混凝土结构的有关规定。当符合嵌固条件时,地下室的层数可不计入房屋的允许总层数内。 对于设置半地下室的底部两层框架-抗震墙砌体房屋,当半地下室不满足嵌固条件要求时,其半地下室楼层和其上部的一层已具有底部两层框架-抗震墙砌体房屋的特点,因此半地下室应计入底部两层的范围,半地下室上部仅允许再设一层框架-抗震墙的楼层。 5关于上部砌体房屋横墙较少应降低一层的规定,主要是考虑横墙较少的砌体房屋部分的承载能力要降低的因素。对于上部砌体房屋横墙很少的情况,明确规定不允许采用。 6对于上部砌体房屋横墙较少的情况,当按规定采取了较为严格的加强措施(按本规程第6.2.21条的要求)且抗震承载力满足要求时,6度、7度时允许与多层砌体房屋相当,底部框架-抗震墙砌体房屋的总层数和总高度可不降低。
3.0.3 底部框架-抗震墙砌体房屋底部楼层的层高不应超过4.5m,当底层框架-抗震墙砌体房屋的底层采用约束砌体抗震墙时,底层层高不应超过4.2m;上部砌体房屋部分的层高不应超过3.6m。
条文说明
3.0.3当底层框架-抗震墙砌体房屋的底层采用约束砌体抗震墙时,底层层高较大会导致底层侧向刚度偏小,根据计算分析结果,底层的层高应有所减小。约束砌体的定义与国家标准《建筑抗震设计规范》GB50011-2010相同,大体上指由间距接近层高的构造柱与圈梁组成的砌体、同时墙中拉结钢筋网片符合相应的构造要求,具体做法可参见本规程第5.5.25、5.5.26、6.2.21条等。
3.0.4 底部框架-抗震墙砌体房屋总高度和总宽度的比值,6度、7度时不应超过2.5,8度时不应超过2.0。其总高度与总长度的比值宜小于1.5。当建筑平面接近正方形时,其高宽比宜适当减小。
条文说明
3.0.4底部框架-抗震墙砌体房屋和多层砌体房屋一样,存在着弯曲变形的影响,而随着房屋高宽比的增大其弯曲影响程度增强,为了保证底部框架-抗震墙砌体房屋的整体稳定性,限制了高宽比。 目前,设计建造的多层砌体房屋和底部框架-抗震墙砌体房屋中的上部砌体房屋部分的纵向抗震能力较横向抗震能力差一些,这主要是外纵墙开洞率大、内纵墙不贯通等。为了有效地保证这类房屋的纵向抗震能力,除了限制纵墙开洞率和内纵墙贯通外,减少纵向的弯曲变形也是非常重要的,基于这方面的考虑,给出了房屋总高度与总长度的最大比值宜小于1.5的限制。当建筑平面趋近正方形时,纵向的弯曲变形对横向抗震性能的影响增大,故规定此时房屋的高宽比宜适当减小。
3.0.5 底部框架-抗震墙砌体房屋的建筑形体及构件布置的平面、竖向规则性,应符合下列要求:
1 房屋的平面、竖向布置宜规则、对称。房屋平面突出部分尺寸不宜大于该方向总尺寸的30%;除顶层或出屋面小建筑外,楼层沿竖向局部收进的水平向尺寸不宜大于相邻下一层该方向总尺寸的25%。
2 建筑的质量分布和刚度变化宜均匀。
3 上部砌体房屋的平面轮廓凹凸尺寸,不应超过基本部分尺寸的50%;当超过基本部分尺寸的25%时,房屋转角处应采取加强措施。
4 楼板开洞面积不宜大于该层楼面面积的30%;底部框架-抗震墙部分有效楼板宽度不宜小于该层楼板基本部分宽度的50%;上部砌体房屋楼板局部大洞口的尺寸不宜超过楼板宽度的30%,且不应在墙体两侧同时开洞。
5 过渡楼层不应错层,其他楼层不宜错层。当局部错层的楼板高差超过500mm且不超过层高的1/4时,应按两层计算,错层部位的结构构件应采取加强措施;当错层的楼板高差大于层高的1/4时,应设置防震缝,缝两侧均应设置对应的结构构件。
条文说明
3.0.5合理的建筑形体和规则的构件平面、竖向布置,是抗震设计中头等重要的原则。提倡平、立面规则对称,是基于震害经验总结和大量分析研究的成果。规则、对称的结构较容易正确估计其地震作用下的反应,可避免出现应力集中的部位,较容易采取构造措施和进行细部处理,其震害较不对称的房屋要轻。本条包含了对建筑的平、立面外形尺寸,抗侧力构件布置、质量分布,楼板开洞情况,以及错层等诸多因素的综合要求。 底部框架-抗震墙砌体房屋是由底部框架-抗震墙和上部砌体房屋两种承重和抗侧力构件构成的,底部与上部楼层的抗震能力相匹配,刚度变化不超过一定的限度等是非常重要的。由于多层砌体房屋部分的抗震能力相对比较差,而且增强应力集中部位的构造措施较为困难。因此,对于底部框架-抗震墙砌体房屋的平、立面布置规则的要求应更严格一些,其平立面布置最好为矩形,抗侧力构件在平面内布置宜对称,上下应连续、不错位、且横截面面积变化缓慢。底部框架-抗震墙砌体房屋平面突出部分不宜大于该方向总尺寸的30%,楼层沿竖向局部收进的水平向尺寸不宜大于相邻下一层该方向总尺寸的25%。不满足上述要求时,应考虑水平地震作用的扭转效应和对薄弱部位采取有效的措施。 砌体墙的抗震性能比混凝土墙弱,有关上部砌体房屋的楼板外轮廓、开大洞等不规则划分的界限应比混凝土结构有所加严。 错层结构受力复杂,底部框架-抗震墙砌体房屋结构竖向不规则,错层方面的规定应更严格。本规程明确规定过渡楼层不应错层,其他楼层不宜错层。当建筑设计确有需要时,允许局部错层,但错层部位楼板高差超过层高的1/4时必须设防震缝分成不同的结构单元,错层部位楼板高差超过500mm时应按两层计算。
3.0.6 底部框架-抗震墙砌体房屋的结构体系,应符合下列要求:
1 底层或底部两层的纵、横向均应布置为框架-抗震墙体系,抗震墙应基本均匀对称布置。上部的砌体墙体与底部的框架梁或抗震墙,除楼梯间附近的个别墙段外均应对齐。
2 6度且总层数不超过四层的底层框架-抗震墙砌体房屋,应采用钢筋混凝土抗震墙、配筋小砌块砌体抗震墙或嵌砌于框架之间的约束普通砖砌体或小砌块砌体的砌体抗震墙,当采用约束砌体抗震墙时,应计入砌体墙对框架的附加轴力和附加剪力并进行底层的抗震验算,且同一方向不应同时采用钢筋混凝土抗震墙和约束砌体抗震墙;6度时其余情况及7度时应采用钢筋混凝土抗震墙或配筋小砌块砌体抗震墙;8度时应采用钢筋混凝土抗震墙。
3 底部框架-抗震墙砌体房屋的底部抗震墙应设置条形基础、筏形基础等整体性好的基础。 ( 自2022年1月1日起废止该条,详见新规 《建筑与市政工程抗震通用规范》GB 55002-2021)
3.0.7 上部砌体房屋部分的结构体系和建筑布置,应符合下列要求:
1 应优先采用横墙承重或纵横墙共同承重的结构体系,不应采用砌体墙和混凝土墙混合承重的结构体系;
2 纵横向砌体抗震墙的布置应符合下列要求:
宜均匀对称,沿平面内宜对齐,沿竖向应上下连续;且纵横向墙体的数量不宜相差过大;内纵墙不宜错位;同一轴线上的窗间墙宽度宜均匀,墙面洞口的面积,6度、7度时不宜大于墙面总面积的55%,8度时不宜大于50%;房屋在宽度方向的中部应设置内纵墙,其累计长度不宜小于房屋总长度的60%(高宽比大于4的墙段不计入)。
3 楼梯间不宜设置在房屋的尽端或转角处;
4 不应在房屋转角处设置转角窗;
5 上部为横墙较少情况时或跨度较大时,宜采用现浇钢筋混凝土楼盖、屋盖。
条文说明
3.0.6、3.0.7抗震结构体系要求受力明确、传力合理且传力路线不间断,使结构的抗震分析更符合结构在地震时的实际反应,对提高结构的抗震能力十分有利,是布置结构抗侧力体系时首先考虑的条件之一。 1底层框架-抗震墙砌体房屋的底层和底部两层框架-抗震墙砌体房屋的底部两层,在纵、横向均布置为框架-抗震墙体系,不能用构造柱、圈梁代替框架梁、柱,而使这类房屋的底部形不成完整的框架体系。在纵、横向均应设置一定数量的抗震墙,使这类房屋的底部形成完整的框架-抗震墙体系。 震害经验和模型试验结果表明,底层和底部两层均应沿纵横两个方向设置一定数量的抗震墙,使底部形成具有两道防线的框架-抗震墙体系。沿两个主轴方向均匀对称布置是防止扭转影响的要求。为了增强钢筋混凝土抗震墙的极限承载力和变形耗能能力、利于墙板的稳定,应把钢筋混凝土墙设计成带边框的钢筋混凝土墙,以保证抗震墙破坏后,周边的梁和边框柱仍能承受竖向荷载。 底部采用约束砌体抗震墙的情况,仅允许用于6度设防且总层数不超过四层时的底层框架-抗震墙砌体房屋,不允许在底部两层框架-抗震墙砌体房屋中采用。砌体抗震墙应采用约束砌体加强,并且不应采用约束多孔砖砌体,具体的构造见本规程第5.5节。6度、7度时,当上部为小砌块砌体房屋时,底部也允许采用配筋小砌块砌体抗震墙,应按照配筋小砌块的有关要求执行。还需注意,砌体抗震墙应基本均匀对称布置,避免或减少扭转效应,不作为抗震墙的砌体墙,应按填充墙处理,施工时后砌。 2上部砌体房屋采用纵墙承重体系时,因横向支承较少,纵墙易受弯曲破坏而导致倒塌,故不宜采用全部纵墙承重的结构布置方案。砌体墙和混凝土墙混合承重的结构体系受力情况复杂,易造成不同材料墙体的各个击破,对于上下部分已为不同结构体系的底部框架-抗震墙砌体房屋更应避免采用。 上部砌体房屋的纵横墙分布均匀、对称,是为了使各墙体的受力较为均匀,避免出现较弱的薄弱部位破坏;沿平面内宜对齐和纵墙不宜错位以及沿竖向应上、下连续等,都是要求结构体系传力合理且传力路线不间断的具体化。当纵墙有错位时,可在错位处的楼(屋)面板增设现浇带,以便通过现浇板较好地将地震作用传递。 根据房屋两个主轴方向振动特性不宜相差过大的要求,规定纵横向墙体数量不宜相差过大,在房屋宽度方向的中部(约1/3宽度范围)应设有足够数量的内纵墙,且多道内纵墙开洞后的累计净长度不宜小于房屋纵向总长度的60%。当上部砌体房屋层数很少时,可比60%适当放宽。 控制上部砌体房屋部分墙体的开洞面积,对提高上部砌体房屋部分的整体抗震能力非常重要。开洞面积过大,使部分墙段的高宽比大干1.0,将减弱这些墙段的抗震能力。经分析比较,给出了外纵墙开洞面积的控制要求。同一轴线上的窗间墙,包括与同一直线或弧线上墙段平行错位净距离不超过2倍墙厚的墙段上的窗间墙(此时错位处两墙段之间连接墙的厚度不应小于外墙厚度)。 上部砌体房屋的楼梯间墙体缺少各层楼板的双侧侧向支承,有时楼梯踏步还会削弱楼梯间的墙体。尤其是楼梯间顶层,墙体有一层半楼层的高度,地震中震害较重。因此,在建筑布置时楼梯间应尽量不设在尽端,或对尽端开间采取专门的加强措施。 转角窗严重削弱纵横向墙体在角部的连接,局部破坏严重,必须避免采用。
3.0.8 底部框架-抗震墙砌体房屋的抗震横墙间距,不应超过表3.0.8 的要求。
表3.0.8 房屋抗震横墙间距(m)

注:1 上部砌体房屋的顶层,最大横墙间距允许适当放宽,但应采取相应加强措施;
2 上部多孔砖抗震墙厚度为190mm时,最大横墙间距应比表中数值减少3m;
3 底部抗震横墙至无抗震横墙的边轴线框架的距离,不应大于表内数值的1/2。
条文说明
3.0.8地震中,横墙间距的大小对房屋的抗倒塌能力影响很大。底部框架-抗震墙砌体房屋的抗震横墙最大间距分为两部分,一是底部框架-抗震墙部分,二是上部砌体房屋部分。抗震横墙最大间距同《建筑抗震设计规范》GB50011-2010的要求。底部框架-抗震墙部分的抗震横墙最大间距较高层钢筋混凝土框架-抗震墙房屋的抗震墙最大间距要求要严格一些,主要是高层钢筋混凝土框架-抗震墙房屋是分层传递地震作用,而底部框架-抗震墙砌体房屋的底部要传递上部砌体房屋部分的地震作用。 上部砌体房屋的顶层,当屋面采用现浇钢筋混凝土结构,大房间平面长宽比不大于2.5时,最大抗震横墙间距的要求可适当放宽,但不应超过表3.0.8中数值的1.4倍及18m。此时抗震横墙除应满足抗震承载力计算要求外,相应的构造柱应予加强并至少向下延伸一层。
3.0.9 底层框架-抗震墙砌体房屋在纵横两个方向,第二层计入构造柱影响的侧向刚度与底层的侧向刚度比值,6度、7度时不应大于2.5,8度时不应大于2.0,且均不得小于1.0;
底部两层框架-抗震墙砌体房屋在纵横两个方向,底层与底部第二层侧向刚度应接近,第三层计入构造柱影响的侧向刚度与底部第二层的侧向刚度比值,6度、7度时不应大于2.0,8的度时不应大于1.5,且均不得小于1.0。 ( 自2022年1月1日起废止该条,详见新规 《建筑与市政工程抗震通用规范》GB 55002-2021)
条文说明
3.0.9结构刚度沿楼层高度分布是否均匀,集中反映出结构层间弹性位移反应的均匀性。对于各楼层均为同一种结构体系构成的结构,其层间刚度与构件的截面尺寸、层高和构件材料强度等级等有关。在钢筋混凝土结构中,在各层构件的纵筋不改变的条件下,其层间刚度与层间极限承载力的变化趋势相一致。由于底层框架-抗震墙砌体房屋的底层与上部砌体房屋之间构件承载能力和抗侧力刚度的差异等原因,这一结论已不再适用。从要求这类房屋弹性和弹塑性位移反应较为均匀的原则出发,在大量分析研究的基础上,得出第二层与底层侧向刚度比的适宜取值为1.2~2.0。由于上部砌体房屋部分的承载能力和变形、耗能能力都较底层框架一抗震墙差,所以在底层承载能力大于第二层承载能力的底层框架-抗震墙砌体房屋中,其弹塑性位移集中的楼层不是底层而是上部砌体房屋的较弱楼层,薄弱楼层在上部砌体房屋部分的底层框架-抗震墙砌体房屋的抗震能力是比较差的。因此,特别指出了第二层与底层侧向刚度的比值不应小于1.0。 底部两层框架-抗震墙砌体房屋楼层层间刚度均匀性与底层框架-抗震墙砌体房屋相类似,根据分析结果给出了第三层与第二层侧向刚度比的要求。 在计算侧向刚度比时,过渡楼层的侧向刚度应考虑构造柱的刚度贡献。
3.0.10 底部框架-抗震墙砌体房屋中,底部框架的抗震等级,6度、7度、8度时应分别按三级、二级、一级采用;底部钢筋混凝土抗震墙和配筋小砌块砌体抗震墙的抗震等级,6度、7度、8度时应分别按三级、
条文说明
3.0.10钢筋混凝土房屋抗震等级的划分是依据地震作用的大小(地震烈度)、房屋的主要抗侧力构件性能、房屋的高度以及所处的场地状况等综合考虑的,在抗震设计中的抗震等级应包括内力调整和抗震构造措施。底部钢筋混凝土结构部分的抗震等级大致与钢筋混凝土结构的框支层相当,底部框架的抗震等级比普通框架-抗震墙结构的要求要严格。但考虑到底部框架-抗震墙砌体房屋的总高度较低,底部钢筋混凝土抗震墙一般应按低矮墙或开竖缝墙设计,构造要求上有所区别。
三级、二级采用,其抗震构造措施按相应抗震等级中一般部位的要求采用(以下将“抗震等级一级、二级、三级”简称为“一级、二级、三级”)。
3.0.11 底部框架-抗震墙砌体房屋中上部砌体抗震墙墙段的局部尺寸,宜符合表3.0.11的要求。
表3.0.11 上部砌体墙的局部尺寸限值(m)

