Appearance
《烟囱设计规范[附条文说明]》GB 50051-2013
🗓️ 住房和城乡建设部 实施时间:2013-05-01
前言
中华人民共和国国家标准
烟囱设计规范
Code for design of chimneys
GB 50051-2013
主编部门:中国冶金建设协会
批准部门:中华人民共和国住房和城乡建设部
施行日期:2013年5月1日
中华人民共和国住房和城乡建设部公告
第1596号
住房城乡建设部关于发布国家标准《烟囱设计规范》的公告
现批准《烟囱设计规范》为国家标准,编号为GB 50051-2013,自2013年5月1日起实施。其中,第3.1.5、3.2.6、3.2.12、9.5.3(4)、14.1.1条(款)为强制性条文,必须严格执行。原国家标准《烟囱设计规范》GB 50051-2002同时废止。
本规范由我部标准定额研究所组织中国计划出版社出版发行。
中华人民共和国住房和城乡建设部
2012年12月25日
前言
本规范是根据住房和城乡建设部《关于<印发2010年工程建设标准规范制订、修订计划>的通知》(建标〔2010〕43号)的要求,由中冶东方工程技术有限公司会同有关单位共同对原国家标准《烟囱设计规范》GB 50051-2002(以下简称“原规范”)进行全面修订而成。
本规范在修订过程中,规范修订组开展了多项专题调研、试验与理论研究,进行了广泛的调查分析,总结了近年来我国烟囱设计的实践经验,与相关的标准规范进行了协调,与国际先进的标准规范进行了比较和借鉴,最后经审查定稿。
本规范共分14章和3个附录,主要内容包括:总则,术语,基本规定,材料,荷载与作用,砖烟囱,单筒式钢筋混凝土烟囱,套筒式和多管式烟囱,玻璃钢烟囱,钢烟囱,烟囱的防腐蚀,烟囱基础,烟道,航空障碍灯和标志等。
本次修订的主要内容如下:
1.为满足湿烟气防腐蚀需要,增加了玻璃钢烟囱,本规范由原规范的13章增加到14章。
2.对钢筋混凝土烟囱修改了有孔洞时的计算公式。原规范计算公式仅限于同一截面的两个孔洞中心线夹角为180°,本次修订对两个孔洞中心线夹角不作限制,方便了工程应用。
3.为满足烟囱防腐蚀需要,对烟气类别进行了划分,重新定义了烟气腐蚀等级。在大量实践和调研的基础上,针对各种不同类别烟气,对烟囱的选型和防腐蚀处理作出了更加科学的规定。
4.对钢烟囱的局部稳定计算进行了修订。原规范计算公式不全面,仅考虑了筒壁弹性屈曲影响,本规范综合考虑了弹性屈曲和弹塑性屈曲影响,参照欧洲标准进行了修订。
5.对于风荷载局部风压和横风向共振相应进行了修订。增加了局部风压对环形截面产生的风弯矩计算公式;调整了横风向共振计算规定。
6.将原规范中具有共性内容统一合并到基本规定一章里。
7.增加了烟囱水平位移限值和烟气排放监测系统设置的规定。
8.增加了桩基础设计规定。
9.为适应工程应用需要,并结合工程实践经验,将原规范规定的钢筋混凝土烟囱适用高度由原来210m调整到240m。
10.为满足实际设计需要,在原规范基础上,对钢内筒烟囱和砖内筒烟囱的计算和构造进行更加详细的规定。
本规范中以黑体字标志的条文为强制性条文,必须严格执行。
本规范由住房和城乡建设部负责管理和对强制性条文的解释,由中冶东方工程技术有限公司负责具体技术内容的解释。本规范在执行过程中如有意见或建议,请寄送中冶东方工程技术有限公司国家标准《烟囱设计规范》管理组(地址:上海市浦东新区龙东大道3000号张江集电港5号楼301室,邮政编码:201203),以便今后修订时参考。
本规范主编单位、参编单位、参加单位、主要起草人和主要审查人:
主编单位: 中冶东方工程技术有限公司
参编单位: 大连理工大学
华东电力设计院
西北电力设计院
上海富晨化工有限公司
冀州市中意复合材料有限公司
中冶建筑研究总院有限公司
中冶长天国际工程有限责任公司
中冶焦耐工程技术有限公司
西安建筑科技大学
河北衡兴环保设备工程有限公司
河北省电力勘测设计研究院
苏州云白环境设备制造有限公司
北京方圆计量工程技术公司
参加单位: 重庆大众防腐有限公司
上海德昊化工有限公司
杭州中昊科技有限公司
亚什兰(中国)投资有限公司
欧文斯科宁(中国)投资有限公司
主要起草人: 牛春良 宋玉普 蔡洪良 解宝安 陆士平 王立成 车轶 李国树 孙献民 王永焕 李吉娃 龚佳 李宁 郭亮 李晓文 郭全国 邢克勇 姚应军 付国勤
主要审查人: 陆卯生 马人乐 张文革 陈博 张长信 于淑琴 鞠洪国 陈飞 刘坐镇
条文说明
中华人民共和国国家标准
烟囱设计规范
GB 50051-2013
条文说明
修订说明
本规范是在《烟囱设计规范》GB 50051-2002的基础上修订而成。上一版规范的主编单位是包头钢铁设计研究总院(现为中冶东方工程技术有限公司),参编单位是西安建筑科技大学、大连理工大学、西北电力设计院、华东电力设计院、山东电力工程咨询院、中国成都化工工程公司、长沙冶金设计研究总院、鞍山焦化耐火材料设计研究院、北京市计量科学研究所。主要起草人是牛春良、杨春田、于淑琴、宋玉普、 卫云亭 、陆卯生、赵德厚、鞠洪国、 王赞泓 、黄惠嘉、黄承逵、赵国藩、岳鹤龄、狄原沆、傅国勤、魏业培、张长信、蔡 洪良、解宝安、乔永胜、郭亮、朱向前、张小平。
本次规范修订过程中,修订组进行了广泛的调查研究,特别是对近年来烟气脱硫后烟囱的破坏情况进行了大量调研,总结了烟囱腐蚀与防护经验,对烟囱防腐蚀作出了更为详细的规定,并新增了玻璃钢烟囱设计内容,扩大了烟囱防腐蚀的选择范围。在修订过程中,同时也参考了国外先进技术标准,进一步完善了规范内容。
近年来,非圆形截面的异形烟囱应用较多,其截面应力分析以及风荷载计算等均需要深入研究;虽然本次规范修订对烟囱防腐蚀做了较多工作,但限于现有工业材料水平,还不能做到既安全可靠又经济适用这一水准,需要在今后修订中逐步予以完善。
为了准确理解本规范的技术规定,按照《工程建设标准编写规定》的要求,编制组编写了《烟囱设计规范》条文说明。本条文说明不具备与规范正文同等的法律效力,仅供使用者作为理解和把握规范规定的参考。
1 总则
1 总则
1.0.1 为了在烟囱设计中贯彻执行国家的技术经济政策,做到安全、适用、经济、保证质量,制定本规范。
1.0.2 本规范适用于圆形截面的砖烟囱、钢筋混凝土烟囱、钢烟囱、玻璃钢烟囱等单筒烟囱,以及由砖、钢、玻璃钢为内筒的套筒式烟囱和多管式烟囱的设计。
条文说明
1.0.2 本次规范修订增加了玻璃钢烟囱设计内容,同时明确规范适用于圆形截面烟囱设计。与非圆形截面的异形烟囱相比,圆形截面烟囱对减少风荷载阻力、降低温度应力集中等具有明显优势。但随着城市多样化建设发展需要,近几年异形烟囱发展较快,对于异形烟囱需要对风荷载体形系数、振动特性等进行专门研究,本规范给出的截面承载能力极限状态和正常使用极限状态等计算公式都不再适用。
1.0.3 烟囱的设计除应符合本规范外,尚应符合国家现行有关标准的规定。
条文说明
1.0.3 本规范修订过程与有关的现行规范进行了协调,对于有些规范并不完全适用于烟囱设计的内容,本规范根据烟囱的特点进行了一些特殊规定。
2 术语
2 术语
2.1 术语
2.1.1 烟囱 chimney
用于排放烟气或废气的高耸构筑物。
2.1.2 筒身 shaft
烟囱基础以上部分,包括筒壁、隔热层和内衬等部分。
2.1.3 筒壁 shell
烟囱筒身的最外层结构,整个筒身承重部分。
2.1.4 隔热层 insulation
置于筒壁与内衬之间,使筒壁受热温度不超过规定的最高温度。
2.1.5 内衬 lining
分段支承在筒壁牛腿之上的自承重结构或依靠分布于筒壁上的锚筋直接附于筒壁上的浇筑体,对隔热层或筒壁起到保护作用。
2.1.6 钢烟囱 steel chimney
筒壁材质为钢材的烟囱。
2.1.7 钢筋混凝土烟囱 reinforced concrete chimney
筒壁材质为钢筋混凝土的烟囱。
2.1.8 砖烟囱 brick chimney
筒壁材质为砖砌体的烟囱。
2.1.9 自立式烟囱 self-supporting chimney
筒身在不加任何附加支撑的条件下,自身构成一个稳定结构的烟囱。
2.1.10 拉索式烟囱 guyed chimney
筒身与拉索共同组成稳定体系的烟囱。
2.1.11 塔架式钢烟囱 framed steel chimney
排烟筒主要承担自身竖向荷载,水平荷载主要由钢塔架承担的钢烟囱。
2.1.12 单筒式烟囱 single tube chimney
内衬和隔热层直接分段支承在筒壁牛腿上的普通烟囱。
2.1.13 套筒式烟囱 tube-in-tube chimney
筒壁内设置一个排烟筒的烟囱。
2.1.14 多管式烟囱 multi-flue chimney
两个或多个排烟筒共用一个筒壁或塔架组成的烟囱。
2.1.15 烟道 flue
排烟系统的一部分,用以将烟气导入烟囱。
2.1.16 横风向风振 across-wind sympathetic vibration
在烟囱背风侧产生的旋涡脱落频率较稳定且与结构自振频率相等时,产生的横风向的共振现象。
2.1.17 临界风速 critical wind speed
结构产生横风向共振时的风速。
2.1.18 锁住区 lock in range
风的旋涡脱落频率与结构自振频率相等的范围。
2.1.19 破风圈 strake
通过破坏风的有规律的旋涡脱落来减少横风向共振响应的减振装置。
2.1.20 温度作用 temperature action
结构或构件受到外部或内部条件约束,当外界温度变化时或在有温差的条件下,不能自由胀缩而产生的作用。
2.1.21 传热系数 heat transfer coefficient
结构两侧空气温差为1K,在单位时间内通过结构单位面积的传热量,单位为W/(m 2 ·K)。
2.1.22 导热系数 thermal conductivity
材料导热特性的一个物理指标。数值上等于热流密度除以负温度梯度,单位为W/(m·K)。
2.1.23 附加弯矩 additional bending moment
因结构侧向变形,结构自重作用或竖向地震作用在结构水平截面产生的弯矩。
2.1.24 航空障碍灯 warning lamp
在机场一定范围内,用于标识高耸构筑物或高层建筑外形轮廓与高度、对航空飞行器起到警示作用的灯具。
2.1.25 玻璃钢烟囱 glass fiber reinforced plastic chimney
以玻璃纤维及其制品为增强材料、以合成树脂为基体材料,用机械缠绕成型工艺制造的一种烟囱,简称GFRP。
2.1.26 反应型阻燃树脂 reactive flame-retardant resin
树脂的分子主链中含有氯、溴、磷等阻燃元素,在不添加或少量添加辅助阻燃材料后,可使固化后的玻璃钢材料具有点燃困难、离火自熄的性能。
2.1.27 基体材料 matrix
玻璃钢材料中的树脂部分。
2.1.28 环氧乙烯基酯树脂 epoxy vinyl ester resin
由环氧树脂与不饱和一元羧酸加成聚合反应,在分子主链的端部形成不饱和活性基团,可与苯乙烯等稀释和交联剂进行固化反应而生成的热固性树脂。
2.1.29 极限氧指数 limited oxygen index(LOI)
在规定条件下,试样在氮、氧混合气体中,维持平衡燃烧所需的最低氧浓度(体积百分含量)。
2.1.30 火焰传播速率 flame-spread rating
采用标准方法对一厚度为3mm~4mm,且以玻璃纤维短切原丝毡增强、树脂含量为70%~75%的玻璃钢层合板所测定的一个指数值。
2.1.31 缠绕 winding
在控制张力和预定线型的条件下,以浸有树脂的连续纤维或织物缠到芯模或模具上成型制品的一种方法。
2.1.32 缠绕角 winding angle
缠绕在芯模上的纤维束或带的长度方向与芯模子午线或母线间的夹角。
2.1.33 螺旋缠绕 helical winding
浸渍过树脂的纤维或带以与芯模轴线成非0°或90°角的方向连续缠绕到芯模上的方法。
2.1.34 环向缠绕 hoop winding
浸渍过树脂的纤维或带以与芯模轴线成90°或接近90°角的方向连续缠绕到芯模上的方法。
2.1.35 缠绕循环 winding cycle
缠绕纤维均匀布满在芯模表面上的过程。
2.1.36 增强材料 reinforcement
加入树脂基体中能使复合材料制品的力学性能显著提高的纤维材料。
2.1.37 表面毡 surfacing mat
由定长或连续的纤维单丝粘结而成的紧密薄片,用于复合材料的表面层。
2.1.38 短切原丝毡 chopped-strand mat
由粘结剂将随机分布的短切原丝粘结而成的一种毡,简称短切毡。
2.1.39 热变形温度 heat-deflection temperature(HDT)
当树脂浇铸体试件在等速升温的规定液体传热介质中,按简支梁模型,在规定的静荷载作用下,产生规定变形量时的温度。
2.1.40 玻璃化温度 glass transition temperature(Tg)
当树脂浇铸体试件在一定升温速率下达到一定温度值时,从一种硬的玻璃状脆性状态转变为柔性的弹性状态,物理参数出现不连续的变化的现象时,所对应的温度。
2.1.41 玻璃钢的临界温度 GFRP critical temperature
高温下玻璃钢性能下降速度开始急剧增加时的温度,是判断玻璃钢结构层材料能否在长期高温下工作的重要依据。
3 基本规定
3.1 设计原则
3 基本规定
3.1 设计原则
3.1.1 烟囱结构及其附属构件的极限状态设计,应包括下列内容:
1 烟囱结构或附属构件达到最大承载力,如发生强度破坏、局部或整体失稳以及因过度变形而不适于继续承载的承载能力极限状态。
2 烟囱结构或附属构件达到正常使用规定的限值,如达到变形、裂缝和最高受热温度等规定限值的正常使用极限状态。
条文说明
3.1.1 本规范采用以概率理论为基础的极限状态设计方法,以可靠指标度量结构构件的可靠度,采用分项系数的设计表达式进行结构计算。烟囱设计根据现行国家标准《建筑结构可靠度设计统一标准》GB 50068和《工程结构可靠性设计统一标准》GB 50153的规定划分为两类极限状态——承载能力极限状态和正常使用极限状态。
3.1.2 对于承载能力极限状态,应根据不同的设计状况分别进行基本组合和地震组合设计。对于正常使用极限状态,应分别按作用效应的标准组合、频遇组合和准永久组合进行设计。
条文说明
3.1.2 根据现行国家标准《工程结构可靠性设计统一标准》GB 50153,工程结构设计分为四种设计状况,即持久设计状况、短暂设计状况、偶然设计状况和地震设计状况。偶然设计状况适用于结构出现异常情况,包括火灾、爆炸、撞击时的情况,烟囱设计未涉及此类设计状况。承载能力极限状态设计,应根据不同的设计状况分别进行基本组合和地震组合设计。对于正常使用极限状态,应分别按作用效应的标准组合、频遇组合和准永久组合进行设计。
3.1.3 烟囱应根据其高度按表3.1.3划分安全等级。
表3.1.3 烟囱的安全等级

注:对于高度小于200m的电厂烟囱,当单机容量大于或等于300MW时,其安全等级按一级确定。
条文说明
3.1.3 烟囱安全等级主要根据烟囱高度确定,对于电力系统烟囱考虑了单机容量。原规范规定当单机容量大于或等于200兆瓦(MW)时为一级,过于严格,本次规范修订规定大于或等于300兆瓦(MW)时为一级。
3.1.4 对于持久设计状况和短暂设计状况,烟囱承载能力极限状态设计应按下列公式的最不利值确定:



式中: γ o ——烟囱重要性系数,按本规范第3.1.5条的规定采用;
γ Gi ——第i个永久作用分项系数,按本规范第3.1.6条的规定采用;
γ Q1 ——第1个可变作用(主导可变作用)的分项系数,按本规范第3.1.6条的规定采用;
γ Qj ——第j个可变作用的分项系数,按本规范第3.1.6条的规定采用;
S Gik ——第i个永久作用标准值的效应;
S Q1k ——第1个可变作用(主导可变作用)标准值的效应;
S Qjk ——第j个可变作用标准值的效应;
ψ cj ——第j个可变作用的组合值系数,按本规范第3.1.7条的规定采用;
γ L1 、γ Lj ——第1个和第j个考虑烟囱设计使用年限的可变作用调整系数,按现行国家标准《建筑结构荷载规范》GB 50009采用;
R d ——烟囱或烟囱构件的抗力设计值。
条文说明
3.1.4 根据现行国家标准《工程结构可靠性设计统一标准》GB 50153,对极限承载能力表达式进行了修改,增加了活荷载调整系数。安全等级为一级的烟囱,其风荷载调整系数为1.1。
3.1.5 对安全等级为一级的烟囱,烟囱的重要性系 数γ o 不应小于1.1。
条文说明
3.1.5 取消了原规范设计使用年限为100年烟囱安全等级为一级的规定。在极限承载能力表达式中包含了活荷载设计使用年限调整系数,为避免重复计算,取消了该项规定。现行国家标准《工程结构可靠性设计统一标准》GB 50153规定,安全等级为一级的房屋建筑的结构重要性系数不应小于1.1。烟囱为高耸结构,其结构重要性系数不应低于该项要求。
3.1.6 承载能力极限状态计算时,作用效应基本组合的分项系数应按表3.1.6的规定采用。
表3.1.6 基本组合分项系数

注:用于套筒式或多管式烟囱支承平台水平构件承载力计算时,永久作用分项系数γ G 取1.35。
条文说明
3.1.6 本次规范修订增加了玻璃钢烟囱。由于玻璃钢烟囱在温度作用下,材料强度离散性较大,同时为与国际标准接轨,本次规范修订增加了玻璃钢烟囱温度作用分项系数为1.10。规定对结构受力有利时,平台活荷载和检修、安装荷载分项系数取值为0。
3.1.7 承载能力极限状态计算时,应按表3.1.7的规定确定相应的组合值系数。
表3.1.7 作用效应的组合情况及组合值系数

注:1 G表示烟囱或结构构件自重,W为风荷载,M a 为附加弯矩,A为安装荷载(包括施工吊装设备重量,起吊重量和平台上的施工荷载),I为裹冰荷载,L为平台活荷载(包括检修维护和生产操作活荷载);T表示烟气温度作用;AT表示非正常运行烟气温度作用;CP表示环向烟气负压。组合Ⅳ、Ⅴ、Ⅵ用于自立式或悬挂式排烟内筒计算。
2 砖烟囱和塔架式钢烟囱可不计算附加弯矩M a 。
条文说明
3.1.7 根据烟囱的工作特性,本条列出了烟囱可能发生的各种荷载效应和作用效应的基本组合情况。其中组合情况Ⅰ是普遍发生的;组合情况Ⅱ多发生于套筒式或多管式烟囱;组合情况Ⅲ用于塔架或拉索验算。组合Ⅳ、Ⅴ、Ⅵ用于自立式或悬挂式钢内筒或玻璃钢内筒计算。由于平台约束对内筒将产生较大温度应力,需要进行该类组合计算。 为了与现行国家标准《高耸结构设计规范》GB 50135的规定一致,在安装检修为第1可变荷载时,风荷载的组合系数由0.45调整到0.60,同时考虑其他平台活荷载。 附加弯矩属可变荷载,组合中应予折减。但由于缺乏统计数据且考虑到自重为其产生的主要因素,故取组合系数为1.00。 增加了温度组合工况,原规范将该种工况列于正常使用状态下,温度和荷载共同作用情况,主要用于钢筋混凝土烟囱筒壁验算。由于温度作用长期存在,在自立式或悬挂式钢内筒或玻璃钢内筒极限承载能力验算时,也应考虑其组合,并且其组合系数应取1.00。 由于砖烟囱和塔架式钢烟囱的结构特点,其变形较小,可不考虑其附加弯矩影响。
3.1.8 抗震设防的烟囱除应按本规范第3.1.4条~第3.1.7条极限承载能力计算外,尚应按下列公式进行截面抗震验算:




式中:γ RE ——承载力抗震调整系数,砖烟囱和玻璃钢烟囱取1.0;钢筋混凝土烟囱取0.9;钢烟囱取0.8;钢塔架按本规范第10章规定采用;当仅计算竖向地震作用时,各类烟囱和构件均应采用1.0;
γ Eh ——水平地震作用分项系数,按表3.1.8-1的规定采用;
γ Ev ——竖向地震作用分项系数,按表3.1.8-1的规定采用;
S Ehk ——水平地震作用标准值的效应,按本规范第5.5节的规定进行计算;
S Evk ——竖向地震作用标准值的效应,按本规范第5.5节的规定进行计算;
S Wk ——风荷载标准值作用效应;
S MaE ——由地震作用、风荷载、日照和基础倾斜引起的附加弯矩效应,按本规范第7.2节的规定计算;
S GE ——重力荷载代表值的效应,重力荷载代表值取烟囱及其构配件自重标准值和各层平台活荷载组合值之和。活荷载的组合值系数,应按表3.1.8-2的规定采用;
S T ——烟气温度作用效应;
γ w ——风荷载分项系数,按本规范表3.1.6的规定采用;
ψ WE ——风荷载的组合值系数,取0.20;
ψ MaE ——由地震作用、风荷载、日照和基础倾斜引起的附加弯矩组合值系数,取1.0;
ψ cT ——温度作用组合系数,取1.0;
γ GE ——重力荷载分项系数,一般情况应取 1.2,当重力荷载对烟囱承载能力有利时,不应大于1.0。
表3.1.8-1 地震作用分项系数

表3.1.8-2 计算重力荷载代表值时活荷载组合值系数

条文说明
3.1.8 根据需要,本次修订增加了玻璃钢烟囱、塔架抗震调整系数。同时规定仅计算竖向地震作用时,抗震调整系数取1.0,以与现行国家标准《建筑抗震设计规范》GB 50011强制性条文一致。重力荷载代表值计算时,积灰荷载组合系数由0.5调整为0.9,与烟囱实际运行情况以及《建筑结构荷载规范》GB 50009一致。 公式(3.1.8-1)用于普通烟囱及套筒(或多管)烟囱外筒的抗震验算;公式(3.1.8-2)用于自立式或悬挂式排烟内筒抗震验算,主要是考虑平台约束对内筒产生的温度应力影响。
3.1.9 对于正常使用极限状态,应根据不同设计要求,采用作用效应的标准组合或准永久组合进行设计,并应符合下列规定:
1 标准组合应用于验算钢筋混凝土烟囱筒壁的混凝土压应力、钢筋拉应力、裂缝宽度,以及地基承载力或结构变形验算等,并应按下式计算:

式中:C——烟囱或结构构件达到正常使用要求的规定限值。
2 准永久组合用于地基变形的计算,应按下式确定:

式中: ψ qj ——第j个可变作用效应的准永久值系数,平台活荷载取0.6;积灰荷载取0.8;一般情况下不计及风荷载,但对于风玫瑰图呈严重偏心的地区,可采用风荷载频遇值系数0.4进行计算。
条文说明
3.1.9 钢筋混凝土烟囱在承载能力极限状态计算时未考虑温度应力,原因是考虑混凝土开裂后温度应力消失。但在正常使用极限状态应考虑温度应力,故需在该阶段进行应力验算。 烟囱地基变形计算,主要包括基础最终沉降量计算及基础倾斜计算。在长期荷载作用下,地基所产生的变形主要是由于土中孔隙水的消散、孔隙水的减少而发生的。风荷载是瞬时作用的活荷载,在其作用下土中孔隙水一般来不及消散,土体积的变化也迟缓于风荷载,故风荷载产生的地基变形可按瞬时变形考虑。影响烟囱基础沉降和倾斜的主要因素,是作用于筒身的长期荷载、邻近建筑的相互影响以及地基本身的不均匀性,而瞬时作用的影响是很小的,故一般情况下,计算烟囱基础的地基变形时,不考虑风荷载。但对于烟囱来讲,风荷载是主要活荷载,特殊情况下,即对于风玫瑰图严重偏心的地区,为确保结构的稳定性,应考虑风荷载。 增加了积灰荷载准永久系数取值。
3.1.10 荷载效应及温度作用效应的标准组合应符合表3.1.10的情况,并应采用相应的组合值系数。
表3.1.10 荷载效应和温度作用效应的标准组合值系数

3.2 设计规定
3.2 设计规定
3.2.1 设计烟囱时,应根据使用条件、烟囱高度、材料供应及施工条件等因素,确定采用砖烟囱、钢筋混凝土烟囱或钢烟囱。下列情况不应采用砖烟囱:
1 高度大于60m的烟囱。
2 抗震设防烈度为9度地区的烟囱。
3 抗震设防烈度为8度时,Ⅲ、Ⅳ类场地的烟囱。
条文说明
3.2.1 烟囱筒壁的材料选择,在一般情况下主要依据烟囱的高度和地震烈度。从目前国内情况看,烟囱高度大于80m时,一般采用钢筋混凝土筒壁。烟囱高度小于或等于60m时,多数采用砖烟囱。烟囱高度介于60m至80m之间时,除要考虑烟囱高度和地震烈度外,还宜根据烟囱直径、烟气温度、材料供应及施工条件等情况进行综合比较后确定。 砖烟囱的抗震性能较差。即使是配置竖向钢筋的砖烟囱,遇到较高烈度的地震仍难免发生一定程度的破坏。而且高烈度区砖烟囱的竖向配筋量很大,导致施工质量难以保证,而造价与钢筋混凝土烟囱相差不大。
3.2.2 烟囱内衬的设置应符合下列规定:
1 砖烟囱应符合下列规定:
1)当烟气温度大于400℃时,内衬应沿筒壁全高设置;
2)当烟气温度小于或等于400℃时,内衬可在筒壁下部局部设置,其最低设置高度应超过烟道孔顶,超过高度不宜小于孔高的1/2。
2 钢筋混凝土单筒烟囱的内衬宜沿筒壁全高设置。
3 当筒壁温度符合本规范第3.3.1条温度限值且满足防腐蚀要求时,钢烟囱可不设置内衬。但当筒壁温度较高时,应采取防烫伤措施。
4 当烟气腐蚀等级为弱腐蚀及以上时,烟囱内衬设置尚应符合本规范第11章的有关规定。
5 内衬厚度应由温度计算确定,但烟道进口处一节或地下烟道基础内部分的厚度不应小于200mm或一砖。其他各节不应小于100mm或半砖。内衬各节的搭接长度不应小于300mm或六皮砖(图3.2.2)。

图3.2.2 内衬搭接(mm)
条文说明
3.2.2 烟囱内衬设置的主要作用是降低筒壁温度,保证筒壁的受热温度在限值之内,减少材料力学性能的降低和降低筒壁温度应力以减少裂缝开展。设置内衬还可以减少烟气对筒壁的腐蚀和磨损。考虑上述因素,本条对内衬的设置区域、温度界限分别作了规定。钢筋混凝土单筒烟囱的内衬宜沿筒壁全高设置,当有积灰平台时,可仅在烟道口以上部分设置。 钢烟囱可以不设置内衬,主要是指烟气无腐蚀、或虽有腐蚀但采用防腐蚀涂料的钢烟囱。当烟气温度过高或仅通过防腐涂料不能够满足要求时,仍需设置内衬。
3.2.3 隔热层的构造应符合下列规定:
1 采用砖砌内衬、空气隔热层时,厚度宜为50mm,同时应在内衬靠筒壁一侧按竖向间距1m、环向间距为500mm挑出顶砖,顶砖与筒壁间应留10mm缝隙。
2 填料隔热层的厚度宜采用80mm~200mm,同时应在内衬上设置间距为1.5m~2.5m整圈防沉带,防沉带与筒壁之间应留出10mm的温度缝(图3.2.3)。

图3.2.3 防沉带构造(mm)
3.2.4 烟囱在同一平面内,有两个烟道口时,宜设置隔烟墙,其高度宜采用烟道孔高度的(0.5~1.5)倍。隔烟墙厚度应根据烟气压力进行计算确定,抗震设防地区应计算地震作用。
条文说明
3.2.4 隔烟墙高度问题一直存在争议,原规范规定应超过烟道孔顶,超出高度不小于1/2孔高。但实际应用中,许多烟道孔高度很大,难以实现。调研表明底部1/3烟气容易灌入对面烟道,上部2/3烟气会直接被抽入烟囱。为此,本次规范修订规定隔烟墙高度宜采用烟道孔高度的0.5倍~1.5倍,烟囱高度较低和烟道孔较矮的烟囱宜取较大值,反之取较小值。
3.2.5 烟囱外表面的爬梯应按下列规定设置:
1 爬梯应离地面2.5m处开始设置,并应直至烟囱顶端。
2 爬梯应设在常年主导风向的上风向。
3 烟囱高度大于40m时,应在爬梯上设置活动休息板,其间隔不应超过30m。
3.2.6 烟囱爬梯应设置安全防护围栏。
条文说明
3.2.6 我国以往烟囱爬梯一般在一定高度(约10m)处开始设置安全防护围栏,与国际标准相比,安全等级偏低,本次修改要求全高设置,且为强制性条文。烟囱为高耸结构,爬梯是后续烟囱高空维护、检查的唯一通道,围栏是保护使用人员安全的重要设施,其重要性同平台栏杆一样,必须设置。
3.2.7 烟囱外部检修平台,应按下列规定设置:
1 烟囱高度小于60m时,无特殊要求可不设置。
2 烟囱高度为60m~100m时,可仅在顶部设置。
3 烟囱高度大于100m时,可在中部适当增设平台。
4 当设置航空障碍灯时,检修平台可与障碍灯维护平台共用,可不再单独设置检修平台。
5 当设置烟气排放监测系统时,应根据本规范第3.5.1条规定设置采样平台后,采样平台可与检修平台共用。
6 烟囱平台应设置高度不低于1.1m的安全护栏和不低于100mm的脚部挡板。
3.2.8 无特殊要求时,砖烟囱可不设置检修平台和信号灯平台。
3.2.9 爬梯和烟囱外部平台各杆件长度不宜超过2.5m,杆件之间可采用螺栓连接。
3.2.10 爬梯和平台等金属构件,宜采用热浸镀锌防腐,镀层厚度应满足表3.2.10的要求,并应符合现行国家标准《金属覆盖层 钢铁制件热浸镀锌层 技术要求及试验方法》GB/T 13912的有关规定。
表3.2.10 金属热浸镀锌最小厚度

条文说明
3.2.10 爬梯和平台等金属构件是宜腐蚀构件,特别是这些构件长期处于露天和烟气等化学腐蚀介质可能腐蚀的环境里,因此,宜采取热浸镀锌防腐措施。
3.2.11 爬梯、平台与筒壁的连接应满足强度和耐久性要求。
条文说明
3.2.11 爬梯、平台与筒壁连接的可靠性,直接关系到烟囱使用期间高空作业人员的生命安全,因此必须满足强度和耐久性要求。
3.2.12 烟囱筒身应设置防雷设施。
条文说明
3.2.12 防雷装置是烟囱附属系统中的重要组成部分,烟囱一般均高出周围建筑物,其防雷设施设置尤为重要,必须按有关防雷标准进行防雷设计。
3.2.13 烟囱筒身应设沉降观测点和倾斜观测点。清灰装置应根据实际烟气情况确定是否设置。
条文说明
3.2.13 烟囱沉降和倾斜对其结构安全影响敏感,需要设置专门的观测装置。烟囱底部是否设置清灰系统(包括积灰平台、漏斗和清灰孔等),应根据实际需要确定,在烟囱使用寿命期间无积灰产生的,可以不设。
3.2.14 烟囱基础宜采用环形或圆形板式基础。在条件允许时,可采用壳体基础。对于高度较小且为地上烟道入口的砖烟囱,亦可采用毛石砌体或毛石混凝土刚性基础,基础材质要求应符合本规范第4章的有关规定。
3.2.15 筒壁的计算截面位置应按下列规定采用:
1 水平截面应取筒壁各节的底截面。
2 垂直截面可取各节底部单位高度的截面。
条文说明
3.2.15 筒壁计算截面的选取,是以具有代表性、计算方便又偏于安全为原则而确定的。因烟囱的坡度、筒身各层厚度及截面配筋的变化都在分节处,同时筒身的自重、风荷载及温度也按分节进行计算。这样,在每节底部的水平截面总是该节的最不利截面。因而本规范规定在计算水平截面时,取筒壁各节的底截面。 垂直截面本可以选择任意单位高度为计算截面。因为各节底部截面的一些数据是现成的(如筒壁内外半径、内衬及隔热层厚度)。所以计算垂直截面时,也规定取筒壁各节底部单位高度为计算截面。
3.2.16 在荷载的标准组合效应作用下,钢筋混凝土烟囱、钢结构烟囱和玻璃钢烟囱任意高度的水平位移不应大于该点离地高度的1/100,砖烟囱不应大于1/300。
条文说明
3.2.16 原规范的水平位移限值未明确规定,有关要求应符合原国家标准《高耸结构设计规范》GBJ 135-90的规定,即控制变形为离地高度的1/100。新修订的《高耸结构设计规范》GB 50135-2006所规定的高耸结构变形控制不适合烟囱设计要求,故本次规范修订给出水平变位限值。 美国《Code Requirements for Reinforced Concrete Chimneys and Commentary》ACI 307-08规定烟囱顶部位移限值为烟囱高度的1/300。根据我国实际应用情况,规定钢筋混凝土烟囱和钢烟囱位移限值为离地高度的1/100,而砖烟囱,需要控制水平截面偏心距不得大于其核心距,其位移限值应严格控制,确定为1/300。
3.3 受热温度允许值
3.3 受热温度允许值
3.3.1 烟囱筒壁和基础的受热温度应符合下列规定:
1 烧结普通黏土砖筒壁的最高受热温度不应超过400℃。
2 钢筋混凝土筒壁和基础以及素混凝土基础的最高受热温度不应超过150℃。
3 非耐热钢烟囱筒壁的最高受热温度应符合表3.3.1的规定。
表3.3.1 钢烟囱筒壁的最高受热温度

