Appearance
《工业建筑振动控制设计标准[附条文说明]》GB 50190-2020
🗓️ 住房和城乡建设部 实施时间:2021-03-01
前言
中华人民共和国国家标准
工业建筑振动控制设计标准
Standard for vibration control design of industrial buildings
GB 50190-2020
主编部门:中华人民共和国住房和城乡建设部
批准部门:中华人民共和国住房和城乡建设部
施行日期:2021年3月1日
中华人民共和国住房和城乡建设部公告
2020年 第158号
住房和城乡建设部关于发布国家标准《工业建筑振动控制设计标准》的公告
现批准《工业建筑振动控制设计标准》为国家标准,编号为GB 50190-2020,自2021年3月1日起实施。其中,第3.1.1、3.4.1、3.4.2条为强制性条文,必须严格执行。原国家标准《多层厂房楼盖抗微振设计规范》GB 50190-93同时废止。
本标准在住房和城乡建设部门户网站(www.mohurd.gov.cn)公开,并由住房和城乡建设部标准定额研究所组织中国计划出版社有限公司出版发行。
中华人民共和国住房和城乡建设部
2020年6月9日
前言
根据住房和城乡建设部《关于印发〈2005年工程建设标准规范制订、修订计划(第二批)〉的通知》(建标〔2005〕124号)的要求,标准编制组经广泛调查研究,认真总结实践经验,参考有关国际标准和国外先进标准,并在广泛征求意见的基础上修订本标准。
本标准的主要技术内容是:总则、术语和符号、基本规定、结构振动计算、单层工业建筑振动控制、多层工业建筑振动控制、多层工业建筑楼盖微振动控制、工业建筑振动测试、既有工业建筑振动控制措施等。
本次修订的主要技术内容是:
1.增加了正常使用、承载能力两种不同极限状态结构振动控制设计的规定;
2.增加了结构振动计算要求以及数值计算规定;
3.增加了单层工业建筑整体水平振动控制及屋盖竖向振动控制设计的规定;
4.增加了多层工业建筑整体水平振动控制、楼盖竖向振动控制设计的规定;
5.增加了工业建筑振动测试的规定;
6.增加了既有工业建筑振动控制设计的规定;
7.增加了提升结构振动控制性能的方法、措施等规定,包括结构体系、结构构造、刚度及阻尼调整等;
8.删除了与其他相关国家标准重复性内容,包括振动荷载、振动容许值等。
本标准中以黑体字标志的条文为强制性条文,必须严格执行。
本标准由住房和城乡建设部负责管理和对强制性条文的解释,由中国机械工业集团有限公司和中国中元国际工程有限公司负责具体技术内容的解释。执行本标准过程中如有意见或建议,请寄送中国机械工业集团有限公司(地址:北京市海淀区丹棱街3号,邮编:100080)或中国中元国际工程有限公司(地址:北京市海淀区西三环北路5号,邮编:100089)。
本标准主编单位:中国机械工业集团有限公司
中国中元国际工程有限公司
本标准参编单位:中国汽车工业工程有限公司
同济大学
大连理工大学
隔而固(青岛)振动控制有限公司
中国电子工程设计院有限公司
北方工程设计研究院有限公司
华北电力设计院工程有限公司
中国寰球工程有限公司
中国昆仑工程有限公司
中冶建筑研究总院有限公司
中国铁道科学研究院铁道建筑研究所
洛阳拖拉机研究所有限公司
秦皇岛玻璃工业研究设计院有限公司
本标准主要起草人员:徐建 张同亿 万叶青 吕西林 李宏男 尹学军 陈骝 张松 黎益仁 胡明祎 周建军 余东航 黄伟 王永国 李永录 杨俭 杨宜谦 鲁正 石诚 高星亮 邵晓岩 王建立 宫海军 张翠红 马素云 孙黎明 黄尽才 祖晓臣
本标准主要审查人员:周福霖 陈政清 王立军 范重 任书考 黄世敏 苏经宇 曾滨 邹宏
条文说明
中华人民共和国国家标准
工业建筑振动控制设计标准
GB 50190-2020
条文说明
编制说明
《工业建筑振动控制设计标准》GB 50190-2020,经住房和城乡建设部2020年6月9日以第158号公告批准发布。
本标准是在《多层厂房楼盖抗微振设计规范》GB 50190-93的基础上修订而成,上一版主编单位是机械工业部设计研究院,参编单位是:上海市建筑科学研究院、北方设计研究院、哈尔滨建筑工程学院、机械工业部第四设计研究院、航空航天部航空工业规划设计研究 院、中国电子工程设计院。主要起草人是: 刘纯康 、徐建、杨永明、 茅玉泉 、 郭长城 、沈健民、 叶鹤秀 、 邱澄亚 、程成武、 赵贞福 、刘世友、陈巍、朱本全。
本标准修订过程中,修订组进行了广泛的调查研究,总结了我国工程建设的实践经验和试验研究成果,同时参考了国外先进技术法规、技术标准。
为便于广大设计、施工、科研、学校等单位有关人员在使用本标准时能正确理解和执行条文规定,《工业建筑振动控制设计标准》修订组按章、节、条顺序编制了本标准的条文说明,对条文规定的目的、依据以及执行中需注意的有关事项进行了说明。但是,条文说明不具备与标准正文同等的法律效力,仅供使用者作为理解和把握标准规定的参考。
1 总则
1 总 则
1.0.1 为在工业建筑结构振动控制中贯彻国家相关法律法规及技术经济政策,确保工业建筑在振动荷载作用下满足结构安全、正常生产及环境要求,做到技术先进、经济合理,制定本标准。
条文说明
1.0.1 本条阐述本标准的指导思想和基本原则。根据工业建筑振动控制需求的特点,要求振动控制设计能够满足结构安全、正常生产及环境振动控制标准,并做到技术先进、经济合理。
1.0.2 本标准适用于工业建筑在机械振动荷载作用下结构振动控制设计,不适用于地震、风等其他激励作用下结构的振动控制。
条文说明
1.0.2 本标准适用于工业建筑在振动荷载作用下的结构振动控制设计,不适用于地震作用和风振作用下结构的振动控制。本标准不包括动力设备基础设计。
1.0.3 工业建筑振动控制设计除应符合本标准外,尚应符合国家现行有关标准的规定。
条文说明
1.0.3 进行工业建筑振动控制设计时,除应执行本标准外,尚应符合国家现行标准的有关规定。当本标准引用的标准年代号变更时,可直接引用新标准相关的规定。当本标准引用的标准名称、编号、内容变更时,应根据实际情况确定是否可以引用新标准中的相关规定;当本标准引用的标准废止时,设计时应进一步研究确定新的设计依据。
2 术语和符号
2.1 术语
2 术语和符号
2.1 术 语
2.1.1 建筑振动 building vibration
由振动荷载引起的建筑结构振动。
2.1.2 容许振动值 allowable vibration value
受振对象振动指标的限值。
2.1.3 水平振动 horizontal vibration
与地面平行的振动,用χ轴、У轴表示两个正交方向。
2.1.4 竖向振动 vertical vibration
与地面垂直的振动,用Ζ轴表示。
2.1.5 第一频率密集区 first frequency compact zone
振动荷载作用下,多跨连续结构在幅频特性曲线上首先出现的频率密集区。
2.1.6 振动控制 vibration control
对振动荷载源、振动传递路径或者建筑结构本身采取降低结构的振动响应的措施。
2.1.7 隔振 vibration isolation
采用弹性元件、阻尼元件或屏障减小振动传递的措施。
条文说明
2.1.1~2.1.7 所列术语是按现行国家标准《机械振动、冲击与状态监测词汇》GB/T 2298、《工程结构设计基本术语标准》GB/T 50083、《工程振动术语和符号标准》GB/T 51306的规定和本标准的专用名词编写的。
2.2 符号
2.2 符 号
2.2.1 作用和作用效应:
u——振动位移;
v——振动速度;
a——振动加速度;
F v ——振动荷载;
F v0 ——振动荷载幅值;
R——结构构件的抗力设计值;
S——效应设计值;
C——设备与仪器正常使用的效应限值;
δ——单位力作用下构件变形。
2.2.2 计算指标:
K——体系或构件刚度;
m——构件均布质量;
E——材料弹性模量;
f——结构自振频率;
f 0 ——设备振动荷载频率;
f e,min ——扫频区频率最小值;
f e,max ——扫频区频率最大值;
ε——扫频计算参数;
w——振动圆频率;
ζ——阻尼比。
2.2.3 几何参数:
A 0 ——设备基础面积;
B——山墙间距;
H——单层工业建筑柱顶高度;
I——构件截面惯性矩;
L——结构横向跨度、构件跨度;
r 0 ——设备基础折算半径。
条文说明
2.2.1~2.2.3 采用的符号系按现行国家标准《工程结构设计通用符号标准》GB/T 50132、《工程振动术语和符号标准》GB/T 51306的规定,并结合本标准的特点编写的。
3 基本规定
3.1 一般规定
3 基本规定
3.1 一般规定
3.1.1 工业建筑的振动控制,应满足设备与仪器正常使用要求以及结构与构件承载力要求。
条文说明
3.1.1 本条为强制性条文,必须严格执行。根据工程实践经验和相关规定,工业建筑振动设计应严格控制两方面指标:一是设备及仪器的正常使用要求,包括容许位移、速度、加速度等,以确保振动危害不影响生产及产品性能;二是结构与构件承载力要求,包括结构与构件的强度、疲劳等,以确保结构安全。以上两方面指标验算是强制性要求。
3.1.2 工业建筑振动控制设计应具备下列资料:
1 工程规划总图及工艺平面布置图;
2 设备与仪器平面布置图、设备名称、型号、外形及底座尺寸;
3 动力设备的振动荷载;
4 受控设备与仪器的容许振动标准;
5 结构平面图、剖面图;
6 建筑场地岩土工程勘察报告;
7 建筑周边的动力设备及环境振动资料,对振动控制有较高要求的建筑及人群分布资料。
条文说明
3.1.2 动力设备的振动荷载宜由设备制造厂提供,包括振动荷载的方向、幅值和频率,振动荷载作用点以及工作转速等,当设备制造厂不能提供时,按现行国家标准《建筑振动荷载标准》GB/T 51228的规定采用。
3.1.3 工业建筑振动控制设计应符合下列规定:
1 振动荷载应按现行国家标准《建筑振动荷载标准》GB/T 51228的有关规定确定;
2 容许振动标准应按现行国家标准《建筑工程容许振动标准》GB 50868的有关规定确定;
3 采取隔振措施时,应符合现行国家标准《工程隔振设计标准》GB 50463的有关规定。
3.1.4 工业建筑结构的自振频率应避开振动荷载频率。
条文说明
3.1.4 工业建筑自振频率应避开设备振动荷载的频率,避免发生振动荷载作用下的共振。 对于单层工业建筑,主要是控制一阶及二阶水平自振频率及屋盖系统、吊车梁系统的一阶及二阶竖向自振频率。 对于多层工业建筑,钢筋混凝土框架的水平自振频率在0.6Hz~3Hz,钢框架的水平自振频率多在0.5Hz~2Hz;当楼盖上安装有低速动力设备时,要避开一阶到三阶自振频率并进行水平振动计算;当安装高速动力设备时,要避开楼盖整体或局部的第一频率密集区且进行竖向振动计算。 频率避开的水平,对于水平振动宜将结构主要频率避开设备振动荷载频率的(1.0±0.3)倍范围;对于楼盖竖向振动,将结构的频率密集区避开设备振动荷载频率的(1.0±0.2)倍范围。当无法避开时,要采取改变结构动力特性或隔振等措施。
3.1.5 工业建筑结构在大型动力设备振动作用下,当振动控制不能满足正常使用要求时,应采取减小动力设备振动输出或隔振减振的措施。
条文说明
3.1.5 单层工业建筑地面设置大型动力设备,当结构振动验算不能满足要求时,考虑对动力设备采取设置单独基础并应与工业建筑基础脱开、隔振或其他举措,减小振动输出。
3.2 工业建筑选址及设备布置
3.2 工业建筑选址及设备布置
3.2.1 当工业建筑内设备及仪器对振动环境要求较高时,建筑选址宜远离有较大振动的振源。
条文说明
3.2.1 有振动控制要求的工业建筑选址及规划时,振动控制要求较高的工业建筑(包括精密仪器和精密加工厂房、实验室等工业建筑)一般设在距离铁路、公路主干道、锻造或冲压车间、铸造车间、炼钢和轧钢车间、大型空压站等振源较远的地点。对于不适宜建厂或经济上不合理的地址,可以迁址或调整总图规划。厂区内部既有振敏对象新增振源,或既有振源新增振敏对象时宜远离,并根据振动发展预测合理设计控制余量。
3.2.2 当工业建筑动力设备振动荷载较大时,厂址的选择宜避开软土、填土、液化土等不良地质;当无法避开时,应进行地基处理。
条文说明
3.2.2 当工业建筑动力设备的振动荷载较大时,如锻锤、落锤等大型动力设备,不宜建在软土、填土、液化土等不利地段。难以避开时,应进行地基处理或采用桩基础。
3.2.3 工业建筑工艺设计时,有较大振动的设备应与精密仪器和加工设备分区布置,普通加工设备宜与精密加工设备分区布置。
条文说明
3.2.3 精密加工区、精密仪器和精密设备应与振源设备分区布置;精密加工设备和精密仪器布置应避开毗邻电梯间、楼梯间和物料输送装置。
3.2.4 动力设备的布置宜符合下列规定:
1 自重较大且振动荷载较大的设备、冲击式机器宜布置在建筑的底层;
2 楼层上的动力设备宜沿楼盖主、次梁布置,竖向振动较大的设备宜布置在主梁端部区域;
3 建筑物的附属振动设备,宜集中布置在对精密加工和精密仪器振动影响较小的区域。
条文说明
3.2.4 多层工业建筑中较重、较大振动设备和冲击式机器宜布置在底层或地下室基础底板上,做大质量基础减振或做隔振基础;为本建筑物服务的空调机组、通风机、循环水或供水水泵、备用电源的发电机组,采取隔振、降噪措施后集中设置在对精密加工和精密仪器振动影响较小的区域。
3.3 结构选型及布置
3.3 结构选型及布置
3.3.1 工业建筑的结构选型应满足生产工艺和建筑功能的要求,并应符合下列规定:
1 承受振动荷载的工业建筑,宜采用钢筋混凝土结构、组合结构或钢结构;
2 工业建筑抗侧力结构的布置应与振动荷载作用方向协调;
3 结构的平面和竖向布置宜规则,传力路径应明确、合理;
4 多层工业建筑宜采用混凝土楼盖或组合楼盖。
条文说明
3.3.1 本条给出承受振动荷载作用的工业建筑结构造型要求,并优先采用钢筋混凝土结构、组合结构或钢结构及相应的楼盖形式,具体设计时,需要根据工艺特点、振动荷载大小、振动频率、施工要求等选择。对于受低频水平振动荷载影响的结构,优先考虑抗侧刚度相对较大的钢筋混凝土结构,或者采取措施提高钢结构抗侧刚度。
3.3.2 当工业建筑设置振动荷载较大的动力设备时,动力设备宜单独设置基础并与主体结构隔开。
条文说明
3.3.2 当动力设备振动荷载较大时,可单独设框架式或墙式动力设备基础与主体结构脱开。
3.3.3 振动控制要求较高的多层工业建筑内不宜设置起重机;当需要设置时,应设置独立的支承结构并与主体结构隔开。
条文说明
3.3.3 振动控制要求较严的多层工业建筑内可采用小车或传输线运输,不宜设置吊车,不宜在结构柱子上设置支承式起重机,也不宜在楼盖梁下设置悬挂式起重机。确实需要起重设备时,起重机支撑结构应与主体结构脱开单独设置,或者设置独立于工业建筑结构体系之外的门式起重机、悬臂起重机或摇臂起重机。
3.3.4 承受振动影响的工业建筑,当天然地基不能满足振动控制要求时,应进行地基处理或采用桩基础。
3.3.5 承受振动荷载的工业建筑结构,混凝土的强度等级不应低于C30。
3.4 结构振动验算
3.4 结构振动验算
3.4.1 工业建筑振动控制设计时,结构的正常使用极限状态应符合下式要求:

式中:S v ——正常使用极限状态振动荷载效应设计值;
C v ——设备与仪器正常使用的效应限值。
条文说明
3.4.1 本条为强制性条文,必须严格执行。本条规定的目的是确保工业建筑振动作用下设备能够正常使用。结构的正常使用极限状态验算主要包括振动荷载作用下容许的位移、速度、加速度验算及拉应力、裂缝验算等内容。
3.4.2 工业建筑振动控制设计时,结构的承载能力极限状态应符合下式要求:

式中:r 0 ——结构重要性系数;
S——承载能力极限状态下作用组合的效应设计值;
R——结构或构件的抗力设计值。
条文说明
3.4.2 本条为强制性条文,必须严格执行。本条规定的目的是确保工业建筑振动作用下,结构承载能力能够满足结构安全要求,结构承载能力验算包括结构和构件强度验算、必要的疲劳验算,验算要考虑振动荷载和静力荷载的效应组合。
3.4.3 结构构件在振动荷载作用下的疲劳验算,应按现行国家标准《混凝土结构设计规范》GB 50010和《钢结构设计标准》GB 50017的有关规定执行,荷载标准值应按本标准第3.4.7条的规定确定。
3.4.4 工业建筑承受振动荷载作用时,结构和构件的变形设计值应按下式计算:

式中:u——结构和构件的变形设计值;
u s ——结构和构件在静力荷载作用下的变形值;
u v ——结构和构件在振动荷载作用下的变形幅值。
3.4.5 工业建筑钢筋混凝土构件在振动荷载作用下的拉应力及裂缝验算时,构件截面内力组合设计值应按下式计算:

式中:S——结构构件内力组合设计值;
S s ——结构构件在静力荷载作用下内力组合设计值。
3.4.6 工业建筑构件承载力验算时,结构构件的振动荷载作用效应与其他静力荷载效应的基本组合应按下式计算:

3.4.7 工业建筑构件疲劳验算时,结构构件的振动荷载作用效应与其他荷载效应的标准值组合应按下式计算:

式中:S ks ——构件在静力荷载作用下内力组合的标准值。
条文说明
3.4.4~3.4.7 规定了结构构件在静力及振动荷载作用下的效应组合值。静力荷载包含恒荷载及除动力设备以外的可变荷载。 结构和构件在静力荷载作用下的变形、应力以及裂缝计算,荷载组合依据现行国家标准《建筑结构荷载规范》GB 50009,《混凝土结构设计规范》GB 50010,《钢结构设计标准》GB 50017和现行行业标准《组合结构设计规范》JGJ 138的规定实施。根据构件材料及形式不同、裂缝控制等级不同,分别考虑标准组合、准永久组合,另外还涉及是否考虑荷载长期作用等因素。 构件疲劳验算时,构件在静力荷载作用下内力组合标准值按现行国家标准《混凝土结构设计规范》GB 50010及《钢结构设计标准》GB 50017的规定计算。
3.4.8 工业建筑正常使用极限状态计算时,多振源振动荷载作用效应组合应符合下列规定:
1 当两个周期性振动荷载作用时,振动荷载作用效应组合值宜按下式计算:

式中:S v1 、S v2 ——第1个、第2个振动荷载作用效应。
2 当多个周期性振动荷载或稳态随机振动荷载组合时,振动荷载作用效应组合值宜按下列公式计算,并取两者中较大值:

式中:S vi ——第i个振动荷载作用效应值;
n——振动荷载的总数量;
S vmax1 ——振动荷载作用效应的第一较大值;
S vmax2 ——振动荷载作用效应的第二较大值。
3 当冲击荷载起控制作用时,振动荷载作用效应组合值宜按下式计算:

式中:S vp ——最大冲击荷载效应值。
条文说明
3.4.8 本条根据《建筑振动荷载标准》GB/T 51228编写,为方便使用,将其中周期性及稳态随机振动的多振源的均方根值效应组合,扩展为适用于均方根值及最大值组合。
4 结构振动计算
4.1 一般规定
4 结构振动计算
4.1 一般规定
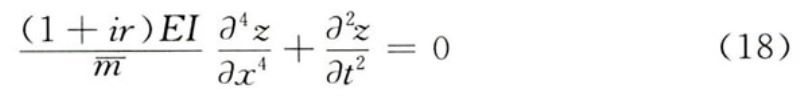
4.1.1 工业建筑结构的振动控制设计时,可对整体结构的水平振动与竖向振动分别计算。
条文说明
4.1.1 工业建筑振动计算时,可不考虑楼盖及屋盖的竖向振动和整体结构水平振动的相互影响。
4.1.2 结构水平向动力特性和振动响应的计算应符合下列规定:
1 宜采用数值分析方法并计入结构空间作用影响;
2 对于平面及竖向布置规则、结构质量及刚度分布均匀、楼盖刚度较大、振动荷载偏心小的结构,可按本标准第5章、第6章规定中简化方法的要求计算;
3 当振动荷载频率大于对应方向结构二阶频率时,可取振动荷载幅值的等效静力荷载进行计算。
条文说明
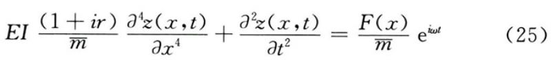
4.1.2 本条从结构布置以及空间受力特征出发,给出结构水平振动计算的方法选取规定。 对于平面及竖向布置规则、结构质量及刚度分布均匀、楼盖刚度较大、振动作用与结构抗侧刚度偏心小(偏心率不大于5% )且扭转效应小的结构,可采用简化方法:包括动应力放大系数方法(等效静力方法计算振动响应),以及响应放大系数方法(本方法也是基于解析解的动力分析方法,利用振动荷载幅值作用下的静位移和响应放大系数计算振动响应)。对于空间作用强、扭转耦联效应大的结构水平振动分析应采用数值计算方法。 当振动荷载频率大于对应方向结构水平振动二阶频率时,可取振动荷载幅值作为静力荷载,计算结构振动响应。第3款主要是基于标准编制组大量计算分析结果得到的结论。例如,某3跨×5跨四层钢筋混凝土框架结构,自振特性和采用相应振型频率的简谐荷载激励的计算结果如表1所示。 

根据表1计算结果可知,X、Y和扭转向只有第一阶放大系数大于1.0,分别为9.50,9.22和7.00,二阶频率以上振动响应放大系数小于0.25,因此,当振动荷载频率大于结构相应振动方向的二阶频率时,可不考虑动力放大系数,直接取振动荷载幅值按静力荷载计算即可。
4.1.3 楼盖及屋盖的竖向动力特性和振动响应计算应符合下列规定:
1 宜采用数值分析方法;
2 当符合下列条件时,可简化为单榀结构,按本标准第5章~第7章规定的方法进行竖向振动分析:
1)单层工业建筑屋盖竖向受力无空间协同作用时;
2)多层工业建筑楼盖的刚度和质量分布较均匀,各跨跨度最大相差不超过20%,且机器转速小于1500r/min时。
条文说明
4.1.3 本条从结构布置以及空间受力特征出发,给出结构竖向振动计算的方法选取规定。对于不等跨楼盖、特殊布置楼盖、振动荷载激励复杂的楼盖,其竖向振动分析宜采用数值计算方法。 简化计算中条件主要保证简化计算楼盖的动力特性、振动响应便捷可行,无论是采用连续梁还是单跨梁模型,解析解均方便计算且有可靠的精度保证。另外,对机器转速规定主要是保证避免楼盖高阶模态参与,不方便简化计算。根据设计经验,25Hz的要求对于工业建筑楼盖和屋盖,均不会出现三阶及以上的频率密集区。
4.1.4 结构动力特性和振动响应计算时,建筑重力荷载代表值应取结构和构配件自重标准值和各可变荷载组合值之和;可变荷载的组合值应符合下列规定:
1 计算结构整体自振频率、振动响应时,楼面活荷载可采用与主梁设计相同的荷载,并计入准永久值系数进行组合;
2 计算楼盖整体自振频率、竖向振动响应时,楼面活荷载采用与次梁设计相同的荷载,并计入准永久值系数进行组合;
3 计算楼盖局部自振频率、竖向振动响应时,楼面活荷载宜按实际情况计入。
条文说明
4.1.4 本条给出振动计算时参振质量的计算规定。其中可变荷载的参振质量取值过大不一定对振动控制更安全,具体要视设计结构为“趋共振前”还是“超共振后”分别取值;当不能准确确定楼面活荷载时,可以按下列原则取值:结构频率低于振动荷载频率时可取较小值,结构频率高于振动荷载频率时可取较大值。另外,本条要求也是基于工业建筑与民用建筑可变荷载取值不同规定的,主梁设计、次梁设计时楼面活荷载按《建筑结构荷载规范》GB 50009的规定取值。
4.1.5 结构振动计算时的阻尼比宜符合表4.1.5的规定。

条文说明
4.1.5 结构频率在振动荷载频率的0.7倍~1.3倍区间时,其共振效应较大,此时考虑阻尼作用。
4.1.6 结构振动计算时,混凝土、钢筋和钢材的材料强度、弹性模量、泊松比取值应按现行国家标准《混凝土结构设计规范》GB 50010和《钢结构设计标准》GB 50017的有关规定执行。
4.1.7 结构振动分析时,构件刚度的计算宜符合下列规定:
1 现浇楼盖及装配整体式楼盖,梁有效翼缘计算宽度宜按现行国家标准《混凝土结构设计规范》GB 50010的有关规定确定;楼板上的砂浆面层可计入厚度的1/2计算;
2 当设备基础与楼板有可靠连接时,宜计入基础对楼盖刚度的影响。
条文说明
4.1.7 本条给出了结构振动分析时构件截面参数取值的规定。主要是考虑楼板对梁刚度的影响,给出现浇楼板、叠合板、结构面层的翼缘作用及计算方法。另外,由于振动计算对楼盖频率反应敏感,所以尚应考虑设备基础及墙体对楼盖刚度的影响。
4.1.8 在单一周期性荷载作用下,结构的振动速度和振动加速度可按下列公式计算:

式中:v——振动速度(m/s);
a——振动加速度(m/s 2 );
u——振动位移(m);
ω——振动荷载圆频率(rad/s)。
4.2 结构振动分析数值计算方法
4.2 结构振动分析数值计算方法
4.2.1 采用数值计算方法进行结构振动分析时,应符合下列规定:
1 在谐波、周期性或频段较集中的振动荷载作用下,可在频域内采用传递函数方法进行结构振动分析;
2 在非稳定、非周期或频率成分比较复杂的振动荷载作用下,以及对受力复杂的结构进行动力分析,宜在时域内采用动力时程分析方法进行结构振动分析。
条文说明
4.2.1 本条针对振动荷载动力特性不同,要求采用适合的计算方法。对于谐波、周期性或者频段比较集中的振动荷载作用,稳态响应振动分析可在频域内采用传递函数方法计算;对于非稳定、非周期或者频率成分比较复杂的振动荷载作用,振动分析宜在时域内采用动力时程分析方法进行计算。其中动力时程分析方法是基于直接输入动力荷载求解结构振动响应的直接方法。
4.2.2 计算结构振动响应时,宜在振动荷载扫频区范围进行计算,并应符合下列规定:
1 当结构主导振型频率在扫频区范围内时,振动荷载频率取值间隔不宜大于0.5Hz,并应涵盖所有扫频区范围内的结构频率;
2 当结构一阶振型频率高于扫频区频率最大值时,振动荷载频率可取扫频区频率最大值;当结构主导振型最高频率低于扫频区频率最小值时,振动荷载频率可取扫频区频率最小值。
4.2.3 振动荷载扫频区频率最大值和最小值应按下列公式计算:

式中f e,min ——扫频区频率最小值(Hz);
f e,max ——扫频区频率最大值(Hz);
f e ——设备的振动荷载频率(Hz);
ε——扫频参数,按表4.2.3确定。