注:1 局部尺寸不足时,应采取局部加强措施弥补,且最小宽度不宜小于1/4层高和表中数据的80%;
2 出入口处的女儿墙应有锚固。
条文说明
3.0.11 底部框架-抗震墙砌体房屋的抗震能力取决于底部框架-抗震墙和上部砌体房屋两部分的抗震能力及其相匹配的程度,对于上部砌体房屋的局部尺寸控制是为了防止在该方向水平地震作用下因墙体的侧向刚度和破坏状态的差异而导致各个击破的破坏,防止出现相关局部部位实效而造成整体结构的破坏。个别或少数墙段不满足时可采取如增设构造柱等加强措施,但尺寸不足的小墙段应满足最小限值的要求。 外墙尽端指,建筑物平面凸角处(不包括外墙总长的中部局部凸折处)的外墙端头,以及建筑物平面凹角处(不包括外墙总长的中部局部凹折处)未与内墙相连的外墙端头。
3.0.12 底部框架-抗震墙砌体房屋的结构材料性能指标,应符合下列最低要求:
1 普通砖和多孔砖的强度等级不应低于MU10;其砌筑砂浆强度等级,过渡楼层及底层约束砌体抗震墙不应低于M10,其他部位不应低于M5。
2 小砌块的强度等级,过渡楼层及底层约束砌体抗震墙不应低于MU10,其他部位不应低于MU7.5;其砌筑砂浆强度等级,过渡楼层及底层约束砌体抗震墙不应低于Mb10,其他部位不应低于Mb7.5。
3 混凝土的强度等级,框架柱、梁、节点核心区及钢筋混凝土抗震墙不应低于C30,构造柱、圈梁及其他各类构件不应低于C20,小砌块砌体抗震墙的芯柱及配筋小砌块砌体抗震墙的灌孔混凝土不应低于Cb20。
4 框架和斜撑构件(含楼梯踏步段),其纵向受力钢筋采用普通钢筋时,钢筋的抗拉强度实测值与屈服强度实测值的比值不应小于1.25;钢筋的屈服强度实测值与屈服强度标准值的比值不应大于1.3,且钢筋在最大拉力下的总伸长率实测值不应小于9%。
5 普通钢筋宜优先采用延性、韧性和可焊性较好的钢筋。普通钢筋的强度等级,纵向受力筋宜选用符合抗震性能指标的不低于HRB400级的钢筋,也可采用符合抗震性能指标的HRB335级钢筋;箍筋宜选用符合抗震性能指标的不低于HRB335级的钢筋,也可选用HPB300级钢筋。
6 按本规程设计的底部框架-抗震墙砌体房屋,混凝土强度等级不应超过C50。
条文说明
3.0.12 底部框架-抗震墙砌体房屋的材料,主要是钢筋、混凝土、块体和砂浆,为了保证这类房屋的抗震性能提出了相应的要求。对底部框架-抗震墙部分的混凝土强度等级提出了更高的要求;过渡楼层受力复杂,其墙体材料强度应予以提高;框架梁、框架柱以及楼梯的踏步段等纵向钢筋应有足够的延性,钢筋伸长率的要求,是控制钢筋延性的重要性能指标。 规定框架普通纵向受力钢筋的抗拉强度实测值与屈服强度实测值的比值,是为保证当构件某个部位出现塑性铰以后,塑性铰处有足够的转动与耗能能力;规定屈服强度实测值与标准值的比值,是为保证实现强柱弱梁、强剪弱弯所规定的内力调整。 根据《建筑抗震设计规范》GB 50011-2010规定的基本原则,从发展趋势考虑,不再推荐箍筋采用HPB235级钢筋,但现有生产的HPB235级钢筋仍可继续作为箍筋使用。本规程中有关钢筋混凝土部分的规定是基于混凝土强度不超过C50的情况而给出的,故在其材料性能指标中限定了混凝土强度等级不超过C50。
3.0.13 6度、7度和8度时,底部框架-抗震墙砌体房屋均应进行多遇地震作用下的截面抗震验算。
条文说明
3.0.13底部框架-抗震墙砌体房屋的底部和上部由两种不同的结构形式构成,结构体系上属于竖向不规则,故6度时也应进行多遇地震作用下的截面抗震验算。
3.0.14 7度(0.15g)和8度(0.20g)时,底部框架-抗震墙砌体房屋的抗震验算,尚应符合下列规定:
1 应进行罕遇地震作用下结构薄弱楼层的判别;
2 宜进行罕遇地震作用下结构薄弱楼层的弹塑性变形验算。
条文说明
3.0.14《建筑抗震设计规范》GB50011-2010采用二阶段的设计方法,使房屋达到“小震”不坏、设防烈度可修、“大震”不倒的抗震设防要求。所谓二阶段设计方法,是指多遇“小震”作用下的构件截面抗震验算,和罕遇“大震”作用下的弹塑性变形验算以及相应的抗震构造措施。在抗震验算中,多遇“小震”作用下的构件截面抗震验算是为了使结构构件具有必要的承载能力;“大震”作用下的弹塑性变形验算是为了使结构避免出现特别薄弱的楼层,同时通过改善结构的均匀性和提高结构构件变形能力的构造措施,使房屋具有防止在“大震”作用下倒塌的能力。在《建筑抗震设计规范》GB50011-2010中规定底部框架-抗震墙砌体房屋宜进行罕遇地震作用下薄弱楼层的弹塑性变形验算,并给出了底部框架-抗震墙部分的弹塑性层间位移角限值为1/100。模型试验研究的结果以及实际震害调查结果表明,底部框架-抗震墙砌体房屋的薄弱楼层不一定均在底部,薄弱楼层的位置与底部抗震墙数量的多少以及上部砌体房屋的材料强度等级、抗震墙间距等有关。 砌体房屋的抗震性能,主要是依靠砌体的承载能力和钢筋混凝土构造柱、圈梁对脆性砌体的约束作用以及房屋规则性等来保证。因此,在《建筑抗震设计规范》GB50011-2010中对砌体房屋的抗震设计,采用的是“小震”作用下的构件承载力截面验算和设防烈度下的抗震构造措施。多层砌体房屋变形能力的离散性比较大,墙片的试验还不能完全反应整体房屋的状况。所以在砌体房屋中采用弹塑性变形验算有一定的困难。 由于此类房屋对结构抗震能力沿竖向分布的均匀性要求比一般房屋更加严格,结构薄弱楼层判别的关键在于底部与上部结构抗震能力的匹配关系,因此,不能简单采用多层钢筋混凝土框架房屋判断薄弱楼层的方法。基于对这类房屋抗震能力分析的研究成果,本规程提出了进行罕遇地震作用下极限承载力分析、薄弱楼层判别的方法,其目的是使底部框架-抗震墙砌体房屋的抗震设计更为合理,做到既安全又经济。这里还要强调的是,相应的构造措施对于防止“大震”不倒是非常重要的。
3.0.15 建筑场地为Ⅰ类时,底部框架-抗震墙砌体房屋允许按本地区抗震设防烈度降低一度的要求采取抗震构造措施,但抗震设防烈度为6度时仍应按本地区抗震设防烈度的要求采取抗震构造措施;建筑场地为Ⅲ类、Ⅳ类时,对设计基本地震加速度为0.15g的地区,宜按抗震设防烈度8度(0.20g)时的要求采取抗震构造措施。
条文说明
3.0.15历次大地震的经验表明,同样或相近的建筑,建造于Ⅰ类场地时震害较轻,建造于Ⅲ类、Ⅳ类场地震害较重。抗震构造措施不同于抗震措施。对Ⅰ类场地,仅降低抗震构造措施,不降低抗震措施中的其他要求,如按概念设计要求的内力调整措施等;对Ⅲ类、Ⅳ类场地,仅提高抗震构造措施,不提高抗震措施中的其他要求,如按概念设计要求的内力调整措施等。
4 地震作用和结构抗震验算
4.1 水平地震作用和作用效应计算
4 地震作用和结构抗震验算
4.1 水平地震作用和作用效应计算
4.1.1 底部框架-抗震墙砌体房屋的地震作用,应符合现行国家标准《建筑抗震设计规范》GB 50011的相关规定。
4.1.2 计算地震作用时,建筑的重力荷载代表值取值应符合现行国家标准《建筑抗震设计规范》GB 50011的相关规定。
4.1.3 底部框架-抗震墙砌体房屋的水平地震影响系数的确定,应符合现行国家标准《建筑抗震设计规范》GB 50011的相关规定。
4.1.4 底部框架-抗震墙砌体房屋的水平地震作用计算,应采用下列方法:
1 质量和刚度沿高度分布比较均匀的结构,可采用底部剪力法等简化方法;
2 除1款外的底部框架-抗震墙砌体房屋,宜采用振型分解反应谱法。
4.1.5 采用底部剪力法时,各楼层可仅取一个自由度,结构的水平地震作用标准值,应按下列公式计算(图4.1.5):

图4.1.5 结构水平地震作用计算简图

式中: F Ek ——结构总水平地震作用标准值(N);
α max ——水平地震影响系数最大值,应按本规程第4.1.3条的规定采用;
G eq ——结构等效总重力荷载(N),多质点取总重力荷载代表值的85%;
F i ——质点 i 的水平地震作用标准值(N);
G i 、 G j ——分别为集中于质点 i 、 j 的重力荷载代表值(N),应按本规程第4.1.2的规定确定;
H i 、 H j ——分别为质点 i 、 j 的计算高度(mm)。
4.1.6 采用底部剪力法时,突出屋面的屋顶间、女儿墙、烟囱等的地震作用效应,宜乘以增大系数3,此增大部分不应往下传递,但与该突出部分相连的构件应予以计入;采用振型分解法时,突出屋面部分可作为一个质点。
条文说明
4.1.1~4.1.6引入国家标准《建筑抗震设计规范》GB50011-2010中有关地震作用计算的要求。 突出屋面的小建筑,一般按其重力荷载小于标准层1/3来控制。 底部框架-抗震墙砌体房屋的动力特性类似多层砌体房屋,周期短。在采用振型分解反应谱法计算水平地震作用时,应考虑底部框架填充墙的刚度贡献、作适当调整,以保证对应的地震影响系数能够达到amax为宜。
4.1.7 底部框架-抗震墙砌体房屋考虑扭转影响时,第 i 层第 j 榀抗侧力构件的地震剪力,可按下列公式简化计算:

式中: V' xj ( i )、 V' yj ( i )——分别为 x 、 y 方向第 i 层第 j 榀构件考虑扭转影响的地震剪力(N);
V xj ( i )、 V yj ( i )——分别为 x 、 y 方向第 i 层第 j 榀构件不考虑扭转影响的地震剪力(N);
β xj 、 β yj ——分别为 x 、 y 方向考虑扭转影响的修正系数;当 β xj 或 β yj 小于1.0时取为1.0;
K xj 、 K yj ——分别为第 j 榀抗侧力构件 x 、 y 方向的平动刚度(N/mm);
K Φ ——为扭转刚度(N·mm);
e sx 、 e sy ——分别为水平地震作用中心与楼层刚度中心 x 、 y 方向的偏心距(mm);
x j 、 y j ——分别为第 j 榀抗侧力构件到房屋平面上刚度中心 x 、 y 方向的距离(mm)。
条文说明
4.1.7对于应考虑扭转影响的底部框架-抗震墙砌体房屋,可采用考虑平动与扭转藕连的振型分解法进行分析。为了能进行简化分析,给出了近似的分析方法。 考虑扭转效应的现有的计算方法有许多,扭转效应修正系数法表示扭转时某榀抗侧力构件按平动分析的剪力效应的增大,物理概念明确。《建筑抗震设计规范》GBJ11-89条文说明中也给出了按平动分析的层剪力效应增大的简化计算方法,其数值依赖于各类结构大量算例的统计。对低于40m的框架结构,当各层的质心和“计算刚心”接近于两串轴线时,根据上千个算例的分析,若偏心参数£满足0.1<ε<0.3,则边榀框架的扭转效应增大系数ηt=0.65+4.5ε。其偏心参数的计算公式是ε=eysy/(Kφ+/Kx),其中,ey、sy分别为i层刚心和i层边榀框架距i层以上总质心的距离(y方向),Kx、Kφ分别为i层平动刚度和绕质心的扭转刚度。其他类型结构也有相应的扭转效应系数。
4.1.8 底部框架-抗震墙砌体房屋的地震作用效应,应按下列规定调整:
1 对底层框架-抗震墙砌体房屋,当第二层与底层的侧向刚度比不小于1.3时,底层的纵向和横向地震剪力设计值均应乘以增大系数,其值可在1.0~1.5范围内选用,第二层与底层侧向刚度比大者应取大值;
注:层间侧向刚度可按本规程附录A的方法计算。
2 对底部两层框架-抗震墙砌体房屋,当第三层与第二层的侧向刚度比不小于1.3时,底层和第二层的纵向和横向地震剪力设计值均应乘以增大系数,其值可在1.0~1.5范围内选用,第三层与第二层侧向刚度比大者应取大值;
3 底层或底部两层纵向和横向地震剪力设计值,应全部由该方向的抗震墙承担,并按各墙体的侧向刚度比例分配。
条文说明
4.1.8底部框架-抗震墙砌体房屋的地震反应,实际并未因底部的刚度小于过渡楼层而在底部出现增大的反应,但考虑到底部的严重破坏将危及整体房屋,为防止因底部严重破坏而导致房屋的整体垮塌、减少底部的薄弱程度,对底部的地震剪力设计值进行增大调整以增强底部的抗震承载能力。增大系数可按过渡楼层与其下相邻楼层的侧向刚度比值用线性插值法近似确定,侧向刚度比越大增加越多。 由于底部框架-抗震墙部分的承载能力、变形和耗能能力较上部砌体房屋部分要好一些,根据国内多家单位对这类房屋大量的抗震能力、结构均匀性与不同侧向刚度比相关性的工程实例分析结果,当过渡楼层与其下相邻楼层的侧向刚度比在1.0~1.3之间时,底部的地震剪力设计值可不作增大调整。 为了使底部第一道防线的抗震墙具有较好的承载能力,提出地震剪力设计值全部由抗震墙承担的要求。
4.1.9 底部框架-抗震墙砌体房屋中,底部框架的地震作用效应,宜按下列原则确定:
1 底部框架承担的地震剪力设计值,可按各抗侧力构件有效侧向刚度比例分配。有效侧向刚度的取值,框架不折减,混凝土抗震墙或配筋小砌块砌体抗震墙可乘以折减系数0.30,约束普通砖砌体或小砌块砌体抗震墙可乘以折减系数0.20。
2 当抗震墙之间楼盖长宽比大于2.5时,框架柱各轴线承担的地震剪力和轴向力,尚应计入楼盖平面内变形的影响。
条文说明
4.1.9关于底部框架承担的地震剪力,考虑了抗震墙开裂后的弹塑性内力重分布,是为了提高底部第二道防线的抗震能力。 楼层水平地震作用在各抗侧力构件之间的分配受楼盖平面内变形的影响较大,当抗震墙之间楼盖长宽比较大时,需考虑楼盖变形对楼层水平地震作用分配的影响。
4.1.10 底层框架-抗震墙砌体房屋的底层框架和抗震墙承担的倾覆力矩,可按该框架或抗震墙所从属重力荷载面积的比例和框架-抗震墙构件组合截面弹性弯曲刚度的比例的平均值进行分配。
4.1.11 底部两层框架-抗震墙砌体房屋的底部框架和抗震墙承担的倾覆力矩,可按第二层框架或抗震墙所从属重力荷载面积的比例和第二层框架-抗震墙构件组合截面弹性弯曲刚度的比例的平均值进行分配。
条文说明
4.1.10、4.1.11底部框架-抗震墙砌体房屋地震倾覆力矩主要是引起楼层的转角。因此,地震倾覆力矩的分配就不能按过渡楼层底板处弯曲刚度无限大来考虑,这种假定是基于底部各抗震墙和框架在过渡楼层底板处的弯曲变形是相同的,与实际情况有较大差别。对上述楼板处弯曲刚度有较大贡献的是垂直于地震作用方向的梁和墙,只有当层数多,梁和墙的截面较大时效果才明显。而该楼板出平面的刚度较小。通过有限元分析比较,进一步指出了假定过渡楼层底板弯曲刚度无限大的主要问题为:①夸大了抗震墙弯曲刚度的作用,致使框架分配的倾覆力矩小于实际承担值;②钢筋混凝土墙弯曲刚度对框架的影响与距它的距离有关,而上述假定无法反应;③底部框架-抗震墙开间相差较大时,框架承担的倾覆力矩应有所差别,而上述假定无法反应。 基于有限元法的分析结果,提出了一种半刚性的分配方法,即按框架-抗震墙的弯曲刚度和框架或抗震墙间从属重力荷载面积的比例的平均值进行分配。 由普通砖或小砌块砌体抗震墙与混凝土框架组成的组合抗侧力构件,其所承担的地震作用将通过周边框架向下传递,故砌体抗震墙周边的框架柱需计入墙体引起的附加轴向力和附加剪力。
4.1.12 底层框架-抗震墙砌体房屋中底层嵌砌于框架之间的普通砖或小砌块的砌体墙,当符合本规程第5.5.25条、第5.5.26条的构造要求时,底层框架柱轴向力和剪力,应计入砖墙或小砌块墙引起的附加轴向力和附加剪力,其值可按下列公式计算(图4.1.12):

