Appearance
《约束砌体与配筋砌体结构技术规程[附条文说明]》JGJ 13-2014
🗓️ 住房和城乡建设部 实施时间:2014-12-01
前言
中华人民共和国行业标准
约束砌体与配筋砌体结构技术规程
Technical specification for constrained or reinforced masonry buildings
JGJ 13-2014
批准部门:中华人民共和国住房和城乡建设部
施行日期:2014年12月1日
中华人民共和国住房和城乡建设部公告
第393号
住房城乡建设部关于发布行业标准《约束砌体与配筋砌体结构技术规程》的公告
现批准《约束砌体与配筋砌体结构技术规程》为行业标准,编号为JGJ 13-2014,自2014年12月1日起实施。其中,第5.1.1、5.1.5、5.1.8、5.1.12、5.3.1、6.3.2条为强制性条文,必须严格执行。原《设置钢筋混凝土构造柱多层砖房抗震技术规程》JGJ/T 13-94同时废止。
本规程由我部标准定额研究所组织中国建筑工业出版社出版发行。
中华人民共和国住房和城乡建设部
2014年4月29日
前言
根据原建设部《关于印发<2002~2003年度工程建设城建、建工行业标准制订、修订计划>的通知》(建标[2003]104号)的要求,规程编制组经广泛调查研究,认真总结实践经验,参考有关国际标准和国外先进标准,并在广泛征求意见的基础上修订了《设置钢筋混凝土构造柱多层砖房抗震技术规程》JGJ/T 13-94。
本规程主要技术内容是:1.总则;2.术语和符号;3.材料;4.静力设计;5.抗震设计;6.构造要求;7.施工质量控制、检验及验收要点。
本规程修订的主要内容是:1.将原规程的应用范围扩大,使之适用于约束砌体与配筋砌体房屋;2.规程的内容由单一的设置构造柱多层砖房抗震设计扩大到约束砌体与配筋砌体房屋的静力设计、抗震设计;3.增加了约束砌体与配筋砌体房屋的静力设计规定;4.补充与完善了约束砌体与配筋砌体房屋的构造要求;5.增加了施工检验与验收的相关规定。
本规程以黑体字标志的条文为强制性条文。必须严格执行。
本规程由住房和城乡建设部负责管理和对强制性条文的解释,由中国建筑科学研究院负责具体技术内容的解释。执行过程中如有意见或建议,请寄送中国建筑科学研究院(地址:北京市北三环东路30号,邮编:100013)。
本规程主编单位 :中国建筑科学研究院
巨匠建设集团有限公司
本规程参编单位 :北京市建筑设计研究院有限公司
同济大学
辽宁省建筑设计研究院
中国地震局工程力学研究所
浙江宝业建设集团有限公司
西部建筑抗震勘察设计研究院
昆明理工大学
北京市建设工程安全质量监督总站
本规程主要起草人员 :程绍革 唐曹明 程才渊 周炳章 张前国 史铁花 郑刚 苗启松 冯云法 沙安 张耀 熊立红 葛兴杰 潘文 徐良
本规程主要审查人员 :莫庸 梁建国 沙志国 张惠江 黄世敏 徐厚军 李学兰 李英民 金来建 肖伟
条文说明
中华人民共和国行业标准
约束砌体与配筋砌体结构技术规程
JGJ13-2014
条文说明
修订说明 《约束砌体与配筋砌体结构技术规程》JGJ13-2014,经住房和城乡建设部2014年4月29日以第393号公告批准、发布。 本规程是在《设置钢筋混凝土构造柱多层砖房抗震技术规程》JGJ/T13-94的基础上修订而成,上一版的主编单位是中国建筑科学研究院,参编单位是大连理工大学、国家地震局工程力学研究所、北京市建筑设计院、上海建筑材料工业学院、空军工程设计研究局和辽宁省建筑设计院。主要起草人是龚思礼、刘立泉、刘雯、吴明舜、张前国、邬瑞峰、周炳章、郑伟、奚肖凤、夏敬谦、黄泉生、曹骏一和解明雨。 本次修订的主要技术内容是:1.增加了结构类型,由原规程设置钢筋混凝土构造柱多层砖房增加为约束砌体结构房屋和配筋砌体房屋;2.增加了结构设计内容,由原单一结构类型的抗震设计技术规程增加了结构静力设计验算与构造措施的有关规定;3.根据近年来的试验结果,提出了墙面配筋砌体截面抗震受剪承载力验算公式;4.新增了施工质量控制、检验及验收要点。 为便于广大设计、施工、科研、学校等单位有关人员在使用本规程时能正确理解和执行条文规定,《约束砌体与配筋砌体结构技术规程》编制组按章、节、条顺序编制了本规程的条文说明,对条文规定的目的、依据以及执行中需要注意的有关事项进行了说明。但是本条文说明不具备与规程正文同等的法律效力,仅供使用者作为理解和把握规程规定的参考。
1 总则
1 总 则
1.0.1 为贯彻执行国家的技术经济政策,使约束砌体与配筋砌体建筑的设计、施工及验收做到因地制宜、就地取材、技术先进、经济合理、安全适用、确保质量,制定本规程。
1.0.2 本规程适用于非抗震设防地区和抗震设防烈度为6度、7度、8度和9度地区,约束砌体与配筋砌体建筑的设计、施工及验收。
条文说明
1.0.1、1.0.2本条对规程的编制目的与适用范围给出了规定。
1.0.3 约束砌体与配筋砌体建筑的设计、施工及验收,除应符合本规程要求外,尚应符合国家现行有关标准的规定。
条文说明
1.0.3本规程仅对约束砌体与配筋砌体设计与施工的重点问题和特殊要求作了具体的规定,对未给出具体规定而涉及其他设计规范的应用时,尚应符合相应规范的要求。
2 术语和符号
2.1 术语
2 术语和符号
2.1 术 语
2.1.1 无筋砌体 unreinforced masonry
砌体构件中无配筋或仅有拉结短钢筋或钢筋网,且不作为受力筋考虑的,其配筋率不大于0.07%的砌体。
2.1.2 约束砌体 confined masonry
按规定要求设置构造柱或芯柱、圈梁和拉结钢筋的砌体。
条文说明
2.1.2约束砌体中构造柱或芯柱、圈梁、拉结钢筋的设置要求应符合《建筑抗震设计规范》GB50011-2010第7.3.14、7.5.4、7.5.5条的相关要求。
2.1.3 配筋砌体结构 reinforced masonry structure
由配置钢筋的砌体作为建筑物主要受力构件的结构。
条文说明
2.1.3配置钢筋的砌体是网状配筋砌体柱、水平配筋砌体墙、砖砌体和钢筋混凝土面层或钢筋砂浆面层组合砌体柱(墙)和配筋砌块砌体剪力墙结构的统称。
2.1.4 配筋砌块砌体剪力墙结构 reinforced concrete masonry shear wall structure
由承受竖向和水平作用的配筋砌块砌体剪力墙和混凝土楼、屋盖所组成的房屋建筑结构。
2.1.5 夹心墙 cavity wall filled with insulation
墙体中预留的连续空腔内填充保温或隔热材料,并在墙的内叶和外叶之间用防锈的金属拉结件连接形成的墙体。
2.1.6 可调节拉结件 adjustable tie
预埋在夹心墙内、外叶墙的灰缝内,利用可调节特性,消除内、外叶墙因竖向变形不一致而产生的不利影响的拉结件。
2.1.7 构造柱 structural concrete column,tie-column
在多层砌体房屋墙体的规定部位,按构造配筋,并按先砌墙后浇灌混凝土柱的施工顺序制成的混凝土柱。
2.1.8 圈梁 ring beam,tie-beam
在房屋的檐口、窗顶、楼层或基础顶面标高处,沿砌体墙水平方向设置封闭状的按构造配筋的混凝土梁式构件。
2.1.9 芯柱 core column
砌块墙体的孔洞内浇灌混凝土称素混凝土芯柱,砌块墙体的孔洞内插有钢筋并浇灌混凝土称钢筋混凝土芯柱。
2.1.10 灌孔混凝土 grouting concrete
由水泥、砂、细石等主要原材料配制的大流动性细石混凝土。
2.1.11 挑梁 cantilever beam
嵌固在砌体中的悬挑式钢筋混凝土梁。
条文说明
2.1.11砌体结构中的挑梁一般指房屋中阳台挑梁、雨篷挑梁或外廊挑梁。
2.1.12 控制缝 control joint
将墙体分割成若干个独立墙肢的缝,允许墙肢在其平面内自由变形,并对外力有足够的抵抗能力。
2.2 符号
2.2 符 号
2.2.1 材料性能
C———混凝土的强度等级;
Cb——芯柱或灌孔混凝土的强度等级;
E——砌体的弹性模量;
f g ——灌孔砌体的抗压强度设计值;
f m ——砂浆的抗压强度设计值;
f t ——混凝土的轴心抗拉强度设计值;
f v ——砌体的抗剪强度设计值;
f vE ——砌体的抗震抗剪强度设计值;
f vg ——灌孔砌体抗剪强度设计值;
f y 、f' y ——普通钢筋的抗拉、抗压强度设计值;
f yb 、f' yb ——受拉、受压边缘构件的钢筋强度设计值;
f yc ——构造柱钢筋抗拉强度设计值;
f yf 、f' yf ——受拉区、受压区翼缘的钢筋强度设计值;
f yh ——水平钢筋抗拉强度设计值;
f yv ——箍筋抗拉强度设计值;
M——砂浆的强度等级;
Mb——混凝土砌块砌筑砂浆的强度等级;
Ms——砌筑蒸压灰砂普通砖、蒸压粉煤灰普通砖砌体的砂浆强度等级;
MU——块体的强度等级。
2.2.2 作用和作用效应
M——弯矩设计值;
M l b 、M r b ——梁左、右端弯矩设计值;
N——轴向力设计值;
V——剪力设计值;
V b ——连梁剪力设计值;
V Gb ——重力荷载代表值作用下按简支梁计算的连梁截面剪力设计值;
V w ——考虑地震作用组合的抗震墙计算截面的剪力设计值。
2.2.3 几何参数
A——墙体截面面积;
A c ——构造柱总截面面积;
A f 、A' f ——受拉、受压翼缘的钢筋截面面积;
A w ——腹板截面面积;
A s ——柱纵向钢筋截面面积;
A' s ——竖向钢筋截面面积;
A sb 、A' sb ——墙片端部受拉、受压边缘构件内的钢筋截面面积;
A sc ——构造柱纵向钢筋截面面积;
A sh ——层间墙体竖向截面的总水平钢筋面积,或配置在同一截面内的水平分布钢筋的全部截面面积;

si ——竖向分布钢筋的截面面积;
A sv ——同一截面内箍筋各肢的全部截面面积;
b——截面宽度、腹板宽度;
b' f ——受压区翼缘的宽度;
e——出平面偏心力作用点至墙片受压端边缘的距离;
e a ——构件在轴向力作用下的附加偏心距;
e N 、e' N ——轴向力作用点到墙片受拉、受压端边缘构件钢筋合力点的距离;
h——截面高度;
h 0 ——截面有效高度;
h'——砌体墙厚度;
h' f ——受压区翼缘的高度;
H 0 ——构件计算高度;
l a ——受拉钢筋锚固长度;
l aE ——抗震设计时的受拉钢筋锚固长度;
l D ——连梁净跨;
s——分布筋间距;

si 、 
' si ——竖向分布钢筋对墙片受拉、受压端边缘构件钢筋合力点的面积矩;
x——截面受压区高度。
2.2.4 计算系数
β——墙、柱的高厚比;
γ RE ——承载力抗震调整系数;
ζ c ——中部构造柱或芯柱参与工作系数;
ζ s ——钢筋参与工作系数;
η c ——墙体约束修正系数;
η v ——剪力增大系数;
λ——计算截面的剪跨比;
μ 0 ——墙体共同工作系数;
μ s ——钢筋工作条件系数;
ξ——截面受压区相对高度;
ξ b ——受压区相对高度的界限值;
ρ——混凝土砌块砌体的灌孔率、配筋率;

——出平面偏心受压构件承载力影响系数;
φ 0g ——轴心受压构件的稳定系数。
3 材料
3.1 材料强度等级
3 材 料
3.1 材料强度等级
条文说明
本节对约束砌体与配筋砌体结构材料的强度等级提出了要求。已有的试验研究表明,约束砌体与配筋砌块砌体结构能够改善砌体的受力性能,显著提高砌体的变形能力和抗震性能。为了更好地发挥约束砌体与配筋砌块砌体的受力性能,砌筑砌体的材料强度等级应该要略高于普通的砖砌体。
3.1.1 块体的强度等级,应按下列规定采用:
1 烧结普通砖、烧结多孔砖的强度等级不应低于MU10;
2 蒸压灰砂普通砖、蒸压粉煤灰普通砖的强度等级不应低于MU15;
3 混凝土普通砖、混凝土多孔砖的强度等级不应低于MU15;
4 约束砌体混凝土砌块的强度等级不应低于MU7.5;
5 配筋砌体混凝土砌块的强度等级不应低于MU10;
6 多孔砖及蒸压砖还应按现行国家标准《墙体材料应用统一技术规范》GB 50574进行折压比控制。
3.1.2 夹心墙外叶墙的砖及混凝土砌块的强度等级不应低于MU10。
条文说明
3.1.2夹心墙的外叶墙处于环境恶劣的室外,当采用低强度的外叶墙时,易因劣化、脱落而毁物伤人,故对其块体材料的强度提出了较高的要求。
3.1.3 砂浆的强度等级应按下列规定采用:
1 约束砌体的砌筑砂浆强度等级不宜低于M5或Mb5;
2 配筋砌体的砌筑砂浆强度等级不应低于M7.5或Mb7.5。
条文说明
3.1.3本条给出了砂浆强度等级的最低要求,确定砂浆强度等级时应采用同类块体为砂浆强度试块底模。
3.1.4 混凝土的强度等级应按下列规定采用:
1 构造柱、圈梁、连梁混凝土的强度等级不应低于C20;
2 芯柱或灌孔混凝土的强度等级不应低于Cb20。
3.1.5 约束砌体与配筋砌块砌体结构中的钢筋宜按下列规定采用:
1 构造柱和圈梁的纵筋宜采用HPB300级和HRB400级钢筋,箍筋宜采用HPB300级钢筋;
2 配筋砌块砌体结构的钢筋宜采用HRB400级和RRB400级钢筋,也可采用HPB300级钢筋;
3 重要部位及直接承受疲劳荷载构件的受力钢筋不宜采用RRB400级钢筋。
3.2 砌体的计算指标
3.2 砌体的计算指标
3.2.1 单排孔且对孔砌筑的混凝土砌块灌孔砌体的弹性模量,应按下式计算:

式中:f g ——灌孔砌体的抗压强度设计值,按现行国家标准《砌体结构设计规范》GB 50003的规定取用。
条文说明
3.2.1配筋砌块砌体所用砌块是带有槽口的单排孔混凝土小型空心砌块,砌块的主规格尺寸为390mm×190mm×190mm,空心率为46%~48%。灌孔砌体的抗压强度,应按《砌体结构设计规范》GB50003有关规定取用。已有试验研究表明,原《砌体结构设计规范》中灌孔砌体的抗压弹性模量取值偏低,现根据试验结果予以提高,与现行国家标准《砌体结构设计规范》GB50003保持一致。
3.2.2 混凝土砌块灌孔砌体的线膨胀系数可按10×10 -6 /℃采用,收缩率可按—0.2mm/m采用,摩擦系数可按表3.2.2采用。
表3.2.2 混凝土砌块灌孔砌体的摩擦系数

条文说明
3.2.2混凝土砌块灌孔砌体主要由砌块砌体和灌孔混凝土组成,因此其线膨胀系数、收缩率和摩擦系数均与混凝土砌块砌体类似。
3.2.3 材料的其他计算指标,应按现行国家标准《砌体结构设计规范》GB 50003及有关的国家现行标准确定。
4 静力设计
4.1 一般规定
4 静力设计
4.1 一般规定
4.1.1 根据建筑结构破坏可能产生后果的严重性,建筑结构应按表4.1.1划分为三个安全等级,设计时应根据具体情况选用。
表4.1.1 建筑结构的安全等级

