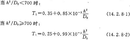
Appearance
《构筑物抗震设计规范》GB 50191-2012
🗓️ 实施时间: 2012-10-01
总 则
1 总 则
1.0.1 为贯彻执行国家有关防震减灾法律法规,并实行以预防为主的方针,使构筑物经抗震设防后,减轻地震破坏,避免人员伤亡或完全丧失使用功能,减少经济损失,制定本规范。
条文说明
1.0.1 国家有关的防震减灾法律、法规主要指《中华人民共和国建筑法》、《中华人民共和国防震减灾法》及相关的条例等。
1.0.2 本规范适用于抗震设防烈度为6度~9度地区构筑物的抗震设计。
条文说明
1.0.2 本规范的适用范围,仍与原规范相同,适用于6度~9度一般构筑物抗震设计。鉴于近数十年来很多6度地震区发生了较大的地震,甚至发生特大地震,因此,对6度区的构筑物应进行抗震设计,采取相应的抗震措施,以减轻地震灾害。
本次修订,按现行国家标准《中国地震动参数区划图》GB 18306-2001(图A)的规定,增加7度强(0.15g)和8度强(0.30g)两个分档。
关于大于9度地区的构筑物抗震设计,由于缺乏可靠的近场地震资料和数据,本规范尚未给出具体设计规定,目前可按建设部印发(89)建抗字第426号《地震基本烈度X度区建筑抗震设防暂行规定》执行,并结合构筑物的特点进行理论和试验研究,确定其分析方法和抗震构造措施。对于结构形式特殊的电视塔、框排架结构等构筑物或超过本规范适用范围的构筑物,也应通过专门的研究为设计提供依据。
1.0.3 按本规范进行抗震设计的构筑物,在50年设计使用年限内的抗震设防目标当遭受低于本地区抗震设防烈度的多遇地震影响时,主体结构不受损坏或不需修理,可继续使用;当遭受相当于本地区抗震设防烈度的设防地震影响时,结构的损坏经一般修理可继续使用;当遭受高于本地区抗震设防烈度的罕遇地震影响时,不应发生整体倒塌。
条文说明
1.0.3 抗震设防目标同原规范一样。构筑物的抗震设防的基本原则和目标是通过“三个水准、两阶段”设计,达到减轻地震破坏,避免人员伤亡或完全丧失使用功能,减少经济损失。本规范所包含的构筑物,大多数为工业构筑物,部分为民用构筑物,这些构筑物的地震破坏可能产生直接灾害,也可能产生次生灾害。因此,减轻地震破坏程度也包括减轻次生灾害。保障地震安全的程度是受到科学技术和国家经济条件两方面制约的。构筑物抗震设计规范与其他规范一样,要根据国家的实际经济条件,取用适当的设防水准,使其具有可行性。
本条规定三个水准的抗震设防目标,即“小震不坏,中震可修,大震不倒”。遭遇多遇地震影响时,结构基本处于弹性工作状态,不需修理仍能保持其使用功能。遭遇设防地震影响时,结构的主要受力构件局部可能出现塑性或其他非线性轻微损坏,使损坏控制在经一般修理即可恢复其使用功能的范围,即结构处于有限塑性变形的弹塑性工作阶段。罕遇地震的设防水准,根据中国建筑科学研究院抗震所对全国60多个城市的地震危险性分析结果,合理的设防目标是50年超越概率为2%~3%;遭此地震影响时,地震烈度大致高于设防烈度一度,结构无论从整体还是某些层位,已处于弹塑性工作阶段,此时结构的变形较大,但还是控制在规定的范围内,结构尚未失去竖向承载能力,不致出现结构整体倒塌。
为实现三个设防水准的要求,本规范采用二阶段设计。第一阶段设计是按第一设防水准(多遇地震)或第二设防水准(设防地震)进行结构强度验算;对大多数结构,可通过抗震设计的基本要求(即概念设计)和抗震构造措施要求来满足第三水准(罕遇地震)的设计要求。第二阶段设计则是对一部分较重要的构筑物和地震时易倒塌的构筑物,除满足第一阶段设计要求外,还要按高于设防烈度一度的大震进行弹塑性变形验算,并要进行薄弱部位的弹塑性层间变形验算,以满足第三水准的设防要求。涉及土层液化判别(如尾矿坝和挡土结构等)问题时,则按第二设防水准进行验算。
1.0.4 抗震设防烈度为6度及以上地区的构筑物,必须进行抗震设计。
条文说明
1.0.4 本条是强制性条文,要求处于抗震设防地区的所有新建构筑物必须进行抗震设计。
1.0.5 抗震设防烈度和设计地震动参数必须按国家规定的权限审批颁发的文件(图件)确定,并按批准文件采用。
条文说明
1.0.5 本条为强制性条文,作为抗震设防依据的设防烈度和地震动参数,必须按国家规定的地震动区划图,文件采用。
1.0.6 抗震设防烈度应采用现行国家标准《中国地震动参数区划图》GB 18306的地震基本烈度,或采用与本规范设计基本地震加速度值对应的烈度值。已完成地震安全性评价的工程场地,宜按经批准的抗震设防烈度或设计地震动参数进行抗震设防。
条文说明
1.0.6 本条是抗震设防的基本依据。一般情况下,抗震设防烈度是按现行国家标准《中国地震动参数区划图》GB?18306的基本烈度采用。正如《中国地震动数区划图》GB?18306-2001使用规定指出:“下列工程或地区的抗震设防要求不应直接采用本标准,需做专门研究:a)抗震设防要求高于本地震动参数区划图抗震设防要求的重大工程、可能发生严重次生灾害的工程、核电站和其他有特殊要求的核设施建设工程;b)位于地震动参数区划分界线附近的新建、扩建、改建建设工程;c)某些地震研究程度和资料详细程度较差的边远地区;d)位于复杂工程地质条件区域的大城市、大型厂矿企业、长距离生命线工程以及新建开发区等。”
1.0.7 构筑物的抗震设计除应符合本规范外,尚应符合国家现行有关标准的规定。
术语和符号
2.1 术 语
2.1 术 语
2.1.1 地震基本烈度 basic seismic intensity
在50年期限内,一般场地条件下,可能遭遇的超越概率为10%的地震烈度值,相当于475年一遇的烈度值。
2.1.2 抗震设防烈度 seismic precautionary intensity
按国家规定的权限批准作为一个地区抗震设防依据的地震烈度,一般情况下,取地震基本烈度。
2.1.3 抗震设防标准 seismic precautionary criterion
衡量抗震设防要求高低的尺度,由抗震设防烈度或设计地震动参数及构筑物抗震设防类别确定。
条文说明
2.1.3 抗震设防标准是一种衡量对构筑物抗震能力要求高低的综合尺度,既取决于建设地点预期地震动强弱的不同,又取决于构筑物抗震设防类别的不同。本规范规定的设防标准是最低要求。
2.1.4 地震作用 earthquake action
由地震动引起的结构动态作用,包括水平地震作用和竖向地震作用。
条文说明
2.1.4 地震作用的含义强调了其动态作用的性质,不仅是加速度的作用,还包括地震动的速度和位移的作用。
2.1.5 设计地震动参数 design parameters of ground motion
抗震设计用的地震加速度(速度、位移)时程曲线、加速度反应谱和峰值加速度。
2.1.6 设计基本地震加速度 design basic acceleration of ground motion
50年设计基准期,超越概率为10%的地震加速度的设计取值。
2.1.7 特征周期 characteristic period of ground motion
抗震设计用的地震影响系数曲线中,反映地震震级、震中距和场地类别等因素的下降段起始点对应的周期值。
2.1.8 地震影响系数 seismic influence coefficient
单质点弹性体系在地震作用下的最大加速度反应与重力加速度比值的统计平均值。
2.1.9 场地 site
具有相似的反应谱特征的工程群体所在地。
2.1.10 构筑物抗震概念设计 seismic concept design of special structures
根据地震灾害和工程经验等所形成的基本设计原则和设计思想,对构筑物进行工艺布置和结构选型及其确定细部构造的设计过程。
2.1.11 地震作用效应 seismic action effect
在地震作用下,结构产生的剪力、弯矩、轴向力、扭矩等内力或线位移、角位移等变形。
2.1.12 地震作用效应调整系数 modified coefficient of seismic action effect
抗震分析中结构计算模型的简化和弹塑性内力重分布或其他因素的影响,在结构或构件设计时对地震作用效应进行调整的系数。
2.1.13 承载力抗震调整系数 modified coefficient of seismic bearing capacity
结构构件截面抗震验算中,由于静力与抗震设计可靠度的区别和不同构件抗震性能的差异,将不同材料结构设计规范规定的截面承载力设计值调整为抗震承载力设计值的系数。
2.1.14 抗震措施 seismic measures
除地震作用计算和抗力计算以外的抗震设计内容,包括抗震设计的基本要求、抗震构造措施和地基基础的抗震措施等。
2.1.15 抗震构造措施 details of seismic design
根据抗震概念设计原则,一般不需计算而对结构和非结构部件必须采取的细部要求。
2.2 符 号
2.2 符 号
2.2.1 作用和作用效应
FEk、FEvk——结构总水平、竖向地震作用标准值;
GE、Gcq——地震时结构(构件)的重力荷载代表值、等效总重力荷载代表值;
ωk——风荷载标准值;
SE——地震作用效应(弯矩、轴向力、剪力、应力和变形);
S——地震作用效应与其他荷载效应的基本组合;
Sk——作用、荷载标准值的效应;
M——弯矩;
N——轴向力;
V——剪力;
p——基础底面压力;
u——侧移;
θ——结构层位移角。
2.2.3 几何参数
A——构件截面面积;
As——钢筋截面面积;
B——结构总宽度;
H——结构总高度、柱高度;
L——结构(单元)总长度;
a——距离;
as、a′s——纵向受拉、受压钢筋合力点至截面边缘的最小距离;
b——构件截面宽度;
d——土层深度或厚度,钢筋直径;
h——计算结构层高度,构件截面高度;
l——构件长度或跨度;
t——抗震墙厚度、结构层楼板厚度、钢板厚度,时间。
2.2.4 计算系数
α——水平地震影响系数;
αmax——水平地震影响系数最大值;
αvmax——竖向地震影响系数最大值;
γG、γE、γW——作用分项系数;
γRE——承载力抗震调整系数;
ζ——阻尼比;
ε——结构类型指数;
δ——结构基本振型指数;
η——地震作用效应(内力和变形)的增大或调整系数;
λ——构件长细比,比例系数,修正系数,剪跨比;
ξy——结构(构件)屈服强度系数;
ρ——配筋率,比率,耦联系数;
φ——构件受压稳定系数;
ψ——组合值系数,影响系数。
2.2.5 其他
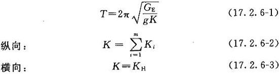
T——结构自振周期;
N——贯入锤击数;
IlE——液化指数;
Xji——位移振型坐标(j振型i质点的x方向相对位移);
Yji——位移振型坐标(j振型i质点的y方向相对位移);
n——总数,如结构层数、质点数、钢筋根数、跨数等;
υse——土层等效剪切波速;
ji——转角振型坐标(j振型i质点的转角方向相对位移);
lsE——钢筋的抗震锚固长度;
ls——受拉钢筋的锚固长度。
基本规定
3.1 设防分类和设防标准
3.1 设防分类和设防标准
3.1.1 构筑物的抗震设防类别及其抗震设防标准应按现行国家标准《建筑工程抗震设防分类标准》GB 50223的有关规定执行。
条文说明
3.1.1 构筑物的抗震设防分类和设防标准与现行国家标准《建筑工程抗震设防分类标准》GB 50223完全相同。确定构筑物抗震设防类别的标准是根据其重要性和受地震破坏后果的严重程度,其中包括人员伤亡、经济损失、社会影响等;对于严格要求连续生产的重要厂矿,其震害后果还应包括停产造成的损失。当停产超过工艺限定的时间时,还可能导致整个生产线更长时间停顿的恶果。如锅炉钢结构、焦炉、高炉等,当失去恒温条件时,将导致内衬开裂、炉体报废,从而使恢复生产的时间大为延长;井塔、井架等矿井的安全出口如地震时发生堵塞,将会导致严重的后果;运送、贮存易燃、易爆和有毒介质的管道、贮罐一旦破坏,将会造成严重的次生灾害。因此,对这些与生命线工程相关的构筑物,在估量其震害后果划分重要性类别时,还应考虑对恢复生产的影响程度,与一般民用建筑和工业建筑相比,其要求从严。此外,像电视塔这样的构筑物,一旦建成,它在城市中就占有特殊地位,在确定重要性类别时,要结合城市的等级考虑其政治影响与社会稳定等因素,从严掌握。
现行国家标准《建筑工程抗震设防分类标准》GB 50223中的特殊设防类、重点设防类、标准设防类、适度设防类,在本规范中分别采用甲类、乙类、丙类、丁类表述。
根据现行国家标准《建筑工程抗震设防分类标准》GB 50223的规定,在本规范中只有电视塔属于甲类构筑物。对于甲类构筑物,按地震安全性评价结果高于本规范抗震设防烈度来确定地震作用,而抗震措施要提高一度。对于现行国家标准《建筑工程抗震设防分类标准》GB?50223规定以外的如尾矿坝等构筑物,应按本规范的规定确定抗震设防分类,并采用相应的设防标准。
3.1.2 抗震设防烈度为6度时,除应符合本规范的有关规定外,对乙类、丙类、丁类构筑物可不进行地震作用计算。
条文说明
3.1.2 6度设防的构筑物,其结构设计通常不是由地震作用控制。为减少设计工程量,除本规范另有规定外,对6度时可仅进行抗震措施设计,不要求进行地震作用计算。
3.2 地震影响
3.2 地震影响
3.2.1 构筑物所在地区遭受的地震影响,应采用相应于抗震设防烈度的设计基本地震加速度和特征周期或按本规范第1章的有关规定确定的设计地震动参数表征。
3.2.2 抗震设防烈度和设计基本地震加速度取值的对应关系应符合表3.2.2的规定。设计基本地震加速度为0.15g和0.30g地区内的构筑物,除本规范另有规定外,应分别按抗震设防烈度7度和8度的要求进行抗震设计。
表3.2.2 抗震设防烈度和设计基本地震加速度值的对应关系

3.2.3 特征周期应根据构筑物所在地的设计地震分组和场地类别确定。特征周期应按本规范第5章的有关规定采用。
3.2.4 我国主要城镇的抗震设防烈度、设计基本地震加速度值和设计地震分组可按本规范附录A采用。
条文说明
3.2.1~3.2.4 构筑物在特定场地条件下所受到的地震影响,除与地震震级(地震动强度)大小有关外,主要取决于该场地条件下反应谱频谱特性中的特征周期值。反应谱(地震影响系数曲线)的特征周期又与震级大小和震中距远近有关,为此引入“特征周期”的概念。在本规范中,特征周期是通过设计所用的地震影响系数特征周期Tg来表征。为了更好地体现震级和震中距的影响,在现行国家标准《中国地震动参数区划图》GB?18306-2001中附录B(中国地震动反应谱特征周期区划图)的基础上将远震部分作了收缩调整,按现行国家标准《建筑抗震设计规范》GB?50011附录A(我国主要城镇抗震设防烈度、设计基本地震加速度和设计地震分组)进行设计地震分组,按三组分别给出特征周期值。
关于设计基本地震加速度的取值,仍按建设部1992年7月3日颁发的建标[1992]419号《关于统一抗震设计规范地面运动加速度设计取值的通知》给出。其定义:50年设计基准期超越概率10%的地震加速度的设计取值:7度0.1g,8度0.2g,9度0.4g。此外,在表3.2.2中还按《中国地震动参数区划图》GB?18306-2001附录A(中国地震动峰值加速度区划图)引入了6度区设计基本地震加速度值0.05g,并将0.15g和0.30g区域分别列入7度区和8度区。
3.3 场地和地基基础
3.3 场地和地基基础
3.3.1 选择构筑物场地时,应根据工程规划、地震活动情况、工程地质和地震地质等有关资料,对抗震有利地段、一般地段、不利地段和危险地段作出综合评价。对不利地段,应提出避开要求;当无法避开时,应采取有效的抗震措施。
3.3.2 经综合评价后划分的危险地段,严禁建造甲类、乙类构筑物,不应建造丙类构筑物。
条文说明
3.3.1、3.3.2 在进行工程规划、地震安全性评价和工程地质勘探时,均应按本规范第4.1.1条的规定对工程场地进行有利地段、一般地段、不利地段和危险地段的综合评定与划分,除丁类外,提出避开不利地段和不在危险地段建造构筑物的要求。甲类、乙类构筑物,严禁建造在危险地段;丙类构筑物不应建造在危险地段,这是汶川和玉树地震所证实的。第3.3.2条为强制性条文。
3.3.3 工程场地为Ⅰ类时,甲类、乙类构筑物可仍按本地区抗震设防烈度的要求采取抗震构造措施;丙类构筑物可按本地区抗震设防烈度降低一度要求采取抗震构造措施,但抗震设防烈度为6度时,仍应按本地区抗震设防烈度的要求采取抗震构造措施。
3.3.4 工程场地为Ⅲ、Ⅳ类时,对设计基本地震加速度为0.15g和0.30g的地区,除本规范另有规定外,宜分别按设计基本加速度0.20g(8度)和0.40g(9度)时各抗震设防类别构筑物的要求采取抗震构造措施。
条文说明
3.3.3、3.3.4 这两条是在现行国家标准《建筑工程抗震设防分类标准》GB 50223的强制性条文规定的基础上的补充规定。历次大地震的经验表明,建造于Ⅰ类场地的类似构筑物的震害较轻,所以对甲类、乙类构筑物不要求提高一度采取抗震构造措施。在Ⅰ类场地的丙类构筑物,仅允许降低抗震构造措施,但不得降低抗震措施中的其他要求。抗震措施中包括抗震构造措施,还包括概念设计要求和地基基础等方面的要求。
本规范中所有构筑物在抗震设计时,仅允许降低或提高一次抗震措施或抗震构造措施要求,不得重复降低或提高。如丁类构筑物已允许降低抗震措施要求,不能再次降低抗震构造措施。
Ⅲ、Ⅳ类场地上的类似构筑物地震破坏明显加重,所以对Ⅲ、Ⅳ类场地的设计基本地震加速度为0.15g和0.30g地区各设防类别的构筑物,除有关章节另有具体规定外,要求分别按8度和9度采取抗震构造措施,不提高抗震措施中的其他要求,如概念设计中要求的内力调整措施等。
3.3.5 地基和基础设计应符合下列规定:
1 同一结构单元的基础不宜设置在性质截然不同的地基上。
2 同一结构单元不宜部分采用天然地基部分采用桩基;当采用不同基础类型或基础埋深显著不同时,应根据地震时两部分地基基础的沉降差异和结构反应分析结果,在基础、上部结构的相关部位采取相应措施。
3 地基主要持力层范围内存在液化土、软弱黏性土、新近填土或严重不均匀土时,应根据地震时地基不均匀沉降的大小或其他不利影响采取相应的措施。
条文说明
3.3.5 本条第1、2款,对一般体型不大的构筑物均可满足要求;但对于大型构筑物若不满足要求时,可通过地震作用下的地基变形和结构反应分析确定地基、地上结构的抗震措施。
3.3.6 山区工程场地和地基基础设计应符合下列规定:
1 山区工程场地勘察应有边坡稳定性评价和防治方案建议;应根据地质、地形条件和使用要求,设置符合抗震设防要求的边坡工程。
2 边坡设计应符合现行国家标准《建筑边坡工程技术规范》GB 50330的有关规定;其稳定性验算时,摩擦角应根据设防烈度的高低进行修正。
3 边坡附近的构筑物基础应进行抗震稳定性设计。构筑物基础与土质或强风化岩质边坡的边缘应留有足够的距离,其值应根据抗震设防烈度的高低确定,并应采取防止地震时地基基础破坏的措施。
条文说明
3.3.6 2008年5月12日四川省汶川地震中,地质灾害对建(构)筑物的危害突出,因此对山区场地增加有关边坡稳定性和边坡安全距离等的原则要求。
3.4 结构体系与设计要求
3.4 结构体系与设计要求
3.4.1 构筑物设计应符合平面、立面和竖向剖面的规则性要求。不规则的构筑物应按规定采取加强措施;特别不规则的构筑物应进行专门的研究和论证,并应采取特别的加强措施;不应采用严重不规则的结构设计方案。
条文说明
3.4.1 构筑物在平面和竖向规则,是指平面、竖向外形简单、匀称,抗侧力构件布置对称、均匀,质量分布均匀,结构承载力分布均匀、无突变等。这是对设计工程师(包括建筑师、工艺设计师)在进行方案设计时的基本要求,是合理的概念设计的基本原则。严重不规则是指结构体型复杂,多项不规则指标超过本规范第3.4.6条上限值或某一项大大超过规定值。此时,结构会产生明显的抗震薄弱环节,将导致地震破坏的严重后果。特别不规则是指具有明显的抗震薄弱部位,地震时可能引起不良后果,因此必须专门研究论证。
3.4.2 构筑物的结构体系应根据工艺和功能要求、抗震设防类别、抗震设防烈度、结构高度、场地条件、地基、结构材料和施工等因素,经技术、经济和使用条件进行综合比较确定;8度、9度时,可采用隔震和消能减震设计。
条文说明
3.4.2 结构体系的合理性与经济性是密切相关的,应根据构筑物的抗震设防类别、抗震设防烈度、结构高度、场地条件、地基、结构材料和施工等因素,对设计方案进行综合分析、比较才能确定。
3.4.3 结构体系应符合下列规定:
1 应具有明确的计算简图和合理的地震作用传递途径。
2 应避免因部分结构或构件破坏而导致整体结构丧失抗震能力或丧失对重力荷载的承载能力。
3 应具备符合本规范要求的抗震承载力、变形能力和消耗地震能量的能力。
4 对薄弱部位应采取提高抗震能力的措施。
3.4.4 结构体系尚宜符合下列规定:
1 宜有多道抗震防线。
2 宜具有合理的刚度和承载力分布,宜避免因局部削弱或突变形成薄弱部位,产生过大的应力集中或塑性变形集中。
3 不宜采用自重大的悬臂结构。
4 结构在两个主轴方向的动力特性宜相近。
条文说明
3.4.3、3.4.4 明确的计算简图和合理的地震作用传递途径包括以下三重含义:在地震作用下结构的实际受力状态与计算简图相符;结构传递地震作用的路线不能中断;结构的地震反应通过最简捷的传力路线向地基反馈,充分发挥地基逸散阻尼效应对上部结构的减震作用。
关于薄弱层(部位)的概念,是本规范抗震设计的一个重要内容:
1 在罕遇地震作用下,结构的强度安全储备所剩无几,此时应按构件的实际承载力标准值来分析,判定薄弱层(部位)的安全性。
2 楼层(部位)的实际承载力和设计计算的弹性受力之比(即楼层的屈服强度系数)在高度方向要相对均匀变化,突变将会导致塑性变形集中和应力集中。
3 要避免仅对结构中某些构件或节点采取局部加强措施,造成整体结构的刚度、强度的不协调而使其他部位形成薄弱环节。
4 在抗震设计时要控制薄弱层(部位)有较好的变形能力,以避免薄弱层(部位)发生转移。
关于多道抗震防线的问题阐述如下:当采用几个分体系组联成整体结构体系时,要通过延性好的构件连接并达到协同工作。如框架-抗震墙体系,是由延性框架和抗震墙两个系统组合;双肢或多肢抗震墙体系由若干个单肢墙分系统组成。尽量增加结构体系的赘余度,吸收更多的地震能量,一个分体系遭到地震破坏,可由其他结构承担地震作用,保护整体结构,局部受损构件可以在震后修复。
3.4.5 构筑物抗侧力结构的平面布置宜规则对称,结构沿竖向侧移刚度宜均匀变化,竖向抗侧力构件的截面尺寸和材料强度宜自下而上逐渐减小,宜避免抗侧力结构的侧移刚度和承载力突变。
不规则构筑物的抗震设计应符合本规范第3.4.7条的有关规定。
3.4.6 构筑物形体及其构件布置的平面、竖向不规则性应符合下列规定:
1 混凝土结构、钢结构和钢-混凝土混合结构,存在表3.4.6-1中的平面不规则类型或表3.4.6-2中的竖向不规则类型以及类似的不规则类型时,应属于不规则的构筑物。
表3.4.6-1 平面不规则的主要类型

表3.4.6-2 竖向不规则的主要类型

2 当存在多项不规则或某项不规则超过规定的参考指标较多时,应属于特别不规则的构筑物。
条文说明
3.4.5、3.4.6 有关平面和竖向不规则结构的定义和相应的抗震设计计算要求,系引入现行国家标准《建筑抗震设计规范》GB?50011-2010的规定。
对于扭转不规则,若按刚性结构层计算,当最大层间位移与平均值的比值为1.2时,相当于一端为1.0,另一端为1.5;当比值为1.5时,相当于一端为1.0,另一端为3.0。美国FEMA(Federal Emergency Management Agency)的NEHRP(National Earthquake Hazards Reduction Program)规定限值为1.4。
对于较大的错层,如超过梁高的错层,需按楼板开洞对待。当错层面积大于该层总面积的30%时,则属于楼板局部不连续。楼板典型宽度按楼板外形的基本宽度计算。
上层缩进尺寸超过相邻下层对应尺寸的1/4,属于用尺寸来衡量侧移刚度不规则。侧移刚度可取地震作用下层剪力与层位移之比值计算。
3.4.7 构筑物形体及其构件布置不规则时,应按下列规定进行水平地震作用计算和内力调整,并应对薄弱部位采取抗震构造措施:
1 平面不规则而竖向规则的构筑物应采用空间结构计算模型,并应符合下列规定:
1)扭转不规则时,应计入扭转影响,且结构层竖向构件最大的弹性水平位移和层间位移分别不宜大于结构层两端弹性水平位移和层间位移平均值的1.5倍。
2)凹凸不规则或楼板局部不连续时,应采用符合楼板平面内实际刚度变化的计算模型;高烈度或不规则程度较大时,宜计入楼板局部变形影响。
3)平面不对称且凹凸不规则或局部不连续时,可根据实际情况分块计算扭转位移比,对扭转较大的部位应采用局部的内力增大系数进行调整。
2 平面规则而竖向不规则的构筑物应采用空间结构计算模型,刚度小的楼层的地震剪力应乘以不小于1.15的增大系数,其薄弱层应按本规范有关规定进行弹塑性变形分析,并应符合下列规定:
1)竖向抗侧力构件不连续时,该构件传递给水平转换构件的地震内力应根据烈度高低和水平转换构件的类型、受力情况、几何尺寸等,乘以1.25~2.0的增大系数。
2)侧移刚度不规则时,相邻层的侧移刚度比应依据其结构类型符合本规范的有关规定。
3)结构层承载力突变时,薄弱层抗侧力结构的受剪承载力不应小于相邻上一结构层的65%。
3 平面不规则且竖向不规则的构筑物应根据不规则类型的数量和程度,采取不低于本条第1、2款的规定。
3.4.8 体型复杂、平立面特别不规则的构筑物,可按实际需要在适当部位设置防震缝。
条文说明
3.4.7、3.4.8 对于体型复杂或平、立面不规则的构筑物,并不提倡一概设置防震缝,可以通过合理的抗震分析并采取相应的加强延性等抗震构造措施,不设防震缝。
3.4.9 防震缝应根据抗震设防烈度、结构材料种类、结构类型、结构单元的高度和高差情况,留有足够的宽度,其两侧的上部结构应完全分开。
3.4.10 当设置伸缩缝和沉降缝时,其宽度应符合防震缝的要求。
3.4.11 结构构件应符合下列规定:
1 砌体结构应按规定设置钢筋混凝土圈梁和构造柱、芯柱,也可采用配筋砌体等。
2 混凝土结构构件应控制截面尺寸和纵向受力钢筋、箍筋的设置。
3 预应力混凝土的构件应配有非预应力钢筋。
4 钢结构构件应控制截面尺寸。
5 多层构筑物的混凝土楼板、屋盖宜采用现浇混凝土板。当采用预制混凝土楼板、屋盖时,应采取确保各预制板之间整体连接的措施。
条文说明
3.4.11 对脆性材料(砌体和混凝土)的构件,提出改善变形能力、提高承载力的原则要求。对延性好的钢构件,主要防止因局部失稳(屈曲)和整体失稳而提前退出工作。对预应力混凝土抗侧力构件,为避免在地震作用下预应力有所降低,要求适当配置非预应力筋。
3.4.12 结构构件之间的连接应符合下列规定:
1 构件节点的破坏不应先于其连接的构件。
2 预埋件锚固的破坏不应先于连接件。
3 装配式结构构件的连接应能保证结构的整体性。
4 预应力混凝土构件的预应力钢筋宜在节点核芯区以外锚固。
条文说明
3.4.12 主体结构构件之间连接的可靠性是保证结构体系空间整体性的重要环节,也是保证结构整体振动与其动力计算简图和内力分析相一致的重要环节,即通过其连接节点的承载力达到发挥构件预期承载力、变形能力,以使整体结构具有良好的抗震能力。
3.4.13 构筑物的支撑系统应能保证地震时结构的整体性和稳定性,保证可靠地传递水平地震作用。
条文说明
3.4.13 本条的支撑系统包括屋盖支撑和柱间支撑等,设计上的不完善或不合理,将影响结构的整体性和抗震能力的发挥。
3.5 结构分析
3.5 结构分析
3.5.1 构筑物的结构应按多遇地震作用进行内力和变形分析,可假定结构与构件处于弹性工作状态,内力和变形分析可采用线性静力方法或线性动力方法。
条文说明
3.5.1 本规范中除少数构筑物按抗震设防烈度的设防地震进行抗震验算外,其余均按低于本地区抗震设防烈度的多遇地震作用进行反应(结构内力和变形)分析,此时假定结构及其构件均处于弹性工作状态。
3.5.2 不规则且具有明显薄弱部位,地震时可能导致严重破坏的构筑物,应按本规范有关规定进行罕遇地震作用下的弹塑性变形分析。可根据结构特点采用弹塑性静力分析或弹塑性时程分析方法。
本规范有具体规定时,亦可采用简化方法计算结构的弹塑性变形。
条文说明
3.5.2 通过现有工程实例分析,本规范仅对8度和9度区的部分场地条件下的钢筋混凝土框排架结构、柱承式筒仓、井架、井塔、电视塔等构筑物要求进行罕遇地震作用下的变形验算,也就是对其薄弱层(部位)进行层间弹塑性变形控制,以防止因变形集中导致结构倒塌。具体的分析方法可采用本规范给出的简化法,也可采用其他方法进行计算。
3.5.3 当结构在地震作用下的重力附加弯矩大于初始弯矩的10%时,应计入重力二阶效应的影响。
条文说明
3.5.3 当构筑物高宽比较大或具有薄弱层,框架结构或框架-抗震墙(支撑)结构稳定系数符合下式时,应考虑结构变形的几何非线性,即重力二阶效应的影响。

式中:θi——稳定系数;
Ma——重力附加弯矩,系指任一结构层以上全部重力荷载与该结构层地震平均层间位移的乘积;
M0——初始弯矩,系指该结构层的地震剪力与结构层层高的乘积;
∑Gi——第i层以上全部重力荷载设计值;
Δui——第i层楼层质心处的弹性或弹塑性层间位移;
Vi——第i层地震剪力设计值;
hi——第i层楼层高度。
上式规定是考虑重力二阶效应影响的下限,其上限则受弹性层间角位移限值控制。
一般情况下,结构的侧向稳定可以通过限制弹性层间位移来控制,尤其是对于钢筋混凝土框架-抗震墙结构,均可满足稳定系数小于0.1。对于侧移刚度较小的钢筋混凝土框架结构或钢框架结构,则应重视重力二阶效应问题。前者计算侧移时,尚应考虑侧移刚度折减。
弹性分析时,作为简化方法,二阶效应的内力增大系数可取1/(1-θ)。
3.5.4 结构抗震分析时,应根据各结构层在平面内的变形情况确定为刚性、半刚性和柔性等的横隔板,再按抗侧力系统的布置确定抗侧力构件间的共同工作,并应进行构件间的地震内力分析。
条文说明
3.5.4 刚性、半刚性、柔性横隔板是分别指在平面内不考虑变形、考虑变形、不考虑刚度的楼板或屋盖。
3.5.5 质量和侧移刚度分布接近对称且结构层可视为刚性横隔板的结构,以及本规范有关章节有具体规定的结构,可采用平面结构模型进行抗震分析。其他情况应采用空间结构模型进行抗震分析。
3.5.6 利用计算机进行结构抗震分析时,应符合下列规定:
1 计算模型的建立和简化计算处理应符合结构的实际工作状况,计算中应计入楼梯构件的影响。
2 计算软件的技术条件应符合本规范和国家现行有关标准的规定,并应阐明其特殊处理的内容和依据。
3 复杂结构进行多遇地震作用下的内力和变形分析时,应采用不少于2个的不同计算程序,并应对其计算结果进行分析比较。
4 对计算程序的计算结果,应经分析判定其合理性和有效性后再用于工程设计。
3.6 非结构构件
3.6 非结构构件
3.6.1 非结构构件,包括构筑物主体结构以外的结构构件、设施和机电等设备,自身及其与结构主体的连接应进行抗震设计。
3.6.2 非结构构件的抗震设计应由相关专业的设计人员分别负责完成。
3.6.3 附着于结构层上的非结构构件以及楼梯间的非承重墙体应采取与主体结构可靠连接或锚固等措施,并应确定其对主体结构的不利影响。
3.6.4 主体结构的围护墙和隔墙应分析其设置对结构抗震的不利影响,应避免不合理设置而导致主体结构的破坏。
3.6.5 在人员出入口、通道和重要设备附近的非结构构件应采取加强的安全措施。
条文说明
3.6.1~3.6.5 非结构构件、设施和设备应进行抗震设计,是地震中引发次生灾害、生产中断等众多震害后开始引起人们重视的问题。因此要求建筑师、设备工程师与结构工程师相互配合,对构筑物上的各种设备、管线及其与主体结构的连接应按同等设防烈度进行抗震验算,并采取可靠的固定措施。
围护墙、隔墙等非结构构件,与主体结构既要有可靠的拉结,又要求考虑对主体结构的不利影响,二者应协调起来。如柱间不到顶的填充墙,可使柱形成短柱破坏形态(脆性破坏)。第3.6.1条为强制性条文。
3.7 结构材料与施工
3.7 结构材料与施工
3.7.1 抗震结构对材料和施工质量的特别要求应在设计文件中注明。
条文说明
3.7.1 本条为强制性条文。抗震结构设计对材料和施工方面的要求,包括材料代用的技术要求,主要指材料的强度等级、延性、施工质量等要求,均应在设计文件中注明。
3.7.2 结构材料的性能指标应符合下列规定:
1 砌体结构材料应符合下列规定:
1)普通砖和多孔砖的强度等级不应低于MU10,其砌筑砂浆的强度等级不应低于M5;
2)混凝土小型空心砌块的强度等级不应低于MU7.5,其砌筑砂浆的强度等级不应低于M7.5。
2 混凝土结构材料应符合下列规定:
1)混凝土的强度等级,框支梁、框支柱和抗震等级为一级的框架梁、柱、节点核芯区不应低于C30;构造柱、芯柱、圈梁及其他各类构件不应低于C20;
2)抗震等级为一级、二级、三级的框架结构和斜撑构件(含梯段),其纵向受力钢筋采用普通钢筋时,钢筋的抗拉强度实测值与屈服强度实测值的比值不应小于1.25;钢筋的屈服强度实测值与屈服强度标准值的比值不应大于1.3;且钢筋在最大拉力下的总伸长率实测值不应小于9%。
3 钢结构的钢材应符合下列规定:
1)钢材的屈服强度实测值与抗拉强度实测值的比值不应大于0.85;
2)钢材应有明显的屈服台阶,且伸长率不应小于20%;
3)钢材应有良好的焊接性;
4)钢材应具有满足设计要求的冲击韧性。
3.7.3 结构材料性能指标尚应符合下列规定:
1 普通钢筋宜采用延性、韧性和焊接性较好的钢筋;普通钢筋的强度等级,纵向受力钢筋宜选用HRB400E、HRB500E、HRBF400E、HRBF500E级的热轧钢筋,箍筋宜选用符合抗震性能指标且不低于HRB335级的热轧钢筋,也可选用HPB300级的热轧钢筋。
2 钢筋的检验方法应符合现行国家标准《混凝土结构工程施工质量验收规范》GB 50204的有关规定。
3 混凝土结构的混凝土强度等级,抗震墙不宜超过C60;其他构件,9度时不宜超过C60,8度时不宜超过C70。
4 钢结构的钢材,Q235宜采用质量等级为B、C、D的碳素结构钢,Q345宜采用质量等级为B、C、D、E的低合金高强度结构钢,Q390、Q420、Q460宜采用质量等级为C、D、E的低合金高强度结构钢;当有可靠依据时,亦可采用其他钢种和钢号。
5 钢结构的地脚螺栓可选用Q235-B、C、D级钢或Q345-B、C、D、E级钢。
条文说明
3.7.2、3.7.3 对结构材料的要求,分为强制性条文和非强制性条文,第3.7.2条作出了强制性规定。
在钢筋混凝土结构中对混凝土强度等级的限制,是基于强度等级愈高,其脆性破坏的危险性愈大。
对一、二、三级框架结构和斜撑构件的纵向受力钢筋(普通钢筋),其抗拉强度实测值与屈服强度实测值的比值要求不小于1.25,是为了满足构件出现塑性铰时具有足够的转动能力、耗能能力。要求屈服强度实测值与标准值之比不大于1.3,是为了实现“强柱弱梁、强剪弱弯”规定的内力调整目标。
钢结构的钢材,目前主要按现行国家标准《低合金高强度结构钢》GB/T 1591、《建筑结构用钢板》GB/T 19879、《碳素结构钢》GB 700等规定选用。钢材的屈服强度决定了强度设计指标,但不宜过高。通过实测的屈强比不大于0.85、有明显的屈服台阶、伸长率不小于20%(试件标距为50mm)来保证钢材具有足够的塑性变形能力。按构筑物实际工作温度对钢材提出冲击韧性指标,也是抗震结构的一项重要要求。
现行国家标准《碳素结构钢》GB 700规定,各种牌号的A级钢其碳含量不作为交货条件,即碳含量不作为控制指标,这将影响钢材的焊接性,因此焊接结构不要采用A级钢。现行国家标准《低合金高强度结构钢》GB/T 1591中的A级钢不保证冲击韧性要求,因此也不建议采用。
现行国家标准《钢筋混凝土用钢 第2部分:热轧带肋钢筋》GB 1499.2规定,在钢号后加E为符合抗震性能指标钢筋。有关普通钢筋的选用,是按现行国家标准《混凝土结构设计规范》GB 50010中的有关规定作了修改。
3.7.4 在施工中,当以强度等级较高的钢筋替代原设计中的纵向受力钢筋时,应按钢筋受拉承载力设计值相等的原则换算,并应符合最小配筋率的要求。**
条文说明
3.7.4 本条为强制性条文,在钢筋混凝土施工中,如果采用不同型号、规格的钢筋代替时,应使替代后的纵向钢筋的总承载力设计值不高于原设计的总承载力的设计值,以免造成薄弱部位的转移,以及构件在有影响的部位发生脆性破坏(压碎或剪力破坏等)。同时注意由于钢筋强度和直径改变后会影响正常使用阶段的挠度和裂缝开展宽度,因此还要满足最小配筋率和钢筋间距等构造要求。
3.7.5 采用焊接连接的钢结构,当有焊接拘束度较大的T形、十字形或角接接头构造,且在厚度方向承受拘束拉应力的钢板厚度不小于40mm时,钢板厚度方向的截面收缩率不应小于现行国家标准《厚度方向性能钢板》GB/T 5313小有关Z15级规定的容许值。
条文说明
3.7.5 在有约束或钢板的刚度较大时,厚板焊接时容易引起层状撕裂,为此要求板厚不小于40mm的钢板应具有厚度方向断面收缩率不小于Z15的规定,根据节点形式、焊脚尺寸、板厚等因素,综合判定层状撕裂的危险性,然后确定选用Z15、Z25或Z35级钢材。
3.7.6 钢筋混凝土构造柱、芯柱的施工,应先砌墙后浇构造柱、芯柱。
3.7.7 钢筋混凝土墙体、框架柱的水平施工缝应采取提高混凝土结合性能的措施。抗震等级为一级的墙体和转换层楼板与落地混凝土墙体的交接处,宜验算施工缝截面的受剪承载力。
条文说明
3.7.7 抗震墙的水平施工缝,如果混凝土结合不良,可能形成抗震薄弱部位。因此,对一级抗震墙的水平施工缝处要求进行受剪承载力验算,其验算方法可参见现行国家标准《建筑抗震设计规范》GB 50011-2010第3.9.7条的条文说明。
3.1 抗震设防分类和目标
3.1 抗震设防分类和目标
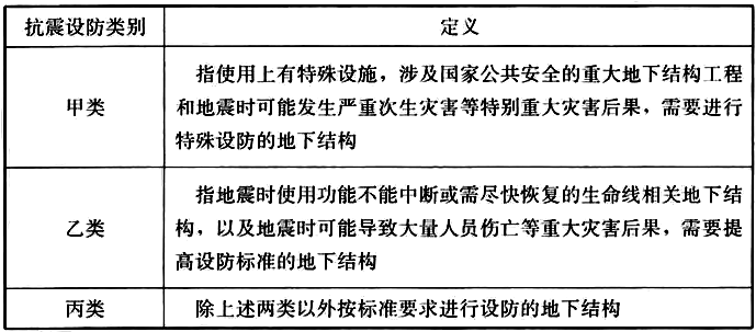
3.1.1 地下结构的抗震设防类别应按表3.1.1确定。
表3.1.1 抗震设防类别划分

3.1.2 地下结构的抗震性能要求应按表3.1.2划分等级。
表3.1.2 地下结构的抗震性能要求等级划分

3.1.3 地下结构的抗震设防应分为多遇地震动、基本地震动、罕遇地震动和极罕遇地震动4个设防水准。设计地震动参数的取值可按现行国家标准《中国地震动参数区划图》GB 18306的规定执行。
3.1.4 地下结构抗震设防目标应符合表3.1.4的规定。
表3.1.4 地下结构抗震设防目标

场地、地基和基础
4.1 场 地
4.1 场 地
4.1.1 选择构筑物场地时,对构筑物抗震有利、一般、不利和危险地段,应按表4.1.1划分。
表4.1.1 有利、一般、不利和危险地段的划分

4.1.2 构筑物场地的类别划分应以土层等效剪切波速和场地覆盖层厚度为准。
4.1.3 土层剪切波速的测量应符合下列规定:
1 在场地初步勘察阶段,对大面积的同一地质单元,测试土层剪切波速的钻孔数量应为控制性勘探孔数量的1/5~1/3,山间河谷地区可适量减少,但不宜少于3个。
2 在场地详细勘察阶段,对单个构筑物,测试土层剪切波速的钻孔数量不宜少于2个,数据变化较大时,可适量增加;对区域中处于同一地质单元内的密集构筑物群,测试土层剪切波速的钻孔数量可适量减少,但每个大型构筑物的钻孔数量均不得少于2个。
3 对丁类构筑物及丙类构筑物中高度不超过24m的构筑物,当无实测剪切波速时,可根据岩土名称和性状按表4.1.3划分土的类型,各土层的剪切波速可利用当地经验在表4.1.3的剪切波速范围内估算。
表4.1.3 土的类型划分和剪切波速范围

4.1.4 构筑物场地覆盖层厚度的确定应符合下列规定:
1 应按地面至剪切波速大于500m/s,且其下卧各层岩土的剪切波速均不小于500m/s的土层顶面的距离确定。
2 当地面5m以下存在剪切波速大于其上部各土层剪切波速2.5倍的土层,且该层及其下卧各层岩土的剪切波速均不小于400m/s时,可按地面至该土层顶面的距离确定。
3 剪切波速大于500m/s的孤石、透镜体,应视同周围土层。
4 土层中的火山岩硬夹层应视为刚体,其厚度应从覆盖土层中扣除。
4.1.5 土层的等效剪切波速,应按下列公式计算:

式中:υse——土层等效剪切波速(m/s);
d0——计算深度(m),取覆盖层厚度和20m两者的较小值;
t——剪切波在地面至计算深度之间的传播时间;
di——计算深度范围内第i土层的厚度(m);
υsi——计算深度范围内第i土层的剪切波速(m/s),丙类、丁类构筑物当无实测波速值时可按本规范附录B的规定确定;
n——计算深度范围内土层的分层数。
4.1.6 构筑物的场地类别应根据土层等效剪切波速和场地覆盖层厚度按表4.1.6划分,其中Ⅰ类应分为Ⅰ0、Ⅰ1两个亚类。当有准确的剪切波速和覆盖层厚度数据,且其值处于表4.1.6所列场地类别的分界线附近时,可按插值方法确定地震作用计算所用的特征周期。
表4.1.6 构筑物的场地类别划分

4.1.7 场地内存在发震断裂时,应对断裂的工程影响进行评价,并应符合下列规定:
1 符合下列情况之一时,可不计发震断裂错动对地面构筑物的影响:
1)抗震设防烈度小于8度;
2)非全新世活动断裂;
3)8度和9度时,隐伏断裂的土层覆盖厚度分别大于60m和90m。
2 对不符合本条第1款规定的情况,应避开主断裂带。其避让距离不宜小于表4.1.7的规定。在避让距离的范围内确有需要建造分散的、高度不超过10m的丙类、丁类构筑物时,应按提高一度采取抗震措施,其基础应采用筏基等形式,且不应跨越断层线。
表4.1.7 发震断裂的最小避让距离(m)

4.1.8 当需要在条状突出的山嘴、高耸孤立的山丘、非岩石和强风化岩石的陡坡、河岸和边坡边缘等不利地段建造丙类及丙类以上构筑物时,除应保证其在地震作用下的稳定性外,尚应计算不利地段对设计地震动参数产生的放大作用,其水平地震影响系数最大值应乘以增大系数。增大系数的值应根据不利地段的具体情况确定,并应在1.1~1.6范围内采用。
4.1.9 场地岩土工程勘察应根据实际需要划分的对构筑物抗震有利、一般、不利和危险的地段,提供构筑物的场地类别和滑坡、崩塌、液化和震陷等岩土地震稳定性评价,对需要采用时程分析法补充计算的构筑物,尚应根据设计要求提供土层剖面、场地覆盖层厚度和有关的动力参数。
条文说明
4.1.1~4.1.9 这几条内容与现行国家标准《建筑抗震设计规范》GB 50011基本协调统一,针对构筑物的特点进行了局部调整,其条文说明不再复述。第4.1.9条为强制性条文。
4.1 场 地
4.1 场 地
4.1.1 选择构筑物场地时,对构筑物抗震有利、一般、不利和危险地段,应按表4.1.1划分。
表4.1.1 有利、一般、不利和危险地段的划分

4.1.2 构筑物场地的类别划分应以土层等效剪切波速和场地覆盖层厚度为准。
4.1.3 土层剪切波速的测量应符合下列规定:
1 在场地初步勘察阶段,对大面积的同一地质单元,测试土层剪切波速的钻孔数量应为控制性勘探孔数量的1/5~1/3,山间河谷地区可适量减少,但不宜少于3个。
2 在场地详细勘察阶段,对单个构筑物,测试土层剪切波速的钻孔数量不宜少于2个,数据变化较大时,可适量增加;对区域中处于同一地质单元内的密集构筑物群,测试土层剪切波速的钻孔数量可适量减少,但每个大型构筑物的钻孔数量均不得少于2个。
3 对丁类构筑物及丙类构筑物中高度不超过24m的构筑物,当无实测剪切波速时,可根据岩土名称和性状按表4.1.3划分土的类型,各土层的剪切波速可利用当地经验在表4.1.3的剪切波速范围内估算。
表4.1.3 土的类型划分和剪切波速范围

4.1.4 构筑物场地覆盖层厚度的确定应符合下列规定:
1 应按地面至剪切波速大于500m/s,且其下卧各层岩土的剪切波速均不小于500m/s的土层顶面的距离确定。
2 当地面5m以下存在剪切波速大于其上部各土层剪切波速2.5倍的土层,且该层及其下卧各层岩土的剪切波速均不小于400m/s时,可按地面至该土层顶面的距离确定。
3 剪切波速大于500m/s的孤石、透镜体,应视同周围土层。
4 土层中的火山岩硬夹层应视为刚体,其厚度应从覆盖土层中扣除。
4.1.5 土层的等效剪切波速,应按下列公式计算:

式中:υse——土层等效剪切波速(m/s);
d0——计算深度(m),取覆盖层厚度和20m两者的较小值;
t——剪切波在地面至计算深度之间的传播时间;
di——计算深度范围内第i土层的厚度(m);
υsi——计算深度范围内第i土层的剪切波速(m/s),丙类、丁类构筑物当无实测波速值时可按本规范附录B的规定确定;
n——计算深度范围内土层的分层数。
4.1.6 构筑物的场地类别应根据土层等效剪切波速和场地覆盖层厚度按表4.1.6划分,其中Ⅰ类应分为Ⅰ0、Ⅰ1两个亚类。当有准确的剪切波速和覆盖层厚度数据,且其值处于表4.1.6所列场地类别的分界线附近时,可按插值方法确定地震作用计算所用的特征周期。
表4.1.6 构筑物的场地类别划分

4.1.7 场地内存在发震断裂时,应对断裂的工程影响进行评价,并应符合下列规定:
1 符合下列情况之一时,可不计发震断裂错动对地面构筑物的影响:
1)抗震设防烈度小于8度;
2)非全新世活动断裂;
3)8度和9度时,隐伏断裂的土层覆盖厚度分别大于60m和90m。
2 对不符合本条第1款规定的情况,应避开主断裂带。其避让距离不宜小于表4.1.7的规定。在避让距离的范围内确有需要建造分散的、高度不超过10m的丙类、丁类构筑物时,应按提高一度采取抗震措施,其基础应采用筏基等形式,且不应跨越断层线。
表4.1.7 发震断裂的最小避让距离(m)

4.1.8 当需要在条状突出的山嘴、高耸孤立的山丘、非岩石和强风化岩石的陡坡、河岸和边坡边缘等不利地段建造丙类及丙类以上构筑物时,除应保证其在地震作用下的稳定性外,尚应计算不利地段对设计地震动参数产生的放大作用,其水平地震影响系数最大值应乘以增大系数。增大系数的值应根据不利地段的具体情况确定,并应在1.1~1.6范围内采用。
4.1.9 场地岩土工程勘察应根据实际需要划分的对构筑物抗震有利、一般、不利和危险的地段,提供构筑物的场地类别和滑坡、崩塌、液化和震陷等岩土地震稳定性评价,对需要采用时程分析法补充计算的构筑物,尚应根据设计要求提供土层剖面、场地覆盖层厚度和有关的动力参数。
4.2 天然地基和基础
4.2 天然地基和基础
4.2.1 下列构筑物可不进行天然地基及基础的抗震承载力验算:
1 本规范规定可不进行上部结构抗震验算的构筑物。
2 7度、8度和9度时,地基静承载力特征值分别大于80kPa、100kPa和120kPa,且高度不超过24m的构筑物。
4.2.2 天然地基基础抗震验算时,应采用地震作用效应标准组合,且地基抗震承载力应按地基承载力特征值乘以地基抗震承载力调整系数计算。
4.2.3 地基抗震承载力应按下式计算:
aE=ζa?a (4.2.3)
式中:aE——调整后的地基抗震承载力;
ζa——地基抗震承载力调整系数,应按表4.2.3采用;
a——深宽修正后的地基承载力特征值,应按现行国家标准《建筑地基基础设计规范》GB 50007的有关规定执行。
表4.2.3 地基抗震承载力调整系数

4.2.4 验算天然地基地震作用下的竖向承载力时,按地震作用效应标准组合的基础底面平均压力和边缘最大压力,应符合下列公式的要求:
p≤?aE (4.2.4-1)
pmax≤1.2?aE (4.2.4-2)
式中:p——地震作用效应标准组合的基础底面平均压力;
pmax——地震作用效应标准组合的基础边缘的最大压力。
4.2.5 验算天然地基的抗震承载力时,基础底面零应力区的面积大小应符合下列规定:
1 形体规则的构筑物,零应力区的面积不应大于基础底面面积的25%。
2 形体不规则的构筑物,零应力区的面积不宜大于基础底面面积的15%。
3 高宽比大于4的高耸构筑物,零应力区的面积应为零。
条文说明
4.2.1~4.2.5 这几条内容与现行国家标准《建筑抗震设计规范》GB 50011基本协调统一,针对构筑物的特点进行了局部调整,其条文说明不再复述。第4.2.2条为强制性条文。
4.3 液化土地基
4.3 液化土地基
4.3.1 饱和砂土和饱和粉土(不含黄土)的液化判别和地基处理,6度时,可不进行判别和处理,但对液化沉陷敏感的乙类构筑物可按7度的要求进行判别和处理;7度~9度时,乙类构筑物可按本地区抗震设防烈度的要求进行判别和处理。
4.3.2 地面下存在饱和砂土、饱和粉土时,除6度外,应进行液化判别;存在液化土层的地基,应根据构筑物的抗震设防类别、地基的液化等级,结合具体情况采取相应的措施。
注:本条饱和土液化判别要求不包括黄土、粉质黏土。
4.3.3 饱和的砂土或粉土(不含黄土),当符合下列条件之一时,可初步判别为不液化或液化轻微而不计入液化影响:
1 地质年代为第四纪晚更新世(Q3)及其以前时,7度、8度时可判为不液化。
2 粉土的黏粒(粒径小于0.005mm的颗粒)含量百分率,7度、8度和9度分别不小于10、13和16时,可判为不液化土。
注:用于液化判别的黏粒含量系采用六偏磷酸钠作分散剂测定,采用其他方法时应按有关规定换算。
3 浅埋天然地基的构筑物,当上覆非液化土层厚度和地下水位深度符合下列条件之一时,可判别为液化轻微而不计入液化影响:
du>d0+db-2 (4.3.3-1)
dw>d0+db-3 (4.3.3-2)
du+dw>1.5d0+2db-4.5 (4.3.3-3)
式中:dw——地下水位深度(m),可按设计基准期内年平均最高水位采用,也可按近期内年最高水位采用;
du——上覆非液化土层厚度(m),计算时宜将淤泥和淤泥质土层扣除;
db——基础埋置深度(m),不超过2m时可采用2m;
d0——液化土特征深度(m),可按表4.3.3采用。
表4.3.3 液化土特征深度(m)

注:当区域的地下水位处于变动状态时,应按不利情况确定。
4.3.4 当饱和砂土、粉土的初步判别认为需进一步进行液化判别时,应采用标准贯入试验判别法判别地面下20m范围内土的液化;本规范第4.2.1条规定的可不进行天然地基及基础抗震承载力验算的各类构筑物,可只判别地面下15m范围内土的液化。当饱和土标准贯入锤击数(未经杆长修正)小于或等于液化判别标准贯入锤击数临界值时,应判为液化土。当有成熟经验时,可采用其他判别方法。
在地面下20m深度范围内,液化判别标准贯入锤击数临界值可按下式计算:

式中:Ncr——液化判别标准贯入锤击数临界值;
N0——液化判别标准贯入锤击数基准值,可按表4.3.4采用;
ds——饱和土标准贯入点深度(m);
dw——地下水位(m);
ρc——黏粒含量百分率,当小于3或为砂土时,应采用3;
β——调整系数,设计地震第一组取0.80,第二组取0.95,第三组取1.05。
表4.3.4 液化判别标准贯入锤击数基准值N0

4.3.5 对存在液化砂土层、粉土层的地基,应探明各液化土层的深度和厚度,按下式计算每个钻孔的液化指数,并应按表4.3.5综合划分地基的液化等级:

式中:IlE——液化指数;
n——在判别深度范围内每一个钻孔标准贯入试验点的总数;
Ni、Ncri——分别为第i点标准贯入锤击数的实测值和临界值,当实测值大于临界值时应取临界值;当只需要判别15m范围以内的液化时,15m以下的实测值可按临界值采用;
di——第i点所代表的土层厚度(m),可采用与该标准贯入试验点相邻的上、下两标准贯入试验点深度差的1/2,但上界不高于地下水位深度,下界不深于液化深度;
Wi——第i土层单位土层厚度的层位影响权函数值(m-1)。当该层中点深度不大于5m时应采用10,等于20m时应采用零值,5m~20m时可按线性内插法取值。
表4.3.5 液化等级与液化指数的对应关系

4.3.6 当液化砂土层、粉土层较平坦且均匀时,宜按表4.3.6选用地基抗液化措施;尚可计入上部结构重力荷载对液化危害的影响,并可根据液化震陷量的估计适当调整抗液化措施。
未经处理的液化土层不宜作为天然地基持力层。
表4.3.6 抗液化措施

注:甲类构筑物的地基抗液化措施应进行专门研究,但不宜低于乙类的相应要求。
4.3.7 全部消除地基液化沉陷的措施应符合下列规定:
1 采用桩基时,桩端伸入液化深度以下稳定土层中的长度(不包括桩尖部分)应按计算确定,且对碎石土,砾、粗、中砂,坚硬黏性土和密实粉土尚不应小于0.8m,对其他非岩石土尚不宜小于1.5m。
2 采用深基础时,基础底面应埋入液化深度以下的稳定土层中,其深度不应小于0.5m。
3 采用加密法加固时,应处理至液化深度下界;振冲或挤密碎石桩加固后,桩间土的标准贯入锤击数不宜小于本规范第4.3.4条规定的液化判别标准贯入锤击数临界值。
4 应用非液化土替换全部液化土层,也可增加上覆非液化土层的厚度。
5 采用加密法或换土法处理时,在基础边缘以外的处理宽度应超过基础底面下处理深度的1/2,且不小于基础宽度的1/5。
4.3.8 部分消除地基液化沉陷的措施应符合下列规定:
1 处理深度应使处理后的地基液化指数减小,其值不宜大于5;大面积筏基、箱基基础外边界以内沿长宽方向距外边界大于相应方向1/4长度的中心区域,处理后的液化指数不宜大于6;独立基础和条形基础尚不应小于基础底面下液化土特征深度和基础宽度的较大值。
2 采用振冲或挤密碎石桩加固后,桩间土的标准贯入锤击数不宜小于按本规范第4.3.4条规定的液化判别标准贯入锤击数临界值。
3 基础边缘以外的处理宽度应符合本规范第4.3.7条第5款的规定。
4 应采取增加上覆非液化土层的厚度、改善周边的排水条件等减小液化沉陷的其他方法。
4.3.9 减轻液化影响的基础和上部结构处理,可综合采用下列措施:
1 选择合适的基础埋置深度。
2 调整基础底面积和减小基础偏心。
3 采用箱基、筏基或钢筋混凝土十字形基础,独立基础加设基础连梁等加强基础的整体性和刚度的措施。
4 减轻荷载、增强上部结构的整体刚度和均匀对称性,合理设置沉降缝,采用对不均匀沉降不敏感的结构形式等。
5 管道穿过构筑物处,预留足够尺寸或采用柔性接头等。
4.3.10 在故河道以及临近河岸、海岸和边坡等有液化侧向扩展或流滑可能的地段内,不宜修建永久性构筑物;必须修建永久性构筑物时,应进行抗滑动验算,采取防止土体滑动或提高结构整体性等措施。
条文说明
4.3.1~4.3.10 这几条内容与现行国家标准《建筑抗震设计规范》GB 50011基本协调统一,针对构筑物的特点进行了局部调整,其条文说明不再复述。第4.3.2条为强制性条文。
4.4 软黏性土地基震陷
4.4 软黏性土地基震陷
4.4.1 6度和7度区软黏性土地基上的构筑物,当地基基础满足现行国家标准《建筑地基基础规范》GB 50007的有关规定时,可不计及地基震陷的影响。
条文说明
4.4.1 震害调查发现,软土震陷造成的建(构)筑物破坏多发生在强震区,6度和7度区尚未有震陷破坏的实例报道。1976年唐山地震时天津和1994年美国Northridge地震时San Fernando Valley的软土震陷破坏事例分别发生在8度、9度区和9度及以上区。此外,已有的计算分析研究也表明,在遭受设防地震影响时,6度和7度的软土震陷量不大于30mm。基于此,本条规定,位于6度和7度区的一般建(构)筑物可不考虑软土震陷的影响。
4.4.2 地基中软弱黏性土层的震陷可采用下列方法判别:
1 饱和粉质黏土震陷的危害性和抗震陷措施应根据沉降和横向变形大小等因素综合研究确定。
2 8度(0.30g)和9度,当塑性指数小于15,且符合下式规定的饱和粉质黏土时,可判为震陷性软土:
Ws≥0.9WL (4.4.2-1)
IL≥0.75 (4.4.2-2)
式中:Ws——天然含水量;
WL——液限含水量,采用液、塑限联合测定法测定;
IL——液性指数。
4.4.3 8度和9度,当地基范围内存在淤泥、淤泥质土等软黏性土,且地基静承载力特征值8度小于100kPa、9度小于120kPa时,除丁类构筑物或基础底面以下非软黏性土层厚度符合表4.4.3规定的构筑物外,均应采取消除地基震陷影响的措施。
表4.4.3 基础底面以下非软黏性土层厚度

注:1 土层厚度指直接位于基础底面以下的非软黏性土层;
2 b为基础底面宽度(m)。
条文说明
4.4.3 此规定主要是根据唐山地震时天津软黏土地区的震害经验和试验、理论分析研究得出的。8度时要求地基承载力特征值不小于100kPa和9度时不小于120kPa,是从结构抗震角度出发而规定的,本规范和现行国家标准《建筑抗震设计规范》GB 50011都规定,在天然地基主要持力层内不允许存在对抗震不利的软弱黏性土。
4.4.4 消除软土地基震陷影响,可选择下列措施:
1 基本消除地基震陷的措施,可采用桩基、深基础、加密或换土法等。
采用加密或换土法时,基础底面以下软土的处理深度应符合本规范表4.4.3规定的非软土层厚度要求;每边外伸处理宽度不宜小于处理深度的1/3 ,且不宜小于2m。
2 部分消除地基震陷的措施可采用加密或部分换土法等。
基础底面以下软土的处理深度应符合本规范表4.4.3规定的非软土层厚度的0.75倍;每边外伸处理宽度不宜小于处理深度的1/3 ,且不宜小于2m。
3 不具备地基处理条件时,可降低地基抗震承载力取值。
4 基础和上部结构措施应符合下列规定:
1)宜采用箱基、街基和钢筋混凝土十字形基础等;
2)增强上部结构的整体刚度和均匀对称性,合理设置沉降缝,应避免采用对不均匀震陷敏感的结构形式等。
4.4.5 存在地基震陷影响的甲类构筑物或有特殊要求的构筑物,其地基基础的抗震措施应经过专门研究确定。
条文说明
4.4.4、4.4.5 对软土震陷的处理目前积累的经验还不多,条文中给出的工程措施是目前工程界处理软土震陷通常采取的方法。对于重要构筑物和震陷危害性严重的场地,在震陷判别和处理方法的选用上需要进行综合分析研究。
4.4.6 地基主要受力层范围内存在软弱黏性土层和高含水量的可塑性黄土时,应结合具体情况确定,可采用桩基、地基加固处理或本规范第4.3.9条的措施,也可根据软黏性土震陷量的估计,采取相应措施。
4.5 桩 基 础
4.5 桩 基 础
4.5.1 承受竖向荷载为主的低承台桩基,当同时符合下列条件时,可不进行桩基竖向抗震承载力和水平抗震承载力的验算:
1 7度、8度时,符合本规范第4.2.1条的规定。
2 桩端和桩身周围无液化土层和软黏性土层。
3 桩承台周围无液化土、淤泥、淤泥质土、松散砂土和静承载力特征值小于100kPa的填土。
4 非斜坡地段。
4.5.2 非液化土中低承台桩基的抗震验算应符合下列规定:
1 单桩的竖向和水平向抗震承载力特征值可比非抗震设计时提高25%。
2 当承台周围的回填土夯实至干密度不小于现行国家标准《建筑地基基础设计规范》GB 50007对填土的要求时,可由承台正面填土与桩共同承担水平地震作用;但不应计入承台底面与地基土间的摩擦力。
4.5.3 存在液化土层的低承台桩基抗震验算应符合下列规定:
1 承台埋深较浅时,不宜计入承台周围土的抗力或刚性地坪对水平地震作用的分担作用。
2 当桩承台底面上、下分别有厚度不小于1.5m、1.0m的非液化土层或非软黏性土层时,可按下列情况进行桩的抗震验算,并应按不利情况设计:
1)桩承受全部地震作用,桩承载力按本规范第4.5.2条采用,液化土的桩周摩阻力及桩的水平抗力均应乘以表4.5.3的折减系数;
表4.5.3 土层液化影响折减系数

注:λN为液化土层的标准贯入锤击数实测值与相应的临界值之比。
2)地震作用按水平地震影响系数最大值的10%采用,桩承载力仍按本规范第4.5.2条第1款取用,但应扣除液化土层的全部摩阻力及桩承台下2m深度范围内非液化土的桩周摩阻力。
3 打入式预制桩及其他挤土桩,当平均桩距为桩径的2.5倍~4倍,且桩数不少于5×5时,可计入打桩对土的加密作用及桩身对液化土变形限制的有利影响。当打桩后桩间土的标准贯入锤击数值达到不液化的要求时,单桩承载力可不折减;但对桩尖持力层做强度校核时,桩群外侧的应力扩散角应取为零。打桩后桩间土的标准贯入锤击数宜由试验确定,也可按下式计算:
N1=NP+100ρ(1-e-0.3Np) (4.5.3)
式中:N1——打桩后的标准贯入锤击数;
ρ——打入式预制桩的面积置换率;
NP——打桩前的标准贯入锤击数。
4.5.4 处于液化土中的桩基承台周围宜用密实干土填筑夯实;若用砂土或粉土则应使土层的标准贯入锤击数不小于本规范第4.3.4条规定的液化判别标准贯入锤击数临界值。
4.5.5 液化土和震陷软黏性土中桩的配筋范围应为自桩顶至液化深度以下符合全部消除液化沉陷所要求的深度,配筋范围内纵向钢筋应与桩顶部相同,箍筋应增大直径并加密。
4.5.6 在有液化侧向扩展的地段,桩基除应满足本节中的其他规定外,尚应计入土流动时的侧向作用力,且承受侧向推力的面积应按边桩外缘间的宽度计算。
条文说明
4.5.1~4.5.6 这几条内容与现行国家标准《建筑抗震设计规范》GB 50011基本协调统一,针对构筑物的特点进行了局部调整,其条文说明不再复述。第4.5.5条为强制性条文。
4.6 斜坡地震稳定性
4.6 斜坡地震稳定性
4.6.1 7度、8度和9度,且构筑物位于斜坡、坡顶或坡脚附近时,应通过计算分析确定斜坡的地震稳定性及其对构筑物的影响。
条文说明
4.6.1 斜坡场地的地震稳定问题在山区开发和建设中较为突出。大量震害经验表明,天然边坡在遭受M4.5级左右的地震时就可能发生崩滑,工程边坡通常在7度及以上时才需要考虑其地震稳定问题。
4.6.2 当边坡符合表4.6.2的条件时,可不进行其地震稳定性验算。
表4.6.2 地震区可不进行地震稳定性验算的边坡高度与坡角的最大值

注:1 下部为基岩、上部为覆盖土层的边坡,可根据胶结程度,按Ⅳ、Ⅴ类取值;
2 边坡的最大坡度,7度时可取陡坡值,9度时应取缓坡值;
3 对年均降雨量大于800mm地区的Ⅴ类和Ⅵ类边坡,本表不适用。
条文说明
4.6.2 表4.6.2是在调查总结过去地震滑坡经验的基础上得出的。此条旨在剔除工程设计中不需要进行地震抗滑验算的边坡。
研究发现,对于位于年均降雨超过800mm的土质边坡,表4.6.2误判严重(王余庆等,2001)。所以,条文规定此表不适用于年均降雨大于800mm的Ⅴ类、Ⅵ类边坡。对此类场地的土质边坡判别,可按考虑降雨影响的边坡地震崩滑综合指标法进行。
上述方法是基于地震宏观调查的分析结果,它们适用于一般山区工程场地,对于重要的斜坡场地,需要进行地震稳定性分析和时程分析综合判定。
4.6.3 斜坡地震稳定性验算可采用拟静力法,水平地震系数应按表4.6.3取值,安全系数不应小于1.1;对于失稳危害较大的斜坡,尚应采用动力有限元方法或累积残余位移方法。
表4.6.3 水平地震系数

条文说明
4.6.3 工程界对边坡的地震稳定性验算通常采用拟静力法,地震系数是根据震级和场地设防加速度的大小确定。表4.6.3规定的水平地震系数大小是综合我国工程界通常的取值范围确定的,其地震综合影响系数为0.35,它所对应的分析方法是圆弧法,安全系数取1.1。
4.6.4 当需要提高斜坡的地震稳定性时,应针对具体情况采取下列一种或几种抗震措施:
1 放缓斜坡或设置有较宽平台的阶梯式斜坡。
2 除去构筑物上方的危石和崩塌体。
3 坡面覆盖、植草,并合理设置排水。
4 在构筑物与其上方陡坡之间修建截止沟或护坡桩。
5 采用挡墙或锚杆支护。
6 当坡脚或坡体内有液化土或软土时,采取消除液化或加固软土的措施。
地震作用和结构抗震验算
5.1 一般规定
5.1 一般规定
5.1.1 构筑物的地震作用计算应符合下列规定:
1 应至少在构筑物结构单元的两个主轴方向分别计算水平地震作用并进行抗震验算,各方向的水平地震作用应由该方向的抗侧力构件承担。
2 有斜交抗侧力构件的结构,当相交角度大于15°时,应分别计算各抗侧力构件方向的水平地震作用。
3 质量或刚度分布明显不对称的结构,应计入双向水平地震作用下的扭转影响;其他情况应允许采用调整地震作用效应的方法计入扭转影响。
4 8度和9度时的大跨度结构、长悬臂结构及双曲线冷却塔、电视塔、石油化工塔型设备基础、高炉和索道,以及9度时的井架、井塔、锅炉钢结构等高耸构筑物应计算竖向地震作用。
条文说明
5.1.1 本条为强制性条文。本条规定了各类构筑物应考虑的地震作用方向。本次修订,保留了原规范的内容,增加了斜交抗侧力构件地震作用输入方向的要求。
1 考虑到地震可能来自任意方向,而一般构筑物结构单元具有两个水平主轴方向并沿主轴方向布置抗侧力构件,故规定一般情况下,应至少在构筑物结构单元的两个主轴方向分别考虑水平地震作用并进行抗震验算。而对构筑物水平方向完全对称的特殊情况,则可以仅进行一个水平方向的抗震验算。电视塔要求分别计算两个非主轴方向的地震作用。
2 参考现行国家标准《建筑抗震设计规范》GB?50011,增加了斜交抗侧力构件交角大于15°时,应考虑与该构件平行方向的地震作用的规定,这是现代结构常见的情况,也是考虑地震可能来自任何方向。
3 质量和刚度分布明显不均匀、不对称的结构(包括平面内对称,但沿高度分布不对称),在水平地震作用下将产生扭转振动,增大地震作用效应,故应考虑扭转效应。对明显不规则的,尚应同时考虑双向水平地震作用下的扭转效应。
4 除长悬臂和长跨结构应考虑竖向地震作用外,高耸结构在竖向地震作用下的轴向力不可忽略,故本规范规定8度和9度区的这些结构要考虑竖向地震作用。我国大陆和台湾地震表明,8度时跨度大于24m的桁架,9度时跨度18m的桁架、1.5m以上的悬挑阳台震害严重,甚至倒塌。
5.1.2 各类构筑物的抗震计算应分别采用下列方法:
1 质量和刚度沿高度分布比较均匀且高度不超过55m的框排架结构、高度不超过65m的其他构筑物,以及近似于单质点体系的结构,可采用底部剪力法。其他结构宜采用振型分解反应谱法。
2 甲类构筑物和特别不规则的构筑物,除应按规定采用振型分解反应谱法外,尚应采用时程分析法或经专门研究的方法进行补充计算。计算结果可取时程分析法的平均值和振型分解反应谱法的较大值。
条文说明
5.1.2 本条规定不同的构筑物应采取的不同分析方法,世界各国规范均有这样的规定。
1 本规范仍采用原规范的底部剪力法,它适用于质量和刚度沿高度分布比较均匀的剪切型、剪弯型和弯曲型结构以及近似于单质点体系的结构。对井架结构的分析表明,高达65m的结构仍能给出满意的结果,故对一般构筑物,采用底部剪力法的高度限值定为不超过65m。由于不同用途的构筑物的结构形式不同,所采用的底部剪力法的适用高度对不同结构形式也应有所不同,因此,为安全起见,本次修订对框排架结构的高度限制规定为不超过55m。
2 对特别重要的构筑物和特别不规则的重要构筑物,考虑到计算机技术在我国的应用已较普遍,为安全起见,本规范仍沿用原规范的规定,采用时程分析法或经专门研究的方法计算地震作用。当时程分析法计算结果大于振型分解反应谱法时,应对结构相关部位的内力或配筋作相应调整,即取二者的较大值。底部剪力法和振型分解反应谱法仍是抗震设计的基本方法,时程分析法仅对特别重要或特别不规则的结构要求进行补充计算。
5.1.3 采用时程分析法时,应选择不少于2组相似场地条件的实际加速度记录和1组拟合设计反应谱的人工地震加速度时程曲线,其平均地震影响系数曲线应与振型分解反应谱法所采用的地震影响系数曲线在统计意义上相符。底部剪力可取多条时程曲线计算结果的平均值,但不应小于按振型分解反应谱法计算值的80%,且每条时程曲线计算所得结构底部剪力不应小于振型分解反应谱法计算结果的65%。
条文说明
5.1.3 进行时程分析时输入地震记录的选择和计算结果要与本规范其他方法的计算结果进行比较。本次修订参考现行国家标准《建筑抗震设计规范》GB 50011,增加了“其平均地震影响系数曲线应与振型分解反应谱法所采用的地震影响系数曲线在统计意义上相符”和“底部剪力可取多条时程曲线计算结果的平均值,但不应小于按振型分解反应谱法计算值的80%,且每条时程曲线计算所得结构底部剪力不应小于振型分解反应谱法计算结果的65%。”的规定。众所周知,每类场地上的反应谱是由该类场地的大量地震记录的反应谱值统计平均得到的,而任意选择的几条地震记录的反应谱有可能与此场地的典型特征相差甚远。另外,由于结构可能在某组(条)地震动作用下,反应结果偏小,说明该地震动选择的不是很适当,应另外补选一组(条)。为此作出上述规定。这是从安全方面考虑的,但时程分析结果也不能太大,每条时程曲线计算结果不大于135%,平均不大于120%。
选择地震加速度时程曲线时,要充分考虑地震动三要素(频谱特性、加速度峰值和持续时间)。
频谱特性可用地震影响系数曲线表征,依据所处的场地类别和设计地震分组确定。
加速度峰值按本规范表5.1.7中的地震加速度最大值采用。
输入的地震加速度时程的有效持续时间,起始点和终止点均按最大峰值的10%确定;不论是实际的强震记录还是人工模拟波,一般应大于结构基本自振周期的5倍(一般为5倍~10倍)。
当结构需要进行同时双向(二个水平向)或三向(二个水平和一个竖向)地震波输入时,其加速度最大值通常按1(水平1):0.85(水平2):0.65(竖向)的比例调整。选用的实际加速度记录可以是同一组的三个分量,也可以用不同组的记录进行组合。
5.1.4 计算地震作用时,构筑物的重力荷载代表值应取结构构件、内衬和固定设备自重标准值和可变荷载组合值之和;可变荷载的组合值系数,除本规范另有规定外,应按表5.1.4采用。
表5.1.4 可变荷载的组合值系数

注:硬钩吊车的吊重较大时,组合值系数应按实际情况采用。
条文说明
5.1.4 本条为强制性条文。本条仍沿用原规范的方法,规定了计算地震作用时构筑物的重力荷载代表值取法。考虑到某些构筑物的积灰荷载不容忽略,可变荷载中包含了积灰荷载。并参考现行国家标准《建筑抗震设计规范》GB 50011,增加了吊车悬吊物重力组合值系数。表5.1.4中给出的硬钩吊车的组合值系数只适用于一般情况,吊车较大时需按实际情况取值。
5.1.5 构筑物的地震影响系数应根据烈度、场地类别、设计地震分组和结构自振周期以及阻尼比确定。其水平地震影响系数最大值αmax应按表5.1.5-1采用;当计算的地震影响系数值小于0.12αmax时,应取0.12αmax。特征周期应根据场地类别和设计地震分组按表5.1.5-2采用;计算罕遇地震作用时,特征周期应增加0.05s。周期大于7.0s的构筑物,其地震影响系数应专门研究。
表5.1.5-1 水平地震影响系数最大值

注:括号内数值分别用于设计基本地震加速度为0.15g和0.30g的地区;多遇地震,50年超越概率为63%;设防地震(设防烈度),50年超越概率为10%;罕遇地震,50年超越概率为2%~3%。
表5.1.5-2 特征周期值(s)

条文说明
5.1.5 本条为强制性条文。本条是关于设计反应谱的规定。具体作了以下几点修订:
1 1989年版《建筑抗震设计规范》GBJ 11-89反应谱长周期截止3s,2010年版周期延至6s。而本规范一直截止7s。现行国家标准《建筑抗震设计规范》GB 50011-2010截止周期与本规范相近,这样两个抗震设计规范采用相同的地震作用较为适宜,因此本次修订采用了基本相同的设计反应谱。不同之处在于本规范的截止周期仍为7s,但规定当计算的地震影响系数值小于0.12αmax时,应取0.12αmax。
2 将原规范中“抗震计算水准A”和“抗震计算水准B”的提法分别改为“多遇地震”和“设防地震”,并根据不同情况分别采用这两种地震作用进行抗震验算,具体采用哪一种,由本规范有关章节确定。
3 特征周期的取值由原规范连续性的公式形式改为离散性的表达形式,这主要是出于使用方便考虑,但同时基本保持了原先无大跳跃的优点。同时,通过设计地震分组的特征周期,来反映近震、中震、远震等影响。提高了抗震安全性。
(4)为与现行国家标准《建筑抗震设计规范》GB 50011和我国地震动参数区划图相协调,增加了设计地震分组和设计基本加速度为0.15g和0.30g的地区的反应谱值。
5.1.6 构筑物地震影响系数曲线(图5.1.6)的阻尼调整和形状参数应符合下列规定:
1 当构筑物的阻尼比取0.05时,地震影响系数曲线的阻尼调整系数应按1.0采用,形状参数应符合下列规定:
1)直线上升段,为周期小于0.1s的区段;
2)水平段,自0.1s至特征周期区段,应取最大值(αmax);
3)曲线下降段,自特征周期至5倍特征周期区段,衰减指数应取0.9;
4)直线下降段,自5倍特征周期至7s区段,下降斜率调整系数应取0.02。
图5.1.6 地震影响系数曲线

α—地震影响系数;αmax—地震影响系数最大值;η1—直线下降段的下降斜率调整系数;
γ—衰减指数;Tg—特征周期;η2—阻尼调整系数;T—结构自振周期
2 当构筑物的阻尼比不等于0.05时,地震影响系数曲线的阻尼调整系数和形状参数应符合下列规定:
1)曲线下降段的衰减指数应按下式确定:

式中:γ——曲线下降段的衰减指数;
ζ——阻尼比。
2)直线下降段的下降斜率调整系数应按下式确定:

式中:η1——直线下降段的下降斜率调整系数,小于0时,应取0。
3)阻尼调整系数应按下式确定:

式中:η2——阻尼调整系数,当小于0.55时,应取0.55。
3 多质点体系采用底部剪力法计算时,按本规范图5.1.6确定的水平地震影响系数应乘以增大系数。水平地震影响系数的增大系数应按下列公式确定:
当T1>Tg ηh=(Tg/T1)-ε (5.1.6-4)
当T1≤Tg ηh=1.0 (5.1.6-5)
式中:T1——结构基本自振周期;
ηh——水平地震影响系数的增大系数;
ε——结构类型指数,应根据结构类型按表5.1.6采用。
表5.1.6 结构类型指数

4 竖向地震影响系数的最大值可采用水平地震影响系数最大值的65%。
条文说明
5.1.6 因采用了与现行国家标准《建筑抗震设计规范》GB 50011相同的设计反应谱,所以阻尼调整系数也采用了同样的表达式。
1 反应谱在T≤0.1s范围内,各类场地的地震影响系数一律采用同样的斜线,并符合T=0时(刚体)动力不放大的规律。在T≥Tg时,曲线段为速度控制段,衰减指数仍与原规范相同(0.9);从T=5Tg开始的直线下降段,为位移控制段,比原规范略有提高(由曲线改为斜线)。
2 该反应谱曲线计算表达式,形式上与《建筑抗震设计规范》GB 50011-2010相同,但对其参数作了调整,达到了以下效果:
1)阻尼比为5%的地震影响系数值不变。
2)不出现不同阻尼比地震影响系数交叉、大阻尼比曲线值高于小阻尼比的不合理现象。
3)降低了小阻尼比(2%~3.5%)的地震影响系数值,最大降低幅度达18%,这有利于钢结构的推广应用(节省投资)。同时,略微提高了阻尼比6%~12%的地震影响系数值,长周期段最大增幅约5%。
4)降低了大阻尼比(20%~30%)的地震影响系数值,在5Tg以内基本不变,长周期段最大降幅约10%,有利于消能减震技术的推广应用。
3 关于水平地震系数的增大系数,本规范仍采用了原规范新的底部剪力法,当多质点体系的基本自振周期处于谱速度区和谱位移区时,其地震影响系数值应予以增大,该增大系数是根据基本振型计算的底部剪力与由振型分解反应谱法计算的底部剪力之差求得的。对剪切型、剪弯型和弯曲型结构的计算结果进行最小方差拟合,求得增大系数的结构类型指数值,分别为0.05、0.20和0.35。本次修订考虑到长周期反应谱值作了一定提高等因素,因此对剪弯型结构和弯曲型结构,增大系数的指数值分别调整为0.15和0.25。
5.1.7 采用时程分析法计算时,其地震加速度时程曲线的最大值应按表5.1.7采用。
表5.1.7 地震加速度时程曲线的最大值(cm/s2)

注:括号内数值分别用于设计基本地震加速度为0.15g和0.30g的地区。
条文说明
5.1.7 为了采用时程分析法进行分析和设计的需要,本次修订不但给出了与设防地震(设防烈度地震)相对应的地震加速度值,还给出了与多遇地震和罕遇地震相对应的地震加速度值,供两阶段设计需要。
5.1.8 构筑物的基本自振周期可按本规范各章规定的计算方法确定。当采用类似构筑物的实测周期时,应根据构筑物的重要性和允许损坏程度,乘以震时周期加长系数(1.1~1.4)确定。
条文说明
5.1.8 本条仍沿用原规范的规定。构筑物的实测周期通常是在脉动或小振幅振动情形下测定的,构筑物遭受地震时为大振幅振动,部分构件进入弹塑性状态,其自振周期加长,故规定视构筑物的类别及其允许的损坏程度的不同,对实测周期乘以1.1~1.4的周期加长系数。
5.1.9 构筑物的阻尼比除本规范另有规定外,其余均可按0.05采用。
条文说明
5.1.9 构筑物的阻尼比应按各章具体规定取值,无规定的章节可取0.05。钢结构的阻尼比,在多遇地震下由2%提高到3%。
5.1.10 结构的抗震验算应符合下列规定:
1 6度时和本规范规定不作地震作用计算的结构,可不进行截面抗震验算,但应符合有关的抗震措施要求。
2 构筑物应按本规范规定的抗震设防标准进行地震作用和作用效应计算。
3 平面尺寸较小的高耸构筑物应对整体结构进行抗倾覆验算。
4 符合本规范第5.5.1条规定的构筑物,除应按本规范第5.4节的规定进行截面抗震验算外,尚应进行抗震变形验算。
条文说明
5.1.10 本条仍沿用原规范的规定。考虑到各类构筑物特性的不同及与现行国家标准《建筑抗震设计规范》GB 50011相衔接,本规范规定对不同的构筑物采取不同的地震作用水准进行截面抗震验算方法。如尾矿坝、挡土结构仍按设防地震验算其稳定性。
5.2 水平地震作用计算
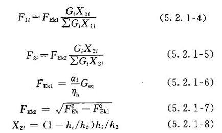
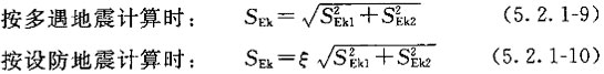
5.2 水平地震作用计算
5.2.1 采用底部剪力法时,结构水平地震作用计算简图可按图5.2.1采用;水平地震作用和作用效应应符合下列规定:
1 结构总水平地震作用标准值应按下列公式确定:

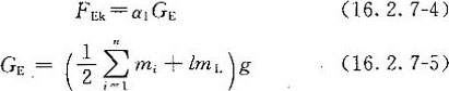
式中:FEk——结构总水平地震作用标准值;
α1——相应于结构基本自振周期的水平地震影响系数,应按本规范第5.1.6条的规定确定;
Geq——相应于结构基本自振周期的等效总重力荷载;
Gi——集中于质点i的重力荷载代表值,应按本规范第5.1节的规定确定;
X1i——结构基本振型质点i的水平相对位移;
hi——质点i的计算高度;
h——结构的总计算高度;
δ——结构基本振型指数,可按表5.2.1取值;
n——质点数。

图5.2.1 结构水平地震作用计算简图
表5.2.1 结构基本振型指数

2 结构基本振型和第二振型质点i的水平地震作用标准值应按下列公式确定:

式中:F1i、F2i——分别为结构基本振型和第二振型质点i的水平地震作用标准值;
FEk1、FEk2——分别为结构基本振型和第二振型的总水平地震作用标准值;
X2i——结构第二振型质点i的水平相对位移;
h0——结构第二振型曲线的交点计算高度,可采用结构总计算高度的80%。
3 水平地震作用标准值效应应按下列公式确定:

式中:SEk——水平地震作用标准值效应;
SEk1、SEk2——分别为结构基本振型和第二振型的水平地震作用标准值效应;
ξ——地震效应折减系数。
条文说明
5.2.1 本次修订在计算水平地震作用和作用效应时仍沿用原规范给出的新的底部剪力法。
1 现行国家标准《建筑抗震设计规范》GB 50011采用的底部剪力法只适用于以剪切变形为主的结构。对于构筑物来说,除了以剪切变形为主的剪切型结构外,还存在着剪弯型和弯曲型的结构。为了适应构筑物的水平地震作用简化计算的需要,本规范仍采用原规范给出的新的底部剪力法,其根据如下:
1)对于基本自振周期T1处于谱加速度控制区(短周期区)的结构,振型分解反应谱法求得的底部剪力实质上与仅考虑基本振型时的结果相同,于是在底部剪力公式中用第一振型的等效总重力荷载代替总重力荷载,则该公式将精确给出基本自振周期T1在谱加速度控制区的结构的底部剪力。
2)对于基本自振周期T1处在谱速度和位移控制区(即中等周期和长周期区)的结构,按振型分解反应谱法求得的底部剪力要高于仅考虑基本振型的底部剪力法求得的值,这个差值反映了高振型的影响。
3)这种差值随结构基本自振周期T1的增加和结构剪弯刚度比的减小而增加;为了反映这种差异,可将底部剪力计算公式中的地震影响系数α增大,亦即减小反应谱曲线在速度和位移谱控制区中随周期T的衰减率,以提高反应谱曲线。实际上,是采用式(5.1.6-4)的增大系数来提高α值。
2 现行国家标准《建筑抗震设计规范》GB 50011关于底部剪力沿结构高度分布的计算,采取了将部分底部剪力集中作用于结构顶部,而其余部分则按倒三角形分布的方法。这种方法只适用于计算结构的层间剪力而不适用于计算层间弯矩。对工业与民用建筑结构来说,一般无需验算结构层间弯矩及其基础的倾覆力矩,故可不计算弯矩。但对构筑物来说,由于有的构筑物的平面尺寸较小,还需进行抗倾覆力矩验算。因此,在计算中不但要较精确地计算层间剪力,而且要较精确地计算层间弯矩,这就要求较精确地计算沿结构高度的水平地震作用效应的方法。
本规范采用的原规范给出的新的底部剪力法如下所述:
按式(5.2.1-1)计算总水平地震作用,即底部剪力,将它看成是由基本振型和第二振型(代表高振型影响)的底部剪力的组合,再分别求出它们的相应底部剪力及其沿高度的分布,并分别计算由基本振型和第二振型的水平地震作用产生的层间剪力和弯矩等地震作用效应,然后按平方和开方法进行组合求得总的地震作用效应。基本振型的底部剪力按式(5.2.1-6)计算,此时的地震影响系数无须考虑增大系数,直接由图5.1.6求得。对多质点体系T1>Tg时,按式(5.1.6-4)考虑了增大系数,为此再除以增大系数;T1≤Tg时,增大系数等于1,等于不考虑增大系数;因此,仅在第二振型中考虑增大系数。第二振型的底部剪力根据平方和开方组合法由总的底部剪力和基本振型的底部剪力按式(5.2.1-7)计算。各振型底部剪力沿高度的分布采用按振型曲线分布,即按式(5.2.1-4)和式(5.2.1-5)计算的基本振型和第二振型的振型曲线分别近似取为式(5.2.1-3)和式(5.2.1-8)。表5.2.1中所列基本振型指数δ和h0=0.8h,是根据对多个剪切型、剪弯型和弯曲型结构的计算振型曲线进行拟合求得的。
3 水平地震作用标准值效应由两个振型的作用效应平方和开方确定。按设防地震计算的地震作用标准值效应应乘以效应折减系数。对一部分结构来说,效应折减系数与原结构影响系数的考虑因素相似,但不同构筑物的差异比较大,有的构筑物的效应折减系数并不完全是反映结构本身的塑性耗能效应,而是综合影响系数(ξ=0.25~0.45)。
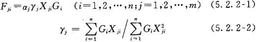
5.2.2 当采用振型分解反应谱法,且不进行扭转耦联计算时,水平地震作用和作用效应应按下列规定计算:
1 结构j振型i质点的水平地震作用标准值应按下列公式确定:

式中:Fji——j振型i质点的水平地震作用标准值;
αj——相应于j振型自振周期的水平地震影响系数,应按本规范第5.1.6条的规定确定;
Xji——j振型i质点的水平相对位移;
γj——j振型的参与系数;
m——振型数。
2 水平地震作用标准值效应(弯矩、剪力、轴向力和变形),当相邻振型的周期比小于0.85时,可按下式确定:

式中:Sj——j振型水平地震作用标准值效应,除本规范另有规定外,振型数可只取前3个~5个振型;当基本自振周期大于1.5s时,振型数目可适当增加,振型数应使振型参与质量不小于总质量的90%;
SEk——水平地震作用标准值效应。
条文说明
5.2.2 当采用振型分解反应谱法分析对称结构时,其地震作用标准值效应由所取各振型的贡献的平方和开方确定。此次修订,将一般构筑物的组合振型个数增加到3个~5个;对于高柔和不规则的构筑物,规定其组合的振型个数适当增加;对于某些特殊构筑物,如框排架结构、电视塔和冷却塔等,上述参振振型显然不够。为此规定,对所有构筑物,所选取的振型数应使振型参与质量不小于总质量的90%。对于一般构筑物,取3个~5个振型,对于高柔和不规则的构筑物,振型数量适当增加,可以保证振型参与质量不小于总质量的90%。但当结构较复杂,不能确信所选择的振型数是否足够时,则应校核参振振型参与质量与总质量的比值。另外,还同样规定,对按设防地震计算的作用标准值效应要乘以效应折减系数。
5.2.3 构筑物估计水平地震作用扭转影响时,应按下列规定计算其地震作用和作用效应:
1 可能存在偶然偏心的规则构筑物,可不进行扭转耦联计算,但结构两个水平主轴方向的外侧两排抗侧力构件,其地震作用效应应乘以增大系数。短边可按1.15采用,长边可按1.05采用;当扭转刚度较小时,周边各构件宜按不小于1.3采用。角部构件宜同时乘以两个方向各自的增大系数。
2 对于偏心构筑物,进行扭转耦联地震作用和效应计算时,可采用三维空间有限元分析模型,也可采用多质点体系平动-扭转耦联分析模型。采用振型分解法计算时,应选取包括两个正交水平方向和扭转的振型,每个方向的振型数不应少于含有该方向的前三阶振型,且振型数应使振型参与质量不小于总质量的90%。单向水平地震作用标准值效应可采用完全二次项平方根法。双向水平地震作用标准值效应可按下列公式中的较大值确定:

式中:Sx、Sy——分别为x向、y向按扭转耦联分析得出的单向水平地震作用标准值效应。
条文说明
5.2.3 本规范新增估计水平地震作用扭转耦联影响的规定条款。对于平面对称构筑物,可能存在偶然荷载、施工质量等引起的偶然偏心,为此参照现行国家标准《建筑抗震设计规范》GB 50011,规定对这类结构可以不进行扭转耦联计算,采用增大外侧构件内力的简化处理方法(对于角部构件要乘以两次增大系数);进行偏心结构扭转耦联反应分析时,两个水平和扭转参振振型均要考虑到,所以规定每个方向的参振振型数量至少包含该方向的前三阶振型。同样还规定了所选取的振型数应使振型参与质量不小于总质量的90%,以便当分析复杂结构且不能确信参振振型数量足够时,据此原则确定振型数量。
由于考虑扭转耦联分析时,结构振型较为密集,因此规定单向水平地震效应组合采用完全二次项平方根组合方法,即CQC法。
计算分析表明,当相邻振型的周期比为0.85时,耦联系数ρ约为0.27,采用SRSS法组合误差很小。当相邻振型周期比为0.9时,ρ=0.5,则应采用CQC法组合。
双向水平地震效应组合方法参照现行国家标准《建筑抗震设计规范》GB 50011,取一个方向效应的100%,另一个方向的85%,平方和开平方组合方法,并取两个方向效应组合的较大值作为双向水平地震标准值效应。
5.2.4 突出构筑物顶面的小型结构采用底部剪力法计算时,除本规范另有规定外,其地震作用效应宜乘以增大系数3,增大部分可不往下传递,但与该突出部分相连的构件设计时应予以计入。
条文说明
5.2.4 突出构筑物顶面的小型结构,一般系指其重力荷载小于标准层1/3的情况。采用底部剪力法计算时,小型结构的重力荷载应计入下部结构中,但不单设一个质点。本规范中的贮仓的仓上建筑和钢框排架结构的天窗,按底部剪力法计算的增大系数取值另有规定。
5.2.5 抗震验算时,任意结构层的水平地震剪力应符合下式规定:

式中:VEki——第i层对应于水平地震作用标准值的结构层剪力;
λ——剪力系数,不应小于表5.2.5的规定,对竖向不规则结构的薄弱层,尚应乘以1.15的增大系数;
Gj——第j层的重力荷载代表值。
表5.2.5 结构层最小地震剪力系数值

注:1 基本自振周期介于3.5s和5.0s之间的结构,采用插入法取值;
2 括号内数值分别用于设计基本地震加速度为0.15g和0.30g的地区。
条文说明
5.2.5 本条为强制性条文。在长周期段的地震影响系数α下降较快,对于基本自振周期大于3.5s的结构,计算的水平地震作用效应可能偏小。这是因为此时地震动速度和位移起控制作用,但规范中所采用的底部剪力法和振型分解反应谱法均无法考虑其影响。从结构安全角度考虑,提出对结构总水平地震剪力及各结构层水平地震剪力最小值的要求,规定了不同烈度下的剪力系数。不符合要求时,需改变结构布置或调整结构总剪力和各层剪力。例如,当结构底部总剪力略小于本条规定,而中部、上部结构层均满足最小值时,可采用下列方法调整:结构基本自振周期位于反应加速度控制段时,则各层均需乘以同样大小的增大系数;结构基本自振周期位于反应谱位移控制段时,则各层均需按底部剪力系数的差值Δλ0增加各层的地震剪力,即ΔFEki=Δλ0GEi;结构基本自振周期位于速度控制段时,则增加值应大于Δλ0GEi,结构顶部增加值可取动位移作用和加速度作用二者的平均值,中间各层的增加值可近似按线性分布。
需注意的是:底部总剪力相差较多时,结构选型和总体布置需重新调整,不能仅乘以增大系数;只要底部总剪力不满足要求,各层剪力均需调整;满足了最小地震剪力并采取加强措施后,应重新进行地震作用计算,直到满足为止;按时程分析法计算时,也要符合本条要求;不考虑结构阻尼比的不同,各类结构均须满足本条要求。
5.3 竖向地震作用计算
5.3 竖向地震作用计算
5.3.1 井架、井塔、电视塔以及质量、刚度分布与其类似的筒式或塔式结构,竖向地震作用标准值(图5.3.1)可按下列公式确定。结构层的竖向地震作用效应可按各构件承受的重力荷载代表值的比例进行分配;当按多遇地震计算时,尚宜乘以增大系数1.5~2.5。

式中:FEvk——结构总竖向地震作用标准值;
Fvi——质点i的竖向地震作用标准值;
hi、hj——分别为质点i、j的计算高度;
αvmax——竖向地震影响系数最大值,可按本规范第5.1.6条第4款的规定采用;
Geqv——结构等效总重力荷载,可按其重力荷载代表值的75%采用。
图5.3.1 结构竖向地震作用计算简图

条文说明
5.3.1 本条是有关竖向地震作用计算的规定。
1 在高地震烈度下,高耸构筑物在竖向地震作用中上部可产生拉力。因此,对这类构筑物,竖向地震作用不可忽视,应在抗震验算时考虑。
2 对这类结构在地震作用下的研究结果表明:第一振型起主要作用,且第一振型接近一直线;结构基本自振周期均在0.1s~0.2s附近,因此其地震影响系数可取最大值;若将竖向地震作用表示为竖向地震影响系数最大值与第一振型等效质量的乘积,其结果与按振型分解反应谱法计算的结果非常接近。因此,竖向地震作用标准值的计算可表示为式(5.3.1-1),即竖向地震影响系数最大值与结构等效总重力荷载的乘积,等效总重力荷载可取为结构重力荷载代表值的75%。
3 总竖向地震作用沿结构高度的分布可按第一振型曲线,即倒三角形分布。
4 层内分配,按构件承受重力荷载代表值大小(即轴向力)分担。
5 当按多遇地震计算竖向地震作用时,根据不同结构类型对竖向地震作用的反应特性,规定其作用效应应乘以效应增大系数1.5~2.5,这是因为按多遇地震计算结果比按设防地震计算结果降低1.5倍~2.5倍。
5.3.2 8度和9度时,跨度大于24m的桁架、长悬臂结构和其他大跨度结构,竖向地震作用标准值可采用其重力荷载代表值与竖向地震作用系数的乘积;竖向地震作用可不向下传递,但构件节点设计时应予以计入;竖向地震作用系数可按表5.3.2采用。
表5.3.2 竖向地震作用系数

注:括号内数值系设计基本地震加速度为0.30g的地区。
条文说明
5.3.2 用反应谱法和时程分析法计算分析表明,在地震烈度为8度、9度时,大跨度桁架各主要杆件的竖向地震内力与重力荷载内力之比,彼此相差一般不大,这个比值随烈度和场地条件而异。当结构自振周期T1>Tg时,随跨度增大比值有所下降,在常用跨度范围内,下降不是很大,可以略去跨度的影响。因此,这类结构的竖向地震作用标准值可取其重力荷载代表值与表5.3.2中所列竖向地震作用系数的乘积。对长悬臂等大跨度结构的竖向地震作用计算,仍采用原规范的静力法。
5.4 截面抗震验算
5.4 截面抗震验算
5.4.1 结构构件的截面抗震验算除本规范另有规定外,地震作用标准值效应和其他荷载效应的基本组合,应按下式计算:
S=γGSGE+γEhSEhk+γEvSEvk+γwψwSwk+γtψtStk+γmψmSmk (5.4.1)
式中:S——结构构件内力组合的设计值,包括组合的弯矩、轴向力和剪力的设计值等;
γG——重力荷载分项系数,应采用1.2;当重力荷载效应对构件承载能力有利时,不应大于1.0;当验算结构抗倾覆或抗滑时,不应小于0.9;
SGE——重力荷载代表值效应,重力荷载代表值应按本规范第5.1.4条的规定确定;
γEh、γEv——分别为水平、竖向地震作用分项系数,应按表5.4.1采用;
SEhk——水平地震作用标准值效应,尚应乘以相应的增大系数或调整系数;
SEvk——竖向地震作用标准值效应,尚应乘以相应的增大系数或调整系数;
Swk——风荷载标准值效应;
Stk——温度作用标准值效应;
Smk——高速旋转式机器主动作用标准值效应;
γw、γt、γm——分别为风荷载、温度作用和高速旋转式机器动力作用分项系数,均应采用1.4,但冷却塔的温度作用分项系数应取1.0;
ψw——风荷载组合值系数,高耸构筑物应采用0.2,一般构筑物应取0;
ψt——温度作用组合值系数,一般构筑物应取0,长期处于高温条件下的构筑物应取0.6;
ψm——高速旋转式机器动力作用组合值系数,对大型汽轮机组、电机、鼓风机等动力机器,应采用0.7,一般动力机器应取0。
表5.4.1 地震作用分项系数

条文说明
5.4.1 本条为强制性条文。在进行截面抗震验算时,本规范仍沿用原规范的方法,针对不同特点的构筑物采用多遇地震的地震作用效应与其他荷载效应的组合。计算时采用弹性分析方法,多遇地震的地震作用效应可认为结构基本上处于弹性工作范围内。因此,结构构件承载力极限状态设计表达式可按现行国家标准《工程结构可靠性设计统一标准》GB 50153采用。
1 地震作用标准值效应。
按照现行国家标准《工程结构可靠性设计统一标准》GB 50153,荷载效应组合式中的各种荷载效应是以荷载标准值和其荷载效应系数的乘积表示的。但是,本规范中的地震作用效应是由各振型的地震作用效应平方和开方求得,在荷载效应组合式中不以现行国家标准《工程结构可靠性设计统一标准》GB 50153中的形式出现。因此,本规范中的荷载效应组合式中直接采用荷载(作用)标准值效应。?
地震作用标准值效应组合,是建立在弹性分析叠加原理基础上的。但考虑到抗震计算模型的简化和塑性分布与弹性内力分布的差异等因素,在本规范有关章节中规定对地震作用效应乘以效应调整系数η,如突出屋面的小型结构、天窗,框架柱、底层框架-抗震墙结构的柱子、梁端和抗震墙底部加强部位的剪力等增大系数。
2 地震作用分项系数的确定。
在众值烈度下的地震作用,应视为可变作用而不是偶然作用。因此根据现行国家标准《工程结构可靠性设计统一标准》GB 50153规定的原则,考虑地震加速度和动力放大系数的不确定性,用Turskra荷载组合规则,由一次二阶矩法确定求得地震作用效应与其他荷载效应组合时的荷载效应分项系数和抗力系数。分析中结构的目标可靠度指标,是根据《工业与民用建筑抗震设计规范》TJ 11-78抗震设计的可靠度水准进行校准而取用的。对于水平地震作用所得荷载效应分项系数γG=1.2,γEh=1.3,这与现行国家标准《建筑抗震设计规范》GB 50011给出的值相同。因此,本规范采用了与现行国家标准《建筑抗震设计规范》GB 50011相同的荷载(作用)效应分项系数。至于其他可变荷载,除风荷载外,考虑到某些构筑物长期处于高温条件下或受到高速旋转动力机器的动力作用,增加了温度作用和机器动力作用,这些作用的分项系数均取1.4。对于与建筑物明显不同的特殊构筑物,目前尚未能进行可靠度分析,暂采用相同的荷载(作用)分项系数。
3 作用组合值系数的确定。
在第5.1.4条计算地震作用时,已考虑地震时各种重力荷载的组合问题,给出了计算地震作用的重力荷载代表值及各重力荷载的组合值系数。在本条的荷载(作用)效应基本组合中,只涉及风荷载、温度作用和机器动力作用这三个可变荷载的组合值系数,它们是根据过去的抗震设计经验确定的。
4 结构重要性系数。
根据地震作用的特点和抗震设计的现状,重要性系数对抗震设计的实际意义不大,因此不考虑此项系数。
5.4.2 结构构件的截面抗震验算应采用下列设计表达式:
S≤R/γRE (5.4.2)
式中:R——结构构件承载力设计值;
γRE——承载力抗震调整系数,除本规范另有规定外,应按表5.4.2采用。
表5.4.2 承载力抗震调整系数

条文说明
5.4.2 本条为强制性条文。对于与建筑物特性相近的构筑物,按现行国家标准《工程结构可靠性设计统一标准》GB 50153规定的原则,在确定荷载分项系数的同时已给出与抗力标准值相应的抗力分项系数,它可转换为抗震承载力设计值。为了在进行截面抗震验算时采用有关结构规范的承载力设计值,按照现行国家标准《建筑抗震设计规范》GB 50011的相同做法,将抗震设计的抗力分项系数改用非抗震设计的构件承载力设计值的抗震调整系数,并取与现行国家标准《建筑抗震设计规范》GB 50011相同之值。对于特性与建筑物不同的构筑物,也与前述原因相同,采用不同的承载力抗震调整系数。本规范第6.2.23、8.2.15、10.2.15、11.2.20、11.2.22、11.2.23、13.2.8、D.0.4条中存在对承载力抗震调整系数另有规定的情况,其中第8.2.15、10.2.15、13.2.8条为强制性条文,其余为非强制性条文,γRE在这些条文中的取值与表5.4.2有所不同,计算时应注意。
5.4.3 当仅计算竖向地震作用时,结构构件承载力抗震调整系数均应采用1.0。
条文说明
5.4.3 本次修订改为强制性条文。仅计算竖向地震作用时,构件承载力的抗震调整系数均取1,即不管结构材料和受力状态均直接采用非抗震设计的承载力设计值。如果同时计算水平和竖向地震作用时,则按第5.4.2条的规定执行。
5.5 抗震变形验算
5.5 抗震变形验算
5.5.1 下列构筑物应进行罕遇地震作用下的弹塑性变形验算:
1 8度Ⅲ类、Ⅳ类场地或9度时的钢筋混凝土框排架结构,以及9度时的钢筋混凝土柱承式筒仓、井塔、井架。
2 结构布置不规则且有明显薄弱层或高度大于150m的锅炉钢结构。
3 结构安全等级和结构高度均较高的电视塔结构。
4 7度~9度时结构层屈服强度系数小于0.5的钢筋混凝土框架结构和框排架结构。
5 甲类构筑物和9度时的乙类构筑物。
条文说明
5.5.1 震害经验表明,对绝大多数构筑物在满足规定的抗震措施和截面抗震验算的条件下,可保证不发生超过正常使用极限状态的变形限值,故可不进行多遇地震作用下的弹性变形验算。但对钢筋混凝土框排架结构,需要按多遇地震作用下进行弹性变形验算。震害表明,存在薄弱层或薄弱部位时,在强烈地震下会产生严重破坏或倒塌。因此,本条规定在一定条件下一些构筑物要按罕遇地震作用下验算弹塑性变形。
第4款中的结构层屈服强度系数,为按构件实际配筋和材料强度标准值计算的结构层受剪承载力和按罕遇地震作用标准值计算的结构层弹性地震剪力的比值;对排架柱,指按实际配筋面积、材料强度标准值和轴向力计算的正截面受弯承载力与按罕遇地震作用标准值计算的弹性地震弯矩的比值。
5.5.2 构筑物在罕遇地震作用下的弹塑性变形计算,可采用下列方法:
1 本规范规定的简化计算方法或经专门研究的简化计算方法。
2 质量和刚度沿高度分布比较均匀且高度不超过65m的构筑物,或近似于单质点体系的构筑物可采用静力弹塑性分析方法。
3 弹塑性时程分析方法。
条文说明
5.5.2 罕遇地震抗震变形验算难度较高,需有较高专业知识的工程技术或科研人员进行。这里规定可以采用经专门研究的简化计算方法。此外,本条还规定了可以采用静力弹塑性分析方法(pushover方法)分析的结构范围。研究表明,pushover方法仅适用于结构体系较均匀、对称且反应以第一振型为主的低层结构。为此这里提出其应用范围大体与底部剪力法应用范围相似的要求。对于不适用简化方法和pushover方法的构筑物,则需采用弹塑性时程分析方法。采用简化法时,构件材料的屈服强度和极限强度应采用标准值。采用弹塑性时程分析法时,应计入重力二阶效应对侧移的影响。
5.5.3 钢筋混凝土柱承式筒仓的最大弹塑性位移可按下式计算:

式中:Δup——柱顶最大弹塑性位移;
Δuy——柱顶屈服位移,可在柱顶作用1.42倍的屈服弯矩,采用弹性分析确定;
ME——柱顶弹性地震弯矩设计值;
My——柱顶屈服弯矩。
条文说明
5.5.3 有横梁和无横梁的柱承式筒仓的弹性地震反应和弹塑性地震反应分析的结果表明,用柱端屈服弯矩My归一化的弹性分析计算的柱端弯矩ME,与弹塑性分析计算的柱端最大延性系数μθ之间有较好的相关性,由此求得柱顶的最大弹塑性位移表达式(5.5.3)。对于柱顶的屈服位移,则可于柱顶施加1.42倍柱顶屈服弯矩,按弹性分析来确定。柱顶的屈服弯矩应取截面的实际配筋和材料强度标准值,按有关规定的公式和方法计算。轴压比小于0.8时,也可按下式计算:式中:NG——对应于重力荷载代表值的柱轴压力。
5.5.4 结构薄弱层(部位)的弹塑性位移应符合下式规定:
Δup≤[θp]h (5.5.4)
式中:h——薄弱层的结构层高度或柱承式筒仓柱的全高或单层厂房的上柱高度;
[θp]——弹塑性层间位移角限值,可按表5.5.4采用;对于钢筋混凝土框架结构,当轴压比小于0.4时,可提高10%;当柱子全高的箍筋构造比本规范第6.3.11条规定的体积配箍率大于30%时,可提高20%,但累计提高不应超过25%。
表5.5.4 结构弹塑性层间位移角限值

注:对于没有楼层概念的结构,根据结构布置视其沿高度方向由一定数量的结构
层组成,其弹塑性位移角值可取最薄弱结构层间的相对位移角值。
5.5.5 钢筋混凝土柱承式筒仓柱顶的弹塑性位移角限值可按下式确定:

式中:T1——筒仓的基本自振周期;
fck——混凝土轴心抗压强度标准值。
条文说明
5.5.4、5.5.5 根据各国抗震规范和抗震经验,目前采用层间位移角作为衡量结构变形能力的指标是比较合适的。本次修订,根据过去经验和参考现行国家标准《建筑抗震设计规范》GB 50011,增加了钢结构的层间弹塑性位移角限值。对于没有楼层概念的构筑物,可以根据结构布置视其沿高度方向由一定数量的结构层组成,取结构最薄弱层间的相对位移角值检验是否超过规范限值。
对柱承式筒仓,弹塑性位移角定义为支承柱柱顶的水平位移除以柱高。分析研究表明,在地震时支承柱达到极限延性系数值时会发生破坏,故取极限延性系数值的84%作为柱的变形限值。对带横梁和不带横梁的柱承式筒仓的分析发现,位移角限值[θp]随结构自振周期和柱的混凝土强度而变化,经回归分析求得其经验关系如式(5.5.5),由此经验公式计算的[θp]与弹塑性时程分析结果吻合较好。
钢筋混凝土框排架结构
6.1 一般规定
6.1 一般规定
6.1.1 本章适用于钢筋混凝土框架、框架-抗震墙与排架侧向组成的框排架结构抗震设计,其适用的最大高度应符合表6.1.1的规定。
表6.1.1 钢筋混凝土框架和框架-抗震墙适用的最大高度(m)