图4.1.12 砌体抗震墙引起框架柱的附加轴向力和附加剪力

式中:△ N f ——框架柱的附加轴向压力设计值(N);
△ V f ——框架柱的附加剪力设计值(N);
V w ——墙体承担的剪力设计值(N),框架柱两侧有墙时,采用两者的较大值;
H f ——框架层高(mm);
l——框架跨度(mm)。
4.1.13 底部框架-抗震墙砌体房屋的楼层水平地震剪力,应按下列原则进行分配:
1 现浇和装配整体式钢筋混凝土楼盖、屋盖等刚性楼盖、屋盖建筑,宜按各抗侧力构件的等效侧向刚度的比例分配;
2 普通的预制装配式钢筋混凝土楼盖、屋盖等半刚性楼盖、屋盖建筑,宜按各抗侧力构件的等效侧向刚度的比例和其从属面积上重力荷载代表值比例的平均值分配;
3 计入空间作用、楼盖变形和扭转的影响时,可按本节相关规定对上述分配结果作适当调整。
条文说明
4.1.12、4.1.13按《建筑抗震设计规范》GB50011-2010的规定。
4.2 截面抗震验算
4.2 截面抗震验算
4.2.1 底部框架-抗震墙砌体房屋的地震作用效应和其他荷载效应的基本组合、结构构件的截面抗震验算,应符合现行国家标准《建筑抗震设计规范》GB 50011的相关规定。
条文说明
4.2.1直接引用现行国家标准《建筑抗震设计规范》GB50011中的相关规定。
5 底部框架 抗震墙抗震设计
5.1 结构布置
5 底部框架-抗震墙抗震设计
5.1 结构布置
5.1.1 底部框架的结构布置除应符合本规程第3.0.6条的规定外,尚应符合下列规定:
1 框架柱网轴线宜与上部砌体房屋的轴线一致;
2 底部应采用双向现浇钢筋混凝土框架,且不应采用单跨框架;
3 框架梁的跨度不宜大于7.5m;
4 支承上部砌体承重墙的托墙梁宜为底部框架梁;
5 框架单独柱基有下列情况之一时,宜沿两个主轴方向设置基础系梁:
一级框架和Ⅳ类场地的二级框架;各柱基础底面在重力荷载代表值作用下的压应力差别较大;基础埋置较深,或各基础埋置深度差别较大;地基主要受力层范围内存在软弱黏性土层、液化土层或严重不均匀土层以及湿陷性黄土;桩基承台之间。
条文说明
5.1.1底部框架的柱网布置应尽量与上部砌体房屋纵、横墙的轴线相一致,主要考虑在竖向荷载作用下墙体与框架共同作用,减少框架的变形。由于上部砌体房屋的使用功能要求,其轴线上墙体不一定全部贯通。在这种情况下可通过在底部钢筋混凝土墙中设置暗柱等措施,使底部的框架-抗震墙体系较为合理。 对于底部框架抗震设计,提出了应在纵、横两个方向均设置为现浇钢筋混凝土框架的要求。 国家标准《建筑抗震设计规范》GB50011-2010中对于框架-抗震墙结构中的框架,允许采用单跨结构。但由于底部框架-抗震墙砌体结构属于抗震性能相对较弱的结构体系,本规程增加了控制底部单跨框架结构的要求。底部框架某个主轴方向均为单跨属于单跨框架结构;某个主轴方向有局部的单跨框架,可不作为单跨框架结构对待。 底部框架的柱距不宜过大,以保证底部具有足够的侧向刚度,同时易于上部砌体墙与底部框架梁或抗震墙的边框梁对齐,尽可能减少次梁托墙的情况。 当框架柱采用独立基础时,增设两个主轴方向的基础系梁有利于增强框架的整体性和抗震性能。对于抗震性能要求高的一级框架和Ⅳ类场地上的二级底部框架柱等情况,采用独立基础时,提出宜沿两个主轴方向增设基础系梁的要求。
5.1.2 底部抗震墙的布置除应符合本规程第3.0.6条的规定外,尚应符合下列规定:
1 抗震墙应布置在上部砌体结构有砌体抗震墙轴线处。
2 底部两层框架-抗震墙结构中的抗震墙应贯通底部两层。
3 抗震墙宜纵、横向相连;钢筋混凝土抗震墙墙板的两端(不包括洞口两侧)应设置框架柱;约束砌体抗震墙和配筋小砌块砌体抗震墙墙板应嵌砌于框架平面内。
4 楼梯间宜设置抗震墙,但不宜造成较大的扭转效应。
5 房屋较长时,刚度较大的纵向抗震墙不宜设置在房屋的端开间。
6 底层框架-抗震墙砌体房屋中,钢筋混凝土抗震墙的高宽比宜大于1.0;底部两层框架-抗震墙砌体房屋中,钢筋混凝土抗震墙的高宽比宜大于1.5。当不满足上述高宽比的要求时,宜采取在抗震墙的墙板中开设竖缝或在墙板中设置交叉的钢筋混凝土暗斜撑等措施。当在墙体开设洞口形成若干墙肢时,各墙肢的高宽比不宜小于2.0。
注:抗震墙高度指抗震墙底面至过渡楼层楼板面的高度,宽度指抗震墙两侧边间的距离。
7 钢筋混凝土抗震墙洞口边距框架柱边不宜小于300mm;约束砌体抗震墙和配筋小砌块砌体抗震墙洞口宜沿墙板居中设置;底部两层框架-抗震墙结构中的抗震墙洞口宜上下对齐。
8 抗震墙的基础应有良好的整体性和较强的抗转动能力。
条文说明
5.1.2抗震墙的承载能力与材料强度等级、约束或配筋情况以及截面尺寸有关,同时与墙体的压应力有关,抗震墙布置在上部砌体结构有砌体抗震墙的轴线处,不仅利于结构重力荷载和地震剪力的传递,也有利于提高抗震墙的抗震承载力。 底部抗震墙的布置,对底部层的抗震性能有直接的影响,纵、横墙尽量相连不仅可提高墙体的侧向刚度,而且可提高墙体的承载能力。钢筋混凝土抗震墙带有翼缘、翼墙时,尚应考虑翼缘、翼墙的抗侧力作用;计算内力和变形时,墙体应计入端部翼墙的共同工作。对于翼墙的有效长度,可按照“每侧由墙面算起可取相邻抗震墙净间距的一半、至门窗洞口的墙长度及抗震墙总高度的15%三者的最小值”考虑,可供参考。 结合楼梯间布置抗震墙,以形成安全通道。楼梯间抗震墙的布置不宜对房屋整体造成较大的扭转效应。 底层框架-抗震墙砌体房屋的底层钢筋混凝土抗震墙,往往是高宽比小于1.0的低矮墙,低矮墙的破坏为脆性破坏。在钢筋混凝土墙中,高宽比大于2.0的为高剪力墙,其破坏状态为弯曲破坏,高宽比大于1.0小于2.0的为中等高的剪力墙,其破坏状态为弯剪破坏。为了改善带边框低矮钢筋混凝土墙的抗震性能,中国建筑科学研究院工程抗震研究所等单位进行了带边框开竖缝钢筋混凝土低矮墙的试验和分析研究。其做法是:在开竖缝处水平钢筋断开,在竖缝两侧设置暗柱。试验分为三组,一组为不开竖缝的带边框的整体墙,一组为水平钢筋在竖缝处断开,而且在竖缝处设置两块宽度与钢筋混凝土墙厚度相同的预制钢筋混凝土板,另一组为水平钢筋断开,但未设预制钢筋混凝土隔板。试验结果表明,带边框开竖缝的钢筋混凝土低矮墙具有较好的抗震性能,而且在开竖缝处设置两块钢筋混凝土预制板的墙较不设置的更好一些。因此,对带边框的钢筋混凝土低矮墙采用开竖缝至梁底,并在竖缝处放置两块预制的钢筋混凝土板,使带边框的低矮墙分成两个或三个高宽比大于1.5的墙板单元,可以大大改善带边框钢筋混凝土低矮墙的抗震性能,大大提高墙体的极限变形能力和耗能能力,其弹性刚度和极限承载能力较整体低矮墙降低不多,而且还具有后期变形稳定的特点。 在墙板中设置交叉暗斜撑有助于提高低矮墙的抗剪能力。 由于底部抗震墙承受相当大的地震剪力、弯矩和倾覆力矩,因此其基础应具有良好的整体性和较强的抗转动能力,防止当地基土较弱、基础刚度和整体性较差时,地震作用下抗震墙基础产生较大转动而使抗震墙的侧向刚度降低,从而对构件内力和位移产生不利影响。
5.1.3 底部框架-抗震墙的纵向或横向,可设置一定数量的钢支撑或耗能支撑,部分抗震墙可采用支撑替代。支撑的布置宜均匀对称。在计算楼层侧向刚度时,应计入支撑的刚度。
条文说明
5.1.3在底部框架-抗震墙的横向或纵向设置钢支撑或耗能支撑,不仅能提高底部楼层的侧向刚度,而且能改善底部楼层的抗震性能,同时便于协调过渡楼层与其下层的侧向刚度比。当部分抗震墙采用支撑替代时,可以改善房屋使用功能的布置。
5.1.4 底部楼梯间应符合下列要求:
1 宜采用现浇钢筋混凝土楼梯;
2 楼梯间的布置不应导致结构平面特别不规则;楼梯构件与主体结构整浇时,应计入楼梯构件对地震作用及其效应的影响,并应对楼梯构件进行抗震承载力验算;宜采取构造措施,减少楼梯构件对主体结构刚度的影响;
3 楼梯间两侧填充墙与柱之间应加强拉结。
条文说明
5.1.4发生强烈地震时,楼梯间是重要的紧急逃生竖向通道,楼梯间(包括楼梯板)的破坏会延误人员疏散及救援工作,从而造成严重伤亡,楼梯间抗震设计要求应加强。楼梯边梁或横梁支承在柱上会形成短柱,震害表明,这些部位在强震中破坏是非常严重的。 楼梯构件与主体结构整浇时,梯板具有斜支撑的作用,对结构规则性、刚度、承载力的影响比较大,应参与抗震计算。当采取相应措施时(如梯板滑动支承于平台板),楼梯构件对结构刚度等的影响较小,是否参与整体抗震计算差别不大。当楼梯间设置抗震墙时,因抗震墙刚度较大,楼梯构件对结构刚度的影响较小,可不参与整体抗震计算。
5.1.5 底部砌体隔墙、填充墙应符合现行国家标准《建筑抗震设计规范》GB 50011中非结构构件的有关规定。当砌体填充墙的布置导致短柱或加大扭转效应时,应与框架柱脱开或采取柔性连接等措施。 ( 自2022年1月1日起废止该条,详见新规 《建筑与市政工程抗震通用规范》GB 55002-2021)
5.2 托墙梁的作用与作用效应
5.2 托墙梁的作用与作用效应
5.2.1 计算竖向荷载作用下托墙梁的弯矩和剪力时,作用在托墙梁上的竖向荷载可按下列规定采用:
1 当底部均为框架梁作为托墙梁时,横向框支墙梁取其承载范围内本层楼盖传递的全部竖向荷载和托墙梁以上墙体传递的相应承载范围内全部楼(屋)盖荷载与墙体自重之和的60%。
2 当底部为有次梁作为托墙梁时,纵梁支承的横向托墙梁荷载,可按本条第1款的规定采用;与其相邻的横向框支墙梁,取其承载范围内本层楼盖传递的全部竖向荷载和托墙梁以上墙体传递的相应承载范围内全部楼(屋)盖荷载与墙体自重之和的85%。
3 纵向框支墙梁取其承载范围内本层楼盖(当为现浇双向板时)传递的全部竖向荷载、托墙梁以上墙体传递的相应承载范围内全部楼(屋)盖荷载(当上部各层楼盖为现浇双向板时)与墙体自重之和的60%,以及支承在纵向托墙梁上的横向托墙梁传递的集中荷载。内纵托墙梁上的集中荷载取其承载范围内(图5.2.1)全部竖向荷载的90%;外纵托墙梁上的集中荷载取其承载范围内(图5.2.1)全部竖向荷载的1.1倍。

图5.2.1 纵向框支墙梁上集中荷载承载范围示意图
1-外纵梁上集中荷载取值范围;2-内纵梁上集中荷载取值范围
条文说明
5.2.1本条规定了托墙梁上等效竖向荷载的取值方法。根据中国建筑科学研究院、西安建筑科技大学、大连理工大学等单位的试验研究和大量的有限元计算结果,取30%(无洞口墙梁)和50%(有洞口墙梁)的上部总荷载作为等效荷载计算托墙梁的弯矩和剪力,均比有限元计算结果大,为简化计算且偏于安全,不再区别墙梁是否带洞,均取60%的上部荷载作为等效荷载。 大连理工大学、哈尔滨建筑大学的试验研究和空间有限元分析结果表明,当底部为大开间时,与相应的小开间相比,抽柱轴线的横向托墙梁承担的竖向荷载减小较多,与其相邻的横向框支墙梁上的竖向荷载增加了约40%。考虑到空间有限元计算时,一些参数(如楼板刚度)取值的偏差,以及当上部各层楼板为预制板时,房屋实际的空间作用没有计算的那么大,所以在确定纵梁支承的横向托墙梁的等效荷载时,没有考虑房屋的整体空间作用,假定其负载范围内的竖向荷载全部由该梁承受,但仍考虑了其内拱卸荷作用,取等效荷载系数为0.6。但在确定横向框支墙梁的等效荷载时,考虑了抽柱使其竖向荷载增加40%的情况,取等效荷载系数为(1.0+0.4)×0.6=0.84,实际取0.85。 当底部为大开间时,横向托墙梁将传给纵向托墙梁一个集中荷载,其值可近似取承载范围的重力荷载值,考虑到内拱卸荷作用,将按此计算的集中荷载,对内、外纵梁分别乘以0.9和1.1的系数。计算结果表明,按上述方法计算得到的集中荷载,对内、外纵梁分别为9.3%和5.7%的总竖向荷载。哈尔滨建筑大学的有限元计算结果表明,内、外纵梁承受的集中荷载分别为5.9%和3.0%的总竖向荷载。可见,按本条规定所得到的内、外纵梁上的集中荷载分别是有限元计算结果的1.6倍和1.9倍,偏于安全。
5.2.2 托墙梁的地震作用效应和地震组合内力应采用下列方法计算:
1 一般的托墙梁,可按框架梁计算其水平地震作用效应。
2 一端与钢筋混凝土抗震墙平面内相连、另一端与框架相连的托墙梁,可按连梁计算其水平地震作用效应。
3 托墙梁计算地震组合内力时,应采用合适的计算简图。若考虑上部墙体与托墙梁的组合作用,应计入地震时墙体开裂对组合作用的不利影响,可调整有关的弯矩系数、轴力系数等计算参数。
条文说明
5.2.2大震时,托墙梁上部的砌体墙开裂严重,托墙梁受力状态与非抗震时的墙梁有所差异,应对非抗震计算时的有关参数进行调整。简化计算时,应采用偏于安全的方法。 对于次梁支托计算,应注意以下要求:①托墙的次梁应按《建筑抗震设计规范》GB50011-2010中第3.4.4条考虑地震作用的计算和内力调整;②次梁的竖向力和弯矩应作为主梁的集中力和集中扭矩,并应传递到主梁两端的竖向支承构件,形成附加的地震作用效应。这个传递过程要有明确的地震作用传递途径;③主梁两端的竖向支承构件,应考虑主梁平面外的附加内力,构造上也应相应加强。 此外,对于框架柱的轴向力应对应于上部的全部竖向荷载。
5.3 构件截面组合内力的调整
5.3 构件截面组合内力的调整
5.3.1 一级、二级、三级框架的梁柱节点处,除底部框架顶层及柱轴压比小于0.15者外,柱端组合的弯矩设计值应符合下式要求:

式中:∑ M c ——节点上下柱端截面顺时针或反时针方向组合的弯矩设计值之和(N·mm),上下柱端的弯矩设计值,可按弹性分析分配;
∑ M b ——节点左右梁端截面反时针或顺时针方向组合的弯矩设计值之和(N·mm),当一级框架节点左右梁端均为负弯矩时,绝对值较小的弯矩应取零;
η c ——框架柱端弯矩增大系数,一级可取1.4,二级可取1.2,三级可取1.1。
条文说明
5.3.1“强柱弱梁”的调整是底部框架应遵从的原则。对于框架托墙梁的梁柱节点,由于托墙梁与一般框架梁受力的差异,托墙梁的截面比一般框架梁大得多,其具有比较大的变形能力,与钢筋混凝土结构的框支梁相同,不再要求托墙梁节点处满足强柱弱梁的规定。 对于底部框架-抗震墙砌体房屋,本条规定适用于底部两层框架第一层顶部的中间节点。 若计入楼板的钢筋,且材料强度标准值考虑一定的超强系数,则可提高框架“强柱弱梁”的程度。计算梁端实配抗震受弯承载力时,尚应计入梁两侧有效翼缘范围内的楼板。故在计算框架刚度和承载力时,所计入的梁两侧有效翼缘范围应相互协调,承载力计算可适当计入楼板的钢筋。
5.3.2 一级、二级、三级底部框架柱的最上端和最下端,其组合的弯矩设计值应分别乘以增大系数1.5、1.25和1.15。
条文说明
5.3.2参照框支柱顶层柱上端和底层柱下端组合弯矩设计值的调整原则乘以增大系数。对于三级框架柱,参照一级、二级框支柱增大系数的原则,给出了增大系数为1.15。
5.3.3 一级、二级、三级框架梁和抗震墙的连梁,其梁端截面组合的剪力设计值应按下式调整:

式中: V ——梁端截面组合的剪力设计值(N);
l n ——梁的净跨(mm);
V Gb ——梁在重力荷载代表值作用下,按简支梁分析的梁端截面剪力设计值(N);

——分别为梁左右端截面反时针或顺时针方向组合的弯矩设计值(N·mm),一级框架当两端弯矩均为负弯矩时,绝对值较小一端的弯矩应取零;
η vb ——梁剪力增大系数,一级可取1.3,二级可取1.2,三级可取1.1。
5.3.4 一级、二级、三级框架柱端部组合的剪力设计值应按下式调整:

式中: V ——柱端截面组合的剪力设计值(N);
H n ——柱的净高(mm);

——分别为柱的上下端顺时针或反时针方向截面组合的弯矩设计值(N·mm),应符合本规程第5.3.1条、5.3.2条的规定;
η vc ——柱剪力增大系数,一级可取1.4,二级可取1.2,三级可取1.1。
5.3.5 一级、二级、三级框架的角柱,经本规程第5.3.1条、5.3.2条、5.3.4条调整后的组合弯矩设计值、剪力设计值尚应乘以不小于1.10的增大系数。
条文说明
5.3.3~5.3.5底部框架一抗震墙,“强剪弱弯”和角柱加强的调整要求。
5.3.6 底部框架梁柱节点核心区的抗震验算应符合下列要求:
1 底部两层框架第一层顶的节点核心区,一级、二级、三级时应进行抗震验算;
2 底部框架顶层的节点核芯区,可不进行抗震验算,但应符合抗震构造措施的要求。
条文说明
5.3.6对于底层框架的底层顶部和底部两层框架第二层顶部的节点核芯区,由于托墙梁的存在,可不进行抗震验算,但应符合抗震构造措施要求。
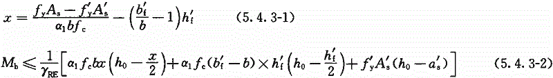
5.4 截面抗震验算
5.4 截面抗震验算
5.4.1 底部框架-抗震墙砌体房屋中的底部框架梁、柱、钢筋混凝土抗震墙和连梁,其截面组合的剪力设计值应符合下列要求:
跨高比大于2.5的梁、连梁及剪跨比大于2的柱和抗震墙:

跨高比不大于2.5的连梁、剪跨比不大于2的柱和抗震墙:

剪跨比应按下式计算:

式中: V ——按本章第5.3.3条、5.3.4条、5.3.5条等规定调整后的梁端、柱端或墙端截面组合的剪力设计值(N);
b ——梁、柱或抗震墙墙肢的截面宽度(mm);圆形截面柱可按面积相等的方形截面计算;
h 0 ——截面有效高度(mm),抗震墙可取墙肢长度;
f c ——混凝土轴心抗压强度设计值(N/mm 2 );
λ ——剪跨比,取柱或墙上下端计算结果的较大值;反弯点位于柱高中部的框架柱可按柱净高与2倍柱截面高度之比计算;
M c ——柱端或墙端截面组合的弯矩计算值(N·mm);
V c ——柱端或墙端截面与Mc对应的组合剪力计算值(N);
γ RE ——承载力抗震调整系数,取0.85。
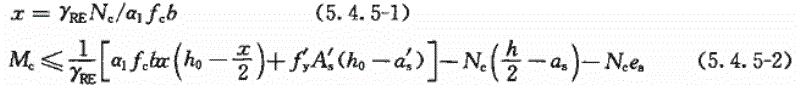
5.4.2 矩形截面或翼缘位于受拉边的倒T形截面梁,其正截面受弯承载力应按下列公式计算:
当 x ≥2 a' s ,且 x ≤ ξ b h 0 时

当 x <2 a' s 时

式中: M b ——梁组合的弯矩设计值(N·mm);
f y 、 f' y ——分别为钢筋的抗拉和抗压强度设计值(N/mm 2 );
A s 、 A' s ——分别为受拉区和受压区纵向钢筋的截面面积(mm 2 );
x——混凝土受压区高度(mm),应符合本章第5.5.11条的规定;
b——矩形截面的宽度或倒T形截面的腹板宽度(mm);
h 0 ——梁截面的有效高度(mm);
a' s ——受压区纵向钢筋合力点至截面受压边缘的距离(mm);
f c ——混凝土轴心抗压强度设计值(N/mm 2 );
a 1 ——受压区混凝土等效矩形应力图的应力值与混凝土轴心抗压强度设计值的比值,当混凝土强度等级不超过C50时, a 1 取为1.0;
ξ b ——相对界限受压区高度,应按表5.4.2取值;
γ RE ——承载力抗震调整系数,取0.75。
表5.4.2 混凝土强度等级不超过C50时热轧钢筋的 ξ b 值

5.4.3 翼缘位于受压区的T形、I形及倒L形截面梁(图5.4.3),其正截面受弯承载力应按下列公式计算:
当 x ≤ h' f 时,按宽度为b'f的矩形截面计算。
当 x > h' f 和 x ≥2 a' s ,且 x ≤ ξ b h 0 时

式中: h' f ——T形、I形及倒L形截面受压区的翼缘高度(mm);
b' f ——T形、I形及倒L形截面受压区的翼缘计算宽度(mm),按表5.4.3所列情况中的最小值取用;
γ RE ——承载力抗震调整系数,取0.75。

图5.4.3 T形截面梁受压区高度位置
表5.4.3 受弯构件受压区有效翼缘计算宽度 b' f

注:1 表中 b 为梁的腹板宽度;
2 如肋形梁在梁跨内设有间距小于纵肋间距的横肋时,可不考虑表中情况3的规定;
3 对加腋的T形、I形和倒L形截面,当受压区加腋的高度 h h 不小于 h' f 且加腋的长度 b h 不大于3 h h 时,其翼缘计算宽度可按表中情况3的规定分别增加2 b h (T形梁、I形截面)和 b h (倒L形截面);
4 独立梁受压区的翼缘板在荷载作用下经验算沿纵肋方向可能产生裂缝时,其计算宽度应取腹板宽度 b 。
5.4.4 考虑地震作用组合的矩形、T形和I形截面的框架梁,其斜截面受剪承载力应按下式计算:

式中: V b ——梁组合的剪力设计值(N);
a cv ——斜截面混凝土受剪承载力系数,对于一般受弯构件取0.7;对集中荷载作用下(包括作用有多种荷载,其中集中荷载对支座截面或节点边缘所产生的剪力值占总剪力的75%以上的情况)的独立梁,取 a cv 为 
, λ 为计算截面的剪跨比,可取 λ 等于 a / h 0 ,当 λ 小于1.5时,取1.5,当 λ 大于3时,取3 , a 取集中荷载作用点至支座截面或节点边缘的距离;
f t ——混凝土轴心抗拉强度设计值(N/mm 2 );
A sv ——配置在同一截面内箍筋各肢的全部截面面积(mm 2 );
f yv ——箍筋抗拉强度设计值(N/mm 2 );
s——沿构件长度方向的箍筋间距(mm);
γ RE ——承载力抗震调整系数,取0.85。
5.4.5 考虑地震作用组合的矩形截面偏心受压框架柱的正截面受压承载力,采用对称配筋(As=A's)时,应按下列公式计算:
当 x ≥2 a' s ,且 x ≤ ξ b h 0 时

当 x ≥2 a' s ,且 x > ξ b h 0 时

当 x <2 a' s 时

式中: M c ——柱组合的弯矩设计值(N·mm);尚需根据柱两端截面按结构弹性分析确定的对同一主轴的组合弯矩设计值的比值、柱轴压比和柱长细比的情况,确定是否考虑轴向压力在该方向挠曲杆件中产生的附加弯矩影响;
N c ——柱组合的轴向压力设计值(N);
e a ——附加偏心距(mm),取20mm和偏心方向截面最大尺寸的1/30两者中的较大值;
h 、 h 0 ——柱的截面高度和截面有效高度(mm);
a s ——纵向受拉钢筋的合力点至截面近边缘的距离(mm);
ξ ——柱截面受压区相对高度;
γ RE ——承载力抗震调整系数,当柱轴压比小于0.15时取0.75,其他情况取0.80。
5.4.6 考虑地震作用组合的矩形截面框架柱斜截面抗震受剪承载力,应按下式计算:

式中: V c ——柱组合的剪力设计值(N);
N c ——柱组合的轴向压力设计值(N),当N c 大于0.3 f c bh 时,取0.3f c bh ;
λ ——柱的计算剪跨比,当 λ 小于1.0时,取1.0;当 λ 大于3.0时,取3.0;
γ RE ——承载力抗震调整系数,取0.85。
5.4.7 考虑地震作用组合的矩形、T形、I字形偏心受压钢筋混凝土抗震墙(图5.4.7)的正截面受压承载力,应按下列公式计算:

图5.4.7 抗震墙截面尺寸

当 x > h' f 时

当 x ≤ h' f 时

当 x ≤ ξ b h w0 时(大偏心受压)

当 x > ξ b h w0 时(小偏心受压)

式中: N 、 M ——分别为组合的轴向压力(N)和弯矩(N·mm)的设计值;
f y 、 f' y 、 f yw ——分别为墙端部受拉、受压钢筋和墙板竖向分布钢筋的强度设计值(N/mm 2 );
f c ——混凝土轴心抗压强度设计值(N/mm 2 );
ρ w ——墙板竖向分布钢筋配筋率;
ξ b ——相对界限受压区高度,按本规程表5.4.2的规定取值;
A s 、 A' s ——墙端部边缘构件内受拉、受压钢筋截面面积(mm 2 );
x——混凝土受压区高度(mm);
γ RE ——承戋力抗震调整系数,取0.85。
5.4.8 考虑地震作用组合的钢筋混凝土抗震墙偏心受压时斜截面抗震受剪承载力,应按下式计算:

式中: N w ——组合的墙体轴向压力设计值中的较小值(N);当 N w 大于0.2 f c b w h w 时,取0.2 f c b w h w ;
V w ——墙计算截面处的组合剪力设计值(N);
A ——抗震墙截面面积(mm 2 );
A w ——T形或I字形截面抗震墙腹板部分截面面积(mm 2 ),矩形截面时,取 A w 等于 A ;
λ ——计算截面处的剪跨比, λ = M w /( V w h w0 );当 λ 小于1.5时取1.5,当 λ 大于2.2时取2.2;此处, M w 为与剪力设计值 V w 对应的弯矩设计值;当计算截面与墙底之间的距离小于 h w0 /2时, λ 应按距墙底庇 h w0 /2处的弯矩设计值和剪力设计值计算;
A sh ——墙板水平分布钢筋和端柱同一截面内箍筋各肢的全部截面面积(mm 2 );
s——板水平分布钢筋间距(mm);
f yh ——墙板水平分布钢筋抗拉强度设计值(N/mm 2 );
f t ——混凝土轴心抗拉强度设计值(N/mm 2 );
γ RE ——承载力抗震调整系数,取0.85。
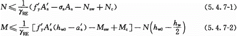
5.4.9 底层框架-抗震墙砌体房屋中,底层嵌砌于框架之间的约束普通砖抗震墙或小砌块抗震墙及两端框架柱,其抗震受剪承载力,应按下列规定计算:
1 一般情况下,应采用下式计算:

式中: V fw ——嵌砌于框架之间的约束普通砖或小砌块抗震墙及两端框架柱承担的剪力设计值(N);
f vE ——约束普通砖或小砌块抗震墙抗震抗剪强度设计值(N/mm 2 );
A w0 ——约束普通砖或小砌块抗震墙水平截面的计算面积(mm 2 ),无洞口时取实际截面面积的1.25倍;有洞口时取净截面面积,但不计入宽度小于洞口高度1/4的墙段截面面积;

、 
——分别为底层框架柱上下端的正截面受弯承载力设计值(N·mm),可按现行国家标准《混凝土结构设计规范》GB 50010非抗震设计的有关公式取等号计算;
H 0 ——底层框架柱的计算高度(mm),两侧均有约束普通砖或小砌块抗震墙时,取柱净高的2/3,其余情况,取柱净高;
γ REc ——底层框架柱承载力抗震调整系数,可采用0.8;
γ REw ——嵌砌约束普通砖或小砌块抗震墙承载力抗震调整系数,可采用0.9。
2 当计入墙体内水平配筋、中部构造柱或芯柱对抗震受剪承载力的提高作用时,可按照本规程第6.1.2条、6.1.3条规定的相关方法进行计算。
条文说明
5.4.1~5.4.9根据底部框架-抗震墙砌体房屋中底部框架梁、柱、钢筋混凝土墙和约束砌体抗震墙截面抗震验算的要求,给出了上述构件截面抗震验算公式。 由约束普通砖或小砌块砌体抗震墙与混凝土框架组成的组合抗侧力构件,在满足上下层侧向刚度比2.5的前提下,数量较少但需承担全楼层100%的地震剪力(6度约为全楼总重力的4%)。因此,虽然仅适用于6度设防,但为判断其安全性,仍应进行抗震验算。
5.4.10 底部配筋小砌块砌体抗震墙的截面抗震验算,应符合本规程附录B的有关规定。
5.5 抗震构造措施
5.5 抗震构造措施
Ⅰ 框架抗震构造措施
5.5.1 底部框架柱的截面尺寸,应符合下列要求:
1 矩形截面柱的各边边长均不应小于400mm;圆形截面柱的直径不应小于450mm;
2 柱剪跨比宜大于2;
3 矩形截面柱长边与短边的边长比不宜大于2。
条文说明
5.5.1底部框架-抗震墙砌体房屋的底部框架受力复杂,具有承担上部砌体房屋传递的竖向荷载、地震倾覆力矩和水平地震剪力等作用,矩形柱截面的边长比较《建筑抗震设计规范》GB50011-2010中对一般钢筋混凝土框架柱的要求更严格一些。
5.5.2 柱轴压比不宜超过表5.5.2的规定。
表5.5.2 柱轴压比限值

注:1 轴压比指柱组合的轴压力设计值与柱的全截面面积和混凝土轴心抗压强度设计值乘积之比值;柱组合轴压力设计值应包括倾覆力矩对柱产生的轴力;
2 表内限值适用于剪跨比大于2的柱;剪跨比不大于2的柱轴压比限值应降低0.05。
5.5.3 柱的纵向钢筋配置,应符合下列要求:
1 应对称配置;
2 截面边长大于400mm的柱,纵向钢筋间距不宜大于200mm;
3 柱纵向钢筋的最小总配筋率应按表5.5.3采用;
表5.5.3 柱截面纵向钢筋的最小总配筋率(百分率)

注:1 柱纵向钢筋每一侧的配筋率不应小于0.2%;
2 钢筋强度标准值小于400MPa时,表中数值应增加0.1;钢筋强度标准值为400MPa时,表中数值应增加0.05。
4 柱纵向钢筋总配筋率不应大于5%;
5 剪跨比不大于2的一级柱,每侧纵向钢筋配筋率不宜大于1.2%;
6 边柱、角柱及抗震墙端柱在地震作用组合下产生小偏心受拉时,柱内纵筋总截面面积应比其计算值增加25%;
7 柱纵向钢筋的绑扎接头应避开柱端的箍筋加密区。
条文说明
5.5.2、5.5.3柱轴压比的限值和柱纵向钢筋配置要求同《建筑抗震设计规范》GB50011-2010。规定底部框架-抗震墙砌体房屋的底部框架柱不同于一般框架-抗震墙结构中的框架柱的要求,大体上接近框支柱的有关要求。柱轴压比、纵向钢筋的规定,参照了框架结构柱的相关要求。
5.5.4 柱的箍筋直径,6度、7度时不应小于8mm,8度时不应小于10mm,且沿柱全高箍筋间距不应大于100mm。
5.5.5 柱的箍筋加密区范围,应按下列规定采用:
1 柱端,取截面高度(圆柱直径)、柱净高的1/6和500mm三者的最大值;
2 底层柱的下端不小于柱净高的1/3;
3 刚性地面上下各500mm;
4 剪跨比不大于2的柱、因设置填充墙等形成的柱净高与柱截面高度之比不大于4的柱,取全高;
5 一级、二级框架的角柱,取全高。
5.5.6 柱箍筋加密区的体积配箍率,应符合下列规定:
1 一级、二级、三级,分别不应小于0.8%、0.6%、0.4%;体积配箍率应符合下式要求:

式中: ρ v ——柱箍筋加密区的体积配箍率;计算复合螺旋箍的体积配箍率时,其非螺旋箍的箍筋体积应乘以折减系数0.80;
f c ——混凝土轴心抗压强度设计值(N/mm 2 ),强度等级低于C35时,应按C35计算;
f yv ——箍筋或拉筋抗拉强度设计值(N/mm 2 );
λ v ——最小配箍特征值,宜按表5.5.6采用。
表5.5.6 柱箍筋加密区的箍筋最小配箍特征值

注:普通箍指单个矩形箍和单个圆形箍;复合箍指由矩形、多边形、圆形箍或拉筋组成的箍筋;复合螺旋箍指由螺旋箍与矩形、多边形、圆形箍或拉筋组成的箍筋;连续复合矩形螺旋箍指用一根通长钢筋加工而成的箍筋。
2 剪跨比不大于2的柱宜采用复合螺旋箍或井字复合箍,其体积配箍率不应小于1.2%。
5.5.7 柱箍筋非加密区的箍筋体积配箍率不宜小于加密区的50%。
5.5.8 柱箍筋加密区箍筋肢距,一级不宜大于200mm,二级、三级不宜大于250mm。至少每隔一根纵向钢筋宜在两个方向有箍筋或拉筋约束;采用拉筋复合箍时,拉筋宜紧靠纵向钢筋并钩住箍筋。
条文说明
5.5.4~5.5.8按《建筑抗震设计规范》GB50011-2010的规定,给出了柱箍筋配置的要求。因柱的箍筋间距已取全高不大于100mm,故加密区和非加密区箍筋配置的区别主要体现在体积配箍率和箍筋肢距方面。 对于由封闭箍筋和拉筋组成的复合箍,拉筋两端为135°弯钩,约束效果最好的是拉筋同时钩住主筋和箍筋,其次是拉筋紧靠纵筋并钩住箍筋,当拉筋间距符合箍筋肢距的要求,纵筋与箍筋有可靠拉结时,拉筋也可紧靠箍筋并钩住纵筋。
5.5.9 框架节点核芯区箍筋的最大间距和最小直径宜按本规程第5.5.4 条的规定采用,一级、二级、三级框架节点核芯区的配箍特征值分别不宜小于0.12、0.10和0.08,且体积配箍率分别不宜小于0.6%、0.5%和0.4%。柱剪跨比不大于2的框架节点核芯区,体积配箍率不宜小于核芯区上、下柱端的较大体积配箍率。
条文说明
5.5.9框架梁柱节点核芯区的混凝土应具有良好的约束,以使框架梁柱的纵向钢筋有可靠的锚固条件。因核芯区内箍筋的作用与柱端有所不同,其构造要求与柱端有所区别。
5.5.10 梁的截面尺寸,应符合下列要求:
1 截面宽度不宜小于200mm;
2 截面高宽比不宜大于4;
3 净跨与截面高度之比不宜小于4。
5.5.11 梁的钢筋配置,应符合下列要求:
1 梁端计入纵向受压钢筋的混凝土受压区高度和梁截面有效高度之比,一级不应大于0.25,二级、三级不应大于0.35;
2 梁端截面的底面和顶面纵向钢筋配筋量的比值,除按计算确定外,一级不应小于0.5,二级、三级不应小于0.3;
3 梁端箍筋加密区的长度、箍筋最大间距和最小直径应按表5.5.11采用,当梁端纵向受拉钢筋的配筋率大于2%时,表中箍筋最小直径数值应增大2mm。
表5.5.11 梁端箍筋加密区的长度、箍筋的最大间距和最小直径

注:1 d 为纵向钢筋直径, h b 为梁截面高度;
2 箍筋直径大于12mm、数量不少于4肢且肢距不大于150mm时,一级、二级的最大间距允许适当放宽,但不得大于150mm。
5.5.12 梁的纵向钢筋配置,尚应符合下列规定:
1 梁端纵向受拉钢筋的配筋率不宜大于2.5%;
2 沿梁全长顶面和底面的配筋,一级、二级不应少于2 Φ 14,且分别不应少于梁两端顶面和底面纵向配筋中较大截面面积的1/4;三级不应少于2 Φ 12;
3 一级、二级、三级框架内贯通中柱的每根纵向钢筋直径,对矩形截面柱,不宜大于柱在该方向截面尺寸的1/20;对圆形截面柱,不宜大于纵向钢筋所在位置柱截面弦长的1/20。
5.5.13 梁端箍筋加密区的箍筋配置,尚应符合下列规定:
1 梁端加密区的箍筋肢距,一级不宜大于200mm和20倍箍筋直径的较大值,二级、三级不宜大于250mm和20倍箍筋直径的较大值;
2 梁端加密区的第一个箍筋应设置在距离节点边缘50mm以内。
条文说明
5.5.10~5.5.13地震作用下,底部框架梁要有足够的变形能力,梁端截面混凝土相对受压区高度直接影响到梁的塑性转动量,从而决定了梁的变形能力,故抗震设计时梁端截面混凝土相对受压区高度应比非抗震设计时有更严格的要求。当相对受压区高度为0.25~0.35范围时,梁的位移延性系数可达到3~4,具有较好的变形能力。需注意的是,计算梁相对受压区高度和纵向受拉钢筋时,应采用梁、柱交界面的组合弯矩设计值,并计入受压钢筋量。计算梁端相对受压区高度时,宜按梁端截面实际受拉和受压钢筋面积进行计算。 梁端底面的钢筋能够增加负弯矩时梁端的塑性转动能力,还能防止地震作用下梁底出现正弯矩时梁端过早屈服或破坏严重,梁端底面和顶面纵向钢筋的合理比值对增强梁的变形能力是很重要的。
5.5.14 开竖缝钢筋混凝土抗震墙的边框梁在竖缝两侧的箍筋加密区范围不宜小于1.5倍梁高。
条文说明
5.5.14 除按《建筑抗震设计规范》GB 50011-2010对梁加密区箍筋的配置要求外,关于梁的箍筋加密区范围,本规程还补充了钢筋混凝土墙开竖缝处边框梁的1.5倍梁高范围,这主要是由于开竖缝处梁剪力的增大。在带边框开竖缝钢筋混凝土低矮墙模型试验中发现,由于开竖缝附近没有对梁的箍筋加密而出现了该处混凝土的剪切破坏。
5.5.15 底部钢筋混凝土托墙梁应符合下列要求:
1 梁截面宽度不应小于300mm,截面高度不应小于跨度的1/10;
2 箍筋直径不应小于8mm,间距不应大于200mm;梁端在1.5倍梁高且不小于1/5梁净跨范围内,以及上部墙体的洞口处和洞口两侧各500mm且不小于梁高的范围内,箍筋间距不应大于100mm;
3 沿梁截面高度应设置通长腰筋,数量不应少于2 Φ 14,间距不应大于200mm;
4 梁的纵向受力钢筋和腰筋应按受拉钢筋的要求锚固在柱内,且支座上部的纵向钢筋在柱内的锚固长度应符合钢筋混凝土框支梁的有关要求。
5.5.16 底部钢筋混凝土托墙梁尚应符合下列要求:
1 当托墙梁上部墙体在梁端附近有洞口时,梁截面高度不宜小于跨度的1/8,且不宜大于跨度的1/6;
2 底部的纵向钢筋应通长设置,不得在跨中弯起或截断;每跨顶部通长设置的纵向钢筋面积,不应小于底部纵向钢筋面积的1/3,且不宜小于2 Φ 18。
条文说明
5.5.15、5.5.16在底部框架-抗震墙砌体房屋中,底部框架梁分为两类,第一类是底部两层框架-抗震墙砌体房屋的第一层框架梁,这类梁与一般多层框架结构中的框架梁要求相同;第二类为底层框架-抗震墙砌体房屋的底层框架托墙梁和底部两层框架-抗震墙砌体房屋的第二层框架托墙梁,这类梁是极其重要的受力构件,受力情况复杂,对其构造措施作出了专门的加强规定。 托墙梁由于承受上部多层砌体墙传递的竖向荷载,其梁截面的正应力分布与一般框架梁有差异,其正应力分布的中和轴上移或下移较为明显,其拉应力大于压应力3倍左右,其中和轴已移至离顶部1/4~1/3处,针对这类梁的应力分布特点,提出了腰筋的配置要求。 对比《建筑抗震设计规范》GB50011-2010对托墙梁的构造要求,本规程对托墙梁在上部墙体靠梁端开洞时的跨高比提出了更严格的要求(为了使过渡楼层墙体的水平受剪承载力不致降低过多),同时对梁中通长纵向钢筋的配置给出了加强要求。
5.5.17 底部框架梁、柱的箍筋宜采用焊接封闭箍筋、连续螺旋箍筋或连续复合螺旋箍筋。当采用非焊接封闭箍筋时,其末端应做成135°弯钩,弯钩端头平直段长度不应小于箍筋直径的10倍;在纵向钢筋搭接长度范围内的箍筋间距不应大于搭接钢筋较小直径的5倍,且不宜大于100mm。
Ⅱ 抗震墙抗震构造措施
5.5.18 底部钢筋混凝土抗震墙的截面尺寸,应符合下列规定:
1 抗震墙墙板周边应设置梁(或暗梁)和端柱组成的边框。边框梁的截面宽度不宜小于墙板厚度的1.5倍,截面高度不宜小于墙板厚度的2.5倍;端柱的截面高度不宜小于墙板厚度的2倍,且其截面宜与同层框架柱相同。
2 抗震墙墙板的厚度不宜小于160mm,且不应小于墙板净高的1/20。
5.5.19 钢筋混凝土抗震墙的水平和竖向分布钢筋的配筋率,均不应小于0.30%,钢筋直径不宜小于10mm,间距不宜大于250mm,且应采用双排布置;双排分布钢筋间拉筋的间距不应大于600mm,直径不应小于6mm;墙体水平和竖向分布钢筋的直径,均不宜大于墙厚的1/10。
条文说明
5.5.18、5.5.19从提高底部钢筋混凝土墙的变形能力出发,给出了底部钢筋混凝土墙的抗震措施。由于底部钢筋混凝土墙是底部的主要抗侧力构件,对其构造上提出了更为严格的要求,以加强抗震能力。 端柱的截面宜与本层的框架柱相同,并应符合框架柱的有关要求。
5.5.20 钢筋混凝土抗震墙两端和洞口两侧应设置构造边缘构件,边缘构件包括暗柱、端柱和翼墙。构造边缘构件的范围可按图5.5.20采用,其配筋除应满足受弯承载力要求外,并宜符合表5.5.20的要求。
条文说明
5.5.20底部钢筋混凝土抗震墙为带边框的抗震墙且总高度不超过两层,其边缘构件可按一般部位的规定设置,只需要满足构造边缘构件的要求。
5.5.21 钢筋混凝土抗震墙墙肢长度不大于墙厚的3倍时,应按柱的有关要求进行设计;矩形墙肢的厚度不大于300mm时,尚宜全高加密箍筋。
表5.5.20 钢筋混凝土抗震墙构造边缘构件的配筋要求