注:1 对于特殊的建筑物,其安全等级可根据具体情况另行确定;
2 对地震区的建筑物,应按现行国家标准《建筑工程抗震设防分类标准》GB 50223根据建筑重要性区分建筑物类别。
条文说明
4.1.1建筑结构的安全等级从危及人的生命、造成经济损失、产生社会影响等几个方面考虑,可根据国家有关规范和标准以及工程实际情况选用,一般情况下大多数建筑物的安全等级均是二级。结构重要性系数的取值可按现行国家标准《建筑结构可靠度设计统一标准》GB50068的规定确定。
4.1.2 约束砌体、配筋砌块砌体的平面外轴向力偏心距e应按内力设计值计算,且约束砌体不应超过0.6y,配筋砌块砌体不应超过0.7y。y为截面重心到轴向力所在平面外偏心方向截面边缘的距离。
条文说明
4.1.2约束砌体轴向力的偏心距根据内力设计值计算,偏心距e的限值与《砌体结构设计规范》GB50003中砌体的有关规定相同。 配筋砌块砌体墙中的竖向垂直钢筋是单排配置在墙厚的中央,当出平面受弯时,竖向垂直钢筋不能充分发挥作用,因此配筋砌块砌体墙作为主要的承载力构件其出平面的抗弯能力虽然比普通钢筋混凝土剪力墙要弱,但又要明显强于普通砖砌体墙。依据目前的试验研究情况以及综合各地的工程实践经验,配筋小砌块砌体墙平面外的轴向力偏心距e不超过0.7y是偏于安全的规定。
4.1.3 配筋砌块砌体墙结构房屋的内力与位移分析可采用线弹性分析方法。应根据结构分析所得到的内力,分别按轴心受压、偏心受压、偏心受拉等构件进行正截面承载力和斜截面承载力计算,并应进行结构变形验算。
4.1.4 约束砌体、配筋砌块砌体构件设计时,静力计算除应符合本章的规定外尚应符合现行国家标准《砌体结构设计规范》GB 50003的有关规定。
4.2 约束砌体静力计算
4.2 约束砌体静力计算
4.2.1 约束砖砌体墙轴心受压承载力计算可按现行国家标准《砌体结构设计规范》GB 50003中砖砌体和钢筋混凝土构造柱组合墙的有关规定计算。
条文说明
4.2.1约束砖砌体墙是按规定要求设置构造柱、圈梁和水平拉结钢筋的砌体墙,即《砌体结构设计规范》中所指的钢筋混凝土构造柱组合墙,其在轴心受压荷载作用下的主要工作机理,一是由于构造柱和砌体墙的抗压刚度不同,从而形成内力重分布,构造柱分担了部分墙体上的荷载;二是构造柱与圈梁对砌体墙形成一定约束,可以提高墙体的承载能力。
4.2.2 墙体中有水平配筋的约束砖砌体墙的受剪计算应按下式验算:

式中:V——墙体剪力设计值(N);
f v ——砌体抗剪强度设计值(MPa);
A——墙体横截面面积,多孔砖取毛截面面积(mm 2 );
f yh ——水平钢筋抗拉强度设计值(MPa);
A sh ——层间墙体竖向截面的总水平钢筋面积(mm 2 ),其配筋率不应小于0.07%且不大于0.17%;
ζ s ——钢筋参与工作系数,可按表4.2.2采用。
表4.2.2 钢筋参与工作系数

注:墙体高宽比指层高与墙长之比,对门窗洞边的小墙段指洞净高与洞侧墙宽之比。
4.2.3 厚240mm约束砖砌体墙的构造柱截面不小于240mm×240mm,或厚190mm约束砖砌体墙的构造柱截面不小于240mm×190mm,其间距不大于4m且基本均匀设置于墙段中部时,其受剪承载力可按下式验算:

式中:A c ——中部构造柱的横截面总面积(mm 2 );对横墙和内纵墙,A c >0.15A时,取0.15A;对外纵墙,A c >0.25A时,取0.25A;
f t ——中部构造柱的混凝土轴心抗拉强度设计值(MPa),应按现行国家标准《混凝土结构设计规范》GB 50010的规定采用;
A sc ——中部构造柱的纵向钢筋截面总面积(mm 2 );配筋率不应小于0.6%,当大于1.4%时取1.4%;
f yc ——构造柱钢筋抗拉强度设计值(MPa);
A sh ——层间墙体竖向截面的总水平钢筋面积(mm 2 ),无水平钢筋时取0;
ζ c ——中部构造柱参与工作系数;居中设一根时取0.5,多于一根时取0.4;
η c ——墙体约束修正系数;一般情况取1.0,构造柱间距不大于3.0m时取1.1。
4.2.4 混凝土砌块墙体的截面受剪承载力,应按下式验算:

式中:f t ——芯柱混凝土轴心抗拉强度设计值(MPa),应按现行国家标准《混凝土结构设计规范》GB 50010的规定采用;
A c ——芯柱截面总面积(mm 2 );
f y ——芯柱钢筋抗拉强度设计值(MPa);
A s ——芯柱钢筋截面总面积(mm 2 );
ζ c ——芯柱参与工作系数,可按表4.2.4采用。
注:当同时设置芯柱和构造柱时,构造柱截面可作为芯柱截面,构造柱钢筋可作为芯柱钢筋。
表4.2.4 芯柱参与工作系数

注:填孔率指芯柱根数(含构造柱和填实孔洞数量)与孔洞总数之比。
条文说明
4.2.2~4.2.4砖砌体横向配筋的抗剪验算公式是根据试验资料得到的,其中砖砌体墙中钢筋的效应系数随墙段高宽比在0.07~0.15之间变化,水平配筋的适用范围是0.07%~0.17%。 根据试验资料,由于砌块块型的特点,在计算砌块砌体墙的受剪承载力时,一般不显式计入横向水平配筋的有利作用,而是在计算芯柱作用时一并考虑。 当构造柱、芯柱的布置、截面和配筋满足一定要求后,引入中部构造柱、芯柱的参与工作系数及构造柱对墙体的约束修正系数,其中构造柱、芯柱的承载力分别考虑了混凝土和钢筋的抗剪作用。
4.3 配筋砌体静力计算
4.3 配筋砌体静力计算
4.3.1 配筋砌块砌体墙构件的计算高度H 0 ,应根据房屋类别和构件支承条件等按现行国家标准《砌体结构设计规范》GB 50003采用。
条文说明
4.3.1配筋砌块砌体剪力墙房屋的结构性能与钢筋混凝土剪力墙房屋的结构性能相似,因此配筋砌块砌体剪力墙构件的计算高度取值不应该按砌体结构,而是应该和钢筋混凝土剪力墙房屋相同。除一般情况,当有跃层或开洞形成无楼板支承的高墙的情况时,层高应取至有楼板支承的墙体之间的高度。
4.3.2 轴心受压配筋砌块砌体墙正截面受压承载力应按下列公式计算:

式中:N——轴向力设计值(N);
f g ——灌孔砌块砌体的抗压强度设计值,按现行国家标准《砌体结构设计规范》GB 50003的规定取值(MPa);
f' y ——钢筋的抗压强度设计值(MPa);
A——构件的毛截面面积(mm 2 );
A' s ——全部竖向钢筋的截面面积(mm 2 );
φ 0g ——轴心受压构件的稳定系数;
β——构件的高厚比,按现行国家标准《砌体结构设计规范》GB 50003的规定取值。
条文说明
4.3.2公式(4.3.2-1)和公式(4.3.2-2)是根据欧拉公式和灌孔砌体的应力-应变关系以及配筋砌块砌体的试验结果推导和拟合得到的,它不同于一般砌体的稳定性计算公式,不仅考虑了灌孔砌体,而且还考虑了竖向钢筋的抗压作用。在使用公式进行计算时还应注意,配筋砌块砌体是指配置有垂直和水平钢筋且水平钢筋必须布置在砌块水平槽内、用专用灌孔混凝土灌孔后形成的配筋砌块砌体,如无水平钢筋或水平钢筋放置在砂浆灰缝中,则按配筋砌块砌体的公式来计算其抗压稳定性可能会偏于不安全。使用该公式应注意,当无箍筋或水平钢筋时,应取A's=0。
4.3.3 配筋砌块砌体构件,当竖向钢筋仅配在中间时,其平面外偏心受压承载力可按现行国家标准《砌体结构设计规范》GB 50003中无筋砌体构件受压构件的承载力验算公式进行计算,但应采用灌孔砌体的抗压强度设计值。
条文说明
4.3.3按我国目前混凝土砌块标准,砌块的厚度为190mm,标准块最大孔洞率为46%,孔洞尺寸120mm×120mm的情况下,孔洞中只能设置一根钢筋。因此,配筋砌块砌体墙片在平面外的偏心受压承载力,按无筋砌体构件受压承载力的计算模式是一种简化处理。
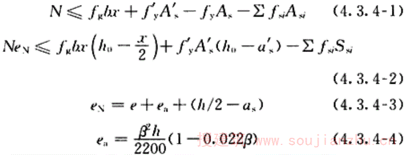
4.3.4 矩形截面偏心受压配筋砌块砌体墙正截面承载力计算,应符合下列规定:
1 大小偏心受压界限:
当x≤ξ b h 0 时,应为大偏心受压;
当x>ξ b h 0 时,应为小偏心受压。
其中:ξ b ——相对界限受压区高度;对HPB300级钢筋取ξ b 等于0.57,对HRB335级钢筋取ξ b 等于0.55,对HRB400级和RRB400级钢筋取ξ b 等于0.52;
x——截面受压区高度(mm);
h 0 ——截面有效高度(mm),取h 0 =h—a s 或h 0 =h—a' s ;
a s ——受拉区纵向钢筋合力点至截面受拉区边缘的距离(mm),对T形、L形、工形截面,当翼缘受压时取300mm,其他情况取100mm
a' s ——受压区纵向钢筋合力点至截面受压区边缘的距离(mm),对T形、L形、工形截面,当翼缘受压时取100mm,其他情况取300mm。

图4.3.4 矩形截面偏心受压正截面承载力计算简图
2 大偏心受压时应按下列公式计算(图4.3.4a):

式中:N——轴向力设计值(N);
f g ——灌孔砌块砌体的抗压强度设计值(MPa);
f y 、f' y ——竖向受拉、受压主筋的强度设计值(MPa);
b——截面宽度(mm);
f si ——竖向分布钢筋的抗拉强度设计值(MPa);
A s 、A' s ——竖向受拉、受压主筋的截面面积(mm 2 );
A si ——第i根竖向分布钢筋的截面面积(mm 2 );
S si ——第i根竖向分布钢筋对竖向受拉主筋的面积矩(mm 3 );
e N ——轴向力作用点到竖向受拉主筋合力点之间的距离(mm 2 );
e——轴向力的初始偏心距(mm);按荷载设计值计算,当e小于0.05h时,应取e等于0.05h;
e a ——构件在轴向力作用下的附加偏心距(mm)。
当受压区高度,x<2a' s 时,其正截面承载力应按下列公式计算:

式中:e' N ——轴向力作用点至竖向受压主筋合力点之间的距离(mm)。
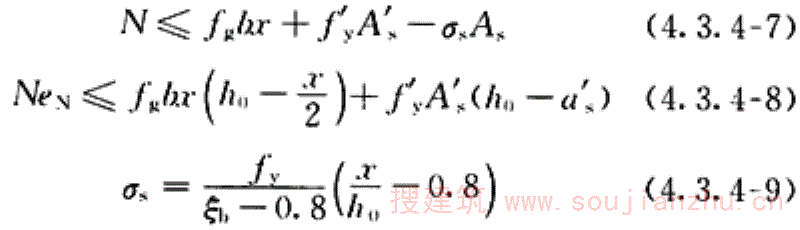
3 小偏心受压时,应按下列公式计算(图4.3.4b):

矩形截面对称配筋小砌块砌体墙小偏心受压时,也可近似按下列公式计算钢筋截面面积:

式中:ξ——相对受压区高度。
条文说明
4.3.4根据平截面假定,配筋砌块砌体剪力墙上的任一根钢筋的应变均可根据变形协调的相似关系计算得到,而钢筋的应力及性质由该处钢筋应变确定。根据截面内力平衡条件可以计算得到配筋砌块砌体受压区截面高度xc,从而确定折算矩形应力图形的受压区高度x=0.8xc。当配筋砌块砌体墙片的受压区折算高度x≤xbh0时为大偏心受压墙片,而当x>ξbho时为小偏心受压墙片。 由于配筋砌块砌体剪力墙房屋的剪力墙一般截面高度都比较大,当大偏心受压时,受拉区的钢筋(端部边缘构件)应该都能达到屈服,但受压区的钢筋(端部边缘构件)不一定都达到屈服,墙体内的分布钢筋也不一定都达到受拉屈服或受压屈服,而应根据截面的应变情况确定。在极限荷载状态下,离中和轴距离稍远的竖向钢筋应该都能达到屈服,或者即使没有达到屈服但对截面抵抗外荷载(外弯矩)仍有较大的贡献。因此在本条文的计算中,不仅考虑了端部边缘构件内竖向钢筋的作用,而且还根据平截面假定考虑了墙片内分布钢筋的作用,即充分发挥了墙内钢筋的作用,也比较符合墙片的实际受力情况。因此,配筋砌块砌体墙片大偏心受压的压弯承载力可以用公式(4.3.4-1)~公式(4.3.4-3)计算。 由于墙片内分布钢筋的应变和中和轴的位置有关,利用公式无法直接求解,因此在具体计算配筋砌块砌体墙片大偏心受压的压弯承载能力时,可采用试算法来进行计算,即先假定竖向钢筋的直径和间距以及受压区高度,然后按平截面假定来计算截面的内力,通过不断修正受压区高度及调整竖向钢筋的直径和间距使作用的荷载与内力达到平衡,具体计算、分析可通过有关的结构设计软件实现,如需对个别构件进行校核则可通过建立电子表格的方式进行计算。 小偏心受压构件可以用公式(4.3.4-4)~公式(4.3.4-6)计算,当受压区竖向受压主筋无箍筋或无水平钢筋约束时,可不考虑竖向受压主筋的作用,即取A's=0。 当矩形截面墙片小偏心受压时,截面上砌体的压应力图形与荷载作用位置以及配筋情况有关。当荷载偏心距e较大时,墙片截面上会有小部分截面受拉,而大部分受压,破坏时压区边缘的灌孔砌体达到极限压应变,压区钢筋基本上达到屈服强度,但受拉区钢筋一般没有达到屈服;当荷载偏心距e较小时,截面大部分受压或基本上全截面受压,在受压力大的一侧的钢筋能够达到屈服,而受压力小的一侧的钢筋不一定达到屈服,因此要想精确求解矩形截面墙片小偏心受压的承载力需要解析高次方程。为简化设计计算,对小偏心受压墙片的承载力可近似按公式(4.3.4-4)~公式(4.3.4-6)进行验算。在计算中,墙片截面需要承担的弯矩为NeN,承载能力应该满足公式(4.3.4-4)。由于一般而言小偏心受压墙片的受压面积较大,竖向分布钢筋的作用不明显,因此在计算时不考虑分布钢筋的作用而可先按构造要求假定边缘构件的受压钢筋面积A's,如果计算不能满足等式要求,则应调整端部边缘构件内的钢筋面积重新计算,或者也可以按公式直接求出端部边缘构件内受压钢筋的面积A's,按对称布置As,然后按构造要求布置墙片内的竖向分布钢筋,此时钢筋的间距和配筋率都应符合配筋砌块砌体墙片对竖向钢筋布置的构造要求。
4.3.5 T形、L形、工字形截面偏心受压构件(图4.3.5),当翼缘和腹板的相交处采用错缝搭接砌筑和同时设置中距不大于1.2m的水平配筋带,且截面高度大于等于60mm,钢筋不少于2 
12时,可考虑翼缘的共同工作,翼缘的计算宽度应按表4.3.5中的最小值采用,其正截面受压承载力应按下列规定计算:

图4.3.5 T形、L形、工字形截面偏心受压构件正截面承载力计算简图
1 当受压区高度x≤h' f 时,应按宽度为b' f 的矩形截面计算。
2 当受压区高度x>h' f 时,应考虑腹板的受压作用,按下列公式计算:

式中:b' f ——T形、L形、工字形截面受压区的翼缘计算宽度(mm);
h' f ——T形、L形、工字形截面受压区的冀缘厚度(mm)。
表4.3.5 T形、倒L形截面偏心受压构件翼缘计算宽度b' f

注:表中b为腹板宽度,构件的计算高度h 0 可取层高。
条文说明
4.3.5由于配筋砌块砌体之间的连接主要靠砌块的搭接砌筑、水平钢筋和砌块水平槽内的通长混凝土连接键相连,因此T形截面和L形截面的腹板和翼缘之间的连接要弱于类似的整浇钢筋混凝土墙片。根据同济大学所做的配筋砌块砌体工字形截面和Z字形截面墙片的压弯反复荷载试验,当墙片的翼缘宽度为腹板厚度的3倍(工字形截面)和2倍(Z字形截面)时,在垂直荷载和水平反复荷载作用下,虽然翼缘部分的钢筋仍能达到屈服,但在接近破坏时,翼缘和腹板的连接处会突然产生垂直通缝,翼缘和腹板的共同工作明显减弱。因此如按混凝土剪力墙取值,可能高估了配筋砌块砌体翼缘和腹板的共同工作作用,从而使实际构件处于不安全状态。根据上述的试验结果和分析,本条对T形和倒L形截面偏心受压构件翼缘的计算宽度采用了比较严格的要求。
4.3.6 偏心受压和偏心受拉配筋砌块砌体剪力墙,其斜截面受剪承载力应根据下列情况进行计算:
1 剪力墙的截面应满足下式要求:

式中:V——剪力墙的剪力设计值(N);
b——剪力墙截面宽度或T形、倒L形截面腹板宽度(mm);
h 0 ——墙截面的有效高度(mm)。
2 剪力墙在偏心受压时的斜截面受剪承载力,应按下列公式计算:

式中:f vg ——灌孔砌块砌体抗剪强度设计值;应按现行国家标准《砌体结构设计规范》GB 50003的规定采用(MPa);
M、N、V——计算截面的弯矩、轴向力和剪力设计值,当N大于0.25f g bh时取N=0.25f g bh;
A——剪力墙的截面面积(mm 2 ),其中翼缘的有效面积,可按表4.3.5确定;
A w ——T形或倒L形截面腹板的截面面积(mm 2 ),对矩形截面取A w =A;
λ——计算截面的剪跨比。当λ<1.5时取1.5,当λ≥2.2时取2.2;
h 0 ——墙截面的有效高度(mm);
A sh ——配置在同一截面内的水平分布钢筋或网片的全部截面面积(mm 2 );
s——水平分布钢筋的竖向间距(mm);
f yh ——水平钢筋的抗拉强度设计值(MPa)。
3 剪力墙在偏心受拉时的斜截面受剪承载力,应按下式计算:

条文说明
4.3.6根据国内外有关试验研究的结果,影响配筋砌块砌体墙片抗剪承载力的因素主要有墙片的形状、尺寸;高宽比λ;灌孔砌体的抗压强度;竖向荷载;水平钢筋和垂直钢筋的配筋率等等。(1)墙片的受剪承载力受其尺寸大小的影响是显而易见的,在组成墙片的材料相同的情况下,墙片的尺寸越大其承载能力也越大;(2)对于配筋砌块砌体墙片,已有的试验研究表明,墙片的高宽比λ对抗剪强度有很大的影响,而且墙片的抗剪强度在高宽比入一定范围内变动时,随着高宽比的加大而逐渐减小;(3)根据已有的试验研究成果,配筋砌块砌体墙片的抗剪强度与灌孔砌体的抗压强度基本上呈正比关系,由于灌孔砌体抗剪能力占整个墙片抗剪能力的很大一部分,因此当采用强度较高的砌体和灌孔混凝土时,其受剪承载力也会相应有较大增加;(4)墙片承受水平荷载作用时,如果有适当垂直荷载共同作用,则在墙片内的主拉应力轨迹线与水平轴的夹角变大,斜向主拉应力值降低,从而可以推迟斜裂缝的出现,垂直荷载也使得斜裂缝之间的骨料咬合力增加,使斜裂缝出现后开展比较缓慢,从而提高墙片的抗剪能力。垂直荷载对墙片的抗剪能力有很大的影响,当墙片的轴压比N/(fmbh)=0.3~0.5时,垂直荷载对墙片的抗剪强度影响最大,当轴压比超过此值时,墙片的破坏形态由剪切破坏转化为斜压破坏,反而使得墙片的受剪承载力下降;(5)墙片开裂以后,配筋砌块砌体墙片的抗剪能力将大大削弱,而穿过斜裂缝的水平钢筋直接参与受拉,由墙片开裂面的骨料咬合及水平钢筋共同承担剪力,因此,水平钢筋的配筋率是影响墙片抗剪能力的主要因素之一;(6)垂直钢筋的配筋率。国内外许多研究结果表明,配置于墙片中的垂直钢筋可以有效地提高其抗剪能力,垂直钢筋对墙片抗剪的贡献主要是由于销栓作用,以及墙片在配置一定数量的钢筋以后对原素墙片受力性能的改良,但一般将其有利作用计入在灌孔砌体的抗剪强度这一部分中。 当配筋砌块砌体剪力墙所承担的剪力较大,而墙片的截面积又较小时,增加墙片内的水平钢筋不仅不能有效提高墙片的抗剪能力,而且会导致剪力墙发生斜压脆性破坏,因此规定与承受剪力相对应的剪力墙要有一定的截面积。
4.3.7 配筋砌块砌体剪力墙跨高比大于2.5的连梁宜采用钢筋混凝土连梁,其截面组合的剪力设计值和斜截面承载力,应符合现行国家标准《混凝土结构设计规范》GB 50010对连梁的有关规定。
4.3.8 配筋砌块砌体剪力墙采用配筋砌块砌体连梁时,应符合下列规定:
1 连梁的截面应满足下式的要求:

2 连梁的斜截面受剪承载力应按下式计算:

式中:V b ——连梁的剪力设计值(N);
b——连梁的截面宽度(mm);
h 0 ——连梁的截面有效高度(mm);
A sv ——配置在同一截面内箍筋各肢的全部截面面积(mm 2 );
f yv ——箍筋的抗拉强度设计值(MPa);
s——沿构件长度方向箍筋的间距(mm)。
条文说明
4.3.7、4.3.8配筋砌块砌体由于受其块型、砌筑方法和配筋方式的影响,不适宜做跨高比较大的梁构件。而配筋砌块砌体剪力墙结构中,连梁是保证房屋整体性的重要构件,为了保证连梁与剪力墙节点处在弯曲屈服前不会出现剪切破坏和具有适当的刚度和承载能力,对于跨高比大于2.5的连梁宜采用受力性能较好的钢筋混凝土连梁,以确保连梁构件的“强剪弱弯”。对于跨高比小于2.5的连梁(主要指窗下墙部分),则允许采用配筋砌块砌体连梁。
5 抗震设计
5.1 一般规定
5 抗震设计
5.1 一般规定
5.1.1 考虑地震作用组合的砌体结构构件,其截面承载力应除以承载力抗震调整系数γ RE ,承载力抗震调整系数应按表5.1.1采用。当仅计算竖向地震作用时,各类结构构件承载力抗震调整系数均应采用1.0。 ( 自2022年1月1日起废止该条,详见新规《砌体结构通用规范》GB55007-2021)
表5.1.1 承载力抗震调整系数

条文说明
5.1.1承载力应除以承载力抗震调整系数是结构抗震设计的重要依据,故将此条定为强制性条文。本条直接引用《砌体结构设计规范》GB50003第10.1.5条,只是自承重墙受剪承载力抗震调整系数应为0.75。
5.1.2 抗震设计时结构的材料性能指标除应符合本规程第3章的规定外,尚应符合下列规定:
1 约束砌体的砌筑砂浆、钢筋砂浆面层砂浆强度等级不应低于M10或Mb10;
2 配筋砌体的砌筑砂浆强度等级不应低于M10或Mb10。
5.1.3 配筋砌块砌体抗震墙房屋,体型复杂、平立面不规则时宜设防震缝。防震缝宽度应根据烈度和房屋高度确定,当房屋高度不超过24m时,可采用100mm;当超过24m时,6度、7度、8度和9度相应每增加6m、5m、4m和3m,宜加宽20mm。
条文说明
5.1.3根据试验研究结果,由于配筋砌块砌体抗震墙存在水平灰缝和垂直灰缝,其结构变形能力要优于钢筋混凝土抗震墙,因此在规定防震缝的宽度时,相应的也要大于钢筋混凝土抗震墙结构建筑。当房屋高度不超过24m时,可采用100mm;当超过24m时,在100mm宽度的基础上,随着房屋高度增大按不同烈度相应加大防震缝宽度。
5.1.4 配筋砌体结构构件,其配置的受力钢筋的锚固和接头,除应符合现行国家标准《砌体结构设计规范》GB 50003的规定外,尚应符合下列规定:
1 纵向受拉钢筋的最小锚固长度l aE 应符合下列公式规定:

式中:l a ——受拉钢筋的锚固长度,按现行国家标准《砌体结构设计规范》GB 50003的规定确定。
2 钢筋搭接接头,对一、二级抗震等级不应小于1.2l a +5d;对三、四级不应小于1.2l a ;
3 非全灌孔水平配筋砌块砌体墙和砖砌体墙,其水平或竖向受拉钢筋的最小锚固长度和搭接长度应按本条第1、2款中四级抗震等级相关规定确定;
4 位于同一连接区段内的受拉钢筋搭接接头面积百分率应符合现行国家标准《混凝土结构设计规范》GB 50010的有关规定。
条文说明
5.1.4参照钢筋混凝土结构并结合配筋砌体的特点,提出了抗震设计时受力钢筋的锚固和接头要求。
5.1.5 多层砌体结构房屋的层数和总高度,应符合下列要求:
1 房屋的层数和总高度不应超过表5.1.5的规定;
2 各层横墙较少的多层砌体房屋,总高度应比表5.1.5的规定降低3m,层数相应减少一层;各层横墙很少的多层砌体房屋,还应再减少一层;
3 抗震设防烈度为6度、7度时,横墙较少的丙类多层砌体房屋,当按现行国家标准《建筑抗震设计规范》GB 50011规定采取加强措施并满足抗震承载力要求时,其高度和层数应允许仍按表5.1.5的规定采用;
4 采用蒸压灰砂普通砖和蒸压粉煤灰砖的砌体房屋,当砌体的抗剪强度仅达到普通黏土砖砌体的70%时,房屋的层数应比普通砖房屋减少一层,总高度应减少3m;当砌体的抗剪强度达到普通黏土砖砌体的取值时,房屋层数和总高度的要求同普通砖房屋。
表5.1.5 多层砌体房屋的层数和总高度限值(m)

注:乙类的多层砌体房屋仍按本地区设防烈度查表,其层数应减少一层且总高度应降低3m;不应采用底部框架-抗震墙砌体房屋。 ( 自2022年1月1日起废止该条,详见新规《砌体结构通用规范》GB55007-2021)
条文说明
5.1.5多层砌体结构房屋的总层数和总高度的限定,是此类房屋抗震设计的重要依据,故将此条定为强制性条文,本条引用了《建筑抗震设计规范》GB50011第7.1.2条。 关于横墙较少或很少的界定,根据《建筑抗震设计规范》GB50011的规定,横墙较少是指同一楼层内开间大于4.2m的房间占该层总面积的40%以上;其中,开间不大于4.2m的房间占该楼层总面积不到20%且开间大于4.8m的房间占该层总面积的50%以上为横墙很少。 房屋的总高度指室外地面到主要屋面板板顶或檐口的高度,半地下室从地下室室内地面算起,全地下室和嵌固条件好的半地下室可从室外地面算起;对带阁楼的坡屋面应算到山尖墙的1/2高度处。 另依据《建筑抗震设计规范》GB50011编制时对数字表达遵守“有效数字”的基本要求(国家标准GB8170),规范对总高度控制是采用“m”为单位,规范中总高度控制的有效数字为个位,即小数点后不给出有效数字0,表示“m”以下的第一位小数四舍五入后满足要求即可,意味着允许有0.4左右的净增加。
5.1.6 约束砌体房屋的层高不应超过3.9m。
条文说明
5.1.6当使用功能确有需要时,采用约束砌体等加强措施的普通砖房屋,层高不应超过3.9m。此条主要是为了适应教学楼等层高3.9m的使用要求。
5.1.7 多层砌体房屋总高度与总宽度的比值,不宜超过表5.1.7的规定。
表5.1.7 房屋最大高宽比

条文说明
5.1.7本条规定了多层砌体房屋的最大高宽比要求,以保证多层砌体在地震中不发生整体弯曲破坏。在计算房屋的高宽比时,单面走廊房屋总宽度不包括走廊的宽度;当建筑平面接近正方形时,其高宽比限值可适当放松。
5.1.8 房屋抗震横墙的间距,不应超过表5.1.8的规定。
表5.1.8 房屋抗震横墙的间距(m)

注:1 多层砌体房屋的顶层,除木屋盖外的最大横墙间距应允许适当放宽,但应采取相应加强措施;
2 多孔砖抗震横墙厚度为190mm时,最大横墙间距应比表中数值减少3m。 ( 自2022年1月1日起废止该条,详见新规《砌体结构通用规范》GB55007-2021)
条文说明
5.1.8多层砌体房屋的横向地震力主要由横墙承担,地震中横墙间距大小对房屋倒塌影响很大,不仅横墙需具有足够的承载力,而且楼盖需具有传递地震力给横墙的水平刚度,本条规定是为了满足楼盖对传递水平地震力所需的刚度要求。纵墙承重的房屋,横墙间距同样应满足本条规定。
5.1.9 多层砌体房屋中砌体墙段的局部尺寸限值,宜符合表5.1.9的规定。
表5.1.9 房屋局部尺寸限值(m)

注:1 局部尺寸不足时,应采取局部加强措施弥补,且最小宽度不宜小于1/4层高和表列数据的80%;
2 出入口处的女儿墙应有锚固。
5.1.10 多层砌体房屋的结构体系,应符合下列规定:
1 宜采用横墙承重或纵横墙共同承重的结构体系。
2 纵横墙的布置宜均匀对称,沿平面内宜对齐,沿竖向应上下连续;且纵横向墙体的数量不宜相差过大。同一轴线上的窗间墙宽度宜均匀;洞口面积,6、7度时不宜大于墙面面积的60%,8、9度时不宜大于55%。
3 房屋有下列情况之一时宜设置防震缝,缝两侧均应设置墙体,缝宽应根据烈度和房屋高度确定,可采用70mm~100mm:
1)房屋立面高差在6m以上;
2)房屋有错层,且楼板高差大于层高的1/4;
3)各部分结构刚度、质量截然不同。
4 楼梯间不宜设置在房屋的尽端或转角处。不应在房屋转角处设置转角窗或转角阳台。
5 横墙较少、跨度较大的房屋,宜采用现浇钢筋混凝土楼、屋盖。
6 烟道、风道、垃圾道等不应削弱墙体;当墙体被削弱时,应对墙体采取加强措施;不宜采用无竖向配筋的附墙烟囱及出屋面的烟囱。
7 不应采用无锚固的钢筋混凝土预制挑檐。
8 不应采用连体、转换等复杂结构体系。
5.1.11 配筋砌块砌体抗震墙结构房屋抗震设计时房屋最大高度不宜超过表5.1.11的规定:
1 横墙较少或建造于Ⅳ类场地的房屋,其最大高度应适当降低;
2 某层或某几层开间大于6.0m的房间建筑面积占相应层建筑面积40%以上时,表中数据相应减少6m;
3 房屋的高度超过表内高度时,应根据专门的研究,采取有效地加强措施。
表5.1.11 配筋砌块砌体抗震墙房屋适用的最大高度(m)

条文说明
5.1.11本条部分引用了《砌体结构设计规范》GB50003的有关条款。对配筋砌块房屋,房屋高度指室外地面到主要屋面板板顶的高度,不包括局部突出屋顶部分。
5.1.12 配筋砌块砌体抗震墙结构抗震设计时,结构抗震等级应根据设防烈度和房屋高度按表5.1.12采用,并应符合下列规定:
1 抗震等级为四级的抗震墙,除本章有规定外,均应按非抗震设计采用;
2 房屋高度接近或等于表5.1.12分界值时,应结合房屋不规则程度及场地、地基条件确定抗震等级。 ( 自2022年1月1日起废止该条,详见新规《砌体结构通用规范》GB55007-2021)
表5.1.12 抗震等级的划分

