Appearance
《预应力混凝土管桩技术标准[附条文说明]》JGJ/T 406-2017
🗓️ 住房和城乡建设部 实施时间:2018-02-01
前言
中华人民共和国行业标准
预应力混凝土管桩技术标准
Technical standard for prestressed concrete pipe pile
JGJ/T 406-2017
批准部门:中华人民共和国住房和城乡建设部
施行日期:2018年2月1日
中华人民共和国住房和城乡建设部公告
第1650号
住房城乡建设部关于发布行业标准《预应力混凝土管桩技术标准》的公告
现批准《预应力混凝土管桩技术标准》为行业标准,编号为JGJ/T 406-2017,自2018年2月1日起实施。
本标准在住房城乡建设部门户网站(www.mohurd.gov.cn)公开,并由我部标准定额研究所组织中国建筑工业出版社出版发行。
中华人民共和国住房和城乡建设部
2017年8月23日
前言
根据住房和城乡建设部《关于印发<2014年工程建设标准规范制订修订计划>的通知》(建标[2013]169号文)的要求,标准编制组经调查研究,认真总结实践经验,参考有关国际标准和国外先进标准,并在广泛征求意见的基础上,编制本标准。
本标准主要内容是:1.总则;2.术语和符号;3.基本规定;4.材料与分类;5.基础设计;6.复合地基;7.基坑支护;8.施工;9.质量检测与验收。
本标准由住房和城乡建设部负责管理,由建华建材投资有限公司负责具体技术内容的解释。执行本标准过程中如有意见或建议,请寄送建华建材投资有限公司(地址:江苏省镇江市润州区冠城路8号工人大厦12层建华建材投资有限公司,邮编:212003)。
本标准主编单位 :建华建材投资有限公司
中国建筑科学研究院
本标准参编单位 :华东建筑设计研究院有限公司
中交上海港湾工程设计研究院有限公司
广东省建筑工程集团有限公司
上海市基础工程集团有限公司
清华大学
天津大学
国家建筑工程质量监督检验中心
安徽省建筑科学研究设计院
湖北省建筑科学研究院
河北省建筑科学研究院
福建省建筑科学研究院
江苏省建筑科学研究院有限公司
郑州大学综合设计研究院
合肥工业大学
河北工业大学
上海市政工程设计研究总院(集团)有限公司
浙江大学建筑设计研究院有限公司
建基建设集团有限公司
上海强劲地基工程股份有限公司
本标准主要起草人员 :张雁 高文生 王卫东 周国然 徐天平 周同和 郑刚 李耀良 张建民 陈凡 袁内镇 郭杨 张振拴 侯伟生 胡明亮 刘春原 杨成斌 吴江斌 宋青君 陈巧 吴锋 秋仁东 王非 施峰 宋伟民 干钢 沈国勤 郭利生 赵晓光 王理想 李志刚
本标准主要审查人员 :龚晓南 顾晓鲁 顾国荣 戴一鸣 刘小敏 康景文 樊有维 朱兆晴 刘松玉 施祖元 李术才
1 总则
1 总 则
1.0.1 为规范预应力混凝土管桩工程应用,贯彻执行国家的技术经济政策,做到安全适用、经济合理、保护环境,制定本标准。
1.0.2 本标准适用于建筑工程中预应力混凝土管桩的设计、施工、检测与验收。
条文说明
1.0.1、1.0.2 混凝土管桩在国内外的应用已有90多年的历史,预应力混凝土管桩也有60多年的历史,预应力高强混凝土管桩有50年的历史。研究、生产、使用混凝土管桩较多的国家主要有日本、中国、美国、加拿大、意大利、英国、荷兰、德国等,尤其是处于地震活跃地带中的日本,是世界上管桩应用最早、在桩基工程中用量占比最多的国家之一。我国早在1944年就开始生产离心钢筋混凝土管桩(RC管桩)。20世纪60年代,由于铁路建设的需要,研发了预应力钢筋混凝土管桩(PC管桩),并批量生产
550的PC管桩;20世纪70年代,由于港口建设的需要,研制生产了大直径的后张法预应力混凝土管桩(雷蒙特桩)。20世纪80年代,先后开发生产了先张法预应力高强混凝土管桩(PHC管桩)和先张法预应力混凝土薄壁管桩(PTC管桩)。 随着城市化建设的快速发展,预应力混凝土管桩的应用领域不断扩大,管桩及其配套产品逐步形成了一个新兴的行业,得到了快速发展。据不完全统计,目前全国管桩生产企业约600家,分布在25个省市自治区,与管桩相关的上下游产业包括设备、材料(钢材、砂石)等行业,带动着几百家设备制造企业、材料制造企业、供应商等行业的上下游配套企业,为管桩行业配套的辅助产品年产值超过1000亿元,为社会提供了几十万个就业岗位。产量已由最初的几万米发展至3.5亿延米,占据预制桩基础总量的90%以上,产值超过600亿元。我国已成为全球生产应用预应力混凝土管桩最多的国家。随着国产化能力和机械装备技术水平的提高,管桩的生产装备已全部实现国产,并且逐步出口东南亚等国家。管桩所用的PC钢棒经过消化吸收,国产母材的质量稳定性和加工工艺水平有了大幅度提高,产品质量可达到进口同类产品的水平,完全满足了我国管桩生产的需求,并且也已出口日本、东南亚等国家和地区。本标准主要是对采用钢棒生产的先张法预应力混凝土管桩的设计、施工、检测与验收等方面做出相关规定。目前,国内管桩生产和应用主要向工艺装备及生产线的机械化和自动化、生产过程的节能环保、适应不同地质条件的特殊桩型、组合配桩设计及钻(引)孔植桩施工工法等方向发展。由于管桩具备先进的生产工艺及完善的标准体系,产品质量得到了良好保证,管桩经过钢筋骨架编笼、配制混凝土拌合物、混凝土喂料、合模、施加预应力、高速离心、蒸养、预应力放张、拆模、(压蒸养护)等工艺流程制作而成,在工业和民用建筑、公路、铁路、港口、机场、水利等领域的国家重点工程均使用了预应力混凝土管桩,为国家经济建设发挥了重要作用。为贯彻执行国家的技术经济政策,结合我国管桩生产及应用的实践经验与技术发展水平,整合现行国家及行业技术标准,编制管桩行业标准成为必然。
1.0.3 管桩的应用应根据地质条件、工程性质、荷载分布特征、施工技术条件与环境保护等因素优化设计,因地制宜地选择施工工艺、精心施工、严格监控。
条文说明
1.0.3 本条强调管桩应用应考虑的各种主要因素,特别是施工方法选择应考虑因地制宜、环境保护等技术条件。认真勘察、优化设计、精心施工、严格监控,是保证管桩做到安全适用、经济合理、质量可控的前提。
1.0.4 预应力混凝土管桩应用除应符合本标准的规定外,尚应符合国家现行有关标准的规定。
2 术语和符号
2.1 术语
2 术语和符号
2.1 术 语
2.1.1 预应力混凝土管桩 prestressed concrete pipe pile
采用离心和预应力工艺成型的圆环形截面的预应力混凝土桩,简称管桩。桩身混凝土强度等级为C80及以上的管桩为高强混凝土管桩(简称PHC管桩),桩身混凝土强度等级为C60的管桩为混凝土管桩(简称PC管桩),主筋配筋形式为预应力钢棒和普通钢筋组合布置的高强混凝土管桩为混合配筋管桩(简称PRC管桩)。
2.1.2 管桩基础 concrete pipe pile foundation
由沉入土(岩)层中的管桩和连接于桩顶的承台共同组成的建(构)筑物基础。
2.1.3 锤击贯入法 hammer-driving method
利用锤击设备将管桩打至土(岩)层设计深度的沉桩施工方法。
2.1.4 静力压桩法 jacked driving method
利用静压设备将管桩压至土(岩)层设计深度的沉桩施工方法。
2.1.5 中掘法 method of dig construction
在管桩中空部插入专用钻头,边钻孔取土边将桩沉入土(岩)中的沉桩施工方法。
2.1.6 植入法 method of planting pile
预先用钻机在桩位处钻孔或采用搅拌、旋喷成桩,然后将管桩植入其中的施工方法。
2.1.7 终压控制标准 standard for stop pressing
将桩沉至设计要求时终止压桩的施工控制条件。
2.1.8 抱压式压桩机 pile pressing machine with cramp press-ing type
在桩身侧部施加压力的液压式压桩机。
2.1.9 桩身抱压允许压桩力 allowable pressure of pile with cramp pressing
桩身允许的最大抱压力。
2.1.10 顶压式压桩机 pile pressing machine with top pressing type
在桩顶部施加压力作用的液压式压桩机。
2.1.11 桩身顶压允许压桩力 allowable pressure of pile with top pressing
桩身允许的最大顶压力。
2.1.12 填芯混凝土 filling concrete for pipe pile head
填筑在管桩顶部或底部内腔一定深度的混凝土。
2.1.13 送桩 pile following
沉桩过程中,借助送桩器将桩顶送至设计要求标高的施工工序。
2.1.14 管桩土塞效应 plugging effect of pipe pile
开口桩尖沉桩过程中,土体涌入管桩内的土芯固结闭塞后对桩端阻力发挥程度的影响效应。
2.1.15 复压 repeated pressing
静力压桩施工完成后,间隔一段时间再次施压的作业方法。
2.1.16 收锤标准 standard for stop hammering
将桩端沉至设计要求时终止锤击的控制条件。
2.1.17 贯入度 penetration
用落锤锤击管桩一定击数后,管桩进入上(岩)层中的深度。
2.2 符号
2.2 符 号
2.2.1 几何参数
A——管桩桩身横截面面积;
A p ——管桩由外径计算得到的面积;
A p1 ——管桩空心部分敞口面积;
A py ——全部纵向预应力钢棒的总截面面积;
A s ——全部纵向非预应力钢筋的总截面面积;
A sd ——填芯混凝土纵向钢筋总截面面积;
D p ——纵向预应力钢棒分布圆的直径;
d、d 1 ——管桩外径、内径;
d e ——预应力钢棒的公称直径;
h b ——桩端进入持力层深度;
L a ——填芯混凝土高度;
l i ——桩周第i层土(岩)的厚度;
r p 、r s ——纵向预应力钢棒、非预应力钢筋重心所在圆周的半径;
t——管桩壁厚;
t s ——端板厚度;
u——桩身周长;
u l ——桩群外围周长。
2.2.2 作用和作用效应
F k ——按荷载效应标准组合计算的作用于承台顶面的竖向力;
G k ——桩基承台和承台上土自重标准值;
H ik ——按荷载效应标准组合计算的作用于第i基桩或复合基桩的水平力:
H k ——按荷载效应标准组合计算的作用于承台底面的水平力;
M k ——接桩处按荷载效应标准组合计算的弯矩值;
M xk ,M yk ——按荷载效应标准组合计算的作用于承台底面的外力,绕通过桩群形心的x、y主轴的力矩;
N k ——相应于荷载效应标准组合时,轴心竖向力作用下任一单桩的竖向力;
N ik ——按荷载效应标准组合计算的偏心竖向力作用下笫i根桩的竖向力;
N tk ——按荷载效应标准组合计算的作用于单桩桩顶的竖向拔力;
N Ekmax ——相应于荷载效应标准组合时偏心竖向力作用下单桩最大竖向力;
x i 、x j 、y i 、y j ——第i、j基桩或复合桩基至y、x轴的距离。
2.2.3 抗力和材料性能
E c ——桩身混凝土的弹性模量;
E s ——预应力钢棒的弹性模量;
f yk ——非预应力钢筋抗拉强度标准值;
f c ——桩身混凝土轴心抗压强度设计值;
f ck ——桩身混凝土轴心抗压强度标准值;
f cu,k ——管桩桩身混凝土立方体抗压强度标准值;
f n ——填芯混凝土与管桩内壁的粘结强度设计值;
f t ——桩身混凝土轴心抗拉强度设计值;
f tk ——混凝土轴心抗拉强度标准值;
f w t ——焊缝抗拉强度设计值;
f v ——端板抗剪强度设计值;
f py ——预应力钢棒的抗拉强度设计值;
f′ py ——预应力钢棒的抗压强度设计值;
f ptk ——预应力钢棒抗拉强度标准值;
f y ——非预应力钢筋抗拉强度设计值;
f spa ——经深度修正后的复合地基承载力特征值;
f t1 ——填芯混凝土的抗拉强度设计值;
f yv ——箍筋抗拉强度设计值;
f w t ——焊缝抗拉强度设计值;
G p ——基桩自重;
G gp ——群桩基础所包围体积的桩土总自重除以总桩数;
M——管桩桩身受弯承载力设计值;
M u ——管桩桩身受弯承载力极限值;
M cr ——管桩桩身开裂弯矩;
N——按荷载效应标准组合计算的轴心竖向力作用下单桩所受竖向力设计值;
N t ——单桩抗拔力设计值;
Q uk ——单桩竖向极限承载力标准值;
Q sk 、Q pk ——总极限侧阻力标准值、总极限端阻力标准值;
q sik 、q pk ——桩侧第i层土的极限侧阻力标准值、极限端阻力标准值;
q p ——桩端阻力特征值;
q si ——桩周第i层土的侧阻力特征值;
R——基桩或复合基桩竖向承载力特征值;
R h ——单桩基础或群桩中基桩的水平承载力特征值;
R a ——单桩竖向抗压承载力特征值;
R ha ——单桩水平承载力特征值;
R m ——桩身的抗弯承载力特征值;
R ta ——单桩抗拔承载力特征值;
R v ——管桩桩身斜截面受剪承载力设计值;
R b ——桩身允许抱压压桩力;
R d ——桩身允许顶压压桩力;
V——管桩剪力设计值;
σ ck ——荷载效应标准组合下桩身混凝土正截面法向拉应力;
σ pc ——管桩桩身截面混凝土有效预压应力;
σ p0 ——预应力钢棒合力点处混凝土法向应力等于零时的预应力钢棒应力。
2.2.4 计算参数及其他
d m ——基础埋置深度;
n——群桩基础中的桩数;
v x ——管桩桩顶水平位移系数;
α E ——钢筋弹性模量与混凝土弹性模量之比;
α p ——桩端端阻力发挥系数;
β c ——混凝土强度影响系数;
γ——考虑离心工艺影响及截面抵抗矩塑性影响的综合系数;
γ 0 ——结构重要性系数;
γ m ——基础底面以上土的加权平均重度;
λ i ——管桩抗拔系数;
λ p ——桩端土塞效应修正系数;
μ——截桩后混凝土的有效预压应力折减系数;
X 0a ——管桩桩顶允许水平位移。
3 基本规定
3 基本规定
3.0.1 用于桩基础、地基处理及基坑支护工程的管桩几何尺寸和桩身力学性能宜符合本标准附录A的规定。
条文说明
3.0.1 随着我国预应力混凝土管桩生产、应用的快速发展,管桩的应用范围越来越广,在工业与民用建筑、市政、水利、公路、桥梁、码头等工程中得到了广泛应用。近年来,为改善管桩的工作性能,提高管桩的抗弯、抗水平以及抗震能力,同时也为了扩大管桩的应用范围,本标准除了包含传统常见的预应力高强混凝土管桩(PHC管桩)、预应力混凝土管桩(PC管桩)等桩型外,还将近年来涌现出的混合配筋管桩(PRC管桩)也涵盖在内。
3.0.2 岩土工程勘察报告有关管桩选用的评价应包括下列内容:
1 评价管桩应用于该场地的适宜性;
2 当场地中存在孤石、坚硬夹层、障碍物、岩溶、土洞和构造断裂等不良地质条件时,评价沉桩可行性并提出可行的沉桩方法或替代施工方法。
3.0.3 抗震设防区的管桩基础设计应符合现行国家标准《建筑抗震设计规范》GB 50011的有关规定。
3.0.4 管桩的耐久性应满足设计使用年限的要求。
3.0.5 管桩施工监控应保证桩身完整、无损伤。沉桩方法的选用应根据具体的地质情况、工程特点、场地施工条件以及挤土、施工振动、噪声等对周边环境和安全影响等因素确定。
3.0.6 当沉桩施工遇到下列情况时,宜采用植入法或中掘法沉桩:
1 影响桩身质量、邻近建(构)筑物、地下管线的正常使用和安全时;
2 当遇到密实的砂土、碎(卵)石土等硬土夹层,桩端难于沉到设计标高时;
3 当遇到坚硬岩、较硬岩层或遇有漂石、孤石时。
条文说明
3.0.6 管桩桩身强度较高,可穿越各类软土、填土、可塑状黏性土、粉土、松散或稍密的砂土,进入硬塑或坚硬状黏性土、密实的砂土、碎石土、强风化岩层及中风化极软岩层一定深度。目前预应力管桩的施工方法主要有锤击贯入法、静力压桩法及植入法、中掘法等。锤击贯入沉桩时存在桩身较易损伤、对环境有噪声、振动、油烟污染等问题,它的应用在城市中受到了一定的限制。但由于锤击法具有低成本、穿透土层能力强、施工方便等优点,在环境条件允许的地方仍有很大的市场。 静力压桩法适用于浅层土易穿越,桩端持力层较致密、坚硬的场地。桩端持力层可选择硬塑、坚硬黏土,中密-密实的粉土和砂土、碎石土、全风化岩层和强风化岩层。表层土质软弱且压机作业面承载力低的场地应预先处理,方可采用静力压桩法,以免在这样的场地出现桩机陷机、桩位偏移过大、周边环境隆沉而对邻近道路、管线、建筑物产生危害等事故。当采用抱压方式沉桩时,由于抱压力过大而发生桩身破损的现象也时有发生。 因此,当场地存在含孤石或障碍物较多且不易清除的地层,桩端以上存在难以穿透的坚硬黏性土、密实的砂土、碎石土层的场地时或可能因锤击、抱压力过大引起桩身破损时,宜选用植入法或中掘法沉桩,并应通过现场沉桩工艺试验确定其适用性。另外,采用植入工法具有以下几个优点:①施工时挤土效应小;②成桩后桩身完整无损伤;③桩身承载力及耐久性提高。 管桩施工也可配合引孔辅助法沉桩,它是减轻挤土效应常用的一种有效方法,也可以采用引孔法穿越坚硬夹层增加桩的入土深度。
3.0.7 管桩基础施工前宜在现场进行沉桩工艺试验。当采用锤击法施工工艺时,宜同时进行沉桩工艺监测。
条文说明
3.0.7 通过现场沉桩工艺试验,可评价选用合适的沉桩方法,确定施工方法的相关工艺控制参数。沉桩工艺试验可为成桩设备、工艺的选择提供参考,可用来确定桩长、承载力等参数,评估成桩施工过程中对场地土、周围环境的影响。
3.0.8 污染土和地下水对管桩的腐蚀性等级,应按现行国家标准《岩土工程勘察规范》GB 50021、《工业建筑防腐蚀设计规范》GB 50046的有关规定确定。
3.0.9 管桩混凝土及桩身防腐要求应符合表3.0.9-1和表3.0.9-2的规定。
表3.0.9-1 管桩混凝土防腐要求