注:1 A c 为边缘构件的截面面积;
2 拉筋水平间距不应大于纵筋间距的2倍;转角处宜采用箍筋;
3 当端柱为框架柱或承受集中荷载时,其纵向钢筋、箍筋直径和间距应满足柱的相关要求。

图5.5.20 钢筋混凝土抗震墙的构造边缘构件范围
5.5.22 开竖缝的钢筋混凝土抗震墙,应符合下列规定:
1 墙体水平钢筋在竖缝处断开,竖缝两侧墙板的高宽比应大于1.5;
2 竖缝两侧应设暗柱,暗柱的截面范围为1.5倍墙体厚度;暗柱的纵筋不宜少于4 Φ 16,箍筋可采用 Φ 8,箍筋间距不宜大于200mm;
3 竖缝内可放置两块预制隔板,隔板宽度应与墙体厚度相同。
条文说明
5.5.22根据对开竖缝墙的试验和分析研究,专门给出了开竖缝钢筋混凝土抗震墙的构造措施,提出开竖缝墙应在竖缝处断开和应设置暗柱的要求。竖缝宽度一般可取70mm~100mm,预制隔板可采用钢筋混凝土隔板或其他材料的隔板,每块板厚可取35mm~50mm。
5.5.23 跨高比较小的高连梁,可设水平缝形成双连梁、多连梁或采取其他加强受剪承载力的构造。
条文说明
5.5.23根据实际震害的经验总结,对高连梁,推荐采用设置水平缝的方法,使一根连梁成为大跨高比的双连梁或多连梁(使其跨高比大于2.5为宜),其破坏形态从剪切破坏变为弯曲破坏。
5.5.24 楼面梁与抗震墙平面外连接时,不宜支承在洞口连梁上;沿梁轴线方向宜设置与梁连接的抗震墙,梁的纵筋应锚固在墙内;也可在支承梁的位置设置扶壁柱或暗柱,并应按计算确定其截面尺寸和配筋。
条文说明
5.5.24钢筋混凝土抗震墙体支承平面外的抗侧力楼面大梁时,其构造措施应加强,以保证墙体出平面的性能,同时,保证梁的纵筋在墙内的有效锚固,防止在往复荷载作用下梁纵筋产生滑移和与梁连接的墙面混凝土拉脱。
5.5.25 6度设防且总层数不超过四层的底层框架-抗震墙砌体房屋,底层采用约束砖砌体抗震墙时,其构造应符合下列要求:
1 砖墙应嵌砌于框架平面内,厚度不应小于240mm,砌筑砂浆强度等级不应低于M10,应先砌墙后浇框架梁柱;
2 沿框架柱每隔300mm配置2 Φ 8水平钢筋和 Φ 5分布短钢筋平面内点焊组成的拉结钢筋网片,并沿砖墙水平通长设置;在墙体半高处尚应设置与框架柱相连的钢筋混凝土水平系梁,系梁截面不应小于240mm×180mm,纵向钢筋不应少于4 Φ 12,箍筋直径不应小于 Φ 6、间距不应大于200mm;
3 墙长大于4m时和门、窗洞口两侧,应在墙内增设钢筋混凝土构造柱,构造柱应符合本规程第6.2.2条的有关规定。
5.5.26 6度设防且总层数不超过四层的底层框架-抗震墙砌体房屋,底层采用约束小砌块砌体抗震墙时,其构造应符合下列要求:
1 小砌块墙应嵌砌于框架平面内,厚度不应小于190mm,砌筑砂浆强度等级不应低于Mb10,应先砌墙后浇框架梁柱;
2 沿框架柱每隔400mm配置2 Φ 8水平钢筋和 Φ 5分布短钢筋平面内点焊组成的拉结钢筋网片,并沿砌块墙水平通长设置;在墙体半高处尚应设置与框架柱相连的钢筋混凝土水平系梁,系梁截面不应小于190mm×190mm,纵向钢筋不应少于4 Φ 12,箍筋直径不应小于 Φ 6、间距不应大于200mm;
3 墙体在门、窗洞口两侧应设置芯柱,墙长大于4m时,应在墙内增设芯柱,芯柱应符合本规程第6.2.6条的有关规定;其余位置,宜采用钢筋混凝土构造柱替代芯柱,钢筋混凝土构造柱应符合本规程第6.2.7条的有关规定。
条文说明
5.5.25、5.5.26从提高底部约束砌体抗震墙的抗震性能出发,对底部约束砌体抗震墙的墙厚、材料强度等级、约束及拉结构造等提出了要求,同时确保在使用中不致被随意拆除或更换。
5.5.27 底部配筋小砌块砌体抗震墙的抗震构造措施,应符合本规程附录B的有关规定。
Ⅲ 其他抗震构造措施
5.5.28 底层框架-抗震墙砌体房屋的底层和底部两层框架-抗震墙砌体房屋第二层的顶板应采用现浇钢筋混凝土板,并应满足下列要求:
1 楼板厚度不应小于120mm;
2 楼板应少开洞、开小洞,当洞口边长或直径大于800mm,时,应采取加强措施,洞口周边应设置边梁,边梁宽度不应小于、2倍板厚。 ( 自2022年1月1日起废止该条,详见新规 《建筑与市政工程抗震通用规范》GB 55002-2021)
条文说明
5.5.28底层框架-抗震墙砌体房屋的底层和底部两层框架-抗震墙砌体房屋第二层的顶板应采用现浇板。考虑这层楼板传递水平地震作用和地震倾覆力矩,对现浇钢筋混凝土楼盖的厚度、配筋和开洞情况提出了要求,本规程同时对洞口边梁的宽度作出了规定。
5.5.29 底部框架梁、柱和钢筋混凝土墙内纵向钢筋的锚固长度和搭接长度应符合下列规定:
1 纵向受拉钢筋的抗震锚固长度 l aE 应按下列公式计算:
一级、二级: l aE =1.15 l a (5.5.29-1)
三级: l aE =1.05 l a (5.5.29-2)
式中: l a ——非抗震设计时纵向受拉钢筋的锚固长度(mm)。
2 当采用搭接连接时,纵向受拉钢筋的抗震搭接长度 l l E 应按下式计算:
l l E = ζ l a E (5.5.29-3)
式中: ζ ——纵向受拉钢筋搭接长度修正系数;当位于同一连接区段的内纵向钢筋搭接接头面积百分率(%)不大于25%和等于50%时,;取值分别为1.2和1.4,当纵向搭接钢筋接头面积百分率为中间值时,修正系数可按内插取值。
5.5.30 底部框架-抗震墙部分采用板式楼梯时,楼梯踏步板宜采用双层配筋。
条文说明
5.5.30实际震害表明,单层配筋的板式楼梯在强震中破坏严重,踏步板中部断裂、钢筋拉断,板式楼梯宜采用双层配筋予以加强。
6 上部砌体结构抗震设计
6.1 截面抗震验算
6 上部砌体结构抗震设计
6.1 截面抗震验算
6.1.1 各类砌体沿阶梯形截面破坏的抗震抗剪强度设计值,应按下式确定:
f vE = ζ N f v (6.1.1)
式中: f vE ——砌体沿阶梯形截面破坏的抗震抗剪强度设计值(N/mm 2 );
f v ——非抗震设计的砌体抗剪强度设计值(N/mm 2 ),应按现行国家标准《砌体结构设计规范》GB 50003采用;
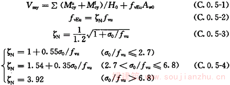
ζ N ——砌体抗震抗剪强度的正应力影响系数,应按表6.1.1采用。
表6.1.1 砌体抗震抗剪强度的正应力影响系数

注: σ 0 为对应于重力荷载代表值的砌体截面平均压应力。
条文说明
6.1.1按照《建筑抗震设计规范》GB50011-2010的方法,砌体抗震抗剪强度正应力影响系数的确定,对砖砌体采用主拉公式,对小砌块砌体采用剪摩公式。根据有关试验资料,当σ0/f0≥16时,小砌块砌体的正应力影响系数如仍按剪摩公式线性增加,则其值偏高,偏于不安全,因此当σ0/f0>16时,小砌块砌体的正应力影响系数都按σ0/f0=16时取值为3.92。
6.1.2 普通砖、多孔砖墙体的截面抗震受剪承载力,应按下列规定验算:
1 一般情况下,应按下列公式验算:

式中: V ——墙段剪力设计值(N);
A ——墙体水平截面面积(mm 2 ),多孔砖取毛截面面积;
β ——考虑底部托墙梁对过渡楼层承重墙体截面抗震受剪承载力影响的降低系数,对其他楼层墙体 β 值取1.0;按式(6.1.2-2)计算所得的过渡楼层墙体的B值不应小于0.8;
h b ——托墙梁截面高度(mm);
l——托墙梁的计算跨度(mm),当两跨跨度值不相等时,取较大跨度值;墙体中部设置构造柱时,式(6.1.2-2)中的l值取实际跨度值的1/2;
γ RE ——承载力抗震调整系数;自承重墙取0.75;承重墙当两端均有构造柱时取0.9,其他情况取1.0。
2 采用水平配筋的普通砖、多孔砖墙体的截面抗震受剪承载力,应按下式验算:

式中: f yh ——墙体水平钢筋抗拉强度设计值(N/mm 2 );
A sh ——层间墙体竖向截面的总水平钢筋截面面积(mm 2 ),配筋率不应小于0.07%且不应大于0.17%;
ζ s ——钢筋参与工作系数,可按表6.1.2采用。
表6.1.2 钢筋参与工作系数

3 当按式(6.1.2-1)~式(6.1.2-3)验算不满足要求时,可计入基本均匀设置于墙段中部、截面不小于240mm×240mm(墙厚190mm时为240mm×190mm)且间距不大于4m的构造柱对受剪承载力的提高作用,按下列简化方法验算:

式中: A c ——中部构造柱的截面总面积(mm 2 );对横墙和内纵墙, A c 大于0.15A时,取0.15A;对外纵墙, A c 大于0.25A时,取0.25A;
f t ——中部构造柱的混凝土轴心抗拉强度设计值(N/mm 2 );
A sc ——中部构造柱的纵向钢筋截面总面积(mm 2 );配筋率不应小于0.6%,大于1.4%时取1.4%;
f yh 、 f yc ——分别为墙体水平钢筋、中部构造柱纵向钢筋抗拉强度设计值(N/mm 2 );
ζ c ——中部构造柱参与工作系数;居中设一根时取0.5,多于一根时取0.4;
η c ——墙体约束修正系数;一般情况取1.0,构造柱间距不大于3.0m时取1.1;
A sh ——层间墙体竖向截面的总水平钢筋截面面积(mm 2 ),无水平钢筋时取0。
6.1.3 小砌块墙体的截面抗震受剪承载力,应按下式验算:

式中: f t1 、 f t2 ——分别为芯柱、构造柱混凝土轴心抗拉强度设计值( N/mm 2 );
A c1 、 A c2 ——分别为芯柱、构造柱截面总面积(mm 2 );
A s1 、 A s2 ——分别为芯柱、构造柱钢筋截面总面积(mm 2 );
f y1 、 f y2 ——分别为芯柱、构造柱钢筋抗拉强度设计值(N/mm 2 );
ζ c ——芯柱、构造柱参与工作系数,可按表6.1.3采用;
γ RE ——承载力抗震调整系数;自承重墙取0.75;承重墙当两端均有构造柱、芯柱时取0.9,其他情况取1.0。
表6.1.3 芯柱、构造柱参与工作系数

注:填孔率指芯柱根数(含构造柱和填实孔洞数量)与孔洞总数之比。
条文说明
6.1.2、6.1.3规定了上部砌体墙抗震受剪承载力验算方法。根据西安建筑科技大学、大连理工大学等单位的试验研究和有限元分析,发现过渡楼层墙体的水平受剪承载力比相同条件的落地墙体降低约20%~30%。降低幅度主要与托梁高跨比hb/l、墙体高跨比hw/l、墙体截面平均压应力σ0与砌体抗剪强度fv之比等因素有关。为简化计算,墙体水平抗震受剪承载力降低系数β中主要考虑了托梁高跨比hb/l和墙体截面平均压应力σ0的影响。 另外,为了使过渡楼层墙体的水平抗震受剪承载力不致降低过多,本规程第5.5.15条、5.5.16条对托梁的高跨比hb/l作了限制。当σ0在正常范围内变化,hb/l在1/10~1/6范围内取值时,β一般大于或等于0.8。当按式(6.1.2-2)计算所得的过渡楼层墙体的β值小于0.8时,应增大hb/l值重新计算,使β值不小于0.8。 对水平配筋普通砖、多孔砖墙体以及小砌块墙体的截面抗震受剪承载力验算时,对过渡楼层墙体,同样考虑承载力降低系数β。 计入中部构造柱对墙体受剪承载力提高作用时,构造柱的承载力分别考虑了混凝土和钢筋的抗剪作用,但应注意不能随意加大混凝土的截面和钢筋的用量。公式(6.1.2-4)采用简化计算方法,计算的结果与试验结果相比偏于保守,供必要时利用。对于横墙较少房屋及外纵墙的墙段,计入其中部构造柱参与工作,抗震验算问题有所改善。 小砌块的计算公式中,同时设置芯柱和构造柱时,因芯柱和构造柱的材料有所区别,将芯柱和构造柱的参与项分别列出,以明确。
6.2 抗震构造措施
6.2 抗震构造措施
Ⅰ 上部砖砌体房屋抗震构造措施
6.2.1 上部砖砌体房屋,应按下列要求设置现浇钢筋混凝土构造柱(以下简称构造柱):
1 构造柱设置部位应符合表6.2.1的要求;
表6.2.1 上部砖砌体房屋构造柱设置要求

注:较大洞口,内墙指不小于2.1m的洞口;外墙在内外墙交接处已设置构造柱时应允许适当放宽,但洞侧墙体应加强。
2 上部砖砌体房屋为横墙较少情况时,应根据房屋增加一层后的总层数,按表6.2.1的要求设置构造柱。 ( 自2022年1月1日起废止该条,详见新规 《建筑与市政工程抗震通用规范》GB 55002-2021)
6.2.2 上部砖砌体房屋的构造柱,应符合下列要求:
1 过渡楼层的构造柱设置,除应符合本规程表6.2.1的要求外,尚应在底部框架柱、混凝土墙或配筋小砌块墙、约束砌体墙构造柱所对应处,以及所有横墙(轴线)与内外纵墙交接处设置构造柱,墙体内的构造柱间距不宜大于层高。过渡楼层墙体中凡宽度不小于1.2m的门洞和2.1m的窗洞,洞口两侧宜增设截面不小于240mm×120mm(墙厚190mm时为190mm×120mm)的边框柱。
2 构造柱截面不宜小于240mm×240mm(墙厚190mm时为190mm×240mm)。
3 构造柱纵向钢筋不宜少于4 Φ 14,箍筋间距不宜大于200mm且在柱上下端应适当加密;外墙转角的构造柱应适当加大截面及配筋。过渡楼层构造柱的纵向钢筋,6度、7度时不宜少于4 Φ 16,8度时不宜少于4 Φ 18;纵向钢筋应锚入下部的框架柱、混凝土墙或配筋小砌块墙、托墙梁内,当纵向钢筋锚固在托墙梁内时,托墙梁的相应位置应采取加强措施。
4 构造柱与墙体连接处应砌成马牙槎,且应沿墙高每隔500mm设置2 Φ 6水平钢筋和 Φ 5分布短筋平面内点焊组成的拉结网片或 Φ 5点焊钢筋网片,每边伸入墙内长度不宜小于1m。 6度、7度时下部1/3楼层(上部砖砌体房屋部分),8度时下部1/2楼层(上部砖砌体房屋部分),上述拉结钢筋网片应沿墙体水平通长设置;过渡楼层中的上述拉结钢筋网片应沿墙高每隔360mm设置。
5 构造柱应与每层圈梁连接,或与现浇楼板可靠拉结。构造柱与圈梁连接处,构造柱的纵筋应在圈梁纵筋内侧穿过,保证构造柱纵筋上下贯通。
6 当整体房屋总高度和总层数接近本规程表3.0.2规定的限值时,纵、横墙内构造柱间距尚应符合下列要求:
横墙内的构造柱间距不宜大于层高的两倍;下部1/3楼层(上部砖砌体房屋部分)的构造柱间距适当减少;当外纵墙开间大于3.9m时,应另设加强措施;内纵墙的构造柱间距不宜大于4.2m。
条文说明
6.2.1、6.2.2构造柱对于墙体的约束作用,主要是依靠与各层墙体的圈梁或现浇楼板的整体性连接来实现,其截面尺寸并不要求很大。为保证其施工质量,构造柱需用马牙槎与墙体连接,同时应先砌墙后浇筑构造柱。底部框架-抗震墙砌体房屋比多层砌体房屋抗震性能稍弱,因此构造柱的设置要求更严格。 构造柱有利于提高房屋在地震时的抗倒塌能力,对于低层数、小规模且设防烈度低的底部框架-抗震墙砌体房屋(如房屋总层数为6度二层、三层和7度二层),本规程规定仍应按要求设置构造柱。对楼梯间要求的加强,是为了保证在地震中具有应急疏散安全通道的作用。 表6.2.1中,间隔12m和楼梯间相对的内外墙交接处二者取一。 对于内外墙交接处的外墙小墙段,其两端存在较大洞口时,应在内外墙交接处按规定设置构造柱,考虑到施工时难以在一个不大的墙段内设置三根构造柱,墙段两端可不再设置构造柱,但小墙段的墙体需要加强,如拉结钢筋网片通长设置,间距加密。 上部砖砌体房屋部分的下部楼层加强构造柱与墙体之间的拉结措施,提高抗倒塌能力。 底部框架-抗震墙砖房的过渡楼层(底层框架-抗震墙砖房的第二层和底部两层框架-抗震墙砖房的第三层)与底部框架-抗震墙相连,受力比较复杂。要求这两类房屋的上部与底部的抗震能力大体相等或变化比较缓慢,既包括层间极限承载能力、又包括楼层的变形能力和耗能能力。对上部砖房部分的墙体设置钢筋混凝土构造柱和圈梁,除了能够提高墙体的抗震能力外,还可以大大提高墙体的变形能力和耗能能力。因此,对过渡楼层的构造柱设置和构造柱截面、配筋等提出了更为严格的要求。
6.2.3 上部砖砌体房屋的现浇钢筋混凝土圈梁设置,应符合下列要求:
1 装配式钢筋混凝土楼盖、屋盖,应按表6.2.3的要求设置圈梁;纵墙承重时,抗震横墙上的圈梁间距应比表内要求适当加密;
2 现浇或装配整体式钢筋混凝土楼盖、屋盖与墙体有可靠连接的房屋,应允许不另设圈梁,但楼板沿抗震墙体周边均应加强配筋并应与相应的构造柱钢筋可靠连接。
表6.2.3 上部砖砌体房屋现浇钢筋混凝土圈梁设置要求 ( 自2022年1月1日起废止该条,详见新规 《建筑与市政工程抗震通用规范》GB 55002-2021)

