Appearance
《索结构技术规程[附条文说明]》JGJ 257-2012
🗓️ 住房和城乡建设部 实施时间:2012-08-01
前言
中华人民共和国行业标准
索结构技术规程
Technical specification for cable structures
JGJ 257-2012
批准部门:中华人民共和国住房和城乡建设部
施行日期:2 0 1 2 年 8 月 1 日
中华人民共和国住房和城乡建设部公告
第1323号
关于发布行业标准《索结构技术规程》的公告
现批准《索结构技术规程》为行业标准,编号为JGJ 257-2012,自2012年8月1日起实施。其中,第5. 1. 2、5.1.5条为强制性条文,必须严格执行。
本规程由我部标准定额研究所组织中国建筑工业出版社出版发行。
中华人民共和国住房和城乡建设部
2012年3月1日
前 言
根据原建设部《关于1991年工程建设行业标准制定、修订项目计划表(建设部部分第一批)》(建标[1991]413号)的要求,规程编制组经广泛调查研究,认真总结实践经验,参考有关国际标准和国外先进标准,并在广泛征求意见的基础上,编制了本规程。
本规程的主要技术内容是:总则;术语和符号;基本规定;索体与锚具;设计与分析;节点设计与构造;制作、安装及验收等,包括了索结构的定义、索结构形式、计算模型、索和锚具的材料及性能、各类节点的设计与构造要求、制作安装与验收。
本规程以黑体字标志的条文为强制性条文,必须严格执行。
本规程由住房和城乡建设部负责管理和对强制性条文的解释,由中国建筑科学研究院负责具体技术内容的解释。执行过程中如有意见或建议,请寄送中国建筑科学研究院建筑结构研究所(地址:北京市北三环东路30号,邮政编码:100013)。
本规程主编单位: 中国建筑科学研究院
本规程参编单位: 哈尔滨工业大学
同济大学
东南大学
北京工业大学
安徽省建筑设计研究院
淄博市建筑设计研究院
中国建筑西南设计研究院有限公司
浙江东南网架股份有限公司
巨力索具股份有限公司
柳州欧维姆机械股份有限公司
布鲁克(成都)工程有限公司
珠海市晶艺玻璃工程有限公司
广东坚朗五金制品股份有限公司
本规程主要起草人员: 蓝 天 钱基宏 沈世钊 赵鹏飞 武 岳 肖 炽 宋士军 曹 资
赵基达 朱兆晴 谢永铸 邓开国 钱若军 徐荣熙 于 滨 周观根
厉 敏 龙 跃 王德勤 陈跃华 杨建国
本规程主要审查人员: 张毅刚 刘锡良 张其林 耿笑冰 甘 明 郭彦林 张同亿 秦 杰
陈志华 冯 健
条文说明
中华人民共和国行业标准
索结构技术规程
JGJ257-2012
条文说明
制订说明 《索结构技术规程》JGJ257-2012,经住房和城乡建设部2012年3月1日以第1323号公告批准、发布。 本规程编制过程中,编制组进行了系统广泛的调查研究,总结了我国索结构结构工程设计及施工中的实践经验,同时参考有关国内标准,并在广泛征求意见的基础上编制了本规程。 为了便于广大设计、施工、科研、学校等单位有关人员在使用本规程时能正确理解和执行条文规定,《索结构技术规程》编制组按照章、节、条顺序编制了本规程的条文说明,对条文规定的目的、依据以及执行中需注意的有关事项进行了说明,还着重对强制性条文的强制性理由进行了解释。但是,本条文说明不具备和规程正文同等的法律效应,仅供使用者作为理解和把握规程中有关规定的参考。
1 总则
1 总 则
1.0.1 为在索结构的设计与施工中贯彻执行国家的技术经济政策,做到技术先进、安全适用、经济合理、确保质量,制定本规程。
条文说明
1.0.1本规程所称的“索结构”是指在建筑结构的屋盖(含采光顶)和玻璃幕墙中所广泛采用的以索作为主要受力构件的结构形式,并将其归纳为悬索结构、斜拉结构、张弦结构和索穹顶。
1.0.2 本规程适用于以索为主要受力构件的各类建筑索结构,包括悬索结构、斜拉结构、张弦结构及索穹顶等的设计、制作、安装及验收。
1.0.3 索结构的设计、制作、安装及验收,除应符合本规程的规定外,尚应符合国家现行有关标准的规定。
2 术语和符号
2.1 术语
2 术语和符号
2.1 术 语
2.1.1 拉索 tension cable
由索体和锚具组成的受拉构件。
2.1.2 索体 cable body
拉索受力的主要部分,可为钢丝束、钢绞线、钢丝绳或钢拉杆。
2.1.3 索结构 cable structure
由拉索作为主要受力构件而形成的预应力结构体系。
2.1.4 悬索结构 cable-suspended structure
由一系列作为主要承重构件的悬挂拉索按一定规律布置而组成的结构体系,包括单层索系(单索、索网)、双层索系及横向加劲索系。
2.1.5 斜拉结构 cable-stayed structure
在立柱(塔、桅)上挂斜拉索到主要承重构件而组成的结构体系。
2.1.6 张弦结构 structure with tensioning chord
由上弦刚性结构或构件与下弦拉索以及上下弦之间撑杆组成的结构体系。
2.1.7 索穹顶 cable dome
由脊索、谷索、环索、撑杆及斜索组成并支承在圆形、椭圆形或多边形刚性周边构件上的结构体系。
2.1.8 索桁架 cable truss
由在同一竖向平面内两根曲率方向相反的索以及两索之间的撑杆组成的结构体系。
2.1.9 横向加劲索系 transversely stiffened suspended cable system
由平行布置的单索及与索垂直方向上设置的梁或桁架等横向加劲构件组成的结构体系,通过对横向加劲构件两端施加强迫位移在整个体系中建立预应力。
2.1.10 柔性索 flexible cable
仅承受拉力的构件,如钢丝束、钢绞线、钢丝绳及钢拉杆。
2.1.11 劲性索 rigid cable
长度远大于其截面特征尺寸,可承受拉力和部分弯矩的构件,如型钢等。
2.1.12 初始几何状态 initial geometrical state
单索悬挂后,在自重作用下的自然形态。
2.1.13 初始预应力状态 initial prestressed state
索结构在预应力施加完毕后的自平衡状态。
2.1.14 荷载状态 loading state
索结构在外部荷载作用下的平衡状态。
2.2 符号
2.2 符 号
2.2.1 材料性能
E——索体材料的弹性模量;
F——拉索的抗拉力设计值;
F tk ——拉索的极限抗拉力标准值;
N d ——拉索承受的最大轴向拉力设计值;
α——索体材料的线膨胀系数。
2.2.2 几何参数
A——索体净截面积;
l——拉索长度。
2.2.3 计算系数
γ R ——拉索的抗力分项系数;
γ 0 ——结构重要性系数;
γ pi ——预应力作用分项系数。
2.2.4 其他
σ l1 ——拉索张拉端锚固压实内缩引起的预应力损失。
3 基本规定
3.1 结构选型
3 基本规定
3.1 结构选型
3.1.1 索结构的选型应根据建筑物的功能与形状,综合考虑材料供应、加工制作与现场施工安装方法,选择合理的结构形式、边缘构件及支承结构,且应保证结构的整体刚度和稳定性。
条文说明
3.1.1本条指明了几个影响索结构形式的主要因素,并强调了结构的整体刚度和稳定。
3.1.2 当索结构用于建筑物屋盖时,宜选用本规程中所规定的悬索结构、斜拉结构、张弦结构或索穹顶。悬索结构可采用单层索系(单索、索网)、双层索系及横向加劲索系。
条文说明
3.1.2本条是综合考虑索结构受力特点、组成形式等因素进行的分类,基本涵盖了目前屋盖用索结构的所有形式,其中对传统的悬索结构又进行了细分。
3.1.3 单索宜采用重型屋面。当平面为矩形或多边形时,可将拉索平行布置构成单曲下凹屋面[图3.1.3(a)]。当平面为圆形时,拉索可按辐射状布置构成碟形的屋面,中心宜设置受拉环[图3.1.3(b)]。当平面为圆形并允许在中心设置立柱时,拉索可按辐射状布置构成伞形屋面[图3.1.3(c)]。

条文说明
3.1.3单索易在不对称性荷载下产生机构性位移,抗负风压的能力也很差。采用重型屋面是解决问题的一个途径。
3.1.4 索网宜采用轻型屋面。平面形状可为方形、矩形、多边形、菱形、圆形、椭圆形等(图3.1.4)。

条文说明
3.1.4索网由相互正交和曲率相反的承重索和稳定索组成,形成负高斯曲率的曲面。在施加一定的预应力后,索网可以具有很大的刚度,可采用轻型屋面。
3.1.5 双层索系宜采用轻型屋面。承重索与稳定索可采用不同的组合方式,两索之间应分别以受压撑杆或拉索相联系。当平面为矩形或多边形时,承重索、稳定索宜平行布置,构成索桁架形式的双层索系[图3.1.5(a)];当平面为圆形时,承重索、稳定索宜按辐射状布置,中心宜设置受拉环[图3.1.5(b)]。

条文说明
3.1.5双层索系的承重索、稳定索、受压撑杆和拉索一般布置在同一竖向平面内。由于其外形与受力特点与传统平面桁架相似,所以又被称为“索桁架”。双层索系的布置方式取决于建筑平面。在施加预应力后,稳定索可以和承重索一起抵抗竖向荷载作用,从而使体系的刚度得到加强,它同时具有良好的形状稳定性,可采用轻型屋面。
3.1.6 横向加劲索系宜采用轻型屋面。当平面形状为方形、矩形或多边形时,拉索应沿纵向平行布置。横向加劲构件宜采用桁架或梁(图3.1. 6)。