4 玻璃钢烟囱最高受热温度应符合本规范第9章的有关规定。
条文说明
3.3.1 烟囱筒壁温度和基础的最高受热温度允许值仍与原规范的规定相同。
1 对于普通黏土砖砌体的筒壁,限制最高使用温度,是依据在温度作用下材料性能的变化、温度应力的大小、筒壁使用效果等因素综合考虑的。砖砌体在400℃温度作用下,强度有所降低(主要是砂浆强度降低)。由于筒壁的高温区仅在筒壁内侧,筒壁内的温度是由内向外递减的,平均温度要小于400℃。
2 钢筋混凝土及混凝土的受热温度允许值规定为150℃,这是因为从烟囱的大量调查中发现,由于温度的作用,筒壁裂缝比较普遍,有些还相当严重。这是由于一方面温度应力、混凝土的收缩及徐变、施工质量等因素综合造成的,另一方面,烟气的温度不仅长期作用,且由于在使用过程中受热温度还可能出现超温现象。超温现象除了因为烟气温度升高(事故或燃料改变)外,还与内衬及隔热层性能达不到设计要求有关。这些都将导致筒壁温度升高。综合以上因素,限制钢筋混凝土筒壁的设计最高受热温度为150℃。
3 关于钢筋混凝土基础的设计最高受热温度,实际调查中发现,凡烟气穿过基础的高温烟囱,基础有的出现严重酥碎,有的已全部烧坏。这是因为热量在土中不易散发,蓄积的热量使基础受热温度愈来愈高,导致混凝土解体。在原规范编制过程中,进行了大试件模拟试验。在试验的基础上,给出了温度计算公式。在设计过程中发现,用上述公式计算,对烟气温度大于350℃的基础,很难仅用隔热的措施使基础受热温度降至150℃以下。如果采取通风散热或改用耐热混凝土为基础材料等措施,则尚缺乏工程实践经验。因此,高温烟囱应避免采用有烟气穿过的基础而可将烟道入口升至地面。
非耐热钢烟囱筒壁受热温度的适用范围摘自国家标准《钢制压力容器》GB 150-1998。
3.4 钢筋混凝土烟囱筒壁设计规定
3.4 钢筋混凝土烟囱筒壁设计规定
3.4.1 对正常使用极限状态,按作用效应标准组合计算的混凝土压应力和钢筋拉应力,应符合本规范第7.4.1条的规定。
条文说明
3.4.1 本条给出了在正常使用极限状态计算时控制混凝土及钢筋的应力限值,以防止混凝土和钢筋应力过大。
3.4.2 对正常使用极限状态,按作用效应标准组合计算的最大水平裂缝宽度和最大垂直裂缝宽度不应大于表3.4.2规定的限值。
表3.4.2 裂缝宽度限值(mm)
条文说明
3.4.2 原规范与现行国家标准《混凝土结构设计规范》GB 50010统一,裂缝宽度限值区分了使用环境类别,并对裂缝宽度限值作了规定。由于烟囱工作环境恶劣,裂缝普遍,因此,本次修订规定所有钢筋混凝土烟囱上部20m范围最大裂缝宽度为0.15mm,其余部位全部为0.20mm。

3.4.3 安全等级为一级的单筒式钢筋混凝土烟囱,以及套筒式或多管式钢筋混凝土烟囱的筒壁,应采用双侧配筋。其他单筒式钢筋混凝土烟囱筒壁内侧的下列部位应配置钢筋:
1 筒壁厚度大于350mm时。
2 夏季筒壁外表面温度长时间大于内侧温度时。
3.4.4 筒壁最小配筋率应符合表3.4.4的规定。
表3.4.4 筒壁最小配筋率(%)

注:括号内数字为套筒式或多管式钢筋混凝土烟囱最小配筋率。
3.4.5 筒壁环向钢筋应配在竖向钢筋靠筒壁表面(双侧配筋时指内、外表面)一侧,环向钢筋的保护层厚度不应小于30mm。
3.4.6 筒壁钢筋最小直径和最大间距应符合表3.4.6的规定。当为双侧配筋时,内外侧钢筋应用拉筋拉结,拉筋直径不应小于6mm,纵横间距宜为500mm。
表3.4.6 筒壁钢筋最小直径和最大间距(mm)

3.4.7 竖向钢筋的分段长度,宜取移动模板的倍数,并加搭接长度。
钢筋搭接长度应按现行国家标准《混凝土结构设计规范》GB 50010的规定执行,接头位置应相互错开,并在任一搭接范围内,不应超过截面内钢筋总面积的1/4。
当钢筋采用焊接接头时,其焊接类型及质量应符合现行行业标准《钢筋焊接及验收规程》JGJ 18的有关规定。
3.5 烟气排放监测系统
3.5 烟气排放监测系统
3.5.1 当连续监测烟气排放系统装置离地高度超过2.5m时,应在监测装置下部1.2m~1.3m标高处设置采样平台。平台应设置爬梯或Z形楼梯。当监测装置离地高度超过5m时,平台应设置Z形楼梯、旋转楼梯或升降梯。
条文说明
3.5.1 烟气排放连续监测系统(Continuous Emissions Monitoring Systems,简称CEMS)的设置,由环保或工艺有关专业设置,土建专业应预留位置并设置用于采样的平台。
3.5.2 安装连续监测烟气排放系统装置的工作区域应提供永久性的电源,并应设防雷接地装置。
条文说明
3.5.2 安装烟气CEMS的工作区域应提供永久性的电源,以保障烟气CEMS的正常运行。安装在高空位置的烟气CEMS要采取措施防止发生雷击事故,做好接地,以保证人身安全和仪器的运行安全。
3.6 烟囱检修与维护
3.6 烟囱检修与维护
3.6.1 烟囱设计应设置用于维护和检修的设施。
3.6.2 烟囱设计文件对外露钢结构构件和钢烟囱宜规定检查和维护要求。
4 材料
4.1 砖石
4 材料
4.1 砖石
4.1.1 砖烟囱筒壁宜采用烧结普通黏土砖,且强度等级不应低于MU10,砂浆强度等级不应低于M5。
条文说明
4.1.1 砖烟囱筒壁材料的选用考虑了以下情况。
(1) 从对砖烟囱的调查研究发现,砖的强度等级低于或等于MU7.5时,砌体的耐久性差,容易风化腐蚀。特别是处于潮湿环境或具有腐蚀性介质作用时更为突出。故将砖的强度等级提高一级,规定其强度等级不应低于MU10。
(2) 烟气中一般都含有不同程度的腐蚀介质,烟囱筒壁一般会受到烟气腐蚀的作用。在调查的砖烟囱中,发现砂浆被腐蚀后丧失强度,用手很容易将砂浆剥落。但砖仍具有一定的强度,说明砂浆的耐腐蚀性不如砖。从调研中还可以看到烟囱筒首部分腐蚀更为严重,砂浆疏松剥落。因此,从耐腐蚀上要求砂浆强度等级不应低于M5。 通过对配筋砖烟囱调查发现:用M2.5混合砂浆砌筑配有环向钢筋的砖筒壁,由于砂浆强度低,密实性差,钢筋锈蚀严重,钢筋周围有黄色锈斑,钢筋与砂浆黏结不好,难以保证共同工作。而用M5混合砂浆砌筑的烟囱投产使用多年,烟囱外表无明显裂缝,凿开后钢筋锈蚀较轻,砂浆密实饱满。所以,从防止钢筋锈蚀和保证钢筋与砂浆共同工作出发,砖筒壁的砂浆强度等级也不应低于M5。 烧结黏土砖可有效满足温度收缩及遇水膨胀,故砖烟囱宜选用烧结黏土砖。当其他类型砌块性能达到上述性能时,也可采用。
4.1.2 烟囱及烟道的内衬材料可按下列规定采用:
1 当烟气温度低于400℃时,可采用强度等级为MU10的烧结普通黏土砖和强度等级为M5的混合砂浆。
2 当烟气温度为400℃~500℃时,可采用强度等级为MU10的烧结普通黏土砖和耐热砂浆。
3 当烟气温度高于500℃时,可采用黏土质耐火砖和黏土质火泥泥浆,也可采用耐热混凝土。
4 当烟气腐蚀等级为弱腐蚀及以上时,内衬材料尚应符合本规范第11章的有关规定。
条文说明
4.1.2 本条规定了烟囱及烟道的内衬材料。 在已投产使用的烟囱中,内衬开裂是比较普遍存在的问题。有的烟囱内衬在温度反复作用下,开裂长达几米或十几米,且沿整个壁厚贯通。内衬的开裂导致筒壁受热温度升高并产生裂缝,内衬已成为烟囱正常使用下的薄弱环节。开裂严重直接影响烟囱的正常使用。因此,在内衬材料的选择上应予以重视。 内衬直接受烟气温度及烟气中腐蚀性介质的作用,因此内衬材料应根据烟气温度及腐蚀程度选择,依据烟气温度,可选用普通黏土砖或黏土质耐火砖做内衬;当烟气中含有较强的腐蚀性介质时,按本规范第11章有关规定执行。
4.1.3 石砌基础的材料应采用未风化的天然石材,并应根据地基土的潮湿程度按下列规定采用:
1 当地基土稍湿时,应采用强度等级不低于MU30的石材和强度等级不低于M5的水泥砂浆砌筑。
2 当地基土很湿时,应采用强度等级不低于MU30的石材和强度等级不低于M7.5的水泥砂浆砌筑。
3 当地基土含水饱和时,应采用强度等级不低于MU40的石材和强度等级不低于M10的水泥砂浆砌筑。
4.1.4 砖砌体在温度作用下的抗压强度设计值和弹性模量,可不计入温度的影响,应按现行国家标准《砌体结构设计规范》GB 50003的有关规定执行。
4.1.5 砖砌体的线膨胀系数α m 可按下列规定采用:
1 当砌体受热温度T为20℃~200℃时,α m 可采用5×10 -6 /℃。
2 当砌体受热温度T>200℃,且T≤400℃时,α m 可按下式确定:

4.2 混凝土
4.2 混凝土
4.2.1 钢筋混凝土烟囱筒壁的混凝土宜按下列规定采用:
1 混凝土宜采用普通硅酸盐水泥或矿渣硅酸盐水泥配制,强度等级不应低于C25。
2 混凝土的水胶比不宜大于0.45,每立方米混凝土水泥用量不应超过450kg。
3 对于腐蚀环境下的烟囱,筒壁和基础混凝土的基本要求尚应符合现行国家标准《工业建筑防腐蚀设计规范》GB 50046的有关规定。
4 混凝土的骨料应坚硬致密,粗骨料宜采用玄武岩、闪长岩、花岗岩等破碎的碎石或河卵石。细骨料宜采用天然砂,也可采用玄武岩、闪长岩、花岗岩等岩石经破碎筛分后的产品,但不得含有金属矿物、云母、硫酸化合物和硫化物。
5 粗骨料粒径不应超过筒壁厚度的1/5和钢筋净距的3/4,同时最大粒径不应超过60mm;泵送混凝土时最大粒径不应超过40mm。
条文说明
4.2.1 钢筋混凝土烟囱筒壁混凝土的采用有以下考虑:
1 普通硅酸盐水泥和矿渣硅酸盐水泥除具有一般水泥特性外尚有抗硫酸盐侵蚀性好的优点。适合用于烟囱筒壁。但矿渣硅酸盐水泥抗冻性差,平均气温在10℃以下时不宜使用。
2 对混凝土水灰比和水泥用量的限制是为了减少混凝土中水泥石和粗骨料之间在较高温度作用时的变形差。水泥石在第一次受热时产生较大收缩。含水量愈大,收缩变形愈大。骨料受热后则膨胀。而水泥石与骨料间的变形差增大的结果导致混凝土产生更大内应力和更多内部微细裂缝,从而降低混凝土强度。限制水泥用量的目的也是为了不使水泥石过多,避免产生过大的收缩变形。
5 对粗骨料粒径的限制也可减少它与水泥石之间的变形差。
4.2.2 基础与烟道混凝土最低强度等级应满足现行国家标准《混凝土结构设计规范》GB 50010和《工业建筑防腐蚀设计规范》GB 50046的有关规定,壳体基础混凝土强度等级不应低于C30,非壳体钢筋混凝土基础混凝土强度等级不应低于C25。
条文说明
4.2.2 在规范编制调研中发现,当设有地下烟道的烟囱基础受到烟气温度作用后,混凝土开裂、疏松现象普遍,严重的已烧坏。并且作为高耸构筑物的基础,混凝土强度等级应高于一般基础。为此,本条对基础与烟道混凝土最低强度等级的要求作了适当提高。
4.2.3 混凝土在温度作用下的强度标准值应按表4.2.3的规定采用。
表4.2.3 混凝土在温度作用下的强度标准值(N/mm 2 )

注:温度为中间值时,可采用线性插入法计算。
条文说明
4.2.3 表4.2.3列入混凝土在温度作用下的强度标准值。现行国家标准《建筑结构可靠度设计统一标准》GB 50068要求:“在各类材料的结构设计与施工规范中,应对材料和构件的力学性能、几何参数等质量特征提出明确的要求。” 温度作用下混凝土试件各类强度可以用以下随机方程表达: 
式中:
xt——温度作用下混凝土各类强度(轴心抗压
ct和轴心抗拉
tt)试验值(N/mm2);
γx——温度作用下混凝土试件各类强度的折减系数;
x——常温下混凝土各类强度的试验值(N/mm2)。
本规范根据国内外375个γx的试验子样按不同强度类别及不同温度进行参数估计和分布假设检验得到各项统计参数及判断(不拒绝韦伯分布)。对随机变量
x则全部采用了现行国家标准《混凝土结构设计规范》GB 50010中的统计参数求得各种强度等级及不同强度类别的
x的密度函数。根据γx及
x的密度函数,采用统计模拟方法(蒙脱卡洛法)即可采集到
xt的子样数据。再经统计检验得
xt的各项统计参数及概率密度函数为正态分布。最后,混凝土在温度作用下的各类强度标准值按下式计算:
式中:
xtk——温度作用下混凝土各类强度(轴心抗压
ctk和轴心抗拉
ttk)的标准值(N/mm2);
μfxt——随机变量
xt的平均值(见表1);
δfxt——随机变量
xt的标准差(见表1)。
表4.2.3中的数值根据计算结果作了少量调整。

4.2.4 受热温度值应按下列规定采用:
1 轴心受压及轴心受拉时应取计算截面的平均温度。
2 弯曲受压时应取表面最高受热温度。
4.2.5 混凝土在温度作用下的强度设计值应按下列公式计算:

式中: 
ct 、 
tt ——混凝土在温度作用下的轴心抗压、轴心抗拉强度设计值(N/mm 2 );

ctk 、
ttk ——混凝土在温度作用下的轴心抗压、轴心抗拉强度标准值,按本规范表4.2.3的规定采用(N/mm 2 );
γ ct 、γ tt ——混凝土在温度作用下的轴心抗压强度、轴心抗拉强度分项系数,按表4.2.5的规定采用。
表4.2.5 混凝土在温度作用下的材料分项系数

条文说明
4.2.5 本条对混凝土强度设计值的规定都是按工程经验校准法计算确定的。考虑烟囱竖向浇灌施工和养护条件与一般水平构件的差异,混凝土在温度作用下的轴心抗压设计强度折减系数采用0.8,据此进行工程经验校准,得到混凝土在温度作用下的轴心抗压强度材料分项系数为1.85。
4.2.6 混凝土在温度作用下的弹性模量可按下式计算:

式中:E ct ——混凝土在温度作用下的弹性模量(N/mm 2 );
β c ——混凝土在温度作用下的弹性模量折减系数,按表4.2.6的规定采用;
E c ——混凝土弹性模量(N/mm 2 ),按现行国家标准《混凝土结构设计规范》GB 50010的规定采用。
表4.2.6 混凝土弹性模量折减系数β c

注:温度为中间值时,应采用线性插入法计算。
条文说明
4.2.6 本规范利用采集到的320个混凝土在温度作用下的弹性模量试验数据,用参数估计和概率分布的假设检验方法,取保证率为50%来计算弹性模量标准值。
4.2.7 混凝土的线膨胀系数α c 可采用1.0×10 -5 /℃。
4.3 钢筋和钢材
4.3 钢筋和钢材
4.3.1 钢筋混凝土筒壁的配筋宜采用HRB335级钢筋,也可采用HRB400级钢筋。抗震设防烈度8度及以上地区,宜选用HRB335E、HRB400E级钢筋。砖筒壁的环向钢筋可采用HPB300级钢筋。钢筋性能应符合现行国家标准《钢筋混凝土用钢 第1部分:热轧光圆钢筋》GB 1499.1和《钢筋混凝土用钢 第2部分:热轧带肋钢筋》GB 1499.2的有关规定。
条文说明
4.3.1 对钢筋混凝土筒壁未推荐采用光圆钢筋,因为在温度作用下光圆钢筋与混凝土的黏结力显著下降。如温度为100℃时,约为常温的3/4。温度为200℃时,约为常温的1/2。温度为450℃时,黏结力全部破坏。由于国家标准《混凝土结构设计规范》GB 50010修订,高强度钢筋HRB400和RRBF400为推广品种之一,本次规范修订也增加了该类钢筋的使用,但未推荐更高等级的钢筋,因为当钢筋应力过高时,会引起裂缝宽度过大。为了减小裂缝宽度,采取了控制钢筋拉应力的措施。
4.3.2 在温度作用下,钢筋的强度标准值应按下式计算:

式中: 
ytk ——钢筋在温度作用下强度标准值(N/mm 2 );

yk ——钢筋在常温下强度标准值(N/mm 2 ), 按现行国家标准《混凝土结构设计规范》GB 50010采用;
β yt ——钢筋在温度作用下强度折减系数,温度不大于100℃时取1.00, 150℃时取0.90,中间值采用线性插入。
条文说明
4.3.2 现行国家标准《混凝土结构设计规范》GB 50010对热轧钢筋在常温下的标准值都已作出规定。本条所列的强度标准值的取值方法是常温下热轧钢筋的强度标准值乘以温度折减系数。
4.3.3 钢筋的强度设计值应按下式计算:

式中: 
yt ——钢筋在温度作用下的抗拉强度设计值(N/mm 2 );
γ yt ——钢筋在温度作用下的抗拉强度分项系数,按表4.3.3的规定采用。
表4.3.3 钢筋在温度作用下的材料分项系数

注:当钢筋在温度作用下的抗拉强度设计值的计算值大于现行国家标准《混凝土结构设计规范》GB 50010规定的常温下相应数值时,应取常温下强度设计值。
条文说明
4.3.3 钢筋的强度设计值的分项系数是按工程经验校正法确定。
4.3.4 钢烟囱的钢材、钢筋混凝土烟囱及砖烟囱附件的钢材,应符合现行国家标准《钢结构设计规范》GB 50017的有关规定,并应符合下列规定:
1 钢烟囱塔架和筒壁可采用Q235、Q345、Q390、Q420钢。其质量应分别符合现行国家标准《碳素结构钢》GB/T 700和《低合金高强度结构钢》GB/T 1591的规定。
2 处在大气潮湿地区的钢烟囱塔架和筒壁或排放烟气属于中等腐蚀性的筒壁,宜采用Q235NH、Q295NH或Q355NH可焊接低合金耐候钢。其质量应符合现行国家标准《耐候结构钢》GB/T 4171的有关规定。腐蚀性烟气分级应按本规范第11章的规定执行。
3 烟囱的平台、爬梯和砖烟囱的环向钢箍宜采用Q235B级钢材。
4.3.5 当作用温度不大于100℃时,钢材和焊缝的强度设计值应按现行国家标准《钢结构设计规范》GB 50017的规定采用。对未作规定的耐候钢应按表4.3.5-1和表4.3.5-2的规定采用。
表4.3.5-1 耐候钢的强度设计值(N/mm 2 )

表4.3.5-2 耐候钢的焊缝强度设计值(N/mm 2 )

注:1 自动焊和半自动焊所采用的焊丝和焊剂,应保证其熔敷金属抗拉强度不低于相应手工焊焊条的数值。
2 焊缝质量等级应符合现行国家标准《钢结构工程施工质量验收规范》GB 50205的有关规定。
3 对接焊缝抗弯受压区强度取 
,抗弯受拉区强度设计值取 
。
条文说明
4.3.5 耐候钢的抗拉、抗压和抗弯强度设计值是以现行国家标准《焊接结构用耐候钢》GB 4172规定的钢材屈服强度除以抗力分项系数而得。其他则按现行国家标准《钢结构设计规范》GB 50017换算公式计算。本条对耐候钢的角焊缝强度设计值适当降低,相当于增加了一定的腐蚀裕度。
4.3.6 Q235、Q345、Q390和Q420钢材及其焊缝在温度作用下的强度设计值,应按下列公式计算:

式中: 
t ——钢材在温度作用下的抗拉、抗压和抗弯强度设计值 (N/mm 2 );

vt ——钢材在温度作用下的抗剪强度设计值(N/mm 2 );

——焊缝在温度作用下各种受力状态的强度设计值(N/mm 2 ),下标字母x为字母c(抗压)、t(抗拉)、v(抗剪)和f(角焊缝强度)的代表;
γ s ——钢材及焊缝在温度作用下强度设计值的折减系数;

——钢材在温度不大于100℃时的抗拉、抗压和抗弯强度设计值(N/mm 2 );

v ——钢材在温度不大于100℃时的抗剪强度设计值(N/mm 2 );

——焊缝在温度大于100℃时各种受力状态的强度设计值(N/mm 2 ),下标字母x为字母c(抗压)、t(抗拉)、v(抗剪)和f(角焊缝强度)的代表;
T——钢材或焊缝计算处温度(℃)。
条文说明
4.3.6 对Q235、Q345、Q390和Q420钢材强度设计值的温度折减系数是采用欧洲钢结构协会(ECCS)的规定值。耐候钢在温度作用下钢材和焊缝的强度设计值的温度折减系数宜要求供货厂商提供或通过试验确定。
4.3.7 钢筋在温度作用下的弹性模量可不计及温度折减,应按现行国家标准《混凝土结构设计规范》GB 50010采用。钢材在温度作用下的弹性模量应折减,并应按下式计算:

式中:E t ——钢材在温度作用下的弹性模量(N/mm 2 );
β d ——钢材在温度作用下弹性模量的折减系数,按表4.3.7的规定采用;
E——钢材在作用温度小于或等于100℃时的弹性模量(N/mm 2 ),按现行国家标准《钢结构设计规范》GB 50017的规定采用。
表4.3.7 钢材弹性模量的温度折减系数

注:温度为中间值时,应采用线性插入法计算。
条文说明
4.3.7 由于限制了钢筋混凝土筒壁和基础的最高受热温度不超过150℃,钢筋弹性模量降低很少。为使计算简化,本条规定了筒壁和基础的钢筋弹性模量不予折减。 钢烟囱的最高受热温度规定为400℃。因此钢材在温度作用下的弹性模量应予折减。为与屈服强度折减系数配套,本条也采用了欧洲钢结构协会(ECCS)的规定。
4.3.8 钢筋和钢材的线膨胀系数α s 可采用1.2×10 -5 /℃。
4.4 材料热工计算指标
4.4 材料热工计算指标
4.4.1 隔热材料应采用无机材料,其干燥状态下的重力密度不宜大于8kN/m 3 。
条文说明
4.4.1 隔热材料应采用重力密度小,隔热性能好的无机材料。隔热材料宜为整体性好、不易破碎和变形、吸水率低、具有一定强度并便于施工的轻质材料。根据烟气温度及材料最高使用温度确定材料的种类。常用的隔热材料有:硅藻土砖、膨胀珍珠岩、水泥膨胀珍珠岩制品、岩棉、矿渣棉等。
4.4.2 材料的热工计算指标,应按实际试验资料确定。当无试验资料时,对几种常用的材料,干燥状态下可按表4.4.2的规定采用。在确定材料的热工计算指标时,应计入下列因素对隔热材料导热性能的影响:
1 对于松散型隔热材料,应计入由于运输、捆扎、堆放等原因所造成的导热系数增大的影响。
2 对于烟气温度低于150℃时,宜采用憎水性隔热材料。当采用非憎水性隔热材料时应计入湿度对导热性能的影响。
表4.4.2 材料在干燥状态下的热工计算指标

注:1 有条件时应采用实测数据。
2 表中T为烟气温度(℃)。
条文说明
4.4.2 材料的热工计算指标离散性较大,应按所选用的材料实际试验资料确定。但有的生产厂家无产品性能指标试验资料提供时,可按正文表4.4.2采用。 导热系数是建筑材料的热物理特性指标之一,单位为瓦(特)每米开(尔文)[W/(m·K)]。说明材料传递热时的能力。导热系数除与材料的重度、湿度有关外,还与温度有关。材料重度小,其导热系数低;材料湿度大,其导热系数就愈大。烟囱隔热层处于工作状态时,一般材料应为干燥状态。由于施工方法(如双滑或内砌外滑)或使用不当,致使隔热材料有一定湿度,应采取措施尽量控制材料的湿度,或根据实践经验考虑湿度对导热系数的影响。材料随受热温度的提高,导热系数增大。对烟囱来说,一般烟气温度较高,温度对导热系数的影响不能忽略。在计算筒身各层受热温度时,应采用相应温度下的导热系数。在烟囱计算中,按下式来表达: 
式中:a——温度为0℃时导热系数;
b——系数,相当于温度增高1℃时导热系数增加值;
T——平均受热温度(℃)。 要准确地给出材料的导热系数是比较困难的,本规范给出的导热系数数值,参考了有关资料和规范,以及国内各生产厂和科研单位的试验数据加以分析整理,当无材料试验数据时可以采用。
5 荷载与作用
5.1 荷载与作用的分类
5 荷载与作用
5.1 荷载与作用的分类
5.1.1 烟囱的荷载与作用可按下列规定分类:
1 结构自重、土压力、拉线的拉力应为永久作用。
2 风荷载、烟气温度作用、大气温度作用、安装检修荷载、平台活荷载、裹冰荷载、地震作用、烟气压力及地基沉陷等应为可变作用。
3 拉线断线应为偶然作用。
条文说明
5.1.1 对烟囱来讲,温度作用具有准永久性质。但从温度变化的幅度角度看,又具有较大的可变性。因此在荷载与作用的分类时,将温度作用划为可变荷载。由于机械故障等原因造成降温设备事故时,会使烟气温度迅速增高,但持续时间较短,这种情况的温度作用为偶然荷载。
5.1.2 烟气产生的烟气温度作用和烟气压力作用应按正常运行工况和非正常运行工况确定。因脱硫装置或余热锅炉设备故障等原因所引起的事故状态,应按非正常运行工况确定,并应按短暂设计状况进行设计。
5.1.3 本规范未规定的荷载与作用,均应按现行国家标准《建筑结构荷载规范》GB 50009和《建筑抗震设计规范》GB 50011的规定采用。
5.2 风荷载
5.2 风荷载
5.2.1 基本风压应按现行国家标准《建筑结构荷载规范》GB 50009规定的50年一遇的风压采用,但基本风压不得小于0.35kN/m 2 。烟囱安全等级为一级时,其计算风压应按基本风压的1.1倍确定。
5.2.2 计算塔架式钢烟囱风荷载时,可不计入塔架与排烟筒的相互影响,可分别计算塔架和排烟筒的基本风荷载。
5.2.3 塔架式钢烟囱的排烟筒为两个及以上时,排烟筒的风荷载体型系数,应由风洞试验确定。
条文说明
5.2.2、5.2.3 塔架内有三个或四个排烟筒时,排烟筒的风荷载体型系数,目前有关资料很少,且缺乏通用性。因此,在条文中规定:应进行模拟试验来确定。 当然,这样规定将给设计工作带来一定困难,因此,在此介绍一些情况,可供设计时参考。
(1)上海东方明珠电视塔塔身为三柱式,设计前进行了模拟风洞试验。试件直径30mm,高200mm,柱间净距0.75d,相当于φ=0.727,风速17m/s。测定结果如图1。 
最大体型系数出现在图1(a)所示风向,以整体系数来表示,μs
=3.34/2.75=1.21。
根据各国的试验结果,当迎风面挡风系数φ>0.5时,μ s 值随着φ的增大而增大,特别是在d·V≥6m 2 /s时,遵守这一规律,对于三个排烟筒一般均属于φ >0.5,d·V≥6m 2 /s的情况(d为管径,V为风速)。
因此,在无法进行试验的情况下,对三个排烟筒的整体风荷载体型系数,可取:
μ s =1+0.4φ (4)
(2) 四个排烟筒的情况,日本做过风洞试验。该试验是为某电厂200m塔架式钢烟囱而做的,排烟筒布置情况如图2 。

经试验后确定排烟筒的体型系数μ s =1.10。这个数值比圆管塔架的μ s 要小一些,但有一定参考价值。在无条件试验时,四筒式排烟筒的μ s 值,可参考下式:
0°风攻角时:μ s =1+0.2φ (5)
45°风攻角时:μ s =1.2(1+0.1φ) (6)
(3) 关于排烟筒与塔架对μ s 的互相影响问题,各国规范均未考虑。原冶金部建筑研究总 院为宝钢200m塔架式钢烟囱所做的风洞试验,塔内为两个排烟筒的情况下,在某些风向下,塔架反而使烟囱体型系数有所增大。但一般情况,排烟筒体型系数大致降低0.09~0.13,平均降低0.11。因此,一般可不考虑塔架与排烟筒的相互作用。
5.2.4 对于圆形钢筋混凝土烟囱和自立式钢结构烟囱,当其坡度小于或等于2%时,应根据雷诺数的不同情况进行横风向风振验算;并应符合下列规定:
1 用于横风向风振验算的雷诺数Re、临界风速和烟囱顶部风速,应分别按下列公式计算:

式中:v cr,j ——第j振型临界风速(m/s);
v H ——烟囱顶部H处风速(m/s);
v——计算高度处风速(m/s),计算烟囱筒身风振时,可取v=v cr,j ;
d——圆形杆件外径(m),计算烟囱筒身时,可取烟囱2/3高度处外径;
S t ——斯脱罗哈数,圆形截面结构或杆件的取值范围为0.2~0.3,对于非圆形截面杆件可取0.15;
T j ——结构或杆件的第j振型自振周期(s);
μ H ——烟囱顶部H处风压高度变化系数;
ω 0 ——基本风压(kN/m 2 )。
2 当Re<3×10 5 ,且v H >v cr,j 时,自立式钢烟囱和钢筋混凝土烟囱可不计算亚临界横风向共振荷载,但对于塔架式钢烟囱的塔架杆件,在构造上应采取防振措施或控制杆件的临界风速不小于15m/s。
3 当Re≥3.5×10 6 ,且1.2v H >v cr,j 时,应验算其共振响应。横风向共振响应可采用下列公式进行简化计算:


式中:ζ j ——第j振型结构阻尼比,对于第一振型,混凝土烟囱取0.05;无内衬钢烟囱取0.01、有内衬钢烟囱取0.02;玻璃钢烟囱取0.035;对于高振型的阻尼比,无实测资料时,可按第一振型选用;
ω czj ——横风向共振响应等效风荷载(kN/m 2 );
H——烟囱高度(m);
H 1 ——横风向共振荷载范围起点高度(m);
H 2 ——横风向共振荷载范围终点高度(m);
α——地面粗糙度系数,按现行国家标准《建筑结构荷载规范》GB 50009的规定取值,对于钢烟囱可根据实际情况取不利数值;
φ zj ——在z高度处结构的j振型系数;
λ j (H i /H)——j振型计算系数,根据“锁住区” 起点高度H 1 或终点高度H 2 与烟囱整个高度H的比值按表5.2.4选用。
表5.2.4 λ j (H i /H)计算系数