注:1 括号内的数值用于设有筒仓的框架和框架-抗震墙;
2 表中高度指室外地面到主要屋面板板顶的高度(不包括局部突出屋面部分);
3 超过表中所列高度时,应进行专门研究和论证,并采取加强措施。
6.1.2 钢筋混凝土框排架结构的框架和抗震墙应根据设防类别、烈度、结构类型和房屋高度采用不同的抗震等级,并应符合相应的计算和抗震构造措施要求。丙类框排架结构的框架和抗震墙的抗震等级应按表6.1.2确定。
表6.1.2 丙类框排架结构的框架和抗震墙的抗震等级

注:1 工程场地为Ⅰ类时,除6度外应允许按表内降低一度所对应的抗震等级采取抗震构造措施,但相应的计算要求不应降低;
2 设置少量抗震墙的框架-抗震墙结构,在规定的水平力作用下,底层框架部分所承担的地震倾覆力矩应大于框架-抗震墙总地震倾覆力矩的50%,其框架部分的抗震等级应按表中框架结构对应的抗震等级确定,抗震墙的抗震等级应与其框架等级相同;
3 设有筒仓的框架(或框架-抗震墙)指设有纵向的钢筋混凝土筒仓竖壁,且竖壁的跨高比不大于2.5,大于2.5时应按不设筒仓确定。
4 大跨度框架指跨度不小于18m的框架。
条文说明
6.1.1、6.1.2 框架(或框架-抗震墙)与排架侧向连接组成的框排架结构,是冶金、发电、水泥、化工和矿山等常用的结构形式。其特点是平面、立面布置不规则、不对称,纵向、横向和竖向的质量分布很不均匀,结构的薄弱环节较多;结构地震反应特征和震害要比框架结构和排架结构较复杂,表现出更显著的空间作用效应。因此抗震设计除与框架(或框架-抗震墙)结构、排架结构类同外还有其特殊要求。对于下部为框架上部(顶层)为排架的竖向框排架结构,可按国家现行标准《建筑抗震设计规范》GB 50011-2010附录H的规定设计。第6.1.2条为强制性条文。
震害调查及试验研究表明,钢筋混凝土结构的抗震设计要求不仅与设防类别、设防烈度和场地有关,而且与结构类型和结构高度等有关。如设筒仓、短柱和薄弱层等的框架结构应有更高的抗震要求,高度较高结构的延性要求比低的更严格。
框排架结构按框架结构、框架-抗震墙结构划分抗震等级,是为了把地震作用效应计算和抗震构造措施要求联系起来,体现在同样设防烈度和场地条件下,不同的结构类型、不同的高度有不同的抗震构造措施要求。条文中一般用抗震等级选用相应的地震作用效应调整系数和构造措施。
本章条文中“X级框架”包括框架结构、框架-抗震墙结构中的框架,“X级框架结构”仅指框架结构中的框架,“X级抗震墙”是指框架-抗震墙结构中的抗震墙。
本次修订,对设有筒仓的框架结构高度限制比一般框架结构较严。震害表明,同等高度框架设有筒仓比不设筒仓的地震破坏严重。
其次对设筒仓的框架,这次明确设有筒仓的框架系指在柱上设有纵向钢筋混凝土筒仓竖壁的框架,竖壁的跨高比不大于2.5,大于2.5时按不设筒仓的框架抗震等级考虑。
设置少量抗震墙的框架结构,在规定的水平力作用下,底层框架部分所承担的地震倾覆力矩大于结构总地震倾覆力矩的50%时,框架部分为主要的抗侧力构件,其框架部分的抗震等级应按框架结构的抗震等级确定,抗震墙的抗震等级可与其框架的抗震等级相同。设置少量抗震墙是为了增大框架结构的刚度,满足层间位移角限值的要求,仍属于框架结构范畴,但层间位移角限值需按底层框架部分承担的地震倾覆力矩的大小,在框架结构和框架-抗震墙结构两者的层间位移角限值之间偏于安全采用内插法确定。
6.1.3 框排架结构的平面和竖向布置、结构选型、选材应符合下列规定:
1 在结构单元平面内,抗侧力构件宜对称均匀布置,并应沿结构全高设置。在结构单元内,各柱列的侧移刚度宜均匀。竖向抗侧力构件的截面尺寸宜自下而上逐渐减小,并应避免抗侧力构件的侧移刚度和承载力突变。
2 质量大的设备等不宜布置在结构单元边缘的平台上,宜设置在距结构刚度中心较近的部位;当不可避免时,宜将平台与主体结构分开,也可在满足工艺要求的条件下采用低位布置。
3 不宜采用较大的悬挑结构。
4 围护墙宜选用轻质材料、轻型墙板、钢筋混凝土墙板等;当结构单元的一端敞开另一端有山墙时,其山墙与主体结构之间应采用柔性连接。
条文说明
6.1.3 框排架结构的抗侧力构件在平面和竖向宜规则布置,这对抗震设计是非常重要的。
震害表明,规则的结构在地震时破坏较轻,甚至没有破坏。规则和不规则的结构与结构单元平面和竖向的抗侧力结构布置、质量分布等有关,框排架结构的形式是由工艺流程要求确定的,一般都不太规则。因此结构设计人员应与工艺人员密切配合,尽量减少框排架结构的不规则布置,不应采用严重不规则的框排架结构。
6.1.4 框排架结构的防震缝应符合下列规定:
1 当符合下列情况之一时,应设置防震缝:
1)房屋贴建于框排架结构;
2)结构的平面和竖向布置不规则;
3)质量和刚度沿纵向分布有突变。
2 防震缝的两侧应各自设置承重结构。
3 除胶带运输机和链带设备外,设备不应跨防震缝布置。
4 防震缝的最小宽度应符合下列规定:
1)高度不大于15m的贴建房屋与框排架结构间,6度、7度时,不应小于100mm;8度、9度时,不应小于110mm。
2)框排架结构(包括设置少量抗震墙的框排架结构)单元间,结构高度不超过15m时,不应小于100mm;结构高度超过15m时,对6度~9度,分别每增高5m、4m、3m、2m,宜加宽20mm;
3)框架-抗震墙的框排架结构的防震缝宽度不应小于本条第2款规定数值的70%,且不宜小于100mm。
5 8度、9度的框架结构防震缝两侧结构层高相差较大时,防震缝两侧框架柱的箍筋应沿房屋全高加密。
条文说明
6.1.4 框排架结构中通常设有筒仓或大型设备,质量和刚度沿纵向分布有突变、结构的平面布置不规则等,在强烈地震作用下,震害比较严重。为了减小结构的地震作用效应,采用防震缝分隔处理比其他措施更为有效。当选择合理的结构方案时,也可不设防震缝。设防震缝存在两个问题:一是在强烈地震作用下相邻结构仍可能局部碰撞而造成破坏;二是防震缝过大在立面处理上和构造处理上有一定的困难,因此也可通过合理选择结构方案尽量不设防震缝。
固定设备不允许跨抗震缝布置,胶带运输机和链带设备可以跨抗震缝布置。链带设备是指烧结机、球团焙烧机、带式冷却机和链篦机等。
6.1.5 框架及框架-抗震墙结构中,楼板、屋盖采用预制板时,应采取保证楼板、屋盖的整体性及其与框架梁(或抗震墙)的可靠连接的措施。
条文说明
6.1.5 震害调查表明,装配整体式钢筋混凝土结构的接头在9度时发生了严重破坏,后浇层的混凝土酥碎,钢筋焊接接头开裂或断开。原规范规定的三、四级不设筒仓的框架,可采用装配整体式钢筋混凝土结构,现予以取消。其主要原因是近年来已被现浇钢筋混凝土所代替,仅保留了预制钢筋混凝土楼板、屋盖板,但应采取保证楼板、屋盖板整体性的措施。
6.1.6 排架跨屋架或屋面梁支承在框架柱上时,宜符合下列规定:
1 排架跨的屋架下弦或屋面梁底面宜布置在与框架跨相应楼层的同一标高处。
2 排架跨的屋架或屋面梁支承在框架柱顶伸出的单柱上时(图6.1.6),宜在柱顶(A处)设置一道纵向钢筋混凝土连梁;当AC段柱较高时,宜在中间增设一道纵向连梁。

条文说明
6.1.6 排架跨屋盖与框架跨的连接结点设在框架跨的层间,会使排架跨屋盖的地震作用集中到框架柱的中间(层间处),并形成短柱,从而成为结构的薄弱环节。地震震害表明,排架跨屋盖设在框架柱层间时,在该处多数的框架柱发生裂缝或破坏。故在设计中应避免排架跨屋盖设在框架柱的层间,否则应采取相应的抗震构造措施。
排架跨的屋架或屋面梁支承在框架柱顶伸出的单柱上时,要求该柱在横向形成排架,在纵向形成框架。当该柱较高时,可在柱中部增加一道框架纵向横梁,这是经过实践总结出的经验。
6.1.7 屋盖天窗的配置与选材应符合下列规定:
1 天窗宜采用突出屋面较小的避风型天窗、下沉式天窗或采光屋面板等形式。
2 突出屋面的天窗宜采用钢天窗架;6度~8度时,可采用矩形截面杆件的钢筋混凝土天窗架。
3 宜在满足建筑功能的条件下,降低天窗架的高度。
4 天窗屋盖、端壁板和侧板宜采用轻型板材,不应采用端壁板代替端天窗架。
5 结构单元两端的第一开间不应设置天窗;8度和9度时,宜从第三开间开始设置天窗。
条文说明
6.1.7 震害表明,突出屋面的天窗对结构抗震是不利的。必须设置天窗时,宜采用突出屋面较低的避风型天窗和下沉式天窗。
不从屋盖第一开间或第二开间设置天窗,从第三开间设置,主要是为了防止在排架跨屋面纵向水平刚度削弱太大,对结构抗震不利,同时防止屋面板在地震时掉落。天窗屋盖、端板和侧板均要求采用轻型材料,是为了减小对天窗架和下部结构的地震作用效应。
6.1.8 屋盖的屋架或屋面梁的选用应符合下列规定:
1 屋盖宜选用钢屋架或重心较低的预应力混凝土、钢筋混凝土屋架。
2 跨度不大于15m时,可采用钢筋混凝土屋面梁。
3 跨度大于24m,或8度Ⅲ、Ⅳ类场地和9度时,宜选用钢屋架。
4 有突出屋面天窗架的屋盖不宜采用预应力混凝土或钢筋混凝土屋架。
5 8度(0.30g)和9度时,跨度大于24m的屋盖不宜采用大型屋面板。
条文说明
6.1.8 唐山地震的震害调查表明,钢结构屋架抗震性能最好,基本没有破坏,而屋盖倒塌多是由于屋面支撑系统薄弱原因所致。钢筋混凝土屋架破坏和倒塌主要是因屋架与小柱连接薄弱、柱头埋件拉断、小柱强度不够等原因造成的。
设有天窗的钢筋混凝土和预应力混凝土屋架在地震作用下,天窗两侧竖向支撑对屋架节点、斜腹杆等产生严重的破坏现象,故不宜采用。如果采用时,应验算天窗两侧竖向支撑下的屋架在地震时产生的附加作用效应。
块体拼装屋架(或屋面梁)的整体性差,拼装节点是薄弱环节,唐山地震时拼装屋架的破坏比较多,故不宜采用。
8度(0.30g)和9度时,跨度大于24m的厂房采用预制大型屋面板时,地震破坏较严重,因此不宜采用大型屋面板。
6.1.9 框排架结构的排架柱选型应符合下列规定:
1 应根据截面高度不同采用矩形、工字形截面柱或斜腹杆双肢柱,不应采用薄壁工字形柱、腹板开孔工字形柱或预制腹板的工字形柱。
2 采用工字形截面柱时,柱底至室内地坪以上500mm高度范围内、阶形柱的上柱和牛腿处的各柱段均应采用矩形截面。
3 山墙抗风柱可采用矩形、工字形截面钢筋混凝土柱,亦可采用H形钢柱。当排架跨较高时,宜设置山墙抗风梁。
条文说明
6.1.9 排架柱列的柱子,采用矩形、工字形和斜腹杆双肢钢筋混凝土柱,抗震性能都很好,并在地震时经受了考验。对于腹板开孔或预制腹板的工字形柱,在唐山地震时,天津8度区的腹板普遍出现斜裂缝,故规定不应采用。采用现浇柱时,尽量采用矩形断面,这主要是为了保证质量和方便施工。
山墙抗风柱较高时,设置抗风梁作为山墙抗风柱的支承点是经济合理的,否则山墙抗风柱截面太大。扩建时端山墙抗风柱通常采用工字形截面钢柱。
6.1.10 上下吊车的钢梯布置应符合下列规定:
1 在结构单元内一端有山墙另一端无山墙时,应在靠近山墙的端部设置钢梯。
2 在结构单元内两端均有山墙或均无山墙时,应在单元中部设置钢梯。
3 多跨时,可按本条第1款、第2款的规定分散布置钢梯。
条文说明
6.1.10 规定上下吊车的钢梯位置,目的在于吊车停用时能使吊车桥架停放在对结构抗震有利的部位。经大量的框排架结构空间抗震计算,吊车桥架停放的位置对结构地震作用效应影响很大。在单元内一端有山墙另一端无山墙时,吊车桥架停放在靠山墙一端或无山墙一端,二者对结构产生的地震作用效应差别很大。吊车桥架停放在山墙一端对结构有利,停放在无山墙一端对结构不利。
在单元内两端均有山墙或均无山墙时,吊车桥架停放在单元中部(也就是上下吊车的钢梯应放在单元的中部)对结构的地震作用效应影响很小。
6.1.11 框排架结构中的框架、抗震墙均应双向设置,且柱中线与抗震墙中线、梁中线之间的偏心距不宜大于柱宽的1/4;大于柱宽的1/4时,应计入偏心的影响。
框排架结构中框架部分高度大于24m时,不宜采用单跨框架结构。
条文说明
6.1.11 框排架结构和框架-抗震墙结构中,框架和抗震墙的布置及数量应以满足层间位移限值为准;双向设置,纵横向抗震墙相连,不但可以加大侧移刚度,还有利于提高强塑性变形能力。
柱中线与抗震墙中线、梁中线与柱中线之间的偏心距不宜大于柱宽的1/4,其目的是为了减少在地震作用下可能导致核芯区受剪面积不足的影响和减小柱的扭转效应;偏心距超过柱宽1/4时,应采取加强柱的箍筋、设水平加腋梁等措施。
本条还增加了控制单跨框架结构适用范围的要求。框架结构中某个主轴方向均为单跨,也属于单跨框架结构;某个主轴方向有局部的单跨框架,可不作为单跨框架结构对待。框架-抗震墙结构中的框架可以是单跨。
6.1.12 框架-抗震墙中,抗震墙之间无大洞口的楼板、屋盖的长宽比不宜超过表6.1.12的规定;超过时,应计入楼板、屋盖平面变形的影响。
表6.1.12 抗震墙之间无大洞口的楼板、屋盖的长宽比

条文说明
6.1.12 楼板、屋盖平面内的变形将影响楼层水平地震作用在各抗侧力构件之间的分配。
为了使楼板、屋盖具有传递水平地震作用的剪变刚度,故规定不同烈度下抗震墙之间楼板、屋盖的长宽比限值。如超出限值,需考虑楼板、屋盖平面内变形对楼层水平地震作用分配的影响。
6.1.13 框架-抗震墙中抗震墙的设置宜符合下列规定:
1 抗震墙宜贯通房屋全高。
2 结构较长时,侧移刚度较大的纵向抗震墙不宜设置在结构的端开间。
3 抗震墙洞口宜上下对齐,且洞边距端柱不宜小于300mm。
4 楼梯间宜设置抗震墙,但不宜造成较大的扭转效应。
5 在抗震墙的两端(不包括洞口两侧)宜设置端柱或与另一方向的抗震墙相连。
条文说明
6.1.13 框架-抗震墙结构中,抗震墙是主要抗侧力构件,竖向布置应连续,墙中不宜开大洞口,以防止抗震墙的刚度突变或承载力削弱。
洞边距柱边不宜小于300mm,以保证柱作为边缘构件发挥其作用。抗震墙开洞口要求上下对齐,避免墙肢传力路径突变。结构纵向较长时,侧移刚度较大的纵向墙不宜设置在结构的端开间,以避免温度效应对结构的不利影响。较长的抗震墙宜设置跨高比大于6的连梁形成洞口,将一道抗震墙分成较均匀的若干墙段,各墙段的高宽比不宜小于3。
本条增加了楼梯间宜设置抗震墙的规定。明确了抗震墙两端宜设置端柱或纵横墙相连。
6.1.14 采用框架-抗震墙时,抗震墙底部加强部位的范围应符合下列规定:
1 底部加强部位的高度应从地下室顶板算起。
2 房屋高度大于24m时,底部加强部位的高度可取底部两层和墙体总高度的1/10的较大值,房屋高度不大于24m时,底部加强部位可取底部一层。
3 当结构计算嵌固端位于地下一层底板或以下时,底部加强部位尚应向下延伸到计算嵌固端。
条文说明
6.1.14 抗震墙在地震作用时塑性铰一般发生在墙肢的底部以上的一定范围。将塑性铰范围及其以上一定高度作为加强部位,其目的是为了保证墙肢出现塑性铰后抗震墙具有足够的延性,适当提高承载力和避免墙肢剪切脆性破坏,提高整个结构的抗地震倒塌能力。
6.1.15 框排架结构柱的独立基础有下列情况之一时,宜沿两个主轴方向(排架柱仅在纵向)设置基础系梁:
1 一级框架和Ⅳ类场地的二级框架。
2 各柱基承受的重力荷载代表值作用下的压应力差别较大。
3 基础埋置较深或各基础埋置深度差别较大。
4 地基主要受力层范围内存在软弱黏性土层、液化土层或严重不均匀土层。
5 桩基承台之间。
6.1.16 框架-抗震墙中的抗震墙基础应有良好的整体性和抗转动的能力。
条文说明
6.1.15、6.1.16 规定设置基础系梁主要是保证基础在地震作用下的整体工作,防止基础转动等给上部结构造成不利影响。一般情况下,连梁均应设在基础顶部,不要设在基础顶的上部,使柱与基础之间形成短柱。
当地基土较软弱且无整体基础的框架-抗震墙,基础刚度和整体性较差,在地震作用下抗震墙基础将产生较大的转动,从而降低了抗震墙的侧移刚度,对内力和位移将产生不利的影响。
6.1.17 楼梯间应符合下列规定:
1 宜采用现浇钢筋混凝土楼梯。
2 对于框排架结构,楼梯间的布置不应导致结构平面特别不规则;楼梯构件与主体结构整浇时,应计入楼梯构件对地震作用及其效应的影响,应进行楼梯构件的抗震承载力验算;宜采取减少楼梯构件对主体结构刚度影响的构造措施。
3 楼梯间两侧填充墙与柱之间应加强拉结。
6.2 计算要点
6.2 计算要点
6.2.1 6度时的不规则、建造于Ⅳ类场地上较高的框排架结构,以及7度~9度时的框排架结构,应按本规范第5章有关多遇地震的规定进行水平、竖向地震作用和地震作用效应计算。
条文说明
6.2.1 建造在6度区Ⅳ类场地的框排架结构高度大于40m时,其基本自振周期可能大于Ⅳ类场地的特征周期Tg,则6度的地震作用值可能大于同一结构在7度Ⅱ类场地时的作用值,因此应进行抗震验算。明确了6度时不规则的框排架结构(一般框排架结构均为不规则的)应进行抗震验算。
本规范未作规定的尚应符合有关现行国家标准《建筑抗震设计规范》GB 50011、《建筑工程抗震设防分类标准》GB 50223等结构设计规范的要求。
6.2.2 框排架结构应按空间结构模型计算地震作用,且应符合下列规定:
1 复杂框排架结构进行多遇地震作用下的内力和变形分析时,应采用不少于两个不同的力学模型,并应对其计算结果进行分析比较。
2 框排架结构不规则时,应符合本规范第3.4.6条、第3.4.7条的规定。
3 抗震验算时,结构任一楼层的水平地震剪力应符合本规范第5.2.5条的规定。
4 设有天窗且不计入框排架结构计算模型时,地震作用计算时可将天窗的质量集中在天窗架下部屋架或屋面梁处。
5 设有筒仓的框排架结构,筒仓设有横向和纵向竖壁时,贮料荷载应分配给纵向和横向竖壁上;当仅设有纵向竖壁(横向为梁)时,贮料荷载应仅分配给纵向竖壁上。
6 采用振型分解反应谱法计算时,其振型数不宜少于12个。
7 计算的结构自振周期应乘以0.8~0.9的周期调整系数。
条文说明
6.2.2 框排架结构由于刚度、质量分布不均匀等原因,在地震作用下将产生显著的扭转效应,因此应采用空间计算模型,能较好地反映结构实际的地震作用效应。
框排架结构是复杂结构,多遇地震作用下的内力与变形计算时,应采用空间模型和平面模型两个不同的力学模型计算,按不利情况设计。
采用振型分解反应谱法振型数的多少与结构层数及结构形式有关,当结构层数较多或结构层刚度突变较大时,振型数就应取多一些。根据大量工程实例的空间计算分析,框排架结构仅取前9个振型还不足,这次修订改为不宜少于12个振型。
应当指出:计算的结构振型参与质量达到总质量的90%时,所取的振型数就足够了,如果小于90%,会导致计算地震作用偏小。
框排架结构计算周期调整主要是考虑以下几方面的因素:由于围护结构、隔墙的多少、节点的刚接与铰接、地坪嵌固及排架跨内的操作平台等影响,使结构实际刚度大于计算刚度,实际周期比计算周期小。若按计算周期计算,地震作用要比实际的小,偏于不安全,因此结构计算周期需要调整。
6.2.3 质量和刚度分布明显不对称的框排架结构地震作用计算时,应计入双向水平地震作用下的扭转影响。双向水平地震作用标准效应可按本规范式(5.2.3-1)和式(5.2.3-2)的较大值确定。其中单向水平地震作用下的扭转耦联效应可按下列公式确定:

式中:SEk——地震作用标准值的扭转效应;
Sj、Sk——分别为j、k振型地震作用标准值的效应,可取前9个~15个振型;
ζj、ζk——分别为j、k振型的阻尼比;
ρjk——j振型与k振型的耦联系数;
λT——k振型与j振型的自振周期比。
条文说明
6.2.3 框排架结构当质量和刚度分布明显不对称时,要计入双向水平地震作用下的扭转影响。双向水平地震作用下的地震效应组合,根据强震观测记录分析,两个水平方向地震加速度的最大值不相等,且两个方向的最大值不一定同时出现,因此采用平方和开方计算两个方向地震作用效应组合。式(6.2.3-1)为两个正交方向地震作用在每个构件的同一局部坐标方向的扭转耦联效应。对规则对称和简单的框排架结构可简化为平面结构计算,但应考虑扭转影响。
6.2.4 当符合本规范附录C规定的条件时,框排架结构可按多质点平面结构计算;其地震作用效应可按本规范第C.0.2条的规定进行地震作用空间效应调整。
条文说明
6.2.4 本规范对常用的四种形式的框排架结构进行了大量的按空间与平面模型计算的对比和分析,得出这四种结构的空间效应调整系数,即按平面结构模型进行计算地震作用效应再乘以调整系数。但必须指出:只有符合本规范附录C规定条件的框排架结构才可以采用平面模型计算地震作用效应,其他类型框排架结构以及9度时,仍然按空间模型计算,否则会带来很大的误差(可达1倍以上),并可能掩盖实际存在的结构薄弱环节。本规范附录C保留了原规范的内容,增加了框排架结构柱段的划分。空间计算模型未考虑双向水平地震作用的扭转效应,楼板均假定为刚性楼板。
6.2.5 设有筒仓的框排架结构计算地震作用时,贮料重力荷载代表值应按下式确定:
Gzeq=ψGz (6.2.5)
式中:Gzeq——贮料重力荷载代表值;
ψ——充盈系数,对单仓和双联仓,可取0.9;对多联仓,可取0.8;
Gz——按筒仓实际容积计算的贮料荷载标准值。
条文说明
6.2.5 计算地震作用时,筒仓料的重力荷载代表值为其自重荷载标准值(可变荷载)乘以组合值系数得到的值,因筒仓料的自重是按实际情况确定的且长期存在,所以组合值系数取1.0,也即筒仓料的重力荷载代表值等于其自重荷载标准值。
6.2.6 一、二、三、四级框架的底层,柱下端(设有筒仓的框架尚应包括支承筒仓竖壁的框架柱的上端)截面组合的弯矩设计值应分别乘以增大系数1.7、1.5、1.3和1.2。底层柱的纵向钢筋应按上、下端的不利情况配置。
条文说明
6.2.6 框架结构的底层柱底和支承筒仓竖壁的框架柱的上端和下端,在地震作用下如果过早出现塑性屈服,将影响整体结构的抗倒塌能力,因此将这些部位适当增强。这是概念设计的“强底层”措施。
框架-抗震墙结构,其主要抗侧力构件是抗震墙,对其框架部分的底层柱截面组合的弯矩设计值可不作调整,但其中的一、二级支撑筒仓竖壁的框架柱仍需调整。
6.2.7 一、二、三、四级框架的梁柱节点处,柱端组合的弯矩设计值应符合下列规定:
1 除框架顶层和柱轴压比小于0.15外,柱端组合的弯矩设计值应符合下式要求:
∑Mc=ηc∑Mb (6.2.7-1)
2 一级的框架结构和9度一级框架可不符合本规范式(6.2.7-1)的要求,但应符合下式要求:
∑Mc=1.2∑Mbua (6.2.7-2)
式中:∑Mc——节点上、下柱端截面顺时针或反时针方向组合的弯矩设计值之和,上、下柱端的弯矩设计值可按弹性分析分配;
∑Mb——节点左、右梁端截面反时针或顺时针方向组合的弯矩设计值之和,一级框架节点左、右梁端均为负弯矩时,绝对值较小的弯矩应取零;
∑Mbua——节点左、右梁端截面反时针或顺时针方向实配的正截面抗震受弯承载力所对应的弯矩值之和,应根据实配钢筋面积(计入梁受压筋和相关楼板钢筋)和材料强度标准值确定;
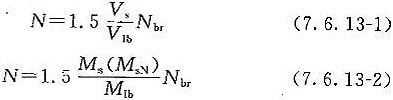
ηc——框架柱端弯矩增大系数;对框架结构,一级可取1.7,二级可取1.5,三级可取1.3,四级可取1.2;对框架-抗震墙结构中的框架,一级可取1.4,二级可取1.2,三、四级可取1.1。
3 当反弯点不在柱的层高范围内时,柱端截面组合的弯矩设计值可乘以柱端弯矩增大系数ηc。
条文说明
6.2.7 框架的变形能力与框架的破坏机制密切相关。试验研究表明,梁的延性通常远大于柱子,这主要是由于框架柱受轴压力作用所致,又由于地震的复杂性和楼板的影响、梁端实配钢筋超量等,因此采取“强柱弱梁”的措施,使柱端不提前出现塑性铰,而有目的地增大柱端弯矩设计值,降低柱屈服的可能性,是保证框架抗震安全性的关键措施。
对于轴压比小于0.15的框架柱,包括顶层框架柱在内,因其具有与梁相近的变形能力,故可不进行调整。
本次修改提高了柱端弯矩增大系数。对于一级框架结构及9度的一级框架仍按梁的实配抗震受弯承载力确定柱端弯矩设计值。
当柱反弯点不在楼层内时,为避免在竖向荷载和地震共同作用下变形集中,压屈失稳,柱端弯矩同样乘以增大系数。
6.2.8 一、二、三级的框架梁和抗震墙的连梁,其梁端截面组合的剪力设计值应按下式调整:

式中:V——梁端截面组合的剪力设计值;
ηvb——梁端剪力增大系数,一级可取1.3,二级可取1.2,三级可取1.1;
ln——梁的净跨;
VGb——梁在重力荷载代表值作用下,按简支梁分析的梁端截面剪力设计值;
——分别为梁左、右端反时针或顺时针方向组合的弯矩设计值,一级框架两端弯矩均为负弯矩时,绝对值较小的弯矩应取零。
6.2.9 一级的框架结构和9度的一级框架梁、连梁端截面组合的剪力设计值可不按本规范式(6.2.8)调整,但应符合下式要求:

式中:
——分别为梁左、右端反时针或顺时针方向实配的正截面抗震受弯承载力所对应的弯矩值,应根据实配钢筋面积(计入受压筋和相关楼板钢筋)和材料强度标准值确定。
6.2.10 一、二、三、四级框架柱组合的剪力设计值应按下式调整:

式中:V——柱端截面组合的剪力设计值;
ηvc——柱剪力增大系数;对框架结构,一级可取1.5,二级可取1. 3,三级可取1.2,四级可取1.1;对框架-抗震墙结构中的框架,一级可取1.4,二级可取1.2,三、四级可取1.1;
——分别为柱的上、下端顺时针或反时针方向截面组合的弯矩设计值,应符合本规范第6.2.6条、第6.2.7条的规定;
Hn——柱的净高。
6.2.11 一级的框架结构和9度的一级框架柱组合的剪力设计值可不按本规范式(6.2.10)调整,但应符合下式要求:

式中:
——分别为偏心受压柱的上、下端顺时针或反时针方向实配的正截面抗震受弯承载力所对应的弯矩值,应根据实配钢筋面积、材料强度标准值和轴压力等确定。
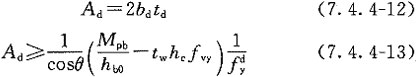
6.2.12 一、二、三、四级框架的角柱、支承筒仓竖壁的框架柱,经本规范第6.2.6条、第6.2.7条、第6.2.10条、第6.2.11条调整后的组合弯矩设计值、剪力设计值尚应乘以不小于1.1的增大系数。
6.2.13 一、二、三级的抗震墙底部加强部位,其截面组合的剪力设计值应按下式调整:
V=ηvwVw (6.2.13)
式中:V——抗震墙底部加强部位截面组合的剪力设计值;
ηvw——抗震墙剪力增大系数,一级可取1.6,二级可取1.4,三级可取1.2;
Vw——抗震墙底部加强部位截面组合的剪力计算值。
6.2.14 9度的一级抗震墙底部加强部位截面组合的剪力设计值可不按本规范式(6.2.13)调整,但应符合下式要求:

式中:Mwua——抗震墙底部截面按实配纵向钢筋面积、材料强度标准值和轴力等计算的抗震受弯承载力所对应的弯矩值,有翼墙时应计入墙两侧各一倍翼墙厚度范围内的纵向钢筋;
Mw——抗震墙底部截面组合的弯矩设计值。
条文说明
6.2.8~6.2.14 防止梁、柱和抗震墙底部在弯曲屈服前出现剪切破坏,这是概念设计的要求,即构件的受剪承载力要大于构件弯曲屈服时实际达到的剪力。也就是按实际配筋面积和材料强度标准值计算的承载力要大于构件弯曲屈服时实际达到的剪力,这是“强剪弱弯”的体现。对不同抗震等级采用不同的剪力增大系数,使“强剪弱弯”的程度有所差别。
需注意的是:柱和抗震墙的弯矩设计值是经本节有关规定调整后的取值,梁端和柱端弯矩设计值之和取顺时针方向之和以及反时针方向之和的较大值,梁端纵向受拉钢筋也按顺时针及反时针方向考虑。
对框架角柱、支承筒仓竖壁的框架柱,在历次强震中其震害相对较重,因其角柱受扭和双向受剪等不利影响。在设计中,其弯矩、剪力设计值均应取调整后的弯矩、剪力设计值再乘以不小于1.1的增大系数。
6.2.15 抗震墙各墙肢截面组合的内力设计值应按下列规定采用:
1 一级抗震墙的底部加强部位以上部位,墙肢的组合弯矩设计值应乘以增大系数,其值可采用1.2,剪力应相应调整。
2 双肢抗震墙中,墙肢不宜出现小偏心受拉;当任一墙肢为偏心受拉时,另一墙肢的剪力设计值、弯矩设计值均应乘以增大系数1.25。
条文说明
6.2.15 对一级抗震墙规定调整各截面的组合弯矩设计值,目的是通过配筋方式迫使塑性铰区位于墙肢的底部加强部位。故底部加强部位的弯矩设计值均取墙底部截面的组合弯矩设计值,底部加强部位以上采用各墙肢截面的组合弯矩设计值乘以增大系数1.2。剪力予以相应调整。
双肢抗震墙的某个墙肢一旦出现全截面受拉开裂,则其刚度退化严重,大部分地震作用将转移到受压墙肢,因此受压墙肢需适当增加弯矩和剪力设计值,其值增大1.25倍。地震是往复的作用,每肢抗震墙都有可能出现全截面受拉开裂,故每肢墙都应考虑增大弯矩和剪力设计值。
6.2.16 钢筋混凝土结构的梁、柱、抗震墙和连梁,其截面组合的剪力设计值应符合下列规定:
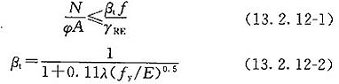
1 跨高比大于2.5的梁和连梁及剪跨比大于2的柱和抗震墙应符合下式要求:

2 跨高比不大于2.5的连梁、剪跨比不大于2的柱和抗震墙、支承筒仓竖壁的框架柱,以及落地抗震墙的底部加强部位应符合下式要求:

3 剪跨比应按下式计算:
λ=Mc/(Vch0) (6.2.16-3)
式中:λ——剪跨比,应按柱端或墙端截面组合的弯矩计算值Mc、对应的截面组合剪力计算值Vc及截面有效高度h0确定,并取上、下端计算结果的较大值;反弯点位于柱高中部的框架柱可按柱净高与2倍柱截面高度之比计算;
V——按本规范第6.2.8条~第6.2.14条的规定调整后的梁端、柱端或墙端截面组合的剪力设计值;
c——混凝土轴心抗压强度设计值;
b——梁、柱截面宽度或抗震墙墙肢截面宽度;
h0——截面有效高度,抗震墙可取墙肢截面长度。
条文说明
6.2.16 梁、柱、抗震墙和连梁的截面不要太小,如果构件截面的剪压比(V/?cbh0)过高,混凝土就会过早破坏,等到箍筋充分发挥作用时,混凝土抗剪强度已大大降低,故必须限制剪压比。实际上构件最小截面的限制条件,也是“强剪弱弯”的概念设计要求。
对跨高比不大于2.5的连梁、剪跨比不大于2的柱和抗震墙、支撑筒仓竖壁的框架柱,以及落地抗震墙的底部加强部位要求更高一些,采用剪压比为(V/?cbh0)≤0.15。
6.2.17 框排架结构抗震计算时,尚应符合下列规定:
1 侧移刚度沿竖向分布基本均匀的框架-抗震墙结构,任一层框架部分承担的剪力值不应小于框排架结构底部总地震剪力的20%和框架部分各楼层地震剪力最大值1.5倍中的较小值。
2 抗震墙地震内力计算时,连梁的刚度可折减,折减系数不宜小于0.5。
3 设置少量抗震墙的框架结构,其框架部分的地震剪力值宜采用框架结构模型和框架-抗震墙结构模型中计算结果的较大值。
4 框架-抗震墙结构计算内力和变形时,其抗震墙应计入端部翼墙的共同工作。
条文说明
6.2.17 本条规定了在结构整体分析中的内力调整:
1 框架-抗震墙结构(不包括少墙框架体系)在强烈地震时,抗震墙开裂而刚度退化,引起框架和抗震墙二者的塑性内力重分布,框架部分应力增加。框架部分计算所得的剪力一般都较小。为保证作为第二道防线的框架具有一定的抗侧力能力,需调整框架各层承担的地震剪力。因此采取任一层框架部分按框架和抗震墙协同工作分析的地震剪力,不应小于结构底部总地震剪力的20%和框架部分各层按协同工作分析的地震剪力最大值1.5倍二者的较小值(满足上述条件的各层,其框架剪力不必调整)。这是框架-抗震墙中的框架各层的地震剪力值的控制,也体现了多道抗震设防的原则。
2 框架-抗震墙中的连梁刚度相对抗震墙其刚度较小,而承受的弯矩和剪力往往较大,截面配筋设计较困难。因此在抗震设计时,在不影响竖向承载能力的情况下,适当降低连梁刚度。计算位移时,连梁刚度可不折减。抗震墙的连梁刚度折减后,如部分连梁尚不能满足剪压比(V/?cbh0)限值时,可采用双连梁。多连梁的布置,还可按剪压比要求降低抗震墙连梁剪力设计值及弯矩,并相应调整抗震墙的墙肢内力。
3 对于设有少量抗震墙的框排架结构,框架部分的地震剪力取两种计算模型的较大值较为妥当。
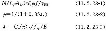
6.2.18 框架节点核芯区的抗震验算应符合下列规定:
1 一、二、三级框架的节点核芯区应进行抗震验算;四级框架节点核芯区可不进行抗震验算,但应符合抗震构造措施的要求。
2 核芯区截面抗震验算方法应符合本规范附录D的规定。
条文说明
6.2.18 框架节点核芯区是保证框架承载力和抗倒塌能力的关键部位,要求框架节点核芯区不能先于梁和柱破坏。震害表明:框架节点破坏主要是由于节点核芯区在剪力和压力共同作用下节点核芯区混凝土出现交叉斜裂缝,箍筋屈服甚至被拉断。因此为防止节点核芯区发生剪切脆性破坏,必须保证节点核芯区混凝土的强度和箍筋的数量,让节点核芯区不先于梁、柱破坏。
6.2.19 7度(0.15g)Ⅲ、Ⅳ类场地和8度、9度时,应计算横向水平地震作用对排架跨的屋架下弦产生的拉、压效应,在托架上的屋架可不计算该效应。
条文说明
6.2.19 分析框排架结构时,一般不考虑地震作用对屋架下弦产生的拉、压力的附加影响,这是因为产生的拉、压力较小。如某选矿主厂房为框排架结构,在球磨跨(排架跨)的屋架(风荷0.5kN/m2)产生拉、压力为41.7kN,建成后没有发生过问题。但在地震作用下(8度Ⅱ类场地),该跨屋架下弦产生的拉、压力为77kN,其值比较大。因此本条规定仅在7度(0.15g)Ⅲ、Ⅳ类场地和8度及9度时屋架下弦要考虑由水平地震作用引起的拉力和压力影响。
6.2.20 7度(0.15g)Ⅲ、Ⅳ类场地和8度、9度时,排架跨屋架或屋面梁与柱顶(或牛腿)的连接应进行抗震验算。
条文说明
6.2.20 唐山地震在8度及以上地区的厂房屋架(屋面梁)与柱头的连接处大部分在预埋板螺栓处产生斜裂缝,柱顶埋件被拉出和压曲等现象。如唐钢铸造车间、二轧车间、废钢车间、矿山机械厂四金工车间、铆焊车间、水泥机械厂清铲车间和机车车辆厂机修车间等均出现上述现象。因此屋架与柱头连接处除应满足相应的构造措施要求外,还应进行节点抗震验算,即计算屋架与柱头连接节点承载力、预埋件与柱头锚固和柱头混凝土局部承压等。
6.2.21 8度和9度时,钢结构仓斗与其钢筋混凝土竖壁之间的连接焊缝计算应计入竖向地震作用;竖向地震作用可分别采用仓斗及其贮料重力荷载代表值的10%和20%,设计基本地震加速度为0.30g时,可取重力荷载代表值的15%。
6.2.22 7度(0.15g)Ⅲ、Ⅳ类场地和8度、9度时,排架跨在设置屋架横向水平支撑的跨间宜计入由于纵向水平地震作用产生的两柱列位移差对屋架弦杆和支撑腹杆的不利影响。
条文说明
6.2.22 海城、唐山地震有关调查报告指出:框排架结构排架跨和单层厂房的屋盖破坏、倒塌的主要原因之一是由于屋盖支撑系统薄弱,强度和稳定不满足要求所致。框排架结构纵向抗震计算由于柱列刚度、屋盖刚度等影响,在屋盖产生的位移差引起的屋盖横向水平支撑杆件内力比较大。经框排架结构按空间抗震计算三例(三例排架跨均为18m钢屋架厂房,高20m左右,8度Ⅱ类场地)其屋盖处两端柱列产生的位移差分别为:6.926cm,5.098cm,6.526cm。对设有横向水平支撑的屋架下弦产生的拉力分别为:140kN,100kN,135kN。横向水平支撑的斜腹杆拉力为:186kN,155kN,180kN。故本条规定:在7度(0.15g)Ⅲ、Ⅳ类场地和8度、9度时,设置屋架横向水平支撑的跨间需考虑屋盖两端产生的位移差对屋架弦杆和横向水平支撑斜腹杆的不利影响。
6.2.23 支承低跨屋盖的柱牛腿(柱肩)的纵向受拉钢筋截面面积应按下式确定:

式中:As——纵向水平受拉钢筋的截面面积;
NG——柱牛腿面上重力荷载代表值产生的压力设计值;
a——重力荷载作用点至下柱近侧边缘的距离,当小于0.3h0时应采用0.3h0;
h0——牛腿最大竖向截面的有效高度;
?y——钢筋抗拉强度设计值;
NE——柱牛腿面上地震组合的水平拉力设计值;
γRE——承载力抗震调整系数,可采用1.0。
条文说明
6.2.23 震害表明:框排架结构中不等高屋盖的高低跨柱,支承低跨屋架的牛腿,普遍在牛腿表面预埋板螺栓处产生外斜裂缝,甚至产生向外移位破坏。因此除在构造上采取措施外,牛腿的纵向钢筋在计算上还应满足重力荷载和水平地震作用下所需要的钢筋面积。式(6.2.23)中第一项为承受重力荷载时所需要的纵向钢筋面积,第二项为承受水平拉力所需要的纵向钢筋面积。
6.2.24 框排架结构中突出屋面的天窗架及其两侧垂直支撑的抗震计算应符合下列规定:
1 应将天窗架及其两侧垂直支撑作为框排架结构的组成部分,纳入结构的计算模型,进行框排架结构的横向(对天窗架)和纵向(对垂直支撑)地震作用计算。
2 天窗架横向和纵向的简化抗震计算应符合下列规定:
1)天窗架横向抗震计算,对有斜腹杆的钢筋混凝土天窗架和钢天窗架,可采用底部剪力法;9度或天窗架跨度大于9m时,天窗架的地震作用效应应乘以增大系数,增大系数可采用1.5。
2)天窗架纵向抗震计算,可采用双质点体系即屋盖和天窗架分别设置质点的底部剪力法,其地震作用效应应乘以增大系数2.5。
3)采用底部剪力法计算时,地震作用效应的增大部分可不往下传递。
条文说明
6.2.24 地震震害表明:天窗架在纵向地震破坏比较普遍,故在纵向应进行抗震计算。计算时可采用双质点体系,即采用天窗的屋盖和天窗分别设置质点的底部剪力法计算地震作用效应。
这次修改增加了天窗可作为框排架结构的组成部分,纳入结构的计算模型,参与框排架结构横向与纵向地震作用计算。
6.2.25 排架跨山墙抗风柱的抗震计算可采用下列方法:
1 将山墙抗风柱纳入框排架结构的计算模型,进行整体抗震分析。
2 山墙抗风柱的抗震计算简化方法可按本规范附录E采用。
条文说明
6.2.25 山墙抗风柱在地震中破坏常有发生,故仅从抗震构造措施上考虑还不够,要进行抗震验算。但由于受力比较复杂,如纵向地震作用在山墙抗风柱顶部铰支点产生的变位等,没有合适的简化计算方法。本规范规定:将山墙抗风柱纳入框排架结构的计算模型,参与结构的纵向地震作用计算;此外,也可采用简化计算方法,即由山墙抗风柱承担的自重、两侧相应范围的山墙自重和管道平台等重力荷载引起的地震作用与由屋盖纵向地震位移引起的山墙抗风柱的地震作用进行组合,按本规范附录E的规定计算。高大山墙抗风柱和8度、9度时需要进行平面外的截面抗震验算。
6.2.26 框排架结构应进行多遇地震作用下的抗震变形验算,其结构楼层内最大的弹性层间位移应符合下式要求:
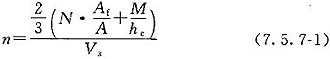
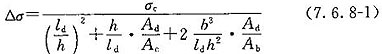
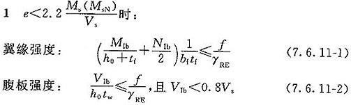
Δuc≤[θc]h (6.2.26)
式中:Δuc——多遇地震作用标准值产生的楼层内最大的弹性层间位移;计算时,可不扣除结构整体弯曲变形,应计入扭转变形,各作用分项系数均应采用1.0,结构构件的截面刚度可采用弹性刚度;
[θc]——弹性层间位移角限值,宜按表6.2.26采用;
h——计算结构楼层层高。
表6.2.26 弹性层间位移角限值

6.2.27 框排架结构在罕遇地震作用下薄弱层的弹塑性变形验算应符合下列规定:
1 符合下列条件时,应进行弹塑性变形验算:
1)8度Ⅲ、Ⅳ类场地和9度;
2)7度Ⅰ~Ⅳ类场地和8度Ⅰ、Ⅱ类场地的楼层屈服强度系数小于0.5。
2 薄弱层(部位)弹塑性变形计算可采用静力弹塑性分析方法和弹塑性时程分析方法。
3 框排架结构层间弹塑性位移应符合本规范式(5.5.4)的要求,此时公式中的h为薄弱层的层高或排架上柱的高度,弹塑性层间位移角限值宜按表6.2.27采用;当框架结构柱轴压比小于0.4、支承筒仓竖壁的框架柱轴压比小于0.3时,均可提高10%;当柱全高的箍筋构造大于本规范第6.3.11条规定的最小配箍特征值30%时,可提高20%,但累计不应超过25%。
表6.2.27 弹塑性层间位移角限值

注:有筒仓的框架位移角限值指筒仓竖壁下柱的弹塑性位移,筒仓上柱仍可按无筒仓的框架位移角限值采用。
条文说明
6.2.26、6.2.27 当前采用层间位移角作为衡量结构变形能力,从而判别是否满足结构功能要求的指标。
多遇地震作用下的弹性变形验算属于正常使用极限状态的验算,各作用分项系数均取1.0,钢筋混凝土结构构件的刚度一般可采用弹性刚度;当计算的变形较大时,宜适当考虑构件开裂时的刚度退化,如取0.85EcI0,荷载采用标准值。计算时应考虑由于结构整体弯曲和扭转所产生的水平相对位移。排架柱的弹性层间位移角尚需根据吊车使用要求加以限制。
震害表明,如果结构中存在薄弱层,在强烈地震作用下,由于结构薄弱层产生了弹塑性变形,结构构件严重破坏,甚至造成结构倒塌,因此尚需进行罕遇地震作用下薄弱层的弹塑性变形验算。
6.3 框架部分抗震构造措施
6.3 框架部分抗震构造措施
6.3.1 梁的截面尺寸宜符合下列规定:
1 截面宽度不宜小于200mm。
2 截面高宽比不宜大于4。
3 净跨与截面高度之比不宜小于4。
4 框架梁附属于筒仓的竖壁时,可不受本条第1款~第3款的限制。
条文说明
6.3.1 梁是框架在地震作用下的主要耗能构件,特别是梁的塑性铰区应保证有足够的延性,因此对梁的最小截面有一定的要求。
在地震作用下,梁端塑性铰区保护层容易脱落,如梁截面宽度过小,则截面损失较大。梁断面高宽比太大不利于混凝土的约束作用。梁的塑性铰发展范围与梁的跨高比有关,当梁净跨与梁断面高度之比小于4时,在反复受剪作用下交叉裂缝将沿梁的全跨发展,从而使梁的延性及受剪承载力急剧降低。
6.3.2 梁的钢筋配置应符合下列规定:
1 梁端计入受压钢筋的梁端混凝土受压区高度和有效高度之比,一级不应大于0.25,二、三级不应大于0.35。
2 梁端截面的底面和顶面纵向钢筋配筋量的比值除应按计算确定外,一级不应小于0.5,二、三级不应小于0.3。
3 梁端箍筋加密区的长度、箍筋最大间距和最小直径应按表6.3.2采用;当梁端纵向受拉钢筋配筋率大于2%时,箍筋最小直径应增大2mm。
表6.3.2 梁端箍筋加密区的长度、箍筋最大间距和最小直径

6.3.3 梁的纵向钢筋配置及梁端加密区的箍筋肢距尚应符合下列规定:
1 梁端纵向受拉钢筋的配筋率不宜大于2.5%。沿梁全长顶面、底面的配筋,一、二级不应少于214,且分别不应少于梁顶面、底面两端纵向钢筋中较大截面面积的1/4;三、四级不应少于212。
2 一、二、三级框架梁内贯通中柱的每根纵向钢筋直径,对框架结构不应大于矩形截面柱在该方向截面尺寸的1/20;对框架-抗震墙结构的框架不宜大于矩形截面柱在该方向截面尺寸的1/20。
3 梁端加密区的箍筋肢距,一级不宜大于200mm和箍筋直径的20倍的较大值,二、三级不宜大于250mm和箍筋直径的20倍的较大值,四级不宜大于300mm。
条文说明
6.3.2、6.3.3 第6.3.2条为强制性条文。梁的变形能力主要取决于梁端的塑性转动量,而梁的塑性转动量与截面混凝土受压区相对高度有关。当相对受压区高度(受压区高度和有效高度之比)为0.25至0.35范围时,梁的位移延性系数可达3~4。计算梁端受拉钢筋时,应采用与柱交界面的组合弯矩设计值,并应计入梁端受压钢筋的作用。计算梁端受压区高度时宜按梁端截面实际受拉和受压钢筋面积进行计算。
梁端底面和顶面纵向钢筋的比值同样对梁的变形能力有较大影响。梁底面的钢筋可增加负弯矩时的塑性转动能力,还能防止在地震中梁底出现正弯矩时过早屈服和破坏过重,从而影响承载力和变形能力的正常发挥。
根据试验和震害经验,随着剪跨比的不同,梁端的破坏主要集中在1.5倍~2.0倍梁高的长度范围内;当箍筋间距小于6d~8d(d为纵筋的直径)时,混凝土压溃前受压钢筋一般不致压屈,延性较好。因此规定了箍筋加密范围,限制了箍筋最大肢距;当纵向受拉钢筋的配筋率超过2%时,箍筋的要求相应提高。
贯通中柱,梁的纵向受力钢筋伸入节点的握裹要求可以避免纵向钢筋屈曲区向节点内渗透而降低框架的刚度和耗能性能。
6.3.4 二、三、四级框架和框架-抗震墙的楼板、屋盖可采用钢筋混凝土预制板,但应符合下列规定:
1 预制板的板肋下端应与支承梁焊接。
2 预制板上应设不低于C30的细石混凝土后浇层,其厚度不应小于50mm,应内设6双向间距200mm的钢筋网。
3 预制板之间在支座处的纵向缝隙内应设置焊接钢筋网,其伸出支座长度不宜小于1.0m;纵向钢筋直径,上部不宜小于8mm,下部不宜小于6mm。板缝应采用C30细石混凝土浇灌。
条文说明
6.3.4 楼盖是保证结构空间整体性的重要水平构件,要具有足够的刚度,其加强措施是根据工程经验总结出来的。
6.3.5 柱的截面尺寸宜符合下列规定:
1 截面宽度和高度均不宜小于400mm。
2 剪跨比宜大于2。
3 截面长边与短边的边长比不宜大于3。
条文说明
6.3.5 震害和试验表明,框架柱是弯曲破坏型还是剪切破坏型,取决于剪跨比和轴压比两个主要因素。当剪跨比小于或等于2,特别是小于1.5时,即使采取了一般的抗震构造措施,也难免脆性破坏。因此规定剪跨比宜大于2。
6.3.6 柱轴压比不宜超过表6.3.6的规定;建造于Ⅳ类场地且较高的框排架结构,柱轴压比限值应适当减小。
表6.3.6 柱轴压比

条文说明
6.3.6 轴压比是影响柱的破坏形态和变形能力的重要因素。限制框架柱的轴压比就是为了保证柱的塑性变形能力和保证框架的抗倒塌能力。国内外的试验研究表明,偏心受压构件的延性随轴压比增加而减小。为了满足不同结构类型的框架柱在地震作用组合下的延性要求,本条规定了不同结构类型的柱轴压比限值。
在框架-抗震墙结构中,框架处于第二道防线,其中框架柱与框架结构的柱相比,其重要性较低,为此可适当增大轴压比限值(设有筒仓的柱不放宽)。
震害表明设筒仓框架柱的延性比一般框架柱差,筒仓下的柱破坏较多,因此设筒仓框架,其柱的轴压比限值应从严。
有关资料提出考虑箍筋约束提高混凝土抗压强度,当复合箍筋肢距不大于200mm、间距不大于100mm、直径不小于12mm时,是一种非常有效的提高措施,因此可放宽轴压比限值。
试验研究和工程经验都证明,在矩形截面柱内设置矩形核芯柱,不但可以提高柱的受压承载力,还可以提高柱的变形能力,特别对承受高轴压比的短柱,更有利于改善变形能力,延缓破坏,但芯柱边长不宜小于250mm。
6.3.7 柱的钢筋配置应符合下列规定:
1 柱纵向受力钢筋的最小总配筋率应按表6.3.7-1采用,同时每一侧配筋率不应小于0.2%;对建造于Ⅳ类场地且较高的框排架结构,最小总配筋率应增加0.1。
表6.3.7-1 柱纵向受力钢筋的最小总配筋率(%)

2 柱箍筋在规定的范围内应加密,加密区的箍筋间距和直径应符合下列规定:
1)箍筋的最大间距和最小直径应按表6.3.7-2采用。
表6.3.7-2 柱箍筋加密区的箍筋最大间距和最小直径

2)一级框架柱的箍筋直径大于12mm,且箍筋肢距不大于150mm及二级框架柱的箍筋直径不小于10mm且箍筋肢距不大于200mm时,除底层柱下端外,最大间距不应大于150mm;三级框架柱的截面尺寸不大于400mm时,箍筋最小直径不应小于6mm;四级框架柱剪跨比不大于2时,箍筋直径不应小于8mm。
3)支承筒仓竖壁的框架柱、剪跨比不大于2的框架柱,箍筋间距不应大于100mm。
6.3.8 柱的纵向钢筋配置尚应符合下列规定:
1 柱的纵向钢筋宜对称配置。
2 截面边长大于400mm的柱,纵向钢筋间距不宜大于200mm。
3 柱总配筋率不应大于5%。
4 剪跨比不大于2的一级框架的柱,每侧纵向钢筋配筋率不宜大于1.2%。
5 支承筒仓竖壁的框架柱、边柱、角柱及抗震墙端柱在小偏心受拉时,柱内纵向钢筋总截面面积应比计算值增加25%。
6 柱纵向钢筋的绑扎接头应避开柱端的箍筋加密区。
6.3.9 柱箍筋加密范围应按下列规定采用:
1 柱上、下端,应取截面高度、柱净高的1/6和500mm中的最大值。
2 底层柱的下端不应小于柱净高的1/3;当有刚性地面时,除柱端外尚应取刚性地面上、下各500mm。
3 剪跨比不大于2的柱和因设置填充墙等形成的柱净高与柱截面高度之比不大于4的柱,应取全高。
4 在柱段内设置牛腿,其牛腿的上、下柱段净高与截面高度之比不大于4的柱段,应取全高,大于4时可取其柱段端各500mm。
5 支承筒仓竖壁的框架柱和一、二级框架的角柱,应取全高。
6.3.10 柱加密区箍筋肢距,一级不宜大于200mm,二、三级不宜大于250mm,四级不宜大于300mm;应至少每隔一根纵向钢筋在两个方向设有箍筋或拉筋约束;采用拉筋复合箍时,拉筋宜紧靠纵向钢筋并钩住箍筋,并应符合箍筋肢距的要求。
6.3.11 柱箍筋加密区的体积配箍率应符合下式要求:
ρv≥λvc/yv (6.3.11)
式中:ρv——柱箍筋加密区的体积配箍率,一级不应小于0.8%,二级不应小于0.6%,三、四级不应小于0.4%;
?c——混凝土轴心抗压强度设计值,强度等级低于C35时,应按C35计算;
yv——箍筋或拉筋抗拉强度设计值;
λv——最小配箍特征值,宜按表6.3.11采用。
表6.3.11 柱箍筋加密区的箍筋最小配箍特征值