条文说明
3.1.6设置横向加劲构件是改善单层索系工作性能的一种方法。横向加劲构件可采用梁或桁架,它们与索垂直相交并设置于索上。开始安装时,横向加劲构件的两端支座与支承之间空开一段距离,然后对两端支座下压而产生强迫位移,从而在结构中建立预应力。这时横向加劲构件呈反拱状态,承受负弯矩。施加荷载后,跨中挠度逐步增加,横向加劲构件也转而承受正弯矩。实践表明,通过下压支座而建立的预应力,使横向加劲构件与索共同受力,并大大增加了屋盖结构的刚度,尤其是在承受不均匀分布荷载时,横向加劲构件能有效地分担和传递荷载。当建筑物平面形状为方形、矩形或多边形时,横向加劲索系是一种适宜采用的结构体系。
3.1.7 斜拉结构宜采用轻型屋面,设置的立柱(桅杆)应高出屋面;斜拉索可平行布置,也可按辐射状布置。
条文说明
3.1.7为抵抗风的上吸力作用,必要时宜设置斜拉结构的下拉防风索。
3.1.8 张弦结构宜采用轻型屋面。张弦结构可按单向、双向或空间布置成形以适应不同形状的平面,并应符合下列规定:
1 单向张弦结构的平面形状可为方形或矩形,按照上弦不同的构造方式宜采用张弦梁、张弦拱或张弦拱架等形式;
2 双向张弦结构的平面形状可为方形或矩形,宜采用如单向张弦结构的各种上弦构造方式呈正交布置成形;
3 空间张弦结构的平面形状可为圆形、椭圆形或多边形,宜采用辐射式张弦结构或张弦网壳(弦支穹顶)。张弦网壳(弦支穹顶)的网格形式应按现行行业标准《空间网格结构技术规程》JGJ 7选用。
条文说明
3.1.8张弦结构是由刚度较大的刚性构件与柔性的“弦”、连接二者的撑杆组成。由于索的参与,张弦结构的整体刚度远大于单纯刚性构件的刚度。 张弦网壳亦称弦支穹顶。
3.1.9 索穹顶的屋面宜采用膜材。当屋盖平面为圆形或拟椭圆形时,索穹顶的网格宜采用梯形[图3. 1.9(a)],联方形[图3. 1.9(b)]或其他适宜的形式。索穹顶的上弦可设脊索及谷索,下弦应设若干层的环索,上下弦之间以斜索及撑杆连接。

条文说明
3.1.9索穹顶是一种索系支承式结构。此时,空间索系是主要承重结构,而膜材主要起围护作用。从受力特点看,索穹顶是一种特殊形式的双层空间索系。梯形索穹顶由美国盖格(D.Geiger)首先提出,其中脊索与斜索、撑杆位于同一竖直平面内,脊索呈辐射状布置,环索将同一圈撑杆的下端连成一体,膜材覆盖在脊索上,谷索布置在相邻脊索之间并用于将膜材张紧。联方形索穹顶由美国李维(M.Levy)首先提出,其中脊索被布置成联方型网格的形式,不设谷索。
3.1.10 当索结构用于支承玻璃幕墙时,可采用单层索系或双层索系。单层索系宜采用单索、平面索网或曲面索网。双层索系宜采用索桁架。
3.1.11 当索结构用于支承玻璃采光顶时,可采用单层索系、双层索系或张弦结构。单层索系宜采用曲面索网;双层索系宜采用平行布置或辐射布置索桁架;张弦结构宜采用张弦拱。
3.2 结构设计
3.2 结构设计
3.2.1 根据受力要求,索结构应选用仅承受拉力的柔性索或可承受拉力和部分弯矩的劲性索。
条文说明
3.2.1在选择索的形式时,应综合考虑结构特点、力学性能、施工难易、造价等多种因素。其中,劲性索在保持抗拉结构充分利用材料强度这一优点的同时,还可改善结构的形状稳定性。
3.2.2 索的预应力宜采用下列方法建立:
1 在单索上采用钢筋混凝土屋面板等重屋面,并可在屋面板上加荷并浇筑板缝,然后卸载建立预应力;
2 在索网中通过张拉稳定索、承重索建立预应力;
3 在双层索系中通过张拉稳定索或承重索建立预应力,也可调节承重索与稳定索之间的撑杆长度建立预应力;
4 在横向加劲索系中,宜通过下压横向加劲构件的两端支座使其强迫就位,从而对纵向索建立预应力;
5 在张弦结构中,宜通过张拉拉索、伸长撑杆等方法建立预应力。
条文说明
3.2.2预应力的大小与分布对索结构的刚度具有重要影响,对索结构施加预应力是施工的重要环节。根据不同的结构形式,本条给出了几种常用的、行之有效的施加预应力方法。在具体实践时,应结合结构特点及计算结果灵活选择或采取其他有效方法。
3.2.3 索的反力可采用下列方法传递:
1 形成自平衡体系;
2 以斜拉索或斜拉杆通过地锚传至地基;
3 通过边梁及其支承结构(如柱、框架、落地拱)传至地基。
3.2.4 设计索结构屋面时,应采取措施防止屋面被风掀起。对风吸力特别大的部位应采取加强屋面和索的连接构造或对屋盖局部加大屋面自重等措施。
3.2.5 对于单索屋盖,当平面为矩形时,索两端支点可设计为等高或不等高,索的垂度宜取跨度的1/10~1/20;当平面为圆形时,中心受拉环与结构外环直径之比宜取1/8~1/17,索的垂度宜取跨度的1/10~1/20。
3.2.6 对于索网屋盖,承重索的垂度宜取跨度的1/10~1/20,稳定索的拱度宜取跨度的1/15~1/30。
3.2.7 对于双层索系屋盖,当平面为矩形时,承重索的垂度宜取跨度的1/15~1/20,稳定索的拱度可取跨度的1/15~1/25;当平面为圆形时,中心受拉环与结构外环直径之比宜取1/5~1/12,承重索的垂度宜取跨度的1/17~1/22,稳定索的拱度宜取跨度的1/16~1/26。
3.2.8 对于横向加劲索系屋盖,悬索两端支点可设计为等高或不等高,索的垂度宜取跨度的1/10~1/20,横向加劲构件(梁或桁架)的高度宜取跨度的1/15~1/25。
条文说明
3.2.5~3.2.8对于悬索结构来说,索的垂度与跨度之比是十分重要的参数。一般地,在同等条件下,此比值越小,结构的形状稳定性及刚度越差,索的拉力也越大;反之,结构性态得以改善,但结构所占空间也有所加大。本规程中对各种悬索体系的规定取自国内外工程实践的经验,可作为设计时参考。
3.2.9 对于双层索系玻璃幕墙,索桁架矢高宜取跨度的1/10~1/20。
3.2.10 张弦拱(张弦拱架)的垂度宜取结构跨度的1/10~1/14。
3.2.11 张弦网壳矢高不宜小于跨度的1/10。
3.2.12 索穹顶的高度与跨度之比不宜小于1/8;斜索与水平面相交的角度宜大于15°。
3.2.13 悬索结构中,单索屋盖最大挠度与跨度之比自初始几何状态之后不宜大于1/200;索网、双层索系及横向加劲索系屋盖最大挠度与跨度之比自初始预应力状态之后不宜大于1/250。
条文说明
3.2.13索结构属于柔性结构,只有在对其施加一定的预应力后,索结构才能具有必要的刚度和有效地承受荷载,因此本条规定除单索外的其他索结构跨中竖向位移均由初始预应力状态位置算起。跨中竖向位移与跨度之比的限值1/250系参考现行行业标准《空间网格结构技术规程》JGJ7确定,从国内若干已建成的悬索结构可知,当索结构按满足承载能力极限状态要求选定几何尺寸及索截面后,一般均能满足本条规定的结构刚度要求。 对于单索结构,考虑到一般均采用钢筋混凝土屋面板等重屋面,在屋面板上加荷并浇筑板缝,然后卸载建立预应力,所以本条规定单索跨中竖向位移自初始几何状态位置算起。
3.2.14 斜拉结构、张弦结构或索穹顶屋盖在荷载作用下的最大挠度与跨度之比自初始预应力状态之后不宜大于1/250。
3.2.15 单层平面索网玻璃幕墙的最大挠度与跨度之比不宜大于1/45。曲面索网及双层索系玻璃幕墙自初始预应力状态之后的最大挠度与跨度之比不宜大于1/200。
3.2.16 曲面索网及双层索系玻璃采光顶自初始预应力状态之后的最大挠度与跨度之比不宜大于1/200。张弦结构玻璃采光顶自初始预应力状态之后的最大挠度与跨度之比不宜大于1/200。
4 索体与锚具
4.1 一般规定
4 索体与锚具
4.1 一般规定
4.1.1 拉索应由索体与锚具组成。
条文说明
4.1.1本条说明了拉索的基本组成形式。
4.1.2 拉索索体宜采用钢丝束、钢绞线、钢丝绳或钢拉杆。
条文说明
4.1.2本条列出了目前常用索体形式,如钢丝束、钢绞线、钢丝绳或钢拉杆形式,其他新型索体如碳纤维拉索等,待研究推广及应用到一定程度后再列入。 钢丝束、钢绞线、钢丝绳可用于不同长度、不同索力和不同工作环境条件。由一组单根钢绞线组成的群锚钢绞线拉索安装方便,适用于小型设备高空作业。钢拉杆主要优点为不易燃、耐久、耐腐蚀,可用于室内或室外,钢拉杆受制造能力限制,一般10m左右设置一个接头,可利用正反牙套筒接长。
4.1.3 拉索两端锚具的构造应由建筑外观、索体类型、索力、施工安装、索力调整、换索等多种因素确定。
条文说明
4.1.3本条说明了确定拉索两端锚具构造形式的主要因素。
4.1.4 室外长拉索宜考虑风振和雨振影响并应设置适当的阻尼减振装置。
条文说明
4.1.4长度大于50m的拉索要考虑风振和雨振的影响。拉索的减振措施可参考桥梁斜拉索的做法。
4.2 索体材料与性能
4.2 索体材料与性能
4.2.1 钢丝束索体的选用应满足下列要求:
1 钢丝的质量、性能应符合现行国家标准《桥梁缆索用热镀锌钢丝》GB/T 17101的规定,钢丝束的质量、性能应符合现行国家标准《斜拉桥热挤聚乙烯高强钢丝拉索技术条件》GB/T 18365的规定;
2 半平行钢丝束索体(图4.2.1),宜采用直径5mm或7mm的高强度、低松弛、耐腐蚀钢丝,钢丝束外应以高强缠包带缠包,应有热挤高密度聚乙烯(HDPE)护套,在高温、高腐蚀环境下护套宜采用双层,高密度聚乙烯技术性能应符合现行行业标准《桥梁缆索用高密度聚乙烯护套料》CJ/T 297的规定;

