Appearance
《钢板剪力墙技术规程[附条文说明]》JGJ/T 380-2015
🗓️ 住房和城乡建设部 实施时间:2016-06-01
前言
中华人民共和国行业标准
钢板剪力墙技术规程
Technical specification for steel plate shear walls
JGJ/T 380-2015
批准部门:中华人民共和国住房和城乡建设部
施行日期:2016年6月1日
中华人民共和国住房和城乡建设部公告
第947号
住房城乡建设部关于发布行业标准《钢板剪力墙技术规程》的公告
现批准《钢板剪力墙技术规程》为行业标准,编号为JGJ/T 380-2015,自2016年6月1日起实施。
本规程由我部标准定额研究所组织中国建筑工业出版社出版发行。
中华人民共和国住房和城乡建设部
2015年11月9日
前言
根据住房和城乡建设部《关于印发2014年工程建设标准规范制订修订计划的通知》(建标[2013]169号)的要求,规程编制组经广泛调查研究,认真总结实践经验,参考有关国际标准和国外先进标准,并在广泛征求意见的基础上,编制了本规程。
本规程的主要技术内容是:1.总则;2.术语和符号;3.基本规定;4.非加劲钢板剪力墙;5.加劲钢板剪力墙;6.防屈曲钢板剪力墙;7.钢板组合剪力墙;8.开缝钢板剪力墙;9.节点设计与连接构造;10.防火与防腐;11.制作与安装;12.质量验收。
本规程由住房和城乡建设部负责管理,由哈尔滨工业大学负责具体技术内容的解释。执行过程中如有意见或建议,请寄送哈尔滨工业大学土木工程学院(地址:哈尔滨市南岗区黄河路73号哈工大2619信箱,邮政编码:150090)。
本规程主编单位 :哈尔滨工业大学
中建四局第六建筑工程有限公司
本规程参编单位 :清华大学
中建安装工程有限公司
中冶建筑研究总院有限公司
中国建筑设计研究院
华东建筑设计研究院有限公司
中冶京诚工程技术有限公司
中建钢构有限公司
浙江东南网架股份有限公司
浙江精工钢结构集团有限公司
住房和城乡建设部科技发展促进中心
中国建筑股份有限公司技术中心
宝钢建筑系统集成有限公司
北京赛博思建筑设计有限公司
本规程主要起草人员 :范峰 曹正罡 郭兰慧 程群 郭彦林 樊健生 徐义明 文双玲 王载 姜文伟 吕黄兵 蒋路 马欣伯 张清文 朱焰煌 谭晋鹏 程志敏 娄峰 金晓飞 苏磊
本规程主要审查人员 :肖绪文 聂建国 罗永峰 李正良 顾强 完海鹰 舒兴平 李霆 丁大益 朱勇军
条文说明
中华人民共和国行业标准
钢板剪力墙技术规程
JGJ/T380-2015
条文说明
制订说明 《钢板剪力墙技术规程》JGJ/T380-2015经住房和城乡建设部于2015年11月9日以第947号公告批准发布。 本规程制订过程中,编制组对我国钢板剪力墙结构近年来的发展、技术进步和工程应用情况进行了大量的调查研究,总结了国内外钢板剪力墙工程建设成熟的实践经验,并进行了多项试验研究;同时参考了国外的技术法规、技术标准,并广泛征求了意见。 为了便于广大工程技术人员、科研和学校的相关人员在使用本技术规程时能正确理解和执行条文规定,《钢板剪力墙技术规程》编制组按章、节、条顺序编制了本规程的条文说明,对条文规定的目的、依据以及执行中需注意的有关事项进行了说明。但是,本条文说明不具备与规程正文同等的法律效力,仅供使用者作为理解和把握规程规定的参考。
1 总则
1 总 则
1.0.1 为在钢板剪力墙的设计、制作安装及验收过程中做到技术先进、经济合理、安全适用、确保质量,制定本规程。
条文说明
1.0.1本条是钢板剪力墙结构设计、制作安装及验收过程中必须遵循的基本原则。
1.0.2 本规程适用于非加劲钢板剪力墙、加劲钢板剪力墙、防屈曲钢板剪力墙、钢板组合剪力墙、开缝钢板剪力墙的设计、制作安装及验收。
条文说明
1.0.2本条明确指出本规程适用于工业与民用建筑和一般构筑物中钢板剪力墙结构设计、制作安装及验收,本规程中的各类钢板剪力墙适用于纯钢结构及组合结构。
1.0.3 钢板剪力墙的设计、制作安装及验收,除应符合本规程外,尚应符合国家现行有关标准的规定。
条文说明
1.0.3钢板剪力墙加工制作企业制定的企业验收标准不能低于本规程及现行有关国家标准和行业标准。
2 术语和符号
2.1 术语
2 术语和符号
2.1 术 语
2.1.1 钢板剪力墙 steel plate shear walls
承受水平剪力为主的钢板墙体。
2.1.2 非加劲钢板剪力墙 unstiffened steel plate shear walls
仅由内嵌钢板构成的钢板剪力墙。
2.1.3 加劲钢板剪力墙 stiffened steel plate shear walls
在内嵌钢板上加设钢加劲肋以增加平面外刚度的钢板剪力墙。
2.1.4 防屈曲钢板剪力墙 buckling-restrained steel plate shear walls
在内嵌钢板面外设置刚性约束构件以抑制平面外屈曲,使内嵌钢板达到充分耗能的钢板剪力墙。
2.1.5 钢板组合剪力墙 composite steel plate and concrete shear walls
由两侧外包钢板和中间内填混凝土组合而成并共同工作的钢板剪力墙。
2.1.6 开缝钢板剪力墙 steel plate shear walls with slits
在内嵌钢板上开设具有一定间距缝隙的钢板剪力墙。
2.1.7 四边连接 four-side connections
钢板剪力墙四边与周边框架连接。
2.1.8 两边连接 two-side connections
钢板剪力墙上下两边仅与框架梁连接。
2.1.9 鱼尾板 fish plates
用于钢板墙与框架之间连接使用的连接钢板。
2.2 符号
2.2 符 号
2.2.1 计算指标
E——钢材的弹性模量;
E c ——混凝土的弹性模量;
f——钢材的抗拉、抗压和抗弯强度设计值;
f c ——混凝土的轴心抗压强度设计值;
f sty ——栓钉的抗拉屈服强度;
f v ——钢材的抗剪强度设计值;
f vy ——钢材的抗剪屈服强度;
f u ——钢板剪力墙所用钢材的极限抗拉强度最小值;
f y ——钢材的屈服强度;
G——钢材的剪变模量;
M——剪力墙的弯矩设计值;
M u,N ——钢板组合剪力墙在轴压力作用下的受弯承载力设计值;
N——剪力墙的轴压力设计值;
N t ——单个高强度螺栓拉力设计值;
N v ——单个高强度螺栓剪力设计值;
P——边缘柱轴力设计值;
P 1 ——边缘柱端组合的最不利轴力设计值;
q——拉力带拉力设计值沿边缘柱单位高度方向产生的竖向分量;
T st ——单个栓钉或对拉螺栓的拉力设计值;
T ust ——单个栓钉的受拉承载力设计值;
V——钢板剪力墙的剪力设计值;
V d ——开缝钢板剪力墙的弹性承载力设计值;
V u ——钢板剪力墙的受剪承载力设计值;
V v ——板上倾覆力矩M 1 引起的螺栓竖向剪力,各螺栓分担的剪力按线性分布;
ε u1 ——杆受拉达到极限抗拉强度时对应应变;
ε u2 ——杆受压达到极限抗压强度时对应应变;
ε y1 ——杆受拉时的屈服应变;
ε y2 ——杆受压时的屈服应变;
v——钢材的泊松比;
σ u1 ——杆受拉时的极限抗拉强度;
σ u2 ——杆受压时的极限抗压强度;
σ y ——防屈曲钢板剪力墙简化模型中杆屈服强度;
σ y1 ——非加劲钢板剪力墙简化模型中杆受拉时屈服强度;
σ y2 ——非加劲钢板剪力墙简化模型中杆受压时屈服强度;
[θ p ]——弹塑性层间位移角限值;
τ——外荷载作用下钢板剪力墙产生的剪应力设计值;
τ cr ——焊接加劲钢板剪力墙弹性剪切屈曲临界应力;
τ crb ——栓接加劲钢板剪力墙钢板弹性剪切屈曲临界应力;
τ cr0 ——未加劲钢板剪力墙的剪切屈曲临界应力;
τ crp ——钢板剪力墙小区格的剪切屈曲临界应力;
τ u ——钢板剪力墙极限抗剪强度设计值。
2.2.2 几何参数
A 0 ——单个高强度螺栓承担拉力带的截面面积;
A 1 ——单向杆的截面面积;
A 2 ——开缝钢板剪力墙简化模型中竖杆截面面积;
A 3 ——开缝钢板剪力墙简化模型中斜杆截面面积;
A c ——剪力墙截面的混凝土面积;
A cc ——受压混凝土面积;
A s ——剪力墙截面的钢板总面积;
A sfc ——垂直于剪力墙受力平面的受压钢板面积;
A sft ——垂直于剪力墙受力平面的受拉钢板面积;
A st ——栓钉钉杆截面面积;
A sw ——平行于剪力墙受力平面的钢板面积;
A swc ——平行于剪力墙受力平面的受压钢板面积;
A swt ——平行于剪力墙受力平面的受拉钢板面积;
b——开缝钢板剪力墙缝间小柱宽度;
b f ——加劲肋的宽度;
D——单位宽度钢板剪力墙的弯曲刚度;
d cc ——受压混凝土的合力作用点到剪力墙截面形心的距离;
d sfc ——垂直于剪力墙受力平面的受压钢板合力作用点到剪力墙截面形心的距离;
d sft ——垂直于剪力墙受力平面的受拉钢板合力作用点到剪力墙截面形心的距离;
d swc ——平行于剪力墙受力平面的受压钢板合力作用点到剪力墙截面形心的距离;
d swt ——平行于剪力墙受力平面的受拉钢板合力作用点到剪力墙截面形心的距离;
EA——钢板组合剪力墙的截面轴压刚度;
E c A c ——钢板组合剪力墙混凝土部分的截面轴压刚度;
E s A s ——钢板组合剪力墙钢板部分的截面轴压刚度;
EI——钢板组合剪力墙的截面弯曲刚度;
EI s ——加劲肋弯曲刚度;
E c I c ——钢板组合剪力墙混凝土部分的截面弯曲刚度;
E s I s ——钢板组合剪力墙钢板部分的截面弯曲刚度;
GA——钢板组合剪力墙的截面剪切刚度;
G c A c ——钢板组合剪力墙混凝土部分的截面剪切刚度;
G s A s ——钢板组合剪力墙钢板部分的截面剪切刚度;
H——钢板剪力墙的高度;
H c ——柱高;
H e ——钢板剪力墙的净高度;
h 1 ——钢板剪力墙区格高度;
I b ——边缘梁截面惯性矩;
I bmin ——钢板剪力墙边缘梁截面最小惯性矩;
I c ——边缘柱截面惯性矩;
I cmin ——钢板剪力墙边缘柱截面最小惯性矩;
I sx ——水平方向加劲肋的截面惯性矩;
I sy ——竖直方向加劲肋的截面惯性矩;
K——钢板剪力墙的水平刚度;
K 0 ——钢板剪力墙初始剪切刚度;
L——钢板剪力墙的宽度;
L b ——梁跨;
L e ——钢板剪力墙的净跨度;
l——等效支撑的长度;
l 1 ——钢板剪力墙区格宽度;
l 1max ——钢板剪力墙区格宽度l 1 与区格高度h 1 的较大值;
l max ——钢板剪力墙长边长度;
l min ——钢板剪力墙短边长度;
t c ——单侧混凝土盖板厚度;
t f ——加劲肋的厚度;
t sw ——剪力墙墙体单片钢板的厚度;
t w ——钢板剪力墙的厚度;
t wc ——钢板剪力墙墙体的厚度;
W ew ——缝间小柱的弹性截面弯曲模量;
W pc ——柱在剪力墙平面方向的塑性截面弯曲模量;
W pw ——缝间小柱的塑性截面弯曲模量;
λ——钢板剪力墙的相对高厚比;
λ n ——焊接加劲钢板剪力墙的正则化高厚比;
λ n0 ——非加劲钢板剪力墙的正则化高厚比;
λ s ——加劲肋宽厚比;
λ nb ——栓接加劲钢板剪力墙的正则化高厚比。
2.2.3 计算系数及其他
C 0 ——边缘柱刚度相关的折减系数;
C 1 ——加劲肋折减系数;
K 1 ——柱上端横梁线刚度之和与柱线刚度之比;
K 2 ——柱下端横梁线刚度之和与柱线刚度之比;
k r ——四边固接板的弹性抗剪屈曲系数;
k s ——四边简支板的弹性抗剪屈曲系数;
k sb ——考虑肋板刚度比影响的弹性抗剪屈曲系数;
n——轴压比;
n 1 ——墙板上端或下端高强度螺栓个数;
n 2 ——单向倾斜杆数量;
n b ——区格间加劲肋段上的螺栓数目;
n h ——墙板上侧或下侧与鱼尾板连接时设置的螺栓个数;
n v ——墙板左侧或右侧与鱼尾板连接时设置的螺栓个数;
α 1 、α 2 ——分别为十字加劲与交叉加劲情况下考虑屈曲后强度的极限承载力系数;
α st ——连接件拉力系数;
β——杆拉压强度比;
ε k ——钢号修正系数;
γ——钢板剪力墙的刚度折减系数;
ρ——考虑剪应力影响的钢板强度折减系数;
η——肋板弯曲刚度比;
η c ——混凝土盖板的面外约束刚度比;
η e ——钢板剪力墙边缘柱的变轴力等效系数;
η x 、η y ——分别为水平、竖直方向加劲肋的刚度参数;
k——剪切力分配系数;
φ s ——焊接加劲钢板剪力墙抗剪稳定系数;
φ sb ——栓接加劲钢板剪力墙抗剪稳定系数;
ψ——加劲肋刚度比;
ψ b ——与螺栓数目相关的折减系数;
ψ st ——考虑栓钉间距影响的调整系数;
ψ ym ——钢材超强系数。
3 基本规定
3.1 一般规定
3 基本规定
3.1 一般规定
3.1.1 应根据使用条件、建筑功能以及技术经济性能要求确定钢板剪力墙类型,可选用的类型包括非加劲钢板剪力墙(图3.1.1a、b)、加劲钢板剪力墙(图3.1.1c)、防屈曲钢板剪力墙(图3.1.1d)、钢板组合剪力墙(图3.1.1e)及开缝钢板剪力墙(图3.1.1f)等。