条文说明
4.2.2、4.2.3 这两条从结构自振频率和振动荷载频率的相互关系出发,给出结构振动计算的扫频方法计算规定。在结构动力计算过程中,计算模型与原始数据(刚度、质量等)很难和实际结构完全相符,考虑到工业建筑的自振频率的多阶特征以及可能的密集特征,加上计算的可能偏差、房屋使用时结构自振频率变化的可能性,以及设备运行的振动荷载频率变化可能性,要求采用动力设备的扰频变化方法,扫频计算找出结构共振的可能性,确保结构安全适用。 结构主导振型一般可取振型质量参与系数大于5%的振型。 另外,对于工作频率fe变动的机器,在计算fe,min时应采用fe的最小值,计算fe,max时应采用fe的最大值。
4.2.4 结构动力特性和振动响应的数值分析可采用有限单元法,计算单元的选取应符合下列规定:
1 结构整体水平振动应取独立结构单元进行计算,建筑物与附属建筑或构筑物相连时,应计入附属结构的影响;
2 楼盖竖向振动计算应取独立结构单元进行计算;当不计入层间传递时,可取振动荷载作用的楼层分别计算。
条文说明
4.2.4 结构振动分析应选取独立的结构单元进行计算,其中应包括相关的附属结构;另外,有限元模型尚应考虑填充墙等非结构构件对于整体刚度的影响。 计算设备荷载引起的本层楼盖竖向振动响应时,计算模型可仅取本层楼盖进行分析。计算设备荷载引起的其他楼层楼盖竖向振动响应时,计算模型宜取整体结构进行分析。
5 单层工业建筑振动控制
5.1 一般规定
5 单层工业建筑振动控制
5.1 一般规定
条文说明
本章适用于单层工业建筑在振动荷载作用下厂房基础振动、结构水平振动、屋盖及吊车梁等竖向振动的控制。单层工业建筑多采用独立基础,其地基承载力和基础沉降均受振动作用影响,设计时应予以控制。结构水平振动控制主要是屋盖水平振动响应控制,屋盖及吊车梁均为大跨度构件,需对其竖向振动予以控制。
5.1.1 当单层工业建筑屋盖设置动力设备时,应验算屋盖水平向及竖向振动荷载作用下的振动响应;当屋盖竖向振动速度超过20mm/s时,应进行屋盖在振动荷载作用下的承载力和疲劳验算。
条文说明
5.1.1 根据单层工业建筑结构受力特点,参照相关国际标准,单层工业建筑屋盖结构在振动速度超过20mm/s时,应进行振动作用下强度验算和疲劳验算。
5.1.2 单层工业建筑采用天然地基时,基础容许振动加速度宜按表5.1.2确定。

5.1.3 当锻锤、压力机、落锤、破碎机、磨机等动力设备的振动对单层工业建筑的基础有影响时,地基基础设计采用的地基土承载力特征值应计入振动影响折减系数,折减系数可按下式计算:

式中:α f ——建筑结构基础地基土承载力特征值振动影响折减系数;
a——动力设备基础振动加速度最大值(m/s 2 );
g——重力加速度(m/s 2 )
条文说明
5.1.3 根据工程经验,单层工业建筑结构在邻近大型动力设备振动荷载作用下,其地基承载力有所下降,基础设计时应对地基承载力予以折减后进行基础承载力验算。
5.2 结构振动计算
5.2 结构振动计算
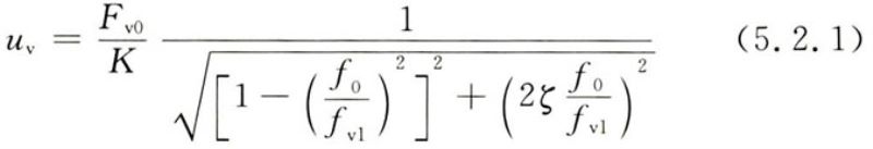
5.2.1 工业建筑的屋盖在竖向振动荷载作用下,设备作用点处的竖向振动位移可按下式计算:

式中:u v ——屋盖上动力设备作用点处的竖向振动位移(m);
F v0 ——屋盖上动力设备的振动荷载幅值(N);
K-——屋盖动力设备处的抗弯刚度(N/m);
ζ——工业建筑屋盖的阻尼比;
f 0 ——设备振动荷载频率(Hz);
f v1 ——屋盖一阶竖向自振频率(Hz)。
5.2.2 工业建筑的屋盖在水平振动荷载作用下,屋架下弦的水平振动位移可按下式计算:

式中:u——结构屋架下弦水平振动位移(m);
u 0 ——结构在振动荷载幅值作用下产生的静水平位移(m);
f h1 ——结构一阶水平自振频率(Hz)。
5.2.3 单层工业建筑横向一阶自振频率可按下列公式计算:

式中:f h1 ——单层工业建筑横向一阶自振频率(Hz);
L——建筑横向跨度(m);
H——建筑屋架下弦高度(m);

1 ——山墙影响系数,按表5.2.3-1确定;

2 ——侧墙类型影响系数;

3 ——屋盖类型影响系数,按表5.2.3-2确定。

注:1 B为山墙间距;2 当L/B为中间值时,山墙影响系数可采用线性插入法确定。

条文说明
5.2.1~5.2.3 单层工业建筑时常出现风机等动力设备设置在屋盖上的情况,本条给出屋盖水平振动响应和竖向振动响应的计算公式。其中,结构水平自振频率计算公式是根据实测资料回归的经验公式。其中,计算结构在振动荷载幅值作用下产生的静位移时,可按简化单榀屋架分析,分析时仅考虑受动荷载作用范围内屋架,不必考虑相邻屋架的空间作用共同工作,另外,抗弯刚度可按简支约束计算,这样计算结果偏于安全。
5.2.4 大型动力设备作用于地面时,结构柱基础的竖向振动位移可按下列公式计算:

式中:u——柱基础的振动位移幅值(m);
u 0 ——设备基础的振动位移幅值(m);
r——柱基中心至设备基础中心的距离(m);
r 0 ——设备基础折算半径(m);
A 0 ——设备基础面积(m 2 )。
5.2.5 大型动力设备作用于地面时,结构柱顶的竖向振动位移可按下式计算:

式中:u c ——结构柱顶竖向振动位移幅值(m);
η c ——柱顶振动传递系数,按表5.2.5确定。

5.2.6 大型动力设备作用于地面时,屋架的竖向振动位移可按下列公式计算:

式中: u c ——屋架支撑柱顶的振动位移平均幅值(m);
u cr ——屋架支撑右柱柱顶振动位移幅值(m);
u cl ——屋架支撑左柱柱顶振动位移幅值(m)。
条文说明
5.2.4~5.2.6 单层工业建筑在地面大型设备振动荷载作用下,经常出现邻近屋架竖向振动响应较大的情况,根据工程经验,给出屋架竖向振动响应的简化计算公式。
5.3 构件内力计算
5.3 构件内力计算
5.3.1 单层工业建筑内安装锻锤、落锤、压力机及空气压缩机等振动较大的动力设备时,结构构件的承载力验算应计入振动荷载作用的影响。
5.3.2 单层工业建筑在振动荷载作用下,结构内力可按本标准第4.2节的规定计算;对于非轻质屋盖结构,也可采用本节动应力放大系数方法进行简化计算。
条文说明
5.3.2 本节给出了在锻锤、压力机、空气压缩机及落锤等振动荷载较大的动力设备作用下,单层工业建筑的屋架、吊车梁等构件的动应力系数方法,主要用于振动荷载作用的动内力验算。 根据工程经验,结构设计习惯采用重力荷载乘动力系数方法,提高荷载作用后按静荷载计算结构强度,实践证明也是行之有效的。
5.3.3 单层工业建筑在振动荷载作用下,动应力放大系数宜符合下列规定:
1 屋盖结构动应力放大系数,宜按本标准第5.3.4条~第5.3.7条确定;
2 吊车梁动应力放大系数,可取1.05;
3 柱可不考虑动应力放大系数。
5.3.4 锻锤振动对屋盖结构动应力的放大系数可按表5.3.4确定。

注:当锻锤下落部分的公称质量为表中中间值时,屋盖结构动应力的放大系数可采用线性插入法确定。
条文说明
5.3.4 锻锤振动对屋盖结构动应力的放大系数取值时,尚应考虑屋盖结构距离锻锤基础距离的影响。一般而言,落锤振动影响半径可按表2确定,当两者距离接近锻锤振动对屋盖动应力影响半径时,屋盖结构动应力的放大系数取值可按表中数值减小0.05。 
5.3.5 落锤振动对屋盖结构动应力的放大系数可按表5.3.5确定。

注:当落锤冲击能量为表中中间值时,屋盖结构动应力的放大系数可采用线性插人法确定。
条文说明
5.3.5 落锤振动对屋盖结构动应力的放大系数为表3给出的落锤振动影响半径内的经验值,当距离接近或超过影响半径时,屋盖结构动应力的放大系数取值适当减小。其中一、二、三、四类土应按现行国家标准《动力机器基础设计标准》GB 50040的规定确定。 
5.3.6 空气压缩机振动对屋盖结构动应力的放大系数可按表5.3.6确定。

注:当空气压缩机基础垂直振动位移为表中中间值时,屋盖结构动应力的放大系数可采用线性插入法确定。
5.3.7 压力机振动对屋盖结构动应力的放大系数可按表5.3.7确定。