表3.0.9-2 管桩桩身防腐要求

注:表中所列基本要求为设计使用年限为50年,设计使用年限为100年时的材料要求应专项论证。
3.0.10 当管桩桩身防腐不满足本标准表3.0.9-2规定的防腐指标要求时,应采取相应措施进行防护,并应符合表3.0.10的要求。
表3.0.10 管桩桩身防护要求


注:1 本表适用于设计使用年限为50年,桩基础所处的地下水、土的腐蚀介质主要为硫酸盐、氯盐和酸环境。当其他腐蚀介质或pH≤2.0时,以及设计使用年限为100年时,防护措施应专项论证。
2 桩身混凝土材料可根据防腐蚀要求,采用抗硫酸盐硅酸盐水泥,也可在普通水泥中掺入抗硫酸盐的外加剂、矿物掺合料、钢筋阻锈剂。
3 管桩不得单独采用亚硝酸盐类的阻锈剂。
4 在中、强腐蚀环境中,预应力混凝土管桩有效壁厚不应小于95mm。
5 桩身涂刷防腐蚀涂层的长度,应大于污染土层的厚度。
6 当有两类以上腐蚀性介质同时作用时,应分别满足各自防护要求,但相同的防护措施不叠加。
条文说明
3.0.9、3.0.10 钢筋混凝土桩的自身耐久性能对桩的耐久性有重要作用,所以对混凝土的强度等级、水胶比、抗渗等级和钢筋的混凝土保护层均有较高的要求。在硫酸根离子、氯离子介质腐蚀条件下,提出桩身采用耐腐蚀材料制作的措施是个治本的办法,当已能满足防腐蚀性能要求时,可以不再考虑其他防护措施。
1 在硫酸根离子介质腐蚀条件下,桩身可采用抗硫酸盐硅酸盐水泥混凝土或掺入抗硫酸盐的外加剂、矿物掺合料的普通硅酸盐水泥混凝土制作;
2 在氯离子介质腐蚀条件下,可在混凝土内掺入钢筋阻锈剂、矿物掺合料。
采用抗硫酸盐硅酸盐水泥和掺入抗硫酸盐的外加剂、钢筋阻锈剂、矿物掺合料等外加剂时,应符合《工业建筑防腐蚀设计规范》GB 50046的规定。
本标准对于管桩采用增加混凝土腐蚀裕量的方法,即为了保证桩基在腐蚀环境下的使用安全,在结构计算或构造所需要的截面尺寸以外增加腐蚀损耗预见量,其数值参照国内外有关资料确定,是最小下限要求。硫酸根离子和酸性介质(pH值)是对混凝土的腐蚀,本标准采用了增加混凝土腐蚀裕量的措施;而氯离子是对钢筋的腐蚀,不推荐采用增加混凝土腐蚀裕量的措施。 当管桩需要采取表面防护措施时,桩表面可采用环氧沥青、聚氨酯(氰凝)的涂层。这些涂层在国内均有使用经验,在细粒土的地层中,打桩时一般不会磨损。
3.0.11 管桩基础应减少接桩数量,接头宜位于非污染土层中,可采用焊接或机械接桩。位于污染土层中的桩接头,接桩钢零件应涂刷防腐蚀耐磨涂层或增加钢零件厚度,其腐蚀裕量不小于2mm,也可采用热收缩聚乙烯套膜保护。
3.0.12 当管桩的表面涂有防腐蚀涂料时,在估算单桩承载力时,可不计入涂层范围内的桩侧阻力。
3.0.13 管桩的其他防护尚应符合现行国家标准《工业建筑防腐蚀设计规范》GB 50046的规定。
3.0.14 管桩用混凝土的耐久性能试验方法应符合现行国家标准《普通混凝土长期性能和耐久性能试验方法标准》GB/T 50082的有关规定。
4 材料与分类
4.1 材料
4 材料与分类
4.1 材 料
4.1.1 预应力钢筋应采用预应力混凝土用钢棒,其质量应符合现行国家标准《预应力混凝土用钢棒》GB/T 5223.3中低松弛螺旋槽钢棒的规定,基本尺寸应符合表4.1.1的规定。
表4.1.1 预应力钢棒的基本尺寸