图3.1.1 钢板剪力墙的类型示意(一)
1-鱼尾板;2-边框梁;3-边框柱;4-内嵌钢板;5-螺栓连接;6-焊接连接;7-加劲肋;8-预制混凝土盖板;9-垫片

图3.1.1 钢板剪力墙的类型示意(二)
10-内填混凝土双侧外包钢板(内侧设置加劲肋和栓钉);11-高强度螺栓(摩擦型连接);12-竖向切割缝(激光或等离子切割);13-边缘加劲肋
3.1.2 钢板剪力墙平面布置宜规则、对称;竖向宜连续布置,承载力与刚度宜自下而上逐渐减小。同一楼层内同方向抗侧力构件宜采用同类型钢板剪力墙。
条文说明
3.1.2工程实例统计显示,在一个高层钢结构框架结构的抗侧力体系中,有采用不同种类的钢结构抗侧力构件(例如钢支撑、钢板剪力墙),也有钢板剪力墙在不同楼层采用不同类型的钢板剪力墙,同一层宜采用同类钢板剪力墙。
3.1.3 钢板剪力墙宜按不承受竖向荷载设计计算,并应采用相应的构造和施工措施来实现计算假定。当钢板剪力墙承受竖向荷载时,应考虑竖向荷载对受剪承载力的影响。
条文说明
3.1.3钢板剪力墙属于新型抗侧力构件,试验和理论研究成果是多基于钢板剪力墙承受水平荷载的基础上获得的。欧美日等国的抗震设计规范中,对钢板剪力墙的要求是不承担竖向荷载。建议整个结构按钢板剪力墙不承受竖向荷载进行设计分析,并采取连接构造和施工措施予以实现。
3.1.4 在罕遇地震作用下,周边框架梁柱不应先于钢板剪力墙破坏。
条文说明
3.1.4按性能化设计时,若结构在设防地震作用下进入塑性,则周边框架梁柱不应先于钢板剪力墙破坏。
3.1.5 钢板剪力墙的设计应符合下列规定:
1 钢板剪力墙的节点,不应先于钢板剪力墙和框架梁柱破坏;
2 与钢板剪力墙相连周边框架梁柱腹板厚度不应小于钢板剪力墙厚度;
3 钢板剪力墙上开设洞口时应按等效原则予以补强。
3.1.6 钢板剪力墙应根据主体结构类型与使用条件,采用合理的防腐与防火措施。钢板剪力墙防火应符合现行国家标准《钢结构设计规范》GB 50017的规定。
3.2 材料
3.2 材 料
3.2.1 钢板剪力墙钢材牌号宜采用Q235钢和Q345钢,钢材质量应分别符合现行国家标准《碳素结构钢》GB/T 700与《低合金高强度结构钢》GB/T 1591的规定。对考虑屈曲后强度的钢板剪力墙宜采用Q235GJ钢和Q345GJ钢,钢材质量应符合现行国家标准《建筑结构用钢板》GB/T 19879的规定。当有可靠依据时,可选用低屈服强度钢。
条文说明
3.2.1根据钢板剪力墙的性能和工程实例,本条给出了Q235钢和Q345钢。对性能要求更高的,可以采用综合性能良好的建筑结构用钢板(GJ钢)。当有可靠依据时,也可以采用低屈服强度钢,钢材质量应符合现行国家标准《建筑用低屈服强度钢板》GB/T28905的规定。低屈服强度钢是一种低强度高延性钢材,适用于防屈曲支撑等高延性构件,近年来国内有多项工程应用实例。
3.2.2 钢板剪力墙钢材质量等级宜选用B级及以上级别。焊接结构不应选用A级钢。当选用Q235钢材时,钢材材质应为镇静钢。
3.2.3 钢板剪力墙钢材性能应具有屈服强度、断后伸长率、抗拉强度、冷弯试验和硫、磷含量的合格保证,对焊接结构尚应具有碳当量的合格保证。
3.2.4 钢材的屈服强度实测值与抗拉强度实测值的比值不应大于0.85;钢材应有明显的屈服台阶,且伸长率不应小于20%。
3.2.5 钢板剪力墙钢板厚度不小于40mm时,宜选用建筑结构用GJ钢。
3.2.6 钢板剪力墙与框架梁柱相连接的鱼尾板的质量和性能要求不应低于钢板剪力墙。
3.2.7 钢板剪力墙中所用焊接材料应符合下列规定:
1 手工焊接焊条,应符合现行国家标准《非合金钢及细晶粒钢焊条》GB/T 5117或《低合金钢焊条》GB/T 5118的规定,焊条型号应与主体金属力学性能相适应;
2 自动焊或半自动焊用焊丝应符合现行国家标准《熔化焊用钢丝》GB/T 14957、《气体保护电弧焊用碳钢、低合金钢焊丝》GB/T 8110,以及《碳钢药芯焊丝》GB/T 10045、《低合金钢药芯焊丝》GB/T 17493的规定;
3 埋弧焊用焊丝和焊剂应符合现行国家标准《埋弧焊用碳素钢焊丝和焊剂》GB/T 5293、《埋弧焊用低合金钢焊丝和焊剂》GB/T 12470的规定。
3.2.8 钢板剪力墙紧固件材料应符合下列规定:
1 钢板剪力墙连接用4.6级与4.8级普通螺栓(C级螺栓)及5.6级与8.8级普通螺栓(A级或B级螺栓)的质量应符合现行国家标准《紧固件机械性能 螺栓、螺钉和螺柱》GB/T 3098.1和《紧固件公差 螺栓、螺钉、螺柱和螺母》GB/T 3103.1的规定。C级螺栓与A级、B级螺栓的规格和尺寸应分别符合现行国家标准《六角头螺栓 C级》GB/T 5780与《六角头螺栓》GB/T 5782的规定。
2 圆柱头焊(栓)钉连接件的质量应符合现行国家标准《电弧螺柱焊用圆柱头焊钉》GB/T 10433的规定。
3 大六角高强度螺栓的质量应符合现行国家标准《钢结构用高强度大六角头螺栓》GB/T 1228、《钢结构用高强度大六角螺母》GB/T 1229、《钢结构用高强度垫圈》GB/T 1230、《钢结构用高强度大六角头螺栓、大六角螺母、垫圈技术条件》GB/T 1231的规定。扭剪型高强度螺栓的质量应符合现行国家标准《钢结构用扭剪型高强度螺栓连接副》GB/T 3632的规定。
3.2.9 钢板组合剪力墙的混凝土强度等级不应低于C25。
3.2.10 钢板组合剪力墙的钢筋宜采用HRB400、HRBF400、HRB500、HRBF500、HPB300、HRB335、HRBF335、RRB400钢筋。
3.3 设计指标
3.3 设计指标
条文说明
根据工程实例中用到的Q235钢、Q345钢和Q390钢的三种牌号钢材,提供钢材材料和所对应焊接材料的设计指标,以及螺栓连接强度指标。
3.3.1 钢板剪力墙中所用钢材的设计用强度指标,应根据钢材牌号、厚度按表3.3.1选用。
表3.3.1 钢材的设计用强度指标(N/mm 2 )

注:1.直径指实芯棒材,厚度系指计算点的钢材或钢管壁厚度,对轴心受拉和轴心受压构件系指截面中较厚板件的厚度。
2.冷弯型材和冷弯钢管强度设计值应按现行国家标准《冷弯薄壁型钢结构技术规范》GB 50018执行。
3.3.2 建筑结构用钢板的设计用强度指标,可根据钢材牌号和厚度按表3.3.2采用。
表3.3.2 建筑结构用钢板的设计用强度指标(N/mm 2 )

3.3.3 钢板剪力墙用焊缝的强度设计指标应按表3.3.3采用。
表3.3.3 焊缝强度设计指标(N/mm 2 )


注:1.手工焊用焊条、自动焊和半自动焊所采用的焊丝和焊剂,应保证熔敷金属的力学性能不低于母材的性能。
2.焊缝质量等级应符合现行国家标准《钢结构焊接规范》GB 50661的规定,焊缝检验方法应符合现行国家标准《钢结构工程施工质量验收规范》GB 50205的规定。厚度小于6.0mm钢材的对接焊缝,不应采用超声波探伤确定焊缝质量等级。
3.对接焊缝在受压区的抗弯强度设计值取f w c ,在受拉区的抗弯强度设计值取f w t 。
4.厚度系指计算点的钢材厚度,对轴心受拉和轴心受压构件系指截面中较厚板件的厚度。
3.3.4 钢板剪力墙用螺栓连接的强度指标应按表3.3.4采用。
表3.3.4 螺栓连接的强度指标(N/mm 2 )

注:1.A级螺栓用于d≤24mm和L≤10d或L≤150mm(按较小值)的螺栓;B级螺栓用于d>24mm和L>10d或L>150mm(按较小值)的螺栓;d为公称直径,L为螺栓公称长度。
2.A、B级螺栓孔的精度和孔壁表面粗糙度,C级螺栓孔的允许偏差和孔壁表面粗糙度,均应符合现行国家标准《钢结构工程施工质量验收规范》GB 50205的规定。
3.3.5 钢板剪力墙钢材的弹性模量和剪变模量应按表3.3.5采用。
表3.3.5 钢材弹性模量和剪变模量(×10 5 N/mm 2 )

3.3.6 混凝土和钢筋设计指标应符合现行国家标准《混凝土结构设计规范》GB 50010的规定。
3.4 变形限值
3.4 变形限值
条文说明
编制组通过77个试件的试验研究分析,分别对非加劲钢板剪力墙(12个试件)、加劲钢板剪力墙(11个试件)、防屈曲钢板剪力墙(13个试件)、钢板组合剪力墙(35个试件)、开缝钢板剪力墙(6个试件)试验构件,考虑试件屈服位移角、峰值位移角、延性系数等因素,得到了层间位移角限值。在此基础上,综合试验研究和实际工程经验,分别对不同的钢板剪力墙类型给出了两个层间位移角限值。 根据国内外的试验结果,以外层钢板屈服时的位移角作为钢板组合剪力墙的弹性层间位移角限值,以极限位移角作为弹塑性层间位移角限值。钢板组合剪力墙的变形能力介于钢筋混凝土剪力墙与钢板剪力墙之间,且与外包钢板对内填混凝土提供的约束效应密切相关。根据已有的试验,在工程应用范围的轴压比限值内,钢板组合剪力墙的极限位移角小于纯钢板剪力墙。
3.4.1 在风荷载和多遇地震作用下,非加劲钢板剪力墙、加劲钢板剪力墙、防屈曲钢板剪力墙和开缝钢板剪力墙弹性层间位移角不宜大于1/250;钢板组合剪力墙弹性层间位移角不宜大于1/400。
3.4.2 在罕遇地震作用下,非加劲钢板剪力墙、加劲钢板剪力墙、防屈曲钢板剪力墙和开缝钢板剪力墙弹塑性层间位移角不宜大于1/50;钢板组合剪力墙弹塑性层间位移角不宜大于1/80。
4 非加劲钢板剪力墙
4.1 一般规定
4 非加劲钢板剪力墙
4.1 一般规定
4.1.1 非加劲钢板剪力墙可利用钢板屈曲后强度承担剪力。
4.1.2 非加劲钢板剪力墙宜在主体结构封顶后与周边框架进行连接。
条文说明
4.1.2非加劲钢板剪力墙使用过程中,钢板不宜承担竖向荷载。实际工程中可通过主体结构封顶或大部分竖向荷载施加完毕后,再完成墙板与周边框架的连接,而在此之前仅作临时固定。
4.1.3 非加劲钢板剪力墙与周边框架可采用四边连接或两边连接。
条文说明
4.1.3四边连接非加劲钢板剪力墙是指墙板四周均与周边框架梁、柱相连的钢板剪力墙;两边连接非加劲钢板剪力墙是指仅与框架梁相连的钢板剪力墙;两边连接钢板剪力墙的承载力和刚度均低于四边连接钢板剪力墙,但两边连接钢板剪力墙可以在一跨分段布置,便于刚度调整,同时有利于门窗、洞口的开设。
4.1.4 承受竖向荷载的非加劲钢板剪力墙,应考虑竖向荷载对承载力的影响。
条文说明
4.1.4当钢板剪力墙与主体结构同步安装,宜考虑后期施工对钢板剪力墙受力性能产生的不利影响,可在结构计算中将墙板厚度tw折减为ψtw来考虑二者同步施工的影响。折减系数ψ可按下列公式计算: 
式中:X——主体结构在钢板剪力墙所在楼层的层间竖向压缩变形平均值△与层高H比值的100倍。 
上述计算公式依据不同厚度非加劲钢板剪力墙的数值分析结果拟合得到(图1)。对于高层混凝土结构与钢结构,宜符合下式规定:
4.1.5 非加劲钢板剪力墙的简化分析模型宜符合本规程附录A的规定;当有可靠依据时,也可采用其他分析模型。
4.1.6 非加劲钢板剪力墙的相对高厚比宜符合下列公式规定:

式中:λ——钢板剪力墙的相对高厚比;
H e ——钢板剪力墙的净高度(mm);
t w ——钢板剪力墙的厚度(mm);
ε k ——钢号修正系数,取 
;
f y ——钢材的屈服强度(N/mm 2 )。
条文说明
4.1.6利用屈曲后强度的非加劲钢板剪力墙,钢板高厚比越大相对越经济,但钢板过薄易产生较大的平面外初始几何缺陷,综合构件加工、制作及施工等因素确定钢板的最大相对高厚比为600。 
图1 主体结构楼层压缩量对钢板剪力墙厚度的折减系数
4.2 四边连接钢板剪力墙
4.2 四边连接钢板剪力墙
4.2.1 四边连接非加劲钢板剪力墙的受剪承载力应符合下列公式规定:

式中:V——钢板剪力墙的剪力设计值(N);
V u ——钢板剪力墙的受剪承载力设计值(N);
f——钢材的抗拉、抗压和抗弯强度设计值(N/mm 2 );
L e ——钢板剪力墙的净跨度(mm)。
条文说明
4.2.1四边连接非加劲钢板剪力墙依靠周边框架梁、柱的锚固作用使钢板产生很高的屈曲后强度,由于框架梁、柱的锚固作用远大于钢梁中翼缘和加劲肋对梁腹板的锚固作用,因此利用屈曲后强度的钢板剪力墙受剪承载力远高于利用屈曲后强度梁腹板的受剪承载力。当不考虑非加劲钢板剪力墙屈曲后强度时,相关设计方法可按现行行业标准《高层民用建筑钢结构技术规程》JGJ99执行。 高厚比是影响非加劲钢板剪力墙性能的一个重要参数,随着高厚比的增加,非加劲钢板剪力墙逐渐由平面内受剪转变为拉力带承载的方式,若将钢板剪力墙简化为一系列倾斜的只拉杆,且拉杆截面应力达到钢材屈服强度,可从理论上推导出钢板剪力墙的受剪承载力为0.5fLetw。考虑到实际应用中拉力带不能充分开展,并参考美国和加拿大规范关于非加劲钢板剪力墙的设计方法,偏于安全地考虑1.2的安全系数,即承载力取为0.42fLetw。对通用高厚比小于200的钢板剪力墙,当有可靠依据时可考虑受剪承载力的提高。 结构体系分析时,四边连接非加劲钢板剪力墙可简化为附录A中的混合杆系模型,钢板剪力墙跨高比影响简化分析模型中杆条的倾角,关于杆条与竖直方向夹角α的取值,可参考美国规范《NEHRPRecommendedProvisionsforSeismicRegulationsforNewBuildingsandOtherStructures》FEMA450和加拿大规范《DesignofSteelStructures》CSAS16按下式计算: 
式中:α——钢板剪力墙的拉力带与竖直方向的夹角; H——与钢板剪力墙相连框架梁的形心距离(mm); L——与钢板剪力墙相邻框架柱形心的距离(mm); Ab——与钢板剪力墙相连框架梁的截面积(mm2); Ac——与钢板剪力墙相连框架柱的截面积(mm2); Ic——框架柱在钢板剪力墙平面内的抵抗矩(mm4)。 当边缘框架构件的抵抗矩满足本规程第4.2.2条和第4.2.3条规定,且钢板剪力墙的跨高比大于1时,按照上式确定杆条倾角基本在38°~45°之间,混合杆系模型对上述范围内的α值并不敏感,在模型中将杆的倾角近似取45°。 清华大学、哈尔滨工业大学对于钢板剪力墙的简化分析模型做了大量的研究工作,研究结果表明钢板剪力墙高厚比逐渐增加过程中,拉压杆数量逐渐减少,只拉杆数量逐渐增多,是一个逐渐变化的过程。为简化分析,同时方便设计,拉压杆和只拉杆的数量比值建议取2:8。
4.2.2 非加劲钢板剪力墙边缘柱的截面惯性矩应符合下列公式规定:

式中:I c ——边缘柱截面惯性矩(mm 4 );
I cmin ——钢板剪力墙边缘柱截面最小惯性矩(mm 4 );
H c ——柱高,按与钢板剪力墙相连上下框架梁的轴线距离计算(mm);
L b ——梁跨,按与钢板剪力墙相连框架柱的轴线距离计算(mm);
t w ——钢板剪力墙的厚度(mm);
k——剪切力分配系数;
λ n0 ——非加劲钢板剪力墙的正则化高厚比;
k r ——四边固接板的弹性抗剪屈曲系数;
l min ——钢板剪力墙短边长度(mm);
l max ——钢板剪力墙长边长度(mm);
ε k ——钢号修正系数,取 
;
f y ——钢材的屈服强度(N/mm 2 )。
条文说明
4.2.2非加劲钢板剪力墙拉力场的发挥与边缘梁柱构件的抗弯刚度密切相关。当柱抗弯刚度不足时,在拉力场作用下将发生“沙漏”现象,拉力场的锚固朝梁上转移,不能形成“充分拉力场”。为接近“充分拉力场”,边缘构件应满足一定的锚固刚度要求。对上、下两侧都设有墙板的框架梁而言,由于上、下两侧拉力场竖向分量可基本抵消,则对框架梁锚固刚度可不作规定。而对于仅在单侧存在拉力场的边柱,美国规范《SeismicProvisionsforStructuralsteelBuildings》ANSI/AISC341及加拿大国家标准CAN/CSAS16均要求边柱的截面惯性矩符合下式要求: 
研究发现,上式只适用于极薄的墙板。当墙板稍厚时,经式(5)确定的边柱截面往往过大。为确定能适用到各类厚度非加劲肋的边柱刚度取值,依据墙板拉力场作用与剪切作用的定量比例关系,对上式进行修正,利用剪切力分配系数k对公式进行修正,使之适用于不同厚度的钢板剪力墙。
4.2.3 非加劲钢板剪力墙边缘梁的截面惯性矩应符合下列公式规定:

式中:I b ——边缘梁截面惯性矩(mm 4 );
I bmin ——钢板剪力墙边缘梁截面最小惯性矩(mm 4 )。
条文说明
4.2.3仅一侧与非加劲钢板剪力墙相连的框架梁,框架梁要有足够的刚度保证钢板剪力墙拉力带的充分开展,美国规范AISC341及加拿大国家标准CAN/CSAS16均给出了边梁的最小截面惯性矩取值,此处参考了美国和加拿大相关规范的规定。
4.2.4 非加劲钢板剪力墙边缘柱的轴力设计值可按下式计算:

式中:P——边缘柱轴力设计值(N);
P 1 ——边缘柱端组合的最不利轴力设计值(N);
q——拉力带拉力设计值沿边缘柱单位高度方向产生的竖向分量(N/mm);
η e ——钢板剪力墙边缘柱的变轴力等效系数,按本规程附录B采用。
条文说明
4.2.4系数ηe的作用是将柱中力等效到柱顶,将变轴力问题转化为常轴力问题,此时边缘柱的计算长度系数按现行国家标准《钢结构设计规范》GB50017无侧移框架柱计算长度系数表查得,不考虑变轴力作用的影响。边缘柱的稳定校核按现行国家标准《钢结构设计规范》GB50017执行。拉力场在边缘柱上产生的竖向分量q按式(6)计算,其中α为钢板剪力墙拉力带与竖直方向的夹角,按照本规程条文4.2.1的条文说明计算。 
式中:q——拉力带拉力设计值沿边缘柱单位高度方向产生的竖向分量(N/mm); f——钢材的抗拉、抗压和抗弯强度设计值(N/mm2); tw——钢板剪力墙的厚度(mm)。
4.3 两边连接钢板剪力墙
4.3 两边连接钢板剪力墙
4.3.1 两边连接非加劲钢板剪力墙的受剪承载力应符合下列公式规定:

式中:τ u ——钢板剪力墙极限抗剪强度设计值(N/mm 2 );
f v ——钢材的抗剪强度设计值(N/mm 2 );
λ——钢板剪力墙的相对高厚比;
ε k ——钢号修正系数,取 
。
条文说明
4.3.1考虑实际工程应用中两边连接钢板剪力墙尺寸要求,研究分析了钢板跨高比和相对高厚比变化对剪力墙滞回性能的影响,跨高比的变化范围为0.5~2.0,相对高厚比的变化范围为100~600,通过对大量分析结果的拟合,提出钢板剪力墙的受剪承载力计算公式。当钢板剪力墙的跨高比和高厚比超过上述限值时,两边连接钢板剪力墙的承载力需做专门研究确定。
4.3.2 两边连接钢板剪力墙宜在钢板两自由边设置加劲肋,加劲肋厚度不宜小于剪力墙钢板厚度,加劲肋设计宜符合下列公式规定:

式中:ψ——加劲肋刚度比;
v——钢材的泊松比;
b f ——加劲肋的宽度(mm);
t f ——加劲肋的厚度(mm);
ε k ——钢号修正系数,取 
。
条文说明
4.3.2两边连接钢板剪力墙的两侧自由边在受力过程中易过早出现平面屈曲变形,宜在墙板两自由边设置加劲肋。基于弹性屈曲理论,设置加劲肋受剪板的弹性屈曲承载力应与侧边约束受剪板的弹性屈曲承载力相等为原则(即限制自由边平面外变形时钢板的屈曲系数和设置加劲肋后钢板的屈曲系数相等),提出了加劲肋的最小刚度限值;同时加劲肋的截面高宽比不能太大,防止在受力过程中出现局部屈曲。
4.4 构造要求
4.4 构造要求
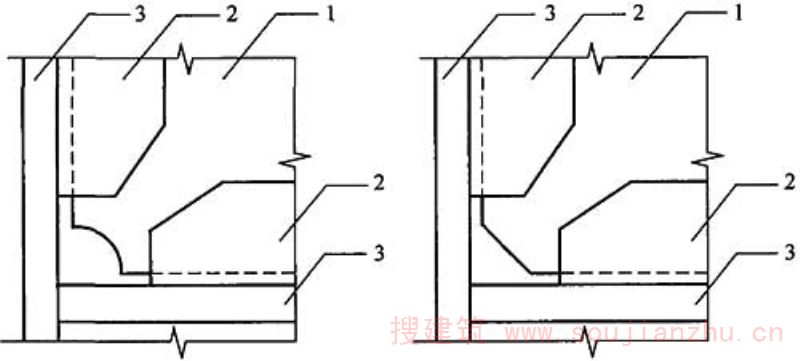
4.4.1 非加劲钢板剪力墙与框架梁、框架柱可采用鱼尾板过渡连接方式(图4.4.1)。鱼尾板与边缘构件宜采用焊接连接,鱼尾板厚度应大于钢板厚度。
条文说明
4.4.1非加劲钢板剪力墙与边缘构件的连接,可采用鱼尾板过渡的连接方式。设计实践证明,钢板剪力墙与鱼尾板的连接采用栓接方式时,由于螺栓孔的加工偏差以及主体结构的变形均可能造成钢板剪力墙的安装困难,故对螺栓孔的加工精度提出了很高的要求;而且在拉力场作用下,螺栓需要布置得较密才能满足强度要求,同时螺栓滑移而产生很大的噪声,舒适度差,故还应严格控制螺栓连接在风荷载及小震作用下所发生的滑移量。一般认为焊接具有较大的残余应力,且延性欠佳,不适用于钢板剪力墙的连接,但国内外针对非加劲钢板剪力墙的诸多试验结果均表明,采用焊接连接方式的墙板具有良好的延性,且高于一般延性钢框架,因而本条规定非加劲钢板剪力墙与边缘构件的连接宜采用焊接方式。
4.4.2 钢板与鱼尾板采用高强度螺栓连接时,单个高强度螺栓承受的剪力设计值和拉力设计值应按下列公式计算:

式中:N v ——单个高强度螺栓剪力设计值(N);
f u ——钢板剪力墙所用钢材的极限抗拉强度最小值(N/mm 2 );
N t ——单个高强度螺栓拉力设计值(N);
A 0 ——单个高强度螺栓承担拉力带的截面面积(mm 2 );
n h ——墙板上侧或下侧与鱼尾板连接时设置的螺栓个数;
n v ——墙板左侧或右侧与鱼尾板连接时设置的螺栓个数。

图4.4.1 角部不同的构造措施
1-鱼尾板;2-钢板;3-框架柱;4-框架梁;5-详图;6-详图
条文说明
4.4.2非加劲钢板剪力墙后期靠形成拉力带继续承载,拉力带内的应变较大,应力超过屈服强度,为避免螺栓连接时墙板与鱼尾板出现滑动,在设计中高强度螺栓所能够承担的最大剪力应能使其分担的钢板条带(图2所示阴影部分)达到极限抗拉强度,即式(7)。同时,对栓接节点的研究表明,钢板屈曲后对螺栓的面外作用力能够达到其屈服强度的10%,若不考虑该力的影响,螺栓处的钢板将容易发生滑移现象,因此在设计时每个螺栓所承受的拉力Nt按式(8)计算,拉力Nt垂直于钢板。设置单排螺栓难于满足上述要求时,可考虑设置多排螺栓,且在施工过程中应保证对螺栓施加足够的预紧力。 
式中:Nv——单个高强度螺栓剪力设计值(N); Nt——单个高强度螺栓拉力设计值(N); fu——钢板剪力墙所用钢材的极限抗拉强度最小值(N/mm2); A0——单个高强度螺栓承担拉力带的截面面积(mm2)。 
图2螺栓受力简图 Nt——单个高强度螺栓拉力;Nv——单个高强度螺栓剪力
5 加劲钢板剪力墙
5.1 一般规定
5 加劲钢板剪力墙
5.1 一般规定
5.1.1 加劲钢板剪力墙承载力计算时,可采用钢板剪力墙屈曲为承载力极限状态或考虑屈曲后强度。利用钢板剪力墙屈曲后强度时,边缘柱的截面惯性矩应符合本规程公式(4.2.2-1)的规定。
5.1.2 加劲钢板剪力墙与边缘构件可采用焊接或高强度螺栓连接,剪力墙与边缘构件间宜采用鱼尾板过渡。
5.1.3 加劲钢板剪力墙的加劲肋与内嵌钢板可采用焊接或螺栓连接。
5.1.4 加劲钢板剪力墙的加劲肋可采用水平布置(图5.1.4a)、竖向布置(图5.1.4b)、水平与竖向混合布置(图5.1.4c)以及斜向交叉布置(图5.1.4d)。

图5.1.4 加劲肋的布置形式示意(一)
1-框架梁;2-框架柱;3-钢板;4-加劲肋

图5.1.4 加劲肋的布置形式示意(二)
1-框架梁;2-框架柱;3-钢板;4-加劲肋
条文说明
5.1.4工程中应用的加劲钢板剪力墙,加劲肋的布置形式主要取决于荷载作用形式,加劲肋的布置形式主要有图5.1.4中的几种。
5.1.5 加劲钢板剪力墙的加劲肋宜采用单板、开口或闭口截面形式的热轧型钢或冷弯薄壁型钢等加劲构件(图5.1.5-1、图5.1.5-2),可单侧布置或双侧布置。

图5.1.5-1 焊接加劲肋示意(一)
1-钢板;2-加劲肋

图5.1.5-1 焊接加劲肋示意(二)
1-钢板;2-加劲肋

图5.1.5-2 栓接加劲肋示意
1-钢板;2-加劲肋;3-高强螺栓
5.1.6 当水平加劲肋与竖向加劲肋混合布置时,竖向加劲肋宜通长布置。
条文说明
5.1.6当有多道竖向加劲肋时,考虑到竖向加劲肋需要为拉力带提供锚固刚度,故以通长布置为好。
5.2 焊接加劲钢板剪力墙
5.2 焊接加劲钢板剪力墙
5.2.1 焊接加劲肋的最小弯曲刚度应符合下列公式规定:

式中:η x 、η y ——分别为水平、竖直方向加劲肋的刚度参数;
E——钢材的弹性模量(N/mm 2 );
I sx 、I sy ——分别为水平、竖直方向加劲肋的截面惯性矩(mm 4 ),可考虑加劲肋与钢板剪力墙有效宽度组合截面,单侧加劲时钢板剪力墙的有效宽度可取15倍的钢板厚度;
D——单位宽度钢板剪力墙的弯曲刚度(N·mm);
v——钢材的泊松比;
h 1 、l 1 ——分别为钢板剪力墙区格高度和宽度(mm)。
5.2.2 采用单板作为加劲肋时,加劲钢板剪力墙的弹性剪切屈曲临界应力τ cr 可按本规程附录C计算。采用其他形式加劲肋时,加劲钢板剪力墙的弹性剪切屈曲临界应力可采用数值计算确定。
5.2.3 采用以加劲钢板剪力墙的屈曲状态为承载力极限状态时,受剪承载力应符合下列公式规定:

式中:τ——外荷载作用下钢板剪力墙产生的剪应力设计值(N/mm 2 );
f v ——钢材的抗剪强度设计值(N/mm 2 );
f vy ——钢材的抗剪屈服强度(N/mm 2 );
φ s ——焊接加劲钢板剪力墙抗剪稳定系数;
λ n ——焊接加劲钢板剪力墙的正则化高厚比;
τ cr ——焊接加劲钢板剪力墙弹性剪切屈曲临界应力(N/mm 2 )。
条文说明
5.2.1~5.2.3参考现行国家标准《钢结构设计规范》GB50017中的相关规定。
5.2.4 考虑加劲钢板剪力墙屈曲后强度设计且加劲肋为钢板条时,加劲肋宽厚比应符合下式规定:

式中:λ s ——加劲肋宽厚比,为加劲肋板件外伸宽度与厚度之比。
5.2.5 考虑加劲钢板剪力墙屈曲后强度设计且加劲肋为钢板条时,受剪承载力应符合下列规定:

式中:τ——外荷载作用下钢板剪力墙产生的剪应力设计值(N/mm 2 );
f v ——钢材的抗剪强度设计值(N/mm 2 );
C 0 ——边缘柱刚度相关的折减系数,取0.87;
C 1 ——加劲肋折减系数,当加劲肋为平钢板时,按公式(5.2.5-5)计算,当加劲肋为其他形式时取为1.0;
α 1 、α 2 ——分别为十字加劲与交叉加劲情况下考虑屈曲后强度的极限承载力系数;
λ n0 ——非加劲钢板剪力墙的正则化高厚比,按本规程公式(4.2.2-4)计算;
η——肋板弯曲刚度比;
EI s ——加劲肋弯曲刚度(N·mm 2 );
l 1max ——钢板剪力墙区格宽度l 1 与区格高度h 1 的较大值(mm)。
条文说明
5.2.5研究表明,即便对于框架柱弯曲刚度足够大的厚钢板剪力墙,由于残余应力与面外初始缺陷的影响,其受剪承载力同样无法达到fvy,折减系数C0按式(9)计算,边柱与钢板剪力墙刚度比β0不应大于1.0,由于本规程5.1.1要求框架柱截面惯性矩在阈值以上,故此处刚度比β0应取为1.0,计算值为0.87。 
式中:C0——边缘柱刚度相关的折减系数; β0——边柱与钢板剪力墙刚度比。 考虑到平钢板作为加劲肋时容易发生局部屈曲进而丧失对钢板剪力墙的面外约束能力,引入折减系数C1。
5.3 栓接加劲钢板剪力墙
5.3 栓接加劲钢板剪力墙
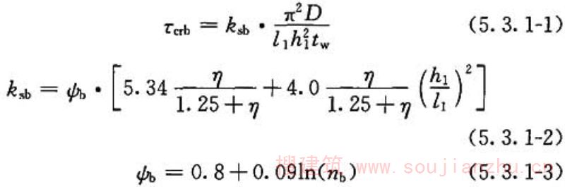
5.3.1 螺栓连接的加劲钢板剪力墙的弹性剪切屈曲临界应力应按下列公式计算:

式中:k sb ——考虑肋板刚度比影响的弹性抗剪屈曲系数;
D——单位宽度钢板剪力墙的弯曲刚度(N·mm),按公式(5.2.1-5)计算;
l 1 ——钢板剪力墙区格宽度(mm);
h 1 ——钢板剪力墙区格高度(mm);
t w ——钢板剪力墙的厚度(mm);
η——肋板弯曲刚度比,按公式(5.2.5-6)计算;
ψ b ——与螺栓数目相关的折减系数;
n b ——区格间加劲肋段上的螺栓数目。
条文说明
5.3.1研究表明,同时考虑加劲肋的弯曲刚度和扭转刚度时,区格内子板的弹性抗剪屈曲系数可表示为式(10)。一般单排螺栓连接的加劲钢板剪力墙并不考虑扭转刚度的作用,因此式(10)中一般ξ取0。 
式中:ks0——考虑肋板抗弯及抗扭刚度比影响的弹性抗剪屈曲系数; l1——钢板剪力墙区格宽度(mm); h1——钢板剪力墙区格高度(mm); ξ——肋板扭转刚度比; η——肋板弯曲刚度比。
5.3.2 螺栓连接的加劲钢板剪力墙且以加劲钢板剪力墙屈曲作为承载力极限状态时,受剪承载力应符合下列公式规定:

式中:τ——外荷载作用下钢板剪力墙产生的剪应力设计值(N/mm 2 );
f vy ——钢材的抗剪屈服强度(N/mm 2 );
f v ——钢材的抗剪强度设计值(N/mm 2 );
φ sb ——栓接加劲钢板剪力墙抗剪稳定系数;
λ nb ——栓接加劲钢板剪力墙的正则化高厚比;
τ crb ——栓接加劲钢板剪力墙钢板弹性剪切屈曲临界应力(N/mm 2 )。
条文说明
5.3.2研究表明,栓接钢板剪力墙抗剪稳定系数与正则化高厚比之间的表达式φsb—λnb可偏于安全地采用公式(5.2.3-3)给出的表达式φs—λn。
5.4 构造要求
5.4 构造要求
5.4.1 焊接或栓接加劲钢板剪力墙纵横加劲肋划分的钢板区格宽高比宜等于1,区格宽厚比应符合下列公式规定:

式中:l 1 ——钢板剪力墙区格宽度(mm);
h 1 ——钢板剪力墙区格高度(mm);
t w ——钢板剪力墙的厚度(mm);
ε k ——钢号修正系数,取 
;
f y ——钢材的屈服强度(N/mm 2 )。
5.4.2 栓接加劲钢板剪力墙型钢加劲肋与内嵌钢板可采用高强度螺栓连接,螺栓连接强度计算应符合现行国家标准《钢结构设计规范》GB 50017的有关规定。
5.4.3 热轧型钢或冷弯薄壁型钢用作栓接加劲钢板剪力墙的加劲肋时,双列螺栓连接时可考虑加劲肋扭转刚度对约束内嵌钢板屈曲的贡献。
5.4.4 加劲肋与边缘构件不宜直接连接。加劲肋与边缘构件直接焊接或采用其他方式直接连接时,宜考虑边缘构件对加劲肋的不利影响。
条文说明
5.4.4 设置加劲肋主要是帮助内嵌钢板延迟钢板剪力墙屈曲或防止钢板剪力墙屈曲,故加劲肋与边缘构件不宜直接连接,以避免加劲肋直接承受边缘构件的不利作用。否则要考虑边缘构件对加劲肋的不利影响。
6 防屈曲钢板剪力墙
6.1 一般规定
6 防屈曲钢板剪力墙
6.1 一般规定
6.1.1 防止钢板屈曲的构件可采用混凝土盖板,也可采用型钢。
6.1.2 防屈曲钢板剪力墙设计中,不应考虑混凝土盖板或型钢与钢板剪力墙的粘结作用,且不应考虑其对钢板抗侧刚度和承载力的贡献。
6.1.3 防止钢板屈曲的构件应能向钢板提供持续的面外约束。
6.1.4 防屈曲钢板剪力墙与周边框架可采用四边连接或两边连接。
6.1.5 防屈曲钢板剪力墙的简化分析模型宜按本规程附录D的规定采用;当有可靠依据时,可采用其他分析模型。
6.1.6 防屈曲钢板剪力墙的高厚比宜符合下列公式规定:

式中:λ——钢板剪力墙的相对高厚比;
H e ——钢板剪力墙的净高度(mm);
t w ——钢板剪力墙的厚度(mm);
ε k ——钢号修正系数,取 
;
f y ——钢材的屈服强度(N/mm 2 )。
条文说明
6.1.6当钢板剪力墙的相对高厚比小于100时,钢板主要以平面内受剪来抵抗水平剪力,此时设置混凝土盖板来限制钢板的平面外屈曲,对提高钢板剪力墙的承载力和耗能能力的作用不大,实际应用时防屈曲钢板剪力墙中的钢板高厚比大于200时更为经济。
6.2 承载力计算
6.2 承载力计算
6.2.1 四边连接防屈曲钢板剪力墙受剪承载力应符合下列公式规定:

式中:V——钢板剪力墙的剪力设计值(N);
V u ——钢板剪力墙的受剪承载力设计值(N);
L e ——钢板剪力墙的净跨度(mm);
f——钢材的抗拉、抗压和抗弯强度设计值(N/mm 2 )。
条文说明
6.2.1四边连接防屈曲钢板剪力墙中剪力应全部由钢板承担。为精确模拟防屈曲钢板剪力墙,哈尔滨工业大学、清华大学的研究工作给出了一种适用于防屈曲钢板剪力墙的混合杆系模型。与非加劲四边连接钢板剪力墙类似,混合杆系模型中分为拉压杆和只拉杆,杆条均匀分布于框架中,杆条与竖直方向夹角近似取为45°,可参照附录D。参数分析结果表明:对于防屈曲钢板剪力墙,当混凝土盖板厚度达到一定幅值后,拉压杆和只拉杆数目比值保持为4:6,采用与非加劲钢板剪力墙相同的计算方法,得到防屈曲钢板剪力墙的受剪承载力计算公式。
6.2.2 两边连接防屈曲钢板剪力墙受剪承载力应符合下列公式规定:

式中:f v ——钢材的抗剪强度设计值(N/mm 2 );
ε k ——钢号修正系数,取 
。
6.3 构造要求
6.3 构造要求
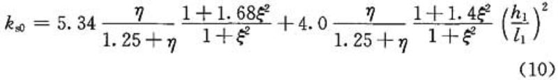
6.3.1 混凝土盖板与周边框架之间应预留间隙,每侧间隙a不应小于预留间隙下限值△。预留间隙下限值应按下列公式计算:

式中:[θ p ]——弹塑性层间位移角限值,可取1/50。
条文说明
6.3.1防屈曲钢板剪力墙的设计原则是小震作用下混凝土盖板不参与受力,仅作为钢板的面外约束而存在;在大震作用下,预制混凝土盖板可参与受力,预制混凝土盖板先在角部与周边框架接触,随后接触面不断增大,混凝土盖板开始与钢板共同承担水平荷载,此时混凝土盖板的加入,可以补偿因部分钢板发生局部屈曲而造成的刚度损失。每侧间隙的大小可依据大震下高层建筑钢结构的弹塑性层间位移角限值确定,见图3。 间隙a的上限值由约束构件和边框梁之间边距内的钢板屈曲控制。相关试验和有限元研究表明,间隙a范围内的板承担的两短边的压应力,且压应力分布较为均匀,板件在受压作用下屈曲。将间隙a范围内的板看作为一长边夹支,另外三边可以考虑框架嵌固作用的均匀受压板。通过上述简化,获得了高为a的均匀受压窄板。受压窄板屈曲应不先于板的屈服,就可以有效控制间隙a范围内板的屈曲,并要求板段满足σcr不小于fy,间隙a的上限值可取为17tw·εk。 
图3混凝土盖板与框架缝隙 He-钢板剪力墙的净高度;θp-弹塑性层间位移角限值;△-混凝土盖板与周边框架之间应预留间隙下限值
6.3.2 内嵌钢板与两侧混凝土盖板可采用螺栓连接。内嵌钢板的螺栓孔直径宜比连接螺栓直径大2.0mm~2.5mm,混凝土盖板螺栓孔直径不应小于内嵌钢板的螺栓孔直径。相邻螺栓中心距离与内嵌钢板厚度的比值不宜大于100。
条文说明
6.3.2在防屈曲钢板剪力墙的设计中,连接螺栓的最大间距以及混凝土盖板最小厚度是两个重要参数。这两个参数相互影响,共同决定防屈曲钢板剪力墙的承载性能。本条取100作为螺栓中心间距与钢板厚度比值的限值,主要依据清华大学的研究及美国规范AISC341有关工字形钢梁腹板在剪切荷载作用下防止产生局部屈曲的限值。
6.3.3 约束钢板平面外屈曲的混凝土盖板按两面设置时,单侧混凝土盖板的约束刚度比η c 应符合下列公式规定:

式中:η c ——混凝土盖板的面外约束刚度比;
E c ——混凝土的弹性模量,按现行国家标准《混凝土结构设计规范》GB 50010执行(N/mm 2 );
t c ——单侧混凝土盖板厚度(mm);
k s ——四边简支板的弹性抗剪屈曲系数。
条文说明
6.3.3对混凝土盖板的厚度要求是通过对约束刚度比ηc进行限制来实现的,该参数的物理意义是混凝土盖板的剪切屈曲荷载与内嵌钢板剪切屈服荷载的比值。清华大学的分析表明:在螺栓最大间距满足本条规定的情况下,混凝土盖板的最小厚度主要由内嵌钢板的高厚比决定,据此给出了混凝土盖板临界约束刚度的计算公式。只有螺栓间距与混凝土盖板厚度同时满足要求,混凝土盖板才能有效限制钢板的平面外屈曲变形,从而提高钢板剪力墙的耗能能力。
6.3.4 防屈曲钢板剪力墙中单侧混凝土盖板厚度不宜小于100mm,且应双层双向配筋,每个方向的单侧配筋率均不应小于0.2%,且钢筋最大间距不宜大于200mm。
6.3.5 防屈曲钢板剪力墙应在混凝土盖板的双层双向钢筋网之间设置连系钢筋,并应在板边缘处做加强处理。
条文说明
6.3.5防屈曲钢板剪力墙应在板边缘处做加强处理,通常可采用在混凝土盖板四周设置直径不应小于10mm的2根周边钢筋等措施。
6.3.6 混凝土盖板可分块设置,设计计算应考虑由此产生的不利影响。
条文说明
6.3.6考虑到在实际应用中,尺寸较大(大于2m×2m)的混凝土盖板不便运输与施工,故本条允许对混凝土盖板进行分块,但应考虑由此带来的不利影响如刚度、强度等。
6.3.7 防屈曲钢板剪力墙与边缘构件宜采用鱼尾板过渡,鱼尾板与边缘构件宜采用焊接连接;鱼尾板与钢板剪力墙可采用焊接或高强度螺栓连接,混凝土盖板与钢板剪力墙可采用对拉螺栓连接(图6.3.7)。