6.3.12 柱箍筋非加密区的体积配箍率不宜小于加密区的50%;箍筋间距,一、二级框架柱不应大于纵向钢筋直径的10倍,三、四级框架柱不应大于纵向钢筋直径的15倍。
条文说明
6.3.7~6.3.12 第6.3.7条为强制性条文。柱的屈服位移角(屈服位移除以柱高)主要受纵向受拉钢筋的配筋率支配,并随受拉钢筋配筋率的增大,呈线性增大。为使柱的屈服弯矩远大于开裂弯矩,保证屈服时有较大的变形能力,需适当提高角柱和筒仓下柱的最小总配筋率。原规范的规定偏低,本次修订适当提高。
为防止柱纵向钢筋配置过多,对框架柱的全部纵向受力钢筋的最大配筋率根据工程经验作了规定。
柱净高与截面高度的比值为2~4的短柱易发生粘结型剪切破坏或对角斜拉型剪切破坏。为避免这种脆性破坏,要控制柱中纵向钢筋的配筋率不宜过大。因此对一级抗震等级,且剪跨比不大于2的框架柱,规定其每侧的纵向受拉钢筋的配筋率不大于1.2%。
支承筒仓竖壁的框架柱、边柱和角柱小偏心受拉时,为了避免柱的受拉钢筋屈服后受压破坏,柱内纵筋总截面面积应比计算值增加25%。
柱的箍筋加密和合理配置对柱截面核芯混凝土能起约束作用,并显著地提高混凝土极限压应变,改善柱的变形能力,防止该区域内主筋压屈和斜截面出现严重裂缝。
箍筋的约束作用与轴压比、含箍量、箍筋形式、肢距以及混凝土与箍筋强度比等因素有关。箍筋加密区的长度是根据试验及震害经验确定的。同时箍筋肢距也作了规定。为了避免配箍率过小,还规定了最小体积配箍率。
考虑到柱子在层高范围内剪力不变及可能的扭转影响,为避免柱子非加密区的受剪能力突然降低很多,导致柱的中段破坏,对非加密区的最小箍筋量也作了规定。
6.3.13 柱的剪跨比不大于1.5时,应符合下列规定:
1 箍筋应提高一级配置,一级时应适当提高箍筋配置。
2 柱高范围内应采用井字形复合箍(矩形箍或拉筋),应至少每隔一根纵向钢筋有一根拉筋。
3 柱的每个方向应配置两根对角斜筋(图6.3.13);对角斜钢筋的直径,一、二级分别不应小于20mm、18mm,三、四级不应小于16mm;对角斜筋的锚固长度不应小于受拉钢筋抗震锚固长度laE加50mm。

条文说明
6.3.13 剪跨比是影响钢筋混凝土柱延性的主要因素之一,一般剪跨比以2为界限。剪跨比大于2时,是以弯曲变形为主。当剪跨比小于或等于2时,称为短柱,以剪切变形为主,延性较差,当剪跨比小于1.5时,为剪切脆性破坏型,故需采取特殊构造措施。
当因工艺要求不可避免采用短柱时,除了对箍筋提高一个抗震等级要求外,还应采用井字形复合箍。试验研究表明:采用复合箍筋不但可以有效地约束核芯混凝土,提高柱的混凝土抗压强度,放宽柱的轴压比限值,而且能增加延性,提高耗能能力,改善变形能力。在柱内配置对角斜筋可以改善短柱的延性,控制裂缝宽度,这是参考国内外成功经验制定的。
6.3.14 框架节点核芯区箍筋的最大间距和最小直径宜按本规范第6.3.7条的规定采用;一、二、三级框架节点核芯区配箍特征值,分别不宜小于0.12、0.10和0.08,且体积配箍率分别不宜小于0.6%、0.5%和0.4%。柱剪跨比不大于2的框架节点核芯区体积配箍率,不宜小于核芯区上、下柱端的较大体积配箍率。
条文说明
6.3.14 梁柱节点的核芯区处于受压受剪状态,箍筋兼作抗剪和对核芯混凝土的约束作用,配筋率要按节点强度计算确定。为了使框架的梁柱纵向钢筋有可靠的锚固条件,框架梁柱节点核芯区的混凝土要具有良好的约束。考虑到核芯区内箍筋的作用与柱端有所不同,其构造要求与柱端有所区别。
6.4 框架-抗震墙部分抗震构造措施
6.4 框架-抗震墙部分抗震构造措施
6.4.1 抗震墙的厚度不应小于160mm,且不宜小于层高或无支长度的1/20;底部加强部位的墙厚不应小于200mm,且不宜小于层高或无支长度的1/16。
条文说明
6.4.1 本条内容是控制各级抗震墙的厚度及底部加强部位抗震墙的厚度,主要是为了保证在地震作用下墙体出平面的稳定性。
本规范采用抗震墙厚度不宜小于层高的1/20,底部加强部位的厚度不宜小于层高的1/16,主要是由于框排架结构的特点之一,即各层层高变化较大、层高较高等原因而要求的。
6.4.2 有端柱时,抗震墙在楼盖处应设置梁或暗梁,梁可做成宽度与墙厚度相同的暗梁,截面高度不宜小于墙厚度的2倍及400mm的较大值,也可与该片框架梁截面等高;端柱截面宜与同层框架柱相同,并应符合本规范第6.3节的规定;抗震墙底部加强部位的端柱和紧靠抗震墙洞口的端柱,应按框架柱箍筋加密区的要求沿全高加密箍筋。
条文说明
6.4.2 抗震墙的塑性变形能力,除了与纵向配筋和轴压比等有关外,还与墙两端的约束范围、约束范围内配箍特征值有关。框架-抗震墙中的抗震墙基本是嵌入框架内,因此框架-抗震墙结构的抗震墙周边均为由梁和端柱组成的边框,端柱截面及构造均要求与同层框架柱相同处理。梁宽大于墙厚时,每层的抗震墙不宜形成高宽比小的矮墙。
6.4.3 抗震墙的竖向钢筋和横向分布钢筋的配筋率均不应小于0.25%,并应双排布置;钢筋最大间距不应大于300mm,最小直径不应小于10mm,且不宜大于墙厚的1/10;拉筋间距不应大于600mm,直径不应小于6mm。
条文说明
6.4.3 抗震墙分布钢筋的作用是多方面的:受剪、受弯和减少混凝土收缩裂缝等。试验研究表明,分布钢筋过少,会使抗震墙纵向钢筋拉断而破坏。因此控制了竖向钢筋和横向分布钢筋的最小配筋率不应小于0.25%。同时也控制了分布钢筋的直径范围和间距。分布钢筋间距小,有利于减少混凝土收缩和减少反复荷载作用下的交叉斜裂缝,保证裂缝出现后发生脆性的剪拉破坏并有足够的承载力和增加一定的延性。
6.4.4 一、二、三级抗震墙在重力荷载代表值作用下墙肢的轴压比,一级时,9度不宜大于0.4,8度时不宜大于0.5;二、三级时不宜大于0.6。
条文说明
6.4.4 影响压弯构件的延性或屈服后变形能力的因素有:截面尺寸、混凝土强度等级、纵向配筋、轴压比和箍筋量等,其主要因素是轴压比和配箍率。抗震墙墙肢试验研究表明,轴压比超过一定值,很难成为延性抗震墙,因此对轴压比进行限制。控制范围由底部加强部位到全高,计算墙肢轴压力设计值时,不计入地震作用组合,但应取分项系数1.2。墙肢轴压比指墙的轴压力设计值与墙的全截面面积和混凝土轴心抗压强度设计值乘积之比值。
6.4.5 抗震墙两端和洞口两侧应设置边缘构件,边缘构件应包括暗柱、端柱和翼墙,并应符合下列规定:
1 底层墙肢底截面的轴压比大于表6.4.5的规定的一、二、三级抗震墙时,应在底部加强部位及相邻的上一层设置约束边缘构件,在其他部位可设置构造边缘构件。约束边缘构件应按本规范第6.4.6条的规定设置。构造边缘构件应按本规范第6.4.7条的规定设置。
表6.4.5 抗震墙设置构造边缘构件的最大轴压比

2 对于底层墙肢底截面轴压比不大于表6.4.5规定的抗震墙及四级抗震墙,墙肢两端可设置构造边缘构件,构造边缘构件应按本规范第6.4.7条的要求设置。
6.4.6 约束边缘构件沿墙肢的长度、配箍特征值、箍筋和纵向钢筋(图6.4.6)除应符合计算要求外,宜符合表6.4.6的规定。

图6.4.6 抗震墙约束边缘构件(端柱和暗柱)
表6.4.6 约束边缘构件范围及配筋要求

6.4.7 构造边缘构件的范围可按图6.4.7采用;构造边缘构件的配筋应符合受弯承载力要求,并宜符合表6.4.7的要求。

图6.4.7 抗震墙的构造边缘构件范围
表6.4.7 抗震墙构造边缘构件的配筋要求

条文说明
6.4.5~6.4.7 当墙底截面的轴压比超过一定值时,底部加强部位墙的两端及洞口两侧应设置约束边缘构件,使底部加强部位有良好的延性和耗能能力;考虑到底部加强部位以上相邻层的抗震墙,其轴压比可能仍较大,将约束边缘构件向上延伸一层;还规定了构造边缘构件和约束边缘构件的具体构造要求。
6.4.8 抗震墙的墙肢长度不大于墙厚的3倍时,应按柱的有关要求进行设计;矩形墙肢的厚度不大于300mm时,尚宜全高加密箍筋。
6.4.9 跨高比较小的高连梁,可设水平缝形成双连梁、多连梁或采取其他加强受剪承载力的构造;顶层连梁的纵向钢筋伸入墙体的锚固长度范围内应设置箍筋。
条文说明
6.4.9 高连梁设置水平缝,以使一根连梁变成大跨高比的两根或多根连梁,其破坏形态从剪切破坏变为弯曲破坏。试验表明,配置斜向交叉钢筋的连梁具有更好的抗剪性能。跨高比小于2的连梁难以满足强剪弱弯的要求。配置斜向交叉钢筋作为改善连梁抗剪性能的构造措施,但不计入受剪承载力。
6.4.10 框架-抗震墙结构的其他抗震构造措施应符合本规范第6.3节的有关规定。
条文说明
6.4.10 设置少量抗震墙的框架结构,其抗震墙的抗震构造措施可按现行国家标准《建筑抗震设计规范》GB 50011有关抗震墙结构基本抗震构造措施的规定执行。
6.5 排架部分抗震构造措施
6.5 排架部分抗震构造措施
6.5.1 有檩屋盖构件的连接及支撑布置应符合下列规定:
1 檩条与檩托应连接牢固,檩托与屋架或屋面梁应焊牢,并应有足够的支承长度。
2 双脊檩应在跨度1/3处相互拉结。
3 压型钢板应与檩条可靠连接,瓦楞铁、石棉瓦等应与檩条拉结。
4 支撑布置宜符合表6.5.1的要求。
表6.5.1 有檀屋盖的支撑布置


条文说明
6.5.1 有檩屋盖体系只要设置完整的支撑体系,屋面与檩条、檩条与檩托、檩托与屋架有牢固的连接,就能保证其抗震能力充分发挥。否则即使在7度震区,也会出现严重震害,在海城、唐山地震时均有这种情况出现。
6.5.2 无檩屋盖构件的连接及支撑布置应符合下列规定:
1 大型屋面板应与屋架或屋面梁焊牢,靠柱列的屋面板与屋架或屋面梁的连接焊缝长度不应小于80mm,焊脚尺寸不应小于6mm。
2 6度和7度时有天窗屋盖单元的端开间或8度和9度时的各开间,宜将相邻的大型屋面板四角顶面预埋件采用短筋焊接连接。
3 8度和9度时,大型屋面板端头底面的预埋件宜采用角钢并与主筋焊牢。
4 屋架或屋面梁端部顶面预埋件的锚筋,8度时不宜少于410,9度时不宜少于412,预埋件的钢板厚度不宜小于8mm。
5 支撑布置宜符合表6.5.2的要求。
表6.5.2 无檩屋盖的支撑布置
条文说明
6.5.2 无檩屋盖体系,各构件相互连成整体是结构抗震的重要保证。因此,对屋盖各构件之间的连接等提出具体要求。
设置屋盖支撑系统是保证屋盖整体性的重要抗震措施,为了使排架跨屋面的刚度与框架跨刚度相协调,以减小扭转效应,因此对排架跨屋盖支撑系统的要求比单层厂房屋盖支撑系统有所加强。地震经验表明,很多屋架倒塌不是因为屋架强度不够,而是由于屋架支撑系统薄弱所致。
6.5.3 屋盖支撑尚应符合下列规定:
1 天窗开洞范围内,在屋架脊点处应设置通长上弦水平系杆,且应按压杆设计。
2 与框架相连的排架跨,其屋架下弦标高低于框架跨顶层标高时,下弦纵向水平支撑应按等高屋盖设置。
3 屋架放在托架(梁)上时,托架(梁)区段及其相邻开间应设下弦纵向水平支撑。
4 屋面支撑杆件宜用型钢。
条文说明
6.5.3 本条为屋盖支撑布置的补充规定。在屋盖的支撑布置规定中,设天窗时屋架脊点处应设通长水平系杆,在本条予以明确。
抽柱时下设托架(梁)区段及其相邻开间应设下弦纵向水平支撑,其目的是增强抽柱处下弦的水平刚度。
6.5.4 突出屋盖的钢筋混凝土天窗架,其两侧墙板与天窗立柱宜采用螺栓连接。
条文说明
6.5.4 震害表明:钢筋混凝土天窗架两侧墙板与天窗立柱采用刚性焊接时,天窗架立柱普遍在下端和侧板连接处出现开裂、破坏,甚至倒塌。因此提出宜采用螺栓连接。如果天窗架在横向与纵向刚度很大时,方可采用焊接连接。
6.5.5 混凝土梯形屋架的截面和配筋宜符合下列规定:
1 第一节间上弦和端竖杆的配筋,6度和7度时,不宜少于412,8度和9度时,不宜少于414。
2 屋架的端竖杆截面宽度宜与上弦宽度相同。
条文说明
6.5.5 梯形屋架端竖杆和第一节间上弦杆,在屋架静力计算时均作为非受力杆件,对截面和配筋均按一般构造处理。地震时,由于平、扭耦联振动,这两个杆件处于压、弯、剪和扭的复杂受力状态。在海城和唐山地震时,这两个杆件破坏比较严重,因此需要加强。
6.5.6 排架柱和山墙抗风柱的加密区箍筋配置应符合下列规定:
1 箍筋的加密区长度和最小直径应符合表6.5.6的规定。
表6.5.6 排架柱和山墙抗风柱箍筋的加密区长度和最小直径


2 加密区箍筋间距不应大于100mm;箍筋最大肢距,6度和7度Ⅰ、Ⅱ类场地不应大于300mm,7度Ⅲ、Ⅳ类场地和8度Ⅰ、Ⅱ类场地不应大于250mm,8度Ⅲ、Ⅳ类场地和9度时不应大于200mm,山墙抗风柱箍筋肢距不宜大于250mm。
3 排架柱侧向受约束且剪跨比不大于2的排架柱,柱顶预埋钢板和柱箍筋加密区的构造尚应符合下列规定:
1)柱顶预埋钢板沿排架平面方向的长度宜取柱顶的截面高度,且不得小于截面高度的1/2及300mm;
2)屋架的安装位置,宜减小在柱顶的偏心,其柱顶轴向力的偏心距不应大于截面高度的1/4;
3)排架平面内的柱顶轴向力偏心距在截面高度的1/6~1/4范围内时,柱顶箍筋加密区的箍筋体积配筋率,9度不宜小于1.2%;8度不宜小于1.0%;6、7度不宜小于0.8%;
4)加密区箍筋宜配置四肢箍,肢距不应大于200mm。
条文说明
6.5.6 海城、唐山地震时排架柱列的上柱和下柱的根部、屋架或屋面梁与柱连接的柱顶处、高低跨牛腿上柱和下柱处以及山墙抗风柱的柱头部位等均有产生裂缝和折断现象,并造成屋盖倒塌。为了避免在上述柱段内产生剪切破坏并保证形成塑性铰后有足够的延性,需在这些部位采取箍筋加密措施。
这次修订对山墙抗风柱的构造等作了具体要求,同时在本规范附录E中给出了山墙抗风柱的地震作用计算方法。在柱中变位受约束处以及受压、弯、剪、扭等复杂受力状态下的角柱等一些部位,都给予加强;箍筋间距加密、直径加大和肢距也作了限制。
6.5.7 排架纵向柱列的抗侧力构件应按计算确定;当采用柱间支撑时,其设置和构造应符合下列规定:
1 柱间支撑的布置应符合下列规定:
1)应在单元柱列中部设置上、下柱间支撑。下柱柱间支撑应与上柱柱间支撑配套设置。有吊车或8度和9度时,宜在单元两端增设上柱支撑。柱列纵向刚度不均时,应在单元两端设置上柱支撑。
2)单元柱列较长或在8度Ⅲ、Ⅳ类场地和9度时,可在单元柱列中部1/3区段内设置两道柱间支撑。
2 柱间支撑应采用型钢,支撑形式宜采用交叉形,斜杆与水平面的交角不宜大于55°。
3 支撑杆件的长细比不宜超过表6.5.7的规定。
4 下柱支撑的下节点位置和构造措施应保证将地震作用直接传给基础;当6度和7度(0.10g)不能直接传给基础时,应计及支撑对柱和基础的不利影响并采取加强措施。
5 交叉形支撑在交叉点应设置节点板,其厚度不应小于10mm,斜杆与交叉节点板应焊接连接,与端节点板宜焊接连接。
表6.5.7 交叉形支撑斜杆的长细比

条文说明
6.5.7 柱间支撑是传递和承受结构纵向地震作用的主要构件,在唐山、海城地震时有不少厂房因柱间支撑破坏或失稳而倒塌。本条规定了支撑设置的原则,并规定了支撑杆件的最大长细比以及构造要求。为了与屋盖支撑布置相协调且传力合理,一般上柱柱间支撑均与屋架端部垂直支撑布置在同一柱间内。这次的修改主要是支撑杆件的长细比限值按烈度和场地类别进行划分。
6.5.8 排架纵向柱列的抗侧力构件除应采用柱间支撑外,亦可采用钢筋混凝土框架或钢筋混凝土框架-抗震墙,其计算和构造应分别符合本规范第6.2节~第6.4节的有关要求。
条文说明
6.5.8 排架纵向柱列除设置钢支撑作为抗侧力构件外亦可采用框架形式或框架-抗震墙形式作为抗侧力构件。当柱较高时,柱截面较大,框架横梁可采用双排。
6.5.9 8度且屋架跨度不小于18m或9度时,柱头、高低跨柱的低跨牛腿处和屋架端部上弦、下弦处应设置通长水平系杆,且应按压杆设计。
条文说明
6.5.9 框排架结构的排架跨,在8度且跨度大于或等于18m或9度时,纵向柱列的柱头处在纵向水平地震作用产生的剪力比较大,应同时设柱头与屋架下弦系杆。
6.5.10 框排架结构构件的连接节点应符合下列规定:
1 屋架或屋面梁与柱顶的连接,6度~8度时宜采用螺栓连接,其直径应按计算确定,但不宜小于M22。9度时宜采用钢板铰,亦可采用螺栓连接;屋架或屋面梁端部支承垫板的厚度不宜小于16mm。
2 柱顶预埋件的锚筋,8度时不宜少于414,9度时不宜少于416;有柱间支撑的柱顶预埋件尚应增设抗剪键。
3 山墙抗风柱与屋架或屋面梁应有可靠连接;6度、7度和8度Ⅰ、Ⅱ类场地且抗风柱高度不大于10m时,抗风柱柱顶可仅与屋架上弦(或屋面梁上翼缘)连接;其他情况应与屋架上弦和下弦均有连接。连接点的位置应设置在屋架的上弦和下弦横向水平支撑的节点处,不符合时应在横向水平支撑中增设次腹杆或设置型钢横梁。
4 支承低跨屋架或屋面梁的牛腿上的预埋件,应与牛腿中按计算承受水平拉力的纵向钢筋焊接;其焊接的钢筋,6度和7度时不应少于212,8度时不应少于214,9度时不应少于216。焊缝强度应大于纵向钢筋的强度;其他情况可采用锚筋形式的预埋板,其锚筋长度不应小于受拉钢筋抗震锚固长度laE加50mm,钢筋的焊缝强度应大于锚筋的强度,锚筋直径应按计算确定。
5 柱间支撑与柱连接节点预埋件的锚件,8度Ⅲ、Ⅳ类场地和9度时,宜采用角钢加端板,其他情况可采用不低于HRB335级的热轧钢筋,但锚固长度不应小于锚筋直径的30倍或增设端板。
6 排架跨设置吊车走道板、端屋架与山墙间的填充小屋面板、天沟板、天窗端壁和天窗侧板下的填充砌体等构件,均应与支承结构有可靠的连接。
7 采用钢筋混凝土大型墙板时,墙板与柱或屋架宜采用柔性连接。
条文说明
6.5.10 根据震害经验,本条对框排架各构件的连接节点和埋设件等发生震害较多的部位均给予加强,并规定了最低要求。关于柱顶和屋架(或屋面梁)间连接采用钢板铰,前苏联采用的较多,并在地震中经受了考验,效果良好。
震害中,部分山墙抗风柱柱顶与屋架的连接破坏,导致山墙抗风柱上柱根部或下柱根部断裂和折断;为防止此类破坏,保证有传递纵向水平地震作用的承载力和延性,需加强山墙抗风柱与屋架的连接。
6.5.11 支承排架跨屋架或屋面梁的牛腿配筋应符合下列规定:
1 牛腿的箍筋直径不应小于10mm和柱的箍筋直径,其间距不应大于100mm。
2 牛腿的箍筋应按受扭箍筋配置。
条文说明
6.5.11 唐山地震时,出现了一些支承低跨屋盖的牛腿上的预埋件锚筋被拉出、牛腿混凝土被压坏、箍筋被拉出等现象,有的造成屋盖倒塌。其原因主要是牛腿在地震作用下受拉、压、剪和扭等的复杂受力状态所致,除预埋件与牛腿受力钢筋焊接连接外,本条对牛腿箍筋构造措施也提出了要求。
钢框排架结构
7.1 一般规定
7.1 一般规定
7.1.1 本章适用于多层钢框架、多层钢框架-支撑与单层钢排架组成的框排架结构抗震设计。
条文说明
7.1.1 国内现行抗震设计规范中,尚未包含钢框排架结构的设计问题。因此,本次规范修订列入了这部分内容。
7.1.2 钢框排架结构突出屋面的天窗架宜采用刚架或桁架结构。天窗的端壁与挡风板宜采用轻质材料。8度、9度时,排架的纵向天窗架宜从结构单元端部第二柱间开始设置;当纵向天窗架不能满足从结构单元端部第二柱间开始设置的要求时,在所设天窗架的第一个开间内,屋盖应增设局部上弦横向支撑。横向天窗架起始点距屋架两端的距离不宜小于4.5m。
条文说明
7.1.2 突出屋面的天窗架是地震反应较强烈的部位,本条提出了较合理并常用的天窗架结构形式。同时提出了天窗架布置要减少因屋面板开洞过大对刚度削弱的影响。
7.1.3 框排架结构应设置完整的屋盖支撑系统及柱间支撑。
条文说明
7.1.3 本条规定是为了保证结构的整体刚度,良好的空间整体工作性能及抗震性能。
7.1.4 框架的楼(屋)面板宜采用现浇板;当采用预制板时,板上宜设置配筋现浇层。楼板上孔洞尺寸较大时,应设置局部楼盖水平支撑。
条文说明
7.1.4 本条为保证结构整体空间工作,应采用刚性构造的现浇楼(屋)盖,对预制板楼(屋)盖亦应设符合抗震构造要求的现浇层。
7.1.5 框排架结构屋面和墙面围护材料宜选用轻质板材。框排架结构围护墙和非承重内墙的设置应符合下列规定:
1 采用砌体墙时,墙与框排架结构的连接宜采用不约束框排架主体结构变形的柔性连接方式;当不能采用柔性连接时,地震作用计算和构件的抗震验算均应计入其不利影响。
2 当框架的砌体填充墙与框架柱为非柔性连接时,其平面和竖向布置宜对称、均匀,并宜上下连续。
条文说明
7.1.5 在构筑物震害中,砖砌体墙因质量大、刚度大、强度低而导致其自身损坏或对厂房造成的损害较为严重,故应尽量选用轻质墙体。当采用砖砌体墙时,亦应考虑柔性连接、对称布置、外包布置、防止刚度突变(如不设与柱刚接的半高墙)等构造与布置要求,以减少地震作用影响。如砖砌体墙(外包或嵌砌)与柱为非柔性连接时,则应在抗震计算中计入墙体质量和刚度影响。
7.1.6 支承在楼(屋)面、平台上,并伸出屋面的质量较大的烟囱、放散管等宜作为结构的一部分进行整体结构地震作用计算;与结构的连接部位应采取抗震构造措施。
条文说明
7.1.6 质量较大的烟囱、放散管等支承于框排架结构上,在地震时,对部分截面或连接会产生较强的地震作用效应,故应考虑多振型影响,但其振型组合情况较为复杂,一般采用的简化计算方法不能保证其安全,故宜与结构整体分析。
7.1.7 框排架结构采用规则的结构方案时,可不设防震缝;需设置防震缝时,缝宽不应小于相应的钢筋混凝土结构的1.5倍。
7.2 计算要点
7.2 计算要点
7.2.1 框排架结构应按本规范第5章多遇地震确定地震影响系数,并进行水平地震作用和作用效应计算,其水平地震影响系数应乘以阻尼调整系数。钢框排架结构的阻尼比可取0.03。当结构布置规则时,可分别沿框排架结构横向和纵向进行抗震验算。其他情况应采用空间结构模型进行抗震分析。
条文说明
7.2.1 框排架的地震作用计算,一般应采用空间结构模型进行抗震分析。当平面布置规则、结构简单时仍可简化成平面结构进行计算。
7.2.2 框排架结构地震作用计算时,模型中的排架柱、梁(或桁架)、支撑刚度的计算应符合下列规定:
1 采用实腹柱时,其侧移刚度应计入弯曲变形的影响;采用格构式柱时,其侧移刚度可采用下列方法计算:
1)按格构式柱的柱肢与腹杆为铰接的实际几何图形作为计算简图进行计算;
2)按等刚度实腹截面进行计算,但应计入腹杆变形的影响,乘以0.9的折减系数。
2 采用实腹梁时,应计入其弯曲变形影响;采用桁架且与柱刚接时,可采用下列方法计算:
1)按铰接杆件桁架的实际几何图形作为计算简图进行计算;
2)按桁架上、下弦杆形成的等刚度实腹梁进行计算,应计及腹杆的变形和桁架上、下弦杆之间的坡度等影响,并乘以表7.2.2的桁架刚度折减系数(按跨中处最高截面计算)。
表7.2.2 桁架刚度折减系数

3 支撑的侧移刚度可按本规范附录F的规定确定。
4 框排架结构计算确定柱列支撑系统的侧移刚度时,应按其在柱列中的道数和榀数计算其组合刚度。计算纵向天窗架两侧竖向支撑的地震作用及其效应时,应将柱列上梯形屋架的端部竖向支撑列入计算模型;若中列柱两侧屋架各自成为独立体系,应分别设置端部竖向支撑,并应列入计算模型。
条文说明
7.2.2 本条对框排架结构抗震计算模型中排架柱、梁或桁架、支撑等刚度的确定、计算方法、组合刚度等作了较具体的规定。对整体分析中格构式柱及桁架横梁的计算模型,目前实际工程中仍多采用简化成等效实腹截面(即以弦杆对中和轴取惯性矩)再折减的方法,虽然计算结果误差稍大,但已有多年应用的经验,一般仍可应用。同时考虑到目前计算机广泛采用,故也推荐按格构式柱或桁架实际简图作为模型计算的方法。
7.2.3 进行框排架地震作用计算时,模型中的框架柱、梁及支撑杆件的变形和刚度的计算应符合下列规定:
1 对实腹柱,应计入弯曲变形;对于Ha/h≤4的短柱(Ha为柱净高度,h为沿验算平面的柱截面高度),尚应计入剪切变形。对实腹梁,应计入弯曲变形;对于la/h≤4的短梁(la为梁净跨长,h为梁的截面高度),亦应计入剪切变形。
2 地震作用计算时框架梁的截面惯性矩可按下列规定计算:
1)楼板为钢铺板时,可直接采用钢梁截面惯性矩IG;
2)楼板为压型钢板上设混凝土现浇层,且与框架梁有可靠连接时,框架主梁可采用2IG;
3)对钢-混凝土组合楼盖,可采用梁板组合截面的惯性矩Ic,其现浇混凝土板的有效宽度
可按下列公式中的最小值采用:
be=l/3 (7.2.3-1)
be=b0+12hc (7.2.3-2)
be=b0+b1+b2 (7.2.3-3)
式中:be——现浇混凝土板的有效宽度;
l——钢梁的跨度;
b0——钢梁上翼缘的宽度;
hc——混凝土板的厚度;
b1、b2——分别为两侧相邻钢梁净间距的1/2,且不应大于混凝土板的实际外伸宽度。
3 支撑杆件的变形和刚度的计算可按本规范附录F的规定采用。
条文说明
7.2.3 本条对框排架结构抗震作用计算模型中框架柱、梁及支撑杆件的刚度、变形的确定、组合楼盖梁的计算宽度等,按一般习惯方法作了较具体的规定。对框架短柱、短梁,其剪切变形影响不宜忽略,故应计入。
7.2.4 排架分析时,柱的计算长度可按下列规定采用:
1 屋架和排架柱铰接时,可取至柱顶。
2 屋架和排架柱刚接时,可取至屋架下弦杆轴线处。
7.3 结构地震作用效应的调整
7.3 结构地震作用效应的调整
7.3.1 突出屋面的天窗架纵向支撑抗震验算,当采用底部剪力法计算地震作用时,其天窗架地震作用效应应乘以效应增大系数,效应增大系数计算应符合下列规定:
1 单跨、边跨屋盖或有约束框排架结构变形的内纵墙的中间跨屋盖上部天窗架两侧的竖向支撑,效应增大系数应按下式计算:
η=1+0.5n (7.3.1-1)
式中:η——天窗架两侧的竖向支撑地震作用效应增大系数;
n——框排架跨数,超过四跨时应按四跨计算。
2 其他中间跨屋盖上部天窗架两侧的竖向支撑,效应增大系数应按下式计算:
η=0.5n (7.3.1-2)
条文说明
7.3.1 当结构按双质点底部剪力法进行纵向简化计算时,对边跨或受纵向约束中间跨的纵向天窗架垂直支撑,需考虑部分屋盖地震作用额外传递给柱间支撑或纵墙的情况,而应将其仅按传递天窗架屋盖地震作用效应计算值再予以增大,这一情况也为实际震害调查所证实。
7.3.2 属于表7.3.2所列的结构构件及其连接的地震作用效应,应乘以表中规定的增大系数进行调整。
表7.3.2 地震作用效应增大系数

条文说明
7.3.2 按本章规定的方法验算结构构件时,对表7.3.2所列构件尚应考虑其受力特性而将其地震作用效应予以增大。
1 地震作用可来自任何方向,而本章是按单向(纵向或横向)来计算结构或构件地震作用效应的,即结构构件内力是按单方向地震作用确定的。故对于两个互相垂直的抗侧力构件共有的柱应考虑其他方向的地震作用的影响。
2 多层框架的转换梁需考虑水平地震作用下的重力二阶效应引起的附加弯矩作用,故以增大系数考虑其不利影响。
3 单层排架和多层框架的柱间支撑(中心支撑)是构筑物抗震的主要构件,许多国家的抗震规范均认为进入弹塑性阶段后,塑性铰大多在支撑构件中发生,故采用增大系数以加大安全度。
4 采用简化方法计算时,对较大质量的伸悬设施,所算得的地震作用效应不能反映高振型的影响,故通过增大系数予以修正。
7.4 梁、柱及其节点抗震验算
7.4 梁、柱及其节点抗震验算
7.4.1 框排架结构构件及其节点的抗震承载力,除本章有专门说明或规定外,均应按现行国家标准《钢结构设计规范》GB 50017的有关规定进行验算;结构构件的内力应采用计入地震作用效应组合的设计值。
条文说明
7.4.1 钢结构构件的抗震承载力的基本计算依据为现行国家标准《钢结构设计规范》GB 50017。构件进行地震组合验算时,按照建筑结构极限状态及可靠度的设计原则,应对其构件及节点强度除以抗震调整系数γRE后采用。
7.4.2 框架梁上楼(屋)面板属于下列情况之一时,可不进行框架梁的整体稳定性验算:
1 钢梁与混凝土板按组合结构设计。
2 钢梁上有抗剪连接件的混凝土现浇板。
3 在梁的受压翼缘上密铺钢板且与其牢固连接。
条文说明
7.4.2 本条是为保证梁的整体稳定条件而规定的。
7.4.3 7度~9度时,框架梁的梁端区段,侧向支承点间的长细比应符合现行国家标准《钢结构设计规范》GB 50017的有关规定;8度和9度时,除梁的上翼缘应有可靠的侧向支撑外,梁的下翼缘亦应设置侧向支撑。
条文说明
7.4.3 框架梁端处或有加腋时,在梁全长的最大弯矩处均有可能出现塑性铰,故应设置侧向支撑,其间距应符合现行国家标准《钢结构设计规范》GB?50017的相应要求。同时由于形成塑性铰并有转动的可能,故截面的上、下翼缘均应有支撑支持,以防止翼缘在转动过程中局部失稳。
7.4.4 7度~9度时,单层刚架和框架梁柱节点的抗震承载力应符合下列规定:
1 柱腹板由柱翼缘和加劲肋形成的节点域,其最大剪应力应符合下式要求:

式中:τ——节点区格板的最大剪应力;
Mpb——柱(梁)截面全塑性受弯承载力;
?vy——节点区格板的抗剪屈服强度;
Vp——节点区格板的体积。
2 柱(梁)截面全塑性受弯承载力Mpb,可按下列公式计算:

式中:N、Np——柱(梁)中的轴力设计值及其全截面塑性承载力;
Wp——柱(梁)截面的塑性截面模量;
?y——柱(梁)的钢材屈服强度;
A——柱(梁)的截面面积。
3 节点区格板的抗剪屈服强度?vy,可取0.58?y;但当区格板为上下柱与左右梁四面围成时,可取0.77?y;其中?y为节点区格板的钢材屈服强度;当计入轴力的影响时,尚应乘以
4 节点区格板的体积,可按下列公式计算:

式中:hb——梁的腹板高度;
hc、tw——分别为节点区与梁直接连接的工字形柱或十字形柱的腹板高度和厚度(图7.4.4-1);
tf——柱翼缘的厚度;
α——梁腹板高度与柱翼缘宽度的比值;
β——柱翼缘板截面面积与腹板截面面积的比值。
5 工字形柱在节点区格板域内,腹板厚度尚应符合下式要求,当腹板厚度不能满足下式的要求时,应采取局部加厚等加强措施:
图7.4.4-1 十字形截面柱截面

6 工字形截面刚架梁柱节点区格板的厚度应符合下式要求:

7 当不能满足本规范式(7.4.4-11)的要求时,应设置斜向加劲肋(图7.4.4-2),斜向加劲肋的截面面积可按下列公式计算:

式中:Mpb——刚架梁的全塑性受弯承载力,可按本规范式(7.4.4-2)或式(7.4.4-3)计算;
hb0、hc——分别为刚架梁的截面计算高度和截面高度,刚架梁的截面计算高度应采用梁上、下翼缘板中心线之间的距离;
?vy——节点区格板的抗剪屈服强度;
Ad——斜向加劲肋的截面面积;
bd、td——每块加劲肋的宽度和厚度;
——斜向加劲肋钢材的抗拉、抗压屈服强度;
θ——斜向加劲肋的倾角。
图7.4.4-2 端节点斜向加劲肋位置

条文说明
7.4.4 框架节点区格板的强度与稳定不仅关系到结构的整体塑性性能,而且还直接影响结构的变形与稳定。这里提出了框架梁柱节点的格板剪应力验算、最小厚度及加劲肋验算等计算公式。
式(7.4.4-1)中略去了构件的剪力影响,故将屈服剪应力值提高33%,即?vy=1.33×0.58?y=0.77?y。
7.4.5 工字形截面刚架的楔形加腋节点(图7.4.5),可按下列公式验算加腋区段的强度:

图7.4.5 楔形加腋节点

式中:tf1——加腋区内翼缘板厚度;
hx——沿梁轴线距A点x处加腋段截面的高度,可近似地取上、下冀板中心线之间的距离;
——加腋刚架梁截面的塑性弯矩;
Mx——距A点x处的弯矩;
MA——沿梁轴线A点处的弯矩;
Mp——刚架梁截面的塑性弯矩;
b——下翼缘的宽度;
tw——加腋区的腹板厚度。
7.4.6 楔形加腋节点中斜向加劲肋BF的截面面积(节点两侧加劲肋的截面面积之和)可按下列公式计算的较大值确定:

式中:Ad——斜向加劲肋的截面面积;
Af1、Af2——分别为加腋区AB和BC段下翼缘的截面面积;
β1——加腋区AB段与刚架梁轴线之间的夹角;
β2——加腋区BC段与刚架柱轴线之间的夹角;
θ——斜向加劲肋与水平面之间的夹角;
?y——加腋区上、下翼缘板钢材的抗拉、抗压屈服强度;
——斜向加劲肋钢材的抗拉、抗压屈服强度;
γ——刚架梁轴线(或上翼缘)与水平面之间的夹角;
Af——加腋区上翼缘板的截面面积,一般可与刚架梁上翼缘相同;
?vy——加腋区腹板的抗剪屈服强度;
hEB——加腋区B点处水平截面的计算高度,可取外、内翼缘板中心线之间的水平距离。
条文说明
7.4.5、7.4.6 对刚架节点进行抗震验算时,应按截面塑性发展计算。加腋后,为使塑性铰不在变截面段产生,故设计计算时应满足式(7.4.5-1)和式(7.4.5-2)的要求,否则应加大变截面高度。当节点区格板强度不能满足要求时,通常加斜向加劲肋解决。根据有关资料,第7.4.6条提出了斜向加劲肋的计算公式。当需在圆弧上加短加劲肋时,可参考英国“Steel Engineers Manual”等资料中的有关公式计算。
7.5 构件连接的抗震验算
7.5 构件连接的抗震验算
7.5.1 7度~9度时,框排架结构主要构件与节点的连接可采用焊接、摩擦型高强度螺栓连接或栓焊混合连接。采用焊接时,对框架节点构件板件的对接连接应采用全焊透的焊接连接。
条文说明
7.5.1 钢结构抗震设计中建议采用的连接类型,其中栓焊混合连接系指在梁与柱的刚接连接中,翼缘与柱焊接而腹板与柱栓接,分别承担弯剪并共同工作的构造。需注意的是,栓焊混合连接不得在受剪、受拉(压)连接部位采用。
7.5.2 7度~9度时,框排架结构构件节点连接的抗震验算应符合下列规定:
1 对可能出现塑性铰的下列主要节点,应按节点连接的最大承载力不小于构件的塑性承载力进行设计:
1)框架梁与柱的连接节点;
2)排架和框架的柱间支撑与排架、框架的连接节点;
3)重要的多层框排架柱与基础的刚接连接节点。
2 主要的传递或承受地震作用的构件拼接,当不位于构件塑性区时,其承载力不应小于该处作用效应值的1.1倍;同时,梁、柱拼接的受弯承载力尚不得低于0.5We?y,We和?y分别为梁柱截面的弹性截面模量和钢材屈服强度。
7.5.3 下列构件节点的角焊缝连接、不焊透的对接连接或摩擦型高强度螺栓连接,应按地震组合内力进行弹性设计,并应进行极限承载力验算:
1 梁柱节点为刚接(柱贯通)时,梁端连接的极限承载力应符合下列公式要求:

式中:Mu、Vu——分别为节点梁端连接的极限受弯承载力和极限受剪承载力;
Mp——梁的全塑性受弯承载力;
l——梁的净跨。
2 多层框架实腹柱与基础的连接应符合下列公式要求:

式中:Mu——柱脚连接的极限受弯承载力;
Mp——柱截面全塑性受弯承载力;
N、Np——实腹柱的轴力设计值及其全截面塑性承载力;
A——柱截面面积。
条文说明
7.5.2、7.5.3 钢结构节点连接是保证结构抗震能力的重要部位,也是易于产生塑性铰处。按照连接强于构件的设计原则,本条规定是为了保证这些部位的连接不先于构件达到塑性或破坏。
7.5.4 实腹刚架或框架,采用高强度螺栓连接时,梁拼接点距梁端的距离宜取下列较大值:
1 梁净跨长的1/10。
2 梁截面高度的1.5倍。
3 当不能符合本条第1款、第2款的要求时,其拼接应符合本规范第7.5.3条的规定,并在梁翼缘上沿内力方向的螺栓排数不宜少于3排,拼接板的截面模量应大于所拼接的截面模量的1.1倍。
条文说明
7.5.4 实腹刚架梁中塑性铰一般产生在梁端至本条第1款、第2款所述范围内,故梁应尽量避免在此范围内拼接。不可避免时,应按条文所述要求加大截面模量,使塑性铰移出拼接点外。
7.5.5 柱间支撑节点(图7.5.5)连接的承载力验算应符合下列规定:
1 节点板的厚度应符合下式要求:

式中:t1——节点板的厚度;
Abn——支撑斜杆的净截面面积;
lj——节点板的传力计算宽度,力的扩散角可取30°;
?y、?jy——分别为支撑斜杆和节点板钢材的抗拉、抗压屈服强度。
2 节点板与柱(梁)的连接焊缝的设计强度应符合下式要求:

式中:e——支撑轴力作用点与连接焊缝中心之间的偏心距;
Af、Wf——分别为连接焊缝的有效截面面积和截面模量;
?wf——角焊缝的强度设计值。
3 杆件与节点板连接的最大承载力验算应符合下列规定:
1)当采用角焊缝连接时:

2)当采用摩擦型高强度螺栓连接时:

式中:Af——角焊缝的有效截面面积;
n——高强度螺栓数目;
Vb——一个高强度螺栓的受剪承载力设计值。
4 交叉形支撑交点的杆端切断处连接板的截面面积不应小于被连接的支撑杆件截面面积的1.2倍,杆端连接焊缝的重心应与杆件重心相重合。
条文说明
7.5.5 柱间支撑是框排架结构纵向抗震的主要构件,过去地震中支撑所产生的问题大多由于节点构造不当,故本条针对上述问题与国内外关于节点连接的研究成果而制定。其主要目的是使支撑节点传力直接,不产生偏心与局部应力集中,从而增强支撑节点的抗震能力。
7.5.6 7度、8度时,有吊车的框排架柱或重屋盖框排架柱宜采用外露式刚接柱脚(图7.5.6);8度、9度时,多层框架柱可采用埋入式柱脚;8度、9度时,单层排架格构柱或实腹柱均可采用杯口插入式柱脚(图7.5.8)。

图7.5.6 外露式刚接柱脚
7.5.7 采用埋入式柱脚时,其埋入段的焊钉及混凝土抗压强度应满足下列要求:
1 柱受拉冀缘外侧所需焊钉数量可按下式计算:

式中:n——柱受拉翼缘外侧所需焊钉数量;
N——柱轴力设计值;
M——柱底弯矩设计值;
A——柱截面面积;
Af——柱翼缘的截面面积;
hc——柱翼缘截面的中心距;
Vs——一个圆柱头焊钉连接件的受剪承载力设计值,可按现行国家标准《钢结构设计规范》GB 50017的有关规定计算。
2 柱翼缘外侧的混凝土抗压强度应符合下式要求:

式中:W——埋入基础部分柱翼缘的截面抵抗矩;
b——柱翼缘宽度;
h——柱的埋入深度;
?c——混凝土的轴心抗压强度设计值。
7.5.8 采用杯口插入式柱脚(图7.5.8)时,其插入深度应按表7.5.8的规定采用,且不应小于500mm,并应符合下列规定:

1 实腹柱插入式柱脚尚应满足下列公式要求:

式中:N——柱轴力设计值;
?t——基础混凝土的抗拉强度设计值;
S——插入段钢柱截面周长;
h——柱插入深度;
M——柱底弯矩设计值;
b——柱插入部分的翼缘宽度;
?c——基础混凝土的轴心抗压强度设计值。
2 格构柱插入式柱脚尚应满足下列公式要求:
1)格构柱的受拉肢可按式(7.5.8-1)计算。
2)格构柱的受压肢,当设有柱底板时,可按下列公式验算:

式中:N——受压柱肢的最大轴力设计值;
β——混凝土局部受压的强度提高系数;
Ac——柱肢底板面积;
Ad——局部承压的计算面积。
3)双肢柱的冲切强度尚应满足下列公式要求:

式中:N——柱肢受拉时或受压时的最大轴力设计值;
h01、h02——冲切的计算高度,可按图7.5.8采用;
μm——冲切计算高度1/2处的周长。
条文说明
7.5.6~7.5.8 钢柱柱脚构造可分为外露式和埋入式两种,外露式柱脚多用于单层排架和多层框架,其柱脚连接不能充分保证形成可转动塑性铰的机制;埋入式柱脚,由于底端锚固于混凝土基础中,铰在近柱脚的柱截面处形成,故一般更适用于高层建筑或高烈度区的框架结构柱脚。根据试验研究成果及设计经验,提出了埋入式柱脚的计算公式。
7.6 支撑抗震设计
7.6 支撑抗震设计
7.6.1 排架柱间支撑宜采用中心支撑。支撑的设置应符合下列规定:
1 每一个结构单元的各柱列,应在其中部或接近中部的开间内沿柱全高设置一道柱间支撑[图7.6.1(a)]。7度时,结构单元长度超过120m(重屋盖)或150m(轻屋盖),8度、9度时,结构单元长度超过90m(重屋盖)或120m(轻屋盖)时,宜在单元长度的1/3处的开间内设置两道柱间支撑[图7.6.1(b)]。有吊车的厂房,尚应在结构单元的两端开间内的上柱范围内设置上柱支撑。
2 结构单元内,沿各柱列的柱顶宜设置通长的受压系杆,受压系杆可与屋架端部系杆合并设置。
3 结构单元内,各柱列柱间支撑的侧移刚度应按下列规定确定:
1)同列柱内上段柱的柱间支撑侧移刚度不宜大于下段柱的柱间支撑侧移刚度;
2)同一柱间采用双片支撑时,其侧移刚度宜相同;
3)结构单元内,设有不约束结构变形的纵向侧墙时,各柱列柱间支撑的侧移刚度宜相接近,但边列柱的柱间支撑的侧移刚度不宜大于中列柱柱间支撑的侧移刚度;当两侧边列柱有约束结构变形的纵向侧墙时,中列柱柱间支撑的侧移刚度应大于边列柱间支撑的侧移刚度。

图7.6.1 柱间支撑布置
条文说明
7.6.1 柱间支撑是结构体系中传递纵向水平地震作用的重要保证。根据合理确定单元长度及设置支撑,选定支撑侧移刚度,减小框排架结构整体扭转影响等原则,结合钢结构特点,综合提出了对柱间支撑布置的要求。其中关于增设一道支撑的单元长度限值,是根据设计经验,以控制柱间支撑杆件最大内力在合理范围内而确定的。
7.6.2 支撑杆件平面外长细比宜小于平面内的长细比。
7.6.3 排架交叉形柱间支撑应符合下列规定:
1 交叉形支撑斜杆的长细比不应超过表7.6.3的规定。
表7.6.3 交叉形支撑斜杆的最大长细比

2 长细比不超过200且拉压杆截面相同的交叉形支撑,应计入压杆的协同工作;计算简图可采用单斜拉杆简图(图7.6.3),其计算应符合下列规定:
1)确定支撑系统的侧移刚度时,拉杆的计算截面面积应乘以增大系数(1+φi);φi为该节间相应斜压杆的轴心受压稳定系数,可按现行国家标准《钢结构设计规范》GB 50017的有关规定采用;对单角钢杆件尚应计入折减系数;

图7.6.3 按拉杆设计的交叉形支撑计算
2)确定斜拉杆的轴力时,应计入斜压杆在反复循环荷载下强度降低引起的卸载效应,轴力设计值可按下式计算:

式中:Ni——斜拉杆的轴力设计值;
φi——第i节间斜杆轴心受压稳定系数,可按现行国家标准《钢结构设计规范》GB 50017的有关规定采用;
Vbi——第i节间支撑承受的地震剪力设计值;
sc——支撑所在柱间的净距;
li——第i节间斜杆的全长。
条文说明
7.6.3 设计经验与震害调查均表明,柱间支撑杆件的长细比要合理控制,不要过刚或过柔,本条中有关计算刚度、强度的规定及计算式是考虑压杆在反复循环荷载下对拉杆卸载影响而提出的。
7.6.4 排架的人字形和门形柱间支撑,应符合下列规定:
1 上柱、下柱支撑斜杆的长细比,均不应超过表7.6.3中对下柱支撑的规定。
2 压杆强度设计值应乘以承载力折减系数,其值可按表7.6.4取用。
表7.6.4 斜压杆承载力折减系数

7.6.5 框架纵向柱间支撑布置应符合下列规定:
1 柱间支撑宜设置于柱列中部附近,当纵向柱数较少时,亦可在两端设置。多层多跨框架纵向柱间支撑宜布置在质心附近,且宜减小上、下层间刚心的偏移。
2 纵向支撑宜设置在同一开间内,无法满足时,可局部设置在相邻的开间内。
3 支撑形式可采用交叉形、人字形等中心支撑[图7.6.5(a)]。当采用单斜杆中心支撑时,应对称设置。9度采用框架-支撑结构体系时,可采用偏心支撑[图7.6.5(b)]。

图7.6.5 框排架结构柱间支撑形式
条文说明
7.6.5 多层框架结构横向一般为框架体系,纵向为框架-支撑体系,故对多层框架结构主要是在纵向支撑方面作出有关设计规定。纵向柱间支撑的综合布置要求,其原则是保持各层各列间刚度对称、均匀,不引起地震作用的突变或附加扭转,对高烈度区宜考虑消能(偏心支撑)措施,合理选用支撑形式。
7.6.6 框排架结构中排架屋盖支撑的布置可按本规范第6.5节的有关规定采用;框架结构部分各柱列侧移刚度相差较大或各层质量分布不均匀,且可能造成结构扭转时,应在单层与多层相连部位沿全长设置纵向支撑。
条文说明
7.6.6 根据设计经验,对框排架组联结构的支撑布置提出了要求。
7.6.7 框架中心支撑应符合下列规定:
1 支撑形式应符合本规范第7.6.5条的规定。
2 支撑杆件由组合截面构成时,其板件宽厚比不应超过现行国家标准《建筑抗震设计规范》GB 50011的有关规定。
3 支撑杆件的长细比应符合现行国家标准《建筑抗震设计规范》GB 50011的有关规定。
4 人字形支撑的水平杆兼作框架横梁时,构造上应保持节点处梁的连续贯通。计算框架梁在重力荷载代表值作用下的内力时,不应计入支撑的支承作用;但在支撑计算时,应计入由框架梁传来的重力荷载效应。
5 框架各柱列的纵向侧移刚度宜相等或接近。上层支撑的侧移刚度不得大于与其相连的下层支撑的侧移刚度。同一层内设置数道支撑时,其侧移刚度亦应相接近。
条文说明
7.6.7 中心支撑仍为多层框架结构常用的支撑类型,本条综合规定了有关设计和构造要求。对人字形或V形支撑,多以框架横梁为支撑横杆。由于在施工中节点连接及承载顺序难以完全预先控制,故按实际工程设计习惯做法,一般仍不考虑人字形(或V形)斜杆对横梁支承卸荷的有利作用,而只考虑斜杆承担横梁传来荷载的不利影响。
7.6.8 框架的交叉形支撑、人字形支撑宜计入柱轴向变形对支撑内力的影响;计算中未计入柱轴向变形对支撑内力的影响时,支撑斜杆中的附加压应力应按下列规定计算(图7.6.8):

图7.6.8 交叉支撑和人字形支撑计算
1 交叉形支撑(按拉杆简图设计时除外)时,可按下式计算:

2 人字形支撑时,可按下式计算:

式中:Δσ——支撑斜杆中的附加压应力;
σc——支撑斜杆两端连接固定后,由验算层以上各楼层重力荷载代表值引起的支撑所在开间柱的轴向压应力;
ld——支撑斜杆长度;
b、h——分别为验算层支撑所在开间的框架梁的跨度和楼层的高度;
Ab、Ib——分别为验算层支撑所在开间的框架梁的截面面积和绕水平主轴的惯性矩;
Ad——支撑斜杆的截面面积;
Ac——验算层支撑所在开间框架柱的截面面积;左柱、右柱截面不相等时,可采用平均值。
条文说明
7.6.8 交叉形、人字形(V形)支撑,其杆端与梁柱相交汇,当柱身因轴向力而产生轴向(如压缩)变形时,因节点变形协调关系,支撑斜杆中亦引起附加变形与应力。当竖向荷载较大或层数较多时,此附加影响不可忽视,故提出了附加应力的计算公式。
7.6.9 偏心支撑可由支撑斜杆及与其偏心相交的耗能梁段组成。框架偏心支撑应符合下列规定:
1 偏心支撑可采用单斜杆支撑或人字形支撑[图7.6.5(b)]。
2 框架其他各层均设置偏心支撑时,顶层则宜采用中心支撑。
3 偏心支撑耗能梁段应按下列规定区分为剪切屈服型、剪弯屈服型和弯曲屈服型:
1)剪切屈服型:

2)剪弯屈服型:

3)弯曲屈服型:

式中:Ms(MsN)——耗能梁段无轴力或有轴力的全塑性受弯承载力;
Vs——耗能梁段的全塑性受剪承载力;
e——耗能梁段的净长度。
4 耗能梁段宜设计为剪切屈服型,与柱连接的耗能梁段不应设计为弯曲屈服型。
7.6.10 偏心支撑耗能梁段的全塑性承载力可按下列公式计算(图7.6.10):

图7.6.10 耗能梁段截面
1 全塑性受弯承载力Ms(MsN),可按下式计算:
1)梁段中无轴力时:
Ms=?yWpb (7.6.10-1)
2)梁段中有轴力时:
MsN=(?y-σa)Wpb (7.6.10-2)
2 全塑性受剪承载力可按下式计算:
Vs=0.58?yh0tw (7.6.10-3)
式中:?y——耗能梁段钢材的屈服强度;
Wpb——耗能梁段的塑性截面模量;
σa——轴向力引起的梁段翼缘的平均正应力;
tw、h0——分别为耗能梁段腹板的厚度和高度。
3 轴力引起的耗能梁段翼缘的平均正应力:

式中:VIb、NIb——耗能梁段计入地震作用效应组合的剪力设计值和轴力设计值;
bf、tf——分别为耗能梁段翼缘的宽度和厚度;
AIb——耗能梁段的全截面面积。
3)式(7.6.10-4)和式(7.6.10-5)计算的σa≤0.15?y时,可取σa=0。
7.6.11 耗能梁段在多遇地震作用效应组合下,其强度应符合下列规定:

式中:MIb——耗能梁段的弯矩设计值;
?——耗能梁段的钢材强度设计值,应按现行国家标准《钢结构设计规范》GB 50017的有关规定采用。
2)腹板强度应符合式(7.6.11-2)的要求。

式中:W——耗能梁段的截面模量。
7.6.12 耗能梁段的抗震设计尚应符合下列规定:
1 板件的宽厚比不应超过现行国家标准《建筑抗震设计规范》GB 50011有关梁的限值。
2 梁段腹板上不得加焊加强板或开洞口。
3 应按下列规定设置与梁翼缘等宽的腹板横向加劲肋(图7.6.12):
1)支撑斜杆连接处梁的两侧均应设置横向加劲肋;
2)在耗能梁段两端距离等于翼缘宽度(bf)处应设置横向加劲肋;