6.2.4 上部砖砌体房屋现浇钢筋混凝土圈梁的构造,应符合下列要求:
1 过渡楼层圈梁设置部位,除应符合本规程表6.2.3的要求外,尚应沿纵、横向各轴线均设置。
2 圈梁应闭合,遇有洞口时圈梁应上下搭接。圈梁宜与预制板设在同一标高处或紧靠板底。
3 楼盖、屋盖为预制板时,圈梁在本规程第6.2.3条要求的间距内无横墙时,应利用梁或板缝中配筋代替圈梁;纵墙中无横墙处构造柱对应的圈梁,应在楼板处预留宽度不小于构造柱沿纵墙方向截面尺寸的板缝,做成现浇混凝土带,并与构造柱混凝土同时浇筑,现浇混凝土带的纵向钢筋不应少于4 Φ 12,箍筋间距不宜大于200mm。
4 圈梁的截面高度不应小于120mm,配筋应符合表6.2.4的要求;过渡楼层圈梁的截面高度宜采用240mm、屋顶圈梁的截面高度不应小于180mm,配筋均不应少于4 Φ 12。
表6.2.4 上部砖砌体房屋圈梁配筋要求

条文说明
6.2.3、6.2.4采用现浇板时,可不另设圈梁,但必须保证楼板与构造柱的连接,楼板沿抗震墙体周边均应加强配筋,应有足够数量的楼板内钢筋伸入构造柱内并满足锚固要求。 底部框架-抗震墙砖房过渡楼层圈梁截面和配筋比多层砖房严格,其原因是为了增强过渡楼层的抗震能力,使过渡楼层墙体开裂后也能起到支承上部楼层的竖向荷载的作用,不至于使上部楼层的竖向荷载直接作用到底层框架-抗震墙砖房的底层和底部两层框架-抗震墙砖房第二层的框架梁上。过渡楼层除按本规程表6.2.3要求设置圈梁外,要求沿纵横向所有轴线均设置圈梁。 对于无横墙处纵墙中构造柱对应部位,给出了具体的圈梁做法要求。 底部框架-抗震墙砖房侧移比多层砖房大一些,为了使其具有较好的整体抗震性能,对其顶层圈梁的截面高度提出了较严格的要求。
Ⅱ上部小砌块房屋抗震构造措施
6.2.5 上部小砌块房屋,应按表6.2.5的要求设置钢筋混凝土芯柱。对上部小砌块房屋为横墙较少的情况,应根据房屋增加一层后的总层数,按表6.2.5的要求设置芯柱。
表6.2.5 上部小砌块房屋芯柱设置要求

续表6.2.5

注:外墙转角、内外墙交接处、楼电梯间四角等部位,应允许采用钢筋混凝土构造柱替代部分芯柱。 ( 自2022年1月1日起废止该条,详见新规 《建筑与市政工程抗震通用规范》GB 55002-2021)
6.2.6 上部小砌块房屋的芯柱,应符合下列要求:
1 过渡楼层的芯柱设置,除应符合本规程表6.2.5的要求外,尚应在底部框架柱、混凝土墙或配筋小砌块墙、约束砌体墙构造柱所对应处,以及所有横墙(轴线)与内外纵墙交接处设置芯柱;墙体内的芯柱最大间距不宜大于1m。过渡楼层墙体中凡宽度不小于1.2m的门洞和2.1m的窗洞,洞口两侧宜增设单孔芯柱。
2 芯柱截面不宜小于120mm×120mm。
3 芯柱混凝土强度等级,不应低于Cb20。
4 芯柱的竖向插筋应贯通墙身且与每层圈梁连接,或与现浇楼板可靠拉结;芯柱每孔插筋不应小于1 Φ 14。过渡楼层芯柱的插筋,6度、7度时不宜少于每孔1 Φ 16,8度时不宜少于每孔1 Φ 18;插筋应锚入下部的框架柱、混凝土墙或配筋小砌块墙、托墙梁内,当插筋锚固在托墙梁内时,托墙梁的相应位置应采取加强措施。
5 为提高墙体抗震受剪承载力而设置的芯柱,宜在墙体内均匀布置,最大净距不宜大于2.0m。
6.2.7 上部小砌块房屋中替代芯柱的钢筋混凝土构造柱,应符合下列构造要求:
1 构造柱截面不宜小于190mm×190mm;
2 构造柱的钢筋配置应符合本规程第6.2.2条第3款的规定;
3 构造柱与砌块墙连接处应砌成马牙槎,与构造柱相邻的砌块孔洞,6度时宜填实,7度时应填实,8度时应填实并插筋;
4 构造柱应与每层圈梁连结,或与现浇楼板可靠拉结。构造柱与圈梁连接处,构造柱的纵筋应在圈梁纵筋内侧穿过,保证构造柱纵筋上下贯通。
6.2.8 上部小砌块房屋的现浇钢筋混凝土圈梁的设置位置,应按本规程第6.2.3条上部砖砌体房屋圈梁的规定执行;圈梁宽度不应小于190mm,配筋不应少于4 Φ 12,箍筋间距不应大于200mm。 ( 自2022年1月1日起废止该条,详见新规 《建筑与市政工程抗震通用规范》GB 55002-2021)
6.2.9 上部小砌块房屋现浇混凝土圈梁的构造,尚应符合本规程第6.2.4条的相关规定。
条文说明
6.2.5~6.2.9对上部为混凝土小砌块房屋的芯柱、构造柱、圈梁的设置和配筋给出了规定,为提高过渡楼层的抗震能力,对过渡楼层的相应构造措施提出了更为严格的要求。 芯柱的设置要求比砖砌体房屋构造柱设置要严格。一般情况下,可在外墙转角、墙体交接处等部位,用构造柱替代芯柱,可较大程度地提高对砌块砌体的约束作用,也为施工带来方便。 砌块房屋的圈梁的要求要稍高于砖砌体房屋,主要是因为砌块砌体的竖缝间距大,砂浆不易饱满,且墙体受剪承载力低于砖砌体。
6.2.10 上部小砌块房屋墙体交接处或芯柱(构造柱)与墙体连接处应设置拉结钢筋网片,网片可采用 Φ 5的钢筋点焊而成,沿墙高每隔400mm、并沿墙体水平通长设置。
条文说明
6.2.10对于底部框架-抗震墙上部小砌块房屋的拉结措施,比一般多层小砌块房屋的要求要严格,拉结钢筋网片沿墙高度的间距加密为400mm。
6.2.11 房屋总层数在6度时超过五层、7度时超过四层、8度时超过三层时,上部小砌块房屋在顶层的窗台标高处,沿纵横墙应设置通长的水平现浇钢筋混凝土带;其截面高度不应小于60mm,纵筋不应少于2 Φ 10,并应有分布拉结钢筋;其混凝土强度等级不应低于C20。
水平现浇钢筋混凝土带亦可采用槽形砌块替代模板,其截面尺寸不宜小于120mm×120mm,其纵筋和拉结钢筋不变。
条文说明
6.2.11上部小砌块房屋的底层(过渡楼层)和顶层沿楼层半高处设置通长现浇钢筋混凝土带,是作为砌块房屋总层数和高度达到与普通砖砌体房屋相同的加强措施之一。过渡楼层的墙体加强措施另在本规程第6.2.12条中体现,本条主要强调了顶层的加强措施。另外,水平现浇钢筋混凝土带可采用槽形砌块作为模板,以便于施工。
Ⅲ 其他抗震构造措施
6.2.12 过渡楼层墙体的构造,尚应符合下列要求:
1 上部砌体墙的中心线宜同底部的框架梁、抗震墙的中心线相重合;构造柱或芯柱宜与框架柱上下贯通;
2 过渡楼层的砌体墙在窗台标高处,应设置沿纵横墙通长的水平现浇钢筋混凝土带;其截面高度不应小于60mm,宽度不应小于墙厚;纵向钢筋不应少于2 Φ 10,横向分布筋的直径不应小于6mm、间距不应大于200mm;混凝土强度等级不应低于C20;
3 当过渡楼层的砌体抗震墙与底部框架梁、抗震墙不对齐时,应在底部框架内对应位置设置托墙次梁,并且过渡楼层砖墙或小砌块墙应采取更高的加强措施。
条文说明
6.2.12本条对过渡楼层的其他加强措施作出了规定。 底部框架-抗震墙砖房的模型试验及实际震害中发现,过渡楼层外纵墙的窗台标高处出现了多条规则的水平裂缝,这表明底部框架-抗震墙砌体房屋过渡楼层纵向的抗弯能力应适当增强,除了控制房屋的高宽比减少房屋弯曲变形的影响外,还应在过渡楼层外纵墙(阳台开间除外)的窗台板下边设置钢筋混凝土带,作为过渡楼层的加强措施。横墙和内纵墙上也相应设置钢筋混凝土带,与外纵墙上混凝土带连成整体。 对于底部次粱转换的情况,过渡层墙体的拉结要求(包括墙体拉结钢筋网片的要求及水平现浇钢筋混凝土带的要求)应采取比本规程第6.2.2条第4款、第6.2.10条和本条第2款更高的加强措施。
6.2.13 上部砌体房屋的楼盖、屋盖应符合下列要求:
1 现浇钢筋混凝土楼板或屋面板伸进纵、横墙内的长度,均不应小于120mm;
2 装配式钢筋混凝土楼板或屋面板,当圈梁未设在板的同一标高时,板端伸进外墙的长度不应小于120mm,伸进内墙的长度不应小于100mm或采用硬架支模连接,在梁上不应小于80mm或采用硬架支模连接;
3 当板的跨度大于4.8m并与外墙平行时,靠外墙的预制板侧边应与墙或圈梁拉结;
4 房屋端部大房间的楼盖,6度时房屋的屋盖和7度、8度时房屋的楼盖、屋盖,当圈梁设在板底时,钢筋混凝土预制板应相互拉结,并应与梁、墙或圈梁拉结。 ( 自2022年1月1日起废止该条,详见新规 《建筑与市政工程抗震通用规范》GB 55002-2021)
6.2.14 楼盖、屋盖的钢筋混凝土梁或屋架应与墙、柱(包括构造柱)或圈梁可靠连接。不得采用独立砖柱。跨度不小于6m大梁的支承构件应采用组合砌体等加强措施,并满足承载力要求。
6.2.15 上部砌体房屋的楼梯间应符合下列要求:
1 顶层楼梯间墙体应设2 Φ 6通长钢筋和 Φ 5分布短钢筋平面内点焊组成的拉结网片或通长 Φ 5钢筋点焊拉结网片,拉结网片沿墙高间距砖砌体墙为500mm、小砌块砌体墙为400mm;7度、8 度时其他各层楼梯间墙体应在休息平台或楼层半高处设置60mm厚、纵向钢筋不应少于2 Φ 10的钢筋混凝土带或配筋砖带(对砖砌体),配筋砖带不应少于3皮,每皮的配筋不应少于2 Φ 6,砂浆强度等级不应低于M7.5且不低于同层墙体的砂浆强度等级;
2 楼梯间及门厅内墙阳角处的大梁支承长度不应小于500mm,并应与圈梁连接;
3 装配式楼梯段应与平台板的梁可靠连接,8度时不应采用装配式楼梯段;不应采用墙中悬挑式踏步或踏步竖肋插入墙体的楼梯,不应采用无筋砌体栏板;
4 突出屋面的楼、电梯间,构造柱或芯柱应伸到顶部,并与顶部圈梁连接;所有墙体应设2 Φ 6通长钢筋和 Φ 5分布短钢筋平面内点焊组成的拉结网片或通长 Φ 5钢筋点焊拉结网片,拉结网片沿墙高间距砖砌体墙为500mm、小砌块砌体墙为400mm。 ( 自2022年1月1日起废止该条,详见新规 《建筑与市政工程抗震通用规范》GB 55002-2021)
6.2.16 上部砌体房屋中,6度、7度时长度大于7.2m的大房间,以及8度时外墙转角及内外墙交接处,应设2 Φ 6通长钢筋和 Φ 5分布短钢筋平面内点焊组成的拉结网片或通长 Φ 5钢筋点焊拉结网片,拉结网片沿墙高间距砖砌体墙为500mm、小砌块砌体墙为400mm。
6.2.17 上部砌体房屋中,坡屋顶的屋架应与顶层圈梁可靠连接,檩条或屋面板应与墙、屋架可靠连接,房屋出入口处的檐口瓦应与屋面构件锚固。采用硬山搁檩时,顶层内纵墙顶宜增砌支承山墙的踏步式墙垛,并设构造柱。
6.2.18 上部砌体房屋的门窗洞处不应采用砖过梁;过梁支承长度不应小于240mm。
6.2.19 上部砌体房屋中,6度、7度时的预制阳台应与圈梁和楼板的现浇板带可靠连接,8度时不应采用预制阳台。
6.2.20 上部砌体房屋中的后砌非承重砌体隔墙,烟道、风道、垃圾道等应符合现行国家标准《建筑抗震设计规范》GB 50011中非结构构件的有关规定。
条文说明
6.2.13~6.2.20按照《建筑抗震设计规范》GB50011-2010,对上部砌体房屋的楼(屋)盖、楼(电)梯间、大房间和局部墙体连接、坡屋顶、过梁、预制阳台以及后砌非承重砌体隔墙、烟道、风道、垃圾道等抗震构造作出了规定。 硬架支模的施工方法是:先支设梁或圈梁的模板,再将预制楼板支承在具有一定刚度的硬支架上,然后浇筑梁或圈梁、现浇叠合层等的混凝土。 组合砌体的定义见现行国家标准《砌体结构设计规范》GB50003。 由于楼、电梯间比较空旷、受力复杂,在历次地震中破坏严重。而其在地震中作为重要的避震疏散通道,应形成应急疏散的“安全岛”,故其抗震构造措施的特别加强是非常重要的。突出屋面的楼、电梯间因“鞭梢效应”在地震中受到较大的地震作用,其抗震构造措施也应特别加强。 坡屋顶在地震中的受力情况与震害特点均比平屋顶复杂,应保证坡屋顶系统与墙体之间、系统构件之间的有效可靠连接,屋架支撑应保证屋架的纵向稳定性。硬山搁檩的做法不利于抗震,应特别加强构造措施,在横墙顶部宜设置沿斜坡的钢筋混凝土圈梁并加强与檩条的拉结措施。 门窗洞口处,不论是配筋砖过梁还是无筋砖过梁均不应采用,应采用钢筋混凝土过梁。
6.2.21 上部砌体房屋为横墙较少情况时,当整体房屋的总高度和总层数接近或达到本规程表3.0.2规定的限值时,应采取下列加强措施:
1 上部砌体房屋的最大开间尺寸不宜大于6.6m。
2 同一结构单元内横墙错位数量不宜超过横墙总数的1/3,且连续错位不宜多于两道;错位的墙体交接处均应增设构造柱,且楼(屋)面板应采用现浇钢筋混凝土板。
3 横墙和内纵墙上洞口的宽度不宜大于1.5m;外纵墙上洞口的宽度不宜大于2.1m或开间尺寸的一半;且内外墙上洞口位置不应影响内外纵墙与横墙的整体连接。
4 所有纵横墙均应在楼盖、屋盖标高处设置加强的现浇钢筋混凝土圈梁;圈梁的截面高度不宜小于150mm,上下纵筋各不应少于3 Φ 10,箍筋不应小于 Φ 6,间距不应大于300mm。
5 所有纵横墙交接处及横墙的中部,均应增设满足下列要求的构造柱:在纵、横墙内的柱距不宜大于3.0m,最小截面尺寸不宜小于240mm×240mm(墙厚190mm时为190mm×240mm),配筋宜符合表6.2.21的要求。对于上部小砌块房屋,墙体中部的构造柱可采用芯柱替代,芯柱的灌孔数量不应少于2孔,每孔插筋的直径不应小于18mm。
表6.2.21 增设构造柱的纵筋和箍筋设置要求

6 同一结构单元的楼(屋)面板应设置在同一标高处。
7 顶层的窗台标高处,宜设置沿纵横墙通长的水平现浇钢筋混凝土带;其截面高度不应小于60mm,宽度同墙厚;纵向钢筋不应少于2 Φ 10,横向分布筋不应小于 Φ 6、间距不应大于200mm;混凝土强度等级不应低于C20。
条文说明
6.2.21对应本规程第3.0.2条第3款的规定,对上部砌体房屋为横墙较少时不降低总层数和总高度的特别加强措施作出了详细规定。这方面底部框架-抗震墙砌体房屋与多层砌体房屋大致是相当的。相应的加强措施是较为严格的,且同时应满足抗震承载力的要求(抗震承载力验算时计入墙段中部钢筋混凝土构造柱的承载力)。
6.2.22 上部砌体房屋部分采用板式楼梯时,楼梯踏步板宜采用双层配筋。
7 结构薄弱楼层判别及弹塑性变形验算
7 结构薄弱楼层判别及弹塑性变形验算
7.0.1 罕遇地震作用下,底层框架-抗震墙砌体房屋的底层屈服强度系数,可按下列公式计算:

式中: ξ y (1)——底层层间屈服强度系数;
V R (1)——底层的层间极限受剪承载力(N),底层采用约束砌体抗震墙时按式(7.0.1-2)计算;底层采用混凝土抗震墙或配筋小砌块砌体抗震墙时按式(7.0.1-3)计算;
V e (1)——罕遇地震作用下,按弹性分析的底层地震剪力(N);
V cy ——底层框架的极限受剪承载力(N),可按本规程附录C的方法计算;
V my ——底层一片约束普通砖或小砌块抗震墙的极限受承载力(N),可按本规程附录C的方法计算;
V wy ——底层一片混凝土抗震墙或配筋小砌块砌体抗震墙的极限受剪承载力(N),可按本规程附录C的方法计算;
γ 1 ——约束普通砖或小砌块抗震墙的极限受剪承载力的折减系数,可取0.70;
γ 2 ——混凝土抗震墙或配筋小砌块砌体抗震墙的极限受剪承载力的折减系数,对于高宽比不大于1的整体混凝土墙或配筋小砌块砌体抗震墙, γ 2 可取0.75;对于开竖缝带边框的混凝土抗震墙, γ 2 可取0.90。
7.0.2 罕遇地震作用下,底部两层框架-抗震墙砌体房屋的底部两层屈服强度系数,可采用下列公式计算:

式中: ξ y ( i )——底层或第二层的层间屈服强度系数;
V R ( i )——底层或第二层的层间极限受剪承载力(N);
V e ( i )——罕遇地震作用下,按弹性分析的底层或第二层的地震剪力(N);
V cy ( i )——底层或第二层框架的极限受剪承载力(N);
V wy ( i )——底层或第二层一片混凝土抗震墙或配筋小砌块砌体抗震墙的极限受剪承载力(N);
γ 3 ——底部两层混凝土抗震墙或配筋小砌块砌体抗震墙的极限受剪承载力的折减系数,对于高宽比大于1的整体混凝土墙或配筋小砌块砌体抗震墙, γ 3 可取0.80。
条文说明
7.0.1、7.0.2罕遇地震作用下底部框架-抗震墙砌体房屋的底部框架-抗震墙屈服强度系数计算的核心问题,是计算底部框架-抗震墙的层间受剪极限承载力。底部框架-抗震墙是由框架、钢筋混凝土墙或配筋小砌块砌体抗震墙、约束砌体抗震墙组成的。 由于底部抗震墙的侧向刚度远大于钢筋混凝土框架,在地震作用下抗震墙承担较多的地震剪力,抗震墙先开裂。抗震墙开裂后,其侧向刚度迅速降低(钢筋混凝土墙开裂后的刚度降低为初始刚度的30%左右,砖抗震墙开裂后的刚度降低为初始刚度的20%左右),在底部的框架和抗震墙中会产生内力重分布,钢筋混凝土框架承担的地震剪力将多一些。尽管如此,是否钢筋混凝土框架和混凝土(配筋小砌块、约束砌体)抗震墙会同时达到其极限承载力,这是需要进一步深入探讨的问题。 从内力重分布来看,抗震墙开裂后侧向刚度降低,承担层间地震剪力的比例有所下降,但在钢筋混凝土框架柱开裂后,抗震墙承担的层间地震剪力的比例有所增长。因此,抗震墙会先于钢筋混凝土框架达到极限承载力。从钢筋混凝土框架和抗震墙在屈服和达到极限承载力时对应变形的来看,这两种抗侧力构件也是有差异的:钢筋混凝土框架模型试验表明,在层间位移角为0.005(1/200)左右时,构件达到屈服,在层间位移角为0.008(1/125)左右时,构件控制截面达到极限承载力;对于高宽比小于1的低矮型整体钢筋混凝土抗震墙,层间位移角在0.005(1/200)左右已达到极限承载力,而后承载力迅速降低,对于配筋小砌块砌体抗震墙和约束砌体抗震墙也大体差不多。为了改善带边框低矮墙的抗震性能,可采用在混凝土墙板中开竖缝的方法,即水平钢筋在竖缝处断开,并在竖缝两侧放置重叠的两块预制混凝土板,试验研究表明可以大大改善带边框低矮墙的变形和耗能能力。开竖缝墙达到极限承载力时的层间位移角为0.0067(1/150)左右,并且在开竖缝墙达到极限承载力后的承载力降低比较平稳。 底层框架-抗震墙砌体房屋的底层在框架达到极限承载力时,整个楼层的变形是协调的,即可根据钢筋混凝土框架达到极限承载力时的位移来判断和给出各种抗震墙极限承载力的降低情况,在总结试验研究成果的基础上提出了底层框架-抗震墙砌体房屋底层的极限承载力的计算公式。 底部两层框架-抗震墙砌体房屋底部两层的变形为剪弯变形,存在着弯剪构件(钢筋混凝土墙或配筋小砌块墙)和剪切构件(框架)协同工作。针对哪种构件较为薄弱和破坏严重的问题,在相关课题研究中也提出了底部两层框架-抗震墙砌体房屋的底部两层层间极限弯矩系数和层间极限剪力系数的分析方法。因为要把底部两层与上部砌体房屋部分的承载能力相比较以判断薄弱楼层,所以本规程提出了底部两层层间屈服强度系数的分析方法。对钢筋混凝土墙或配筋小砌块墙要分别计算弯曲破坏的受剪极限承载力和斜截面剪切破坏的受剪极限承载力,取两者的较小者作为抗震墙的层间受剪极限承载力,然后再考虑与框架的层间受剪极限承载力的综合。
7.0.3 罕遇地震作用下底部框架-抗震墙砌体房屋中上部砌体房屋部分的层间极限剪力系数,可按下式计算:

式中: ξ R ( i )——上部砌体房屋部分第 i 层的层间极限剪力系数;
V R ( i )——上部砌体房屋部分第i层的层间极限受剪承载力(N),可按本规程附录C的方法计算;
V e ( i )——罕遇地震作用下,按弹性分析的上部砌体房屋部分第 i 层的地震剪力(N)。
条文说明
7.0.3底部框架-抗震墙砌体房屋上部砌体房屋部分层间极限剪力系数计算的核心问题,是计算上部砌体房屋各楼层墙体的受剪极限承载力,而不是楼层墙体受剪承载力的设计值。 各墙段的极限剪力系数为墙段的受剪极限承载力除以在“大震”作用下按弹性分析该墙段承担的地震剪力。地震作用下,往往从最薄弱的墙段[墙段的极限剪力系数ξRj(i)最小]开裂、破坏,当薄弱的墙段开裂后,其刚度迅速降低,这一层中的各墙段将产生塑性内力重分布,当薄弱楼层中的各墙段都先后开裂后,这一层中的砌体丧失承载能力,从最薄弱部分(比如:山墙、内外纵墙的交接处、楼梯间等)破坏,局部以至整个房屋倒塌。因此,用层间极限剪力系数来判断层楼的受剪承载力和上部砌体房屋部分中的薄弱楼层是合适的。 考虑到各道墙及各墙段极限剪力系数差异将形成薄弱部分和该层各墙段的塑性内力重分布的因素,由同一层中各墙段的极限剪力系数来计算楼层的极限剪力系数时,采用加权平均的方法,即把ξRj(i)较小值的权取得大一些,其计算公式为:
式中:ξR(i)——第i层的横向或纵向的层间极限剪力系数; n——第i层横向或纵向的墙体道数或墙段数。 对于上部为小砌块的房屋,也应采用同样的方法。
7.0.4 底层框架-抗震墙砌体房屋薄弱楼层的判别,可采用下列方法:
1 当 ξ y (1)<0.8 ξ R (2)时,底层为薄弱楼层;
2 当 ξ y (1)>0.9 ξ y (2)时,第二层或上部砌体房屋中的某一楼层为相对薄弱楼层;
3 当0.8 ξ R (2)≤ ξ y (1)≤0.9 ξ R (2)时,房屋较为均匀。
7.0.5 底部两层框架-抗震墙砌体房屋薄弱楼层的判别,可采用下列方法:
1 结构薄弱楼层处于底部或上部的判别,可按下列情况确定:
当 ξ y (2)<0.8 ξ R (3)时,薄弱楼层在底部两层中 ξ y ( i )相对较小的楼层;当 ξ y (2)>0.9 ξ R (3)时,第三层或上部砌体房屋中的某一楼层为相对薄弱楼层;当0.8 ξ R (3)≤ ξ y (2)≤0.9 ξ R (3)时,房屋较为均匀。
2 当薄弱楼层处于底部时,尚应判断薄弱楼层处于底层或第二层。可按下列情况确定:
当 ξ y (2)< ξ y (1)时,薄弱楼层在第二层;当 ξ y (2)> ξ y (1)时,薄弱楼层在底层。
条文说明
7.0.4、7.0.5在强烈地震作用下,结构总是从最薄弱的部位开裂、破坏,并通过塑性内力重分布形成薄弱楼层,薄弱楼层的破坏将危及整个房屋的安全。因此,底部框架-抗震墙砌体房屋的薄弱楼层的判别是个重要的问题。震害和工程实例分析表明,对于钢筋混凝土框架或砌体结构,其ξy(i)或ξR(i)沿楼层高度分布最小的楼层为薄弱楼层。 底部框架-抗震墙砌体房屋是由底部框架-抗震墙和上部砌体房屋两部分构成的,其薄弱楼层的判别应先分别对这两部分进行判别,然后再加以比较确定。 1上部砌体房屋部分薄弱楼层的判别 上部砌体房屋部分的薄弱楼层为层间极限剪力系数ξR(i)沿楼层高度分布最小的楼层,可采用下列公式判别: 一般层ξR(i)<[ξR(i+1)+ξR(i-1)]/2(2) 顶层ξR(n)<ξR(n-1)(3) 过渡楼层ξR(i)<ξR(i+1)(4) 对于底层框架-抗震墙砌体房屋,i≥2;对于底部两层框架-抗震墙砌体房屋,i≥3。 2底层框架-抗震墙砌体房屋的薄弱楼层是否在底层的判别 对于底层是否为薄弱楼层的判别则较为复杂,由于底层框架-抗震墙的抗震性能(特别是变形能力和耗能能力)较第二层及其以上的多层砌体房屋要好得多,依据对底层框架-抗震墙砖房输入地震波的弹塑性位移反应分析结果,可根据ξy(1)是否小于0.8ξR(2)来判断,若ξy(1)<0.8ξR(2),则底层为薄弱楼层,若ξy(1)>0.9ξR(2),则第二层或上部砌体房屋中的某一楼层为相对薄弱楼层,若ξy(1)=(0.8~0.9)ξR(2),则该结构较为均匀。 3底部两层框架-抗震墙砌体房屋的薄弱楼层是否在底部的判别 对于底部两层框架-抗震墙,应先区分抗震墙和框架的极限剪力(弯矩)系数哪个相对较小,然后再判断第一层和第二层的屈服强度系数的大小,其中相对小的楼层为底部相对薄弱的楼层。 对于底部两层框架-抗震墙砌体房屋,整个房屋薄弱楼层的确定更为复杂一些,由于底部两层框架-抗震墙的抗震性能较第三层以上砌体房屋部分好得多,根据底部两层框架-抗震墙砌体房屋直接动力法弹塑性分析结果,建议采用下列原则处理:以底部框架-抗震墙部分和上部砌体房屋部分二者相邻楼层的屈服强度系数和极限剪力系数进行对比:①当底部框架-抗震墙部分第二层的屈服强度系数小于上部砌体房屋部分第三层极限剪力系数的80%时,则薄弱楼层在底部两层框架-抗震墙中;②当底部框架-抗震墙部分第二层的屈服强度系数不小于上部砌体房屋部分第三层极限剪力系数的90%时,则薄弱楼层在上部砌体房屋中;③当底部框架-抗震墙部分第二层的屈服强度系数与上部砌体房屋部分第三层极限剪力系数之比在0.8~0.9之间时,为较为均匀的房屋。
7.0.6 底部框架-抗震墙砌体房屋在罕遇地震作用下结构薄弱楼层的弹塑性变形验算,可采用下列方法:
1 静力弹塑性分析方法或弹塑性时程分析法,应采用空间结构模型;
2 本规程第7.0.7条、7.0.8条给出的简化计算方法。
7.0.7 底部框架-抗震墙砌体房屋结构薄弱楼层弹塑性层间位移的简化计算,宜符合下列要求:
1 结构薄弱楼层的位置在底部框架-抗震墙部分,且薄弱楼层的屈服强度系数不大于0.5;
2 结构薄弱楼层的弹塑性层间位移可按下列公式计算:

式中:△ u p ——最大层间弹塑性位移(mm);
△ u y ——最大层间屈服位移(mm);
μ ——楼层延性系数;
△ u e ——罕遇地震作用下按弹性分析的最大层间位移(mm);
η p ——弹塑性层间位移增大系数,当薄弱楼层的屈服强度系数不小于相邻层该系数平均值的80%时,可按表7.0.7采用;当不大于该平均值的50%时,可按表内相应数值的1.5倍采用;其他情况可采用内插法取值;
ξ y ——楼层屈服强度系数。
表7.0.7 弹塑性层间位移增大系数 η p

7.0.8 结构薄弱楼层弹塑性层间位移应符合下式要求:

式中:[ θ p ]——弹塑性层间位移角限值,对底部框架-抗震墙部分可取1/100;
h——薄弱层楼层高度(mm)。
条文说明
7.0.6~7.0.8多层结构在强烈地震作用下,总是在较薄弱的楼层率先进入开裂、钢筋屈服、发展弹塑性变形状态,形成变形集中的现象。多层结构的弹塑性变形验算实质上就是薄弱楼层的最大层间弹塑性位移是否在结构楼层的变形能力允许的范围内。 总结底部框架-抗震墙砌体房屋的震害经验,参照《建筑抗震设计规范》GB50011-2010对底部框架-抗震墙砌体房屋在罕遇地震作用下薄弱楼层弹塑性变形验算的要求,给出了该类房屋当底部为薄弱楼层时的弹塑性变形的计算方法和变形允许指标。
8 施工
8 施工
8.0.1 在施工中,当需要以强度等级较高的钢筋替代原设计中的纵向受力钢筋时,应按照钢筋受拉承载力设计值相等的原则换算,并应满足最小配筋率、变形及抗裂验算等要求。
条文说明
8.0.1混凝土结构施工中,往往因缺乏设计规定的钢筋型号(规格)而采用另外型号(规格)的钢筋代替,此时应注意替代后的纵向钢筋的总承载力设计值不应高于原设计的纵向钢筋总承载力设计值,以免造成薄弱部位的转移,以及构件在有影响的部位发生混凝土的脆性破坏(混凝土压碎、剪切破坏等)。 除按照上述等承载力原则换算外,还应满足最小配筋率和钢筋间距等构造要求,并应注意由于钢筋的强度和直径改变会影响正常使用阶段的挠度和裂缝宽度。
8.0.2 底部框架-抗震墙砌体房屋中的钢筋混凝土构造柱、框架梁柱和砌体抗震墙,其施工应先砌墙后浇筑构造柱和框架梁柱。
条文说明
8.0.2 为确保砌体抗震墙与构造柱、底部框架柱等的连接,提高砌体抗震墙的变形能力,同时为加强对施工质量的监督和控制,要求施工时应先砌墙后浇柱(或梁柱)。
8.0.3 底部框架-抗震墙砌体房屋过渡楼层构造柱纵向钢筋的锚固应满足设计要求,当设计图纸未明确要求时,构造柱纵向钢筋在底部框架柱、框架梁或混凝土抗震墙中的锚固长度不应小于30d。
条文说明
8.0.3底部框架-抗震墙砌体房屋过渡楼层构造柱纵向钢筋的锚固可能存在与底部框架柱和混凝土抗震墙相对应设置或不对应设置两种情况,与底部框架柱和混凝土抗震墙不相对应而其纵向钢筋锚入框架梁中的构造柱,其纵向钢筋的锚固,当直段长度无法达到30d时,可采用弯折锚固措施、或其末端采用机械锚固措施。
8.0.4 底层开竖缝的钢筋混凝土抗震墙,在竖缝处设置两块预制隔板时,隔板应采取防止其移位、变形或倾倒的可靠拉结、固定措施。
条文说明
8.0.4底层开竖缝的钢筋混凝土抗震墙在竖缝处设置的两块预制隔板,应定位准确并保证其在施工过程中不致发生移位、变形或倾倒。可与相邻一侧抗震墙板的钢筋拉结或采取其他可靠的拉结、固定措施。
8.0.5 底部框架-抗震墙砌体房屋的底部后砌砌体填充墙与框架柱之间采取柔性连接措施时,柔性连接的缝隙应在墙体施工完成7d后采用弹性材料封闭。
条文说明
8.0.5底部后砌砌体填充墙与框架柱之间的柔性连接缝隙,应在墙体施工完成后留置数天、使砌体的收缩变形基本完成后再进行封闭。
8.0.6 小砌块砌体抗震墙施工时,宜选用专用小砌块砌筑砂浆和专用小砌块灌孔混凝土。灌孔混凝土应在砌筑完一个楼层或半个楼层墙体时浇筑,并应连续进行;灌孔混凝土每浇筑400mm~500mm高度捣实一次、或边浇筑边捣实,严禁在浇筑一个楼层高度后再进行振捣。
条文说明
8.0.6小砌块块体的壁比较薄,其砌筑砂浆和灌孔混凝土施工质量的控制是关键,宜选用专用小砌块砌筑砂浆和专用小砌块灌孔混凝土(大坍落度、自流性的细石混凝土)。灌孔混凝土必须浇捣密实,与砌块外壁之间应粘结良好、无缝隙,以保证灌孔混凝土与小砌块能较好的共同工作。
8.0.7 底部配筋小砌块砌体抗震墙施工时,墙顶边框梁的混凝土宜与墙体灌孔混凝土一起浇筑,边框梁顶部应是毛面。
条文说明
8.0.7为保证底部配筋小砌块砌体抗震墙顶边框梁与墙体的可靠连接,边框梁的混凝土宜与墙体灌孔混凝土一起浇筑。若边框梁混凝土与墙体灌孔混凝土不一起施工,则砌块墙灌孔时不宜灌满,宜留出不小于30mm的凹槽使后浇的边框梁混凝土能与墙体可靠连接。而边框梁顶部做成毛面也是为了使边框梁与上部的墙体有更好的连接。
8.0.8 底部框架-抗震墙砌体房屋的施工质量控制应符合下列要求:
1 施工单位应针对工程的施工特点,制定完善的施工方案及冬期、雨期的施工措施;
2 施工单位应有完善的质量管理制度;
3 施工单位应做好各道工序的质量控制与检验,每道工序完成后应进行工序质量检验和工序间的交接检验,并形成记录;当某道工序不满足质量和下道工序的施工要求时,不得进行下道工序的施工;对于隐蔽工程,应及时进行检验并形成记录,检验合格后方可继续施工。
条文说明
8.0.8底部框架-抗震墙砌体房屋的施工质量能否满足设计和验收规范要求,直接关系到房屋的抗震能力能否满足要求。因此,施工单位应做好施工质量的过程控制,包括:针对工程的特点制定完善的施工方案、建立完善的质量管理制度以及工序的质量控制与检验等。 建筑工程是由多道工序构成的,各道工序质量好坏不仅影响本道工序的质量而且还会影响下道工序的质量。因此,只有保证每一道工序的质量才能保证整个工程质量。本条提出了施工单位应做好各道工序的质量控制与检验的要求以及隐蔽工程的检验要求。
8.0.9 底部框架-抗震墙砌体房屋的施工应遵守施工安全、消防、环保等有关规定。
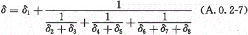
附录A层间侧向刚度计算
附录A 层间侧向刚度计算
A.0.1 底层框架-抗震墙砌体房屋中,底层钢筋混凝土抗震墙或配筋小砌块砌体抗震墙的层间侧向刚度可采用下列方法进行计算:
1 无洞钢筋混凝土抗震墙的层间侧向刚度可按式(A.0.1-1)计算;无洞配筋小砌块砌体抗震墙的层间侧向刚度可按式(A.0.1-2)计算:

式中: K cw j ——底层第j片钢筋混凝土抗震墙的层间侧向刚度(N/mm);
K gw j ——底层第j片配筋小砌块砌体抗震墙的层间侧向刚度(N/mm);
E c 、 G c ——分别为底层钢筋混凝土抗震墙的混凝土弹性模量(N/mm 2 )和剪变模量(N/mm 2 );
E g 、 G g ——分别为底层配筋小砌块砌体抗震墙的弹性模量(N/mm 2 )和剪变模量(N/mm 2 );
I 、 A ——分别为底层钢筋混凝土抗震墙(包括边框柱)或配筋小砌块砌体抗震墙的截面惯性矩(mm 4 )和截面面积(mm 2 );
h ——底层钢筋混凝土抗震墙或配筋小砌块砌体抗震墙的计算高度(mm)。
2 开洞的钢筋混凝土抗震墙或配筋小砌块砌体抗震墙的层间侧向刚度,可按照本附录第A.0.2条第3款的基本原则进行计算。
A.0.2 上部砌体抗震墙、底层框架-抗震墙砌体房屋中的底层约束普通砖砌体抗震墙或约束小砌块砌体抗震墙的层间侧向刚度可采用下列方法进行计算:
1 墙片宜按门窗洞口划分为墙段;
2 墙段的层间侧向刚度可按下列原则进行计算:
对于无洞墙段的层间侧向刚度,当墙段高宽比小于1.0时,可仅考虑其剪切变形,按式(A.0.2-1)计算;当墙段高宽比不小于1.0且不大于4.0时,应同时考虑其剪切和弯曲变形,按式(A.0.2-2)计算;当墙段的高宽比大于4.0时,不考虑其侧向刚度;
注:墙段的高宽比指层高与墙段长度之比,对门窗洞边的小墙段指洞净高与洞侧墙段宽之比。

式中: K b ——墙段的层间侧向刚度(N/mm);
E 、 G ——分别为砌体墙的弹性模量(N/mm 2 )和剪变模量(N/mm 2 );
h ——该层的层高(mm),对门窗洞边的小墙段为洞净高;
b ——墙段长度(mm),对门窗洞边的小墙段为洞侧墙段宽;
A ——墙段的水平截面面积(mm 2 )。
对于设置构造柱的小开口墙段,可按无洞墙段计算的刚度,根据开洞率情况乘以表A.0.2的洞口影响系数:
表A.0.2 小开口墙段洞口影响系数

注:1 开洞率为洞口水平截面积与墙段水平毛截面积之比;
2 本表中洞口影响系数的适用范围如下:
门洞的高度不超过墙段层间计算高度的80%;内墙门、窗洞边离墙段端部净距离不小于500mm;当窗洞高度大于墙段高的50%时,与开门洞同样处理;当小于墙段高的50%时,表中影响系数可乘以1.1;相邻洞口之间净宽小于500mm的墙段视为洞口;洞口中线偏离墙段中线的距离大于墙段长度的1/4时,表中影响系数应乘以0.9。
3 复杂大开洞墙片的层间侧向刚度可按下列原则进行计算:
一般可根据墙体开洞的实际情况,沿高度分段求出各墙段在单位水平力作用下的侧移 δ n ,求和得到整个墙片在单位水平力作用下的顶点侧移值 δ ,取其倒数得到该墙片的层间侧向刚度;对于图A.0.2-1所示的等高大开洞墙片,可采用式(A.0.2-3)计算;对于图A.0.2-2所示的有两个以上高度或位置大开洞的墙片,可采用式(A.0.2-4)~式(A.0.2-7)计算;

图A.0.2-2a、b中:


图A.0.2-1 多个等高大开洞墙片的墙段划分

图A.0.2-2 多个不等高大开洞墙片的墙段划分
图A.0.2-2c中:

图A.0.2-2d中:

式中: δ n (n=1,2,3,…)——第n墙段在单位水平力作用下的侧移(mm);
K b j ——第j片墙的层间侧向刚度(N/mm)。
在选择开洞墙层间侧向刚度的计算方法时,应对同一种类型墙体(承重墙或自重墙)采用同一种方法。
4 计算砌体抗震墙的层间侧向刚度时,可计入其中部构造柱的作用。
A.0.3 底层框架-抗震墙砌体房屋的底层层间侧向刚度,为底层横向或纵向各抗侧力构件层间侧向刚度的总和,可按下列公式计算:

式中: K (1)——底层框架-抗震墙砌体房屋的底层横向或纵向层间侧向刚度(N/mm);底层采用约束砌体抗震墙时按式(A.0.3-1)计算,底层采用混凝土抗震墙或配筋小砌块砌体抗震墙时按式(A.0.3-2)计算;
∑ K cf j ——底层钢筋混凝土框架的层间侧向刚度总和(N/mm),可采用D值法计算;
∑ K b j ——底层约束砌体抗震墙的层间侧向刚度总和(N/mm);
∑ K cw j ——底层钢筋混凝土抗震墙的层间侧向刚度总和(N/mm);
∑ K gw j ——底层配筋小砌块砌体抗震墙的层间侧向刚度总和(N/mm)。
A.0.4 上部砌体房屋的层间侧向刚度为该层横向或纵向所有墙片侧向刚度的总和,可按下式计算:

式中: K (i)——上部砌体房屋第i层横向或纵向层间侧向刚度(N/mm);
∑ K b j ——上部砌体房屋某层横向或纵向砌体抗震墙的层间侧向刚度总和(N/mm)。
附录B底部配筋小砌块砌体抗震墙抗震设计要求
附录B 底部配筋小砌块砌体抗震墙抗震设计要求
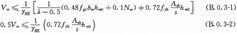
B.0.1 底部配筋小砌块砌体抗震墙和配筋小砌块砌体连梁,其截面组合的剪力设计值应符合下列要求:
剪跨比大于2的抗震墙:

跨高比不大于2.5的连梁、剪跨比不大于2的抗震墙:

剪跨比应按本规程式(5.4.1-3)计算。
式中: V ——墙端或梁端截面组合的剪力设计值(N);
b ——截面宽度(mm);
h 0 ——截面有效高度(mm),抗震墙可取墙肢长度;
f g ——灌孔小砌块砌体抗压强度设计值(N/mm 2 );
γ RE ——承载力抗震调整系数,取0.85。
B.0.2 配筋小砌块砌体抗震墙中跨高比大于2.5的连梁宜采用钢筋混凝土连梁,其截面组合的剪力设计值和斜截面受剪承载力,应符合现行国家标准《混凝土结构设计规范》GB 50010对连梁的有关规定。
B.0.3 偏心受压时配筋小砌块砌体抗震墙斜截面抗震受剪承载力,应按下列公式计算:

式中: N w ——组合的墙体轴向压力设计值(N),当 N w 大于0.2 f g b w h w 时,取0.2 f g b w h w ;
V w ——墙体计算截面处的组合剪力设计值(N);
λ ——计算截面处的剪跨比, λ = M w /( V w h w0 );当 λ 小于1.5时,取1.5;当 λ 大于2.2时,取2.2;此处, M w 为与剪力设计值 V w 对应的弯矩设计值;当计算截面与墙底之间的距离小于 h w0 /2时, λ 应按距墙底 h w0 /2处的弯矩设计值和剪力设计值计算;
f gv ——灌孔小砌块砌体抗剪强度设计值(N/mm 2 );
A sh ——同一截面内的水平钢筋全部截面面积(mm 2 );
s ——水平分布钢筋间距(mm);
f yh ——水平分布钢筋抗拉强度设计值(N/mm 2 );
h w0 ——墙体截面有效高度(mm)。
B.0.4 配筋小砌块砌体抗震墙的灌孔混凝土应采用坍落度大、流动性及和易性好,并与砌块结合良好的混凝土,灌孔混凝土的强度等级不应低于Cb20。
B.0.5 配筋小砌块砌体抗震墙应全部用灌孔混凝土灌实。
B.0.6 配筋小砌块砌体抗震墙的水平和竖向分布钢筋应符合表B.0.6 的要求。水平分布钢筋宜双排布置,双排分布钢筋之间拉结筋的间距不应大于400mm,直径不应小于6mm;竖向分布钢筋宜采用单排布置,直径不应大于25mm。
表B.0.6 配筋小砌块砌体抗震墙分布钢筋构造要求

B.0.7 配筋小砌块砌体抗震墙墙肢端部应设置构造边缘构件。构造边缘构件的配筋范围为:无翼墙端部为3孔配筋,“L”形转角节点为3孔配筋,“T”形转角节点为4孔配筋;边缘构件范围内应设置水平箍筋;边缘构件的配筋应符合表B.0.7的要求。当墙肢端部为边框柱时,边框柱可作为构造边缘构件,墙肢与边框柱交接端宜设置1孔配筋。
表B.0.7 配筋小砌块砌体抗震墙边缘构件配筋要求

注:1 边缘构件水平箍筋宜采用搭接点焊网片形式;
2 边缘构件水平箍筋应采用不低于HRB335级的热轧钢筋。
B.0.8 配筋小砌块砌体抗震墙内水平和竖向分布钢筋的搭接长度不应小于48倍钢筋直径,锚固长度不应小于42倍钢筋直径。
B.0.9 配筋小砌块砌体抗震墙的水平分布钢筋,沿墙长应连续设置,两端的锚固应符合下列规定:
1 二级抗震墙,水平分布钢筋可绕竖向主筋弯180°弯钩,弯钩端部直段长度不宜小于12倍钢筋直径;水平分布钢筋也可弯入端部灌孔混凝土中,锚固长度不应小于30倍钢筋直径且不应小于250mm;当墙肢端部为边框柱时,水平分布钢筋应锚入边框柱中,其锚固构造应符合现行国家标准《混凝土结构设计规范》GB 50010的有关规定;
2 三级抗震墙,水平分布钢筋可弯入端部灌孔混凝土中,锚固长度不应小于25倍钢筋直径且不应小于200mm;当墙肢端部为边框柱时,水平分布钢筋应锚入边框柱中,其锚固构造应符合现行国家标准《混凝土结构设计规范》GB 50010的有关规定。
B.0.10 配筋小砌块砌体抗震墙中,跨高比小于2.5的连梁,可采用砌体连梁,其构造应符合下列要求:
1 连梁的上下纵向钢筋锚入墙内的长度,应符合本规程第5.5.29条中纵向受拉钢筋抗震锚固长度 l aE 的要求,且均不应小于600mm;
2 连梁的箍筋应沿梁长设置;箍筋直径不应小于8mm;箍筋间距,二级不应大于100mm,三级不应大于120mm;
3 连梁在伸入墙体的纵向钢筋长度范围内应设置间距不大于200mm的构造箍筋,其直径应与该连梁的箍筋直径相同;
4 自梁顶面下200mm至梁底面上200mm范围内应增设腰筋,其间距不应大于200mm;每层腰筋的数量不应少于2
10;腰筋伸入墙内的长度不应小于30倍的钢筋直径且不应小于300mm;
5 连梁内不宜开洞,需要开洞时应符合下列要求:
在跨中梁高1/3处预埋外径不大于200mm的钢套管;洞口上下的有效高度不应小于1/3梁高,且不应小于200mm;洞口处应配补强钢筋,被洞口削弱的截面应进行受剪承载力验算。
B.0.11 配筋小砌块砌体抗震墙在基础处应设置现浇钢筋混凝土地圈梁;圈梁的截面宽度应同墙厚,截面高度不宜小于200mm;圈梁混凝土抗压强度不应小于相应灌孔小砌块砌体的强度,且不应小于C20;圈梁的纵向钢筋不应小于4
12,箍筋直径不应小于8mm,间距不应大于200mm。
附录C层间极限受剪承载力计算
附录C 层间极限受剪承载力计算
C.0.1 矩形框架柱的层间极限受剪承载力,可按下式计算:

式中:
——分别为验算层偏心受压柱上、下端受弯极限承载力(N·mm);
H n ——框架柱净高度(mm);
α ——修正系数,一般取为1.0;对于底部两层框架的底层取为0.9。
C.0.2 对称配筋矩形截面偏心受压柱极限受弯承载力可按下列公式计算:
当 N ≤ ξ bk a 1 f ck bh 0 时

当 N > ξ bk a 1 f ck bh 0 时

式中: N ——对应于重力荷载代表值的柱轴向压力(N);
A s ——柱实配纵向受拉钢筋截面面积(mm 2 );
f yk ——柱纵向钢筋抗拉强度标准值(N/mm 2 );
a 1 ——受压区混凝土等效矩形应力图的应力值与混凝土轴心抗压强度设计值的比值,当混凝土强度等级不超过C50时,a1取为1.0;
a' s ——纵向受压钢筋合力点至截面近边的距离(mm);
ξ bk ——相对界限受压区高度;
β 1 ——系数,当混凝土强度等级不超过C50时,屉取为0.8;
E s ——钢筋弹性模量(N/mm 2 );
ε cu ——非均匀受压时正截面的混凝土极限压应变,如计算的ecu值大于0.0033,取0.0033;
f cu,k ——混凝土立方体抗压强度标准值(N/mm 2 )。
C.0.3 钢筋混凝土抗震墙偏心受压时的层间极限受剪承载力可按下式计算:

式中: N w ——对应于重力荷载代表值的墙体轴向压力(N),当Nw大于0.2 f ck A w 时取0.2 f ck A w ;
A ——抗震墙的截面面积(mm 2 );
A w ——T形或I字形截面抗震墙腹板部分截面面积(mm 2 ),矩形截面时,取 A w 等于 A ;
b w ——抗震墙截面宽度(mm);
h w0 ——抗震墙截面有效高度(mm);
λ ——抗震墙的计算剪跨比;当 λ 小于1.5时,取1.5;当 λ 大于2.2时,取2.2;
f tk ——混凝土轴心抗拉强度标准值( N/mm 2 );
f yhk ——抗震墙水平分布钢筋抗拉强度标准值(N/mm 2 );
s——抗震墙水平分布钢筋间距(mm);
A sh ——配置在同一截面内的全部水平钢筋截面面积(mm 2 )。
C.0.4 配筋小砌块砌体抗震墙偏心受压时的层间极限受剪承载力,可按下式计算:

式中: N w ——对应于重力荷载代表值的墙体轴向压力(N),当 N w 大于0.2 f gk A w 时取0.2 f gk A w ;此处, A w 为抗震墙截面面积(mm 2 ), f gk 为灌孔小砌块砌体抗压强度标准值(N/mm 2 );
b w ——抗震墙截面宽度(mm);
h w0 ——抗震墙截面有效高度(mm);
λ ——抗震墙的计算剪跨比;当 λ 小于1.5时,取1.5;当 λ 大于2.2时,取2.2;
f gvk ——灌孔小砌块砌体抗剪强度标准值(N/mm 2 );
f yhk ——抗震墙水平分布钢筋抗拉强度标准值(N/mm 2 );
s——水平分布钢筋间距(mm);
A sh ——同一截面内的水平钢筋全部截面面积(mm 2 )。
C.0.5 底层框架-抗震墙砌体房屋中,底层嵌砌于框架之间的约束普通砖抗震墙或小砌块抗震墙及两端框架柱,其层间极限受剪承载力,应按下列规定计算:
1 一般情况下,可按下列公式计算:

式中: f vEu ——砌体沿阶梯形截面破坏的抗震极限抗剪强度计算值(N/mm 2 );
f vu ——约束普通砖或小砌块抗震墙的非抗震设计的砌体极限抗剪强度计算取值(N/mm 2 ),可按表C.0.5采用;
A w0 ——约束普通砖或小砌块抗震墙水平截面的计算面积(mm 2 ),无洞口时可采用1.25倍实际截面面积;有洞口时取净截面面积,但宽度小于洞口高度1/4的墙段不考虑;
H 0 ——底层框架柱的计算高度(mm),两侧均有约束普通砖或小砌块抗震墙时,可采用柱净高的2/3,其余情况,可取柱净高;
ζ N ——约束普通砖或小砌块抗震墙抗震抗剪强度正应力影响系数,对于约束普通砖抗震墙按式(C.0.5-3)计算,对于约束小砌块抗震墙按式(C.0.5-4)计算;
σ 0 ——对应于重力荷载代表值的砌体截面平均压应力(N/mm 2 )。
表C.0.5 非抗震设计的砌体极限抗剪强度计算取值(MPa)

2 当计入墙体内水平配筋、中部构造柱或芯柱对墙体层间极限受剪承载力的提高作用时,可按照本规程第6.1.2条、6.1.3条规定的相关方法进行计算。水平配筋、中部构造柱或芯柱的材料强度设计值应采用材料强度标准值替代,并不应再考虑承载力抗震调整系数。
C.0.6 上部砌体结构层间极限受剪承载力,应按下列规定计算:
1 一般情况下,可按下列公式计算:

式中: V Rj (i)——上部砌体结构第i层第j个墙片的层间极限受剪承载力(N);
A j (i)——上部砌体结构第i层第j个墙片的水平截面面积(mm 2 ),多孔砖取毛截面面积;
f vu ——上部砌体抗震墙非抗震设计的砌体极限抗剪强度计算取值(N/mm 2 ),可按本规程表C.0.5采用;
ζ N ——上部砌体抗震墙的抗震抗剪强度的正应力影响系数,对于砖抗震墙和小砌块抗震墙,可分别按本规程式(C.0.5-3)和式(C.0.5-4)计算。
2 当计入墙体内水平配筋、中部构造柱或芯柱对墙体层间极限受剪承载力的提高作用时,可按照本规程第6.1.2条、6.1.3条规定的相关方法进行计算。水平配筋、中部构造柱或芯柱的材料强度设计值应采用材料强度标准值替代,并不应再考虑承载力抗震调整系数。
本规程用词说明
本规程用词说明
1 为便于在执行本规程条文时区别对待,对要求严格程度不同的用词说明如下:
表示很严格,非这样做不可的:
正面词采用“必须”,反面词采用“严禁”;
表示严格,在正常情况下均应这样做的:
正面词采用“应”,反面词采用“不应”或“不得”;
表示允许稍有选择,在条件许可时首先这样做的:
正面词采用“宜”,反面词采用“不宜”;
表示有选择,在一定条件下可以这样做的,采用“可”。
2 条文中指明应按其他有关标准执行的写法为:“应符合……的规定”或“应按……执行”。
引用标准名录
引用标准名录
1 《砌体结构设计规范》GB 50003
2 《混凝土结构设计规范》GB 50010
3 《建筑抗震设计规范》GB 50011
自2022年1月1日起废止的条文