3 钢丝束的极限抗拉强度宜选用1670MPa、1770MPa等级别。
条文说明
4.2.1在索结构中最常用的是半平行钢丝束,它由若干根高强度钢丝采用同心绞合方式一次扭绞成型,捻角2°~4°,扭绞后在钢丝束外缠包高强缠包带,缠包层应齐整致密、无破损;然后热挤高密度聚乙烯(HDPE)护套。钢丝拉索的HDPE护套分为单层和双层。双层HDPE套的内层为黑色耐老化的HDPE层,厚度为(3~4)mm;外层为根据业主需要确定的彩色HDPE层,厚度为(2~3)mm。钢丝束进行精确下料后两端加装冷、热锚进行预张拉,拉索以成盘或成圈方式包装,这种拉索的运输和施工都比较方便。
4.2.2 钢绞线索体的选用应满足下列要求:
1 钢绞线的质量、性能应符合国家现行标准《预应力混凝土用钢绞线》GB/T 5224、《高强度低松弛预应力热镀锌钢绞线》YB/T 152、《镀锌钢绞线》YB/T 5004的规定;
2 钢绞线索体(图4.2.2)可分别采用镀锌钢绞线、高强度低松弛预应力热镀锌钢绞线、不锈钢钢绞线;

3 钢绞线的极限抗拉强度可选用1570MPa、1720MPa、1770MPa、1860MPa或1960MPa等级别;
4 不锈钢绞线的质量、性能、极限抗拉强度应符合现行行业标准《建筑用不锈钢绞线》JG/T 200的规定。
条文说明
4.2.2钢绞线是由多根高强钢丝呈螺旋形绞合而成,可按1×3、1×7、1×19和1×37等规格选用,钢绞线索体具有破断力大、施工安装方便等特点。
4.2.3 钢丝绳索体的选用应满足下列要求:
1 钢丝绳的质量、性能应符合现行国家标准《一般用途钢丝绳》GB/T 20118的规定,密封钢丝绳的质量、性能应符合现行行业标准《密封钢丝绳》YB/T 5295的规定。
2 钢丝绳索体宜采用密封钢丝绳、单股钢丝绳、多股钢丝绳截面形式(图4.2.3)。钢丝绳索体应由绳芯和钢丝股组成,结构用钢丝绳应采用无油镀锌钢芯钢丝绳。

3 钢丝绳的极限抗拉强度可选用1570MPa、1670MPa、1770MPa、1870MPa或1960MPa等级别。
4 不锈钢钢丝绳的质量、性能、极限抗拉强度应符合现行国家标准《不锈钢丝绳》GB/T 9944的规定。
条文说明
4.2.3密封钢丝绳是以若干平行圆形钢丝束为缆心,外面逐层捻裹截面为“Z”形的钢丝,相邻两层的捻向相反,互相咬合形成防护层,包裹住内部的钢丝束。这种钢丝绳结构紧凑,具有最大面积率,水分不易侵入,成为密封钢丝绳。相对一般钢丝绳而言,密封钢丝绳具有强度高、弹性模量大等优点,但价格较贵。 钢丝绳是由多股钢丝围绕一核心绳芯捻制而成,绳芯可采用纤维芯或金属芯。纤维芯的特点是柔软性好,便于施工,但强度较低,纤维芯受力后直径会缩小,导致索伸长,从而降低索的力学性能和耐久性,所以结构用钢丝绳应采用无油镀锌钢芯钢丝绳。
4.2.4 钢拉杆索体的选用应满足下列要求:
1 钢拉杆的质量、性能应符合现行国家标准《钢拉杆》GB/T 20934的规定;
2 钢拉杆杆体的屈服强度可选用345MPa、460MPa、550MPa或650MPa等级别。
条文说明
4.2.4钢拉杆是近年来开发的一种新型拉锚构件,主要由圆柱形杆体、调节套筒、锁母和两端形式各异的接头拉环组成,由碳素钢、合金钢制成,具有强度高、韧性好等特点,可广泛用于空间结构、桥梁等。
4.2.5 索体材料的弹性模量宜由试验确定。在未进行试验的情况下,索体材料的弹性模量可按表4.2.5取值。


条文说明
4.2.5本条根据制索厂家提供的数据,仅供设计计算时参考使用。应注意,对于多根钢丝束组合索体,特别是钢绞线组合类型索体,其弹性模量变化范围较大。
4.2.6 索体材料的线膨胀系数值宜由试验确定。
4.3 锚具
4.3 锚 具
4.3.1 热铸锚锚具和冷铸锚锚具的质量、性能、检验和验收应符合现行行业标准《塑料护套半平行钢丝拉索》CJ 3058的规定。
条文说明
4.3.1浇铸锚具分为热铸锚锚具和冷铸锚锚具。热铸锚锚具采用低熔点的合金填料进行浇铸,合金熔液冷却后锚住索体。冷铸锚锚具采用环氧树脂和铁砂、矿粉、固化剂、增韧剂等搅拌后浇入锚杯,凝固后与索体形成锥塞。本条规定了浇铸锚具制作、验收的行业标准。
4.3.2 挤压锚具、夹片锚具的质量、性能、检验和验收应符合现行国家标准《预应力筋用锚具、夹具和连接器》GB/T 14370、《预应力筋用锚具、夹具和连接器应用技术规程》JGJ 85的规定。
条文说明
4.3.2单个的挤压锚具或夹片锚具主要用于锚固单股钢绞线,由一组夹片锚具或挤压锚具构成的群锚用于钢绞线索体的锚固。本条规定了挤压锚具、夹片锚具制作、验收的行业标准。
4.3.3 玻璃幕墙拉索压接锚具的制作、验收应符合现行行业标准《建筑幕墙用钢索压管接头》JG/T 201的规定。
条文说明
4.3.3压接锚具通常采用高强钢材做成索套,在高压下挤压成形握裹住索体,属握裹式锚具。本条规定了压接锚具制作、验收的行业标准。
4.3.4 钢拉杆锚具的制作、验收应符合现行国家标准《钢拉杆》GB/T 20934的规定。
4.3.5 拉索常用锚具及连接的构造形式应满足安装和调节的需要(图4.3.5)。钢丝束、钢丝绳索体可采用热铸锚锚具或冷铸锚锚具。钢绞线索体可采用夹片锚具,也可采用挤压锚具或压接锚具。承受低应力或动荷载的夹片锚具应有防松装置。



条文说明
4.3.5图4.3.5(b)中锚具的锚杯与接头是分体制作,然后通过螺纹互相连接。图4.3.5(c)双螺杆连接的热铸锚锚具适用于准确建立索力值及大距离调节张拉引伸量情况。图4.3.5(d)冷铸锚锚具采用了螺纹螺母连接,适用于大吨位索力值情况,并能调整索力值。图4.3.5(e)夹片锚具用于钢绞线索体,适用于大距离调节张拉引伸量情况,一组钢绞线组成的群锚拉索适用于小型设备高空安装。图4.3.5(f)挤压锚具采用了螺母承压连接,适用于大吨位索力值情况,并能调整索力值。图4.3.5(g)压接锚具加工制作比较简单,适用于较小拉力情况。图4.3.5(h)采用双向螺杆或调节套筒调节形式的浇铸锚具,由于施加预应力时对油泵给千斤顶供油加压与旋转螺杆或套筒的同步要求高,张拉后套筒与螺杆间有一定的间隙预应力损失,一般用于索力较小、对拉索张拉力准确值建立要求不严格的拉索。
4.3.6 钢拉杆宜采用单耳板、双耳板或螺纹螺母连接接头[图4.3.6(a)、图4.3.6(b)、图4.3.6(c)],并宜采用连接器进行连接或调节[图4.3.6(d)]。