7)中间加劲肋宜在腹板两侧对称设置,但梁高小于600mm时亦可单侧设置;
8)加劲肋的厚度不应小于耗能梁段腹板厚度的0.75倍,且不应小于10mm;
9)加劲肋与梁可采用角焊缝焊接连接;与腹板连接的角焊缝承载力不应低于Ast?,与翼缘连接的角焊缝承载力不应低于0.25Ast?;Ast为加劲肋的截面面积。

图7.6.12 耗能梁段的加劲肋
4 在耗能梁段两端上、下翼缘均应设置水平侧向支撑,支撑杆的轴力设计值不应小于0.015?Af;沿耗能梁段延伸的框架梁,亦应在梁端设置上、下翼缘的水平侧向支撑,支撑点的间距不应大于(bf为框架梁翼缘宽度),支撑杆的轴力设计值宜采用0.012?Af;?为梁段钢材强度的设计值,Af为上、下翼缘各自的截面面积。侧向支撑杆的长细比应符合现行国家标准《钢结构设计规范》GB 50017的有关规定。
7.6.13 偏心支撑斜杆承载力验算应符合下列规定:
1 支撑斜杆的轴力设计值应采用下列公式中的较小值:

式中:N——支撑斜杆的轴力设计值;
Nbr——按地震作用效应组合的支撑轴力设计值。
2 斜杆的强度和稳定性应按现行国家标准《钢结构设计规范》GB 50017的有关规定验算,其钢材强度设计值应除以承载力抗震调整系数。
7.6.14 偏心支撑所在开间框架柱的承载力验算应符合下列规定:
1 柱的弯矩设计值应采用下列公式中的较小值:

式中:M——偏心支撑所在开间框架柱的弯矩设计值;
Mc——按地震作用效应组合的柱弯矩设计值。
2 柱的轴力设计值应采用下列公式中的较小值:

式中:N——偏心支撑所在开间框架柱的轴力设计值;
Nc——按地震作用效应组合的柱轴力设计值。
3 柱强度和稳定性应按现行国家标准《钢结构设计规范》GB 50017的有关规定验算,其钢材强度设计值应除以承载力抗震调整系数。
7.6.15 偏心支撑杆件的连接应符合下列规定:
1 剪切屈服型耗能梁段翼缘与柱的连接应采用坡口全焊透焊接;梁段腹板与柱连接可采用角焊缝焊接,焊缝的承载力应符合腹板的全塑性受剪承载力要求。
2 支撑与耗能梁段的连接(图7.6.12和图7.6.15)应符合下列规定:
1)支撑轴线与梁轴线的交点可在耗能梁段以内或端部,但不应位于耗能梁段以外;
2)不应将支撑杆及其节点板伸入耗能梁段以内。

图7.6.15 支撑斜杆与框架梁连接
条文说明
7.6.9~7.6.15 柱间偏心支撑为近几十年来研究并实际应用的一种新型支撑,具有较大延性及适应往复非弹性变形的能力。因其构造有耗能梁段,在强震时可形成塑性铰以吸收地震能量,故特别适用于高(多)层结构有强震反应的抗侧力体系中。
试验研究表明:偏心支撑采用剪切屈服型耗能梁段对抗强震更为有利,故推荐此种构造类型。
综上所述,参照欧洲规范有关规定,对偏心支撑的选型、承载力、连接强度、耗能段计算与构造、相关柱的验算等均作了具体规定。
7.7 抗震构造措施
7.7 抗震构造措施
7.7.1 传递地震作用的主要节点及其构件的连接宜采用高强度螺栓连接,亦可采用焊接连接。8度、9度时,框排架结构主要承重构件的连接不应采用普通螺栓连接。
条文说明
7.7.1 高强度螺栓连接具有承载能力可靠、承受反复荷载性能优良以及对大变形有良好的适应性等特性,故应优先用于重要连接中;普通螺栓连接抗剪强度较低,抗反复荷载性能很差,故对其应用范围作了限制。
7.7.2 框架的梁、柱刚接时,梁翼缘与柱应采用全焊透焊接,梁腹板与柱宜采用高强度螺栓连接。
条文说明
7.7.2 近年来,框架梁、柱采用翼缘不带拼材的冀焊-腹栓混合连接形式,已在国内高层钢结构中普遍应用。经验表明,这种连接构造具有施工快速、节约拼材、承载力强(与母材等强或超过母材)、抗反复荷载性能良好等特点,故宜优先选用。当条件有限制时,腹板连接亦可采用焊接。对翼缘、腹板均带拼材的焊接连接,其抗反复荷载性能较差,构造亦较复杂、耗材较多,故一般不推荐在梁柱连接中采用。
7.7.3 构件的焊接连接应符合下列规定:
1 所有传力的焊接连接不得采用间断焊缝;传递地震作用的杆端侧面角焊缝,其有效计算长度不宜大于焊脚尺寸的40倍。
2 框架节点连接中,与受力方向垂直的焊缝宜采用全焊透的对接焊缝。
3 在同一传力焊接连接中,不宜采用侧面角焊缝与端部角焊缝并用的焊接连接。
条文说明
7.7.3 框架节点垂直于受力方向的焊缝一般均为直接传递母材内力的焊缝,按等强要求应采用全焊透对接焊缝。
7.7.4 承受地震作用的高强度螺栓连接不宜采用承压型高强度螺栓。
条文说明
7.7.4 承压型高强度螺栓连接是以螺栓受剪或连接板承压的承载力为前提的,故现行国家标准《钢结构设计规范》GB?50017亦明确规定不得将其用于承受动载的连接。而地震作用是有动力性质的反复荷载,故不宜选用上述形式连接。
7.7.5 框排架结构柱的柱脚(或底板)锚栓均应采用双螺母构造,当柱脚承受较大地震剪力时,宜采用带抗剪键的柱脚构造(图7.7.5),其埋入尺寸及焊缝尺寸等应由计算确定。
条文说明
7.7.5 框排架结构主要承重柱柱脚的构造一般均要求采用双螺帽,以防止在长期使用中各种内力作用下可能发生松动而不能保证连接性能等情况;对承受地震反复作用的柱脚更应符合这一构造要求。此外,因柱脚锚栓不能抗剪,故对有较大剪力作用的柱脚宜采用有专门抗剪措施的构造(如抗剪键)。
7.7.6 刚架梁柱节点宜采用加腋构造(图7.7.6),加腋长度不宜小于梁截面高度或梁翼缘宽度的8倍,加腋最大截面高度不宜大于梁截面高度的2倍;加腋的拐点处的腹板均应设置横向加劲肋。

图7.7.5 带抗剪键的柱脚构造

图7.7.6 刚架节点构造
条文说明
7.7.6 本条根据设计经验提出了刚架节点加腋的构造要求。在加腋区拐点处,受压翼缘有拐折分力作用,为保证其局部稳定,应设横向加劲肋。本条节点构造示例仅示出了带拼材的节点连接构造,有条件时亦可采用翼缘无拼材对焊(应准确定位剖口等强对接焊)构造。一般在弯矩较大的拼接处不推荐采用螺栓法兰拼接,因其抗弯性能较差。
7.7.7 框架梁、柱现场拼接时,应采用等强的拼材与连接件;翼缘采用焊接时,应采用全焊透的对接焊接。拼接部位应设置耳板、夹具等定位连接件。
7.7.8 多层框架梁柱刚接节点宜采用柱贯通式构造(图7.7.8)。在梁翼缘与柱焊接处,柱腹板应设置横向加劲肋;7度~9度时,加劲肋厚度不应小于对应的梁翼缘厚度。

图7.7.8 多层框架梁柱刚接节点构造
柱在强轴方向与主梁连接时[图7.7.8(a)],水平加劲肋与柱翼缘的焊接宜采用坡口全焊透的对接焊接,与柱腹板连接可采用角焊缝焊接。当柱在弱轴方向与主梁连接时[图7.7.8(b)],水平加劲肋与柱腹板连接则应采用坡口全焊透的对接焊接,其他焊缝可采用角焊缝。
同时有支撑杆交汇时,可采用柱上带悬臂梁段在工地拼接的构造[图7.7.8(d)]。
条文说明
7.7.7、7.7.8 参照高层钢结构工程经验,提出了工字形截面柱翼缘对接焊的等强拼接构造及框架梁柱连接的构造要求。第7.7.7条为强制性条文。
7.7.9 柱两侧的梁高不等时,每个翼缘对应位置均应设置柱的水平加劲肋。加劲肋的水平间距不应小于150mm,且不应小于水平加劲肋的宽度[图7.7.9(a)]。当不能满足要求时,可采取局部调整较小梁的截面高度,其梁腋坡度不得大于1:2[图7.7.9(b)]。

图7.7.9 柱两侧与不等高梁的连接
7.7.10 框架工字形梁柱节点区格板不宜采用焊接附加板进行加强,必要时可采取设置加劲肋或局部增加腹板厚度。
条文说明
7.7.10 在区格板上贴焊附加板需采用周边封闭焊缝,且又与原区格分格边界处已有的周边焊缝非常接近,因而会造成板域较大的附加焊接应力,对承受反复作用有不利影响,故不宜采用。
7.7.11 框架的楼盖应符合下列规定:
1 采用密肋(次梁)钢铺板时,钢板与梁应采用连续焊缝焊接。
2 采用预制钢筋混凝土铺板时,端部板角应与钢梁焊接,板面上应设细石钢筋混凝土现浇层,厚度不宜小于50mm;预制板板缝中应按抗震构造要求配筋并灌缝。
3 采用现浇钢筋混凝土楼板或以压型钢板为底模时,钢梁上翼缘的上表面应焊接抗剪键(栓钉)。
锅炉钢结构
8.1 一般规定
8.1 一般规定
8.1.1 本章适用于支承式和悬吊式锅炉钢结构的抗震设计。
8.1.2 单机容量为300MW及以上或规划容量为800MW及以上的火力发电厂锅炉钢结构,应属于乙类构筑物。单机容量为300MW以下或规划容量为800MW以下的火力发电厂锅炉钢结构,应属于丙类构筑物。
条文说明
8.1.2 本条按照现行国家标准《建筑工程抗震设防分类标准》GB 50223和《电力设施抗震设计规范》GB?50260,确定单机容量为300MW及以上或规划容量为800MW及以上的火力发电厂锅炉钢结构属于乙类构筑物。
8.1.3 锅炉钢结构宜采用独立式的结构体系。与锅炉钢结构贴建的厂房应设防震缝,防震缝的宽度应按本规范第6章钢筋混凝土结构防震缝宽度的1.5倍采用。
条文说明
8.1.3 锅炉钢结构和邻近建筑结构属不同类型的结构,若将它们联系在一起将形成体型复杂、平立面特别不规则的建筑结构。因此,设置防震缝分割能避免锅炉钢结构和贴建厂房的地震破坏。当不能形成单独的抗侧力结构单元时,应按不规则结构采用空间结构计算模型,进行水平地震作用计算和内力调整,并对薄弱部位采取有效的抗震措施。
8.1.4 设有重型炉墙或金属框架护板轻型炉墙的支承式锅炉宜采用梁和柱刚性连接的框架式锅炉钢结构。设有金属框架护板的区域,护板与柱梁之间为嵌固连接时,可将梁、柱和护板视作刚性平面结构。
条文说明
8.1.4 金属框架护板与锅炉钢结构梁、柱嵌固在一起,形成刚度大、能较好地抵抗水平地震作用的结构,因而可视作刚性平面结构。
8.1.5 悬吊式锅炉钢结构可采用中心支撑体系,可选用交叉形、单斜杆形、人字形和V形支撑,不宜选用K形支撑。8度Ⅲ、Ⅳ类场地和9度时,锅炉钢结构宜采用偏心支撑体系。
条文说明
8.1.5 在地震作用下,K形支撑体系可能因受压斜杆屈曲或受拉斜杆屈服引起较大的侧向变形,使柱发生屈曲甚至造成倒塌,故不宜在抗震结构中采用。偏心支撑至少有一端交在梁上,而不是交在梁与柱的节点上,使结构具有较大变形能力和耗能能力,是一种良好的抗震结构,因此偏心支撑更适用于高烈度地震区。
8.1.6 按拉杆设计中心支撑体系时,应同时设置不同倾斜方向的两组单斜杆,且每组不同方向单斜杆的截面面积在水平方向的投影面积之差不得大于10%。
8.1.7 锅炉钢结构应在承载较大的垂直平面内布置垂直支撑体系,垂直支撑应沿锅炉钢结构高度均匀、连续布置。
8.1.8 锅炉钢结构应在承载较大的水平面内布置水平支撑,并宜在锅炉钢结构四周形成一个连续的封闭支撑体系。水平支撑宜沿锅炉钢结构高度每隔12m~15m布置一层,其标高应与锅炉导向装置标高协调一致,炉体的水平地震作用应能直接通过水平支撑传到垂直支撑上。
条文说明
8.1.7、8.1.8 垂直支撑、水平支撑与柱和梁形成空间结构体系,以保证结构的空间工作,提高整体结构的侧移刚度和扭转刚度。
垂直支撑和水平支撑布置在承载较大平面内是为了传力直接,缩短传力途径。水平支撑在锅炉钢结构周围连续封闭布置,可避免柱受扭。国外有关资料规定,水平支撑的间距为40英尺,据此定为12m~15m。
8.1.9 锅炉钢结构的抗震计算可不计及地基与结构相互作用的影响。
8.1.10 锅炉炉顶屋盖结构和紧身封闭均宜采用轻型钢结构。
8.2 计算要点
8.2 计算要点
8.2.1 锅炉钢结构应按本规范第5章多遇地震确定地震影响系数,并进行地震作用和作用效应计算。计算地震作用时,重力荷载代表值应取永久荷载标准值和各可变荷载组合值之和,可变荷载的组合值系数应按表8.2.1采用。
表8.2.1 可变荷载的组合值系数

8.2.2 锅炉钢结构的基本自振周期可按下式计算:
T1=CtH3/4 (8.2.2)
式中:T1——结构基本自振周期(s);
Ct——结构影响系数,对框架体系可取0.0853,对桁架体系可取0.0488;
H——锅炉钢结构的总高度(m)。
条文说明
8.2.2 锅炉钢结构的基本自振周期的近似计算公式源自美国《建筑通用法规》(Uniform?Building?Code,UBC),根据此公式计算得到的基本自振周期与锅炉钢结构的实测数值接近,因此推荐使用此公式计算锅炉钢结构的基本自振周期。
8.2.3 锅炉钢结构在多遇地震下的阻尼比,对于单机容量小于25MW的轻型或重型炉墙锅炉,可采用0.05;对于单机容量不大于200MW的悬吊式锅炉,可采用0.04;对于大于200MW的悬吊锅炉,可采用0.03;罕遇地震下的阻尼比均可采用0.05。
条文说明
8.2.3 锅炉行业曾对锅炉钢结构进行过多次测震,但300MW及以上的锅炉实测较少,本条规定的阻尼比是根据实测数据,同时也参照了本规范关于钢结构阻尼比的推荐数值。
8.2.4 锅炉钢结构按底部剪力法多质点体系计算时,其水平地震影响系数应乘以增大系数;其结构类型指数可按本规范表5.1.6中的剪弯型结构取值。
8.2.5 锅炉钢结构按本规范第5.2.1条的底部剪力法计算结构总水平地震作用标准值时,结构基本振型指数可按剪弯型结构取值。
条文说明
8.2.4、8.2.5 经与振型分解反应谱法计算结果比较,锅炉钢结构属剪弯型结构。因此,采用底部剪力法计算时,其结构类型指数和基本振型指数均应以剪弯型结构取值。
8.2.6 锅炉钢结构的抗震计算可采用底部剪力法。当结构总高度超过65m时,宜采用振型分解反应谱法。
条文说明
8.2.6 容量为300MW的锅炉钢结构,其抗震计算可采用底部剪力法,容量为600MW及以上的锅炉钢结构宜采用振型分解反应谱法进行抗震计算。
8.2.7 有导向装置的悬吊式锅炉,通过导向装置作用于锅炉钢结构上的水平地震作用可按下列规定计算:
1 导向装置i处承受的水平地震作用标准值可按下式计算:
Fi=a1Gi (8.2.7)
式中:Fi——导向装置i处承受的水平地震作用标准值;
a1——悬吊锅炉炉体的水平地震影响系数,可采用锅炉钢结构基本自振周期的水平地震影响系数;
Gi——悬吊锅炉炉体集中于导向装置i的重力荷载代表值,可按图8.2.7阴影区域确定。

图8.2.7 导向装置荷载分配
2 地震作用方向垂直于锅筒时,其地震作用可由两侧导向装置C上、C中和C下分别承受。
3 地震作用方向平行于锅筒时,其地震作用可由前后导向装置Q上、Q中和Q下、L中和L下、S中、M上和M中同时承受。
条文说明
8.2.7 悬吊锅炉炉体通过导向装置将炉体的水平地震作用直接传至锅炉钢结构相应位置上,可不进行沿高度重新分配。
8.2.8 悬吊式锅筒的水平地震作用标准值可采用与炉体相同的方法计算。
8.2.9 对于200MW及其以下且无导向装置的悬吊锅炉,锅炉钢结构采用底部剪力法进行水平地震作用计算时,可按本规范第5.2.1条的规定计算。炉体及锅筒的地震作用只作用在锅炉钢结构的顶部时,其多遇地震的水平地震影响系数可按表8.2.9采用。
表8.2.9 无导向装置悬吊炉体和锅筒水平地震影响系数

条文说明
8.2.9 大型锅炉都设有导向装置,但是200MW及其以下的悬吊锅炉有的不设导向装置,悬吊炉体和锅筒的地震作用只作用在锅炉钢结构的顶部。根据实测分析7度Ⅱ类场地的地震影响系数为0.022,按此规定已在锅炉行业使用多年,其计算结果是偏于安全的。
200MW及以下锅炉钢结构的基本自振周期在Tg和8Tg之间,地震影响系数当结构确定之后,结构的阻尼比和自振周期随之确定,阻尼修正系数也被确定,不同场地类别和设计地震分组的地震影响系数仅随(Tg)0.9变化。表8.2.9是以7度、加速度0.10g、第一组、Ⅱ类场地的地震影响系数等于0.022为基准,根据不同场地类别和设计地震分组的特征周期值之间的比例关系,推算出无导向装置悬吊锅炉不同场地类别、不同设计地震分组在多遇地震作用下的地震影响系数。
8.2.10 6度时的锅炉钢结构可不进行抗震验算,但其节点承载力应适当提高。
条文说明
8.2.10 抗震设防烈度为6度时,可不进行地震作用计算。为了保证结构的安全,贯彻构件节点的破坏不应先于其连接构件的原则,其节点的承载力应比现行行业标准《锅炉构架抗震设计标准》JB 5339中的规定提高20%。
8.2.11 抗震验算时,锅炉钢结构任一计算平面上的水平地震剪力应符合本规范第5.2.5条的规定。
条文说明
8.2.11 对于基本自振周期大于3.5s的结构,可能出现计算所得的水平地震作用效应偏小,出于结构安全考虑,给出了各主平面水平地震剪力最小值的要求。对于一般的锅炉钢结构,基本自振周期远小于3.5s,本条要求自然满足,不需进行验算。当在特殊情况下,基本周期大于3.5s时,应按本条进行验算,若不满足要求应对结构的水平地震作用效应进行相应的调整。
8.2.12 9度时且高度大于100m的锅炉钢结构,应按本规范第5.3.1条的规定计算竖向地震作用,其竖向地震作用效应应乘以增大系数1.5。
8.2.13 8度和9度时,跨度大于24m的桁架(或大梁)和长悬臂结构应计算竖向地震作用。其竖向地震作用标准值,8度和9度可分别取该结构重力荷载代表值的10%和20%;设计基本地震加速度为0.30g时,可取该结构重力荷载代表值的15%;竖向地震作用可不向下传递,但构件节点设计时应予以计入。
8.2.14 锅炉钢结构构件截面抗震验算应符合本规范第5.4节的规定。但重力荷载分项系数应取1.35,当重力荷载效应对构件承载能力有利时,应取1.0;风荷载分项系数应取1.35;风荷载组合值系数应取0;当风荷载起控制作用且锅炉钢结构高度大于100m或高宽比不小于5时,应取0.2。
条文说明
8.2.14 本条为强制性条文。锅炉钢结构是由永久荷载起控制作用的,风荷载是主要的可变荷载,其他可变荷载很小。考虑到锅炉钢结构以往的设计经验和效应组合的一贯做法,避免结构可靠度的降低,保持和过去的设计安全度相当,故将永久荷载分项系数和风荷载分项系数取为1.35。
8.2.15 锅炉钢结构构件承载力抗震调整系数,除梁柱强度验算均应采用0.8外,其他构件及其连接均应符合本规范表5.4.2的规定。
条文说明
8.2.15 本条为强制性条文。锅炉钢结构构件承载力的抗震调整系数根据锅炉钢结构的特点和我国锅炉行业多年的设计经验作了规定,即梁、柱强度验算的抗震调整系数与本规范表5.4.2稍有不同。
8.2.16 锅炉钢结构的导向装置应按多遇地震作用效应验算其强度,并应具有足够的刚度。
8.2.17 结构布置不规则且有明显薄弱层,或高度大于150m及9度时的乙类锅炉钢结构,应进行罕遇地震作用下的弹塑性变形分析。
条文说明
8.2.17 结构不规则且有明显薄弱层或高度大于150m及9度时的乙类锅炉钢结构,地震时可能导致严重破坏,因此规定进行罕遇地震作用下的弹塑性变形分析。
8.3 抗震构造措施
8.3 抗震构造措施
8.3.1 锅炉钢结构的主柱长细比不应大于表8.3.1的限值。
表8.3.1 锅炉钢结构的主柱长细比

8.3.2 锅炉钢结构的柱、梁板件宽厚比不应大于表8.3.2的限值。
表8.3.2 锅炉钢结构的柱、梁板件宽厚比

8.3.3 锅炉钢结构支撑杆件的长细比不应大于表8.3.3的限值。
表8.3.3 锅炉钢结构支撑杆件长细比

8.3.4 锅炉钢结构支撑板件的宽厚比不应大于表8.3.4的限值。
表8.3.4 锅炉钢结构支撑板件的宽厚比

8.3.5 6度地区,且基本风压小于0.4kN/m2时,宜适当增大垂直支撑截面面积。
8.3.6 8度Ⅲ、Ⅳ类场地和9度时的锅炉钢结构,梁与柱的连接不宜采用铰接。
8.3.7 锅炉钢结构宜采用埋入式柱脚,埋入深度可按本规范第7.5.7条的规定确定。
8.3.8 铰接柱脚底板的地震剪力应由底板和混凝土基础间的摩擦力承担,其摩擦系数可取0.4。地震剪力超过摩擦力时,可在柱底板下部设置抗剪键,抗剪键可按悬臂构件计算其厚度和根部焊缝。
8.3.9 铰接柱的地脚螺栓应采用双螺帽固定;地脚螺栓的数量和直径应按作用在基础上的净上拔力确定,但不应少于4M30。净上拔力应采用最不利工况的上拔力减去永久荷载的0.75倍确定。地脚螺栓的材料可采用Q235或Q345钢。
8.3.10 梁采用悬臂梁段与柱刚性连接时,悬臂梁段与柱应采用全焊接连接,其中翼缘与柱应采用全焊透焊接。梁的现场拼接可采用翼缘全焊透焊接、腹板高强度螺栓连接或全部采用高强度螺栓连接。
筒 仓
9.1 一般规定
9.1 一般规定
9.1.1 本章适用于贮存散状物料的钢筋混凝土、钢及砌体筒仓的抗震设计。
9.1.2 筒仓外形宜简单、规则,质量和刚度分布宜均匀对称;6度、7度时,仓顶可采用仓壁向上延伸并作为承重结构的筛分间或框架结构的筛分间;8度、9度时,仓顶应采用仓壁向上延伸并作为承重结构的筛分间,不应设置其他承重结构的筛分间。
9.1.3 筒仓结构的选型应符合下列规定:
1 钢筋混凝土筒仓可采用筒壁、柱、带壁柱的筒壁及筒壁与柱混合支承的结构形式,宜选用筒壁支承结构。直径不小于15m的深仓宜选用筒壁和内柱共同支承的结构形式,筒壁开洞处宜设置壁柱。直径不小于18m的圆形筒仓宜采用独立布置结构形式。
2 钢筋混凝土柱承式矩形筒仓的仓下支承柱,应伸至仓顶或仓上建筑,并应与仓壁整体连接。
3 钢筒仓可采用钢或现浇钢筋混凝土仓底和仓下钢支承结构;直径大于12m时,宜采用仓壁落地式结构;仓群宜选用多排布置。
4 6度、7度时,可采用砌体筒仓,其直径不宜大于8m,并应采用筒壁支承结构。
5 独立筒仓间的净距除应符合防震缝要求外,尚应符合施工、安装等要求。
9.1.4 除筛分间外的仓上建筑应符合下列规定:
1 仓上建筑宜采用钢结构,其围护结构应选用轻质材料。
2 钢筋混凝土结构仓上建筑可用于钢筋混凝土筒仓和砌体筒仓,其围护结构宜选用轻质材料。
3 6度时,钢筋混凝土筒仓和砌体筒仓的仓上建筑可采用砌体结构。
4 仓上建筑的屋盖宜采用轻型钢结构或现浇钢筋混凝土结构。
9.1.5 筒仓的防震缝设置应符合下列规定:
1 钢筋混凝土群仓仓顶局部设有筛分间时,其高差处应设置防震缝。
2 筒仓与辅助建筑毗邻处应设置防震缝。
3 高差较大或不规则布置的群仓或排仓,应在相应部位设置防震缝。
4 防震缝的宽度宜根据结构相对变形分析结果确定,但最小宽度不应小于50mm。
9.1.6 Ⅲ、Ⅳ类场地的柱承式筒仓的基础宜采用环形基础或整板基础,并应采取增加基础的整体性和刚度的措施。
9.1.7 在筒仓的结构构件刚度变化处应采取减小应力集中的措施。
9.1.8 柱承式筒仓的支承结构宜增加超静定次数。增加赘余杆件和支撑时,其构件除应满足强度要求外,尚应具有良好的变形能力。
9.1.9 Ⅲ、Ⅳ类场地和不均匀地基条件下的独立筒仓,应采取抗倾覆和控制不均匀沉降的措施。对液化地基,应采取全部消除液化沉陷的措施。
9.1.10 筒仓的抗震设防类别应根据其所在生产系统中的重要性及其在地震中可能产生的次生灾害程度确定。在无特殊要求时,筒仓可按丙类构筑物进行抗震设计。
9.1.11 筒仓的同一结构单元应采用同一类型的基础。同一结构单元的基础宜设置在同一标高上;不在同一标高时,应采取防止地基不均匀沉降的措施。
9.1.12 8度和9度时,筒仓结构可采取消能减震措施。
9.2 计算要点
9.2 计算要点
9.2.1 筒仓应按本规范第5章多遇地震确定地震影响系数,并进行地震作用和作用效应的计算。
9.2.2 筒仓的水平地震作用,可采用振型分解反应谱法或底部剪力法计算;8度Ⅲ、Ⅳ类场地和9度,筒仓结构不规则且有明显薄弱部位时,尚宜采用时程分析法进行补充验算。
9.2.3 筒仓进行水平地震作用计算时,应符合下列规定:
1 贮料可变荷载的组合值系数,钢筋混凝土筒承式筒仓、砌体筒仓应取0.8,其他各类筒仓均应取1.0。
2 钢筒仓在多遇地震下的阻尼比可取0.03,在罕遇地震下的阻尼比可取0.04。
9.2.4 筒承式筒仓的水平地震作用按底部剪力法计算时,柱支承的仓上建筑的地震作用效应应乘以增大系数,钢筋混凝土筒承式筒仓、砌体筒仓其值可取4.0,仓壁落地式钢筒仓可取3.0,但增大部分不应往下传递。
9.2.5 柱承式筒仓的水平地震作用按底部剪力法计算时,应符合下列规定:
1 采用单质点体系计算模型时,质点位置应设于仓体及其贮料的质心处。
2 仓上建筑的水平地震作用可采用将仓上建筑置于刚性地面上的单质点(单层时)或双质点(二层时)体系进行简化计算。其仓上建筑的地震作用效应应乘以增大系数,其值可按表9.2.5采用,但增大部分不应往下传递。
表9.2.5 仓上建筑地震作用效应增大系数

9.2.6 8度Ⅳ类场地及9度时,柱承式筒仓应计入重力二阶效应引起的附加水平地震作用,其标准值可按下列公式计算:

式中:Fgk——重力二阶效应引起的附加水平地震作用标准值;
FEk——未计入重力二阶效应的水平地震作用标准值;
ρg——重力偏心系数,小于0.05时可取零;
Geq——筒仓结构等效重力荷载,可不计入支承结构;
K——支柱的总弹性侧移刚度;
h——支柱的高度。
9.2.7 单排筒仓的质量中心偏心过大时,宜计入地震扭转效应的影响。柱承式单排筒仓采用底部剪力法且按单质点体系计算时,支柱的水平地震作用效应应乘以扭转效应增大系数,其值可按表9.2.7的规定采用。
表9.2.7 扭转效应增大系数

9.2.8 9度时,钢筋混凝土柱承式筒仓的抗震变形验算可按本规范第5.5节的有关规定计算。
9.2.9 采用筒壁与柱联合支承的筒仓,筒壁与柱承担的地震剪力可按侧移刚度比例进行分配,但分配给柱的地震剪力应乘以增大系数1.5,且不应小于支承结构底部总地震剪力的10%。
9.2.10 6度~8度时,钢筋混凝土筒承式圆形筒仓的仓壁与仓底整体连接时,仓壁、仓底可不进行水平地震作用的抗震验算,但其构件应满足相应的抗震构造措施要求。
9.2.11 钢筋混凝土柱承式筒仓的无横梁支柱与基础、支柱与仓体连接端的组合弯矩设计值应按下列规定调整:
1 柱端弯矩应乘以表9.2.11规定的柱端弯矩增大系数。
2 角柱的柱端弯矩按表9.2.11调整后,尚应乘以不小于1.10的增大系数。
3 Ⅲ、Ⅳ类场地且不采用筏基时,无横梁支柱与仓体连接端的弯矩按表9.2.11及本条第2款调整后,尚应分别乘以不小于1.05和1.15的增大系数。
表9.2.11 柱端弯矩增大系数

9.2.12 钢筋混凝土柱承式筒仓的支柱有横梁时,梁柱节点处的梁、柱端组合的弯矩和剪力设计值应分别符合本规范第6.2.6条~第6.2.11条的规定;支承柱端组合的剪力设计值的调整尚应符合本规范第6.2.12条的规定;6度~9度时,支承结构可分别按框架的抗震等级四、三、二、一级计算。
9.2.13 砌体筒仓的水平地震作用计算可采用底部剪力法,其水平地震影响系数可取其最大值。
9.2.14 柱支承或柱与筒壁共同支承的钢筒仓,其水平地震作用可采用底部剪力法计算,计算时应计入柱间支撑的侧移刚度。
9.2.15 8度、9度时,钢仓斗与仓底之间的连接焊缝或螺栓及其连接件应计入竖向地震作用效应。其竖向地震作用标准值应符合下列规定:
1 8度时,其竖向地震作用标准值可分别取其重力荷载代表值的10%(0.20g时)和15%(0.30g时);9度时可取其重力荷载代表值的20%。
2 贮料荷载的组合值系数应取1.0。
9.2.16 钢筋混凝土柱承式方仓的支柱设有横梁时,其侧移刚度可按本规范附录G采用。
9.2.17 筒承式或柱承式单仓的基本自振周期可按下式计算:

式中:T1——筒承式或柱承式单仓的基本自振周期;
Gi——集中于质点i的重力荷载代表值,可取质点i上、下两个质点之间范围内等效重力荷载代表值之和的一半;
ξT——支承结构刚度影响系数,柱承式可取1.0;筒承式非开洞方向可取1.0,开洞方向可取0.85;
δnn、δin——在质点n上的单位水平力作用下,分别在质点n和i处产生的水平位移,可根据仓下支承结构的刚度,采用结构力学方法计算。
9.2.18 钢筋混凝土筒承式群仓的基本自振周期可按下式计算:

式中:Tn——筒承式群仓沿筒仓组合方向的基本自振周期;
T1——单仓的基本自振周期;
β——开洞影响系数,群仓组合方向与开洞平行时可取1.2,相互垂直时可取1.0;
n——群仓组合数目,大于5时可取5;
H——筒仓高度;
D——筒仓外径。
9.2.19 圆形筒仓仓壁相连的群仓宜按空仓或满仓不利荷载组合对仓壁连接处进行地震扭转效应计算,并应满足相应的抗震构造措施要求。
9.2.20 钢筒仓与基础的锚固应进行抗震验算。
9.3 抗震构造措施
9.3 抗震构造措施
9.3.1 钢筋混凝土柱承式筒仓的支柱宜加设横梁,横梁的设置应符合下列规定:
1 横梁与柱的线刚度比不宜小于0.8;计算柱线刚度时,柱高应取基础顶面至仓底的距离。
2 在满足工艺要求的前提下,横梁顶面至仓壁底面的距离与柱全高之比不宜小于0.3,且不宜大于0.5。
3 横梁截面的高宽比不宜大于4.0。
9.3.2 钢筋混凝土柱承式筒仓支柱的轴压比限值,当混凝土强度等级不大于C50时,应符合表9.3.2的规定;当混凝土强度等级大于C50时,可适当提高。
表9.3.2 柱承式筒仓支柱轴压比限值

注:筒仓地下空间的柱轴压比可增加0.05。
9.3.3 钢筋混凝土柱承式筒仓支柱的纵向钢筋应采用对称配筋,其总配筋率应符合下列规定:
1 纵向钢筋最小总配筋率应按表9.3.3采用。
表9.3.3 柱承式筒仓支柱的纵向钢筋最小总配筋率(%)

2 纵向钢筋总配筋率不应大于2%。
9.3.4 钢筋混凝土柱承式筒仓支柱的箍筋应沿柱全高加密,并应符合下列规定:
1 箍筋间距不应大于100mm。
2 箍筋最小直径,6度时不应小于6mm,7度时不应小于8mm,8度、9度时不应小于10mm。
3 箍筋最小体积配筋率应按表9.3.4采用。
表9.3.4 柱承式筒仓支柱的箍筋最小体积配筋率(%)

9.3.5 钢筋混凝土柱承式筒仓横梁的纵向钢筋配置应符合下列规定:
1 横梁梁端截面混凝土受压区高度与有效高度之比,7度、8度时不应大于0.35,9度时不应大于0.25,纵向受拉钢筋的配筋率不宜大于2%。
2 横梁梁端截面的底面与顶面纵向钢筋配筋量的比值除应按计算确定外,7度和8度时不应小于0.3,9度时不应小于0.5。
3 横梁顶面和底面通长钢筋不应少于214,同时8度和9度时底面通长钢筋也不应少于梁端顶面纵向钢筋截面面积的1/4。
9.3.6 钢筋混凝土柱承式筒仓横梁的箍筋配置应符合下列规定:
1 横梁梁端箍筋加密区长度,6度~8度时不成小于梁高的1.5倍,9度时不应小于梁高的2倍,且均不应小于500mm。
2 加密区箍筋最大间距和最小直径应符合表9.3.6的要求。
表9.3.6 梁箍筋加密区的箍筋最大间距和最小直径(mm)

注:d为纵向钢筋直径,h为梁截面高度。
3 非加密区的箍筋配箍量不宜小于加密区的50%,同时8度、9度时的箍筋间距也不应大于纵向钢筋直径的10倍。
9.3.7 钢筋混凝土筒承式筒仓的支承筒壁应符合下列规定:
1 筒壁的厚度,6度和7度时不宜小于160mm,8度和9度时不宜小于180mm。
2 筒壁应采用双层双向配筋,竖向或环向钢筋的总配筋率均不宜小于0.4%;内、外层钢筋应设置拉筋,其直径不宜小于6mm;在6度和7度时间距不宜大于700mm,在8度和9度时间距不宜大于500mm。
3 筒壁的孔洞宜对称布置,每个孔洞的圆心角不宜大于70°;筒壁在同一水平截面内开洞的总圆心角,6度和7度时不应大于180°,8度和9度时分别不宜大于160°和140°。
4 洞口边长小于1m时,洞口每边的附加钢筋均不应少于216,且不应少于洞口切断钢筋截面面积的60%,洞口四角的斜向钢筋均不应少于216;洞口边长不小于1m时,洞口四周应设置加强框,加强框的每边配筋量不应少于洞口切断钢筋截面面积的60%,加强框的四角也应配置斜筋。
5 支承筒壁开洞宽度大于或等于3m时,应按筒壁实际应力分布进行配筋。洞口两侧设置壁柱时,其截面不宜小于400mm×600mm,柱的上端应伸入仓壁中,并应按柱的构造要求配置钢筋,总的配筋率不宜小于0.6%。
6 相邻洞口间筒壁的宽度不应小于壁厚的3倍,且不应小于500mm;当筒壁宽度为壁厚的3倍~5倍时,应按支承柱的规定配置钢筋,其配筋量应按计算确定,并应满足相应的抗震构造措施要求。
7 当仓底与仓壁非整体连接时,仓壁底部的水平钢筋应延续配置到仓底结构顶面以下的筒壁中,其延续配置的高度不应小于仓壁厚度的6倍。
9.3.8 砌体筒仓应符合下列规定:
1 仓壁和支承筒壁均应设置现浇钢筋混凝土圈梁和构造柱。沿仓壁高度,应按计算确定设置圈梁的间距,在仓壁部位圈梁间距不宜大于2m,在支承筒壁部位不宜大于3m,且应在仓顶、仓底各设一道圈梁;构造柱的间距不宜大于3.5m。
2 钢筋混凝土圈梁的截面宽度应与壁厚相同,高度不应小于180mm,纵向钢筋不宜少于412,箍筋间距不宜大于250mm;构造柱截面不应小于壁厚,纵向钢筋不宜少于414,箍筋间距不应大于200mm,柱的上、下端的箍筋宜适当加密,沿柱高每隔500mm应有不少于26的钢筋与仓壁或支承筒壁砌体拉结,每边伸入砌体的拉结长度不宜小于1m。
3 仓壁厚度应按计算确定,但不应小于240mm,支承筒壁厚度不应小于370mm;仓壁与支承筒壁厚度不等时,应保持内壁平直。仓外台阶处应采用水泥砂浆找坡。
4 仓壁和支承筒壁的洞口周边应设置钢筋混凝土加强框。
5 仓底环梁支承于支承筒壁时,筒壁应采用环形基础,软弱地基时宜采用钢筋混凝土筏基。
6 筒仓直径大于6m时,仓壁和支承筒壁均宜采用配筋砌体。
7 群仓中相邻筒体应有可靠连接,砌体应咬槎砌筑,搭接处的厚度不应小于仓壁厚度的2倍,并应在连接处配置钢筋。
9.3.9 6度区仓上建筑采用砌体结构时,应符合下列规定:
1 仓上建筑总高不应大于3.6m。
2 砌体厚度不宜小于190mm。
9.3.10 钢筒仓应符合下列规定:
1 钢筒仓采用钢支柱时,钢支柱间应设柱间支撑。当柱间支撑分上、下两段设置时,上、下支撑间应设置刚性水平系杆。
2 钢柱底板下部应设置与柱间支撑平面相垂直的抗剪键。地脚螺栓宜采用刚性锚板或锚梁锚固,埋置深度应按计算确定;地脚螺栓应采用双螺帽固定。
井 架
10.1 一般规定
10.1 一般规定
10.1.1 本章适用于矿山立井的钢筋混凝土井架和钢井架的抗震设计。
10.1.2 井架高度超过25m或多绳提升井架宜采用钢结构。
10.1.3 钢筋混凝土井架的抗震等级应按表10.1.3确定。
表10.1.3 钢筋混凝土井架的抗震等级

10.1.4 井架与贴建的建(构)筑物之间应设防震缝。防震缝最小宽度应符合表10.1.4的规定。
表10.1.4 井架防震缝最小宽度(mm)

10.1.5 支承天轮的井架立架宜支承在井颈上或井颈外侧的岩土上,不宜支承在井口梁上。
10.1.6 双斜撑钢井架的立架宜独立支承在井颈上。
10.2 计算要点
10.2 计算要点
10.2.1 井架应按本规范第5章多遇地震确定地震影响系数,并进行地震作用和作用效应计算。
10.2.2 井架应按平行于提升平面的纵向和垂直于提升平面的横向两个主轴方向分别进行水平地震作用计算。符合下列条件之一的井架,可不进行抗震验算,但应满足相应的抗震措施要求:
1 7度、8度时的四柱式钢筋混凝土井架的纵向水平地震作用。
2 7度时的六柱式钢筋混凝土井架的纵向水平地震作用。
3 7度时的钢井架。
10.2.3 钢筋混凝土井架的阻尼比可采用0.05;钢井架多遇地震下的阻尼比可采用0.03,罕遇地震下的阻尼比可取0.04。
10.2.4 井架的抗震计算宜按多质点空间杆系模型,采用振型分解反应谱法。四柱式钢筋混凝土井架可采用底部剪力法。立架与斜撑不连接的双斜撑钢井架,应对斜撑和立架分别进行抗震计算。9度时且高度大于60m的钢井架,宜采用时程分析法进行多遇地震下的补充计算,并应符合本规范第5.1.3条和第5.1.7条等的有关规定。
10.2.5 采用振型分解反应谱法时,钢筋混凝土井架应取不少于9个振型,钢井架应取不少于15个振型。
10.2.6 四柱式钢筋混凝土井架采用底部剪力法计算时,井架的基本自振周期可按下列公式计算:

式中:Ty——井架纵向基本自振周期(s);
Tx——井架横向基本自振周期(s);
H——井架高度,可取井颈顶面至天轮轴中心之间的垂直距离(m);
la——井架底部纵向两立柱的轴线间距(m);
lb——井架底部横向两立柱的轴线间距(m)。
10.2.7 地震作用计算时,井架的重力荷载代表值应按下列规定取值:
1 结构、天轮及其设备、扶梯、固定在井架上的各种刚性罐道等应采用自重标准值的100%。
2 各平台上的可变荷载的组合值系数,当按等效均布荷载计算时,应取0.5;当按实际情况计算时,应取1.0。
10.2.8 9度时,井架应计算竖向地震作用,并应与水平地震作用进行不利组合。
10.2.9 井架的竖向地震作用效应应按本规范第5.3.1条的规定计算。竖向地震作用效应应乘以增大系数2.5。
10.2.10 井架结构构件进行截面抗震验算时,地震作用标准值效应与其他荷载效应的基本组合应按下式计算:
S=γGSGEr+γlSlk+γEhSEhk+γEvSEvk+γwψwSwk (10.2.10)
式中:SGEr——重力荷载代表值效应,除包含本规范第10.2.7条的规定外,尚应包括钢丝绳罐道荷载、防坠钢丝绳荷载等悬吊物荷载;
Slk——提升工作荷载标准值效应;
γl——提升工作荷载分项系数,应采用1.3;
ψw——风荷载组合值系数,当井架总高度小于或等于60m时,应采用0;井架总高度大于60m时,应采用0.2。
10.2.11 钢筋混凝土井架的框架梁、柱在进行截面抗震验算时,组合内力应符合下列规定:
1 底层框架柱下端截面组合的弯矩设计值,一级、二级、三级时,应分别乘以1.5、1.25、1.15的增大系数。
2 柱轴压比大于或等于0.15时,中间各层框架的梁柱节点处上、下柱端截面组合的弯矩设计值,一级、二级、三级时应分别乘以1.4、1.2、1.1的增大系数。
3 框架梁端截面组合的剪力设计值应按下式调整:

式中:V——梁端截面组合的剪力设计值;
ln——梁的净跨;
VGb——梁在重力荷载代表值(9度时尚应包括竖向地震作用标准值)作用下,按简支梁分析的梁端截面组合的剪力设计值;
Mlb、Mrb——分别为梁左、右端截面反时针或顺时针方向组合的弯矩设计值;
ηvb——梁端剪力增大系数,一级、二级、三级时应分别取1.3、1.2、1.1。
4 框架柱端截面组合的剪力设计值应按下式调整:

式中:V——柱端截面组合的剪力设计值;
hn——柱的净高;
Mtc、Mbc——分别为柱上、下端截面反时针或顺时针方向组合的弯矩设计值,且应按本条第1款和第2款乘以增大系数;
ηvc——柱端剪力增大系数,一级、二级、三级时,应分别取1.4、1.2、1.1。
10.2.12 一级、二级的钢筋混凝土井架,框架梁柱节点核芯区应按本规范附录D进行截面抗震验算。
10.2.13 钢筋混凝土井架的角柱截面组合的弯矩设计值和剪力设计值,应按本规范第10.2.11条的规定调整后,尚应乘以不小于1.1的增大系数。
10.2.14 钢井架进行水平地震作用下的内力和变形分析时,应按本规范第3.5.3条的规定计入重力二阶效应的影响。
10.2.15 井架结构构件截面抗震验算除应按本规范第5.4.2条的规定执行外,尚应符合下列规定:
1 钢筋混凝土井架的承载力抗震调整系数,横梁应采用0.75,立柱当轴压比小于0.15时应采用0.75,当轴压比不小于0.15时应采用0.80。
2 钢井架立架的承载力抗震调整系数,立柱和横杆均应采用0.75,斜杆应采用0.80。
3 钢井架的斜撑采用桁架结构时,弦杆的承载力抗震调整系数应采用0.75,腹杆的承载力抗震调整系数应采用0.80。
4 钢井架的斜撑采用框架结构时,柱和梁的承载力抗震调整系数均应采用0.75。
10.2.16 斜撑式钢井架的斜撑采用框架结构时,应符合下列规定:
1 柱端截面组合的弯矩设计值,8度、9度时应分别乘以1.05和1.15的增大系数。
2 梁柱节点域应符合本规范第11.2.22条的要求。对一侧有梁的节点,公式中另一侧梁的弯矩设计值和全塑性受弯承载力均应取0。
10.2.17 钢井架斜撑和立架中的受压支撑斜杆均应按本规范第11.2.23条的规定计算其受压承载力。
10.3 钢筋混凝土井架的抗震构造措施
10.3 钢筋混凝土井架的抗震构造措施
10.3.1 井架的混凝土强度等级不应低于C30,9度时不应高于C60,8度时不应高于C70。
10.3.2 除天轮大梁及其支承框架梁外,井架框架梁的截面尺寸宜符合本规范第6.3.1条的规定。
10.3.3 井架框架梁的配筋应符合本规范第6.3.2条和第6.3.3条的规定。
10.3.4 井架柱的最小截面尺寸应符合表10.3.4的规定。
表10.3.4 井架柱最小截面尺寸(mm)

10.3.5 井架柱的截面尺寸尚宜符合下列规定:
1 节间净高与截面高度之比宜大于4。
2 截面长边与短边的边长比不宜大于3。
10.3.6 井架柱的轴压比宜符合本规范第6.3.6条的规定。
10.3.7 井架柱的配筋除应符合本规范第6.3节的有关规定外,尚应符合下列规定:
1 每一侧纵向钢筋的配筋率不应小于0.3%。
2 立架底层柱的箍筋加密区长度应取柱的全高。
10.3.8 天轮梁的支承横梁宜采用带斜撑的梁式结构。
10.4 钢井架的抗震构造措施
10.4 钢井架的抗震构造措施
10.4.1 钢井架的构件连接应采用焊接或高强度螺栓连接。
10.4.2 钢井架主要构件的长细比应符合下列规定:
1 斜撑柱、立架柱和天轮支承结构压杆的长细比,8度时不应大于120
,9度时不应大于100
;?y为钢材的屈服强度或屈服点。
2 斜撑和立架中受压腹杆的长细比不应大于150
。
3 斜撑及立架中受拉腹杆的长细比不应大于250
。
10.4.3 钢井架主要受力构件应符合下列规定:
1 天轮支承结构、托罐梁、防撞梁、立架柱、斜撑柱等构件,钢板最小厚度不应小于8mm。
2 型钢杆件应符合最小截面要求,角钢应为∟63×6,工字钢应为I14,槽钢应为[12.6,热轧H型钢高度应为150mm。
3 节点板厚度不应小于8mm。
10.4.4 斜撑基础的构造应符合下列规定:
1 地脚螺栓应采用有刚性锚板(或锚梁)的双螺帽螺栓。
2 地脚螺栓中心距基础边缘的距离不应小于螺栓直径的8倍,且不应小于150mm。
3 底板与基础顶面间的摩擦力小于地震剪力时,柱底板下应设置抗剪键。
10.4.5 8度、9度时,斜撑基础顶面以下沿锥面四周应配置竖向钢筋,其直径不应小于10mm,长度不应小于1.5m,其间距8度时不应大于150mm,9度时不应大于100mm。在基础顶面应配置不少于两层钢筋网,钢筋直径不应小于6mm,间距不应大于200mm。
井 塔
11.1 一般规定
11.1 一般规定
11.1.1 本章适用于矿山立井的钢筋混凝土井塔和钢井塔的抗震设计。
11.1.2 井塔的高度不宜超过表11.1.2的限值。
表11.1.2 井塔的高度(m)

注:1 井塔高度指室外地面到主要屋面板板顶的高度(不包括局部突出屋顶部分);
2 筒体包括筒体、筒-框架及筒中筒结构;
3 乙类和丙类井塔均可按本地区抗震设防烈度确定其最大高度。
11.1.3 井塔的平面和竖向布置应符合下列规定:
1 平面宜采用矩形、圆形、正多边形等规则、对称的形状。
2 采用固接于井筒上的井颈基础时,平面宜对称于井筒中心线。
3 竖向布置宜上、下一致;提升机大厅若采用悬挑结构,6度~8度时,悬挑长度不宜超过4m,并宜对称布置;9度时,不宜采用悬挑结构。
11.1.4 井塔的高宽比不宜超过表11.1.4的规定。
表11.1.4 井塔的高宽比

注:1 井塔高度指室外地面到主要屋面板板顶的高度(不包括局部突出屋顶部分);
2 筒体包括筒体、筒-框架及筒中筒结构;
3 乙类和丙类井塔均可按本地区抗震设防烈度确定最大高宽比。
11.1.5 井塔的结构布置应符合下列规定:
1 钢筋混凝土框架或钢框架应双向布置抗侧力结构,柱在底层不应中断。
2 钢筋混凝土筒体结构的筒壁应双向布置,且宜均匀;每侧筒壁上、下宜连续;底层筒壁有较大洞口时,洞口两侧应有一定宽度的筒壁延伸至基础,并应保证其具有足够的侧移刚度和受剪承载能力。
3 钢框架-支撑体系的支撑宜采用中心支撑,支撑应双向对称布置,竖向宜连续布置。
4 井塔的各层楼板宜采用现浇钢筋混凝土结构。钢井塔的楼盖可采用压型钢板现浇钢筋混凝土组合楼板或非组合楼板,其钢梁上翼缘表面应设置抗剪键。
11.1.6 钢筋混凝土井塔的抗震等级应按表11.1.6确定。
表11.1.6 钢筋混凝土井塔的抗震等级

11.1.7 钢筋混凝土筒体结构井塔在筒壁上开设的窗洞口宜均匀对称,并应上下对齐、成列布置。
11.1.8 井塔楼面开洞尺寸宜符合下列规定:
1 任一方向的开洞尺寸不宜大于该方向楼面宽度的1/2。
2 开洞总面积不宜超过该层楼面面积的30%。
3 开洞后在任一方向的楼面净宽度总和不宜小于5m。
4 开洞后每一边的楼面净宽度不宜小于2m。
11.1.9 井塔与贴建的建(构)筑物之间应设防震缝,防震缝宽度应按表11.1.9采用,且对钢筋混凝土井塔不应小于70mm,对钢井塔不应小于100mm。
表11.1.9 井塔防震缝宽度

注:h为贴建的建(构)筑物高度。
11.2 计算要点
11.2 计算要点
11.2.1 井塔应按本规范第5章多遇地震确定地震影响系数,并进行地震作用和作用效应计算。
11.2.2 符合下列条件之一的井塔可不进行抗震验算,但应满足相应的抗震措施要求:
1 7度Ⅰ、Ⅱ类场地且塔高不大于50m的钢筋混凝土筒体井塔。
2 7度Ⅰ、Ⅱ类场地的钢井塔。
11.2.3 钢筋混凝土井塔的阻尼比可采用0.05;钢井塔在多遇地震下的阻尼比可采用0.03,在罕遇地震下的阻尼比可采用0.04。
11.2.4 井塔应按两个主轴方向分别进行水平地震作用计算。
11.2.5 井塔的水平地震作用计算应采用振型分解反应谱法,计算模型应符合下列规定:
1 钢筋混凝土筒体井塔,当各层楼板符合本规范第11.1.8条各款规定时,可采用平面结构空间协同计算模型;其他条件下,宜采用空间杆-薄壁杆系或空间杆-墙板元计算模型;当采用平面结构空间协同计算模型时,各楼层可取两个正交的水平位移和一个转角共三个自由度,质心偏移值应按各楼层重力荷载的实际分布确定,但不应小于垂直于计算地震作用方向的井塔宽度的5%。
2 钢筋混凝土和钢框架结构井塔均宜采用空间杆系模型。
3 钢框架-支撑结构井塔应采用空间杆系计算模型。
11.2.6 9度时且高度大于60m的井塔宜采用时程分析法进行多遇地震下的补充计算。采用时程分析法时,应符合本规范第5.1.3条、第5.1.7条等的有关规定。
11.2.7 采用振型分解反应谱法时,钢筋混凝土井塔应取不少于9个振型,钢井塔应取不少于15个振型。
11.2.8 地震作用计算时,井塔的重力荷载代表值应按下列规定采用:
1 结构、放置在楼层上的各种设备、固定在井塔上的套架及各种刚性罐道等应采用自重标准值的100%。
2 楼面可变荷载组合值系数按实际情况计算时,应取1.0;按等效均布荷载计算时,应取0.5。
3 屋面雪荷载的组合值系数应取0.5。
4 矿仓贮料荷载的组合值系数应采用满仓贮料时的0.8。
11.2.9 9度时,井塔应计算竖向地震作用,并应与水平地震作用进行不利组合。
11.2.10 井塔的竖向地震作用效应应按本规范第5.3.1条的规定计算。竖向地震作用效应应乘以增大系数2.5。
11.2.11 井塔结构构件进行截面抗震验算时,地震作用效应与其他荷载效应的基本组合应符合本规范第10.2.10条的规定。
11.2.12 钢筋混凝土筒-框架结构井塔在水平地震作用下,绞车大厅以下任一层框架柱承受的总地震剪力不应小于井塔底层总地震剪力的20%与按筒-框架计算的框架部分最大层剪力的1.5倍二者的较小值。该层各柱的剪力和上、下两端弯矩,以及与该层柱相连接的框架梁两端弯矩和剪力,均应按同比例作相应调整。
11.2.13 钢框架-支撑结构井塔在水平地震作用下,绞车大厅以下任一层框架柱承受的总地震剪力不应小于井塔底层总地震剪力的25%与框架部分计算最大层剪力的1.8倍二者的较小值。该层各柱的剪力和上、下两端弯矩,以及与该层柱相连接的框架梁两端弯矩和剪力均应按同比例作相应调整。
11.2.14 钢筋混凝土井塔的框架梁(含跨高比大于2.5的筒壁连梁)、柱在进行截面抗震验算时,组合的内力应按本规范第10.2.11条的规定进行调整。
11.2.15 钢筋混凝土井塔中一级、二级、三级框架的角柱,按本规范第10.2.11条调整后的组合的弯矩设计值、剪力设计值,尚应乘以不小于1.10的增大系数。
11.2.16 钢筋混凝土井塔的框架为一级、二级时,梁、柱节点核芯区应按本规范附录D进行截面抗震验算。
11.2.17 钢筋混凝土筒体结构井塔的筒壁在进行截面抗震验算时,底层筒壁的截面组合的剪力设计值,一级、二级、三级时,应分别乘以1.6、1.4、1.2的增大系数。
11.2.18 钢筋混凝土井塔的梁(连梁)、柱、筒壁的截面组合的剪力设计值,应符合本规范第6.2.16条的规定。
11.2.19 钢井塔进行地震作用下的内力和变形分析时,应按本规范第3.5.3条的规定计入重力二阶效应的影响。
11.2.20 钢筋混凝土井塔筒壁的承载力抗震调整系数应按本规范表5.4.2中抗震墙的规定采用。
11.2.21 钢框架结构井塔柱端截面组合的弯矩设计值,8度、9度时,应分别乘以1.05和1.15的增大系数。当柱所在楼层的受剪承载力比上一层的受剪承载力高出25%,或柱轴力设计值与柱全截面面积和钢材抗拉强度设计值乘积的比值不超过0.4,或作为轴心受压构件在2倍地震作用下的组合轴力设计值满足稳定性要求时,可不予以调整。
11.2.22 钢框架结构井塔梁、柱节点域应符合下列规定:
1 节点域腹板厚度应符合下式要求:
tw≥(hb+hc)/90 (11.2.22-1)
式中:tw——柱在节点域的腹板厚度;
hb——节点域处梁腹板高度;
hc——节点域处柱腹板高度。
2 节点域的屈服承载力应符合下列要求:
(Mb1+Mb2)/Vp≤(4/3)?v/γRE (11.2.22-2)
工字形截面柱: Vp=hbhbtw (11.2.22-3)
箱形截面柱: Vp=1.8hbhbtw (11.2.22-4)
式中:Mb1、Mb2——分别为节点域两侧梁的弯矩设计值;
Vp——节点域的体积;
?v——钢材的抗剪强度设计值;
γRE——节点域承载力抗震调整系数,应取0.85。
3 7度~9度时,节点域的屈服承载力尚应符合下式要求:
ζ(Mpb1+Mpb2)/Vp≤(4/3)?v (11.2.22-5)
式中:Mpb1、Mpb2——分别为节点域两侧梁的全塑性受弯承载力;
ζ——折减系数,7度时可取0.6,8度、9度时可取0.7。
11.2.23 钢框架-支撑结构井塔支撑斜杆的受压承载力应按下列公式验算:

式中:N——支撑斜杆的轴力设计值;
Abr——支撑斜杆的截面面积;
φ——轴心受压构件的稳定系数;
ψ——受循环荷载时的强度降低系数;
λ、λn——支撑斜杆的长细比和正则化长细比(通用长细比);
E——支撑斜杆材料的弹性模量;
?——支撑斜杆材料的抗拉强度设计值;
?ay——钢材的屈服强度;
γRE——支撑承载力抗震调整系数,应取0.80。
11.2.24 井塔采用固接于井筒上的井颈基础,抗震计算时,宜计及井塔、井筒和土的相互作用。不按相互作用进行抗震计算且为Ⅳ类场地时,应将计算的水平地震作用标准值乘以1.4的增大系数。
11.3 钢筋混凝土井塔的抗震构造措施
11.3 钢筋混凝土井塔的抗震构造措施
11.3.1 钢筋混凝土框架和筒-框架结构井塔的框架部分抗震构造措施要求,应符合本规范第6.3节的有关规定。
11.3.2 钢筋混凝土筒体结构井塔的筒壁应符合下列规定:
1 筒壁厚度不应小于200mm;当各层筒壁厚度不相等时,相邻层筒壁厚度差不宜超过较小筒壁厚度的1/3。
2 筒壁应采用双层配筋,竖向钢筋直径不宜小于12mm,间距不应大于250mm;横向钢筋直径不宜小于8mm,间距不应大于250mm;竖向和横向钢筋直径不宜大于筒壁厚度的1/10;横向钢筋宜配置于竖向钢筋的外侧;双层钢筋之间的拉筋,间距不宜大于500mm,直径不应小于6mm;筒壁竖向和横向钢筋的配筋率均不应小于0.25%。
3 矩形平面井塔筒壁的四角相接处,在内侧应设置宽度不小于筒壁厚度,且不应小于250mm的八字角,也可设置角柱;八字角部位或角柱应按柱的要求配置纵向钢筋和箍筋,钢筋面积除应符合计算要求外,尚应符合本规范第6.4.7条的要求。
4 筒壁洞口高或宽均不大于800mm时,洞口每侧加强钢筋面积不应小于被洞口切断的钢筋面积的1/2,且不应少于2
14,钢筋的锚固长度不应小于laE,抗震等级为一级、二级时,laE应取1.15la,抗震等级为三级时,laE应取1.05la,且不应小于600mm。
5 筒壁洞口高或宽大于800mm时,洞口两侧应按本规范第6.4节的要求设置边缘构件,洞口上、下宜设连梁。
6 筒壁洞口宽度大于4m或大于该侧筒壁宽度的1/3时,洞口两侧应设置加强肋,加强肋应贯通全层;洞口上部应设置连梁;洞口不在井塔底部时,洞口下部也应设置连梁。加强肋应按框架柱的要求配置纵向钢筋和箍筋,钢筋面积除应符合计算要求外,尚应符合本规范第6.4节的要求;加强肋中的纵向钢筋上、下端应锚入楼层梁板或基础中,锚固长度不应小于laE,且不应小于600mm;锚固范围内均应配置加密箍筋。连梁应符合框架梁的配筋要求,其配筋应符合计算要求和构造要求,锚固长度不应小于laE,且不应小于600mm;连梁两侧应配置直径不小于10mm、间距不大于200mm的腰筋,筒壁的横向钢筋宜作为连梁的腰筋在连梁范围内连续配置。连梁纵向钢筋在锚固范围内应按加密区的要求配置箍筋。
11.3.3 井颈基础应符合下列规定:
1 混凝土强度等级不宜低于C25。
2 基础受压区的钢筋,直径不宜小于16mm,间距不应大于250mm;受拉钢筋连接宜采用焊接或机械连接。
3 井筒壁的竖向钢筋应与井颈基础的竖向钢筋焊接连接,同一连接区段内的钢筋接头面积百分率不应大于50%;连接区段长度应为1.4laE,且不应小于900mm;凡接头中点位于该连接区段长度范围内的焊接接头均应属于同一连接区段。
11.4 钢井塔的抗震构造措施
11.4 钢井塔的抗震构造措施
11.4.1 钢井塔构件之间的连接应采用焊接、高强度螺栓连接或栓焊混合连接。
11.4.2 钢井塔主要构件的长细比不宜大于表11.4.2的限值。
表11.4.2 钢井塔主要构件的长细比

双曲线冷却塔
12.1 一般规定
12.1 一般规定
12.1.1 本章适用于钢筋混凝土结构双曲线或其他形状的自然通风冷却塔的抗震设计。
12.1.2 冷却塔抗震设计应根据设防烈度、结构类型和淋水面积按表12.1.2确定其抗震等级,并应符合相应的抗震计算规定和抗震构造措施要求。
表12.1.2 冷却塔的抗震等级

注:S为冷却塔的淋水面积。
12.2 计算要点
12.2 计算要点
12.2.1 冷却塔应按本规范第5章多遇地震确定地震影响系数,并进行地震作用和作用效应计算。
12.2.2 冷却塔塔筒符合下列条件之一时,可不进行抗震验算,但应符合相应的抗震构造措施要求:
1 7度Ⅰ、Ⅱ、Ⅲ类场地或8度Ⅰ、Ⅱ类场地,且淋水面积小于4000m2。
2 7度Ⅰ、Ⅱ类场地或8度Ⅰ类场地,且淋水面积为4000m2~9000m2和基本风压大于0.35kN/m2。
12.2.3 8度、9度时,宜选择Ⅰ、Ⅱ类场地建塔;7度、8度时,天然地基承载力特征值不小于180kPa、土层平均剪变模量不小于45MPa的Ⅲ类场地,可不进行地基处理。
12.2.4 Ⅱ、Ⅲ类场地时,塔筒基础宜采用环板形基础或倒T形基础;Ⅰ类场地时,可采用独立基础。
12.2.5 塔筒的水平、竖向地震作用标准值效应应按下列公式确定:

式中:SEhk、SEvk——分别为水平、竖向地震作用标准值效应;
SEhi、SEhj、SEvi、SEvj——分别为第i振型与第j振型水平、竖向地震作用标准值效应;
ρhij、ρvij——分别为水平、竖向地震作用下第i与j振型的耦联系数。
12.2.6 塔筒按有限元法计算时,其抗震计算宜采用振型分解反应谱法;8度且淋水面积大于9000m2和9度且淋水面积大于7000m2的塔筒,宜同时采用时程分析法进行补充计算。采用时程分析法进行补充计算时,应符合本规范第5.1.3条的规定。其加速度时程曲线的最大值应按本规范表5.1.7选取,各振型阻尼比应与振型分解反应谱法一致。
12.2.7 塔筒的地震作用标准值效应和其他荷载效应的基本组合,应按下式计算:
S=γGSGE+γEhSEhk+γEvSEvk+γwψwSwk+γtψtStk (12.2.7)
式中:S——塔筒结构内力组合的设计值;
γG——重力荷载分项系数,对于结构由倾覆、滑移和受拉控制的工况应采用1.0,对受压控制的工况应采用1.2;
SGE——重力荷载代表值效应;
γEh、γEv——分别为水平、竖向地震作用分项系数,应按本规范表5.4.1水平地震作用为主的分项系数取值,水平向应取1.3,竖向应取0.5;
SEhk——水平地震作用标准值效应;
SEvk——竖向地震作用标准值效应;
Swk——计入风振系数的风荷载标准值效应;
Stk——计入徐变系数的温度作用标准值效应;
γw、γt——分别为风荷载、温度作用分项系数,风荷载应采用1.4,温度作用应采用1.0;
ψw、ψt——分别为风荷载、温度作用组合值系数,风荷载应采用0.25,温度作用应采用0.6。
12.2.8 塔筒的地震作用计算宜计及地基与上部结构的相互作用,计算时应采用土的动力参数。
12.2.9 塔筒地基基础应按本规范第4.2节的规定验算其抗震承载力,并应符合下列规定:
1 对于环板型和倒T型基础,基础底面与地基之间的零应力区的圆心角不应大于30°。
2 对于独立基础,基础底面不应出现零应力区。
12.2.10 7度Ⅰ、Ⅱ类场地或7度时地基承载力特征值大于160kPa的Ⅲ类场地,淋水装置可不进行抗震验算,但应符合相应的抗震措施要求。
12.2.11 淋水构架宜按平面框排架进行抗震计算,并应符合下列规定:
1 淋水构架的地震剪力应由水槽下的П形架承受。
2 支承于竖井上的梁或水槽,相对于竖井应可转动和水平移动。
3 当梁支承在筒壁牛腿上时,梁相对于筒壁牛腿应可转动和水平移动。
12.2.12 淋水装置的地震作用标准值效应和其他荷载效应的基本组合应仅包含重力荷载代表值效应、水平和竖向地震作用标准值效应。其中水平地震作用标准值效应应计入主水槽和竖井的地震动水压力。
12.3 抗震构造措施
12.3 抗震构造措施
12.3.1 塔筒筒壁在子午向和环向均应采用双层配筋,其配筋应按计算确定,但每层单向配筋率不应小于0.2%;双层钢筋间应设置拉筋,拉筋应交错布置,间距不应大于700mm,直径不应小于6mm。
12.3.2 筒壁子午向和环向受力钢筋接头的位置应相互错开。在任一搭接长度的区段内,有接头的受力钢筋截面面积与受力钢筋总截面面积之比,子午向不应大于1/3,环向不应大于1/4。
12.3.3 塔筒基础、斜支柱及环梁的纵向钢筋接头宜采用焊接或机械连接,接头连接区段的长度不应小于35d,且不应小于500mm;柱底部500mm范围内,不应设置钢筋接头。钢筋直径不小于22mm时,不应采用绑扎搭接接头。
12.3.4 塔筒受力钢筋绑扎搭接接头的搭接长度应按下式计算:
LLE=ζ1ζ2αd?y/?t (12.3.4)
式中:LLE——受力钢筋绑扎搭接接头的搭接长度;
ζ1——钢筋的抗震锚固长度修正系数,一级、二级时应取1.15,三级时应取1.05,四级时应取1.0;
ζ2——受力钢筋的搭接长度修正系数,子午向钢筋应取1.4,环向钢筋应取1.2;
α——钢筋的外形系数,光面钢筋应取0.16,带肋钢筋应取0.14;
d——钢筋的公称直径;
?y——钢筋的抗拉强度设计值;
?t——混凝土轴心抗拉强度设计值。
12.3.5 9度时,筒身与塔顶刚性环的连接处应采取加强措施。
12.3.6 在每对斜支柱组成的平面内,斜支柱的倾斜角不宜小于11°,环梁与斜支柱轴线的倾角宜相同。
12.3.7 斜支柱的截面宽度和高度均不宜小于300mm,圆形柱直径和多边形柱内切圆直径均不宜小于350mm;矩形截面,斜支柱的计算长度与截面短边长度之比应为12~20;圆形截面,其计算长度与圆形截面的直径之比宜为10~17,8度和9度时宜取取值范围中的较小值。斜支柱计算长度,径向宜按斜支柱长度乘以0.9采用,环向宜按斜支柱长度乘以0.7采用。
12.3.8 柱的轴压比不宜大于表12.3.8规定的限值。
表12.3.8 柱的轴压比

3 Ⅳ类场地的大型冷却塔,轴压比宜适当减小。
12.3.9 柱的纵向钢筋配置应符合下列规定:
1 柱的纵向钢筋最小总配筋率应按表12.3.9采用。
表12.3.9 柱的纵向钢筋最小总配筋率(%)

2 最大总配筋率不应大于5%。
3 矩形截面柱的纵向钢筋宜对称配置;截面尺寸大于400mm的柱,纵向钢筋间距不宜大于200mm。
12.3.10 斜支柱纵向钢筋伸入环梁的长度不应小于钢筋直径的60倍,伸入基础的长度不应小于钢筋直径的40倍。
12.3.11 柱的箍筋配置应符合下列规定:
1 柱两端1/6柱长、柱截面长边长度(圆柱直径)和500mm三者的较大值范围内,箍筋应加密配置。
2 箍筋加密区箍筋的体积配箍率应符合下式规定:

式中:ρv——箍筋加密区箍筋的体积配箍率;
?c——混凝土轴心抗压强度设计值,强度等级低于C35时,应按C35计算;
?yv——箍筋和拉筋抗拉强度设计值;
λv——最小配箍特征值,宜按表12.3.11-1采用。
表12.3.11-1 柱箍筋加密区箍筋的最小配箍特征值

注:中间值按内插法确定。
3 柱箍筋加密区箍筋的最小体积配箍率应按表12.3.11-2采用。
表12.3.11-2 柱箍筋加密区箍筋的最小体积配箍率(%)

4 加密区箍筋间距不应大于纵向钢筋直径的6倍或100mm;箍筋直径不宜小于8mm,但截面边长或直径小于400mm时,三级、四级可采用6mm。
5 非加密区的箍筋体积配箍率不宜小于加密区的50%,且箍筋间距不宜大于纵向钢筋直径的10倍。
6 斜支柱宜采用螺旋箍;采用复合箍和普通箍时,每隔一根纵向钢筋应在两个方向设置箍筋或拉筋约束。
12.3.12 淋水装置的平面、立面布置应符合下列规定:
1 平面、立面布置宜规则对称。
2 淋水面积不大于3500m2时,平面宜采用矩形或辐射形布置;大于3500m2时,可采用矩形,并宜采用正方形。
3 淋水装置采用悬吊结构且仅顶层有梁系时,梁系在柱顶宜正交布置。
4 8度和9度时,淋水装置的上、下梁系在柱子处宜正交布置,且应有可靠连接。
12.3.13 当淋水填料采用塑料材料并悬吊支承,且支柱与顶梁为单层铰接排架时,支承水槽的支架宜采用门形架;水槽与门形架应有可靠连接。
12.3.14 8度和9度时,淋水构架的梁和水槽不宜搁置在筒壁牛腿上;当有可靠的减振和防倒措施时,淋水构架梁可搁置在筒壁牛腿上。
12.3.15 搁置在筒壁和竖井牛腿上的梁和水槽宜采取下列抗震构造措施:
1 梁和水槽底部与牛腿接触处宜设置隔震层。
2 8度时,梁端宜贴缓冲层或在梁端与筒壁的空隙中填充缓冲层。
3 9度时,筒壁和竖井的牛腿在梁的两侧宜设置挡块,挡块与梁间宜设置缓冲层或在梁端两侧与牛腿之间设置柔性拉结装置。
12.3.16 7度、8度、9度时,淋水装置的梁、柱和水槽外缘与塔筒内壁间的防震缝,分别不应小于70mm、90mm、120mm。
12.3.17 塔筒基础及竖井与水池底板之间应设置沉降缝,进水沟、水池隔墙等跨越沉降缝的结构均应设置防震缝。穿越池壁的大直径进水管道宜采用柔性接口。
12.3.18 预制主水槽的接头应焊接牢靠;配水槽伸入主水槽的搁置长度不应小于70mm;8度和9度时,主、配水槽的接头处应采用焊接连接或其他防止拉脱措施。
12.3.19 8度和9度时,除水器、淋水填料、填料格栅均不得浮搁,除水器、填料与梁及填料格栅与梁之间应有可靠连接。
12.3.20 淋水构架柱的柱顶、柱根(或杯口顶面以上)500mm范围内,以及牛腿全高、牛腿顶面至构架梁顶面以上300mm区段范围内,箍筋均应加密,其间距不应大于100mm,加密区的箍筋最小直径应符合表12.3.20的规定。
表12.3.20 箍筋加密区的箍筋最小直径(mm)

12.3.21 淋水构架柱的牛腿除应进行配筋计算并符合抗震构造措施外,尚应符合下列规定:
1 承受水平拉力的锚筋,一级不应少于216;二级不应少于214;三级不应少于212。
2 牛腿受拉钢筋锚固长度应按计算确定。
3 牛腿水平箍筋最小直径不应小于8mm,最大间距不应大于100mm。
12.3.22 淋水构架梁的两端箍筋应加密,加密区长度不应小于梁高。加密区的箍筋,6度时最大间距不应大于150mm,直径不应小于6mm;7度~9度时最大间距不应大于100mm,直径不应小于8mm。
12.3.23 在梁的侧面承受竖向的集中荷载时,其梁内应增设附加横向钢筋(箍筋、吊筋),附加横向钢筋的总截面面积和布置范围应通过计算确定,并应符合抗震构造措施要求;其计算的附加横向钢筋的总截面面积应乘以增大系数,一级的增大系数应取1.25,二级应取1.15。
电 视 塔
13.1 一般规定
13.1 一般规定
13.1.1 本章适用于钢筋混凝土电视塔和钢电视塔的抗震设计。
13.1.2 电视塔体型及塔楼的布置应根据建筑造型、工艺要求和地震作用下结构受力的合理性综合分析确定。
13.1.3 9度时且高度超过300m的电视塔,其抗震设计应进行专门研究。
13.2 计算要点
13.2 计算要点
13.2.1 电视塔的抗震计算应符合下列规定:
1 电视塔应按本规范第5章多遇地震确定地震影响系数,并进行地震作用和作用效应计算。
2 结构安全等级为一级的电视塔,抗震设防类别应属于甲类。甲类电视塔除应采用时程分析法进行多遇地震计算外,尚应采用时程分析法进行罕遇地震下的弹塑性变形验算,其地震加速度时程曲线的最大值应按本规范表5.1.7采用。
3 结构安全等级为二级,高度为200m及以上带塔楼的钢筋混凝土电视塔或250m以上带塔楼的钢电视塔,尚应采用时程分析法进行罕遇地震下的弹塑性变形验算,其地震加速度时程曲线的最大值应按本规范表5.1.7采用。
13.2.2 符合下列条件之一的电视塔可不进行抗震验算,但应符合相应的抗震措施要求:
1 7度Ⅰ、Ⅱ、Ⅲ类场地及8度Ⅰ、Ⅱ类场地时,不带塔楼的钢电视塔。
2 7度Ⅰ、Ⅱ类场地,且基本风压不小于0.4kN/m2时,以及7度Ⅲ、Ⅳ类场地和8度Ⅰ、Ⅱ类场地,且基本风压不小于0.7kN/m2时不带塔楼的200m以下的钢筋混凝土电视塔。
13.2.3 电视塔结构的地震作用计算应符合下列规定:
1 钢筋混凝土单筒结构电视塔应分别计算两个主轴方向的水平地震作用。
2 钢筋混凝土多筒结构电视塔和钢电视塔,除应分别计算两个主轴方向的水平地震作用外,尚应分别计算两个正交的非主轴方向的水平地震作用。
3 8度和9度时,应同时计算水平地震作用和竖向地震作用。
4 结构安全等级为二级的钢筋混凝土电视塔,且不属于本节第13.2.2条第2款规定的范围内时,应进行罕遇地震下的弹塑性变形验算。
13.2.4 电视塔的竖向地震作用应按本规范第5.3.1条的规定进行计算,竖向地震作用标准值效应应乘以增大系数2.5。
13.2.5 钢筋混凝土电视塔可简化成多质点体系进行计算,质点的设置和塔身截面弯曲刚度的计算应符合下列规定:
1 沿高度每隔10m~20m宜设一质点,塔身截面突变处和质量集中处应设质点。
2 各质点的重力荷载代表值可按相邻上、下质点距离内的重力荷载代表值的1/2采用。
3 相邻质点间的塔身截面弯曲刚度可采用该区段的平均截面的弯曲刚度;计算塔身截面弯曲刚度时,可不计开孔和洞口加强肋等局部影响。
13.2.6 采用振型分解反应谱法进行水平地震作用标准值效应计算时,振型数目宜符合表13.2.6的规定。
表13.2.6 振型分解反应谱法计算时的最少振型数目

13.2.7 电视塔的阻尼比可按表13.2.7选取。
表13.2.7 电视塔的阻尼比

13.2.8 电视塔的截面抗震验算时,地震作用标准值效应和其他荷载效应的基本组合应符合本规范第5.4.1条的规定;结构构件的截面抗震验算应符合本规范第5.4.2条的规定,其中承载力抗震调整系数应按表13.2.8采用。
表13.2.8 承载力抗震调整系数

13.2.9 钢筋混凝土电视塔按多遇地震进行抗震计算时,塔身可视为弹性结构体系,其截面弯曲刚度可按下列公式确定:
钢筋混凝土: K=0.85EcI (13.2.9-1)
预应力混凝土: K=EcI (13.2.9-2)
式中:K——塔身截面弯曲刚度;
Ec——混凝土的弹性模量;
I——塔身截面的惯性矩。
13.2.10 高度超过250m或高度超过200m且带塔楼的电视塔,抗震计算时应计入重力二阶效应的影响。
13.2.11 电视塔在地震作用下的地基基础变形应符合现行国家标准《高耸结构设计规范》GB 50135的有关规定。电视塔基础底面以下存在液化土层时,应采取全部消除地基液化沉降的措施。
13.2.12 钢电视塔的轴心受压腹杆的稳定性应符合下列要求:

式中:N——腹杆的轴心压力设计值;
A——腹杆的毛截面面积;
φ——轴心受压构件的稳定系数,应按现行国家标准《钢结构设计规范》GB 50017的有关规定采用;
?——钢材的抗压强度设计值;
βt——折减系数,6度和7度时,其值小于0.8时,可取0.8;
λ——受压腹杆的长细比;
?y——钢材的屈服强度;
E——钢材的弹性模量。
13.3 抗震构造措施
13.3 抗震构造措施
13.3.1 钢电视塔的钢材除应符合本规范第3.7节的规定外,尚应根据结构最低工作温度确定其质量等级要求;对无缝钢管除可采用的Q345钢外,尚可采用20号钢。
13.3.2 钢构件的容许长细比不应超过表13.3.2的规定。
表13.3.2 钢构件的容许长细比

13.3.3 钢电视塔的受力构件及其连接件,不宜采用厚度小于6mm的钢板、截面小于50×5的角钢、直径小于12mm的圆钢以及壁厚小于4mm的钢管。
13.3.4 钢电视塔塔体横截面边数大于3时,应设置横隔。当横截面边数为3,但横杆中间有斜腹杆连接交汇点时,也应设置横隔。横隔的设置应符合下列规定:
1 在承受荷载和工艺需要处,应设置横隔。
2 塔身坡度改变处,应设置横隔。
3 塔身坡度不变的塔段,6度~8度时,每隔2个~3个节间应设置一道横隔;9度时,每隔1个~2个节间应设置一道横隔;斜腹杆按柔性设计的电视塔,每节间均应设置横隔。
13.3.5 钢电视塔构件端部的连接焊缝应采用围焊焊接,围焊的转角处应连续施焊。
13.3.6 钢电视塔采用螺栓连接时,每一杆件在节点上或拼接接头每一端的螺栓数目不应少于2个;对组合构件的缀条,其端部连接可采用一个螺栓;法兰盘的连接螺栓数目不应少于3个;螺栓直径不应小于12mm。预应力柔性拉杆两端采用抗剪销轴连接时,可用一个销轴,但对销轴应进行超声波探伤检验,其内部缺陷不得超过一级焊缝的评定等级为Ⅰ级、检验等级为C级的规定。
13.3.7 圆钢或钢管与法兰盘焊接连接并设置加劲肋时,其肋板厚度不应小于肋长的1/15,且不应小于6mm。
13.3.8 钢筋混凝土电视塔,筒体混凝土强度等级不应低于C30,水灰比不宜大于0.45,基础混凝土强度等级不应低于C20;普通钢筋宜按本规范第3.7.3条的规定选用;预应力钢筋宜采用钢绞线、刻痕钢丝和热处理钢筋。
13.3.9 钢筋混凝土电视塔的横隔设置应符合下列规定:
1 在使用和工艺需要处应设置横隔。
2 塔身坡度改变处应设置横隔。
3 塔身坡度不变或缓变的塔段,每隔10m~20m宜设置一道横隔。
4 横隔梁与塔身的连接宜采用铰接。
13.3.10 钢筋混凝土塔身的轴压比,6度时不应大于0.8,7度时不应大于0.7,8度和9度时不应大于0.6。
13.3.11 钢筋混凝土塔身筒壁的最小厚度可按下式计算,且不应小于160mm:
tmin=100+10D (13.3.11)
式中:tmin——塔身筒壁的最小厚度(mm);
D——塔筒外直径(m)。
13.3.12 钢筋混凝土塔筒外表面沿高度的坡度宜连续变化,亦可分段采用不同坡度,塔筒壁厚宜沿高度均匀变化,亦可分段阶梯形变化。
13.3.13 钢筋混凝土塔身筒壁上的孔洞应规则布置;同一截面上开多个孔洞时,应沿圆周均匀分布,其圆心角总和不应超过90°,单个孔洞的圆心角不应大于40°。
13.3.14 钢筋混凝土塔身筒壁应配置双排纵向钢筋和双层环向钢筋,其最小配筋率应符合表13.3.14的规定。
表13.3.14 钢筋混凝土塔身筒壁的最小配筋率(%)

13.3.15 钢筋混凝土塔身筒壁钢筋的最小直径和最大间距应符合表13.3.15的规定。
表13.3.15 筒壁钢筋的最小直径和最大间距(mm)

13.3.16 钢筋混凝土塔身筒壁的内、外层环向钢筋应分别与内、外排纵向钢筋绑扎成钢筋网,环向钢筋应围箍在纵向钢筋的外面。内、外钢筋网之间的拉筋,直径不应小于6mm,纵、横间距均不应大于500mm,且应交错布置并与纵向钢筋牢固连接。
13.3.17 钢筋混凝土塔身筒壁的环向钢筋接头应采用焊接连接;纵向钢筋直径大于18mm时,宜采用对接焊接或机械连接。
13.3.18 钢筋混凝土塔身筒壁的纵向或环向钢筋的混凝土保护层厚度均不应小于30mm。
13.3.19 钢筋混凝土塔身筒壁的孔洞周围应配置附加钢筋,并宜靠近洞口边缘布置;附加钢筋面积可采用同方向被孔洞切断钢筋面积的1.3倍。矩形孔洞的四角处应配置45°方向的斜向钢筋;每处斜向钢筋的面积应按筒壁厚度每100mm采用250mm2,且不应少于2根钢筋。附加钢筋和斜向钢筋伸过孔洞边缘的长度均不应小于钢筋直径的45倍。
13.3.20 电视塔上部截面刚度突变处应在构造上予以加强,并宜采取减缓刚度突变的构造措施。
石油化工塔型设备基础
14.1 一般规定
14.1 一般规定
14.1.1 本章适用于石油化工塔型设备基础(包括支承塔型设备的上部结构及其基础)的抗震设计。
14.1.2 塔基础可选用圆筒式、圆柱式、环形框架式、方形框架式、板式框架式的独立结构或联合结构。
14.1.3 现浇钢筋混凝土框架式塔基础结构的抗震等级应按本规范表6.1.2框架结构规定的抗震等级提高一级采用,但最高应为一级。
14.2 计算要点
14.2 计算要点
14.2.1 塔基础应按本规范第5章多遇地震确定地震影响系数,并进行地震作用和作用效应计算。
14.2.2 塔基础的抗震计算宜采用振型分解反应谱法,且可仅取结构的前三个振型,可不进行扭转耦联计算。对于基础底板顶面到设备顶面的总高度不超过65m,且质量和刚度沿高度分布比较均匀的塔型设备,可采用底部剪力法进行抗震计算。
14.2.3 塔型设备的阻尼比可取0.035。
14.2.4 8度和9度时,塔基础应计算竖向地震作用,但可仅计及塔型设备重力荷载代表值产生的塔基础或框架顶部的竖向地震作用效应。竖向地震作用标准值应按本规范第5.3.1条的规定计算,其竖向地震作用效应应乘以增大系数2.5。塔型设备的等效总重力荷载应取正常操作状态下的重力荷载代表值。
14.2.5 6度时,塔基础可不进行地震作用计算,但应符合相应的抗震措施要求,7度时,Ⅰ、Ⅱ类场地的圆筒(柱)式塔基础可不进行结构构件截面的抗震验算,但应符合抗震构造措施要求。
14.2.6 7度、8度、9度时,楼层屈服强度系数小于0.5的钢筋混凝土框架式塔基础,应按本规范第5.5.2条和第5.5.4条的规定进行罕遇地震作用下薄弱层的弹塑性变形验算。
14.2.7 天然地基基础抗震验算时,应符合本规范第4.2节的规定。塔基础底面零应力区的面积不应大于基础底面面积的15%。
14.2.8 塔型设备的基本自振周期可按下列公式计算:
1 圆筒(柱)式塔基础,塔的壁厚不大于30mm时,可按下列公式计算:

式中:T1——塔型设备的基本自振周期(s);
h——基础底板顶面至设备顶面的总高度(m);
D0——塔型设备外径,对变直径塔,可采用按各段高度和外径计算的加权平均外径(m)。
2 框架式塔基础,塔的壁厚不大于30mm时,可按下式计算:

3 当数个塔由联合平台连成一排时,垂直于排列方向的各塔的基本自振周期可采用基本自振周期最大的塔(主塔)的周期值。平行于排列方向的各塔基本自振周期可采用主塔的基本自振周期乘以折减系数0.9。
14.2.9 地震作用计算时塔型设备的基本自振周期尚应按下列规定进行调整:
1 按本规范式(14.2.8-1)~式(14.2.8-3)计算时,计算值应乘以震时周期加长系数1.15。
2 采用其他公式计算时,计算的基本自振周期应乘以震时周期加长系数1.05。
14.3 抗震构造措施
14.3 抗震构造措施
14.3.1 圆筒(柱)及框架梁、板、柱的混凝土强度等级均不应低于C30;当框架结构抗震等级为一级时,不应低于C35。
14.3.2 塔基础的埋置深度不宜小于1.5m。
14.3.3 圆筒(柱)式塔基础上固定塔型设备的地脚螺栓,其锚固长度不应小于表14.3.3的规定。
表14.3.3 塔型设备的地脚螺栓锚固长度

注:d为地脚螺栓直径。
14.3.4 圆筒(柱)式塔基础的地脚螺栓周围受力钢筋的箍筋间距不宜大于100mm。
14.3.5 圆筒式塔基础的筒壁厚度不应小于塔的裙座底环板宽度,且不应小于300mm。
14.3.6 圆筒式塔基础的筒壁应配置双层钢筋,圆柱式塔基础的圆柱可只配置一层钢筋;纵向钢筋的间距不应大于200mm。圆筒或圆柱高度小于2m时,纵向钢筋直径不应小于10mm;高度不小于2m时,纵向钢筋直径不应小于12mm。
14.3.7 基础底板受力钢筋直径不应小于10mm,间距不应大于200mm;构造钢筋直径不应小于8mm,间距不应大于250mm。
14.3.8 框架式塔基础采用每柱独立基础时,一级、二级框架应设置基础连梁;方形框架应在纵、横两个方向设置基础连梁,环形框架应沿环向设置。
14.3.9 框架式塔基础的框架抗震构造措施应符合本规范第6.3节的规定。
焦炉基础
15.1 一般规定
15.1 一般规定
15.1.1 本章适用于炭化室高度不大于6m的大、中型焦炉的钢筋混凝土构架式基础的抗震设计。
15.1.2 8度Ⅲ、Ⅳ类场地和9度时,焦炉基础横向构架边柱的上、下端节点可采用铰接或固接,中间柱的上、下端节点应采用固接。
15.2 计算要点
15.2 计算要点
15.2.1 焦炉基础应按本规范第5章多遇地震确定地震影响系数,并进行水平地震作用和作用效应计算。
15.2.2 焦炉基础横向水平地震作用计算应符合下列规定:
1 焦炉基础可简化为单质点体系,横向总水平地震作用标准值可按本规范第5.2.1条的规定计算,其结构类型指数和基本振型指数均可按剪切型结构选用。
2 焦炉基础的重力荷载代表值应按下列规定采用:
1)基础顶板以上的焦炉砌体、护炉铁件、炉门和物料、装煤车和集气系统等焦炉炉体,应取其自重标准值的100%;
2)基础构架应取顶板和梁自重标准值的100%、柱自重标准值的25%。
3 焦炉基础横向总水平地震作用的作用点可取焦炉炉体的重心处。
4 焦炉基础的横向基本自振周期可按下式计算:

式中:T1——焦炉基础的横向基本自振周期;
G——总重力荷载代表值;
δx——作用于焦炉炉体重心处的单位水平力在该处产生的横向水平位移,可按本规范附录H的规定计算。
15.2.3 焦炉基础的纵向水平地震作用计算符合下列规定:
1 焦炉基础的纵向计算简图(图15.2.3)可按下列规定确定:
1)焦炉炉体与基础构架可视为单质点体系;
2)前后抵抗墙可视为无质量悬臂弹性杆;
3)纵向钢拉条可视为无质量弹性杆;
4)支承在基础构架上的炉体与抵抗墙间可用刚性链杆连接,但杆端部与炉体间为零宽度缝隙,链杆仅能传递压力。
2 焦炉基础的纵向总水平地震作用标准值可按本规范第5.2.1条的规定计算,其重力荷载代表值除应按本规范第15.2.2条的规定取值外,尚应包括前抵抗墙自重标准值的1/2。
3 焦炉基础纵向总水平地震作用的作用点可取在焦炉炉体的重心处。
4 焦炉基础的纵向基本自振周期可按本规范式(15.2.2)计算,作用于炉体重心处单位水平力在该处产生的纵向水平位移可按本规范附录H的规定计算。
5 焦炉炉体与抵抗墙之间应计入温度作用的影响。
6 基础构架的纵向水平地震作用标准值应按下式计算:
Fg=ηgFEk (15.2.3-1)
式中:Fg——基础构架的纵向水平地震作用标准值;
ηg——构架纵向位移系数,应按本规范附录H确定;
FEk——焦炉基础的纵向总水平地震作用标准值。
7 前抵抗墙在斜烟道水平梁中线处的水平地震作用标准值应按下式计算:
F1=η1FEk (15.2.3-2)
式中:F1——前抵抗墙在斜烟道水平梁中线处的水平地震作用标准值;
η1——前抵抗墙在斜烟道水平梁中线处的位移系数,应按本规范附录H确定。
8 抵抗墙在炉顶水平梁处的水平地震作用标准值应按下式计算:
F2=η2FEk (15.2.3-3)
式中:F2——抵抗墙在炉顶水平梁中线处的水平地震作用标准值;
η2——抵抗墙在炉顶水平梁处的位移系数,应按本规范附录H确定。
15.2.4 基础构架和抵抗墙的地震作用标准值效应和其他荷载效应的基本组合以及结构构件的截面抗震验算应按本规范第5.4节的规定执行。
15.3 抗震构造措施
15.3 抗震构造措施
15.3.1 基础构架应符合本规范第6.3节有关框架的抗震构造措施规定,6度和7度时应按框架三级采用,8度和9度时应按框架二级采用,且均应符合下列规定:
1 现浇构架柱铰接端的插筋,直径不应小于20mm,锚固长度不应小于钢筋直径的35倍。
2 预制构架柱铰接节点,柱边与杯口内壁之间的距离不应小于30mm,并应浇灌沥青玛脂等软质材料,不得填塞水泥砂浆等硬质材料。
3 构架柱的铰接端应设置承受局部受压的焊接钢筋网,且不应少于4片;钢筋网的钢筋直径不应小于8mm,网孔尺寸不宜大于80mm×80mm。
15.3.2 焦炉基础与相邻结构间,沿纵向和横向的防震缝宽度均不应小于50mm。
运输机通廊
16.1 一般规定
16.1 一般规定
16.1.1 本章适用于一般结构形式运输机通廊的抗震设计。
16.1.2 通廊廊身结构应符合下列规定:
1 地上通廊宜采用露天或半露天结构;当有围护结构时,围护结构应采用轻质板材或轻质填充墙。
2 地上通廊顶板宜采用轻型构件,底板应根据跨间承重结构的形式选择,可采用现浇钢筋混凝土板、横向布置的预制钢筋混凝土板、压型钢板现浇钢筋混凝土组合板或钢楼板。
3 地下通廊宜采用现浇钢筋混凝土结构。
16.1.3 通廊的跨间承重结构可采用钢筋混凝土结构或钢结构。
1 跨间承重结构跨度为15m~18m时,可采用预应力混凝土梁、预应力混凝土桁架、钢梁或钢桁架。
2 跨度大于18m时,宜采用钢梁或钢桁架。
16.1.4 通廊的支承结构应符合下列规定:
1 应采用钢筋混凝土结构或钢结构。
2 采用钢筋混凝土结构时,宜采用无外伸挑梁的框架结构。
3 除6度且跨度不大于6m的露天通廊外,不应采用T形或其他横向稳定性差的支承结构。
4 支承结构的横向侧移刚度沿通廊纵向宜均匀变化。
5 同一通廊的支承结构宜采用相同材料,不同材料的支承结构之间应设置防震缝。
6 通廊支承结构纵向侧移刚度较弱时,应采用四柱式框架或设置纵向柱间支撑。
16.1.5 通廊的端部与相邻建(构)筑物之间,7度时宜设防震缝;8度和9度时,应设防震缝。
16.1.6 通廊防震缝的设置应符合下列规定:
1 钢筋混凝土支承结构通廊,两端与建(构)筑物脱开或一端脱开、另一端支承在建(构)筑物上且为滑(滚)动支座时,其与建(构)筑物之间的防震缝最小宽度,当邻接处通廊屋面高度不大于15m时,可采用70mm;当高度大于15m时,6度~9度相应每增加高度5m、4m、3m、2m,防震缝宜再加宽20mm。
钢支承结构的通廊,防震缝最小宽度可采用钢筋混凝土支承结构通廊的防震缝最小宽度的1.5倍。
2 一端落地的通廊,落地端与建(构)筑物之间的防震缝最小宽度不应小于50mm;另一端防震缝最小宽度不宜小于本条第1款规定宽度的1/2加20mm。
3 通廊中部设置防震缝时,防震缝的两侧均应设置支承结构,防震缝宽度可按本条第1款的规定采用。
4 当地下通廊设置防震缝时,宜设置在地下通廊转折处或变截面处,以及地下通廊与地上通廊或建(构)筑物的连接处;地下通廊的防震缝宽度不应小于50mm。
5 地下通廊与地上通廊之间的防震缝宜在地下通廊底板高出地面不小于500mm处设置。
6 有防水要求的地下通廊,在防震缝处应采用变形能力良好的止水构造措施。
16.1.7 支承结构采用钢结构时,其廊身结构也宜采用钢结构。
16.2 计算要点
16.2 计算要点
16.2.1 通廊结构应按本规范第5章多遇地震确定地震影响系数,并进行水平地震作用和作用效应计算。钢支承结构通廊应计入重力二阶效应的影响。
16.2.2 6度时通廊支承结构可不进行抗震验算,但应符合相应的抗震构造措施要求。
16.2.3 通廊廊身结构的抗震验算应符合下列规定:
1 廊身结构可不进行水平地震作用的抗震验算,但均应符合相应的抗震构造措施要求。
2 跨度不大于24m的跨间承重结构可不进行竖向地震作用的抗震验算;跨度大于24m的跨间承重结构,8度和9度时,应进行竖向地震作用的抗震验算。
3 竖向地震作用应由廊身结构、支承结构及其连接件承受。
16.2.4 地下通廊可不进行抗震验算,但应符合相应的抗震措施要求。
16.2.5 通廊水平地震作用的计算单元可取相应的防震缝间的区段。
16.2.6 通廊的水平地震作用计算宜采用下列方法:
1 大型通廊宜采用符合通廊实际受力情况的空间模型进行计算。
2 通廊的横向水平地震作用宜按本规范附录J的规定进行计算。
3 较小的通廊可采用符合结构受力特点的其他简化方法计算。
16.2.7 通廊计算单元的纵向水平地震作用可采用单质点体系计算。
1 通廊纵向基本自振周期可按下列公式计算:

式中:T1——通廊纵向基本自振周期;
ma——通廊的总质量;
Ka——通廊纵向的总侧移刚度;
mi——第i支承结构的质量;
l——廊身水平投影长度;
mL——廊身单位水平投影长度的质量;
Kai——第i支承结构的纵向侧移刚度。
2 通廊的纵向水平地震作用标准值应按下列公式计算:

式中:FEk——通廊的纵向水平地震作用标准值;
α1——相应于结构基本自振周期的水平地震影响系数,应按本规范第5.1节的规定确定;
GE——通廊的等效总重力荷载。
3 通廊各支承结构的纵向水平地震作用标准值应按下式计算:

式中:FEi——第i支承结构的纵向水平地震作用标准值。
16.2.8 通廊跨间承重结构的竖向地震作用应按本规范第5.3.2条的规定计算。
16.2.9 通廊端部采用滑(滚)动支座支承于建(构)筑物时,通廊对建(构)筑物的影响可按下列规定计算:
1 通廊在建(构)筑物支承处产生的横向水平地震作用标准值可按下式计算:
Fbk=0.373αmaxψbl1GL (16.2.9-1)
式中:Fbk——通廊在建(构)筑物支承处产生的横向水平地震作用标准值;
GL——廊身水平投影单位长度的等效重力荷载代表值;
l1——通廊端跨的跨度;
ψb——通廊端跨影响系数,可按表16.2.9采用。
表16.2.9 通廊端跨影响系数

注:中间值可按线性内插法确定。
2 通廊在建(构)筑物支承处产生的纵向水平地震作用标准值可按下式计算:

式中:Fck——通廊在建(构)筑物支承处产生的纵向水平地震作用标准值;
μf——滑(滚)动支座的摩擦系数。
16.2.10 钢筋混凝土框架支承结构可不进行节点核芯区的截面抗震验算,节点处梁柱端截面组合的弯矩设计值、剪力设计值及柱下端截面组合的弯矩设计值均可不进行调整。
16.2.11 钢支承结构可采用格构式,也可采用框架式。当采用带平腹杆和交叉斜腹杆的格构式结构时,交叉斜腹杆可按拉杆计算,并应计及相交受压杆卸载效应的影响。不得采用单面偏心连接;交叉斜腹杆有一杆中断时,交叉节点板应予以加强,其承载力不应小于杆件塑性承载力的1.1倍。
平腹杆与框架柱之间应采用焊接或摩擦型高强度螺栓连接。腹杆与框架柱的连接强度不应小于腹杆承载力的1.2倍。
16.3 抗震构造措施
16.3 抗震构造措施
16.3.1 采用钢筋混凝土框架支承结构时,应符合下列规定:
1 按本规范第6.1节的规定确定框架抗震等级时,框架高度应按通廊同一防震缝区段内最高支承框架的高度确定。通廊跨度大于24m时,抗震等级应提高一级。
2 抗震构造措施应符合本规范第6.3节的有关规定。
3 支承结构牛腿(柱肩)的箍筋直径,一级、二级不应小于8mm,三级、四级不应小于6mm;箍筋间距均不应大于100mm。
16.3.2 采用钢支承结构时,其杆件的长细比不应大于表16.3.2的规定。
表16.3.2 支承结构杆件容许长细比

16.3.3 钢框架支承结构的柱梁板件宽厚比限值应符合下列规定:
1 6度、7度且结构受力由非地震作用效应组合控制时,板件宽厚比限值应按现行国家标准《钢结构设计规范》GB 50017有关弹性设计的规定采用。
2 8度、9度时,以及6度、7度且结构受力由地震作用效应组合控制时,板件宽厚比限值除应符合现行国家标准《钢结构设计规范》GB 50017有关弹性设计的规定外,尚应符合表16.3.3的规定。
表16.3.3 支承结构的柱、梁板件宽厚比限值

16.3.4 通廊的跨间承重结构采用钢梁(桁架)时,应与支承结构牢固连接。钢支承结构的顶部横梁、肩梁与框架柱应采用全焊透焊接连接。
16.3.5 钢支承结构与基础的连接应牢固可靠,可采用埋入式、插入式或外包式柱脚。6度、7度时,也可采用外露式刚接柱脚。柱脚设计应符合下列规定:
1 采用埋入式、插入式柱脚时,钢柱的埋入深度不得小于单肢截面高度(或外径)的3倍。
2 采用外包式柱脚时,实腹H形截面柱的钢筋混凝土外包高度不宜小于钢柱截面高度的2.5倍;箱形截面柱或圆管柱的钢筋混凝土外包高度不宜小于钢柱截面高度或圆管外径的3.0倍。
3 采用外露式柱脚时,地脚螺栓不得承受地震剪力,柱底地震剪力应由底板与基础间的摩擦力或抗剪键承担。预埋式地脚螺栓应设置弯勾或锚板,其埋置深度不应小于式(16.3.5)的要求,且当采用Q235钢材时,其埋置深度不得小于20d;当采用Q345钢材时,不得小于25d:
16.3.6 通廊跨间承重结构采用钢筋混凝土梁时,宜将梁上翻;梁的两端箍筋应加密,加密区长度不应小于梁高;加密区箍筋最大间距、最小直径应按表16.3.6采用;梁的端部预埋钢板厚度不应小于16mm,且应加强锚固。跨间承重结构采用钢筋混凝土桁架时,宜采用下承式结构,其端部应加强连接,并应在横向形成闭合框架。
表16.3.6 加密区箍筋最大间距和最小直径(mm)

16.3.7 建(构)筑物上支承通廊的横梁及支承结构的肩梁应符合下列规定:
1 横梁、肩梁与通廊大梁连接处应设置支座钢垫板,其厚度不宜小于16mm。
2 7度~9度时,钢筋混凝土肩梁支承面的预埋件应设置垂直于通廊纵向的抗剪钢板,抗剪钢板应设有加劲板。
3 通廊大梁与肩梁间宜采用螺栓连接。
4 钢筋混凝土横梁、肩梁应采用矩形截面,不得在横梁上伸出短柱作为通廊大梁的支座。
16.3.8 当通廊跨间承重结构支承在建(构)筑物上时,宜采用滑(滚)动等支座形式,并应采取防止落梁的措施。
16.3.9 通廊的围护结构应按其结构类型采取相应的抗震构造措施。
管道支架
17.1 一般规定
17.1 一般规定
17.1.1 本章适用于架空管道独立式和管廊式支架的抗震设计。
17.1.2 支架应采用钢筋混凝土结构或钢结构。
17.1.3 钢筋混凝土固定支架宜采用现浇结构,活动支架可采用装配式结构,但梁和柱宜整体预制。
17.1.4 直径较大的管道或输送易燃、易爆、剧毒、高温、高压介质的管道,其固定支架宜采用四柱式钢筋混凝土结构或钢结构。
17.1.5 8度和9度时,支架应符合下列规定:
1 活动支架宜采用刚性支架,不宜采用半铰接支架。
2 输送易燃、易爆、剧毒、高温、高压介质的管道,不应将管道作为支架跨越结构的受力构件。
17.1.6 钢筋混凝土固定支架和输送易燃、易爆、剧毒介质的钢筋混凝土支架,应符合本规范第6章有关框架抗震等级三级的要求,其他支架应符合本规范第6章有关框架抗震等级四级的要求。
17.1.7 支架的抗震设防类别应根据支架的重要性和地震破坏时可能产生的次生灾害确定,并不宜低于丙类。
17.2 计算要点
17.2 计算要点
17.2.1 支架应按本规范第5章多遇地震确定地震影响系数,并进行水平地震作用和作用效应计算。
17.2.2 管道纵向可滑动的刚性活动支架,在管道滑动的方向可不进行抗震验算,但应满足相应的抗震构造措施要求。8度、9度时,柔性活动支架应进行抗震验算。
17.2.3 管道支架的计算单元(图17.2.3-1、图17.2.3-2)应符合下列规定:
1 独立式支架的纵向计算单元长度应采用主要管道补偿器中至中的距离,横向计算单元长度应采用支架相邻两跨中至中的距离。
2 管廊式支架的纵向计算单元长度应采用结构变形缝之间的距离,横向计算单元长度应采用支架相邻两跨中至中的距离。

17.2.4 敷设有单层或多层管道的支架结构,均可按单质点体系计算。水平地震作用点的位置可按下列规定采用:
1 对独立式支架,采用上滑式管托的支架,可取在管道外径的最低点;管托与梁顶埋件焊接的固定支架,可取在管道的中心处;其他形式的支架,均可取在支承管道的横梁顶面。
2 对管廊式支架,可取在支座的支承面处。
17.2.5 支架的重力荷载代表值应按下列规定采用:
1 永久荷载应符合下列规定:
1)管道(包括内衬、保温层和管道附件)和操作平台应采用自重标准值的100%;
2)管道内介质应采用自重标准值的100%;
3)支架应采用自重标准值的25%;
4)管廊式支架上的水平构件、电缆架和电缆应采用自重标准值的100%。
2 可变荷载应符合下列规定:
1)对冷管道,应采用冰、雪荷载标准值的50%;对热管道或冷、热管间隔敷设的多管共架管道,不计入冰、雪荷载;
2)积灰荷载应采用荷载标准值的50%;
3)走道活荷载应采用荷载标准值的50%。
17.2.6 支架纵向或横向计算单元的基本自振周期可按下列公式计算:

式中:T——支架纵向或横向计算单元的基本自振周期;
GE——纵向或横向计算单元的重力荷载代表值;
K——纵向或横向计算单元支架的侧移刚度;
Ki——纵向计算单元内第i个支架的纵向侧移刚度,对半铰接支架,可按柱截面高度的1/2计算;
m——纵向计算单元内的支架数目;
KH——横向计算单元支架的横向侧移刚度。
17.2.7 支承二层及二层以上管道的支架,其重力荷载代表值应按下式确定:

式中:GE——多层管道的重力荷载代表值;
GEn——顶层管道的重力荷载代表值;
GEi——第i层管道的重力荷载代表值;
Hn——顶层管道的高度;
Hi——第i层管道的高度;
n——管道层数。
17.2.8 刚性活动支架上管道的滑动系数可按下式计算:

式中:ζ——刚性活动支架上管道的滑动系数;
αE——计算单元在管道滑动前的水平地震影响系数;
Kd——刚性活动支架在管道滑动前的总侧移刚度;
GD——作用于纵向计算单元活动支架上的总重力荷载代表值;
KD——计算单元支架在管道滑动前的总侧移刚度;
μ——管道和支架间的滑动摩擦系数。
17.2.9 当滑动系数不小于0.5,且管道和支架间的滑动摩擦系数为0.3时,单柱或双柱活动支架在管道滑动后的纵向等效侧移刚度可按下式确定:

式中:Ke——单柱或双柱活动支架在管道滑动后的纵向等效侧移刚度,不应大于管道滑动前的支架侧移刚度;
Gd——作用于刚性活动支架上的重力荷载代表值;
H——支架高度。
17.2.10 纵向计算单元支架的总水平地震作用标准值应按下式计算:
FEk=αGE (17.2.10)
式中:FEk——纵向计算单元支架的总水平地震作用标准值;
α——纵向计算单元支架的水平地震影响系数。
17.2.11 纵向计算单元各支架的纵向水平地震作用标准值应按下列公式计算:

式中:FEki——第i支架的纵向水平地震作用标准值;
λi——第i支架的侧移刚度与计算单元支架的总侧移刚度之比,可滑动的活动支架不应计入。
17.2.12 横向计算单元支架的水平地震作用标准值,应按下式计算:
FEkh=αhGE (17.2.12)
式中:FEkh——横向计算单元支架的水平地震作用标准值;
αh——横向计算单元支架的水平地震影响系数。
17.2.13 8度和9度时,支承大直径管道的长悬臂和跨度大于24m管廊式支架的桁架,应按本规范第5.3.2条的规定进行竖向地震作用计算。
17.2.14 进行地震作用标准值效应与其他荷载效应的基本组合的计算时,管道温度作用分项系数应采用1.4,其组合值系数单管时应采用0.7,多管时应采用0.55。
17.2 计算要点
17.2 计算要点
17.2.1 支架应按本规范第5章多遇地震确定地震影响系数,并进行水平地震作用和作用效应计算。
17.2.2 管道纵向可滑动的刚性活动支架,在管道滑动的方向可不进行抗震验算,但应满足相应的抗震构造措施要求。8度、9度时,柔性活动支架应进行抗震验算。
17.2.3 管道支架的计算单元(图17.2.3-1、图17.2.3-2)应符合下列规定:
1 独立式支架的纵向计算单元长度应采用主要管道补偿器中至中的距离,横向计算单元长度应采用支架相邻两跨中至中的距离。
2 管廊式支架的纵向计算单元长度应采用结构变形缝之间的距离,横向计算单元长度应采用支架相邻两跨中至中的距离。

17.2.4 敷设有单层或多层管道的支架结构,均可按单质点体系计算。水平地震作用点的位置可按下列规定采用:
1 对独立式支架,采用上滑式管托的支架,可取在管道外径的最低点;管托与梁顶埋件焊接的固定支架,可取在管道的中心处;其他形式的支架,均可取在支承管道的横梁顶面。
2 对管廊式支架,可取在支座的支承面处。
17.2.5 支架的重力荷载代表值应按下列规定采用:
1 永久荷载应符合下列规定:
1)管道(包括内衬、保温层和管道附件)和操作平台应采用自重标准值的100%;
2)管道内介质应采用自重标准值的100%;
3)支架应采用自重标准值的25%;
4)管廊式支架上的水平构件、电缆架和电缆应采用自重标准值的100%。
2 可变荷载应符合下列规定:
1)对冷管道,应采用冰、雪荷载标准值的50%;对热管道或冷、热管间隔敷设的多管共架管道,不计入冰、雪荷载;
2)积灰荷载应采用荷载标准值的50%;
3)走道活荷载应采用荷载标准值的50%。
17.2.6 支架纵向或横向计算单元的基本自振周期可按下列公式计算:

式中:T——支架纵向或横向计算单元的基本自振周期;
GE——纵向或横向计算单元的重力荷载代表值;
K——纵向或横向计算单元支架的侧移刚度;
Ki——纵向计算单元内第i个支架的纵向侧移刚度,对半铰接支架,可按柱截面高度的1/2计算;
m——纵向计算单元内的支架数目;
KH——横向计算单元支架的横向侧移刚度。
17.2.7 支承二层及二层以上管道的支架,其重力荷载代表值应按下式确定:

式中:GE——多层管道的重力荷载代表值;
GEn——顶层管道的重力荷载代表值;
GEi——第i层管道的重力荷载代表值;
Hn——顶层管道的高度;
Hi——第i层管道的高度;
n——管道层数。
17.2.8 刚性活动支架上管道的滑动系数可按下式计算:

式中:ζ——刚性活动支架上管道的滑动系数;
αE——计算单元在管道滑动前的水平地震影响系数;
Kd——刚性活动支架在管道滑动前的总侧移刚度;
GD——作用于纵向计算单元活动支架上的总重力荷载代表值;
KD——计算单元支架在管道滑动前的总侧移刚度;
μ——管道和支架间的滑动摩擦系数。
17.2.9 当滑动系数不小于0.5,且管道和支架间的滑动摩擦系数为0.3时,单柱或双柱活动支架在管道滑动后的纵向等效侧移刚度可按下式确定:

式中:Ke——单柱或双柱活动支架在管道滑动后的纵向等效侧移刚度,不应大于管道滑动前的支架侧移刚度;
Gd——作用于刚性活动支架上的重力荷载代表值;
H——支架高度。
17.2.10 纵向计算单元支架的总水平地震作用标准值应按下式计算:
FEk=αGE (17.2.10)
式中:FEk——纵向计算单元支架的总水平地震作用标准值;
α——纵向计算单元支架的水平地震影响系数。
17.2.11 纵向计算单元各支架的纵向水平地震作用标准值应按下列公式计算:

式中:FEki——第i支架的纵向水平地震作用标准值;
λi——第i支架的侧移刚度与计算单元支架的总侧移刚度之比,可滑动的活动支架不应计入。
17.2.12 横向计算单元支架的水平地震作用标准值,应按下式计算:
FEkh=αhGE (17.2.12)
式中:FEkh——横向计算单元支架的水平地震作用标准值;
αh——横向计算单元支架的水平地震影响系数。
17.2.13 8度和9度时,支承大直径管道的长悬臂和跨度大于24m管廊式支架的桁架,应按本规范第5.3.2条的规定进行竖向地震作用计算。
17.2.14 进行地震作用标准值效应与其他荷载效应的基本组合的计算时,管道温度作用分项系数应采用1.4,其组合值系数单管时应采用0.7,多管时应采用0.55。
17.3 抗震构造措施
17.3 抗震构造措施
17.3.1 钢筋混凝土支架除本节的规定外,尚应符合本规范第6.3节有关框架的抗震构造措施要求。
17.3.2 钢筋混凝土支架的混凝土强度等级不应低于C25。
17.3.3 钢筋混凝土支架柱的最小截面尺寸不宜小于250mm,支架梁的最小截面尺寸不宜小于200mm。
17.3.4 钢支架柱的长细比应符合表17.3.4-1的要求;钢支架板件的宽厚比限值除应符合现行国家标准《钢结构设计规范》GB 50017中有关弹性阶段设计的规定外,尚应符合表17.3.4-2的要求。钢筋混凝土支架柱计算长度与截面最小宽度比,7度~9度时,固定支架不应大于25,活动支架不应大于35。
表17.3.4-1 钢支架柱的长细比限值

17.3.5 敷设于支架顶层横梁上的外侧管道应采取防止管道滑落的措施,采用下滑式或滚动式管托的支架应采取防止管托滑落于梁侧的措施。
17.3.6 支架埋件的锚筋应按计算确定,下列支架埋件的锚筋不宜少于412,锚固长度应符合受拉钢筋的抗震锚固要求,且不应小于30d:
1 固定支架和设有柱间支撑的支架。
2 8度和9度时的支架。
3 梁、柱铰接处的埋件。
17.3.7 支架悬臂横梁上如敷设管道,其悬臂长度不宜大于1500mm。
17.3.8 管廊式支架在直线段的适当部位应设置柱间支撑和水平支撑;8度和9度时,在有柱间支撑的基础之间宜设置连系梁。
17.3.9 半铰接支架柱在管道纵向的构造配筋,海边不应少于216;柱脚横梁全长和柱根部不小于500mm高度范围内的箍筋,直径不应小于8mm,间距不应大于100mm。
17.3.10 钢筋混凝土支架的箍筋应符合下列规定:
1 双柱式支架,自柱顶至最下一层横梁底以下不小于500mm和柱底至地面以上不小于500mm范围内,箍筋直径不应小于8mm,间距不应大于100mm。
2 柱间支撑与柱连接处上、下各不小于500mm范围内,应按间距不大于100mm加密箍筋。
17.3.11 钢支架的梁柱连接宜采用柱贯通型。
17.3.12 四柱式钢结构固定支架,对直径较大的管道,8度和9度时,在直接支承管道的横梁平面内,应设置与四柱相连的水平支撑;当支架较高时,尚应在支架高度中部的适当部位增设水平支撑。
17.3.13 8度和9度时,钢结构单柱固定支架的柱脚应采用刚接柱脚。
浓 缩 池
18.1 一般规定
18.1 一般规定
18.1.1 本章适用于半地下式、地面式和架空式钢筋混凝土浓缩池的抗震设计。
18.1.2 浓缩池宜采用半地下式和地面式。
18.1.3 浓缩池不应设置在地质条件相差较大的不均匀地基上。
18.1.4 浓缩池需设置顶盖和围护墙时,顶盖和围护墙宜采用轻型结构;当池的直径较大时,宜采用独立的结构体系。
18.1.5 架空式浓缩池的支承框架柱宜沿径向单环或多环布置,柱截面宜采用正方形。
18.1.6 单排或多排浓缩池纵横排列时,相邻浓缩池应脱开布置,池壁脱开间距不应小于100mm;单排或多排浓缩池上设有走道板相连时,相邻浓缩池上的走道板应采用简支连接。
18.1.7 架空式浓缩池的支承框架,其抗震计算和抗震构造措施要求除应符合本章的有关规定外,尚应符合本规范第6章的有关规定。支承框架的抗震等级应按本规范表6.1.2中高度小于或等于24m的框架规定采用。
18.2 计算要点
18.2 计算要点
18.2.1 浓缩池应按本规范第5章的多遇地震确定地震影响系数,并进行水平地震作用和作用效应计算。
18.2.2 浓缩池符合下列条件之一时,可不进行抗震验算,但应符合相应的抗震措施要求:
1 7度时的地面式浓缩池。
2 7度和8度时的半地下式浓缩池。
18.2.3 浓缩池进行抗震验算时,应验算下列部位:
1 落地式浓缩池的池壁。
2 架空式浓缩池的池壁、支承框架和中心柱。
18.2.4 池壁的地震作用计算应计入结构等效重力荷载产生的水平地震作用和动液压力作用,半地下式浓缩池尚应计入动土压力作用。
18.2.5 池壁单位宽度等效重力荷载产生的水平地震作用标准值及其效应可按下列公式计算(图18.2.5):

图18.2.5 池壁顶端水平地震作用及其效应
FGk(θ)=η1αmaxGeqcosθ (18.2.5-1)
MG(θ)=hFGk(θ) (18.2.5-2)
式中:FGk(θ)——作用于单位宽度池壁顶端的水平地震作用标准值;
θ——池壁计算截面与地震方向的夹角;
η1——池型调整系数,半地下式可采用0.7,其他形式可采用1.4;
Geq——池壁单位宽度的等效重力荷载,可采用单位宽度池壁自重标准值的1/2、溢流槽和走道板的自重标准值三者之和;
MG(θ)——等效重力荷载产生的池壁底端单位宽度的地震弯矩;
h——池壁高度。
18.2.6 池壁单位宽度的动液压力标准值及其效应可按下列公式计算(图18.2.6):

图18.2.6 池壁动液压力及其效应

式中:Fwk(θ)——池壁单位宽度的动液压力标准值;
η2——动液压力的池型调整系数,半地下式浓缩池可采用1.06,其他形式可采用1.32;
γ0——储液的重度;
Mw(θ)——动液压力产生的池壁底端单位宽度的弯矩。
18.2.7 池壁单位宽度的动土压力标准值及其效应可按下列公式计算(图18.2.7):

式中:Fsk(θ)——池壁单位宽度的动土压力标准值;
γs——土的重度;
λ——土的动侧压系数;
hd——池壁埋置深度;
Ms(θ)——动土压力产生的池壁底端单位宽度的弯矩;
ηλ——土的动侧压调整系数,8度时可采用0.123,9度时可采用0.304;
φ——土的内摩擦角。

图18.2.7 池壁动土压力及其效应
18.2.8 水平地震作用下,浓缩池池壁的环向拉力标准值可按下列公式计算:
NRi,k(θ)=rcosθ∑σik (18.2.8-1)
∑σik=σGi,k+σwi,k+σsi,k (18.2.8-2)
σGi,k=η1αmaxgw (18.2.8-3)
σwi,k=η2αmaxγ0h (18.2.8-4)
σsi,k=λγshd (18.2.8-5)
式中:NRi,k(θ)——沿池壁高度的计算截面i处,池壁单位宽度的环向拉力标准值;
r——计算截面i处浓缩池的计算半径;
σik——计算截面i处池壁水平地震作用强度(包括自重压力强度、动水压力强度、动土压力强度)标准值;
σGi,k——计算截面i处池壁自重压力强度标准值;
gw——池壁沿高度的单位面积重度;
σwi,k——计算截面i处池壁动水压力强度标准值;
σsi,k——计算截面i处池壁土压力强度标准值。
18.2.9 架空式浓缩池支承结构的水平地震作用可按单质点体系采用底部剪力法计算。支承结构的总水平地震作用标准值应采用等效总重力荷载产生的水平地震作用标准值与总液体荷载产生的水平地震作用标准值之和。等效总重力荷载应采用池壁、池底和设备等自重标准值以及支承结构自重标准的1/2之和。等效总重力荷载水平地震作用标准值和总液体荷载水平地震作用标准值的作用点可分别取在池体和贮液的质心处。
18.2.10 架空式浓缩池支承结构的水平地震作用可按中心柱和支承框架的侧移刚度比例进行分配;支承框架承受的水平地震作用之和小于总水平地震作用标准值的30%时,应按30%采用。
18.2.11 浓缩池进行截面抗震验算时,水平地震作用标准值效应和其他荷载效应的基本组合除应符合本规范第5.4.1条的规定外,尚应符合下列规定:
1 半地下式浓缩池应计算满池和空池两种工况,地面式和架空式浓缩池应仅计算满池工况。
2 池壁截面抗震验算时,静液压力的作用效应应参与组合;对于半地下式浓缩池,动土压力作用效应尚应参与组合。
3 作用效应组合时的分项系数,静液压力和主动土压力均应采用1.2,动液压力和动土压力均应采用1.3。
18.3 抗震构造措施
18.3 抗震构造措施
18.3.1 池壁厚度不宜小于150mm。池壁混凝土强度等级不应低于C25,混凝土设计抗渗等级不应小于0.6MPa。
18.3.2 池壁钢筋最小总配筋率和中心柱纵向钢筋最小总配筋率应符合表18.3.2-1规定。中心柱的箍筋配置应按表18.3.2-2采用。

18.3.3 架空式浓缩池框架柱轴压比限值,柱全部纵向受力钢筋最小配筋率,柱箍筋加密区体积配箍率以及柱的抗震构造措施均应符合本规范第6.3节的规定。圆弧梁等应符合弯扭构件的构造要求。
18.3.4 池壁环向钢筋搭接接头面积百分率不宜大于25%。其钢筋绑扎搭接长度应根据位于同一连接区段内的钢筋搭接接头面积百分率按下式计算:
llE=ζllaE (18.3.4)
式中:llE——纵向受拉钢筋的搭接长度;
laE——纵向受拉钢筋的锚固长度,应按现行国家标准《混凝土结构设计规范》GB 50010的有关规定确定;
ζl——纵向受拉钢筋搭接长度修正系数,应按表18.3.4采用。
表18.3.4 纵向受拉钢筋搭接长度修正系数

注:中间值可采用线性插入法计算。
18.3.5 池壁顶部和溢流槽底板与池壁的连接处,8度和9度时,均宜分别增设不少于214和216的环向加强钢筋。
18.3.6 浓缩池底部通廊接缝处应按防震缝要求并设置柔性止水带,缝宽不宜小于50mm。
18.3.7 无中心柱的架空式浓缩池底板中部设有漏斗口时,漏斗口周边应设置环梁,环梁宽度不宜小于300mm。
常压立式圆筒形储罐基础
19.1 一般规定
19.1 一般规定
19.1.1 本章适用于常压立式钢制圆筒形储罐基础的抗震设计。
19.1.2 储罐基础可选用护坡式、外环墙式、环墙式基础或桩基基础;Ⅲ类、Ⅳ类场地时,宜采用钢筋混凝土环墙式基础。
19.2 计算要点
19.2 计算要点
19.2.1 储罐基础的抗震计算应按本规范第5章的多遇地震确定地震影响系数,并进行水平地震作用和作用效应计算。
19.2.2 储罐结构的阻尼比可取0.04。
19.2.3 不设置地脚螺栓的非桩基储罐基础可不进行抗震验算,但应符合相应的抗震措施要求。
19.2.4 储罐的罐-液耦联振动基本自振周期应按下式计算:

式中:Tc——储罐与储液耦联振动基本自振周期;
t0——罐壁距底板1/3高度处的名义厚度;
Hw——储罐设计最高液位;
ζ——耦联振动周期系数,应根据D/Hw值按表19.2.4采用,中间值可采用线性插入法计算;
D——储罐内直径。
表19.2.4 耦联振动周期系数

19.2.5 储罐的总水平地震作用标准值应按下列公式计算:
FEk=αηmeqg (19.2.5-1)
meq=mLΨw (19.2.5-2)
式中:FEk——储罐的总水平地震作用标准值;
η——罐体影响系数,可采用1.1;
meq——储液等效质量;
mL——罐内储液总质量;
Ψw——动液系数,应根据D/Hw值按表19.2.5采用,中间值可采用线性插入法计算。
表19.2.5 动液系数

19.2.6 设置地脚螺栓的环墙式基础或桩基基础,其总水平地震作用在罐基础顶部产生的力矩应按下式计算:
M1=0.45FEkHw (19.2.6)
式中:M1——总水平地震作用在罐基础顶部产生的力矩标准值。
19.3 抗震构造措施
19.3 抗震构造措施
19.3.1 浮顶罐选用护坡式或外环墙式基础时,应在罐壁下部设置一道钢筋混凝土构造环梁。
19.3.2 环墙式基础的埋深不应小于0.6m。
19.3.3 钢筋混凝土环墙宽度不应小于0.25m。罐壁至环墙外缘的距离不应小于0.10m。
19.3.4 钢筋混凝土环墙不宜开缺口。当必须留施工缺口时,环向钢筋应错开截断。罐体安装结束后,应采用强度等级比环墙高一级的微膨胀混凝土及时将缺口封堵密实,钢筋接头应采用焊接连接。
19.3.5 钢筋混凝土环墙的配筋应符合下列规定:
1 竖向钢筋的最小配筋率,每侧均不应小于0.2%,钢筋直径不宜小于12mm,间距不应大于200mm。
2 对于公称容量不小于10000m3或建在软弱土、不均匀地基上的储罐,环墙顶部和底部均应各增加两圈附加环向钢筋,其直径不应小于环向受力钢筋直径,竖向钢筋在环墙的上、下端均应采用封闭式。
3 环向钢筋的接头应采用机械连接或焊接连接。
球形储罐基础
20.1 一般规定
20.1 一般规定
20.1.1 本章适用于由钢构架支承的钢制球形储罐基础的抗震设计。
20.1.2 球罐构架的基础宜采用钢筋混凝土圆环形基础或加连系梁的独立基础。
20.2 计算要点
20.2 计算要点
20.2.1 球罐基础的抗震计算应按本规范第5章的多遇地震确定地震影响系数,并进行水平地震作用和作用效应计算。
20.2.2 球罐结构的阻尼比可取0.035。
20.2.3 球罐结构的基本自振周期(图20.2.3-1)可按下列公式计算:

式中:T——球罐结构的基本自振周期;
K——球罐构架的侧移刚度;
K1——球罐构架的弯曲刚度;
K2——球罐构架的剪变刚度;
n——支柱根数;
Es——支柱的常温弹性模量;
Ac——支柱的截面面积;
DB——支柱中心圆直径;
Ds——球罐的内直径;
Hc——支柱底板底面至球罐中心的高度;
L——相邻两支柱间的距离;
Ic——单根支柱截面的惯性矩;
H1——支柱的有效高度;
Lw——支柱与球壳之间(一侧)焊缝垂直投影长度的1/2;
dc——支柱外径;
θ——拉杆的仰角;
H2——支柱底板底面至拉杆与支柱中心线交点处的距离;
AB——拉杆的截面面积;
meq——球罐在操作状态下的等效质量;
m1——球壳质量;
m2——储液的有效质量;
m3——支柱和拉杆质量;
m4——球罐其他附件的质量,包括各开口、喷淋装置、梯子和平台等;
m5——球罐保温层质量;
mL——球罐储液质量;
φ——储液的有效质量率系数,可根据球罐内液体的充满度按图20.2.3-2查取。

图20.2.3-1 球罐结构
20.2.4 球罐结构的总水平地震作用标准值应按下式计算:
FEk=αmepg (20.2.4)
式中:FEk——球罐结构的总水平地震作用标准值。
20.2.5 球罐基础结构构件的截面抗震验算应符合本规范第5.4节的规定,风荷载组合值系数应取0.2。
20.3 抗震构造措施
20.3 抗震构造措施
20.3.1 球罐基础的埋置深度不宜小于1.5m。
20.3.2 基础底板边缘厚度不应小于0.25m。
20.3.3 基础环梁主筋直径不宜小于12mm;箍筋直径不宜小于8mm,间距不应大于200mm;底板钢筋直径不应小于10mm,间距不应大于200mm。
卧式设备基础
21.1 一般规定
21.1 一般规定
21.1.1 本章适用于卧式容器(含卧式圆筒形储罐)和卧式冷换类设备基础的抗震设计。
21.1.2 卧式冷换类设备基础宜采用钢筋混凝土支墩式或支架式基础。
21.1.3 卧式设备基础的形式宜符合下列规定:
1 设计地面至基础顶面的高度不大于1.5m时,宜采用钢筋混凝土支墩式基础。
2 设计地面至基础顶面的高度大于1.5m,且容器内径不大于2m时,宜采用钢筋混凝土T形支架式基础;容器内径大于2m时,宜采用钢筋混凝土П形或H形支架式基础。
21.2 计算要点
21.2 计算要点
21.2.1 卧式设备基础的抗震计算应按本规范第5章的多遇地震确定地震影响系数,并进行水平地震作用和作用效应计算。
21.2.2 卧式冷换类设备基础可不进行地震作用计算,但应满足相应的抗震措施要求。
21.2.3 卧式容器基础的水平地震作用标准值应按下式计算:
FEk=αmax(Gαk+0.5Gjk) (21.2.3)
式中:FEk——卧式容器基础的水平地震作用标准值;
Gαk——正常操作状态下的容器和介质重力荷载标准值;
Gjk——基础底板顶面以上构件自重标准值。
21.3 抗震构造措施
21.3 抗震构造措施
21.3.1 基础的埋置深度不宜小于1.0m。
21.3.2 支墩式基础的支墩竖向钢筋,直径不宜小于12mm,间距不应大于200mm;横向钢筋应采用封闭式箍筋,其直径不应小于8mm,间距不应大于200mm。
21.3.3 支架式基础的梁、柱抗震构造措施尚应符合本规范第6.3节的有关规定。
高炉系统结构
22.1 一般规定
22.1 一般规定
22.1.1 本章适用于有效容积为1000m3~5000m3的高炉系统结构的抗震设计。
22.1.2 高炉系统结构应包括高炉、热风炉、除尘器和洗涤塔等结构和构件。
22.1.3 高炉系统结构的地震作用计算应按本规范第5章的多遇地震确定地震影响系数,并进行地震作用和作用效应计算。
22.2 高 炉
22.2 高 炉
22.2.1 高炉应设炉体框架。在炉顶处,炉体框架与炉体间应设有水平连接构件。
22.2.2 高炉的导出管应设置膨胀器,上升管与下降管的连接宜采用球形节点。
22.2.3 8度Ⅲ、Ⅳ类场地及9度时,高炉结构应进行抗震验算,并应符合相应的抗震措施要求;6度、7度及8度Ⅰ、Ⅱ类场地时,高炉结构可不进行抗震验算,但应满足相应的抗震措施要求。
22.2.4 高炉结构构件的截面抗震验算,必须验算下列部位:
1 上升管的支座、支座顶面处的上升管截面和支承支座的炉顶平台梁。
2 上升管与下降管采用球形节点连接时,上升管和下降管与球形节点连接处以及下降管根部。
3 炉体框架和炉顶框架的柱、主梁、主要支撑及柱脚的连接。
4 炉体框架与炉体顶部的水平连接。
22.2.5 除下降管外,高炉结构可仅计算水平地震作用,并应沿平行和垂直于炉顶吊车梁以及沿下降管三个方向分别进行抗震计算。8度和9度时,跨度大于24m的下降管除应计算水平地震作用外,尚应计算其竖向地震作用。
22.2.6 高炉结构应按正常生产工况进行抗震计算;必要时,尚应按大修工况进行抗震验算。
22.2.7 高炉结构的计算简图应符合下列规定:
1 高炉结构应采用空间结构模型,应整体计算高炉炉体、粗煤气管、除尘器、炉体框架、炉顶框架的组合体。
2 计算高炉炉体、粗煤气管、除尘器或球形节点的侧移刚度时,可仅计及钢壳的侧移刚度,且可不计钢壳上开洞的影响。
3 上升管在炉顶平台上的支座可视为固接连接。
4 通过铰接单片支架或滚动支座支承于炉顶框架上的通廊,可不计及与高炉的共同工作,但应计入通廊传给高炉框架的重力荷载。
5 热风主管、热风围管和其他外部管道对高炉的牵连作用可不计入,但应按本规范第22.2.8条和第22.2.9条的规定计入高炉承受的管道重力荷载。
6 对大修工况,应按炉顶框架部分杆件被拆除后的结构计算简图进行抗震验算。
22.2.8 高炉结构抗震计算时,质点设置和重力荷载计算应符合下列规定;
1 炉顶设备的重力荷载应按实际情况折算到炉顶框架和炉顶处,炉体设备的重力荷载应沿高度分布在钢壳上。
2 粗煤气管的拐折点处或球形节点处宜设质点,其中下降管区段宜增设2个~4个质点。
3 框架的每个节点处宜设质点。构件的变截面处和节点之间有较大集中重力荷载时,均宜设质点。
22.2.9 水平地震作用计算时,高炉的重力荷载代表值应符合下列规定:
1 钢结构、内衬砌体、冷却设施、填充料、炉内各种物料、设备(包括炉顶吊车)、管道、冷却水等自重,应取其标准值的100%;按大修工况计算时,炉内物料应按实际情况取值。
2 平台可变荷载的组合值系数应取0.7。
3 平台灰荷载的组合值系数应取0.5。
4 热风围管与高炉炉体设有水平连接件时,热风围管重力荷载应按全部荷载标准值作用于水平连接处计算。
5 通过铰接单片支架或滚动支座支承于炉顶框架上的通廊的重力荷载,平行通廊方向应取支座承受重力荷载标准值的30%,垂直通廊方向应取100%。
6 料罐及其炉料、齿轮箱和溜槽的重力荷载,应取其标准值的100%。
7 设有内衬支托时,内衬自重应按沿炉壳内支托的实际分布计算,应取其标准值的100%;炉底的实心内衬砌体自重,取值不应小于其标准值的50%。
22.2.10 高炉结构的水平地震作用计算宜采用振型分解反应谱法,且应取不少于20个振型;其地震作用和作用效应应符合本规范第5章的有关规定。
22.2.11 进行高炉结构构件的截面抗震验算时,地震作用标准值效应和其他荷载效应的基本组合,除应符合本规范第5.4.1条的规定外,尚应符合下列规定:
1 正常生产工况抗震验算时,应计入炉内气压、物料和内衬侧压、粗煤气管的温度变形和设备的动力作用效应等。
2 炉体、粗煤气管、球形节点、热风围管、热风主管、通廊、料罐、炉顶设备和内衬等各项重力荷载等产生的作用效应,均应按正常生产的实际情况计算。
22.2.12 7度Ⅲ、Ⅳ类场地和8度、9度时,高炉的炉体框架和炉顶框架应符合下列规定:
1 炉顶框架和炉体框架均宜设置支撑系统,但支撑的布置应符合工艺要求,且主要支撑杆件的长细比按压杆设计时不应大于120,按拉杆设计时不应大于150。支撑杆件的板件宽厚比限值应符合本规范第7章的有关规定。
2 炉体框架柱宜采用圆形、箱形或对称的十字形截面。
3 与柱刚接的梁宜采用箱形截面或宽翼缘H形截面。
4 炉体框架的底部柱脚宜与基础固接。
5 框架梁、柱板件的宽厚比限值应符合本规范第7章的有关规定。
6 由地震作用控制的框架梁、柱,在可能出现塑性铰的应力较大区域的节点,不应采用焊接连接。
7 高炉框架结构构件的连接应按本规范第7章的有关规定进行抗震验算。
22.2.13 设置膨胀器的导出管,上升管的支座和支承支座的炉顶平台梁,以及支座与平台梁之间的连接均应适当加强;支座顶面以上3m~5m范围内上升管的管壁厚度,7度Ⅲ、Ⅳ类场地和8度、9度时,不宜小于14mm。
22.2.14 与球形节点连接的上升管和下降管根部,以及下降管与除尘器连接的根部应加强;7度Ⅲ、Ⅳ类场地和8度、9度时,加强部位的管壁厚度不宜小于16mm。
22.2.15 炉体框架与炉体顶部的水平连接应传力明确、可靠,并应能适应炉体与炉体框架之间的竖向差异变形。
22.2.16 上升管、炉顶框架、通廊端部和炉顶装料设备相互之间的水平空隙宜符合下列规定:
1 7度Ⅲ、Ⅳ类场地和8度Ⅰ、Ⅱ类场地时,不宜小于200mm。
2 8度Ⅲ、Ⅳ类场地和9度时,不宜小于400mm。
22.2.17 电梯间、通道平台和高炉框架相互之间应加强连接。
22.3 热 风 炉
22.3 热 风 炉
22.3.1 8度Ⅲ、Ⅳ类场地和9度时,外燃式热风炉的燃烧室宜采用钢筒到底的筒支承结构形式。
22.3.2 6度、7度和8度Ⅰ、Ⅱ类场地时,内燃式热风炉和燃烧室为钢筒支承的外燃式热风炉,以及6度和7度Ⅰ、Ⅱ类场地时燃烧室为钢支架支承的外燃式热风炉,均可不进行结构的抗震验算,但应符合相应的抗震构造措施要求。8度Ⅲ、Ⅳ类场地和9度时的内燃式热风炉与燃烧室为钢筒支承的外燃式热风炉,以及7度Ⅲ、Ⅳ类场地和8度、9度时的燃烧室为钢支架支承的外燃式热风炉,均应进行水平地震作用的抗震验算,并应符合相应的抗震构造措施要求。
22.3.3 内燃式热风炉或刚性连通管的外燃式热风炉的基本自振周期可按下式计算:

式中:T1——热风炉的基本自振周期;
Geq——等效重力荷载,对内燃式热风炉,可取全部重力荷载代表值;对刚性连通管的外燃式热风炉,可取蓄热室的全部重力荷载代表值;
h——炉底至炉顶球壳竖直半径1/2处的高度;
E——钢材的弹性模量;
Eb——内衬砌体的弹性模量;
I、Ib——分别为内燃式热风炉或刚性连通管的外燃式热风炉的蓄热室筒身段的钢壳和内衬砌体的截面惯性矩。
22.3.4 内燃式热风炉或刚性连通管外燃式热风炉的蓄热室和燃烧室的底部总水平地震剪力应按下式计算:
V=υα1Geq (22.3.4)
式中:V——热风炉底部总水平地震剪力;
υ——热风炉底部剪力修正系数,可按表22.3.4采用;
α1——水平地震影响系数;
Geq——炉体的等效重力荷载,对于刚性连通管的外燃式热风炉,应分别采用蓄热室和燃烧室的炉体重力荷载代表值。
表22.3.4 热风炉底部剪力修正系数

注:中间值可采用线性插入法计算。
22.3.5 内燃式热风炉或刚性连通管外燃式热风炉的蓄热室和燃烧室的底部总地震弯矩应按下式计算:
M=0.5α1Geqh (22.3.5)
式中:M——热风炉底部总地震弯矩。
22.3.6 炉壳截面抗震验算时,应由炉壳承担炉体全部水平地震作用效应,可不计入内衬分担的地震作用效应。
22.3.7 热风炉结构构件的截面抗震验算,应验算炉壳、炉底与基础或支架顶板的连接和燃烧室、混风室的支承结构等;地震作用标准值效应与其他荷载效应的基本组合,应计入正常生产时的炉内气压和温度作用标准值效应。
22.3.8 燃烧室为钢筒支承的柔性连通管外燃式热风炉结构,其蓄热室和燃烧室结构的抗震验算可按内燃式热风炉的规定执行。
22.3.9 燃烧室为支架支承的柔性连通管外燃式热风炉结构,可仅计算水平地震作用,并宜采用空间结构模型对支架、燃烧室和蓄热室进行整体抗震计算。
22.3.10 炉体底部筒壁与底板连接处应做成圆弧形状或设置加劲肋,并应在炉底内设置耐热钢筋混凝土板等。
炉底与基础或支架顶板的连接宜采取适当的加强措施,烘炉投产后应拧紧炉底连接螺栓。
22.3.11 7度Ⅲ、Ⅳ类场地和8度、9度时,各主要管道与炉体连接处应采取设置加劲肋或局部增大炉壳和管壁厚度等加强措施。9度时,热风主管至各炉体的短管上应设置膨胀器。
22.3.12 位于Ⅲ、Ⅳ类场地或不均匀地基时,每座刚性连通管外燃式热风炉,其蓄热室和燃烧室均应设在同一整片基础上。
22.3.13 外燃式热风炉的燃烧室采用钢支架支承时,支架柱的长细比不应大于120;梁、柱截面宽厚比的限值应符合本规范第7章的有关规定;柱脚与基础宜采用固接;当采用铰接柱脚时,应采取抗剪措施。
22.3.14 外燃式热风炉的燃烧室采用钢筋混凝土框架支承时,框架的抗震构造措施应符合本规范第6章的有关规定,6度~8度时应符合二级要求,9度时应符合一级要求,且各柱的纵向钢筋最小配筋率均应符合角柱的规定;不直接承受竖向荷载的框架梁,其截面上部和下部纵向钢筋应等量配置。
22.3.15 热风炉系统框架和余热回收系统框架均宜采用钢结构,其抗震构造措施应符合本规范第7章的有关规定。
22.4 除尘器、洗涤塔
22.4 除尘器、洗涤塔
22.4.1 8度Ⅲ、Ⅳ类场地和9度时,重力除尘器宜采用钢支架。
22.4.2 下列结构可不进行抗震验算,但应符合相应的抗震措施要求:
1 除尘器和洗涤塔的筒体结构。
2 6度、7度Ⅰ、Ⅱ类场地时,旋风除尘器的框架结构和重力除尘器的支架结构。
3 6度、7度和8度Ⅰ、Ⅱ类场地时,洗涤塔的支架结构。
22.4.3 旋风除尘器的框架或重力除尘器的支架结构抗震计算宜采用与高炉、粗煤气管组成的空间结构模型,且可仅计算水平地震作用。
22.4.4 重力除尘器和洗涤塔可按单质点体系进行简化计算;除尘器和洗涤塔的总水平地震作用,应作用于筒体的重心处。
22.4.5 重力除尘器和洗涤塔的重力荷载代表值应按本规范第5.1.4条的规定取值,但除尘器筒体内部正常生产时的最大积灰荷载的组合值系数应取1.0。
22.4.6 除尘器和洗涤塔抗震验算时,重力除尘器应计入正常生产时粗煤气管温度变形对除尘器结构的作用效应,洗涤塔和旋风除尘器应计入风荷载效应。
22.4.7 7度Ⅲ、Ⅳ类场地和8度、9度时,旋风除尘器,重力除尘器和洗涤塔应符合下列规定:
1 筒体在支座处应设置水平环梁。
2 筒体与支架以及支架柱脚与基础的连接应采取抗剪措施。
3 管道与筒体的连接处应采取设置加劲肋或局部增加钢壳厚度等加强措施。
4 旋风除尘器框架和重力除尘器钢支架主要支撑杆件的长细比,按压杆设计时不应大于120
,按拉杆设计时不应大于150
。
22.4.8 采用钢筋混凝土框架支承时,柱顶宜设置水平环梁。柱顶无水平环梁时,柱头应配置不少于两层直径为8mm的水平焊接钢筋网,钢筋间距不宜大于100mm。框架的抗震构造措施应符合本规范第6章的有关规定,6度~8度时应符合二级要求,9度时应符合一级要求,且各柱的纵向钢筋最小配筋率均应符合角柱的规定;不直接承受竖向荷载的框架梁,其截面上部和下部纵向钢筋应等量配置。
尾 矿 坝
23.1 一般规定
23.1 一般规定
23.1.1 本章适用于冶金矿山新建和运行中的尾矿坝抗震设计。
23.1.2 尾矿坝的抗震等级应根据尾矿库容量和尾矿坝坝高,按表23.1.2确定,当尾矿库溃坝将使下游城镇、工矿企业、生命线工程和区域生态环境遭受严重灾害时,尾矿坝的抗震等级应提高一级采用。
表23.1.2 尾矿坝的抗震等级

23.1.3 三级、四级、五级尾矿坝的设计地震动参数,可根据现行国家标准《中国地震动参数区划图》GB 18306的有关规定执行,一级、二级尾矿坝的设计地震动参数应按经批准的场地地震安全性评价结果确定。
23.1.4 尾矿坝坝址应选择在抗震有利地段。未经论证,不应在对抗震不利或危险地段建坝。
23.1.5 6度和7度时,可采用上游式筑坝工艺;8度和9度时,宜采用中线式和下游式筑坝工艺。
23.1.6 6度时,四级、五级尾矿坝可不进行抗震验算,但应符合相应的抗震构造措施要求。
23.1.7 9度时,除应进行抗震验算外,尚应采取专门研究的抗震构造措施。
23.1.8 8度和9度时,一级、二级、三级尾矿坝应同时计入竖向地震作用,竖向地震动参数应取水平地震动参数的2/3。
23.2 计算要点
23.2 计算要点
23.2.1 尾矿坝应按设防地震进行抗震计算。除一级、二级尾矿坝外,设计基本地震加速度应按本规范表3.2.2的规定取值。
23.2.2 尾矿坝的抗震计算应包括地震液化分析和地震稳定分析;一级、二级、三级的尾矿坝,尚应进行地震永久变形分析。
23.2.3 除应对尾矿坝设计坝高进行抗震计算外,尚应对坝体堆筑至1/3~1/2的设计坝高工况进行抗震分析。
23.2.4 运行中的尾矿坝,当实际状态与原设计存在明显不同时,应重新进行抗震验算。
23.2.5 尾矿坝地震液化分析应符合下列规定:
1 四级、五级尾矿坝,可采用简化判别方法。
2 一级、二级、三级尾矿坝,应采用二维或三维时程分析法。
23.2.6 尾矿坝地震液化判别简化计算可采用剪应力对比法,其计算方法可按本规范附录K的规定采用。有成熟经验时,亦可采用其他方法。
23.2.7 采用时程分析法对尾矿坝进行地震液化分析时,应符合本规范附录L的规定。
23.2.8 尾矿坝地震稳定分析宜采用拟静力法,按圆弧法进行验算。但坝体或坝基中存在软弱土层时,尚应验算沿软弱土层滑动的可能性。
23.2.9 9度或一级、二级、三级的尾矿坝,坝体地震稳定分析除应采用拟静力法外,尚应采用时程分析法,综合判断坝体的地震安全性。采用时程分析法计算尾矿坝的地震稳定性时,应符合本规范附录L的规定。
23.2.10 对地震液化区的尾矿坝,尚应验算震后坝体抗滑移稳定性。
23.2.11 采用拟静力法进行地震稳定分析时,可采用瑞典法或简化毕肖普(Bishop)法,亦可采用其他成熟的方法。当采用瑞典条分法进行坝体抗滑移地震稳定性验算时,应符合本规范附录M的规定。
23.2.12 采用瑞典圆弧法进行地震稳定分析时,坝坡抗滑移安全系数不应小于表23.2.12的规定。采用简化毕肖普法计算时,其最小安全系数值应提高5%~10%。
表23.2.12 地震稳定性最小安全系数值

23.3 抗震构造措施
23.3 抗震构造措施
23.3.1 上游法筑坝的外坡坡度不宜大于14°。
23.3.2 尾矿坝的干滩长度不应小于坝体高度,且不应小于40m。
23.3.3 一级、二级、三级尾矿坝下游坡面浸润线埋深不宜小于6m,四级、五级尾矿坝不宜小于4m。
23.3.4 提高尾矿坝地震稳定性时,可采取下列抗震构造措施:
1 控制尾矿坝的上升速度。
2 放缓下游坝坡的坡度。
3 在坝基和坝体内部设置排渗设施。
4 在下游坝坡设置排渗井等设施。
5 在坝的下游坡面增设反压体。
6 采用加密法加固下游坝坡和沉积滩。
23.3.5 一级、二级、三级的尾矿坝,应设置坝体变形和浸润线等监测装置。
索道支架
24.1 一般规定
24.1 一般规定
24.1.1 本章适用于单线、双线循环式货运索道支架和单线循环式、双线往复式客运索道支架的抗震设计。
24.1.2 索道支架宜采用钢结构,下列情况不宜采用钢筋混凝土结构:
1 支架高度大于15m。
2 8度Ⅲ、Ⅳ类场地或9度。
24.1.3 索道支架的地基和基础应符合本规范第4章的有关规定。
24.2 计算要点
24.2 计算要点
24.2.1 索道支架应按本规范第5章多遇地震确定地震影响系数,并进行地震作用和作用效应计算。
24.2.2 索道支架采用底部剪力法和振型分解反应谱法进行抗震计算时,应符合本规范第5章的有关规定。
24.2.3 索道支架进行抗震计算时,钢筋混凝土支架的结构阻尼比可取0.05,钢支架的结构阻尼比可取0.03。
24.2.4 计算地震作用时,索道支架重力荷载代表值应按本规范第5.1.4条的规定执行,其竖向可变荷载的组合值系数应按下列规定采用:
1 货车或客车的活荷载应取1.0。
2 操作台面活荷载应取0.5,按实际情况计算时应取1.0。
3 雪荷载应取0.5。
24.2.5 沿索道方向和垂直于索道方向应分别计算支架的水平地震作用,并应进行抗震验算。
24.2.6 支架的纵向水平地震作用,对单线索道可不计入索系对支架的影响;对双线索道,可将承载索的自重集中于支架顶部计算。
24.2.7 计算支架的横向水平地震作用时,应按不计入索系影响计算结果的80%和计入索系影响的计算结果的较大值采用。
24.2.8 支架计入索系影响的横向水平地震作用计算应符合下列规定:
1 支架结构可简化为单质点体系,索系及其上的货车或客车可简化为悬吊于支架顶端的单摆系统(图24.2.8)。

图24.2.8 索道支架横向计算简图
2 在支架顶部集中的重力荷载代表值,应取支架结构构件自重标准值的50%、固定设备自重标准值和竖向可变荷载的组合值之和。
3 索系的重力荷载代表值应取支架两侧跨间钢索自重标准值和竖向可变荷载的组合值之和的1/2。
4 计入索系影响的支架横向水平地震作用和作用效应,应按本规范第5.2.2条的规定计算。其中结构体系的横向自振周期和各振型的水平相对位移应按下列公式计算:
1)结构体系的横向自振周期:

式中:Tj——结构体系j振型的横向自振周期(s);
ωj——结构体系j振型的横向自振圆频率(s-1);
ω1.2——结构体系第一、第二振型的横向自振圆频率(s-1);
K——支架的横向侧移刚度(N/m);
l——索系等效摆长(m);
G1、G2——分别为支架和索系的总重力荷载代表值;
G2l、G2r——分别为支架两侧索系的总重力荷载代表值(N);
?l、?r——分别为支架两侧索系的垂度(m);
g——重力加速度(m/s2)。
2)结构体系横向各振型的质点水平相对位移:

式中:X11、X22——分别为结构第一振型质点1和第二振型质点2的水平相对位移;
X12、X21——分别为结构第一振型质点2和第二振型质点1的水平相对位移。
24.2.9 8度和9度时,应计入索系竖向地震作用对支架的影响,竖向地震作用标准值可采用索系总重力荷载代表值乘以竖向地震作用系数,竖向地震作用系数可按本规范表5.3.2采用。
24.2.10 8度和9度时,支架的水平地震作用效应应分别乘以1.05和1.10的增大系数。
24.2.11 支架的地震作用标准值效应与其他荷载效应的基本组合应按下式计算:
S=γGSGE+γEhSEk+γEvSEvk+γwψwSwk+γtψtStk+γqψqSqk (24.2.11)
式中:γq——索系作用的分项系数,应取1.4;
ψq——索系作用的组合值系数,应取1.0;
Sqk——索系作用效应。
24.3 抗震构造措施
24.3 抗震构造措施
24.3.1 7度~9度时,钢支架立柱的长细比不宜大于60
,腹杆的长细比不宜大于80
。6度时,钢支架各杆件的长细比均不宜大于120
。
24.3.2 钢筋混凝土支架的混凝土强度等级不应低于C30。
24.3.3 钢支架应符合本规范第7章有关框架抗震构造措施的规定。
24.3.4 钢筋混凝土单柱支架应符合下列规定:
1 6度、7度及8度Ⅰ、Ⅱ的类场地,且支架高度不大于10m时,应符合本规范第6章钢筋混凝土框架抗震等级二级有关柱的抗震构造措施要求。
2 8度Ⅰ、Ⅱ类场地且支架高度大于10m但不大于15m时,应符合本规范第6章钢筋混凝土框架抗震等级一级有关柱的抗震构造措施要求。
3 7度、8度时,支架柱的箍筋宜全高加密。
24.3.5 格构式钢支架的横隔设置应符合下列规定:
1 支架坡度改变处应设置横隔。
2 8度时,横隔间距不应大于2个节间的高度,且不应大于12m;9度时,横隔间距不应大于1个节间的高度,且不应大于6m。
挡土结构
25.1 一般规定
25.1 一般规定
25.1.1 本章适用于重力式挡土墙和浅埋式刚性边墙的抗震设计。
25.1.2 重力式挡土墙和浅埋式刚性边墙可采用拟静力法进行抗震计算。
25.1.3 9度且高度超过15m的重力式挡土墙应进行专门研究和论证。
25.2 地震土压力计算
25.2 地震土压力计算
25.2.1 墙体与墙后填土之间不产生相对位移的重力式挡土墙,可采用中性状态时的地震土压力,其合力和合力作用点的高度可分别按下列公式计算:

式中:E0——中性状态时的地震土压力合力;
KE——中性状态时的地震土压力系数;
θ——挡土墙的地震角,可按表25.2.1取值;
h——地震土压力合力作用点距墙踵的高度;
H——挡土墙后填土的高度;
γ——墙后填土的重度;
——墙后填土的有效内摩擦角;
δ0——中性状态时的墙背摩擦角,可取实际墙背摩擦角的半值,或取墙后填土值的1/6;
α——墙后填土表面与水平面的夹角;
β——墙背面与铅锤面的夹角。
表25.2.1 挡土墙的地震角θ

25.2.2 墙体可能产生侧向位移的重力式挡土墙,可采用主动地震土压力,其合力可按下列公式计算:

式中:Ea——主动地震土压力合力;
KEa——主动地震土压力系数;
δ——墙背摩擦角,可根据墙背的粗糙程度,在(1/3~1/2)范围取值;合力作用点的位置可按本规范式(25.2.1-3)确定。
25.2.3 埋深不大于10m的浅埋式刚性边墙,地震时作用在结构两侧边墙上的土压力(含静土压力),一侧应为主动地震土压力,另一侧应为被动地震土压力,其各侧的合力可分别按下列公式计算。地震土压力合力作用点的位置可按本规范式(25.2.1-2)确定:

式中:Pa——主动地震土压力合力;
Pp——被动地震土压力合力。
25.2.4 当边墙与均质地基土之间产生相对位移时,可采用本规范附录N的方法计算地震土压力p(z)E的大小及沿刚性边墙深度的分布。
25.3 计算要点
25.3 计算要点
25.3.1 重力式挡土墙在地震作用下的抗滑移稳定性和抗倾覆稳定性应进行验算,其抗滑移稳定性的安全系数不应小于1.1,抗倾覆稳定性的安全系数不应小于1.2。
25.3.2 重力式挡土墙的整体滑动稳定性验算可采用圆弧滑动面法。
25.3.3 重力式挡土墙的地基承载力验算除应符合本规范第4.2节的规定外,基底合力的偏心距不应大于基础宽度的0.25倍。
25.4 抗震构造措施
25.4 抗震构造措施
25.4.1 挡土墙的后填土应采取排水措施,可采用点排水、线排水或面排水。
25.4.2 8度和9度时,重力式挡土墙不得采用干砌片石砌筑。7度时,挡土墙可采用干砌片石砌筑,但墙高不应大于3m。
25.4.3 邻近甲、乙、丙类构筑物的重力式挡土墙,不应采用干砌片(块)石砌筑。
25.4.4 浆砌片(块)石重力式挡土墙的高度,8度时不宜超过12m,9度时不宜超过10m;超过10m时,应采用混凝土整体浇筑。
25.4.5 混凝土重力式挡土墙的施工缝和衡重式挡土墙的转折截面处应设置榫头或采用短钢筋连接,榫头的面积不应小于总截面面积的20%。
25.4.6 同类土层上建造的重力式挡土墙,伸缩缝间距不宜大于15m。在地基土质或墙高变化较大处应设置沉降缝。
25.4.7 挡土墙的基础不应直接设在液化土或软土地基上。不可避免时,可采用换土、加大基底面积或采取砂桩、碎石桩等地基加固措施。当采用桩基时,桩尖应伸入稳定土层。
附录A 我国主要城镇抗震设防烈度、设计基本地震加速度和设计地震分组
附录A 我国主要城镇抗震设防烈度、设计基本地震加速度和设计地震分组
A.0.1 本附录仅提供我国抗震设防区各县级及县级以上城镇的中心地区构筑物抗震设计时所采用的抗震设防烈度、设计基本地震加速度值和所属的设计地震分组。
A.0.2 首都和直辖市的抗震设防烈度、设计基本地震加速度值和所属的设计地震分组应符合下列规定:
1 抗震设防烈度为8度,设计基本地震加速度值为0.20g:
第一组:北京(东城、西城、朝阳、丰台、石景山、海淀、房山、通州、顺义、大兴、平谷),延庆;天津(汉沽),宁河。
2 抗震设防烈度为7度,设计基本地震加速度值为0.15g:
第二组:北京(昌平、门头沟、怀柔),密云;天津(和平、河东、河西、南开、河北、红桥、塘沽、东丽、西青、津南、北辰、武清、宝坻),蓟县,静海。
3 抗震设防烈度为7度,设计基本地震加速度值为0.10g:
第一组:上海(黄浦、徐汇、长宁、静安、普陀、闸北、虹口、杨浦、闵行、宝山、嘉定、浦东、松江、青浦、奉贤);
第二组:天津(大港)。
4 抗震设防烈度为6度,设计基本地震加速度值为0.05g:
第一组:上海(金山),祟明;重庆(渝中、大渡口、江北、沙坪坝、九龙坡、南岸、北碚、万盛、双桥、渝北、巴南、万州、涪陵、黔江、长寿、江津、合川、永川、南川),巫山,奉节,云阳,忠县,丰都,壁山,铜梁,大足,荣昌,綦江,石柱,巫溪*。
注:*指该城镇的中心位于本设防区和较低设防区的分界线,下同。
A.0.3 河北省的抗震设防烈度、设计基本地震加速度值和所属的设计地震分组应符合下列规定:
1 抗震设防烈度为8度,设计基本地震加速度值为0.20g:
第一组:唐山(路北、路南、古冶、开平、丰润、丰南),三河,大厂,香河,怀来,涿鹿;
第二组:廊坊(广阳、安次)。
2 抗震设防烈度为7度,设计基本地震加速度值为0.15g:
第一组:邯郸(丛台、邯山、复兴、峰峰矿区),任丘,河间,大城,滦县,蔚县,磁县,宜化县,张家口(下花园、宜化区),宁晋*;
第二组:涿州,高碑店,涞水,固安,永清,文安,玉田,迁安,卢龙,滦南,唐海,乐亭,阳原,邯郸县,大名,临漳,成安。
3 抗震设防烈度为7度,设计基本地震加速度值为0.10g:
第一组:张家口(桥西、桥东),万全,怀安,安平,饶阳,晋州,深州,辛集,赵县,隆尧,任县,南和,新河,肃宁,柏乡;
第二组:石家庄(长安、桥东、桥西、新华、裕华、井陉矿区),保定(新市、北市、南市),沧州(运河、新华),邢台(桥东、桥西),衡水,霸州,雄县,易县,沧县,张北,兴隆,迁西,抚宁,昌黎,青县,献县,广宗,平乡,鸡泽,曲周,肥乡,馆陶,广平,高邑,内丘,邢台县,武安,涉县,赤城,定兴,容城,徐水,安新,高阳,博野,蠡县,深泽,魏县,藁城,栾城,武强,冀州,巨鹿,沙河,临城,泊头,永年,崇礼,南宫*;
第三组:秦皇岛(海港、北戴河),清苑,遵化,安国,涞源,承德(鹰手营子*)。
4 抗震设防烈度为6度,设计基本地震加速度值为0.05g:
第一组:围场,沽源;
第二组:正定,尚义,无极,平山,鹿泉,井陉县,元氏,南皮,吴桥,景县,东光;
第三组:承德(双桥、双滦),秦皇岛(山海关),承德县,隆化,宽城,青龙,阜平,满城,顺平,唐县,望都,曲阳,定州,行唐,赞皇,黄骅,海兴,盂村,盐山,阜城,故城,清河,新乐,武邑,枣强,威县,丰宁,滦平,平泉,临西,灵寿,邱县。
A.0.4 山西省的抗震设防烈度、设计基本地震加速度值和所属的设计地震分组应符合下列规定:
1 抗震设防烈度为8度,设计基本地震加速度值为0.20g:
第一组:太原(杏花岭、小店、迎泽、尖草坪、万柏林、晋源),晋中,清徐,阳曲,忻州,定襄,原平,介休,灵石,汾西,代县,霍州,古县,洪洞,临汾,襄汾,浮山,永济;
第二组:祁县,平遥,太谷。
2 抗震设防烈度为7度,设计基本地震加速度值为0.15g:
第一组:大同(城区、矿区、南郊),大同县,怀仁,应县,繁峙,五台,广灵,灵丘,芮城,翼城;
第二组:朔州(朔城区),浑源,山阴,古交,交城,文水,汾阳,孝义,曲沃,侯马,新绛,稷山,绛县,河津,万荣,闻喜,临猗,夏县,运城,平陆,沁源*,宁武*。
3 抗震设防烈度为7度,设计基本地震加速度值为0.10g:
第一组:阳高,天镇;
第二组:大同(新荣),长治(城区、郊区),阳泉(城区、矿区、郊区),长治县,左云,右玉,神池,寿阳,昔阳,安泽,平定,和顺,乡宁,垣曲,黎城,潞城,壶关;
第三组:平顺,榆社,武乡,娄烦,交口,隰县,蒲县,吉县,静乐,陵川,盂县,沁水,沁县,沁水,朔州(平鲁)。
4 抗震设防烈度为6度,设计基本地震加速度值为0.05g:
第三组:偏关,河曲,保德,兴县,临县,方山,柳林,五寨,岢岚,岚县,中阳,石楼,永和,大宁,晋城,吕梁,左权,襄垣,屯留,长子,高平,阳城,泽州。
A.0.5 内蒙古自治区的抗震设防烈度、设计基本地震加速度值和所属的设计地震分组应符合下列规定:
1 抗震设防烈度为8度,设计基本地震加速度值为0.30g:
第一组:土墨特右旗,达拉特旗*。
2 抗震设防烈度为8度,设计基本地震加速度值为0.20g:
第一组:呼和浩特(新城、回民、玉泉、赛罕),包头(昆都仓、东河、青山、九原),乌海(海勃湾、海南、乌达),土墨特左旗,杭锦后旗,磴口,宁城;
第二组:包头(石拐),托克托*。
3 抗震设防烈度为7度,设计基本地震加速度值为0.15g:
第一组:赤峰(红山*,元宝山区),喀喇沁旗,巴彦卓尔,五原,乌拉特前旗,凉城;
第二组:固阳,武川,和林格尔;
第三组:阿拉善左旗。
4 抗震设防烈度为7度,设计基本地震加速度值为0.10g:
第一组:赤峰(松山区),察右前旗,开鲁,傲汉旗,扎兰屯,通辽*;
第二组:清水河,乌兰察布,卓资,丰镇,乌特拉后旗,乌特拉中旗;
第三组:鄂尔多斯,准格尔旗。
5 抗震设防烈度为6度,设计基本地震加速度值为0.05g:
第一组:满洲里,新巴尔虎右旗,莫力达瓦旗,阿荣旗,扎赉特旗,翁牛特旗,商都,乌审旗,科左中旗,科左后旗,奈曼旗,库伦旗,苏尼特右旗;
第二组:兴和,察右后旗;
第三组:达尔罕茂明安联合旗,阿拉善右旗,鄂托克旗,鄂托克前旗,包头(白云矿区),伊金霍洛旗,杭锦旗,四王子旗,察右中旗。
A.0.6 辽宁省的抗震设防烈度,设计基本地震加速度值和所属的设计地震分组应符合下列规定:
1 抗震设防烈度为8度,设计基本地震加速度值为0.20g:
第一组:普兰店,东港。
2 抗震设防烈度为7度,设计基本地震加速度值为0.15g:
第一组:营口(站前、西市、鲅鱼圈、老边),丹东(振兴、元宝、振安),海城,大石桥,瓦房店,盖州,大连(金州)。
3 抗震设防烈度为7度,设计基本地震加速度值为0.10g:
第一组:沈阳(沈河、和平、大东、皇姑、铁西、苏家屯、东陵、沈北、于洪),鞍山(铁东、铁西、立山、千山),朝阳(双塔、龙城),辽阳(白塔、文圣、宏伟、弓长岭、太子河),抚顺(新抚、东洲、望花),铁岭(银州、清河),盘锦(兴隆台,双台子),盘山,朝阳县,辽阳县,铁岭县,北票,建平,开原,抚顺县*,灯塔,台安,辽中,大洼;
第二组:大连(西岗、中山、沙河口、甘井子、旅顺),岫岩,凌源。
4 抗震设防烈度为6度,设计基本地震加速度值为0.05g:
第一组:本溪(平山、溪湖、明山、南芬),阜新(细河、海州、新邱、太平、清河门),葫芦岛(龙港、连山),昌图,西丰,法库,彰武,调兵山,阜新县,康平,新民,黑山,北宁,义县,宽甸,庄河,长海,抚顺(顺城);
第二组:锦州(太和、古塔、凌河),凌海,凤城,喀喇沁左翼;
第三组:兴城,绥中,建昌,葫芦岛(南票)。
A.0.7 吉林省的抗震设防烈度、设计基本地震加速度值和所属的设计地震分组应符合下列规定:
1 抗震设防烈度为8度,设计基本地震加速度值为0.20g:
前郭尔罗斯,松原。
2 抗震设防烈度为7度,设计基本地震加速度值为0.15g:
大安*。
3 抗震设防烈度为7度,设计基本地震加速度值为0.10g:
长春(难关、朝阳、宽城、二道、绿园、双阳),吉林(船营、龙潭、昌邑、丰满),白城,乾安,舒兰,九台,永吉*。
4 抗震设防烈度为6度,设计基本地震加速度值为0.05g:
四平(铁西、铁东),辽源(龙山、西安),镇赉,洮南,延吉,汪清,图们,珲春,龙井,和龙,安图,蛟河,桦甸,梨树,磐石,东丰,辉南,梅河口,东辽,榆树,靖宇,抚松,长岭,德惠,农安,伊通,公主岭,扶余,通榆*。
注:全省县级及县级以上设防城镇,设计地震分组均为第一组。
A.0.8 黑龙江省的抗震设防烈度、设计基本地震加速度值和所属的设计地震分组应符合下列规定:
1 抗震设防烈度为7度,设计基本地震加速度值为0.10g:
绥化,萝北,泰来。
2 抗震设防烈度为6度,设计基本地震加速度值为0.05g:
哈尔滨(松北、道里、南岗、道外、香坊、平房、呼兰、阿城),齐齐哈尔(建华、龙沙、铁锋、昂昂溪、富拉尔基、梅里斯、碾子山),大庆(萨尔图、龙凤、让胡路、大同、红岗),鹤岗(向阳、兴山、工农、南山、兴安、东山),牡丹江(东安、爱民、阳明、西安),鸡西(鸡冠、恒山、滴道、梨树、城子河、麻山),佳木斯(前进、向阳、东风、郊区),七台河(桃山、新兴、茄子河),伊春(伊春区,乌马、友好),鸡东,望奎,穆棱,绥芬河,东宁,宁安,五大连池,嘉荫,汤原,桦南,桦川,依兰,勃利,通河,方正,木兰,巴彦,延寿,尚志,宾县,安达,明水,绥棱,庆安,兰西,肇东,肇州,双城,五常,讷河,北安,甘南,富裕,龙江,黑河,肇源,青冈*,海林*。
注:全省县级及县级以上设防城镇,设计地震分组均为第一组。
A.0.9 江苏省的抗震设防烈度、设计基本地震加速度值和所属的设计地震分组应符合下列规定:
1 抗震设防烈度为8度,设计基本地震加速度值为0.30g:
第一组:宿迁(宿城、宿豫*)。
2 抗震设防烈度为8度,设计基本地震加速度值为0.20g:
第一组:新沂,邳州,睢宁。
3 抗震设防烈度为7度,设计基本地震加速度值为0.15g:
第一组:扬州(维扬、广陵、邗江),镇江(京口、润州),泗洪,江都;
第二组:东海,沭阳,大丰。
4 抗震设防烈度为7度,设计基本地震加速度值为0.10g:
第一组:南京(玄武、白下、秦淮、建邺、鼓楼、下关、浦口、六合、栖霞、雨花台、江宁),常州(新北、钟楼、天宁、戚墅堰、武进),泰州(海陵、高港),江浦,东台,海安,姜堰,如皋,扬中,仪征,兴化,高邮,六合,句容,丹阳,金坛,镇江(丹徒),溧阳,溧水,昆山,太仓;
第二组:徐州(云龙、鼓楼、九里、贾汪、泉山),铜山,沛县,淮安(清河、青浦、淮阴),盐城(亭湖、盐都),泗阳,盱眙,射阳,赣榆,如东;
第三组:连云港(新浦、连云、海州),灌云。
5 抗震设防烈度为6度,设计基本地震加速度值为0.05g:
第一组:无锡(崇安、南长、北塘、滨湖、惠山),苏州(金阊、沧浪、平江、虎丘、吴中、相成),宜兴,常熟,吴江,泰兴,高淳;
第二组:南通(崇川、港闸),海门,启东,通州,张家港,靖江,江阴,无锡(锡山),建湖,洪泽,丰县;
第三组:响水,滨海,阜宁,宝应,金湖,灌南,涟水,楚州。
A.0.10 浙江省的抗震设防烈度、设计基本地震加速度值和所属的设计地震分组应符合下列规定:
1 抗震设防烈度为7度,设计基本地震加速度值为0.10g:
第一组:岱山,嵊泗,舟山(定海、普陀),宁波(北仓、镇海)。
2 抗震设防烈度为6度,设计基本地震加速度值为0.05g:
第一组:杭州(拱墅、上城、下城、江干、西湖、滨江、余杭、萧山),宁波(海曙、江东、江北、鄞州),湖州(吴兴、南浔),嘉兴(南湖、秀洲),温州(鹿城、龙湾、瓯海),绍兴,绍兴县,长兴,安吉,临安,奉化,象山,德清,嘉善,平湖,海盐,桐乡,海宁,上虞,慈溪,余姚,富阳,平阳,苍南,乐清,永嘉,泰顺,景宁,云和,洞头;
第二组:庆元,瑞安。
A.0.11 安徽省的抗震设防烈度、设计基本地震加速度值和所属的设计地震分组应符合下列规定:
1 抗震设防烈度为7度,设计基本地震加速度值为0.15g:
第一组:五河,泗县。
2 抗震设防烈度为7度,设计基本地震加速度值为0.10g:
第一组:合肥(蜀山、庐阳、瑶海、包河),蚌埠(蚌山、龙子湖、禹会、淮山),阜阳(颍州、颍东、颍泉),淮南(田家庵、大通),枞阳,怀远,长丰,六安(金安、裕安),固镇,凤阳,明光,定远,肥东,肥西,舒城,庐江,桐城,霍山,涡阳,安庆(大观、迎江、宜秀),铜陵县*;
第二组:灵璧。
3 抗震设防烈度为6度,设计基本地震加速度值为0.05g:
第一组:铜陵(铜官山、狮子山、郊区),淮南(谢家集、八公山、潘集),芜湖(镜湖、戈江、三江、鸠江),马鞍山(花山、雨山、金家庄),芜湖县,界首,太和,临泉,阜南,利辛,凤台,寿县,颍上,霍邱,金寨,含山,和县,当涂,无为,繁昌,池州,岳西,潜山,太湖,怀宁,望江,东至,宿松,南陵,宣城,郎溪,广德,泾县,青阳,石台;
第二组:滁州(琅琊、南谯),来安,全椒,砀山,萧县,蒙城,毫州,巢湖,天长;
第三组:濉溪,淮北,宿州。
A.0.12 福建省的抗震设防烈度、设计基本地震加速度值和所属的设计地震分组应符合下列规定:
1 抗震设防烈度为8度,设计基本地震加速度值为0.20g:
第二组:金门*。
2 抗震设防烈度为7度,设计基本地震加速度值为0.15g:
第一组:漳州(芗城、龙文),东山,诏安,龙海;
第二组:厦门(思明、海沧、湖里、集美、同安、翔安),晋江,石狮,长泰,漳浦;
第三组:泉州(丰泽、鲤城、洛江、泉港)。
3 抗震设防烈度为7度,设计基本地震加速度值为0.10g:
第二组:福州(鼓楼、台江、仓山、晋安),华安,南靖,平和,云宵;
第三组:莆田(城厢、涵江、荔城、秀屿),长乐,福清,平潭,惠安,南安,安溪,福州(马尾)。
4 抗震设防烈度为6度,设计基本地震加速度值为0.05g:
第一组:三明(梅列、三元),屏南,霞浦,福鼎,福安,柘荣,寿宁,周宁,松溪,宁德,古田,罗源,沙县,尤溪,闽清,闽侯,南平,大田,漳平,龙岩,泰宁,宁化,长汀,武平,建宁,将乐,明溪,清流,连城,上杭,永安,建瓯;
第二组:政和,永定;
第三组:连江,永泰,德化,永春,仙游,马祖。
A.0.13 江西省的抗震设防烈度、设计基本地震加速度值和所属的设计地震分组应符合下列规定:
1 抗震设防烈度为7度,设计基本地震加速度值为0.10g:
寻乌,会昌。
2 抗震设防烈度为6度,设计基本地震加速度值为0.05g:
南昌(东湖、西湖、青云谱、湾里、青山湖),南昌县,九江(浔阳、庐山),九江县,进贤,余干,彭泽,湖口,星子,瑞昌,德安,都昌,武宁,修水,靖安,铜鼓,宜丰,宁都,石城,瑞金,安远,定南,龙南,全南,大余。
注:全省县级及县级以上设防城镇,设计地震分组均为第一组。
A.0.14 山东省的抗震设防烈度、设计基本地震加速度值和所属的设计地震分组应符合下列规定:
1 抗震设防烈度为8度,设计基本地震加速度值为0.20g:
第一组:郯城,临沐,莒南,莒县,沂水,安丘,阳谷,临沂(河东)。
2 抗震设防烈度为7度,设计基本地震加速度值为0.15g:
第一组:临沂(兰山、罗庄),青州,临朐,菏泽,东明,聊城,莘县,鄄城;
第二组:潍坊(奎文、潍城、寒亭、坊子),苍山,沂南,昌邑,昌乐,诸城,五莲,长岛,蓬莱,龙口,枣庄(台儿庄),淄博(临淄*),寿光*。
3 抗震设防烈度为7度,设计基本地震加速度值为0.10g:
第一组:烟台(莱山、芝罘、牟平),威海,文登,高唐,茌平,定陶,成武;
第二组:烟台(福山),枣庄(薛城、市中、峄城、山亭*),淄博(张店、淄川、周村),平原,东阿,平阴,梁山,郓城,巨野,曹县,广饶,博兴,高青,桓台,蒙阴,费县,微山,禹城,冠县,单县*,夏津*,莱芜(莱城*、钢城);
第三组:东营(东营、河口),日照(东港、岚山),沂源,招远,新泰,栖霞,莱州,平度,高密,垦利,淄博(博山),滨州*,平邑*。
4 抗震设防烈度为6度,设计基本地震加速度值为0.05g:
第一组:荣成;
第二组:德州,宁阳,曲阜,邹城,鱼台,乳山,兖州;
第三组:济南(市中、历下、槐荫、天桥、历城、长清),青岛(市南、市北、四方、黄岛、崂山、城阳、李沧),泰安(泰山、岱岳),济宁(市中、任城),乐陵,庆云,无棣,阳信,宁津,沾化,利津,武城,惠民,商河,临邑,济阳,齐河,章丘,泗水,莱阳,海阳,金乡,滕州,莱西,即墨,胶南,胶州,东平,汶上,嘉祥,临清,肥城,陵县,邹平。
A.0.15 河南省的抗震设防烈度、设计基本地震加速度值和所属的设计地震分组应符合下列规定:
1 抗震设防烈度为8度,设计基本地震加速度值为0.20g:
第一组:新乡(卫滨、红旗、凤泉、牧野),新乡县,安阳(北关、文峰、殷都、龙安),安阳县,淇县,卫辉,辉县,原阳,延津,获嘉,范县;
第二组:鹤壁(淇滨、山城*、鹤山*),汤阴。
2 抗震设防烈度为7度,设计基本地震加速度值为0.15g:
第一组:台前,南乐,陕县,武陟;
第二组:郑州(中原、二七、管城、金水、惠济),濮阳,濮阳县,长桓,封丘,修武,内黄,浚县,滑县,清丰,灵宝,三门峡,焦作(马村*),林州*。
3 抗震设防烈度为7度,设计基本地震加速度值为0.10g;
第一组:南阳(卧龙、宛城),新密,长葛,许昌*,许昌县*;
第二组:郑州(上街),新郑,洛阳(西工、老城、瀍河、涧西、吉利、洛龙*),焦作(解放、山阳、中站),开封(鼓楼、龙亭、顺河、禹王台、金明),开封县,民权,兰考,孟州,孟津,巩义,偃师,沁阳,博爱,济源,荥阳,温县,中牟,杞县*。
4 抗震设防烈度为6度,设计基本地震加速度值为0.05g:
第一组:信阳(浉河、平桥),漯河(郾城、源汇、召陵),平顶山(新华、卫东、湛河、石龙),汝阳,禹州,宝丰,鄢陵,扶沟,太康,鹿邑,郸城,沈丘,项城,淮阳,周口,商水,上蔡,临颖,西华,西平,栾川,内乡,镇平,唐河,邓州,新野,社旗,平舆,新县,驻马店,泌阳,汝南,桐柏,淮滨,息县,正阳,遂平,光山,罗山,潢川,商城,固始,南召,叶县*,舞阳*;
第二组:商丘(梁园、睢阳),义马,新安,襄城,郏县,嵩县,宜阳,伊川,登封,柘城,尉氏,通许,虞城,夏邑,宁陵;
第三组:汝州,睢县,永城,卢氏,洛宁,渑池。
A.0.16 湖北省的抗震设防烈度、设计基本地震加速度值和所属的设计地震分组应符合下列规定:
1 抗震设防烈度为7度,设计基本地震加速度值为0.10g:
竹溪,竹山,房县。
2 抗震设防烈度为6度,设计基本地震加速度值为0.05g:
武汉(江岸、江汉、娇口、汉阳、武昌、青山、洪山、东西湖、汉南、蔡甸、江厦、黄陂、新洲),荆州(沙市、荆州),荆门(东宝、掇刀),襄樊(襄城、樊城、襄阳),十堰(茅箭、张湾);宜昌(西陵、伍家岗、点军、猇亭、夷陵),黄石(下陆、黄石港、西塞山、铁山),恩施,咸宁,麻城,团风,罗田,英山,黄冈,鄂州,浠水,蕲春,黄梅,武穴,郧西,郧县,丹江口,谷城,老河口,宜城,南漳,保康,神农架,钟祥,沙洋,远安,兴山,巴东,秭归,当阳,建始,利川,公安,宣恩,咸丰,长阳,嘉鱼,大冶,宜都,枝江,松滋,江陵,石首,监利,洪湖,孝感,应城,云梦,天门,仙桃,红安,安陆,潜江,通山,赤壁,崇阳,通城,五峰*,京山*。
注:全省县级及县级以上设防城镇,设计地震分组均为第一组。
A.0.17 湖南省的抗震设防烈度、设计基本地震加速度值和所属的设计地震分组应符合下列规定:
1 抗震设防烈度为7度,设计基本地震加速度值为0.15g:
常德(武陵、鼎城)。
2 抗震设防烈度为7度,设计基本地震加速度值为0.10g:
岳阳(岳阳楼、君山*),岳阳县,汨罗,湘阴,临澧,澧县,津市,桃源,安乡,汉寿。
3 抗震设防烈度为6度,设计基本地震加速度值为0.05g:
长沙(岳麓、英蓉、天心、开福、雨花),长沙县,岳阳(云溪),益阳(赫山、资阳),张家界(永定、武陵源),郴州(北湖、苏仙),邵阳(大祥、双清、北塔),邵阳县,泸溪,沅陵,娄底,宜章,资兴,平江,宁乡,新化,冷水江,涟源,双峰,新邵,邵东,隆回,石门,慈利,华容,南县,临湘,沅江,桃江,望城,溆浦,会同,靖州,韶山,江华,宁远,道县,临武,湘乡*,安化*,中方*,洪江*。
注:全省县级及县级以上设防城镇,设计地震分组均为第一组。
A.0.18 广东省的抗震设防烈度、设计基本地震加速度值和所属的设计地震分组应符合下列规定:
1 抗震设防烈度为8度,设计基本地震加速度值为0.20g:
汕头(金平、濠江、龙湖、澄海),潮安,南澳,徐闻,潮州*。
2 抗震设防烈度为7度,设计基本地震加速度值为0.15g:
揭阳,揭东,汕头(潮阳、潮南),饶平。
3 抗震设防烈度为7度,设计基本地震加速度值为0.10g:
广州(越秀、荔湾、海珠、天河、白云、黄埔、番禺、南沙、萝岗),深圳(福田、罗湖、南山、宝安、盐田),湛江(赤坎、霞山、坡头、麻章),汕尾,海丰,普宁,惠来,阳江,阳东,阳西,茂名(茂南、茂港),化州,廉江,遂溪,吴川,丰顺,中山,珠海(香洲、斗门、金湾),电白,雷州,佛山(顺德、南海、禅城*),江门(蓬江、江海、新会)*,陆丰*。
4 抗震设防烈度为6度,设计基本地震加速度值为0.05g:
韶关(浈江、武江、曲江),肇庆(端州、鼎湖),广州(花都),深圳(龙岗),河源,揭西,东源,梅州,东莞,清远,清新,南雄,仁化,始兴,乳源,英德,佛冈,龙门,龙川,平远,从化,梅县,兴宁,五华,紫金,陆河,增城,博罗,惠州(惠城、惠阳),惠东,四会,云浮,云安,高要,佛山(三水、高明),鹤山,封开,郁南,罗定,信宜,新兴,开平,恩平,台山,阳春,高州,翁源,连平,和平,蕉岭,大埔,新丰*。
注:全省县级及县级以上设防城镇,除大埔为设计地震第二级外,均为第一组。
A.0.19 广西壮族自治区的抗震设防烈度、设计基本地震加速度值和所属的设计地震分组应符合下列规定:
1 抗震设防烈度为7度,设计基本地震加速度值为0.15g:
灵山,田东。
2 抗震设防烈度为7度,设计基本地震加速度值为0.10g:
玉林,兴业,横县,北流,百色,田阳,平果,隆安,浦北,博白,乐业*。
3 抗震设防烈度为6度,设计基本地震加速度值为0.05g:
南宁(青秀、兴宁、江南、西乡塘、良庆、邕宁),桂林(象山、叠彩,秀峰、七星、雁山),柳州(柳北、城中、鱼蜂、柳南),梧州(长洲、万秀、蝶山),钦州(钦南、钦北),贵港(港北、港南),防城港(港口、防城),北海(海城、银海),兴安,灵川,临桂,永福,鹿寨,天峨,东兰,巴马,都安,大化,马山,融安,象州,武宣,桂平,平南,上林,宾阳,武鸣,大新,扶绥,东兴,合浦,钟山,贺州,藤县,苍梧,容县,岑溪,陆川,凤山,凌云,田林,隆林,西林,德保,靖西,那坡,天等,崇左,上思,龙州,宁明,融水,凭祥,全州。
注:全自治区县级及县级以上设防城镇,设计地震分组均为第一组。
A.0.20 海南省的抗震设防烈度、设计基本地震加速度值和所属的设计地震分组应符合下列规定:
1 抗震设防烈度为8度,设计基本地震加速度值为0.30g:
海口(龙华、秀英、琼山、美兰)。
2 抗震设防烈度为8度,设计基本地震加速度值为0.20g:
文昌,定安。
3 抗震设防烈度为7度,设计基本地震加速度值为0.15g:
澄迈。
4 抗震设防烈度为7度,设计基本地震加速度值为0.10g:
临高,琼海,儋州,屯昌。
5 抗震设防烈度为6度,设计基本地震加速度值为0.05g:
三亚,万宁,昌江,白沙,保亭,陵水,东方,乐东,五指山,琼中。
注:全省县级及县级以上设防城镇,除屯昌、琼中为设计地震第二组外,均为第一组。
A.0.21 四川省的抗震设防烈度、设计基本地震加速度值和所属的设计地震分组应符合下列规定:
1 抗震设防烈度不低于9度,设计基本地震加速度值不小于0.40g:
第二组:康定,西昌。
2 抗震设防烈度为8度,设计基本地震加速度值为0.30g:
第二组:冕宁*。
3 抗震设防烈度为8度,设计基本地震加速度值为0.20g:
第一组:茂县,汶川,宝兴;
第二组:松潘,平武,北川(震前),都江堰,道孚,泸定,甘孜,炉霍,喜德,普格,宁南,理塘;
第三组:九寨沟,石棉,德昌。
4 抗震设防烈度为7度,设计基本地震加速度值为0.15g:
第二组:巴塘,德格,马边,雷波,天全,芦山,丹巴,安县,青川,江油,绵竹,什邡,彭州,理县,剑阁*;
第三组:荥经,汉源,昭觉,布拖,甘洛,越西,雅江,九龙,木里,盐源,会东,新龙。
5 抗震设防烈度为7度,设计基本地震加速度值为0.10g:
第一组:自贡(自流井、大安、贡井、沿滩);
第二组:绵阳(涪城、游仙),广元(利州、元坝、朝天),乐山(市中、沙湾),宜宾,宜宾县,峨边,沐川,屏山,得荣,雅安,中江,德阳,罗江,蛾眉山,马尔康;
第三组:成都(青羊、锦江、金牛、武侯、成华、龙泽泉、青白江、新都、温江),攀枝花(东区、西区、仁和),若尔盖,色达,壤塘,石渠,白玉,盐边,米易,乡城,稻城,双流,乐山(金口河、五通桥),名山,美姑,金阳,小金,会理,黑水,金川,洪雅,夹江,邛崃,蒲江,彭山,丹棱,眉山,青神,郫县,大邑,崇州,新津,金堂,广汉。
6 抗震设防烈度为6度,设计基本地震加速度值为0.05g:
第一组:泸州(江阳、纳溪、龙马潭),内江(市中、东兴),宣汉,达州,达县,大竹,邻水,渠县,广安,华蓥,隆昌,富顺,南溪,兴文,叙永,古蔺,资中,通江,万源,巴中,阆中,仪陇,西充,南部,射洪,大英,乐至,资阳;
第二组:南江,苍溪,旺苍,盐亭,三台,简阳,泸县,江安,长宁,高县,珙县,仁寿,威远;
第三组:犍为,荣县,梓潼,筠连,井研,阿坝,红原。
A.0.22 贵州省的抗震设防烈度、设计基本地震加速度值和所属的设计地震分组应符合下列规定:
1 抗震设防烈度为7度,设计基本地震加速度值为0.10g:
第一组:望谟;
第三组:威宁。
2 抗震设防烈度为6度,设计基本地震加速度值为0.05g:
第一组:贵阳(南明、云岩、花溪、小河、乌当*、白云*),凯里,毕节,安顺,都匀,黄平,福泉,贵定,麻江,清镇,龙里,平坝,纳雍,织金,普定,六枝,镇宁,惠水,长顺,关岭,紫云,罗甸,兴仁,贞丰,安龙,金沙,印江,赤水,习水,思南*;
第二组:六盘水,水城,册亨;
第三组:赫章,普安,晴隆,兴义,盘县。
A.0.23 云南省的抗震设防烈度、设计基本地震加速度值和所属的设计地震分组应符合下列规定:
1 抗震设防烈度不低于9度,设计基本地震加速度值不小于0.40g:
第二组:寻甸,昆明(东川);
第三组:澜沧。
2 抗震设防烈度为8度,设计基本地震加速度值为0.30g:
第二组:剑川,嵩明,宜良,丽江,玉龙,鹤庆,永胜,潞西,龙陵,石屏,建水;
第三组:耿马,双江,沧源,勐海,西盟,孟连。
3 抗震设防烈度为8度,设计基本地震加速度值为0.20g:
第二组:石林,玉溪,大理,巧家,江川,华宁,峨山,通海,洱源,宾川,弥渡,祥云,会泽,南涧;
第三组:昆明(盘龙、五华、官渡、西山),普洱,保山,马龙,呈贡,澄江,晋宁,易门,漾濞,巍山,云县,腾冲,施甸,瑞丽,梁河,安宁,景洪,永德,镇康,临沧,凤庆*,陇川*。
4 抗震设防烈度为7度,设计基本地震加速度值为0.15g:
第二组:香格里拉,泸水,大关,永善,新平*;
第三组:曲靖,弥勒,陆良,富民,禄劝,武定,兰坪,云龙,景谷,宁洱(原普洱),沾益,个旧,红河,元江,禄丰,双柏,开远,盈江,永平,昌宁,宁蒗,南华,楚雄,勐腊,华坪,景东*。
5 抗震设防烈度为7度,设计基本地震加速度值为0.10g:
第二组:盐津,绥江,德钦,贡山,水富;
第三组:昭通,彝良,鲁甸,福贡,永仁,大姚,元谋,姚安,牟定,墨江,绿春,镇沅,江城,金平,富源,师宗,泸西,蒙自,元阳,维西,宣威。
6 抗震设防烈度为6度,设计基本地震加速度值为0.05g:
第一组:威信,镇雄,富宁,西畴,麻栗坡,马关;
第二组:广南;
第三组:丘北,砚山,屏边,河口,文山,罗平。
A.0.24 西藏自治区的抗震设防烈度、设计基本地震加速度值和所属的设计地震分组应符合下列规定:
1 抗震设防烈度不低于9度,设计基本地震加速度值不小于0.40g:
第三组:当雄,墨脱。
2 抗震设防烈度为8度,设计基本地震加速度值为0.30g:
第二组:申扎;
第三组:米林,波密。
3 抗震设防烈度为8度,设计基本地震加速度值为0.20g:
第二组:普兰,聂拉木,萨嘎;
第三组:拉萨,堆龙德庆,尼木,仁布,尼玛,洛隆,隆子,错那,曲松,那曲,林芝(八一镇),林周。
4 抗震设防烈度为7度,设计基本地震加速度值为0.15g:
第二组:札达,吉隆,拉孜,谢通门,亚东,洛扎,昂仁;
第三组:日土,江孜,康马,白朗,扎囊,措美,桑日,加查,边坝,八宿,丁青,类乌齐,乃东,琼结,贡嘎,朗县,达孜,南木林,班戈,浪卡子,墨竹工卡,曲水,安多,聂荣,日喀则*,噶尔*。
5 抗震设防烈度为7度,设计基本地震加速度值为0.10g:
第一组:改则;
第二组:措勤,仲巴,定结,芒康;
第三组:昌都,定日,萨迦,岗巴,巴青,工布江达,索县,比如,嘉黎,察雅,左贡,察隅,江达,贡觉。
6 抗震设防烈度为6度,设计基本地震加速度值为0.05g:
第二组:革吉。
A.0.25 陕西省的抗震设防烈度、设计基本地震加速度值和所属的设计地震分组应符合下列规定:
1 抗震设防烈度为8度,设计基本地震加速度值为0.20g:
第一组:西安(未央、莲湖、新城、碑林、灞桥、雁塔、阎良*、临潼),渭南,华县,华阴,潼关,大荔;
第三组:陇县。
2 抗震设防烈度为7度,设计基本地震加速度值为0.15g:
第一组:咸阳(秦都、渭城),西安(长安),高陵,兴平,周至,户县,蓝田;
第二组:宝鸡(金台、渭滨、陈仓),咸阳(杨凌特区),千阳,岐山,凤翔,扶风,武功,眉县,三原,富平,澄城,蒲城,泾阳,礼泉,韩城,合阳,略阳;
第三组:风县。
3 抗震设防烈度为7度,设计基本地震加速度值为0.10g:
第一组:安康,平利;
第二组:洛南,乾县,勉县,宁强,南郑,汉中;
第三组:白水,淳化,麟游,永寿,商洛(商州),太白,留坝,铜川(耀州、王益、印台*),柞水*。
4 抗震设防烈度为6度,设计基本地震加速度值为0.05g:
第一组:延安,清涧,神木,佳县,米脂,绥德,安塞,延川,延长,志丹,甘泉,商南,紫阳,镇巴,子长*,子洲*;
第二组:吴旗,富县,旬阳,白河,岚皋,镇坪;
第三组:定边,府谷,吴堡,洛川,黄陵,旬邑,洋县,西乡,石泉,汉阴,宁陕,城固,宜川,黄龙,宜君,长武,彬县,佛坪,镇安,丹风,山阳。
A.0.26 甘肃省的抗震设防烈度、设计基本地震加速度值和所属的设计地震分组应符合下列规定:
1 抗震设防烈度不低于9度,设计基本地震加速度值不小于0.40g:
第二组:古浪。
2 抗震设防烈度为8度,设计基本地震加速度值为0.30g:
第二组:天水(秦州、麦积),礼县,西和;
第三组、白银(平川区)。
3 抗震设防烈度为8度,设计基本地震加速度值为0.20g:
第二组:菪昌,肃北,陇南,成县,徽县,康县,文县;
第三组:兰州(城关、七里河、西固、安宁),武威,永登,天祝,景泰,靖远,陇西,武山,秦安,清水,甘谷,漳县,会宁,静宁,庄浪,张家川,通渭,华亭,两当,舟曲。
4 抗震设防烈度为7度,设计基本地震加速度值为0.15g:
第二组:康乐,嘉峪关,玉门,酒泉,高台,临泽,肃南;
第三组:白银(白银区),兰州(红古区),永靖,岷县,东乡,和政,广河,临潭,卓尼,迭部,临洮,渭源,皋兰,崇信,榆中,定西,金昌,阿克塞,民乐,永昌,平凉。
5 抗震设防烈度为7度,设计基本地震加速度值为0.10g:
第二组:张掖,合作,玛曲,金塔;
第三组:敦煌,瓜洲,山丹,临夏,临夏县,夏河,碌曲,泾川,灵台,民勤,镇原,环县,积石山。
6 抗震设防烈度为6度,设计基本地震加速度值为0.05g:
第三组:华池,正宁,庆阳,合水,宁县,西峰。
A.0.27 青海省的抗震设防烈度、设计基本地震加速度值和所属的设计地震分组,应符合下列规定:
1 抗震设防烈度为8度,设计基本地震加速度值为0.20g:
第二组:玛沁;
第三组:玛多,达日。
2 抗震设防烈度为7度,设计基本地震加速度值为0.15g:
第二组:祁连;
第三组:甘德,门源,治多,玉树。
3 抗震设防烈度为7度,设计基本地震加速度值为0.10g:
第二组:乌兰,称多,杂多,囊谦;
第三组:西宁(城中、城东、城西、城北),同仁,共和,德令哈,海晏,湟源,湟中,平安,民和,化隆,贵德,尖扎,循化,格尔木,贵南,同德,河南,曲麻莱,久治,班玛,天峻,刚察,大通,互助,乐都,都兰,兴海。
4 抗震设防烈度为6度,设计基本地震加速度值为0.05g:
第三组:泽库。
A.0.28 宁夏回族自治区的抗震设防烈度、设计基本地震加速度值和所属的设计地震分组应符合下列规定:
1 抗震设防烈度为8度,设计基本地震加速度值为0.30g:
第二组:海原。
2 抗震设防烈度为8度,设计基本地震加速度值为0.20g:
第一组:石嘴山(大武口、惠农),平罗;
第二组:银川(兴庆、金凤、西夏),吴忠,贺兰,永宁,青铜峡,泾源,灵武,固原;
第三组:西吉,中宁,中卫,同心,隆德。
3 抗震设防烈度为7度,设计基本地震加速度值为0.15g:
第三组:彭阳。
4 抗震设防烈度为6度,设计基本地震加速度值为0.05g:
第三组:盐池。
A.0.29 新疆维吾尔自治区的抗震设防烈度、设计基本地震加速度值和所属的设计地震分组应符合下列规定:
1 抗震设防烈度不低于9度,设计基本地震加速度值不小于0.40g:
第三组:乌恰,塔什库尔干。
2 抗震设防烈度为8度,设计基本地震加速度值为0.30g:
第三组:阿图什,喀什,疏附。
3 抗震设防烈度为8度,设计基本地震加速度值为0.20g:
第一组:巴里坤;
第二组:乌鲁木齐(天山、沙依巴克、新市、水磨沟、头屯河、米东),乌鲁木齐县,温宿,阿克苏,柯坪,昭苏,特克斯,库车,青河,富蕴,乌什*;
第三组:尼勒克,新源,巩留,精河,乌苏,奎屯,沙湾,玛纳斯,石河子,克拉玛依(独山子),疏勒,伽师,阿克陶,英吉沙。
4 抗震设防烈度为7度,设计基本地震加速度值为0.15g:
第一组:木垒*;
第二组:库尔勒,新和,轮台,和静,焉耆,博湖,巴楚,拜城,昌吉,阜康*;
第三组:伊宁,伊宁县,霍城,呼图壁,察布查尔,岳普湖。
5 抗震设防烈度为7度,设计基本地震加速度值为0.10g:
第一组:鄯善;
第二组:乌鲁木齐(达坂城),吐鲁番,和田,和田县,吉木萨尔,洛浦,奇台,伊吾,托克逊,和硕,尉犁,墨玉,策勒,哈密*;
第三组:五家渠,克拉玛依(克拉玛依区),博乐,温泉,阿合奇,阿瓦提,沙雅,图木舒克,莎车,泽普,叶城,麦盖堤,皮山。
6 抗震设防烈度为6度,设计基本地震加速度值为0.05g:
第一组:额敏,和布克赛尔;
第二组:于田,哈巴河,塔城,福海,克拉玛依(马尔禾);
第三组:阿勒泰,托里,民丰,若羌,布尔津,吉木乃,裕民,克拉玛依(白碱滩),且末,阿拉尔。
A.0.30 港澳特区和台湾省的抗震设防烈度、设计基本地震加速度值和所属的设计地震分组应符合下列规定:
1 抗震设防烈度不低于9度,设计基本地震加速度值不小于0.40g:
第二组:台中;
第三组:苗栗,云林,嘉义,花莲。
2 抗震设防烈度为8度,设计基本地震加速度值为0.30g:
第二组:台南;
第三组:台北,桃园,基隆,宜兰,台东,屏东。
3 抗震设防烈度为8度,设计基本地震加速度值为0.20g:
第三组:高雄,澎湖。
4 抗震设防烈度为7度,设计基本地震加速度值为0.15g:
第一组:香港。
5 抗震设防烈度为7度,设计基本地震加速度值为0.10g:
第一组:澳门。
附录B 土层剪切波速的确定
附录B 土层剪切波速的确定
B.0.1 甲类、乙类构筑物应根据原位测试结果确定土层的剪切波速值。
B.0.2 丙类构筑物可根据实测土层标准贯入值和土层上覆压力,按下式计算土层剪切波速值:

式中:υsi——第i土层的剪切波速(m/s);
N——标准贯入锤击数;
σv——土层上覆压力(kPa);
a、m、k——计算系数(指数),可按表B.0.2采用。
表B.0.2 计算系数(指数)a、m、k的取值

B.0.3 丁类构筑物,当缺少当地土层剪切波速的经验公式时,可由岩土性状按下式估计土层剪切波速值:

式中:υsi——第i土层的剪切波速(m/s);
hsi——第i层土中点处的深度(m);
c、b——土层剪切波速计算系数和计算指数,可按表B.0.3采用。
表B.0.3 计算系数a、b的取值

附录C 框排架结构按平面计算的条件及地震作用空间效应的调整系数
附录C 框排架结构按平面计算的条件及地震作用空间效应的调整系数
C.0.1 钢筋混凝土框排架结构,当同时符合下列条件时,可按横向或纵向多质点平面结构计算:
1 7度和8度。
2 结构类型和吊车设置应符合表C.0.1-1~表C.0.1-8中结构简图要求,且结构高度不大于图中规定值。
3 柱距6m。
4 无檩体系屋盖。
5 框排架结构跨度总和的适用范围应符合下列规定:
1)表C.0.1-1、表C.0.1-2适用于15m~27m;
2)表C.0.1-3、表C.0.1-4适用于38m~50m;
3)表C.0.1-5、表C.0.1-6适用于54m~66m;
4)表C.0.1-7、表C.0.1-8适用于45m~57m。
表C.0.1-1 框排架结构纵向计算时柱的空间效应调整系数(一)

表C.0.1-2 框排架结构横向计算时柱的空间效应调整系数(一)

表C.0.1-3 框排架结构纵向计算时柱的空间效应调整系数(二)

表C.0.1-4 框排架结构横向计算时柱的空间效应调整系数(二)

表C.0.1-5 框排架结构纵向计算时柱的空间效应调整系数(三)

表C.0.1-6 框排架结构横向计算时柱的空间效应调整系数(三)

表C.0.1-7 框排架结构纵向计算时柱的空间效应调整系数(四)

表C.0.1-8 框排架结构横向计算时柱的空间效应调整系数(四)

C.0.2 按平面结构计算时,应符合下列规定:
1 应采用振型分解反应谱法,其振型数不应少于6个。
2 不应计入墙体刚度、双向水平地震作用和扭转影响。
3 周期调整系数,横向可取0.9,无纵墙时纵向可取0.9,有纵墙时纵向可取0.8。
4 柱的地震作用效应应乘以表C.0.1-1~表C.0.1-8中相应的空间效应调整系数,框架梁端的空间效应调整系数可取其上柱和下柱的空间效应调整系数的平均值。
C.0.3 钢筋混凝土框排架柱,其柱段划分可按表C.0.3确定。
表C.0.3 框排架柱的柱段划分

附录D 框架梁柱节点核芯区截面抗震验算
附录D 框架梁柱节点核芯区截面抗震验算
D.0.1 一级和二级框架梁柱节点核芯区组合的剪力设计值应按下式确定:

式中:Vj——梁柱节点核芯区组合的剪力设计值;
hb0——梁截面的有效高度,节点两侧梁截面高度不等时可采用平均值;
a′s——梁受压钢筋合力点至受压边缘的距离;
Hc——柱的计算高度,可采用节点上、下柱反弯点之间的距离;
hb——梁的截面高度,节点两侧梁截面高度不等时可采用平均值;
ηjb——节点剪力增大系数,一级应取1.35,二级应取1.20;
∑Mb——节点左、右梁端反时针或顺时针方向组合弯矩设计值之和,一级时节点左、右梁端均为负弯矩时,绝对值较小的弯矩应取零。
D.0.2 9度时和结构类型为一级框架,可不按本规范式(D.0.1)确定,但应符合下式要求:

式中:∑Mbua——节点左、右梁端反时针或顺时针方向实配的正截面抗震受弯承载力所对应的弯矩值之和,可根据实配钢筋面积(计入受压筋)和材料强度标准值确定。
D.0.3 核芯区截面有效验算宽度应按下列规定采用:
1 核芯区截面有效验算宽度,当验算方向的梁截面宽度不小于该侧柱截面宽度的1/2时,可采用该侧柱截面宽度;当小于柱截面宽度的1/2时,可采用下列公式中的较小值:
bj=bb+0.5hc (D.0.3-1)
bj=bc (D.0.3-2)
式中:bj——节点核芯区的截面有效验算宽度;
bb——梁截面宽度;
hc——验算方向的柱截面高度;
bc——验算方向的柱截面宽度。
2 当梁、柱的中线不重合且偏心距不大于柱宽的1/4时,核芯区的截面有效验算宽度可采用本条第1款和下式计算结果的较小值:
bj=0.5(bb+bc)+0.25hc-e (D.0.3-3)
式中:e——梁与柱中线偏心距。
D.0.4 节点核芯区组合的剪力设计值应符合下式要求:

式中:ηj——正交梁的约束影响系数,楼板为现浇,梁柱中线重合,四侧各梁截面宽度不小于该侧柱截面宽度的1/2,且正交方向梁高度不小于框架梁高度的3/4时,可采用1.50,9度时宜采用1.25,其他情况均可采用1.00;
hj——节点核芯区的截面高度,可采用验算方向的柱截面高度;
γRE——承载力抗震调整系数,可采用0.85。
D.0.5 节点核芯区截面抗震受剪承载力应采用下列公式验算:

式中:N——对应于组合剪力设计值的上柱组合轴向压力较小值,其取值不应大于柱的截面面积和混凝土轴心抗压强度设计值的乘积的50%,当N为拉力时,可取N=0;
?yv——箍筋的抗拉强度设计值;
?t——混凝土轴心抗拉强度设计值;
Asvj——核芯区有效验算宽度范围内同一截面验算方向箍筋的总截面面积;
s——箍筋间距。
附录E 山墙抗风柱的抗震计算简化方法
附录E 山墙抗风柱的抗震计算简化方法
E.0.1 山墙抗风柱的抗震计算可根据实际支承情况按图E.0.1-1或图E.0.1-2计算,其地震作用由下列两部分组成:
1 山墙抗风柱承担其自重、两侧相应范围内山墙的自重及管道平台等重力荷载代表值所产生的地震作用,沿柱高可按倒三角形分布。
2 屋盖纵向地震位移所对应的山墙抗风柱的地震作用。

图E.0.1-1 单铰支承柱计算简图

图E.0.1-2 双铰支承柱计算简图
E.0.2 水平地震作用下抗风柱的铰支点反力可按下列规定确定:
1 地震作用按倒三角形分布的柱顶值可按下式计算:
qn=1.5α1Gi (E.0.2-1)
式中:α1——相应于厂房纵向基本自振周期的地震影响系数,可近似取为αmax;
Gi——抗风柱单位高度的自重和柱两侧按中线划分范围内的山墙自重,以及管道、平台自重和活荷载等折算为单位高度上的重力荷载代表值。
2 单铰支点反力可按下式计算:

3 双铰支点反力可按下列公式计算:

式中:Δ——屋盖纵向地震位移值,由结构纵向地震作用计算得出,可取山墙抗风柱所在跨两侧柱列的顶部纵向位移平均值乘以增大系数1.2;
δ11、δ22、δ12——单阶柱在单位水平力作用下的位移,下标第1个数字为位移点,第2个数字为力作用点;
I2、I1——分别为上柱、下柱的截面惯性矩;
Ec——混凝土弹性模量。
E.0.3 屋盖纵向地震位移产生的抗风柱铰支点反力可按下列公式计算:
1 单铰支点反力设计值:

2 双铰支点反力设计值:

E.0.4 抗风柱铰支点处的组合弹性反力可按下列公式计算:

E.0.5 柱各截面的地震作用效应,可根据支点反力和倒三角形分布的地震作用按悬臂构件计算。
E.0.6 山墙抗风柱的截面配筋验算应符合下列规定:
1 山墙抗风柱仅承受自重及水平地震作用时,应按受弯构件计算。
2 山墙抗风柱支承墙体和管道平台等自重时,应按偏心受压构件计算,其计算长度可按下列公式采用:
单铰支承柱:上柱 L02=2H2 (E.0.6-1)
下柱 L01=1.1H1 (E.0.6-2)
双铰支承柱:上柱 L02=1.5H2 (E.0.6-3)
下柱 L01=0.8H1 (E.0.6-4)
附录F 钢支撑侧移刚度及其内力计算
附录F 钢支撑侧移刚度及其内力计算
F.0.1 纵向支撑的侧移刚度可按下列方法计算:
1 按典型的纵向柱列支撑布置(图F.0.1)时,其纵向柱列的支撑侧移刚度可按下式计算:

式中:∑Kcb——厂房同一柱列中柱间支撑的侧移刚度之和;
∑Kwb——厂房同一柱列上屋架端部范围内垂直支撑的侧移刚度之和。
表F.0.1 支撑侧移刚度及内力计算公式

表F.0.1 支撑侧移刚度及内力计算公式






附录G 钢筋混凝土柱承式方仓有横梁时支柱的侧移刚度
附录G 钢筋混凝土柱承式方仓有横梁时支柱的侧移刚度
C.0.1 钢筋混凝土柱承式方仓有横梁时支柱的侧移刚度可按下列公式计算(图C.0.1):

式中:K——方仓有横梁时支柱的侧移刚度;
m——柱列数目;
δn——一个柱列在单位水平力作用下柱顶的水平位移;
h——支柱全高;
h1——梁以上柱高;
l——梁的跨度;
λh——梁的位置参数;
ζ——梁与边柱的线刚度比;
ζ1——梁与中柱的线刚度比;
n——一个柱列中柱的根数;
E——柱的混凝土弹性模量;
I——边柱截面惯性矩;
I1——中柱截面惯性矩;
Il——梁截面惯性矩。

图G.0.1 有横梁时支柱侧移刚度计算
h2——梁以下柱高
附录H 焦炉炉体单位水平力作用下的位移
附录H 焦炉炉体单位水平力作用下的位移
H.0.1 焦炉炉体横向单位水平力作用下的位移应按下式计算:

式中:δx——作用于焦炉重心处的单位水平力在该处产生的横向水平位移;
hz——基础构架柱(不计两端为铰接的柱)的计算高度,可取自基础底板顶面至基础顶板底面的高度;
Ix——基础构架单柱(不计两端为铰接的柱)截面对其纵轴(与焦炉基础纵向轴线平行)的惯性矩;
En——基础构架柱混凝土的弹性模量;
m——基础横向构架的种类数目;
ni——第i种横向构架的数量;
ki——第i种横向构架的刚度系数,当构架柱的截面尺寸相同时,可按表H.0.1取值。
表H.0.1 焦炉基础横向构架的刚度系数值

H.0.2 焦炉炉体纵向单位水平力作用下的位移应按下列公式计算:

式中:δy——作用于焦炉炉体重心处纵向单位水平力在该处产生的水平位移;
ηg——构架纵向位移系数;
δg——作用于焦炉基础隔离体炉体重心处纵向单位水平力在该处产生的水平位移,焦炉基础隔离体可按图H.0.2采用;
δ11——作用于前抵抗墙隔离体刚性链杆处纵向单位水平力在该处产生的水平位移;
Iy——基础构架的一个柱截面对其横轴(与焦炉基础横向轴线平行)的惯性矩;
n1、n2——分别为基础构架中两端固接柱与一端固接一端铰接柱的根数;
En——基础构架柱的混凝土弹性模量;
Id——前抵抗墙所有柱子的截面其横轴(与焦炉基础横向轴线平行)的惯性矩;
hd——基础底板顶面至抵抗墙斜烟道水平梁中线的高度,见图H.0.2。

图H.0.2 焦炉基础纵向各部位的结构隔离体
Ft—焦炉炉体与抵抗墙之间的温度作用标准值;h—基础底板顶面至焦炉顶水平梁的高度
H.0.3 前抵抗墙在斜烟道水平梁中线处的位移系数应按下式计算:

式中:η1——前抵抗墙在斜烟道水平梁中线处的位移系数。
H.0.4 抵抗墙炉顶水平梁处的位移系数应按下列公式计算:

式中:η2——抵抗墙在炉顶水平梁处的位移系数;
δ12——作用于前抵抗墙隔离体斜烟道水平梁中线处的单位水平力在炉顶水平梁处产生的水平位移;
δ22——作用于抵抗墙隔离体炉顶水平梁处的单位水平力在该处产生的水平位移;
δc——炉顶纵向钢拉条在单位力作用下的伸长;
h——基础底板顶面至炉顶梁水平中心线的高度;
lc——纵向钢拉条的长度;
nc——纵向钢拉条的根数;
Ag——纵向钢拉条的截面面积;
Eg——纵向钢拉条的弹性模量。
附录J 通廊横向水平地震作用计算
附录J 通廊横向水平地震作用计算
J.0.1 通廊横向水平地震作用计算简图(图J.0.1)宜按下列规定确定:

图J.0.1 通廊一端铰支一端自由的横向计算
1 通廊计算单元中的支承结构可视为廊身的弹簧支座。
2 廊身落地端和建(构)筑物上的支承端宜作为铰支座。
3 廊身与建(构)筑物脱开或廊身中间被防震缝分开处宜作为自由端。
4 计算时的坐标原点宜按下列规定确定:
1)两端铰支时,宜取最低端;
2)一端铰支一端自由时,宜取铰支端;
3)两端自由时,宜取悬臂较短端;悬臂相等时,宜取最低端。
J.0.2 通廊横向水平地震作用可按下列规定计算:
1 通廊横向自振周期可按下列公式计算:

式中:Tj——通廊第j振型横向自振周期;
mj——通廊第j振型广义质量;
mi——第i支承结构的质量;
Kj——通廊第j振型广义刚度;
mL——廊身单位水平投影长度的质量;
ψaj——第j振型廊身质量系数,可按表J.0.2采用;
Ki——第i支承结构的横向侧移刚度;
l——廊身单位水平投影长度;
Cj——第j振型廊身刚度影响系数,可按表J.0.2采用;
Yji——第j振型第i支承结构处的水平相对位移,可按表J.0.2采用。
表J.0.2 通廊横向水平地震作用计算系数


3 通廊第i支承结构顶部的横向水平地震作用标准值应按下列公式计算:

式中:Fji——第j振型第i支承结构顶端的横向水平地震作用标准值;
αj——相应于第j振型自振周期的地震影响系数,应按本规范第5.1.6条的规定确定;
γj——第j振型的参与系数;
Gji——第j振型第i支承结构顶端所承受的重力荷载代表值;
ηaj——第j振型廊身重力荷载系数,应按表J.0.2采用。
4 两端简支的通廊,中间有两个支承结构且跨度相近时,可仅取前2个振型;中间有一个支承结构且跨度相近时,可仅取第1、第3振型。
附录K 尾矿坝地震液化判别简化计算
附录K 尾矿坝地震液化判别简化计算
K.0.1 当坝体中饱和尾矿的液化率FL≤1.0时,应判为液化。液化率可按下式计算:
FL=R/L (K.0.1)
式中:FL——尾矿的液化率;
R——液化应力比;
L——地震作用应力比。
K.0.2 尾矿的液化应力比宜根据尾矿沉积状态通过动力试验确定;当无试验结果时,可按下列公式计算:

式中:c——试验条件修正系数,可取1.2;
λd——相对密度修正系数;
R15——固结比等于1、相对密度为50%、等价地震作用次数为15时的三轴试验液化应力比;
Nsf——震次修正系数,可按式(K.0.2-4)计算;
Dr——尾矿土的相对密度(%);
d50——中值粒径(mm);
Ne——等价地震作用次数,可按表K.0.2取值。
表K.0.2 等价地震作用次数

K.0.3 7度~9度时,四级和五级尾矿坝的地震作用应力比可按下式计算:

式中:σv——静总竖向应力(kPa);
σ′v——静有效竖向应力(kPa);
ah——设计基本地震加速度(g);
αm——坝坡加速度放大倍数,可取2.0;
γd——动剪应力折减系数,z≤20m时,γd=1-0.025z;z>20m时,γd=0.63-0.0065z;
z——距坝坡面的深度(m)。
附录L 尾矿坝时程分析的基本要求
附录L 尾矿坝时程分析的基本要求
L.0.1 采用时程分析法进行尾矿坝抗震计算时,应符合下列规定:
1 应按材料的非线性应力应变关系计算地震前的初始应力状态。
2 宜采用室内动力试验方法测定尾矿等材料的动力变形特性和抗液化强度。
3 宜采用等效线性或非线性时程分析法求解地震应力和加速度反应。
4 应根据地震作用效应计算沿滑动面的地震稳定性,并应验算坝体地震永久变形。
L.0.2 尾矿坝动力分析使用的地震加速度时程应符合下列规定:
1 应至少选取2条或3条类似场地和地震地质环境的地震加速度记录和1条人工模拟的地震加速度时程曲线。
2 人工模拟地震加速度时程的目标谱应采用场地的设计反应谱。
3 地震加速度时程的峰值应采用设计基本加速度值。
4 人工模拟地震加速度时程的持续时间可按表L.0.2取值。
表L.0.2 地震加速度时程的持续时间
附录M 尾矿坝地震稳定分析
附录M 尾矿坝地震稳定分析
M.0.1 采用瑞典条分法计算尾矿坝抗滑移安全系数时,应按下列公式计算:

式中:ψ——尾矿坝抗滑移安全系数;
r——条块滑移面的圆弧半径;
b——滑移体条块宽度;
θ——条块底面中点切线与水平线的夹角;
u——条块底面中点的孔隙水压力;
u′——条块底面中点的静孔隙水压力,采用总应力分析方法时,应取0;
ul——地震引起的条块底面中点的超孔隙水压力,可按式(M.0.3)计算;采用总应力分析方法时,应取0;
W——条块实际重力荷载标准值;
kh——水平地震系数,宜根据时程分析结果确定,或按本规范表N.0.1-1的1/2采用;
kv——竖向地震系数,可取水平地震系数的1/3,竖向地震作用方向向上时应取负号,向下时应取正号;
Mh——条块重心处水平地震作用标准值对圆心的力矩;
c、φ——分别为条块底部尾矿的凝聚力和摩擦角。
M.0.2 四级、五级尾矿坝的抗滑移安全系数可按下列公式计算:

式中:Fhk——作用在条块重心处的水平地震作用标准值;
ah——设计基本地震加速度值;
ξ——综合影响系数,可取0.25;
αi——质点i的动态分布系数,可按图M.0.2取值。

图M.0.2 尾矿坝坝体动态分布系数
M.0.3 地震引起条块底面中点的超孔隙水压力,可根据抗液化率按下式计算:

式中:σ′v——条块底面上的静有效竖向应力;
μ——抗液化率。
附录N 边墙与土体产生相对位移时的地震土压力计算
附录N 边墙与土体产生相对位移时的地震土压力计算
N.0.1 在水平均质地基中,当边墙与土体产生相对位移时,作用在刚性边墙上的地震土压力(包括静土压力)p(z)E及其沿深度的分布(图N.0.1),可按下列公式计算:

图N.0.1 边墙与土体产生相对位移时的地震土压力分布


式中:p(z)E——地面下z深度处作用在边墙上的地震土压力;
p(z)Eh——地面下z深度处作用在边墙上的水平地震土压力分量;
p(z)Ev——地面下z深度处作用在边墙上的竖直地震土压力分量;
K(Δ(z),θ)E——任意侧向位移条件下的地震土压力系数,可按式(N.0.1-6)或式(N.0.1-7)计算;
kh、θ——分别为水平地震系数和地震角,可按表N.0.1-1采用;
kv——竖向地震系数,8度、9度时,可取水平地震系数的1/3;6度、7度时可不计竖向地震影响;
δmoh——墙背有效摩擦角,可按式(N.0.1-4)或式(N.0.1-5)计算;
δ——墙背摩擦角,对混凝土墙面可取土的有效内摩擦角的1/4~1/3;
——土的有效内摩擦角;
γ——土层介质的重力密度;
z——从地面算起的土层深度;
R——土的侧向应变参数,可按式(N.0.1-8)或式(N.0.1-9)计算;
Δa、Δp——分别为达到主动和被动状态所需要的最大水平位移的绝对值,可近似取Δa=0.001H和Δp=0.01H;
Δ(z)——地面下z深度处的边墙与土体间的相对水平位移,可按式(N.0.1-10)计算,主动侧取负值,被动侧取正值;
Δ(z)W——地面下z深度处边墙的水平位移;
Δ(z)S、Δ(H)S——分别为地面下z和H深度处土体的水平位移,可用一维频域等效线性化波动分析方法计算或按经验公式(N.0.1-11)估算;
H——地面到边墙底缘的深度;
Hf——地面到设计基岩的最大深度;
K0——静止土压力系数,砂性土层可近似取K0=1-sin;
pa——大气压强,可取100kPa;
C、n——材料常数,可按式(N.0.1-13)~式(N.0.1-15)或由试验确定,n可取0.5;
G0——土的最大剪变模量,可按式(N.0.1-12)计算;
σ′m——土的平均有效应力;
e——土的孔隙比;
U——土的超固结比;
k——与黏性土的塑性指数Ip有关的常数,可按表N.0.1-2取值。
表N.0.1-1 水平地震力系数kh与地震角θ

表N.0.1-2 常数k的取值

N.0.2 边墙与土体产生相对位移时的地震土压力可按下列公式近似计算:

式中:p(z)Ea——刚性边墙主动地震土压力;
p(z)Ep——刚性边墙被动地震土压力;
Ea、Ep、h——分别为主动和被动地震土压力的合力和合力作用点高度;
KEa、KEp——分别为主动和被动土压力系数;
δ——墙背摩擦角,可按土的有效内摩擦角的1/3取值:
γ——土层介质的重力密度。
本规范用词说明
本规范用词说明
1 为便于在执行本规范条文时区别对待,对要求严格程度不同的用词说明如下:
1)表示很严格,非这样做不可的:
正面词采用“必须”,反面词采用“严禁”;
2)表示严格,在正常情况下均应这样做的:
正面词采用“应”,反面词采用“不应”或“不得”;
3)表示允许稍有选择,在条件许可时首先应这样做的:
正面词采用“宜”,反面词采用“不宜”;
4)表示有选择,在一定条件下可以这样做的,采用“可”。
2 条文中指明应按其他有关标准执行的写法为:“应符合……的规定”或“应按……执行”。
引用标准名录
引用标准名录
《建筑地基基础设计规范》GB 50007
《混凝土结构设计规范》GB 50010
《建筑抗震设计规范》GB 50011
《钢结构设计规范》GB 50017
《高耸结构设计规范》GB 50135
《混凝土结构工程施工质量验收规范》GB 50204
《建筑工程抗震设防分类标准》GB 50223
《建筑边坡工程技术规范》GB 50330
《厚度方向性能钢板》GB/T 5313
《中国地震动参数区划图》GB 18306