条文说明
5.1.12配筋砌块砌体结构的抗震等级是考虑了结构构件的受力性能和变形性能,同时参照钢筋混凝土房屋的抗震设计要求而确定的,主要是根据抗震设防分类、烈度和房屋高度等因素划分配筋砌块砌体结构的抗震等级。本条部分引用了《砌体结构设计规范》GB50003第10.1.6条。
5.1.13 配筋砌块砌体抗震墙结构应进行多遇地震作用下的抗震变形验算,其楼层内最大的层间弹性位移角不宜超过1/800,底层不宜超过1/1200。
条文说明
5.1.13配筋砌块砌体抗震墙存在水平灰缝和垂直灰缝,在地震作用下具有较好的耗能能力,而且灌孔砌体的强度和弹性模量也要低于相应的混凝土,其变形比普通钢筋混凝土抗震墙大。根据同济大学、哈尔滨工业大学、湖南大学等有关单位的试验结果,综合了配筋砌块砌体抗震墙结构在多遇地震作用下的弹性层间位移角限值为1/800,底层承受的剪力最大且主要是剪切变形,其弹性层间位移角限值要求相对较高,取1/1200。
5.1.14 配筋砌块砌体抗震墙的短肢墙应符合下列规定:
1 抗震墙宜沿主轴方向双向布置,各向结构刚度、承载力宜均匀分布。不应采用全部为短肢墙的高层配筋砌块砌体抗震墙结构,应形成短肢抗震墙与一般抗震墙共同抵抗水平地震作用的抗震墙结构。9度时不宜采用短肢墙。
2 纵横向抗震墙宜拉通对齐;每个独立墙段长度不宜大于8m,也不宜小于墙厚的5倍;墙段的高度与墙段长度之比不宜小于2。门窗洞口宜上下对齐,成列布置。
3 短肢墙的抗震等级应比表5.1.12的规定提高一级采用;已为一级时,配筋应按9度的要求提高。
4 在给定的水平力作用下,一般抗震墙承受底部地震倾覆力矩不应小于结构总倾覆力矩的50%,且短肢抗震墙截面面积与同层抗震墙总截面面积比例,抗震等级为三级及以上房屋两个主轴方向均不宜大于20%,抗震等级为四级的房屋,两个主轴方向均不宜大于50%;总高度不大于18m的多层房屋,短肢抗震墙截面面积与同层抗震墙总截面面积比例,一、二级时两个主轴方向均不宜大于30%,三级时不宜大于50%,四级时不宜大于70%。
5 短肢墙宜设置翼墙;不应在一字形短肢墙平面外布置与之单侧相交的楼、屋面梁。
条文说明
5.1.14短肢墙指墙肢截面高度与厚度之比为5~8的抗震墙,一般抗震墙指墙肢截面高度与厚度之比大于8的抗震墙,“L”形、“T”形、“+”形等多肢墙截面的长短肢性质应由较长一肢确定。 由于配筋砌块砌体结构的受力性能类似于钢筋混凝土结构,因此参照钢筋混凝土抗震墙结构要求配筋砌块砌体结构房屋的平面布置宜规则、不应采用严重不规则的平面布置形式,从结构体型的设计上保证房屋具有较好的抗震性能。 考虑到抗震墙结构应具有延性,细高的抗震墙(高宽比大于2)属弯曲型的延性抗震墙,可避免脆性的剪切破坏,因此要求配筋砌块砌体墙段的长度(即墙段截面高度)不宜大于8m。当墙很长时,可通过开设洞口将长墙分成长度较小、较均匀的超静定次数较高的联肢墙,洞口连梁宜采用约束弯矩较小的弱连梁(其跨高比宜大于6),使其可近似认为分成了独立墙段。 由于配筋砌块砌体抗震墙的纵向钢筋设置在砌块孔洞内(距墙端约100mm),墙肢长度很短时很难充分发挥作用,因此虽然短肢抗震墙结构有利于建筑布置,能扩大使用空间,减轻结构自重,但是其抗震性能较差,所以在设计时抗震墙不能过少、墙肢不宜过短。对于高层配筋砌块砌体抗震墙房屋不应设计多数为短肢抗震墙的建筑,而要求设置足够数量的一般抗震墙,形成以一般抗震墙为主、短肢抗震墙与一般抗震墙相结合的共同抵抗水平力的结构,保证房屋的抗震能力,因此参照有关规定,对短肢抗震墙截面面积与同一层内所有抗震墙截面面积比例作了规定;而对于高度小于18m的多层房屋,相对地震作用较小,往往结构平面布置短肢抗震墙即能满足强度和刚度的要求,因此对短肢抗震墙截面面积与同一层内所有抗震墙截面面积的比例予以适当放宽,但在设计时宜在房屋外墙四角布置L形一般抗震墙,以提高房屋的抗震性能。
5.2 地震作用计算
5.2 地震作用计算
条文说明
不同的结构采用不同的分析方法在各国抗震规范中均有体现,底部剪力法和振型分解反应谱法仍是基本方法,时程分析法作为补充计算方法,对特别不规则(参照《建筑抗震设计规范》GB50011-2010表3.4.3规定)、特别重要的和较高的高层建筑才要求采用。所谓“补充”,主要指对计算结果的底部剪力、楼层剪力和层间位移进行比较,当时程分析法大于振型分解反应谱法时,相关部位的构件内力和配筋作相应的调整。
5.2.1 约束砌体与多层配筋砌块砌体房屋的地震作用计算,可采用底部剪力法,并应符合现行国家标准《建筑抗震设计规范》GB 50011的有关规定。
5.2.2 高层配筋砌块砌体抗震墙房屋地震作用计算,宜采用振型分解反应谱法,并应符合现行国家标准《建筑抗震设计规范》GB 50011的有关要求。必要时应采用时程分析法进行多遇地震下的补充计算。
5.3 截面抗震承载力验算
5.3 截面抗震承载力验算
5.3.1 各类砌体沿阶梯形截面破坏的抗震抗剪强度设计值,应按下式确定:

式中:f vE ——砌体沿阶梯形截面破坏的抗震抗剪强度设计值(MPa);
f v ——非抗震设计的砌体抗剪强度设计值(MPa);
ζ N ——砌体抗震抗剪强度的正应力影响系数,应按表5.3.1采用。
表5.3.1 砌体强度的正应力影响系数

注:σ 0 为对应于重力荷载代表值的砌体截面平均压应力。 ( 自2022年1月1日起废止该条,详见新规《砌体结构通用规范》GB55007-2021)
条文说明
5.3.1地震作用下砌体材料的强度指标不同于静力宜单独给出。其中砖砌体强度是按震害调查资料综合估算并参照部分试验给出的,砌块砌体强度则依据试验。为了方便,当前仍继续沿用静力指标。但是,强度设计值和标准值的关系则是针对抗震设计的特点按《统一标准》可靠度分析得到的,并采用调整静强度设计值的形式。 根据有关试验资料,当σ0/fv>16时,小砌块砌体的正应力影响系数如仍按剪摩公式线性增加,则其值偏高,偏于不安全。因此当σ0/fv>16时,小砌块砌体的正应力影响系数都按Jσ0/fv=16时取3.92。
5.3.2 普通砖、多孔砖墙体的截面抗震受剪承载力,应按下式验算:

式中:V——墙体剪力设计值(N);
f vE ——砖砌体沿阶梯形截面破坏的抗震抗剪强度设计值(MPa);
A——墙体横截面面积(mm 2 ),多孔砖取毛截面面积;
γ RE ——承载力抗震调整系数,按本规程表5.1.1采用。
5.3.3 混凝土空心砌块墙体截面抗震受剪承载力,应按下式验算:

式中:f t ——灌孔混凝土的轴心抗拉强度设计值(MPa),应按现行国家标准《混凝土结构设计规范》GB 50010采用;
A c ——灌孔混凝土或芯柱截面总面积(mm 2 );
f y ——芯柱钢筋的抗拉强度设计值(MPa);
A s ——芯柱钢筋截面总面积(MPa);
ζ c ——芯柱参与工作系数,可按表5.3.3采用。
表5.3.3 芯柱参与工作系数

注:灌孔率指芯柱根数(含构造柱和填实孔洞数)与孔洞总数之比。
条文说明
5.3.3本条给出了混凝土型空心砌块墙体截面的抗震受剪承载力验算公式。当墙体同时设置芯柱和构造柱时,构造柱截面可作为芯柱截面,构造柱钢筋也可视为芯柱钢筋。
5.3.4 网状配筋或水平配筋砖、多孔砖墙体截面抗震受剪承载力,应按下式验算:

式中:ζ s ——钢筋参与工作系数,可按表5.3.4采用;
f yh ——墙体水平纵向钢筋的抗拉强度设计值(MPa);
A sh ——按层间墙体竖向截面计算的总水平钢筋面积(mm 2 ),其配筋率不应小于0.07%且不大于0.17%。
表5.3.4 钢筋参与工作系数

5.3.5 砖砌体和钢筋混凝土构造柱组合墙截面抗震受剪承载力,应按下式验算:

式中:A c ——中部构造柱的横截面总面积(mm 2 );对横墙和内纵墙,当A c 大于0.15A时取0.15A;对外纵墙,当A c 大于0.25A时取0.25A;
f t ——中部构造柱的混凝土抗拉强度设计值(MPa),应按现行国家标准《混凝土结构设计规范》GB 50010采用;
A sc ——中部构造柱的纵向钢筋截面总面积(mm 2 ),配筋率不应小于0.6%,大于1.4%时取1.4%;
f yh 、f yc ——分别为墙体水平钢筋、构造柱钢筋抗拉强度设计值(MPa);
A sh ——层间墙体竖向截面的总水平纵向钢筋面积(mm 2 ),其配筋率不应小于0.07%且不大于0.17%,水平纵向钢筋配筋率小于0.07%时取0;
ζ c ——中部构造柱参与工作系数,居中设一根时取0.5,多于一根时取0.4;
η c ——墙体约束修正系数,一般情况取1.0,构造柱间距不大于3.0m时取1.1。
5.3.6 墙面配筋砌体截面抗震受剪承载力,应按下式验算:

式中:A——墙体面积(mm 2 );
μ 0 ——墙体共同工作系数,取0.50;
f m ——砂浆抗压强度(MPa);
A m ——砂浆层面积(mm 2 );
A s ——单根横向钢筋截面面积(mm 2 ),双面配筋时乘以2(竖向钢筋要求与横向钢筋同等配置);
μ s ——钢筋工作条件系数,取0.24;
L——墙的实际长度(mm);
s——钢筋间距(mm)。
条文说明
5.3.6墙面配筋砌体指在砌体墙的单面或双面配置钢筋网片并涂抹或喷射水泥砂浆形成的组合墙体,可有效地提高墙体的抗震受剪承载力。
5.3.7 考虑地震作用组合的配筋砌块砌体抗震墙的正截面承载力应按现行国家标准《砌体结构设计规范》GB 50003的规定计算,但其抗力应除以承载力抗震调整系数。
5.3.8 配筋砌块砌体抗震墙承载力计算时,底部加强部位截面的组合剪力设计值应按下式调整:

式中:V——砌体抗震墙截面组合的剪力设计值(N);
V w ——砌体抗震墙截面组合的剪力计算值(N);
η vw ——剪力增大系数,按表5.3.8取用。
表5.3.8 剪力增大系数

注:底部加强部位指小于房屋高度的1/6且不小于底部二层的高度范围,房屋总高度小于18m时取一层。
条文说明
5.3.8配筋砌块砌体抗震墙房屋的抗震计算分析,包括内力调整和截面应力计算方法,大多参照钢筋混凝土结构的有关规定,并针对配筋砌块砌体结构的特点作了修正。 在配筋砌块砌体抗震墙房屋抗震设计计算中,抗震墙底部的荷载作用效应最大,因此应根据计算分析结果,对底部截面的组合剪力设计值采用按不同抗震等级确定剪力放大系数的形式进行调整,以使房屋的最不利截面得到加强。多层配筋砌块砌体房屋(≤18m),根据其受力特点一般布置有较多短肢抗震墙,因此在本规程5.1.14条第4款中对短肢抗震墙截面面积与同层抗震墙总截面面积的比例作了适当调整,但考虑到短肢抗震墙抗震性能相对不利,因此对短肢抗震墙的剪力增大系数取值要求更高,而且在多层配筋砌块砌体房屋设计中,适当提高其剪力增大系数可调整短肢抗震墙的布置,使结构更加合理。
5.3.9 配筋砌块砌体抗震墙的截面,应满足下列公式要求:
1 当剪跨比大于2时:

2 当剪跨比小于或等于2时:

5.3.10 偏心受压配筋砌块砌体抗震墙的斜截面受剪承载力,应按下列公式验算:

式中:f vg ——灌孔砌块砌体的抗剪强度设计值(MPa),按现行国家标准《砌体结构设计规范》GB 50003的规定采用;
f g ——灌孔砌体的抗压强度设计值(MPa);
M——考虑地震作用组合的抗震墙计算截面的弯矩设计值(N·mm);
V——考虑地震作用组合的抗震墙计算截面的剪力设计值(N);
N——考虑地震作用组合的抗震墙计算截面的轴向力设计值(N),当N>0.2f g bh时,取N=0.2f g bh;
A——抗震墙的截面面积(mm 2 ),其中翼缘的有效面积可按现行国家标准《砌体结构设计规范》GB 50003的规定计算;
A w ——T形或Ⅰ字形截面抗震墙腹板的截面面积(mm 2 ),对于矩形截面取A w =A;
λ——计算截面的剪跨比,当λ≤1.5时,取λ=1.5;当λ≥2.2日寸,取λ=2.2;
A sh ——配置在同一截面内的水平分布钢筋的全部截面面积(mm 2 );
f vh ——水平钢筋的抗拉强度设计值(MPa);
s——水平分布钢筋的竖向间距(mm)。
5.3.11 偏心受拉配筋砌块砌体抗震墙,其斜截面受剪承载力,应按下列公式验算:

式中:当0.48f vg bh 0 —0.17N 
<0时,取0.48f vg bh 0 —0.17N 
=0;
A sb ——配置在同一截面内的水平分布钢筋的全部截面面积(mm 2 );
5.3.12 配筋砌块砌体抗震墙跨高比大于2.5的连梁应采用钢筋混凝土连梁,其截面组合的剪力设计值和斜截面承载力,应符合现行国家标准《混凝土结构设计规范》GB 50010对连梁的有关规定;跨高比小于或等于2.5的连梁可采用配筋砌块砌体连梁,此时应采用相应的计算参数和指标;连梁的正截面承载力应除以相应的承载力抗震调整系数。
5.3.13 配筋砌块砌体抗震墙连梁的剪力设计值,抗震等级一、二、三级时应按下式调整,四级时可不调整:

式中:V b ——连梁的剪力设计值(N);
η v ——剪力增大系数,一级时取1.3;二级时取1.2;三级时取1.1;
M l b 、M r b ——分别为梁左、右端考虑地震作用组合的弯矩设计值(N·mm);
V Gb ———在重力荷载代表值作用下,按简支梁计算的截面剪力设计值(N);
l n ——连梁净跨(mm)。
5.3.14 抗震墙采用配筋混凝土砌块砌体连梁时应符合下列规定:
1 连梁的截面应满足下式的要求:

2 连梁的斜截面受剪承载力应按下式验算:

式中:A sv ——配置在同—截面内的箍筋各肢的全部截面面积(mm 2 );
f yv ——箍筋的抗拉强度设计值(MPa)。
6 构造要求
6.1 一般规定
6 构造要求
6.1 一般规定
6.1.1 墙的高厚比应按现行国家标准《砌体结构设计规范》GB 50003的有关规定进行验算,墙的允许高厚比应按下列规定采用:
1 约束砌体墙的允许高厚比,不得大于28;
2 配筋砌块砌体墙的允许高厚比,不得大于30;
3 验算施工阶段砂浆尚未硬化的新砌砌体构件高厚比时,其允许高厚比取14。
条文说明
6.1.1约束砌体墙和配筋砌块砌体墙中的构造柱、芯柱的约束作用,使得墙体使用阶段的稳定性和刚度增加,可以适当提高其允许高厚比。
6.1.2 计算夹心墙的高厚比时,其墙厚可取夹心墙的有效厚度,可按下式计算:

式中:h l ——夹心墙的有效厚度(mm);
h 1 ——内叶墙厚度(mm);
h 2 ——外叶墙厚度(mm)。
条文说明
6.1.2夹心墙结构稳定计算和内力分析,按内叶墙考虑是为简化计算而采取的模式,因为外叶墙对内叶墙起支持作用,它对内叶墙刚度的提高和承载力的发挥是有帮助的。在夹心墙结构计算时,墙厚取夹心墙的有效厚度,是符合实际的。
6.1.3 后砌隔墙应符合下列规定:
1 后砌隔墙用材料宜与承重墙相同,其块材强度等级不应低于MU3.5,砌筑砂浆强度等级不应低于M5;
2 后砌隔墙的厚度,应符合现行国家标准《砌体结构设计规范》GB 50003关于高厚比的要求;
3 隔墙与周边主体结构构件应有可靠连接,连接构造和嵌缝材料应能满足传力、变形和防护要求,可设置直径4mm的焊接钢筋网片(图6.1.3)。
条文说明
6.1.3隔墙是非受力构件,其厚度小,平面外刚度弱、稳定性差。当不与承重墙体咬槎同时砌筑时,因此在垂直于墙面的水平力作用下,尤其是在强烈地震作用下,容易开裂,甚至倾倒。为了提高隔墙的承载能力和抗裂、抗震性能,本条对其材料强度、厚度及与承重墙交接处的连接提出了明确要求。
6.1.4 在砌体中留槽洞及埋设管道时,应符合下列规定:
1 不应在截面长边小于500mm的承重墙体、独立柱内埋设管线;

