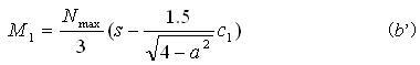
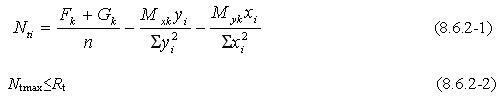
Appearance
《建筑地基基础设计规范》GB 50007—2011
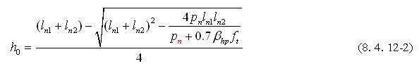
🗓️ 实施时间: 2012-08-01
总则
1.0.1 为了在地基基础设计中贯彻执行国家的技术经济政策,做到安全适用、技术先进、经济合理、确保质量、保护环境,制定本规范。
条文说明
1.0.1 现行国家标准《工程结构可靠性设计统一标准》GB50153对结构设计应满足的功能要求作了如下规定:一、能承受在正常施工和正常使用时可能出现的各种作用;二、保持良好的使用性能;三、具有足够的耐久性能;四、当发生火灾时,在规定的时间内可保持足够的承载力;五、当发生爆炸、撞击、人为错误等偶然事件时,结构能保持必需的整体稳固性,不出现与起因不相称的破坏后果,防止出现结构的连续倒塌。按此规定根据地基工作状态,地基设计时应当考虑:
1 在长期荷载作用下,地基变形不致造成承重结构的损坏;
2 在最不利荷载作用下,地基不出现失稳现象;
3 具有足够的耐久性能。
因此,地基基础设计应注意区分上述三种功能要求。在满足第一功能要求时,地基承载力的选取以不使地基中出现长期塑性变形为原则,同时还要考虑在此条件下各类建筑可能出现的变形特征及变形量。由于地基土的变形具有长期的时间效应,与钢、砼、砖石等材料相比,它属于大变形材料。从已有的大量地基事故分析,绝大多数事故皆由地基变形过大或不均匀所造成。故在规范中明确规定了按变形设计的原则、方法;对于一部分地基基础设计等级为丙级的建筑物当按地基承载力设计基础面积及埋深后,其变形亦同时可满足要求时才不进行变形计算。
地基基础的设计使用年限应满足上部结构的设计使用年限要求。大量工程实践证明,地基在长期荷载作用下承载力有所提高,基础材料应根据其工作环境满足耐久性设计要求。
1.0.2 本规范适用于工业与民用建筑(包括构筑物)的地基基础设计。对于湿陷性黄土、多年冻土、膨胀土以及在地震和机械振动荷载作用下的地基基础设计,尚应符合国家现行相应专业标准的规定。
条文说明
1.0.2 本规范主要针对工业与民用建筑(包括构筑物)的地基基础设计提出设计原则和计算方法。
对于湿陷性黄土地基、膨胀土地基、多年冻土地基等,由于这些土类的物理力学性质比较特殊,选用土的承载力、基础埋深、地基处理等应按国家现行《湿陷性黄土地区建筑规范》GB50025、《膨胀土地区建筑技术规范》GBJ112、《冻土地区建筑地基基础设计规范》JGJ118的规定进行设计。对于振动荷载作用下的地基设计,由于土的动力性能与静力性能差异较大,应按国家现行《动力机器基础设计规范》GB50040的规定进行设计。但基础设计,仍然可以采用本规范的规定进行设计。
1.0.3 地基基础设计,应坚持因地制宜、就地取材、保护环境和节约资源的原则;根据岩土工程勘察资料,综合考虑结构类型、材料情况与施工条件等因素,精心设计。
条文说明
1.0.3 由于地基土的性质复杂。在同一地基内土的力学指标离散性一般较大,加上暗塘、古河道、山前洪积、溶岩等许多不良地质条件,必需强调因地制宜原则。本规范对总的设计原则、计算均作出了通用规定,也给出了许多参数。各地区可根据土的特性、地质情况作具体补充。此外,设计人员必须根据具体工程的地质条件、结构类型以及地基在长期荷载作用下的工作形状,采用优化设计方法,以提高设计质量。
1.0.4 建筑地基基础的设计除应符合本规范的规定外,尚应符合国家现行有关标准的规定。
条文说明
1.0.4 地基基础设计中,作用在基础上的各类荷载及其组合方法按现行国家标准《建筑结构荷载规范》GB50009执行。在地下水位以下时应扣去水的浮力。否则,将使计算结果偏差很大而造成重大失误。在计算土压力、滑坡推力、稳定性时尤应注意。
本规范只给出各类基础基底反力、力矩、挡墙所受的土压力等。至于基础断面大小及配筋量尚应满足抗弯、冲切、剪切、抗压等要求,设计时应根据所选基础材料按照有关规范规定执行。
术语和符号
2.1 术 语
2.1.1 地基 Subgrade, Foundation soils
支承基础的土体或岩体。
2.1.2 基础 Foundation
将结构所承受的各种作用传递到地基上的结构组成部分。
2.1.3 地基承载力特征值 Characteristic value of subgrade bearing capacity
条文说明
2.1.3 由于土为大变形材料,当荷载增加时,随着地基变形的相应增长,地基承载力也在逐渐加大,很难界定出一个真正的“极限值”;另一方面,建筑物的使用有一个功能要求,常常是地基承载力还有潜力可挖,而变形已达到或超过按正常使用的限值。因之,地基设计是采用正常使用极限状态这一原则,所选定的地基承载力是在地基土的压力变形曲线线性变形段内相应于不超过比例界限点的地基压力值,即允许承载力。
根据国外有关文献,相应于我国规范中“标准值”的含义可以有特征值、公称值、名义值、标定值四种,在国际标准《结构可靠性总原则》ISO2394中相应的术语直译为“特征值”(Characteristic Value),该值的确定可以是统计得出,也可以是传统经验值或某一物理限定的值。
本次修订采用“特征值”一词,用以表示正常使用极限状态计算时采用的地基承载力和单桩承载力的设计使用值,其涵义即为在发挥正常使用功能时所允许采用的抗力设计值,以避免过去一律提“标准值”时所带来的混淆。
由载荷试验测定的地基土压力变形曲线线性变形段内规定的变形所对应的压力值,其最大值为比例界限值。
2.1.4 重力密度(重度) Gravity density, Unit weight
单位体积岩土体所承受的重力,为岩土体的密度与重力加速度的乘积。
2.1.5 岩体结构面 Rock discontinuity structural plane
岩体内开裂的和易开裂的面,如层面、节理、断层、片理等,又称不连续构造面。
2.1.6 标准冻结深度 Standard frost penetration
在地面平坦、裸露、城市之外的空旷场地中不少于10年的实测最大冻结深度的平均值。
2.1.7 地基变形允许值 Allowable subsoil deformation
为保证建筑物正常使用而确定的变形控制值。
2.1.8 土岩组合地基 Soil-rock composite subgrade
在建筑地基的主要受力层范围内,有下卧基岩表面坡度较大的地基;或石芽密布并有出露的地基;或大块孤石或个别石芽出露的地基。
2.1.9 地基处理 Ground treatment, Ground improvement
为提高地基强度,或改善其变形性质或渗透性质而采取的工程措施。
2.1.10 复合地基 Composite subgrade,Composite foundation
部分土体被增强或被置换,而形成的由地基土和增强体共同承担荷载的人工地基。
2.1.11 扩展基础 Spread foundation
为扩散上部结构传来的荷载,使作用在基底的压应力满足地基承载力的设计要求,且基础内部的应力满足材料强度的设计要求,通过向侧边扩展一定底面积的基础。
2.1.12 无筋扩展基础 Non-reinforced spread foundation
由砖、毛石、混凝土或毛石混凝土、灰土和三合土等材料组成的,且不需配置钢筋的墙下条形基础或柱下独立基础。
2.1.13 桩基础 Pile foundation
由设置于岩土中的桩和连接于桩顶端的承台组成的基础。
2.1.14 支挡结构 Retaining structure
使岩土边坡保持稳定、控制位移、主要承受侧向荷载而建造的结构物。
2.1.15 基坑工程 Excavation engineering
为保证地面向下开挖形成的地下空间在地下结构施工期间的安全稳定所需的挡土结构及地下水控制、环境保护等措施的总称。
2.2 符 号
2.2.1 作用和作用效应
Ea——主动土压力;
Fk——相应于作用的标准组合时,上部结构传至基础顶面的竖向力值;
Gk——基础自重和基础上的土重;
Mk——相应于作用的标准组合时,作用于基础底面的力矩值;
pk——相应于作用的标准组合时,基础底面处的平均压力值;
p0——基础底面处平均附加压力;
Qk——相应于作用的标准组合时,轴心竖向力作用下桩基中单桩所受竖向力。
2.2.2 抗力和材料性能
a——压缩系数;
c——粘聚力;
Es——土的压缩模量;
e——孔隙比;
fa——修正后的地基承载力特征值;
fak——地基承载力特征值;
frk——岩石饱和单轴抗压强度标准值;
qpa——桩端土的承载力特征值;
qsa——桩周土的摩擦力特征值;
Ra——单桩竖向承载力特征值;
w——土的含水量;
wL——液限;
wp——塑限;
γ——土的重力密度,简称土的重度;
δ——填土与挡土墙墙背的摩擦角;
δr——填土与稳定岩石坡面间的摩擦角;
θ——地基的压力扩散角;
μ——土与挡土墙基底间的摩擦系数;
ν——泊松比;
φ——内摩擦角。
2.2.3 几何参数
A——基础底面面积;
b——基础底面宽度(最小边长);或力矩作用方向的基础底面边长;
d——基础埋置深度,桩身直径;
h0——基础高度;
Hf——自基础底面算起的建筑物高度;
Hg——自室外地面算起的建筑物高度;
L——房屋长度或沉降缝分隔的单元长度;
l——基础底面长度;
s——沉降量;
u——周边长度;
z0——标准冻深;
zn——地基沉降计算深度;
β——边坡对水平面的坡角。
2.2.4 计算系数
——平均附加应力系数;
ηb——基础宽度的承载力修正系数;
ηd——基础埋深的承载力修正系数;
ψs——沉降计算经验系数。
基本规定
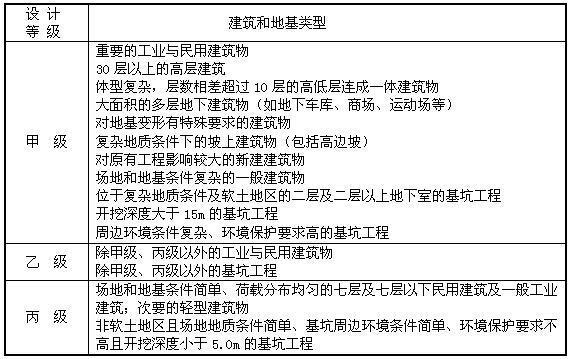
3.0.1 地基基础设计应根据地基复杂程度、建筑物规模和功能特征以及由于地基问题可能造成建筑物破坏或影响正常使用的程度分为三个设计等级,设计时应根据具体情况,按表3.0.1选用。
表3.0.1 地基基础设计等级

条文说明
3.0.1 建筑地基基础设计等级是按照地基基础设计的复杂性和技术难度确定的,划分时考虑了建筑物的性质、规模、高度和体型;对地基变形的要求;场地和地基条件的复杂程度;以及由于地基问题对建筑物的安全和正常使用可能造成影响的严重程度等因素。
地基基础设计等级采用三级划分,如表3.0.1。现对该表作如下重点说明:
在地基基础设计等级为甲级的建筑物中,30层以上的高层建筑,不论其体型复杂与否均列入甲级,这是考虑到其高度和重量对地基承载力和变形均有较高要求,采用天然地基往往不能满足设计需要,而须考虑桩基或进行地基处理;体型复杂、层数相差超过10层的高低层联成一体的建筑物是指在平面上和立面上高度变化较大、体型变化复杂,且建于同一整体基础上的高层宾馆、办公楼、商业建筑等建筑物。由于上部荷载大小相差悬殊、结构刚度和构造变化复杂,很易出现地基不均匀变形,为使地基变形不超过建筑物的允许值,地基基础设计的复杂程度和技术难度均较大,有时需要采用多种地基和基础类型或考虑采用地基与基础和上部结构共同作用的变形分析计算来解决不均匀沉降对基础和上部结构的影响问题;大面积的多层地下建筑物存在深基坑开挖的降水、支护和对邻近建筑物可能造成严重不良影响等问题,增加了地基基础设计的复杂性,有些地面以上没有荷载或荷载很小的大面积多层地下建筑物,如地下停车场、商场、运动场等还存在抗地下水浮力的设计问题;复杂地质条件下的坡上建筑物是指坡体岩土的种类、性质、产状和地下水条件变化复杂等对坡体稳定性不利的情况,此时应作坡体稳定性分析,必要时应采取整治措施;对原有工程有较大影响的新建建筑物是指在原有建筑物旁和在地铁、地下隧道、重要地下管道上或旁边新建的建筑物,当新建建筑物对原有工程影响较大时,为保证原有工程的安全和正常使用,增加了地基基础设计的复杂性和难度;场地和地基条件复杂的建筑物是指不良地质现象强烈发育的场地,如泥石流、崩塌、滑坡、岩溶土洞塌陷等,或地质环境恶劣的场地,如地下采空区、地面沉降区、地裂缝地区等,复杂地基是指地基岩土种类和性质变化很大、有古河道或暗浜分布、地基为特殊性岩土,如膨胀土、湿陷性土等、以及地下水对工程影响很大需特殊处理等情况,上述情况均增加了地基基础设计的复杂程度和技术难度。对在复杂地质条件和软土地区开挖较深的基坑工程,由于基坑支护、开挖和地下水控制等技术复杂、难度较大;挖深大于15m的基坑以及基坑周边环境条件复杂、环境保护要求高时对基坑支档结构的位移控制严格,也列入甲级。
表3.0.1所列的设计等级为丙级的建筑物是指建筑场地稳定,地基岩土均匀良好、荷载分布均匀的七层及七层以下的民用建筑和一般工业建筑物以及次要的轻型建筑物。
由于情况复杂,设计时应根据建筑物和地基的具体情况参照上述说明确定地基基础的设计等级。
3.0.2 根据建筑物地基基础设计等级及长期荷载作用下地基变形对上部结构的影响程度,地基基础设计应符合下列规定:
1 所有建筑物的地基计算均应满足承载力计算的有关规定;
2 设计等级为甲级、乙级的建筑物,均应按地基变形设计;
3 设计等级为丙级的建筑物有下列情况之一时应作变形验算:
l)地基承载力特征值小于130kPa,且体型复杂的建筑;
2)在基础上及其附近有地面堆载或相邻基础荷载差异较大,可能引起地基产生过大的不均匀沉降时;
3)软弱地基上的建筑物存在偏心荷载时;
4)相邻建筑距离近,可能发生倾斜时;
5)地基内有厚度较大或厚薄不均的填土,其自重固结未完成时。
4 对经常受水平荷载作用的高层建筑、高耸结构和挡土墙等,以及建造在斜坡上或边坡附近的建筑物和构筑物,尚应验算其稳定性;
5 基坑工程应进行稳定性验算;
6 建筑地下室或地下构筑物存在上浮问题时,尚应进行抗浮验算。
条文说明
3.0.2 本条为强制性条文。本条规定了地基设计的基本原则,为确保地基设计的安全,在进行地基设计时必须严格执行。地基设计的原则如下:
1 各类建筑物的地基计算均应满足承载力计算的要求。
2 设计等级为甲、乙级的建筑物均应按地基变形设计,这是由于因地基变形造成上部结构的破坏和裂缝的事例很多,因此控制地基变形成为地基基础设计的主要原则,在满足承载力计算的前提下,应按控制地基变形的正常使用极限状态设计。
3 对经常受水平荷载作用、建造在边坡附近的建筑物和构筑物以及基坑工程应进行稳定性验算。本次修订增加了对地下水埋藏较浅,而地下室或地下建筑存在上浮问题时,应进行抗浮验算的规定。
3.0.3 表3.0.3所列范围内设计等级为丙级的建筑物可不作变形验算。
表3.0.3 可不作地基变形验算的设计等级为丙级的建筑物范围

注:1 地基主要受力层系指条形基础底面下深度为3b(b为基础底面宽度),独立基础下为1.5 b,且厚度均不小于5m的范围(二层以下一般的民用建筑除外);
2 地基主要受力层中如有承载力特征值小于130kPa的土层时,表中砌体承重结构的设计,应符合本规范第7章的有关要求;
3 表中砌体承重结构和框架结构均指民用建筑,对于工业建筑可按厂房高度、荷载情况折合成与其相当的民用建筑层数;
4 表中吊车额定起重量、烟囱高度和水塔容积的数值系指最大值。
3.0.4 地基基础设计前应进行岩土工程勘察,并应符合下列规定:
1 岩土工程勘察报告应提供下列资料:
1)有无影响建筑场地稳定性的不良地质作用,评价其危害程度;
2)建筑物范围内的地层结构及其均匀性,各岩土层的物理力学性质指标,以及对建筑材料的腐蚀性;
3)地下水埋藏情况、类型和水位变化幅度及规律,以及对建筑材料的腐蚀性;
4)在抗震设防区应划分场地类别,并对饱和砂土及粉土进行液化判别;
5) 对可供采用的地基基础设计方案进行论证分析,提出经济合理、技术先进的设计方案建议;提供与设计要求相对应的地基承载力及变形计算参数,并对设计与施工应注意的问题提出建议;
6)当工程需要时,尚应提供:深基坑开挖的边坡稳定计算和支护设计所需的岩土技术参数,论证其对周边环境的影响;基坑施工降水的有关技术参数及地下水控制方法的建议;用于计算地下水浮力的设防水位;
2 地基评价宜采用钻探取样、室内土工试验、触探、并结合其它原位测试方法进行。设计等级为甲级的建筑物应提供载荷试验指标、抗剪强度指标、变形参数指标和触探资料;设计等级为乙级的建筑物应提供抗剪强度指标、变形参数指标和触探资料;设计等级为丙级的建筑物应提供触探及必要的钻探和土工试验资料。
3 建筑物地基均应进行施工验槽。当地基条件与原勘察报告不符时,应进行施工勘察。
条文说明
3.0.4 本条规定了对地基勘察的要求:
1 在地基基础设计前必须进行岩土工程勘察。
2 对岩土工程勘察报告的内容作出规定。
3 对不同地基基础设计等级建筑物的地基勘察方法,测试内容提出了不同要求。
4 强调应进行施工验槽,如发现问题应进行补充勘察,以保证工程质量。
抗浮设防水位是很重要的设计参数,影响因素众多,不仅与气候、水文地质等自然因素有关,有时还涉及地下水开采、上下游水量调配、跨流域调水和大量地下工程建设等复杂因素。对情况复杂的重要工程,要在勘察期间预测建筑物使用期间水位可能发生的变化和最高水位有时相当困难。故现行国家标准《岩土工程勘察规范》GB 50021规定,对情况复杂的重要工程,需论证使用期间水位变化,提出抗浮设防水位时,应进行专门研究。
3.0.5 地基基础设计时,所采用的作用效应与相应的抗力限值应符合下列规定:
1 按地基承载力确定基础底面积及埋深或按单桩承载力确定桩数时,传至基础或承台底面上的作用效应应按正常使用极限状态下作用的标准组合。相应的抗力应采用地基承载力特征值或单桩承载力特征值;
2 计算地基变形时,传至基础底面上的作用效应应按正常使用极限状态下作用的准永久组合,不应计入风荷载和地震作用。相应的限值应为地基变形允许值;
3 计算挡土墙、地基或滑坡稳定以及基础抗浮稳定时,作用效应应按承载能力极限状态下作用的基本组合,但其分项系数均为1.0;
4 在确定基础或桩基承台高度、支挡结构截面、计算基础或支挡结构内力、确定配筋和验算材料强度时,上部结构传来的作用效应和相应的基底反力、挡土墙土压力以及滑坡推力,应按承载能力极限状态下作用的基本组合,采用相应的分项系数。当需要验算基础裂缝宽度时,应按正常使用极限状态作用的标准组合;
5 基础设计安全等级、结构设计使用年限、结构重要性系数应按有关规范的规定采用,但结构重要性系数(γ0)不应小于1.0。
条文说明
3.0.5 本条为强制性条文。地基基础设计时,所采用的作用的最不利组合和相应的抗力限值应按下列规定:
当按地基承载力计算和地基变形计算以确定基础底面积和埋深时应采用正常使用极限状态,相应的作用效应为标准组合和准永久组合的效应设计值。
在计算挡土墙、地基、斜坡的稳定和基础抗浮稳定时,采用承载能力极限状态作用的基本组合,但规定结构重要性系数γ0不应小于1.0,基本组合的效应设计值S中作用的分项系数均为1.0。
在根据材料性质确定基础或桩台的高度、支挡结构截面,计算基础或支挡结构内力、确定配筋和验算材料强度时,应按承载能力极限状态采用作用的基本组合。此时,S中包含相应作用的分项系数。
3.0.6 地基基础设计时,作用组合的效应设计值应符合下列规定:
1 正常使用极限状态下,标准组合的效应设计值(Sk)应按下式确定:

2 准永久组合的效应设计值(Sk)应按下式确定:

3 承载能力极限状态下,由可变作用控制的基本组合的效应设计值(Sd),应按下式确定:

4 对由永久作用控制的基本组合,也可采用简化规则,基本组合的效应设计值(Sd)可按下式确定:

条文说明
3.0.6 作用组合的效应设计值应按现行国家标准《建筑结构荷载规范》GB 50009的规定执行。规范编制组对基础构件设计的分项系数进行了大量试算工作,对高层建筑筏板基础5人次8项工程、高耸构筑物1人次2项工程、烟囱2人次8项工程,支挡结构5人次20项工程的试算结果统计,对由永久作用控制的基本组合采用简化算法确定设计值时,作用的综合分项系数可取1.35。
3.0.7 地基基础的设计使用年限不应小于建筑结构的设计使用年限。
条文说明
3.0.7现行国家标准《工程结构可靠性设计统一标准》GB 50153规定,工程设计时应规定结构的设计使用年限,地基基础设计必须满足上部结构设计使用年限的要求。
地基岩土的分类及工程特性指标
4.1 岩土的分类
4.1.1 作为建筑地基的岩土,可分为岩石、碎石土、砂土、粉土、粘性土和人工填土。
4.1.2 岩石的坚硬程度和完整程度可按本规范第4.1.3~4.1.4条划分。
4.1.3 岩石的坚硬程度应根据岩块的饱和单轴抗压强度frk按表4.1.3分为坚硬岩、较硬岩、较软岩、软岩和极软岩。当缺乏饱和单轴抗压强度资料或不能进行该项试验时,可在现场通过观察定性划分,划分标准可按本规范附录A.0.1条执行。岩石的风化程度可分为未风化、微风化、中等风化、强风化和全风化。

4.1.4 岩体完整程度应按表4.1.4划分为完整、较完整、较破碎、破碎和极破碎。当缺乏试验数据时可按本规范附录A.0.2条确定。

条文说明
4.l.2~4.1.4 岩石的工程性质极为多样,差别很大,进行工程分类十分必要。
岩石的分类可以分为地质分类和工程分类。地质分类主要根据其地质成因,矿物成份、结构构造和风化程度,可以用地质名称加风化程度表达,如强风化花岗岩、微风化砂岩等。这对于工程的勘察设计确是十分必要的。工程分类主要根据岩体的工程性状,使工程师建立起明确的工程特性概念。地质分类是一种基本分类,工程分类应在地质分类的基础上进行,目的是为了较好地概括其工程性质,便于进行工程评价。
规范2002版除了规定应确定地质名称和风化程度外,增加了“岩块的坚硬程度”和“岩体的完整程度”的划分,并分别提出了定性和定量的划分标准和方法,对于可以取样试验的岩石,应尽量采用定量的方法,对于难以取样的破碎和极破碎岩石,可用附录A的定性方法,可操作性较强。岩石的坚硬程度直接和地基的强度和变形性质有关,其重要性是无疑的。岩体的完整程度反映了它的裂隙性,而裂隙性是岩体十分重要的特性,破碎岩石的强度和稳定性较完整岩石大大削弱,尤其对边坡和基坑工程更为突出。将岩石的坚硬程度和岩体的完整程度各分五级。划分出极软岩十分重要,因为这类岩石常有特殊的工程性质,例如某些泥岩具有很高的膨胀性;泥质砂岩、全风化花岗岩等有很强的软化性(饱和单轴抗压强度可等于零);有的第三纪砂岩遇水崩解,有流砂性质。划分出极破碎岩体也很重要,有时开挖时很硬,暴露后逐渐崩解。片岩各向异性特别显著,作为边坡极易失稳。
破碎岩石测岩块的纵波波速有时会有困难,不易准确测定,此时,岩块的纵波波速可用现场测定岩性相同但岩体完整的纵波波速代替。
这些内容本次修订保留原规范内容。
4.1.5 碎石土为粒径大于2mm的颗粒含量超过全重50%的土。碎石土可按表4.1.5分为漂石、块石、卵石、碎石、圆砾和角砾。

注:分类时应根据粒组含量栏从上到下以最先符合者确定。
4.1.6 碎石土的密实度,可按表4.1.6分为松散、稍密、中密、密实。

注:1. 本表适用于平均粒径小于等于50mm且最大粒径不超过100mm的卵石、碎石、圆砾、角砾。对于平均粒径大于50mm或最大粒径大于100mm的碎石土,可按本规范附录B鉴别其密实度;
- 表内N63.5为经综合修正后的平均值。
条文说明
4.1.6 碎石土难以取样试验,规范采用以重型动力触探锤击数N63.5为主划分其密实度,同时可采用野外鉴别法,列入附录B。
重型圆锥动力触探在我国已有近五十年的应用经验,各地积累了大量资料。铁道部第二设计院通过筛选,采用了59组对比数据,包括卵石、碎石、圆砾、角砾,分布在四川、广西、辽宁、甘肃等地,数据经修正(表1),统计分析了N63.5与地基承载力关系(表2)。


表1的修正,实际上是对杆长、上覆土自重压力、侧摩阻力的综合修正。
过去积累的资料基本上是N63.5与地基承载力的关系,极少与密实度有关系。考虑到碎石土的承载力主要与密实度有关,故本次修订利用了表2的数据,参考其他资料,制定了本条按N63.5划分碎石土密实度的标准。
4.1.7 砂土为粒径大于2mm的颗粒含量不超过全重50%、粒径大于0.075mm的颗粒超过全重50%的土。砂土可按表4.1.7分为砾砂、粗砂、中砂、细砂和粉砂。

注:分类时应根据粒组含量栏从上到下以最先符合者确定。
4.1.8 砂土的密实度,可按表4.1.8分为松散、稍密、中密、密实。

注:当用静力触探探头阻力判定砂土的密实度时,可根据当地经验确定。
条文说明
4.1.8 关于标准贯入试验锤击数N值的修正问题,虽然国内外已有不少研究成果,但意见很不一致。在我国,一直用经过修正后的N 值确定地基承载力,用不修正的N值判别液化。国外和我国某些地方规范,则采用有效上覆自重压力修正。因此,勘察报告首先提供未经修正的实测值,这是基本数据。然后,在应用时根据当地积累资料统计分析时的具体情况,确定是否修正和如何修正。用N值确定砂土密实度,确定这个标准时并未经过修正,故表4.1.8 中的N值为未经过修正的数值。
4.1.9 粘性土为塑性指数Ip大于10的土,可按表4.1.9分为粘土、粉质粘土。

注:塑性指数由相应于76g圆锥体沉入土样中深度为10mm时测定的液限计算而得。
4.1.10 粘性土的状态,可按表4.1.10分为坚硬、硬塑、可塑、软塑、流塑。

注:当用静力触探探头阻力判定粘性土的状态时,可根据当地经验确定。
4.1.11 粉土为介于砂土与粘性土之间,塑性指数(Ip)小于或等于10且粒径大于0.075mm的颗粒含量不超过全重50%的土。
条文说明
4.1.11 粉土的性质介于砂土和粘性土之间。砂粒含量较多的粉土,地震时可能产生液化,类似于砂土的性质。粘粒含量较多(>10%)的粉土不会液化,性质近似于粘性土。而西北一带的黄土,颗粒成分以粉粒为主,砂粒和粘粒含量都很低。因此,将粉土细分为亚类,是符合工程需要的。但目前,由于经验积累的不同和认识上的差别,尚难确定一个能被普遍接受的划分亚类标准,故本条未作划分亚类的明确规定。
4.1.12 淤泥为在静水或缓慢的流水环境中沉积,并经生物化学作用形成,其天然含水量大于液限、天然孔隙比大于或等于 1.5的粘性土。当天然含水量大于液限而天然孔隙比小于1.5但大于或等于1.0的粘性土或粉土为淤泥质土。含有大量未分解的腐殖质,有机质含量大于60%的土为泥炭,有机质含量大于等于10%且小于等于60%的土为泥炭质土。
条文说明
4.1.12 淤泥和淤泥质土有机质含量5%-10%时的工程性质变化较大,应予以重视。
随着城市建设的需要,有些工程遇到泥炭或泥炭质土。泥炭或泥炭质土是在湖相和沼泽静水、缓慢的流水环境中沉积,经生物化学作用形成,含有大量的有机质,具有含水量高,压缩性高,孔隙比高和天然密度低,抗剪强度低,承载力低的工程特性。泥炭、泥炭质土不应直接作为建筑物的天然地基持力层,工程中遇到时应根据地区经验处理。
4.1.13 红粘土为碳酸盐岩系的岩石经红土化作用形成的高塑性粘土。其液限一般大于50%。红粘土经再搬运后仍保留其基本特征,其液限大于45%的土为次生红粘土。
条文说明
4.1.13 红粘土是红土的一个亚类。红土化作用是在炎热湿润气候条件下的一种特定的化学风化成土作用。它较为确切地反映了红粘土形成的历程与环境背景。
区域地质资料表明:碳酸盐类岩石与非碳酸盐类岩石常呈互层产出,即使在碳酸盐类岩石成片分布的地区,也常见非碳酸盐类岩石夹杂其中。故将成土母岩扩大到“碳酸盐岩系出露区的岩石”。
在岩溶洼地、谷地、准平原及丘陵斜坡地带,当受片状及间歇性水流冲蚀,红粘土的土粒被带到低洼处堆积成新的土层,其颜色较未搬运者为浅,常含粗颗粒,但总体上仍保持红粘土的基本特征,而明显有别于一般的粘性土。这类土在鄂西、湘西、广西、粤北等山地丘陵区分布,还远较红粘土广泛。为了利于对这类土的认识和研究,将它划定为次生红粘土。
4.1.14 人工填土根据其组成和成因,可分为素填土、压实填土、杂填土、冲填土。素填土为由碎石土、砂土、粉土、粘性土等组成的填土。经过压实或夯实的素填土为压实填土。杂填土为含有建筑垃圾、工业废料、生活垃圾等杂物的填土。冲填土为由水力冲填泥砂形成的填土。
4.1.15 膨胀土为土中粘粒成分主要由亲水性矿物组成,同时具有显著的吸水膨胀和失水收缩特性,其自由膨胀率大于或等于40%的粘性土。
4.1.16 湿陷性土为在一定压力下浸水后产生附加沉降,其湿陷系数大于或等于0.015的土。
条文说明
4.1.15~4.1.16 本次修订增加了膨胀土和湿陷性土的定义。
4.2 工程特性指标
4.2.1 土的工程特性指标可采用强度指标、压缩性指标以及静力触探探头阻力、动力触探锤击数、标准贯入试验锤击数、载荷试验承载力等特性指标表示。
条文说明
4.2.1 静力触探、动力触探、标准贯入试验等原位测试,用于确定地基承载力,在我国己有丰富经验,可以应用,故列入本条,并强调了必须有地区经验,即当地的对比资料。同时还应注意,当地基基础设计等级为甲级和乙级时,应结合室内试验成果综合分析,不宜单独应用。
本规范1974版建立了土的物理力学性指标与地基承载力关系,本规范1989版仍保留了地基承载力表,列入附录,并在使用上加以适当限制。承载力表使用方便是其主要优点,但也存在一些问题。承载力表是用大量的试验数据,通过统计分析得到的。我国幅员广大,土质条件各异,用几张表格很难概括全国的规律。用查表法确定承载力,在大多数地区可能基本适合或偏保守,但也不排斥个别地区可能不安全。此外,随着设计水平的提高和对工程质量要求的趋于严格,变形控制已是地基设计的重要原则,本规范作为国标,如仍沿用承载力表,显然已不适应当前的要求,本规范2002版已决定取消有关承载力表的条文和附录,勘察单位应根据试验和地区经验确定地基承载力等设计参数。
4.2.2 地基土工程特性指标的代表值应分别为标准值、平均值及特征值。抗剪强度指标应取标准值,压缩性指标应取平均值,载荷试验承载力应取特征值。
条文说明
4.2.2 工程特性指标的代表值,对于地基计算至关重要。本条明确规定了代表值的选取原则。标准值取其概率分布的0.05分位数;地基承载力特征值是指由载荷试验地基土压力变形曲线线性变形段内规定的变形对应的压力值,实际即为地基承载力的允许值。
4.2.3 载荷试验应采用浅层平板载荷试验或深层平板载荷试验。浅层平板载荷试验适用于浅层地基,深层平板载荷试验适用于深层地基。两种载荷试验的试验要求应分别符合本规范附录C、D的规定。
条文说明
4.2.3 载荷试验是确定岩土承载力和变形参数的主要方法,本规范1989版列入了浅层平板载荷试验。考虑到浅层平板载荷试验不能解决深层土的问题,本规范2002版修订增加了深层载荷试验的规定。这种方法己积累了一定经验,为了统一操作,将其试验要点列入了本规范的附录D。
4.2.4 土的抗剪强度指标,可采用原状土室内剪切试验、无侧限抗压强度试验、现场剪切试验、十字板剪切试验等方法测定。当采用室内剪切试验确定时,宜选择三轴压缩试验的自重压力下预固结的不固结不排水试验。经过预压固结的地基可采用固结不排水试验。每层土的试验数量不得少于六组。室内试验抗剪强度指标ck、φk,可按本规范附录E确定。在验算坡体的稳定性时,对于已有剪切破裂面或其它软弱结构面的抗剪强度,应进行野外大型剪切试验。
条文说明
4.2.4 采用三轴剪切试验测定土的抗剪强度,是国际上常规的方法。优点是受力条件明确,可以控制排水条件,既可用于总应力法,也可用于有效应力法;缺点是对取样和试验操作要求较高,土质不均时试验成果不理想。相比之下,直剪试验虽然简便,但受力条件复杂,无法控制排水,故本次修订推荐三轴试验。鉴于多数工程施工速度快,较接近于不固结不排水剪条件,故本规范推荐UU试验。而且,用UU试验成果计算,一般比较安全。但预压固结的地基,应采用固结不排水剪。进行UU试验时,宜在土的有效自重压力下预固结,更符合实际。
鉴于现行国家标准《土工试验方法标准》GB/T50123中未提出土的有效自重压力下预固结UU试验操作方法,本规范对其试验要点说明如下:
1、试验方法适用于细粒土和粒径小于20mm的粗粒土。
2、试验必须制备3个以上性质相同的试样,在不同的周围压力下进行试验,周围压力宜根据工程实际荷重确定。对于填土,最大一级周围压力应与最大的实际荷重大致相等。
注:试验宜在恒温条件下进行。
3、试样的制备应满足相关规范的要求。对于非饱和土,试样应保持土的原始状态;对于饱和土,试样应预先进行饱和。
4、试样的安装、自重压力固结,应按下列步骤进行:
1)在压力室的底座上,依次放上不透水板、试样及不透水试样帽,将橡皮膜用承膜筒套在试样外,并用橡皮圈将橡皮膜两端与底座及试样帽分别扎紧。
2)将压力室罩顶部活塞提高,放下压力室罩,将活塞对准试样中心,并均匀地拧紧底座连接螺母。向压力室内注满纯水,待压力室顶部排气孔有水溢出时,拧紧排气孔,并将活塞对准测力计和试样顶部。
3)将离合器调至粗位,转动粗调手轮,当试样帽与活塞及测力计接近时,将离合器调至细位,改用细调手轮,使试样帽与活塞及测力计接触,装上变形指示计,将测力计和变形指示计调至零位。
4)开周围压力阀,施加相当于自重压力的周围压力。
5)施加周围压力一小时后关排水阀。
6)施加试验需要的周围压力。
5、剪切试样应按下列步骤进行:
1)剪切应变速率宜为每分钟应变0.5%-1.0%。
2)启动电动机,合上离合器,开始剪切。试样每产生0.3%-0.4%的轴向应变(或0.2mm变形值),测记一次测力计读数和轴向变形值。当轴向应变大于3%时,试样每产生0.7%-0.8%的轴向应变(或0.5mm变形值),测记一次。
3)当测力计读数出现峰值时,剪切应继续进行到轴向应变为15%-20%。
4)试验结束,关电动机,关周围压力阀,脱开离合器,将离合器调至粗位,转动粗调手轮,将压力室降下,打开排气孔,排除压力室内的水,拆卸压力室罩,拆除试样,描述试样破坏形状,称试样质量,并测定含水率。
6、试验数据的计算和整理应满足相关规范要求。
室内试验确定土的抗剪强度指标影响因素很多,包括土的分层合理性、土样均匀性、操作水平等,某些情况下使试验结果的变异系数较大,这时应分析原因,增加试验组数,合理取值。
4.2.5 土的压缩性指标可采用原状土室内压缩试验、原位浅层或深层平板载荷试验、旁压试验确定,并应符合下列规定:
1 当采用室内压缩试验确定压缩模量时,试验所施加的最大压力应超过土自重压力与预计的附加压力之和,试验成果用e~p曲线表示;
2 当考虑土的应力历史进行沉降计算时,应进行高压固结试验,确定先期固结压力、压缩指数,试验成果用e~lg p曲线表示。为确定回弹指数,应在估计的先期固结压力之后进行一次卸荷,再继续加荷至预定的最后一级压力;
3 当考虑深基坑开挖卸荷和再加荷时,应进行回弹再压缩试验,其压力的施加应与实际的加卸荷状况一致;
条文说明
4.2.5 土的压缩性指标是建筑物沉降计算的依据。为了与沉降计算的受力条件一致,强调施加的最大压力应超过土的有效自重压力与预计的附加压力之和,并取与实际工程相同的压力段计算变形参数。
考虑土的应力历史进行沉降计算的方法,注意了欠压密土在土的自重压力下的继续压密和超压密土的卸荷再压缩,比较符合实际情况,是国际上常用的方法,应通过高压固结试验测定有关参数。
4.2.6 地基土的压缩性可按p1为100kPa,p2为200kPa时相对应的压缩系数值a1-2划分为低、中、高压缩性,并符合以下规定:

地基计算
5.1 基础埋置深度
5.1.1 基础的埋置深度,应按下列条件确定:
1 建筑物的用途,有无地下室、设备基础和地下设施,基础的形式和构造;
2 作用在地基上的荷载大小和性质;
3 工程地质和水文地质条件;
4 相邻建筑物的基础埋深;
5 地基土冻胀和融陷的影响。
5.1.2 在满足地基稳定和变形要求的前提下,当上层地基的承载力大于下层土时,宜利用上层土作持力层。除岩石地基外,基础埋深不宜小于0.5m。
5.1.3 高层建筑基础的埋置深度应满足地基承载力、变形和稳定性要求。位于岩石地基上的高层建筑,其基础埋深应满足抗滑稳定性要求。
条文说明
5.1.3本条为强制性条文。除岩石地基外,位于天然土质上的高层建筑筏形或箱形基础应有适当的埋置深度,以保证筏形和箱形基础的抗倾覆和抗滑移稳定性,否则可能导致严重后果,必须严格执行。
随着我国城镇化进程,建设土地紧张,高层建筑设地下室,不仅满足埋置深度要求,还增加使用功能,对软土地基还能提高建筑的整体稳定性,所以一般情况下高层建筑宜设地下室。
5.1.4 在抗震设防区,除岩石地基外,天然地基上的箱形和筏形基础其埋置深度不宜小于建筑物高度的1/15;桩箱或桩筏基础的埋置深度(不计桩长)不宜小于建筑物高度的1/18。
条文说明
5.1.4 本条给出的抗震设防区内的高层建筑筏形和箱形基础埋深不宜小于建筑物高度的1/15,是基于工程实践和科研成果。北京市勘察设计研究院张在明等在分析北京八度抗震设防区内高层建筑地基整体稳定性与基础埋深的关系时,以二幢分别为15层和25层的建筑,考虑了地震作用和地基的种种不利因素,用圆弧滑动面法进行分析,其结论是:从地基稳定的角度考虑,当25层建筑物的基础埋深为1.8m时,其稳定安全系数为1.44,如埋深为3.8m(1/17.8)时,则安全系数达到1.64。对位于岩石地基上的高层建筑筏形和箱形基础,其埋置深度应根据抗滑移的要求来确定。
5.1.5 基础宜埋置在地下水位以上,当必须埋在地下水位以下时,应采取地基土在施工时不受扰动的措施。当基础埋置在易风化的岩层上,施工时应在基坑开挖后立即铺筑垫层。
5.1.6 当存在相邻建筑物时,新建建筑物的基础埋深不宜大于原有建筑基础。当埋深大于原有建筑基础时,两基础间应保持一定净距,其数值应根据建筑荷载大小、基础形式和土质情况确定。
条文说明
5.1.6 在城市居住密集的地方往往新旧建筑物距离较近,当新建建筑物与原有建筑物距离较近、尤其是新建建筑物基础埋深大于原有建筑物时,新建建筑物会对原有建筑物产生影响,甚至会危及原有建筑物的安全或正常使用。为了避免新建建筑物对原有建筑物的影响,设计时应考虑与原有建筑物保持一定的安全距离,该安全距离应通过分析新旧建筑物的地基承载力、地基变形和地基稳定性来确定。通常决定建筑物相邻影响距离大小的因素,主要有新建建筑物的沉降量和原有建筑物的刚度等。新建建筑物的沉降量与地基土的压缩性、建筑物的荷载大小有关,而原有建筑物的刚度则与其结构形式、长高比以及地基土的性质有关。本规范7.3.3条为相邻建筑物基础间净距的相关规定,这是根据国内55个工程实例的调查和分析得到的,满足该条规定的净距要求一般可不考虑对相邻建筑的影响。
当相邻建筑物较近时,应采取措施减小相互影响:1、尽量减小新建建筑物的沉降量;2、新建建筑物的基础埋深不宜大于原有建筑基础;3、选择对地基变形不敏感的结构形式;4、采取有效的施工措施,如分段施工、采取有效的支护措施以及对原有建筑物地基进行加固等措施。
5.1.7 季节性冻土地基的场地冻结深度应按下式进行计算:




注:环境影响系数一项,当城市市区人口为20~50万时,按城市近郊取值;当城市市区人口大于50万小于或等于100万时,只计入市区影响;当城市市区人口超过100万时,除计入市区影响外,尚应考虑5公里以内的郊区近郊影响系数。
条文说明
5.1.7 “场地冻结深度”在本规范2002版中称为“设计冻深”,其值是根据当地标准冻深,考虑建设场地所处地基条件和环境条件,经修正后采取的更接近实际的冻深值。本次修订将“设计冻深”改为“场地冻结深度”,以使概念更加清晰准确。
附录F《中国季节冻土标准冻深线图》是在标准条件下取得的,该标准条件即为标准冻结深度的定义:地下水位与冻结锋面之间的距离大于2m,非冻胀粘性土,地表平坦、裸露,城市之外的空旷场地中,多年实测(不少于十年)最大冻深的平均值。由于建设场地通常不具备上述标准条件,所以标准冻结深度一般不直接用于设计中,而是要考虑场地实际条件将标准冻结深度乘以冻深影响系数,使得到的场地冻深更接近实际情况。公式5.1.7中主要考虑了土质系数、湿度系数、环境系数。
土质对冻深的影响是众所周知的,因岩性不同其热物理参数也不同,粗颗粒土的导热系数比细颗粒土的大。因此,当其他条件一致时,粗颗粒土比细颗粒土的冻深大,砂类土的冻深比粘性土的大。我国对这方面问题的实测数据不多,不系统,前苏联74年和83年《房屋及建筑物地基》设计规范中有明确规定,本规范采纳了他们的数据。
土的含水量和地下水位对冻深也有明显的影响,因土中水在相变时要放出大量的潜热,所以含水量越多,地下水位越高(冻结时向上迁移水量越多),参与相变的水量就越多,放出的潜热也就越多,由于冻胀土冻结的过程也是放热的过程,放热在某种程度上减缓了冻深的发展速度,因此冻深相对变浅。
城市的气温高于郊外,这种现象在气象学中称谓城市的“热岛效应”。城市里的辐射受热状况改变了(深色的沥青屋顶及路面吸收大量阳光),高耸的建筑物吸收更多的阳光,各种建筑材料的热容量和传热量大于松土。据计算,城市接受的太阳辐射量比郊外高出10%~30%,城市建筑物和路面传送热量的速度比郊外湿润的砂质土壤快3倍,工业排放、交通车辆排放尾气,人为活动等都放出很多热量,加之建筑群集中,风小对流差等,使周围气温升高。这些都导致了市区冻结深度小于标准冻深,为使设计时采用的冻深数据更接近实际,原规范根据国家气象局气象科学研究院气候所、中国科学院、北京地理研究所气候室提供的数据,给出了环境对冻深的影响系数,经多年使用没有问题,因此本次修订对此不做修改,但使用时应注意,此处所说的城市(市区)是指城市集中区,不包括郊区和市属县、镇。
冻结深度与冻土层厚度两个概念容易混淆,对不冻胀土二者相同,但对冻胀性土,尤其强冻胀以上的土,二者相差颇大。对于冻胀性土,冬季自然地面是随冻胀量的加大而逐渐上抬的,此时钻探(挖探)量测的冻土层厚度包含了冻胀量,设计基础埋深时所需的冻深值是自冻前自然地面算起的,它等于实测冻土层厚度减去冻胀量,为避免混淆,在公式5.1.7中予以明确。
关于冻深的取值,尽量应用当地的实测资料,要注意个别年份挖探一个、两个数据不能算实测数据,多年实测资料(不少于十年)的平均值才为实测数据。
5.1.8 季节性冻土地区基础埋置深度宜大于场地冻结深度。对于深厚季节冻土地区,当建筑基础底面土层为不冻胀、弱冻胀、冻胀土时,基础埋置深度可以小于场地冻结深度,基底允许冻土层最大厚度应根据当地经验确定。没有地区经验时可按本规范附录G查取。此时,基础最小埋深dmin可按下式计算:

条文说明
5.1.8 季节冻土地区基础合理浅埋在保证建筑安全方面是可以实现的,为此冻土学界从上世纪70年代开始做了大量的研究实践工作,取得了一定的成效,并将浅埋方法编入规范中。本次规范修订保留了原规范基础浅埋方法,但缩小了应用范围,将基底允许出现冻土层应用范围控制在深厚季节冻土地区的不冻胀、弱冻胀和冻胀土场地,修订主要依据如下:
1 原规范基础浅埋方法目前实际设计中使用不普遍。从本规范1974版、1989版到现行规范,根据当时国情和低层建筑较多的情况,为降低基础工程费用,规范都给出了基础浅埋方法,但目前在实际应用中实施基础浅埋的工程比例不大。经调查了解,我国浅季节冻土地区(冻深小于1m)除农村低层建筑外基本没有实施基础浅埋。中厚季节冻土地区(冻深在1~2m之间)多层建筑和冻胀性较强的地基也很少有浅埋基础,基础埋深多数控制在场地冻深以下。在深厚季节性冻土地区(冻深大于2m)冻胀性不强的地基上浅埋基础较多。浅埋基础应用不多的原因一是设计者对基础浅埋不放心;二是多数勘察资料对冻深范围内的土层不给地基基础设计参数;三是多数情况冻胀性土层不是适宜的持力层。
2 随着国家经济的发展,人们对基础浅埋带来的经济效益与房屋建筑的安全性、耐久性之间,更加重视房屋建筑的安全性、耐久性。
3 基础浅埋后如果使用过程中地基浸水,会造成地基土冻胀性的增强,导致房屋出现冻胀破坏。此现象在采用了浅埋基础的三层以下建筑时有发生。
4 冻胀性强的土融化时的冻融软化现象使基础出现短时的沉陷,多年累积可导致部分浅埋基础房屋使用20年~30年后室内地面低于室外地面,甚至出现进屋下台阶现象。
5 目前西欧、北美、日本和俄罗斯规范规定基础埋深均不小于冻深。
鉴于上述情况,本次规范修订提出在浅季节冻土地区、中厚季节冻土地区和深厚季节冻土地区中冻胀性较强的地基不宜实施基础浅埋,在深厚季节冻土地区的不冻胀、弱冻胀、冻胀土地基可以实施基础浅埋,并给出了基底最大允许冻土层厚度表。该表是原规范表保留了弱冻胀、冻胀土数据基础上进行了取整修改。
5.1.9 地基土的冻胀类别分为不冻胀、弱冻胀、冻胀、强冻胀和特强冻胀,可按本规范附录G查取。在冻胀、强冻胀和特强冻胀地基上采用防冻害措施时应符合下列规定:
1 对在地下水位以上的基础,基础侧表面应回填不冻胀的中、粗砂,其厚度不应小于200mm;对在地下水位以下的基础,可采用桩基础、保温性基础、自锚式基础(冻土层下有扩大板或扩底短桩),也可将独立基础或条形基础做成正梯形的斜面基础;
2 宜选择地势高、地下水位低、地表排水条件好的建筑场地。对低洼场地,建筑物的室外地坪标高应至少高出自然地面300mm~500mm,其范围不宜小于建筑四周向外各一倍冻深距离的范围;
3 应做好排水设施,施工和使用期间防止水浸入建筑地基。在山区应设截水沟或在建筑物下设置暗沟,以排走地表水和潜水;
4 在强冻胀性和特强冻胀性地基上,其基础结构应设置钢筋混凝土圈梁和基础梁,并控制建筑的长高比;
5 当独立基础联系梁下或桩基础承台下有冻土时,应在梁或承台下留有相当于该土层冻胀量的空隙;
6 外门斗、室外台阶和散水坡等部位宜与主体结构断开,散水坡分段不宜超过1.5m,坡度不宜小于3%,其下宜填入非冻胀性材料;
7 对跨年度施工的建筑,入冬前应对地基采取相应的防护措施;按采暖设计的建筑物,当冬季不能正常采暖时,也应对地基采取保温措施。
条文说明
5.1.9 防切向冻胀力的措施
切向冻胀力是指地基土冻结膨胀时产生的其作用方向平行基础侧面的冻胀力。基础防切向冻胀力方法很多,采用时应根据工程特点、地方材料和经验确定。以下介绍3种可靠的方法。
(一)基侧填砂
用基侧填砂来减小或消除切向冻胀力,是简单易行的方法。地基土在冻结膨胀时所产生的冻胀力通过土与基础牢固冻结在一起的剪切面传递,砂类土的持水能力很小,当砂土处在地下水位之上时,不但为非饱和土而且含水量很小,其力学性能接近松散冻土,所以砂土与基础侧表面冻结在一起的冻结强度很小,可传递的切向冻胀力亦很小。在基础施工完成后回填基坑时在基侧外表(采暖建筑)或四周(非采暖建筑)填入厚度不小于100mm的中、粗砂,可以起到良好的防切向冻胀力破坏的效果。本次修订将换填厚度由原来的100mm改为200mm,原因是100mm施工困难,且容易造成换填层不连续。
(二)斜面基础
截面为上小下大的斜面基础就是将独立基础或条形基础的台阶或放大脚作成连续的斜面,其防切向冻胀力作用明显,但它容易被理解为是用下部基础断面中的扩大部分来阻止切向冻胀力将基础抬起,这种理解是错误的。现对其原理分析如下。
在冬初当第一层土冻结时,土产生冻胀,并同时出现两个方向膨胀:沿水平方向膨胀基础受一水平作用力H1;垂直向上膨胀基础受一作用力V1。V1可分解成两个分力,即沿基础斜边的τ12和沿基础斜边法线方向的N12,τ12即是由于土有向上膨胀趋势对基础施加的切向冻胀力,N12是由于土有向上膨胀的趋势对基础斜边法线方向作用的拉应力。水平冻胀力H1也可分解成两个分力,其一是τ11,其二是N11 ,τ11是由于水平冻胀力的作用施加在基础斜边上的切向冻胀力,N11则是由于水平冻胀力作用施加在基础斜边上的正压力(见图1受力分布图)。此时,第一层土作用于基侧的切向冻胀力为τ1=τ11+τ12。正压力N1= N11-N12 。由于N12为正拉力,它的存在将降低基侧受到的正压力数值。当冻结界面发展到第二层土时,除第一层的原受力不变之外又叠加了第二层土冻胀时对第一层的作用,由于第二层土冻胀时受到第一层的约束,使第一层土对基侧的切向冻胀力增加至τ1=τ11+τ12 +τ22,而且当冻结第二层土时第一层土所处位置的土温又有所降低,土在产生水平冻胀后出现冷缩,令冻土层的冷缩拉力为NC,此时正压力为N1=N11-N12-NC。当冻层发展到第三层土时,第一、二层重又出现一次上述现象。

由以上分析可以看出,某层的切向冻胀力随冻深的发展而逐步增加,而该层位置基础斜面上受到的冻胀压应力随冻深的发展数值逐渐变小,当冻深发展到第n层,第一层的切向冻胀力超过基侧与土的冻结强度时,基础便与冻土产生相对位移,切向冻胀力不再增加而下滑,出现卸荷现象。N1由一开始冻结产生较大的压应力,随着冻深向下发展、土温的降低、下层土的冻胀等作用,拉应力分量在不断的增长,当达到一定程度,N1由压力变成拉力,所以当达到抗拉强度极限时,基侧与土将开裂,由于冻土的受拉呈脆性破坏,一旦开裂很快延基侧向下延伸扩展,这一开裂,使基础与基侧土之间产生空隙,切向冻胀力也就不复存在了。
应该说明的是,在冻胀土层范围之内的基础扩大部分根本起不到锚固作用,因在上层冻胀时基础下部所出现的锚固力,等冻深发展到该层时,随着该层的冻胀而消失了,只有处在下部未冻土中基础的扩大部分才起锚固作用,但我们所说的浅埋基础根本不存在这一伸入未冻土层中的部分。
在闫家岗冻土站不同冻胀性土的场地上进行了多组方锥形(截头锥)桩基础的多年观测,观测结果表明,当β角大于等于90时,基础即是稳定的,见图2。基础稳定的原因不是由于切向冻胀力被下部扩大部分给锚住,而是由于在倾斜表面上出现拉力分量与冷缩分量叠加之后的开裂,切向冻胀力退出工作所造成的,见图3的试验结果。
用斜面基础防切向冻胀力具有如下特点:
1、在冻胀作用下基础受力明确,技术可靠。当其倾斜角β大于等于9°时,将不会出现因切向冻胀力作用而导致的冻害事故发生;
2、不但可以在地下水位之上,也可在地下水位之下应用;
3、耐久性好,在反复冻融作用下防冻胀效果不变;
4、不用任何防冻胀材料就可解决切向冻胀问题。
该种基础施工时较常规基础相比稍有麻烦,当基础侧面较粗糙时,可用水泥砂浆将基础侧面抹平。

(三)保温基础
在基础外侧采取保温措施是消除切向冻胀力的有效方法。日本称其为“裙式保温法”,上世纪90年代开始在北海道进行研究和实践,取得了良好的效果。该方法可在冻胀性较强、地下水位较高的地基中使用,不但可以消除切向冻胀力,还可以减少地面热损耗,同时实现基础浅埋。
基础保温方法见图4。保温层厚度应根据地区气候条件确定,水平保温板上面应有不小于300mm厚土层保护,并有不小于5%的向外排水坡度,保温宽度应不小于自保温层以下算起的场地冻结深度。

5.2 承载力计算
5.2.1 基础底面的压力,应符合下列规定:
1 当轴心荷载作用时

式中:pk——相应于作用的标准组合时,基础底面处的平均压力值(kPa);
fa——修正后的地基承载力特征值(kPa)。
2 当偏心荷载作用时,除符合式(5.2.1-1)要求外,尚应符合下式规定:

式中:pkmax——相应于作用的标准组合时,基础底面边缘的最大压力值(kPa)。
5.2.2 基础底面的压力,可按下列公式确定:
1 当轴心荷载作用时

式中:Fk——相应于作用的标准组合时,上部结构传至基础顶面的竖向力值(kN);
Gk——基础自重和基础上的土重(kN);
A——基础底面面积(m2)。
2 当偏心荷载作用时

式中:Mk——相应于作用的标准组合时,作用于基础底面的力矩值(kN·m);
W——基础底面的抵抗矩(m3);
pkmin——相应于作用的标准组合时,基础底面边缘的最小压力值(kPa)。
3 当基础底面形状为矩形且偏心距e>b/6时(图5.2.2)时,pkmax应按下式计算:

式中:l——垂直于力矩作用方向的基础底面边长(m);
a——合力作用点至基础底面最大压力边缘的距离(m)。

5.2.3 地基承载力特征值可由载荷试验或其它原位测试、公式计算、并结合工程实践经验等方法综合确定。
5.2.4 当基础宽度大于3m或埋置深度大于0.5m时,从载荷试验或其它原位测试、经验值等方法确定的地基承载力特征值,尚应按下式修正:

式中:fa——修正后的地基承载力特征值(kPa);
fak——地基承载力特征值(kPa),按本规范第5.2.3条的原则确定;
ηb、ηd——基础宽度和埋深的地基承载力修正系数,按基底下土的类别查表5.2.4取值;
γ——基础底面以下土的重度(kN/m3),地下水位以下取浮重度;
b——基础底面宽度(m),当基础底面宽度小于3m时按3m取值,大于6m时按6m取值;
γm——基础底面以上土的加权平均重度(kN/m3),位于地下水位以下的土层取有效重度;
d——基础埋置深度(m),宜自室外地面标高算起。在填方整平地区,可自填土地面标高算起,但填土在上部结构施工后完成时,应从天然地面标高算起。对于地下室,如采用箱形基础或筏基时,基础埋置深度自室外地面标高算起;当采用独立基础或条形基础时,应从室内地面标高算起。

注: 1 强风化和全风化的岩石,可参照所风化成的相应土类取值,其他状态下的岩石不修正;
2 地基承载力特征值按本规范附录D深层平板载荷试验确定时ηd取0;
3 含水比是指土的天然含水量与液限的比值;
4 大面积压实填土是指填土范围大于两倍基础宽度的填土。
条文说明
5.2.4 大面积压实填土地基,是指填土宽度大于基础宽度两倍的质量控制严格的填土地基,质量控制不满足要求的填土地基深度修正系数应取1.0。
目前建筑工程大量存在着主裙楼一体的结构,对于主体结构地基承载力的深度修正,宜将基础底面以上范围内的荷载,按基础两侧的超载考虑,当超载宽度大于基础宽度两倍时,可将超载折算成土层厚度作为基础埋深,基础两侧超载不等时,取小值。
5.2.5 当偏心距(e)小于或等于0.033倍基础底面宽度时,根据土的抗剪强度指标确定地基承载力特征值可按下式计算,并应满足变形要求:

式中:fa——由土的抗剪强度指标确定的地基承载力特征值(kPa);
Mb、Md、Mc——承载力系数,按表5.2.5确定;
b——基础底面宽度(m),大于6m时按6m取值,对于砂土小于3m时按3m取值;
ck——基底下一倍短边宽度的深度范围内土的粘聚力标准值(kPa)。

条文说明
5.2.5 根据土的抗剪强度指标确定地基承载力的计算公式,条件原为均布压力。当受到较大的水平荷载而使合力的偏心距过大时,地基反力分布将很不均匀,根据规范要求pkmax≤1.2fa的条件,将计算公式增加一个限制条件为:当偏心距e≤0.033b时,可用该式计算。相应式中的抗剪强度指标c、φ,要求采用附录E求出的标准值。
5.2.6 对于完整、较完整、较破碎的岩石地基承载力特征值可按本规范附录H岩基载荷试验方法确定;对破碎、极破碎的岩石地基承载力特征值,可根据平板载荷试验确定。对完整、较完整和较破碎的岩石地基承载力特征值,也可根据室内饱和单轴抗压强度按下式进行计算:

式中:fa——岩石地基承载力特征值(kPa);
frk——岩石饱和单轴抗压强度标准值(kPa),可按本规范附录J确定;
ψr——折减系数。根据岩体完整程度以及结构面的间距、宽度、产状和组合,由地方经验确定。无经验时,对完整岩体可取0.5;对较完整岩体可取0.2~0.5;对较破碎岩体可取0.1~0.2。
注: 1上述折减系数值未考虑施工因素及建筑物使用后风化作用的继续;
2对于粘土质岩,在确保施工期及使用期不致遭水浸泡时,也可采用天然湿度的试样,不进行饱和处理。
条文说明
5.2.6 岩石地基的承载力一般较土高得多。本条规定:“用岩基载荷试验确定”。但对完整、较完整和较破碎的岩体可以取样试验时,可以根据饱和单轴抗压强度标准值,乘以折减系数确定地基承载力特征值。
关键问题是如何确定折减系数。岩石饱和单轴抗压强度与地基承载力之间的不同在于:第一,抗压强度试验时,岩石试件处于无侧限的单轴受力状态;而地基承载力则处于有围压的三轴应力状态。如果地基是完整的,则后者远远高于前者。第二,岩块强度与岩体强度是不同的,原因在于岩体中存在或多或少,或宽或窄,或显或隐的裂隙,这些裂隙不同程度地降低了地基的承载力。显然,越完整、折减越少;越破碎,折减越多。由于情况复杂,折减系数的取值原则上由地方经验确定,无经验时,按岩体的完整程度,给出了一个范围值。经试算和与已有的经验对比,条文给出的折减系数是安全的。
至于“破碎”和“极破碎”的岩石地基,因无法取样试验,故不能用该法确定地基承载力特征值。
岩样试验中,尺寸效应是一个不可忽视的因素。本规范规定试件尺寸为φ50×100mm。
5.2.7 当地基受力层范围内有软弱下卧层时,应符合下列规定:
1 应按下式验算软弱下卧层的地基承载力:

式中:pz——相应于作用的标准组合时,软弱下卧层顶面处的附加压力值(kPa);
pcz——软弱下卧层顶面处土的自重压力值(kPa);
faz——软弱下卧层顶面处经深度修正后的地基承载力特征值(kPa)。
2 对条形基础和矩形基础,式(5.2.7-1)中的pz值可按下列公式简化计算:
条形基础

矩形基础

式中:b——矩形基础或条形基础底边的宽度(m);
l——矩形基础底边的长度(m);
pc——基础底面处土的自重压力值(kPa);
z——基础底面至软弱下卧层顶面的距离(m);
θ——地基压力扩散线与垂直线的夹角(°),可按表5.2.7采用。

条文说明
5.2.7 本规范1974版中规定了矩形基础和条形基础下的地基压力扩散角(压力扩散线与垂直线的夹角),一般取22°,当土层为密实的碎石土,密实的砾砂、粗砂、中砂以及老粘土时,取30°。当基础底面至软弱下卧层顶面以上的土层厚度小于或等于1/4基础宽度时,可按0°计算。
双层土的压力扩散作用有理论解,但缺乏试验证明,在1972年开始编制地基规范时主要根据理论解及仅有的一个由四川省科研所提供的现场载荷试验。为慎重起见,提出了上述的应用条件。在89版修订规范时,由天津市建研所进行了大批室内模型试验及三组野外试验,得到一批数据。由于试验局限在基宽与硬层厚度相同的条件,对于大家希望解决的较薄硬土层的扩散作用只有借诸理论公式探求其合理应用范围了。以下就修改补充部分进行说明。
天津建研所完成了硬层土厚度z等于基宽b时硬层的压力扩散角试验,试验共16组,其中野外载荷试验两组,室内模型试验14组,试验中进行了软层顶面处的压力测量。
试验所选用的材料,室内为粉质粘土、淤泥质粘土,用人工制备。野外用煤球灰及石屑。双层土的刚度指标用α=Es1/Es2控制,分别取α=2、4、5、6等。模型基宽为360及200mm两种,现场压板宽度为1410mm。
现场试验下卧层为煤球灰,变形模量为2.2MPa,极限荷载60kPa,按s=0.015b≈21.1mm时所对应的压力仅仅为40kPa。(图5,曲线1)。上层硬土为振密煤球灰及振密石屑,其变形模量为10.4及12.7MPa,这两组试验 α=5、6,从图5曲线中可明显看到:当z=b时,α=5、6的硬层有明显的压力扩散作用,曲线2所反映的承载力为曲线1的3.5倍,曲线3所反映的承载力为曲线1的4.25倍。
室内模型试验:硬层为标准砂,e=0.66,Es=11.6~14.8MPa;下卧软层分别选用流塑状粉质粘土,变形模量在4MPa左右;淤泥质土、变形模量为2.5MPa左右。从载荷试验曲线上很难找到这两类土的比例界线值,如图6,曲线1流塑状粉质粘土s=50mm时的强度仅20kPa。作为双层地基,当α=2,s=50mm时的强度为56kPa(曲线2),α=4时为70kPa(曲线3),α= 6时为96kPa(曲线4)。虽然按同一下沉量来确定强度是欠妥的,但可反映垫层的扩散作用,说明θ值愈大,压力扩散的效果愈显著。
关于硬层压力扩散角的确定一般有两种方法,一种是取承载力比值倒算θ角,另一种是采用实测压力比值,天津建研所采用后一种方法,取软层顶三个压力实测平均值作为扩散到软层上的压力值,然后按扩散角公式求θ值。
从图6中可以看出:p—θ曲线上按实测压力求出的θ角随荷载增加迅速降低,到硬土层出现开裂后降到最低值。

根据平面模型实测压力计算的θ值分别为: α= 4时,θ=24.67°;α=5时,θ=26.98°;α=6时,θ=27.31°均小于30°。而直观的破裂角却为30°(图7)。
现场载荷试验实测压力值见表3。


按表3实测压力作图8,可以看出,当荷载增加到a点后,传到软土顶界面上的压力急骤增加,即压力扩散角迅速降低,到b点时,α=5时为28.6°,α=6时为28°,如果按a点所对应的压力分别为180kPa、240kPa,其对应的扩散角为30.34°及36.85°,换言之,在p—s曲线中比例界限范围内的θ角比破坏时略高。
为讨论这个问题,在缺乏试验论证的条件下,只能借助已有理论解进行分析。
根据叶戈罗夫的平面问题解答条形均布荷载下双层地基中点应力pz的应力系数kz见表4。

表中
Esa——硬土层土的变形模量;
Es2——下卧软土层的变形模量。
换算为α时,ν=5.0 大约相当 α=4
ν=10.0 大约相当 α=7—8
ν=15.0 大约相当 α=12
将应力系数换算为压力扩散角可建表如下:

从计算结果分析;该值与图6所示试验值不同,当压力小时,试验值大于理论值,随着压力增加,试验值逐渐减小。到接近破坏时,试验值趋近于25°,比理论值小50%左右,出现上述现象的原因可能是理论值只考虑土直线变形段的应力扩散,当压板下出现塑性区即载荷试验出现拐点后,土的应力应变关系已呈非线性性质,当下卧层土较差时,硬层挠曲变形不断增加,直到出现开裂。这时压力扩散角取决于上层土的刚性角逐渐达到某一定值。从地基承载力的角度出发,采用破坏时的扩散角验算下卧层的承载力比较安全可靠,并与实测土的破裂角度相当。因此,在采用理论值计算时,θ大于30°的均以30°为限,θ小于30°的则以理论计算值为基础;求出z= 0.25b时的扩散角,如图9。
从表5可以看到z= 0.5b时,扩散角计算值均大于z=6时图7所给出的试验值。同时,z=0.5b时的扩散角不宜大于z=b时所得试验值。故z=0.5b时的扩散角仍按z=b时考虑,而大于0.5b时扩散角亦不再增加。从试验所示的破裂面的出现以及任一材料都有一个强度限值考虑,将扩散角限制在一定范围内还是合理的。总上所述,建议条形基础下硬土层地基的扩散角如表6。


关于方形基础的扩散角与条形基础扩散角,可按均质土中的压力扩散系数换算如下表。

从上表可以看出,在相等的均布压力作用下,压力扩散系数差别很大,但在z/b在1.0以内时,方形基础与条形基础的扩散角相差不到2°,该值与建表误差相比巳无实际意义。故建议采用相同值。
5.2.8 对于沉降已经稳定的建筑或经过预压的地基,可适当提高地基承载力。
5.3 变形计算
5.3.1 建筑物的地基变形计算值,不应大于地基变形允许值。
条文说明
5.3.1 本条为强制性条文。地基变形计算是地基设计中的一个重要组成部分。当建筑物地基产生过大的变形时,对于工业与民用建筑来说,都可能影响正常的生产或生活,危及人们的安全,影响人们的心理状态。
5.3.2 地基变形特征可分为沉降量、沉降差、倾斜、局部倾斜。
5.3.3 在计算地基变形时,应符合下列规定:
1 由于建筑地基不均匀、荷载差异很大、体型复杂等因素引起的地基变形,对于砌体承重结构应由局部倾斜值控制;对于框架结构和单层排架结构应由相邻柱基的沉降差控制;对于多层或高层建筑和高耸结构应由倾斜值控制;必要时尚应控制平均沉降量。
2 在必要情况下,需要分别预估建筑物在施工期间和使用期间的地基变形值,以便预留建筑物有关部分之间的净空,选择连接方法和施工顺序。
条文说明
5.3.3 一般多层建筑物在施工期间完成的沉降量,对于碎石或砂土可认为其最终沉降量已完成80%以上,对于其它低压缩性土可认为已完成最终沉降量的50%~80%,对于中压缩性土可认为已完成20%~50%,对于高压缩性土可认为已完成5%~20%。
5.3.4 建筑物的地基变形允许值应按表5.3.4规定采用。对表中未包括的建筑物,其地基变形允许值应根据上部结构对地基变形的适应能力和使用上的要求确定。
表5.3.4 建筑物的地基变形允许值

注:1 本表数值为建筑物地基实际最终变形允许值;
2 有括号者仅适用于中压缩性土;
3 l为相邻柱基的中心距离(mm);Hg为自室外地面起算的建筑物高度(m);
4 倾斜指基础倾斜方向两端点的沉降差与其距离的比值;
5 局部倾斜指砌体承重结构沿纵向6~10m内基础两点的沉降差与其距离的比值。
条文说明
5.3.4 本条为强制性条文。本条规定了地基变形的允许值。本规范从编制1974年版开始,收集了大量建筑物的沉降观测资料,加以整理分析,统计其变形特征值,从而确定各类建筑物能够允许的地基变形限制。经历1989年版和2002年版的修订、补充,本条规定的地基变形允许值已被证明是行之有效的。
对表5.3.4中高度在100m以上高耸结构物(主要为高烟囱)基础的倾斜允许值和高层建筑物基础倾斜允许值,分别说明如下:
A.高耸构筑物部份:(增加H>100m时的允许变形值)
1 国内外规范、文献中烟囱高度H>100m时的允许变形值的有关规定:
1)我国烟囱设计规范(GBJ 51-83)见表8

上述规定的基础允许倾斜值,主要为根据烟囱筒身的附加弯矩不致过大。
2)苏联地基规范СНИП 2.02.01—83(1985年)见表9

3)基础分析与设计(美)J.E.BOWLES(1977年)
烟囱、水塔的圆环基础的允许倾斜值为0.004
4)结构的允许沉降(美)M.I.ESRIG(1973年)
高大的刚性建筑物明显可见的倾斜为0.004
2 确定高烟囱基础允许倾斜值的依据:
1) 影响高烟囱基础倾斜的因素
1.风力
2.日照
3.地基土不均匀及相邻建筑物的影响
4.由施工误差造成的烟囱筒身基础的偏心
上述诸因素中风、日照的最大值仅为短时间作用,而地基不均匀与施工误差的偏心则为长期作用,相对的讲后者更为重要。 根据1977年电力系统高烟囱设计问题讨论会议纪要,从已建成的高烟囱看,烟囱筒身中心垂直偏差,当采用激光对中找直后,顶端施工偏差值均小于H/1000,说明施工偏差是很小的。因此,地基土不均匀及相邻建筑物的影响是高烟囱基础产生不均匀沉降(即倾斜)的重要因素。
确定高烟囱基础的允许倾斜值,必须考虑基础倾斜对烟囱筒身强度和地基土附加压力的影响。
2) 基础倾斜产生的筒身二阶弯矩在烟囱筒身总附加弯矩中的比率
我国烟囱设计规范中的烟囱筒身由风荷载、基础倾斜和日照所产生的自重附加弯矩公式为:

式中:G——由筒身顶部算起h/3处的烟囱每米高的折算自重(kN);
h——计算截面至筒顶高度(m);
H——筒身总高度(m);

——筒身代表截面处由风荷载及附加弯矩产生的曲率;
hz——混凝土总变形系数;
Δt——筒身日照温差,可按20℃采用;
m0——基础倾斜值;
γ0——由筒身顶部算起0.6H处的筒壁平均半径(m)。从上式可看出:当筒身曲率
较小时附加弯矩中基础倾斜部分才起较大作用,为了研究基础倾斜在筒身附加弯矩中的比率,有必要分析风、日照、地基倾斜对上式的影响。在m0为定值时,由基础倾斜引起的附加弯矩与总附加弯矩的比值为

很显然,基倾附加弯矩所占比率在强度阶段与使用阶段是不同的,后者较前者大些。
现以高度为180m、顶部内径为6m、风荷载为 50kgf/m2的烟囱为例:
在标高25m处求得的各项弯矩值为
总风弯炬 Mw=13908.5t-m
总附加弯矩 Mf=4394.3t-m
其中 风荷附加 Mfw=3180.4
日照附加 Mr=395.5
地倾附加 Mfj=818.4(mθ=0.003)
可见当基础倾斜0.003时,由基础倾斜引起的附加弯矩仅占总弯矩(Mw+Mf)值的4.6%,同样当基础倾斜0.006时,为10%,综上所述可以认为在一般情况下,筒身达到明显可见的倾斜(0.004)时, 地基倾斜在高烟囱附加弯矩计算中是次要的。
但高烟囱在风、地震、温度、烟气侵蚀等诸多因素作用下工作,筒身又为环形薄壁截面,有关刚度、应力计算的因素复杂、并考虑到对邻接部分免受损害,参考了国内外规范、文献后认为,随着烟囱高度的增加,适当地递减烟囱基础允许倾斜值是合适的,因此,在修订TJ7-74地基基础设计规范表21时,对高度h>100m高耸构筑物基础的允许倾斜值可采用我国烟囱设计规范的有关数据。
B.高层建筑部份
这部份主要参考我国高层建筑箱基设计规程JGJ6有关规定及编制说明中有关资料定出允许变形值。
1 我国箱基规定横向整体倾斜的计算值α,在非地震区宜符合
式中,b(m)为箱形基础宽度;H为建筑物高度。在箱基编制说明中提到在地震区α值宜用
2 对刚性的高层房屋的允许倾斜值主要取决于人类感觉的敏感程度,倾斜值达到明显可见的程度大致为1/250,结构损坏则大致在倾斜值达到1/150时开始。
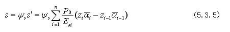
5.3.5 计算地基变形时,地基内的应力分布,可采用各向同性均质线性变形体理论。其最终变形量可按下式进行计算:

式中:s——地基最终变形量(mm);
s’——按分层总和法计算出的地基变形量(mm);
Ψs——沉降计算经验系数,根据地区沉降观测资料及经验确定,无地区经验时可根据变形计算深度范围内压缩模量的当量值(
)、基底附加压力按表5.3.5取值;
n——地基变形计算深度范围内所划分的土层数(图5.3.5);
p0——相应于作用的准永久组合时基础底面处的附加压力(kPa);
Esi——基础底面下第i层土的压缩模量(MPa),应取土的自重压力至土的自重压力与附加压力之和的压力段计算;
zi、zi-1——基础底面至第i层土、第i-1层土底面的距离(m);
——基础底面计算点至第i层土、第i-1层土底面范围内平均附加应力系数,可按本规范附录K采用。


条文说明
5.3.5 该条指出:
1 压缩模量的取值,在考虑到地基变形的非线性性质,一律采用固定压力段下的Es值必然会引起沉降计算的误差,因此采用实际压力下的Es值,即