图6.3.7 防屈曲钢板剪力墙与周边框架的连接方式示意
1-钢梁;2-预制混凝土盖板;3-对拉螺栓;4-内嵌钢板;5-高强度螺栓;6-鱼尾板;7-焊缝
6.3.8 防屈曲钢板剪力墙安装完毕后,混凝土盖板与框架之间的间隙宜采用隔声的弹性材料填充,并宜用轻型金属架及耐火板材覆盖。
7 钢板组合剪力墙
7.1 一般规定
7 钢板组合剪力墙
7.1 一般规定
7.1.1 钢板组合剪力墙的墙体外包钢板和内填混凝土之间的连接构造(图7.1.1)可采用栓钉、T形加劲肋、缀板或对拉螺栓,也可混合采用这四种连接方式。

图7.1.1 钢板组合剪力墙构造示意
1-外包钢板;2-混凝土;3-栓钉;4-T形加劲肋;5-缀板;6-对拉螺栓
7.1.2 钢板组合剪力墙的墙体厚度与墙体钢板厚度的比值宜符合下式规定:

式中:t wc ——钢板剪力墙墙体的厚度(mm);
t sw ——剪力墙墙体单片钢板的厚度(mm)。
条文说明
7.1.2对应的墙体含钢率为2%~8%。日本规范规定的twc/tsw范围为30~200。
7.1.3 墙体钢板的厚度不宜小于10mm。
条文说明
7.1.3限制最小厚度是为了保证施工过程中钢板的稳定性能及栓钉的可焊性。限制最大厚度是为了保证钢板的焊接性能及塑性变形能力。现行行业标准《高层建筑混凝土结构技术规程》JGJ3规定的最小厚度为10mm,最大厚度为墙厚的1/15。美国规范AISC341规定的最小厚度为9.5mm。此处不规定最大厚度,最大厚度可参考本规程第7.1.2条。
7.1.4 当钢板组合剪力墙的墙体连接构造采用栓钉或对拉螺栓时,栓钉或对拉螺栓的间距与外包钢板厚度的比值应符合下式规定:

式中:s st ——墙体栓钉或对拉螺栓间距(mm);
ε k ——钢号修正系数,取 
;
f y ——钢材的屈服强度(N/mm 2 )。
条文说明
7.1.4日本规范中关于连接件间距与外包钢板厚度的比值(距厚比)的限值约为39。清华大学完成的试验中,距厚比为25、33、50的试件发生钢板局部屈曲时的位移角范围分别为1/94~1/88、1/86~1/85、1/181~1/104。为满足位移角1/80时(与大震位移角一致)墙体钢板不发生局部屈曲的目标,可将距厚比限值取为40。
7.1.5 当钢板组合剪力墙的墙体连接构造采用T形加劲肋时,加劲肋的间距与外包钢板厚度的比值应符合下式规定:

式中:s ri ——钢板组合剪力墙加劲肋的间距(mm);
ε k ——钢号修正系数,取 
。
条文说明
7.1.5当T形加劲肋具有足够刚度时,相邻加劲肋之间钢板的约束条件与矩形钢管混凝土中单片钢板的约束条件相似,因此加劲肋的间距与外包钢板厚度比值的限值可参照矩形钢管混凝土的宽厚比限值。
7.1.6 钢板组合剪力墙的墙体两端和洞口两侧应设置暗柱、端柱或翼墙,暗柱、端柱宜采用矩形钢管混凝土构件。
条文说明
7.1.6参考现行国家标准《建筑抗震设计规范》GB50011,宜设端柱或与另一侧墙相连。
7.1.7 结构内力和变形分析时,钢板组合剪力墙的刚度可按下列公式计算:

式中:EI——钢板组合剪力墙的截面弯曲刚度(N·mm 2 );
EA——钢板组合剪力墙的截面轴压刚度(N);
GA——钢板组合剪力墙的截面剪切刚度(N);
E s I s ——钢板组合剪力墙钢板部分的截面弯曲刚度(N·mm 2 );
E s A s ——钢板组合剪力墙钢板部分的截面轴压刚度(N);
G s A s ——钢板组合剪力墙钢板部分的截面剪切刚度(N);
E c I c ——钢板组合剪力墙混凝土部分的截面弯曲刚度(N·mm 2 );
E c A c ——钢板组合剪力墙混凝土部分的截面轴压刚度(N);
G c A c ——钢板组合剪力墙混凝土部分的截面剪切刚度(N)。
条文说明
7.1.7本条均采用弹性刚度。国外规范多采用考虑一定非线性的有效刚度,如增加0.85的折减系数。
7.2 承载力计算
7.2 承载力计算
7.2.1 考虑地震作用的钢板组合剪力墙的弯矩设计值、剪力设计值应符合现行国家标准《建筑抗震设计规范》GB 50011的规定。
7.2.2 压弯作用下钢板组合剪力墙受弯承载力可采用全截面塑性设计方法计算(图7.2.2),且应考虑剪力对钢板轴向强度的降低作用。钢板组合剪力墙受弯承载力计算应符合下列规定:

图7.2.2 压弯荷载作用下的截面应力分布


式中:N——剪力墙的轴压力设计值(N);
M——剪力墙的弯矩设计值(N·mm);
V——钢板剪力墙的剪力设计值(N);
f c ——混凝土的轴心抗压强度设计值(N/mm 2 );
f y ——钢材的屈服强度(N/mm 2 );
M u,N ——钢板组合剪力墙在轴压力作用下的受弯承载力设计值(N·mm);
A cc ——受压混凝土面积(mm 2 );
A sfc ——垂直于剪力墙受力平面的受压钢板面积(mm 2 );
A sft ——垂直于剪力墙受力平面的受拉钢板面积(mm 2 );
A swc ——平行于剪力墙受力平面的受压钢板面积(mm 2 );
A swt ——平行于剪力墙受力平面的受拉钢板面积(mm 2 );
d cc ——受压混凝土的合力作用点到剪力墙截面形心的距离(mm);
d sfc ——垂直于剪力墙受力平面的受压钢板合力作用点到剪力墙截面形心的距离(mm);
d sft ——垂直于剪力墙受力平面的受拉钢板合力作用点到剪力墙截面形心的距离(mm);
d swc ——平行于剪力墙受力平面的受压钢板合力作用点到剪力墙截面形心的距离(mm);
d swt ——平行于剪力墙受力平面的受拉钢板合力作用点到剪力墙截面形心的距离(mm);
ρ——考虑剪应力影响的钢板强度折减系数;
V u ——钢板剪力墙的受剪承载力设计值,按本规程第7.2.3条计算(N)。
条文说明
7.2.2美国规范《SpecificationforStructuralSteelBuildings》ANSI/AISC360在计算组合构件的压弯承载力时,给出了两种计算方法,一种是全截面塑性方法,另一种是应变协调法(类似于现行国家标准《混凝土结构设计规范》GB50010中钢筋混凝土构件的正截面承载力计算方法)。欧洲规范《Eurocode4:De-signofCompositeSteelandConcreteStructures-Part1-1:Gen-eralRulesandRulesforBuildings》BSEN1994-1-1:2004在计算组合构件的压弯承载力时,采用的都是全截面塑性方法。这里不采用应变协调法的原因有下列几点:①用应变协调法很难给出显式计算公式,计算非常复杂;②由于钢板对混凝土的约束作用,混凝土的变形能力远高于现行国家标准《混凝土结构设计规范》GB50010规定的极限压应变0.0038;③钢板对组合剪力墙的承载力贡献很大,如果采用混凝土的极限应变来控制截面的受弯承载力,过于保守。 本条文没有给出一个显式的计算公式,原因是塑性中和轴的位置有多种情况:①在墙体内;②在端柱内;③在端柱内侧的钢翼缘内。而对于一个确定截面的计算,根据平衡方法可试算出中和轴的位置,公式(7.2.2-1)相当于给出了一个计算塑性中和轴高度的方法。 式中ρ考虑了钢腹板的弯剪耦合作用,计算公式参照欧洲规范Eurocode4第6.2.2.4条的规定。
7.2.3 钢板组合剪力墙的受剪承载力应符合下列公式规定:

式中:V——钢板剪力墙的剪力设计值(N);
V u ——钢板剪力墙的受剪承载力设计值(N);
A sw ——平行于剪力墙受力平面的钢板面积(mm 2 )。
条文说明
7.2.3目前对钢管混凝土构件中混凝土对抗剪贡献的研究还不充分,因此保守取钢腹板的抗剪贡献。
7.2.4 考虑地震作用的钢板组合剪力墙在重力荷载代表值作用下的轴压比不宜超过表7.2.4中的轴压比限值,轴压比应按下式计算:

式中:n——轴压比;
N——剪力墙的轴压力设计值(N);
f c ——混凝土的轴心抗压强度设计值(N/mm 2 );
A c ——剪力墙截面的混凝土面积(mm 2 );
f y ——钢材的屈服强度(N/mm 2 );
A s ——剪力墙截面的钢板总面积(mm 2 )。
表7.2.4 钢板组合剪力墙墙肢轴压比限值

条文说明
7.2.4轴压比的限值和抗震等级同现行国家标准《建筑抗震设计规范》GB50011,但这里轴压比的计算中包含了钢板的贡献,因此相比钢筋混凝土剪力墙,轴压比限值放松了。
7.2.5 单个栓钉或对拉螺栓的拉力应符合下列公式规定:

式中:T st ——单个栓钉或对拉螺栓的拉力设计值(N);
T ust ——单个栓钉的受拉承载力设计值(N),对拉螺栓的受拉承载力按现行国家标准《钢结构设计规范》GB 50017的有关规定执行;
α st ——连接件拉力系数,可取为0.03;
t sw ——剪力墙墙体单片钢板的厚度(mm);
s sth ——栓钉水平方向的间距(mm);
f y ——钢材的屈服强度(N/mm 2 )。
条文说明
7.2.5栓钉或对拉螺栓的作用是使外包钢板和内填混凝土形成整体,防止两者相互分离。在压应力作用下,钢板具有向外发生局部屈曲的趋势,从而使栓钉和对拉螺栓承担拉力,该拉力与栓钉作用范围内钢板的压应力的合力呈正相关。日本规范中系数αst的范围为0.02~0.03,本条为简化计算将该系数定为0.03。
7.2.6 单个栓钉的受拉承载力应符合下列公式规定:

式中:A st ——栓钉钉杆截面面积(mm 2 );
f sty ——栓钉的抗拉屈服强度(N/mm 2 );
ψ st ——考虑栓钉间距影响的调整系数,当S st 不小于3h st 时,ψ st =1;当s st 小于3h st 时,应按公式(7.2.6-3)计算;
s st ——墙体栓钉或对拉螺栓间距(mm);
h st ——栓钉钉杆的高度(mm)。
条文说明
7.2.6栓钉受拉承载力计算参考美国规范《BrildingCodeRe-quirementsforStructuralConcreteandCommentary》ACI318。
7.3 构造要求
7.3 构造要求
7.3.1 栓钉连接件的直径不宜大于钢板厚度的1.5倍,栓钉的长度宜大于8倍的栓钉直径。

图7.3.2 T形加劲肋构造示意
1-外包钢板;2-T形加劲肋
条文说明
7.3.1栓钉的直径与钢板厚度的比值过大,栓钉焊接会影响钢板性能。栓钉应具有足够的长度,以防止栓钉被拔出而影响防止钢板屈曲的能力。
7.3.2 采用T形加劲肋的连接构造时,加劲肋的钢板厚度不应小于外包钢板厚度的1/5,且不应小于5mm。T形加劲肋腹板高度b 1 不应小于10倍的加劲肋钢板厚度,端板宽度b 2 不应小于5倍的加劲肋钢板厚度(图7.3.2)。
条文说明
7.3.2为防止钢板的局部屈曲,加劲肋应具有足够的刚度和锚固深度。
7.3.3 钢板组合剪力墙厚度超过800mm时,内填混凝土内可配置水平和竖向分布钢筋。分布钢筋的配筋率不宜小于0.25%,间距不宜大于300mm,且栓钉连接件宜穿过钢筋网片。
条文说明
7.3.3本条参考了现行国家标准《建筑抗震设计规范》GB50011关于一、二、三级抗震的分布钢筋要求。由于外侧钢板对内填混凝土有较强的约束作用,当墙体厚度较小时,可以不设钢筋网片。现行行业标准《高层建筑混凝土结构技术规程》JGJ3对内置钢板混凝土组合剪力墙的规定为:分布钢筋的配筋率不宜小于0.4%,间距不宜大于200mm,且应与钢板可靠连接。
7.3.4 钢板组合剪力墙厚度超过800mm时,墙体钢板之间宜设缀板或对拉螺栓等对拉构造措施。
7.3.5 墙体钢板与边缘钢构件之间宜采用焊接连接。
8 开缝钢板剪力墙
8.1 一般规定
8 开缝钢板剪力墙
8.1 一般规定
8.1.1 开缝钢板剪力墙宜用于抗震设防烈度为7度及以上地区的钢框架、钢管混凝土柱与钢梁或组合梁组成的框架中。
条文说明
8.1.1通过对竖缝的合理设计,在常遇地震及风荷载作用时,开缝钢板剪力墙可为结构提供部分抗侧刚度;而在结构遭遇罕遇地震作用时,墙肢缝端部分会形成塑性铰来耗能,缝端进入塑性也使墙板的抗侧刚度逐渐降低,从而减弱地震对建筑物的进一步破坏作用。因此开缝钢板剪力墙适宜用于中、高烈度区的建筑。 竖缝的开设对钢板剪力墙的刚度削弱较大,因此从经济角度出发,建议使用在已具有较高刚度的钢框架或组合框架中,不仅可补充框架结构刚度的不足,而且还可大大增强结构的延性和耗能能力。
8.1.2 因建筑布局或功能要求,采用其他抗侧力构件难以布置时,可采用开缝钢板剪力墙。
条文说明
8.1.2开缝钢板剪力墙的布置比较灵活,仅与框架梁连接,沿竖向可不连续或者错位布置,有利于建筑中门窗洞口的开设,可满足丰富建筑立面的需要。
8.1.3 当开缝钢板剪力墙用于层数小于18层的建筑时,可不考虑竖向荷载对剪力墙性能的不利影响。
条文说明
8.1.3一方面,开缝钢板剪力墙不与框架柱而仅与框架梁通过螺栓连接,螺栓一般在主体结构施工完成后再予拧紧,从而使钢板剪力墙在实际使用中仅承受少量装修荷载和活荷载;另一方面,根据宝钢与同济大学的试验研究,开缝钢板剪力墙具有较大的竖向荷载承受能力,完全可以承受18层建筑所累积的装修荷载和活荷载。
8.1.4 开缝钢板剪力墙结构布置时,应使同层中同方向的钢板剪力墙极限承载力之和不大于框架柱的该方向塑性剪力之和。单根框架柱的塑性剪力设计值V uc 可按下式计算:

式中:W pc ——柱在剪力墙平面方向的塑性截面弯曲模量(mm 3 );
H c ——柱高,按与钢板剪力墙相连上下框架梁的轴线距离计算(mm)。
条文说明
8.1.4本条从钢板剪力墙布置数量方面出发,保证带竖缝钢板剪力墙的塑性发展先于框架柱,从而起到耗能构件的作用。
8.1.5 与开缝钢板剪力墙相连的上下框架梁的受弯、受剪承载力设计值应大于内力设计值的1.5倍。
条文说明
8.1.5本条为防止与剪力墙相连的梁因剪力墙倾覆力矩传递的局部横向力导致强度不足。由于结构设计中开缝钢板剪力墙用简化模型替代,因此所获得的与钢板剪力墙相连框架梁的内力设计值并未考虑开缝钢板剪力墙倾覆力矩的影响,故本条对钢梁内力设计值予以放大,还应考虑框架柱的刚度与框架梁相匹配,以保证实现“强柱弱梁”。
8.2 承载力与刚度计算
8.2 承载力与刚度计算
8.2.1 开缝钢板剪力墙的受剪承载力应符合下列公式规定:


式中:V——钢板剪力墙的剪力设计值(N);
V d ——开缝钢板剪力墙的弹性承载力设计值(N);
W cw ——缝间小柱的弹性截面弯曲模量(mm 3 );
n c ——柱状部条数;
b——开缝钢板剪力墙缝间小柱宽度(mm);
h——开缝钢板剪力墙缝高度(mm);
t w ——钢板剪力墙的厚度(mm)。
条文说明
8.2.1开缝钢板剪力墙柱状部包括缝间小柱和墙板两侧边缘处小柱。
8.2.2 开缝钢板剪力墙的极限受剪承载力应按下列公式计算:

式中:W pw ——缝间小柱的塑性截面弯曲模量(mm 3 );
ψ ym ——钢材超强系数,取ψ ym =1.15;
f y ——钢材的屈服强度(N/mm 2 )。
8.2.3 开缝钢板剪力墙(图8.2.3)的水平剪切刚度K可按下式计算:

式中:E——钢材的弹性模量(N/mm 2 );
G——钢材的剪变模量(N/mm 2 );
H c ——钢板剪力墙的净高度(mm);
L e ——钢板剪力墙的净跨度(mm);
t w ——钢板剪力墙的厚度(mm);
m——竖缝排数,一般为(2~3)道。

图8.2.3 开缝钢板剪力墙墙板示意
H e -钢板剪力墙的净高度;L e -钢板剪力墙的净跨度;
d-缝宽;b-开缝钢板剪力墙缝间小柱宽度;h-开缝钢板剪力墙缝高度;h m -缝间小柱纵向净间距
条文说明
8.2.3本条系在日本学者所建议的刚度公式基础上,经宝钢和同济大学合作研究的试验数据和有限元分析检验后提出的。
8.3 构造要求
8.3 构造要求
8.3.1 开缝钢板剪力墙墙板应采用加劲措施约束墙板面外变形,可在开缝钢板剪力墙墙板两侧设置加劲肋。加劲肋可采用矩形钢管、工字型钢、槽钢或钢板(图8.3.1)。加劲肋对y轴的惯性矩应符合下式规定:

图8.3.1 设置加劲肋的剪力墙平面示意
1-剪力墙板;2-加劲肋

式中:I sy ——竖直方向加劲肋的截面惯性矩(mm 4 );
v——钢材的泊松比,取0.3。
8.3.2 两侧加劲的开缝剪力墙墙板的设计参数宜符合下列规定:

8.3.3 层高为2.7m~4.0m时,剪力墙钢板厚度宜为8mm~16mm,板宽宜为1.3m~2.2m。
8.3.4 开缝钢板剪力墙宜采用Q235钢板,开缝宽度宜与钢板墙厚度保持一致。
8.3.5 开缝钢板剪力墙墙板与钢梁的连接构造应符合下列规定:
1 宜采用摩擦型连接的高强度螺栓与上下框架梁连接,墙板一侧的螺栓孔宜为竖向长圆形孔,连接件应设面外加劲构造(图8.3.5);
2 螺栓的终拧宜在结构体系及楼板安装完毕后进行;
3 高强度螺栓剪力计算时,应考虑螺栓水平剪力V H 及板上倾覆力矩M 1 引起的螺栓竖向剪力V v ,并应按下列公式确定螺栓的最大剪力V max :


式中:η 1 ——墙板上端或下端高强度螺栓个数;
V v ——板上倾覆力矩M 1 引起的螺栓竖向剪力,各螺栓分担的剪力按线性分布(N)。

图8.3.5 开缝钢板剪力墙边缘加劲及与钢梁连接构造示意
条文说明
8.3.5采用高强度螺栓连接,便于作为耗能构件的带竖缝钢板剪力墙在大地震后更换。但是必须有效防止螺栓在风荷载和小震作用下发生滑移,产生噪声。本条根据同济大学和宝钢合作进行的足尺试验结果提出了对高强度螺栓配置的计算要求,其中Vv为板上倾覆力矩M1所引起的螺栓竖向剪力,各螺栓分担的剪力与螺栓群形心距离成正比,如图4所示为高强度螺栓单排布置时的竖向剪力分布图,其中Vv可按式(11)计算。墙板一边螺栓孔采取竖向长圆孔,主要是为了消除加工和安装带来的误差,并且在终拧前消化竖向荷载引起的钢板剪力墙竖向位移。 
式中:Vv——板上倾覆力矩M1所引起的螺栓竖向剪力(N); yi——第i列螺栓离中和轴的距离(mm),中和轴即为螺栓群形心轴; yn——第n列螺栓离中和轴的距离(mm); n——中和轴一侧螺栓的排数。 
图4 板上倾覆力矩M1所引起的螺栓竖向剪力分布 M1-倾覆力矩;Vv-倾覆力矩M1所引起的螺栓竖向剪力;y1-第1列螺栓离中和轴的距离;yi-第i列螺栓离中和轴的距离;yn-第n列螺栓离中和轴的距离;Le-钢板剪力墙的净跨度
9 节点设计与连接构造
9.1 一般规定
9 节点设计与连接构造
9.1 一般规定
9.1.1 节点及连接应便于安装及检验。
9.1.2 钢板剪力墙承受竖向荷载时,节点及连接设计计算应考虑竖向荷载的影响。
条文说明
9.1.2在能否承受竖向荷载及比例上,各类钢板剪力墙有所不同,在连接及节点设计时需特别注意。
9.1.3 钢板剪力墙与边缘构件的连接设计应符合下列规定:
1 连接承载力设计值不应小于钢板剪力墙承载力设计值;
2 抗震设计时,连接极限承载力应大于钢板剪力墙的屈服承载力。
9.1.4 钢板剪力墙与边缘构件可直接连接或采用鱼尾板作为过渡连接。当采用鱼尾板过渡连接时,鱼尾板与钢柱、钢梁应采用熔透焊缝焊接,且鱼尾板厚度不应小于钢板剪力墙厚度。
条文说明
9.1.4参考现行国家标准《钢结构设计规范》GB50017中的相关规定,鱼尾板连接工程实践中应用较多。当采用双鱼尾板时,鱼尾板总厚度应大于钢板厚度。
9.1.5 钢板剪力墙与鱼尾板可采用焊接连接或高强度螺栓连接,当采用焊接连接时,钢板剪力墙与鱼尾板应等强连接;当采用高强度螺栓连接时,端部连接应加强,螺栓不宜少于两排两列布置。
9.1.6 钢板剪力墙与边缘构件的连接时间应在设计文件中提出明确要求。
条文说明
9.1.6不同形式的钢板剪力墙,承受竖向荷载的比例不同,对连接时间的要求也不尽相同,需在设计文件中明确。如安装单位拟调整时,必须征得设计单位同意。
9.2 钢板剪力墙与边缘构件螺栓连接
9.2 钢板剪力墙与边缘构件螺栓连接
9.2.1 钢板剪力墙与边缘构件的螺栓连接应符合国家现行标准《钢结构设计规范》GB 50017和《钢结构高强度螺栓连接技术规程》JGJ 82的有关规定。
9.2.2 非加劲钢板剪力墙与边缘构件采用螺栓连接时,应避免螺栓受力集中而发生逐个失效。
条文说明
9.2.2采用非加劲薄钢板剪力墙,通常利用钢板屈曲后强度,在钢板剪力墙内形成拉力带,采用螺栓连接时易逐个失效。
9.2.3 钢板剪力墙通过鱼尾板与边缘构件螺栓连接时(图9.2.3),钢板剪力墙中螺栓连接计算应符合本规程第4.4.2条、第8.3.5条及现行国家标准《钢结构设计规范》GB 50017的有关规定。

图9.2.3 与边缘构件的螺栓连接示意
1-边缘构件;2-钢板剪力墙钢板;3-鱼尾板(过渡连接)
9.3 钢板剪力墙与边缘构件焊接连接
9.3 钢板剪力墙与边缘构件焊接连接
9.3.1 钢板剪力墙与边缘构件直接焊接时应符合下列规定:
1 鱼尾板仅作为连接垫板使用,鱼尾板与钢板剪力墙的安装,可采用水平或竖向槽孔,鱼尾板的厚度及宽度应满足安装要求;
2 钢板剪力墙与柱的焊接,采用对接焊缝,对接焊缝质量等级不应低于二级,鱼尾板尾部与钢板剪力墙采用角焊缝现场焊接;
3 钢板剪力墙钢板厚度不小于22mm时,钢板与钢梁连接宜采用K形熔透焊(图9.3.1)。

图9.3.1 与边缘构件直接焊接连接
1-边缘构件;2-钢板剪力墙钢板;3-鱼尾板(垫板);4-安装螺栓(可开槽型孔)
9.3.2 钢板剪力墙与周边框架梁柱宜采用鱼尾板过渡连接(图9.3.2),并应符合下列规定:
1 鱼尾板与钢板剪力墙先采用安装螺栓固定,鱼尾板上可开设水平或竖向槽孔,通过计算确定鱼尾板的厚度,且应考虑螺栓开孔的削弱;
2 鱼尾板与钢板剪力墙采用角焊缝连接,通过计算确定焊脚尺寸,且应满足内侧焊缝的施工可行性。