注:中间值可采用线性插值计算。
4 当雷诺数为3×10 5 ≤Re≤3.5×10 6 时,可不计算横风向共振荷载。
条文说明
5.2.4 本条对烟囱的横风向风振计算作了具体规定。近年来虽未发现由于横风向风振导致烟囱破坏,但在烟囱使用情况调查中,发现钢筋混凝土烟囱上部,普遍出现水平裂缝。这除了与温度作用有关外,也不能排除与横风向风振有关。对于钢烟囱,由于阻尼系数较小,往往横风向风振起控制作用,因此考虑横风向风振是必要的。
5.2.5 在验算横风向共振时,应计算风速小于基本设计风压工况下可能发生的最不利共振响应。
条文说明
5.2.5 基本设计风压是在设计基准期内可能发生的最大风压值,实践证明,横风向最不利共振往往发生在低于基本设计风压工况下,因此要求进行验算。
5.2.6 当烟囱发生横风向共振时,可将横风向共振荷载效应S C 与对应风速下顺风向荷载效应S A 按下式进行组合:

5.2.7 在径向局部风压作用下,烟囱竖向截面最大环向风弯矩可按下列公式计算:

式中:M θin ——筒壁内侧受拉环向风弯矩(kN·m/m);
M θout ——筒壁外侧受拉环向风弯矩(kN·m/m);
μ z ——风压高度变化系数;
r——计算高度处烟囱外半径(m)。
条文说明
5.2.7 上口直径较大的钢筋混凝土烟囱和钢烟囱,其上部环向风弯矩较大,需要经过计算确定配筋数量或截面尺寸,本次规范修订增加了相关计算内容。
5.3 平台活荷载与积灰荷载
5.3 平台活荷载与积灰荷载
5.3.1 烟囱平台活荷载取值应符合下列规定:
1 分段支承排烟筒和悬挂式排烟筒的承重平台除应包括承受排烟筒自重荷载外,还应计入7kN/m 2 ~11kN/m 2 的施工检修荷载。当构件从属受荷面积大于或等于50m 2 时应取小值,小于或等于20m 2 时应取大值,中间可线性插值。
2 用于自立式或悬挂式钢内筒的吊装平台,应根据施工吊装方案,确定荷载设计值。但平台各构件的活荷载应取7kN/m 2 ~11kN/m 2 。当构件从属受荷面积大于或等于50m 2 时可取小值,小于或等于20m 2 时应取大值,中间可线性插值。
3 非承重检修平台、采样平台和障碍灯平台,活荷载可取3kN/m 2 。
4 套筒式或多管式钢筋混凝土烟囱顶部平台,活荷载可取7kN/m 2 。
条文说明
5.3.1 将原规范其他章节荷载内容修订完善后,统一放到本章。
5.3.2 排烟筒内壁应根据内衬材料特性及烟气条件,计入0~50mm厚积灰荷载。干积灰重力密度可取10.4kN/m 3 ;潮湿积灰重力密度可取11.7kN/m 3 ;湿积灰重力密度可取12.8kN/m 3 。
条文说明
5.3.2 根据排烟筒内壁部分工程实际调研情况,发现许多烟囱内壁存在较厚积灰,本次修订增加该部分内容。积灰厚度与表面粗糙情况、干湿交替运行等因素有关,应结合烟囱实际运行情况确定积灰厚度,如燃烧天然气的烟囱可不考虑积灰。烟灰重力密度参考国外标准给出。
5.3.3 烟囱积灰平台的积灰荷载应按实际情况确定,并不宜小于7kN/m 2 。
5.4 裹冰荷载
5.4 裹冰荷载
5.4.1 拉索式钢烟囱的拉索和塔架式钢烟囱的塔架,符合裹冰气象条件时,应计算裹冰荷载。裹冰荷载可按现行国家标准《高耸结构设计规范》GB 50135的有关规定进行计算。
5.5 地震作用
5.5 地震作用
5.5.1 烟囱抗震验算应符合下列规定:
1 本规范未作规定的均应按现行国家标准《建筑抗震设计规范》GB 50011的有关规定执行。
2 在地震作用计算时,钢筋混凝土烟囱和砖烟囱的结构阻尼比可取0.05,无内衬钢烟囱可取0.01,有内衬钢烟囱可取0.02,玻璃钢烟囱可取0.035。
3 抗震设防烈度为6度和7度时,可不计算竖向地震作用;8度和9度时,应计算竖向地震作用。
5.5.2 抗震设防烈度为6度时,Ⅰ、Ⅱ类场地的砖烟囱,可仅配置环向钢箍或环向钢筋,其他抗震设防地区的砖烟囱应按本规范第6.5节的规定配置竖向钢筋。
5.5.3 下列烟囱可不进行截面抗震验算,但应满足抗震构造要求:
1 抗震设防烈度为7度时Ⅰ、Ⅱ类场地,且基本风压 
≥0.5kN/m 2 的钢筋混凝土烟囱。
2 抗震设防烈度为7度时Ⅲ、Ⅳ类场地和8度时Ⅰ、Ⅱ类场地,且高度不超过45m的砖烟囱。
5.5.4 水平地震作用可按现行国家标准《建筑抗震设计规范》GB 50011规定的振型分解反应谱法进行计算。高度不超过150m时,可计算前3个振型组合;高度超过150m时,可计算前3个~5个振型组合;高度大于200m时,计算的振型数量不应少于5个。
条文说明
5.5.4 原规范规定烟囱高度不超过100m时,可采用简化方法计算水平地震力。简化计算与实际结果误差较大,特别是自振周期相差会达到50%,随着计算机普及和发展,应该全部采用振型分解反应谱法进行计算。本次规范修改取消了简化计算方法。
5.5.5 烟囱竖向地震作用标准值可按下列公式计算:
1 烟囱根部的竖向地震作用可按下式计算:

2 其余各截面可按下列公式计算:

式中:F E v i k ——计算截面i的竖向地震作用标准值(kN),对于烟囱根部截面,当F E v i k <F E v0 时,取F E v i k =F E v0 ;
G iE ——计算截面i以上的烟囱重力荷载代表值(kN),取截面i以上的重力荷载标准值与平台活荷载组合值之和,活荷载组合值系数按本规范表3.1.8-2的规定采用;套筒或多筒式烟囱,当采用自承重式排烟筒时,G iE 不包括排烟筒重量;当采用平台支承排烟筒时,平台及排烟筒重量通过平台传给外承重筒,在G iE 计入平台及排烟筒重量;
G E ——基础顶面以上的烟囱总重力荷载代表值(kN),取烟囱总重力荷载标准值与各层平台活荷载组合值之和,活荷载组合值系数按本规范表3.1.8-2的规定采用;套筒或多筒式烟囱,当采用自承重式排烟筒时,G E 不包括排烟筒重量;当采用平台支承排烟筒时,平台及排烟筒重量通过平台传给外承重筒,在G E 中计入平台及排烟筒重量;
C——结构材料的弹性恢复系数,砖烟囱取C=0.6;钢筋混凝土烟囱与玻璃钢烟囱取C=0.7;钢烟囱取C=0.8;
K v ——竖向地震系数,按现行国家标准《建筑抗震设计规范》GB 50011规定的设计基本地震加速度与重力加速度比值的65%采用,7度取K v =0.065(0.1);8度取K v =0.13(0.2);9度取K v =0.26;K v =0.1和K v =0.2分别用于设计基本地震加速度为0.15g和0.30g的地区;
α v m a x ——竖向地震影响系数最大值,按现行国家标准《建筑抗震设计规范》GB 50011的规定,取水平地震影响系数最大值的65%。
条文说明
5.5.5 本规范给出的烟囱在竖向地震作用下的计算方法,是根据冲量原理推导的。对于烟囱等高耸构筑物,根据上述理论,推导出的竖向地震作用计算公式(5.5.5-2)和公式(5.5.5-3)。 用这两个公式计算的竖向地震力的绝对值,沿高度的分布规律为:在烟囱上部和下部相对较小,而在烟囱中下部h/3附近(在烟囱质量重心处)竖向地震力最大。 对公式(5.5.5-2)进行整理得: 
由公式(5.5.5-3)可以看出,竖向地震力与结构自重荷载的比值,自下而上呈线性增大规律。这与地震震害及地震时在高层建筑上的实测结果是相符合的。 针对上述计算公式,规范组进行了验证性试验。做了180m钢筋混凝土烟囱和45m砖烟囱模拟试验,模型比例分别为1/40和1/15。竖向地震力沿高度的分布规律,试验结果与理论计算结果吻合较好(见图3)。其最大竖向地震力的绝对值,发生在烟囱质量重心处,在烟囱的上部和下部相对较小。 
注:“89”抗震规范指原国家标准《建筑抗震设计规范》GBJ 11-89。 为了偏于安全,本规范规定:烟囱根部取FE
v0 =±0.75α vmax G E ,而其余截面按公式(5.5.5-2)计算,但在烟囱下部,当计算的竖向地震力小于F E v0 时,取等于F E v0 (见图4)。

用本规范提出的竖向地震力计算方法得到的竖向地震作用,与原国家标准《建筑抗震设计规范》GBJ 11-89计算的竖向地震作用对比如下:
1 《建筑抗震设计规范》GBJ 11-89给出的竖向地震力最大值在烟囱根部,数值为:

符号意义见该规范。同时该规范第11.1.5条规定,烟囱竖向地震作用效应的增大系数,采用2.5。因此烟囱根部最大竖向地震力标准值为:

式中:a——设计基本地震加速度,见现行国家标准《建筑抗震设计规范》GB 50011;
g——重力加速度。
2 本规范最大竖向地震力标准值发生在烟囱中下部,数值为:

3 将结构弹性恢复系数代入公式(10),得到两种计算方法计算的竖向地震力最大值比较,见表2。
表2 两种计算方法得到的竖向地震力最大值比较

可见,对于砖烟囱和钢筋混凝土烟囱而言,两种计算方法所得竖向地震力最大值基本相等。两种计算方法的最大区别,在于竖向地震作用的最大值位置不在同一点,用本规范给出的计算方法计算的最大竖向地震力,发生在大约距烟囱根部h/3处。因此,在上部约2h/3范围内,按本规范计算的竖向地震力较《建筑抗震设计规范》GBJ 11-89计算结果偏大,这是符合震害规律的。
5.5.6 悬挂式和分段支承式排烟筒竖向地震力计算时,可将悬挂或支承平台作为排烟筒根部、排烟筒自由端作为顶部按本规范第5.5.5条进行计算,并应根据悬挂或支承平台的高度位置,对计算结果乘以竖向地震效应增大系数,增大系数可按下列公式进行计算:

式中:β——竖向地震效应增大系数;
β v i ——修正前第i层悬挂或支承平台竖向地震效应增大系数;
ζ——平台刚度对竖向地震效应的折减系数;
G v E ——悬挂(或支承)平台一根主梁所承受的总重力荷载(包括主梁自重荷载)代表值(kN);
L——主梁跨度(m);
E——主梁材料的弹性模量(kN/m 2 );
I——主梁截面惯性矩(m 4 );
T v g ——竖向地震场地特征周期(S),可取设计第一组水平地震特征周期的65%。
条文说明
5.5.6 对于悬挂钢内筒或分段支承的砖内筒,其竖向地震作用主要是由外筒通过悬挂(或支承)平台传递给内筒。因此,在竖向地震作用计算时,可以把悬挂(或支承)平台作为排烟筒根部,自由端作为顶部按规范公式进行计算。 无论是水平地震,还是竖向地震,它们对地面上除刚体外的结构物都具有一定的动力放大作用。这种动力放大效应沿结构高度不是固定的,而是变化的,变化规律是自下而上逐渐增大。 美国圣费尔南多地震,在近十座多层及高层建筑上,测得竖向加速度沿建筑高度呈线性增大,最大值为地面加速度的4倍。1995年日本阪神地震时,在高层建筑上,也测到同样规律。但在高耸构筑物上,还没有地震实测值。《烟囱设计规范》编写组进行的烟囱模型竖向地震响应试验,测试了竖向地震作用沿高度的变化规律,烟囱模型顶部地震加速度放大倍数约为6倍~8倍。
烟囱各点竖向地震加速度为:

式中:avi、av0——分别表示烟囱各截面和地面竖向加速度值。
由上式可得各截面竖向地震加速度放大系数为:

5.6 温度作用
5.6 温度作用
5.6.1 烟囱内部的烟气温度,应符合下列规定:
1 计算烟囱最高受热温度和确定材料在温度作用下的折减系数时,应采用烟囱使用时的最高温度。
2 确定烟气露点温度和防腐蚀措施时,应采用烟气温度变化范围下限值。
5.6.2 烟囱外部的环境温度,应按下列规定采用:
1 计算烟囱最高受热温度和确定材料在温度作用下的折减系数时,应采用极端最高温度。
2 计算筒壁温度差时,应采用极端最低温度。
5.6.3 筒壁计算出的各点受热温度,均不应大于本规范第3.3.1条和表4.4.2规定的相应材料最高使用温度允许值。
5.6.4 烟囱内衬、隔热层和筒壁以及基础和烟道各点的受热温度(图5.6.4-1和图5.6.4-2),可按下式计算:

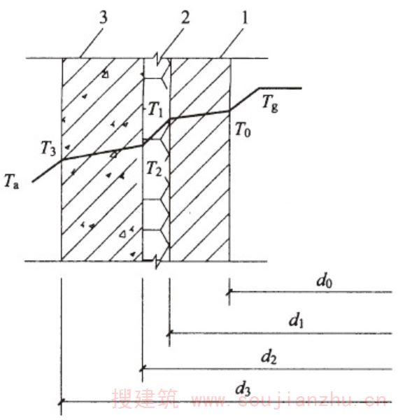
图5.6.4-1 单筒烟囱传热计算
1-内衬;2-隔热层;3-筒壁

式中:T c j ——计算点j的受热温度(℃);
T g ——烟气温度(℃);
T a ——空气温度(℃);
R t o t ——内衬、隔热层、筒壁或基础环壁及环壁外侧计算土层等总热阻(m 2 ·K/W);
R i ——第i层热阻(m 2 ·K/W);
R i n ——内衬内表面的热阻(m 2 ·K/W)。

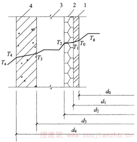
图5.6.4-2 套筒烟囱传热计算
1-内筒;2-隔热层;3-空气层;4-筒壁
5.6.5 单筒烟囱内衬、隔热层、筒壁热阻以及总热阻,可分别按下列公式计算:


式中:R i ——筒身第i层结构热阻(i=1代表内衬;i=2代表隔热层;i=3代表筒壁)(m 2 ·K/W);
λ i ——筒身第i层结构导热系数[W/(m·K)];
α i n ——内衬内表面传热系数[W/(m 2 ·K)];
α e x ——筒壁外表面传热系数[W/(m 2 ·K)];
R e x ——筒壁外表面的热阻(m 2 ·K/W);
d 0 、d 1 、d 2 、d 3 ——分别为内衬、隔热层、筒壁内直径及筒壁外直径(m)。
条文说明
5.6.5 内衬、隔热层和筒壁及总热阻按环壁法公式给出,取消了平壁法计算公式。烟囱是截头圆锥体,其直径在各个截面上均不一致,与习惯采用平面墙壁法,即四周无限长的平面假定不相符,致使温度计算结果有误差。
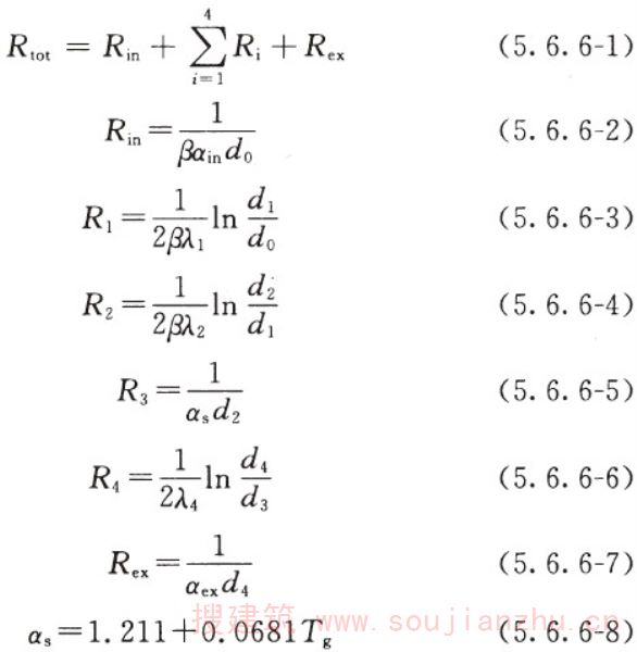
5.6.6 套筒烟囱内筒、隔热层、筒壁热阻以及总热阻,可分别按下列公式进行计算:

式中:β——有通风条件时的外筒与内筒传热比,外筒与内筒间距不应小于100mm,并取β=0.5;
α s ——有通风条件时,外筒内表面与内筒外表面的传热系数。
条文说明
5.6.6 参照国外规范,本条给出了套筒烟囱温度场计算所需的各层热阻计算公式。套筒烟囱由于设有进风口和出风口,属于通风状态,与全封闭状态有较大区别。在通风状态下,内外筒间距应不小于100mm,并在烟囱高度范围内应设置进气孔和排气孔,进气孔和排气孔的面积在数值上应等于外筒上口内直径的2/3。
5.6.7 矩形烟道侧壁或地下烟道的烟囱基础底板的总热阻可按本规范公式(5.6.5-1)计算,各层热阻可按下列公式进行计算:

式中:t i ——分别为内衬、隔热层、筒壁或计算土层厚度(m)。
5.6.8 内衬内表面的传热系数和筒壁或计算土层外表面的传热系数,可分别按表5.6.8-1及表5.6.8-2采用。
表5.6.8-1 内衬内表面的传热系数α in

表5.6.8-2 筒壁或计算土层外表面的传热系数α ex

5.6.9 在烟道口高度范围内烟气温差可按下式计算:

式中:△T 0 ——烟道入口高度范围内烟气温差(℃);
β——烟道口范围烟气不均匀温度变化系数,宜根据实际工程情况选取,当无可靠经验时,可按表5.6.9选取。
表5.6.9 烟道口范围烟气不均匀温度变化系数β

注:多烟道时,烟气温度T g 按各烟道烟气流量加权平均值确定。
5.6.10 烟道口上部烟气温差可按下式进行计算:

式中:△T g ——距离烟道口顶部z高度处的烟气温差(℃);
ζ t ——衰减系数;多烟道且设有隔烟墙时,取ζ t =0.15;其余情况取ζ t =0.40;
z——距离烟道口顶部计算点的距离(m);
d 0 ——烟道口上部烟囱内直径(m)。
条文说明
5.6.9、5.6.10 在烟道口及上部的一定范围内,烟气温度沿高度和环向分布是非均匀的,从而沿烟囱直径方向产生温差,该温差在烟道口高度范围可按固定数值采用,而在烟道口顶部则沿高度逐渐衰减。
5.6.11 沿烟囱直径两端,筒壁厚度中点处温度差可按下式进行计算:

式中: 
——从烟囱内衬内表面到烟囱筒壁中点的总热阻(m 2 ·K/W)。
条文说明
5.6.11 筒壁厚度中点温差用于计算筒壁温度变形和弯矩。
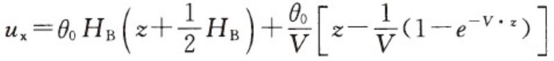
5.6.12 自立式钢烟囱或玻璃钢烟囱由筒壁温差产生的水平位移,可按下列公式计算:



式中:u x ——距离烟道口顶部z处筒壁截面的水平位移(m);
θ 0 ——在烟道口范围内的截面转角变位(rad);
H B ——筒壁烟道口高度(m);
α z ——筒壁材料的纵向膨胀系数;
d——筒壁厚度中点所在圆直径(m);
△T m 0 ——z=0时△T m 计算值。
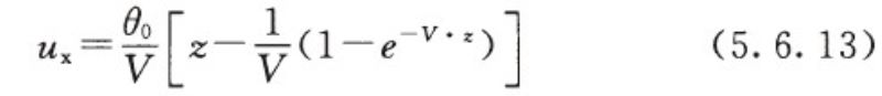
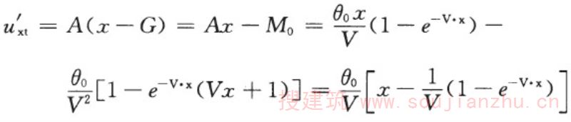
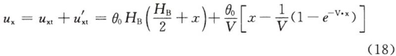
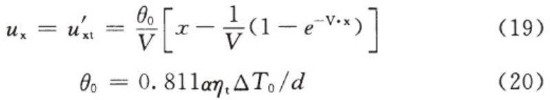
5.6.13 在不计算支承平台水平约束和重力影响的情况下,悬挂式排烟筒由筒壁温差产生的水平位移可按下式计算:

5.6.14 钢或玻璃钢内筒轴向温度应力应根据各层支承平台约束情况确定。内筒可按梁柱计算模型处理,并应根据各层支承平台位置的位移与按本规范第5.6.12条或第5.6.13条计算的相应位置处的位移相等计算梁柱内力,该内力可近似为内筒计算温度应力。内筒计算温度应力也可按下列公式计算:

式中: 
——筒身弯曲温度应力(MPa);

——温度次应力(MPa);

——筒壁内外温差引起的温度应力(MPa);
E z c ——筒壁纵向受压或受拉弹性模量(MPa);
E z b ——筒壁纵向弯曲弹性模量(MPa);
△T w ——筒壁内外温差(℃)。
条文说明
5.6.13、5.6.14 温度效应是由烟气在纵向及环向产生的不均匀温度场所引起的,要计算出由温度效应在截面上产生的内力就需要先计算出温差下钢内筒烟囱产生的变形。由于钢内筒在制晃平台处变形受到约束,因此钢内筒的截面上产生了内力。 (1) 横截面上的温度分布假定。 横截面上的温度分布假定如图5,其中: 
式中:△Tx
——从钢内筒烟囱烟道入口顶部算起距离x处的截面温差(℃);
(2) 转角变形计算。
从假定的温差分布可以看到,沿直径方向的线性温差分布引起恒定的转角变形为:

式中:α——钢材的线性膨胀系数;
d——钢内筒直径。
同时,由于温度沿钢内筒圆周方向的不均匀分布产生次应力,使截面产生转角变位θ s ,在圆周上取微元dA,微元面积dA=RdΦt。
从温差分布应力图上可以得到微元上的应力? Φ =α(T 2 -T 1 )E,因此微元上的荷载为? Φ dA=α(T 2 -T 1 )ERdΦt,
荷载对截面中性轴取矩得:

M引起的转角θ s 为:

一阶效应与二阶效应两者产生的转角位移之和即为钢内筒的总转角:

式中:R——钢内筒半径;
E——钢材弹性模量;
t——为筒壁厚度。
(3) 钢内筒温差作用下的水平变形组成。
钢内筒的温差分布由两部分组成,烟道入口高度范围内截面温差取恒值△Tx0和从烟道入口顶部以上距离x处的截面温差值△Tx。在不同的温差作用下,钢内筒烟囱的水平变形由两部分组成。
- 第一部分是烟道口区域温差产生的变形,沿高度线性变化。
由于钢内筒为悬吊,膨胀节处可看作为自由端,因此烟道口区域产生的变形只对底部的自立段有影响,对上部悬吊段没有影响。
- 第二部分是由烟道口以上截面温差引起的变形,沿高度呈曲线变化。
烟道口的顶部标高一般在25m左右,所以烟道口以上截面温差产生的变形对底部自立段和悬吊段均有影响。
(4) 烟道口范围钢内筒烟囱水平线变形计算。
- 在烟道口范围内,截面转角变位是常数,如图6,即:

转角曲线图的面积为:

距离烟道口顶部上x处钢内筒烟囱截面在等值温度作用下的水平线变位为:

图6 钢内筒横截面转角曲线
- 距离烟道口顶部上x处钢内筒烟囱截面的转角如图6(b),计算公式为:

转角曲线图的面积为:

将转角曲线图对0点取矩得:

转角曲线的重心为:G=M0/A,距离烟道口顶部上x处钢内筒烟囱截面在温差作用下的水平线变位为:

- 根据上面的分析和推导可以得到钢内筒底部自立段和上部悬吊段的水平变位计算公式:
自立段:

悬吊段:

5.6.15 钢或玻璃钢内筒环向温度应力可按下式计算:

式中:α θ ——筒壁材料环向膨胀系数;
E θ b ——筒壁环向弯曲弹性模量(MPa)。
条文说明
5.6.15 烟囱在温度作用下将产生变形,当变形受到约束时将产生温度应力。内筒由于横向支承和底部约束等影响,将产生筒身弯曲应力、次应力和筒壁厚度方向温差引起的温度应力。
5.7 烟气压力计算
5.7 烟气压力计算
5.7.1 烟气压力可按下列公式计算:

式中:p g ——烟气压力(kN/m 2 );
ρ a ——烟囱外部空气密度(kg/m 3 );
ρ g ——烟气密度(kg/m 3 );
h——烟道口中心标高到烟囱顶部的距离(m);
ρ a o ——标准状态下的大气密度(kg/m 3 ),按1.285kg/m 3 采用;
ρ g o ——标准状态下的烟气密度(kg/m 3 ),按燃烧计算结果采用;无计算数据时,干式除尘(干烟气)取1.32kg/m 3 ,湿式除尘(湿烟气)取1.28kg/m 3 ;
T a ——烟囱外部环境温度(℃);
T g ——烟气温度(℃)。
5.7.2 钢内筒非正常操作压力或爆炸压力应根据各工程实际情况确定,且其负压值不应小于2.5kN/m 2 。压力值可沿钢内筒高度取恒定值。
5.7.3 烟气压力对排烟筒产生的环向拉应力或压应力可按下式计算:

式中:σ θ ——烟气压力产生的环向拉应力(烟气正压运行)或压应力(烟气负压运行)(kN/m 2 );
r——排烟筒半径(m);
t——排烟筒壁厚(m)。
6 砖烟囱
6.1 一般规定
6 砖烟囱
6.1 一般规定
6.1.1 砖烟囱筒壁设计,应进行下列计算和验算:
1 水平截面应进行承载力极限状态计算和荷载偏心距验算,并应符合下列规定:
在永久作用和风荷载设计值作用下,按本规范第6.2.1条的规定进行承载能力极限状态计算。
抗震设防烈度为6度(Ⅲ、Ⅳ类场地)以上地区的砖烟囱,应按本规范第6.5节有关规定进行竖向钢筋计算。
在永久作用和风荷载设计值作用下,按本规范第6.2.2条验算水平截面抗裂度。
2 在温度作用下,应按正常使用极限状态,进行环向钢箍或环向钢筋计算。计算出的环向钢箍或环向钢筋截面积,小于构造值时,应按构造值配置。
条文说明
6.1.1 本条规定与原规范相同。
6.2 水平截面计算
6.2 水平截面计算
6.2.1 筒壁在永久作用和风荷载共同作用下,水平截面极限承载能力应按下列公式计算:

式中:N——永久作用产生的轴向压力设计值(N);

——砖砌体抗压强度设计值,按现行国家标准《砌体结构设计规范》GB 50003的规定采用;
A——计算截面面积(mm 2 );

——高径比β及轴向力偏心距e 0 对承载力的影响系数;
β——计算截面以上筒壁高径比;
h d ——计算截面至筒壁顶端的高度(m);
d——烟囱计算截面直径(m);
i——计算截面的回转半径(m);
e 0 ——在风荷载设计值作用下,轴向力至截面重心的偏心距(m);
α——与砂浆强度等级有关的系数,当砂浆等级≥M5时,α=0.0015;当砂浆强度等级为M2.5时,α=0.0020。
条文说明
6.2.1 原规范
,λ为长细比。本次修改采用高径比。二者计算结果相当。
6.2.2 筒壁的水平截面抗裂度,应符合下列公式的要求:

式中:e k ——在风荷载标准值作用下,轴力至截面重心的偏心距(m);
r c o m ——计算截面核心距(m);
W——计算截面最小弹性抵抗矩(m 3 )。
条文说明
6.2.2 原规范截面抗裂度验算采用荷载标准值,本次修订为设计值。
6.2.3 在风荷载设计值作用下,轴向力至截面重心的偏心距,应符合下式的要求:

式中:a——计算截面重心至筒壁外边缘的最小距离(m)。
6.2.4 配置竖向钢筋的筒壁截面可不受本规范第6.2.2条和第6.2.3条限制。
6.3 环向钢箍计算
6.3 环向钢箍计算
6.3.1 在筒壁温度差作用下,筒壁每米高度所需的环向钢箍截面面积,可按下列公式计算:


式中:A h ——每米高筒壁所需的环向钢箍截面面积(mm 2 );
r 1 ——筒壁内半径(mm);
r 2 ——筒壁外半径(mm),用于式(6.3.1-4)时单位为(m);
ε m ——筒壁内表面相对压缩变形值;
ε t ——筒壁外表面在温度差作用下的自由相对伸长值;
α m ——砖砌体线膨胀系数,取5×10 -6 /℃;
γ t ——温度作用分项系数,取γ t =1.6;
△T——筒壁内外表面温度差(℃);
t——筒壁厚度(mm);

at ——环向钢箍抗拉强度设计值,可取 
at =145N/mm 2 ;

——砖砌体在温度作用下的弹塑性模量,当筒壁内表面温度T≤200℃时,取 
=E m /3;当T≥350℃时,取 
=E m /5;中间值线性插入求得;
E sh ——环向钢箍折算弹性模量(N/mm 2 );
E——环向钢箍钢材弹性模量(N/mm 2 );
n——一圈环向钢箍的接头数量。
6.3.2 筒壁内表面相对压缩变形值ε m 小于0时,应按构造配环向钢箍。
6.4 环向钢筋计算
6.4 环向钢筋计算
6.4.1 当砖烟囱采用配置环向钢筋的方案时,在筒壁温度差作用下,每米高筒壁所需的环向钢筋截面面积,可按下列公式计算:


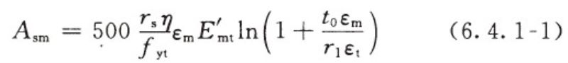
式中:A s m ——每米高筒壁所需的环向钢筋截面面积(mm 2 );
t 0 ——计算截面筒壁有效厚度(mm);
a——筒壁外边缘至环向钢筋的距离,单根环向钢筋取a=30mm,双根筋取a=45mm;
r s ——环向钢筋所在圆(双根筋为环向钢筋重心处)半径(mm);
△T s ——筒壁内表面与环向钢筋处温度差值;
η——与环向钢筋根数有关的系数,单根筋(指每个断面)η=1.0,双根筋时η=1.05;

yt ——温度作用下,钢筋抗拉强度设计值(N/mm 2 );
E st ——环向钢筋在温度作用下弹性模量(N/mm 2 );
γ t ——温度作用分项系数,取γ t =1.4;

——裂缝间环向钢筋应变不均匀系数,当筒壁内表面温度T≤200℃时, 
=0.6;T≥350℃时, 
=1.0,中间值线性插入求得。
6.4.2 筒壁内表面相对压缩变形值ε m 小于0时,应按构造配环向钢筋。
6.5 竖向钢筋计算
6.5 竖向钢筋计算
6.5.1 抗震设防地区的砖烟囱竖向配筋,可按下列规定确定:
1 各水平截面所需的竖向钢筋截面面积,可按下列公式计算:


式中:A s ——计算截面所需的竖向钢筋总截面面积(mm 2 );
β——弯矩影响系数(图6.5.1);
M Ek ——水平地震作用在计算截面产生的弯矩标准值(N·m);
M Wk ——风荷载在计算截面产生的弯矩标准值(N·m);
G k ——计算截面重力标准值(N);
F Evk ——计算截面竖向地震作用产生轴向力标准值(N);
r P ——计算截面筒壁平均半径(m);

yt ——考虑温度作用钢筋抗拉强度设计值(N/mm 2 );
γ Eh ——水平地震作用分项系数γ Eh =1.3;
γ W ——风荷载分项系数γ W =1.4;
θ——受压区半角;
γ G ——重力荷载分项系数,γ G =1.0;
γ Ev ——竖向地震作用分项系数,按本规范表3.1.8-1规定;

——地震作用时风荷载组合系数,取 
=0.2。
2 弯矩影响系数β,可根据参数a c 由图6.5.1查得。a c 可按下式计算:

式中: 
——轴心受压纵向挠曲系数,按本规范公式(6.2.1-2)计算时取e 0 =0;
A——计算截面筒壁截面面积(mm 2 );

——砖砌体抗压强度设计值(N/mm 2 )。
6.5.2 当计算出的配筋值小于构造配筋时,应按构造配筋。
6.5.3 配置竖向钢筋的砖烟囱应同时配置环向钢筋。

图6.5.1 弯矩影响系数β
6.6 构造规定
6.6 构造规定
6.6.1 砖烟囱筒壁宜设计成截顶圆锥形,筒壁坡度、分节高度和壁厚应符合下列规定:
1 筒壁坡度宜采用2%~3%。
2 分节高度不宜超过15m。
3 筒壁厚度应按下列原则确定:
当筒壁内径小于或等于3.5m时,筒壁最小厚度应为240mm。当内径大于3.5m时,最小厚度应为370mm。
当设有平台时,平台所在节的筒壁厚度宜大于或等于370mm。
筒壁厚度可按分节高度自下而上减薄,但同一节厚度应相同。
筒壁顶部可向外局部加厚,总加厚厚度宜为180mm,并应以阶梯向外挑出,每阶挑出不宜超过60mm。加厚部分的上部以1:3水泥砂浆抹成排水坡(图6.6.1)。