图6.1.3 承重墙与后砌隔墙交接处钢筋网片
1-承重墙;2-后砌隔墙;3- 
4焊接钢筋网片
2 不宜在墙体中穿行暗线或预留、开凿沟槽,当无法避免时应采取必要的措施或按削弱后的截面验算墙体的承载力;
3 受力较小或未灌孔的砌块砌体,可在墙体的竖向孔洞中设置管线。
条文说明
6.1.4随着人们生活水平的提高和办公条件的改善,居住建筑和公共建筑的砌体暗埋管线日趋增多,预留槽洞现象较普遍,严重削弱了墙体的整体性能和受力性能,本条规定力图对这些不良做法予以限制。
6.1.5 砖砌体中跨度大于或等于9m、砌块砌体中跨度大于或等于7.2m的预制梁,当其端部支承在墙上时,应采用锚固件与墙上的垫块或圈梁锚固。
条文说明
6.1.5本条对跨度大于或等于9m、7.2m预制梁,其梁端分别支撑在砖墙、砌块砌体墙上时,提出了采用锚固件与墙上垫块(圈梁)进行锚固的要求,以防止因梁端转动产生裂缝、滑移或脱落。
6.1.6 砖砌体中跨度大于4.8m、砌块砌体中跨度大于4.2m的梁,应在支承处砌体上设置混凝土或钢筋混凝土垫块,并宜与圈梁浇成整体。
条文说明
6.1.6本条对跨度大于6m、4.2m梁分别支承在砖砌体、砌块砌体上时,要求在支承处的砌体上设置混凝土或钢筋混凝土垫块,并与圈梁浇成整体,以减小支承处砌体局压应力。
6.1.7 支承于240mm厚砖墙上的梁跨度大于或等于6m,或180mm砖墙及砌块砌体墙上的梁跨度大于或等于4.8m时,其支承处宜加设壁柱,或采取其他加强措施。
条文说明
6.1.7本条对支承在240mm砖墙上的梁,当其跨度大于或等于6m时;支承在砌块砌体墙上或支承在180mm砖墙上的梁,当其跨度大于或等于4.8m时;要求支承处设壁柱或采取其他加强措施。
6.1.8 砖砌体应上下错缝,内外搭接;砌块砌体应分皮错缝搭砌,上下皮搭砌长度不应小于90mm。当搭砌长度不满足要求时,应在水平灰缝内设置2 
4的焊接钢筋网片,横向钢筋的间距不应大于200mm,网片每端应伸出该垂直缝不小于300mm。
条文说明
6.1.8为了避免通缝,保证砌体结构整体性,并有利于砌体结构承载,本条不仅对组砌方法提出了基本要求,而且针对搭接长度不满足时提出技术处理措施。
6.1.9 砌块砌体房屋,宜将纵横墙交接处,距中心线每边不小于300mm范围内的孔洞,采用不低于Cb20混凝土沿墙高灌实。
条文说明
6.1.9纵横墙交接处受力大而且复杂,为保证纵横墙协调变形、共同受力,提高该部位的承载能力和抗裂性能,并增强砌块砌体房屋的整体性。本条根据工程经验,提出了纵横墙交接处的灌孔要求。
6.1.10 挑梁支承面下砌块砌体宜设混凝土垫块,当未设垫块时,距挑梁中心线每边不小于300mm,高度不小于600mm的砌体,应采用不低于Cb20混凝土将孔洞灌实。
条文说明
6.1.10本条提出了挑梁支承面下的砌块砌体设置梁垫和灌实砌块孔洞等减小其局压应力的措施。
6.1.11 约束砌体与配筋砌体房屋的楼、屋盖应符合下列规定:
1 现浇钢筋混凝土楼板或屋面板伸进纵、横墙内的长度,均不应小于120mm;
2 装配式钢筋混凝土楼板或屋面板,当圈梁未设在板的同一标高时,板端伸进外墙的长度不应小于120mm,伸进内墙的长度不应小于100mm或采用硬架支模连接,在梁上不应小于80mm或采用硬架支模连接;
3 当板的跨度大于4.8m并与外墙平行时,靠外墙的预制板侧边应与墙或圈梁拉结;
4 房屋端部大房间的楼盖,6度时房屋的屋盖和7~9度时房屋的楼、屋盖,当圈梁设在板底时,钢筋混凝土预制板应相互拉结,并应与梁、墙或圈梁拉结。
条文说明
6.1.11约束砌体与配筋砌体房屋楼盖、屋盖的连接构造(包括楼板、屋面板的搁置长度及其与墙体、圈梁的拉结等),是保证楼盖、屋盖与墙体整体性的重要措施。
6.1.12 楼梯间应符合下列规定:
1 楼梯间四角、楼梯斜段上下端对应的墙体处,应设构造柱;
2 顶层楼梯间墙体应沿墙高每隔500mm(砌块墙体400mm)设2 
16通长钢筋和 
4分布短钢筋平面内点焊组成的拉结网片或 
4点焊网片;其他各层楼梯间墙体应在休息平台或楼层半高处设置60mm厚的现浇钢筋混凝土带,纵向钢筋不应小于2 
10,并应有分布拉结钢筋,其混凝土强度等级不应低于C20;
3 楼梯间及门厅内墙阳角处的大梁支承长度不应小于500mm,并应与圈梁连接;
4 楼梯应现浇,并与主体结构牢固连接;不应采用墙中悬挑式踏步或踏步竖肋插入墙体的楼梯,不应采用无筋砌体栏板;
5 突出屋顶的楼、电梯间,构造柱应伸到顶部,并与顶部圈梁连接,所有墙体应沿墙高每隔500mm(砌块墙体400mm)设2 
6通长钢筋和 
4分布短筋平面内点焊组成的拉结网片或 
4点焊网片。
条文说明
6.1.12楼梯是重要的紧急逃生竖向通道,楼梯或楼梯间的破坏会延误人员安全疏散及救援工作,从而造成人员伤亡。本条根据楼梯间比较空旷,地震作用下破坏严重的情况,提出了一些行之有效的加强措施(如墙体内构造柱、现浇钢筋混凝土水平带的设置,楼梯采用现浇,不采用墙中悬挑式踏步以及突出屋顶的楼梯间、电梯间设置构造柱、圈梁等),必须认真执行。
6.1.13 约束与配筋砌体房屋宜采用钢筋混凝土过梁,并应按钢筋混凝土受弯构件计算。
条文说明
6.1.13地震震害资料表明,砌体过梁往往在低烈度时就出现倒八字形裂缝或竖向裂缝,甚至垮塌,而钢筋混凝土过梁本身无损坏。
6.2 约束砌体房屋
6.2 约束砌体房屋
6.2.1 约束砌体房屋应在纵横墙交接处设置现浇钢筋混凝土构造柱或芯柱,在楼、屋面标高处设置现浇钢筋混凝土圈梁。
条文说明
6.2.1只有在纵横墙交接处设构造柱,在楼面、屋面标高处设圈梁,并用一定构造措施使之成为共同受力的整体,才能使房屋中的砌体处于钢筋混凝土梁、柱的包围约束中,才能称之为约束砌体。
6.2.2 设置在约束砌体房屋中的构造柱,应符合下列规定:
1 非抗震设计时,除纵横墙交接处外,尚应在墙段端部和较大洞口的洞边设置构造柱,其间距不宜大于4.0m;
2 抗震设计时,墙段两端应按现行国家标准《建筑抗震设计规范》GB 50011的要求设置构造柱,且墙肢两端及中部构造柱的间距不宜大于层高或3.0m,较大洞口两侧应设置构造柱;构造柱最小截面尺寸宜符合表6.2.2-1的要求,边、角柱的截面宜适当加大;
3 构造柱的纵向钢筋和箍筋宜符合表6.2.2-2的要求。
表6.2.2-1 构造柱的最小截面尺寸

表6.2.2-2 构造柱的纵向钢筋和箍筋设置要求

条文说明
6.2.2为了有效发挥构造柱对砌体的约束作用和抗倒塌能力,本条提出了构造柱的构造要求。较大洞口,内墙指不小于2.1m的洞口,外墙在内外墙交接处已设置构造柱时应允许适当放宽,但洞侧墙体应加强。
6.2.3 约束混凝土砌块砌体房屋的芯柱,应符合下列构造要求:
1 芯柱截面不宜小于120mm×120mm;
2 芯柱混凝土强度等级,不应低于Cb20;
3 芯柱的竖向插筋应贯通墙身且与圈梁连接;插筋直径不应小于12mm,6度、7度时超过5层、8度时超过4层和9度时,插筋直径不应小于14mm;
4 为提高墙体抗震受剪承载力而设置的芯柱,宜在墙体内均匀布置,最大净距不宜大于2.0m;
5 墙体交接处或芯柱与墙体连接处应设置拉结钢筋网片,网片可采用直径4mm的钢筋点焊而成,沿墙高间距不大于600mm,并应沿墙体水平通长设置。6度、7度时底部1/3楼层,8度时底部1/2楼层,9度时全部楼层,上述拉结钢筋网片沿墙高间距不应大于400mm。
条文说明
6.2.3为了增加约束砌块砌体房屋的整体性和延性,提高其变形能力和抗震能力,本条提出了芯柱的构造要求。
6.2.4 构造柱与墙体、圈梁、基础梁的连接,应符合下列规定:
1 构造柱与墙体连接处应砌成马牙槎,每一马牙槎高度不宜超过300mm,并应沿墙高设置拉结钢筋,拉结钢筋应满足表6.2.4的要求;
2 构造柱与楼层圈梁连接处,构造柱的纵向钢筋应穿过圈梁,并保证构造柱纵向钢筋上下贯通;
3 构造柱的纵向钢筋应在基础梁和屋面圈梁中锚固,并应符合受拉钢筋的锚固要求。
表6.2.4 拉结钢筋设置要求

条文说明
6.2.4为了保证构造柱与其毗邻的砌体成为共同受力的整体,本条对构造柱与墙体、圈梁的连接提出了明确要求。设计时尚应注意构造柱纵向钢筋不宜大于16mm。
6.2.5 构造柱、芯柱宜与基础圈梁连接,可不单独设置柱基或扩大基础面积,但应伸入室外地面标高以下500mm。
条文说明
6.2.5由于构造柱、芯柱对墙体起约束作用,不单独承担、传递荷载与各种作用,所以不单独设置柱基或扩大基础面积。但构造柱、芯柱是约束砌体墙的组成部分,与墙体共同承担荷载与作用,因此必须与墙体基础可靠连接。当基础设有基础圈梁时,构造柱、芯柱底部可锚入该圈梁内。当无基础圈梁时,应深入室外地面标高以下500mm(一般在此标高处设混凝土座,将构造柱钢筋锚入此座内)。
6.2.6 设置在约束砌体房屋中的圈梁,应符合下列规定:
1 除楼、屋面标高处外,还应在基础顶面设置现浇钢筋混凝土圈梁。
2 圈梁宜连续地设置在同一水平面上,并形成封闭状。当不能在同一水平面上闭合时,应增设附加圈梁。附加圈梁的搭接长度应不小于其垂直间距的二倍,且不得小于1m,当搭接长度不能满足时,可用构造柱连接上下圈梁、使之闭合。
3 纵横墙交接处的圈梁应可靠连接,圈梁与楼(屋)面梁也应可靠连接。
4 圈梁的宽度宜与墙厚相同,圈梁的高度应符合表6.2.6的要求:
表6.2.6 圈梁高度要求(mm)

注:设置在基础顶面的基础圈梁,高度不应小于240mm。
5 圈梁配筋应符合下列规定:
1)纵向钢筋不应少于4 
10;抗震设计时圈梁纵向钢筋应采用强度等级不低于335MPa的HRB335钢筋,且不应少于4 
12;
2)箍筋直径宜为6mm;间距不应大于300mm,抗震设计时不应大于200mm;
3)纵向钢筋可采用绑扎接头,搭接长度应按受拉考虑;
4)圈梁兼做过梁时,过梁部分的钢筋应按计算用量另行增配。
条文说明
6.2.6圈梁不仅能增强房屋的整体性,防止或减轻因不均匀沉降、温度应力与收缩变形等非荷载作用引起的墙体裂缝,而且可以提高房屋的抗震性能和抗倒塌能力,是一项有效的抗裂和抗震措施,因此,设置在约束砌体房屋中的圈梁应符合本条提出的要求。
6.2.7 约束砌体的高厚比验算可按现行国家标准《砌体结构设计规范》GB 50003中带构造柱墙的高厚比计算方法进行验算。
条文说明
6.2.7约束砌体房屋中的构造柱对墙体的稳定性和刚度产生有利作用,在高厚比验算时可按现行国家标准《砌体结构设计规范》GB50003中带构造柱墙体的高厚比计算方法进行验算。
6.2.8 当构造柱设置在无横墙的进深梁墙垛处时,应将构造柱与进深梁连接。
条文说明
6.2.8在无横墙的外墙垛上设置构造柱时应与进深梁拉结,且节点宜按铰接构造处理。当为现浇混凝土进深梁时,进深梁的钢筋应伸进构造柱内(图1);当为预制装配式进深梁时,宜在进深梁端部伸出附加钢筋与圈梁连接(图2);当为预制装配式叠合梁时,则可在叠合层内设置钢筋与构造柱相连(图3)。 
图1构造柱与现浇进深梁连接 ①-架立钢筋;②-弯起钢筋;③-受力钢筋 1-构造柱;2-砖砌纵墙;3-现浇混凝土进深梁 
图2构造柱与预制装配式进深梁连接 ①-≥2
10附加短筋或架立筋;②-≥2
10附加钢筋 1-构造柱;2-砖砌纵墙;3-圈梁;4-预制装配式进深梁 
图3构造柱与预制装配式叠合梁连接 1-构造柱;2-砖砌纵墙;3-圈梁;4-预制装配式叠合梁
6.2.9 与构造柱连接的进深梁跨度不宜大于6.6m。对截面高度大于300mm的进深梁,在梁端各1.5倍进深梁截面高度范围内宜加密箍筋。梁端进行局部抗压计算时,宜按砌体抗压强度考虑。当进深梁跨度大于6.6m时,应考虑构造柱处节点约束弯矩对墙体的不利影响。
条文说明
6.2.9为了避免进深梁与带构造柱墙体节点产生过大的约束弯矩,本条要求与构造柱连接的进深梁跨度不宜大于6.6m。当进深梁截面较大时,进深梁与构造柱连接节点不是理想的铰接。由于嵌固影响,梁端上部可能产生沿梁长方向分布的裂缝。为了保证进深梁有足够的抗震能力,应在梁端1.5倍梁高范围内加密箍筋。 尽管有构造柱的墙垛局压承载力高于无构造柱的墙垛,但在这方面的试验研究不多,目前,尚难以给出砌体的抗压强度,出于安全目的,本条规定局压计算时按砌体抗压强度考虑。 当进深梁跨度超过6.6m时,梁与构造柱连接的节点约束弯矩是不能忽视的,一般应通过计算确定,并对梁的支撑构件进行截面承载力验算。
6.2.10 当预制进深梁的宽度大于构造柱的宽度时,上、下层构造柱的纵向钢筋应采用可靠措施连接(图6.2.10),并应符合下列规定:
1 当钢筋的折角小于1/6时,构造柱的纵向钢筋可弯曲绕过进深梁,伸入上柱与上柱钢筋搭接;
2 当钢筋的折角不小于1/6时.可增设与构造柱数量和直径相同的钢筋进行上、下柱搭接;
3 搭接区的箍筋间距应满足本规程第6.2.2条箍筋加密区的间距要求。