4.3.7 热铸锚的锚杯坯件可采用锻件和铸件,冷铸锚的锚杯坯件宜采用锻件,销轴和螺杆的坯件应为锻件。毛坯锻件应符合现行行业标准《冶金设备制造通用技术条件 锻件》YB/T 036.7的规定,锻件材料应采用优质碳素结构钢或合金结构钢,其性能应分别符合现行国家标准《优质碳素结构钢》GB/T 699和《合金结构钢》GB/T 3077的规定;采用铸件材料时,其性能应符合现行国家标准《一般工程用铸造碳钢件》GB/T 11352的规定;当采用优质碳素结构钢时,宜采用45号钢。
条文说明
4.3.7锚具材料应采用低合金高强度结构钢,并经过热处理以提高综合机械性能。小锚具采用锻造方式制作,大锚具采用铸造制作。
4.3.8 锻钢成型锚具的无损探伤应按现行国家标准《锻轧钢棒超声检验方法》GB/T 4162中A级或B级、现行行业标准《锻钢件磁粉检验方法》JB/T 8468的有关规定执行。铸造成型锚具的无损探伤应按现行国家标准《铸钢件 超声检测 第1部分:一般用途铸钢件》GB/T 7233.1中3级的有关规定执行。
4.3.9 锚具及其组装件的极限承载力不应低于索体的最小破断拉力。钢拉杆接头的极限承载力不应低于杆体的最小破断拉力。
条文说明
4.3.9为实现“强锚固”的要求,要求锚具和连接件后于索体破断。
4.3.10 拉索需要进行疲劳试验时,应按现行行业标准《预应力筋用锚具、夹具和连接器应用技术规程》JGJ 85、《塑料护套半平行钢丝拉索》CJ 3058有关规定执行,玻璃幕墙拉索压管接头的疲劳试验应按现行行业标准《建筑幕墙用钢索压管接头》JG/T 201的有关规定执行。
5 设计与分析
5.1 设计基本规定
5 设计与分析
5.1 设计基本规定
5.1.1 索结构设计应采用以概率理论为基础的极限状态设计方法,以分项系数设计表达式进行计算。对承载能力极限状态,当预应力作用对结构有利时预应力分项系数γ pi 应取1. 0,对结构不利时γ pi 应取1.2。对正常使用极限状态,γ pi 应取1.0。
条文说明
5.1.1预应力荷载是一种人为施加的结构内力,其变异性(即偏离原设计值的程度)对结构整体的影响可能是有利的,也可能是不利的。例如,放大预应力可以导致索结构的刚度提高,但同时也会降低索材料的安全储备并增加下部支承结构的负担。此外,对于非自平衡式索结构,放大或缩小预应力还可能导致结构的初始平衡位置发生变化。
5.1.2 索结构应分别进行初始预拉力及荷载作用下的计算分析,计算中均应考虑几何非线性影响。 ( 自2022年1月1日起废止该条,详见新规 《钢结构通用规范》GB 55006-2021)
条文说明
5.1.2索结构分析中应考虑几何非线性影响,但可不考虑材料非线性。几何非线性是悬索理论的固有特点,与初始垂度相比,悬索在荷载增量作用下产生的竖向位移并不是微量,这在小垂度问题中尤为如此。因此索结构的平衡方程必须考虑按变形后新的几何位置来建立。对于较为刚性的索结构,如斜拉结构和张弦结构,在进行荷载状态计算时,可不考虑几何非线性的影响。
5.1.3 索结构的荷载状态分析应在初始预应力状态的基础上考虑永久荷载与活荷载、雪荷载、风荷载、地震作用、温度作用的组合,并应根据具体情况考虑施工安装荷载。拉索截面及节点设计应采用荷载的基本组合,位移计算应采用荷载的标准组合。
条文说明
5.1.3本条规定了索结构设计应计算或验算的内容。
5.1.4 索结构计算时,应考虑其与支承结构的相互影响,宜采用包含支承结构的整体模型进行分析。
条文说明
5.1.4本条强调了支承结构对索结构的影响。与网壳等拱形结构类似,支承结构的变形对索结构的内力和变形都有较大影响,可能会产生较大的附加内力,也可能会使部分索段因松弛而退出工作。
5.1.5 在永久荷载控制的荷载组合作用下,索结构中的索不得松弛;在可变荷载控制的荷载组合作用下,索结构不得因个别索的松弛而导致结构失效。 ( 自2022年1月1日起废止该条,详见新规 《钢结构通用规范》GB 55006-2021)
条文说明
5.1.5索具有只能受拉不能受压的特点,当索内力为负时即意味着出现了松弛现象,索将退出工作。加大预拉力可以有效减少松弛现象的出现,但是会增加索支承结构的负担。通常情况下,少量的索在短时间内出现松弛不会影响结构的整体稳定性,当外荷载撤除后松弛的索又会张紧恢复工作。但在某些情况下,比如对于索穹顶结构,索松弛可能会导致结构产生不可逆的变形,甚至结构整体垮塌,这种情况是应当在设计中严格避免的。
5.1.6 对于使用中需要更换拉索的情况,在计算和节点构造上应作专门处理。
条文说明
5.1.6如果在建筑使用周期内需要更换索体,则应在设计时对换索过程进行分析,确定合理的换索方案;还应在节点构造上保证索体更换的可操作性。
5.2 初始预应力状态确定
5.2 初始预应力状态确定
5.2.1 索结构的初始预应力状态确定,应综合考虑建筑造型、使用功能、边界支承条件及合理预应力取值等要求,并应通过试算确定索结构的初始几何形状及相应的预应力分布。
条文说明
5.2.1初始预应力状态确定是索结构分析和设计的前提和关键,应综合考虑建筑造型、使用功能和结构受力合理等方面的要求,通过反复试算确定。
5.2.2 当索结构曲面形状简单且以受均布荷载为主时,宜通过解析方法确定其曲面形状及初始预应力状态;当索结构曲面形状复杂无法用解析函数表示且初始预应力状态难以确定时,应通过考虑力学平衡的方法来确定其曲面形状及初始预应力状态。
条文说明
5.2.2索网的几何形状通常可采用由两组正交的、曲率相反的索形成具有负高斯曲率的曲面。索网的形状还取决于索力和边缘构件的形式。对于椭圆形、菱形、圆形等简单平面投影形状的索结构,一般可采用双曲抛物面形式的索网曲面,其优点是整个曲面采用同一曲率、曲面形成简单、索力也比较均匀,但是当平面形状复杂时,索网曲面就难以用解析函数来描述,其初始几何形状应通过考虑力学平衡的方法来确定。
5.2.3 在确定索结构屋盖的几何形状时,应避免形成扁平区域。
条文说明
5.2.3扁平区域不仅容易在屋面形成积水或积雪,而且会导致结构的局部刚度较弱。
5.2.4 当初始预应力状态分析中的预应力建立过程与实际的预应力建立过程不相一致时,应按真实的预应力建立过程进行施工成形分析。
5.3 静力分析
5.3 静力分析
5.3.1 索结构的静力分析应在初始预应力状态的基础上对结构在永久荷载与可变荷载组合作用下的内力、位移进行分析;当计算结果不能满足要求时,应重新确定初始预应力状态。
5.3.2 设计索结构屋面时应考虑雪荷载不均匀分布所产生的不利影响。当平面为矩形、圆形或椭圆形时,屋面上的积雪分布系数宜按本规程附录A采用。复杂形状的索结构屋面上的积雪分布系数应进行专门研究确定。
条文说明
5.3.2本规程附录A为根据国外资料给出的常用索结构的雪荷载情况及相应的积雪分布系数,可供计算时采用。由于当前有关雪荷载分布的资料很少,设计人员应根据具体地区及实际的屋盖形式进行专门分析确定雪荷载分布情况,特别要注意由于刮风造成的屋面积雪不均匀分布荷载。
5.3.3 单索在任意连续分布荷载下的内力与位移采用解析法计算时宜按本规程附录B进行。
5.3.4 横向加劲索系在均布荷载下内力与位移的简化计算宜按本规程附录C进行。
条文说明
5.3.3、5.3.4采用本规程提供的解析法分析索结构时应符合以下条件: 1索的垂度与跨度比小于1/10;索的支座高差与其跨度之比不大于1/10; 2索结构的支承刚度足够大,可简化为固定铰支承计算模型。 单索的计算理论是基于以下两点基本假设:首先索是理想柔性的,既不能受压,也不能抗弯;其次索的材料符合胡克定律,即索的应力和应变符合线性关系。采用解析方法分析单索有两种方法:一是按荷载沿索长分布的精确计算法,当荷载沿索长均匀分布时索的形状是一悬链线;另一种是按荷载沿索跨分布的近似计算法,当荷载沿跨度均匀分布时索的形状是一抛物线,由于悬链线的计算非常繁琐,在实际应用中,一般均按抛物线计算,本规程附录B所给出的公式是按此假定推导而得。 本规程附录C中给出的横向加劲索系简化计算方法是根据索与横向加劲索构件不同的力学特征,将该结构简化为一组具有相互作用弹性地基梁。从有限元非线性分析及结构模型试验的结果来看,这种结构在均布荷载下基本上呈线性反应的特征。因此在简化分析中引入了线性变形的假定,这样就可应用叠加原理。为了更好地表现结构的特点,在涉及索的计算中仍尽可能地考虑索的非线性特征。
5.3.5 对于同时包含刚性构件和柔性索的索结构,如张弦网壳,除应进行常规的内力、位移分析外,尚应按现行行业标准《空间网格结构技术规程》JGJ 7中的有关规定进行结构稳定性分析。
条文说明
5.3.5传统的以拉索为主的悬索结构一般不存在失稳问题,但是对于由刚性构件和柔性索共同组成的索结构,如张弦网壳结构,存在由刚性构件受压所导致的结构整体或局部失稳问题,在设计时应予以重视。
5.4 风效应分析
5.4 风效应分析
5.4.1 索结构设计时应考虑风荷载的静力和动力效应。
条文说明
5.4.1索结构属风敏感结构体系,风荷载对结构的作用表现为平均风压的不均匀分布作用和脉动风压的动力作用。对于索结构的风效应分析,目前在理论上已较为成熟,但尚缺乏简便实用的工程计算方法;因此在实际工程设计中,应根据具体情况,由专业机构对索结构的风效应进行分析或进行风洞试验。
5.4.2 对索结构进行风静力效应分析时,风载体型系数应按现行国家标准《建筑结构荷载规范》GB 50009的规定取值;对矩形、菱形、圆形及椭圆形等规则曲面的风载体型系数可按本规程附录D采用;对于体形复杂且无相关资料参考的索结构,其风载体型系数宜通过风洞试验确定。
条文说明
5.4.2影响屋盖结构风压分布的因素很多,也很复杂,如曲面的几何形状、曲率、风向等等。因此条文规定悬索结构的风荷载体型系数宜进行风洞试验确定。附录D列出的风荷载体型系数系根据原建工部建筑科学研究院和原哈尔滨建筑大学所做的风洞试验结果以及参考有关国外资料汇编而成。
5.4.3 对于形状较为简单的中小跨度索结构,可采用对平均风荷载乘风振系数的方法近似考虑结构的风动力效应。风振系数可取为:单索1.2~1.5;索网1.5~1.8;双层索系1.6~1.9;横向加劲索系1.3~1.5;其他类型索结构1.5~2.0;其中,结构跨度较大且自振频率较低者取较大值。
条文说明
5.4.3 由于索结构的响应与荷载呈非线性关系,所以定义索结构的荷载风振系数在理论上是不严密的,应该定义结构响应风振系数。在这方面,国内学者已开展了一定数量的研究工作。但是由于响应风振系数在实际使用中不甚方便,特别是考虑不同荷载的组合效应时;此外,响应风振系数也与现行荷载规范规定的荷载风振系数不相协调,在实际使用中易出现混淆问题,因此本规程仍采用了荷载风振系数的概念。从实际索结构的力学特点来看,当结构完全张紧成形后,其力学性能接近线性,因此可以用荷载风振系数来近似计算索结构的风动力效应。
5.4.4 对于满足下列条件之一的索结构,应通过风振响应分析确定风动力效应:
1 跨度大于25m的平面索网结构或跨度大于60m的其他类型索结构;
2 索结构的基本自振周期大于1.0s;
3 体型复杂且较为重要的结构。
条文说明
5.4.4对于本条列出的索结构情况,应对风动力效应进行较为细致地分析。当采用风振时程分析方法或随机振动理论分析时,输入的风荷载时程或功率谱宜根据风洞试验确定。本条规定的结构自振周期大于1s是参考了美国、澳大利亚等国的荷载规范规定。
5.4.5 对于墙面或屋面开洞的非封闭式索结构,应根据具体情况考虑内压与结构外部风荷载的叠加效应。
条文说明
5.4.5从已发生的房屋结构风灾害来看,在强风作用下由于门窗突然开启(或破碎)导致建筑内压骤增,进而引发屋盖被掀起的实例较多,因此设计中需要根据具体情况考虑内压与结构外部风吸力的叠加作用。
5.5 地震效应分析
5.5 地震效应分析
5.5.1 对于抗震设防烈度为7度及7度以上地区,索结构应进行多遇地震作用效应分析。
5.5.2 对于抗震设防烈度为7度或8度地区、体型较规则的中小跨度索结构,可采用振型分解反应谱法进行地震效应分析;对于其他情况,应考虑索结构几何非线性,采用时程分析法进行单维地震作用抗震计算,并宜进行多维地震效应时程分析。
条文说明
5.5.2当进行索结构单维地震效应分析时,对X、Y、Z三个方向的地震作用效应均应分别计算; 当进行多维地震效应时程分析时,对输入的地震加速度时程曲线最大值按以下比例调整: 1(X水平方向):0.85(Y水平方向):0.65(Z竖向) 1(Y水平方向):0.85(X水平方向):0.65(Z竖向)
5.5.3 采用时程分析法时,应按建筑场地类别和设计地震分组选用不少于两组的实际强震记录和一组人工模拟的加速度时程曲线,其平均地震影响系数曲线应与现行国家标准《建筑抗震设计规范》GB 50011所给出的地震影响系数曲线在统计意义上相符。加速度时程曲线最大值应根据与抗震设防烈度相应的多遇地震的加速度时程曲线最大值进行调整,并应选择足够长的地震动持续时间。
条文说明
5.5.3采用时程分析法时,要注意正确选择输入的地震加速度时程曲线,应满足地震动三要素的要求,即频谱特征、有效峰值和持续时间均应符合规定。 1频谱特征:先按实际地震波的卓越周期与场地特征周期值相接近的原则,初步选择数个实际地震波;继而经计算选用其平均地震影响系数曲线与现行抗震规范所给出的地震影响系数曲线在统计意义上相符的加速度时程曲线。所谓“在统计意义上相符”指的是,用选择的加速度时程曲线计算单质点体系得出的地震影响系数曲线与现行抗震规范所给出的地震影响系数曲线相比,在不同周期值时均相差不大于20%。 2有效峰值:根据选用的实际地震波加速度峰值与设防烈度相应的多遇地震时的加速度时程曲线最大值相等的原则,对实际地震波进行调整。地震加速度时程曲线的最大值见现行国家标准《建筑抗震设计规范》GB50011-2010表5.1.2-2。 3持续时间:输入的加速度时程曲线的持续时间应包含地震记录最强部分,并要求选择足够长的持续时间。一般建议选择的持续时间取不少于结构基本周期的10倍,且不小于10s。
5.5.4 在进行地震效应分析时,对于计算模型中仅含索元的结构阻尼比值宜取0. 01;对于由索元与其他构件单元组成的结构体系的阻尼比值应进行调整。
条文说明
5.5.4影响阻尼比值的因素甚为复杂,随结构类型、材料、屋面、质量、刚度、节点构造、动力特性等多种因素变化。阻尼比取值应根据结构实测与试验结果经统计分析而得来。 1仅含索元的结构阻尼比取值: 根据收集到的国内外资料统计,对于无屋面覆盖层的索结构的阻尼比值均远远小于0.01,对于有轻屋面覆盖层的索结构阻尼比值约为0.01左右,极少部分为0.01~0.02,仅个别达0.03。为安全设计,建议仅含索元的结构阻尼比值取0.01。 2由索元与其他构件单元组成的结构体系的阻尼比取值: 对于由索元与其他构件单元组成的索结构,阻尼比值可采用下式计算: 