图6.6.1 筒首构造(mm)
6.6.2 内衬到顶的烟囱宜设钢筋混凝土压顶板(图6.6.1)。
6.6.3 支承内衬的环形悬臂应在筒身分节处以阶梯形向内挑出,每阶挑出不宜超过60mm,挑出总高度应由剪切计算确定,但最上阶的高度不应小于240mm。
6.6.4 筒壁上孔洞设置应符合下列规定:
1 在同一平面设置两个孔洞时,宜对称设置。
2 孔洞对应圆心角不应超过50°。孔洞宽度不大于1.2m时,孔顶宜采用半圆拱;孔洞宽度大于1.2m时,宜在孔顶设置钢筋混凝土圈梁。
3 配置环向钢箍或环向钢筋的砖筒壁,在孔洞上下砌体中应配置直径为6mm环向钢筋,其截面面积不应小于被切断的环向钢箍或环向钢筋截面积。
4 当孔洞较大时,宜设砖垛加强。
6.6.5 筒壁与钢筋混凝土基础接触处,当基础环壁内表面温度大于100℃时,在筒壁根部1.0m范围内,宜将环向配筋或环向钢箍增加1倍。
6.6.6 环向钢箍按计算配置时,间距宜为0.5m~1.5m;按构造配置时,间距不宜大于1.5m。
环向钢箍的宽度不宜小于60mm,厚度不宜小于6mm。每圈环向钢箍接头不应少于2个,每段长度不宜超过5m。环向钢箍接头的螺栓宜采用Q235级钢材,其净截面面积不应小于环向钢箍截面面积。环向钢箍接头位置应沿筒壁高度互相错开。环向钢箍接头做法见图6.6.6。

图6.6.6 环向钢箍接头(mm)
1-环向钢箍;2-螺栓;3-套环
6.6.7 环向钢箍安装时应施加预应力,预应力可按表6.6.7采用。
表6.6.7 环向钢箍预应力值(N/mm 2 )

6.6.8 环向钢筋按计算配置时,直径宜为6mm~8mm,间距不应少于3皮砖,且不应大于8皮砖;按构造配置时,直径宜为6mm,间距不应大于8皮砖。
同一平面内环向钢筋不宜多于2根,2根钢筋的间距应为30mm。
钢筋搭接长度应为钢筋直径的40倍,接头位置应互相错开。钢筋的保护层应为30mm(图6.6.8)。

图6.6.8 环向钢筋配置(mm)
6.6.9 在环形悬臂和筒壁顶部加厚范围内,环向钢筋应适当增加。
6.6.10 抗震设防地区的砖烟囱,其配筋不应小于表6.6.10的规定。
表6.6.10 抗震设防地区砖烟囱上部的最小配筋

注:1 竖向筋接头应搭接钢筋直径的40倍,钢筋在搭接范围内应用铁丝绑牢,钢筋宜设直角弯钩。
2 烟囱顶部宜设钢筋混凝土压顶圈梁以锚固竖向钢筋。
3 竖向钢筋应配置在距筒壁外表面120mm处。
条文说明
6.6.10 本条规定了砖烟囱最小配筋值和范围。砖烟囱地震破坏特点明显,历次地震几乎都有砖烟囱破坏案例,其共同特点就是掉头或上部一定范围破坏,因此规定砖烟囱上部一定范围需要配置钢筋。
7 单筒式钢筋混凝土烟囱
7.1 一般规定
7 单筒式钢筋混凝土烟囱
7.1 一般规定
7.1.1 本章适用于高度不大于240m的钢筋混凝土烟囱设计。
条文说明
7.1.1 目前,我国电厂钢筋混凝土烟囱的建设高度大多都在240m左右,并已经应用多年。实践证明,应用本规范完全可以满足240m烟囱设计需要,故将原规范规定的210m限制高度提高到240m。
7.1.2 钢筋混凝土烟囱筒壁设计,应进行下列计算或验算:
1 附加弯矩计算应符合下列规定:
1)承载能力极限状态下的附加弯矩。当在抗震设防地区时,尚应计算地震作用下的附加弯矩。
2)正常使用极限状态下的附加弯矩。该状态下不应计算地震作用。
2 水平截面承载能力极限状态计算。
3 正常使用极限状态的应力计算应分别计算水平截面和垂直截面的混凝土和钢筋应力。
4 正常使用极限状态的裂缝宽度验算。
条文说明
7.1.2 本条规定了钢筋混凝土烟囱必须要进行的计算内容。
7.2 附加弯矩计算
7.2 附加弯矩计算
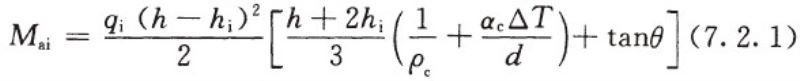
7.2.1 承载能力极限状态和正常使用极限状态计算时,筒身重力荷载对筒壁水平截面i产生的附加弯矩M a i (图7.2.1),可按下式计算:

式中:q i ——距筒壁顶(h-h i )/3处的折算线分布重力荷载,可按本规范公式(7.2.3-1)计算;
h——筒身高度(m);
h i ——计算截面i的高度(m);
1/ρ c ——筒身代表截面处的弯曲变形曲率,可按本规范公式 (7.2.5-1)、公式(7.2.5-2)、公式(7.2.5-4)和公式(7.2.5-5)计算;
α c ——混凝土的线膨胀系数;
△T——由日照产生的筒身阳面与阴面的温度差,应按当地实测数据采用。当无实测数据时,可按20℃采用;
d——高度为0.4h处的筒身外直径(m);
θ——基础倾斜角(rad),按现行国家标准《建筑地基基础设计规范》GB 50007规定的地基允许倾斜值采用。

图7.2.1 附加弯矩
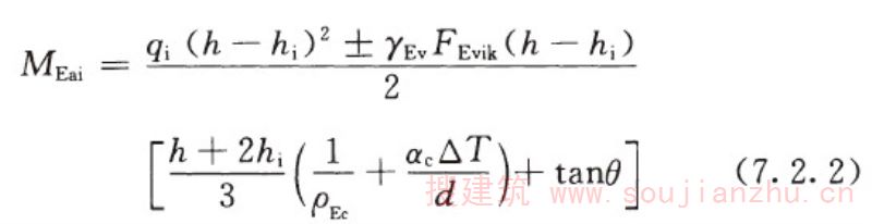
7.2.2 抗震设防地区的钢筋混凝土烟囱,筒身重力荷载及竖向地震作用对筒壁水平截面i产生的附加弯矩M E ai ,可按下式计算:

式中:1/ρ Ec ——考虑地震作用时,筒身代表截面处的变形曲率,按本规范公式(7.2.5-3)计算;
γ Ev ——竖向地震作用系数,取0.50;
F Ev ik ——水平截面i的竖向地震作用标准值。
条文说明
7.2.2 在抗震设防地区的钢筋混凝土烟囱,应在极限状态承载能力计算中,考虑地震作用(水平和竖向)及风荷载、日照和基础倾斜产生的附加弯矩,称之为P-△效应,规范中定义为地震附加弯矩MEai。 在水平地震作用下,烟囱的振型可能出现高振型(特别是高烟囱)。通过计算分析,烟囱多振型的组合振型位移
曲线,与第一振型的位移δij曲线本相吻合(图7),其位移差对计算筒身的P-△效应影响甚小,可用曲率系数加以调正。因此,仍可按第一振型等曲率(地震作用终曲率)计算地震作用下的附加弯矩。 由于考虑竖向地震与水平地震共同作用,对竖向地震考虑了分项系数γEv 。
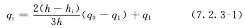
7.2.3 计算截面i附加弯矩时,其折算线分布重力荷载q i 值,可按下列公式进行计算:

承载能力极限状态时:

正常使用极限状态时:

式中:q 0 ——整个筒身的平均线分布重力荷载(kN/m);
q 1 ——筒身顶部第一节的平均线分布重力荷载(kN/m);
G、G k ——分别为筒身(内衬、隔热层、筒壁)全部自重荷载设计值和标准值(kN);
G 1 、G 1k ——分别为筒身顶部第一节全部自重荷载设计值和标准值(kN);
h 1 ——筒身顶部第一节高度(m)。
条文说明
7.2.3 本条给出了烟囱筒身折算线分布重力qi值的计算公式。筒身(含筒壁、隔热层、内衬)重力荷载沿高度线分布qi值是不规律的,虽呈上小下大的分布形式,但非呈直线变化。为了简化计算,采用了呈直线分布代替其实际分布,使其计算结果基本等效(图8)。 
7.2.4 筒身代表截面处,轴向力对筒壁水平截面中心的相对偏心距,应按下列公式计算:
1 承载能力极限状态应按下列公式计算:
- 不考虑地震作用时:

- 当考虑地震作用时:

2 正常使用极限状态应按下式计算:

式中:N——筒身代表截面处的轴向力设计值(kN);
N k ——筒身代表截面处的轴向力标准值(kN);
M W ——筒身代表截面处的风弯矩设计值(kN·m);
M W k ——筒身代表截面处的风弯矩标准值(kN·m);
M a ——筒身代表截面处承载能力极限状态附加弯矩设计值(kN·m);
M a k ——筒身代表截面处正常使用极限状态附加弯矩标准值(kN·m);
M E ——筒身代表截面处的地震作用弯矩设计值(kN·m);
M E a ——筒身代表截面处的地震作用时附加弯矩设计值(kN·m);
e——按作用效应基本组合计算的轴向力设计值对混凝土筒壁圆心轴线的偏心距(m);
e E ——按含地震作用的荷载效应基本组合计算的轴向力设计值对混凝土筒壁圆心轴线的偏心距(m);
e k ——按荷载效应标准组合计算的轴向力标准值对混凝土筒壁圆心轴线的偏心距(m);
ψ cWE ——含地震作用效应的基本组合中风荷载组合系数,取0.2;
r——筒壁代表截面处的筒壁平均半径(m)。
7.2.5 筒身代表截面处的变形曲率1/ρ c 和1/ρ Ec ,可按下列公式计算:
1 承载能力极限状态可按下列公式计算:
- 当

时:

- 当

时 :

- 当计算地震作用时:

2 正常使用极限状态可按下列公式计算:
- 当

时:

- 当

时:

式中:E ct ——筒身代表截面处的筒壁混凝土在温度作用下的弹性模量(kN/m 2 );
I——筒身代表截面惯性矩(m 4 )。
7.2.6 计算筒身代表截面处的变形曲率1/ρ c 和1/ρ Ec 时,可先假定附加弯矩初始值,承载能力极限状态计算时可假定M a =0.35M W ,计及地震作用时可取M E a =0.35M E ,正常使用极限状态可取M a k =0.2M W ,代入有关公式求得附加弯矩值与假定值相差不超过5%时,可不再计算,不满足该条件时应进行循环迭代,并应直到前后两次的附加弯矩不超过5%为止。其最后值应为所求的附加弯矩值,与之相应的曲率值应为筒身变形终曲率。
7.2.7 筒身代表截面处的附加弯矩可不迭代,可按下列公式直接计算:
1 承载能力极限状态时:

2 承载能力极限状态下,计算地震作用时:

3 正常使用极限状态时:

式中:α e ——刚度折减系数,承载能力极限状态时,当 
时,取α e =0.33;当 
以及地震作用时,取α e = 0.25;正常使用极限状态时,当 
时,取α e = 0.65;当 
时,取α e =0.4。
注:在确定 
或 
时,按第7.2.6条假定附加弯矩,然后确定公式(7.2.7-1)、(7.2.7-2)或(7.2.7-3)中的α e 值。再用计算出的附加弯矩复核 
或 
值是否符合所采用的α e 值条件。否则应另确定α e 值。
7.2.8 筒身代表截面可按下列规定确定:
1 当筒身各段坡度均小于或等于3%时,可按下列规定确定:
筒身无烟道孔时,取筒身最下节的筒壁底截面。
筒身有烟道孔时,取洞口上一节的筒壁底截面。
2 当筒身下部h/4范围内有大于3%的坡度时,可按下列规定确定:
在坡度小于3%的区段内无烟道孔时,取该区段的筒壁底截面。
在坡度小于3%的区段内有烟道孔时,取洞口上一节筒壁底截面。
条文说明
7.2.8 本条规定了筒身代表截面的选择位置。筒身的曲率沿高度是变化的。为了简化计算,采用某一截面的曲率,代表筒身的实际曲率,然后按等曲率计算附加弯矩。这个截面定义为代表截面。代表截面的确定,是以等曲率和实际曲率计算出的筒身顶部变位近似相等确定的。代表截面的确定,是通过对工程实例和预计烟囱的发展趋势,进行分析和计算后确定的。 用代表截面曲率计算出的烟囱顶部变位,一般比实际曲率算得的筒顶变位大1.6%~15.2%。
7.2.9 当筒身坡度不符合本规范第7.2.8条的规定时,筒身附加弯矩可按下式进行计算(图7.2.9):

式中:G j ——筒身j质点的重力(计算地震作用时应包括竖向地震作用);
μ i 、μ j ——筒身i,j质点的最终水平位移,计算时包括日照温差和基础倾斜的影响。

图7.2.9 附加弯矩计算
条文说明
7.2.9 当烟囱筒身下部坡度不满足本规范第7.2.8条的规定时,筒身的水平变位和附加弯矩,不能再用筒身代表截面处的曲率按等曲率计算,筒身附加弯矩可按附加弯矩的定义公式计算。在变位计算时应考虑筒身日照温差、基础倾斜的影响和筒壁材料受压后塑性发展引起的非线性影响,计算的水平位移应是筒身变形的最终变形。 一般为了优化烟囱基础设计,使基础底板外悬挑尺寸在基础合理外形尺寸之内,在筒身下部h/4范围内加大筒身的坡度,增大基础环壁的上口直径,减少基础底板的外悬挑尺寸,以优化基础设计。 如果烟囱筒身下部大于3%的坡度范围超过h/4时,仍按代表截面的变形曲率计算附加弯矩,会使筒身附加弯矩计算值增大,与实际附加弯矩误差较大。
7.3 烟囱筒壁承载能力极限状态计算
7.3 烟囱筒壁承载能力极限状态计算
7.3.1 钢筋混凝土烟囱筒壁水平截面极限状态承载能力,应按下列公式计算:
1 当烟囱筒壁计算截面无孔洞时[图7.3.1(a)]:


当 
时:

2 当筒壁计算截面有孔洞时:
- 有一个孔洞[图7.3.1(b)]:

- 有两个孔洞,且α 0 =π时[图7.3.1(c)]:

有两个孔洞,且当α 0 ≤α(π-θ 1 -θ 2 )+θ 1 +θ 2 时,可按θ=θ 1 +θ 2 的单孔洞截面计算;
当α(π-θ 1 -θ 2 )+θ 1 +θ 2 <α 0 ≤π-θ 2 -α t (π-θ 1 -θ 2 )时[图7.3.1(d)]:

- 当α 0 >π-θ 2 -α t (π-θ 1 -θ 2 )时[图7.3.1(e)]:


式中:N——计算截面轴向力设计值(kN);
α——受压区混凝土截面面积与全截面面积的比值;
α t ——受拉竖向钢筋截面面积与全部竖向钢筋截面面积的比值,α t =1-1.5α,当 
时,α t =0;
A——计算截面的筒壁截面面积(m 2 );

ct ——混凝土在温度作用下轴心抗压强度设计值(kN/m 2 );
α 1 ——受压区混凝土矩形应力图的应力与混凝土抗压强度设计值的比值,当混凝土强度等级不超过C50时,α 1 =1.0;当为C80时,α 1 =0.94,其间按线性内插法取用;
A s ——计算截面钢筋总截面面积(m 2 );

yt ——计算截面钢筋在温度作用下的抗拉强度设计值(kN/m 2 );
M——计算截面弯矩设计值(kN·m);
M a ——计算截面附加弯矩设计值(kN·m);
r——计算截面筒壁平均半径(m);
t——筒壁厚度(m);
θ——计算截面有一个孔洞时的孔洞半角(rad);
θ 1 ——计算截面有两个孔洞时,大孔洞的半角(rad);
θ 2 ——计算截面有两个孔洞时,小孔洞的半角(rad);
α 0 ——计算截面有两个孔洞时,两孔洞角平分线的夹角(rad)。





图7.3.1 截面极限承载能力计算
条文说明
7.3.1 钢筋混凝土烟囱筒壁水平截面承载能力极限状态计算公式在原规范基础上进行了较大调整。原规范给出了在烟囱筒壁上开设一个或两个孔洞计算公式,但对开孔有严格限制,即同一截面开两个孔时,要求两个孔的角平分线夹角为180°,这大大限制了实际应用。本次规范修改,两个孔的角平分线夹角不再限制,给出通用计算公式,会使规范应用面更加广泛。
7.3.2 筒壁竖向截面极限承载能力,可按现行国家标准《混凝土结构设计规范》GB 50010正截面受弯承载力进行计算。
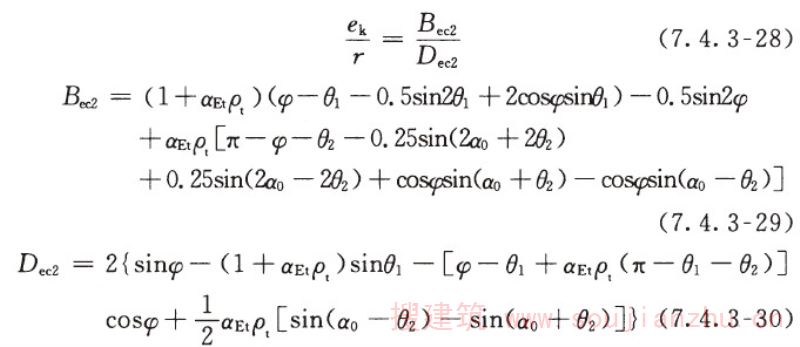
7.4 烟囱筒壁正常使用极限状态计算
7.4 烟囱筒壁正常使用极限状态计算
7.4.1 正常使用极限状态计算应包括下列内容:
1 计算在荷载标准值和温度共同作用下混凝土与钢筋应力,以及温度单独作用下钢筋应力,并应满足下列公式的要求:

式中:σ c wt ——在荷载标准值和温度共同作用下混凝土的应力值(N/mm 2 );
σ s wt ——在荷载标准值和温度共同作用下竖向钢筋的应力值(N/mm 2 );
σ s t ——在温度作用下环向和竖向钢筋的应力值(N/mm 2 );

ct k ——混凝土在温度作用下的强度标准值,按本规范表4.2.3的规定取值(N/mm 2 );

yt k ——钢筋在温度作用下的强度标准值,按本规范第4.3.2条的规定取值(N/mm 2 )。
2 验算筒壁裂缝宽度,并应符合本规范表3.4.2的规定。
条文说明
7.4.1 正常使用极限状态的计算内容包括:在荷载标准值和温度共同作用下的水平截面背风侧混凝土与迎风侧钢筋的应力计算以及温度单独作用下钢筋应力计算;垂直截面环向钢筋在温度作用下的应力及混凝土裂缝开展宽度计算。
Ⅰ 荷载标准值作用下的水平截面应力计算
7.4.2 钢筋混凝土筒壁水平截面在自重荷载、风荷载和附加弯矩(均为标准值)作用下的应力计算,应根据轴向力标准值对筒壁圆心的偏心距e k 与截面核心距r c o 的相应关系(e k >r c o 或e k ≤r c o ),分别采用图7.4.2所示的应力计算简图,并应符合下列规定:

图7.4.2 在荷载标准值作用下截面应力计算
1 轴向力标准值对筒壁圆心的偏心距应按下式计算:

式中:M W k ——计算截面由风荷载标准值产生的弯矩(kN·m);
M a k ——计算截面正常使用极限状态的附加弯矩标准值(kN·m);
N k ——计算截面的轴向力标准值(kN)。
2 截面核心距r c o 可按下列公式计算:
- 当筒壁计算截面无孔洞时:

- 当筒壁计算截面有一个孔洞(将孔洞置于受压区)时:

- 当筒壁计算截面有两个孔洞(α 0 =π,并将大孔洞置于受压区)时:

- 当筒壁计算截面有两个孔洞(α 0 ≠π,并将大孔洞置于受压区)且α 0 ≤π-θ 2 时:

- 当筒壁计算截面有两个孔洞(α 0 ≠π,并将大孔洞置于受压区)且α 0 >π-θ 2 时:

7.4.3 当e k >r c o 时,筒壁水平截面混凝土及钢筋应力应按下列公式计算:
1 背风侧混凝土压应力σ c w 应按下列公式计算:
- 当筒壁计算截面无孔洞时:


- 当筒壁计算截面有一个孔洞时:

- 当筒壁计算截面有两个孔洞(α 0 =π)时:

- 当筒壁计算截面有两个孔洞时(α 0 <π)时:

式中:A 0 ——筒壁计算截面的换算面积,按本规范公式(7.4.5-1)计算;
α E t ——在温度和荷载长期作用下,钢筋的弹性模量与混凝土的弹塑性模量的比值,按本规范公式(7.4.5-2)计算;
φ ——筒壁计算截面的受压区半角;
ρ t ——竖向钢筋总配筋率(包括筒壁外侧和内侧配筋)。
2 迎风侧竖向钢筋拉应力σ s w 应按下列公式计算:
- 当筒壁计算截面无孔洞时:

- 当筒壁计算截面有一个孔洞时:

- 当筒壁计算截面有两个孔洞(α 0 =π)时:

- 当筒壁有两个孔洞(α 0 ≠π,将大孔洞置于受压区)且α 0 ≤π-θ 2 时:

- 当筒壁有两个孔洞(α 0 ≠π,将大孔洞置于受压区)且α 0 >π-θ 2 时:

3 受压区半角φ ,应按下列公式确定:
- 当筒壁计算截面无孔洞时:

- 当筒壁计算截面有一个孔洞时:

- 当筒壁计算截面有两个孔洞(α 0 =π)时:

- 当开两个孔洞(α 0 ≠π,将大孔洞置于受压区)时:

7.4.4 当e k ≤r c o 时,筒壁水平截面混凝土压应力应按下列公式计算:
1 背风侧的混凝土压应力σ c w 应按下列公式计算:
- 当筒壁计算截面无孔洞时:


- 当筒壁计算截面有一个孔洞时:

- 当筒壁计算截面有两个孔洞(α 0 =π)时:

- 当筒壁计算截面有两个孔洞(α 0 ≠π,将大孔洞置于受压区)时:

2 迎风侧混凝土压应力 
应按下列公式计算:
- 当筒壁计算截面无孔洞时:

- 当筒壁计算截面有一个孔洞时:

- 当洞壁计算截面有两个孔洞(α 0 =π)时:

- 当筒壁有两个孔洞(α 0 ≠π)时且α 0 ≤π-θ 2 时:

- 当筒壁有两个孔洞(α 0 ≠π)时且α 0 >π-θ 2 时:


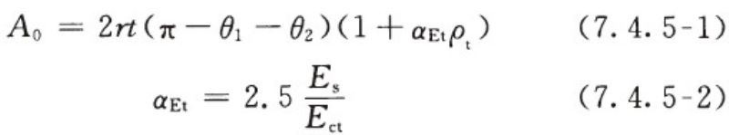
7.4.5 筒壁水平截面的换算截面面积A 0 和α E t 应按下列公式计算:

式中:E s ——钢筋弹性模量(N/mm 2 );
E ct ——混凝土在温度作用下的弹性模量(N/mm 2 ),按本规范第4.2.6条规定采用。
条文说明
7.4.2~7.4.5 在荷载标准值作用下,筒壁水平截面混凝土压应力及竖向钢筋拉应力的计算公式采用了以下假定:
(1) 全截面受压时,截面应力呈梯形或三角形分布。局部受压时,压区和拉区应力都呈三角形分布。
(2) 平均应变和开裂截面应变都符合平截面假定。
(3) 受拉区混凝土不参与工作。
(4) 计入高温与荷载长期作用下对混凝土产生塑性的影响。
(5) 竖向钢筋按截面等效的钢筒考虑,其分布半径等于环形截面的平均半径。 与极限承载能力状态相对应,本次规范修改调整了同一截面开两个孔洞时的计算公式。
Ⅱ 荷载标准值和温度共同作用下的水平截面应力计算
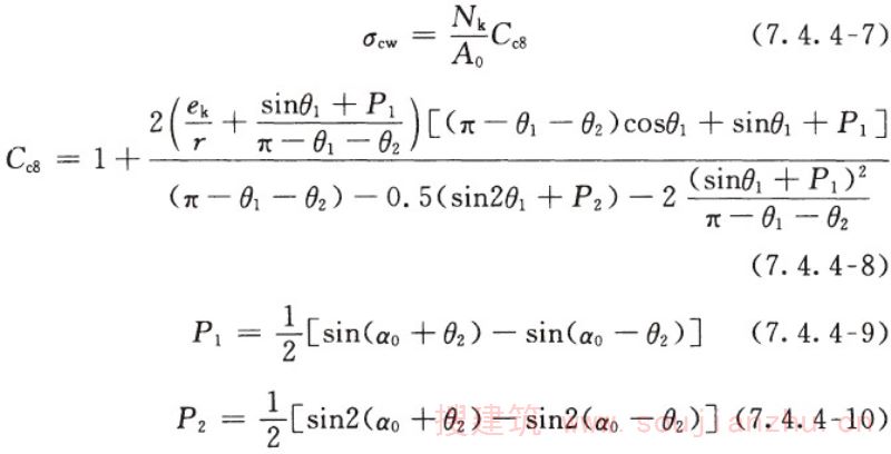
7.4.6 在计算荷载标准值和温度共同作用下的筒壁水平截面应力前,首先应按下列公式计算应变参数:
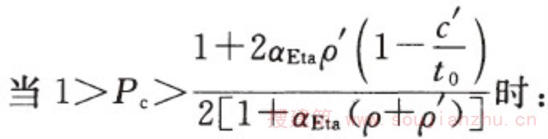
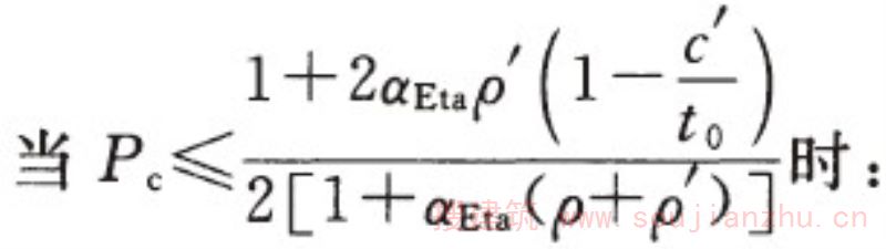
1 压应变参数P c 值应按下列公式计算:




2 拉应变参数P s 值(仅适用于e k >r c o )应按下列公式计算:

式中:ε t ——筒壁内表面与外侧钢筋的相对自由变形值;
α c 、α s ——分别为混凝土、钢筋的线膨胀系数,按本规范第4.2.7条和第4.3.8条的规定采用;
T c 、T s ——分别为筒壁内表面、外侧竖向钢筋的受热温度(℃),按本规范第5.6节规定计算;
σ c w 、σ s w ——分别为在荷载标准值作用下背风侧混凝土压应力、迎风侧竖向钢筋拉应力(N/mm 2 ),按本规范第7.4.3条~第7.4.5条规定计算。
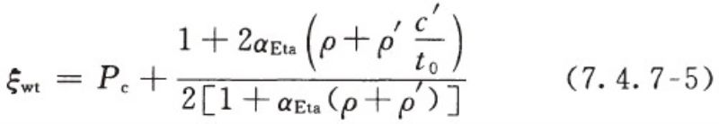
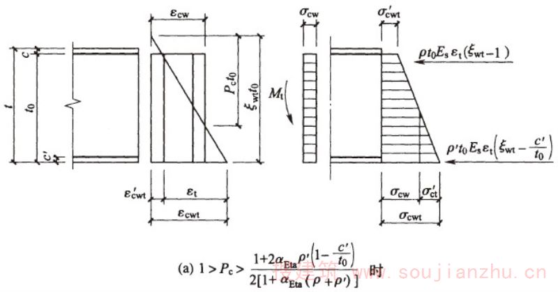
7.4.7 背风侧混凝土压应力σ c w t (图7.4.7),应按下列公式计算:
















式中: 
——在温度和荷载长期作用下混凝土的弹塑性模量(N/mm 2 );

——在荷载标准值和温度共同作用下筒壁厚度内受压区的相对高度系数;
ρ、ρ'——分别为筒壁外侧和内侧竖向钢筋配筋率;
t 0 ——筒壁有效厚度(mm);
c'——筒壁内侧竖向钢筋保护层厚度(mm);
η c t1 ——温度应力衰减系数。


图7.4.7 水平截面背风侧混凝土的应变和应力(宽度为1)
7.4.8 迎风侧竖向钢筋应力σ s w t (图7.4.8),应按下列公式计算:

图7.4.8 水平截面迎风侧钢筋的应变和应力计算(宽度为1)




式中:ψ st ——受拉钢筋在温度作用下的应变不均匀系数,按本规范公式(7.4.9-4)计算。



时,截面全部受压,不应进行计算。钢筋应按极限承载能力计算结果配置。
Ⅲ 温度作用下水平截面和垂直截面应力计算
7.4.9 裂缝处水平截面和垂直截面在温度单独作用下混凝土压应力σ ct 和钢筋拉应力σ st (图7.4.9),应按下列公式计算:

式中: 
——在温度和荷载长期作用下混凝土的弹塑性模量(N/mm 2 ),按本规范公式(7.4.7-3)计算;

ttk ——混凝土在温度作用下的轴心抗拉强度标准值(N/mm 2 ),按本规范表4.2.3采用;
ρ te ——以有效受拉混凝土截面积计算的受拉钢筋配筋率,取ρ te =2ρ
当计算的ψ st <0.2时取ψ st =0.2;ψ st >1时取ψ st =1。

图7.4.9 裂缝处水平截面和垂直截面应变和应力计算(宽度为1)
条文说明
7.4.6~7.4.9 在荷载标准值和温度共同作用下的筒壁水平截面应力值通常为正常使用极限状态起控制作用的值。计算公式采用了以下假定:
(1) 截面应变符合平截面假定。
(2) 温度单独作用下压区应力图形呈三角形。
(3) 受拉区混凝土不参与工作。
(4) 计算混凝土压应力时,不考虑截面开裂后钢筋的应变不均匀系数φ
s t ,即φ s t =1及混凝土应变不均匀系数,即φ c t =1。在计算钢筋的拉应力时考虑φ s t ,但不考虑φ c t 。
(5) 烟囱筒壁能自由伸缩变形但不能自由转动。因此温度应力只需计算由筒壁内外表面温差引起的弯曲约束下的应力值。
(6) 计算方法为分别计算温度作用和荷载标准值作用下的应力值后进行叠加。在叠加时考虑荷载标准值作用对温度作用下的混凝土压应力及钢筋拉应力的降低。荷载标准值作用下的应力值按本规范第7.4.2条~第7.4.5条规定计算。
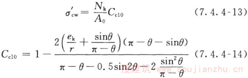
Ⅳ 筒壁裂缝宽度计算
7.4.10 钢筋混凝土筒壁应按下列公式计算最大水平裂缝宽度和最大垂直裂缝宽度:
1 最大水平裂缝宽度应按下列公式计算:

式中:σ sw t ——荷载标准值和温度共同作用下竖向钢筋在裂缝处的拉应力(N/mm 2 );
α cr ——构件受力特征系数,当σ sw t =σ sw 时,取α cr =2.4,在其他情况时,取α cr =2.1;
k——烟囱工作条件系数,取k=1.2;
n i ——第i种钢筋根数;
ρ te ——以有效受拉混凝土截面积计算的受拉钢筋配筋率,当σ sw t =σ sw 时,ρ te =ρ+ρ',当为其他情况时,ρ te =2ρ,当ρ te <0.01时,取ρ te =0.01;
d i 、d eq ——第i种受拉钢筋及等效钢筋的直径(mm);
c——混凝土保护层厚度(mm);
v i ——纵向受拉钢筋的相对黏结特性系数,光圆钢筋取0.7,带肋钢筋取1.0。
2 最大垂直裂缝宽度应按公式(7.4.10-1)~公式(7.4.10-3)进行计算,σ sw t 应以σ s t 代替,并应α cr =2.1。
条文说明
7.4.10 裂缝计算公式引用了现行国家标准《混凝土结构设计规范》GB 50010中的公式。但公式中增加了一个大于1的工作条件系数k,其理由是:
(1) 烟囱处于室外环境及温度作用下,混凝土的收缩比室内结构大得多。在长期高温作用下,钢筋与混凝土间的黏结强度有所降低,滑移增大。这些均可导致裂缝宽度增加。
(2) 烟囱筒壁模型试验结果表明,烟囱筒壁外表面由温度作用造成的竖向裂缝并不是沿圆周均匀分布,而是集中在局部区域,应是由于混凝土的非匀质性引起的,而《混凝土结构设计规范》GB 50010公式中,裂缝间距计算部分,与烟囱实际情况不甚符合,以致裂缝开展宽度的实测值大部分大于《混凝土结构设计规范》GB 50010中公式的计算值。重庆电厂240m烟囱的竖向裂缝亦远非均匀分布,实测值也大于计算值。
(3) 模型试验表明,在荷载固定温度保持恒温时,水平裂缝仍继续增大。估计是裂缝间钢筋与混凝土的膨胀差所致。
(4) 根据西北电力设计院和西安建筑科技大学对国内四个混凝土烟囱钢筋保护层的实测结果,都大于设计值。即使施工偏差在验收规范许可范围内,也不能保证沿周长均匀分布。这必将影响裂缝宽度。
7.5 构造规定
7.5 构造规定
7.5.1 钢筋混凝土烟囱筒壁的坡度,分节高度和厚度应符合下列规定:
1 筒壁坡度宜采用2%,对高烟囱亦可采用几种不同的坡度。
2 筒壁分节高度,应为移动模板的倍数,且不宜超过15m。
3 筒壁最小厚度应符合本规范表7.5.1的规定。
表7.5.1 筒壁最小厚度