图6.2.10 预制进深梁宽度大于构造柱宽度时构造柱的钢筋搭接示意图
1 圈梁;2 构造柱;3 预制进深梁
条文说明
6.2.10当预制进深梁宽度大于构造柱相应边的宽度时,允许构造柱的纵向钢筋有弯折,但折角应小于1/6。当梁的宽度较大时,可采用纵向钢筋搭接方法,但在搭接范围内的箍筋间距不宜大于100mm。
6.2.11 对于纵墙承重的多层砖房,当在无横墙处的纵墙中设置构造柱时,应在楼板处预留相应构造柱宽度的板缝,并与构造柱混凝土同时浇灌,做成现浇混凝土带。现浇混凝土带的纵向钢筋不应少于4根直径12mm的钢筋,箍筋间距不宜大于200mm。
条文说明
6.2.11对纵横墙共同承重的约束砌体房屋,在无横墙的纵向墙垛处设置构造柱时,应在纵向墙垛宽度范围内预留宽度不小于构造柱相应边长的板缝做成现浇钢筋混凝土带。现浇带的配筋应计算确定,但其纵向钢筋不应少于4
12,箍筋间距不宜大于200mm。现浇带两端应与纵墙圈梁连接,使内、外纵墙有可靠的连系,并保证构造柱与水平构件有一定拉结。
6.2.12 构造柱的竖向钢筋末端应做成弯钩,接头可以采用绑扎,其搭接长度宜为35倍钢筋直径。在搭接接头长度范围内的箍筋间距不应大于100mm。
条文说明
6.2.12当构造柱采用HPB300级钢筋时,钢筋末端应做成弯钩。钢筋搭接可采用绑扎,其搭接长度宜为35倍钢筋直径,在搭接长度范围内的箍筋间距不应大于100mm。
6.2.13 斜交砌体墙交接处应增设构造柱,且构造柱有效截面面积不应小于240mm×240mm。
条文说明
6.2.13斜交砌体墙交接处受力复杂且存在应力集中和扭转影响,因此应设构造柱,且构造柱的有效截面应适当加大。
6.3 配筋砌块砌体房屋
6.3 配筋砌块砌体房屋
6.3.1 配筋砌块砌体抗震墙房屋的层高应符合下列规定:
1 底部加强部位的层高,一、二级不宜大于3.2m,三、四级不宜大于3.9m;
2 其他部位的层高,一、二级不宜大于3.9m,三、四级不宜大于4.8m。
条文说明
6.3.1已有的试验研究表明,抗震墙的高度对抗震墙出平面偏心受压强度和变形有直接关系,因此本条文规定配筋砌块砌体抗震墙的层高主要是为了保证抗震墙出平面的强度、刚度和稳定性。由于小砌块的厚度是确定的190mm,因此当房屋的层高为3.2m~4.8m时,与普通钢筋混凝土抗震墙的要求基本相当。
6.3.2 配筋砌块砌体剪力墙的构造配筋应符合下列规定:
1 应在墙的转角、端部和孔洞的两侧配置竖向连续的钢筋,钢筋直径不应小于12mm;
2 应在洞口的底部和顶部设置2根直径不小于10mm的水平钢筋,其伸入墙内的长度不应小于40d和600mm;
3 应在楼(屋)盖的所有纵横墙处设置现浇钢筋混凝土圈梁,圈梁的宽度和高度应等于墙厚和块高,圈梁应配置不少于4根直径10mm的主筋,圈梁的混凝土强度等级不应低于同层混凝土块体强度等级的2倍,或该层灌孔混凝土的强度等级,且不应低于C20;
4 剪力墙其他部位的竖向和水平钢筋的间距不应大于墙长、墙高的1/3,且不应大于900mm;
5 剪力墙沿竖向和水平方向的构造钢筋配筋率均不应小于0.07%。 ( 自2022年1月1日起废止该条,详见新规《砌体结构通用规范》GB55007-2021)
条文说明
6.3.2本条对配筋砌块砌体剪力墙的最低构造钢筋、孔洞削弱部位和墙体周边的加强措施、水平和竖向钢筋的间距以及构造配筋率等作了规定。 剪力墙的配筋比较均匀,其水平和竖向的构造配筋率均不宜小于0.07%,以限制砌体干缩裂缝,并保证剪力墙具有一定的延性。 本条直接引用《砌体结构设计规范》GB50003-2011第9.4.8条。
6.3.3 抗震设计时,配筋砌块砌体剪力墙的水平和竖向分布钢筋应分别满足表6.3.3-1和表6.3.3-2的要求。
表6.3.3-1 剪力墙水平分布钢筋的配筋构造


注:1 水平分布钢筋宜双排布置,在顶层和底部加强部位,最大间距不应大于400mm;
2 双排水平分布钢筋,应设不小于 Φ 6拉结筋,水平间距不应大于400mm。
表6.3.3-2 剪力墙竖向分布钢筋的配筋构造

注:竖向分布钢筋宜采用单排布置,直径不应大于25mm,9度时配筋率不应小于0.2%。在顶层和底部加强部位,最大间距应适当减小。
条文说明
6.3.3本条根据有关试验研究成果、配筋砌块砌体剪力墙的特点、试点工程经验,并参考国内外相应的规范等资料,规定了配筋砌块砌体剪力墙抗震设计时配筋的最低构造要求。
6.3.4 短肢墙及小墙肢的配筋率应符合下列规定:
1 当房屋总高度大于18m时,其全截面竖向钢筋的配筋率在底部加强部位不宜小于1.2%,其他部位不宜小于1.0%;
2 当房屋总高度小于或等于18m时,其全截面竖向钢筋的配筋率在底部加强部位不宜小于1.0%,其他部位不宜小于0.8%。
条文说明
6.3.4小墙肢指墙肢截面高度与厚度之比为3~5的抗震墙。
6.3.5 按壁式框架设计的配筋砌块砌体窗间墙应符合下列规定:
1 窗间墙的宽度不应小于800mm;墙净高与墙宽之比不宜大于5;
2 窗间墙中的竖向钢筋应符合下列要求:
1)每片窗间墙中沿全高不应少于4根钢筋;
2)沿墙的全截面应配置足够的抗弯钢筋;
3)窗间墙的竖向钢筋的配筋率不宜小于0.2%,也不宜大于0.8%。
3 窗间墙中的水平分布钢筋应符合下列要求:
1)水平分布钢筋应在墙端部纵筋处向下弯折90°,弯折段长度不小于15d和150mm;
2)水平分布钢筋的间距:在距梁边1倍墙宽内不应大于1/4墙长,其余部位不应大于1/2墙长;
3)水平分布钢筋的配筋率不宜小于0.15%。
条文说明
6.3.5配筋砌块砌体剪力墙与钢筋混凝土剪力墙一样,随着墙中洞口的增大,便成为一种有抗侧力构件(柱)和水平构件(梁)组成的体系,即壁式框架结构体系。这种体系应按强柱弱梁的概念进行设计。如设计正确,构造合理,既能抵抗剪力与弯矩,又具有良好的延性。 本条给出了按壁式框架设计的配筋砌块窗间墙的基本要求,使用者应严格遵守。
6.3.6 配筋砌块砌体抗震墙墙肢端部应设置边缘构件,并应符合下列规定:
1 构造边缘构件的配筋范围:无翼墙端部为3孔配筋,“L”形转角节点为3孔配筋,“T”形转角节点为4孔配筋,其最小配筋应满足表6.3.6的要求,边缘构件范围内应设置水平箍筋;
表6.3.6 配筋砌块砌体剪力墙边缘构件的配筋要求

注:表中括号中数字为边缘构件采用混凝土边框柱时的配筋。
2 底部加强部位的轴压比,一级大于0.2和二、三级大于0.3时,应设置约束边缘构件,约束边缘构件的范围应沿受力方向比构造边缘构件增加1孔,水平箍筋应相应加强,也可采用钢筋混凝土边框柱;
3 边缘构件水平箍筋宜采用横筋为双筋的搭接点焊网片形式;
4 抗震等级为一、二、三级时,边缘构件箍筋应采用不低于400MPa级钢筋。
条文说明
6.3.6在配筋砌块砌体抗震墙结构中,边缘构件无论是在提高墙体承载力和变形能力方面的作用都非常明显,因此参照混凝土抗震墙结构边缘构件设置的要求,结合配筋砌块砌体抗震墙的特点,规定了边缘构件的配筋要求。 在配筋砌块砌体抗震墙端部设置水平箍筋是为了提高对砌体的约束作用及墙端部混凝土的极限压应变,提高墙体的延性。根据工程经验,水平箍筋放置于砌体灰缝中,受灰缝高度限制(一般灰缝高度为10mm),水平箍筋直径不小于6mm,且不应大于8mm比较合适;当箍筋直径较大时,将难以保证砌体结构灰缝的砌筑质量,会影响配筋砌块砌体强度;灰缝过厚则会给现场施工和施工验收带来困难,也会影响砌体的强度。抗震等级为一级水平箍筋最小直径为8mm,二~四级为6mm,为了适当弥补钢筋直径减小造成的损失,本条文注明抗震等级为一、二、三级时,应采用HRB400或RRB400级钢筋。亦可采用其他等效的约束件如等截面面积,厚度不大于5mm的一次冲压钢圈,对边缘构件,将具有更强约束作用。 本条文参照混凝土抗震墙,增加了一、二、三级抗震墙的底部加强部位设置约束边缘构件的要求。当房屋高度接近本规程的限值时,也可以采用钢筋混凝土边框柱作为约束边缘构件来加强对墙体的约束,边框柱截面沿墙体方向的长度可取400mm。在设计时还应注意,过于强大的边框柱可能会造成墙体与边框柱的受力和变形不协调,使边框柱和配筋砌块墙体的连接处开裂,影响整片墙体的抗震性能。
6.3.7 配筋砌块砌体抗震墙高层房屋不应设置转角窗;多层房屋不宜设置转角窗,当设置时,转角窗开间相关墙体尽端边缘构件最小纵筋直径应比表6.3.6的规定值提高一级,且转角窗开间的楼、屋面应采用现浇钢筋混凝土楼、屋面板。
条文说明
6.3.7转角窗的设置将削弱结构的抗扭能力,配筋砌块砌体抗震墙较难采取措施(如:墙加厚,梁加高),故建议避免转角窗的设置。但配筋砌块砌体抗震墙结构受力特性类似于钢筋混凝土抗震墙结构,若需设置转角窗,则应适当增加边缘构件配筋,并且将楼板、屋面板做成现浇板以增强整体性。
6.3.8 配筋砌块砌体剪力墙的水平分布钢筋沿墙长应连续设置,两端的锚固应符合下列规定:
1 抗震等级为一、二级的剪力墙,水平分布钢筋可绕竖向主筋弯180度弯钩,弯钩端部直段长度不宜小于12d;亦可弯入端部灌孔混凝土中,锚固长度不应小于30d且不应小于250mm;
2 抗震等级为三、四级的剪力墙,水平分布钢筋可弯入端部灌孔混凝土中,锚固长度不应小于25d且不应小于200mm;
3 当采用焊接网片作为剪力墙水平钢筋时,应在钢筋网片的弯折端部加焊两根直径与抗剪钢筋相同的横向钢筋,弯入灌孔混凝土的长度不应小于150mm。
条文说明
6.3.8本条给出了配筋砌块剪力墙的水平分布钢筋沿墙长度应连续设置及其不同抗震等级的锚固要求。
6.3.9 配筋砌块砌体剪力墙在重力荷载代表值作用下的轴压比,应符合下列规定:
1 一级9度时不宜大于0.4,一级7度、8度时不宜大于0.5,二、三级不宜大于0.6;
2 短肢墙一级不宜大于0.5,二、三级不宜大于0.6;对于无翼缘的一字形短肢墙,其轴压比限值应相应降低0.1;
3 各向墙肢截面均为小墙肢时,一级不宜大于0.4,二、三级不宜大于0.5;对于无翼缘的一字形独立小墙肢,其轴压比限值应相应降低0.1。
条文说明
6.3.9配筋砌块砌体抗震墙在重力荷载代表值作用下的轴压比控制是为了保证配筋砌块砌体在水平荷载作用下的延性和强度的发挥,同时也是为了防止墙片截面过小、配筋率过高,保证抗震墙结构延性。对多层、高层及一般墙、短肢墙、一字形短肢墙的轴压比限值作了区别对待,由于短肢墙和无翼缘的一字形短肢墙的抗震性能较差,因此对其轴压比限值应该做更为严格的规定。
6.3.10 配筋砌块砌体圈梁构造,应符合下列规定:
1 各楼层标高处,每道配筋砌块砌体剪力墙均应设置现浇钢筋混凝土圈梁,圈梁的宽度应为墙厚,截面高度不宜小于200mm;
2 圈梁混凝土抗压强度不应小于相应灌孔砌块砌体混凝土的强度,且不应小于C20;
3 圈梁纵向钢筋直径不应小于墙中水平分布钢筋的直径,且不应小于4 Φ 12,基础圈梁纵筋不应小于4 Φ 12;圈梁及基础圈梁箍筋直径不应小于8mm,间距不应大于200mm;当圈梁高度大于300mm时,应沿梁截面高度方向设置腰筋,其间距不应大于200mm,直径不应小于10mm;
4 圈梁底部嵌入墙顶砌块孔洞内,深度不宜小于30mm;圈梁顶部应是毛面。
条文说明
6.3.10在配筋砌块砌体剪力墙和楼盖、屋盖的结合处设置钢筋混凝土圈梁,可进一步增加结构的整体性,同时也可作为建筑竖向尺寸调整手段。该圈梁作为配筋砌块砌体剪力墙的组成部分,其强度应和灌孔砌块砌体强度基本一致,相互匹配,其纵向配筋量不应小于配筋砌块砌体剪力墙水平筋的数量,其腰筋间距不应大于配筋砌块砌体剪力墙水平筋间距,并宜适当加密。
6.3.11 配筋砌块砌体剪力墙中当连梁采用钢筋混凝土时,连梁混凝土的强度等级不宜低于同层墙体块体强度等级的2倍,或同层墙体灌孔混凝土的强度等级,也不应低于C20;其他构造尚应满足现行国家标准《混凝土结构设计规范》GB 50010的有关要求。
6.3.12 配筋砌块砌体剪力墙中当连梁采用配筋砌块砌体时,连梁应符合下列规定:
1 连梁的截面应符合下列规定:
1)连梁的高度不应小于两皮砌块的高度和400mm;
2)连梁应采用H形砌块或凹槽砌块组砌,孔洞应全部浇灌混凝土。
2 连梁的水平钢筋宜符合下列规定:
1)连梁上、下水平受力钢筋宜对称、通长设置,在灌孔砌体内的锚固长度不宜小于40d和600mm;
2)连梁水平受力钢筋的配筋率不宜小于0.2%,也不宜大于0.8%。
3 连梁的箍筋应符合下列规定:
1)箍筋的直径不应小于6mm;
2)箍筋的间距不宜大于1/2梁高和600mm;
3)在距支座等于梁高范围内的箍筋间距不应大于1/4梁高,距支座表面第一根箍筋的间距不应大于100mm;
4)箍筋的面积配筋率不宜小于0.15%;
5)箍筋宜为封闭式,双肢箍末端弯钩宜为135°;单肢箍末端的弯钩宜为180°。或弯90°加12倍箍筋直径的延长段。
6.3.13 抗震设计时配筋砌块砌体剪力墙连梁的构造,当采用混凝土连梁时,应满足本规程第6.3.11条和现行国家标准《混凝土结构设计规范》GB 50010中有关地震区连梁的构造要求;当采用配筋砌块砌体连梁时,除应符合本规程第6.3.12条的规定外,尚应满足下列要求:
1 连梁上下水平钢筋锚入墙体内的长度,一、二级时不应小于1.1l a ,三、四级时不应小于l a ,且不应小于600mm;
2 连梁的箍筋应沿梁长布置,并应满足表6.3.13的要求:
表6.3.13 连梁箍筋的构造要求