式中:e0——土自重压力下的孔隙比;
α——从土自重压力至土的自重压力与附加压力之和压力段的压缩系数。
2 地基压缩层范围内压缩模量Es的加权平均值
提出按分层变形进行Es的加权平均方法
设:
则:
式中:
——压缩层内加权平均的Es值(MPa);
Esi——压缩层内某一层土的Es值(MPa);
Ai——压缩层内某一层土的附加应力面积(m2)。
显然,应用上式进行计算能够充分体现各分层土的Es值在整个沉降计算中的作用,使在沉降计算中Es完全等效于分层的Es。
3 根据132栋建筑物的资料进行沉降计算并与资料值进行对比得出沉降计算经验系教ψs与平均Es之间的关系,在编制规范表5.3.5时,考虑了在实际工作中有时设计压力小于地基承载力的情况,将基底压力小于0.75fak时另列一栏,在表5.3.5的数值方面采用了一个平均压缩模量值可对应给出一个ψs值,并允许采用内插方法,避免了采用压缩模量区间取一个ψs 值,在区间分界处因ψs取值不同而引起的误差。
5.3.6 变形计算深度范围内压缩模量的当量值(
),应按下式计算:

式中:Ai——第i层土附加应力系数沿土层厚度的积分值。
5.3.7 地基变形计算深度zn(图5.3.5),应符合式(5.3.7)的规定。当计算深度下部仍有较软土层时,应继续计算。


条文说明
5.3.7 对于存在相邻影响情况下的地基变形计算深度,这次修订时仍以相对变形作为控制标准(以下简称为变形比法)。
在TJ7-74规范之前,我国一直沿用苏联НИТУ127—55规范,以地基附加应力对自重应力之比为0.2或0.1作为控制计算深度的标准(以下简称应力比法),该法沿用成习,并有相当经验。但它没有考虑到土层的构造与性质,过于强调荷载对压缩层深度的影响而对基础大小这一更为重要的因素重视不足。自TJ7-74规范试行以来,采用变形比法的规定,纠正了上述的毛病,取得了不少经验,但也存在一些问题。有的文献指出,变形比法规定向上取计算层厚为1m的计算变形值,对于不同的基础宽度,其计算精度不等。从与实测资料的对比分析中,可以看出,用变形比法计算独立基础、条形基础时,其值偏大。但对于b=10m~50m的大基础,其值却与实测值相近。为使变形比法在计算小基础时,其计算zn值也不至过于偏大,经过多次统计,反复试算,提出采用0.3(1+lnb)m代替向上取计算层厚为1m的规定,取得较为满意的结果(以下简称为修正变形比法)。第5.3.7条中的表5.3.7就是根据0.3(1+1nb)m的关系。以更粗的分格给出的向上计算层厚Δz值。
5.3.8 当无相邻荷载影响,基础宽度在1~30m范围内时,基础中点的地基变形计算深度也可按简化公式(5.3.8)进行计算。在计算深度范围内存在基岩时,zn可取至基岩表面;当存在较厚的坚硬粘性土层,其孔隙比小于0.5、压缩模量大于50MPa,或存在较厚的密实砂卵石层,其压缩模量大于80MPa时,zn可取至该层土表面。此时,地基土附加压力分布应考虑相对硬层存在的影响,按本规范公式(6.2.2)计算地基最终变形量。

条文说明
5.3.8 本条列入了当无相邻荷载影响时确定基础中点的变形计算深度简化公式(5.3.8),该公式系根据具有分层深标的19个载荷试验(面积0.5~13.5m2)和31个工程实测资料统计分析而得。分析结果表明。对于一定的基础宽度,地基压缩层的深度不一定随着荷载(p)的增加而增加。对于基础形状(如矩形基础、圆形基础)与地基土类别(如软土、非软土)对压缩层深度的影响亦无显著的规律,而基础大小和压缩层深度之间却有明显的有规律性的关系。

图10为以实测压缩层深度zs与基础宽度b之比为纵坐标,而以b为横坐标的实测点与回归线图。实线方程zs/b=2.0-0.41nb为根据实测点求得的结果。为使曲线具有更高的保证率,方程式右边引入随机项taφ0S,取置信度1— =95%时,该随机项偏于安全地取0.5,故公式变为:
zs=b(2.5-0.41nb)
图10的实线之上有两条虚线。上层虚线为α= 0.05,具有置信度为95%的方程,即式(5.3.7)。下层虚线为α=0.2,具有置信度为80%的方程。为安全起见只推荐前者。
此外,从图10中可以看到绝大多数实测点分布在zs/b=2的线以下。即使最高的个别点,也只位于zs/b=2.2之处。国内外一些资料亦认为压缩层深度以取2倍b或稍高一点为宜。
在计算深度范围内存在基岩或存在相对硬层时,按第5.3.5条的原则计算地基变形时,由于下卧硬层存在,地基应力分布明显不同于Boussinesq应力分布。为了减少计算工作量,此次条文修订增加对于计算深度范围内存在基岩和相对硬层时的简化计算原则。
在计算深度范围内存在基岩或存在相对硬层时,地基土层中最大压应力的分布可采用K.E.叶戈罗夫带式基础下的结果(表10)。对于矩形基础,长短边边长之比大于等于2时,可参考该结果。

5.3.9 当存在相邻荷载时,应计算相邻荷载引起的地基变形,其值可按应力叠加原理,采用角点法计算。
5.3.10 当建筑物地下室基础埋置较深时,地基土的回弹变形量可按下式进行计算:

条文说明
5.3.10 应该指出高层建筑由于基础埋置较深,地基回弹再压缩变形往往在总沉降中占重要地位,甚至某些高层建筑设置3层~4层(甚至更多层)地下室时,总荷载有可能等于或小于该深度土的自重压力,这时高层建筑地基沉降变形将由地基回弹变形决定。公式(5.3.10)中,Eci应按现行国家标准《土工试验方法标准》GB/T50123进行试验确定,计算时应按回弹曲线上相应的压力段计算。沉降计算经验系数ψc应按地区经验采用。
地基回弹变形计算算例:
某工程采用箱形基础,基础平面尺寸64.8×12.8m2,基础埋深5.7m,基础底面以下各土层分别在自重压力下作回弹试验,测得回弹模量如表11。

基底附加应力108kN/m2,计算基础中点最大回弹量。
回弹计算结果见表12。


从计算过程及土的回弹试验曲线特征可知,地基土回弹的初期,回弹模量很大,回弹量较小,所以地基土的回弹变形土层计算深度是有限的。
5.3.11 地基土回弹再压缩量计算目前实测结果较少。根据室内压缩试验和现场载荷试验结果,地基土回弹再压缩量大于回弹量。中国建筑科学研究院地基基础研究所根据室内压缩试验统计,增大系数对黏性土其值为1.19,对砂土其值为1.10,工程应用时应根据试验确定。
5.3.11 回弹再压缩变形量计算可采用再压缩的压力小于卸荷土的自重压力段内再压缩变形线性分布的假定计算:

5.3.12 在同一整体大面积基础上建有多栋高层和低层建筑,宜考虑上部结构、基础与地基的共同作用进行变形计算。
5.4 稳定性计算
5.4.1 地基稳定性可采用圆弧滑动面法进行验算。最危险的滑动面上诸力对滑动中心所产生的抗滑力矩与滑动力矩应符合下式要求:

5.4.2 位于稳定土坡坡顶上的建筑,应符合下列规定:
1 对于条形基础或矩形基础,当垂直于坡顶边缘线的基础底面边长小于或等于3m 时,其基础底面外边缘线至坡顶的水平距离(图5.4.2)应符合下式要求,且不得小于2.5m:
条形基础

矩形基础

2 当基础底面外边缘线至坡顶的水平距离不满足式(5.4.2-1)、(5.4.2-2)的要求时,可根据基底平均压力按公式(5.4.1)确定基础距坡顶边缘的距离和基础埋深。
3 当边坡坡角大于 45°、坡高大于8m时,尚应按式(5.4.1)验算坡体稳定性。

5.4.3 建筑物基础存在浮力作用时应进行抗浮稳定性验算,并应符合下列规定:
1 对于简单的浮力作用情况,基础抗浮稳定性应符合下式要求:

2 抗浮稳定性不满足设计要求时,可采用增加压重或设置抗浮构件等措施。在整体满足抗浮稳定性要求而局部不满足时,也可采用增加结构刚度的措施。
条文说明
5.4.3 对于简单的浮力作用情况,基础浮力作用可采用阿基米德原理计算。
抗浮稳定性不满足设计要求时,可采用增加压重或设置抗浮构件等措施。在整体满足抗浮稳定性要求而局部不满足时,也可采用增加结构刚度的措施。
采用增加压重的措施,可直接按式(5.4.3)验算。采用抗浮构件(例如抗拔桩)等措施时,由于其产生抗拔力伴随位移发生,过大的位移量对基础结构是不允许的,抗拔力取值应满足位移控制条件。采用本规范附录T的方法确定的抗拔桩抗拔承载力特征值进行设计对大部分工程可满足要求,对变形要求严格的工程还应进行变形计算。
山区地基
6.1 一般规定
6.1.1 山区(包括丘陵地带)地基的设计,应对下列设计条件分析认定:
1 建设场区内,在自然条件下,有无滑坡现象,有无影响场地稳定性的断层、破碎带;
2 在建设场地周围,有无不稳定的边坡;
3 施工过程中,因挖方、填方、堆载和卸载等对山坡稳定性的影响;
4 地基内岩石厚度及空间分布情况、基岩面的起伏情况、有无影响地基稳定性的临空面;
5 建筑地基的不均匀性;
6 岩溶、土洞的发育程度,有无采空区;
7 出现危岩崩塌、泥石流等不良地质现象的可能性;
8 地面水、地下水对建筑地基和建设场区的影响。
条文说明
6.1.1本条为强制性条文。山区地基设计应重视潜在的地质灾害对建筑安全的影响,国内已发生几起滑坡引起的房屋倒塌事故,必须引起重视。
6.1.2 在山区建设时应对场区作出必要的工程地质和水文地质评价。对建筑物有潜在威胁或直接危害的滑坡、泥石流、崩塌以及岩溶、土洞强烈发育地段,不应选作建设场地。
条文说明
6.1.2 工程地质条件复杂多变是山区地基的显著特征。在一个建筑场地内,经常存在地形高差较大,岩土工程特性明显不同,不良地质发育程度差异较大等情况。因此,根据场地工程地质条件和工程地质分区并结合场地整平情况进行平面布置和竖向设计,对避免诱发地质灾害和不必要的大挖大填,保证建筑物的安全和节约建设投资很有必要。
6.1.3 山区建设工程的总体规划,应根据使用要求、地形地质条件合理布置。主体建筑宜设置在较好的地基上,使地基条件与上部结构的要求相适应。
6.1.4 山区建设中,应充分利用和保护天然排水系统和山地植被。当必须改变排水系统时,应在易于导流或拦截的部位将水引出场外。在受山洪影响的地段,应采取相应的排洪措施。
6.2 土岩组合地基
6.2.1 建筑地基(或被沉降缝分隔区段的建筑地基)的主要受力层范围内,如遇下列情况之一者,属于土岩组合地基:
1 下卧基岩表面坡度较大的地基;
2 石芽密布并有出露的地基;
3 大块孤石或个别石芽出露的地基。
6.2.2 当地基中下卧基岩面为单向倾斜、岩面坡度大于10%、基底下的土层厚度大于1.5m时,应按下列规定进行设计:
1 当结构类型和地质条件符合表6.2.2-1的要求时,可不作地基变形验算。

2 不满足上述条件时,应考虑刚性下卧层的影响,按下式计算地基的变形:


3 在岩土界面上存在软弱层(如泥化带)时,应验算地基的整体稳定性;
4 当土岩组合地基位于山间坡地、山麓洼地或冲沟地带,存在局部软弱土层时,应验算软弱下卧层的强度及不均匀变形。
条文说明
6.2.2 土岩组合地基是山区常见的地基形式之一,其主要特点是不均匀变形。当地基受力范围内存在刚性下卧层时,会使上覆土体中出现应力集中现象,从而引起土层变形增大。本次规范修订增加考虑刚性刚性下卧层计算地基变形的一种简便方法,即先按一般土质地基计算变形,然后按本条所列的变形增大系数进行修正。
6.2.3 对于石芽密布并有出露的地基,当石芽间距小于2m,其间为硬塑或坚硬状态的红粘土时,对于房屋为六层和六层以下的砌体承重结构、三层和三层以下的框架结构或具有150kN和150kN以下吊车的单层排架结构,其基底压力小于200kPa,可不作地基处理。如不能满足上述要求时,可利用经检验稳定性可靠的石芽作支墩式基础,也可在石芽出露部位作褥垫。当石芽间有较厚的软弱土层时,可用碎石、土夹石等进行置换。
6.2.4 对于大块孤石或个别石芽出露的地基,当土层的承载力特征值大于150kPa、房屋为单层排架结构或一、二层砌体承重结构时,宜在基础与岩石接触的部位采用褥垫进行处理。对于多层砌体承重结构,应根据土质情况,结合本规范第6.2.6条、第6.2.7条的规定综合处理。
6.2.5 褥垫可采用炉渣、中砂、粗砂、土夹石等材料,其厚度宜取300mm~500mm,夯填度应根据试验确定。当无资料时,夯填度可按下列数值进行设计:
中砂、粗砂 0.87±0.05;
土夹石(其中碎石含量为20%~30%) 0.70±0.05 。
注:夯填度为褥垫夯实后的厚度与虚铺厚度的比值。
6.2.6 当建筑物对地基变形要求较高或地质条件比较复杂不宜按本规范第 6.2.3条、第6.2.4条有关规定进行地基处理时,可调整建筑平面位置,或采用桩基或梁、拱跨越等处理措施。
6.2.7 在地基压缩性相差较大的部位,宜结合建筑平面形状、荷载条件设置沉降缝。沉降缝宽度宜取30mm ~50mm,在特殊情况下可适当加宽。
6.3 填土地基
6.3.1 当利用压实填土作为建筑工程的地基持力层时,在平整场地前,应根据结构类型、填料性能和现场条件等,对拟压实的填土提出质量要求。未经检验查明以及不符合质量要求的压实填土,均不得作为建筑工程的地基持力层。
条文说明
6.3.1本条为强制性条文。近几年城市建设高速发展,在新城区的建设过程中,形成了大量的填土场地,但多数情况是未经填方设计,直接将开山的岩屑倾倒填筑到沟谷地带的填土。当利用其作为建筑物地基时,应进行详细的工程地质勘察工作,按照设计的具体要求,选择合适的地基方法进行处理。不允许对未经检验查明的以及不符合要求的填土作为建筑工程的地基持力层。
6.3.2 当利用未经填方设计处理形成的填土作为建筑物地基时,应查明填料成份与来源,填土的分布、厚度、均匀性、密实度与压缩性以及填土的堆积年限等情况,根据建筑物的重要性、上部结构类型、荷载性质与大小、现场条件等因素,选择合适的地基处理方法,并提出填土地基处理的质量要求与检验方法。
条文说明
6.3.2为节约用地,少占或不占良田,在平原、山区和丘陵地带的建设中,已广泛利用填土作为建筑或其它工程的地基持力层。填土工程设计是一项很重要的工作,只有在精心设计、精心施工的条件下,才能获得高质量的填土地基。
6.3.3 拟压实的填土地基应根据建筑物对地基的具体要求,进行填方设计。填方设计的内容包括填料的性质、压实机械的选择、密实度要求、质量监督和检验方法等。对重大的填方工程,必须在填方设计前选择典型的场区进行现场试验,取得填方设计参数后,才能进行填方工程的设计与施工。
6.3.4 填方工程设计前应具备详细的场地地形、地貌及工程地质勘察资料。位于塘、沟、积水洼地等地区的填土地基,应查明地下水的补给与排泄条件、底层软弱土体的清除情况、自重固结程度等。
6.3.5 对含有生活垃圾或有机质废料的填土,未经处理不宜作为建筑物地基使用。
条文说明
6.3.5 有机质的成分很不稳定且不易压实,其土料中含量大于5%时不能作为填土的填料。
6.3.6 压实填土的填料,应符合下列规定:
1 级配良好的砂土或碎石土。以卵、砾石、块石或岩石碎屑作填料时,分层压实时其最大粒径不宜大于200mm,分层夯实时其最大粒径不宜大于400mm;
2 性能稳定的矿渣、煤渣等工业废料;
3 以粉质粘土、粉土作填料时,其含水量宜为最优含水量,可采用击实试验确定;
4 挖高填低或开山填沟的土石料,应符合设计要求;
5 不得使用淤泥、耕土、冻土、膨胀性土以及有机质含量大于5%的土。
条文说明
6.3.6 利用当地的土、石或性能稳定的工业废料作为压实填土的填料,既经济,又省工、省时,符合因地制宜、就地取材和多快好省的建设原则。
利用碎、块石及爆破开采的岩石碎屑作填料时,为保证夯压密实,应限制其最大粒径,当采用强夯方法进行处理时,其最大粒径可根据夯实能量和当地经验适当加大。
采用粘性土和粘粒含量≥10%的粉土作填料时,填料的含水量至关重要。在一定的压实功下,填料在最优含水量时,干密度可达最大值,压实效果最好。填料的含水量太大时,应将其适当晾干处理,含水量过小时,则应将其适当增湿。压实填土施工前,应在现场选取有代表性的填料进行击实试验,测定其最优含水量,用以指导施工。
6.3.7 压实填土的质量以压实系数λc控制,并应根据结构类型、压实填土所在部位按表6.3.7确定。

注:1、压实系数(λc)为填土的实际干密度(ρd)与最大干密度(ρdmax)之比;wop为最优含水量。
2、地坪垫层以下及基础底面标高以上的压实填土,压实系数不应小于0.94。
6.3.8 压实填土的最大干密度和最优含水量,应采用击实试验确定,击实试验的操作应符合现行国家标准《土工试验方法标准》GB/T50123的有关规定。对于碎石、卵石,或岩石碎屑等填料,其最大干密度可取2100 kg/m3~2200kg/m3。对于粘性土或粉土填料,当无试验资料时,可按下式计算最大干密度:

条文说明
6.3.7~6.3.8 填土地基的压实系数,是填土地基的重要指标,应按建筑物的结构类型、填土部位及对变形的要求确定。压实填土的最大干密度的测定,对于以岩石碎屑为主的粗粒土填料目前存在一些不足,实验室击实试验值偏低而现场小坑灌砂法所得值偏高,导致压实系数偏高较多,应根据地区经验或现场试验确定。
6.3.9 压实填土地基承载力特征值,应根据现场原位测试(静载荷试验、动力触探、静力触探等)结果确定。其下卧层顶面的承载力特征值应满足本规范5.2.7条的要求。
条文说明
6.3.9 填土地基的承载力,应根据现场静载荷试验确定。考虑到填土的不均匀性,试验数据量应较自然地层多,才能比较准确地反映出地基的性质,可配合采用其他原位测试法进行确定。
6.3.10 填土地基在进行压实施工时,应注意采取地面排水措施,当其阻碍原地表水畅通排泄时,应根据地形修建截水沟,或设置其它排水设施。设置在填土区的上、下水管道,应采取防渗、防漏措施,避免因漏水使填土颗粒流失,必要时应在填土土坡的坡脚处设置反滤层。
条文说明
6.3.10 在填土施工过程中,应切实做好地面排水工作。对设置在填土场地的上、下水管道,为防止因管道渗漏影响邻近建筑或其他工程,应采取必要的防渗漏措施。
6.3.11 位于斜坡上的填土,应验算其稳定性。对由填土而产生的新边坡,当填土边坡符合表6.3.11的要求时,可不设置支挡结构。当天然地面坡度大于20%时,应采取防止填土可能沿坡面滑动的措施,并应避免雨水沿斜坡排泄。

条文说明
6.3.11 位于斜坡上的填土,其稳定性验算应包含两方面的内容:一是填土在自重及建筑物荷载作用下,沿天然坡面滑动;二是由于填土出现新边坡的稳定问题。填土新边坡的稳定性较差,应注意防护。
6.4 滑坡防治
6.4.1 在建设场区内,由于施工或其他因素的影响有可能形成滑坡的地段,必须采取可靠的预防措施。对具有发展趋势并威胁建筑物安全使用的滑坡,应及早采取综合整治措施,防止滑坡继续发展。
条文说明
6.4.1 本条为强制性条文。滑坡是山区建设中常见的不良地质现象,有的滑坡是在自然条件下产生的,有的是在工程活动影响下产生的。滑坡对工程建设危害极大,山区建设对滑坡问题必须重视。
6.4.2 应根据工程地质、水文地质条件以及施工影响等因素,分析滑坡可能发生或发展的主要原因,采取下列防治滑坡的处理措施:
1 排水:应设置排水沟以防止地面水浸入滑坡地段,必要时尚应采取防渗措施。在地下水影响较大的情况下,应根据地质条件,设置地下排水系统;
2 支挡:根据滑坡推力的大小、方向及作用点,可选用重力式抗滑挡墙、阻滑桩及其他抗滑结构。抗滑挡墙的基底及阻滑桩的桩端应埋置于滑动面以下的稳定土(岩)层中。必要时,应验算墙顶以上的土(岩)体从墙顶滑出的可能性;
3 卸载:在保证卸载区上方及两侧岩土稳定的情况下,可在滑体主动区卸载,但不得在滑体被动区卸载;
4 反压:在滑体的阻滑区段增加竖向荷载以提高滑体的阻滑安全系数。
6.4.3 滑坡推力可按下列规定进行计算:
1 当滑体有多层滑动面(带)时,可取推力最大的滑动面(带)确定滑坡推力;
2 选择平行于滑动方向的几个具有代表性的断面进行计算。计算断面一般不得少于2个,其中应有一个是滑动主轴断面。根据不同断面的推力设计相应的抗滑结构;
3 当滑动面为折线形时,滑坡推力可按下列公式进行计算(图6.4.3)。


4 滑坡推力作用点,可取在滑体厚度的1/2 处;
5 滑坡推力安全系数,应根据滑坡现状及其对工程的影响等因素确定,对地基基础设计等级为甲级的建筑物宜取1.30,设计等级为乙级的建筑物宜取1.20,设计等级为丙级的建筑物宜取1.10;
6 根据土(岩)的性质和当地经验,可采用试验和滑坡反算相结合的方法,合理地确定滑动面上的抗剪强度。
6.5 岩 石 地 基
6.5.1 岩石地基基础设计应符合下列规定:
1 置于完整、较完整、较破碎岩体上的建筑物可仅进行地基承载力计算;
2 地基基础设计等级为甲、乙级的建筑物,同一建筑物的地基存在坚硬程度不同,两种或多种岩体变形模量差异达2倍及2倍以上,应进行地基变形验算;
3 地基主要受力层深度内存在软弱下卧岩层时,应考虑软弱下卧岩层的影响进行地基稳定性验算;
4 桩孔、基底和基坑边坡开挖应控制爆破,到达持力层后,对软岩、极软岩表面应及时封闭保护;
5 当基岩面起伏较大,且都使用岩石地基时,同一建筑物可以使用多种基础形式;
6 当基础附近有临空面时,应验算向临空面倾覆和滑移稳定性。存在不稳定的临空面时,应将基础埋深加大至下伏稳定基岩;亦可在基础底部设置锚杆,锚杆应进入下伏稳定岩体,并满足抗倾覆和抗滑移要求。同一基础的地基可以放阶处理,但应满足抗倾覆和抗滑移要求;
7 对于节理、裂隙发育及破碎程度较高的不稳定岩体,可采用注浆加固和清爆填塞等措施。
条文说明
6.5.1 在岩石地基,特别是在层状岩石中,平面和垂向持力层范围内软、硬岩相间出现很常见。在平面上软硬岩石相间分布或在垂向上硬岩有一定厚度、软岩有一定埋深的情况下,为安全合理的使用地基,就有必要通过验算地基的承载力和变形来确定如何对地基进行使用。
岩石一般可视为不可压缩地基,上部荷载通过基础传递到岩石地基上时,基底应力以直接传递为主,应力呈柱形分布,当荷载不断增加使岩石裂缝被压密产生微弱沉降而卸荷时,部分荷载将转移到冲切锥范围以外扩散,基底压力呈钟形分布。验算岩石下卧层强度时,其基底压力扩散角可按30°~40°考虑。
由于岩石地基刚度大,在岩性均匀的情况下可不考虑不均匀沉降的影响,故同一建筑物中允许使用多种基础形式,如桩基与独立基础并用,条形基础、独立基础与桩基础并用等。
基岩面起伏剧烈,高差较大并形成临空面是岩石地基的常见情况,为确保建筑物的安全,应重视临空面对地基稳定性的影响。
6.5.2 对遇水易软化和膨胀、易崩解的岩石,应采取保护措施减少其对岩体承载力的影响。
6.6 岩 溶 与 土 洞
6.6.1 在碳酸盐岩为主的可溶性岩石地区,当存在岩溶(溶洞、溶蚀裂隙等)、土洞等现象时,应考虑其对地基稳定的影响。
6.6.2 岩溶场地可根据岩溶发育程度划分为三个等级,设计时应根据具体情况,按表6.6.2选用。

条文说明
6.6.2 由于岩溶发育具有严重的不均匀性,为区别对待不同岩溶发育程度场地上的地基基础设计,将岩溶场地划分为岩溶强发育、中等发育和微发育三个等级,用以指导勘察、设计、施工。
基岩面相对高差以相邻钻孔的高差确定。
钻孔见洞隙率=(见洞隙钻孔数量/钻孔总数)×100%。线岩溶率=(见洞隙的钻探进尺之和/钻探总进尺)×100%。
6.6.3 地基基础设计等级为甲级、乙级的建筑物主体宜避开岩溶强发育地段。
6.6.4 存在下列情况之一且未经处理的场地,不应作为建筑物地基:
1 浅层溶洞成群分布,洞径大,且不稳定的地段;
2 漏斗、溶槽等埋藏浅,其中充填物为软弱土体;
3 土洞或塌陷等岩溶强发育的地段;
4 岩溶水排泄不畅,有可能造成场地暂时淹没的地段。
6.6.5 对于完整、较完整的坚硬岩、较硬岩地基,且符合下列条件之一时,可不考虑岩溶对地基稳定性的影响:
1 洞体较小,基础底面尺寸大于洞的平面尺寸,并有足够的支承长度;
2 顶板岩石厚度大于或等于洞的跨度。
6.6.6 地基基础设计等级为丙级且荷载较小的建筑物,当符合下列条件之一时,可不考虑岩溶对地基稳定性的影响。
1 基础底面以下的土层厚度大于独立基础宽度的3倍或条形基础宽度的6倍,且不具备形成土洞的条件时;
2 基础底面与洞体顶板间土层厚度小于独立基础宽度的3倍或条形基础宽度的6倍,洞隙或岩溶漏斗被沉积物填满,其承载力特征值超过150kPa,且无被水冲蚀的可能性时;
3 基础底面存在面积小于基础底面积25%的垂直洞隙,但基底岩石面积满足上部荷载要求时。
6.6.7 不符合本规范第6.6.5、6.6.6条的条件时,应进行洞体稳定性分析;基础附近有临空面时,应验算向临空面倾覆和沿岩体结构面滑移稳定性。
6.6.8 土洞对地基的影响,应按下列规定综合分析与处理:
1 在地下水强烈活动于岩土交界面的地区,应考虑由地下水作用所形成的土洞对地基的影响,预测地下水位在建筑物使用期间的变化趋势。总图布置前,应获得场地土洞发育程度分区资料。施工时,除已查明的土洞外,尚应沿基槽进一步查明土洞的特征和分布情况;
2 在地下水位高于基岩表面的岩溶地区,应注意人工降水引起土洞进一步发育或地表塌陷的可能性。塌陷区的范围及方向可根据水文地质条件和抽水试验的观测结果综合分析确定。在塌陷范围内不应采用天然地基。并应注意降水对周围环境和建构筑物的影响。
3 由地表水形成的土洞或塌陷,应采取地表截流、防渗或堵塞等措施进行处理。应根据土洞埋深,分别选用挖填、灌砂等方法进行处理。由地下水形成的塌陷及浅埋土洞,应清除软土,抛填块石作反滤层,面层用粘土夯填;深埋土洞宜用砂、砾石或细石混凝土灌填。在上述处理的同时,尚应采用梁、板或拱跨越。对重要的建筑物,可采用桩基处理。
6.6.9 对地基稳定性有影响的岩溶洞隙,应根据其位置、大小、埋深、围岩稳定性和水文地质条件综合分析,因地制宜采取下列处理措施:
1 对较小的岩溶洞隙,可采用镶补、嵌塞与跨越等方法处理;
2 对较大的岩溶洞隙,可采用梁、板和拱等结构跨越,也可采用浆砌块石等堵塞措施以及洞底支撑或调整柱距等方法处理。跨越结构应有可靠的支承面。梁式结构在稳定岩石上的支承长度应大于梁高1.5倍;
3 基底有不超过25%基底面积的溶洞(隙)且充填物难以挖除时,宜在洞隙部位设置钢筋混凝土底板,底板宽度应大于洞隙,并采取措施保证底板不向洞隙方向滑移。也可在洞隙部位设置钻孔桩进行穿越处理。
4 对于荷载不大的低层和多层建筑,围岩稳定,如溶洞位于条形基础末端,跨越工程量大,可按悬臂梁设计基础,若溶洞位于单独基础重心一侧,可按偏心荷载设计基础。
条文说明
6.6.4~6.6.9 大量的工程实践证明,岩溶地基经过恰当的处理后,可以做建筑地基。现在建筑用地日趋紧张,在岩溶发育地区要避开岩溶强发育场地非常困难。采取合理可靠的措施对岩溶地基进行处理并加以利用,更加切合当前建筑地基基础设计的实际情况。
土洞的顶板强度低,稳定性差,且土洞的发育速度一般都很快,因此其对地基稳定性的危害大。故在岩溶发育地区的地基基础设计对土洞应给予高度重视。
由于影响岩溶稳定性的因素很多,现行勘探手段一般难以查明岩溶特征,目前对岩溶稳定性的评价,仍然是以定性和经验为主。
对岩溶顶板稳定性的定量评价,仍处于探索阶段。某些技术文献中曾介绍采用结构力学中的梁、板、拱理论评价,但由于计算边界条件不易明确,计算结果难免具有不确定性。
岩溶地基的地基与基础方案的选择应针对具体条件区别对待。大多数岩溶场地的岩溶都需要加以适当处理方能进行地基基础设计。而地基基础方案经济合理与否,除考虑地基自然状况外,还应考虑地基处理方案的选择。
一般情况下,岩溶洞隙侧壁由于受溶蚀风化的影响,此部分岩体强度和完整程度较内部围岩要低,为保证建筑物的安全,要求跨越岩溶洞隙的梁式结构在稳定岩石上的支承长度应大于梁高1.5倍。
当采用洞底支撑(穿越)方法处理时,桩的设计应考虑下列因素,并根据不同条件选择:
1 桩底以下3~5倍桩径或不小于5m深度范围内无影响地基稳定性的洞隙存在,岩体稳定性良好,桩端嵌入中等~微风化岩体不宜小于0.5m,并低于应力扩散范围内的不稳定洞隙底板,或经验算桩端埋置深度已可保证桩不向临空面滑移;
2 基坑涌水易于抽排、成孔条件良好,宜设计人工挖孔桩;
3 基坑涌水量较大,抽排将对环境及相邻建筑物产生不良影响,或成孔条件不好,宜设计钻孔桩;
4 当采用小直径桩时,应设置承台。对地基基础设计等级为甲、乙级的建筑物,桩的承载力特征值应由静载试验确定,对地基基础设计等级为丙级的建筑物,可借鉴类似工程确定。
当按悬臂梁设计基础时,应对悬臂梁不同受力工况进行验算。
桩身穿越溶洞顶板的岩体,由于岩溶发育的复杂性和不均匀性,顶板情况一般难以查明,通常情况下不计算顶板岩体的侧阻力。
6.7 土质边坡与重力式挡墙
6.7.1 边坡设计应符合下列规定:
1 边坡设计应保护和整治边坡环境,边坡水系应因势利导,设置地表排水系统,边坡工程应设内部排水系统。对于稳定的边坡,应采取保护及营造植被的防护措施;
2 建筑物的布局应依山就势,防止大挖大填。对于平整场地而出现的新边坡,应及时进行支挡或构造防护;
3 应根据边坡类型、边坡环境、边坡高度及可能的破坏模式,选择适当的边坡稳定计算方法和支挡结构型式;
4 支挡结构设计应进行整体稳定性计算、局部稳定性计算、地基承载力计算、抗倾覆稳定性计算、抗滑移计算及结构强度计算;
5 边坡工程设计前,应进行详细的工程地质勘察,并应对边坡的稳定性作出准确的评价;对周围环境的危害性作出预测;对岩石边坡的结构面调查清楚,指出主要结构面的所在位置;提供边坡设计所需要的各项参数;
6 边坡的支挡结构应进行排水设计。对于可以向坡外排水的支挡结构,应在支挡结构上设置排水孔。排水孔应沿着横竖两个方向设置,其间距宜取2m~3m,排水孔外斜坡度宜为5%,孔眼尺寸不宜小于100mm。支挡结构后面应做好滤水层,必要时应作排水暗沟。支挡结构后面有山坡时,应在坡脚处设置截水沟。对于不能向坡外排水的边坡,应在支挡结构后面设置排水暗沟;
7 支挡结构后面的填土,应选择透水性强的填料。当采用粘性土作填料时,宜掺入适量的碎石。在季节性冻土地区,应选择炉碴、碎石、粗砂等非冻胀性填料。
条文说明
6.7.1 边坡设计的一般原则
1 边坡工程与环境之间有着密切的关系,边坡处理不当,将破坏环境,毁坏生态平衡,治理边坡必须强调环境保护。
2 在山区进行建设,切忌大挖大填,某些建设项目,不顾环境因素,大搞人造平原,最后出现大规模滑坡,大量投资毁于一旦,还酿成生态环境的破坏。应提倡依山就势。
3 工程地质勘察工作,是不可缺少的基本建设程序。边坡工程的影响面较广,处理不当就可酿成地质灾害,工程地质勘察尤为重要。勘察工作不能局限于红线范围,必须扩大勘察面,一般在坡顶的勘察范围,应达到坡高的l倍~2倍,才能获取较完整的地质资料。对于高大边坡,应进行专题研究,提出可行性方案经论证后方可实施。
4 边坡支挡结构的排水设计,是支挡结构设计很重要的一环,许多支挡结构的失效,都与排水不善有关。根据重庆市的统计,倒塌的支挡结构,由于排水不善造成的事故占80%以上。
6.7.2 在坡体整体稳定的条件下,土质边坡的开挖应符合下列规定:
1 边坡的坡度允许值,应根据当地经验,参照同类土层的稳定坡度确定。当土质良好且均匀、无不良地质现象、地下水不丰富时,可按表6.7.2确定;

2 土质边坡开挖时,应采取排水措施,边坡的顶部应设置截水沟。在任何情况下不应在坡脚及坡面上积水;
3 边坡开挖时,应由上往下开挖,依次进行。弃土应分散处理,不得将弃土堆置在坡顶及坡面上。当必须在坡顶或坡面上设置弃土转运站时,应进行坡体稳定性验算,严格控制堆栈的土方量;
4 边坡开挖后,应立即对边坡进行防护处理。
6.7.3 重力式挡土墙土压力计算应符合下列规定:
1 对土质边坡,边坡主动土压力应按式(6.7.3-1)进行计算。当填土为无粘性土时,主动土压力系数可按库伦土压力理论确定。当支挡结构满足朗肯条件时,主动土压力系数可按朗肯土压力理论确定。粘性土或粉土的主动土压力也可采用楔体试算法图解求得。

式中:Ea——主动土压力(kN);
——主动土压力增大系数,挡土墙高度小于5m时宜取1.0,高度5m~8 m时宜取1.1,高度大于8 m时宜取1.2;
γ——填土的重度(kPa);
h——挡土结构的高度(m);
ka——主动土压力系数,按本规范附录L确定。


条文说明
6.7.3 重力式挡土墙上的土压力计算应注意的问题:
1 土压力的计算,目前国际上仍采用楔体试算法。根据大量的试算与实际观测结果的对比,对于高大挡土结构来说,采用古典土压力理论计算的结果偏小,土压力的分布也有较大的偏差。对于高大挡土墙,通常也不允许出现达到极限状态时的位移值,因此在土压力计算式中计入增大系数。

2 土压力计算公式是在土体达到极限平衡状态的条件下推导出来的,当边坡支挡结构不能达到极限状态时,土压力设计值应取主动土压力与静止土压力的某一中间值。
3 在山区建设中,经常遇到60°~80°陡峻的岩石自然边坡,其倾角远大于库仑破坏面的倾角,这时如果仍然采用古典土压力理论计算土压力,将会出现较大的偏差。当岩石自然边坡的倾角大于 45°+φ/2时,应按楔体试算法计算土压力值。
6.7.4 重力式挡土墙的构造应符合下列规定:
1 重力式挡土墙适用于高度小于 8m、地层稳定、开挖土石方时不会危及相邻建筑物的地段;
2 重力式挡土墙可在基底设置逆坡。对于土质地基,基底逆坡坡度不宜大于1:10;对于岩质地基,基底逆坡坡度不宜大于1:5;
3 毛石挡土墙的墙顶宽度不宜小于400mm;混凝土挡土墙的墙顶宽度不宜小于200mm;
4 重力式挡墙的基础埋置深度,应根据地基承载力、水流冲刷、岩石裂隙发育及风化程度等因素进行确定。在特强冻涨、强冻涨地区应考虑冻涨的影响。在土质地基中,基础埋置深度不宜小于0.5m;在软质岩地基中,基础埋置深度不宜小于0.3m;
5 重力式挡土墙应每间隔10m~20m设置一道伸缩缝。当地基有变化时宜加设沉降缝。在挡土结构的拐角处,应采取加强的构造措施。
6.7.5 挡土墙的稳定性验算应符合下列规定:
1 抗滑移稳定性应按下列公式进行验算(图6.7.5-1);



注:1 对易风化的软质岩和塑性指数Ip大于22的粘性土,基底摩擦系数应通过试验确定。
2 对碎石土,可根据其密实程度、填充物状况、风化程度等确定。
2 抗倾覆稳定性应按下列公式进行验算(图6.7.5-2):