4.1.2 端板材质应采用Q235B,并应符合下列规定:
1 端板制造不得采用铸造工艺;
2 端板厚度不得有负偏差,用于抗拔桩工程的端板厚度宜增加且应满足设计要求;
3 除焊接坡口、桩套箍连接槽、预应力钢棒锚固孔、消除焊接应力槽、机械连接孔外,端板表面应平整,不得开槽和打孔。
条文说明
4.1.2 本条对端板的材质、构造、制作工艺及要求提出了详细的规定。这是结合各地的现状并借鉴部分省、市的经验而专门制定的,目的是规范生产、质量管控与市场监管。目前,从部分地方的管桩现场施工情况看,端板的制造很不规范又缺乏监控,出现了不少问题,因此本条详细规定了端板构造的具体要求。
4.1.3 管桩采用免蒸压养护工艺时,掺合料宜采用矿渣微粉、硅灰等,并应符合下列规定:
1 矿渣微粉的质量不应低于现行国家标准《用于水泥和混凝土中的粒化高炉矿渣粉》GB/T 18046表1中S95级的有关规定;
2 硅灰的质量应符合现行国家标准《砂浆和混凝土用硅灰》GB/T 27690的有关规定;
3 掺合料进厂必须有供方提供的该批材料的检验报告和质保书,存放对应挂牌标明品种、生产厂家、数量及进厂日期,掺合料不得混合存放;
4 当采用其他品种的掺合料时,应通过试验确定,确认符合管桩混凝土质量要求后,方可使用。
条文说明
4.1.3 随着国家对节能、环保的要求越来越高,部分管桩生产企业及科研单位已成功研发管桩常压蒸气养护及免蒸气养护工艺,通过工程实践表明,管桩采用常压蒸气养护及免蒸气养护工艺能节约资源,降低能耗,符合节能环保要求。免蒸压养护工艺制作的管桩,其掺合料品种不只是矿渣微粉和硅灰,也与各工序有关。为规范管桩免蒸压生产,本条对采用免蒸压工艺所用的掺合料的指标、检测、存放做出了明确的要求。
4.1.4 管桩用其他原材料要求尚应符合现行国家标准《先张法预应力混凝土管桩》GB 13476的规定。
4.2 分类
4.2 分 类
4.2.1 管桩按外径可分为300mm、350mm、400mm、450mm、500mm、550mm、600mm、700mm、800mm、1000mm、1200mm、1400mm等。
4.2.2 管桩按使用领域可分为桩基基础用管桩、地基处理用管桩、基坑支护用管桩等。
4.2.3 管桩按桩身混凝土强度等级及主筋配筋形式,可分为预应力高强混凝土管桩、混合配筋管桩、预应力混凝土管桩。
4.2.4 预应力高强混凝土管桩按有效预应力值大小可分为A型、AB型、B型和C型,其对应混凝土有效预压应力值宜分别为4MPa、6MPa、8MPa和10MPa,其抗弯性能应符合本标准附录A的规定。
4.2.5 管桩按养护工艺可分为高压蒸汽养护管桩或常压蒸汽养护管桩。
条文说明
4.2.5 本条按管桩的养护工艺进行分类。常压蒸汽养护和免蒸汽养护应不少于3d龄期,如有其他有效措施且有试验数据表明混凝土抗压强度、抗折强度能达到标准养护28d龄期的强度时,可适当进行调整。高压蒸气养护的管桩应不少于1d的龄期且高压蒸养后在常温下静停1d后方可沉桩。高压蒸汽养护结束后,当管桩桩体表面温度与环境温度相差大于80℃时或管桩因外部因素的影响被迅速降温时,桩身极易产生开裂。养护结束后,应打开两端的高压釜门并将管桩留在高压釜内进行降温,不得立即将管桩拉出高压釜,在冬期及雨期生产管桩时,还应采取相关保护措施,防止管桩与外部的温度相差过大或受到雨淋,导致管桩外面温度被急速冷却而致使桩身开裂。
5 基础设计
5.1 一般规定
5 基础设计
5.1 一般规定
5.1.1 管桩基础设计宜具备下列基本资料:
1 岩土工程勘察报告,建筑物所在地区的抗震设防烈度和建筑场地类别,地基土液化、冻胀性、湿陷性、膨胀性评价,地基土、水的腐蚀性评价;
2 建筑场地总平面布置图、建筑物地下室平面布置图,建筑物上部结构类型与荷载,建筑物对基础沉降及水平位移的要求;
3 建筑场地地上及地下管线、地下构筑物的分布,受沉桩影响的邻近建(构)筑物的地基基础情况及防振、防噪声要求,施工机械进出场及现场运行条件;
4 沉桩设备性能、施工工艺及其对场地条件的适应性;
5 可选用的管桩规格、接头形式及生产条件。
条文说明
5.1.1 本条为满足管桩基础设计所具备的基本资料,以满足桩型、桩端持力层、单桩承载力、布桩等概念设计阶段和施工图设计阶段的资料要求。除建筑场地工程地质、水文地质资料、场地类别、抗震设防烈度外,还包括建筑平面布置、结构类型、荷载分布、使用功能、桩的施工条件、类似地质条件的试桩资料等,都是桩基设计所需的基本资料。特别要关注场地的环境条件,影响管桩运输、锤击或静压施工等场地环境条件对管桩应用可行性的影响。由于管桩施工工艺的要求,第4款对施工设备能力及场地适应性提出明确要求,第5款对管桩生产条件提出要求,特别是当根据工程需求,设计对管桩规格、构造、材料等提出特殊要求时,应考察当地管桩生产厂家的生产条件和能力是否能达到要求。
5.1.2 管桩选型应符合下列规定:
1 基础设计等级为甲级的桩基础和抗拔桩不宜选用A型桩;
2 当用于端承型桩且需穿越一定厚度较硬土层时,不宜选用A型管桩;
3 用于抗震设防烈度8度及以上地区时,与承台连接的首节管桩不应选用A型桩,宜选用混合配筋管桩或AB型、B型、C型的预应力高强混凝土管桩;
4 直径为300mm的管桩仅适用于弱腐蚀场地环境;对于中等及强腐蚀场地,应选用AB型或B型、C型管桩,并应根据不同的腐蚀性等级采用相应的防腐措施。
条文说明
5.1.2 在甲级管桩基础、抗震设防烈度8度及8度以上地区、工程地质条件复杂区域和用作抗拔桩时,禁止使用A型管桩,是因为A型管桩的配筋率在0.5%左右,抗弯和抗剪承载力较低,尤其是桩身受弯承载力设计值比开裂弯矩值提高不多,桩身一旦开裂,很快达到承载力设计值,延性差,桩身易受弯破坏,可以作为仅承受竖向压力的复合地基的增强体使用。抗拔桩主要承受拉力,且抗拔桩的裂缝控制等级为一级,A型桩的受拉承载力较低。 管桩可适用于抗震设防烈度8度的地区,但应根据建筑物情况及桩基实际受力状况,按所选桩型的各项力学指标加以选用,并采取相应的构造措施。将各型号管桩桩身的抗剪承载力、抗裂弯矩、抗弯承载力与相同直径、配筋率较大的灌注桩的各项力学指标进行比较。一般灌注桩采用C30混凝土,纵筋配筋率为0.6%~0.8%,箍筋为
6@200,考虑到8度区加强配筋,纵筋配筋率为1.0%,箍筋为
8@200;主要比较对抗震能力有影响的指标,即抗剪、抗弯承载力、延性等,比较结果如下:
1 管桩的抗剪承载力均大于相同直径灌注桩的抗剪承载力;
2 各种直径A型管桩的开裂弯矩值均小于相同直径灌注桩的抗弯承载力设计值,但设计值相当,600mm直径AB型管桩的开裂弯矩值略小于相同直径灌注桩的抗弯承载力设计值,其余各种型号管桩的开裂弯矩值均大于相同直径灌注桩的抗弯承载力设计值。 编制组通过对16根混合配筋预应力混凝土管桩的抗震性能试验,典型复式配筋预应力混凝土管桩与普通A型预应力混凝土管桩滞回曲线如图1所示。桩身位移延性系数2.6~3.9,平均值为3.25,混合配筋管桩的变形延性和耗能能力比普通管桩显著提高。

图1 管桩滞回曲线图 编制组通过10根混合配筋预应力混凝土管桩和2根普通预应力混凝土管桩的抗弯性能试验表明,两种桩型的裂缝根数和宽度均有较大差别,混合配筋管桩破坏时有16条裂缝,而普通管桩破坏时只有8条裂缝,且最大裂缝宽度远大于混合配筋管桩,达到极限状态时,混合配筋管桩受拉区钢筋首先屈服,然后受压区混凝土被压碎而破坏,有明显的预兆。而普通管桩因受托区预应力钢筋被拉断导致桩突然发生破坏。由此说明配置非预应力筋的管桩较普通管桩有更好的延性和明显的预兆。在预应力钢筋相同的情况下,混合配筋管桩与普通管桩相比,前者较后者对开裂荷载的提高不明显,而极限荷载有了显著的提高,破坏时挠度大于普通预应力管桩。 编制组通过不同箍筋间距、填芯、非预应力钢筋不同的布筋方式(间隔布筋和并筋布置,如图2所示)的混合配筋预应力混凝土管桩和普通预应力混凝土管桩的抗震性能试验(表1)表明,普通管桩的破坏过程可以分为以下几个阶段:

图2 配筋情况
表1 试件的具体参数

(1)在弯矩最大的跨中位置出现初始裂缝;
(2)试件屈服后,裂缝的数量不再增加,但是长度和宽度都不断地增加;
(3)试件最终都是发生受弯破坏,表现为破坏时在跨中位置有一道主裂缝,预应力钢筋被拉断失去承载力,为脆性破坏。 而混合配筋管桩的破坏模式与普通管桩明显不同,其破坏过程可以分为以下几个阶段:
(1)跨中位置出现初始裂缝;
(2)随着加载的进行,裂缝的数量不断增加,同时裂缝的长度和宽度也不断地增加;
(3)加载后期,预应力筋相继被拉断,拉应力转由非预应力筋承受,荷载持续上升;
(4)构件跨中挠度继续增加,跨中混凝土被压碎,荷载缓慢下降,试件发生破坏。 在荷载-位移滞回曲线(图3)上,普通管桩滞回曲线捏缩比较严重,增加箍筋的间距或者直径对PHC管桩的滞回性能的改善作用不大。而混合配筋管桩的滞回曲线比较饱满,抗弯承载力也高于普通管桩。试验结果还表明:
(1)混合配筋管桩的位移延性系数在3.5左右,位移延性系数大于一般钢筋混凝土框架柱要求的位移延性系数;
(2)随着非预应力筋的直径越大,构件的滞回曲线越饱满,耗能性能越好;
(3)AB型桩的抗弯承载力和滞回性能都优于A型桩;填芯的PHC管桩的抗弯承载力和滞回性能都有所提高,但是延性的改善并不明显。采用箍筋加密加粗等改进措施不能明显提高PHC管桩的延性系数。

图3 试验荷载位移滞回曲线(一)

图3 试验荷载位移滞回曲线(二) 通过8根混合配筋预应力混凝土管桩和普通预应力混凝土管桩的抗弯、抗剪性能试验表明:
(1)相比普通管桩,混合配筋管桩的抗弯性能得到了明显改善,且原预应力钢筋配筋率越低效果越明显。断裂破坏时,混合配筋管桩的跨中挠度明显大于普通管桩,延性性能得到改善。
(2)非预应力螺纹钢筋的配置明显减小了桩身裂缝的长度和平均宽度,但裂缝分布范围及数量有一定程度的增加;桩身主要应力位于跨中纯弯段内,裂缝出现前跨中界面应变基本符合平截面假定,裂缝出现后中性轴明显上移,混合配筋管桩断裂前受压区部分混凝土呈压碎状。
(3)非预应力钢筋的配置能明显提高剪力作用下的桩身刚度,且较大幅度减小了管桩的变形。
(4)混合配筋管桩抗剪承载力的提高幅度与原预应力钢筋的配筋率密切相关。A型管桩的破坏剪力及极限剪力提高幅度高于AB型PHC管桩。
(5)非预应力的配置改变了剪力作用下的桩身应力和裂缝分布规律及断裂性状,混合配筋管桩呈斜剪破坏性状,而普通型管桩的断裂处位于跨中附近,呈弯断破坏性状。 上述研究成果表明,抗震设防区不应采用A型管桩,其余各型管桩均可使用,但8度设防区尤其当建筑场地类别为Ⅲ、Ⅳ类时,地基土对管桩的约束比较弱,地震剪力和弯矩主要由管桩基础承担,宜采用混合配筋管桩或AB型、B型、C型的PHC管桩。 腐蚀环境下应用管桩时,除优先采用防腐蚀性能好的防腐蚀管桩外,还可选择保护层厚度大、抗裂能力强的管桩,所以应选用AB型或B型、C型管桩,且桩身合缝和端头不得有漏浆。
5.1.3 管桩的布置应符合下列规定:
1 管桩的最小中心距应符合表5.1.3的规定。
表5.1.3 管桩的最小中心距