5.5.5 索结构抗震分析时,宜采用包括支承结构在内的整体模型进行计算;也可把支承结构简化为索结构的弹性支座,按弹性支承模型进行计算。支承结构应按有关规范进行抗震验算。
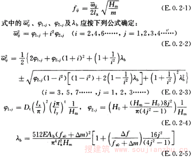
5.5.6 平行布置的单索及横向加劲索系索结构的自振频率与振型可按本规程附录E进行简化计算。
条文说明
5.5.6为简化计算,本条给出了几类典型索结构的自振频率与振型的简化计算方法。 附录E中对于平行布置的单索及横向加劲索系采用瑞雷—里兹法给出了索结构的自振频率与振型。索结构的基频为反对称双半波振型,对于对称振型则以二项正弦函数来逼近,以反映振动中索力增量对于频率与振型的影响。简化计算与有限元分析及模型试验结果相比精度较高,可以满足工程分析需要。由于简化计算推导中采用了索是小垂度的假定,因此本条给出的公式适用范围为索垂跨比与稳定索的拱跨比为1/8~1/20。
5.6 索截面计算
5.6 索截面计算
5.6.1 拉索的抗拉力设计值应按下式计算:

条文说明
5.6.1关于拉索的抗力分项系数,以往由于缺少统计数据,只能按允许应力法反推。在这次规程编制过程中,受编制组委托由哈尔滨工业大学对由巨力集团提供的近800根钢拉杆以及OVM公司提供的500余根钢绞线的拉拔试验数据进行了统计分析,在此基础上采用基于可靠度理论的一次二阶矩法得到钢绞线的抗力分项系数约为1.12,相当于安全系数为1.4;钢拉杆的抗力分项系数约为1.23,相当于安全系数为1.53。此外,同济大学的学者也对高强钢丝束拉索开展过类似研究,得到材料的抗力分项系数为1.15,相当于安全系数为1.55。总的来看,国内一些大型拉索生产企业的产品生产质量较为稳定,材料离散性不大。但是由于以上数据所依据的仅是部分厂家的索体抗拉强度统计值,在实际使用过程中不同厂家产品之间还会有一定的离散性,而且索体与锚具连接时也存在一定程度的强度折减,因此在最终确定规程的拉索抗力分项系数时,综合考虑了上述因素,确定钢丝束、钢绞线和钢丝绳的抗力分项系数取2.0,钢拉杆的抗力分项系数取1.7。此外,由于钢丝束、钢绞线和钢丝绳中各钢丝的受力不完全相同,因此“拉索的极限抗拉力标准值”为拉索的最小破断索力,而不是钢丝破断力的总和。由于各钢丝的受力不完全相同,对于钢丝束、钢绞线、钢丝绳,“拉索的极限抗拉力标准值”为拉索的最小破断索力,而不是钢丝破断力的总和。
5.6.2 拉索的承载力应按下式验算:

6 节点设计与构造
6.1 一般规定
6 节点设计与构造
6.1 一般规定
6.1.1 索结构节点构造应符合计算假定,应做到传力路线明确、确保安全并便于制作和安装。
条文说明
6.1.1索结构的节点可分为索与索连接节点、索与刚性构件连接节点、玻璃幕墙和采光顶节点等多种类型。本条强调节点的构造设计应与结构分析时所作的计算假定尽量相符。由于实际工程中的节点构造需考虑制作工艺和安装的要求,节点的刚度、嵌固能力等有时难达到与计算分析所假定的一致,所以在结构分析和设计时应考虑到节点刚度或变形的影响。
6.1.2 索结构节点的钢材及节点连接件材料应按现行国家标准《钢结构设计规范》GB 50017的规定选用。节点采用锻造、锻压、铸造或其他加工方法进行制作时,其材质应按现行国家标准《低合金高强度结构钢》GB/T 1591、《优质碳素结构钢》GB/T 699的有关规定选用。
6.1.3 索结构节点的承载力和刚度应按现行国家标准《钢结构设计规范》GB 50017的规定进行验算。索结构节点应满足其承载力设计值不小于拉索内力设计值1. 25~1.5倍的要求。
6.1.4 索结构主要受拉节点的焊缝质量等级应为一级,其他的焊缝质量等级不应低于二级。
6.1.5 索结构节点的构造设计应考虑施加预应力的方式、结构安装偏差及进行二次张拉的可能性。
条文说明
6.1.5由于结构安装偏差、索体松弛效应等影响,在索结构节点构造设计时应考虑进行二次张拉的可能性。
6.2 索与索的连接节点
6.2 索与索的连接节点
6.2.1 双向拉索的连接(图6.2.1-1)、拉索与柔性边索的连接(图6.2.1-2)以及径向索与环索的连接(图6.2.1-3)宜分别采用U形夹具、螺栓夹板或铸钢夹具。索体在夹具中不应滑移,夹具与索体之间的摩擦力应大于夹具两侧索体的索力之差,并应采取措施保证索体防护层不被挤压损坏。


条文说明
6.2.1索与索之间的连接主要指承重索与稳定索之间的连接。本条列出的几种夹具仅是目前常用的夹具,夹具夹紧之后需保证不得产生滑移。由于连续索夹具节点两侧索体的索力在一般情况下都不相等,为保证结构的几何稳定,应确保夹具与索体之间的摩擦力大于夹具两侧索体的索力之差,同时应注意防止索夹损伤拉索护套表面。
6.2.2 在同一平面内不同方向多根拉索之间可采用连接板连接(图6.2. 2),在构造上应使拉索轴线汇交于一点,避免连接板偏心受力。

条文说明
6.2.2应根据拉索的交叉角度优化连接节点板的外形,避免因角度过小使拉索相碰,应采取构造措施减少因开孔和造型切角引起的应力集中。
6.3 索与刚性构件的连接节点
6.3 索与刚性构件的连接节点
6.3.1 横向加劲索系的拉索与作为横向加劲构件的桁架下弦的连接,可采用U形夹具,在构造上应满足桁架下弦与索之间可产生转角位移但不产生相对线位移的要求(图6.3.1)。

条文说明
6.3.1在横向加劲索系中索与桁架节点应可靠连接,不应产生相对滑移。但由于索与桁架下弦节点存在偏心矩,故在节点设计时需考虑出桁架平面内的弯矩的影响。
6.3.2 斜拉结构节点应由立柱(撑杆)、拉索及调节器构成,拉索与立柱(撑杆)可通过耳板连接。
条文说明
6.3.2由于斜拉结构的拉索拉力往往较大,对连接耳板的强度应予以验算。设计时应特别注意连接耳板平面外的稳定性。
6.3.3 张弦梁、张弦拱、张弦拱架结构的索、杆节点连接构造应满足索与撑杆之间可产生转角位移的要求。
6.3.4 张弦网壳结构下弦节点应由环索、斜索、撑杆构成,拉索与撑杆宜通过耳板连接(图6.3.4)。

6.3.5 索穹顶结构上弦节点应由脊索、斜索、撑杆构成,拉索与撑杆通过索夹具连接(图6.3.5-1),索穹顶结构下弦节点应由环索、斜索、撑杆构成,环索与撑杆通过索夹具连接(图6.3.5-2)。

6.4 索与支承构件的连接节点
6.4 索与支承构件的连接节点
6.4.1 拉索的锚固节点应采取可靠、有效的构造措施,保证传力可靠、减少预应力损失及施工便利;应保证锚固区的局部承压强度及刚度。
6.4.2 拉索与钢筋混凝土支承构件的连接宜通过预埋钢管或预埋锚栓将拉索锚固,拉索与钢支承构件的连接宜通过加肋钢板将拉索锚固,通过端部的螺母与螺杆调整拉索拉力。
6.4.3 可张拉的拉索锚具与支座的连接应保证张拉区有足够的施工空间,便于张拉施工操作。
条文说明
6.4.3对于张拉节点,设计时应根据可能出现的节点预应力超张拉情况,验算节点承载力。可张拉节点应有可靠的防松措施。
6.5 索与屋面、玻璃幕墙和采光顶的连接节点
6.5 索与屋面、玻璃幕墙和采光顶的连接节点
6.5.1 拉索与钢筋混凝土屋面板的连接宜采用连接板或钢筋钩连接(图6.5.1-1),拉索与屋面钢檩条的连接宜采用夹具或螺栓夹具连接(图6.5.1-2)。


条文说明
6.5.1本条列出常用的两种钢筋混凝土屋面板与索的连接方式。通常做法是将钢筋混凝土屋面板搁置在连接板上,通过连接板将屋面荷载传递至索,钢筋混凝土屋面板宜与索节点处的连接板焊接。对于承受较小荷载的悬索结构也可采用将钢筋混凝土屋面板的钢筋钩直接与索相连的方式。
6.5.2 拉索与玻璃幕墙和采光顶的连接节点除应满足传力可靠的要求外,还应同时满足与玻璃构件的连接要求。
6.6 锚锭系统
6.6 锚锭系统
6.6.1 拉索的锚锭系统应根据具体情况采用重力锚、盘形锚、蘑菇形锚、摩擦桩、拉力桩、阻力墙等类型(图6.6.1)。

7 制作、安装及验收
7.1 一般规定
7 制作、安装及验收
7.1 一般规定
条文说明
本节主要规定索结构施工前应做好的主要准备工作。索结构施工前应制定完整的施工组织设计,并经审核批准,必要时可组织专家审查。 索结构施工过程应与设计考虑的荷载工况一致。为了做好索结构的施工工作,施工单位与设计单位的密切配合至关重要。必要时,在施工的重要阶段设计人员可在现场进行指导、检查,对拉索安装时的垂度和拱度偏差、张拉时索力变化、结构变形应进行必要的观测。
7.1.1 施工前应编制施工组织设计,在施工过程中应严格执行。
7.1.2 施工前应对索体、锚具及零配件的出厂报告、产品质量保证书、检测报告以及品种、规格、色泽、数量进行验收。
7.1.3 施工前应对支承结构或边缘构件上用于拉索锚固的锚板、锚栓、孔道等的空间坐标、几何尺寸及倾角等,进行检查验收,验收合格后方可进行索结构施工。
7.1.4 索结构制作、安装、张拉所用设备与仪表应在有效的计量标定期内。
7.1.5 锚具及其他连接部件涂装前,应去除锈斑,打磨光滑,确保连接处无毛刺、棱角。对拉索或其组装件的所有部位均应检查,损坏的钢绞线、钢拉杆或钢丝均应更换,受损的非承载部件应进行修补。
7.1.6 放索时,拉索应放在索盘支架上,以保证安全。在室外堆放拉索时应采取保护措施。
7.1.7 施工方应会同设计方对索结构施工各个阶段的索力及结构形状参数进行计算,并作为施工监测和质量控制的依据。
7.1.8 施工完成后应采取保护措施,防止拉索被损坏。在拉索的周边不得进行焊接、切割等作业。
7.2 制索
7.2 制 索
7.2.1 非低松弛索体(钢丝绳、不锈钢钢绞线等)在下料前应进行预张拉。预张拉力值宜取钢索抗拉强度标准值的55%,持荷时间不应少于1h,预张拉次数不应少于2次。
条文说明
7.2.1非低松弛索体预张拉的作用主要是消除钢索的非弹性变形影响,预张拉值由设计确定,如设计没有明确的规定可按本规定取值。 预张拉应在其相匹配的张拉台座上进行。预张拉荷载可用油压千斤顶的压力表控制,压力表精度等级应不低于1.5级,其量程应与预张拉荷载大小相匹配。预张拉时,可将预张拉值数据相同的钢索串联,并用工具索配长,同时张拉。
7.2.2 钢丝束、钢丝绳索体应根据设计要求对索体进行测长、标记和下料。应根据应力状态下的索长,进行应力状态标记下料或经弹性模量换算进行无应力状态标记下料。
7.2.3 钢丝束、钢绞线下料时,应考虑环境温度对索长的影响,采取相应的补偿措施。
7.2.4 钢丝束、钢绞线进行无应力状态下料时,应考虑其自重挠度等因素的影响,宜取200N/mm 2 ~300N/mm 2 的张拉应力。
条文说明
7.2.4进行无应力状态下料时,需取(200~300)N/mm2的张拉应力,主要作用是保证索的平直及克服自重挠度对索长的影响要求。
7.2.5 成品拉索交货长度为设计长度,其允许偏差应符合表7.2.5的规定:

玻璃幕墙用拉索交货长度的允许偏差应符合现行国家标准《建筑幕墙》GB/T 21086的有关规定。
7.2.6 钢拉杆应按现行国家标准《钢拉杆》GB/T 20934规定进行制作。成品钢拉杆交货长度为设计长度,钢拉杆成品长度允许偏差应符合表7.2. 6的规定。

7.3 安装
7.3 安 装
7.3.1 拉索两锚固端间距的允许偏差应为L/3000(L为两锚固端的距离)和20mm两者之间的较小值。
7.3.2 拉索的安装工艺应满足整体结构对索的安装顺序和初始态索力的要求,并应计算出每根拉索的安装索力和伸长量。
7.3.3 拉索在安装过程中应采取有效措施防止损坏。
7.3.4 索结构安装时,应在相应工作面上设置安全网,作业人员应系安全带。
7.3.5 在户外作业时,宜在风力不大于四级的情况下进行。在安装过程中应注意风速和风向,应采取安全防护措施避免拉索发生过大摆动。有雷电时,应停止作业。
条文说明
7.3.5拉索安装时受风力影响较大,发生较大风时,应中止作业,并采取措施确保安全。
7.3.6 拉索在安装过程中,应防止雨水进入索体及锚具内部。
条文说明
7.3.6应特别注意保护拉索护套与锚具连接部位的密闭性,防止雨水、潮气等的进入。
7.3.7 索夹安装时,应满足各施工阶段索夹拼装螺栓的拧紧力矩要求。
条文说明
7.3.7传力索夹的安装,应考虑拉索张拉后直径变小对索夹夹持力的影响,索夹固定螺栓一般分为初拧、中拧和终拧三个过程,也可根据具体情况将后两个过程合二为一。在拉索张拉前可将索夹螺栓初拧,张拉后进行中拧,结构承受全部恒载后对索夹进行检查并终拧。拧紧程度可用扭矩扳手控制。
7.3.8 安装顺序宜先安装承重索,后安装稳定索,并应根据设计的初始几何形态曲面和预应力值进行调整。
7.3.9 各种屋面构件宜对称安装。
条文说明
7.3.9拉索是柔性构件、易变形,为使结构变形对称,最终形成设计要求的曲面,屋面构件应分级对称进行安装。
7.4 张拉及索力调整
7.4 张拉及索力调整
7.4.1 拉索张拉前应进行预应力施工全过程模拟计算,计算时应考虑拉索张拉过程对预应力结构的作用及对支承结构的影响,应根据拉索的预应力损失情况确定适当的预应力超张拉值。
条文说明
7.4.1宜建立索结构和支承结构的整体结构模型进行拉索的张拉力计算,模拟施工过程的各个阶段进行分析,应使各个张拉阶段的结构内力和变形均在规定的结构安全工作范围内,从而确定合理的拉索张拉方案。
7.4.2 张拉前应对张拉系统的设备和仪表进行标定,标定时应由千斤顶主动顶加载试验设备,并应绘出图表供现场使用。
条文说明
7.4.2根据实际经验,千斤顶标定时试验机主动压千斤顶与千斤顶主动顶试验机两者的试验结果是不同的。因此试验时,应模拟施工中千斤顶主动顶工件的工况。
7.4.3 拉索张拉应遵循分阶段、分级、对称、缓慢匀速、同步加载的原则。
条文说明
7.4.3当需要张拉的索数量较多、张拉设备不足时,可以将索分批进行张拉,但分批张拉也应对称进行。 张拉过程中,张拉预应力在结构传递是经过一定时间逐步完成的,因此,应缓慢均匀地张拉,同批张拉的索应同步张拉。 由于可能存在预应力传递过程摩擦损失、索松弛及锚具锚固效率等问题造成的预应力损失。因此,可根据具体情况确定是否需要超张拉,超张拉值应控制在规定的结构安全工作范围内。
7.4.4 拉索张拉前应确定以索力控制为主或结构位移控制为主的原则。对结构重要部位宜同时进行索力和位移双控制;并应规定索力和位移的允许偏差。
条文说明
7.4.4不同的索结构对预应力变化的敏感程度不同。因此,在张拉前应由设计单位和施工单位共同确定张拉的控制原则,即是控制索力还是控制位移,或两者兼控,并确定索力及位移的允许偏差值。一般宜控制在10%以内。
7.4.5 拉索张拉过程中应检测并复核拉力、实际伸长量和油缸伸出量,每级张拉时间不应少于0. 5min,并应做好记录。记录内容应包括:日期、时间、环境温度、索力、索伸长量和结构位移的测量值。
条文说明
7.4.5本条规定的张拉时间为最低要求值。
7.4.6 由单根钢绞线组成的群锚,可逐根张拉拉索。
7.4.7 采用张拉设备施加预应力时,其作用点形心应经过拉索轴线。
7.4.8 拉索张拉时可直接用千斤顶与经校验的配套压力表监控拉索的张拉力。必要时,也可用其他测力装置同步监控拉索的张拉力。
7.4.9 悬索结构的拉索张拉尚应满足下列要求:
1 张拉时,应综合考虑边缘构件及支承结构刚度与索力间的相互影响;
2 拉索分阶段分级张拉时,应防止边缘构件与屋面构件变形过大;
3 各阶段张拉后,应检查张拉力、拱度及挠度;张拉力允许偏差不宜大于设计值10%,拱度及挠度允许偏差不宜大于设计值5%。
条文说明
7.4.9悬索结构属于柔性结构,张拉时,可能会比较敏感地改变屋面形态,而屋面形态的改变又会直接影响结构内力分布,因此,屋面的拱度和挠度控制精度应更严格。
7.4.10 斜拉结构的拉索张拉应考虑立柱、钢架和拱架等支承结构与被吊挂结构的变形协调以及结构变形对索力的影响,施工时应以结构关键点的变形量及索力作为主要施工监控内容。
条文说明
7.4.10斜拉结构当采用桅杆支撑且其根部节点为球铰时,桅杆顶部位移对预应力张拉较为敏感,在张拉过程中应用多台经纬仪进行观测监控,以保证其在安全范围内摆动,张拉结束后,要求结构曲面、标高、桅杆倾斜方向及角度皆符合设计要求。
7.4.11 张弦梁、张弦拱、张弦桁架的拉索张拉尚应满足下列要求:
1 在钢结构拼装完成、拉索安装到位后,进行拉索预紧,预紧力宜取预应力状态索力的10%~15%;
2 张拉过程中应保证结构的平面外稳定。
7.4.12 张弦网壳结构的拉索张拉,应考虑多索分批张拉相互间的影响,单层网壳和厚度较小的双层网壳的拉索张拉时,应注意防止结构的局部或整体失稳。
条文说明
7.4.12张弦网壳采取分批张拉时,应对称进行。
7.4.13 在索力、位移调整完成后,对于钢绞线拉索的夹片锚具应采取防松措施,使夹片在低应力状态下不至松动。对钢丝拉索端的连接螺纹应检查螺纹咬合丝扣数量和螺母外露丝扣长度是否满足设计要求,并应在螺纹上加装防松装置。
7.4.14 在玻璃幕墙、采光顶的拉索张拉施工完成后,在面板安装前可根据拉索的分布情况进行配重检测,配重量取1.05倍至1.2倍的面板自重。
7.4.15 拉索张拉时应考虑预应力损失,张拉端锚固压实内缩引起的预应力损失σ l1 应按下式计算:

条文说明
7.4.15拉索张拉时应考虑预应力损失。其中因拉索张拉端锚固压实内缩引起的预应力损失σl1将随索的长度增加而减少。在实际工程中,拉索长度较短时(如20m~30m)需要考虑预应力损失情况,当拉索长度较长时,锚固的压实内缩量引起的预应力损失很小,可忽略不计。 当有条件采用测试仪器测定索力时,除预应力松弛损失外,其他预应力损失可不进行计算,直接根据测试仪器控制张拉索力。
7.5 防护要求
7.5 防护要求
7.5.1 室外拉索应采取可靠的密封防水、防腐蚀和耐老化措施;室内拉索应采取可靠的防火措施和相应的防腐蚀措施。
7.5.2 索体采取普通防腐时,对高强钢丝或钢绞线应进行镀锌、镀铝锌、防锈漆、环氧喷涂处理或对索体包裹护套;索体采取多层防护时,对高强钢丝和钢绞线应经防腐蚀处理后再在索体外包裹护套;两端锚具应采用表面镀层防腐蚀或喷涂防腐涂料。
条文说明
7.5.2室外拉索的防护要求较严,尤其是两端锚具部位。室外拉索的防腐蚀主要考虑防止雨水侵蚀,以及密封材料的老化。各种防腐方式根据使用条件和结构主要性能等因素选用。必要时可考虑换索要求。 锚具的零件防腐蚀可参照钢结构的防腐蚀要求处理,室外锚具不宜采用冷镀锌处理。应特别重视钢绞线拉索端头处的防腐蚀密封处理。 本条中所列的防腐蚀方法适用于环境为一般大气介质条件,实践证明比较有效。如有其他可靠的方法,证明有效者也可使用。
7.5.3 当拉索外露的塑料护套有耐老化要求时,应采用双层塑料护套,内层添加抗老化剂和抗紫外线成分,外层应满足建筑色彩要求。
7.5.4 索体防火宜采用钢管内布索、钢管外涂敷防火涂料保护的方法,当拉索外露的塑料护套有防火要求时,应在塑料护套中添加阻燃材料或外涂满足防火要求的特殊涂料。
条文说明
7.5.4当有消防要求时,室内拉索应考虑满足防火的基本要求。带塑料护套的拉索,其防火可参照电线电缆的防火涂料做法。
7.6 维护
7.6 维 护
7.6.1 拉索的维护应由工程承包单位会同设计、制作、安装单位共同编制维护手册,交业主在日常使用中执行。其余构件维护可按国家现行有关标准执行。
7.6.2 应定期检查拉索在使用过程中是否出现松弛现象,并应采用恰当措施予以张紧。
条文说明
7.6.2索结构在使用过程中,由于存在季节温度变化、风雨冰雪等气象现象作用以及动荷载、混凝土的徐变、索松弛及支座沉降等多种因素影响。拉索的预应力会降低,根据需要可进行定期检查,建议结构完工后半年一次,以后可一年一次,稳定后可不进行观测。
7.6.3 索体护套破损后所用的修补材料应与原护套材料一致,修补后的护套性能应与原性能一致。
7.7 验收
7.7 验 收
7.7.1 索结构作为子分部工程,应按现行国家标准《钢结构工程施工质量验收规范》GB 50205和本规程的规定,按制作分项工程、安装分项工程和索张拉分项工程分别进行验收。
7.7.2 验收应具备下列资料:
1 结构设计图、竣工图、图纸会审记录、设计变更文件、使用软件名称;
2 施工组织设计、技术交底记录;
3 产品质量保证书、产品出厂检验报告、制作工艺设计;
4 施工检验记录,隐蔽工程验收记录,加工、安装自检记录;千斤顶标定记录;拉索张拉及结构变位记录、张拉行程记录;
5 锚具无损探伤报告。
7.7.3 拉索制作分项工程应按下列规定进行验收:
1 主控项目
1)拉索外径允许偏差应按现行国家标准《斜拉桥热挤聚乙烯高强钢丝拉索技术条件》GB/T 18365验收;
2)成品拉索长度允许偏差应符合本规程第7.2.5条的规定;
3)成品钢拉杆长度允许偏差应符合本规程第7. 2.6条的规定;
4)索体材料及性能应符合本规程第4.2节的规定。
2 一般项目
1)索体表面应圆整、光洁、无损伤、无污垢、护套无破损;
2)锚具、销轴及其他连接件表面应无损伤;锚具护层不应存在破损、起皱、发白等情况,护层外观均匀有一定光泽。
7.7.4 索安装分项工程应按下列规定进行验收:
1 主控项目
1)安装完成的索力和垂度、拱度应符合设计要求;
2)拉索和其他结构构件连接的节点应符合设计要求;
3)所有锚具和其他连接件应符合设计要求。
2 一般项目
1)安装完成后,索体表面应圆整、光洁、无损伤、无污垢、护套无破损,如果护套存在破损,应作相应的修补;
2)安装完成后,锚具、销轴及其他连接件表面应无损伤;如果存在损伤,应作相应的修补。
7.7.5 拉索张拉分项工程应按下列规定进行验收:
1 主控项目
1)张拉完成后的拉索拉力和拱度、挠度应满足设计要求;
2)拉索和其他结构构件连接的节点应满足设计要求;
3)所有锚具和其他连接件应满足设计要求。
2 一般项目
1)张拉完成后,索体表面应圆整、光洁、无损伤、无污垢、护套无破损;
2)张拉完成后,锚具、销轴及其他连接件应无损伤;
3)张拉完成后结构变形均符合设计要求。
7.7.6 拉索张拉完成后,索体、锚具及其他连接件的永久性防护工程应满足设计要求。
附录A索结构屋面的雪荷载积雪分布系数
附录A 索结构屋面的雪荷载积雪分布系数
A.0.1 矩形、单曲下凹屋面,碟形屋面,伞形屋面,椭圆平面、马鞍形屋面的雪荷载积雪分布系数宜分别按图A. 0.1-1~图A.0.1-4采用。


附录B单索在任意分布荷载下的解析法计算
附录B 单索在任意分布荷载下的解析法计算
B.0.1 在初始任意分布荷载q 0 (x)下,单索的初始几何形态宜按下式计算(图B. 0.1):

B.0.2 当分布荷载由初始q 0 (x)增加到q L (x)时,单索的拉力水平分量可按下式计算(图B. 0.2)。

单索的几何形态可按下式计算:


附录C横向加劲索系在均布荷载作用下的简化计算
附录C 横向加劲索系在均布荷载作用下的简化计算
C.0.1 在均布荷载作用下的横向加劲索系(图C. 0.1)静力简化计算可采用本方法,其中各索截面A、各横向加劲构件的抗弯刚度D及抗剪刚度G s 均为相同。

C.0.2 跨中的横向加劲构件支座的下压量△ m 可按下式计算:

其他第i榀横向加劲构件支座的下压量△ i 可按下式计算:


式(C. 0.2-1)、式(C. 0.2-2)中的计算参数可按下列规定计算确定:
1 单索在单位荷载作用下的跨中挠度值ω 1 可按下列公式计算:

2 β i 是与索和横向加劲构件刚度比λ i 及加劲构件抗弯刚度和抗剪刚度比γ相关的参数,按下列公式计算:


C.0.3 支座下压后跨中横向加劲构件支座反力R m 可按下式计算:

C.0.4 支座下压后各索拉力的水平分量H j 可按下式计算:

C.0.5 支座下压后及均布荷载下索拉力的水平分量H j 应按本规程式(C. 0.4-1)、式(C.0.4-2)、式(C. 0. 4-3)、式(C. 0.4-4)计算,其中q d0 应按q d 取用。
C.0.6 支座下压后均布荷载作用下,横向加劲索系几何曲面函数Z(x,y)可按下式确定:

C.0.7 横向加劲构件在支座下压后和均布荷载作用下的弯矩函数可按下式计算:

附录D索结构屋面的风载体型系数
附录D 索结构屋面的风载体型系数


附录E单索及横向加劲索系的结构自振频率和振型简化计算
附录E 单索及横向加劲索系的结构自振频率和振型简化计算
E.0.1 平行布置的单索的自振频率和振型可近似按下式计算:
1 自振频率计算公式:

按式(E. 0. 1-2)计算 ω i 时,将出现两个频率解,当该对称振型的两个频率解均在前后两个反对称振型频率之间时,该对称振型的两个频率解均为真实解,否则只有一个真实解。
式(E. 0. 1-2)中的λ应按下式确定:

2 振型计算公式:

式中ω i 及α i 应按下列公式确定:

E.0.2 横向加劲索系的自振频率和振型可近似按下式计算:
1 自振频率计算公式:

按式(E.0.2-3)计算 ω ij 时,将出现两个频率解,当该对称振型的两个频率解均在前后两个反对称振型频率之间时,该对称振型的两个频率解均为真实解,否则只有一个真实解。
2 振型计算公式:


本规程用词说明
本规程用词说明
1 为便于在执行本规程条文时区别对待,对要求严格程度不同的用词说明如下:
1)表示很严格,非这样做不可的:
正面词采用“必须”,反面词采用“严禁”;
2)表示严格,在正常情况下均应这样做的:
正面词采用“应”,反面词采用“不应”或“不得”;
3)表示允许稍有选择,在条件许可时首先这样做的:
正面词采用“宜”,反面词采用“不宜”;
4)表示有选择,在一定条件下可以这样做的,采用“可”。
2 条文中指明应按其他有关标准执行的写法为“应符合……的规定”或“应按……执行”。
引用标准名录
引用标准名录
1《建筑结构荷载规范》GB 50009
2《建筑抗震设计规范》GB 50011
3《钢结构设计规范》GB 50017
4《钢结构工程施工质量验收规范》GB 50205
5《优质碳素结构钢》GB/T 699
6《低合金高强度结构钢》GB/T 1591
7《合金结构钢》GB/T 3077
8《锻轧钢棒超声检验方法》GB/T 4162
9《预应力混凝土用钢绞线》GB/T 5224
10 《铸钢件 超声检测 第1部分:一般用途铸钢件》GB/T 7233.1
11 《不锈钢丝绳》GB/T 9944
12 《一般工程用铸造碳钢件》GB/T 11352
13 《预应力筋用锚具、夹具和连接器》GB/T 14370
14 《桥梁缆索用热镀锌钢丝》GB/T 17101
15 《斜拉桥热挤聚乙烯高强钢丝拉索技术条件》GB/T 18365
16 《一般用途钢丝绳》GB/T 20118
17 《钢拉杆》GB/T 20934
18 《建筑幕墙》GB/T 21086
19 《空间网格结构技术规程》JGJ 7
20 《预应力筋用锚具、夹具和连接器应用技术规程》JGJ 85
21 《建筑用不锈钢绞线》JG/T 200
22 《建筑幕墙用钢索压管接头》JG/T 201
23 《锻钢件磁粉检验方法)JB/T 8468
24 《桥梁缆索用高密度聚乙烯护套料》CJ/T 297
25 《塑料护套半平行钢丝拉索》CJ 3058
26 《冶金设备制造通用技术条件 锻件》YB/T 036.7
27 《高强度低松弛预应力热镀锌钢绞线》YB/T 152
28 《镀锌钢绞线》YB/T 5004
29 《密封钢丝绳》YB/T 5295
自2022年1月1日起废止的条文