注:采用滑动模板施工时,最小厚度不宜小于160mm。
4 筒壁厚度可根据分节高度自下而上阶梯形减薄,但同一节厚度宜相同。
7.5.2 筒壁环形悬臂和筒壁顶部加厚区段的构造,应符合下列规定(图7.5.2):

图7.5.2 悬臂及筒顶配筋(mm)
1 环形悬臂可按构造配置钢筋。受力较大或挑出较长的悬臂应按牛腿计算配置钢筋。
2 在环形悬臂中,应沿悬臂设置垂直楔形缝,缝的宽度应为20mm~25mm,缝的间距宜为1m。
3 在环形悬臂处和筒壁顶部加厚区段内,筒壁外侧环向钢筋应适当加密,宜比非加厚区段增加1倍配筋。
4 当环形悬臂挑出较长或荷载较大时,宜在悬臂上下各2m范围内,对筒壁内外侧竖向钢筋及环向钢筋应适当加密,宜比非加厚区段增加1倍配筋。
7.5.3 筒壁上设有孔洞时,应符合下列规定:
1 在同一水平截面内有两个孔洞时,宜对称设置。
2 孔洞对应的圆心角不应超过70°。在同一水平截面内总的开孔圆心角不得超过140°。
3 孔洞宜设计成圆形。矩形孔洞的转角宜设计成弧形(图7.5.3)。

图7.5.3 洞口加固筋(mm)
4 孔洞周围应配补强钢筋,并应布置在孔洞边缘3倍筒壁厚度范围内,其截面面积宜为同方向被切断钢筋截面面积的1.3倍。其中环向补强钢筋的一半应贯通整个环形截面。矩形孔洞转角处应配置与水平方向成45°角的斜向钢筋,每个转角处的钢筋,按筒壁厚度每100mm不应小于250mm 2 ,且不应少于2根。
补强钢筋伸过洞口边缘的长度,抗震设防地区应为钢筋直径的45倍,非抗震设防地区应为钢筋直径的40倍。
8 套筒式和多管式烟囱
8.1 一般规定
8 套筒式和多管式烟囱
8.1 一般规定
8.1.1 套筒式、多管式烟囱应由钢筋混凝土外筒、排烟筒、结构平台、横向制晃装置、竖向楼(电)梯和附属设施组成。
条文说明
8.1.1 套筒式和多管式烟囱,国外于20世纪70年代就开始采用。而我国的第一座多管(四筒)烟囱,是20世纪80年代初建于秦岭电厂的高210m烟囱,内筒为分段支承的四筒烟囱。从那时起,在国内建了多座套筒式和多管式烟囱。内筒包括分段支承、自立式砖砌内筒及钢内筒等形式。套筒式和多管式烟囱,至今已有二十几年实践经验。
8.1.2 多管式烟囱的排烟筒与外筒壁之间的净间距以及排烟筒之间的净间距,不宜小于750mm。其排烟筒高出钢筋混凝土外筒的高度不宜小于排烟筒直径,且不宜小于3m。

图8.1.2 多管式烟囱布置
a-排烟筒与外筒壁之间的净间距;b-排烟筒之间的净间距
条文说明
8.1.2 多管烟囱各排烟筒之间距离的确定主要考虑以下两种因素:
1 从安装、维护及人员通行方面考虑,不宜小于750mm。
2 从烟囱出口烟气最大抬升高度方面考虑,宜取S=(1.35~1.40)d,实际应用中,可灵活掌握。 排烟筒高出钢筋混凝土外筒的高度h的规定,主要为减少烟气下泄对外筒的腐蚀影响,同时又考虑了烟囱顶部的整体外观。
8.1.3 套筒式烟囱的排烟筒与外筒壁之间的净间距a不宜小于1000mm。其排烟筒高出钢筋混凝土外筒的高度h宜在2倍的内外筒净间距a至1倍钢内筒直径范围内。
条文说明
8.1.3 套筒式烟囱的内筒与外筒壁之间一般布置有转梯,考虑到人员通行及基本作业空间需要,本次修订将该部分内容纳入规范,建议其净间距不宜小于1000mm。
8.1.4 排烟筒可依据实际情况,选择砖砌体结构、钢结构或玻璃钢结构。

图8.1.3 套筒式烟囱布置
8.1.5 结构平台应根据排烟内筒的结构特性,并宜结合横向制晃装置、施工方案及运行条件设置。
8.1.6 钢梯宜设置在钢筋混凝土外筒内部。当运行维护需要时,可设置电梯。
8.1.7 套筒式和多管式烟囱应进行下列计算或验算:
1 承重外筒应进行水平截面承载能力极限状态计算和水平裂缝宽度验算。
2 排烟筒的计算应符合下列规定:
1)分段支撑的砖内筒,应进行受热温度和环箍或环筋计算。
2)自立式砖砌内筒,除进行受热温度和环箍或环筋计算外,在抗震设防地区还应进行地震作用下的抗震承载力验算和顶部最大水平位移计算。
3)自立式钢内筒应进行强度、整体稳定、局部稳定和洞口补强计算。
4)悬挂式钢内筒应进行整体强度、局部强度和悬挂结点强度计算。
条文说明
8.1.7 套筒式和多管式烟囱的计算,分为外部承重筒和内部排烟筒两部分。外筒应进行承载能力极限状态计算和水平截面正常使用应力及裂缝宽度计算,可不考虑温度作用。除增加了平台荷载外,与本规范第7章的单筒式钢筋混凝土烟囱的计算相同。 内筒的计算则需根据内筒的形式,进行受热温度及承载能力极限状态计算。
8.2 计算规定
8.2 计算规定
8.2.1 在风荷载或地震作用下,外筒计算时,可不计入内筒抗弯刚度的影响。
条文说明
8.2.1 钢筋混凝土外筒计算时,需特别注意的是:平台荷载和吊装荷载。如采用分段支承式砖内筒,平台荷载较大,外筒壁要承受由平台梁传来的集中荷载。关于吊装荷载,是指钢内筒安装时,采用上部吊装方案而言。此项荷载应根据施工方案而定。有的施工单位采用下部顶升方案,此时便没有吊装荷载。
8.2.2 自立式钢内筒的极限承载能力计算,除应包括自重荷载、烟气温度作用外,还应计入外筒在承受风荷载、地震作用、附加弯矩、烟道水平推力及施工安装和检修荷载的影响。腐蚀厚度裕度不应计入计算截面的有效截面面积。
8.2.3 内筒外层表面温度不应大于50℃。
8.2.4 排烟筒计算时,对非正常烟气运行温度工况,对应外筒风荷载组合值系数应取0.2。
8.2.5 顶部平台以上部分钢内筒的风压脉动系数、风振系数,可按外筒顶部标高处的数值采用。
8.2.6 钢内筒在支承位置以上自由段的相对变形应小于其自由段高度的1/100。变形和强度计算时,不应计入腐蚀裕度的刚度和强度影响。
8.3 自立式钢内筒
8.3 自立式钢内筒
8.3.1 钢内筒和钢筋混凝土外筒的基本自振周期宜符合下式的要求:

式中:T c ——钢筋混凝土外筒的基本自振周期(s);
T s ——钢内筒的基本自振周期(s)。
8.3.2 钢内筒长细比应满足下式要求:

式中:l 0 ——钢内筒相邻横向支承点间距(m);
i——钢内筒截面回转半径,对圆环形截面,取环形截面的平均半径的0.707倍(m)。
8.3.3 钢内筒基本自振周期可按下式计算:

式中:T s ——钢内筒基本自振周期(s);
α t ——特征系数,当两端铰接支承,α t =0.637;当一端固定、一端铰,α t =0.408;当两端固定支承,α t =0.281;当一端固定、一端自由,α t =1.786;
I——截面惯性矩(m 4 ),计算时,不计入截面开孔影响;
G 0 ——钢内筒单位长度重量,包括保温、防护层等所有结构的自重(N/m);
l max ——钢内筒相邻横向支承点最大间距(m);
E——钢材的弹性模量(N/m 2 )。
8.3.4 钢内筒可根据制晃装置处位移,按连续杆件计算钢内筒内力。
条文说明
8.3.4 外筒对钢内筒产生的内力由外筒位移引起钢内筒相应变形而产生。
8.3.5 钢内筒截面设计强度应按下列规定取值:
1 钢内筒水平截面抗压强度设计允许值应按下列公式计算:

式中: 
ch ——钢内筒水平截面抗压强度设计值(N/mm 2 );
η h ——钢内筒水平截面处的曲折系数,当η h >1.0时,取1.0;

t ——钢材在温度作用下的抗压强度设计值(N/mm 2 );
l 0i ——钢内筒计算截面处两相邻横向支承点间距(m)。
2 钢内筒强度折减系数ζ h 应按下列公式计算:
当C≤5.60时:

当C>5.60时:

式中:C——计算系数;
t——内筒筒壁厚度(mm);
r——内筒筒壁半径(mm)。
3 钢内筒水平截面处的抗剪强度设计允许值,应按下式计算:

8.3.6 制晃装置计算应符合下列规定:
1 自立式和悬挂式钢内筒,内筒与外筒之间的制晃装置承受的力,应根据内外筒变形协调计算。
2 当钢内筒采用刚性制晃装置,沿圆周方向4点均匀设置时,钢内筒支承环的弯矩、环向轴力及沿内筒半径方向的剪力(图8.3.6),可按下列公式计算:

图8.3.6 支承环受力
1-支承环;2-支撑点

当a/r≤0.656时:

当a/r>0.656时:

式中:M max ——支承环的最大弯矩(kN·m);
V max ——支承环沿半径方向的最大剪力(kN);
N max ——支承环沿圆周方向的最大拉力(kN);
F k ——外筒在k层制晃装置处,传给每一个内筒的最大水平力(kN),可根据变形协调求得;
r——钢内筒半径(m);
a——支承点的偏心距离(m)。
8.3.7 钢内筒环向加强环的截面积和截面惯性矩应按下列公式计算:
1 正常运行情况下:

2 非正常运行情况下:

式中:A——环向加强环截面积(m 2 );
I——环向加强环截面惯性矩(m 4 );
l——钢内筒加劲肋间距(m);
β t ——动力系数,取2.0;
p g ——正常运行情况下的烟气压力,按本规范第5章规定计算(kN/m 2 );

——非正常运行情况下的烟气压力,根据非正常烟气温度按本规范第5章规定计算(kN/m 2 )。
条文说明
8.3.7 制晃装置加强环的计算公式,均为在实际工程设计中采用的公式,具有一定实践经验。
8.3.8 钢内筒环向加强环(图8.3.8)截面特性计算中,应计入钢内筒钢板有效高度h e ,计入面积不应大于加强环截面面积,h e 可按下式计算:

式中:h e ——钢内筒钢板有效高度(m);
t——钢内筒钢板厚度(m)。

图8.3.8 加强环截面
1-钢内筒钢板有效高度;2-加劲肋
条文说明
8.3.8 为增强钢内筒承受内部负压的能力,防止负压条件下钢内筒的失稳(圆柱壳在均匀压力下失稳形态为不稳定分岔失稳)和阻止产生椭圆形振动,钢内筒设置环向加劲肋。
8.4 悬挂式钢内筒
8.4 悬挂式钢内筒
8.4.1 悬挂式钢内筒可采用整体悬挂和分段悬挂结构方式;也可采用中上部分悬挂、底部自立的组合结构方式。当采用分段悬挂式时,分段数不宜过多;各悬挂段的长细比不宜超过120。
条文说明
8.4.1 悬挂式钢内筒结构形式的选择,应按照工程设计条件、钢内筒中排放烟气的压力分布状况、烟气腐蚀性和耐久性要求综合考虑确定。 对于分段悬挂式钢内筒,它是将钢内筒分为一段或几段悬挂于不同高度的烟囱内部平台上,各分段之间通过可自由变形的膨胀伸缩节连接,以消除热胀冷缩和烟囱水平变位现象造成的纵(横)向伸缩变形影响。钢内筒膨胀伸缩节的防渗漏防腐处理比较困难,是烟囱整体结构防腐设计和施工的薄弱环节;钢内筒分段数偏多会引起膨胀伸缩节的数量增多,由此带来较大的烟气冷凝结露酸液渗漏腐蚀风险和隐患。
另外,针对悬挂式钢内筒的计算研究分析表明,分段数增加,钢内筒节省的用钢量不很明显;而由此带来的膨胀伸缩节烟气渗漏腐蚀隐患弊端要大于用钢量节省的效益。因此,分段悬挂式钢内筒的悬挂段数不宜过多,以1段为宜,最多不超过2段;膨胀伸缩节的设置标高位置应尽量降低。
8.4.2 悬挂平台对悬挂段钢内筒的约束作用应根据悬挂平台和悬挂段钢内筒间的相对刚度关系确定:当平台梁的转动刚度与钢内筒线刚度的比值小于0.1时,可将悬挂端简化为不动铰支座;当比值大于10时,可将悬挂端简化为固定端;当比值介于0.1~10时,应将悬吊端简化为弹性转动支座。
条文说明
8.4.2 钢内筒的抗弯刚度比悬挂平台梁的抗弯刚度要大得多,悬挂平台梁不足以阻止钢内筒整体转动,应具体分析悬挂平台梁对钢内筒的转动约束作用。 平台梁对钢内筒的转动约束刚度可以通过内筒支座间的转角刚度来求得。钢内筒通过悬吊支座与平台梁连接,悬吊支座一般对称布置,因此,求平台梁对双钢内筒的转动约束大小,可以在两个对称的平台梁上各作用两个力,使其形成两个力偶。设其中一个平台梁与悬吊支座连接处作用集中力F,求出一个平台梁的挠度大小△,则两个平台梁之间的相对位移即为2△,根据弯矩与转角之间的关系可以得到平台梁的转动刚度k1:

式中:n——单个平台梁上悬吊支座的个数;
2△——位于同一直径上的一对悬吊点的位移差;
d——钢内筒的直径。
8.4.3 悬挂段钢内筒的水平地震作用,可只计算在水平地震作用下钢筋混凝土外筒壁传给悬挂段钢内筒的作用效应。悬挂平台和悬挂段钢内筒的竖向地震作用可按本规范第5章的规定计算。
条文说明
8.4.3 当悬挂平台下悬挂段钢内筒的长度较小时,钢内筒线刚度较大,由转动产生的钢内筒应力较大,因此该段钢内筒不宜太短。在水平地震作用下,多跨悬挂钢内筒由自身惯性力产生的地震内力只在最下层横向约束平台处较大,其他层很小,可忽略不计。因此,在进行横向约束平台布置时,可考虑将最下层的钢内筒悬臂段的长度设置得小些。分析表明,当该段长度不大于25m时,钢内筒由自身惯性力产生的地震内力可忽略不计。 悬挂段钢内筒的竖向地震作用可按支承在悬挂平台上倒立的钢内筒按本规范第5章的有关规定计算。
8.4.4 悬挂段钢内筒设计强度应满足下列公式要求:

式中:M i ——钢内筒水平计算截面i的最大弯矩设计值(N·mm);
N i ——与M i 相应轴向拉力设计值,包括内筒自重和竖向地震作用(N);
A n i ——计算截面处的净截面面积(mm 2 );
W n i ——计算截面处的净截面抵抗矩(mm 3 );

t ——温度作用下钢材抗拉、抗压强度设计值(N/mm 2 ),按本规范第4.3.6条进行计算;
β——焊接效率系数。一级焊缝时,取β=0.85;二级焊缝时,取β=0.7;
γ t ——悬挂段钢内筒抗拉强度设计值调整系数:对于风、地震及正常运行荷载组合,γ t 可取1.0;对于非正常运行工况下的温差荷载组合,γ t 可取1.1。
条文说明
8.4.4 本规范给出的悬挂式钢内筒抗拉强度设计值公式是根据极限状态设计方法和容许应力法之间的换算得到的。 内筒允许应力是根据美国土木工程师学会标准《钢内筒设计与施工》ASCE 13-75规定的钢内筒抗拉强度容许应力值的计算公式转变而来。
8.5 砖内筒
8.5 砖内筒
8.5.1 砖内筒宜在满足强度、稳定和变形的条件下,采用整体自承重结构形式。当烟囱高度超过60m或采用整体自承重形式不经济时,可采用分段支承形式。
条文说明
8.5.1 受砖体材料强度和投资费用控制的约束,国内砖内筒烟囱基本上都是采用分段支承形式。
8.5.2 砖内筒的材质选择及防腐蚀设计应符合本规范第11章的有关规定。
8.5.3 砖内筒应符合下列规定:
1 砖内筒采用分段支承时,支承平台间距应根据砖内筒的强度和稳定性等综合因素确定。套筒式砖内筒可采用由承重环梁、钢支柱、平台钢梁、平台剪力撑和平台钢格栅板组成的斜撑式支承平台支承。
2 分段支承的砖内筒,其下部的积灰平台可采用钢筋混凝土结构。当平台梁跨度较大时,可在跨中增设承重柱。
3 套筒式砖内筒烟囱的钢筋混凝土外筒和砖内筒在烟囱顶部可采用盖板进行封闭,盖板与外筒壁的连接应安全可靠,并应保证内筒温度变化时自由变形。多管式砖内筒烟囱应设置顶部封闭平台。
条文说明
8.5.3 分段支承的套筒式砖内筒烟囱内部平台间距一般按25m左右考虑,分段支承的多管式砖内筒烟囱内部平台间距一般按30m左右考虑。 对于分段支承的套筒式砖内筒烟囱,考虑到内部空间紧凑和布置的便利性,本规范给出了较常采用的内部平台结构形式,即采用钢筋混凝土环梁、钢支柱、平台钢梁和平台支撑组成的内部平台体系。 对于分段支承的多管式砖内筒烟囱,由于内部空间较大,建议采用梁板体系的内部平台结构。从施工的角度考虑,平台梁建议采用钢结构。 采用分段支承形式的套筒式和多管式砖内筒烟囱,在各分段内部支承平台处的连接示意详见图9~图12。 
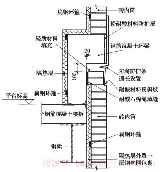
8.5.4 采用分段支承的砖内筒,在支承平台处的搭接接头,应满足砖内筒纵向和环向温度变形要求。
条文说明
8.5.4 通常采用设置100mm的缝隙考虑各分段的砖内筒,在烟气温度作用下产生的竖向变形。水平方向的变形(径向)很小,忽略不计。 
图10 套筒式砖内筒烟囱内部平台连接示意 
图11 多管式砖内筒烟囱平台梁端部连接示意 
图12 多管式砖内筒烟囱平台处砖内筒连接示意
8.5.5 烟囱的钢筋混凝土外筒壁与排烟筒之间,应按检修维护的要求设置检修维护平台及竖向楼梯。套筒式砖内筒烟囱可在钢筋混凝土外筒的上部外侧设置直爬梯通至烟囱筒顶,多管式砖内筒烟囱应在内部设置直爬梯通至烟囱筒顶。
条文说明
8.5.5 烟囱中排放烟气的砖内筒一般应按管道设备的检修维护要求设置通行梯子。
8.6 构造规定
8.6 构造规定
8.6.1 钢筋混凝土外筒除应符合本规范第7.5节的有关规定外,尚应符合下列规定:
1 钢筋混凝土外筒上部宜设计成等直径圆筒结构。筒的下部可根据需要放坡。
2 外筒的最小厚度不宜小于250mm。筒壁应采用双侧配筋。
3 外筒筒壁顶部内外环向钢筋,在自上而下5m高度范围内,钢筋面积应比计算值增加一倍。
4 承重平台的大梁和吊装平台的大梁,应支承在筒壁内侧。筒壁预留孔洞的尺寸,应满足大梁安装就位要求,且筒壁厚度应适当增大。大梁对筒壁产生的偏心距宜减小,大梁支承点处应有支承垫板并配置局部承压钢筋网片。施工完毕后,应将筒壁孔洞用混凝土封闭。
5 外筒壁仅有1个~2个烟道口时,筒壁洞口的设置和配筋应符合本规范第7.5.3条规定。
当烟道口为3个~4个时,除应符合本规范第7.5.3条的有关规定外,在洞口上下的环向加固筋应有50%钢筋沿整个周圈布置。另外50%加固筋应伸过洞口边缘一倍钢筋锚固长度。
6 当采用钢内筒时,外筒底部应预留吊装钢内筒的安装孔。选择在外筒外部焊接成筒的施工方案时,安装孔宽度应大于钢内筒外径0.5m~1.0m,孔的高度应根据施工方法确定。吊装完成后,应用砖砌体将安装孔封闭,并应在其中开设一个检修大门。
7 外筒应在下部第一层平台上部1.5m处,开设4个~8个进风口。进风口的总面积宜为外筒内表面与内筒外表面所包围的水平面积的5%。在顶层平台下应设4个~8个出风口,其面积宜小于进风口面积。
8 外筒的附属设施宜热浸镀锌防腐,镀层厚度应满足本规范第3.2.10条要求,并应采用镀锌自锚螺栓固定。
条文说明
8.6.1 钢筋混凝土外筒由于半径较大,且承受平台传来的荷载,所以,对筒壁的最小厚度,牛腿附近配筋的加强等规定与单筒式钢筋混凝土烟囱有所不同。在本条内,除对有特殊要求的内容加以说明外,其余应按第7章单筒式钢筋混凝土烟囱的有关规定执行。
8.6.2 内筒构造应符合下列规定:
1 烟道与内筒相交处,应在内筒上设置烟气导流平台。
2 烟道入口以上区段应设隔热层。隔热层宜选择无碱超细玻璃棉或泡沫玻璃棉,厚度宜由计算确定,应外包加丝铝箔。
3 钢内筒与水平烟道接口处,内筒应增加竖向和环向加劲肋(角钢或槽钢),环向加劲肋间距宜为1.5m。洞口边缘应设加强立柱;必要时可与外筒之间增设支撑(图8.6.2-1)。

图8.6.2-1 洞口加劲布置和节点(mm)
b-洞口宽度
4 钢内筒宜全高设置设环向加劲肋。其间距可采用一倍钢内筒直径,最大间距应为钢内筒直径的1.5倍,且不应大于7.5m。每个环所要求的最小截面应按本规范第8.3.7条计算确定,并不应小于表8.6.2规定数值。
表8.6.2 钢烟囱加劲肋最小截面尺寸

5 环向加劲肋宜采用等肢或不等肢角钢、T型钢制作,翼板应向外,与钢内筒可用连续焊缝或间断焊缝焊接。
6 自立式内筒应在根部设置一个检查人孔。
7 钢内筒的筒壁顶部构造,可按图8.6.2-2处理。

图8.6.2-2 烟囱顶部构造
1-钢内筒;2-隔热层;3-外包不锈钢;4-直梯;5-防雨通风帽;6-支撑点;7-信号平台梁;8-外筒;9-加强支承环;10-溢水管;11-加劲肋
条文说明
8.6.2 对套筒式和多管式烟囱,顶层平台有一些特殊要求,其功能主要起封闭作用。在此处积灰严重,烟囱在使用时应定期清灰。另外,在多雨地区,必须考虑排水。一般应设置排水管。根据使用经验,排水管的直径应大于或等于300mm,否则易堵塞。
8.6.3 钢平台构造应符合下列要求:
1 钢平台的计算与构造均应按现行国家标准《钢结构设计规范》GB 50017的规定执行。受到烟气温度影响时,还应计算由于温度作用造成钢材强度的降低。
2 钢平台易受到烟气冷凝酸腐蚀的部位,应局部做隔离防腐措施。
3 各层平台应设置吊物孔。吊物孔尺寸及吊物时承受的重力,应根据安装、检修方案确定,平台下是否安装永久性单轨吊,应根据是否需要确定。
4 各层平台应设置照明和通信设施。上层照明开关应设在下层平台上。
5 各层平台的通道宽度不应小于750mm,洞口周圈应设栏杆和踢脚板。与排烟筒相接触的孔洞,应留有一定空隙。
条文说明
8.6.3 采用钢筋混凝土平台,梁和板的断面尺寸很大,平台的重量过大,且施工也十分困难。而钢平台自重轻且施工方便。
8.6.4 制晃装置应符合下列要求:
1 采用钢内筒时,应设置制晃装置。
2 可采用刚性制晃装置,也可采用柔性的制晃装置。当采用刚性制晃装置时,宜利用平台为约束构件。每隔一层平台宜设置一道。制晃装置对内筒应仅起水平弹性约束作用,不应约束钢内筒由于烟气温度作用而产生的竖向和水平方向的温度变形。
3 制晃装置处内筒的加强环,可按图8.6.4进行加强。

图8.6.4 内筒加强环
条文说明
8.6.4 制晃装置仅用于钢内筒情况。因为烟囱很高,相对而言钢内筒长细比较大,必须设置制晃装置,使外筒起到保持内筒稳定的作用。不管是采用刚性制晃装置,还是采用柔性制晃装置,均需要在水平方向起到约束作用。而在竖向,却要满足内筒在烟气温度作用下,能够自由伸缩。
8.6.5 悬挂钢内筒的悬挂平台与下部相邻的横向约束平台间距不宜小于15m。最下层横向约束平台与膨胀伸缩节间的钢内筒悬壁长度不宜大于25m。
条文说明
8.6.5 相关数值取自西安建筑科技大学与西北电力设计院共同完成的《高烟囱悬吊钢内筒设计研究报告》(2010年5月)研究成果。
8.6.6 砖内筒结构砖砌体的厚度不宜小于200mm,砖内筒外表面设置的封闭层厚度不宜小于30mm,封闭层外表面按照计算设置的隔热层厚度不宜小于60mm。
8.6.7 砖内筒的砖砌体内可不配置竖向钢筋,但应按计算和构造要求配制环向钢筋或在外表面设置环向钢箍,环向钢箍的最小尺寸不应小于60mm×6mm(宽×厚),沿高度方向间距不宜超过1000mm。
8.6.8 钢筋混凝土承重环梁宜采用现场浇筑。斜撑式支承平台的钢筋混凝土承重环梁可采用分段预制,环梁分段长度宜为3m,钢梁最小环向间距宜采用750mm~1400mm,钢支柱最小环向间距宜与环梁分段长度相匹配,宜采用1500mm~2800mm。
8.6.9 多管式砖内筒烟囱分段支承平台的混凝土板厚不宜小于150mm。
条文说明
8.6.6~8.6.9 这些构造要求都是结合以往火力发电厂分段支承的套筒式或多管式砖内筒烟囱设计实践得出的,已在数十座烟囱工程中得到检验和验证。
9 玻璃钢烟囱
9.1 一般规定
9 玻璃钢烟囱
9.1 一般规定
9.1.1 当选用玻璃钢烟囱时,应符合下列规定:
1 烟气长期运行温度不得超过100℃。当烟气超出运行条件时,可在烟囱前端采取冷却降温措施,也可将选用的原材料和制成品的性能经试验验证后确定。
2 事故发生时的30min内温度不得超过树脂的玻璃化温度(Tg)。
3 环境最低温度不宜低于-40℃。
条文说明
9.1.1 在美国材料与试验协会标准《燃煤电厂玻璃纤维增强塑料(FRP)烟囱内筒设计、制造和安装标准指南》ASTM D5364(以下简称“ASTM D5364”中规定了玻璃钢烟囱适合于无GGH的湿饱和烟气运行温度(60℃以下),当FGD吸收塔有旁路时,在开启旁路烟道后的烟气温度,则在短时间内不超过121℃。国内燃煤电厂用于排放湿法脱硫烟气的温度,在无GGH时,在45℃~55℃范围,有GGH时,在80℃~95℃范围。从我们调查的国内化工、冶金和轻工等行业现有玻璃钢烟囱(大多数用于脱酸后的烟气)的使用情况来看,绝大多数长期运行温度不超过100℃。所以确定100℃为本规范所选玻璃钢材质适合长期使用的最高温度。 当烟气超出本规范规定的运行条件时(如大于100℃),可在烟囱前段采取冷却降温措施(如喷淋冷却),以确保烟气运行温度在规定的区间内。 随着科技进步和发展,将不断有高性能材料出现,因此对于超过本条规定的温度条件而要选用玻璃钢材质,则需要评估和试验确定,这也有利于玻璃钢烟囱未来发展和不断完善。 在事故发生时,短时间内烟气温度急剧升高,而玻璃钢短期内的使用温度极限应不能超过基体树脂的玻璃化温度(Tg)。 基体树脂类型不同,其固化后的玻璃化温度也不同。我们对两种类型四个品种的反应型阻燃环氧乙烯基酯树脂的Tg和HDT进行了检测验证,同样能满足本条的温度条件。 材料的耐寒性能常用脆化温度(Tb)来表示。工程上常把在某一低温下材料受力作用时只有极少变形就产生脆性破坏的这个温度称为脆化温度。同常温下性能相比,随着温度的降低,玻璃钢材料的分子无规则热运动减慢,结构趋于有序排列;树脂将会发生收缩,柔性越好收缩越大,同时树脂伸长率会下降,而拉伸强度和弹性模量将增大,弯曲强度也会增加,树脂呈现脆性倾向。鉴于目前已有正常使用在-40℃下玻璃钢材质的管道和储罐情况,确定了未含外保温层的玻璃钢烟囱筒体在本环境温度的使用下限指标。
9.1.2 玻璃钢烟囱直径和高度应符合下列规定:
1 自立式玻璃钢烟囱的高度不宜超过30m,且其高径比(H/D)不宜大于10;
2 拉索式玻璃钢烟囱的高度不宜超过45m,且其高径比(H/D)不宜大于20;
3 塔架式、套筒式或多管式玻璃钢烟囱,其跨径比(L/D)不宜大于10。
注:H为烟囱高度(m);L为玻璃钢烟囱横向支承间距(m);D为玻璃钢烟囱直径(m)。
条文说明
9.1.2 烟囱的设计高度及高径比多是参照实际案例确定的。另外,参考ASTM D5364中规定:L/r不超过20,故取自立式H/D不大于10;拉索式H/D不大于20;塔架式、套筒式或多管式L/D不宜大于10。
9.1.3 玻璃钢烟囱的设计,应计入烟气运行的流速、温度、磨损及化学介质腐蚀等因素的影响。当烟气流速超过31m/s时,应在拐角以及突变部位的树脂中添加耐磨填料或采取其他技术措施。
条文说明
9.1.3 由于玻璃钢材质的耐磨性能不强,在高的烟气流速下,对拐角或突变部位的冲击和磨损加大,导致腐蚀加强。可通过在树脂中添加耐磨填料(如碳化硅等)来提高该部位玻璃钢的耐磨性。本条引用了ASTM D5364中的烟气流速值。
9.1.4 平台活荷载与筒壁积灰荷载的取值应符合本规范第5章的有关规定。
9.1.5 结构强度和承载力计算时,不应计入筒壁防腐蚀内衬层的厚度和外表面层厚度,但应计算其重量影响。
条文说明
9.1.5 防腐蚀内层及外表层树脂含量较高,强度及模量较低,在计算结构强度和承载力时,均不考虑。
9.1.6 玻璃钢烟囱设计使用年限不宜少于30年。
条文说明
9.1.6 设计使用年限参考了以下标准(表3): 表3 设计使用年限参考标准 
注:CICIND指国际工业烟囱协会《玻璃钢(GRP)内筒标准规范》。
9.1.7 塔架式和拉索式玻璃钢烟囱层间挠度不应超过相应支撑段间距的1/120。
条文说明
9.1.7 玻璃钢的弹性模量较低,因此需对挠度作出相应规定。
9.2 材料
9.2 材料
9.2.1 玻璃钢烟囱的筒壁应由防腐蚀内衬层、结构层和外表面层组成,并应符合下列规定:
1 防腐蚀内衬层应由富树脂层和次内衬层组成:富树脂层厚度不应小于0.25mm,宜采用玻璃纤维表面毡,其树脂含量不应小于85%(重量比),也可选用有机合成纤维材料;次内衬层应采用玻璃纤维短切毡或喷射纱,其厚度不应小于2mm,树脂含量不应小于70%(重量比)。
当内衬层需防静电处理时,可采用导电碳纤维毡或导电碳填料,其内表面的连续表面电阻率不应大于1.0×10 6 Ω,静电释放装置的对地电阻不应大于25Ω。
2 结构层应由玻璃纤维连续纱或玻璃纤维织物浸渍树脂缠绕成型,其树脂含量应为35%±5%(重量比),厚度应由计算确定。
3 外表面层中的最后一层树脂应采取无空气阻聚的措施。当玻璃钢烟囱暴露在室外时,外表面层应添加紫外线吸收剂,外表面层厚度不应小于0.5mm。
条文说明
9.2.1 富树脂层和次内层由于具有比较高的树脂含量,固化后的交联密度高,使得玻璃钢表面致密,抗化学介质的扩散渗透能力增强。 玻璃钢是一种绝缘性能比较好的材质,玻璃钢烟囱在使用中可能产生大量的静电,会导致安全运行隐患,所以需要考虑静电释放和接地措施。 树脂中通常含有苯乙烯交联剂,在固化过程中由于空气中的氧阻聚作用,使得固化后表面产生发黏等固化不完全现象。无空气阻聚的树脂一般是在树脂中添加少量的石蜡,在树脂固化过程中,石蜡会慢慢迁移到表面,形成隔绝空气的一层薄膜,使得表面固化完全,使用在最后一层中。 紫外线将会破坏树脂分子链中苯环等结构的化学稳定性,因此对室外的玻璃钢烟囱,或者对有可能接受到紫外线照射的部位,其表面层树脂中,应加入抗紫外线的吸收剂。
9.2.2 玻璃钢烟囱的基体材料应选用反应型阻燃环氧乙烯基酯树脂,除其液体树脂技术指标应符合现行国家标准《纤维增强塑料用液体不饱和聚酯树脂》GB/T 8237的规定外,其他性能和技术要求尚应符合下列规定:
1 树脂浇铸体的主要性能应符合表9.2.2的要求;
表9.2.2 树脂浇铸体的主要性能