图9.3.2 与边缘构件用鱼尾板过渡的焊接连接示意
1-边缘构件;2-钢板剪力墙钢板;3-鱼尾板(过渡连接);4-安装螺栓(可开槽型孔)
9.3.3 与钢板剪力墙相连的钢梁腹板厚度不应小于钢板剪力墙厚度;当钢板剪力墙贯穿楼层时,钢梁翼缘可采用加劲肋代替,加劲肋截面不应小于所需钢梁截面。加劲肋与柱子的焊缝质量等级应与梁柱节点的焊缝质量等级一致。
9.3.4 加劲肋与钢板剪力墙的焊缝、横向加劲肋与柱的焊缝、横向加劲肋与竖向加劲肋的焊缝,可根据加劲肋的厚度选择双面角焊缝或坡口熔透焊缝,应达到与加劲肋等强,焊缝质量等级不宜低于二级。
9.4 构造要求
9.4 构造要求
9.4.1 钢板剪力墙上开洞应符合下列规定:
1 钢板剪力墙上开设洞口的边长或直径不宜大于700mm。当钢板剪力墙上开设单独洞口的边长或直径不大于300mm时可不做补强;当洞口的边长或直径大于300mm且不大于700mm时,应采取补强措施。
2 非加劲钢板剪力墙上开设洞口时,应避开拉力带区域。
3 加劲钢板剪力墙上开设洞口时,洞口应避开加劲肋。
4 防屈曲钢板剪力墙上开设洞口时,混凝土盖板应预留对应洞口,且应对盖板进行强度、刚度复核。设备管线穿过洞口的连接构造措施,应保证盖板与墙板自由滑动。
条文说明
9.4.1对洞口的设置,作如下说明: 1设计中需要根据洞口的数量、分布、洞口尺寸对墙整体刚度的影响,考虑是否需要在整体计算中予以反映。当洞口大于700mm时,对钢板剪力墙的整体刚度影响宜在计算中予以反映。 洞口补强可采用洞边设加劲肋、贴焊钢板或其他措施。当出现多个不大于300mm的密集洞口时,宜采取补强措施。 2非加劲钢板剪力墙的拉力带形成是发挥屈曲后承载力的关键。
9.4.2 钢板剪力墙底脚构造宜符合下列规定:
1 钢板剪力墙与基础的连接,可采用锚栓与分布式抗剪键组合使用、二次灌浆调平的连接形式,锚栓应承担墙底拉力,抗剪键应承担水平剪力,并应验算墙底及抗剪键连接处混凝土局部承压能力;
2 钢板剪力墙的墙脚底板厚度应通过计算确定,且不宜小于20mm。
条文说明
9.4.2条文中建议的底脚方式可用于钢板剪力墙受压或受较小拉力时。当钢板剪力墙设计工况出现很大拉力时,需专门设计抗拉的底脚。
9.4.3 钢板剪力墙采用延迟安装方式时,现浇楼板处应预留钢板剪力墙的安装空间。周边楼板应根据施工期间的实际支承方式和荷载进行施工阶段验算。
10 防火与防腐
10.1 防火
10 防火与防腐
10.1 防 火
10.1.1 钢板剪力墙的设计耐火极限不应低于现行国家标准《建筑设计防火规范》GB 50016的规定。非加劲钢板剪力墙、加劲钢板剪力墙、防屈曲钢板剪力墙、开缝钢板剪力墙的耐火极限可按梁的耐火极限确定。钢板组合剪力墙的耐火极限宜按柱的耐火极限确定。
条文说明
10.1.1根据钢板剪力墙的受力特性,规定了不同类型的钢板剪力墙耐火极限要求。钢板剪力墙主要作用是抗侧力,当不承受竖向荷载时,耐火极限可按梁的要求。当设计中钢板剪力墙承受了竖向荷载,耐火极限要求可按柱的要求。
10.1.2 钢板剪力墙应进行防火保护设计,可采用喷涂防火涂料、外包不燃材料等防火保护措施。
条文说明
10.1.2外包不燃材料防火保护措施主要有:浇筑混凝土或砌筑砌体、采用轻质防火厚板包敷、复合保护(在紧贴钢板用防火涂料或柔性毡状材料,用钢丝网将其固定于钢板表面,外面用防火薄板封闭)等。
10.1.3 设计文件中应注明钢板剪力墙的设计耐火等级、设计耐火极限,以及防火保护措施及其防火保护材料的性能要求。
条文说明
10.1.3防火保护材料的性能要求主要为:防火保护材料的等效热传导系数或防火保护层的等效热阻、防火保护层的厚度、防火保护的构造、防火保护材料的使用年限等。当工程实际使用的防火保护方法或保护材料与设计文件不一致时,应由设计单位确认并出具修改文件。
10.1.4 采用防火涂料时,钢板剪力墙与周边构件连接节点处的涂层厚度不应小于相邻构件的涂层厚度。
10.1.5 采用厚涂型防火涂料时,宜在涂层内设置与钢板剪力墙相连的钢丝网或采取其他措施。
10.1.6 防火涂料施工前钢板表面的除锈应符合现行国家标准《涂覆涂料前钢材表面处理》GB/T 8923的规定。防火涂料涂装应分层施工,应在前一道涂层干燥或固化后进行后一道涂层施工。
10.1.7 防火保护采用外包不燃材料时,应采取保证不燃材料与钢板剪力墙牢固连接的措施。
条文说明
10.1.7支撑构件应为不燃体,在高温下应仍能保持一定的强度,保证防火结构的稳定和完整。
10.2 防腐
10.2 防 腐
10.2.1 钢板剪力墙的防腐设计及施工应符合现行国家标准《钢结构设计规范》GB 50017和《钢结构工程施工规范》GB 50755的有关规定。
10.2.2 钢板表面原始锈蚀等级和除锈等级应符合现行国家标准《涂覆涂料前钢材表面处理》GB/T 8923的规定。除锈前应将钢板表面的焊渣、毛刺、块锈、油污等清除干净。表面采用喷射或抛射除锈,除锈等级不应低于 
级。局部难以进行喷射或抛射除锈时,可采用手动或动力工具除锈,除锈等级应达到St3级。
条文说明
10.2.2表面处理质量对涂层质量具有重要影响,是涂层过早破坏的主要影响因素,对金属热喷涂层和其他防腐蚀覆盖层与基体的结合力也有极其重要的作用。因此,规定在涂装之前应进行表面处理。粗糙度的增加可加大金属表面积,提高涂膜的附着力,但如果过大,当涂料厚度不足时,轮廓峰顶处常会成为早期腐蚀的起点。现行国家标准《钢结构工程施工规范》GB50755中规定了各底涂层对应的表面粗糙度:热喷锌/铝为60μm~100μm,无机富锌为50μm~80μm,环氧富锌为30μm~75μm,不便喷砂部位为30μm~75μm。
10.2.3 钢板表面除锈后,应及时涂刷底漆。表面除锈处理与涂装的间隔时间不宜超过4h,在车间内作业或湿度较低的晴天不应超过8h。不同涂层间的施工应有适当的重涂间隔时间,最大及最小重涂间隔时间应符合涂料性能要求。
10.2.4 钢板剪力墙涂装时的环境温度和相对湿度,应符合涂料产品性能要求。
10.2.5 钢板剪力墙防腐采用金属热喷涂时,喷涂方式及施工应符合现行国家标准《钢结构工程施工规范》GB 50755的有关规定。
条文说明
10.2.5金属热喷涂主要有喷锌和喷铝两种,作为钢板的底层,具有很好的耐腐蚀性。在大气环境中喷铝层和喷锌层是最长效的保护系统的首要选择。
10.2.6 工地焊接部位的焊缝两侧宜留出暂不涂装区,宽度可为焊缝两侧各100mm。焊缝两侧也可涂刷不影响焊接性能的车间底漆。焊接完毕后,对焊缝热影响区应按原涂装要求重新进行表面清理和涂装。
条文说明
10.2.6焊缝及焊接热影响区是防腐蚀保护的薄弱环节之一,为保证防腐的质量,在焊缝两侧先预留出一定宽度,在工厂制作时暂不涂装或涂刷不影响焊接性能的车间底漆。
10.2.7 对长期有高温、高湿作用的局部环境,应采取隔护、通风、排湿等措施。围护结构的设计构造应避免钢板表面因热桥影响引起的结露或积潮。
条文说明
10.2.7钢板的锈蚀与所处环境关联较大,潮湿环境会极大地促使锈蚀的发生,尤其是湿度反复变化的条件下影响更大。宜采用通风、降湿等措施,保持使用环境常态为湿度较小状态,以减少钢板的锈蚀。防腐蚀设计年限通常低于建筑物设计年限,对于维修较困难的部位,也应加强防护。
11 制作与安装
11.1 一般规定
11 制作与安装
11.1 一般规定
11.1.1 钢板剪力墙的制作安装应符合现行国家标准《钢结构工程施工规范》GB 50755的有关规定。
11.1.2 在钢板剪力墙工程施工前,应编制制作、安装工艺文件。
条文说明
11.1.2工艺文件编制的依据主要有:工程设计图纸及根据设计图纸而绘制的施工详图;图纸设计总说明和相关技术文件;图纸和合同中规定的国家标准、技术规范和相关技术条件。
11.2 制作
11.2 制 作
11.2.1 开缝钢板剪力墙钢板上开缝宜采用激光或等离子切割,切割起始位置应在缝高一半处,缝端部应圆弧过渡。
条文说明
11.2.1竖缝切割易引起应力集中、初始缺陷等不利影响,尤其是在小柱的端头部位。故本条要求切割起始位置位于缝高一半处,且缝端部应圆弧过渡。
11.2.2 焊缝坡口切割宜整条一次性切割,中间有缺棱时,应采用匹配的焊材补焊并打磨。
11.2.3 钢板剪力墙的工厂焊接,宜采用焊接变形和收缩量小且焊接残余应力低的焊接工艺。
11.2.4 制作钢板剪力墙上螺栓孔时,宜与鱼尾板配合制孔或数控钻孔。
11.2.5 鱼尾板与夹板采用螺栓连接时,夹板可分段,且应符合设计要求。
11.2.6 钢板剪力墙单元组成部件宜分别组装、焊接,经检验合格后,再进行单元总装焊接。
条文说明
11.2.6分段后的钢板剪力墙墙单元一般设有暗柱、暗梁,各组成部分需进行组装焊接。 1组装前应对钢板剪力墙墙身布置的栓钉、钢筋连接器进行划线,栓钉、钢筋连接器划线必须用不同颜色的油漆记号笔、钢印号表达清楚。钢板剪力墙单元组装的尺寸偏差,应控制在工艺文件和本规程第12章所要求的组装偏差允许范围内。 2组装用的平台和胎架应符合构件装配的精度要求,具有足够的强度和刚度,经验收合格后方可使用。 3组装焊接钢板剪力墙应预放焊接收缩量,并对各部件进行合理的焊接收缩分配,宜进行工艺性试验确定焊接收缩量。组装焊接应在钢构件拼装检验合格后进行。 4将钢板剪力墙单元细分为钢板、暗柱、钢筋连接板等分别组装、焊接、矫正合格后,进行总装焊接。
11.2.7 钢板剪力墙运输过程中,宜采用专用胎架。
11.2.8 装卸车及吊装时,应采用牢固的绑扎方式,吊点设置宜选择保证钢板剪力墙变形最小的位置。
11.2.9 钢板剪力墙角部宜切割成圆角或倒角形式(图11.2.9),圆切角半径或直角切角边长不应小于35mm和墙板厚度的较大值;鱼尾板与钢板剪力墙采用夹板连接时,连接夹板的拼接点应远离角部。

图11.2.9 钢板剪力墙角郡切割圆角或倒角形式示意
1-钢板剪力墙;2-鱼尾板(垫板);3-边缘构件
条文说明
11.2.9在水平推力作用下,钢板剪力墙的薄弱部位出现在角部,试验表明,角部连接处会出现撕裂,角部破坏会影响钢板剪力墙的整体承载力。为了克服角部应力集中,防止角部撕裂,可采用钢板角部设置成圆角或倒角的构造措施。
11.3 安装
11.3 安 装
11.3.1 当钢板剪力墙主要承受水平剪力、不承担竖向压力时,宜采用后固定法施工;当钢板剪力墙既承受水平剪力,又承担竖向压力时,可与结构框架同步施工。
条文说明
11.3.1钢板剪力墙主要为抗侧向力构件,竖向承载力较小,安装时间和顺序应满足设计文件的要求。本规程第4~8章分别对各种类型钢板剪力墙的受力情况进行了规定。对于仅承担水平剪力,不承担竖向压力的钢板剪力墙,常用的施工方法是待主体结构封顶或大部分竖向荷载施加完毕后,再固定钢板剪力墙。如果钢板剪力墙与主体结构同步安装,则必须考虑后期施工对钢板剪力墙受力性能带来的不利影响。本规程采用钢板剪力墙与主体结构后固定法施工,即先作临时固定,对高强度螺栓和不影响竖向荷载的焊缝进行施工、焊接,待主体结构封顶或大部分竖向荷载施加完毕后,再进行钢板剪力墙的最后固定焊接工作。对于既承担水平剪力又承担竖向压力的钢板剪力墙,可与主体结构同时施工。
11.3.2 钢板剪力墙进场后,宜集中堆放,且应符合下列规定:
1 应根据钢板剪力墙安装进度计划编制零部件进场计划;
2 剪力墙单元进场后应及时清理内部积水、污物;
3 零部件应按安装逆顺序堆放,中间加垫木,并交错堆放;
4 零部件堆放时,编号、标识应外露。
条文说明
11.3.2对加劲钢板剪力墙和钢板组合剪力墙,在组装成剪力墙单元时,易形成封闭或半封闭腔体,在剪力墙单元进场后,为避免内部锈蚀,应及时清理内部积水和污物。
11.3.3 钢板剪力墙宜对称安装。
条文说明
11.3.3钢板剪力墙安装时应考虑对称性,合理划分施工区域,平面吊装顺序按中心单元向四周单元的顺序进行,控制安装尺寸,防止安装误差积累,同时保证钢板剪力墙的整体稳定性。
11.3.4 钢板剪力墙单元吊装就位后应采取临时固定措施。
条文说明
11.3.4首单元钢板剪力墙安装时,可拉设双向缆风绳进行临时固定,缆风绳沿墙体方向成对布设,缆风绳上端直接与剪力墙吊装耳板连接,下端可设置倒链与预埋地锚相连。 为保证就位的钢板剪力墙的稳定性,在各单元之间拉设临时支撑;板间临时支撑分为角撑和对撑。支撑加设主要综合考虑钢板剪力墙受力特点、结构形式及与土建施工的位置关系等因素灵活布置。 为了减小钢板剪力墙在焊接过程中的收缩变形,钢板剪力墙在焊接前需要在焊缝两侧设置临时连接板固定,待焊接完成并在焊缝冷却至环境温度后将连接板割除。安装临时连接板根据现场焊接形式与临时连接位置灵活布置,但要确保临时连接的可靠性。横焊缝临时连接板宜布设在钢板剪力墙暗柱处,每片钢板剪力墙至少布置两道。立焊缝临时连接板宜布设在钢板剪力墙上下两端,并留出足够的操作空间。
11.3.5 钢板剪力墙施工过程中,应监测与钢板剪力墙相连框架梁的水平度和框架柱的垂直度。
11.3.6 同层内钢板剪力墙同时采用高强度螺栓和焊接连接时,应先进行高强度螺栓施工,再进行焊接施工。
条文说明
11.3.6对栓焊连接的钢板剪力墙,当高强度螺栓紧固完成后,对该片剪力墙进行测量,根据测量的偏差值大小及偏差方向,进行局部尺寸调整,再确定焊接顺序及焊接方向。
11.3.7 钢板剪力墙的现场焊接应符合下列规定:
1 整体焊接时,竖向应自下而上焊接,平面上应以中心单元为基点,向两侧逐块焊接;
2 单个单元的焊接时,应先焊接立焊缝再焊接横焊缝;
3 钢板厚度大于30mm时,宜采用双面坡口焊缝,且横焊缝宜采用K形坡口焊缝,立焊缝宜采用X形坡口焊缝。
条文说明
11.3.7焊接顺序遵循以下要求:先焊接收缩量大的焊缝;同类焊缝对称、同时、同向焊接;为减少焊接变形,原则上单块剪力墙相邻两个接头不要同时开焊,先焊接一端焊缝,同时对另一端焊缝临时固定,待焊缝冷却到常温后,再进行另一端的焊接;先焊钢板之间的纵向焊缝,再焊与钢柱连接的焊缝。
11.3.8 钢板剪力墙的焊缝变形控制措施应符合下列规定:
1 应控制焊接线能量输入和焊接坡口间隙;
2 宜采用分段焊或间断焊工艺;
3 可采用刚性固定法或增加约束度,也可采取反变形措施。
11.3.9 钢板剪力墙焊缝的端部、角部以及间距较小的焊缝和加劲肋焊缝,施焊时宜留应力释放孔。
11.3.10 钢板组合剪力墙的混凝土浇筑应符合下列规定:
1 应验算钢板组合剪力墙在混凝土浇筑过程中的承载力、变形和稳定性。
2 通气孔设置应符合设计要求;设计无要求时,宜在距离剪力墙上边缘200mm区域内,设置直径不小于150mm的通气孔。
3 观察口的设置应符合设计要求;设计无要求时,宜在剪力墙上部两角区域内,设置直径不小于100mm的观察口。
12 质量验收
12.1 一般规定
12 质量验收
12.1 一般规定
12.1.1 钢板剪力墙工程可按钢结构制作工程检验批的划分原则,划分为一个或若干个检验批。
12.1.2 钢板剪力墙制作和安装应符合现行国家标准《钢结构工程施工质量验收规范》GB 50205的规定,并应按本规程附录E的规定记录。
12.2 主控项目
12.2 主控项目
12.2.1 钢板剪力墙构件加工外形尺寸的允许偏差应符合表12.2.1的规定。
检查数量:全数检查。
检验方法:用钢尺、直角尺、塞尺、拉线等检查。
表12.2.1 钢板剪力墙构件外形尺寸主控项目的允许偏差

注:h为单层墙的垂直高度。
条文说明
12.2.1根据项目实施的工程经验,综合考虑含钢板剪力墙项目实施中钢板剪力墙构件外形尺寸的质量指标对工程质量的影响程度,将钢板剪力墙构件整体尺寸控制设定为主控项目。
12.2.2 钢板剪力墙安装允许偏差应符合表12.2.2的规定。
检查数量:按钢板墙数量抽查10%,且不应少于3个单元。
检验方法:用全站仪或激光经纬仪和钢尺检查。
表12.2.2 钢板剪力墙安装允许偏差