3 整体滑动稳定性验算可采用圆弧滑动面法;
4 地基承载力验算,除应符合本规范第5.2节的规定外,基底合力的偏心距不应大于0.25倍基础的宽度。当基底下有软弱下卧层时,尚应进行软弱下卧层的承载力验算。
条文说明
6.7.4~6.7.5 重力式挡土结构,是过去用得较多的一种挡土结构型式。在山区地盘比较狭窄,重力式挡土结构的基础宽度较大,影响土地的开发利用,对于高大挡土墙,往往也是不经济的。石料是主要的地方材料,经多个工程测算,对于高度8m以上的挡土墙,采用桩锚体系挡土结构,其造价、稳定性、安全性、土地利用率等等方面,都较重力式挡土结构为好。所以规范规定“重力式挡土墙宜用于高度小于8m、地层稳定、开挖土石方时不会危及相邻建筑物安全的地段”。
对于重力式挡土墙的稳定性验算,主要由抗滑稳定性控制,而现实工程中倾覆稳定破坏的可能性又大于滑动破坏。说明过去抗倾覆稳定性安全系数偏低,这次稍有调整,由原来的1.5调整成1.6。
6.8 岩石边坡与岩石锚杆挡墙
6.8.1 在岩石边坡整体稳定的条件下,岩石边坡的开挖坡度允许值,应根据当地经验按工程类比的原则,参照本地区已有稳定边坡的坡度值加以确定。
6.8.2 当整体稳定的软质岩边坡高度小于12m,硬质岩边坡高度小于15m时,边坡开挖时可进行构造处理(图6.8.2-1,图6.8.2-2)。

条文说明
6.8.2 整体稳定边坡,原始地应力释放后回弹较快,在现场很难测量到横向推力。但在高切削的岩石边坡上,很容易发现边坡顶部的拉伸裂隙,其深度约为边坡高度的0.2~0.3倍,离开边坡顶部边缘一定距离后便很快消失,说明边坡顶部确实有拉应力存在。这一点从二维光弹试验中也得到了证明。从光弹试验中也证明了边坡的坡脚,存在着压应力与剪切应力,对岩石边坡来说,岩石本身具有较高的抗压与抗剪切强度,所以岩石边坡的破坏,都是从顶部垮塌开始的。因此对于整体结构边坡的支护, 应注意加强顶部的支护结构。
边坡的顶部裂隙比较发育,必须采用强有力的锚杆进行支护,在顶部0.2~0.3h高度处,至少布置一排结构锚杆,锚杆的横向间距不应大于3m,长度不应小于6m。结构锚杆直径不宜小于130mm,钢筋不宜小于3φ22。其余部分为防止风化剥落,可采用锚杆进行构造防护。防护锚杆的孔径宜采用50~100mm,锚杆长度宜采用2~4m,锚杆的间距宜采用1.5~2.0m。

6.8.3 对单结构面外倾边坡作用在支挡结构上的推力,可根据楔体平衡法进行计算,并应考虑结构面填充物的性质及其浸水后的变化。具有两组或多组结构面的交线倾向于临空面的边坡,可采用棱形体分割法计算棱体的下滑力。
条文说明
6.8.3 单结构面外倾边坡的横推力较大,主要原因是结构面的抗剪强度一般较低。在工程实践中,单结构面外倾边坡的横推力,通常采用楔形体平面课题进行计算。
对于具有两组或多组结构面形成的下滑棱柱体,其下滑力通常采用棱形体分割法进行计算。现举例如下:
1 已知:新开挖的岩石边坡的坡角为 80°。边坡上存在着两组结构面(如图13所示):结构面1走向AC,与边坡顶部边缘线CD的夹角为75°,其倾角β1=70°;其结构面2走向AD,与边坡顶部边缘线DC的夹角为40°,其倾角β2=43°。即两结构面走向线的夹角α为65°。AE点的距离为3m。经试验两个结构面上的内摩擦角均为φ=15.6°,其粘聚力近于 0。岩石的重度为 24 kN/m3。

2.棱线AV与两结构面走向线间的平面夹角α1及α2。可采用下列计算式进行计算: 

从而通过计算得出α1=15°;α2=50°。
3 进而计算出棱线AV的倾角,即沿着棱线方向上结构面的视倾角β’。
tanβ’=tanβ1sinα 1
计算得:β’=35.5°
4 用AVE平面将下滑棱柱体分割成两个块体。计算获得两个滑块的重力为;
w1 =31kN; w2=139kN;
棱柱体总重为 w=w1+w2=170kN。
5 对两个块体的重力分解成垂直与平行于结构面的分力:
N1=w1cosβ1=10.6kN
T1=w1sinβ1=29.1kN
N2=w2cosβ2=101.7kN
T2=w2sinβ2=94.8kN
6 再将平行于结构面的下滑力分解成垂直与平行于棱线的分力:
tanθ1 =tan(90-α1)cosβ1=1.28 θ1=52°
tanθ2 =tan(90-α2)cosβ2=0.61 θ2=32°
Ts1=T1cosθ1=18kN
Ts2=T2cosθ2=80kN
7 棱柱体总的下滑力:Ts=Ts1+Ts2=98kN
两结构面上的摩阻力:
Ft=(N1+N2)tanφ=(10.6+101.7)tan15.6°=31kN
作用在支挡结构上推力:T=Ts—Ft=67kN
6.8.4 岩石锚杆挡土结构设计,应符合下列规定(图6.8.4):

1 岩石锚杆挡土结构的荷载,宜采用主动土压力乘以 1.l~l.2的增大系数;
2 挡板计算时,其荷载的取值可考虑支承挡板的两立柱间土体的卸荷拱作用;
3 立柱端部应嵌入稳定岩层内,并应根据端部的实际情况假定为固定支承或铰支承,当立柱插入岩层中的深度大于3倍立柱长边时,可按固定支承计算;
4 岩石锚杆应与立柱牢固连接,并应验算连接处立柱的抗剪切强度。
条文说明
6.8.4 岩石锚杆挡土结构,是一种新型挡土结构体系,对支挡高大土质边坡很有成效。岩石锚杆挡土结构的位移很小,支挡的土体不可能达到极限状态,当按主动土压力理论计算土压力时,必须乘以一个增大系数。
岩石锚杆挡土结构是通过立柱或竖桩将土压力传递给锚杆,再由锚杆将土压力传递给稳定的岩体,达到支挡的目的。立柱间的挡板是一种维护结构,其作用是挡住两立柱间的土体,使其不掉下来。因存在着卸荷拱作用,两立柱间的土体作用在挡土板的土压力是不大的,有些支挡结构没有设置挡板也能安全支挡边坡。
岩石锚杆挡土结构的立柱必须嵌入稳定的岩体中,一般的嵌入深度为立柱断面尺寸的3倍。当所支挡的主体位于高度较大的陡崖边坡的顶部时,可有两种处理办法:
1 将立柱延伸到坡脚,为了增强立柱的稳定性,可在陡崖的适当部位增设一定数量的锚杆。
2 将立柱在具有一定承载能力的陡崖顶部截断,在立柱底部增设锚杆,以承受立柱底部的横推力及部分竖向力。
6.8.5 岩石锚杆的构造应符合下列规定:
1 岩石锚杆由锚固段和非锚固段组成。锚固段应嵌入稳定的基岩中,嵌入基岩深度应大于40倍锚杆筋体直径,且不得小于3倍锚杆的孔径。非锚固段的主筋必须进行防护处理;
2 作支护用的岩石锚杆,锚杆孔径不宜小于100mm;作防护用的锚杆,其孔径可小于100mm,但不应小于60mm;
3 岩石锚杆的间距,不应小于锚杆孔径的6倍;
4 岩石锚杆与水平面的夹角宜为15°~25°;
5 锚杆筋体宜采用热轧带肋钢筋,水泥砂浆强度不宜低于25MPa,细石混凝土强度不宜低于C25。
6.8.6 岩石锚杆锚固段的抗拔承载力,应按照本规范附录M的试验方法经现场原位试验确定。对于永久性锚杆的初步设计或对于临时性锚杆的施工阶段设计,可按下式计算:


条文说明
6.8.5 本条为锚杆的构造要求,现说明如下:
1 锚杆宜优先采用热轧带肋的钢筋作主筋,是因为在建筑工程中所用的锚杆大多不使用机械锚头,在很多情况下主筋也不允许设置弯钩,为增加主筋与混凝土的握裹力作出的规定。
2 通过大量的试验研究表明,岩石锚杆在15倍~20倍锚杆直径以深的部位已没有锚固力分布,只有锚杆顶部周围的岩体出现破坏后,锚固力才会向深部延伸。当岩石锚杆的嵌岩深度小于3倍锚杆的孔径时,其抗拔力较低,不能采用本规范式(6.8.6)进行抗拔承载力计算。
3 锚杆的施工质量对锚杆抗拔力的影响很大,在施工中必须将钻孔清洗干净,孔壁不允许有泥膜存在。锚杆的施工还应满足有关施工验收规范的规定。
软弱地基
7.1 一般规定
7.1.1 当地基压缩层主要由淤泥、淤泥质土、冲填土、杂填土或其他高压缩性土层构成时应按软弱地基进行设计。在建筑地基的局部范围内有高压缩性土层时,应按局部软弱土层处理。
7.1.2 勘察时,应查明软弱土层的均匀性、组成、分布范围和土质情况;冲填土尚应查明排水固结条件;杂填土应查明堆积历史,确定自重压力下的稳定性、湿陷性等。
7.1.3 设计时,应考虑上部结构和地基的共同作用。对建筑体型、荷载情况、结构类型和地质条件进行综合分析,确定合理的建筑措施、结构措施和地基处理方法。
7.1.4 施工时,应注意对淤泥和淤泥质土基槽底面的保护,减少扰动。荷载差异较大的建筑物,宜先建重、高部分,后建轻、低部分。
7.1.5 活荷载较大的构筑物或构筑物群(如料仓、油罐等),使用初期应根据沉降情况控制加载速率,掌握加载间隔时间,或调整活荷载分布,避免过大倾斜。
7.2 利用与处理
7.2.1 利用软弱土层作为持力层时,应符合下列规定:
1 淤泥和淤泥质土,宜利用其上覆较好土层作为持力层,当上覆土层较薄,应采取避免施工时对淤泥和淤泥质土扰动的措施;
2 冲填土、建筑垃圾和性能稳定的工业废料,当均匀性和密实度较好时,可利用作为轻型建筑物地基的持力层。
7.2.2 局部软弱土层以及暗塘、暗沟等,可采用基础梁、换土、桩基或其他方法处理。
7.2.3 当地基承载力或变形不能满足设计要求时,地基处理可选用机械压实、堆载预压、真空预压、换填垫层或复合地基等方法。处理后的地基承载力应通过试验确定。
7.2.4 机械压实包括重锤夯实、强夯、振动压实等方法,可用于处理由建筑垃圾或工业废料组成的杂填土地基,处理有效深度应通过试验确定。
7.2.5 堆载预压可用于处理较厚淤泥和淤泥质土地基。预压荷载宜大于设计荷载,预压时间应根据建筑物的要求以及地基固结情况决定,并应考虑堆载大小和速率对堆载效果和周围建筑物的影响。采用塑料排水带或砂井进行堆载预压和真空预压时,应在塑料排水带或砂井顶部作排水砂垫层。
7.2.6 换填垫层(包括加筋垫层)可用于软弱地基的浅层处理。垫层材料可采用中砂、粗砂、砾砂、角(圆)砾、碎(卵)石、矿渣、灰土、粘性土以及其它性能稳定、无腐蚀性的材料。加筋材料可采用高强度、低徐变、耐久性好的土工合成材料。
7.2.7 复合地基设计应满足建筑物承载力和变形要求。当地基土为欠固结土、膨胀土、湿陷性黄土、可液化土等特殊性土时,设计采用的增强体和施工工艺应满足处理后地基土和增强体共同承担荷载的技术要求。
条文说明
7.2.7 本条为强制性条文。规定了复合地基设计的基本原则,为确保地基设计的安全,在进行地基设计时必须严格执行。
复合地基是指由地基土和竖向增强体(桩)组成、共同承担荷载的人工地基。复合地基按增强体材料可分为刚性桩复合地基、粘结材料桩复合地基和无粘结材料桩复合地基。
当地基土为欠固结土、膨胀土、湿陷性黄土、可液化土等特殊土时,设计时应综合考虑土体的特殊性质,选用适当的增强体和施工工艺,以保证处理后的地基土和增强体共同承担荷载。
7.2.8 复合地基承载力特征值应通过现场复合地基载荷试验确定,或采用增强体载荷试验结果和其周边土的承载力特征值结合经验确定。
条文说明
7.2.8 本条为强制性条文。强调复合地基的承载力特征值应通过载荷试验确定。可直接通过复合地基载荷试验确定,或通过增强体载荷试验结合土的承载力特征值和地区经验确定。
桩体强度较高的增强体,可以将荷载传递到桩端土层。当桩长较长时,由于单桩复合地基载荷试验的荷载板宽度较小,不能全面反映复合地基的承载特性。因此单纯采用单桩复合地基载荷试验的结果确定复合地基承载力特征值,可能由于试验的载荷板面积或由于褥垫层厚度对复合地基载荷试验结果产生影响。因此对复合地基承载力特征值的试验方法,当采用设计褥垫厚度进行试验时,对于独立基础或条形基础宜采用基础宽度相等的载荷板进行试验,当基础宽度较大试验有困难而采用较小宽度载荷板进行试验时,应考虑褥垫层厚度对实验结果的影响。必要时应进行多桩复合地基载荷试验确定。有地区经验时也可采用单桩载荷试验结果和其周边土承载力特征值结合经验确定。
7.2.9 复合地基基础底面的压力除应满足本规范公式(5.2.1-1)的要求外,还应满足本规范公式(5.2.1-2)的要求。
条文说明
7.2.9 复合地基的承载力计算应同时满足轴心荷载和偏心荷载作用的要求。
7.2.10复合地基的最终变形量可按式(7.2.10)计算:

模量可取复合土层的压缩模量,可按本规范第7.2.12条确定;地基变形计算深度应大于加固土层的厚度,并应符合本规范第5.3.7条的规定。

条文说明
7.2.10复合地基的地基计算变形量可采用单向压缩分层总和法按本规范第5.3.5条至第5.3.8条有关的公式计算,加固区土层的模量取桩土复合模量。
由于采用复合地基的建筑物沉降观测资料较少,一直沿用天然地基的沉降计算经验系数。各地使用对复合土层模量较低时符合性较好,对于承载力提高幅度较大的刚性桩复合地基出现计算值小于实测值的现象。本次规范修订通过对收集到的全国31个CFG桩复合地基工程沉降观测资料分析,得出地基的沉降计算经验系数与沉降计算深度范围内压缩模量当量值的关系如图14所示,本次修订对于当量模量大于15MPa的沉降计算经验系数进行了调整。


7.2.12 复合地基变形计算时,复合土层的压缩模量可按下列公式计算:

7.2.13 增强体顶部应设褥垫层。褥垫层可采用中砂、粗砂、砾砂、碎石、卵石等散体材料。碎石、卵石宜掺入20%~30%的砂。
7.3 建筑措施
7.3.1 在满足使用和其他要求的前提下,建筑体型应力求简单。当建筑体型比较复杂时,宜根据其平面形状和高度差异情况,在适当部位用沉降缝将其划分成若干个刚度较好的单元;当高度差异或荷载差异较大时,可将两者隔开一定距离,当拉开距离后的两单元必须连接时,应采用能自由沉降的连接构造。
7.3.2 当建筑物设置沉降缝时,应符合下列规定:
1 建筑物的下列部位,宜设置沉降缝:
1) 建筑平面的转折部位;
2) 高度差异或荷载差异处;
3) 长高比过大的砌体承重结构或钢筋混凝土框架结构的适当部位;
4) 地基土的压缩性有显著差异处;
5) 建筑结构或基础类型不同处;
6) 分期建造房屋的交界处。
2 沉降缝应有足够的宽度,缝宽可按表7.3.2选用。

7.3.3 相邻建筑物基础间的净距,可按表7.3.3选用。

7.3.4 相邻高耸结构或对倾斜要求严格的构筑物的外墙间隔距离,应根据倾斜允许值计算确定。
7.3.5 建筑物各组成部分的标高,应根据可能产生的不均匀沉降采取下列相应措施:
1 室内地坪和地下设施的标高,应根据预估沉降量予以提高。建筑物各部分(或设备之间)有联系时,可将沉降较大者标高提高;
2 建筑物与设备之间,应留有净空。当建筑物有管道穿过时,应预留孔洞,或采用柔性的管道接头等。
7.4 结构措施
7.4.1 为减少建筑物沉降和不均匀沉降,可采用下列措施:
1 选用轻型结构,减轻墙体自重,采用架空地板代替室内填土;
2 设置地下室或半地下室,采用覆土少、自重轻的基础形式;
3 调整各部分的荷载分布、基础宽度或埋置深度;
4 对不均匀沉降要求严格的建筑物,可选用较小的基底压力。
7.4.2 对于建筑体型复杂、荷载差异较大的框架结构,可采用箱基、桩基、筏基等加强基础整体刚度,减少不均匀沉降。
7.4.3 对于砌体承重结构的房屋,宜采用下列措施增强整体刚度和强度:
1 对于三层和三层以上的房屋,其长高比L/Hf宜小于或等于2.5;当房屋的长高比为2.5< L/Hf≤3.0时,宜做到纵墙不转折或少转折,并应控制其内横墙间距或增强基础刚度和强度。当房屋的预估最大沉降量小于或等于120mm时,其长高比可不受限制;
2 墙体内宜设置钢筋混凝土圈梁或钢筋砖圈梁;
3 在墙体上开洞时,宜在开洞部位配筋或采用构造柱及圈梁加强。
7.4.4 圈梁应按下列要求设置:
1 在多层房屋的基础和顶层处应各设置一道,其他各层可隔层设置,必要时也可逐层设置。单层工业厂房、仓库,可结合基础梁、联系梁、过梁等酌情设置;
2 圈梁应设置在外墙、内纵墙和主要内横墙上,并宜在平面内联成封闭系统。
7.5 大面积地面荷载
7.5.1 在建筑范围内有地面荷载的单层工业厂房、露天车间和单层仓库的设计,应考虑由于地面荷载所产生的地基不均匀变形及其对上部结构的不利影响。当有条件时,宜利用堆载预压过的建筑场地。
注:地面荷载系指生产堆料、工业设备等地面堆载和天然地面上的大面积填土。
7.5.2 地面堆载应均衡,并应根据使用要求、堆载特点、结构类型和地质条件确定允许堆载量和范围。
堆载不宜压在基础上。大面积的填土,宜在基础施工前三个月完成。
7.5.3 地面堆载荷载应满足地基承载力、变形、稳定性要求,并应考虑对周边环境的影响。当堆载量超过地基承载力特征值时应进行专项设计。
7.5.4 厂房和仓库的结构设计,可适当提高柱、墙的抗弯能力,增强房屋的刚度。对于中、小型仓库,宜采用静定结构。
7.5.5 对于在使用过程中允许调整吊车轨道的单层钢筋混凝土工业厂房和露天车间的天然地基设计,除应遵守本规范第5章的有关规定外,尚应符合下式要求:


条文说明
7.5.5 在计算依据(基础由于地面荷载引起的倾斜值≤0.008)和计算方法与原规范相同的基础上,做了复算,结果见表13。



大面积地面荷载作用下地基附加沉降的计算举例:
单层工业厂房,跨度l=24m,柱基底面边长b=3.5m,基础埋深l.7m,地基土的压缩模量Es=4MPa,堆载纵向长度a=60m,厂房填土在基础完工后填筑,地面荷载大小和范围如图15所示,求由于地面荷载作用下柱基内侧边缘中点(A)的地基附加沉降值,并验算是否满足天然地基设计要求。

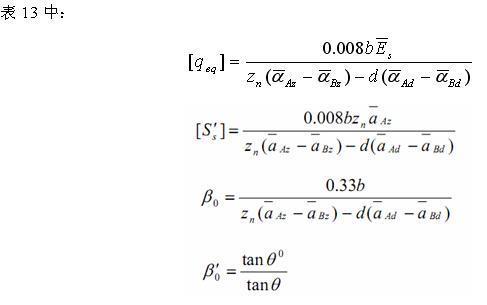
一、等效均布地面荷载qeq
计算步骤如表14所示。
二、柱基内侧边缘中点(A)的地基附加沉降值
计算时取a=30m,b=17.5m。计算步骤如表15所示。



注:地面荷载宽度b’=17.5m,由地基变形计算深度z处向上取计算层厚度为1.2m。从上表中得知地基变形计算深度zn为31m,所以由地面荷载引起柱基内侧边缘中点(A)的地基附加沉降值s’g=77.3mm。按a=60m,b=3.5m,查表13得地基附加沉降允许值[s’g]=80mm,故满足天然地基设计的要求。
7.5.6 按本规范第7.5.5条设计时,应考虑在使用过程中垫高或移动吊车轨道和吊车梁的可能性。应增大吊车顶面与屋架下弦间的净空和吊车边缘与上柱边缘间的净距,当地基土平均压缩模量Es为3MPa左右,地面平均荷载大于25kPa时,净空宜大于300mm,净距宜大于200mm。并应按吊车轨道可能移动的幅度,加宽钢筋混凝土吊车梁腹部及配置抗扭钢筋。
7.5.7 具有地面荷载的建筑地基遇到下列情况之一时,宜采用桩基:
1 不符合本规范7.5.5条要求;
2 车间内设有起重量300kN以上、工作级别大于A5的吊车;
3 基底下软土层较薄,采用桩基经济者。
基 础
8.1 无筋扩展基础
8.1.1 无筋扩展基础(图8.1.1)高度应满足下式的要求:


注: 1 pk为作用标准组合时的基础底面处的平均压力值(kPa);
2 阶梯形毛石基础的每阶伸出宽度,不宜大于200mm;
3 当基础由不同材料叠合组成时,应对接触部分作抗压验算;
4 混凝土基础单侧扩展范围内基础底面处的平均压力值超过300kPa时,尚应进行抗剪验算;对基底反力集中于立柱附近的岩石地基,应进行局部受压承载力验算。

条文说明
8.1.1 本规范提供的各种无筋扩展基础台阶宽高比的允许值沿用了本规范1974版规定的允许值,这些规定都是经过长期的工程实践检验,是行之有效的。本规范2002版在编制时,根据现行国家标准《混凝土结构设计规范》GB50010以及《砌体结构设计规范》GB50003对混凝土和砌体结构的材料强度等级要求作了调整。计算结果表明,当基础单側扩展范围内基础底面处的平均压力值超过300kPa时,应按下式验算墙(柱)边缘或变阶处的受剪承载力:

上式是根据材料力学、素混凝土抗拉强度设计值、以及基底反力为直线分布的条件下确定的,适用于除岩石以外的地基。
对基底反力集中于立柱附近的岩石地基,基础的抗剪验算条件应根据各地区具体情况确定。重庆大学曾对置于泥岩、泥质砂岩和砂岩等变形模量较大的岩石地基上的无筋扩展基础进行了试验,试验研究结果表明,岩石地基上无筋扩展基础的基底反力曲线是一倒置的马鞍形,呈现出中间大,两边小,到了边缘又略为增大的分布形式,反力的分布曲线主要与岩体的变形模量和基础的弹性模量比值、基础的高宽比有关。由于试验数据少,且因我国幅员辽阔,岩石类别较多,目前尚不能提供有关此类基础的受剪承载力验算公式,因此有关岩石地基上无筋扩展基础的台阶宽高比应结合各地区经验确定。根据已掌握的岩石地基上的无筋扩展基础试验中出现沿柱周边直剪和劈裂破坏现象,提出设计时应对柱下混凝土基础进行局部受压承载力验算,避免柱下素混凝土基础可能因横向拉应力达到混凝土的抗拉强度后引起基础周边混凝土发生竖向劈裂破坏和压陷。
8.1.2 采用无筋扩展基础的钢筋混凝土柱,其柱脚高度h1不得小于b1(图8.1.1),并不应小于300mm且不小于20d。当柱纵向钢筋在柱脚内的竖向锚固长度不满足锚固要求时,可沿水平方向弯折,弯折后的水平锚固长度不应小于10d也不应大于20d。
注:d为柱中的纵向受力钢筋的最大直径。
8.2 扩展基础
8.2.1 扩展基础的构造,应符合下列规定:
1 锥形基础的边缘高度不宜小于200mm,且两个方向的坡度不宜大于1:3;阶梯形基础的每阶高度,宜为300mm~500mm;
2 垫层的厚度不宜小于70mm,垫层混凝土强度等级不宜低于C10;
3 扩展基础受力钢筋最小配筋率不应小于0.15%,底板受力钢筋的最小直径不宜小于10mm,间距不宜大于200mm,也不宜小于100mm。墙下钢筋混凝土条形基础纵向分布钢筋的直径不宜小于8mm;间距不宜大于300mm;每延米分布钢筋的面积应不小于受力钢筋面积的15% 。当有垫层时钢筋保护层的厚度不应小于40mm;无垫层时不应小于70mm;
4 混凝土强度等级不应低于C20;
5 当柱下钢筋混凝土独立基础的边长和墙下钢筋混凝土条形基础的宽度大于或等于2.5m时,底板受力钢筋的长度可取边长或宽度的0.9倍,并宜交错布置(图8.2.1-1);
6 钢筋混凝土条形基础底板在T形及十字形交接处,底板横向受力钢筋仅沿一个主要受力方向通长布置,另一方向的横向受力钢筋可布置到主要受力方向底板宽度1/4处(图8.2.1-2)。在拐角处底板横向受力钢筋应沿两个方向布置(图8.2.1-2)。


8.2.2 钢筋混凝土柱和剪力墙纵向受力钢筋在基础内的锚固长度应符合下列规定:
1 钢筋混凝土柱和剪力墙纵向受力钢筋在基础内的锚固长度(la)应根据现行国家标准《混凝土结构设计规范》GB50010有关规定确定;
2 抗震设防烈度为6度、7度、8度和9度地区的建筑工程,纵向受力钢筋的抗震锚固长度(laE)应按下式计算:
1) 一、二级抗震等级纵向受力钢筋的抗震锚固长度(laE)应按下式计算:
laE=1.15 la (8.2.2-1)
2) 三级抗震等级纵向受力钢筋的抗震锚固长度(laE)应按下式计算:
laE=1.05 la (8.2.2-2)
3) 四级抗震等级纵向受力钢筋的抗震锚固长度(laE)应按下式计算:
laE= la (8.2.2-3)
式中:la——纵向受拉钢筋的锚固长度(m)。
3 当基础高度小于la(laE)时,纵向受力钢筋的锚固总长度除符合上述要求外,其最小直锚段的长度不应小于20d,弯折段的长度不应小于150mm。
8.2.3 现浇柱的基础,其插筋的数量、直径以及钢筋种类应与柱内纵向受力钢筋相同。插筋的锚固长度应满足本规范第8.2.2条的规定,插筋与柱的纵向受力钢筋的连接方法,应符合现行国家标准《混凝土结构设计规范》GB50010的有关规定。插筋的下端宜作成直钩放在基础底板钢筋网上。当符合下列条件之一时,可仅将四角的插筋伸至底板钢筋网上,其余插筋锚固在基础顶面下la或laE处(图8.2.3)。
1 柱为轴心受压或小偏心受压,基础高度大于等于1200mm;
2 柱为大偏心受压,基础高度大于等于1400mm。

8.2.4 预制钢筋混凝土柱与杯口基础的连接(图8.2.4),应符合下列规定:

1 柱的插入深度,可按表8.2.4-1选用,并应满足本规范第8.2.2条钢筋锚固长度的要求及吊装时柱的稳定性;

2 基础的杯底厚度和杯壁厚度,可按表8.2.4-2选用;

注: 1 双肢柱的杯底厚度值,可适当加大;
2 当有基础梁时,基础梁下的杯壁厚度,应满足其支承宽度的要求;
3 柱子插入杯口部分的表面应凿毛,柱子与杯口之间的空隙,应用比基础混凝土强度等级高一级的细石混凝土充填密实,当达到材料设计强度的70%以上时,方能进行上部吊装。
3 当柱为轴心受压或小偏心受压且t/h2≥0.65时,或大偏心受压且t/h2≥0.75时,杯壁可不配筋;当柱为轴心受压或小偏心受压且0.5≤t/h2<0.65时,杯壁可按表8.2.4-3构造配筋;其他情况下,应按计算配筋。

8.2.5 预制钢筋混凝土柱(包括双肢柱)与高杯口基础的连接(图8.2.5-1),除应符合本规范第8.2.4条插入深度的规定外,尚应符合下列规定:

1 起重机起重量小于或等于750kN,轨顶标高小于或等于14m,基本风压小于0.5kPa的工业厂房,且基础短柱的高度不大于5m;
2 起重机起重量大于750kN,基本风压大于0.5kPa,且应符合下式的规定:

3 当基础短柱的高度大于5m,并应符合下式的规定:

式中:Δ1——单位水平力作用在以高杯口基础顶面为固定端的柱顶时,柱顶的水平位移(m);
Δ2——单位水平力作用在以短柱底面为固定端的柱顶时,柱顶的水平位移(m)。
4 杯壁厚度应符合表8.2.5的规定。高杯口基础短柱的纵向钢筋,除满足计算要求外,在非地震区及抗震设防烈度低于9度地区,且满足本条第1、2、3款的要求时,短柱四角纵向钢筋的直径不宜小于20mm,并延伸至基础底板的钢筋网上;短柱长边的纵向钢筋,当长边尺寸小于或等于1000mm时,其钢筋直径不应小于12mm,间距不应大于300mm;当长边尺寸大于1000mm时,其钢筋直径不应小于16mm,间距不应大于300mm,且每隔一米左右伸下一根并作150mm的直钩支承在基础底部的钢筋网上,其余钢筋锚固至基础底板顶面下La处(图8.2.5-2)。短柱短边每隔300mm应配置直径不小于12mm的纵向钢筋且每边的配筋率不少于0.05%短柱的截面面积。短柱中杯口壁内横向箍筋不应小于A8@150;短柱中其他部位的箍筋直径不应小于8mm,间距不应大于300mm;当抗震设防烈度为8度和9度时,箍筋直径不应小于8mm,间距不应大于150mm。


条文说明
8.2.5 自本规范GBJ 7—89版颁布后,国内高杯口基础杯壁厚度以及杯壁和短柱部分的配筋要求基本上照此执行,情况良好。本次修订,保留了本规范2002版增加的抗震设防烈度为8°和9°时,短柱部分的横向箍筋的配置量不宜小于φ8@150的要求。
制定高杯口基础的构造依据是:
1 杯壁厚度t
多数设计在计算有短柱基础的厂房排架时,一般都不考虑短柱的影响,将排架柱视作固定在基础杯口顶面的二阶柱(图16b)。这种简化计算所得的弯矩m较考虑有短柱存在按三阶柱(图16c)计算所得的弯矩小。

原机械工业部设计院对起重机起重量小于或等于750kN,轨顶标高在14m以下的一般工业厂房作了大量分析工作,分析结果表明:短柱刚度愈小即 
的比值愈大(图16a),则弯矩误差
,即
愈大。图17为二阶柱和三阶柱的弯矩误差关系,从图中可以看到,当
=1.11时,
=8%,构件尚属安全使用范围之内。在相同的短柱高度和相同的柱截面条件下,短柱的刚度与杯壁的厚度t有关,GBJ7—89规范就是据此规定杯壁的厚度。通过十多年实践,按构造配筋的限制条件可适当放宽,本规范2002版参照《机械工厂结构设计规范》GBJ 8-97增加了8.2.5之2、3限制条件。
对符合本规范条文要求,且满足表8.2.5杯壁厚度最小要求的设计可不考虑高杯口基础短柱部分对排架的影响,否则应按三阶柱进行分析。
2 杯壁配筋
杯壁配筋的构造要求是基于横向(顶层钢筋网和横向箍筋)和纵向钢筋共同工作的计算方法,并通过试验验证。大量试算工作表明,除较小柱截面的杯口外,均能保证必需的安全度。顶层钢筋网由于抗弯力臂大,设计时应充分利用其抗弯承载力以减少杯壁其他的钢筋用量。横向箍筋φ8@150的抗弯承载力随柱的插入杯口深度h1而异,但当柱截面高度h大于1000mm,h1=0.8h时,抗弯能力有限,因此设计时横向箍筋不宜大于φ8@150。纵向钢筋构造要求为A12~A16,且其设置量又与h成正比,h愈大则其抗弯承载力愈大,当h≥1000mm时,其抗弯承载力已达到甚至超过顶层钢筋网的抗弯承载力。

8.2.6 扩展基础的基础底面积,应按本规范第五章有关规定确定。在条形基础相交处,不应重复计入基础面积。
8.2.7 扩展基础的计算应符合下列规定:
1 对柱下独立基础,当冲切破坏锥体落在基础底面以内时,应验算柱与基础交接处以及基础变阶处的受冲切承载力;
2 对基础底面短边尺寸小于或等于柱宽加两倍基础有效高度的柱下独立基础,以及墙下条形基础,应验算柱(墙)与基础交接处的基础受剪切承载力;
3 基础底板的配筋,应按抗弯计算确定;
4 当基础的混凝土强度等级小于柱的混凝土强度等级时,尚应验算柱下基础顶面的局部受压承载力。
条文说明
8.2.7 本条为强制性条文。规定了扩展基础的设计内容:受冲切承载力计算、受剪切承载力计算、抗弯计算、受压承载力计算。为确保扩展基础设计的安全,在进行扩展基础设计时必须严格执行。
8.2.8 柱下独立基础的受冲切承载力应按下列公式验算:

式中:βhp——受冲切承载力截面高度影响系数,当h不大于800mm时,βhp取1.0;当h大于等于2000mm时,βhp取0.9,其间按线性内插法取用;
ft——混凝土轴心抗拉强度设计值(kPa);
h0——基础冲切破坏锥体的有效高度(m);
——冲切破坏锥体最不利一侧计算长度(m);
——冲切破坏锥体最不利一侧斜截面的上边长(m),当计算柱与基础交接处的受冲切承载力时,取柱宽;当计算基础变阶处的受冲切承载力时,取上阶宽;
——冲切破坏锥体最不利一侧斜截面在基础底面积范围内的下边长(m),当冲切破坏锥体的底面落在基础底面以内(图8.2.8a、b),计算柱与基础交接处的受冲切承载力时,取柱宽加两倍基础有效高度;当计算基础变阶处的受冲切承载力时,取上阶宽加两倍该处的基础有效高度;
pj——扣除基础自重及其上土重后相应于作用的基本组合时的地基土单位面积净反力(kPa),对偏心受压基础可取基础边缘处最大地基土单位面积净反力;
Al——冲切验算时取用的部分基底面积(m2)(图8.2.8a、b中的阴影面积ABCDEF);
Fl——相应于作用的基本组合时作用在Al上的地基土净反力设计值(kPa)。

8.2.9 当基础底面短边尺寸小于或等于柱宽加两倍基础有效高度时,应按下列公式验算柱与基础交接处截面受剪承载力:

式中:Vs ——柱与基础交接处的剪力设计值(kN),图8.2.9中的阴影面积乘以基底平均净反力;
βhs——受剪切承载力截面高度影响系数,当h0<800mm时,取h0=800mm;当h0>2000mm时,取h0=2000mm;
A0——验算截面处基础的有效截面面积(m2)。当验算截面为阶形或锥形时,可将其截面折算成矩形截面,截面的折算宽度和截面的有效高度按本规范附录U计算。

条文说明
8.2.8 -8.2.9 为保证柱下独立基础双向受力状态,基础底面两个方向的边长一般都保持在相同或相近的范围内,试验结果和大量工程实践表明,当冲切破坏锥体落在基础底面以内时,此类基础的截面高度由受冲切承载力控制。本规范编制时所作的计算分析和比较也表明,符合本规范要求的双向受力独立基础,其剪切所需的截面有效面积一般都能满足要求,无需进行受剪承载力验算。考虑到实际工作中柱下独立基础底面两个方向的边长比值有可能大于2,此时基础的受力状态接近于单向受力,柱与基础交接处不存在受冲切的问题,仅需对基础进行斜截面受剪承载力验算。因此,本次规范修订时,补充了基础底面短边尺寸小于柱宽加两倍基础有效高度时,验算柱与基础交接处基础受剪承载力的条款。验算截面取柱边缘,当受剪验算截面为阶梯形及锥形时,可将其截面折算成矩形,折算截面的宽度及截面有效高度,可按照本规范附录U确定。需要说明的是:计算斜截面受剪承载力时,验算截面的位置,各国规范的规定不尽相同。对于非预应力构件,美国规范ACI318,根据构件端部斜截面脱离体的受力条件规定了:当满足(1)支座反力(沿剪力作用方向)在构件端部产生压力时;(2)距支座边缘h0范围内无集中荷载时;取距支座边缘h0处作为验算受剪承载力的截面,並取距支座边缘h0处的剪力作为验算的剪力设计值。当不符合上述条件时,取支座边缘处作为验算受剪承载力的截面,剪力设计值取支座边缘处的剪力。我国混凝土结构设计规范对均布荷载作用下的板类受弯构件,其斜截面受剪承载力的验算位置一律取支座边缘处,剪力设计值一律取支座边缘处的剪力。在验算单向受剪承载力时,ACI-318 规范的混凝土抗剪强度取
,抗剪强度为冲切承载力(双向受剪)时混凝土抗剪强度 
的一半,而我国的混凝土单向抗剪强度与双向受剪强度之间,一般条件下只是在截面高度影响系数中略有差别。对于单向受力的基础底板,按照我国混凝土设计规范的受剪承载力公式验算,按照我国混凝土设计规范的受剪承载力公式验算,计算截面从板边退出h0算得的板厚小于美国 ACI318 规范,而验算断面取梁边或墙边时算得的板厚则大于美国规范。
本条文中所说的“短边尺寸”是指垂直于力矩作用方向的基础底边尺寸。
8.2.10 墙下条形基础底板应按本规范公式(8.2.9-1)验算墙与基础底板交接处截面受剪承载力,其中A0为验算截面处基础底板的单位长度垂直截面有效面积,Vs为墙与基础交接处由基底平均净反力产生的单位长度剪力设计值。
条文说明
8.2.10 墙下条形基础底板为单向受力,应验算墙与基础交接处单位长度的基础受剪切承载力。
8.2.11 在轴心荷载或单向偏心荷载作用下,当台阶的宽高比小于或等于2.5和偏心距小于或等于1/6基础宽度时,柱下矩形独立基础任意截面的底板弯矩可按下列简化方法进行计算(图8.2.11-1):