注:h为连梁截面高度:加密区长度不小于600mm。
3 在顶层连梁伸入墙体的钢筋长度范围内,应设置间距不大于200mm的构造箍筋,箍筋直径应与连梁的箍筋直径相同;
4 连梁不宜开洞。当需要开洞时,应在跨中梁高1/3处预埋外径不大于200mm的钢套管,洞口上下的有效高度不应小于1/3梁高,且不应小于200mm,洞口处应配补强钢筋并在洞周边浇筑灌孔混凝土,被洞口削弱的截面应进行受剪承载力验算。
条文说明
6.3.11~6.3.13这三条是根据国内外试验研究成果和我国工程实践经验,并参照钢筋混凝土剪力墙连梁的构造要求和配筋砌块砌体连梁的特点,分别规定了非抗震设计与抗震设计时,配筋砌块砌体剪力墙中的钢筋混凝土连梁和配筋砌块砌体连梁的有关技术要求。
6.3.14 配筋砌块砌体墙平面外方向梁的偏心距大于本规程第4.1.2条规定时,应采取下列措施之一:
1 沿梁轴线方向设置与梁相连的配筋砌块砌体墙,抵抗该墙肢平面外弯矩;
2 当不能设置时,可将梁端与墙连接作为铰接处理,并采取相应梁与墙铰接的构造措施。
条文说明
6.3.14本条为减轻或避免配筋砌块砌体墙,因平面外弯矩过大产生水平裂缝而提出的技术处理措施。
6.3.15 钢筋的设置。应符合下列规定:
1 钢筋的直径不宜大于25mm,当设置在灰缝中时不应小于4mm,且不宜大于灰缝厚度的1/2;在其他部位不应小于10mm;
2 两平行的水平钢筋间的净距不应小于50mm,且应设置直径不小于4mm的拉结筋,间距不应大于600mm;
3 柱和壁柱中的竖向钢筋的净距不宜小于40mm;
4 配置在孔洞或空腔中的钢筋面积不应大于孔洞或空腔面积的6%。
6.3.16 钢筋在灌孔混凝土中的锚固,应符合下列规定:
1 当计算中充分利用竖向受拉钢筋强度时,其锚固长度l a ,对HPB300及HRB335钢筋不应小于30d;对HRB400和RRB400钢筋不应小于35d;在任何情况下钢筋的锚固长度不应小于300mm。
2 竖向受拉钢筋不宜在受拉区截断。必须截断时,应延伸至按正截面受弯承载力计算不需要该钢筋的截面以外,延伸的长度不应小于20d。
3 竖向受压钢筋在跨中截断时,必须伸至按计算不需要该钢筋的截面以外,延伸的长度不应小于20d;对绑扎骨架中末端无弯钩的钢筋,不应小于25d。
4 钢筋骨架中的受力光圆钢筋,应在钢筋末端做弯钩,在焊接骨架、焊接网以及轴心受压构件中,可不做弯钩;绑扎骨架中的受力带肋钢筋,在钢筋的末端可不做弯钩。
6.3.17 钢筋的直径大于22mm时宜采用机械连接接头,接头的质量应符合现行行业标准《钢筋机械连接技术规程》JGJ 107的规定;其他直径的钢筋可采用搭接接头,并应符合下列规定:
1 钢筋的接头位置宜设置在受力较小处;
2 受拉钢筋的搭接接头长度不应小于1.1l a ,受压钢筋的搭接接头长度不应小于0.7l a ,且不应小于300mm;
3 当相邻接头钢筋的间距不大于75mm时,其搭接长度应为1.2l a 。当钢筋间的接头错开20d时,搭接长度可不增加。
6.3.18 水平受力钢筋或钢筋网片的锚固和搭接长度应符合下列规定:
1 在凹槽砌块混凝土带中钢筋的锚固长度不宜小于30d,且其水平或垂直弯折段的长度不宜小于15d和200mm;钢筋的搭接长度不宜小于35d;
2 在砌体水平灰缝中,钢筋的锚固长度不宜小于50d,且其水平或垂直弯折段的长度不宜小于20d和250mm;钢筋的搭接长度不宜小于55d;
3 在隔皮或错缝搭接的灰缝中搭接长度为50d+2h,d为灰缝受力钢筋的直径,h为水平灰缝的间距。
6.3.19 钢筋的最小保护层厚度应符合下列规定:
1 灰缝中钢筋外露砂浆保护层不宜小于15mm;
2 位于砌块孔槽中的钢筋保护层,在室内正常环境不宜小于20mm,在室外或潮湿环境不宜小于30mm;
3 安全等级为一级或设计使用年限大于50年的配筋砌体结构构件,钢筋的保护层应比本条1、2款规定的厚度至少增加5mm,或采用经防腐处理的钢筋、抗渗混凝土块等措施。
条文说明
6.3.15~6.3.19与钢筋混凝土剪力墙比,配筋砌块砌体剪力墙对钢筋的要求有以下特点: 1钢筋的规格要受到孔洞和灰缝的限制。 2位于灌孔混凝土中的钢筋,不论位置是否位于砌块孔洞中央,仍处在周边有砌块壁形成结束条件下的混凝土中,锚固条件比钢筋在一般混凝土中好,其锚固粘结强度也要高。 3钢筋的接头宜采用搭接或非接触搭接接头,以便于先砌墙后插筋、就位绑扎和浇灌混凝土的施工工艺。 4配置在水平灰缝中的受力钢筋,其握裹条件较灌孔混凝中的钢筋要差一些,因此其搭接长度较其他条件下要长。 5钢筋的最小保护层厚度,是基于在正常条件下,钢筋不会锈蚀和保证所需握裹力的发挥而确定的。尽管在灌孔混凝土中钢筋的保护与受约束条件更好,但钢筋的混凝土保护层厚度不考虑砌块块体壁厚的有利影响。
6.3.20 抗震设计时配筋砌块砌体剪力墙房屋的基础与剪力墙结合处的受力钢筋,当房屋高度超过50m或一级抗震等级时宜采用机械连接或焊接,其他情况可采用搭接。当采用搭接时,一、二级抗震等级时搭接长度不宜小于50d,三、四级抗震等级时不宜小于40d,d为受力钢筋直径。
条文说明
6.3.20本条对抗震设计时配筋砌块砌体剪力墙与其基础结合处的受力钢筋的连接提出了要求。基于先砌墙,后插钢筋,一般情况下可采用搭接,但由于受力需要,房屋高度超过50m或一级抗震等级的配筋砌块砌体剪力墙的纵向受力钢筋宜采用机械连接或焊接,这是一种难度较大的要求。
6.4 夹心墙
6.4 夹 心 墙
6.4.1 约束与配筋砌体夹心墙,其各层厚度应符合表6.4.1的规定。
表6.4.1 内、外叶墙和保温层厚度要求(mm)

条文说明
6.4.1内、外叶墙的最小厚度是根据块材模数和墙体砌筑要求提出的。保温层的厚度除应满足建筑热工计算外,尚不应大于本规程表6.4.1规定的最大厚度,以保证外叶墙的稳定性和夹心墙的整体性。现行国家标准《砌体结构设计规范》GB50003和《建筑抗震设计规范》GB50011规定:“非抗震设防区的空腔厚度不应大于100mm”,抗震设防区的空腔厚度不应大于80mm”。这是针对空腔内安装预制保温板所作的规定。由于现浇保温浆料与内、外叶墙具有一定粘结作用。经沈阳建筑大学做的夹心墙体力学性能试验验证,以现浇保温浆料做保温层的夹心墙,其保温层厚度可以适当增加。
6.4.2 内、外叶墙宜选用材料性能相同的块材。
条文说明
6.4.2材料性能相同的块材,有利于减小内、外墙在环境作用下的差异变形,有助于减轻外叶墙的裂缝,并便于砌筑施工。
6.4.3 外叶墙横向支承的间距,非抗震设计及抗震设防烈度为6度时不宜大于9m,抗震设防烈度为7度时不宜大于6m,8度、9度时不宜大于3m。
条文说明
6.4.3外叶墙主要对保温层起防护作用,虽然它不参与结构受力,但它要承受自重和自重产生的地震作用和风荷载,且通过保温层(现浇保温浆料)和连接件(包括拉结件和承托件)传给内叶墙,因此应满足高厚比和自身受力要求。外叶墙以基础(基础拉梁)顶面、楼板标高处的水平板为横向支承,本条对外叶墙横向支撑的设置规定,利于外叶墙受力、传力,且节点构造简单。
6.4.4 内、外叶墙间的连接应符合下列规定:
1 内外叶墙间的拉结钢筋或钢筋网片应进行防腐处理。当采用热镀锌时,其镀层不应小于290g/m 2 ;当采用环形拉结件时,钢筋直径不应小于4mm,当为Z形拉结件时,钢筋直径不应小于6mm;拉结件应沿竖向梅花形布置(图6.4.4-1),其水平和竖向最大间距分别不宜大于800mm和600mm;对有振动或有抗震设防要求时,其水平和竖向最大间距分别不宜大于800mm和400mm。
2 当采用可调拉结件时,钢筋直径不应小于4mm,拉结件的水平和竖向最大间距均不宜大于400mm。叶墙间灰缝的高差不大于3mm,可调拉结件中孔眼和扣钉间的公差不大于1.5mm。
3 当采用钢筋网片用做拉结件时,网片横向钢筋的直径不应小于4mm,其间距不应大于400mm;网片的竖向间距不宜大于600mm;对有振动或有抗震设防要求时,不宜大于400mm。
4 拉结钢筋在叶墙上的搁置长度,不应小于叶墙厚度的2/3,并不应小于60mm。
5 门窗洞口侧面无钢筋混凝土构造柱(抱框柱)时,其300mm范围内应设间距不大于400mm(砌块砌体)、500mm(砖砌体)的“Ⅱ”形拉结钢筋(图6.4.4-2)。

6.4.5 夹心墙拉结件或网片的选择与设置,应符合下列规定:
1 非抗震设防区的多层房屋,或风荷载较小地区的高层建筑房屋夹心墙可采用环形或Z形拉结件(图6.4.5);风荷载较大地区的高层建筑房屋宜采用焊接钢筋网片。

图6.4.5 拉结筋形式
2 抗震设防区的房屋,夹心墙应采用焊接钢筋网作为拉结件。焊接钢筋网应沿夹心墙连续通长设置,外叶墙上至少有一根纵向钢筋。钢筋网片可计入内叶墙的配筋率,其搭接与锚固长度应符合现行相关标准的规定。
3 可调拉结件宜用于多层房屋的夹心墙,其竖向和水平间距均不应大于400mm。
条文说明
6.4.4、6.4.5在竖向荷载作用下,拉结件能协调内、外叶墙的变形,为内叶墙提供了一定的支持作用,提高了内叶墙的承载力和稳定性。在水平荷载作用下,拉结件能防止外叶墙在大变形情况下失稳破坏,使内、外叶墙变形协调,共同工作,因此拉结件对防止已开裂墙体在地震作用下不致脱落、倒塌有重要作用。 按条文给出的拉结件形式和拉结件布置方式,可以保证外叶墙的平面外稳定。
6.4.6 当砖砌体外叶墙的长度大于50m、砌块砌体外叶墙的长度大于40m时,外叶墙上应设20mm竖向控制缝。控制缝应设在与内叶墙上构造柱对应部位,缝内应用弹性密封膏填塞(图6.4.6)。

图6.4.6 控制缝构造示意图
1-保温层;2-拉结件;3-外叶墙;4-内叶墙;5-构造柱;6-弹性密封材料
条文说明
6.4.6在较长的外叶墙上设置竖向控制缝的目的是为了减小或防止外叶墙的温度、收缩裂缝,避免渗漏水现象。为方便施工,竖向控制缝应设在有构造柱的部位。
6.4.7 内叶墙上的构造柱与外叶墙之间,砖砌体外叶墙应沿墙高每500mm、砌块砌体外叶墙应沿墙高每400mm设置直径为4.5mm阴极电泳环氧涂层螺纹钢筋连接(图6.4.7)。

图6.4.7 柱与外叶墙拉结示意图
1-保温层;2-拉结件;3-外叶墙;4-内叶墙;5-构造柱
条文说明
6.4.7外叶墙与内叶墙、内叶墙中的构造柱应进行拉结,内、外叶墙间的拉结件的水平间距一般从构造柱的柱边算起。按本规程图6.4.7的要求设置拉结件可以保证外叶墙的平面外稳定。 需要说明的是,当保温层为现浇保温浆料时,构造柱相应的空腔部位应设置预制保温块,既作浇筑构造柱混凝土的模板,又确保夹心墙的保温效果。
6.4.8 夹心墙宜从室内地面标高以下240mm开始砌筑,且其首层计算高度宜取砌筑处至房屋楼板或其他水平支点间的距离。非承重叶墙高厚比应符合现行国家标准《砌体结构设计规范》GB 50003的允许高厚比的规定。
6.4.9 对现浇保温浆料夹心墙应在内叶墙上和圈梁梁耳上设置浇筑孔和排气孔。
条文说明
6.4.9现浇保温浆料拌合物通过内叶墙上的浇筑孔可以充填该孔下缘以下的空腔。内叶墙墙顶浇筑孔下缘至圈梁底高度范围内,保温浆料拌合物难以充填,必须在浇筑上一层保温浆料拌合物时通过梁耳上的浇筑孔充填。
6.5 防止或减轻墙体开裂的主要措施
6.5 防止或减轻墙体开裂的主要措施
6.5.1 在正常使用条件下,应在墙体中设置伸缩缝。伸缩缝应设在因温度和收缩变形引起应力集中、砌体产生裂缝可能性最大处。约束砌体与配筋砌体房屋的伸缩缝间距可按表6.5.1采用。
表6.5.1 伸缩缝的最大间距(m)

注:1 当有实践经验并采取有效措施时,可适当放宽;
2 在钢筋混凝土屋面挂瓦的屋盖应按钢筋混凝土屋盖采用;
3 温差较大且变化频繁地区和严寒地区不采暖的房屋及构筑物墙体的伸缩缝的最大间距,应按表中数值予以适当减小。
条文说明
6.5.1为了防止或减轻约束砌体与配筋砌体房屋长度大,由于温差和砌块干缩引起的墙体竖向裂缝,本条规定了伸缩缝的最大间距。考虑砌块砌体的膨胀系数和收缩率均高于烧结黏土砖砌体,故对砌块砌体伸缩缝最大间距予以折减。 由于约束砌体与配筋砌体房屋墙体裂缝成因的不确定性和不可预见性以及目前的技术经济水平,选用本节提出的防裂措施,可以使墙体裂缝的产生和发展达到能够接受的程度。
6.5.2 为防止或减少地基差异变形引起的墙体开裂,在建筑物的下列部位宜设置沉降缝:
1 建筑平面的转折部位;
2 高度差异或荷载差异处;
3 地基土的压缩性有显著差异处;
4 建筑结构或基础类型不同处;
5 分期建造房屋的交界处。
条文说明
6.5.1为了防止或减轻约束砌体与配筋砌体房屋长度大,由于温差和砌块干缩引起的墙体竖向裂缝,本条规定了伸缩缝的最大间距。考虑砌块砌体的膨胀系数和收缩率均高于烧结黏土砖砌体,故对砌块砌体伸缩缝最大间距予以折减。 由于约束砌体与配筋砌体房屋墙体裂缝成因的不确定性和不可预见性以及目前的技术经济水平,选用本节提出的防裂措施,可以使墙体裂缝的产生和发展达到能够接受的程度。
6.5.3 沉降缝宽度不应小于表6.5.3规定的下限值,当地基软弱且建筑物体型较复杂时,可结合当地经验设置沉降缝,缝宽度宜取表6.5.3规定的上限值。
表6.5.3 沉降缝宽度限值(mm)

注:1 当沉降缝两侧单元层数不同时,缝宽按层数较低者采用;
2 缝宽应同时满足防震缝的要求。
条文说明
6.5.3沉降缝应有足够的宽度,可按本条规定考虑。缝内一般不填塞材料,以防止缝两侧单元有可能内倾而造成顶住、挤压损坏。对节能建筑必须填塞保温材料时,宜在缝的两端1000mm范围填塞符合国家与地方规定的材料。以防止缝的两侧墙体因房屋内倾而相互挤压。
6.5.4 为减少由不均匀沉降及温度等因素引起的墙体裂缝,可采取下列措施:
1 建筑物宜简单规则,其刚度与质量宜分布均匀,纵横转折不宜多,横墙间距不宜过大;
2 增大基础圈梁的刚度;
3 在地基基础设计中,严格控制房屋地基容许变形值;
4 当相邻屋面标高不一致时,应采取有效措施,防止低屋面温度伸缩时对高屋面的墙体推拉作用而产生水平裂缝;
5 房屋内外墙面易产生裂缝部位,宜在墙面设置钢丝网,再作粉刷;
6 在墙面粉刷中掺入玻璃纤维或其他纤维。
条文说明
6.5.4本条所列的减少墙体开裂的措施,主要是对软弱地基的建筑物不均匀沉降且综合考虑温度等影响因素而提出的,对一般地基可根据具体情况参照采用。
6.5.5 约束砌体房屋的顶层,宜根据情况采取下列措施:
1 屋面应设置有效的保温、隔热层。屋面保温、隔热层或屋面刚性面层及砂浆找平层应设置分隔缝,分隔缝间距不宜大于6m,其缝宽不小于30mm,并与女儿墙隔开。
2 屋面设置后浇带。现浇混凝土楼板可划分成2~3个区段,每个区段长度宜在40m以内,钢筋可连续铺设。后浇带内应加设2根直径6mm、间距500mm的加强钢筋。
3 房屋两端圈梁下的墙体宜适当增设通长水平钢筋。
4 顶层挑梁末端下墙体灰缝内应设置3道焊接钢筋网片。每道钢筋网片的纵向钢筋不宜少于2根直径4mm的钢筋,横筋间距不宜大于200mm,钢筋网片自梁末端伸入两边墙体不应小于1000mm(图6.5.5)。
5 顶层墙体有门窗洞口时,在过梁上的水平灰缝内设置2~3道焊接钢筋网片或2根直径6mm的钢筋,并应伸入洞口两端墙内不小于600mm。
6 女儿墙应设置钢筋混凝土构造柱或芯柱,构造柱间距不宜大于4m且每开间设置,插筋芯柱间距不宜大于1.6m,构造柱或芯柱插筋应伸至女儿墙顶,并与现浇钢筋混凝土压顶整浇在一起。
7 加强顶层构造柱或芯柱与墙体的拉结,拉结钢筋网片的竖向间距不宜大于400mm,伸入墙体长度不宜小于1000mm。
8 山墙和端开间的内、外纵墙,宜在墙内设置2根直径6mm的通长水平钢筋或焊接钢筋网片,竖向间距不宜大于300mm。