注:1 桩的中心距指两根桩桩端横截面中心之间的距离;
2 d——管桩外径;
3 当纵横向桩距不相等时,其最小中心距应满足“其他情况”一栏的规定;
4 “部分挤土桩”指沉桩时采取引孔或应力释放孔等措施的管桩基础;
5 液化土、湿陷性土等特殊土,可适当减小桩距。
2 单桩或单排桩宜直接布置于柱、墙等竖向构件之下;当采用多桩或群桩时,宜使桩群承载力合力点与其竖向荷载效应准永久组合的合力作用点相重合。
3 同一结构单元宜避免同时采用摩擦桩和端承桩。当受条件限制必须采用时,则应估算其产生的差异沉降对上部结构的影响,并采取相应的处理措施。
4 应选择硬土层作为桩端持力层。桩端全截面(不包括桩尖部分)进入持力层深度,对于黏性土、粉土不宜小于2.0d,砂土、全风化、强风化软质岩等不宜小于1.5d,碎石土、强风化硬质岩等不宜小于1.0d。当存在软弱下卧层时,桩端以下持力层厚度不宜小于4d,并应进行软弱下卧层承载力和群桩沉降验算。
条文说明
5.1.3 基桩最小中心距规定主要基于两个因素,其一是减小群桩效应,有效发挥桩的承载力。一般讲桩距越小,桩基相互影响越明显,桩基的承载力和支承刚度因桩土相互作用而降低。其二是减小沉桩工艺对桩身质量的影响。对于管桩而言,通常采用锤击或静压施工,为挤土桩,为减小挤土负面效应,在饱和黏性土和密实土层条件下,桩距应适当加大,特别是对于桩的排列与数量较多的群桩。当采用挤土效应非常小的植入工法沉桩时,管桩的间距可参照非挤土灌注桩的间距要求。 关于桩端持力层选择和进入持力层的深度要求。桩端持力层是影响基桩承载力的关键性因素,不仅制约桩端阻力而且影响侧阻力的发挥,因此选择较硬土层为桩端持力层至关重要;其次,应保证桩端进入持力层的深度,有效发挥其承载力。进入持力层的深度除考虑承载性状外尚应同成桩工艺可行性相结合。
5.1.4 单桩竖向极限承载力标准值的确定应符合下列规定:
1 设计等级为甲级、乙级的管桩基础,应在施工前采用单桩静载荷试验确定,在同一条件下的试桩数量不应少于3根,并应符合下列规定:
1)试桩的规格、长度及地质条件应具有代表性;
2)试桩应选在地质勘探孔附近;
3)试桩施工条件应与工程桩一致。
2 设计等级为丙级的管桩基础,可结合静力触探原位试验参数和工程经验参数综合确定。
条文说明
5.1.4 本条规定单桩竖向抗压、抗拔极限承载力标准值的确定方法。单桩竖向极限承载力计算受计算模式、土体强度参数、成桩工艺等因素的影响较大,单桩竖向极限承载力仍以原位原型载荷试验为最可靠的确定方法,其次是利用地质条件相同的试桩资料和原位测试得到的桩侧阻力、端阻力与土的物理力学指标的经验关系参数确定。对于不同桩基设计等级应采用不同可靠性水准的单桩竖向极限承载力确定方法。对于设计等级为甲级和乙级的管桩基础,单桩竖向极限承载力的确定要把握两点,一是以单桩静载试验为主要依据且应在设计阶段进行,二是要重视综合判定的思想。单桩极限承载力标准值指通过不少于3根的单桩现场静载试验确定的,反映特定地质条件、桩型与工艺、几何尺寸的单桩极限承载力代表值。静载荷试验方法应按现行行业标准《建筑基桩检测技术规范》JGJ 106的有关规定执行,为设计提供依据的单桩静载荷试验应采用慢速维持荷载法。 当有丰富地区经验时,还可以在正式施工前通过试压桩配合复压法验证用经验公式得到的单桩竖向承载力特征值估算值的可信度。根据辽宁省及国内其他地区的经验,在试压桩沉桩完成再停歇24h后以2倍单桩竖向抗压承载力特征值进行复压,通过桩顶的沉降判断其承载力是否能达到设计要求,试验便捷且能充分体现静压桩的技术特点。
5.1.5 对于承受水平荷载大的设计等级为甲级、乙级的管桩基础,应通过现场单桩水平静载试验确定单桩水平承载力特征值。试验宜采用单向多循环加载法或慢速维持荷载法,按现行行业标准《建筑基桩检测技术规范》JGJ 106执行。
条文说明
5.1.5 管桩单桩水平承载力特征值与管桩的规格型号、桩周土质条件、桩顶水平位移允许值和桩顶嵌固情况等因素有关,重要工程或者水平承载要求较高时,应通过现场水平载荷试验确定单桩水平承载力特征值,可更为直接和可靠地确定实际场地条件下桩在水平荷载下的承载力与变形情况。为设计提供依据的试验桩,宜加载至桩顶出现较大水平位移或桩身结构破坏;对工程桩抽样检测,可按设计要求的水平位移允许值控制加载。目前根据水平静载荷试验确定单桩水平承载力特征值的方法主要有三种(表2):
表2 单桩水平承载力特征值载荷试验确定方法

1)按桩身是否出现裂缝控制,即取临界荷载,如国家标准《建筑地基基础设计规范》GB 50007取水平临界荷载Hcr统计值乘以0.75为单桩水平承载力特征值;
2)按桩顶水平位移控制,如《建筑桩基技术规范》JGJ 94和《建筑基桩检测技术规范》JGJ 106,取水平位移为10mm(对水平位移敏感的建筑取6mm)对应的荷载H10为单桩水平承载力特征值,这一要求是反映对桩顶水平位移的控制要求;
3)按极限荷载除以安全系数控制,如当桩身允许出现裂缝时,取极限荷载统计值Hu除以2作为单桩承载力特征值。 对于A、AB型低配筋率的管桩,通常是桩身先出现裂缝,随后断裂破坏,单桩水平承载力特征值由桩身强度控制。对于B、C型高配筋率管桩,桩身虽未断裂,但由于桩侧土体塑性隆起或桩顶水平位移超过使用允许值,单桩水平承载力特征值受位移控制。上海地区开展了十余组PHC管桩的水平载荷试验,通过对比Hcr和H10可以看出,对于AB型桩,H10明显大于Hcr;对于B型桩,由于配筋率及承载性能相对较高,Hcr数值提高,从而试验中Hcr大于H10,即当荷载达到Hcr时对应的桩顶位移大于10mm。由于预应力混凝土管桩的配筋率较低且不允许出现裂缝,一般可采用临界荷载与桩顶允许变形值的较小值确定单桩承载力特征值。 试验证明,荷载稳定时间、循环形式、周期和加载速率等因素都对桩的水平承载力试验结果有影响。为了模拟实际荷载形式,主要可分为单向多循环加卸载和维持荷载法。多循环加载主要是为了模拟实际结构在承受风、地震、波浪等反复水平作用的一种试验加载方法。当考虑承受长期水平荷载作用时,宜采用慢速维持荷载法,加载方法相对简洁、明了。上海开展过同一场地、同一桩型的两种加载试验,后者得到的临界荷载比前者大1~2级荷载,主要是由于多循环加载法在每一级荷载下反复加卸载,试验桩受力更复杂,更易达到临界荷载。但从按水平位移控制确定水平承载力特征值的取值来看,两者差别不大,考虑到试验过程的操作便利性和结果判定的准确性,建议采用慢速维持荷载法。 桩的水平承载力静载试验除了桩顶自由的单桩试验外,还有带承台桩的水平静载试验(可考虑承台底面阻力和侧面抗力,以便充分反映桩基在水平力作用下的实际工作状况)、桩顶不能自由转动的不同约束条件及桩基施加垂直荷载等试验方法。可根据设计的特殊要求进行试验。
5.1.6 受水平荷载的管桩,其桩身受弯承载力和受剪承载力的验算应符合下列规定:
1 应验算桩身相同配筋形式的最大弯矩处的受弯承载力;
2 应验算桩顶斜截面的受剪承载力;
3 桩身所承受最大弯矩和水平剪力的计算,可按现行行业标准《建筑桩基技术规范》JGJ 94计算;
4 桩身正截面受弯承载力和斜截面受剪承载力的计算,应按本标准第5.2.12条~第5.2.17条的规定执行。
5.1.7 预应力管桩应按下列规定进行受托应力验算:
1 对于严格要求不出现裂缝的预应力管桩,其裂缝控制等级应为一级,在荷载效应标准组合下混凝土不应产生拉应力,应符合下式要求:

2 对于一般要求不出现裂缝的预应力管桩,其裂缝控制等级应为二级,在荷载效应标准组合下受拉边缘的应力不应大于混凝土轴心受拉强度标准值,应符合下式要求:

式中:σ ck ——荷载效应标准组合下桩身混凝土正截面法向拉应力(N/mm 2 );
σ pc ——管桩桩身截面混凝土有效预压应力(N/mm 2 );
f tk ——混凝土轴心抗拉强度标准值(N/mm 2 )。
5.1.8 管桩桩身轴心受拉时,裂缝控制等级为一级;管桩桩身受弯时,处于弱腐蚀环境及以上的管桩裂缝控制等级为二级,中等、强腐蚀环境及以上的管桩裂缝控制等级为一级。
条文说明
5.1.7、5.1.8 根据管桩所处的环境类别,参照《混凝土结构设计规范》GB 50010,结构构件正截面的裂缝控制等级分为三级。管桩桩身裂缝控制计算主要用于抗拔桩和承受水平力的桩。考虑管桩混凝土保护层较薄,钢筋直径小,管桩开裂后承载力的增加空间不多,刚度也下降较多,为保证其耐久性,对桩身裂缝的控制从严规定,所以裂缝控制等级严于普通钢筋混凝土桩。即除临时性结构外,管桩桩身均不允许出现裂缝。抗拔管桩、中等、强腐蚀环境中的管桩,桩身裂缝控制等级为一级。弱腐蚀环境中承受水平力的预应力混凝土管桩,桩身裂缝控制等级为二级。
5.2 桩基计算
5.2 桩基计算
5.2.1 对于一般建筑物和受水平力(包括力矩和水平剪力)较小的高层建筑物,当采用桩型相同的多桩或群桩基础,群桩中单桩桩顶作用力应按下列公式计算:

式中:F k ——按荷载效应标准组合计算的作用于承台顶面的竖向力(kN);
G k ——桩基承台和承台上土自重标准值(kN);
N k ——相应于荷载效应标准组合时,轴心竖向力作用下任一单桩的竖向力(kN);
n——群桩基础中的桩数;
N ik ——按荷载效应标准组合计算的偏心竖向力作用下第i根桩的竖向力(kN);
M xk 、M yk ——按荷载效应标准组合计算的作用于承台底面的外力,绕通过桩群形心的x、y主轴的力矩(kN·m);
x i 、y j 、y i 、y j ——第i、j基桩或复合桩基至y、x轴的距离(m);
H k ——按荷载效应标准组合计算的作用于桩基承台底面的水平力(kN);
H ik ——按荷载效应标准组合计算的作用于第i基桩或复合基桩的水平力(kN)。
条文说明
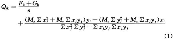
5.2.1 关于桩顶竖向力和水平力的计算,是基于上部结构分析得到的桩、墙等竖向构件作用于基础的荷载作用。其假定为:①承台为绝对刚性;②桩与承台为铰接;③各基桩的刚度相等。 采用式(5.2.1-2)计算偏心竖向力作用下的群桩受力时,该式为简化公式,适用于计算坐标系的原点为群桩形心,且要求坐标轴方向为群桩的主轴方向,即计算坐标轴必须为群桩形心主轴。当采用通过群桩形心的任意坐标轴时,可按式(1)计算: 
应用该公式时,坐标、力和弯矩的正负应严格遵照笛卡尔坐标体系。
5.2.2 单桩承载力验算应符合下列规定:

式中:R——基桩或复合基桩竖向承载力特征值(kN);
N kmax ——荷载效应标准组合偏心竖向力作用下,桩顶最大竖向力(kN);
N Ek ——地震作用效应和荷载效应标准组合下,基桩或复合基桩的平均竖向力(kN);
N Ekmax ——地震作用效应和荷载效应标准组合下,基桩或复合基桩的最大竖向力(kN);
R h ——单桩基础或群桩中基桩的水平承载力特征值,对于单桩基础,可取单桩的水平承载力特征值R ha (kN),R ha 按本标准第5.2.11条确定。
5.2.3 承受竖向拔力的管桩基础,应按下式验算单桩的抗拔承载力

式中:N tk ——按荷载效应标准组合计算的作用于单桩桩顶的竖向拔力(kN);
R ta ——单桩竖向抗拔承载力特征值(kN)。
5.2.4 以单桩竖向抗压静载试验确定单桩竖向承载力时,单桩竖向抗压承载力特征值R a 应按下式计算:

式中:Q uk ——单桩竖向极限承载力标准值;
K——安全系数,取K=2。
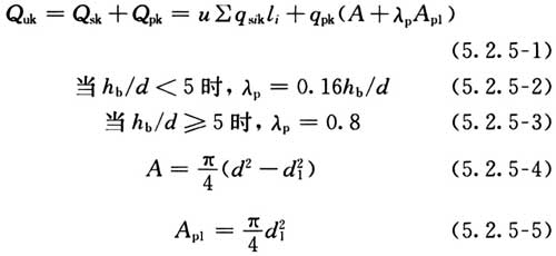
5.2.5 管桩单桩竖向承载力标准值可结合工程经验参数或静力触探原位试验结果按下列公式估算:

式中:Q sk 、Q pk ——总极限侧阻力标准值、总极限端阻力标准值;
q sik 、q pk ——桩侧第i层土的极限侧阻力标准值、极限端阻力标准值,可由当地静载荷试验结果统计分析得到,或根据场地单桥或双桥探头静力触探试验结果,按现行行业标准《建筑桩基技术规范》JGJ 94取值;
A——管桩桩身横截面面积(m 2 );
A p1 ——管桩空心部分敞口面积(m 2 );
u——桩身周长;
λ p ——桩端土塞效应修正系数,对于闭口管桩λ p =1.0,对于敞口管桩按式(5.2.5-2)、式(5.2.5-3)取值;
h b ——桩端进入持力层深度(m);
l i ——桩周第i层土(岩)的厚度;
d,d 1 ——管桩外径、内径(m)。
条文说明
5.2.5 管桩单桩竖向极限承载力仍以原位原型静载荷试验为最可靠的确定方法。其次是根据土的物理力学指标与承载力参数之间的经验关系计算单桩竖向极限承载力,核心问题是不同土层极限侧阻力qsik和极限端阻力qpk经验参数的收集。很难给出涵盖不同区、土质,具有一定的可靠性和较大适用性的管桩极限侧摩阻力和桩端阻力标准值。由于静力触探与静压桩在贯入机理及贯入速率等方面的一致性,通过试桩载荷资料建立的原位测试指标与桩侧阻力与端阻力经验关系估算预制桩单桩承载力已为工程界广泛认可,特别是有地区经验时,其承载力的估算可靠度较高。可以按行业标准《建筑桩基技术规范》JGJ 94-2008中的5.3.3条、5.3.4条,根据单桥探头、双桥探头静力触探资料或标准贯入指标确定桩侧阻力和端阻力。另外,行业标准《建筑桩基技术规范》JGJ 94-2008收集得到317根预制桩试桩资料,并参考了上海、天津、浙江、福建、深圳等省市地方标准给出的经验值,得到包括预制桩桩型的qsik、qpk经验值。在工程设计前期缺乏资料时,可以参照行业标准《建筑桩基技术规范》JGJ 94-2008的表5.3.5-1、表5.3.5-2取值,进行管桩承载力的估算。该表根据土层状态(IL、N、N63.5)的范围值给出各种状态对应的桩侧摩阻力和桩端阻力均为范围值。这样做不方便技术人员操作,需要有丰富经验的工程师对土层的状态范围及其对应的摩阻力和端阻力作出判断后给出具体数值,不同的工程师给出的具体数值可能差别较大。 以上管桩承载力计算方法并未区分静压管桩还是锤击管桩等施工方式。对于采用植入法施工的管桩,其承载力应采用载荷试验确定,并在积累较多的工程经验后,建立相关的承载力估算方法与经验参数。
5.2.6 对于轴向受压的管桩基础,不考虑压屈影响时,桩身混凝土强度验算应符合下式规定:

式中:ψ c ——成桩工艺系数,当采用抱压式或锤击式施工时,ψ c 取0.70;当采用顶压式施工时,ψ c 取0.80;当采用植入工法或中掘工法施工时,ψ c 取0.85;
f c ——桩身混凝土轴心抗压强度设计值(N/mm 2 ),按现行国家标准《混凝土结构设计规范》GB 50010的规定取值;
A——管桩桩身横截面面积(mm 2 );
N——轴心竖向力作用下单桩所受竖向压力设计值(kN)。
条文说明
5.2.6 桩身结构强度验算不同于一般的轴心受压构件的强度验算,一方面它需考虑桩在制作、运输、沉桩、接桩或水下作业等施工过程中,多种不确定因素对桩身材料的削弱影响;另一方面,也需考虑桩在地基土中实际受力状态与理想的轴心受压状态之间的差异在长期荷载作用下可能产生的不利影响。国内外工程界多数是通过成桩工艺系数或工作条件系数来控制桩身材料容许应力的实用方法,来综合考虑上述两方面因素的影响。因此,按桩身混凝土强度计算桩的承载力时,应按成桩工艺的不同将混凝土的轴心抗压强度设计值乘以综合折减系数ψc按本条规定计算。 行业标准《建筑桩基技术规范》JGJ 94-2008中的预应力管桩成桩工艺系数取为0.85,国家标准《建筑地基基础设计规范》GB 50007-2011中预应力管桩取为0.55~0.65。由此可见,目前各规范关于预应力管桩桩身强度的计算和成桩工艺系数取值上还存在一些差异,根据表中所列预应力混凝土管桩桩身强度计算公式计算得到的数值差别较大。部分规范成桩工艺系数取值不高的原因主要是基于当前预应力管桩应用中存在的一些问题:如部分工程预应力管桩龄期不到便开始沉桩、部分工程受土层条件(硬土或基岩)或沉桩方式(锤击)的影响,导致桩身沉桩过程中混凝土受损。因此,预应力管桩工艺系数取值应关注桩身出厂质量,并考虑场地条件、施工方式等因素。考虑到管桩采用工厂化制作,桩身质量比灌注桩更有保证,并结合工程实践,对抱压式施工取综合折减系数ψc=0.70,对顶压式施工取综合折减系数ψc=0.80,总体上强调在桩基施工中应根据各专项标准的要求严格施工、加强现场管理和监理。对于采用植入工法或中掘工法施工的管桩,桩身完整性受施工因素的影响较小,将ψc提高至0.85。 对于高承台基桩,桩身穿越可液化土或不排水抗剪强度小于10kPa的软弱土层的基桩,应考虑压屈影响,可依据行业标准《建筑桩基技术规范》JGJ 94-2008中的5.8.4条计算。
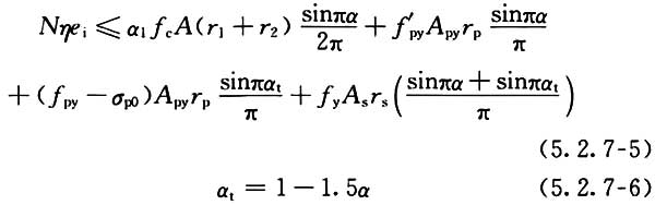
5.2.7 偏心受压管桩正截面受压承载力的验算宜符合下列规定:


式中:N——轴心竖向力作用下单桩所受竖向压力设计值(kN);
A——管桩桩身横截面面积(m 2 );
r 1 、r 2 ——管桩环形截面的内、外半径(m);
A py 、A s ——全部纵向预应力钢棒、非预应力钢筋的总截面面积(m 2 );
r p 、r s ——纵向预应力钢棒、非预应力钢筋重心所在圆周的半径(m);
α 1 ——混凝土矩形应力图的应力值与轴心抗压强度设计值之比,对C60取α 1 =0.98,C80取α 1 =0.94;
α——受压区混凝土截面面积与全截面面积的比值;
α t ——纵向受拉预应力钢棒截面面积与全部纵向预应力钢棒截面面积的比值,当α大于2/3时,取α t 为0;
f c ——混凝土轴心抗压强度设计值(N/mm 2 );
f py ——预应力钢棒抗拉强度设计值(N/mm 2 );
f′ py ——预应力钢棒抗压强度设计值(N/mm 2 );
f y ——非预应力钢筋抗拉强度设计值(N/mm 2 );
σ p0 ——预应力钢棒合力点处混凝土法向应力等于零时预应力钢棒应力(MPa);
e i ——初始偏心距e i =e 0 +e a ;
e 0 ——轴向压力对截面重心的偏心距,e 0 =M/N,M为管桩桩身正截面受弯承载力设计值;
e a ——附加偏心距,e a =d/30,且e a ≥20mm,d为管桩外径;
η——考虑二阶弯矩影响的轴向压力偏心距增大系数。
5.2.8 计算偏心受压管桩正截面受压承载力时,可不考虑偏心距的增大影响,取η=1。管桩偏心受压时的承载力取值应满足附录B轴力与弯矩的关系曲线。
条文说明
5.2.8 对于桩身穿越可液化土或不排水抗剪强度小于10kPa的软弱土层基桩,应考虑桩身在弯矩作用平面内的挠曲对轴向力偏心距的影响,按本标准式(5.2.7-2)、式(5.2.7-5)计算时,偏心距应乘以考虑二阶弯矩影响的轴向压力偏心距增大系数η,η可按现行国家标准《混凝土结构设计规范》GB 50010确定。
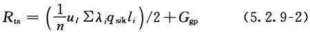
5.2.9 初步设计时,可按下列规定计算群桩基础呈非整体破坏和呈整体破坏时的基桩抗拔力特征值,并取较小值:
1 群桩呈非整体破坏:

式中:R ta ——管桩抗拔承载力特征值;
u i ——桩身周长,取u i =πd;
l i ——桩周第i层土的厚度;
q sik ——桩侧表面第i层土的抗压极限侧阻力标准值;
λ i ——抗拔系数,可按表5.2.9取值;
G p ——基桩自重,地下水位以下取浮重度。
表5.2.9 管桩抗拔系数λ i

注:桩长l与桩径d之比小于20时,λ取小值。
2 群桩呈整体破坏:

式中:u l ——桩群外围周长;
n——群桩基础中的桩数;
G gp ——群桩基础所包围体积的桩土总自重除以总桩数,地下水位以下取浮重度。
5.2.10 承受竖向上拔力作用的管桩应进行预应力钢棒抗拉强度、端板孔口抗剪强度、接桩连接强度、桩顶填芯混凝土与承台连接处强度等验算,并应按不利处的抗拉强度确定管桩的抗拔承载力。
1 根据预应力钢棒抗拉强度验算单桩抗拔承载力时,应按下式进行验算:

式中:N t ——单桩抗拔力设计值(kN),可近似按1.35R ta 计算;
C——考虑预应力钢棒镦头与端板连接处受力不均匀等因素的影响而取的折减系数,C=0.85;
f py ——预应力钢棒抗拉强度设计值(N/mm 2 );
A py ——全部纵向预应力钢棒的总截面面积(mm)。
2 根据管桩端板锚固孔抗剪强度验算单桩抗拔承载力时(图5.2.10),应按下式进行验算:

图5.2.10 端板锚固孔示意图
式中:N t ——单桩抗拔力设计值(kN);
n′——预应力钢棒数量(根);
d 3 ——端板上预应力钢棒锚固孔台阶上口直径(mm);
d 4 ——端板上预应力钢棒锚固孔台阶下口直径(mm);
h 1 ——端板上预应力钢棒锚固孔台阶上口距端板顶距离(mm);
h 2 ——端板上预应力钢棒锚固孔台阶下口距端板顶距离(mm);
f v ——端板抗剪强度设计值(N/mm 2 )。取f v =120N/mm 2 ;
t s ——端板厚度(mm)。
3 根据管桩接桩连接处强度验算单桩抗拔承载力时,机械连接应按现行国家及地方有关标准的规定进行计算,焊接连接应按下列公式进行验算:

式中:N t ——单桩抗拔力设计值(kN);
d 5 ——焊缝外径(mm);
d 6 ——焊缝内径(mm);
f w t ——焊缝抗拉强度设计值。
4 根据管腔内填芯微膨胀混凝土深度及填芯混凝土纵向钢筋验算单桩抗拔承载力时,应按下列公式进行验算:

式中:N t ——单桩抗拔力设计值(kN);
k 1 ——经验折减系数,取0.8;
d 1 ——管桩内径;
L a ——填芯混凝土高度;
f n ——填芯混凝土与管桩内壁的粘结强度设计值,宜由现场试验确定,当缺乏试验资料时,C30微膨胀混凝土可取0.35N/mm 2 ;
A sd ——填芯混凝土纵向钢筋总截面面积;
f y ——填芯混凝土纵向钢筋的抗拉强度设计值。
条文说明
5.2.10 预应力管桩作为抗拔桩,有几方面问题值得注意。首先,预应力管桩作为抗拔桩时桩身结构强度如何控制尚没有一致认识。现行国家标准设计图集《预应力混凝土管桩》10G409中采用预应力钢筋的抗拉强度来确定桩身抗拔承载力,广东省地方标准《预应力混凝土管桩基础技术规程》采用混凝土有效预压应力进行控制,也有其他地方标准在此基础上还考虑混凝土的抗拉强度。其间的差别主要体现在对管桩混凝土抗裂性能的不同认识。其本质是对于预应力混凝土管桩抗裂控制要求的不同,相比较而言,采用预压有效应力进行控制是较为安全的。其次,影响预应力管桩抗拔承载力的另一方面是焊缝强度、端头板厚度以及桩顶与承台的连接构造(包括填芯高度、插筋的设置)等。从理论计算看,端板与预应力钢棒连接强度是抗拔桩的薄弱环节,当预应力管桩作为抗拔桩时,端板厚度需要作适当加强。管桩内采用微膨胀混凝土填芯并内设插筋是管桩与承台连接的较好方式,填芯高度和插筋应进行验算。在试验研究方面,浙江省进行了管桩[PC500(100)AB型]结构抗拉性能的试验研究,从单桩结构强度、焊缝、填芯等方面进行了拉伸破坏性试验。在11根试桩中,6根拉力直接作用于端板上的试桩中5根首先出现墩头断裂、端板拉脱,另1根先出现桩身裂缝再出现墩头断裂。5根填芯后拉力通过钢筋施加的试桩,3根首先出现桩身裂缝,1根墩头断裂,另1根未破坏;5根试桩均未出现填芯段滑移,桩身裂缝均首先出现在套箍尾端。试验结果表明,在接头焊缝质量和填芯质量保证的前提下,拉伸作用下桩身混凝土首先出现环裂,但管桩仍能继续承载,然后是墩头断裂或环向裂缝宽度达到1.0mm~1.5mm,从而导致管桩破坏。室内试验的受力情况与工程实际情况虽不尽相同,但也提供了一些有益的参考。 实际工程中,管桩作为抗拔桩时,影响桩身抗拔承载力的因素较多,需要验算钢棒及镦头抗拉强度、端板孔口抗剪强度、接桩连接强度、桩顶(采用填芯混凝土)与承台连接处强度等桩身结构强度。取以上计算得到的最小值作为桩身抗拔承载力设计值,并满足荷载效应基本组合作用下基桩的上拔荷载。当与桩土抗拔承载力特征值进行比较时,可以采用简化规则,近似按设计值除以1.35后应不小于抗拔桩承载力特征值进行计算。 抗拔管桩采用电焊焊接接头时,焊缝坡口要比承压桩大一些,留有安全裕量,故抗拔桩的焊缝坡口尺寸应适当加大,需要特制,或者坡口尺寸虽不加大,但焊缝的10%应进行探伤检查。 抗拔桩的桩顶填芯混凝土长度和连接钢筋总横截面积的经验计算公式。抗拔桩填芯混凝土的抗剪强度由于管桩内壁或多或少存在着一层浮浆层而离散性较大,加上管桩尤其是小直径管桩的内孔直径较小,填芯混凝土施工环境差,质量稳定性也差,故填芯混凝土与管桩内壁的粘结强度设计值,宜由现场试验确定。当缺乏试验资料时,标准提出:C30掺微膨胀剂的填芯混凝土fn可取0.30MPa~0.35MPa,以上建议值是通过一些抗拔试验资料反算出来的,是留有一定的安全储备。当然,若填芯混凝土的施工质量较差,取fn=0.30MPa也会有问题,因此保证填芯混凝土的质量是关键。
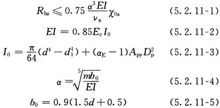
5.2.11 当管桩的水平承载力由水平位移控制,且缺少单桩水平荷载试验资料时,除A型管桩外,可按变形控制采用下列公式估算管桩基础单桩水平承载力特征值:

式中:E c ——混凝土弹性模量;
I 0 ——桩身换算截面惯性矩;
d——管桩外径;
d 1 ——管桩内径;
D p ——纵向预应力钢棒分布圆的直径;
A py ——全部纵向预应力钢棒的总截面面积;
α E ——钢筋弹性模量与混凝土弹性模量之比;
X 0a ——管桩桩顶允许水平位移(m);
v x ——管桩桩顶水平位移系数,按表5.2.11-1取值;
α——管桩的水平变形系数(1/m);
m——桩侧土的水平抗力系数的比例系数(MN/m 4 ),可按表5.2.11-2选用;
b 0 ——管桩桩身计算宽度(m)。
表5.2.11-1 管桩桩顶水平位移系数v x


注:1 当αh>4.0时,取αh=4.0;
2 3桩及3桩以上承台且满足附录A节点要求可视为刚接;
3 2桩及单桩承台有双向拉梁约束且满足附录A节点要求可视为刚接;
4 不满足2或3要求时可视为铰接。
表5.2.11-2 桩侧土水平抗力系数的比例系数m值

注:1 当桩顶位移大于10mm,m值宜适当降低;反之,可适当提高;
2 当水平荷载为长期荷载时,应将表列数值乘以0.4后采用;
3 当桩侧面为几种土层组成时,应求得主要影响深度h m =2(d+1)(m)范围内的m值作为计算值。
条文说明
5.2.11 影响单桩水平承载力和位移的因素包括桩身截面抗弯刚度、桩侧土质条件、桩的入土深度、桩顶约束条件等。对于低配筋率的桩,通常是桩身先出现裂缝,随后断裂破坏,单桩水平承载力由桩身强度控制。对于抗弯能力强的桩,桩身虽未断裂,但由于桩侧土体塑性隆起,或桩顶水平位移大大超过使用允许值,也认为桩的水平承载力达到极限状态。此时,单桩水平承载力由位移控制。根据第5.1.2条文说明,除A型管桩外其余各种型号管桩的开裂弯矩值均大于相同直径配筋率为1%的灌注桩的抗弯承载力设计值,可认为是抗弯能力强的桩,当桩的水平承载力由水平位移控制,可用公式(5.2.11)计算管桩水平承载力特征值。 试验和理论研究表明,对于A、AB、B和C型管桩,桩型变化对单桩水平承载线性阶段影响不大,单桩水平承载力仅微小增加。但随着配筋率增加及混凝土预压应力提高,可显著延缓H-Y曲线后期变形,提高桩身延性,改善极限状态下的承载能力。预应力管桩受弯应按二级裂缝控制等级进行要求,水平承载力特征值取10mm位移对应的H10和临界荷载Hcr较小值。对于A、AB型管桩,发生10mm位移时桩身混凝土进入非线性阶段,即H10略大于Hcr,水平承载力特征值应取Hcr。对于B、C型管桩,配筋率和混凝土预压应力较高。Hcr提高较大,10mm位移时曲线尚在线性变形范围内,H10小于Hcr水平承载力特征值应取H10。 填芯对管桩单桩水平承载力影响不大,但设置钢筋笼后的灌芯可显著改善H-Y曲线后期变形性状。桩顶转动刚度约束条件对水平承载力影响显著。在承台的作用下,管桩水平承载力有所提高,且显著改善H-Y曲线后期变肜性状。承台厚度在满足规范构造要求下,具有较大整体刚度,厚度变化对水平承载力影响不明显。承台水平尺寸及其下土体的竖向变形约束条件对水平承载力影响较大。
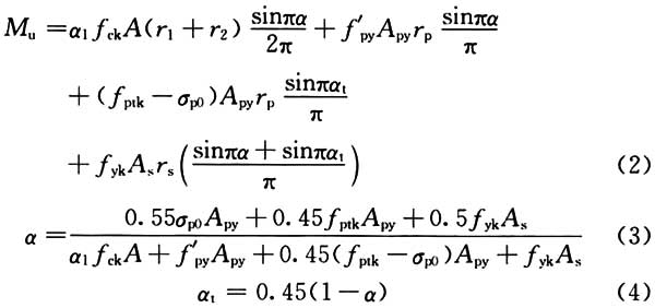
5.2.12 管桩桩身正截面受弯承载力计算应符合下列规定:
1 管桩(预应力高强混凝土管桩、预应力混凝土管桩)正截面受弯承载力设计值计算;

式中:M——管桩桩身受弯承载力设计值(kN·m);
M u ——管桩桩身受弯承载力极限值(kN·m);
A——管桩桩身横截面面积(mm 2 );
A py ——全部纵向预应力钢棒的总截面面积(mm 2 );
r 1 、r 2 ——管桩环形截面的内、外半径(mm);
r p ——纵向预应力钢棒重心所在圆周的半径(mm);
α 1 ——混凝土矩形应力图的应力值与轴心抗压强度设计值之比,对C60取α 1 =0.98,C80取α 1 =0.94;其间按线性内插法确定;
α——矩形应力图中,混凝土受压区面积与全截面面积的比值;
α t ——矩形应力图中,纵向受拉预应力钢棒达到屈服强度的钢筋面积与全部纵向预应力钢棒截面面积的比值;
f c ——混凝土轴心抗压强度设计值(N/mm 2 );
f ck ——混凝土轴心抗压强度标准值(N/mm 2 );
f py ——预应力钢棒抗拉强度设计值(N/mm 2 );
f ptk ——预应力钢棒抗拉强度标准值(N/mm 2 );
f′ py ——预应力钢棒抗压强度设计值(N/mm 2 );
σ p0 ——预应力钢棒合力点处混凝土法向应力等于零时的预应力钢棒应力(N/mm 2 )。
5.2.13 混合配筋管桩正截面受弯承载力应符合下列规定:

式中:A——管桩桩身横截面面积(mm 2 );
A s ——全部纵向非预应力钢筋的总截面面积(mm 2 );
A py ——全部纵向预应力钢棒的总截面面积(mm 2 );
r 1 、r 2 ——环形截面的内、外半径(mm);
r s ——纵向非预应力钢筋重心所在圆周的半径(mm);
r p ——纵向预应力钢棒重心所在圆周的半径(mm);
α——受压区混凝土截面面积与全截面面积的比值;
α t ——矩形应力图中,纵向受拉预应力钢棒达到屈服强度的钢筋面积与全部纵向预应力钢棒截面面积的比值;
f c ——混凝土轴心抗压强度设计值(N/mm 2 );
f ck ——混凝土轴心抗压强度标准值(N/mm 2 );
f py ——预应力钢棒抗拉强度设计值(N/mm 2 );
f ptk ——预应力钢棒抗拉强度标准值(N/mm 2 );
f′ py ——预应力钢棒抗压强度设计值(N/mm 2 );
f y ——非预应力钢筋抗拉强度设计值(N/mm 2 );
f yk ——非预应力钢筋抗拉强度标准值(N/mm 2 );
σ p0 ——预应力钢棒合力点处混凝土法向应力等于零时的预应力钢棒应力(N/mm 2 );
γ′——考虑实际条件下的综合折减系数,取γ′=0.95。
条文说明
5.2.13 混合配筋管桩正截面受弯承载力设计值依据《混凝土结构设计规范》GB 50010进行计算。标准编制组选取管桩国家标准设计图集《预应力混凝土管桩》10G409中外径为400mm、500mm、600mm的各PHC管桩型号进行混合配筋试算,混凝土设计强度C80,普通钢筋型号为HRB400,和预应力钢棒均匀分布。计算各PHC管桩型号混合配筋后的综合配筋率(即预应力钢棒面积与普通钢筋面积之和与混凝土有效面积的比值)、抗裂弯矩值、极限弯矩标准值与设计值。计算结果表明,极限弯矩标准值随着综合配筋率的提高而增大,有较强的相关性,增加一倍的配筋率,极限弯矩提高约30%左右,而开裂弯矩仅仅提高2%~7%,混合配筋后管桩的延性增加主要原因是配筋提高了管桩的极限弯矩,而开裂弯矩提高幅度很小,使得两者的比值有所增加。郑州大学所做的6组混合配筋预应力管桩试验结果可以看到,外径为600mm,配有16根直径为10.7mm的预应力钢棒的混凝土管桩抗裂荷载为307.8kN,在管桩中加配8根直径为12mm的普通钢筋后,平均抗裂荷载为322.9kN,仅提高了4.9%(图4)。试验结果支持以上试算结论,即混合配筋对提高预应力管桩抗裂弯矩的帮助不大。

图4 配筋率提高幅度与管桩极限抗弯承载力提高幅度关系 极限弯矩标准值计算时,极限弯矩标准值Mu可按公式(5.2.13-1)~公式(5.2.13-4)计算,但公式中的“≤”应改为“=”,“fc”应改用混凝土轴心抗压强度标准值“fck”,“fpk”应改用预应力钢棒强度标准值“fptk”。关于混合配筋预应力混凝土管桩的受弯极限承载力计算目前国内采取的计算方法主要有:
1 郑州大学主编的河南省地方标准设计图集《混合配筋预应力混凝土管桩》09YG101第7.4条,PRC管桩正截面受弯极限承载力计算公式为:

式中:A——混合配筋桩环形截面面积;
As——普通钢筋截面面积;
Apy——预应力钢棒截面面积;
r1、r2——环形截面的内、外半径;
rs——纵向普通钢筋重心所在的圆周的半径;
rp——纵向预应力钢棒重心所在圆周的半径;
α——受压区混凝土截面面积与全截面面积的比值;
αt——矩形应力图中,纵向受拉预应力钢棒达到屈服强度的钢筋面积与全部纵向预应力钢棒截面面积的比值;
fck——混凝土轴心抗压强度标准值;
fyk——非预应力钢筋抗拉强度标准值;
fptk——预应力钢棒抗拉强度标准值;
f′py——预应力钢棒抗压强度设计值;
σp0——预应力钢棒合力点处混凝土法向应力等于零时的预应力钢棒应力。
2 《混凝土结构设计规范》GB 50010-2010第E.0.2~E.0.3条,将普通预应力钢筋与预应力钢棒对混凝土构件提供的抗弯承载力进行叠加后,得到受压区混凝土截面面积与全截面面积的比值α及PRC管桩正截面受弯承载力极限值计算公式如下:

3 国内也有部分学者考虑预应力钢棒与非预应力钢筋在受力过程中的协同作用,提出混合配筋桩正截面受弯承载力极限值计算公式如下:

式中:rs——纵向普通钢筋重心所在的圆周的半径;
σs——预应力钢棒达到极限抗拉强度时普通钢筋的应力,0≤σs<fy;当σs≥fy时,取σs=fy;
Es——普通钢筋的弹性模量;
Epy——预应力钢棒的弹性模量。
对以上三个计算公式进行比对,公式(2)与公式(5)的区别在于α、αt的取值不同,而公式(8)与公式(2)的主要区别在于对预应力钢棒达到极限抗拉强度时普通钢筋的应力σs进行了修正0≤σs<fy;当σs≥fy时,取σs=fy。编制组收集了PRC管桩的受弯极限承载力试验数据,分别采用以上三个计算方法进行计算并与试验结果进行比对,如表3所示。
表3 PRC管桩极限弯矩计算与试验结果汇总表



注:*号表示该PRC管桩的混凝土强度等级为C60,预应力钢棒抗拉强度标准值为1570MPa,张拉比例为0.72。 结果比对如图5所示。 由图5、表3可知:
(1)公式(2)的部分计算结果与试验结果仍有一定的偏差,有较大的富余量。
(3)公式(5)的计算结果更接近于试验结果,即与试验结果比较符合,误差最小,负偏差小于5%。
(4)公式(8)的计算结果偏小,较保守,试验的结果与理论的计算结果比值均大于1.4,部分计算结果与试验结果相差近两倍,与实际误差较大。
考虑实际制作上的误差及保证率,对公式(5)的计算值乘以0.95的折减系数后再与试验值的对比如图6所示。
从图6可知,相比于公式(2)和公式(8),在公式(5)的计算值乘以0.95的折减系数后,其计算值均小于试验值,误差最小,与试验值最吻合。 综上所述,混合配筋混凝土管桩受弯承载力极限值按《混凝土结构设计规范》GB 50010进行计算,同时考虑实际制作上的误差及保证率,在计算混合配筋管桩受弯极限承载力时,乘以折减系数γ′=0.95,即:

图5 试验值与计算值对比

图6 计算值与试验值比较

5.2.14 当按二级裂缝控制等级验算受弯管桩受拉边缘应力时,其正截面受弯承载力应符合下式规定:

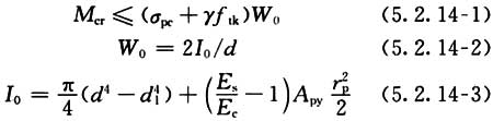
式中:M cr ——管桩桩身开裂弯矩(kN·m);
σ pc ——包括混凝土有效预压应力在内的管桩横截面承受的压应力(MPa);
γ——考虑离心工艺影响及截面抵抗矩塑性影响的综合系数,对C60取γ=2.0,对C80取γ=1.9;
f tk ——混凝土轴心抗拉强度标准值;
W 0 ——截面换算弹性抵抗矩;
E s 、E c ——分别为预应力钢棒、混凝土的弹性模量。
5.2.15 管桩的受剪截面应符合下式规定:

式中:V——管桩剪力设计值(kN);
β c ——混凝土强度影响系数:C80混凝土,取β c =0.8;C60混凝土,取β c =0.93。
条文说明
5.2.15 管桩基础中的管桩属于偏心受压或偏心受拉构件,支护结构中的管桩属于受弯构件,按《混凝土结构设计规范》GB 50010的规定,为防止构件发生斜压破坏,并限制使用阶段可能发生的斜裂缝宽度,对这类混凝土构件的受剪截面提出限值条件:对于方形截面受剪截面限值条件为:V≤0.25βcfcbh,对于圆形截面按GB 50010的规定,可得出受剪截面限值条件为:V≤0.25βcfcd2。GB 50010没有给出环形截面受剪截面限值条件,公式(5.2.15)是根据圆形截面受剪限值条件减去空心部分混凝土面积,并考虑到环形截面剪应力最大值约为圆形截面剪应力最大值的1.5倍得出的公式。
5.2.16 管桩桩身斜截面受剪承载力应符合下式规定:

式中:R v ——管桩桩身斜截面受剪承载力设计值,按本标准第5.2.17条确定。
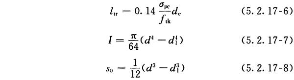
5.2.17 管桩桩身斜截面受剪承载力设计值R v 应按下列公式规定确定:


式中:μ——截桩后混凝土的有效预压应力折减系数;
l tr ——截桩后预应力筋的预应力传递长度;
d e ——预应力钢棒的公称直径;
m——计算截面至截桩顶的距离,当m>l tr ,取m=l tr ;
f t ——管桩混凝土的轴心抗拉强度设计值(MPa);
f t1 ——填芯混凝土的抗拉强度设计值(MPa);
f yv ——箍筋抗拉强度设计值(MPa);
t——管桩壁厚(mm);
I——管桩截面相对中心轴的惯性矩(mm 4 );
s 0 ——中心轴以上截面对中心轴的面积矩(mm 3 );
A sv1 ——单支箍筋的截面面积(mm 2 );
sinα——螺旋斜向箍筋与纵轴夹角的正弦值;
s v ——箍筋间距(mm)。
条文说明
5.2.17 目前,普遍采用的管桩抗剪承载力计算公式为:

应用该公式时有如下问题需要解决:
1 该公式仅考虑预应力和混凝土的贡献,没有考虑箍筋的作用;
2 工程中经常需要截桩,截桩后预应力传递段的抗剪承载力无法计算;
3 工程中对于截桩部位的处理方法是截桩后采用灌芯混凝土与承台连接,截桩灌芯部位的抗剪承载力无法计算;
4 工程桩一般处于偏压状态,该公式没有考虑剪跨比对受剪承载力的影响。上海开展了预应力管桩PHC-AB 400(80)型管桩抗剪试验共8组,试验分为剪跨比为1、2两种情形,且考虑了在无轴压及轴压1300kN作用两种情形。试验结果表明,在纯剪状态下,当剪跨比为1时,发生比较明显的剪跨段斜截面破坏;当剪跨比为2时,1根管桩因剪跨段的斜裂缝而破坏,1根管桩因纯弯段截面底筋被拉断而破坏,破坏形态变得复杂。在轴压1300kN下,桩身出现沿桩长方向的裂缝而破坏,极限抗剪承载力比纯剪状态下提高了约20%,因此,管桩的抗剪承载力应考虑轴向压力的有利作用。推导了综合反映预应力管桩混凝土环形截面和螺旋箍筋对抗剪承载力贡献的管桩抗剪承载力计算公式,可适用于预应力管桩、非预应力管桩的纯剪和压剪承载力计算。 编制组对PHC管桩抗剪性能进行试验研究,试验研究分为两部分:PHC管桩抗剪承载力公式试验研究与截桩、填芯工艺对PHC管桩抗剪性能影响试验研究。两部分试验涉及不同直径、不同壁厚、不同有效预压应力的管桩共25根。实际工程中剪跨比λ会出现不小于3的情况,尤其在软硬土层交接处,偏于安全,编制的标准将剪跨比取为3;填芯混凝土的抗剪承载力不考虑箍筋的作用,同时考虑剪跨比的影响,得到本条适用不同条件的三个计算公式。
5.2.18 管桩基础的沉降计算应符合现行行业标准《建筑桩基技术规范》JGJ 94的有关规定。
5.3 构造要求
5.3 构造要求
5.3.1 管桩与承台连接的一端或各节桩连接端处可设置锚固筋并应符合设计要求。
条文说明
5.3.1 管桩锚固筋的设置宜结合工程的地质情况及施工要求进行设置。桩端设置锚固筋,主要使桩端受力更加均匀,尤其是在抗拔工程中。对于单节抗拔桩的工程可在与承台连接的一端设置锚固筋即可,对于多节抗拔桩的工程宜两端均设置锚固筋。
5.3.2 预应力钢棒应沿其分布圆周均匀配置,用于桩基工程的管桩最小配筋率不应小于0.5%,并不得少于6根,间距允许偏差应为±5mm。
条文说明
5.3.2 根据《建筑地基基础设计规范》GB 50007和《混凝土结构设计规范》GB 50010的要求以及管桩实际应用情况,本条规定了用于桩基工程的管桩预应力钢棒的最小配筋率不应低于0.5%。
5.3.3 混合配筋管桩的非预应力钢筋与预应力钢棒数量宜按1:1间隔对称布置且非预应力钢筋屈服强度标准值不宜低于400MPa。当混合配筋管桩的非预应力钢筋与预应力钢棒数量小于1:1时,非预应力钢筋应符合下列规定:
1 总筋数不应少于预应力钢棒总筋数的50%;
2 直径不应小于10mm且不应小于预应力钢棒的直径;
3 屈服强度标准值不宜低于400MPa。
条文说明
5.3.3 本条对PRC管桩的非预应力钢筋的设置数量、直径及强度等进行了要求,只有在满足本条规定的前提下,PRC管桩的性能才得到有效发挥。
5.3.4 管桩两端螺旋筋加密区长度不得小于2000mm,加密区螺旋筋的螺距为45mm,其余部分螺旋筋的螺距为80mm,螺距允许偏差为±5mm;螺旋筋的直径不应小于表5.3.4的规定。
表5.3.4 螺旋筋的直径