条文说明
8.2.11 本条款中的公式(8.2.11-1)和(8.2.11-2)是以基础台阶宽高比小于或等于2.5,以及基础底面与地基土之间不出现零应力区(e≤b/6)为条件推导出来的弯矩简化计算公式,适用于除岩石以外的地基。其中,基础台阶宽高比小于或等于2.5是基于试验结果,旨在保证基底反力呈直线分布。中国建筑科学研究院地基所黄熙龄、郭天强对不同宽高比的板进行了试验,试验板的面积为1.0m×1.0m。试验结果表明:在轴向荷载作用下,当h/l≤0.125时,基底反力呈现中部大、端部小(图18a、18b),地基承载力没有充分发挥基础板就出现井字形受弯破坏裂缝;当h/l≤0.16时,地基反力呈直线分布,加载超过地基承载力特征值后,基础板发生冲切破坏(图18c);当h/l=0.20时,基础边缘反力逐渐增大,中部反力逐渐减小,在加荷接近冲切承载力时,底部反力向中部集中,最终基础板出现冲切破坏(图18d)。基于试验结果,对基础台阶宽高比小于或等于2.5的独立柱基可采用基底反力直线分布进行内力分析。
此外,考虑到独立基础的高度一般是由冲切或剪切承载力控制,基础板相对较厚,如果用其计算最小配筋量可能导致底板用钢量不必要的增加,因此本规范提出对阶形以及锥形独立基础,可将其截面折算成矩形,其折算截面的宽度b0及截面有效高度h0按本规范附录U确定,并按最小配筋率0.15%计算基础底板的最小配筋量。


8.2.12 基础底板配筋除满足计算和最小配筋率要求外,尚应符合本规范第8.2.1条第3款的构造要求。计算最小配筋率时,对阶形或锥形基础截面,可将其截面折算成矩形截面,截面的折算宽度和截面的有效高度,按附录U计算。基础底板钢筋可按式﹙8.2.12﹚计算:

8.2.13 当柱下独立柱基底面长短边之比 在大于或等于2、小于或等于3的范围时,基础底板短向钢筋应按下述方法布置:将短向全部钢筋面积乘以λ后求得的钢筋,均匀分布在与柱中心线重合的宽度等于基础短边的中间带宽范围内(图8.2.13),其余的短向钢筋则均匀分布在中间带宽的两側。长向配筋应均匀分布在基础全宽范围内。λ按下式计算:


8.2.14 墙下条形基础(图8.2.14)的受弯计算和配筋应符合下列规定:
1 任意截面每延米宽度的弯矩,可按下式进行计算;

2 其最大弯矩截面的位置,应符合下列规定:
1) 当墙体材料为混凝土时, 取 1=b1;
2) 如为砖墙且放脚不大于1/4砖长时,取 1=b1+1/4砖长;
3 墙下条形基础底板每延米宽度的配筋除满足计算和最小配筋率要求外,尚应符合本规范第8.2.1条第3款的构造要求。

8.3 柱下条形基础
8.3.1 柱下条形基础的构造,除应符合本规范第8.2.1条要求外,尚应符合下列规定:
1 柱下条形基础梁的高度宜为柱距的1/4~1/8。翼板厚度不应小于200mm。当翼板厚度大于250mm时,宜采用变厚度翼板,其顶面坡度宜小于或等于1:3;
2 条形基础的端部宜向外伸出,其长度宜为第一跨距的0.25倍;
3 现浇柱与条形基础梁的交接处,基础梁的平面尺寸应大于柱的平面尺寸,且柱的边缘至基础梁边缘的距离不得小于50mm(图8.3.1);

4 条形基础梁顶部和底部的纵向受力钢筋除应满足计算要求外,顶部钢筋应按计算配筋全部贯通,底部通长钢筋不应少于底部受力钢筋截面总面积的1/3。
5 柱下条形基础的混凝土强度等级,不应低于C20。
8.3.2 柱下条形基础的计算,除应符合本规范第8.2.6条的要求外,尚应符合下列规定:
1 在比较均匀的地基上,上部结构刚度较好,荷载分布较均匀,且条形基础梁的高度不小于1/6柱距时,地基反力可按直线分布,条形基础梁的内力可按连续梁计算,此时边跨跨中弯矩及第一内支座的弯矩值宜乘以1.2的系数;
2 当不满足本条第一款的要求时,宜按弹性地基梁计算;
3 对交叉条形基础,交点上的柱荷载,可按静力平衡条件及变形协调条件,进行分配。其内力可按本条上述规定,分别进行计算;
4 应验算柱边缘处基础梁的受剪承载力;
5 当存在扭矩时,尚应作抗扭计算;
6 当条形基础的混凝土强度等级小于柱的混凝土强度等级时,应验算柱下条形基础梁顶面的局部受压承载力。
条文说明
8.3.1、8.3.2 基础梁的截面高度应根据地基反力、柱荷载的大小等因素确定。大量工程实践表明,柱下条形基础梁的截面高度一般为柱距的1/4~1/8。原上海工业建筑设计院对五十项工程的统计,条形基础梁的高跨比在1/4~1/6之间的占工程数的88%。在选择基础梁截面时,柱边缘处基础梁的受剪截面尚应满足现行《混凝土结构设计规范》的要求。
关于柱下条形基础梁的内力计算方法,本规范给出了按连续梁计算内力的适用条件。在比较均匀的地基上,上部结构刚度较好,荷载分布较均匀,且条形基础梁的截面高度大于或等于1/6柱距时,地基反力可按直线分布考虑。其中基础梁高大于或等于1/6柱距的条件是通过与柱距l和文克勒地基模型中的弹性特征系数λ的乘积λl≤1.75作了比较,结果表明,当高跨比大于或等于1/6时,对一般柱距及中等压缩性的地基都可考虑地基反力为直线分布。当不满足上述条件时,宜按弹性地基梁法计算内力,分析时采用的地基模型应结合地区经验进行选择。
8.4 高层建筑筏形基础
8.4.1 筏形基础分为梁板式和平板式两种类型,其选型应根据地基土质、上部结构体系、柱距、荷载大小、使用要求以及施工条件等因素确定。框架-核心筒结构和筒中筒结构宜采用平板式筏形基础。
条文说明
8.4.1 筏形基础分为平板式和梁板式两种类型,其选型应根据工程具体条件确定。与梁板式筏基相比,平板式筏基具有抗冲切及抗剪切能力强的特点,且构造简单,施工便捷,经大量工程实践和部分工程事故分析,平板式筏基具有更好的适应性。
8.4.2筏形基础的平面尺寸,应根据工程地质条件、上部结构的布置、地下结构底层平面以及荷载分布等因素按本规范第五章有关规定确定。对单幢建筑物,在地基土比较均匀的条件下,基底平面形心宜与结构竖向永久荷载重心重合。当不能重合时,在作用的准永久组合下,偏心距e宜符合下式规定:

条文说明
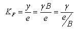
8.4.2 对单幢建筑物,在均匀地基的条件下,基础底面的压力和基础的整体倾斜主要取决于作用的准永久组合下产生的偏心距大小。对基底平面为矩形的筏基,在偏心荷载作用下,基础抗倾覆稳定系数KF可用下式表示:

式中:B——与组合荷载竖向合力偏心方向平行的基础边长;
e——作用在基底平面的组合荷载全部竖向合力对基底面积形心的偏心距;
y——基底平面形心至最大受压边缘的距离,γ为y与B的比值。
从式中可以看出e/B直接影响着抗倾覆稳定系数KF,KF随着e/B的增大而降低,因此容易引起较大的倾斜。表16三个典型工程的实测证实了在地基条件相同时,e/B越大,则倾斜越大。

高层建筑由于楼身质心高,荷载重,当筏形基础开始产生倾斜后,建筑物总重对基础底面形心将产生新的倾复力矩增量,而倾复力矩的增量又产生新的倾斜增量,倾斜可能随时间而增长,直至地基变形稳定为止。因此,为避免基础产生倾斜,应尽量使结构竖向荷载合力作用点与基础平面形心重合,当偏心难以避免时,则应规定竖向合力偏心距的限值。本规范根据实测资料并参考交通部(公路桥涵设计规范)对桥墩合力偏心距的限制,规定了在作用的准永久组合时,e≤0.1W/A。从实测结果来看,这个限制对硬土地区稍严格,当有可靠依据时可适当放松。
8.4.3 对四周与土层紧密接触带地下室外墙的整体式筏基和箱基,当地基持力层为非密实的土和岩石,场地类别为Ⅲ类和Ⅳ类,抗震设防烈度为8度和9度,结构基本自振周期处于特征周期的1.2倍至5倍范围时,按刚性地基假定计算的基底水平地震剪力、倾覆力矩可按设防烈度分别乘以0.90和0.85的折减系数。
条文说明
8.4.3 国内建筑物脉动实测试验结果表明,当地基为非密实土和岩石持力层时,由于地基的柔性改变了上部结构的动力特性,延长了上部结构的基本周期以及增大了结构体系的阻尼,同时土与结构的相互作用也改变了地基运动的特性。结构按刚性地基假定分析的水平地震作用比其实际承受的地震作用大,因此可以根据场地条件、基础埋深、基础和上部结构的刚度等因素确定是否对水平地震作用进行适当折减。
实测地震记录及理论分析表明,土中的水平地震加速度一般随深度而渐减,较大的基础埋深,可以减少来自基底的地震输入,例如日本取地表下20m深处的地震系数为地表的0.5倍;法国规定筏基或带地下室的建筑的地震荷载比一般的建筑少20%。同时,较大的基础埋深,可以增加基础侧面的摩擦阻力和土的被动土压力,增强土对基础的嵌固作用。美国NEMA386及IBC规范采用加长结构物自振周期作为考虑地基土的柔性影响,同时采用增加结构有效阻尼来考虑地震过程中结构的能量耗散,并规定了结构的基底剪力最大可降低30%。
本次修订,对不同土层剪切波速、不同场地类别以及不同基础埋深的钢筋混凝土剪力墙结构,框架剪力墙结构和框架核心筒结构进行分析,结合我国现阶段的地震作用条件并与美国UBC和NEMA386规范进行了比较,提出了对四周与土层紧密接触带地下室外墙的整体式筏基和箱基,结构基本自振周期处于特征周期的1.2倍至5倍范围时,场地类别为Ⅲ类和Ⅳ类,抗震设防烈度为8度和9度,按刚性地基假定分析的基底水平地震剪力和倾覆力矩可乘以0.90和0.85折减系数,该折减系数是一个综合性的包络值,它不能与现行国家标准《建筑抗震设计规范》GB50011第5.2节中提出的折减系数同时使用。
8.4.4 筏形基础的混凝土强度等级不应低于C30,当有地下室时应采用防水混凝土。防水混凝土的抗渗等级应按表8.4.4选用。对重要建筑,宜采用自防水并设置架空排水层。

8.4.5 采用筏形基础的地下室,钢筋混凝土外墙厚度不应小于250mm,内墙厚度不宜小于200mm。墙的截面设计除满足承载力要求外,尚应考虑变形、抗裂及外墙防渗等要求。墙体内应设置双面钢筋,钢筋不宜采用光面圆钢筋,水平钢筋的直径不应小于12mm,竖向钢筋的直径不应小于10mm,间距不应大于200mm。
8.4.6 平板式筏基的板厚应满足柱下受冲切承载力的要求。
条文说明
8.4.6 本条为强制性条文。平板式筏基的板厚通常由冲切控制,因此平板式筏基设计时板厚必须满足受冲切承载力的要求。
8.4.7 平板式筏基抗冲切验算应符合下列规定:
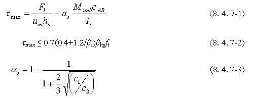
1 平板式筏基进行抗冲切验算时应考虑作用在冲切临界面重心上的不平衡弯矩产生的附加剪力。对基础的边柱和角柱进行冲切验算时,其冲切力应分别乘以1.1和1.2的增大系数。距柱边h0/2处冲切临界截面的最大剪应力τmax应按公式(8.4.7-1)、(8.4.7-2)进行计算(图8.4.7)。板的最小厚度不应小于500mm。



2 当柱荷载较大,等厚度筏板的受冲切承载力不能满足要求时,可在筏板上面增设柱墩或在筏板下局部增加板厚或采用抗冲切钢筋等措施满足受冲切承载能力要求。
条文说明
8.4.7 N.W.Hanson和J.M.Hanson在他们的“混凝土板柱之间剪力和弯矩的传递”试验报告中指出:板与柱之间的不平衡弯矩传递,一部分不平衡弯矩是通过临界截面周边的弯曲应力T和C来传递,而一部分不平衡弯矩则通过临界截面上的偏心剪力对临界截面重心产生的弯矩来传递的,如图19所示。因此,在验算距柱边h0/2处的冲切临界截面剪应力时,除需考虑竖向荷载产生的剪应力外,尚应考虑作用在冲切临界截面重心上的不平衡弯矩所产生的附加剪应力。本规范公式(8.4.7—1)右侧第一项是根据现行国家标准《混凝土结构设计规范》GB 50010在集中力作用下的冲切承载力计算公式换算而得,右侧第二项是引自美国ACI 318规范中有关的计算规定。

关于公式(8.4.7—1)中冲切力取值的问题,国内外大量试验结果表明,内柱的冲切破坏呈完整的锥体状,我国工程实践中一直沿用柱所承受的轴向力设计值减去冲切破坏锥体范围内相应的地基净反力作为冲切力;对边柱和角柱,中国建筑科学研究院地基所试验结果表明,其冲切破坏锥体近似为1/2和1/4圆台体,本规范参考了国外经验,取柱轴力设计值减去冲切临界截面范围内相应的地基净反力作为冲切力设计值。
本规范中的角柱和边柱是相对于基础平面而言的。大量计算结果表明, 受基础盆形挠曲的影响,基础的角柱和边柱产生了附加的压力。中国建筑科学研究院地基所滕延京和石金龙在《柱下筏板基础角柱边柱冲切性状的研究报告》中,将角柱、边柱和中柱的试验冲切破坏荷载与规范公式计算的冲切破坏荷载进行了对比,计算结果表明,角柱和边柱下筏板的冲切承载力的可靠指标偏低,约为1.45和1.6。为使角柱和边柱与中柱抗冲切具有基本一致的安全度,本次规范修订时将角柱和边柱的冲切力乘以了放大系数1.2和1.1。

公式(8.4.7—1)中的 Munb是指作用在柱边h0/2处冲切临界截面重心上的弯矩,对边柱它包括由柱根处轴力设计值N和该处筏板冲切临界截面范围内相应的地基反力P对临界截面重心产生的弯矩。由于本条款中筏板和上部结构是分别计算的,因此计算M值时尚应包括柱子根部的弯矩Mc,如图20所示,M的表达式为:
Munb= NeN— Pep± Mc
对于内柱,由于对称关系,柱截面形心与冲切临界截面重心重合, eN=ep=0,因此冲切临界截面重心上的弯矩,取柱根弯矩。

国外试验结果表明,当柱截面的长边与短边的比值 大于2时,沿冲切临界截面的长边的受剪承载力约为柱短边受剪承载力的一半或更低。本规范的公式(8.4.7-2)是在我国受冲切承载力公式的基础上,参考了美国ACI 318规范中受冲切承载力公式中有关规定,引进了柱截面长、短边比值的影响,适用于包括扁柱和单片剪力墙在内的平板式筏基。图21给出了本规范与美国ACI 318规范在不同 条件下筏板有效高度的比较,由于我国受冲切承载力取值偏低,按本规范算得的筏板有效高度稍大于美国ACI 318规范相关公式的结果。
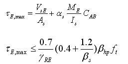
对有抗震设防要求的平板式筏基,尚应验算作用地震地震组合的临界截面的最大剪应力τE,max,此时公式(8.4.7-1)和(8.4.7-2)应改写为:

式中:VsE——作用的地震组合的集中反力设计值(kN);
ME——作用的地震组合的冲切临界截面重心上的弯矩(kN·m);
As——距柱边he/2处的冲切临界截面的筏板有效面积(m2);
γRE——抗震调整系数,取0.85。
8.4.8 平板式筏基内筒下的板厚应满足受冲切承载力的要求,并应符合下列规定:

1 受冲切承载力应按下式进行计算:

式中:Fl——相应于作用的基本组合时,内筒所承受的轴力设计值减去内筒下筏板冲切破坏锥体内的基底净反力设计值(kN)。
um——距内筒外表面h0/2处冲切临界截面的周长(m)(图8.4.8);
h0——距内筒外表面h0/2处筏板的截面有效高度(m);
η——内筒冲切临界截面周长影响系数,取1.25。
2 当需要考虑内筒根部弯矩的影响时,距内筒外表面h0/2处冲切临界截面的最大剪应力可按公式(8.4.7-1)计算,此时τmax≤0.7βhpft/η。
条文说明
8.4.8 Venderbilt在他的“连续板的抗剪强度”试验报告中指出:混凝土抗冲切承载力随比值um/h0的增加而降低。由于使用功能上的要求,核心筒占有相当大的面积,因而距核心筒外表面h0/2处的冲切临界截面周长是很大的,在h0保持不变的条件下,核心筒下筏板的受冲切承载力实际上是降低了,因此设计时应验算核心筒下筏板的受冲切承载力,局部提高核心筒下筏板的厚度。此外,我国工程实践和美国休斯顿壳体大厦基础钢筋应力实测结果表明,框架-核心筒结构和框筒结构下筏板底部最大应力出现在核心筒边缘处,因此局部提高核心筒下筏板的厚度,也有利于核心筒边缘处筏板应力较大部位的配筋。本规范给出的核心筒下筏板冲切截面周长影响系数η,是通过实际工程中不同尺寸的核心筒,经分析并和美国ACI 318规范对比后确定的(详见表17)。

8.4.9 平板式筏基除满足受冲切承载力外,尚应验算距内筒和柱边缘h0处截面的受剪承载力。当筏板变厚度时,尚应验算变厚度处筏板的受剪承载力。
条文说明
8.4.9 本条为强制性条文。平板式筏基内筒、柱边缘处以及筏板变厚度处剪力较大,应进行抗剪承载力验算。
8.4.10 平板式筏基受剪承载力应按式(8.4.10)验算,当筏板的厚度大于2000mm时,宜在板厚中间部位设置直径不小于12mm、间距不大于300mm的双向钢筋网。
Vs ≤ 0.7βhsftbwh0 (8.4.10)
式中:Vs——相应于作用的基本组合时,基底净反力平均值产生的距内筒或柱边缘h0处筏板单位宽度的剪力设计值(kN);
bw——筏板计算截面单位宽度(m);
h0——距内筒或柱边缘h0处筏板的截面有效高度(m)。
条文说明
8.4.10 通过对已建工程的分析,并鉴于梁板式筏基基础梁下实测土反力存在的集中效应、底板与土壤之间的摩擦力作用以及实际工程中底板的跨厚比一般都在14~6之间变动等有利因素,本规范明确了取距内柱和内筒边缘h0处作为验算筏板受剪的部位,如图22所示;角柱下验算筏板受剪的部位取距柱角h0处,如图23所示。公式(8.4.10-1)中的Vs即作用在图22或图23中阴影面积上的地基平均净反力设计值除以验算截面处的板格中至中的长度(内柱)、或距角柱角点h0处45°斜线的长度(角柱)。国内筏板试验报告表明:筏板的裂缝首先出现在板的角部,设计中当采用简化计算方法时,需适当考虑角点附近土反力的集中效应,乘以1.2的增大系数。图24给出了筏板模型试验中裂缝发展的过程。设计中当角柱下筏板受剪承载力不满足规范要求时,也可采用适当加大底层角柱横截面或局部增加筏板角隅板厚等有效措施,以期降低受剪截面处的剪力。



对于上部为框架-核心筒结构的平板式筏形基础,设计人应根据工程的具体情况采用符合实际的计算模型或根据实测确定的地基反力来验算距核心筒h0处的筏板受剪承载力。当边柱与核心筒之间的距离较大时,公式(8.4.10-1)中的Vs即作用在图25中阴影面积上的地基平均净反力设计值与边柱轴力设计值之差除以b,b取核心筒两侧紧邻跨的跨中分线之间的距离。当主楼核心筒外侧有两排以上框架柱或边柱与核心筒之间的距离较小时,设计人应根据工程具体情况慎重确定筏板受剪承载力验算单元的计算宽度。
关于厚筏基础板厚中部设置双向钢筋网的规定,同国家标准《混凝土结构设计规范》GB50010-2002的要求。日本Shioya等通过对无腹筋构件的截面高度变化试验,结果表明,梁的有效高度从200mm变化到3000mm时,其名义抗剪强度﹙
﹚降低64%。加拿大M.P.Collins等研究了配有中间纵向钢筋的无腹筋梁的抗剪承载力,试验研究表明,构件中部的纵向钢筋对限制斜裂缝的发展,改善其抗剪性能是有效的。
8.4.11 梁板式筏基底板除计算正截面受弯承载力外,其厚度尚应满足受冲切承载力、受剪切承载力的要求。
条文说明
8.4.11 本条为强制性条文。本条规定了梁板式筏基底板的设计内容:抗弯计算、受冲切承载力计算、受剪切承载力计算。为确保梁板式筏基底板设计的安全,在进行梁板式筏基底板设计时必须严格执行。
8.4.12 梁板式筏基底板受冲切、受剪切承载力计算应符合下列规定:
1 梁板式筏基底板受冲切承载力应按下式进行计算:
F1≤0.7βhpftumh0 (8.4.12-1)
式中:Fl——作用的基本组合时,图8.4.12-1中阴影部分面积上的基底平均净反力设计值(kN);
um——距基础梁边h0/2处冲切临界截面的周长(m)(图8.4.12-1)。
2 当底板区格为矩形双向板时,底板受冲切所需的厚度h0应按式(8.4.12-2)进行计算,其底板厚度与最大双向板格的短边净跨之比不应小于1/14,且板厚不应小于400mm。

式中:ln1 、ln2——计算板格的短边和长边的净长度(m);
pn——扣除底板及其上填土自重后,相应于作用的基本组合时的基底平均净反力设计值(kPa)。
3 梁板式筏基双向底板斜截面受剪承载力应按下式进行计算。
Vs≤0.7βhsft(ln2-2h0)h0 (8.4.12-3)
式中:Vs——距梁边缘h0处,作用在图8.4.12-2中阴影部分面积上的基底平均净反力产生的剪力设计值(kN)。
4 当底板板格为单向板时,其斜截面受剪承载力应按本规范式第8.2.10条款验算,其底板厚度不应小于400mm。

条文说明
8.4.12 板的抗冲切机理要比梁的抗剪复杂,目前各国规范的受冲切承载力计算公式都是基于试验的经验公式。本规范梁板式筏基底板受冲切承载力和受剪承载力验算方法源于《高层箱形基础设计与施工规程》JGJ6-80。验算底板受剪承载力时,规程JGJ6-80规定了以距墙边h0(底板的有效高度)处作为验算底板受剪承载力的部位。本规范GB50007-2002版在编制时,对北京市十余幢已建的箱形基础进行调查及复算,调查结果表明按此规定计算的底板並没有发现异常现象,情况良好。表18和表19给出了部分已建工程有关箱形基础双向底板的信息,以及箱形基础双向底板按不同规范计算剪切所需的h0。分析比较结果表明,取距支座边缘h0处作为验算双向底板受剪承载力的部位,並将梯形受荷面积上的平均净反力摊在(ln2﹣2h0)上的计算结果与工程实际的板厚以及按ACI318计算结果是十分接近的。


8.4.13 地下室底层柱、剪力墙与梁板式筏基的基础梁连接的构造应符合下列规定:
1 柱、墙的边缘至基础梁边缘的距离不应小于50mm(图8.4.13):
2 当交叉基础梁的宽度小于柱截面的边长时,交叉基础梁连接处应设置八字角,柱角与八字角之间的净距不宜小于50mm(图8.4.13a);
3 单向基础梁与柱的连接,可按图8.4.13b,c采用;
4 基础梁与剪力墙的连接,可按图8.4.13d采用。

8.4.14 当地基土比较均匀、地基压缩层范围内无软弱土层或可液化土层、上部结构刚度较好,柱网和荷载较均匀、相邻柱荷载及柱间距的变化不超过20%,且梁板式筏基梁的高跨比或平板式筏基板的厚跨比不小于1/6时,筏形基础可仅考虑局部弯曲作用。 筏形基础的内力,可按基底反力直线分布进行计算,计算时基底反力应扣除底板自重及其上填土的自重。当不满足上述要求时,筏基内力可按弹性地基梁板方法进行分析计算。
条文说明
8.4.14 中国建筑科学研究院地基所黄熙龄和郭天强在他们的框架柱-筏基础模型试验报告中指出,在均匀地基上,上部结构刚度较好,柱网和荷载分布较均匀,且基础梁的截面高度大于或等于1/6的梁板式筏基基础,可不考虑筏板的整体弯曲,只按局部弯曲计算,地基反力可按直线分布。试验是在粉质粘土和碎石土两种不同类型的土层上进行的,筏基平面尺寸为 3220mm×2200mm厚度为 150mm(图20),其上为三榀单层框架(图21)。试验结果表明,土质无论是粉质粘土还是碎石土,沉降都相当均匀(图22),筏板的整体挠曲度约为万分之三。基础内力的分布规律,按整体分析法(考虑上部结构作用)与倒梁法是一致的,且倒梁板法计算出来的弯矩值还略大于整体分析法(图23)。


对单幢平板式筏基,当地基土比较均匀,地基压缩层范围内无软弱土层或可液化土层、上部结构刚度较好,柱网和荷载较均匀、相邻柱荷载及柱间距的变化不超过20%,上部结构刚度较好,筏板厚度满足受冲切承载力要求,且筏板的厚跨比不小于 1/6时,平板式筏基可仅考虑局部弯曲作用。筏形基础的内力,可按直线分布进行计算。当不满足上述条件时,宜按弹性地基理论计算内力,分析时采用的地基模型应结合地区经验进行选择。
对于地基土、结构布置和荷载分布不符合本条款要求的结构,如框架-核心筒结构和筒中筒结构等,核心筒和周边框架柱之间竖向荷载差异较大,一般情况下核心筒下的基底反力大于周边框架柱下基底反力,因此不适用于本条款提出的简化计算方法,应采用能正确反映结构实际受力情况的计算方法。
8.4.15 按基底反力直线分布计算的梁板式筏基,其基础梁的内力可按连续梁分析,边跨跨中弯矩以及第一内支座的弯矩值宜乘以1.2的系数。梁板式筏基的底板和基础梁的配筋除满足计算要求外,纵横方向的底部钢筋尚应有不少于1/3贯通全跨,顶部钢筋按计算配筋全部连通,底板上下贯通钢筋的配筋率不应小于0.15%。
8.4.16按基底反力直线分布计算的平板式筏基,可按柱下板带和跨中板带分别进行内力分析。柱下板带中,柱宽及其两侧各0.5倍板厚且不大于1/4板跨的有效宽度范围内,其钢筋配置量不应小于柱下板带钢筋数量的一半,且应能承受部分不平衡弯距 mMunb。Munb为作用在冲切临界截面重心上的不平衡弯矩, m应按式(8.4.17)进行计算。平板式筏基柱下板带和跨中板带的底部支座钢筋应有不少于1/3贯通全跨,顶部钢筋应按计算配筋全部连通,上下贯通钢筋的配筋率不应小于0.15%。

条文说明
8.4.16 工程实践表明,在柱宽及其两侧一定范围的有效宽度内,其钢筋配置量不应小于柱下板带配筋量的一半,且应能承受板与柱之间部分不平衡弯矩 
,以保证板柱之间的弯矩传递,并使筏板在地震作用过程中处于弹性状态。条款中有效宽度的范围,是根据筏板较厚的特点,以小于1/4板跨为原则而提出来的。有效宽度范围如图24所示。

1-有效宽度范围内的钢筋应不小于柱下板带配筋量的一半,且能承担
;2-柱下板带;3-柱;4-跨中板带
8.4.17 对有抗震设防要求的结构,当地下一层结构顶板作为上部结构嵌固端时,嵌固端处的底层框架柱下端截面组合弯矩设计值应按现行国家标准《建筑抗震设计规范》GB50011的规定乘以与其抗震等级相对应的增大系数。当平板式筏形基础板作为上部结构的嵌固端、计算柱下板带截面组合弯矩设计值时,底层框架柱下端内力应考虑地震作用组合及相应的增大系数。
8.4.18 梁板式筏基基础梁和平板式筏基的顶面应满足底层柱下局部受压承载力的要求。对抗震设防烈度为9度的高层建筑,验算柱下基础梁、筏板局部受压承载力时,应计入竖向地震作用对柱轴力的影响。
条文说明
8.4.18 本条为强制性条文。梁板式筏基基础梁和平板式筏基的顶面处与结构柱、剪力墙交界处承受较大的竖向力,设计时应进行局部受压承载力计算。
8.4.19 筏板与地下室外墙的接缝、地下室外墙沿高度处的水平接缝应严格按施工缝要求施工,必要时可设通长止水带。
8.4.20 带裙房的高层建筑筏形基础应符合下列规定:
1 当高层建筑与相连的裙房之间设置沉降缝时,高层建筑的基础埋深应大于裙房基础的埋深至少2m。地面以下沉降缝的缝隙应用粗砂填实(图8.4.20a);
2 当高层建筑与相连的裙房之间不设置沉降缝时,宜在裙房一侧设置用于控制沉降差的后浇带,当沉降实测值和计算确定的后期沉降差满足设计要求后,方可进行后浇带混凝土浇筑。当高层建筑基础面积满足地基承载力和变形要求时,后浇带宜设在与高层建筑相邻裙房的第一跨内。当需要满足高层建筑地基承载力、降低高层建筑沉降量,减小高层建筑与裙房间的沉降差而增大高层建筑基础面积时,后浇带可设在距主楼边柱的第二跨内,此时应满足以下条件:
1)地基土质较均匀;
2)裙房结构刚度较好且基础以上的地下室和裙房结构层数不少于两层;
3)后浇带一侧与主楼连接的裙房基础底板厚度与高层建筑的基础底板厚度相同(图8.4.20b)。

3 当高层建筑与相连的裙房之间不设沉降缝和后浇带时,高层建筑及与其紧邻一跨裙房的筏板应采用相同厚度,裙房筏板的厚度宜从第二跨裙房开始逐渐变化,应同时满足主、裙楼基础整体性和基础板的变形要求;应进行地基变形和基础内力的验算,验算时应分析地基与结构间变形的相互影响,并采取有效措施防止产生有不利影响的差异沉降。
条文说明
8.4.20 中国建筑科学研究院地基所黄熙龄、袁勋、宫剑飞、朱红波等对塔裙一体大底盘平板式筏形基础进行室内模型系列试验以及实际工程的原位沉降观测,得到以下结论:
1.厚筏基础(厚跨比不小于1/6)具备扩散主楼荷载的作用,扩散范围与相邻裙房地下室的层数、间距以及筏板的厚度有关。在满足本规范给定的条件下,主楼荷载向周围扩散并随着距离的增大扩散能力逐渐衰减,影响范围不超过三跨。
2.多塔楼作用下大底盘厚筏基础的变形特征为:各塔楼独立作用下产生的变形效应通过以各个塔楼下面一定范围内的区域为沉降中心,各自沿径向向外围衰减。
3.多塔楼作用下大底盘厚筏基础的基底反力的分布规律为:各塔楼荷载产出的基底反力以其塔楼下某一区域为中心,通过各自塔楼周围的裙房基础沿径向向外围扩散,並随着距离的增大而逐渐衰减。
大比例室内模型系列试验和工程实测结果表明,当高层建筑与相连的裙房之间不设沉降缝和后浇带时,高层建筑的荷载通过裙房基础向周围扩散並逐渐减小,因此与高层建筑紧邻的裙房基础下的地基反力相对较大,该范围内的裙房基础板厚度突然减小过多时,有可能出现基础板的截面因承载力不够而发生破坏或其因变形过大出现裂缝。因此本条款提出高层建筑及与其紧邻一跨的裙房筏板应采用相同厚度,裙房筏板的厚度宜从第二跨裙房开始逐渐变化。
室内模型试验结果表明,平面呈L形的高层建筑下的大面积整体筏形基础,筏板在满足厚跨比不小于1/6的条件下,裂缝发生在与高层建筑相邻的裙房第一跨和第二跨交接处的柱旁。试验结果还表明,高层建筑连同紧邻一跨的裙房其变形相当均匀,呈现出接近刚性板的变形特征。因此,当需要设置后浇带时,后浇带宜设在与高层建筑相邻裙房的第二跨内 (见图25)。

8.4.21 在同一大面积整体筏形基础上建有多幢高层和低层建筑时,筏板厚度和配筋宜按上部结构、基础与地基土的共同作用的基础变形和基底反力计算确定。
条文说明
8.4.21 室内模型试验和工程沉降观察以及反算结果表明,在同一大面积整体筏形基础上有多幢高层和低层建筑时,筏形基础的结构分析宜考虑上部结构、基础与地基土的共同作用,否则将得到与沉降测试结果不符的较小的基础边缘沉降值和较大的基础挠曲度。
8.4.22 带裙房的高层建筑下的大面积整体筏形基础,其主楼下筏板的整体挠度值不宜大于0.5‰,主楼与相邻的裙房柱的差异沉降不应大于1‰。
条文说明
8.4.22 高层建筑基础不但应满足强度要求,而且应有足够的刚度,方可保证上部结构的安全。本规范基础挠曲度△/L的定义为:基础两端沉降的平均值和基础中间最大沉降的差值与基础两端之间距离的比值。本条款给出的基础挠曲△/L﹦0.5‰限值,是基于中国建筑科学研究院地基所室内模型系列试验和大量工程实测分析得到的。试验结果表明,模型的整体挠曲变形曲线呈盆形状,当△/L﹥0.7‰时,筏板角部开始出现裂缝,随后底层边、角柱的根部内側顺着基础整体挠曲方向出现裂缝。英国Burland曾对四幢直径为20m平板式筏基的地下仓库进行沉降观测,筏板厚度1.2m,基础持力层为白垩层土。四幢地下仓库的整体挠曲变形曲线均呈反盆状(图26),当基础挠曲度△/L﹦0.45‰时,混凝土柱子出现发丝裂缝,当△/L﹦0.6‰时,柱子开裂严重,不得不设置临时支撑。因此,控制基础挠曲度的是完全必要的。

8.4.23 采用大面积整体筏形基础时,与主楼连接的外扩地下室其角隅处的楼板板角,除配置两个垂直方向的上部钢筋外,尚应布置斜向上部构造钢筋,钢筋直径不应小于10mm、间距不应大于200mm,该钢筋伸入板内的长度不宜小于1/4的短边跨度;与基础整体弯曲方向一致的垂直于外墙的楼板上部钢筋以及主裙楼交界处的楼板上部钢筋,钢筋直径不应小于10mm、间距不应大于200mm,且钢筋的面积不应小于受弯构件的最小配筋率,钢筋的锚固长度不应小于30d。
条文说明
8.4.23 中国建筑科学研究院地基所滕延京和石金龙对大底盘框架-核芯筒结构筏板基础进行了室内模型试验,试验基坑内为人工换填的均匀粉土,深2.5m,其下为天然地基老土。通过载荷板试验,地基土承载力特征值为100KPa。试验模型比例为i=6,上部结构为8层框架-核芯筒结构,其左右两側各带1跨2层裙房,筏板厚度为220mm,楼板厚度:1层为35mm,2层为50mm,框架柱尺寸为150mm×150mm,大底盘结构模型平面及剖面见图27。

试验结果显示:
1.当筏板发生纵向挠曲时,在上部结构共同作用下,外扩裙房的角柱和边柱抑制了筏板纵向挠曲的发展,柱下筏板存在局部负弯矩,同时也使顺着基础整体挠曲方向的裙房底层边、角柱下端的内側,以及底层边、角柱上端的外側出现裂缝。
2.裙房的角柱内侧楼板出现弧形裂缝、顺着挠曲方向裙房的外柱内侧楼板以及主裙楼交界处的楼板均发生了裂缝,图28及图29为1层和2层楼板板面裂缝位置图。本条款的目的旨在从构造上加强此类楼板的薄弱环节。


8.4.24 筏形基础地下室施工完毕后,应及时进行基坑回填工作。填土应按设计要求选料,回填时应先清除基坑中的杂物,在相对的两侧或四周同时回填并分层夯实,回填土的压实系数不应小于0.94。
条文说明
8.4.24 试验资料和理论分析都表明,回填土的质量影响着基础的埋置作用,如果不能保证填土和地下室外墙之间的有效接触,将减弱土对基础的约束作用,降低基侧土对地下结构的阻抗。因此,应注意地下室四周回填土应均匀分层夯实。
8.4.25 采用筏形基础带地下室的高层和低层建筑、地下室四周外墙与土层紧密接触且土层为非松散填土、松散粉细砂土、软塑流塑粘性土,上部结构为框架、框剪或框架-核心筒结构,当地下一层结构顶板作为上部结构嵌固部位时,应符合下列规定:
1 地下一层的结构侧向刚度大于或等于与其相连的上部结构底层楼层侧向刚度的1.5倍;
2 地下一层结构顶板应采用梁板式楼盖,板厚不应小于180mm,其混凝土强度等级不宜小于C30;楼面应采用双层双向配筋,且每层每个方向的配筋率不宜小于0.25%;
3 地下室外墙和内墙边缘的板面不应有大洞口,以保证将上部结构的地震作用或水平力传递到地下室抗侧力构件中。
4 当地下室内、外墙与主体结构墙体之间的距离符合表8.4.25要求时,该范围内的地下室内、外墙可计入地下一层的结构侧向刚度,但此范围内的侧向刚度不能重叠使用于相邻建筑。当不符合上述要求时,建筑物的嵌固部位可设在筏形基础的顶面,此时宜考虑基侧土和基底土对地下室的抗力。