注:当压力机公称压力为表中中间值时,屋盖结构功应力的放大系数可采用线性插入法取值。
条文说明
5.3.6、5.3.7 这两条根据工程实测及统计分析,分别给出空气压缩机、压力机对于屋盖结构动应力的放大系数及适用范围。
5.4 振动控制构造措施
5.4 振动控制构造措施
5.4.1 单层工业建筑屋盖设置动力设备时,宜设置上弦支撑等加强屋盖整体水平刚度,可设置纵向支撑等加强屋盖之间的空间协同作用。
5.4.2 单层工业建筑内设置锻锤、落锤、压力机及空气压缩机等振动较大的动力设备时,墙体与柱应设置拉结措施,柱间宜设置垂直支撑。
5.4.3 单层工业建筑内设置落锤时,结构柱顶应设置联系横梁等拉结措施。
条文说明
5.4.1~5.4.3 针对动力设备振动影响,对单层工业建筑屋盖系统提出加强整体刚度措施,增强空间作用,减小振动响应;对主体结构、围护系统等提出措施要求,以保障振动状态影响下减小柱间沉降差,保证围护结构不发生平面外失稳。
6 多层工业建筑振动控制
6.1 一般规定
6 多层工业建筑振动控制
6.1 一般规定
条文说明
本章适用于多层工业建筑的水平振动及楼盖的竖向振动控制设计,其中楼盖竖向振动控制设计适用于动力设备作用点振动响应计算。
6.1.1 多层工业建筑的振动控制设计宜按下列程序进行:
1 确定振动荷载值和容许振动标准;
2 设定楼盖结构竖向自振频率目标值,当楼层上设置低频动力设备时,设定结构整体水平自振频率目标值;
3 确定抗侧力结构体系,当楼层上设置低频动力设备时,进行结构水平自振频率计算,直至满足设定目标;计算结构水平振动响应,并满足容许振动标准的要求;
4 确定楼盖体系,进行楼盖截面设计并计算楼盖竖向自振频率,直至满足设定目标;计算楼盖的竖向振动响应,并满足容许振动标准的要求。
条文说明
6.1.1 本条给出了多层工业建筑的振动控制设计内容及步骤:首先需确定设备布置需求以及振动荷载作用,根据设备振动荷载频率设定楼盖结构竖向自振频率、结构整体水平自振频率目标值,然后开展结构设计。 设计时,确保整体结构水平自振频率、楼盖的竖向自振频率避开设备的振动荷载频率;然后计算结构振动响应,并验算是否满足容许振动值需求,不满足时要调整结构和楼盖布置及构件截面,直至满足容许振动值需求。
6.1.2 当楼层上的动力设备转速较低、振动荷载较大时,宜采用框架-剪力墙结构、框架-支撑结构。
条文说明
6.1.2 本条针对冶金、纺织、建材等水平振动较大的工业建筑,当需要楼层上设置低转速、大振动荷载的动力设备时,提出了结构体系选择的一般要求。
6.1.3 承受振动荷载的工业建筑宜采用梁板式楼盖,梁最小高跨比宜符合表6.1.3的规定。

注:当振动荷载为表中中间值时,梁最小高跨比可采用线性插入法确定。
6.1.4 工业建筑楼盖承受振动荷载时,板厚不宜小于板跨的1/20,且不应小于120mm;不宜采用悬臂结构。
条文说明
6.1.3、6.1.4 根据已有的工程经验,对于承受动力设备作用的工业建筑,提出楼盖梁和楼板截面的要求,可供设计人员初步设计时选用。振动荷载大于3kN时,除了按本标准第6.1.5条要求采取隔振措施外,梁截面可在3kN规定值基础上,根据振动响应计算确定。如果对动力设备采取隔振措施,楼盖结构承受的振动荷载很小时,主次梁截面可适当放宽。
6.1.5 当楼盖结构上布置振动荷载为3kN~15kN的动力设备时,宜采取隔振措施;振动荷载超过15kN的动力设备,不宜布置在楼盖结构上。
条文说明
6.1.5 考虑到楼盖设计的可行性,根据既有工程经验,提出设备上楼的限制要求,以确保设计合理、安全适用。
6.1.6 动力设备设置于楼层或屋盖上,当符合下列条件之一时,支承结构可不进行振动荷载作用下的承载力、疲劳和裂缝验算:
1 当机器振动荷载不大于100N时;
2 当机器振动荷载不大于300N且振动荷载频率远离结构共振区时。
条文说明
6.1.6 当振动荷载较小时,按正常设计的楼盖结构满足相关标准构造措施情况下,如果判定机器不会引起结构共振效应时,可不做动力验算。
6.1.7 当建筑结构的振动不满足容许振动标准或结构承载力要求时,应采取隔振或减振措施。
条文说明
6.1.7 当建筑结构经过合理设计后,其振动仍不满足动力设备的容许振动标准或结构承载力要求时,应对动力设备采取隔振或减振措施或者对建筑结构本身采取措施;当建筑结构的振动不满足精密仪器的容许振动标准,但不涉及结构承载力要求时,可对精密仪器采取隔振措施。
6.2 结构振动计算
6.2 结构振动计算
Ⅰ 结构水平振动计算
6.2.1 工业建筑结构水平振动的计算模型应符合下列规定:
1 假定楼盖在平面内为刚性;
2 假定结构质量集中在楼盖标高处;
3 假定基础为刚性;
4 计入填充墙的作用。
条文说明
6.2.1 可假定楼盖在其平面内为绝对刚性,不考虑其平面内变形。此时,结构中的柱与墙在水平荷载下的变形主要为层间剪切变形,满足后面简化计算的要求。
6.2.2 水平振动的计算可采用振型分解法,可取振动效应方向的前两阶振型进行计算。
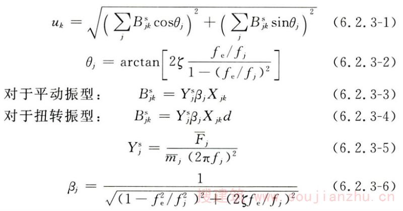
6.2.3 结构在每个振源作用下的水平振动响应可按下列公式计算:


式中:u k ——第k层控制点的位移幅值(m);

——振型j在折算振型荷载 F j ,作用下,第k层控制点产生的动位移(m);
θ j —j振型的滞后角(rad);

——振型j在折算振型荷载 F j ,作用下产生的振型静位移(m);
β j ——J振型的传递系数;
X jk ——j振型第k层的振型向量;
d——控制点在垂直于振动荷载作用方向上与结构质心的距离(m);
ζ——结构的阻尼比;
f e ——振动荷载的计算频率(Hz);
f j ——j振型的自振频率(Hz);

——j振型的折算振型荷载(N);

——j振型的折算振型质量(kg);
F k ——作用于第k层上的振动荷载(N);
m k ——第k层的有效质量或转动惯量(kg或kg·m 2 )。
条文说明
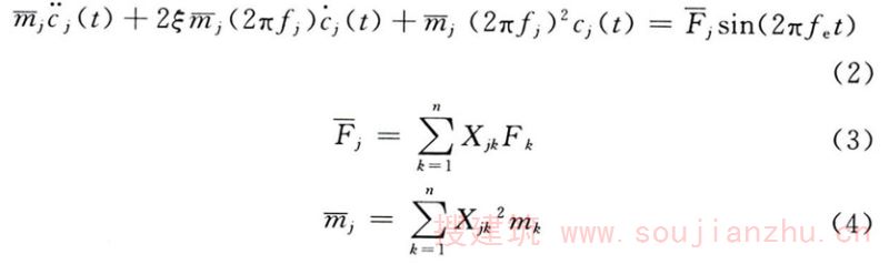
6.2.3 工业建筑水平振幅的计算通过振型分解法求得,振源产生的动力反应计算过程如下: 假设结构的简化体系共有n个质点,每个质点有一个自由度,质点k的质量以mk
表示[图1(a)]。该体系共有n个振型,j振型k质点的振型位移以X jk 表示。某一振源作用于质点k上的简谐荷载分别为F k sin(2πf e t),在该激励下质点k的位移以y k (t)表示。将各质点的位移振型分解,质点k的位移为:

其中,y k (t)是时间的函数,c j (t)为组合系数,也是时间函数。组合系数c j (t)由下列微分方程确定:


显然,式(2)为一个单自由度质点振动的运动微分方程,组合系数c j (t)相当于一个单自由度质点[图1(b)]的位移。这个单质点体系的质量为 m j ,刚度为 m j (2πf j ) 2 ,阻尼比与所考察的体系的阻尼比ζ相同,自振频率等于所考察体系振型j的自振频率f j ,质点上作用的力等于 F j sin(2πf e t),称这样的单质点体系为振型j的折算体系。这样,组合系数c j (t)的表达式可通过单自由度体系受迫振动的解得到。折算单自由度体系的稳态受迫振动可以写成如下形式:

其中,
为在j振型折算荷载 F j 作用下,折算体系产生的静位移。它等于力 F j 除以折算体系的刚度系数 m j (2πf j ) 2 ;β j 为折算体系的传递系数;θ j 为折算体系对外荷载激励的滞后角。
此时,质点位移可以写为:

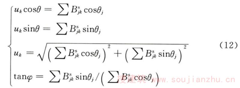
将式(11)的等号两端展开,令两端式中的COS(2πf e t)或sin(2πf e t)的系数相等,由此得到用以确定结构动位移u k 的表达式:

Ⅱ 结构竖向振动计算
6.2.4 楼盖在振动荷载作用下,振动荷载作用点的竖向振动响应可采用计入梁端约束条件的单跨梁模型进行简化计算。
6.2.5 采用单跨梁模型计算振动响应时,可采用下列规定进行计算假定:
1 柱可作为主梁的刚性支座;
2 主梁在振动荷载作用下静挠度小于次梁在振动荷载作用下静挠度的1/10时,主梁可视为次梁的刚性支座;
3 结构第一阶频率小于振动荷载频率时,主次梁节点可采用刚接模型;结构第一阶频率大于振动荷载频率时,主次梁节点可采用铰接模型;
4 采用刚接模型时,梁端支座刚度应乘以刚度降低系数,刚度降低系数可取0.95。
条文说明
6.2.5 当需要提高次梁的抗弯刚度而传统做法受到限制时,主次梁连接可以考虑刚性连接,此时应采取措施限制主梁扭转。主梁在振动荷载作用下静挠度小于次梁在振动荷载作用下静挠度的1/10时,主梁可视为次梁的刚性支座,否则应作为弹性支座处理。
6.2.6 单跨梁的一阶自振频率应符合下列规定:
1 非弹性支座刚接主梁的一阶自振频率可按下式计算:

式中:E——梁的弹性模量;
I——梁的截面惯性矩;
L——梁的跨度;

——梁上单位长度的等效均布质量,可按本标准第6.2.7条的规定计算。
2 弹性支座铰接次梁的一阶自振频率可按下式计算:

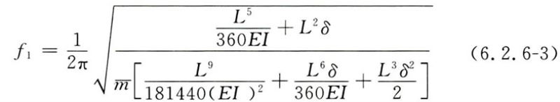
式中:δ L 、δ R 一一梁两端支座在单位力作用下的竖向变形。
3 弹性支座刚接次梁的一阶自振频率可按下式计算:

式中:δ——梁端支座在单位力作用下竖向变形。
条文说明
6.2.6 本条给出了典型单跨梁简化频率计算公式。其中,刚性支座刚接主梁计算简图如图2所示。两端弹性支座次梁的振动计算,主要包括两端弹性支座刚度不同的铰接次梁的振动计算(如图3所示),两端弹性支座刚度相同的刚接次梁的振动计算(如图4所示),其他情况可采用本标准公式简化得到。 
对于次梁铰接,两端弹性支座刚度相同的梁计算简图如图5所示。 
其一、二、三阶频率可按下列公式计算: 
当一端为刚性简支支座另一端为弹性支座梁,计算简图如图6所示。 
图6 一端为刚性简支支座另一端为弹性铰接支座梁计算简图 其基频可按下式计算: 
另外,对于一端为刚性刚接支座另一端为弹性铰接支座梁,计算简图如图7所示。

图7 一端为刚性刚接支座另一端为弹性铰接支座梁计算简图 其基频可按下式计算: 
6.2.7 梁上单位长度的等效均布质量可按下式计算:

式中:m u ——梁上单位长度的质量;
m i ——梁上第i点的附加集中质量;
k i ——质量换算系数,按表6.2.7确定。

注:α i 为第i个集中质量与较近支座的距离与梁跨度之比。
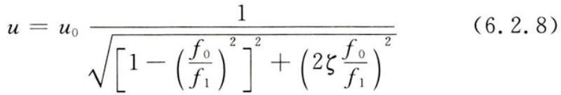
6.2.8 单跨梁的振动位移u可按下式计算:

式中:u 0 ——振动荷载幅值作用下梁产生的静竖向位移;
f 0 ——设备振动荷载频率。
6.3 结构振动控制措施
6.3 结构振动控制措施
Ⅰ 结构水平振动控制措施
6.3.1 水平振动作用较大的设备宜布置在较低楼层,设备振动荷载作用点宜与结构抗侧刚度中心重合;当水平振动设备布置在较高楼层时,结构抗侧刚度宜沿结构高度均匀布置。
条文说明
6.3.1 为避免结构扭转效应,设备振动荷载作用点宜与结构抗侧刚度中心重合,当存在多个振动荷载时,宜将各方向合力作用点与结构抗侧刚度中心重合。
6.3.2 为减小结构水平振动响应,对动力设备应采取下列措施:
1 动力设备振动荷载频率与结构自振频率接近时,宜对动力设备采取隔振减振、降低振动荷载等措施;
2 宜将动力设备水平振动荷载较大方向布置在结构水平自振频率与振动荷载频率相差较大的方向。
6.3.3 为减小结构水平振动响应,可采取下列措施:
1 增加剪力墙、支撑等抗侧力构件;
2 合理利用填充墙刚度,将刚性填充墙设置在对减小楼盖水平旋转振动最有效的位置上,并加强填充墙与主体结构的连接;
3 当工艺不允许增加抗侧力构件时,调整结构跨度或者增大构件截面;
4 当工业建筑与附属构筑物相连时,将附属构筑物配置在建筑的对称轴线上;
5 合理设置减振耗能部件或装置。
条文说明
6.3.2、6.3.3 结构整体水平振动过大时,针对性地给出两类措施:一是对动力设备采取隔振措施改变振动荷载大小和频率,或者调整设备布置方向。二是对结构采取措施,改变结构水平自振频率、增加结构抗侧刚度、增加结构阻尼等措施,减小振动响应。 结构楼盖自振频率调整可采用以下方法:调整主梁跨度、调整主次梁布置、调整主次梁及楼板截面或调整主次梁的边界约束条件等措施。
Ⅱ 结构竖向振动控制措施
6.3.4 动力设备在楼盖上的布置应符合下列规定:
1 动力设备宜布置在楼盖梁上;
2 上下往复运动的设备应布置在结构的竖向构件附近;
3 水平往复运动的设备宜布置在跨中部位,并应使较大振动荷载与梁同向。
条文说明
6.3.4 本条给出结构楼盖布置动力设备的要求。一般而言,动力设备应布置在楼盖梁上,不应布置在独立的板块上,以免引发板的高阶振动。上下往复运动的设备应布置在结构竖向构件附近,水平往复运动的设备应布置在跨中部位,并使振动荷载沿梁轴向作用。这些措施均是为了将设备振动荷载与结构刚度协调,降低结构振动响应。
6.3.5 当设备布置在单根梁上时,应采取措施避免梁产生扭转振动。
6.3.6 楼盖上的动力设备不应与主体结构竖向结构构件直接连接。
条文说明
6.3.6 动力设备不应与结构竖向构件直接连接,以降低振动作用直接传递。
6.3.7 结构楼盖自振频率与振动荷载频率接近时,应采取措施调整楼盖结构的自振频率,亦可对动力设备采用隔振、减振措施。
条文说明
6.3.7 结构楼盖自振频率调整可采用以下方法:调整主梁跨度、调整主次梁布置、调整主次梁及楼板截面或调整主次梁的边界约束条件等措施,也可以采取增加刚性支撑加强楼盖刚度的方法。
7 多层工业建筑楼盖微振动控制
7.1 一般规定
7 多层工业建筑楼盖微振动控制
7.1 一般规定
7.1.1 多层工业建筑在振动荷载小于600N的中小型机床、制冷压缩机、电机、风机或水泵等设备作用下,楼盖结构振动响应计算和振动控制设计应符合本章的规定。
条文说明
7.1.1 本条规定了楼盖微振控制设计的适用范围,本章给出的根据实测修正的计算方法是基于本条规定的特定试验条件和调查资料的条件下得到的。
7.1.2 当楼盖上设置加工表面粗糙度较粗的机床,且楼盖单位宽度的相对抗弯刚度不小于表7.1.2的规定时,可不做竖向振动计算。

注:1 机床分布密度为机床布置区的总面积除以机床台数;
2 板梁相对抗弯刚度比、楼盖单位宽度、相对抗弯刚度按本标准第7.2.2条的规定计算。
条文说明
7.1.2 本条为原规范编制组通过大量调研统计分析,给出的楼盖界限刚度限值。满足本条规定时,可不进行振动验算。条文中粗糙度“较粗”是指楼盖控制点合成振动速度峰值不大于1.5mm/s。
7.1.3 次梁间距不大于2m、板厚不小于80mm的肋形楼盖和预制槽板宽度不大于1.2m的装配整体式楼盖,其梁和板截面最小尺寸应符合表7.1.3的规定。

条文说明
7.1.3 本条基于微振动控制需要给出楼盖梁、板的最小尺寸,供设计人员在初步设计时借鉴。鉴于针对微振动控制振动荷载较小,本条规定比本标准第6.1.3条有所放松。
7.2 楼盖微振动计算
7.2 楼盖微振动计算
7.2.1 楼盖的竖向微振动计算模型宜符合下列规定:
1 振动荷载作用在主梁或次梁上时,宜沿主梁或次梁方向将楼盖视为彼此分开的单跨或多跨连续T形梁;
2 柱可作为主梁支座,主梁可作为次梁支座;
3 当连续梁超过5跨时,可按5跨计算;
4 楼盖的周边支承条件宜取简支。
条文说明
7.2.1 为了简化计算,标准编制组经过多年的试验研究分析,提出了简易实用且具有一定准确性的振动荷载作用点下振动位移的计算方法。该方法是将楼盖沿纵向视作彼此分开的多跨连续T形梁,当计算主梁上振动荷载作用点下的振动位移时,则可直接将主梁视作T形梁来计算。因此,楼盖的振动计算简化为T形单跨或多跨连续梁的计算模型。
7.2.2 楼盖的板梁相对抗弯刚度比宜按下列公式计算:

式中:α——板梁相对抗弯刚度比;
K p ——楼盖单位宽度相对抗弯刚度(N/m 2 );
K——主梁相对抗弯刚度(N/m 2 );
E——主梁的弹性模量(N/m 2 );
E p ——次梁的弹性模量(N/m 2 );
l——次梁的跨度(m);
l y ——主梁的跨度(m);
I——主梁的截面惯性矩(m 4 );
I p ——次梁或预制槽形板的截面惯性矩(m 4 );
c——次梁间距(m)。
条文说明
7.2.2 计算楼盖刚度时,其截面惯性矩可按下列规定确定:
(1)现浇钢筋混凝土肋形楼盖中梁的截面惯性矩,宜按T形截面计算,其翼缘宽度应取梁的间距,但不应大于梁跨度的一半;
(2)装配整体式楼盖中预制槽形板的截面惯性矩,宜取包括浇面层在内的预制槽形板的截面计算;
(3)装配整体式楼盖中主梁的截面惯性矩,宜按T形截面计算,其翼缘厚度宜取现浇面层厚度,翼缘的宽度应取主梁的间距,但不应大于主梁跨度的一半。
7.2.3 楼盖第一频率密集区内的最低和最高自振频率宜按下列公式计算:

计算主梁时:

计算次梁或预制槽形板时:

式中:f 1l ——楼盖第一频率密集区内最低自振频率(Hz);
f 1h ——楼盖第一频率密集区内最高自振频率(Hz);