2 烟气最高设计使用温度(T)应小于或等于HDT-20℃。
3 防腐蚀内层和结构层宜选用同类型的树脂。当选用不同类型的树脂时,层间不得脱层。
4 阻燃性能应符合下列要求:
反应型阻燃环氧乙烯基酯树脂浇铸体的极限氧指数(LOI)不应小于23;
当反应型阻燃环氧乙烯基酯树脂含量为35%±5%(重量比),添加0~3%阻燃协同剂(Sb 2 O 3 )时,玻璃钢极限氧指数(LOI)不应小于32;
玻璃钢的火焰传播速率不应大于45。
5 当有可靠经验和安全措施保证时,玻璃钢烟囱的基体材料可选用其他类型的树脂。
条文说明
9.2.2 环氧乙烯基酯树脂是目前国内外玻璃钢烟囱制造中的常用树脂,其固化后树脂及其玻璃钢制品在耐温、耐腐蚀、耐久性和物理力学等方面的综合性能优良。从国内调查反馈来看,采用环氧乙烯基酯树脂制造玻璃钢烟囱已过半,而在烟塔合一的工程应用中,已经全部采用环氧乙烯基酯树脂,但基本上以非阻燃型树脂为主。 关于本规范中采用阻燃树脂的背景介绍如下:
(1) ASTM D5364中,对玻璃钢烟囱的树脂明确了应选用含卤素的化学阻燃树脂。从北美地区目前应用的玻璃钢烟囱情况来看,几乎都采用反应型阻燃环氧乙烯基酯树脂。
(2) 国际工业烟囱协会(CICIND)《玻璃钢(GRP)内筒标准规范》对树脂的选用主要有三类:环氧乙烯基酯树脂、不饱和聚酯树脂(双酚A富马酸型和氯菌酸型)和酚醛树脂。对于阻燃性能,认为在需要和规定时,在玻璃钢内衬的内、外表层采用反应型阻燃树脂,或者全部采用反应型阻燃树脂。同时强调应当遵守本地或国家的消防条例,并认为采用内外表面阻燃的结构是无法限制规模很大的火焰。
(3) 现行国家标准《火力发电厂与变电所设计防火规范》GB 50229-2006第3.0.1条将烟囱的火灾危险性归为“丁类”,耐火等级为2级,但没有涉及玻璃钢烟囱及其材质的要求。但第8.1.5条对“室内采暖系统的管道管件及保温材料”提出了强制性条文“应采用不燃材料”;第8.2.7条规定了对“空气调节系统风道及其附件应采用不燃材料制作”;第8.2.8条规定“空气调节系统风道的保温材料,冷水管道的保温材料,消声材料及其黏结剂应采用不燃烧材料或者难燃烧材料”。
(4) 现行国家标准《建筑设计防火规范》GB 50016-2006第10.3.15条规定:“通风、空气调节系统的风管应采用不燃材料”,但“接触腐蚀性介质的风管和柔性接头可以采用难燃材料”。 从国内已发生的玻璃钢烟囱火灾事故及由于脱硫塔火灾引起的钢排烟筒过火案例来看,同样也需要引起我们高度重视玻璃钢烟囱的阻燃性问题。因此从安全消防角度考虑,采用阻燃树脂是防止玻璃钢材质在存放、安装和运行过程中避免着火、火焰扩散和传播事故发生的措施之一。 树脂的热变形温度应超过烟气设计温度20℃以上,这是国内外对在温度条件下使用玻璃钢材料的通常规则,主要是确保作为结构材料的玻璃钢不能在超出其临界温度的环境下长期运行。临界温度范围取决于玻璃钢的基体树脂-固化体系,而同纤维类型和玻璃钢所受应力状态的类型关系不大。对于树脂的三个温度有如下关系:临界温度<热变形温度<玻璃化温度。 现行国家标准《纤维增强用液体不饱和聚酯树脂》GB/T 8237没有规定树脂固化后的拉伸强度等指标,而这些指标对玻璃钢烟囱所用树脂的质量控制是必须的,故作规定值。 树脂结构中的酯基是最容易受到酸和碱化学侵蚀的基团,已有研究表明:酸对酯基的侵蚀是个可逆反应过程;而碱对酯基的侵蚀是个不可逆反应,其树脂浇铸体试样在碱溶液中会发生由表及里的溶胀、开裂以致破碎。在防腐蚀性能上通常以此来推断:即树脂的耐碱性好,其耐酸性能也好。现行国家标准《乙烯基酯树脂防腐蚀工程技术规范》GB/T 50590中对反应型阻燃环氧乙烯基酯树脂的质量要求中,列入了耐碱性试验指标。本规范中对四种反应型阻燃环氧乙烯基酯树脂浇铸体的耐碱性进行了试验和验证,作为判断树脂耐腐蚀性能的重要依据。 玻璃钢材质的阻燃性表征之一是采用有限氧指数值(LOI):国内消防法规对难燃材料的要求之一是LOI不小于32。我们用未添加或添加少量三氧化二锑,树脂含量在35%左右的四种反应型阻燃环氧乙烯基酯树脂玻璃钢样条验证,能够满足指标要求。 玻璃钢材质的阻燃性表征之二是火焰传播速率:它是采用美国材料与试验协会标准《建筑材料表面燃烧性能试验方法》ASTME84隧道法测定的玻璃钢层合板的一个指数值。表示火焰前沿在材料表面的发展速度,关系到火灾波及邻近可燃物而使火势扩大的一个评估指标。国内无相对应的标准,但已有测定机构提供专门服务。 玻璃钢烟囱是长期使用且维修困难的高耸构筑物,由于烟气的强腐蚀性,因此防腐蚀层应设计成树脂含量高、纤维含量低的抗渗性铺层;结构层主要考虑其在运行温度条件下的力学性能为主,因此纤维含量高;从国外已有运行实例看,其防腐蚀层和结构层全部采用反应型阻燃环氧乙烯基酯树脂,综合性能优异,同时也有效防止了因防腐蚀层和结构层采用不同树脂可能造成的界面相容性问题,避免了脱层。
9.2.3 玻璃钢烟囱增强材料应符合下列规定:
1 富树脂层宜选用耐化学型C-glass表面毡或有机合成材料,也可选用C型中碱玻璃纤维表面毡;次内层应选用E-CR类型的玻璃纤维短切原丝毡或喷射纱。当有防静电要求时,可选用导电碳纤维毡或布。玻璃纤维短切原丝毡质量应符合现行国家标准《玻璃纤维短切原丝毡和连续原丝毡》GB/T 17470的规定。
2 结构层应选用E-CR类型的玻璃纤维的缠绕纱、单向布;在排放潮湿烟气条件下,可选用E型玻璃纤维的缠绕纱、单向布。其质量应符合现行国家标准《玻璃纤维无捻粗纱》GB/T 18369、《玻璃纤维无捻粗纱布》GB/T 18370的规定。
3 玻璃钢烟囱筒体之间连接所用的玻璃纤维无捻粗纱布、短切原丝毡或单向布的类型,应与筒体增强材料一致。
4 玻璃纤维表面处理采用的偶联剂应与选用的树脂匹配。
9.2.4 玻璃钢材料性能宜通过试验确定。当无条件进行试验时,应符合下列规定:
1 当采用环向缠绕纱和轴向单向布的铺层结构时,常温下纤维缠绕玻璃钢材料的性能宜符合表9.2.4-1的规定。
表9.2.4-1 常温下纤维缠绕玻璃钢主要力学性能指标

2 当采用短切毡和方格布交替铺层的手糊玻璃钢板时,常温下玻璃钢材料的性能宜符合表9.2.4-2的规定。
3 玻璃钢的重力密度、膨胀系数、泊松比和导热系数等计算指标,可按表9.2.4-3的规定取值。
表9.2.4-2 常温下手糊玻璃钢板的主要力学性能指标(MPa)

表9.2.4-3 玻璃钢主要计算参数

条文说明
9.2.4 玻璃钢材料的性能数据高低,在树脂确定的情况下,与所采用纤维的类型、品质以及工艺铺层结构有关,可根据烟囱的受力特点,设计相应的工艺铺层,通过试验确定。本条表9.2.4-1~表9.2.4-3 所列是缠绕玻璃钢及手糊玻璃钢制品的性能数据,没有采用通常的实验室制样方法,而是用更加接近工程实际的工厂化条件进行的生产制样,按国家有关标准进行检测,并依据现行国家标准《建筑结构可靠度设计统一标准》GB 50068和《工程结构可靠性设计统一标准》GB 50153规定的原则确定的标准值,可供没有条件进行试验的设计选用和参考。 表9.2.4-1和表9.2.4-3是采用缠绕试验铺层方法,用2层环向缠绕纱与4层单向布交替制作,具体如表4: 表4 缠绕试验铺层做法 
表9.2.4-2是采用手糊板试验铺层方法,用3层玻璃布与3层短切毡交替铺层,具体如表5: 表5 手糊板试验铺层做法 
9.2.5 玻璃钢材料强度设计值应根据下列公式进行计算:

式中: 
zc 、 
zc k ——玻璃钢纵向抗压强度设计值、标准值(N/mm 2 );

zt 、 
zt k ——玻璃钢纵向抗拉强度设计值、标准值(N/mm 2 );

zb 、 
zb k ——玻璃钢纵向弯曲抗拉(或抗压)强度设计值、标准值(N/mm 2 );

θt 、 
θtk ——玻璃钢环向抗拉强度设计值、标准值(N/mm 2 );

θb 、 
θbk ——玻璃钢环向弯曲抗拉(或)抗压强度设计值、标准值(N/mm 2 );

θc 、 
θck ——玻璃钢环向抗压强度设计值、标准值(N/mm 2 );
γ zc 、γ zt 、γ zb 、γ θt 、γ θb 、γ θc ——玻璃钢材料分项系数,取值不应小于表9.2.5-1规定的数值;
γ zc t 、γ zt t 、γ zb t 、γ θt t 、γ θb t 、γ θc t ——玻璃钢材料温度折减系数,取值不应大于表9.2.5-2规定的数值。
表9.2.5-1 玻璃钢烟囱的材料分项系数

注:组合Ⅳ、V、Ⅵ应符合本规范第3.1.7条的规定。
表9.2.5-2 玻璃钢烟囱的材料温度折减系数

注:表中温度为中间值时,可采用线性插值确定。
条文说明
9.2.5 玻璃钢材料的材料分项系数参考了ASTM D5364中的规定,但考虑我国制作工艺及现场管理的实际水平,在实际取值时应大于或等于本规范所规定的分项系数。 为了确定玻璃钢烟囱材料在各种受力状态下的力学指标,中冶东方工程技术有限公司委托有关单位做了有关试验。通过试验可以看到,玻璃钢材料的力学指标离散性比较大。规范给出的材料分项系数虽然较一般建材大,但仍不足以保证结构设计已经可靠,原因是在温度作用下材料的力学指标又会有变化,规范给出60℃和90℃设计温度下强度指标折减系数。这样可尽量保证玻璃钢烟囱在不同温度下具有相近可靠度保证率。
9.2.6 玻璃钢弹性模量应计算温度折减,当烟气温度不大于100℃时,折减系数可按0.8取值。
条文说明
9.2.6 通过试验可以得出结论,玻璃钢材料的力学性能随着温度升高会有较大幅度的降低,因此当烟气温度不大于100℃,采用弹性模量进行计算时折减系数按0.8考虑。
9.3 筒壁承载能力计算
9.3 筒壁承载能力计算
9.3.1 在弯矩、轴力和温度作用下,自立式玻璃钢内筒纵向抗压强度应符合下列公式的要求:

式中:A n i ——计算截面处的结构层净截面面积(mm 2 );
W n i ——计算截面处的结构层净截面抵抗矩(mm 3 );
M i ——玻璃钢烟囱水平计算截面i的最大弯矩设计值(N·mm);
N i ——与M i 相应轴向压力或轴向拉力设计值(N);

zc ——玻璃钢轴心抗压强度设计值(N/mm 2 );

zb ——玻璃钢纵向弯曲抗拉强度设计值(N/mm 2 );
E zb ——玻璃钢轴向弯曲弹性模量(N/mm 2 );
E θc ——玻璃钢环向压缩弹性模量(N/mm 2 );

——筒壁轴向临界应力(N/mm 2 );
t 0 ——烟囱筒壁玻璃钢结构层厚度(mm);
r——筒壁计算截面结构层中心半径(mm);

——筒身弯曲温度应力、温度次应力和筒壁内外温差引起的温度应力(MPa),按本规范第五章规定进行计算;
γ T ——温度作用分项系数,取γ T =1.1。
9.3.2 在弯矩、轴力和温度作用下,悬挂式玻璃钢内筒纵向抗拉强度应按下列公式计算:

式中: 
——玻璃钢轴心受拉强度设计值(N/mm 2 ),抗力分项系取2.6;

——玻璃钢轴心受拉强度设计值(N/mm 2 ),抗力分项系数取8.0。
条文说明
9.3.1、9.3.2 考虑了玻璃钢烟囱受拉、受压、受弯及组合最不利情况下的轴向强度计算。
9.3.3 玻璃钢筒壁在烟气负压和风荷载环向弯矩作用下,其强度可按下列公式计算:

式中:M θin ——局部风压产生的环向单位高度风弯矩(N·mm/mm),按本规范第5.2.7条计算;
p——烟气压力(N/mm 2 );
W θ ——筒壁厚度沿环向单位高度截面抵抗矩(mm 3 /mm);
E θ b ——玻璃钢环向弯曲弹性模量(N/mm 2 );
E zc ——玻璃钢轴向受压弹性模量(N/mm 2 );
L s ——筒壁加筋肋间距(mm);

——筒壁环向温度应力(N/mm 2 ),按本规范第5章的规定进行计算;

——筒壁环向临界应力(N/mm 2 )。
9.3.4 负压运行的自立式玻璃钢内筒,筒壁强度应按下式计算:

9.3.5 玻璃钢烟囱可采用加劲肋的方法提高玻璃钢烟囱筒壁刚度,加劲肋影响截面抗弯刚度应满足下式要求:

式中:E s ——加劲肋沿环向弯曲模量(N/mm 2 );
I s ——加劲肋及筒壁影响截面有效宽度惯性矩(mm 4 )。筒壁影响截面有效宽度可采用 
,且计算影响面积不大于加强肋截面面积。
条文说明
9.3.3~9.3.5 计算公式部分内容参考了ASTM D5364中的有关规定。
9.3.6 玻璃钢筒壁分段采用平端对接时,宜内外双面粘贴连接,并应对粘贴连接宽度、厚度及铺层分别按下列要求进行计算:
1 粘贴连接接口宽度应满足下式要求:

式中:N i 、M i ——连接截面上部筒身总重力荷载设计值(N)与连接截面处弯矩设计值(N·mm);

τ ——手糊板层间允许剪切强度(MPa),可按试验数据采用,当无试验数据时可取20MPa;
γ τ ——手糊板层间剪切强度分项系数,取γ τ =10。
2 粘贴连接接口厚度(计算时不计防腐蚀层厚度)应满足下式要求:

式中: 
zc ——手糊板轴向抗压强度(MPa),当无试验数据时可采用140MPa;
γ zc ——手糊板轴向抗压强度分项系数,取γ zc =10。
条文说明
9.3.6 玻璃钢烟囱的接口可采用平端对接、承插粘接等多种形式,在直径大于4m时宜采用平端对接,此处平端对接的粘接计算主要考虑自重及连接截面处弯矩的因素。
9.3.7 玻璃钢烟囱开孔宜采用圆形,洞孔应力应满足本规范公式(10.3.2-16)的要求。
9.4 构造规定
9.4 构造规定
9.4.1 玻璃钢烟囱下部烟道接口宜设计成圆形。
条文说明
9.4.1 玻璃钢材料为各向异性,容易产生应力集中,因此下部烟道接口建议设计成圆形,以尽量减小对玻璃钢筒体的破坏。
9.4.2 拉索式玻璃钢烟囱拉索设置应满足以下规定:
1 当烟囱高度与直径之比小于15时,可设1层拉索,拉索位置应距烟囱顶部小于h/3处。
2 烟囱高度与直径之比大于15时,可设2层拉索;上层拉索系结位置,宜距烟囱顶部小于h/3处;下层拉索宜设在上层拉索位置至烟囱底的1/2高度处。
3 拉索宜为3根,平面夹角宜为120°,拉索与烟囱轴向夹角不宜小于25°。
条文说明
9.4.2 玻璃钢材料的弹性模量较低,故设置拉索时要保证H/D不大于10,且要充分考虑拉索预紧力对烟囱的应力影响。
9.4.3 玻璃钢加强肋间距不应超过烟囱直径的1.5倍,并不应大于8m。
条文说明
9.4.3 加强肋的设置间距参考了ASTM D5364中的规定。
9.4.4 每段玻璃钢烟囱之间连接应符合下列规定:
1 宜采用平端对接,对接处筒体的内外面的粘贴连接面的宽度,厚度应按本规范第9.3.6条计算确定,但全厚度时的宽度不应小于400mm。
2 当筒体直径小于4m时,也可采用承插连接,承插深度不应小于100mm,内外部接缝处糊制宽度不应小于400mm。
3 接缝处采用玻璃纤维短切原丝毡和无捻粗纱布交替糊制,第一层和最后一层应是玻璃纤维短切原丝毡。
条文说明
9.4.4 玻璃钢烟囱的连接可采用承插粘接或平端对接等方式。
9.4.5 烟囱膨胀节宜采用玻璃钢法兰形式连接,连接节点应严密,连接材料的防腐蚀和耐温性能应符合烟气工艺要求。
9.4.6 玻璃钢烟囱的筒壁结构层最小厚度应满足表9.4.6的规定。
表9.4.6 玻璃钢烟囱的筒壁结构层最小厚度(mm)

条文说明
9.4.6 考虑到玻璃钢烟囱的结构刚度和耐久性,故对玻璃钢的结构层最小厚度作了规定,按照玻璃钢烟囱的直径差异,确定了两种不同直径系列的烟囱最小厚度。
9.5 烟囱制作要求
9.5 烟囱制作要求
9.5.1 玻璃钢烟囱的制造环境应符合下列规定:
1 应在工厂室内或在有临时围护结构的现场制作。
2 制作场所应通风。
3 环境温度宜为15℃~30℃,所有材料和设备温度应高于露点温度3℃;当环境温度低于10℃时,应采取加热保温措施,并严禁用明火或蒸汽直接加热。
4 原材料使用时的温度,不应低于环境温度。
条文说明
9.5.1 对于直径小的玻璃钢烟囱,可以在制造商的工厂内制作,对于直径大,运输有困难的,应在项目现场或其附近临时有围护结构的工场内制作,这样可保证满足制造时的环境温度和湿度要求。 树脂中的苯乙烯是有嗅味的易燃、易挥发化学品,除加强劳动保护外,还应加强工作场所的通风。 温度过低,树脂固化速度变慢,影响工作效率和固化后产品的强度,温度过高,树脂固化速度太快,来不及制作的材料会浪费;湿度大,空气中的水分对树脂固化速度和固化后玻璃钢性能会有影响。在环境温度为(15~30)℃下材料和设备温度高于露点温度3℃,通常其相对湿度不会大于80%。 低温存放,利于树脂有长的存储期。但是在使用时,材料温度应同环境温度相一致,否则固化剂的用量配方不能确定,树脂的黏度也会变大,影响同纤维的浸润。
9.5.2 玻璃钢烟囱的制造设备应符合下列要求:
1 缠绕机在整个玻璃钢内衬分段长度上的缠绕角应在±1.5°以内。
2 制造玻璃钢内衬所用的筒芯(模具)的外表面应均匀,其直径的偏差(沿长度方向)应控制在设计直径的±0.25%以内。
3 树脂混合设备应计量准确,应先在树脂中按比例加入促进剂,并应混合均匀;在输送到玻璃纤维浸胶槽前,应按比例加入固化剂,并应搅拌均匀。
4 玻璃纤维增强材料使用时,应符合均匀、连续、可重复的输送要求,在缠绕中,不应产生间隙、空隙或者结构损伤。
9.5.3 树脂的使用应符合下列要求:
1 在制造前,应进行树脂胶凝时间的试验。
2 树脂黏度可通过加入气相二氧化硅或苯乙烯调节,其加入量不得超过树脂重量的3%。
3 已加入促进剂和引发剂的树脂,应在树脂凝胶前用完。已发生凝胶的树脂不得使用。
4 促进剂与固化剂严禁同时加入树脂中。
条文说明
9.5.3 树脂的黏度是使用工艺中的重要性能,而且与温度的关系密切: 当温度下降、树脂黏度上升时,不利于浸透纤维。加入苯乙烯稀释,使得树脂黏度下降,可提高纤维浸润性能,但是加入的苯乙烯量不宜超过3%,如果用量大则会影响树脂的相关性能。 当温度上升、树脂黏度下降时,黏度太小,利于纤维浸透树脂,但会产生树脂流挂缺胶,同样也影响产品质量,而加入适量的触变剂(如:气相二氧化硅),则可有效防止流胶。 树脂常温固化时所采用的固化剂均系过氧化物(如过氧化甲乙酮,过氧化环己酮等),它同配套的促进剂(如环烷酸钴等)直接混合将会发生剧烈的化学反应引起燃烧和火灾,严重时甚至会发生爆炸事故,危及生命和财产安全,因此严禁两者同时加入。
9.5.4 玻璃纤维增强材料使用前不得有损坏、污染和水分。
条文说明
9.5.4 玻璃纤维增强材料如有污物和水分将会影响与树脂的浸润,造成界面的无效结合,影响固化,从而使材料的性能下降。
9.5.5 玻璃钢烟囱应分段制造,每段长度应同制造能力相匹配,同时应符合安装和接缝总数最少的原则。
条文说明
9.5.5 分段制造的每节筒体长度,主要从缠绕的设备能力和安装能力等方面综合考虑,筒体连接越少,效率也越高。
9.5.6 制造玻璃钢内衬所用的筒芯(模具)使用前应符合下列规定:
1 表面应洁净、光滑、无缺陷。
2 表面应使用聚酯薄膜或脱模剂。
条文说明
9.5.6 筒芯表面使用聚酯薄膜或脱模剂(如聚乙烯醇),会提供光滑的内表面,以保证玻璃钢筒体脱模时不损坏筒芯表面。
9.5.7 防腐蚀内衬层的制造应符合下列规定:
1 富树脂层应先将配好的树脂均匀涂覆到旋转的筒芯(模具)上,再将玻璃纤维表面毡缠绕到筒芯(模具)上,并应完全浸润。
2 次内衬层应在富树脂层上采用玻璃纤维短切原丝毡和树脂衬贴,并应充分碾压、去除气泡、浸润完全,应直至到达设计规定的厚度。
当施工条件可靠时,也可采用喷射工艺,厚度应均匀。
3 同层玻璃纤维原丝毡的叠加宽度不应少于10mm。
4 在防腐蚀内衬层放热固化完成后,应检查是否存在气泡、斑点和凹凸不平,并应进行修补。
条文说明
9.5.7 防腐蚀内层是直接接触烟气介质的,要求具有高的树脂含量和很好的抗渗透性能。如果存在气泡等制造中的缺陷,会直接影响产品的防腐蚀性能,应及时修补。
9.5.8 结构层与防腐蚀内衬层的制造间隔时间应符合下列规定:
1 防腐蚀内衬层固化完成后,表面应采用丙酮擦拭发黏后再进行结构层制作。
2 防腐蚀内衬层固化完成后超过24h时,应检查表面是否有污染和水分,并应用丙酮擦拭,应根据擦拭后表面状态按下列要求进一步处理:
当擦拭后表面发黏时,可进行结构层制造。
当擦拭后表面不发黏,或表面有污染时,应打磨去除表面光泽,清理干净后进行结构层制造。
3 结构层与防腐蚀内衬层的制造间隔时间不宜超过72h。
条文说明
9.5.8 筒体结构层与防腐蚀内层的制造间隔时间的控制目的:是防止运行中发生结构层与防腐蚀内层脱层。尤其在结构层与防腐蚀内层所用树脂不一致的情况下,需要特别注意控制。防腐蚀内层所用往往是含胶量大于70%的耐温性好、固化交联密度高的树脂,如果间隔时间长了,结构层与防腐蚀内层的界面融合就会存在隐患。从已发生的玻璃钢罐体结构层与防腐蚀内层的脱层事故分析,主要是这个原因。
9.5.9 结构层的制造应符合下列规定:
1 应在防腐蚀内衬层固化后再缠绕结构层。当在缠绕开始前,应先在内衬层表面均匀涂布一道树脂。
2 采用玻璃纤维连续纱浸渍树脂后,应以规定的缠绕角度连续成型;也可根据设计要求,采用环向连续缠绕、轴向加衬单向布的交替成型方法。
3 缠绕角度应允许在±1.5°内变化。
4 缠绕作业不能持续到最终厚度,或因设备故障而延迟完成时,重新开始缠绕作业的间隔时间和表面处理方法应按本规范第9.5.8条执行。
条文说明
9.5.9 在结构层缠绕开始前,先在防腐蚀层表面涂布树脂主要是提高层间结合。
9.5.10 外表层的制造应符合下列规定:
1 玻璃钢烟囱内衬的外表面应采用无空气阻聚的树脂封面。
2 玻璃钢烟囱在室外使用时,外表面层应添加紫外线吸收剂。
9.5.11 玻璃钢烟囱筒体的制造误差应符合下列规定:
1 各分段筒体的直径误差应小于直径的1%。
2 各分段筒体的高度误差不应超过本段高度的±0.5%,且不应超过13mm。
3 各分段筒体的厚度误差不应超过内衬厚度的-10%~+20%,或重量误差应控制为-5%~+10%。
9.6 安装要求
9.6 安装要求
9.6.1 在装卸、存放和安装期间,应计入吊装荷载及变形对玻璃钢筒体产生的不利影响。
9.6.2 玻璃钢烟囱分段装卸时,应采用柔性吊索。
条文说明
9.6.2 刚性类吊索材料(如钢丝绳)容易损坏筒体表面,以采用尼龙等柔性类吊索为好。
9.6.3 直径超过3m的分段玻璃钢烟囱宜垂直存放和移动。
条文说明
9.6.3 玻璃钢材质具有高强度低模量的特性,垂直存放和移动主要是要保持筒体不变形。
9.6.4 当分段的玻璃钢烟囱进行水平和垂直位置的相互变换时,应符合底部边缘点的荷载设计要求,且防腐蚀层表面不得产生裂纹。
9.6.5 每段玻璃钢烟囱上的对称吊环,应满足安装期间所施加的各种载荷。
条文说明
9.6.4、9.6.5 这两条对筒体吊装提出要求。
10 钢烟囱
10.1 一般规定
10 钢烟囱
10.1 一般规定
10.1.1 钢烟囱可分为塔架式、自立式和拉索式。外筒为钢筒壁的套筒式和多管式钢烟囱,外筒可按本章第10.3节有关自立式钢烟囱的规定进行设计,内筒布置与计算应按本规范第8章有关规定进行设计。
10.1.2 钢塔架及拉索计算可按现行国家标准《高耸结构设计规范》GB 50135的有关规定进行。
10.1.3 当烟气温度较高时,对于无隔热层的钢烟囱应在其底部2m高度范围内,采取隔热措施或设置安全防护栏。
10.1.4 钢烟囱选用的材料应符合现行国家标准《钢结构设计规范》GB 50017的规定。
10.2 塔架式钢烟囱
10.2 塔架式钢烟囱
10.2.1 钢塔架可根据排烟筒的数量确定,水平截面可设计成三角形和方形。
条文说明
10.2.1 在过去的设计中,常用的塔架截面形式主要有三角形和四边形,并优先选用三角形。因为三角形截面塔架为几何不变形状,整体稳定性好、刚度大、抗扭能力强,对基础沉降不敏感。
10.2.2 钢塔架沿高度可采用单坡度或多坡度形式。塔架底部宽度与高度之比,不宜小于1/8。
条文说明
10.2.2 塔架在风荷载作用下,其弯矩图形近似于折线形。一般将塔架立面形式做成与受力情况相符的折线形,为了方便塔架的制作安装,塔面的坡度不宜过多,一般变坡以3个~4个为宜。 根据实践经验,塔架底部宽度一般按塔架高度的1/4至1/8范围内选用,多数按塔架高度的1/5至1/6决定其底部尺寸。在此范围内确定的塔架底部宽度,对控制塔架的水平变位、降低结构自振周期、减少基础的内力等都是有利的。
10.2.3 对于高度较高,底部较宽的钢塔架,宜在底部各边增设拉杆。
条文说明
10.2.3 增设拉杆是为了减小塔架底部和节间的变形,并使底部节间有足够的刚度和稳定性。
10.2.4 钢塔架的计算应符合下列规定:
1 在风荷载和地震作用下,应根据排烟筒与钢塔架的连接方式,计算排烟筒对塔架的作用力。
2 当钢塔架截面为三角形时,在风荷载与地震作用下,应计算三种作用方向[图10.2.4(a)]。
3 当钢塔架截面为四边形时,在风荷载与地震作用下,应计算两种作用方向[图10.2.4(b)]。

图10.2.4 塔架外力作用方向
4 当钢塔架与排烟筒采用整体吊装时应对钢塔架进行吊装验算。
5 钢塔架应计算由脉动风引起的风振影响,当钢塔架的基本自振周期小于0.25s时,可不计算风振影响。
6 钢塔架杆件的自振频率应与塔架的自振频率相互错开。
7 对承受上拔力和横向力的钢塔架基础,除地基应进行强度计算和变形验算外,尚应进行抗拔和抗滑稳定性验算。
条文说明
10.2.4 排烟筒与塔架平台或横隔相连,在风荷载和地震作用下,排烟筒相当于一根连续梁,将风荷载和地震力通过连接点传给钢塔架。但应注意排烟筒在温度作用下可自由变形。 钢塔架与排烟筒采用整体吊装时,顶部吊点的上节间内力往往大于按承载能力极限状态设计时的内力,所以必须进行吊装验算。
10.2.5 钢塔架腹杆宜按下列规定确定:
1 塔架顶层和底层宜采用刚性K型腹杆。
2 塔架中间层宜采用预加拉紧的柔性交叉腹杆。
3 塔柱及刚性腹杆宜采用钢管,当为组合截面时宜采用封闭式组合截面。
4 交叉柔性腹杆宜采用圆钢。
条文说明
10.2.5 由于排烟筒伸出塔顶,对塔顶将产生较大的水平集中力,在塔架底部接近地面两个节间又有较大的剪力,可能有扭矩产生。所以在塔架顶层和底层采用刚性K型腹杆,以保证塔架在这两部分具有可靠的刚度。组合截面做成封闭式,除提高杆件的强度和刚度外,更有利于防腐,提高杆件的防腐能力。 采用预加拉紧的柔性交叉腹杆,使交叉腹杆不受长细比的限制,能消除杆件的残余变形,可加强塔架的整体刚度,减小水平变位和横向变形。由于断面减小,降低了用钢量和投资。 钢管性能优越于其他截面,它各向同性,对受压受扭均有利,并具有良好的空气动力性能,风阻小、防腐涂料省、施工维修方便,对可能受压,也可能受扭的塔柱和K型腹杆选用钢管是合理的。 承受拉力的预加拉紧的柔性交叉腹杆,选用风阻小、抗腐蚀能力强、直径小面积大的圆钢,既经济又合理。
10.2.6 钢塔架平台与排烟筒连接时,可采用滑道式连接(图10.2.6)。
条文说明
10.2.6 滑道式连接是将排烟筒体用滑道与平台梁相连,在垂直方向可自由变位,能抗水平力和扭矩。当排烟筒为悬挂式时,排烟筒底部或靠近底部处与平台梁连接可采用承托式,即将筒体支承在平台梁上。承托板需开椭圆螺栓孔,使筒体在水平方向有很小的间隙变位,而在垂直方向能向上自由伸缩。以上部位与平台梁的连接可采用滑道式。
10.2.7 钢塔架应沿塔面变坡处或受力情况复杂且构造薄弱处设置横隔,其余可沿塔架高度每隔2个~3个节间设置一道横隔。塔架应沿高度每隔20m~30m设一道休息平台或检修平台。
10.2.8 钢塔架抗震验算时,其构件及连接节点的承载力抗震调整系数可采用表10.2.8数值。