条文说明
8.4.25 上个世纪80年代,国内王前信、王有为曾对北京和上海20余栋23~58m高的剪力墙结构进行脉动试验,结果表明由于上海的地基土质软于北京,建于上海的房屋自振周期比北京类似的建筑物要长30%,说明了地基的柔性改变了上部结构的动力特性。反之上部结构也影响了地基土的粘滞效应,提高了结构体系的阻尼。
通常在设计中都假定上部结构嵌固在基础结构上,实际上这一假定只有在刚性地基的条件下才能实现。对绝大多数都属柔性地基的地基土而言,在水平力作用下结构底部以及地基都会出现转动,因此所谓嵌固实质上是指接近于固定的计算基面。本条款中的嵌固即属此意。
1989年,美国旧金山市一幢257.9m高的钢结构建筑,地下室采用钢筋混凝土剪力墙加强,其下为2.7m厚的筏板,基础持力层为黏性土和密实性砂土,基岩位于室外地面下48m~60m处。在强震作用下,地下室除了产生52.4mm的整体水平位移外,还产生了万分之三的整体转角。实测记录反映了二个基本事实:其一是厚筏基础四周外墙与土层紧密接触、且具有一定数量纵横内墙的地下室其变形呈现出与刚体变形相似的特征;其二是地下结构的转角体现了柔性地基的影响。地震作用下,既然四周与土壤接触的具有外墙的地下室其变形与刚体变形基本一致,那么在抗震设计中可假设地下结构为一刚体,上部结构嵌固在地下室的顶板上,而在嵌固部位处增加一个大小与柔性地基相同的转角。
对有抗震设防要求的高层建筑基础和地下结构设计中的一个重要原则是,要求基础和地下室结构应具有足够的刚度和承载力,保证上部结构进入非弹性阶段时,基础和地下室结构始终能承受上部结构传来的荷载并将荷载安全传递到地基上。因此,当地下一层结构顶板作为上部结构的嵌固部位时,为避免塑性铰转移到地下一层结构,保证上部结构在地震作用下能实现预期的耗能机制,本规范规定了地下一层的层间侧向刚度大于或等于与其相连的上部结构楼层刚度的1.5倍。地下室的内、外墙与主楼剪力墙的间距符合条文中表8.4.25 要求时,可将该范围内的地下室的内、墙的刚度计入地下室层间侧向刚度内,但该范围内的侧向刚度不能重叠使用于相邻建筑,6度区和非抗震设计的建筑物可参照表8.4.25中的7、8度区的要求适当放宽。
当上部结构嵌固地下一层结构顶板上时,为保证上部结构的地震等水平作用能有效通过楼板传递到地下室抗侧力构件中, 地下一层结构顶板上开设洞口的面积不宜大于该层面积的30%;沿地下室外墙和内墙边缘的楼板不应有大洞口;地下一层结构顶板应采用梁板式楼盖;楼板的厚度、混凝土强度等级及配筋率不应过小。本规范提出地下一层结构顶板的厚度不应小于180mm的要求,不仅旨在保证楼板具有一定的传递水平作用的整体刚度,还旨在充分发挥其有效减小基础整体弯曲变形和基础内力的作用,使结构受力、变形更为合理、经济。试验和沉降观察结果的反演均显示了楼板参与工作后对降低基础整体挠曲度的供献,基础整体挠曲度随着楼板厚度的增加而减小。
当不符合本条款要求时,建筑物的嵌固部位可设在筏基的顶部,此时宜考虑基侧土对地下室外墙和基底土对地下室底板的抗力。
8.4.26 地下室的抗震等级、构件的截面设计以及抗震构造措施应符合现行国家标准《建筑抗震设计规范》GB50011的有关规定。剪力墙底部加强部位的高度应从地下室顶板算起;当结构嵌固在基础顶面时,剪力墙底部加强部位的范围尚应延伸至基础顶面。
条文说明
8.4.26 国内震害调查表明,唐山地震中绝大多数地面以上的工程均遭受严重破坏,而地下人防工程基本完好。如新华旅社上部结构为8层组合框架,8度设防,实际地震烈度为10度。该建筑物的梁、柱和墙体均遭到严重破坏(未倒塌),而地下室仍然完好。天津属软土区,唐山地震波及天津时,该地区的地震烈度为7~8度,震后已有的人防地下室基本完好,仅人防通道出现裂缝。这不仅仅由于地下室刚度和整体性一般较大,还由于土层深处的水平地震加速度一般比地面小,因此当结构嵌固在基础顶面时,剪力墙底部加强部位的高度应从地下室顶板算起,但地下部分也应作为加强部位。国内震害还表明,个别与上部结构交接处的地下室柱头出现了局部压坏及剪坏现象。这表明了在强震作用下,塑性铰的范围有向地下室发展的可能。因此,与上部结构底层相邻的那一层地下室是设计中需要加强的部位。有关地下室的抗震等级、构件的截面设计以及抗震构造措施参照现行国家标准《建筑抗震规范》GB50011有关条款使用。
8.5 桩 基 础
8.5.1 本节包括混凝土预制桩和混凝土灌注桩低桩承台基础。竖向受压桩按桩身竖向受力情况可分为摩擦型桩和端承型桩。摩擦型桩的桩顶竖向荷载主要由桩侧阻力承受;端承型桩的桩顶竖向荷载主要由桩端阻力承受。
条文说明
8.5.1 摩擦型桩分为端承摩擦桩和摩擦桩,端承摩擦桩的桩顶竖向荷载主要由桩侧阻力承受;摩擦桩的桩端阻力可忽略不计,桩顶竖向荷载全部由桩侧阻力承受。端承型桩分为摩擦端承桩和端承桩,摩擦端承桩的桩顶竖向荷载主要由桩端阻力承受;端承桩的桩侧阻力可忽略不计,桩顶竖向荷载全部由桩端阻力承受。
8.5.2 桩基设计应符合下列规定:
1 所有桩基均应进行承载力和桩身强度计算。对预制桩,尚应进行运输、吊装和锤击等过程中的强度和抗裂验算;
2 桩基础沉降验算应符合本规范第8.5.15条的规定;
3 桩基础的抗震承载力验算应符合现行国家标准《建筑抗震设计规范》GB 50011的有关规定;
4 桩基宜选用中、低压缩性土层作桩端持力层;
5 同一结构单元内的桩基,不宜选用压缩性差异较大的土层作桩端持力层,不宜采用部分摩擦桩和部分端承桩;
6 由于欠固结软土、湿陷性土和场地填土的固结,场地大面积堆载、降低地下水位等原因,引起桩周土的沉降大于桩的沉降时,应考虑桩侧负摩擦力对桩基承载力和沉降的影响;
7 对位于坡地、岸边的桩基,应进行桩基的整体稳定验算。桩基应与边坡工程统一规划,同步设计;
8 岩溶地区的桩基,当岩溶上覆土层的稳定性有保证,且桩端持力层承载力及厚度满足要求,可利用上履土层作为桩端持力层。当必须采用嵌岩桩时,应对岩溶进行施工勘察;
9 应考虑桩基施工中挤土效应对桩基及周边环境的影响;在深厚饱和软土中不宜采用大片密集有挤土效应的桩基;
10 应考虑深基坑开挖中,坑底土回弹隆起对桩身受力及桩承载力的影响;
11 桩基设计时,应结合地区经验考虑桩、土、承台的共同工作;
12 在承台及地下室周围的回填中,应满足填土密实度要求。
条文说明
8.5.2 同一结构单元的桩基,由于采用压缩性差异较大的持力层或部分采用摩擦桩,部分采用端承桩,常引起较大不均匀沉降,导致建筑物构件开裂或建筑物倾斜;在地震荷载作用下,摩擦桩和端承桩的沉降不同,如果同一结构单元的桩基同时采用部分摩擦桩和部分端承桩,将导致结构产生较大的不均匀沉降。
岩溶地区的嵌岩桩在成孔中常发生漏浆、塌孔和埋钻现象,给施工造成困难,因此应首先考虑利用上覆土层作为桩端持力层的可行性。利用上覆土层作为桩端持力层的条件是上覆土层必须是稳定的土层,其承载力及厚度应满足要求。上覆土层的稳定性的判定至关重要,在岩溶发育区,当基岩上覆土层为饱和砂类土时,应视为地面易塌陷区,不得作为建筑场地。必须用作建筑场地时,可采用嵌岩端承桩基础,同时采取勘探孔注浆等辅助措施。基岩面以上为粘性土层,粘性土有一定厚度且无土洞存在或可溶性岩面上有砂岩、泥岩等非可溶岩层时,上覆土层可视为稳定土层。当上覆粘性土在岩溶水上下交替变化作用下可能形成土洞时,上覆土层也应视为不稳定土层。
在深厚软土中,当基坑开挖较深时,基底土的回弹可引起桩身上浮、桩身开裂,影响单桩承载力和桩身耐久性,应引起高度重视。设计时应考虑加强桩身配筋、支护结构设计时应采取防止基底隆起的措施,同时应加强坑底隆起的监测。承台及地下室周围的回填土质量对高层建筑抗震性能的影响较大,规范均规定了填土压实系数不小于0.94。除要求施工中采取措施尽量保证填土质量外,可考虑改用灰土回填或增加一至两层混凝土水平加强条带,条带厚度不应小于0.5m。
关于桩、土、承台共同工作问题,各地区根据工程经验有不同的处理方法,如混凝土桩复合地基、复合桩基、减少沉降的桩基、桩基的变刚度调平设计等。实际操作中应根据建筑物的要求和岩土工程条件以及工程经验确定设计参数。无论采用哪种模式,承台下土层均应当是稳定土层。液化土、欠固结土、高灵敏度软土、新填土等皆属于不稳定土层,当沉桩引起承台土体明显隆起时也不宜考虑承台底土层的抗力作用。
8.5.3 桩和桩基的构造,应符合下列规定:
1 摩擦型桩的中心距不宜小于桩身直径的3倍;扩底灌注桩的中心距不宜小于扩底直径的1.5倍,当扩底直径大于2m时,桩端净距不宜小于1m。在确定桩距时尚应考虑施工工艺中挤土等效应对邻近桩的影响;
2 扩底灌注桩的扩底直径,不应大于桩身直径的3倍;
3 桩底进入持力层的深度,根据地质条件、荷载及施工工艺确定,宜为桩身直径的1倍~3倍。在确定桩底进入持力层深度时,尚应考虑特殊土、岩溶以及震陷液化等影响。嵌岩灌注桩周边嵌入完整和较完整的未风化、微风化、中风化硬质岩体的最小深度,不宜小于0.5m;
4 布置桩位时宜使桩基承载力合力点与竖向永久荷载合力作用点重合;
5 设计使用年限不少于50年时,非腐蚀环境中预制桩的混凝土强度等级不应低于C30,预应力桩不应低于C40,灌注桩的混凝土强度等级不应低于C25;二b类环境及三类及四类、五类微腐蚀环境中不应低于C30;在腐蚀环境中的桩,桩身混凝土的强度等级应符合现行国家标准《混凝土结构设计规范》GB50010的有关规定。设计使用年限不少于100年的桩,桩身混凝土的强度等级宜适当提高。水下灌注混凝土的桩身混凝土强度等级不宜高于C40;
6 桩身混凝土的材料、最小水泥用量、水灰比、抗渗等级等应符合现行国家标准《混凝土结构设计规范》GB50010、《工业建筑防腐蚀设计规范》GB50046及《混凝土结构耐久性设计规范》GB /T50476的有关规定;
7 桩的主筋配置应经计算确定。预制桩的最小配筋率不宜小于0.8%(锤击沉桩)、0.6%(静压沉桩),预应力桩不宜小于0.5%;灌注桩最小配筋率不宜小于0.2%~0.65%(小直径桩取大值)。桩顶以下3~5倍桩身直径范围内,箍筋宜适当加强加密;
8 桩身纵向钢筋配筋长度应符合下列规定:
受水平荷载和弯矩较大的桩,配筋长度应通过计算确定;
桩基承台下存在淤泥、淤泥质土或液化土层时,配筋长度应穿过淤泥、淤泥质土层或液化土层;
坡地岸边的桩、8度及8度以上地震区的桩、抗拔桩、嵌岩端承桩应通长配筋;
钻孔灌注桩构造钢筋的长度不宜小于桩长的2/3;桩施工在基坑开挖前完成时,其钢筋长度不宜小于基坑深度的1.5倍;
9 桩身配筋可根据计算结果及施工工艺要求,可沿桩身纵向不均匀配筋。腐蚀环境中的灌注桩主筋直径不宜小于16mm,非腐蚀性环境中灌注桩主筋直径不应小于12mm;
10 桩顶嵌入承台内的长度不应小于50mm。主筋伸入承台内的锚固长度不应小于钢筋直径(HPB235)的30倍和钢筋直径(HRB335和HRB400)的35倍。对于大直径灌注桩,当采用一柱一桩时,可设置承台或将桩和柱直接连接。桩和柱的连接可按本规范第8.2.5条高杯口基础的要求选择截面尺寸和配筋,柱纵筋插入桩身的长度应满足锚固长度的要求;
11 灌注桩主筋混凝土保护层厚度不应小于50mm;预制桩不应小于45mm,预应力管桩不应小于35mm;腐蚀环境中的灌注桩不应小于55mm。
条文说明
8.5.3 本条规定了摩擦型桩的桩中心距限制条件,主要为了减少摩擦型桩侧阻叠加效应及沉桩中对邻桩的影响,对于密集群桩以及挤土型桩,应加大桩距。非挤土桩当承台下桩数少于9根,且少于3排时,桩距可不小于2.5d。对于端承型桩,特别是非挤土端承桩和嵌岩桩桩距的限制可以放宽。
扩底灌注桩的扩底直径,不应大于桩身直径的三倍,系考虑到扩底施工的难易和安全,同时需要保持桩间土的稳定。桩端进入持力层的最小深度,主要是考虑了在各类持力层中成桩的可能性和难易程度,并保证桩端阻力的发挥。
桩端进入破碎岩石或软质岩的桩,按一般桩来计算桩端进入持力层的深度。桩端进入完整和较完整的未风化、微风化、中风化硬质岩石时,入岩施工困难,同时硬质岩已提供足够的端阻力。规范条文提出桩周边嵌岩最小深度为0.5m。桩身混凝土最低强度等级与桩身所处环境条件有关。有关岩土及地下水的腐蚀性问题,牵涉腐蚀源、腐蚀类别、性质、程度、地下水位变化、桩身材料等诸多因素。现行国家标准《岩土工程勘察规范》GB50021、《混凝土结构设计规范》GB50010、《工业建筑防腐蚀设计规范》GB50046、《混凝土结构耐久性设计规范》GB/T50476等不同角度作了相应的表述和规定。
为了便于操作,本条将桩身环境划分为非腐蚀环境(包括微腐蚀环境)和腐蚀环境两大类,对非腐蚀环境中桩身混凝土强度作了明确规定,腐蚀环境中的桩身混凝土强度、材料、最小水泥用量、水灰比、抗渗等级等还应符合相关规范的规定。
桩身埋于地下,不能进行正常维护和维修,必须采取措施保证其使用寿命,特别是许多情况下桩顶附近位于地下水位频繁变化区,对桩身混凝土及钢筋的耐久性应引起重视。
灌注桩水下浇注混凝土目前大多采用商品混凝土,混凝土各项性能有保障的条件下,可将水下浇注混凝土强度等级达到C45。
当场地位于坡地且桩端持力层和地面坡度超过10%时,除应进行场地稳定验算并考虑挤土桩对边坡稳定的不利影响外,桩身尚应通长配筋,用来增加桩身水平抗力。关于通长配筋的理解应该是钢筋长度达到设计要求的持力层需要的长度。采用大直径长灌注桩时,宜将部分构造钢筋通长设置,用以验证孔径及孔深。
8.5.4 群桩中单桩桩顶竖向力应按下列公式进行计算:
1 轴心竖向力作用下:

2 偏心竖向力作用下:

3 水平力作用下:

8.5.5 单桩承载力计算应符合下列规定:
1 轴心竖向力作用下:

2 偏心竖向力作用下,除满足公式(8.5.5-1)外,尚应满足下列要求:

3 水平荷载作用下:

8.5.6 单桩竖向承载力特征值的确定应符合下列规定:
1 单桩竖向承载力特征值应通过单桩竖向静载荷试验确定。在同一条件下的试桩数量,不宜少于总桩数的1%且不应少于3根。单桩的静载荷试验,应按本规范附录Q进行。
2 当桩端持力层为密实砂卵石或其他承载力类似的土层时,对单桩竖向承载力很高的大直径端承型桩,可采用深层平板载荷试验确定桩端土的承载力特征值,试验方法应符合本规范附录D的规定;
3 地基基础设计等级为丙级的建筑物,可采用静力触探及标贯试验参数结合工程经验确定单桩竖向承载力特征值;
4 初步设计时单桩竖向承载力特征值可按下式进行估算:

5 桩端嵌入完整及较完整的硬质岩中,当桩长较短且入岩较浅时,可按下式估算单桩竖向承载力特征值:

6 嵌岩灌注桩桩端以下三倍桩径且不小于5m范围内应无软弱夹层、断裂破碎带和洞穴分布,且在桩底应力扩散范围内应无岩体临空面。当桩端无沉渣时,桩端岩石承载力特征值应根据岩石饱和单轴抗压强度标准值按本规范5.2.6条确定,或按本规范附录H用岩基载荷试验确定。
条文说明
8.5.6 为保证桩基设计的可靠性,规定除设计等级为丙级的建筑物外,单桩竖向承载力特征值应采用竖向静载荷试验确定。
设计等级为丙级的建筑物可根据静力触探或标准贯入试验方法确定单桩竖向承载力特征值。用静力触探或标准贯入方法确定单桩承载力已有不少地区和单位进行过研究和总结,取得了许多宝贵经验。其他原位测试方法确定单桩竖向承载力的经验不足,规范未推荐。确定单桩竖向承载力时,应重视类似工程、邻近工程的经验。
试桩前的初步设计,规范推荐了通用的估算公式(8.5.6-1),式中侧阻、端阻采用特征值,规范特别注明侧阻、端阻特征值 应由当地载荷试验结果统计分析求得,减少全国采用同一表格所带来的误差。
嵌入完整和较完整的未风化、微风化、中风化硬质岩石的嵌岩桩,规范给出了单桩竖向承载力特征值的估算式(8.5.6-2),只计端阻。简化计算的意义在于硬质岩强度超过桩身混凝土强度,设计以桩身强度控制,桩长较小时再计入侧阻、嵌岩阻力等已无工程意义。当然,嵌岩桩并不是不存在侧阻力,有时侧阻和嵌岩阻力占有很大的比例。对于嵌入破碎岩和软质岩石中的桩,单桩承载力特征值则按8.5.6-1式进行估算。
为确保大直径嵌岩桩的设计可靠性,必须确定桩底一定深度内岩体性状。此外,在桩底应力扩散范围内可能埋藏有相对软弱的夹层,甚至存在洞隙,应引起足够注意。岩层表面往往起伏不平,有隐伏沟槽存在,特别在碳酸盐类岩石地区,岩面石芽、溶槽密布,此时桩端可能落于岩面隆起或斜面处,有导致滑移的可能,因此,规范规定在桩底端应力扩散范围内应无岩体临空面存在,并确保基底岩体的稳定性。实践证明,作为基础施工图设计依据的详细勘察阶段的工作精度,满足不了这类桩设计施工的要求,因此,当基础方案选定之后,还应根据桩位及要求进行专门性的桩基勘察,以便针对各个桩的持力层选择入岩深度、确定承载力,并为施工处理等提供可靠依据。
8.5.7 当作用于桩基上的外力主要为水平力或高层建筑承台下为软弱土层、液化土层时,应根据使用要求对桩顶变位的限制,对桩基的水平承载力进行验算。当外力作用面的桩距较大时,桩基的水平承载力可视为各单桩的水平承载力的总和。当承台侧面的土未经扰动或回填密实时,可计算土抗力的作用。当水平推力较大时,宜设置斜桩。
8.5.8 单桩水平承载力特征值应通过现场水平载荷试验确定。必要时可进行带承台桩的载荷试验。单桩水平载荷试验,应按本规范附录S进行。
条文说明
8.5.7~8.5.8 单桩水平承载力与诸多因素相关,单桩水平承载力特征值应由单桩水平载荷试验确定。
规范特别写入了带承台桩的水平载荷试验。桩基抵抗水平力很大程度上依赖于承台侧面抗力,带承台桩基的水平载荷试验能反映桩基在水平力作用下的实际工作状况。
带承台桩基水平载荷试验采用慢速维持荷载法,用以确定长期荷载下的桩基水平承载力和地基土水平反力系数。加载分级及每级荷载稳定标准可按单桩竖向静载荷试验的办法。当加载至桩身破坏或位移超过30~40mm(软土取大值)时停止加载。卸载按2倍加载等级逐级卸载,每30min卸一级载,并于每次卸载前测读位移。
根据试验数据绘制荷载位移H0-X0曲线及荷载位移梯度H0-(ΔX0/ΔH0)曲线,取H0-(ΔX0/ΔH0)曲线的第一拐点为临界荷载,取第二拐点或H0-X0曲线的陡降起点为极限荷载。若桩身设有应力测读装置,还可根据最大弯矩点变化特征综合判定临界荷载和极限荷载。
对于重要工程,可模拟承台顶竖向荷载的实际状况进行试验。
水平荷载作用下桩基内各单桩的抗力分配与桩数、桩距、桩身刚度、土质性状、承台形式等诸多因素有关。
水平力作用下的群桩效应的研究工作不深入,条文规定了水平力作用面的桩距较大时,桩基的水平承载力可视为各单桩水平承载力的总和,实际上在低桩承台的前提下应注重采取措施充分发挥承台底面及侧面土的抗力作用,加强承台间的连系等等。当承台周围填土质量有保证时,应考虑土的抗力作用按弹性抗力法进行计算。
用斜桩来抵抗水平力量项有效的措施,在桥梁桩基中采用较多。但在一般工业与用民建筑中则很少采用,究其原因是依靠承台埋深大多可以解决水平力的问题。
8.5.9 当桩基承受拔力时,应对桩基进行抗拔验算。单桩抗拔承载力特征值应通过单桩竖向抗拔静载荷试验确定,并应加载至破坏。单桩竖向抗拔载荷试验,应按本规范附录T进行。
条文说明
8.5.9 单桩抗拔承载力特征值应通过单桩竖向抗拔静载荷试验确定,并应加载至破坏,试验数量,同条件下的桩不应少于3根且不应少于总抗拔桩数的1%。
8.5.10 桩身混凝土强度应满足桩的承载力设计要求。
条文说明
8.5.10 本条为强制性条文。为避免基桩在受力过程中发生桩身强度破坏,桩基设计时应进行基桩的桩身强度演算,确保桩身混凝土强度满足桩的承载力要求。
8.5.11 按桩身混凝土强度计算桩的承载力时,应按桩的类型和成桩工艺的不同将混凝土的轴心抗压强度设计值乘以工作条件系数 ,桩轴心受压时桩身强度应符合式(8.5.11)的规定。当桩顶以下5倍桩身直径范围内螺旋式箍筋间距不大于100mm且钢筋耐久性得到保证的灌注桩,可适当计入桩身纵向钢筋的抗压作用。

条文说明
8.5.11 鉴于桩身强度计算中并未考虑荷载偏心、弯矩作用、瞬时荷载的影响等因素,因此,桩身强度设计必须留有一定富裕。在确定工作条件系数时考虑了承台下的土质情况,抗震设防等级、桩长、混凝土浇注方法、混凝土强度等级以及桩型等因素。本次修订中适当提高了灌注桩的工作条件系数,补充了预应力混凝土管桩工作条件系数。考虑到高强度离心混凝土的延性差、加之沉桩中对桩身混凝土的损坏、加工过程中已对桩身施加轴向预应力等因素,结合日本、广东省的经验,将工作条件系数规定为0.55~0.65。
日本、美国及广东省等规定管桩允许承载力(相当于承载力特征值)应满足下式要求:

考虑到当前管桩生产质量、软土中的抗震要求、沉桩中桩身混凝土受损以及接头焊接时高温对桩身混凝土的损伤等因素,将工作条件系数定为0.55~0.65是合理的。
8.5.12非腐蚀环境中的抗拔桩应根据环境类别控制裂缝宽度满足设计要求,预应力混凝土管桩应按桩身裂缝控制等级为二级的要求进行桩身混凝土抗裂验算。腐蚀环境中的抗拔桩和受水平力或弯矩较大的桩应进行桩身混凝土抗裂验算,裂缝控制等级应为二级;预应力混凝土管桩裂缝控制等级应为一级。
条文说明
8.5.12 非腐蚀性环境中的抗拔桩,桩身裂缝宽度应满足设计要求。预应力混凝土管桩因增加钢筋直径有困难,考虑其钢筋直径较小,耐久性差,所以裂缝控制等级应为二级,即混凝土拉应力不应超过混凝土抗拉强度设计值。
腐蚀性环境中,考虑桩身钢筋耐久性,抗拔桩和受水平力或弯矩较大的桩不允许桩身混凝土出现裂缝。预应力混凝土管桩裂缝等级应为一级(即桩身混凝土不出现拉应力)。
预应力管桩作为抗拔桩使用时,近期出现了数起桩身抗拔破坏的事故,主要表现在主筋墩头与端板连接处拉脱,同时管桩的接头焊缝耐久性也有问题,因此,在抗拔构件中应慎用预应力混凝土管桩。必须使用时应考虑以下几点:
1.预应力筋必须锚入承台;
2.截桩后应考虑预应力损失,在预应力损失段的桩外围应包裹钢筋混凝土;
3.宜采用单节管桩;
4.多节管桩可考虑通长灌芯,另行设置通长的抗拔钢筋,或将抗拔承载力留有余地,防止墩头拔出。
5.端板与钢筋的连结强度应满足抗拔力要求。
8.5.13 桩基沉降计算应符合下列规定:
1 对以下建筑物的桩基应进行沉降验算;
1) 地基基础设计等级为甲级的建筑物桩基;
2) 体形复杂、荷载不均匀或桩端以下存在软弱土层的设计等级为乙级的建筑物桩基;
3) 摩擦型桩基。
2 桩基沉降不得超过建筑物的沉降允许值,并应符合本规范表5.3.4的规定。
条文说明
8.5.13 本条为强制性条文。地基基础设计强调变形控制原则,桩基础也应按变形控制原则进行设计。本条规定了桩基沉降计算的适用范围以及控制原则。
8.5.14 嵌岩桩、设计等级为丙级的建筑物桩基、对沉降无特殊要求的条形基础下不超过两排桩的桩基、吊车工作级别A5及A5以下的单层工业厂房且桩端下为密实土层的桩基,可不进行沉降验算。当有可靠地区经验时,对地质条件不复杂、荷载均匀、对沉降无特殊要求的端承型桩基也可不进行沉降验算。
8.5.15 计算桩基沉降时,最终沉降量宜按单向压缩分层总和法计算。地基内的应力分布宜采用各向同性均质线性变形体理论,按实体深基础方法或明德林应力公式方法进行计算,计算按本规范附录R进行。
条文说明
8.5.15 软土中摩擦桩的桩基础沉降计算是一个非常复杂的问题。纵观许多描述桩基实际沉降和沉降发展过程的文献可知,土体中桩基沉降实质是由桩身压缩、桩端刺入变形和桩端平面以下土层受群桩荷载共同作用产生的整体压缩变形等多个主要分量组成。摩檫桩基础的沉降是历时数年、甚至更长时间才能完成的过程,加荷瞬间完成的沉降只占总沉降中的小部分。大部分沉降都是与时间发展有关的沉降,也就是是由于固结或流变产生的沉降。因此,摩擦型桩基础的沉降不是用简单的弹性理论就能描述的问题,这就是为什么依据弹性理论公式的各种桩基沉降计算方法,在实际工程的应用中往往都与实测结果存在较大的出入,即使经过修正,两者也只能在某一范围内比较接近的原因。
近年来越来越多的研究人员和设计人员理解了,目前借用弹性理论的公式计算桩基沉降,实质是一种经验拟合方法。
从经验拟合这一观点出发,本规范推荐Mindlin方法和考虑应力扩散以及不考虑应力扩散的实体深基础方法。修订组收集了部分软土地区62栋房屋沉降实测资料和工程计算资料,将大量实际工程的长期沉降观测资料与各种计算方法的计算值对比,经过统计分析,最后推荐了桩基础最终沉降量计算的经验修正系数。考虑应力扩散以及不考虑应力扩散的实体深基础方法计算沉降量和沉降计算深度都有差异,从统计意义上沉降量计算的经验修正系数差异不大。
8.5.16 以控制沉降为目的设置桩基时,应结合地区经验,并满足下列要求:
1 桩身强度应按桩顶荷载设计值验算;
2 桩、土荷载分配应按上部结构与地基共同作用分析确定;
3 桩端进入较好的土层,桩端平面处土层应满足下卧层承载力设计要求;
4 桩距可采用4倍~6倍桩身直径。
条文说明
8.5.16 八十年代上海市开始采用为控制沉降而设置桩基的方法,取得显著的社会经济效益。目前天津、湖北、福建等省市也相继应用了上述方法。开发这种方法是考虑桩、土、承台共同工作时,基础的承载力可以满足要求,而下卧层变形过大,此时采用摩擦型桩旨在减少沉降,以满足建筑物的使用要求。以控制沉降为目的设置桩基是指直接用沉降量指标来确定用桩的数量。能否实行这种设计方法,必须要有当地的经验,特别是符合当地工程实践的桩基沉降计算方法。直接用沉降量确定用桩数量后,还必须满足本条所规定的使用条件和构造措施。上述方法的基本原则有三点:
一、 设计用桩数量可以根据沉降控制条件,即允许沉降量计算确定;
二、基础总安全度不能降低,应按桩、土和承台共同作用的实际状态来验算。桩土共同工作是一个复杂的过程,随着沉降的发展,桩、土的荷载分担不断变化,作为一种最不利状态的控制,桩顶荷载可能接近或等于单桩极限承载力。为了保证桩基的安全度,规定按承载力特征值计算的桩群承载力与土承载力之和应大于等于作用的标准组合产生的作用在桩基承台顶面的竖向力与承台及其上土自重之和;
三、为保证桩、土和承台共同工作,应采用摩擦型桩,使桩基产生可以容许的沉降,承台底不致脱空,在桩基沉降过程中充分发挥桩端持力层的抗力。同时桩端还要置于相对较好的土层中,防止沉降过大,达不到预期控制沉降的目的。为保证承台底不脱空,当承台底土为欠固结土或承载力利用价值不大的软土时,尚应对其进行处理。
8.5.17 桩基承台的构造,除满足抗冲切、抗剪切、抗弯承载力和上部结构的要求外,尚应符合下列要求:
1 承台的宽度不应小于500mm。边桩中心至承台边缘的距离不宜小于桩的直径或边长,且桩的外边缘至承台边缘的距离不小于150mm。对于条形承台梁,桩的外边缘至承台梁边缘的距离不小于75mm;
2 承台的最小厚度不应小于300mm;

3 承台的配筋,对于矩形承台其钢筋应按双向均匀通长布置(图8.5.17a),钢筋直径不宜小于10mm,间距不宜大于200mm;对于三桩承台,钢筋应按三向板带均匀布置,且最里面的三根钢筋围成的三角形应在柱截面范围内(图8.5.17b)。承台梁的主筋除满足计算要求外尚应符合现行国家标准《混凝土结构设计规范》GB 50010关于最小配筋率的规定,主筋直径不宜小于12mm,架立筋不宜小于10mm,箍筋直径不宜小于6mm(图8.5.17c);柱下独立桩基承台的最小配筋率不应小于0.15%。钢筋锚固长度自边桩内侧﹙当为圆桩时,应将其直径乘以0.886等效为方桩﹚算起,锚固长度不应小于35倍钢筋直径,当不满足时应将钢筋向上弯折,此时钢筋水平段的长度不应小于25倍钢筋直径,弯折段的长度不应小于10倍钢筋直径;
4 承台混凝土强度等级不应低于C20;纵向钢筋的混凝土保护层厚度不应小于70mm,当有混凝土垫层时,不应小于40mm。
8.5.18 柱下桩基承台的弯矩可按以下简化计算方法确定:
1 多桩矩形承台计算截面取在柱边和承台高度变化处(杯口外侧或台阶边缘,图8.5.18a):

式中:Mx、My——分别为垂直y轴和x轴方向计算截面处的弯矩设计值(kN·m);
xi、yi——垂直y轴和x轴方向自桩轴线到相应计算截面的距离(m);
Ni——扣除承台和其上填土自重后相应于作用的基本组合时的第i桩竖向力设计值(kN)。
2 三桩承台
1)等边三桩承台(图8.5.18b)。

式中:M——由承台形心至承台边缘距离范围内板带的弯矩设计值(kN·m);
Nmax——扣除承台和其上填土自重后的三桩中相应于作用的基本组合时的最大单桩竖向力设计值(kN);
s——桩距(m);
c——方柱边长(m),圆柱时c=0.886d(d为圆柱直径)。
2)等腰三桩承台(图8.5.18c)。



条文说明
8.5.18 桩基承台的弯矩计算
1 承台试件破坏过程的描述
中国石化总公司洛阳设计院和郑州工学院曾就桩台受弯问题进行专题研究。试验中发现,凡属抗弯破坏的试件均呈梁式破坏的特点。四桩承台试件采用均布方式配筋,试验时初始裂缝首先在承台两个对应边的一边或两边中部或中部附近产生,之后在两个方向交替发展,并逐渐演变成各种复杂的裂缝而向承台中部合拢,最后形成各种不同的破坏模式。三桩承台试件是采用梁式配筋,承台中部因无配筋而抗裂性能较差,初始裂缝多由承台中部开始向外发展,最后形成各种不同的破坏模式。可以得出,不论是三桩试件还是四桩试件,它们在开裂破坏的过程中,总是在两个方向上互相交替承担上部主要荷载,而不是平均承担,也即是交替起着梁的作用。
2 推荐的抗弯计算公式
通过对众多破坏模式的理论分析,选取图30所示的四种典模型式作为公式推导的依据。

(1)图30(a)四桩承台破坏模式系屈服线将承台分成很规则的若干块几何块体。设块体为刚性的,变形略去不计,最大弯矩产生于屈服线处,该弯矩全部由钢筋来承担,不考虑混凝土的拉力作用,则利用极限平衡方法并按悬臂梁计算。

(2)图30(b)是等边三桩承台具有代表性的破坏模式,可利用钢筋混凝土板的屈服线理论,按机动法的基本原理来推导公式得:

由图30(c)的等边三桩承台最不利破坏模式,可得另一个公式即:

式(a)考虑屈服线产生在柱边,过于理想化;式(b)未考虑柱子的约束作用,是偏于安全的。根据试件破坏的多数情况,采用(a)(b)二式的平均值为规范的推荐公式(8.5.18-3)

(3)由图30(d),等腰三桩承台典型的屈服线基本上都垂直干等腰三桩承台的两个腰,当试件在长跨产生开裂破坏后,才在短跨内产生裂缝。因之根据试件的破坏形态并考虑梁的约束影响作用,按梁的理论给出计算公式。在长跨,当屈服线通过柱中心时:

当屈服线通过柱边缝时:

式(a’)未考虑柱子的约束影响,偏于安全;而式(b’)考虑屈服线通过往边缘处,又不够安全,今采用两式的平均值作为推荐公式(8.5.18-4)

上述所有三桩承台计算的M值均指由柱截面形心到相应承台边的板带宽度范围内的弯矩,因而可按此相应宽度采用三向配筋。
8.5.19 柱下桩基础独立承台受冲切承载力的计算,应符合下列规定:
1 柱对承台的冲切,可按下列公式计算(图8.5.19-1):

对中低压缩性土上的承台,当承台与地基土之间没有脱空现象时,可根据地区经验适当减小柱下桩基础独立承台受冲切计算的承台厚度。

2 角桩对承台的冲切,可按下列公式计算:
1)多桩矩形承台受角桩冲切的承载力应按下式计算(图8.5.19-2):


2)三桩三角形承台受角桩冲切的承载力可按下列公式计算(图8.5.19-3)。对圆柱及圆桩,计算时可将圆形截面换算成正方形截面。

底部角桩

顶部角桩


条文说明
8.5.19 柱对承台的冲切计算方法,本规范在编制时曾考虑了以下两种计算方法:方法一为冲切临界截面取柱边0.5h0处,当冲切临界截面与桩相交时,冲切力扣除相交那部分单桩承载力,采用这种计算方法的国家有美国、新西兰,我国九十年代前一些设计单位亦多采用此法;方法二为冲切锥体取柱边或承台变阶处至相应桩顶内边缘连线所构成的锥体并考虑了冲跨比的影响,原苏联及我国《建筑桩基础技术规范》JGJ94-94均采用这种方法。计算结果表明,这两种方法求得的柱对承台冲切所需的有效高度是十分接近的,相差约5%左右。考虑到方法一在计算过程中需要扣除冲切临界截面与柱相交那部分面积的单桩承载力,为避免计算上繁琐,本规范推荐采用方法二。
本规范公式(8.5.19-1)中的冲切系数是按λ=1时与我国现行《混凝土结构设计规范》的受冲切承载力公式相衔接,即冲切破坏锥体与承台底面的夹角为45°时冲切系数 =0.7提出来的。
图31及图32分别给出了采用本规范和美国ACI 318计算的一典型九桩承台内柱对承台冲切、角桩对承台冲切所需的承台有效高度比较表,其中桩径为800mm,柱距为2400mm,方柱尺寸为1550mm,承台宽度为6400mm。按本规范算得的承台有效高度与美国ACI 318规范相比较略偏于安全。但是,美国钢筋混凝土学会CRSI手册认为由角桩荷载引起的承台角隅45°剪切破坏较之角桩冲切破坏更为不利,因此尚需验算距柱边h0承台角隅45°处的抗剪强度。


8.5.20 柱下桩基础独立承台应分别对柱边和桩边、变阶处和桩边联线形成的斜截面进行受剪计算。当柱边外有多排桩形成多个剪切斜截面时,尚应对每个斜截面进行验算。
条文说明
8.5.20 本条为强制性条文。桩基承台的柱边、变阶处等部位剪力较大,应进行斜截面抗剪承载力验算。
8.5.21 柱下桩基独立承台斜截面受剪承载力可按下列公式进行计算(图8.5.21):



条文说明
8.5.21 桩基承台的抗剪计算,在小剪跨比的条件下具有深梁的特征。关于深梁的抗剪问题,近年来我国已发表了一系列有关的抗剪强度试验报告以及抗剪承载力计算文章,尽管文章中给出的抗剪承载力的表达式不尽相同,但结果具有很好的一致性。本规范提出的剪切系数是通过分析和比较后确定的,它已能涵盖深梁、浅梁不同条件的受剪承载力。图33给出了一典型的九桩承台的柱边剪切所需的承台有效高度比较表,按本规范求得的柱边剪切所需的承台有效高度与美国ACI 318规范求得的结果是相当接近的。