——楼盖构件上单位长度的等效均布质量(kg/m),当有集中质量时,应按本标准第7.2.4条的规定计算;
l 0 ——楼盖构件的跨度(m);

l 
h ——自振频率系数,按表7.2.3确定。

条文说明
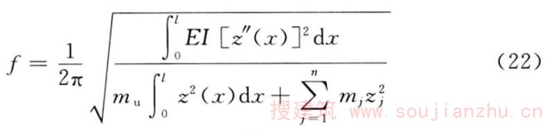
7.2.3 楼盖竖向自振频率的计算,按本标准第7.2.1条中提出的计算模式进行,即采用单跨或多跨连续梁的计算模型,由梁的自由振动方程式: 
可解得k振型自振频率: 
7.2.4 当楼盖构件上有均布质量和集中质量时,宜将两种质量按下式换算成等效均布质量:

式中:m u ——楼盖构件上单位长度的均布质量(kg/m);
m j ——楼盖构件上的集中质量(kg);
n——梁的跨数;
k j ——集中质量换算系数,按表7.2.4确定。

注:α j 为第j个集中质量与本跨左边支座间的距离与l 0 之比。
条文说明
7.2.4 在梁上同时具有均布质量mu和集中k质量mj时,用“精确法”求算该体系的自振频率和振型是十分复杂的,可近似地采用“能量法”将集中质量换算成均布质量,较简单地求出该体系的自振频率和振型。对于同时具有均布质量mu和集中质量mj的梁,假定其振型曲线z(x)与具有均布质量
梁的振型曲线相同。 当仅有均布质量mu时,体系的自振频率为: 
当既有均布质量mu,又有集中质量mj时,体系的自振频率为: 
令两者的自振频率和振型相同可得: 

7.2.5 当楼盖上设备转速均低于600r/min时,可仅计算楼盖第一频率密集区内最低自振频率。
7.2.6 计算楼盖的竖向振动响应时,楼盖的自振频率计算值宜按下列公式计算:


式中:f 1 ——楼盖第一频率密集区内最低自振频率计算值(Hz);
f 2 ——楼盖第一频率密集区内最高自振频率计算值(Hz)。
7.2.7 楼盖竖向微振动位移应符合下列规定:
1 当f 0 <f 1 时,可按下列公式计算:

2 当f 1 ≤f 0 ≤f 1l 时,可按下式计算:

3 当f 1l <f 0 ≤f 2 时,可按下列公式计算:

式中:u 0 ——振动荷载作用点处楼盖的竖向振动位移(m);
u st 一一振动荷载作用点处楼盖的静位移(m);
f 0 ——振动荷载频率(Hz);
F——振动荷载(N);
u 1 ——振动荷载频率f 0 与楼盖第一频率密集区最低自振频率计算值f 1 相同,且不考虑动力系数η时的竖向振动位移(m);
u 2 ——振动荷载频率f 0 与楼盖第一频率密集区最高自振频率计算值f 2 相同,且不考虑动力系数η时的竖向振动位移(m);
k st 、 k 1 、k 2 ——位移计算系数,可按本标准第7.2.9条确定;
ζ——楼盖的阻尼比;
ε——空间影响系数,当计算主梁的振动位移时,可取1;
η 1 、η 2 ——动力系数;

——振动荷载作用点位置修正系数,应按本标准第7.2.8条的规定采用。
条文说明
7.2.7 楼盖振动荷载作用点的竖向振动位移,采用了连续梁的计算模型,由梁的振动方程: 
可解得: 
如果略去相位角rk,并令sinωt=1,则得到梁上任一点x处的最大位移方程为: 
当连续梁第s跨作用有一集中振动荷载Fssinωt时,则: 
式中:xp——集中振动荷载Fssinωt离支座的距离。 
本标准采用连续梁模型来计算楼盖的自振频率和振动荷载作用点下的位移,由于做了简化处理,楼盖自振频率和位移计算必将产生一定的误差,标准做了以下考虑:计算连续梁第一密集区内最低和最高自振频率时考虑±20%的误差范围,如图8所示,然后将频率密集区内多条μ-f响应曲线汇成一条包络线a、b、c、d、e,从而可将多自由度体系用当量单自由度体系的形式来表达。 
7.2.8 振动荷载作用点位置的修正系数 
取值应符合下列规定:
1 当振动荷载作用点位于主梁上及三跨或两跨边跨的跨中板条上时,可取1;
2 当振动荷载作用点位于三跨中跨的跨中板条上时,可取0.8;
3 当振动荷载作用点位于单跨的跨中板条上时,可取1.2。
7.2.9 位移计算系数k st k 1 、k 2 可按表7.2.9确定。


7.2.10 当振动荷载不作用在跨中板条上时,作用点的竖向振动位移(图7.2.10)可按下列公式计算:

式中:u 01 、u 02 、u 03 、u 04 ——跨中板条上各振动荷载作用点的竖向振动位移(m);

u′ 01 、u′ 02 、u′ 03 、u′ 04 ——跨中板条以外的各振动荷载作用点竖向振动位移(m)。
7.2.11 计算楼盖竖向振动位移时,振动荷载的频率可取楼盖第一频率密集区内最低自振频率。
7.2.12 同一层楼盖上,振动荷载作用点以外各验算点的竖向振动位移可按下式计算:

式中:u r ——同一楼层上振动荷载作用点以外各验算点的竖向振动位移(m);
γ——振动位移传递系数,应按本标准附录A确定。
7.2.13 不同层楼盖上,第i受振层各验算点的竖向振动位移可按下式计算:

式中:u ri ——第i受振层上各验算点的竖向振动位移(m),验算点位置应符合本标准附录A第A.0.3条的规定;
α ri ——层间振动传递比,按表7.2.13确定。