注:平面弯曲水平方向取钢板剪力墙的宽度L,竖直方向取钢板剪力墙的垂直高度h。
条文说明
12.2.2钢板剪力墙在安装过程中,应控制单层剪力墙的垂直度、轴线偏差及上下两层钢板剪力墙同轴线位置的垂直度。
12.3 一般项目
12.3 一般项目
12.3.1 钢板剪力墙钢板拼接长度不应小于1000mm,宽度不应小于500mm,且单块钢板只允许一条拼接缝。钢板表面不得有凹凸不平、划痕等缺陷。
检查数量:全数检查。
检验方法:观察和用钢尺检查。
条文说明
12.3.1由于钢板剪力墙尺寸较大,容易超出钢板的轧制宽度,因此增加了钢板拼接的要求,如表1所示。 表1钢板剪力墙拼接允许偏差
注:1-拼接缝;L-钢板剪力墙长度;B-钢板剪力墙宽度;l-拼接长度;b-拼接宽度。
12.3.2 钢板剪力墙构件外形尺寸一般项目的允许偏差应符合表12.3.2的规定。
检查数量:按钢构件数抽查10%,且不应少于3件。
检验方法:用钢尺、直角尺、塞尺、拉线等检查。
表12.3.2 构件外形尺寸一般项目的允许偏差



条文说明
12.3.2根据项目实施的工程经验,综合考虑含钢板剪力墙项目实施中板件的局部尺寸的偏差和构件外形尺寸对工程质量的影响程度小的偏差,设定为一般项目。
附录A非加劲钢板剪力墙简化分析模型
A.1四边连接非加劲钢板剪力墙简化分析模型
附录A 非加劲钢板剪力墙简化分析模型
A.1 四边连接非加劲钢板剪力墙简化分析模型
A.1.1 在结构整体分析中,四边连接非加劲钢板剪力墙可简化为混合杆系模型(图A.1.1),采用一系列倾斜、正交杆代替非加劲钢板剪力墙,杆件分为只拉杆和拉压杆,杆件与竖直方向夹角取45°,单向倾斜杆数量不应少于10。

图A.1.1 混合杆系模型
H e -钢板剪力墙的净高度;L e -钢板剪力墙的净跨度
A.1.2 混合杆系模型中各杆件截面面积应按下式计算:

式中:t w ——钢板剪力墙的厚度(mm);
H e ——钢板剪力墙的净高度(mm);
L e ——钢板剪力墙的净跨度(mm);
n 2 ——单向倾斜杆数量。
A.1.3 混合杆系模型中只拉杆、拉压杆的弹性模量取钢材的弹性模量E,只拉杆屈服强度取钢材的抗拉强度设计值,拉压杆屈服强度取钢材的抗剪强度设计值,拉压杆和只拉杆数量的比值宜为2:8。
A.2两边连接非加劲钢板剪力墙简化分析模型
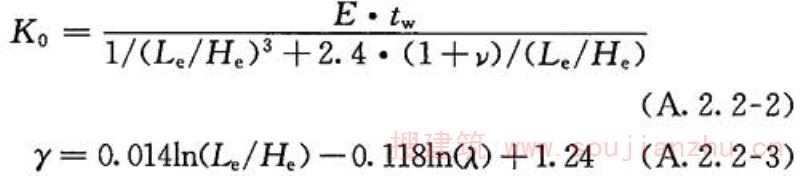
A.2 两边连接非加劲钢板剪力墙简化分析模型
A.2.1 在结构整体分析中,两边连接非加劲钢板剪力墙可简化为交叉杆模型(图A.2.1),模型中杆件为拉压杆,拉压杆的倾角α应按下式计算:

式中:L e ——钢板剪力墙的净跨度(mm);
H e ——钢板剪力墙的净高度(mm)。

图A.2.1 两边连接钢板剪力墙交叉杆模型
H e -钢板剪力墙的净高度;L e -钢板剪力墙的净跨度;α-拉压杆的倾角;l-拉压杆的长度
A.2.2 两边连接非加劲钢板剪力墙的水平剪切刚度K应按下列公式计算:


式中:γ——钢板剪力墙的刚度折减系数;
K 0 ——钢板剪力墙初始剪切刚度(N/mm);
E——钢材的弹性模量(N/mm 2 );
v——钢材的泊松比,通常取0.3。
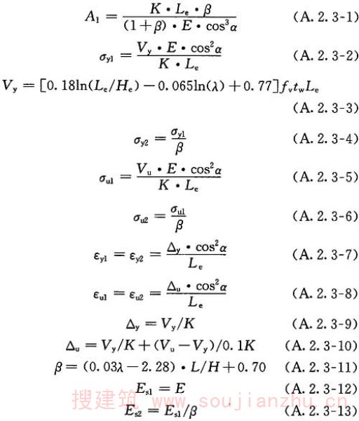
A.2.3 交叉杆模型中拉压杆的应力-应变关系曲线(图A.2.3)可按下列公式计算:


式中:A 1 ——单向杆的截面面积(mm 2 );
σ y1 ——非加劲钢板剪力墙简化模型中杆受拉时屈服强度(N/mm 2 );
σ y2 ——非加劲钢板剪力墙简化模型中杆受压时屈服强度(N/mm 2 );
σ u1 ——杆受拉时的极限抗拉强度(N/mm 2 );
σ u2 ——杆受压时的极限抗压强度(N/mm 2 );
ε y1 ——杆受拉时的屈服应变;
ε y2 ——杆受压时的屈服应变;
ε u1 ——杆受拉达到极限抗拉强度时对应应变;
ε u2 ——杆受压达到极限抗压强度时对应应变;
β——杆拉压强度比,计算时不考虑拉压强度的正负号。

图A.2.3 拉压杆的应力-应变关系曲线
附录B钢板剪力墙边缘柱的变轴力等效系数ηe
附录B 钢板剪力墙边缘柱的变轴力等效系数η e
B.0.1 钢板剪力墙边缘柱的变轴力等效系数η e ,按表B.0.1采用。
表B.0.1 钢板剪力墙边缘柱的变轴力等效系数η e

B.0.2 柱端横梁线刚度之和与柱线刚度之比的计算应符合下列规定:
1 当K 1 、K 2 大于10时,取K 1 、K 2 等于10进行计算。当横梁远端铰接时,应将横梁线刚度乘以1.5;当横梁远端嵌固时,应将横梁线刚度乘以2。
2 当横梁与柱铰接时,应取横梁线刚度为0。
3 当与柱刚性连接的横梁所受轴压力N b 较大时,横梁线刚度应乘以折减系数α N ,折减系数α N 应按下列公式计算:

式中:I b ——边缘梁截面惯性矩(mm 4 );
L b ——梁跨度(mm)。
附录C设置加劲钢板剪力墙的弹性剪切屈曲临界应力
C.1仅设置竖向加劲钢板剪力墙
附录C 设置加劲钢板剪力墙的弹性剪切屈曲临界应力
C.1 仅设置竖向加劲钢板剪力墙
C.1.1 参数η y 、η τth 应符合下列公式规定:

式中:E——钢材的弹性模量(N/mm 2 );
I sy ——竖直方向加劲肋的截面惯性矩(mm 4 ),可考虑加劲肋与钢板剪力墙有效宽度组合截面,单侧钢板剪力墙的有效宽度取15倍的钢板厚度;
D——单位宽度钢板剪力墙的弯曲刚度(N·mm),按本规程式(5.2.1-5)计算;
l 1 ——钢板剪力墙区格宽度(mm);
H e ——钢板剪力墙的净高度(mm);
J sy ——竖向加劲肋自由扭转常数。
C.1.2 当η y ≥η τth 时,弹性剪切屈曲临界应力τ cr 应按下列公式计算:


式中:τ crp ——钢板剪力墙小区格的剪切屈曲临界应力(N/mm 2 );
t w ——钢板剪力墙的厚度(mm);
X——采用闭口加劲肋时取1.23,开口加劲肋时取1.0。
C.1.3 当η y <η τth 时,弹性剪切屈曲临界应力τ cr 应按下列公式计算:

式中:L e ——钢板剪力墙的净跨度(mm)。
C.2仅设置水平加劲钢板剪力墙
C.2 仅设置水平加劲钢板剪力墙
C.2.1 参数η x 、η τth,h 应符合下列公式规定:


式中:I sx ——水平方向加劲肋的截面惯性矩,可考虑加劲肋与钢板剪力墙有效宽度组合截面,单侧钢板剪力墙的有效宽度取15倍的钢板厚度(mm 4 );
h 1 ——钢板剪力墙区格高度(mm);
J sx ——水平加劲肋自由扭转常数。
C.2.2 当η x ≥η τth,h 时,弹性剪切屈曲临界应力τ cr 应按下列公式计算:

C.2.3 当η x <η τth,h 时,弹性剪切屈曲临界应力τ cr 应按下列公式计算:

式中:k ss0 ——参数,按式(C.1.3-3)、式(C.1.3-4)计算。
C.3同时设置水平和竖向加劲钢板剪力墙
C.3 同时设置水平和竖向加劲钢板剪力墙
C.3.1 同时设置水平和竖向加劲钢板剪力墙(图C.3.1),当加劲刚度不满足本规程第5.2.1条的要求时,弹性剪切屈曲临界应力τ cr 应符合下列公式规定:

式中:τ cr0 ——未加劲钢板剪力墙的剪切屈曲临界应力(N/mm 2 )。

图C.3.1 同时设置水平和竖向加劲钢板剪力墙
H e -钢板剪力墙的净高度;L e -钢板剪力墙的净跨度;h 1 -钢板剪力墙区格高度;l 1 -钢板剪力墙区格宽度
附录D防屈曲钢板剪力墙简化分析模型
附录D 防屈曲钢板剪力墙简化分析模型
D.0.1 在结构整体分析中,四边连接防屈曲钢板剪力墙可简化为混合杆系模型(图D.0.1),用一系列倾斜、正交杆代替防屈曲钢板剪力墙,杆条与竖直方向夹角取45°,单向倾斜的杆条数目不应小于10条,杆条中拉压杆和只拉杆数目比例应为4:6。

图D.0.1 混合杆系模型
H e -钢板剪力墙的净高度;L e -钢板剪力墙的净跨度
D.0.2 只拉杆和拉压杆的弹性模量应取钢材的弹性模量,只拉杆强度应取钢材的抗拉强度设计值,拉压杆强度应取钢材抗剪强度设计值。
D.0.3 防屈曲钢板剪力墙简化模型中各杆条对应的截面面积应按下式计算:

式中:t w ——钢板剪力墙的厚度(mm);
H e ——钢板剪力墙的净高度(mm);
L e ——钢板剪力墙的净跨度(mm);
n 2 ——单向倾斜杆数量。
D.0.4 在结构整体分析中,两边连接防屈曲钢板剪力墙可简化为等效交叉杆模型(图D.0.4),模型中杆件为拉压杆,拉压杆的倾角α应按下式计算:

式中:L e ——钢板剪力墙的净跨度(mm);
H e ——钢板剪力墙的净高度(mm)。

图D.0.4 两边连接防屈曲钢板剪力墙交叉杆模型
H e -钢板剪力墙的净高度;L e -钢板剪力墙的净跨度;α-拉压杆的倾角;l-拉压杆的长度
D.0.5 等效交叉杆模型拉压杆应力-应变关系见图D.0.5,拉压杆截面面积A 1 与屈服强度σ y 应按下列公式计算:


式中:E——钢材的弹性模量(N/mm 2 );
A 1 ——单向杆的截面面积(mm 2 );
σ y ——防屈曲钢板剪力墙简化模型中杆屈服强度(N/mm 2 );
l——等效拉压杆的长度(mm);
V u ——钢板剪力墙的受剪承载力设计值(N);
K 0 ——钢板剪力墙初始剪切刚度(N/mm),按第A.2.2条公式计算。

图D.0.5 等效交叉杆模型拉压杆应力-应变关系曲线
附录E验收表格
附录E 验收表格
E.0.1 钢板剪力墙加工制作检验批质量验收应按表E.0.1进行记录,并符合现行国家标准《钢结构工程施工质量验收规范》GB 50205的规定。
表E.0.1 钢板剪力墙加工分项工程检验批质量验收记录

E.0.2 钢板剪力墙组装分项工程检验批质量验收应按表E.0.2记录。
表E.0.2 钢板剪力墙组装分项工程检验批质量验收记录

E.0.3 钢板剪力墙安装分项工程检验批质量验收应按表E.0.3记录。
表E.0.3 钢板剪力墙安装分项工程检验批质量验收记录

本规程用词说明
本规程用词说明
1 为便于在执行本规程条文时区别对待,对要求严格程度不同的用词说明如下:
1)表示很严格,非这样做不可的:
正面词采用“必须”,反面词采用“严禁”;
2)表示严格,在正常情况下均应这样做的:
正面词采用“应”,反面词采用“不应”或“不得”;
3)表示允许稍有选择,在条件许可时首先这样做的:
正面词采用“宜”,反面词采用“不宜”;
4)表示有选择,在一定条件下可以这样做的,采用“可”。
2 条文中指明应按其他有关标准执行的写法为:“应符合……的规定”或“应按……执行”。
引用标准名录
引用标准名录
1 《混凝土结构设计规范》GB 50010
2 《建筑抗震设计规范》GB 50011
3 《建筑设计防火规范》GB 50016
4 《钢结构设计规范》GB 50017
5 《冷弯薄壁型钢结构技术规范》GB 50018
6 《钢结构工程施工质量验收规范》GB 50205
7 《钢结构焊接规范》GB 50661
8 《钢结构工程施工规范》GB 50755
9 《碳素结构钢》GB/T 700
10 《钢结构用高强度大六角头螺栓》GB/T 1228
11 《钢结构用高强度大六角螺母》GB/T 1229
12 《钢结构用高强度垫圈》GB/T 1230
13 《钢结构用高强度大六角头螺栓、大六角螺母、垫圈技术条件》GB/T 1231
14 《低合金高强度结构钢》GB/T 1591
15 《紧固件机械性能 螺栓、螺钉和螺柱》GB/T 3098.1
16 《紧固件公差 螺栓、螺钉、螺柱和螺母》GB/T 3103.1
17 《钢结构用扭剪型高强度螺栓连接副》GB/T 3632
18 《非合金钢及细晶粒钢焊条》GB/T 5117
19 《低合金钢焊条》GB/T 5118
20 《埋弧焊用碳素钢焊丝和焊剂》GB/T 5293
21 《六角头螺栓 C级》GB/T 5780
22 《六角头螺栓》GB/T 5782
23 《气体保护电弧焊用碳钢、低合金钢焊丝》GB/T 8110
24 《涂覆涂料前钢材表面处理》GB/T 8923
25 《碳钢药芯焊丝》GB/T 10045
26 《电弧螺柱焊用圆柱头焊钉》GB/T 10433
27 《埋弧焊用低合金钢焊丝和焊剂》GB/T 12470
28 《熔化焊用钢丝》GB/T 14957
29 《低合金钢药芯焊丝》GB/T 17493
30 《建筑结构用钢板》GB/T 19879
31 《建筑用低屈服强度钢板》GB/T 28905
32 《高层建筑混凝土结构技术规程》JGJ 3
33 《钢结构高强度螺栓连接技术规程》JGJ 82
34 《高层民用建筑钢结构技术规程》JGJ 99