8.5.22 当承台的混凝土强度等级低于柱或桩的混凝土强度等级时,尚应验算柱下或桩上承台的局部受压承载力。
条文说明
8.5.22 本条为强制性条文。桩基承台与柱、桩交界处承受较大的竖向力,设计时应进行局部受压承载力计算。
8.5.23 承台之间的连接应符合下列要求:
1 单桩承台,宜在两个互相垂直的方向上设置联系梁;
2 两桩承台,宜在其短向设置联系梁;
3 有抗震要求的柱下独立承台,宜在两个主轴方向设置联系梁;
4 联系梁顶面宜与承台位于同一标高。联系梁的宽度不应小于250mm,梁的高度可取承台中心距的1/10~1/15,且不小于400mm;
5 联系梁的主筋应按计算要求确定。联系梁内上下纵向钢筋直径不应小于12mm且不应少于2根,并应按受拉要求锚入承台。
8.6 岩石锚杆基础
8.6.1 岩石锚杆基础适用于直接建在基岩上的柱基,以及承受拉力或水平力较大的建筑物基础。锚杆基础应与基岩连成整体,并应符合下列要求:
1 锚杆孔直径,宜取锚杆筋体直径的3倍,但不应小于一倍锚杆筋体直径加50mm。锚杆基础的构造要求,可按图8.6.1采用;
2 锚杆筋体插入上部结构的长度,应符合钢筋的锚固长度要求;
3 锚杆筋体宜采用热轧带肋钢筋,水泥砂浆强度不宜低于30MPa,细石混凝土强度不宜低于C30。灌浆前,应将锚杆孔清理干净。

8.6.2 锚杆基础中单根锚杆所承受的拔力,应按下列公式验算:

式中:Fk——相应于作用的标准组合时,作用在基础顶面上的竖向力(kN);
Gk——基础自重及其上的土自重(kN);
Mxk、Myk——按作用的标准组合计算作用在基础底面形心的力矩值(kN·m);
xi、yi——第i根锚杆至基础底面形心的y、x轴线的距离(m);
Nti——相应于作用的标准组合时,第i根锚杆所承受的拔力值(kN);
Rt——单根锚杆抗拔承载力特征值(kN)。
8.6.3 对设计等级为甲级的建筑物,单根锚杆抗拔承载力特征值Rt应通过现场试验确定;对于其它建筑物应符合下式规定:
Rt≤0.8πd1lf (8.6.3)
式中:f——砂浆与岩石间的粘结强度特征值(kPa),可按本规范表6.8.6选用。
8.4 质量检验
8.4 质量检验
8.4.1 水泥为主剂的注浆加固质量检验应符合下列规定:
1 注浆检验应在注浆结束28d后进行。可选用标准贯入、轻型动力触探、静力触探或面波等方法进行加固地层均匀性检测。
2 按加固土体深度范围每间隔1 m取样进行室内试验,测定土体压缩性、强度或渗透性。
3 注浆检验点不应少于注浆孔数的2%~5%。检验点合格率小于80%时,应对不合格的注浆区实施重复注浆。
8.4.2 硅化注浆加固质量检验应符合下列规定:
1 硅酸钠溶液灌注完毕,应在7d~10d后,对加固的地基土进行检验;
2 应采用动力触探或其他原位测试检验加固地基的均匀性;
3 工程设计对土的压缩性和湿陷性有要求时,尚应在加固土的全部深度内,每隔1m取土样进行室内试验,测定其压缩性和湿陷性;
4 检验数量不应少于注浆孔数的2%~5%。
8.4.3 碱液加固质量检验应符合下列规定:
1 碱液加固施工应做好施工记录,检查碱液浓度及每孔注入量是否符合设计要求。
2 开挖或钻孔取样,对加固土体进行无侧限抗压强度试验和水稳性试验。取样部位应在加固土体中部,试块数不少于3个,28d龄期的无侧限抗压强度平均值不得低于设计值的90%。将试块浸泡在自来水中,无崩解。当需要查明加固土体的外形和整体性时,可对有代表性加固土体进行开挖,量测其有效加固半径和加固深度。
3 检验数量不应少于注浆孔数的2%~5%。
8.4.4 注浆加固处理后地基的承载力应进行静载荷试验检验。
8.4.5 静载荷试验应按附录A的规定进行,每个单体建筑的检验数量不应少于3点。
基 坑 工 程
9.1 一般规定
9.1.1岩、土质场地建、构筑物的基坑开挖与支护,包括桩式和墙式支护、岩层或土层锚杆以及采用逆作法施工的基坑工程应符合本章的规定。
条文说明
9.1.1 基坑支护结构是在建筑物地下工程建造时为确保土方开挖,控制周边环境影响在允许范围内的一种施工措施。设计中通常有二种情况,一种情况是在大多数基坑工程中,基坑支护结构是属于地下工程施工过程中作为一种临时性结构设置的,地下工程施工完成后,即失去作用,其工程有效使用期一般不超过二年。另一种情况是基坑支护结构在地下工程施工期间起支护作用,在建筑物建成后的正常使用期间,作为建筑物的永久性构件继续使用,此类支护结构的设计计算,还应满足永久结构的设计使用要求。
基坑支护结构的类型很多,本章所介绍的桩、墙式支护结构的设计计算较为成熟,施工经验丰富,适应性强,是较为安全可靠的支护型式。其他支护型式例如水泥土墙,土钉墙等以及其它复合使用的支护结构,在工程实践中应用,应根据地区经验设计施工。
9.1.2 基坑支护设计应确保岩土开挖、地下结构施工的安全,并应确保周围环境不受损害。
条文说明
9.1.2 基坑支护结构的功能是为地下结构的施工创造条件、保证施工安全,并保证基坑周围环境得到应有的保护。图34列示了几种基坑周边典型的环境条件。基坑工程设计与施工时,应根据场地的地质条件及具体的环境条件,通过有效的工程措施,满足对周边环境的保护要求。

9.1.3 基坑工程设计应包括下列内容:
1 支护结构体系的方案和技术经济比较;
2 基坑支护体系的稳定性验算;
3 支护结构的强度、稳定和变形计算;
4 地下水控制设计;
5 对周边环境影响的控制设计;
6 基坑土方开挖方案;
7 基坑工程的监测要求。
条文说明
9.1.3 本条为强制性条文。本条规定了基坑支护结构设计的基本原则,为确保基坑支护结构设计的安全,在进行基坑支护结构设计时必须严格执行。
基坑支护结构设计应从稳定、强度和变形等三个方面满足设计要求:
1 稳定:指基坑周围土体的稳定性,即不发生土体的滑动破坏,因渗流造成流砂、流土、管涌以及支护结构、支撑体系的失稳。
2 强度:支护结构,包括支撑体系或锚杆结构的强度应满足构件强度和稳定设计的要求。
3 变形:因基坑开挖造成的地层移动及地下水位变化引起的地面变形,不得超过基坑周围建筑物、地下设施的变形允许值,不得影响基坑工程基桩的安全或地下结构的施工。
基坑工程施工过程中的监测应包括对支护结构和对周边环境的监测,并提出各项监测要求的报警值。随基坑开挖,通过对支护结构桩、墙及其支撑系统的内力、变形的测试,掌握其工作性能和状态。通过对影响区域内的建筑物、地下管线的变形监测,了解基坑降水和开挖过程中对其影响的程度,做出在施工过程中基坑安全性的评价。
本条文为基坑工程设计的基本要求,应严格执行。
9.1.4 基坑工程设计安全等级、结构设计使用年限、结构重要性系数,应根据基坑工程的设计、施工及使用条件按有关规范的规定采用。
条文说明
9.1.4 基坑支护结构设计时,应规定支护结构的设计使用年限。基坑工程的施工条件一般均比较复杂,且易受环境及气象因素影响,施工周期宜短不宜长。支护结构设计的有效期一般不宜超过二年。
基坑工程设计时,应根据支护结构破坏可能产生后果的严重性,确定支护结构的安全等级。基坑工程的事故和破坏,通常受设计、施工、现场管理及地下水控制条件等多种因素影响。其中对于不按设计要求施工及管理水平不高等因素,应由相应的有效措施加以控制,对支护结构设计的安全等级,可按表20的规定确定。

基坑支护结构施工或使用期间可能遇到设计时无法预测的不利荷载条件,所以基坑支护结构设计采用的结构重要性系数的取值不宜小于1.0。
9.1.5 基坑支护结构设计应符合下列规定:
1 所有支护结构设计均应满足强度和变形计算以及土体稳定性验算的要求;
2 设计等级为甲级、乙级的基坑工程,应进行因土方开挖、降水引起的基坑内外土体的变形计算;
3 高地下水位地区设计等级为甲级的基坑工程,应按本规范第9.9节的规定进行地下水控制的专项设计。
条文说明
9.1.5 不同设计等级基坑工程设计原则的区别主要体现在变形控制及地下水控制设计要求。对设计等级为甲级的基坑变形计算除基坑支护结构的变形外,尚应进行基坑周边地面沉降以及周边被保护对象的变形计算。对场地水文地质条件复杂、设计等级甲级的基坑应作地下水控制的专项设计,主要目的是要在充分掌握场地地下水规律基础上,减少因地下水处理不当对周边建(构)筑物以及地下管线的损坏。
9.1.6 基坑工程设计采用的土的强度指标,应符合下列规定:
1 对淤泥及淤泥质土,应采用三轴不固结不排水剪强度指标;
2 对正常固结的饱和粘性土应采用在土的有效自重应力下预固结的三轴不固结不排水剪强度指标;当施工挖土速度较慢,排水条件好,土体有条件固结时,可采用三轴固结不排水剪强度指标;
3 对砂类土,采用有效强度指标;
4 验算软粘土隆起稳定性时,可采用十字板剪切强度或三轴不固结不排水剪强度指标;
5 灵敏度较高的土,基坑临近有交通频繁的主干道或其他对土的扰动源时,计算采用土的强度指标宜适当进行折减;
6 应考虑打桩、地基处理的挤土效应等施工扰动原因造成对土强度指标降低的不利影响。
条文说明
9.1.6 基坑工程设计时,对土的强度指标的选用,主要应根据现场土体的排水条件及固结条件确定。
三轴试验受力明确,又可控制排水条件,因此,在基坑工程中确定土的强度指标时规定应采用三轴剪切试验方法。
软粘土灵敏度高,受扰动后强度下降明显。这种粘土矿物颗粒在一定条件下从凝聚状态迅速过渡到胶溶状态的现象,称为“触变现象”。深厚软粘土中的基坑,在扰动源作用下,随着基坑变形的发展,灵敏粘土强度降低的现象是不可忽视的。
9.1.7 因支护结构变形、岩土开挖及地下水条件变化引起的基坑内外土体变形应符合下列规定:
1 不得影响地下结构尺寸、形状和正常施工;
2 不得影响既有桩基的正常使用;
3 对周围已有建、构筑物引起的地基变形不得超过地基变形允许值;
4 不得影响周边地下建、构筑物、地下轨道交通设施及管线的正常使用。
条文说明
9.1.7 基坑设计时对变形的控制主要考虑因土方开挖和降水引起的对基坑周边环境的影响。基坑施工不可避免地会对周边建(构)筑物等产生附加沉降和水平位移,设计时应控制建(构)筑物等地基的总变形值(原有变形加附加变形)不得超过地基的允许变形值。
土方开挖使坑内土体产生隆起变形和侧移,严重时将使坑内工程桩偏位、开裂甚至断裂。设计时应明确对土方开挖过程的要求,保证对工程桩的正常使用。
9.1.8 基坑工程设计应具备以下资料:
1 岩土工程勘察报告;
2 建筑物总平面图、用地红线图;
3 建筑物地下结构设计资料,以及桩基础或地基处理设计资料;
4 基坑环境调查报告,包括基坑周边建、构筑物、地下管线、地下设施及地下交通工程等的相关资料。
9.1.9 基坑土方开挖应严格按设计要求进行,不得超挖。基坑周边堆载不得超过设计规定。土方开挖完成后应立即施工垫层,对基坑进行封闭,防止水浸和暴露,并应及时进行地下结构施工。
条文说明
9.1.9 本条为强制性条文。基坑开挖是大面积的卸载过程,将引起基坑周边土体应力场变化及地面沉降。降雨或施工用水渗入土体会降低土体的强度和增加侧压力,饱和粘性土随着基坑暴露时间延长和经扰动,坑底土强度逐渐降低,从而降低支护体系的安全度。基底暴露后应及时铺筑混凝土垫层,这对保护坑底土不受施工扰动、延缓应力松弛具有重要的作用,特别是雨季施工中作用更为明显。
基坑周边荷载,会增加墙后土体的侧向压力,增大滑动力矩,降低支护体系的安全度。施工过程中,不得随意在基坑周围堆土,形成超过设计要求的地面超载。
9.2 基坑工程勘察与环境调查
9.2.1 基坑工程勘察宜在开挖边界外开挖深度的1倍~2倍范围内布置勘探点。勘察深度应满足基坑支护稳定性验算、降水或止水帷幕设计的要求。当基坑开挖边界外无法布置勘察点时,应通过调查取得相关资料。
条文说明
9.2.1 拟建建筑物的详细勘察,大多数是沿建筑物外轮廓布置勘探工作,往往使基坑工程的设计和施工依据的地质资料不足。本条要求勘察及勘探范围应超出建筑物轮廓线,一般取基坑周围相当基坑深度的2倍,当有特殊情况时,尚需扩大范围。勘探点的深度一般不应小于基坑深度的2倍。
9.2.2 应查明场区水文地质资料及与降水有关的参数,并应包括下列内容:
1 地下水的类型、地下水位高程及变化幅度;
2 各含水层的水力联系、补给、径流条件及土层的渗透系数;
3 分析流砂、管涌产生的可能性;
4 提出施工降水或隔水措施以及评估地下水位变化对场区环境造成的影响。
条文说明
9.2.2 基坑工程设计时,对土的强度指标有较高要求,在勘察手段上,要求钻探取样与原位测试并重,综合确定提供设计计算用的强度指标。
9.2.3 当场地水文地质条件复杂,应进行现场抽水试验,并进行水文地质勘察。
条文说明
9.2.3 基坑工程的水文地质勘察,应查明场地地下水类型、潜水、承压水的埋置分布特点,明确含水层及相对隔水层的成因及动态变化特征。通过室内及现场水文地质实验,提供各土层的水平向与垂直向的渗透系数。对于需进行地下水控制专项设计的基坑工程,应对场地含水层及地下水分布情况进行现场抽水试验,计算含水层水文地质参数。
抽水试验的目的:
1 评价含水层的富水性,确定含水层组单井涌水量,了解含水层组水位状况,测定承压水头;
2 获取含水层组的水文地质参数;
3 确定抽水试验影响范围。
抽水试验的成果资料应包括:在成井过程中,井管长度、成井井管、滤水管排列情况、洗井情况等的详细记录;绘制各抽水井及观测井的S-t曲线、S-lgt曲线,恢复水位S-lgt曲线以及各组抽水试验的Q-s关系曲线和q-s关系曲线。确定土层的渗透系数,影响半径,单位涌水量等参数。
9.2.4 严寒地区的大型越冬基坑应评价各土层的冻胀性。并应对特殊土受开挖、震动影响以及失水、浸水影响引起的土的特性参数变化进行评估。
条文说明
9.2.4 越冬基坑受土的冻胀影响评价需要土的相关参数,特殊性土也需其相关设计参数。
9.2.5 岩体基坑工程勘察除查明基坑周围的岩层分布、风化程度、岩石破碎情况和各岩层物理力学性质外,还应查明岩体主要结构面的类型、产状、延展情况、闭合程度、填充情况、力学性质等,特别是外倾结构面的抗剪强度以及地下水情况,并评估岩体滑动、岩块崩塌的可能性。
9.2.6 需对基坑工程周边进行环境调查时,调查的范围和内容应符合下列规定:
1 应调查基坑周边2倍开挖深度范围内建、构筑物及设施的状况,当附近有轨道交通设施、隧道、防汛墙等重要建、构筑物及设施时,或降水深度较大时应扩大调查范围;
2 环境调查应包括下列内容:
1)建、构筑物的结构形式、材料强度、基础形式与埋深、沉降与倾斜及保护要求等;
2)地下交通工程、管线设施等的平面位置、埋深、结构形式、材料强度、断面尺寸、运营情况及保护要求等。
条文说明
9.2.6 国外关于基坑围护墙后地表的沉降形状(Peck,1969;Clough,1990;Hsieh和Ou,1998等)及上海地区的工程实测资料表明,墙后地表沉降的的主要影响区域为2倍基坑开挖深度,而在2~4倍开挖深度范围内为次影响区域,即地表沉降由较小值衰减到可以忽略不计。因此本条规定,一般情况下环境调查的范围为2倍开挖深度。但当有重要的建(构)筑物如历代优秀建筑、有精密仪器与设备的厂房、其它采用天然地基或短桩基础的重要建筑物、轨道交通设施、隧道、防汛墙、共同沟、原水管、自来水总管、煤气总管等重要建(构)筑物或设施位于2~4倍开挖深度范围内时,为了能全面掌握基坑可能对周围环境产生的影响,也应对这些环境情况做调查。环境调查一般包括如下内容:
1 对于建筑物应查明其用途、平面位置、层数、结构形式、材料强度、基础形式与埋深、历史沿革及现状、荷载、沉降、倾斜、裂缝情况、有关竣工资料(如平面图、立面图和剖面图等)及保护要求等;对历代优秀建筑,一般建造年代较远,保护要求较高,原设计图纸等资料也可能不齐全,有时需要通过专门的房屋结构质量检测与鉴定,对结构的安全性做出综合评价,以进一步确定其抵抗变形的能力。
2 对于隧道、防汛墙、共同沟等构筑物应查明其平面位置、埋深、材料类型、断面尺寸、受力情况及保护要求等。
3 对于管线应查明其平面位置、直径、材料类型、埋深、接头形式、压力、输送的物质(油、气、水等)、建造年代及保护要求等,当无相关资料时可进行必要的地下管线探测工作。
4 环境调查的目的是明确环境的保护要求,从而得到其变形的控制标准,并为基坑工程的环境影响分析提供依据。
9.3 土压力与水压力
9.3.1 支护结构的作用效应包括下列各项:
1 土压力;
2 静水压力、渗流压力;
3 基坑开挖影响范围以内的建、构筑物荷载、地面超载、施工荷载及邻近场地施工的影响;
4 温度变化及冻胀对支护结构产生的内力和变形;
5 临水支护结构尚应考虑波浪作用和水流退落时的渗流力;
6 作为永久结构使用时建筑物的相关荷载作用;
7 基坑周边主干道交通运输产生的荷载作用。
9.3.2 主动土压力、被动土压力可采用库仑或朗肯土压力理论计算。当对支护结构水平位移有严格限制时,应采用静止土压力计算。
条文说明
9.3.2 自然状态下的土体内水平向有效应力,可认为与静止土压力相等。土体侧向变形会改变其水平应力状态。最终的水平应力,随着变形的大小和方向可呈现出两种极限状态(主动极限平衡状态和被动极限平衡状态),支护结构处于主动极限平衡状态时,受主动土压力作用,是侧向土压力的最小值。
按荷载的标准组合计算土压力时,土的容重取平均值,土的强度指标取标准值。
库仑土压理论和朗肯土压理论是工程中常用的两种经典土压理论,无论用库仑或朗肯理论计算土压力,由于其理论的假设与实际工作情况有一定的出入,只能看作是近似的方法,与实测数据有一定差异。一些试验结果证明,库仑土压力理论在计算主动土压力时,与实际较为接近。在计算被动土压力时,其计算结果与实际相比,往往偏大。
静止土压力系数(k0 )值随土体密实度、固结程度的增加而增加,当土层处于超压密状态时,k0值的增大尤为显著。静止土压力系数(k0 )宜通过试验测定。当无试验条件时,对正常固结土也可按表21估算。

对于位移要求严格的支护结构,在设计中宜按静止土压力作为侧向土压力。
9.3.3 作用于支护结构的土压力和水压力,对砂性土宜按水土分算计算;对粘性土宜按水土合算计算;也可按地区经验确定。
条文说明
9.3.3 高地下水位地区土压力计算时,常涉及水土分算与水土合算两种算法。水土分算采用浮重度计算土的竖向有效应力,如果采用有效应力强度理论,水土分算当然是合理的。但当支护结构内外土体中存在渗流现象和超静孔隙水压力时,特别是在粘性土层中,孔隙压力场的计算是比较复杂的。这时采用半经验的总应力强度理论可能更简便。本规范对饱和粘性土的土压力计算,推荐总应力强度理论水土合算法。
在基坑工程场地范围内,当会出现存在多个含水土层及相对隔水层的情况,各含水层的水头也常存在差异,从区域水文地质条件分析,也存在层间越流补给的条件。计算作用在支护结构上的侧向水压力时,可将含水层的水头近似按潜水位水头进行计算。
9.3.4 基坑工程采用止水帷幕并插入坑底下部相对不透水层时,基坑内外的水压力,可按静水压力计算。
9.3.5 当按变形控制原则设计支护结构时,作用在支护结构的计算土压力可按支护结构与土体的相互作用原理确定,也可按地区经验确定。
条文说明
9.3.5 作用在支护结构上的土压力及其分布规律取决于支护体的刚度及侧向位移条件。
刚性支护结构的土压力分布可由经典的库仑和朗肯土压力理论计算得到,实测结果表明,只要支护结构的顶部的位移不小于其底部的位移,土压力沿垂直方向分布可按三角形计算。但是,如果支护结构底部位移大于顶部位移,土压力将沿高度呈曲线分布,此时,土压力的合力较上述典型条件要大10%~15%,在设计中应予注意。
相对柔性的支护结构的位移及土压力分布情况比较复杂,设计时应根据具体情况分析,选择适当的土压力值,有条件时土压力值应采用现场实测、反演分析等方法总结地区经验,使设计更加符合实际情况。
9.4 设计计算
9.4.1 基坑支护结构设计时,作用的效应设计值应符合下列规定:
1 基本组合的效应设计值可采用简化规则,应按下式进行计算:

条文说明
9.4.1结构按承载能力极限状态设计中,应考虑各种作用组合,由于基坑支护结构是房屋地下结构施工过程中的一种围护结构,结构使用期短。本条规定,基坑支护结构的基本组合的效应设计值可采用简化计算原则,按下式确定:

作用综合分项系数γF可取1.25,但对于轴向受力为主的构件,γF应取1.35。
9.4.2 支护结构的入土深度应满足基坑支护结构稳定性及变形验算的要求,并结合地区工程经验综合确定。有地下水渗流作用时,应满足抗渗流稳定的验算,并宜插入坑底下部不透水层一定深度。
条文说明
9.4.2 支护结构的入土深度应满足基坑支护结构稳定性及变形验算的要求,并结合地区工程经验综合确定。按当上述要求确定了入土深度,但支护结构的底部位于软土或液化土层中时,支护结构的入土深度应适当加大,支护结构的底部应进入下卧较好的土层。
9.4.3 桩、墙式支护结构设计计算应符合下列规定:
1 桩、墙式支护可为柱列式排桩、板桩、地下连续墙、型钢水泥土墙等独立支护或与内支撑、锚杆组合形成的支护体系,适用于施工场地狭窄、地质条件差、基坑较深、或需要严格控制支护结构或基坑周边环境地基变形时的基坑工程。
2 桩、墙式支护结构的设计应包括下列内容:
1)确定桩、墙的入土深度;
2)支护结构的内力和变形计算;
3)支护结构的构件和节点设计;
4)基坑变形计算,必要时提出对环境保护的工程技术措施;
5)支护桩、墙作为主体结构一部分时,尚应计算在建筑物荷载作用下的内力及变形;
6)基坑工程的监测要求。
9.4.4 根据基坑周边环境的复杂程度及环境保护要求,可按下列规定进行变形控制设计,并采取相应的保护措施:
1 根据基坑周边的环境保护要求,提出基坑的各项变形设计控制指标;
2 预估基坑开挖对周边环境的附加变形值,其总变形值应小于其允许变形值;
3 应从支护结构施工、地下水控制及开挖等三个方面分别采取相关措施保护周围环境。
条文说明
9.4.4 基坑工程在城市区域的环境保护问题日益突出。基坑设计的稳定性仅是必要条件,大多数情况下的主要控制条件是变形,从而使得基坑工程的设计从强度控制转向变形控制。

1 基坑工程设计时,应根据基坑周边环境的保护要求来确定基坑的变形控制指标。严格地讲,基坑工程的变形控制指标(如围护结构的侧移及地表沉降)应根据基坑周边环境对附加变形的承受能力及基坑开挖对周围环境的影响程度来确定。由于问题的复杂性,在很多情况下,确定基坑周围环境对附加变形的承受能力是一件非常困难的事情,而要较准确地预测基坑开挖对周边环境的影响程度也往往存在较大的难度,因此也就难以针对某个具体工程提出非常合理的变形控制指标。此时根据大量已成功实施的工程实践统计资料来确定基坑的变形控制指标不失为一种有效的方法。上海市《基坑工程技术规范》(DG/TJ08-61)就是采用这种方法并根据基坑周围环境的重要性程度及其与基坑的距离,提出了基坑变形设计控制指标如表22所示,可作为变形控制设计时的参考。
不同地区不同的土质条件,支护结构的位移对周围环境的影响程度不同,各地区应积累工程经验,确定变形控制指标。2 目前预估基坑开挖对周边环境的附加变形主要有两种方法。一种是建立在大量基坑统计资料基础上的经验方法,该方法预测的是地表沉降,并不考虑周围建(构)筑物存在的影响,可以用来间接评估基坑开挖引起周围环境的附加变形。上海市《基坑工程技术规范》(DG/TJ08-61)提出了如图35所示的地表沉降曲线分布,其中最大地表沉降δvm可根据其与围护结构最大侧移δhm的经验关系来确定,一般可取δvm=0.8δhm。

另一种方法是有限元法,但在应用时应有可靠的工程实测数据为依据。且该方法分析得到的结果宜与经验方法进行相互校核,以确认分析结果的合理性。采用有限元法分析时应合理地考虑分析方法、边界条件、土体本构模型的选择及计算参数、接触面的设置、初始地应力场的模拟、基坑施工的全过程模拟等因素。
关于建筑物的允许变形值,表23是根据国内外有关研究成果给出的建筑物在自重作用下的差异沉降与建筑物损坏程度的关系,可作为确定建筑物对基坑开挖引起的附加变形的承受能力的参考。

3 基坑工程是支护结构施工、降水以及基坑开挖的系统工程,其对环境的影响主要分如下三类:支护结构施工过程中产生的挤土效应或土体损失引起的相邻地面隆起或沉降;长时间、大幅度降低地下水可能引起地面沉降,从而引起邻近建(构)筑物及地下管线的变形及开裂;基坑开挖时产生的不平衡力、软黏土发生蠕变和坑外水土流失而导致周围土体及围护墙向开挖区发生侧向移动、地面沉降及坑底隆起,从而引起紧邻建(构)筑物及地下管线的侧移、沉降或倾斜。因此除从设计方面采取有关环境保护措施外,还应从支护结构施工、地下水控制及开挖三个方面分别采取相关措施保护周围环境。必要时可对被保护的建(构)筑物及管线采取土体加固、结构托换、架空管线等防范措施。
9.4.5 支护结构的内力和变形分析,宜采用侧向弹性地基反力法计算。土的侧向地基反力系数可通过单桩水平载荷试验确定。
条文说明
9.4.5 支护结构计算的侧向弹性抗力法来源于单桩水平力计算的侧向弹性地基梁法。用理论方法计算桩的变位和内力时,通常采用文克尔假定的竖向弹性地基梁的计算方法。地基水平抗力系数的分布图式常用的有:常数法;“k”法;“m”法;“c”法等。不同分布图式的计算结果,往往相差很大。国内常采用“m”法,假定地基水平抗力系数(κx )随深度正比例增加,即κx=mz,z为计算点的深度,m称为地基水平抗力系数的比例系数。按弹性地基梁法求解桩的弹性曲线微分方程式,即可求得桩身各点的内力及变位值。基坑支护桩计算的侧向弹性抗力法,即相当于桩受水平力作用计算的“m”法。
1 地基水平抗力系数的比例系数m值
m值不是一个定值,与现场地质条件,桩身材料与刚度,荷载水平与作用方式以及桩顶水平位移取值大小等因素有关。通过理论分析可得,作用在桩顶的水平力与桩顶位移X的关系如下式所示:


2 基坑支护桩的侧向弹性地基抗力法,借助于单桩水平力计算的m法,基坑支护桩内力分析的计算简图如图36所示。

图36中,(a)为基坑支护桩,(b)为基坑支护桩上作用的土压力分布图,在开挖深度范围内通常取主动土压力分布图式,支护桩入土部分,为侧向受力的弹性地基梁(如c所示),地基反力系数取m法图形,内力分析时,常按杆系有限元——结构矩阵分析解法即可求得支护桩身的内力、变形解。
当采用密排桩支护时,土压力可作为平面问题计算。当桩间距比较大时,形成分离式排桩墙。桩身变形产生的土抗力不仅仅局限于桩自身宽度的范围内。从土抗力的角度考虑,桩身截面的计算宽度和桩径之间有如表25所示的关系:

由于侧向弹性地基抗力法能较好的反映基坑开挖和回填过程各种工况和复杂情况对支护结构受力的影响,是目前工程界最常用的基坑设计计方法。
9.4.6 支护结构应进行稳定验算。稳定验算应符合本规范附录V的规定。当有可靠工程经验时,稳定安全系数可按地区经验确定。
条文说明
9.4.6 基坑因土体的强度不足,地下水渗流作用而造成基坑失稳,包括:支护结构倾覆失稳;基坑内外侧土体整体滑动失稳;基坑底土因承载力不足而隆起;地层因地下水渗流作用引起流土、管涌以及承压水突涌等导致基坑工程破坏。本条将基坑稳定性归纳为:支护桩、墙的倾覆稳定;基坑底土隆起稳定;基坑边坡整体稳定;坑底土渗流、突涌稳定等四个方面,基坑设计时必须满足上述四方面的验算要求。
1 基坑稳定性验算,采用单一安全系数法,应满足下式要求:

式中:K——各类稳定安全系数;
R——土体抗力极限值;
Sd——承载能力极限状态下基本组合的效应设计值,但其分项系数均为1.0,当有地区可靠工程经验时,分项系数也可按地区经验确定。
2 基坑稳定性验算时,所选用的强度指标的类别,稳定验算方法与安全系数取值之间必须配套。当按附录V进行各项稳定验算时,土的抗剪强度指标的选用,应符合本规范第9.1.6条的规定。
3 土坡及基坑内外土体的整体稳定性计算,可按平面问题考虑,宜采用圆弧滑动面计算。有软土夹层和倾斜岩面等情况时,尚需采用非圆弧滑动面计算。
对不同情况的土坡及基坑整体稳定性验算,最危险滑动面上诸力对滑动中心所产生的滑动力矩与抗滑力矩应符合下式要求:

重度,以下的土条取饱和重度。坑内土条取浮重度。
验算整体稳定时,对于开挖区,有条件时可采用卸荷条件下的抗剪强度指标进行验算。
4 基坑底隆起稳定性验算,实质上是软土地基承载力不足造成,故用 =0的承载力公式进行验算。
当桩底土为一般黏性土时,上海市标准《基坑工程技术规范》提出了适用于一般粘性土的抗隆起计算公式:
板式支护体系按承载能力极限状态验算绕最下道内支撑点的抗隆起稳定性时(图37),应满足式9.4.6-3的要求:



5 桩、墙式支护结构的倾覆稳定性验算,对悬臂式支护结构,在附录V中采用作用在墙内外的土压力引起的力矩平衡的方法验算,抗倾覆稳定性安全系数应大于等于1.30。
对于带支撑的桩、墙式支护体系,支护结构的抗倾覆稳定性又称抗踢脚稳定性,踢脚破坏为作用与围护结构两侧的土压力均达到极限状态,因而使得围护结构(特别是围护结构插入坑底以下的部分)大量地向开挖区移动,导致基坑支护失效。本条取最下道支撑或锚拉点以下的围护结构作为脱离体,将作用于围护结构上的外力进行力矩平衡分析,从而求得抗倾覆分项系数。需指出的是,抗倾覆力矩项中本应包括支护结构的桩身抗力力矩,但由于其值相对而言要小得多,因此在本条的计算公式中不考虑。
9.4.7 地下水渗流稳定性计算,应符合下列规定:
1 当坑内外存在水头差时,粉土和砂土应按本规范附录W进行抗渗流稳定性验算;
2 当基坑底上部土体为不透水层,下部具有承压水头时,坑内土体应按本规范附录W进行抗突涌稳定性验算。
9.5 支护结构内支撑
9.5.1 支护结构的内支撑必须采用稳定的结构体系和连接构造,优先采用超静定内支撑结构体系,其刚度应满足变形计算要求。
条文说明
9.5.1 常用的 内支撑体系有平面支撑体系和竖向斜撑体系两种。
平面支撑体系可以直接平衡支撑两端支护墙上所受到的侧压力,且构造简单,受力明确,适用范围较广。但当构件长度较大时,应考虑平面受弯及弹性压缩对基坑位移的影响。此外,当基坑两侧的水平作用力相差悬殊时,支护墙的位移会通过水平支撑而相互影响,此时应调整支护结构的计算模型。
竖向斜撑体系(图38)的作用是将支护墙上侧压力通过斜撑传到基坑开挖面以下的地基上。它的施工流程是:支护墙完成后,先对基坑中部的土层采取放坡开挖,然后安装斜撑,再挖除四周留下的土坡。对于平面尺寸较大,形状不很规则,但深度较浅的基坑采用竖向斜撑体系施工比较简单,也可节省支撑材料。

由以上两种基本支撑体系,也可以演变为其他支撑体系。如“中心岛”为方案,类似竖向斜撑方案,先在基坑中部放坡挖土,施工中部主体结构,然后利用完成的主体结构安装水平支撑或斜撑,再挖除四周留下的土坡。
当必须利用支撑构件兼作施工平台或栈桥时,除应满足内支撑体系计算的有关规定外,尚应满足作业平台(或栈桥)结构的强度和变形要求,因此需另行设计。
9.5.2 支撑结构计算分析应符合下列原则:
1 内支撑结构应按与支护桩、墙节点处变形协调的原则进行内力与变形分析;
2 在竖向荷载及水平荷载作用下支撑结构的承载力和位移计算应符合国家现行结构设计规范的有关规定,支撑体系可根据不同条件按平面框架、连续梁或简支梁分析;
3 当基坑内坑底标高差异大,或因基坑周边土层分布不均匀,土性指标差异大,导致作用在内支撑周边侧向土压力值变化较大时,应按桩、墙与内支撑系统节点的位移协调原则进行计算;
4 有可靠经验时,可采用空间结构分析方法,对支撑、围檩(压顶梁)和支护结构进行整体计算;
5 内支撑系统的各水平及竖向受力构件,应按结构构件的受力条件及施工中可能出现的不利影响因素,设置必要的连接构件,保证结构构件在平面内及平面外的稳定性。
条文说明
9.5.2 基坑支护结构的内力和变形分析大多采用平面杆系模型进行计算。通常把支撑系统结构视为平面框架,承受支护桩传来的侧向力。为避免计算模型产生“漂移”现象,应在适当部位加设水平约束或采用“弹簧”等予以约束。
当基坑周边的土层分布或土性差异大,或坑内挖深差异大,不同的支护桩其受力条件相差较大时,应考虑支撑系统结点与支撑桩支点之间的变形协调。这时应采用支撑桩与支撑系统结合在一起的空间结构计算简图进行内力分析。
支撑系统中的竖向支撑立柱,应按偏心受压构件计算。计算时除应考虑竖向荷载作用外,尚应考虑支撑横向水平力对立柱产生的弯矩,以及土方开挖时,作用在立柱上的侧向土压力引起的弯矩。
9.5.3 支撑结构的施工与拆除顺序,应与支护结构的设计工况相一致,必须遵循先撑后挖的原则。
条文说明
9.5.3 本条为强制性条文。当采用内支撑结构时,支撑结构的设置与拆除是支撑结构设计的重要内容之一,设计时应有针对性地对支撑结构的设置和拆除过程中的各种工况进行设计计算。如果支撑结构的施工与设计工况不一致,将可能导致基坑支护结构发生承载力、变形、稳定性破坏。因此支撑结构的施工,包括设置、拆除、土方开挖等,应严格按照设计工况进行。
9.6 土层锚杆
9.6.1 土层锚杆锚固段不应设置在未经处理的软弱土层、不稳定土层和不良地质地段,及钻孔注浆引发较大土体沉降的土层。
条文说明
9.6.1 土层锚杆简称土锚,其一端与支护桩、墙连接,另一端锚固在稳定土层中,作用在支护结构上的水土压力,通过自由端传递至锚固段,对支护结构形成锚拉支承作用。因此,锚固段不宜设置在软弱或松散的土层中,锚拉式支承的基坑支护,基坑内部开敞,为挖土、结构施工创造了空间,有利于 提高施工效率和工程质量。
9.6.2 锚杆杆体材料宜选用钢绞线、螺纹钢筋,当锚杆极限承载力小于400kN时,可采用HRB 335钢筋。
9.6.3 锚杆布置与锚固体强度应满足下列要求:
1 锚杆锚固体上下排间距不宜小于2.5m,水平方向间距不宜小于1.5m;锚杆锚固体上覆土层厚度不宜小于4.0m。锚杆的倾角宜为15°~35°;
2 锚杆定位支架沿锚杆轴线方向宜每隔1.0m~2.0m设置一个,锚杆杆体的保护层不得少于20mm;
3 锚固体宜采用水泥砂浆或纯水泥浆,浆体设计强度不宜低于20.0MPa;
4 土层锚杆钻孔直径不宜小于120mm。
条文说明
9.6.3锚杆由多种破坏形式,当依靠锚杆保持结构系统稳定的构件时,设计必须仔细校核各种可能的破坏形式。因此除了要求每根土锚必须能够有足够的承载力之外,还必须考虑包括土锚和地基在内的整体稳定性。通常认为锚固段所需的长度是由于承载力的需要,而土锚所需的总长度则取决于稳定的要求。
在土锚支护结构稳定分析中,往往设有许多假定,这些假定的合理程度,有一定的局限性,因此各种计算往往只能作为工程安全性判断的参考。不同的使用者根据不尽相同的计算方法,采用现场试验和现场监测来评价工程的安全度对重要工程来说是十分必要的。
稳定计算方法依建筑物形状而异。对围护系统这类承受土压力的构筑物,必须进行外部稳定和内部稳定两方面的验算。