图6.5.5 顶层挑梁末端钢筋网片
6.5.6 约束砌体房屋的底层墙体,应在窗台下墙体灰缝内设置3道通长焊接钢筋网片或2根直径6mm的通长水平钢筋,竖向间距不应大于400mm。
条文说明
6.5.5、6.5.6为了防止和减小约束砌体房屋由于钢筋混凝土底层楼板,顶层屋盖的温度变化和砌体干缩变形以及其他原因引起的墙体裂缝,本条根据国内外比较成熟的经验、做法提出了一些防裂措施,使用者可根据工程情况选用。
6.5.7 约束砌体房屋在各层门、窗过梁上方的水平灰缝内及窗台下第一和第二道水平灰缝内,宜设置通长焊接钢筋网片或2根直径6mm的钢筋。
条文说明
6.5.7 由于混凝土砌块的线膨胀系数和收缩率较大,而门、窗洞口处温度频繁变化,在门、窗过梁上方及窗台下的墙体易产生竖向裂缝,为防止和减小这些部位的裂缝而提出本条要求。
6.5.8 约束砌体房屋两端和底层第一、第二开间的门窗洞口处,宜采取下列措施:
1 在门窗洞口两边墙体的水平灰缝中,设置长度不小于900mm、竖向间距为400mm的2 
4焊接钢筋网片;
2 在顶层和底层宜设置通长钢筋混凝土窗台梁,窗台梁的高度宜为块高的模数,纵筋不小于4 
10,箍筋宜为 
6@200,混凝土强度等级不低于C20;
3 在混凝土砌块砌体房屋门窗洞口两侧不少于一个孔洞中设置不小于1 
12竖向钢筋,钢筋应在楼层圈梁或基础内锚固,并采用不低于Cb20混凝土灌实。
条文说明
6.5.8为防止和减小房屋两端和底层、顶层的端部第一、第二开间门、窗洞口的裂缝,本条根据相关标准的规定和大量工程经验提出的防裂措施。
7 施工质量控制、检验及验收要点
7.1 施工质量控制
7 施工质量控制、检验及验收要点
7.1 施工质量控制
7.1.1 砌体构件所用的材料应有产品合格证书、产品性能型式检验报告,质量应符合国家现行有关标准的规定。块体、水泥、钢筋、外加剂尚应有材料主要性能的进场复验报告,并应满足设计要求。严禁使用国家明令淘汰的材料。
条文说明
7.1.1在约束砌体与配筋砌体结构工程中,采用不合格的材料不可能建造出符合质量要求的工程。材料的产品合格证书和产品性能检测报告是工程质量评定中必备的资料,因此特提出了要求。 块体、水泥、钢筋、外加剂等产品质量应符合下列国家现行标准的要求: 1块体:《烧结普通砖》GB5101、《烧结多孔砖》GB13544、《烧结空心砖和空心砌块》GB13545、《混凝土实心砖》GB/T21144、《混凝土多孔砖》JC943、《蒸压灰砂砖》GB11945、《蒸压灰砂空心砖》JC/T637、《粉煤灰砖》JC239、《普通混凝土小型空心砌块》GB8239、《轻集料混凝土小型空心砌块》GB/T15229、《蒸压加气混凝土砌块》GB11968等。 2水泥:《通用硅酸盐水泥》GB175、《砌筑水泥》GB/T3183、《快硬硅酸盐水泥》JC314等。 3钢筋:《钢筋混凝土用钢第1部分:热轧光圆钢筋》GB1499.1、《钢筋混凝土用钢第2部分:热轧带肋钢筋》GB1499.2等。 4外加剂:《混凝土外加剂》GB8076、《砂浆、混凝土防水剂》JC474、《砌筑砂浆增塑剂》JC/T164等。
7.1.2 砌筑砂浆和混凝土应进行配合比设计,当组成材料有变更时,其配合比应重新确定。
条文说明
7.1.2砌筑砂浆和混凝土通过配合比设计确定的配合比,是使施工中砌筑砂浆达到设计强度等级。
7.1.3 砌体施工质量控制等级不应低于B级。
条文说明
7.1.3砌体工程施工砌筑大量由人工操作,砌体结构质量很大程度上取决于人的因素,施工现场质保体系、砂浆和混凝土的强度、砌筑工人技术等级对砌体结构质量影响直接表现在砌体的强度上。因此,约束砌体及配筋砌体施工质量控制的等级要求不低于B级。
7.1.4 冬期施工时应有完整的冬期施工方案,并应符合现行行业标准《建筑工程冬期施工规程》JGJ/T 104的有关规定。
条文说明
7.1.4我国地区性差级较大,为在冬期施工时确保配约束砌体及筋砌体工程施工质量,因此砌体工程在冬期施工时应符合现行行业标准《建筑工程冬期施工规程》JGJ/T104的有关规定。
7.1.5 设有钢筋混凝土构造柱、芯柱的砌体墙的施工程序应为先砌墙后浇混凝土柱,构造柱与墙体连接处应砌成马牙槎,马牙槎应先退后进对称砌筑,预留的拉结筋位置应正确。
条文说明
7.1.5先砌墙后浇筑柱的混凝土是一项重要的施工技术措施,它能使混凝土拌合物充满砌体灰缝和填实砌体马牙槎,保证构造柱、芯柱与砌体结合牢靠。
7.1.6 基础或每一楼层施工完后,应校核砌体的轴线和标高,轴线偏差应以基础顶面或圈梁顶面轴线为基准校正,标高偏差应通过调整上部灰缝厚度逐步调整。
条文说明
7.1.6本条是保证整幢房屋建筑和每层墙体质量的一项有效的施工技术措施。
7.1.7 砌筑砂浆应采用机械搅拌并随拌随用,拌制的砂浆应在3h内使用完毕,当施工期间最高气温超过30℃时,应在2h内使用完毕。砌体砂浆灰缝应饱满,约束砌体的水平灰缝的砂浆饱满度不应低于85%,竖向灰缝的砂浆饱满度不应低于80%;配筋砌体的水平及竖向灰缝的砂浆饱满度不应低于90%。
条文说明
7.1.7砌筑砂浆的保水性较差,施工时砂浆放置时间过长会产生泌水现象,致使砂浆和易性变差,操作闲难,灰缝不易饱满,降低砌体强度。砌体灰缝砂浆饱满度对配筋砌体质量影响至关重要,故提出相应的施工要求。
7.1.8 浇筑构造柱混凝土前,应将砖砌体和模板浇水湿润,模板内的落地灰、砖渣和杂物应清理干净。
条文说明
7.1.8为保证构造柱质量,使新旧混凝土可靠连接,必须清理模板内的交界面处的垃圾,是浇筑混凝土前的基本要求。
7.1.9 构造柱和圈梁的模板应支撑牢固,模板应与砌体墙严密贴紧,防止漏浆。
条文说明
7.1.9为保证配筋砌块砌体剪力墙与基础的整体性和抗震性,砌体剪力墙内的钢筋与基础或基础梁内的钢筋必须连接牢固。
7.1.10 构造柱混凝土浇筑可分段进行,亦可按层一次浇筑。柱混凝土应分层振捣密实,每次振捣的分层厚度不宜超过振捣棒长的1.25倍,应避免振捣棒直接碰触墙壁,禁止通过墙体传振。预制钢筋混凝土梁垫应与圈梁同时浇筑,混凝土的坍落度宜为50mm~70mm,也可根据施工条件、季节情况进行调整。
条文说明
7.1.10由于构造柱断面小,又存在马牙槎,给施工带来不便,适当提高混凝土的和易性,以保证构造柱的质量,根据施工经验,每次振捣层的厚度不宜太厚。
7.1.11 门窗过梁应与砌体同时施工,不得预留洞口后安装。
条文说明
7.1.11本条是保证整幢房屋建筑和每层墙体质量的一项有效的施工技术措施。
7.1.12 当在横墙上留置施工洞口时,应留设在横墙中间1/3的范围内。洞口的高度不得超过2/3墙高,并应设置洞口过梁和拉结筋,拉结筋沿洞口高度方向间距不应大于500mm,伸入两侧墙内长度不应小于500mm。
条文说明
7.1.12根据目前的施工情况,在横墙上留设施工洞口的现象较普遍,若在施工过程中不采取加强措施,将影响砌体质量,为保证横墙的承载能力不致损失过大而制定本条规定。
7.1.13 配筋砌体尚应符合下列规定:
1 施工配筋砌块砌体剪力墙,应采用专用的砌块砌筑砂浆砌筑,专用砌块灌孔混凝土浇筑芯柱。
2 网状配筋砌体构件内所用的方格钢筋网或连弯钢筋网不得采用分离的单根钢筋代替。
3 配筋砌体钢筋网应设置在砌体的水平灰缝中,灰缝厚度应能保证钢筋上下至少各有2mm厚的砂浆层。
4 组合砌体柱与砌体墙应同时施工,应把箍筋同时砌入砌体内。组合柱应随砌筑墙体随即绑扎钢筋,应分段浇注混凝土或砂浆并捣实,柱的外侧模板应固定牢固,防止漏浆,砌体柱竖向钢筋应按设计要求的位置设置。箍筋应在水平灰缝中间设置,水平灰缝厚度应符合本条第3款的规定。
5 配筋砌块砌体剪力墙应对孔错缝搭砌,并应采用砌块专用的砌筑砂浆和灌孔混凝土,一次灌孔混凝土最大浇筑高度不得大于1.2m,并应插捣密实。
6 配筋砌块砌体剪力墙内竖向插筋应与基础或基础梁内的预埋钢筋连接。
7 砌入砌体内的钢筋网,每一钢筋网的钢筋应有一根露出砌体外5mm便于施工检查。
8 设置在潮湿环境或有化学侵蚀性介质的环境中的砌体灰缝内的钢筋应采取防腐措施。
条文说明
7.1.13配筋砌体在满足以上施工要求的同时尚应符合以下规定: 1专用的砌块砌筑砂浆是指符合现行行业标准《混凝土小型空心砌块和混凝土砖砌筑砂浆》JC860的砌筑砂浆,该砂浆可提高小砌块与砂浆间的粘结力,且施工性能好。小砌块灌孔混凝土系指符合现行行业标准《混凝土砌块(砖)砌体用灌孔混凝土》JC861的专用混凝土,该混凝土性能好,对保证砌体施工质量和结构受力十分有用。 2为保证网状配筋砌体质量,砌体内的钢筋不能直接用单根钢筋代替。 3为使钢筋有较好的保护及砂浆层能与砌块较好地粘结,砌体水平灰缝中的钢筋应居中放置,同时施工中应注意灰缝厚度,否则会影响砌体的强度。 4组合砌体柱与一般砌体墙同时砌筑,主要提高砌体结构的整体性能和抗震性能,保证配筋砌体质量。 5砌体剪力墙砌块错缝搭砌,主要保证墙体传递竖向荷载的直接性,避免产生竖向裂缝,影响砌体强度,同时由于小砌块使用的砌筑砂浆和灌孔混凝土性能较好,对保证配筋砌块砌体剪力墙的结构性能十分有利。 6为保证配筋砌块砌体剪力墙与基础的整体性和抗震性,砌体剪力墙内的钢筋与基础或基础梁内的钢筋必须连接牢固。 7每一钢筋网中有一根钢筋露出砌体外主要为了便于检查砌体内的钢筋网是否遗漏。 8从建筑物的耐久性考虑,在不同的使用环境中应对配筋砌体灰缝内的钢筋采取相应的防腐措施。
7.2 施工质量检验
7.2 施工质量检验
7.2.1 砌体所用材料在进场使用前,应对材料的主要性能指标进行复验,合格后方可使用。
条文说明
7.2.1在砌体施工中,只有应用合格的材料方可能砌筑出符合质量要求的工程,因此对砌体工程中的砌块、水泥、钢筋、外加剂等主要材料在进场使用前应进行性能的复试,合格后方可使用。
7.2.2 砌体构件内的钢筋保护层应符合设计要求,并不应露筋。
条文说明
7.2.2为了保证钢筋握裹力和耐久性,钢筋保护层应符合设计要求。
7.2.3 砌体构件内的钢筋锚固、搭接、放置间距应符合设计规定,并应作好钢筋隐蔽工程验收记录。
条文说明
7.2.3砌体构件内钢筋锚固、搭接、间距放置直接影响配筋砌体质量,故作此规定。
7.2.4 砌体组砌方法应正确,上下应错缝搭砌,搭砌长度应符合现行国家标准《砌体结构工程施工质量验收规范》GB 50203的规定,严禁竖向通缝。
条文说明
7.2.4砌体砌筑上下错缝搭接,以增强砌体的整体性和抗震性。
7.2.5 砌体构件混凝土强度的检验和评定应按现行国家标准《混凝土强度检验评定标准》GB/T 50107的规定执行,砂浆强度的检验应按现行行业标准《建筑砂浆基本性能试验方法标准》JGJ/T 70的规定执行。
7.2.6 砌体的尺寸、位置的允许偏差及检验应符合表7.2.6的规定。
表7.2.6 约束砌体及配筋砌体尺寸、位置的允许偏差及检验


条文说明
7.2.6允许偏差引用国家现行标准《砌体结构工程施工质量验收规范》GB50203的有关规定。
7.2.7 配筋砌体构件内的配筋设置应符合表7.2.7要求。
表7.2.7 配筋砌体构件内的配筋设置

条文说明
7.2.7根据配筋砌体的特点,对砌体构件内配筋作了相应规定,保证其施工质量。
7.3 施工验收要点
7.3 施工验收要点
7.3.1 砌体工程应对下列隐蔽工程进行验收:
1 基础砌体;
2 砌体中的钢筋网片、拉结筋、配筋砌体构件内受力钢筋;
3 圈梁、过梁、构造柱、组合砌体墙柱及砌体剪力墙;
4 其他隐蔽项目。
条文说明
7.3.1本条规定了约束砌体与配筋砌体应验收的隐蔽项目,其他隐蔽项目包括防潮层、基础验槽等。
7.3.2 砌体工程验收前应提供下列文件和记录:
1 原材料、构件的出厂合格证、产品性能检测报告及进场复验报告;
2 钢筋接头的试验报告;
3 混凝土及砂浆配合比通知单;
4 混凝土及砂浆试块强度试验报告;
5 砌体工程及混凝土工程施工记录;
6 隐蔽工程验收记录;
7 分项工程检验批验收记录;
8 施工质量检查记录;
9 设计图纸、设计变更文件及施工方案;
10 重大技术问题的处理方案和验收记录;
11 其他必须检查的项目及有关文件和记录。
条文说明
7.3.2本条是结合现行国家标准《砌体结构工程施工质量验收规范》GB50203、《混凝土结构工程施工质量验收规范》GB50204的有关规定编制,为工程必要的验收资料和文件。
7.3.3 砌体工程验收时,应对配筋砌体工程观感质量作出总体评价。
条文说明
7.3.3工程验收时,除要进行资料检查外,还要进行外观抽查,方具有代表性和真实性。
7.3.4 砌体工程验收,尚应满足现行国家标准《建筑工程施工质量验收统一标准》GB 50300、《砌体结构工程施工质量验收规范》GB 50203和《混凝土结构工程施工质量验收规范》GB 50204的规定。
本规程用词说明
本规程用词说明
1 为便于在执行本规程条文时区别对待,对要求严格程度不同的用词说明如下:
1)表示很严格,非这样做不可的:
正面词采用“必须”,反面词采用“严禁”;
2)表示严格,在正常情况下均应这样做的:
正面词采用“应”,反面词采用“不应”或“不得”;
3)表示允许稍有选择,在条件许可时首先应这样做的:
正面词采用“宜”,反面词采用“不宜”;
4)表示有选择,在一定条件下可以这样做的,采用“可”。
2 条文中指明应按其他有关标准执行的写法为:“应符合……的规定”或“应按……执行”。
引用标准名录
引用标准名录
1 《砌体结构设计规范》GB 50003
2 《混凝土结构设计规范》GB 50010
3 《建筑抗震设计规范》GB 50011
4 《混凝土强度检验评定标准》GB/T 50107
5 《砌体结构工程施工质量验收规范》GB 50203
6 《混凝土结构工程施工质量验收规范》GB 50204
7 《建筑工程抗震设防分类标准》GB 50223
8 《建筑工程施工质量验收统一标准》GB 50300
9 《墙体材料应用统一技术规范》GB 50574
10 《建筑砂浆基本性能试验方法标准》JGJ/T 70
11 《建筑工程冬期施工规程》JGJ/T 104
12 《钢筋机械连接技术规程》JGJ 107