图10.2.6 滑道式连接
表10.2.8 塔架构件及连接节点承载力抗震调整系数

条文说明
10.2.8 本次规范修订,增加了塔架抗震验算时构件及连接节点的承载力抗震调整系数。
10.2.9 塔架式钢烟囱的水平弯矩,应按排烟筒与塔架变形协调进行计算。
10.2.10 排烟筒的构造要求应与自立式钢烟囱相同。
10.3 自立式钢烟囱
10.3 自立式钢烟囱
10.3.1 自立式钢烟囱的直径d和对应位置高度h之间的关系应根据强度和变形要求,经过计算后确定,并宜满足下式的要求;当不满足下式要求时,烟囱下部直径宜扩大或采用其他减震等措施:

条文说明
10.3.1 原规范规定烟囱高径比宜满足h≤20d,在一些情况下偏于严格,特别是风荷载较小地区。按此规定设计,往往烟囱应力水平较低。本次规范修订将此限定放宽到h≤30d,可在满足强度和变形要求的前提下,在此范围内进行高径比选择。当钢烟囱的强度和变形是由风振控制时,可采用可靠的减震措施来满足要求。
10.3.2 自立式钢烟囱应进行下列计算:
1 弯矩和轴向力作用下,钢烟囱强度应按下式进行计算:

式中:M i ——钢烟囱水平计算截面i的最大弯矩设计值(包括风弯矩和水平地震作用弯矩)(N·mm);
N i ——与M i 相应轴向压力或轴向拉力设计值(包括结构自重和竖向地震作用)(N);
A n i ——计算截面处的净截面面积(mm 2 );
W n i ——计算截面处的净截面抵抗矩(mm 3 );

t ——温度作用下钢材抗拉、抗压强度设计值(N/mm 2 ),按本规范第4.3.6条进行计算。
2 弯矩和轴向力作用下,钢烟囱局部稳定性应按下列公式进行验算:

式中:σ c rt ——烟囱筒壁局部稳定临界应力(N/mm 2 );

y ——钢材屈服强度(N/mm 2 );
γ s ——钢材在温度作用下强度设计值折减系数,按本规范第4.3.6条确定;
t——筒壁厚度(mm);
E t ——温度作用下钢材的弹性模量(N/mm 2 );
D i ——i截面钢烟囱外直径(mm);
δ——烟囱筒体几何缺陷折减系数,当 
≤0.01 l 时(图10.3.2),取δ=1.0;当 
=0.02 l 时,取δ=0.5;当0.01 l < 
<0.02 l 时,采用线性插值;不允许出现 
>0.02 l 的情况。

图10.3.2 钢烟囱筒体几何缺陷示意
3 在弯矩和轴向力作用下,钢烟囱的整体稳定性应按下列公式进行验算:

式中:A b i ——计算截面处的毛截面面积(mm 2 );
W b i ——计算截面处的毛截面抵抗矩(mm 3 );
N Ex ——欧拉临界力(N);
λ——烟囱长细比,按悬臂构件计算;

——焊接圆筒截面轴心受压构件稳定系数,按本规范附录B采用。
4 地脚螺栓最大拉力可按下式计算:

式中:P max ——地脚螺栓的最大拉力(kN);
M——烟囱底部最大弯矩设计值(kN·m);
N——与弯矩相应的轴向压力设计值(kN);
d——地脚螺栓所在圆直径(m);
n——地脚螺栓数量。
5 钢烟囱底座基础局部受压应力,可按下式计算:

式中:σ c bt ——钢烟囱(包括钢内筒)荷载设计值作用下,在混凝土底座处产生的局部受压应力(N/mm 2 );
G——烟囱底部重力荷载设计值(kN);
A t ——钢烟囱与混凝土基础的接触面面积(mm 2 );
W——钢烟囱与混凝土基础的接触面截面抵抗矩(mm 3 );
ω——荷载分布影响系数,可取ω=0.675;
β 1 ——混凝土局部受压时强度提高系数,按现行国家标准《混凝土结构设计规范》GB 50010的有关规定计算;

ct ——混凝土在温度作用下的轴心抗压强度设计值。
6 烟道入口宜设计成圆形。矩形孔洞的转角宜设计成圆弧形。孔洞应力应满足下式要求:

式中:A 0 ——洞口补强后水平截面面积,应不小于无孔洞的相应圆筒壁水平截面面积(mm 2 );
W 0 ——洞口补强后水平截面最小抵抗矩(mm 3 );

t ——温度作用下的钢材抗压强度设计值(N/mm 2 );
N——洞口截面处轴向力设计值(N);
M——洞口截面处弯矩设计值(N·mm);
α k ——洞口应力集中系数,孔洞圆角半径r与孔洞宽度b之比,r/b=0.1时,可取α k =4,r/b≥0.2时,取α k =3,中间值线性插入。
条文说明
10.3.2 强度和整体稳定性计算公式,基本参照现行国家标准《钢结构设计规范》GB 50017中的公式。只因钢烟囱一直在较高温度下的不利环境中工作,没有考虑截面塑性发展,在强度和稳定性计算公式中取消了截面塑性发展系数γ。等效弯矩系数βm由于悬臂结构时为1,所以稳定性公式中取消了βm。 钢烟囱局部稳定计算公式参照CICIND标准进行了修订。原规范局部稳定计算公式为圆柱壳弹性屈服应力形式,未考虑钢材塑性屈曲和制作加工几何缺陷影响,在某些情况下,计算结果不安全。
10.3.3 钢烟囱的筒壁最小厚度应满足下列公式要求:
烟囱高度不大于20m时:

烟囱高度大于20m时:

式中:t min ——筒壁最小厚度(mm);
C——腐蚀厚度裕度,有隔热层时取C=2mm,无隔热层时取C=3mm。
条文说明
10.3.3 本条规定钢烟囱的最小厚度是为了保证结构刚度和耐久性。
10.3.4 隔热层的设置应符合下列规定:
1 当烟气温度高于本规范表3.3.1规定的最高受热温度时,应设置隔热层。
2 隔热层厚度应由温度计算确定,但最小厚度不宜小于50mm。对于全辐射炉型的烟囱,隔热层厚度不宜小于75mm。
3 隔热层应与烟囱筒壁牢固连接,当采用不定型现场浇注材料时,可采用锚固钉或金属网固定。烟囱顶部可设置钢板圈保护隔离层边缘。钢板圈厚度不应小于6mm。
4 应沿烟囱高度方向,每隔1m~1.5m设置一个角钢支承环。
5 当烟气温度高于560℃时,隔热层的锚固件可采用不锈钢(1Cr18Ni9Ti)制造。烟气温度低于560℃时,可采用一般碳素钢制造。
条文说明
10.3.4 温度超过425℃时,碳素钢要产生蠕变,在荷载作用下易产生永久变形。为了控制钢材使用温度,当温度达到400℃时,应设置隔热层,以降低钢筒壁的受热温度。 碳素钢的抗氧化温度上限为560℃,金属锚固件温度不应超过此界限。因为金属锚固件一旦超过抗氧化界限出现氧化现象,将造成连接松动,影响正常使用。
10.3.5 破风圈的设置应符合下列规定:
1 当烟囱的临界风速小于6m/s~7m/s时,应设置破风圈。当烟囱的临界风速为7m/s~13.4m/s、小于设计风速,且采用改变烟囱高度、直径和增加厚度等措施不经济时,也可设置破风圈。
2 设置破风圈范围的烟囱体型系数应按1.2采用。
3 需设置破风圈时,应在距烟囱上端不小于烟囱高度1/3的范围内设置。
4 破风圈型式可采用螺旋板型或交错排列直立板型,并应符合下列规定:
当采用螺旋板型时,其螺旋板厚度不小于6mm,宽度为烟囱外径的1/10。螺旋板为三道,沿圆周均布,螺旋节距可为烟囱外直径的5倍。
当交错排列直立板型时,其直立板厚度不小于6mm,长度不大于1.5m,宽度为烟囱外径的1/10,每圈立板数量为4块,沿烟囱圆周均布,相邻圈立板相互错开45°。
条文说明
10.3.5 钢烟囱发生横风向风振(共振)现象在实际工程中有所发生,特别是在烟囱刚度较小,临界风速一般小于设计的最大风速,因此,临界风速出现的概率较大。一旦临界风速出现,涡流脱落的频率与烟囱的自振频率相同(或几乎相同),烟囱就要发生横风向共振。因此,在设计中,应尽量避免出现共振现象。如果调整烟囱的刚度难以达到目的时,在烟囱上部设置破风圈是一种较有效的解决方法。除了破风圈以外,也可以采用其他形式的减振装置对烟囱进行减振。
10.3.6 烟囱顶部可设置用于涂刷油漆的导轨滑车及滑车钢丝绳。
10.4 拉索式钢烟囱
10.4 拉索式钢烟囱
10.4.1 当烟囱高度与直径之比大于30(h/d>30)时,可采用拉索式钢烟囱。
条文说明
10.4.1 当烟囱高度与直径之比大于30(h/d>30)时,可采用拉索式钢烟囱。实际应用中,如果经过技术经济比较,虽然h/d≤30,但采用拉索式钢烟囱更合理,也可采用该种烟囱。
10.4.2 当烟囱高度与直径之比小于35时,可设一层拉索。拉索宜为3根,平面夹角宜为120°,拉索与烟囱轴向夹角不应小于25°。拉索系结位置距烟囱顶部应小于h/3处。
10.4.3 烟囱高度与直径之比大于35时,可设两层拉索;上层拉索系结位置,宜距烟囱顶部小于h/3处;下层拉索系结位置,宜设在上层拉索至烟囱底的1/2高度处。
10.4.4 拉索式烟囱在风荷载和地震作用下的内力计算,可按现行国家标准《高耸结构设计规范》GB 50135的规定计算,并应计及横风向风振的影响。
10.4.5 拉索式钢烟囱筒身的构造措施,应与自立式钢烟囱相同。
11 烟囱的防腐蚀
11.1 一般规定
11 烟囱的防腐蚀
11.1 一般规定
11.1.1 燃煤烟气可按下列规定分类:
1 相对湿度小于60%、温度大于或等于90℃的烟气,应为干烟气。
2 相对湿度大于或等于60%、温度大于60℃但小于90℃的烟气,应为潮湿烟气。
3 相对湿度为饱和状态、温度小于或等于60℃的烟气,应为湿烟气。
11.1.2 当排放非燃煤烟气时,烟气分类可根据经验并按本规范第11.1.1条的规定确定。烟囱设计应按烟气分类及相应腐蚀等级,采取对应的防腐蚀措施。
11.1.3 对于烟气主要腐蚀介质为二氧化硫的干烟气,当烟气温度低于150℃,且烟气二氧化硫含量大于500ppm时,应计入烟气的腐蚀性影响,并应按下列规定确定其腐蚀等级:
1 当二氧化硫含量为500ppm~1000ppm时,应为弱腐蚀干烟气。
2 当二氧化硫含量大于1000ppm且小于或等于1800ppm时,应为中等腐蚀干烟气。
3 当二氧化硫含量大于1800ppm时,应为强腐蚀干烟气。
11.1.4 湿法脱硫后的烟气应为强腐蚀性湿烟气;湿法脱硫烟气经过再加热后应为强腐蚀性潮湿烟气。
条文说明
11.1.1~11.1.4 烟囱烟气根据其温度、湿度及结露状况分类;对于干烟气将原规范腐蚀等级按燃煤含硫量确定改为直接按烟气含硫量确定;烟气分为干烟气、潮湿烟气和湿烟气三类,对应各类烟气又分别划分为强、中、弱三种腐蚀等级,各类烟气虽腐蚀等级相同,但腐蚀程度不同,采取的防腐蚀措施也不同。规范规定湿法脱硫后的烟气为强腐蚀性湿烟气、湿法脱硫烟气经过再加热之后为强腐蚀性潮湿烟气,其他方式产生的湿烟气或潮湿烟气的腐蚀等级应根据具体情况加以确定。
11.1.5 烟囱设计应计入周围环境对烟囱外部的腐蚀影响,可根据现行国家标准《工业建筑防腐蚀设计规范》GB 50046的有关规定采取防腐蚀措施。
11.1.6 当烟囱所排放烟气的特性发生变化时,应对原烟囱的防腐蚀措施进行重新评估。
条文说明
11.1.6 烟囱防腐蚀材料应满足烟囱实际存在的各运行工况条件,且应能适用于各工况可能存在交替变化的情况。
11.1.7 湿烟气烟囱设计应符合下列规定:
1 排烟筒内部应设置冷凝液收集装置。
2 烟囱顶部钢筋混凝土外筒筒首、避雷针和爬梯等,应计入烟羽造成的腐蚀影响,并应采取防腐蚀措施。
3 排烟筒应按大型管道设备的要求设置定期检修维护设施。
条文说明
11.1.7 湿烟气烟囱冷凝液从实际工程掌握的情况,流量在每小时数吨至数十吨,故排烟筒底部必须设置冷凝液收集装置,有条件时可在钢内筒其他部位设置冷凝液收集装置,可有效减少烟囱雨现象。
11.2 烟囱结构型式选择
11.2 烟囱结构型式选择
11.2.1 烟囱的结构型式应根据烟气的分类和腐蚀等级确定,可按表11.2.1的要求并结合实际情况进行选取。
表11.2.1 烟囱结构型式

注:1 “○”建议采用的方案;“□”可采用的方案;“△”不宜采用的方案;“×”不应采用的方案。
2 选择表中所列方案时,其材料性能应与实际烟囱运行工况相适应。当烟气温度较高时,内衬材料应满足长期耐高温要求。
条文说明
11.2.1 烟囱结构型式的选择是防腐蚀措施的重要环节。原规范提出了烟囱结构型式选择要求以来,针对不同的烟气腐蚀性等级选择的烟囱结构型式,对保证烟囱安全可靠地正常使用和耐久性都起到了非常重要的指导性意义。 结合近10年来火力发电厂烟囱及其他行业烟囱,在不同使用条件,特别是烟气湿法脱硫运行条件下,采用不同烟囱结构型式和防腐蚀措施在运行后出现的渗漏腐蚀现象及处理经验,提出了对排放不同腐蚀性等级的干烟气、湿烟气和潮湿烟气的烟囱结构型式的选择要求。 根据对20座湿法脱硫现场调研,湿法脱硫机组实时运行温度统计数据为,无GGH运行工况(湿烟气)平均温度为52℃,设GGH运行工况(潮湿烟气)平均温度为83℃。 在湿法脱硫无GGH运行工况(湿烟气)下,烟囱内有冷凝液积聚。在湿法脱硫设GGH运行工况(潮湿烟气)下,烟囱内无冷凝液积聚,烟囱内的积灰处于干燥状态。 湿烟气烟囱内有冷凝液流淌,要解决防腐问题首先必须满足防渗,应采用整体气密的排烟筒或防腐内衬。钢内筒防腐内衬主要有:
(1) 钢内筒衬防腐金属材料指钢内筒衬镍板或钛板等,国内工程仅挂贴钛板和复合钛板有应用,且多为复合钛板。
(2) 钢内筒衬轻质防腐砖指进口玻璃砖防腐系统、国产玻璃砖防腐系统、国产泡沫玻化砖防腐系统。
(3) 玻璃钢排烟筒在国外大型电厂有较多湿烟囱应用案例;国内在小型电厂有应用案例,在大型电厂烟塔合一烟道有应用案例。
(4) 钢内筒衬防腐涂料主要指目前应用较多的玻璃鳞片。 到目前为止,国内湿烟气烟囱运行时间不长,大部分未超过6年,但还是暴露出了诸多问题,有待进一步改进。
(1) 钢内筒衬钛板总体使用情况良好,但挂贴钛板出现了钛板局部腐蚀穿孔的现象,复合钛板钢内筒出现了焊缝连接部位渗漏现象。
(2) 钢内筒衬进口玻璃砖防腐系统使用情况良好,表面耐烟气冲刷性能稍弱。
(3) 钢内筒衬国产玻璃砖防腐系统的工程问题突出,除施工质量的过程控制没有落实外,砖、胶出现较多材料失效的现象。
(4) 钢内筒衬国产泡沫玻化砖防腐系统出现问题的工程较多,从现场调研结果反映出,砖、胶性能与进口产品相比较有差距;目前钢内筒产生的腐蚀的主要原因是施工工艺造成的胶饱满密实缺陷问题。 国内燃煤电厂新建机组有7座烟囱采用进口玻璃砖防腐系统,目前使用状况良好。 统计的国内约30座采用国产玻璃砖、国产泡沫玻化砖防腐系统的烟囱,有较多出现了不同程度的腐蚀情况;一般在投运后1年~2年内发生,最短在投运1个月后即出现了钢内筒腐蚀穿孔现象。 与进口玻璃砖防腐系统相比,国产玻璃砖、国产泡沫玻化砖防腐系统在原材料、施工质量过程控制和管理方面尚存一定差距,有较大的改进空间。
(5) 钢内筒衬玻璃鳞片材料使用寿命较短,一般为5年~8年。使用期间维护工程量大,到目前为止,较多的工程已进行过维修。对用于实际使用时间少于10年的湿烟气烟囱,其经济性有一定优势。对于防腐涂层内衬,在选用时,应对其抗渗性能和断裂延伸率等性能加以限制。 本规范表11.2.1是总结近年来实践经验给出的,在选用时应结合实际烟囱运行工况的差异性进行调整。应根据烟囱的实际工况,对内衬防腐材料的耐酸、耐热老化、耐热冲击和耐磨性能以及断裂延伸率、抗渗透性能等主要性能指标进行综合评价后予以确定。
11.2.2 排放干烟气的烟囱结构型式的选择应符合下列规定:
1 烟囱高度小于或等于100m时,可采用单筒式烟囱。当烟气属强腐蚀性时,宜采用砖套筒式烟囱。
2 烟囱高度大于100m,且排放强腐蚀性烟气时,宜采用套筒式或多管式烟囱;当排放中等腐蚀性烟气时,可采用套筒式或多管式烟囱,也可采用单筒式烟囱;当排放弱腐蚀性烟气时,宜采用单筒式烟囱。
11.2.3 排放潮湿烟气的烟囱结构型式的选择应符合下列规定:
1 宜采用套筒式或多管式烟囱。
2 每个排烟筒接入锅炉台数应结合排烟筒的防腐措施确定。300MW以下机组每个排烟筒接入锅炉台数不宜超过2台,且不应超过4台;300MW及其以上机组每个排烟筒接入锅炉台数不应超过2台;1000MW及其以上机组为每个排烟筒接入锅炉台数不应超过1台。
11.2.4 排放湿烟气的烟囱结构型式的选择应符合下列规定:
1 应采用套筒式或多管式烟囱。
2 每个排烟筒接入锅炉台数应结合排烟筒的防腐措施确定。200MW以下机组每个排烟筒接入锅炉台数不宜超过2台,且不应超过4台;200MW及其以上机组每个排烟筒接入锅炉台数不应超过2台;600MW及其以上机组每个排烟筒接入锅炉台数宜为1台;1000MW及其以上机组为每个排烟筒接入锅炉台数不应超过1台。
条文说明
11.2.4 根据近几年火力发电厂工程排放湿烟气烟囱的渗漏腐蚀现象较为普遍和严重的调查情况,提出了应采用具备检修条件的套筒式或多管式烟囱。 每个排烟筒接入锅炉台数根据发电厂机组规模进行了规定,其他行业可对照其规模容量执行。
11.3 砖烟囱的防腐蚀
11.3 砖烟囱的防腐蚀
11.3.1 当排放弱腐蚀性等级干烟气时,烟囱内衬宜按烟囱全高设置;当排放中等腐蚀性等级干烟气时,烟囱内衬应按烟囱全高设置。
条文说明
11.3.1 砖烟囱一般用于不超过60m高度的低烟囱。由于砌体结构的抗渗性能不宜保证,因此烟囱中排放的烟气类型限定于干烟气。
11.3.2 当排放中等腐蚀性等级干烟气时,烟囱内衬宜采用耐火砖和耐酸胶泥(或耐酸砂浆)砌筑。
条文说明
11.3.2 砖烟囱的主要防腐蚀措施是根据烟气的腐蚀性等级做好防腐蚀内衬材料的选择和有效控制施工质量。水泥砂浆和石灰水泥砂浆的耐腐蚀性最差,当受到腐蚀后,体积发生膨胀,内衬的整体性和严密性易受到破坏,一般不在砖烟囱的内衬中不使用。普通黏土砖耐腐蚀性也较差,受腐蚀后易出现掉皮现象,一般不应在排放中等腐蚀等级的砖烟囱内衬中使用。
11.4 单筒式钢筋混凝土烟囱的防腐蚀
11.4 单筒式钢筋混凝土烟囱的防腐蚀
11.4.1 单筒式钢筋混凝土烟囱筒壁混凝土强度等级应符合下列规定:
1 当排放弱腐蚀性干烟气时,混凝土强度等级不应低于C30。
2 当排放中等腐蚀性干烟气时,混凝土强度等级不应低于C35。
3 当排放强腐蚀性干烟气或潮湿烟气时,混凝土强度等级不应低于C40。
11.4.2 单筒式钢筋混凝土烟囱筒壁内侧混凝土保护层最小厚度和腐蚀裕度厚度,应符合下列规定:
1 当排放弱腐蚀性干烟气时,混凝土最小保护层厚度应为35mm。
2 当排放中等腐蚀性干烟气时,筒壁厚度宜增加30mm的腐蚀裕度,混凝土最小保护层厚度宜为40mm。
3 当排放强等腐蚀性干烟气或潮湿烟气时,筒壁厚度宜增加50mm的腐蚀裕度,混凝土最小保护层厚度宜为50mm。
条文说明
11.4.2 对于排放干烟气的单筒式烟囱,已形成了一套安全有效、适合国情的单筒式烟囱防腐蚀措施适用标准,实践证明使用效果良好。 近几年湿烟气烟囱(烟囱脱硫改造工程或新建脱硫烟囱工程),单筒式烟囱出现了较严重的渗漏腐蚀现象,有的已威胁到了烟囱钢筋混凝土筒壁的安全可靠性。基于此,单筒式烟囱中排放的烟气类型限定于干烟气和潮湿烟气。
11.4.3 单筒式钢筋混凝土烟囱内衬和隔热层,应符合下列规定:
1 当排放弱腐蚀性干烟气时,内衬宜采用耐酸砖(砌块)和耐酸胶泥砌筑或轻质、耐酸、隔热整体浇注防腐内衬。
2 当排放中等以及强腐蚀性干烟气或潮湿烟气时,内衬应采用耐酸胶泥和耐酸砖(砌块)砌筑或轻质、耐酸、隔热整体浇注防腐内衬。
3 当排放强腐蚀性烟气时,砌体类内衬最小厚度不宜小于200mm;当采用轻质、耐酸、隔热整体浇注防腐蚀内衬时,其最小厚度不宜小于150mm。
4 烟囱保温隔热层应采用耐酸憎水性的材料制品。
5 钢筋混凝土筒壁内表面应设置防腐蚀隔离层。
条文说明
11.4.3 结合近年来轻质耐酸隔热防腐整体浇注料在干烟气条件下单筒式烟囱中的使用情况,补充了该种材料。
11.4.4 烟囱内的烟气压力宜符合下列规定:
1 烟囱高度不超过100m时,烟囱内部烟气压力可不受限制。
2 烟囱高度大于100m时,当排放弱腐蚀性等级烟气时,烟气压力不宜超过100Pa;当排放中等腐蚀性等级烟气时,烟气压力不宜超过50Pa。
3 当排放强腐蚀性烟气时,烟气宜负压运行。
4 当烟气正压压力超过本条第1款~第3款的规定时,可采取下列措施:
1)增大烟囱顶部出口内直径,降低顶部烟气排放的出口流速。
2)调整烟囱外形尺寸,减小烟囱外表面的坡度或内衬内表面的粗糙度。
3)在烟囱顶部做烟气扩散装置。
条文说明
11.4.4 单筒式烟囱是截锥圆形,上小下大形状,烟囱中上部区段运行的烟气正压压力值较大,对单筒式烟囱中烟气正压压力数值加以限制,减少烟气渗透腐蚀。
11.4.5 烟囱内衬耐酸砖(砌块)和耐酸砂浆(或耐酸胶泥)砌筑,应采用挤压法施工,砌体中的水平灰缝和垂直灰缝应饱满、密实。当采用轻质、耐酸、隔热整体浇注防腐蚀内衬时,不宜设缝。
11.5 套筒式和多管式烟囱的砖内筒防腐蚀
11.5 套筒式和多管式烟囱的砖内筒防腐蚀
11.5.1 砖内筒的材料选择应符合下列规定:
1 当排放中等腐蚀性干烟气时,砖内筒宜采用耐酸砖(砌块)和耐酸胶泥(耐酸砂浆)砌筑;砖内筒的保温隔热层宜采用轻质隔热防腐的玻璃棉制品。
2 当排放强腐蚀性干烟气或潮湿烟气时,排烟内筒应采用耐酸砖(砌块)和耐酸胶泥(耐酸砂浆)砌筑;砖内筒的保温隔热层应采用轻质隔热防腐的玻璃棉制品。
3 在满足砖内筒砌体强度和稳定的条件下,应采用轻质耐酸材料砌筑。
4 排烟内筒耐酸砖(砌块)宜采用异形形状,砌体施工应符合本规范第11.4.5条的规定。
条文说明
11.5.1 烟囱中砖砌体排烟内筒的材料全部选用耐酸防腐蚀性能的;在条件许可时选用轻质型的,以减小排烟内筒的荷重。
11.5.2 砖内筒防腐蚀应符合下列规定:
1 内筒中排放的烟气宜处于负压运行状态。当出现正压运行状态时,耐酸砖(砌块)砌体结构的外表面应设置密实型耐酸砂浆封闭层;也可在内外筒间的夹层中设置风机加压,并应使内外筒间夹层中的空气压力超过相应处排烟内筒中的烟气压力值50Pa。
2 内筒外表面应按计算和构造要求确定设置保温隔热层,并应使烟气不在内筒内表面出现结露现象。
3 内筒各分段接头处,应采用耐酸防腐蚀材料连接,烟气不应渗漏,并应满足温度伸缩要求(图11.5.2)。

图11.5.2 内筒接头构造(mm)
4 砖内筒支承结构应进行防腐蚀保护。
11.6 套筒式和多管式烟囱的钢内筒防腐蚀
11.6 套筒式和多管式烟囱的钢内筒防腐蚀
11.6.1 钢内筒内衬应按本规范表11.2.1选用。
11.6.2 钢内筒材料及结构构造应符合下列规定:
1 钢内筒的外表面和导流板以下的内表面应采用耐高温防腐蚀涂料防护。
2 钢内筒的外保温层应分两层铺设,接缝应错开。钢内筒采用轻质防腐蚀砖内衬时,可不设外保温层。
3 钢内筒筒首保温层应采用不锈钢包裹,其余部位可采用铝板包裹。
11.7 钢烟囱的防腐蚀
11.7 钢烟囱的防腐蚀
11.7.1 钢烟囱内衬防腐蚀设计可按本规范第11.6节设计进行。
条文说明
11.7.1 从防腐蚀的角度考虑,钢烟囱高度不起主要作用。所以,本节未区分钢烟囱高度而分别提出相关的设计要求。
11.7.2 钢烟囱外表面应计入大气环境的腐蚀影响因素,宜采取长效防腐蚀措施。
条文说明
11.7.2 根据钢烟囱外表面检修维护困难的特点,提出了采用长效防腐措施。
12 烟囱基础
12.1 一般规定
12 烟囱基础
12.1 一般规定
12.1.1 烟囱地基基础的计算,除应符合本规范的规定外,尚应符合国家现行标准《建筑地基基础设计规范》GB 50007和《建筑桩基技术规范》JGJ 94的有关规定。在抗震设防地区还应符合现行国家标准《建筑抗震设计规范》GB 50011的规定。
12.1.2 基础截面极限承载能力计算和正常使用极限状态验算,应按现行国家标准《混凝土结构设计规范》GB 50010的有关规定进行。
12.1.3 对于有烟气通过的基础,材料强度应计算温度作用的影响。
条文说明
12.1.1~12.1.3 这一部分规定仍与原规范相同。
12.2 地基计算
12.2 地基计算
12.2.1 烟囱基础地基压力计算,应符合下列规定:
1 轴心荷载作用时:

2 偏心荷载作用时除应满足公式(12.2.1-1)的要求外,尚应符合下列要求:
- 地基最大压力:

- 地基最小压力:
板式基础:

壳体基础:

式中:N k ——相应荷载效应标准组合时,上部结构传至基础顶面竖向力值(kN);
G k ——基础自重标准值和基础上土重标准值之和(kN);

a ——修正后的地基承载力特征值(kPa);
M k ——相应于荷载效应标准组合时,传至基础底面的弯矩值(kN·m);
W——基础底面的抵抗矩(m 3 );
A——基础底面面积(m 2 )。
3 自立式钢烟囱和塔架基础可按现行国家标准《高耸结构设计规范》GB 50135的有关规定进行设计。
12.2.2 地基的沉降和基础倾斜,应按现行国家标准《建筑地基基础设计规范》GB 50007和本规范第3.1.9条的规定进行计算。
12.2.3 环形或圆形基础下的地基平均附加压应力系数,可按本规范附录C采用。
条文说明
12.2.1~12.2.3 这一节完全与原规范相同。
12.3 刚性基础计算
12.3 刚性基础计算
12.3.1 刚性基础的外形尺寸(图12.3.1),应按下列公式确定:

图12.3.1 刚性基础(mm)
1 当为环形基础时:


2 当为圆形基础时:

式中:b 1 、b 2 ——基础台阶悬挑尺寸(m);
h——基础高度(m);
tanα——基础台阶宽高比,按现行国家标准《建筑地基基础设计规范》GB 50007的规定采用;
D——基础顶面筒壁内直径(m)。
条文说明
12.3.1 刚性基础在满足底面积的前提下,需确定合理的高度及台阶尺寸,公式(12.3.1-1)~公式(12.3.1-4)均与原规范相同,实践已经证明这些公式是合理的。
12.4 板式基础计算
12.4 板式基础计算
12.4.1 板式基础外形尺寸(图12.4.1)的确定,宜符合下列规定:

图12.4.1 基础尺寸与底面压力计算
1 当为环形基础时,宜按下列公式计算:


2 当为圆形基础时,宜按下列公式计算:

式中:β——基础底板平面外形系数,根据r 1 与r z 的比值,由图12.4.11-2查得,或按 

进行计算;
r z ——环壁底面中心处半径。其余符号见图12.4.1。
12.4.2 计算基础底板的内力时,基础底板的压力可按均布荷载采用,并应取外悬挑中点处的最大压力(图12.4.1),其值应按下式计算:

式中:M z ——作用于基础底面的总弯矩设计值(kN·m);
N——作用于基础顶面的垂直荷载设计值(kN)(不含基础自重及土重);
A——基础底面面积(m 2 );
I——基础底面惯性矩(m 4 )。
12.4.3 在环壁与底板交接处的冲切强度可按下列公式计算(图12.4.3):

图12.4.3 底板冲切强度计算
1-验算环壁内边缘冲切强度时破坏锥体的斜截面;
2-验算环壁外边缘冲切强度时破坏锥体的斜截面;
3-冲切破坏锥体的底截面

式中:F 1 ——冲切破坏体以外的荷载设计值(kN),按本规范第12.4.4条计算;

tt ——混凝土在温度作用下的抗拉强度设计值(kN/m 2 );
b b ——冲切破坏锥体斜截面的下边圆周长(m);
b t ——冲切破坏锥体斜截面的上边圆周长(m);
h 0 ——基础底板计算截面处的有效厚度(m);
β h ——受冲切承载力截面高度影响系数,当h不大于800mm时,β h 取1.0;当h大于或等于2000mm时,β h 取0.9,其间按线性内插法采用。
12.4.4 冲切破坏锥体以外的荷载F l ,可按下列公式计算:
1 计算环壁外边缘时:

2 计算环壁内边缘时:
- 环形基础:

- 圆形基础:

12.4.5 环形基础底板下部和底板内悬挑上部均采用径、环向配筋时,确定底板配筋用的弯矩设计值可按下列公式计算:
1 底板下部半径r 2 处单位弧长的径向弯矩设计值:

2 底板下部单位宽度的环向弯矩设计值:

3 底板内悬挑上部单位宽度的环向弯矩设计值:

12.4.6 圆形基础底板下部采用径、环向配筋,环壁以内底板上部为等面积方格网配筋时,确定底板配筋用的弯矩设计值,可按下列规定计算:
1 当r 1 /r z ≤1.8时,底板下部径向弯矩和环向弯矩设计值,分别应按本规范公式(12.4.5-1)和公式(12.4.5-2)进行计算。
2 当r 1 /r z >1.8时,基础外形不合理,不宜采用。采用时,其底板下部的径向和环向弯矩设计值,应分别按下列公式计算:

3 环壁以内底板上部两个正交方向单位宽度的弯矩设计值,应按下式计算:

12.4.7 圆形基础底板下部和环壁以内底板上部均采用等面积方格网配筋时,确定底板配筋用的弯矩设计值,可按下列公式计算:
1 底板下部在两个正交方向单位宽度的弯矩:

2 环壁以内底板上部在两个正交方向单位宽度的弯矩:

12.4.8 当按本规范公式(12.4.5-3)、公式(12.4.6-3)或公式(12.4.7-2)计算所得的弯矩M θ T 或M T 不大于0时,环壁以内底板上部不宜配置钢筋。但当 
,或基础有烟气通过且烟气温度较高时,应按构造配筋。
12.4.9 环形和圆形基础底板外悬挑上部可不配置钢筋,但当地基反力最小边扣除基础自重和土重、基础底面出现负值 

时,底板外悬挑上部应配置钢筋。其用于配筋的弯矩值可近似按承受均布荷载q的悬臂构件进行计算,且均布荷载q可按下式计算:

12.4.10 底板下部配筋,应取半径r 2 处的底板有效高度h 0 ,并应按等厚度进行计算。
当采用径、环向配筋时,其径向钢筋可按r 2 处满足计算要求呈辐射状配置;环向钢筋可按等直径等间距配置。
12.4.11 圆形基础底板下部不需配筋范围半径r d (图12.4.11-1),应按下列公式计算:
1 径、环向配筋时:

2 等面积方格网配置时:

式中:β 0 ——底板下部钢筋理论切断系数,按r 1 /r z 由图12.4.11-2查得;

图12.4.11-1 不需配筋范围r d

图12.4.11-2 β与β 0 系数
d——受力钢筋直径(mm)。
条文说明
12.4.1~12.4.11 这11条给出板式基础外形尺寸的确定及环形和圆形板式基础的冲切强度和弯矩的计算公式。
12.4.12 当有烟气通过基础时,基础底板与环壁,可按下列规定计算受热温度:
1 基础环壁的受热温度,应按本规范公式(5.6.4)进行计算。计算时环壁外侧的计算土层厚度(图12.4.12)可按下式计算:

式中:H 1 ——计算土层厚度(m);
H、D——分别为由内衬内表面计算的基础环壁埋深(m)和直径(m),见图12.4.12所示。

图12.4.12 计算土层厚度示意
2 基础底板的受热温度,可采用地温代替本规范公式(5.6.4)中的空气温度T a ,应按第一类温度边界问题进行计算。计算时基础底板下的计算土层厚度(图12.4.12)和地温可按下列规定采用:
计算底板最高受热温度时H 2 =0.3m,地温取15℃。
计算底板温度差时H 2 =0.2m,地温取10℃。
3 计算出的基础环壁及底板的最高受热温度,应小于或等于混凝土的最高受热温度允许值。
条文说明
12.4.12 设置地下烟道的基础,将直接受到温度作用。由于基础周围为土壤,温度不易扩散,所以基础的温度很高。当烟气温度超过350℃时,采用隔热层的措施,使基础混凝土的受热温度小于或等于150℃,隔热层已相当厚。当烟气温度更高时,采用隔热的办法就更难满足混凝土受热的要求,此时可把烟气入口改在基础顶面以上或采用通风隔热措施以避免基础承受高温。曾考虑过采用耐热混凝土作为基础材料。但由于对耐热混凝土作为在高温(大于150℃)作用下的受力结构,国内还没有完整的试验结果和成熟的使用经验。因此未列入本规范。
12.4.13 计算基础底板配筋时,应根据最高受热温度,采用本规范第4.2节和第4.3节规定的混凝土和钢筋在温度作用下的强度设计值。
12.4.14 在计算基础环壁和底板配筋,且未计算温度作用产生的应力时,配筋宜增加15%。
条文说明
12.4.14 地下基础在温度作用下,基础内外表面将产生温度差,即有温度应力产生。温度应力与荷载应力进行组合。由于板式基础在荷载作用下所产生的内力,是按极限平衡理论计算的。其计算假定:在极限状态下,基础已充分开裂,开裂成几个极限平衡体。在这种充分开裂的情况下,已无法求解整体基础的温度应力。所以,对于温度应力与荷载应力,本规范未给出应力组合计算公式,仅在配筋数量上适当考虑温度作用的影响。
12.5 壳体基础计算
12.5 壳体基础计算
12.5.1 壳体基础的外形尺寸(图12.5.1)应按下列规定确定:
1 倒锥壳(下壳)的控制尺寸r 2 应按下列公式确定:

图12.5.1 正倒锥组合壳基础
1-上环梁;2-正锥壳;3-倒锥壳

式中:G k ——基础自重标准值和至埋深z 2 处的土重标准值之和(kN);
p k max 、p k min ——分别为下壳经向长度内,沿环向(r 2 处)单位长度范围内,在水平投影面上的最大和最小地基反力标准值(kN/m)。
2 下壳经向水平投影宽度l可按下列公式确定:


式中:p k ——在荷载标准值作用下,下壳经向水平投影宽度l和沿半径为r 2 的环向单位弧长范围内产生的总地基反力标准值(kN/m);
θ 0 ——地基塑性区对应的方位角,可根据e/r 2 查表12.5.1,e=M k /(N k +G k )。
表12.5.1 θ 0 与e/r 2 的对应值

3 下壳内、外半径r 3 、r 1 可按下列公式确定:

4 下壳与上壳(正锥壳)相交边缘处的下壳有效厚度h可按下列公式确定:

式中:Q c ——下壳最大剪力(N),计算时不计下壳自重;

t ——混凝土的抗拉强度设计值(N/mm 2 );
p 1 ——在荷载设计值作用下,下壳经向水平投影宽度l和沿半径为r 2 的环向单位弧长范围内产生的总地基反力设计值(kN/m),按本规范公式(12.5.1-5)计算,其中G k 、N k 采用设计值。
12.5.2 正倒锥组合壳体基础的计算可按下列原则进行:
1 正锥壳(上壳)可按无矩理论计算。
2 倒锥壳(下壳)可按极限平衡理论计算。
12.5.3 正锥壳的经、环向薄膜内力,可按下列公式计算:

式中:N 1 、M 1 ——分别为壳上边缘处总的垂直力(kN)和弯矩设计值(kN·m);
N a 、N θ ——分别为壳体计算截面处单位长度的经向、环向薄膜力(kN);
H 1 ——作用于壳上边缘的水平剪力设计值(kN);
r a 、r——分别为壳体上边缘及计算截面的水平半径(m)(图12.5.1);
α——壳面与水平面的夹角(°)(图12.5.1)。
12.5.4 倒锥壳的计算,可按下列步骤进行:
1 倒锥壳水平投影面上的最大土反力q ymax 可按下列公式计算(图12.5.4-1):

图12.5.4-1 倒锥壳土反力

式中:q ymax ——倒锥壳水平投影面上的最大土反力(kN/mm 2 );
φ 0 ——土的计算内摩擦角(°);
φ ——土的实际内摩擦角(°);
c 0 ——土的计算黏聚力;
c——土的实际黏聚力;
γ 0 ——土的重力密度(kN/mm 3 );
H 0 ——作用在bc面上总的被动土压力(kN);
Q 0 ——作用在bc面上总的剪切力(kN)。
2 壳体特征系数C s ,当C s <2时应为短壳,C s ≥2时应为长壳。C s 可按下式计算:

式中:h——为倒锥壳与正锥壳相交处倒锥壳的厚度(m)。
3 倒锥壳内力(图12.5.4-2)可按下列公式计算:

图12.5.4-2 几何尺寸
- 当为短壳时:
环向拉力N θ :


- 当为长壳时(图12.5.4-3):

图12.5.4-3 长壳环向压、拉力分布
a、b-分别为下壳外部和内部环向拉、压合力作用点间的距离
环向拉力N θ 1 :


12.5.5 组合壳上环梁的内力可按下列公式计算(图12.5.5):

式中:N θ M ——环梁的环向力(kN)(以受拉为正);
M a ——环梁单位长度上的扭矩(kN·m)(围绕环梁截面重心以顺时针方向转动为正);
M θ ——环梁的环向弯矩(kN·m)(以下表面受拉为正);
N aai ,N abi ——分别为第i个(i=1代表烟囱筒壁;i=3代表基础的正锥壳)壳体小径边缘和大径边缘处单位长度上的薄膜经向力(kN)(以受拉为正);
r e ——环梁截面重心处的半径(m);
e i ——分别为壳体(i=1,3)的薄膜经向力至环梁截面重心的距离(m)(图12.5.5)。

图12.5.5 上环梁受力
条文说明
12.5.1~12.5.5 根据有关试验和实际工程设计经验,本规范正倒锥组合壳的“正截锥”(上下环梁之间的截锥体),按“无矩”理论计算;“倒截锥”(底板壳)按极限平衡理论进行内力计算;环梁按内力平衡条件计算。由于“正截锥”壳是按无矩理论计算的,忽略了壳的边缘效应(弯矩M,水平力V)对环梁的影响。但是,由于按无矩理论计算的薄膜经向力,大于按有矩理论的计算值,使两种计算方法的结果,在壳的边缘处比较接近。为了安全起见,在壳基础构造的第12.7.12条,特别强调“上壳上下边缘附近构造环向钢筋应适当加强”。
12.5.6 组合壳体基础底部构件的冲切强度,可按本规范第12.4.2条~第12.4.4条的有关规定计算。冲切破坏锥体斜截面的下边圆周长S x 和冲切破坏锥体以外的荷载Q c (图12.5.6),应按下列公式计算:

图12.5.6 正倒锥组合壳
1 验算外边缘时:

2 验算内边缘时:

式中:h 0 ——计算截面的有效高度(m)。
12.6 桩基础
12.6 桩基础
12.6.1 当地基存在下列情况之一时,宜采用桩基础:
1 震陷性、湿陷性、膨胀性、冻胀性或侵蚀性等不良土层时。
2 上覆土层为强度低、压缩性高的软弱土层,不能满足强度和变形要求时。
3 在抗震设防地区地基持力层范围内有可液化土层时。
12.6.2 烟囱桩基础可采用预制钢筋混凝土桩、混凝土灌注桩和钢桩。桩型、桩横断面尺寸及桩端持力层的选择应综合计入地质情况、施工条件、施工工艺、建筑场地环境等因素,并应充分利用各桩型特点以满足安全、经济及工期等方面的要求,可按现行行业标准《建筑桩基技术规范》JGJ 94的规定进行设计。
12.6.3 烟囱桩基础的承台平面可为圆形或环形,桩的平面布置应以承台平面中心点,呈放射状布置。桩的分布半径,应根据烟囱筒身荷载的作用点的位置,在荷载作用点(基础环壁中心)两侧布置,并应内疏外密,应以加大群桩的平面抵抗矩,不宜采用单圈布置。桩间距应符合现行行业标准《建筑桩基技术规范》JGJ 94的要求。
条文说明
12.6.3 桩基承台优先考虑采用环形,桩宜对称布置在环壁中心位置两侧,可适当偏外侧布置,并通过反复试算,逐步调整,直到符合全部要求为止。
12.6.4 烟囱桩基竖向承载力计算应按现行行业标准《建筑桩基技术规范》JGJ 94的规定进行。偏心荷载作用时,以承台中心对称布置的桩可按下列公式计算:

式中:N i k ——相应于荷载效应标准组合时,第i根桩的竖向力(kN);
F k ——相应于荷载效应标准组合时作用于桩基承台顶面的竖向力(kN);
G k ——桩基承台自重及承台上土自重标准值;
M k ——相应于荷载效应标准组合时作用承台底面的弯矩值(kN·m);
R a ——单桩竖向承载力特征值(kN);
r i ——第i根桩所在圆的半径(m);
n——桩基中的桩数。
12.6.5 烟囱桩基的桩顶作用效应计算、桩基沉降计算及桩基的变形允许值、桩基水平承载力与位移计算、桩身承载力与抗裂计算、桩承台计算等,均应符合现行行业标准《建筑桩基技术规范》JGJ 94的规定。
12.6.6 烟囱桩基承台的内力分析,应按基本组合考虑荷载效应,对于低桩承台(在承台不脱空条件下)可不计入承台及上覆填土的自重,可采用净荷载计算桩顶反力;对于高桩承台应取全部荷载。对于桩出现拉力的承台,其上表面应配置受拉钢筋。
12.6.7 桩基础防腐蚀应符合现行国家标准《工业建筑防腐蚀设计规范》GB 50046的有关规定。
12.7 基础构造
12.7 基础构造
12.7.1 烟囱与烟道沉降缝设置,应符合下列规定:
1 当为地面烟道或地下烟道时,沉降缝应设在基础的边缘处。
2 当为架空烟道时,沉降缝可设在筒壁边缘处。
3 当为壳基础时,宜采用地面烟道或架空烟道。
12.7.2 基础的底面应设混凝土垫层,厚度宜采用100mm。
12.7.3 设置地下烟道时,基础宜设贮灰槽,槽底面应低于烟道底面250mm~500mm。
12.7.4 设置地下烟道的基础,当烟气温度较高,采用普通混凝土不能满足本规范第3.3.1条规定时,宜将烟气入口提高至基础顶面以上。
12.7.5 烟囱周围的地面应设护坡,坡度不应小于2%。护坡的最低处,应高出周围地面100mm。护坡宽度不应小于1.5m。
12.7.6 板式基础的环壁宜设计成内表面垂直、外表面倾斜的形式,上部厚度应比筒壁、隔热层和内衬的总厚度增加50mm~100mm。环壁高出地面不宜小于400mm。
12.7.7 板式基础底板下部径向和环向(或纵向和横向)钢筋的最小配筋率不宜小于0.15%,配筋最小直径和最大间距应符合表12.7.7的规定。当底板厚度大于2000mm时,宜在板厚中间部位设置温度应力钢筋。
表12.7.7 板式基础配筋最小直径及最大间距(mm)

条文说明
12.7.7 考虑到整体弯曲对基础底板作用时的影响,底板下部钢筋构造加强,规定最小配筋率径向和环向(或纵向和横向)不宜小于0.15%。当底板厚度大于2000mm时,增加双向钢筋网是为了减少大体积混凝土温度收缩的影响,并提高底板的抗剪承载力。
12.7.8 板式基础底板上部按构造配筋时,其钢筋最小直径与最大间距,应符合表12.7.8的规定。
表12.7.8 板式基础底板上部的构造配筋(mm)

12.7.9 基础环壁设有孔洞时,应符合本规范第7.5.3条的有关规定。洞口下部距基础底部距离较小时,该处的环壁应增加补强钢筋。必要时可按两端固接的曲梁进行计算。
12.7.10 壳体基础可按图12.7.10及表12.7.10所示外形尺寸进行设计。壳体厚度不应小于300mm。壳体基础与筒壁相接处,应设置环梁。

图12.7.10 壳体基础外形
表12.7.10 壳体基础外形尺寸

12.7.11 壳体上不宜设孔洞,如需设置孔洞时,孔洞边缘距壳体上下边距离不宜小于1m,孔洞周围应按本规范第7.5.3条规定配置补强钢筋。
12.7.12 壳体基础应配双层钢筋,其直径不应小于12mm,间距不应大于200mm。受力钢筋接头应采用焊接。当钢筋直径小于14mm时,亦可采用搭接,搭接长度不应小于40d,接头位置应相互错开,壳体最小配筋率(径向和环向)均不应小于0.4%。上壳上下边缘附近构造环向钢筋应适当加强。
条文说明
12.7.12 壳体基础主要处于薄膜受力状态,用材节省,需满足最低配筋要求。
12.7.13 壳体基础钢筋保护层不应小于40mm。
12.7.14 壳体基础不宜留施工缝,如必须设置时,应对施工缝采取处理措施。
12.7.15 桩基承台构造应符合以下规定:
1 承台外形尺寸宜满足板式基础合理外形尺寸(12.4.1)的要求;底板厚度不应小于300mm;承台周边距桩中心距离不应小于桩直径或桩断面边长,且边桩外缘至承台外缘的距离不应小于150mm。
2 承台钢筋保护层厚度不应小于40mm,当无混凝土垫层时,不应小于70mm。承台混凝土强度等级不应低于C25。
3 承台配筋应按计算确定,底板下部钢筋最小配筋率不宜小于0.15%(径向和环向),且环壁及底板上、下部配筋最小直径和最大间距应符合表12.7.7和表12.7.8的规定;当底板厚度大于2000mm时,宜在板厚中间部位设置温度应力钢筋。
4 承台其他构造要求应与本节的要求相同,并应符合现行行业标准《建筑桩基技术规范》JGJ 94的规定。
13 烟道
13.1 一般规定
13 烟道
13.1 一般规定
13.1.1 烟道可按下列类型分类:
1 地下烟道。
2 地面烟道。
3 架空烟道。
条文说明
13.1.1 本条是对实际工程经验的总结。由于烟道的材料、计算方法均与烟道的类型有关,烟道从工艺角度分为地下烟道、地面烟道和架空烟道。架空烟道一般用于电厂烟囱。
13.1.2 烟道的材料选择,宜符合下列规定:
1 下列情况地下烟道宜采用钢筋混凝土烟道:
净空尺寸较大。
地面荷载较大或有汽车、火车通过。
有防水要求。
2 除本条第1款的情况外,地下烟道及地面烟道可采用砖砌烟道。
3 架空烟道宜采用钢筋混凝土结构,也可采用钢烟道。
13.1.3 烟道的结构型式宜按下列规定采用:
1 砖砌烟道的顶部应做成半圆拱。
2 钢筋混凝土烟道宜做成箱形封闭框架,也可做成槽型,顶盖宜为预制板。
3 钢烟道宜设计成圆筒形或矩形。
13.1.4 烟道应进行下列计算:
1 最高受热温度计算。计算出的最高受热温度,应小于或等于材料的允许受热温度。
2 结构承载能力极限状态计算。对钢筋混凝土架空烟道还应验算烟道沿纵向弯曲产生的挠度和裂缝宽度。
13.1.5 当为地下烟道时,烟道应与厂房柱基础、设备基础、电缆沟等保持距离,可按表13.1.5确定。
表13.1.5 地下烟道与地下构筑物边缘最小距离

条文说明
13.1.5 地下烟道与地下构筑物之间的最小距离,是按已有工程经验确定的。在设计工作中满足本条规定的前提下,可根据实践经验确定。
13.2 烟道的计算和构造
13.2 烟道的计算和构造
13.2.1 地下烟道的最高受热温度计算,应计算周围土壤的热阻作用,计算土层厚度(图13.2.1)可按下列公式计算:

图13.2.1 计算土层厚度示意
1 计算烟道侧墙时:

2 计算烟道底板时:

3 计算烟道顶板时,取实际土层厚度。
式中:H、b——分别为从内衬内表面算起的烟道埋深和宽度(m)(图13.2.1);
h 1 ——烟道侧面计算土层厚度(m);
h 2 ——烟道底面计算土层厚度(m)。
条文说明
13.2.1 地下烟道应对其受热温度进行计算,本条给出了地下温度场土层影响厚度的计算公式。土层影响厚度计算公式是根据试验确定的。计算出的温度应小于材料受热温度允许值。
13.2.2 确定计算土层厚度后,可按本规范公式(5.6.4)计算烟道受热温度,其计算原则应与本规范第12.4.12条相同。计算受热温度应满足材料受热温度允许值。对材料强度应计算温度作用的影响。
13.2.3 地面荷载应根据实际情况确定,但不得小于10kN/m 2 。对于钢铁厂的炼钢车间、轧钢车间外部的地下烟道,在无足够依据时,可采用30kN/m 2 荷载进行计算。
13.2.4 地下烟道在计算时应分别按侧墙两侧无土、一侧无土和两侧有土等荷载工况计算。
13.2.5 地下砖砌烟道(图13.2.5)的承载能力计算应符合下列规定:

图13.2.5 砖烟道型式
1 烟道侧墙的计算模型可按下列原则采用:
当侧墙两侧有土时,侧墙可按上(拱脚处)下端铰接,并仅计算拱顶范围以外的地面荷载,按偏心受压计算。
当侧墙两侧无土时,侧墙可按上端(拱脚处)悬臂,下端固结,验算拱顶推力作用下的承载能力,不计入内衬对侧墙的推力。
砖砌地下烟道不允许出现一侧有土、另一侧无土的情况。
2 砖砌烟道的顶拱应按双铰拱计算。其荷载组合应计算拱上无土、拱上有土、拱上有地面荷载(并计算最不利分布)等情况。
当顶拱截面内有弯矩产生时,截面内的合力作用点不应超过截面核心距。
3 砖砌烟道的底板计算可按下列原则确定:
当为钢筋混凝土底板时,地基反力可按平均分布采用。
当底板为素混凝土时,地基反力按侧壁压力呈45°角扩散。
13.2.6 钢筋混凝土地下烟道应按下列规定进行计算:
1 槽型地下烟道的顶盖、侧墙可按下列规定计算[图13.2.6(a)]:
预制顶板按两端简支板计算。
侧墙按上部有盖板和无盖板两种情况计算:
当上部有盖板时,上支点可按铰接计算。
当上部无盖板时,侧墙可按悬壁计算。
2 封闭箱型地下烟道[图13.2.6(b)]可按封闭框架计算。

图13.2.6 钢筋混凝土烟道
13.2.7 地面砖烟道(图13.2.7)的承载能力可按下端固接的拱形框架进行计算。

图13.2.7 地面砖烟道
条文说明
13.2.7 地面烟道的计算(一般为砖砌烟道),一般按封闭框架考虑。拱型顶应做成半圆型,因为半圆拱的水平推力较小。
13.2.8 架空烟道计算应符合下列规定:
1 架空烟道应计算自重荷载、风荷载、底板积灰荷载和烟气压力。在抗震设防地区尚应计算地震作用。
2 烟道内的烟气压力,可取±2.5kN/m 2 。
3 架空烟道在进行温度计算时,除应计算出的最高受热温度要满足材料受热温度允许值外,还应使温度差值符合下列要求:
砖砌烟道的侧墙,不大于20℃。
钢筋混凝土烟道及砖砌烟道的钢筋混凝土的底板和顶板,不应大于40℃。
条文说明
13.2.8 架空烟道的计算中应考虑自重荷载、风荷载、积灰荷载和烟道内的烟气压力。在抗震设防地区还应考虑地震作用。其中积灰荷载和烟气压力是根据电厂烟囱给出的,根据现行行业标准《火力发电厂烟风煤粉管道设计技术规程》DL/T 5121烟道内的烟气压力一般按±2.5kN/m2考虑。其他工厂的烟气压力和积灰荷载应另行考虑。 在架空烟道的温度作用计算中,需要对烟道侧墙的温度差进行计算,避免温差过大引起烟道开裂。
13.2.9 烟道的构造应符合下列规定:
1 地下砖烟道的顶拱中心夹角宜为60°~90°,顶拱厚度不应小于一砖,侧墙厚度不应小于一砖半。
2 砖烟道(包括地下及地面砖烟道)所采用砖的强度等级不应低于MU10,砂浆强度等级不应低于M2.5。当温度较高时应采用耐热砂浆。
3 地下及地面烟道均宜设内衬和隔热层。砖内衬的顶应做成拱形,其拱脚应向烟道侧壁伸出,并应与烟道侧壁留10mm空隙。浇注料内衬宜在烟道内壁敷设一层钢筋网后再施工。
4 不设内衬的烟道,应在烟道内表面抹黏土保护层。
5 当为封闭式箱形钢筋混凝土烟道时,拱形砖内衬的拱顶至烟道顶板底表面应留有不小于150mm的空隙。
6 烟道与炉子基础及烟囱基础连接处,应设置沉降缝。对于地下烟道,在地面荷载变化较大处,也应设置沉降缝。
7 较长的烟道应设置伸缩缝。地面及地下烟道的伸缩缝最大间距应为20m,架空烟道不宜超过25m,缝宽宜为20mm~30mm。缝中应填塞石棉绳等可压缩的耐高温材料。当有防水要求时,伸缩缝的处理应满足防水要求。
抗震设防地区的架空烟道与烟囱之间防震缝的宽度,应按现行国家标准《建筑抗震设计规范》GB 50011执行。
8 连接引风机和烟囱之间的钢烟道,应设置补偿器。
条文说明
13.2.9 钢烟道胀缩,对多管式的钢内筒水平推力较大,在连接引风机和烟囱之间的一段钢烟道内设置补偿器,可减小钢烟道对钢内筒的推力,设置补偿器后,仅在构造上考虑钢内筒与基础的连接。
13.2.10 烟道防腐蚀应符合本规范第11章有关规定。
14 航空障碍灯和标志
14.1 一般规定
14 航空障碍灯和标志
14.1 一般规定
14.1.1 对于下列影响航空器飞行安全的烟囱应设置航空障碍灯和标志:
1 在民用机场净空保护区域内修建的烟囱。
2 在民用机场净空保护区域外、但在民用机场进近管制区域内修建高出地表150m的烟囱。
3 在建有高架直升机停机坪的城市中,修建影响飞行安全的烟囱。
条文说明
14.1.1 烟囱对空中航空飞行器视为障碍物,是造成飞行安全的隐患,因此烟囱应设置障碍标志。我国颁布的《民用航空法》,国务院、中央军委发布的《关于保护机场净空》的文件等一系列行政法规都规定了航空障碍灯必须设置的场所和范围。民用机场净空保护区域是指在民用机场及其周围区域上空,依据现行行业标准《民用机场飞行区技术标准》MH 5001-2006规定的障碍物限制面划定的空间范围。在该范围内的烟囱应设置航空障碍灯和标志。
14.1.2 中光强B型障碍灯应为红色闪光灯,并应晚间运行。闪光频率应为20次/min~60次/min,闪光的有效光强不应小于2000cd±25%。
14.1.3 高光强A型障碍灯应为白色闪光灯,并应全天候运行。闪光频率应为40次/min~60次/min,闪光的有效光强应随背景亮度变光强闪光,白天应为200000cd,黄昏或黎明应为20000cd,夜间应为2000cd。
14.1.4 烟囱标志应采用橙色与白色相间或红色与白色相间的水平油漆带。
条文说明
14.1.2~14.1.4 国际民用航空公约《附件十四》,针对烟囱尤其是高烟囱有严格的技术要求和规定。中国民用航空局制定的《民用机场飞行区技术标准》MH 5001-2006和国务院、中央军委国发〔2001〕29号《军用机场净空规定》对障碍灯和标志都有明确规定。本节的制定参照了上述标准。在《民用机场飞行区技术标准》MH 5001-2006中将高光强障碍灯划分为A、B型,将中光强障碍灯划分为A、B、C型。其中适合安装在高耸烟囱的障碍灯形式为高光强A型障碍灯及中光强B型障碍灯。本次规范修订对障碍灯选用型号作出了规定。
14.2 障碍灯的分布
14.2 障碍灯的分布
14.2.1 障碍灯的设置应显示出烟囱的最顶点和最大边缘。
14.2.2 高度小于或等于45m的烟囱,可只在烟囱顶部设置一层障碍灯。高度超过45m的烟囱应设置多层障碍灯,各层的间距不应大于45m,并宜相等。
14.2.3 烟囱顶部的障碍灯应设置在烟囱顶端以下1.5m~3m范围内,高度超过150m的烟囱可设置在烟囱顶部7.5m范围内。
14.2.4 每层障碍灯的数量应根据其所在标高烟囱的外径确定,并应符合下列规定:
1 外径小于或等于6m,每层应设3个障碍灯。
2 外径超过6m,但不大于30m时,每层应设4个障碍灯。
3 外径超过30m,每层应设6个障碍灯。
14.2.5 高度超过150m的烟囱顶层应采用高光强A型障碍灯,其间距应控制在75m~105m范围内,在高光强A型障碍灯分层之间应设置低、中光强障碍灯。
14.2.6 高度低于150m的烟囱,也可采用高光强A型障碍灯,采用高光强A型障碍灯后,可不必再用色标漆标志烟囱。
14.2.7 每层障碍灯应设置维护平台。
条文说明
14.2.1~14.2.7 航空障碍灯的分布及标志可参照图13进行设置。 
图13 烟囱设置航空障碍灯分布及标志
14.3 航空障碍灯设计要求
14.3 航空障碍灯设计要求
14.3.1 所有障碍灯应同时闪光,高光强A型障碍灯应自动变光强,中光强B型障碍灯应自动启闭,所有障碍灯应能自动监控,并应使其保证正常状态。
14.3.2 设置障碍灯时,应避免使周围居民感到不适,从地面应只能看到散逸的光线。
附录A环形截面几何特性计算公式
附录A 环形截面几何特性计算公式
表A 环形截面几何特性计算公式

注:r 2 为外半径;r为平均半径(r=r 2 -t/2);t为壁厚。
附录B焊接圆筒截面轴心受压稳定系数
附录B 焊接圆筒截面轴心受压稳定系数
表B 焊接圆筒截面轴心受压稳定系数 

附录C环形和圆形基础的最终沉降量和倾斜的计算
附录C 环形和圆形基础的最终沉降量和倾斜的计算
C.0.1 基础最终沉降量可按下列规定进行计算:
1 环形基础可计算环宽中点C、D[图C.0.1(a)]的沉降;
圆形基础应计算圆心O点图[C.0.1(b)]的沉降。

图C.0.1 板式基础底板下压力
计算应按现行国家标准《建筑地基基础设计规范》GB 50007进行。平均附加应力系数 α ,可按表C.0.1-1~表C.0.1-3采用。
2 计算环形基础沉降量时,其环宽中点的平均附加应力系数 α 值,应分别按大圆与小圆由表C.0.1-1~表C.0.1-3中相应的Z/R和b/R栏查得的数值相减后采用。
C.0.2 基础倾斜可按下列规定进行计算:
1 分别计算与基础最大压力p max 及最小压力p min 相对应的基础外边缘A、B两点的沉降量S A 和S B ,基础的倾斜值m θ ,可按下式计算:

式中:r 1 ——圆形基础的半径或环形基础的外圆半径。
2 计算在梯形荷载作用下的基础沉降量S A 和S B 时,可将荷载分为均布荷载和三角形荷载,分别计算其相应的沉降量再进行叠加。
3 计算环形基础在三角形荷载作用下的倾斜值时,可按半径r 1 的圆板在三角形荷载作用下,算得的A、B两点沉降值,减去半径为r 4 的圆板在相应的梯形荷载作用下,算得的A、B两点沉降值。
C.0.3 正倒锥组合壳体基础,其最终沉降量和倾斜值,可按下壳水平投影的环板基础进行计算。
表C.0. 1-1 圆形面积上均布荷载作用下土中任意点竖向平均附加应力系数 α

表C.0. 1-2 圆形面积上三角形分布荷载作用下对称轴下土中任意点竖向平均附加应力系数 α

表C.0. 1-3 圆形面积上三角形分布荷载作用下对称轴下土中任意点竖向平均附加应力系数 α

本规范用词说明
本规范用词说明
1 为便于在执行本规范条文时区别对待,对要求严格程度不同的用词说明如下:
表示很严格,非这样做不可的:
正面词采用“必须”,反面词采用“严禁”;
表示严格,在正常情况下均应这样做的:
正面词采用“应”,反面词采用“不应”或“不得”;
表示允许稍有选择,在条件许可时首先应这样做的:
正面词采用“宜”,反面词采用“不宜”;
表示有选择,在一定条件下可以这样做的,采用“可”。
2 条文中指明应按其他有关标准执行的写法为:“应符合……的规定”或“应按……执行”。
引用标准名录
引用标准名录
《砌体结构设计规范》GB 50003
《建筑地基基础设计规范》GB 50007
《建筑结构荷载规范》GB 50009
《混凝土结构设计规范》GB 50010
《建筑抗震设计规范》GB 50011
《钢结构设计规范》GB 50017
《工业建筑防腐蚀设计规范》GB 50046
《高耸结构设计规范》GB 50135
《钢结构工程施工质量验收规范》GB 50205
《碳素结构钢》GB/T 700
《钢筋混凝土用钢 第1部分:热轧光圆钢筋》GB 1499.1
《钢筋混凝土用钢 第2部分:热轧带肋钢筋》GB 1499.2
《低合金高强度结构钢》GB/T 1591
《耐候结构钢》GB/T 4171
《纤维增强塑料用液体不饱和聚酯树脂》GB/T 8237
《金属覆盖层 钢铁制件热浸镀锌层 技术要求及试验方法》GB/T 13912
《玻璃纤维短切原丝毡和连续原丝毡》GB/T 17470
《玻璃纤维无捻粗纱》GB/T 18369
《玻璃纤维无捻粗纱布》GB/T 18370
《钢筋焊接及验收规程》JGJ 18
《建筑桩基技术规范》JGJ 94