1 外部稳定计算
所谓外部稳定是指锚杆、围护系统和土体全部合在一起的整体稳定,如图39(a)。整个土锚均在土体的深滑裂面范围之内,造成整体失稳。一般采用圆弧法具体试算边坡的整体稳定。土锚长度必须超过滑动面,要求稳定安全系数不小于1.30。
2 内部稳定计算
所谓内部稳定计算是指土锚与支护墙基础假想支点之间深滑动面的稳定验算,如图39(b)。内部稳定最常用的计算是采用Kranz稳定分析方法,德国DIN4125、日本JSFD1-77等规范都采用此法,也有的国家如瑞典规范推荐用Brows对Kranz的修正方法。我国有些锚定式支挡工程设计中采用Kranz方法。
9.6.4 锚杆设计应包括下列内容:
1 确定锚杆类型、间距、排距和安设角度、断面形状及施工工艺;
2 确定锚杆自由段、锚固段长度、锚固体直径、锚杆抗拔承载力特征值;
3 锚杆筋体材料设计;
4 锚具、承压板、台座及腰梁设计;
5 预应力锚杆张拉荷载值、锁定荷载值;
6 锚杆试验和监测要求;
7 对支护结构变形控制需要进行的锚杆补张拉设计。
条文说明
9.6.4 锚杆设计包括构件和锚固体截面、锚固段长度、自由段长度、锚固结构稳定性等计算或验算内容。
锚杆支护体系的构造如图40所示。
锚杆支护体系由挡土构筑物、腰梁及托架、锚杆三个部分所组成,以保证施工期间的基坑边坡稳定与安全,见图40。

9.6.5 锚杆预应力筋的截面面积应按下式确定:

条文说明
9.6.5 锚杆预应力筋张拉施工工艺控制系数,应根据锚杆张拉工艺特点确定。当锚杆钢筋或钢绞线为单根时,张拉施工工艺控制系数可取1.0。当锚杆钢筋或钢绞线为多根时,考虑到张拉施工时锚杆钢筋或钢绞线受力的不均匀性,张拉施工工艺控制系数可取0.9。
9.6.6 土层锚杆锚固段长度(La )应按基本试验确定,初步设计时也可按下式估算:

条文说明
9.6.6 土层锚杆的锚固段长度及锚杆轴向拉力特征值应根据土层锚杆锚杆试验(附录Y)的规定确定。
9.6.7 锚杆应在锚固体和外锚头强度达到设计强度的80%以上后逐根进行张拉锁定,张拉荷载宜为锚杆所受拉力值的1.05倍~1.1倍,并在稳定5min~10min后退至锁定荷载锁定。锁定荷载宜取锚杆设计承载力的0.7倍~0.85倍。
9.6.8 锚杆自由段超过潜在的破裂面不应小于1m,自由段长度不宜小于5m,锚固段在最危险滑动面以外的有效长度应满足稳定性计算要求。
9.6.9 对设计等级为甲级的基坑工程,锚杆轴向拉力特征值应按本规范附录Y土层锚杆试验确定。对设计等级为乙、丙级的基坑工程可按物理参数或经验数据设计,现场试验验证。
9.7 基坑工程逆作法
9.7.1 逆作法适用于支护结构水平位移有严格限制的基坑工程。根据工程具体情况,可采用全逆作法,半逆作法,部分逆作法。
9.7.2 逆作法的设计应包含下列内容:
1 基坑支护的地下连续墙或排桩与地下结构侧墙、内支撑、地下结构楼盖体系一体的结构分析计算;
2 土方开挖及外运;
3 临时立柱作法;
4 侧墙与支护结构的连接;
5 立柱与底板和楼盖的连接;
6 坑底土卸载和回弹引起的相邻立柱之间,立柱与侧墙之间的差异沉降对已施工结构受力的影响分析计算;
7 施工作业程序、混凝土浇筑及施工缝处理;
8 结构节点构造措施。
9.7.3 基坑工程逆作法设计应保证地下结构的侧墙、楼板、底板、柱满足基坑开挖时作为基坑支护结构及作为地下室永久结构工况时的设计要求。
9.7.4 当采用逆作法施工时,可采用支护结构体系与地下结构结合的设计方案:
1 地下结构墙体作为基坑支护结构;
2 地下结构水平构件(梁、板体系)作为基坑支护的内支撑;
3 地下结构竖向构件作为支护结构支承柱。
条文说明
9.7.4 支护结构与主体结构相结合,是指在施工期利用地下结构外墙或地下结构的梁、板、柱兼作基坑支护体系,不设置或仅设置部分临时围护支护体系的支护方法。与常规的临时支护方法相比,基坑工程采用支护结构与主体结构相结合的设计施工方法具有诸多的优点,如由于可同时向地上和地下施工因而可以缩短工程的施工工期;水平梁板支撑刚度大,挡土安全性高,围护结构和土体的变形小,对周围的环境影响小;采用封闭逆作施工,施工现场文明;已完成之地面层可充分利用,地面层先行完成,无需架设栈桥,可作为材料堆置场或施工作业场;避免了采用大量临时支撑的浪费现象,工程经济效益显著。
利用地下结构兼作基坑的支护结构,基坑开挖阶段与永久使用阶段的荷载状况和结构状况有较大的差别,因此应分别进行设计和验算,同时满足各种工况下的承载力极限状态和正常使用阶段极限状态的设计要求。
支护结构作为主体地下结构的一部分时,地下结构梁板与地下连续墙、竖向支承结构之间的节点连接是需要重点考虑的内容。所谓变形协调,主要指地下结构尚未完工之前,处于支护结构承载状态时,其变形与沉降量及差异沉降均应在限值规定内,保证在地下结构完工、转换成主体工程基础承载时,与主体结构设计对变形和沉降要求一致,同时要求承载转换前后,结构的节点连接和防水构造等均应稳定可靠,满足设计要求。
9.7.5 当地下连续墙同时作为地下室永久结构使用时,地下连续墙的设计计算尚应符合下列规定:
1 地下连续墙应分别按照承载能力极限状态和正常使用极限状态进行承载力、变形计算和裂缝验算;
2 地下连续墙墙身的防水等级应满足永久结构使用防水设计要求。地下连续墙与主体结构连接的接缝位置(如地下结构顶板、底板位置)根据地下结构的防水等级要求,可设置刚性止水片、遇水膨胀橡胶止水条以及预埋注浆管等构造措施;
3 地下连续墙与主体结构的连接应根据其受力特性和连接刚度进行设计计算;
4 墙顶承受竖向偏心荷载时,应按偏心受压构件计算正截面受压承载力。墙顶圈梁与墙体及上部结构的连接处应验算截面抗剪承载力。
条文说明
9.7.5 “两墙合一”的安全性和可靠性已经得到工程界的普遍认同,并在全国得到了大量应用,已经形成了一整套比较成熟的设计方法。“两墙合一”地下连续墙具有良好的技术经济效果:(1)刚度大、防水性能好;(2)将基坑临时围护墙与永久地下室外墙合二为一,节省了常规地下室外墙的工程量;(3)不需要施工操作空间,可减少直接土方开挖量,并且无需再施工换撑板带和进行回填土工作,经济效果明显,尤其对于红线退界紧张或地下室与邻近建、构筑物距离极近的地下工程,“两墙合一”可大大减小围护体所占空间,具有其它围护形式无可替代的优势;(4)基坑开挖到坑底后,在基础内部结构由下而上施工过程中,“两墙合一”的设计无需再施工地下室外墙,因此比常规两墙分离的工程施工工期要节省,同时也避免了长期困扰地下室外墙浇筑施工过程中混凝土的收缩裂缝问题。
9.7.6 主体地下结构的水平构件用作支撑时,其设计应符合下列规定:
1 用作支撑的地下结构水平构件宜采用梁板结构体系进行分析计算;
2 宜考虑由立柱桩差异变形及立柱桩与围护墙之间差异变形引起的地下结构水平构件的结构次应力,并采取必要措施防止有害裂缝的产生;
3 对地下结构的同层楼板面存在高差的部位,应验算该部位构件的弯、剪、扭承载能力,必要时应设置可靠的水平转换结构或临时支撑等措施;
4 对结构楼板的洞口及车道开口部位,当洞口两侧的梁板不能满足支撑的水平传力要求时,应在缺少结构楼板处设置临时支撑等措施;
5 在各层结构留设结构分缝或基坑施工期间不能封闭的后浇带位置,应通过计算设置水平传力构件。
条文说明
9.7.6 主体地下结构的水平构件用作支撑时,其设计应符合下列规定:
1 结构水平构件与支撑相结合的设计中可用梁板结构体系作为水平支撑,该结构体系受力明确,可根据施工需要在梁间开设孔洞,并在梁周边预留止水片,在逆作法结束后再浇筑封闭;也可采用结构楼板后作的梁格体系,在开挖阶段仅浇筑框架梁作为内支撑,梁格空间均可作为出土口,基础底板浇筑后再封闭楼板结构。另外,结构水平构件与支撑相结合设计中也可采用无梁楼盖作为水平支撑,其整体性好、支撑刚度大,并便于结构模板体系的施工。在无梁楼盖上设置施工孔洞时,一般需设置边梁并附加止水构造。无梁楼板一般在梁柱节点位置设置一定长宽的柱帽,逆作阶段竖向支承钢立柱的尺寸一般仅占柱帽尺寸的比例较小,因此,无梁楼盖体系梁柱节点位置钢筋穿越矛盾相对梁板体系缓和、易于解决。
对用作支撑的结构水平构件,当采用梁板体系且结构开口较多时,可简化为仅考虑梁系的作用,进行在一定边界条件下及在周边水平荷载作用下的封闭框架的内力和变形计算,其计算结果是偏安全的。当梁板体系需考虑板的共同作用,或结构为无梁楼盖时,应采用有限元的方法进行整体计算分析,根据计算分析结果并结合工程概念和经验,合理确定用于结构构件设计的内力。
2 支护结构与主体结构相结合的设计方法中,作为竖向支承的立柱桩其竖向变形应严格控制。立柱桩的竖向变形主要包含两个方面,一方面为基坑开挖卸荷引起的立柱向上的回弹隆起;另一方面为已施工完成的水平结构和施工荷载等竖向荷重的加载作用下,立柱桩的沉降。立柱桩竖向变形量和立柱桩间的差异变形过大时,将引发对已施工完成结构的不利结构次应力,因此在主体地下水平结构构件设计时,应通过验算采取必要的措施以控制有害裂缝的产生。
3 主体地下水平结构作为基坑施工期的水平支撑,需承受坑外传来的水土侧向压力。因此水平结构应具有直接的、完整的传力体系。如同层楼板面标高出现较大的高差时,应通过计算采取有效的转换结构以利于水平力的传递。另外,应在结构楼板出现较大面积的缺失区域以及地下各层水平结构梁板的结构分缝以及施工后浇带等位置,通过计算设置必要的水平支撑传力体系。
9.7.7 竖向支承结构的设计应符合下列规定:
1 竖向支承结构宜采用一根结构柱对应布置一根临时立柱和立柱桩的型式(一柱一桩);
2 立柱应按偏心受压构件进行承载力计算和稳定性验算,立柱桩应进行单桩竖向承载力与沉降计算。立柱与立柱桩的设计计算除应符合本规范外,尚应符合国家现行建筑结构规范的有关规定;
3 在主体结构底板施工之前,相邻立柱桩间以及立柱桩与邻近基坑围护墙之间的差异沉降不宜大于1/400柱距,且不宜大于20mm。作为立柱桩的灌注桩宜采用桩端后注浆措施。
条文说明
9.7.7 竖向支承结构的设计应符合下列规定:1 在支护结构与主体结构相结合的工程中,由于逆作阶段结构梁板的自重相当大,立柱较多采用承载力较高而断面小的角钢拼接格构柱或钢管混凝土柱。
2 立柱应根据其垂直度允许偏差计入竖向荷载偏心的影响,偏心距应按计算跨度乘以允许偏差,并按双向偏心考虑。支护结构与主体结构相结合的工程中,利用各层地下结构梁板作为支护结构的水平内支撑体系。水平支撑的刚度可假定为无穷大,因而钢立柱假定为无水平位移。
3 立柱桩在上部荷载及基坑开挖土体应力释放的作用下,发生竖向变形,同时立柱桩承载的不均匀,增加了立柱桩间及立柱桩与地下连续墙之间产生较大沉降的可能,若差异沉降过大,将会使支撑系统产生裂缝、甚至影响结构体系的安全。控制整个结构的不均匀沉降是支护结构与主体结构相结合施工的关键技术之一。目前事先精确计算立柱桩在底板封闭前的沉降或上抬量还有一定困难,完全消除沉降差也是不可能的,但可通过桩底后注浆等措施,增大立柱桩的承载力并减小沉降,从而达到控制立柱沉降差的目的。
9.8 岩体基坑工程
9.8.1 岩体基坑包括岩石基坑和土岩组合基坑。基坑工程实施前应对基坑工程有潜在威胁或直接危害的滑坡、泥石流,崩塌以及岩溶、土洞强烈发育地段,应在施工前采取可靠的整治措施。
9.8.2 岩体基坑工程设计应对岩体结构、软弱结构面对边坡稳定的影响进行分析。
9.8.3 在岩石边坡整体稳定的条件下,可采用放坡开挖方案。岩石边坡的开挖坡度允许值,应根据当地经验按工程类比的原则,参照本地区已有稳定边坡的坡度值确定。
9.8.4 当整体稳定的软质岩边坡,开挖时应按本规范第6.8.2条的规定对边坡进行构造处理。
9.8.5 对单结构面外倾边坡作用在支挡结构上的横推力,可根据楔形平衡法进行计算,并应考虑结构面填充物的性质及其浸水后的变化。具有两组或多组结构面的交线倾向于临空面的边坡,可采用棱形体分割法计算棱体的下滑力。
9.8.6 对土岩组合基坑,当采用岩石锚杆挡土结构进行支护时,应符合本规范第6.8.2条、第6.8.3条的规定。岩石锚杆的构造要求及设计计算应符合本规范第6.8.4条、第6.8.5条的规定。
条文说明
9.8.1~9.8.6 本节给出岩石基坑和岩土组合基坑的设计原则。
9.9 地下水控制
9.9.1 基坑工程地下水控制应防止基坑开挖过程及使用期间的管涌、流砂、坑底突涌及与地下水有关的坑外地层过度沉降。
条文说明
9.9.1 在高地下水位地区,深基坑工程设计施工中的关键问题之一是如何有效的实施对地下水的控制。地下水控制失效也是引发基坑工程事故的重要源头。
9.9.2 地下水控制设计应满足下列要求:
1 地下工程施工期间,地下水位控制在基坑面以下0.5m~1.5m;
2 满足坑底突涌验算要求;
3 满足坑底和侧壁抗渗流稳定的要求;
4 控制坑外地面沉降量及沉降差,保证临近建、构筑物及地下管线的正常使用。
9.9.3 基坑降水设计应包括下列内容:
1 基坑降水系统设计应包括下列内容:
1) 确定降水井的布置、井数、井深、井距、井径、单井出水量;
2) 疏干井和减压井过滤管的构造设计;
3) 人工滤层的设置要求;
4) 排水管路系统;
2 验算坑底土层的渗流稳定性及抗承压水突涌的稳定性;
3 计算基坑降水域内各典型部位的最终稳定水位及水位降深随时间的变化;
4 计算降水引起的对临近建、构筑物及地下设施产生的沉降;
5 回灌井的设置及回灌系统设计;
6 渗流作用对支护结构内力及变形的影响;
7 降水施工、运营、基坑安全监测要求,除对周边环境的监测外,还应包括对水位和水中微细颗粒含量的监测要求。
条文说明
9.9.3 基坑降水设计时对单井降深的计算,通常采用解析法用裘布衣公式计算。使用时,应注意其适用条件:裘布衣公式假定:(1)进入井中的水流主要是径向水流和水平流;(2)在整个水流深度上流速是均匀一致的(稳定流状态)。要求含水层是均质、各向同性的无限延伸的。单井抽水经一定时间后水量和水位均趋稳定,形成漏斗,在影响半径以外,水位降落为零,才符合公式使用条件。对于潜水,公式使用时,降深不能过大。降深过大时,水流以垂直分量为主,与公式假定不符。常见的基坑降水计算资料,只是一种粗略的计算,解析法不易取得理想效果。
鉴于计算技术的发展,数值法在降水设计中已有大量研究成果,并已在水资源评价中得到了应用。在基坑降水设计中已开始在重大实际工程中应用,并已取得与实测资料相应的印证。所以在设计等级甲级的基坑降水设计,可采用有限元数值方法进行设计。
9.9.4 隔水帷幕设计应符合下列规定:
1 采用地下连续墙或隔水帷幕隔离地下水,隔离帷幕渗透系数宜小于1.0×10-4m/d,竖向截水帷幕深度应插入下卧不透水层,其插入深度应满足抗渗流稳定的要求;
2 对封闭式隔水帷幕,在基坑开挖前应进行坑内抽水试验,并通过坑内外的观测井观察水位变化、抽水量变化等确认帷幕的止水效果和质量;
3 当隔水帷幕不能有效切断基坑深部承压含水层时,可在承压含水层中设置减压井,通过设计计算,控制承压含水层的减压水头,按需减压,确保坑底土不发生突涌。对承压水进行减压控制时,因降水减压引起的坑外地面沉降不得超过环境控制要求的地面变形允许值。
9.9.5 基坑地下水控制设计应与支护结构的设计统一考虑,由降、排水和支护结构水平位移引起的地层变形和地表沉陷不应大于变形允许值。
9.9.6 高地下水位地区,当水文地质条件复杂,基坑周边环境保护要求高,设计等级为甲级的基坑工程,应进行地下水控制专项设计,并应包括下列内容:
1 应具备专门的水文地质勘查资料、基坑周边环境调查报告及现场抽水试验资料;
2 基坑降水风险分析及降水设计;
3 降水引起的地面沉降计算及环境保护措施;
4 基坑渗漏的风险预测及抢险措施;
5 降水运营、监测与管理措施。
检验与监测
10.1 一般规定
10.1.1 为设计提供依据的试验应在设计前进行,平板载荷试验、基桩静载试验、基桩抗拔试验及锚杆的抗拔试验等应加载到极限或破坏,必要时,应对基底反力、分深层沉降、桩身内力和桩端阻力等进行测试。
条文说明
10.1.1 为设计提供依据的试验为基本试验,应在设计前进行。基本试验应加载到极限或破坏,为设计人员提供足够的设计依据。
10.1.2 验收检验静载荷试验最大加载量不应小于承载力特征值的2倍。
条文说明
10.1.2 为验证设计结果或为工程验收提供依据的试验为验收检验。验收检验是利用工程桩、工程锚杆等进行试验,其最大加载量不应小于设计承载力特征值的2倍。
10.1.3 抗拔桩的验收检验应采取工程桩裂缝宽度控制的措施。
条文说明
10.1.3 抗拔桩的验收检验应控制裂缝宽度,满足耐久性设计要求。
10.2 检 验
10.2.1基槽(坑)开挖到底后,应进行基槽(坑)检验。当发现地质条件与勘察报告和设计文件不一致、或遇到异常情况时,应结合地质条件提出处理意见。
条文说明
10.2.1 本条为强制性条文。基槽(坑)检验工作应包括下列内容:
1 应做好验槽(坑)准备工作,熟悉勘察报告,了解拟建建筑物的类型和特点,研究基础设计图纸及环境监测资料。当遇有下列情况时,应列为验槽(坑)的重点:
1)当持力土层的顶板标高有较大的起伏变化时;
2)基础范围内存在两种以上不同成因类型的地层时;
3)基础范围内存在局部异常土质或坑穴、古井、老地基或古迹遗址时;
4)基础范围内遇有断层破碎带、软弱岩脉以及湮废河、湖、沟、坑等不良地质条件时;
5)在雨季或冬季等不良气候条件下施工、基底土质可能受到影响时。
2 验槽(坑)应首先核对基槽(坑)的施工位置。平面尺寸和槽(坑)底标高的容许误差,可视具体的工程情况和基础类型确定。一般情况下,槽(坑)底标高的偏差应控制在0mm~50mm范围内;平面尺寸,由设计中心线向两边量测,长、宽尺寸不应小于设计要求。
验槽(坑)方法宜采用轻型动力触探或袖珍贯入仪等简便易行的方法,当持力层下埋藏有下卧砂层而承压水头高于基底时,则不宜进行钎探,以免造成涌砂。当施工揭露的岩土条件与勘察报告有较大差别或者验槽(坑)人员认为必要时,可有针对性地进行补充勘察测试工作。
3 基槽(坑)检验报告是岩土工程的重要技术档案,应做到资料齐全,及时归档。
10.2.2地基处理的效果检验应符合下列规定:
1 地基处理后载荷试验的数量,应根据场地复杂程度和建筑物重要性确定。对于简单场地上的一般建筑物,每个单体工程载荷试验点数不宜少于3处;对复杂场地或重要建筑物应增加试验点数;
2 处理地基的均匀性检验深度不应小于设计处理深度;
3 对回填风化岩、山坯土、建筑垃圾等特殊土,应采用波速、超重型动力触探、深层载荷试验等多种方法综合评价;
4对遇水软化、崩解的风化岩、膨胀性土等特殊土层,除根据试验数据评价承载力外,尚应评价由于试验条件与实际条件的差异对检测结果的影响;
5 复合地基除应进行静载荷试验外,尚应进行竖向增强体及周边土的质量检验;
6 条形基础和独立基础复合地基载荷试验的压板宽度宜按基础宽度确定。
条文说明
10.2.2 复合地基提高地基承载力、减少地基变形的能力主要是设置了增强体,与地基土共同作用的结果,所以复合地基应对增强体施工质量进行检验。复合地基载荷试验由于试验的压板面积有限,考虑到大面积荷载的长期作用结果与小面积短时荷载作用的试验结果有一定的差异,故需要对载荷板尺寸有限制。条形基础和独立基础复合地基载荷试验的压板宽度的确定宜考虑面积置换率和褥垫层厚度,基础宽度不大时应取基础宽度,基础宽度较大,试验条件达不到时应取较薄厚度褥垫层。对遇水软化、崩解的风化岩、膨胀性土等特殊土层,不可仅根据试验数据评价承载力等,尚应考虑由于试验条件与实际施工条件的差异带来的潜在风险,试验结果宜考虑一定的折减。
10.2.3 在填土压实的过程中,应分层取样检验土的干密度和含水量。检验点数量,对大基坑每50m2~100m2面积内不应少于一个检验点;对基槽每10m~20m不应少于一个检验点;每个独立柱基不应少于一个检验点。采用贯入仪或动力触探检验垫层的施工质量时,分层检验点的间距应小于4m。根据检验结果求得的压实系数,不得低于本规范表6.3.7的规定。
条文说明
10.2.3 在压(或夯)实填土的过程中,取样检验分层土的厚度视施工机械而定,一般情况下宜按200mm~500mm分层进行检验。
10.2.4 压实系数可采用环刀法、灌砂法、灌水法或其他方法检验。
条文说明
10.2.4 利用贯入仪检验垫层质量,通过现场对比试验确定其击数与干密度的对应关系。
垫层质量的检验可采用环刀法;在粗粒土垫层中,可采用灌水法、灌砂法进行检验。
10.2.5 预压处理的软弱地基,在预压前后应分别进行原位十字板剪切试验和室内土工试验。预压处理的地基承载力应进行现场载荷试验。
条文说明
10.2.5 预压处理的软弱地基,应在预压区内预留孔位,在预压前后堆载不同阶段进行原位十字板剪切试验和取土室内土工试验,检验地基处理效果。
10.2.6 强夯地基的处理效果应采用载荷试验结合其他原位测试方法检验。强夯置换的地基承载力检验除应采用单墩载荷试验检验外,尚应采用动力触探等方法查明施工后土层密度随深度的变化。强夯地基或强夯置换地基载荷试验的压板面积应按处理深度确定。
条文说明
10.2.6 强夯地基或强夯置换地基载荷试验的压板面积应考虑压板的尺寸效应,应采用大压板载荷试验,根据处理深度的大小,压板面积可采用1m2~4m2,压板最小直径不得小于1m。
10.2.7 砂石桩、振冲碎石桩的处理效果应采用复合地基荷载试验方法检验。大型工程及重要建筑应采用多桩复合地基荷载试验方法检验;桩间土应在处理后采用动力触探、标准贯入、静力触探等原位测试方法检验。砂石桩、振冲碎石桩的桩体密实度可采用动力触探方法检验。
条文说明
10.2.7 砂石桩对桩体采用动力触探方法检验,对桩间土采用标准贯入、静力触探或其他原位测试方法进行检验可检测砂石桩及桩间土的挤密效果。如处理可液化地层时,可按标准贯入击数来衡量砂性土的抗液化性。
10.2.8 水泥搅拌桩成桩后可进行轻便触探和标准贯入试验结合钻取芯样、分段取芯样做抗压强度试验评价桩身强度。
10.2.9 水泥土搅拌桩复合地基承载力检验应进行单桩载荷试验和复合地基载荷试验。
条文说明
10.2.8、10.2.9 水泥土搅拌桩进行标准贯入试验后对成桩质量有怀疑时可采用双管单动取样器对桩身钻芯取样,制成试块,测试桩身实际强度。钻孔直径不宜小于108mm。由于取芯和试样制作原因,桩身钻芯取样测试的桩身强度应该是较高值,评价时应给予注意。
单桩载荷试验和复合地基载荷试验是检验水泥土搅拌桩质量的最直接有效的方法,一般在龄期28d后进行。
10.2.10 复合地基应进行桩身完整性和单桩竖向承载力检验以及单桩或多桩复合地基载荷试验,施工工艺对桩间土承载力有影响时还应进行桩间土承载力检验。
条文说明
10.2.10 本条为强制性条文。刚性桩复合地基单桩的桩身完整性检测可采用低应变法;单桩竖向承载力检测可采用静载荷试验;刚性桩复合地基承载力可采用单桩或多桩复合地基载荷试验。当施工工艺对地基土承载力影响较小时,可采用单桩静载荷试验和桩间土静载荷试验结果确定刚性桩复合地基承载力。
10.2.11 对打入式桩、静力压桩,应提供经确认的施工过程有关参数。施工完成后尚应进行桩顶标高、桩位偏差等检验。
条文说明
10.2.11 预制打入桩、静力压桩应提供经确认的桩顶标高、桩底标高、桩端进入持力层的深度等。其中预制桩还应提供打桩的最后三阵锤贯入度、总锤击数等,静力压桩还应提供最大压力值等。
当预制打入桩、静力压桩的入土深度与勘察资料不符或对桩端下卧层有怀疑时,可采用补勘方法,检查自桩端以上1m起至下卧层5d范围内的标准贯入击数和岩土特性。
10.2.12 对混凝土灌注桩,应提供施工过程有关参数,包括原材料的力学性能检验报告,试件留置数量及制作养护方法、混凝土抗压强度试验报告,钢筋笼制作质量检查报告。施工完成后尚应进行桩顶标高、桩位偏差等检验。
条文说明
10.2.12 混凝土灌注桩提供经确认的参数应包括桩端进入持力层的深度,对锤击沉管灌注桩,应提供最后三阵锤贯入度、总锤击数等。对钻(冲)孔桩,应提供孔底虚土或沉渣情况等。当锤击沉管灌注桩、冲(钻)孔灌注桩的入土(岩)深度与勘察资料不符或对桩端下卧层有怀疑时,可采用补勘方法,检查自桩端以上1m起至下卧层5d范围内的岩土特性。
10.2.13 人工挖孔桩终孔时,应进行桩端持力层检验。单柱单桩的大直径嵌岩桩,应视岩性检验孔底下3倍桩身直径或5m深度范围内有无土洞、溶洞、破碎带或软弱夹层等不良地质条件。
条文说明
10.2.13 本条为强制性条文。人工挖孔桩应逐孔进行终孔验收,终孔验收的重点是持力层的岩土特征。对单柱单桩的大直径嵌岩桩,承载能力主要取决嵌岩段岩性特征和下卧层的持力性状,终孔时,应用超前钻逐孔对孔底下3d或5m深度范围内持力层进行检验,查明是否存在溶洞、破碎带和软夹层等,并提供岩芯抗压强度试验报告。
终孔验收如发现与勘察报告及设计文件不一致,应由设计人提出处理意见。缺少经验时,应进行桩端持力层岩基原位荷载试验试验。
10.2.14 施工完成后的工程桩应进行桩身完整性检验和竖向承载力检验。承受水平力较大的桩应进行水平承载力检验,抗拔桩应进行抗拔承载力检验。
条文说明
10.2.14 本条为强制性条文。单桩竖向静载试验应在工程桩的桩身质量检验后进行。
10.2.15 桩身完整性检验宜采用两种或多种合适的检验方法进行。直径大于800mm的混凝土嵌岩桩应采用钻孔抽芯法或声波透射法检测,检测桩数不得少于总桩数的10%,且不得少于10根,且每根柱下承台的抽检桩数不应少于1根。直径不大于800mm的桩以及直径大于800mm的非嵌岩桩,可根据桩径和桩长的大小,结合桩的类型和当地经验采用钻孔抽芯法、声波透射法或动测法进行检测。检测的桩数不应少于总桩数的10%,且不得少于10根。
条文说明
10.2.15 桩基工程事故,有相当部分是因桩身存在严重的质量问题而造成的。桩基施工完成后,合理地选取工程桩进行完整性检测,评定工程桩质量是十分重要的。抽检方式必须随机、有代表性。常用桩基完整性检测方法有钻孔抽芯法、声波透射法、高应变动力检测法、低应变动力检测法等。其中低应变方法方便灵活,检测速度快,适宜用于预制桩、小直径灌注桩的检测。一般情况下低应变方法能可靠地检测到桩顶下第一个浅部缺陷的界面,但由于激振能量小,当桩身存在多个缺陷或桩周土阻力很大或桩长较大时,难以检测到桩底反射波和深部缺陷的反射波信号,影响检测结果准确度。改进方法是加大激振能量,相对地采用高应变检测方法的效果要好,但对大直径桩,特别是嵌岩桩,高、低应变均难以取得较好的检测效果。钻孔抽芯法通过钻取混凝土芯样和桩底持力层岩芯,既可直观地判别桩身混凝土的连续性,持力层岩土特征及沉渣情况,又可通过芯样试压,了解相应混凝土和岩样的强度,是大直径桩的重要检测方法。不足之处是一孔之见,存在片面性,且检测费用大,效率低。声波透射法通过预埋管逐个剖面检测桩身质量,既能可靠地发现桩身缺陷,又能合理地评定缺陷的位置、大小和形态,不足之处是需要预埋管,检测时缺乏随机性,且只能有效检测桩身质量。实际工作中,将声波透射法与钻孔抽芯法有机地结合起来进行大直径桩质量检测是科学、合理,且是切实有效的检测手段。
直径大于800mm的嵌岩桩,其承载力一般设计得较高,桩身质量是控制承载力的主要因素之一,应采用可靠的钻孔抽芯或声波透射法(或两者组合)进行检测。每个柱下承台的桩抽检数不得少于一根的规定,涵括了单柱单桩的嵌岩桩必须 100%检测,但直径大于 800mm非嵌岩桩检测数量不少于总桩数的10%。小直径桩其抽检数量宜为20%。
10.2.16 竖向承载力检验的方法和数量可根据地基基础设计等级和现场条件,结合当地可靠的经验和技术确定。复杂地质条件下的工程桩竖向承载力的检验应采用静载荷试验,检验桩数不得少于同条件下总桩数的1%,且不得少于3根。大直径嵌岩桩的承载力可根据终孔时桩端持力层岩性报告结合桩身质量检验报告核验。
条文说明
10.2.16 工程桩竖向承载力检验可根据建筑物的重要程度确定抽检数量及检验方法。对地基基础设计等级为甲、乙级的工程,宜采用慢速静荷载加载法进行承载力检验。
对预制桩和满足高应变法适用检测范围的灌注桩,当有静载对比试验时,可采用高应变法检验单桩竖向承载力,抽检数量不得少于总桩数的5%,且不得少于5根。
超过试验能力的大直径嵌岩桩的承载力特征值检验,可根据超前钻及钻孔抽芯法检验报告提供的嵌岩深度、桩端持力层岩石的单轴抗压强度、桩底沉渣情况和桩身混凝土质量,必要时结合桩端岩基荷载试验和桩侧摩阻力试验进行核验。
10.2.17水平受荷桩和抗拔桩承载力的检验可分别按本规范附录S 单桩水平载荷试验和附录T 单桩竖向抗拔静载试验的规定进行,检验桩数不得少于同条件下总桩数的1%,且不得少于3根。
10.2.18 地下连续墙应提交经确认的有关成墙记录和施工报告。地下连续墙完成后应进行墙体质量检验。检验方法可采用钻孔抽芯或声波透射法,非承重地下连续墙检验槽段数不得少于同条件下总槽段数的10%;对承重地下连续墙检验槽段数不得少于同条件下总槽段数的20%。
条文说明
10.2.18 对地下连续墙,应提交经确认的成墙记录主要包括槽底岩性、入岩深度、槽底标高、槽宽、垂直度、清渣、钢筋笼制作和安装质量、混凝土灌注质量记录及预留试块强度检验报告等。由于高低应变检测数学模型与连续墙不符,对地下连续墙的检测,应采用钻孔抽芯或声波透射法。对承重连续墙,检验槽段不宜少于同条件下总槽段数的20%。
10.2.19 基础抗浮(拔)锚杆完成后应按本规范附录M进行抗拔承载力检验,检验数量不得少于抗浮(拔)锚杆总数的5%,且不得少于6根。
条文说明
10.2.19 基础抗浮(拔)锚杆现在已普遍使用,代替抗拔桩经济效益显著。本规范2002版规定检验数量不得少于锚杆总数的3%,为了更好控制抗浮(拔)锚杆施工质量,提高检验数量,规定检验数量不得少于锚杆总数的5%,但最少抽检数量不变。
10.2.20 当检验发现地基处理的效果、桩身或地下连续墙质量、桩或抗浮(拔)锚杆承载力不满足设计要求时,应结合工程场地地质和施工情况综合分析,必要时应扩大检验数量,提出处理意见。
10.3 监 测
10.3.1 大面积填方、填海等地基处理工程,应对地面沉降进行长期监测,直到沉降达到稳定标准;施工过程中还应对土体位移、孔隙水压力等进行监测。
条文说明
10.3.1 监测剖面及监测点数量应满足监控到填土区的整体稳定性及边界区边坡的滑移稳定性的要求。
10.3.2 基坑开挖应根据设计要求进行监测,实施动态设计和信息化施工。
条文说明
10.3.2 本条为强制性条文。由于设计、施工不当造成的基坑事故时有发生,人们认识到基坑工程的监测是实现信息化施工、避免事故发生的有效措施,又是完善、发展设计理论、设计方法和提高施工水平的重要手段。
根据基坑开挖深度及周边环境保护要求确定基坑的地基基础设计等级,依据地基基础设计等级对基坑的监测内容、数量、频次、报警标准及抢险措施提出明确要求,实施动态设计和信息化施工。本条列为强制性条文,使基坑开挖过程必须严格进行第三方监测,确保基坑及周边环境的安全。
10.3.3 施工过程中降低地下水对周边环境影响较大时,应对地下水位变化、周边建筑物的沉降和位移、土体变形、地下管线变形等进行监测。
条文说明
10.3.3 人工挖孔桩降水、基坑开挖降水等都对环境有一定的影响,为了确保周边环境的安全和正常使用,施工降水过程中应对地下水位变化、周边地形、建筑物的变形、沉降、倾斜、裂缝和水平位移等情况进行监测。
v 10.3.4预应力锚杆施工完成后应对锁定的预应力进行监测,监测锚杆数量不得少于锚杆总数的5%,且不得少于6根。
条文说明
10.3.4 预应力锚杆施加的预应力实际值因锁定工艺不同和基坑及周边条件变化而发生改变,需要监测。当监测的锚头预应力不足设计锁定值的70%,且边坡位移超过设计警戒值时,应对预应力锚杆重新进行张拉锁定。
10.3.5基坑开挖监测包括支护结构的内力和变形,地下水位变化及周边建(构)筑物、地下管线等市政设施的沉降和位移等监测内容可按表10.3.5选择。

注: 1 √为应测项目,△为宜测项目,○为可不测项目;
2 对深度超过15m的基坑宜设坑底土回弹监测点;
3 基坑周边环境进行保护要求严格时,地下水位监测应包括对基坑内、外地下水位进行监测。
条文说明
10.3.5 监测项目选择应根据基坑支护形式、地质条件、工程规模、施工工况与季节及环境保护的要求等因素综合而定。对设计等级为丙级的基坑也提出了监测要求,对每种等级的基坑均增加了地面沉降监测要求。
10.3.6 边坡工程施工过程中,应严格记录气象条件、挖方、填方、堆载等情况。尚应对边坡的水平位移和竖向位移进行监测,直到变形稳定为止,且不得少于二年。爆破施工时,应监控爆破对周边环境的影响。
条文说明
10.3.6 监测值的变化和周边建(构)筑物、管线允许的最大沉降变形是确定监控报警标准的主要因素,其中周边建(构)筑物原有的沉降与基坑开挖造成的附加沉降迭加后,不能超过允许的最大沉降变形值。
爆破对周边环境的影响程度与炸药量、引爆方式、地质条件、离爆破点距离等有关,实际影响程度需对测点的振动速度和频率进行监测确定。
10.3.7对挤土桩布桩较密或周边环境保护要求严格时,应对打桩过程中造成的土体隆起和位移、邻桩桩顶标高及桩位、孔隙水压力等进行监测。
条文说明
10.3.7 挤土桩施工过程中造成的土体隆起等挤土效应,不但影响周边环境,也会造成邻桩的抬起,严重影响成桩质量和单桩承载力,应实施监控。监测结果反映土体隆起和位移、邻桩桩顶标高及桩位偏差超出设计要求时,应提出处理意见。
10.3.8 下列建筑物应在施工期间及使用期间进行沉降变形观测:
1 地基基础设计等级为甲级建筑物;
2 软弱地基上的地基基础设计等级为乙级建筑物;
3 处理地基上的建筑物;
4 加层、扩建建筑物;
5 受邻近深基坑开挖施工影响或受场地地下水等环境因素变化影响的建筑物;
6 采用新型基础或新型结构的建筑物。
条文说明
10.3.8 本条为强制性条文。本条所指的建筑物沉降观测包括从施工开始,整个施工期内和使用期间对建筑物进行的沉降观测。并以实测资料作为建筑物地基基础工程质量检查的依据之一,建筑物施工期的观测日期和次数,应根据施工进度确定,建筑物竣工后的第一年内,每隔2~3月观测一次,以后适当延长至4~6月,直至达到沉降变形稳定标准为止。
10.3.9 需要积累建筑物沉降经验或进行设计反分析的工程,应进行建筑物沉降观测和基础反力监测。沉降观测宜同时设分层沉降监测点。