7.3 楼盖微振动控制措施
7.3 楼盖微振动控制措施
7.3.1 当多层工业建筑有微振控制要求时,设备的布置应符合下列规定:
1 强烈振动的设备,应布置在建筑的底层;
2 较大振动的设备或对振动敏感的设备和仪器,应靠近承重墙、框架梁及柱等楼盖局部刚度较大的部位;
3 同时布置较大振动的设备和对振动敏感的设备、仪器时,应分类集中、分区布置,并宜设置分隔缝;
4 对振动敏感的设备和仪器,应远离产生较大振动的设备;
5 有水平振动荷载较大的设备时,振动荷载方向与结构水平刚度较大的方向宜一致。
7.3.2 设置在楼盖上的牛头刨床、砂轮机、制冷压缩机和水泵等设备,宜采取隔振措施。
7.3.3 动力设备与管道之间,宜采用弹性连接;管道应采取楼盖支承或悬挂,不得直接支承在墙、柱等竖向构件上;振动管道与建筑物连接部位应采取隔振、减振措施。
8 工业建筑振动测试
8 工业建筑振动测试
8.0.1 工业建筑结构振动测试应包括设计前、结构竣工后及设备安装调试后三阶段测试。
8.0.2 工业建筑设计前,应根据工业建筑的使用功能、内部设备使用环境要求,进行潜在振源调查并确定其影响程度,对工业建筑环境振动进行测试并评价环境振动水平。
8.0.3 工业建筑结构竣工后及设备安装调试后,应对振动敏感区域进行测试。
条文说明
8.0.1~8.0.3 振动测试分为设计前测试和竣工后测试,前者主要解决振动荷载输入问题,后者主要解决设计验证和确保满足使用要求工程验收问题。 工业建筑设计前,应根据建筑及其内部设备使用功能,对环境潜在振源进行现场测量后,可采用VC曲线评价环境振动水平,并评估采取措施后可否满足工业建筑功能要求。 工业建筑结构竣工后及设备安装调试后,应对振动敏感区域进行振动测试,测试工况包含环境振动及设备使用,以验证设计的准确性及保障建筑及设备可以正常使用。 敏感区域包括设备要求的振动控制点以及设计需要控制的部位,均为建筑及设备振动容许标准控制点。
8.0.4 工业建筑振动测量仪器的选择应符合下列规定:
1 当以精密设备为振动测试目标时,应采用倒摆式拾振器或对低频微幅振动较为敏感的传感元件;
2 当以普通设备为振动测试目标时,可采用磁电式拾振器或对中低频微幅振动较为敏感的传感元件;
3 当以大型设备为振动测试目标时,可采用磁电式和微机电系统式拾振器或对中高频大幅振动较为敏感的传感元件。
条文说明
8.0.4 测量仪器选择应根据振动响应及测试目标的特点选择,按本条规定选用。另外,如果测量仪器安置空间不满足测量条件,则需要协调测量精度和安置空间的矛盾。对于工程已经明确要求,可按要求进行拾振器精度、频率范围、量程范围等参数的选择;对于无明确要求,但可预估振动水平的工程,可由测试人员确定测试仪器的选择标准,包括拾振器的灵敏度、动态范围、量程上下限等参数。选用量程应覆盖振动响应的幅值变化上下限,避免拾振器因过载而受损。
8.0.5 振动荷载测试应符合下列规定:
1 振动荷载测试宜采用直接测试法;
2 除有特殊要求外,振动荷载测试点应取振动设备的支承点或振动荷载作用点。
条文说明
8.0.5 本条给出了振动荷载测试推荐方法、测点及测向要求。
8.0.6 工业建筑结构动力特性和响应的测试应符合下列规定:
1 当结构对称时,可按任一主轴水平方向测试;当结构不对称时,应按各个主轴水平方向分别测试;
2 精密装备微振动测试时,监测点应设在精密装备底部、支撑结构顶部或底部。
条文说明
8.0.6 设计中为便于设备安装布置,应掌握建筑结构两个方向的动力特性;对于精密装备的测试,其支撑结构包括基础或工作台等,要分别对支撑结构顶、底部测试振动荷载响应,以便于优化设计。
8.0.7 振动响应测试应符合下列规定:
1 对于超低频振动,宜测量振动位移和速度;
2 对于低频振动,宜测量振动速度和加速度;
3 对于中高频振动和高频振动,宜测量振动加速度。
条文说明
8.0.7 本条给出了振动响应测试要求,具体测试内容根据振动控制要求确定。
8.0.8 拾振器的安装应符合下列规定:
1 拾振器的灵敏度主轴方向应与测量方向一致;
2 拾振器应进行水平向和竖直向校平;
3 拾振器应与测量目标紧密连接。
8.0.9 振动测量过程中应保持振源处于正常工作状态,并应避免其他振源和环境因素对振动测量的干扰。
8.0.10 振动测量应在振动响应最大时段进行,环境振动测量尚应在昼间和夜间分别进行。
8.0.11 振动测试采样频率宜为扫频区频率最大值的3倍,建筑物测试采样频率不应低于256Hz。
条文说明
8.0.11 对于工业建筑内设备自身或刚性基础顶部振动测试,当设备转速较高时,应该采用扫频区频率最大值的3倍作为采样频率;当对建筑物主体结构如楼板、梁顶测试时,由于传递到该部分结构上的卓越频段上限一般低于80Hz,所以采样频率取值256Hz即可满足使用。
8.0.12 环境振动测量的测点数量不宜少于3个;楼板振动测试面积不大于20m 2 时应至少选取1个测点,测试面积大于20m 2 时应至少选取3个测点。
条文说明
8.0.12 为全面评估环境及楼板振动响应的传递与衰减规律,本条对测点数量给出要求。对环境测试,测点应考虑振源特点,沿振动传递方向测试研究衰减及传递规律,垂直振动传递方向测试可能发生的极值。对楼板振动测试时,测点应选在人员或设备主要分布区域的振动敏感位置,当振动敏感位置无法确定时,测点应均匀分布。
8.0.13 振动测试的时长应根据振动响应特征确定,并应确保主要振动响应信息、数据分析结果等数据真实反映振动特征。
条文说明
8.0.13 对于测试时长,周期性振动测试时长不宜小于最低卓越频率对应周期的10倍;平稳性随机振动测试时长不宜小于300s;非平稳性随机振动测试以及连续振动测试,可根据实际需要进行长时连续振动测试。
8.0.14 每个测点有效记录不得小于3次,测试结果宜取3次测试数据的平均值。
8.0.15 建筑结构的传递率分析,宜采用多点同步测试结果。
条文说明
8.0.15 在实际测试过程中,如果由于特殊原因不能保持同步测量,则至少应保持不低于2个测点同步测量,并根据测量经验进行每组测点搭接测试,通过搭接测试方法,确保最终测试数据在非同步测量条件下,可以获取相对较为稳定的环境振动信息。
9 既有工业建筑振动控制措施
9 既有工业建筑振动控制措施
9.0.1 当既有工业建筑的振动不能满足容许振动标准要求时,可采取下列措施:
1 降低振源产生的振动荷载;
2 改变结构刚度;
3 增加结构阻尼;
4 设备隔振与减振。
条文说明
9.0.1 本条给出了既有工业建筑振动幅值超标时,振动控制的四项常用处理办法。强振超标时则采用第2、3项办法处理,结构改造困难时,可采取第1、4项办法处理。
9.0.2 降低振源产生的振动荷载可采取下列措施:
1 减小设备的偏心距,改善设备动平衡性能;
2 调整设备布置方向或布置区域;
3 动力设备主动隔振。
条文说明
9.0.2 本条给出了减小设备振动输出的几条措施:其中对于设备安装调试不良或长期使用磨损的设备使用措施;措施二调整布置区域及布置方向方案是解决楼盖竖向刚度及结构水平刚度不相同的情况;前两项措施不宜使用时,应考虑措施三动力设备隔振。
9.0.3 改变结构刚度可采用调整跨度、设置支撑、改变构件截面、施加体外预应力等措施。
条文说明
9.0.3 当既有建筑振幅过大时,大部分情况下要求增加结构刚度。 减小楼盖或梁的跨度一般可采用增加竖向构件或支撑的方法,增大构件截面一般可采用粘钢加固或外包混凝土方法。 改变支承边界条件,可采用以下方法:一是主次梁由铰接变为刚接;二是增加主梁抗扭刚度,减小次梁转角;三是增加主梁截面,加大次梁弹性支承刚度等。
9.0.4 增加结构阻尼可采取下列措施:
1 增设隔墙等非结构构件;
2 设置调频质量阻尼器;
3 增设消能部件。
条文说明
9.0.4 对于设备振动荷载处于结构共振区且不宜改变结构自振动力特性时,可考虑增加结构阻尼方法降低振动荷载响应。
附录A多层工业建筑楼盖微振动位移传递系数简化计算
附录A 多层工业建筑楼盖微振动位移传递系数简化计算
A.0.1 工业建筑跨数少于或等于3跨的现浇钢筋混凝土肋形楼盖或带现浇钢筋混凝土面层的预制槽形板楼盖,当板梁相对抗弯刚度比在0.4~3.0范围内时,楼盖微振动位移传递系数宜按本附录的规定进行简化计算。
A.0.2 振动位移传递系数的计算应符合下列规定:
1 当f 1 ≤f 0 ≤f 1l 时,应按下列规定计算:
1)当振动荷载作用点在梁中或板中、振动验算点也在梁中或板中时,振动位移传递系数γ可按下式计算:

式中:γ 1 ——振动荷载作用点在梁中或板中,机器振动荷载频率不小于楼盖第一频率密集区域内最低自振频率计算值,且不大于楼盖第一频率密集区内最高自振频率时,楼盖上其他梁中或者板中某验算点的振动位移传递系数,可按本附录第A.0.3条的规定确定。
2)当振动荷载作用点不在梁中或板中、振动验算点在梁中或板中时,振动位移传递系数可按下式计算:

式中:ρ——振动荷载作用点位置换算系数,可按本附录第A.0.4条的规定确定。
3)当振动验算点不在梁中或板中时,振动位移传递系数可按本附录第A.0.5条的规定确定。
2 当f 0 <f 1 时,振动位移传递系数可按本附录第A.0.6条的规定确定。
A.0.3 振动荷载作用点在梁中或板中,振动荷载频率不小于楼盖第一频率密集区内最低自振频率计算值,且不大于楼盖第一频率密集区内最高自振频率时,楼盖的其他各梁中或板中振动验算点(图A.0.3)的振动位移传递系数γ 1 可按表A.0.3确定。


A.0.4 振动荷载作用点位置换算系数ρ,可按下列规定计算:
1 当振动荷载作用点在梁上,振动验算点位于A区时(图A.0.4),振动荷载作用点位置换算系数ρ可按表A.0.4-1确定;

2 当振动荷载作用点在板上,根据振动荷载作用点和振动验算点的位置,对所计算的楼盖进行分区(图A.0.4);其中:C区为振动荷载作用点所在区,A区为距振动荷载作用点(4点、5点、6点)较近一侧的区域,B区为距振动荷载作用点(4点、5点、6点)较远一侧的区域,D区为与C区在同一跨的区域,单跨楼盖无D区。

1)当振动荷载作用点在板上,振动验算点位于A区、B区、C区时,振动荷载作用点位置换算系数ρ可按表A.0.4-2确定;

2)当振动荷载作用点在板上,振动验算点在D区时,振动荷载作用点位置换算系数ρ可按A区、B区的数值,由线性插入法计算。
A.0.5 振动验算点不在梁中或板中时,振动位移传递系数γ应按下列规定确定:
1 当振动验算点与振动荷载作用点在不同区格时,可先求出振动验算点所在区格梁中的振动位移传递系数γ a 和γ c 、板中的振动位移传递系数γ b ,再计算振动验算点的振动位移传递系数(图A.0.5);

2 当振动验算点与振动荷载作用点在同一区格时,振动验算点的振动位移传递系数可按表A.0.5计算。

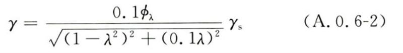
A.0.6 机器振动荷载频率f 0 小于楼盖第一频率密集区内最低自振频率计算值f 1 时,振动位移传递系数γ可按下列公式计算(图A.0.6):

当0<λ≤0.5时:

当0.5<λ≤0.95时:

当0.95<λ≤1时:

式中:λ——机器振动荷载频率与楼盖第一频率密集区内最低自振频率计算值的比值;
γ s ——机器振动荷载频率与楼盖第一频率密集区内最低自振频率计算值相同时的振动位移传递系数;
λ ——调整系数,按本附录第A.0.7条的规定确定。
A.0.7 调整系数F λ 可按表A.0.7确定。

本标准用词说明
本标准用词说明
1 为便于在执行本标准条文时区别对待,对要求严格程度不同的用词说明如下:
1)表示很严格,非这样做不可的:
正面词采用“必须”,反面词采用“严禁”;
2)表示严格,在正常情况下均应这样做的:
正面词采用“应”,反面词采用“不应”或“不得”;
3)表示允许稍有选择,在条件许可时首先应这样做的:
正面词采用“宜”,反面词采用“不宜";
4)表示有选择,在一定条件下可以这样做的,采用“可”。
2 条文中指明应按其他有关标准执行的写法为:“应符合……的规定”或“应按……执行”。
引用标准名录
引用标准名录
《混凝土结构设计规范》GB 50010
《钢结构设计标准》GB 50017
《工程隔振设计标准》GB 50463
《建筑工程容许振动标准》GB 50868
《建筑振动荷载标准》GB/T 51228