条文说明
5.3.4 本条结合《建筑地基基础设计规范》GB 50007和《先张法预应力混凝土管桩》GB 13476的要求制定。
5.3.5 预应力钢棒放张时,管桩用混凝土立方体抗压强度标准值不得低于45MPa。
条文说明
5.3.5 在预应力钢棒放张时,若管桩的混凝土立方体抗压强度低于45MPa,对于较长的管桩(>10m),在起吊时,桩身容易出现环裂。
5.3.6 管桩出厂时的桩身混凝土抗压强度不得低于设计的混凝土强度等级值。
5.3.7 桩基工程用管桩的钢筋混凝土保护层厚度不得小于35mm,地基处理和临时性设施基础用管桩的钢筋混凝土保护层厚度不应小于25mm。
5.3.8 管桩接桩应符合下列规定:
1 管桩上下节拼接可采用端板焊接连接或机械接头连接,接头应保证管桩内纵向钢筋与端板等效传力,接头连接强度不应小于管桩桩身强度。任一基桩的接头数量不宜超过3个。
2 用作抗拔的管桩宜采用专门的机械连接接头或经专项设计的焊接接头。当在强腐蚀环境采用机械接头时,宜同时采用焊接连接。
3 焊接接头连接施工应符合本标准8.3节的规定。
条文说明
5.3.8 管桩接头处的连接强度均不应低于桩身,以保证力的传递并可使接头的位置不受限制。接头质量受现场施工环境、施工工人技术等影响较大,接头数量较多时,施工的风险更大,且接头超过3个时,通常桩长超过50m,沉桩难度加大且沉桩过程的垂直度控制要求更高,可能会由于接桩的施工误差易造成管桩桩身在竖向力作用下的偏心受压或弯曲破坏。因此,规定一根管桩的接头数量不宜超过3个接头。对于采用锚杆静压施工工艺的管桩,受施工空间、压桩设备的限制,每节桩长较短,其接头数量可不受3个的限制。若干工程事故经验表明,对于管桩用作抗拔桩的接头连接,应进行专门的设计。当采用植桩工艺施工时,可减少上述不利影响因素。
5.3.9 管桩桩尖应符合下列规定:
1 应根据地质条件和布桩情况选用桩尖,宜选用开口型桩尖。
2 腐蚀环境下的管桩或当桩端位于遇水易软化的风化岩层时,可根据穿过的土层性质、打(压)桩力的大小以及挤土程度选择平底形、平底十字形或锥形闭口型桩尖。桩尖焊缝应连续饱满不渗水,且在首节桩沉桩后立即在桩端灌注高度不小于1.2m的补偿收缩混凝土或中粗砂拌制的水泥砂浆进行封底,混凝土强度等级不宜低于C20,水泥砂浆强度等级不宜低于M15。
3 桩尖宜采用钢板制作,钢板应采用Q235B钢材,其质量应符合现行国家标准《碳素结构钢》GB/T 700的有关规定,钢板厚度不宜小于16mm,且应满足沉桩过程对桩尖的刚度和强度要求。桩尖制作和焊接应符合现行国家标准《钢结构焊接规范》GB 50661的有关规定。
条文说明
5.3.9 对于坚硬薄夹层或较厚的稍密—中密砂土层的场地,常常出现桩端难以进入持力层的情况,从而导致桩基承载力和沉降不能满足设计要求;另外,沉桩困难容易损坏桩身和压桩机。对于管桩,选择合适的桩尖不但可以增强桩的穿透能力,而且可减少压桩对原状土的扰动,保证单桩竖向承载力的正常发挥。桩端持力层为强(全)风化岩时,不设桩尖不易保证桩端进入持力层的深度,桩的稳定性不能保证,应设置桩尖。一般优先选择开口桩尖,开口桩尖压桩阻力更小,挤土效应更小,对桩侧土体损伤也小。需增加沉桩穿透能力时可采用锥形桩尖,其他情况可选用平底形或十字形。对于采用闭口型桩尖的管桩,可在管桩内腔采用照明拍摄对桩身进行检查,也便于处理桩身缺陷。 不设桩尖的管桩桩底容易破损,且预应力钢棒端头无保护板容易受腐蚀,腐蚀环境下应设置桩尖。对于桩端持力层为易软化的风化岩层(尤其是强风化泥岩,以及含泥较多的强风化、全风化花岗岩)的场地,有时压桩和静载荷试验时显示承载力均能达到设计要求,但时间长后再做静载荷试验,承载力降低许多。究其原因是桩尖附近有水,或有水渗到桩尖。对含泥较多的强风化、全风化花岗岩遇水易发生崩解软化,导致桩端阻力大大降低。有些地区采用闭口桩尖,为保持桩尖的耐久性,及时灌入灌注高度不小于1.2m的补偿收缩混凝土或中粗砂拌制的水泥砂浆进行封底,可较好地解决软化问题。
5.3.10 管桩顶部与承台连接处的混凝土填芯应符合下列规定:
1 对于承压桩,填芯混凝土深度不应小于3倍桩径且不应小于1.5m;对于抗拔桩,填芯混凝土深度应按本标准5.2.10条计算确定,且不得小于3m;对于桩顶承担较大水平力的桩,填芯混凝土深度应按计算确定,且不得小于6倍桩径并不得小于3m。
2 填芯混凝土强度等级应比承台和承台梁提高一个等级,且不应低于C30。应采用无收缩混凝土或微膨胀混凝土。混凝土限制膨胀率和限制干缩率的测定应按现行国家标准《混凝土外加剂应用技术规范》GB 50119的有关规定执行。
3 管腔内壁浮浆应清除干净,并刷纯水泥浆。填芯混凝土应灌注饱满,振捣密实,下封层不得漏浆。
5.3.11 管桩与承台连接应符合下列规定:
1 桩顶嵌入承台内的长度宜为50mm~100mm。
2 应采用桩顶填芯混凝土内插钢筋与承台连接的方式。对于没有截桩的桩顶,可采用桩顶填芯混凝土内插钢筋和在桩顶端板上焊接钢板后焊接锚筋相结合的方式。连接钢筋宜采用热轧带肋钢筋。
3 对于承压桩,连接钢筋配筋率按桩外径实心截面计算不应小于0.6%,数量不宜少于4根,钢筋插入管桩内的长度应与桩顶填芯混凝土深度相同,锚入承台内的长度不应小于35倍钢筋直径。
4 对于抗拔桩,连接钢筋面积应根据抗拔承载力确定,钢筋插入管桩内的长度应与桩顶填芯混凝土深度相同,锚入承台内的长度应按现行国家标准《混凝土结构设计规范》GB 50010确定。
条文说明
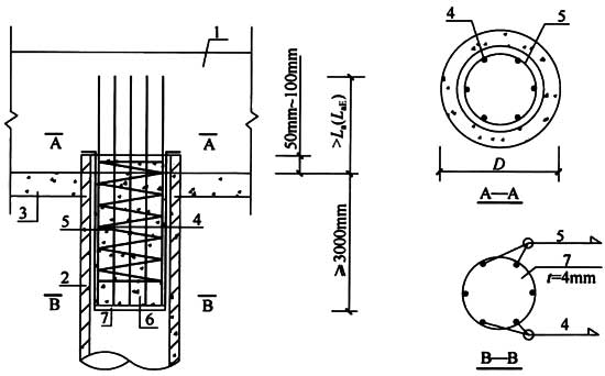
5.3.10、5.3.11 5.3.10、5.3.11条是对管桩顶部与承台之间连接结构做出的一系列规定。桩顶嵌入承台内的长度宜为50mm~100mm的规定源于《建筑桩基技术规范》JGJ 94-94的规定,当桩进入承台的深度为50mm~100mm时(大桩取较大值),可实现桩与承台的半刚性连接。当时的试验结果表明,此时桩顶弯矩相对刚性连接,弯矩可降低40%,水平位移增加约25%。此时十分有利于桩基抵抗地震等较大作用的水平荷载。日本自1995年阪神地震后,明确规定桩与承台应实现半刚性连接。因此对建筑管桩基础,特别强调桩进入承台深度的规定。 上部结构荷载通过承台传递给管桩,不同性质荷载的传递对于桩顶与承台连接要求不同。竖向压力的传递要求桩顶与承台底紧密接触,竖向拔力的传递要求桩顶与承台连接的抗拉强度应大于管桩的抗拔承载力,水平力的传递要求桩顶与承台连接的抗剪强度大于桩的水平承载力。 无论承压桩及抗拔桩,管桩桩顶均应设置填芯混凝土,主要是用于插筋的锚固,有利于桩和承台连接的简化,同时从整体上改善桩顶部位桩身的抗剪、扰弯能力。桩顶填芯混凝土长度与连接钢筋的长度相同,一般的做法是用2mm~3mm厚的钢板做成一个圆形的托盘,托盘的作用是挡住填芯混凝土不下落到桩底,托盘的直径应比管桩内径小20mm左右(以能放入管桩内孔为准),然后将连接钢筋的钢筋笼垂直焊在托盘上,施工作业时,先将管桩顶部内孔清洗干净,将钢筋笼连同托盘小心地放入管桩内孔,放入深度应根据承压桩和抗拔桩的设计深度而定,然后临时固定钢筋笼,再灌入填芯混凝土至管桩顶面,用混凝土振动棒振动密实。 填芯混凝土的施工质量与整个管桩基础的质量紧密相连,故一定要精心施工,保证质量。实践表明,填芯采用补偿收缩混凝土或微膨胀混凝土可取得较好效果。填芯补偿收缩混凝土的限制膨胀率宜为0.025%,填芯微膨胀混凝土的限制膨胀率宜为0.03%,限制干缩率均不大于0.015%。膨胀率过大,影响填芯混凝土的强度,也会对管桩内壁产生环向压力,使桩头处于复杂受力状态,导致桩头劈裂。膨胀率过小,补偿不了混凝土的干缩,填芯混凝土与管壁间结合不紧密,不能传递拉力。在确定了限值膨胀率和限值干缩率后,生产补偿收缩混凝土或微膨胀混凝土时,采用膨胀剂的品种和数量应通过试验确定,试验应按现行国家标准《混凝土外加剂应用技术规范》GB 50119的有关规定执行。 对于承压桩统一采用桩顶填芯混凝土中埋设连接钢筋的连接方法;对于抗拔桩提供两种做法:桩顶不截桩时与承台连接方法,桩顶截桩时与承台连接方法。采用桩顶不截桩时与承台的连接方法时,如果拉力较大,还应验算端板的厚度,使其满足受力要求,必要时还应在管桩内设置端板锚固钢筋;也可以采用桩顶截桩时与承台的连接方法。如果用连接钢筋作为抗拔桩的受力钢筋,则填芯混凝土的深度、连接钢筋的总横截面积,应按本标准5.2.10条的有关规定进行计算。
6 复合地基
6.1 一般规定
6 复合地基
6.1 一般规定
6.1.1 当采用管桩作为复合地基竖向增强体时,应根据地质条件、工程特点与地基处理要求,结合工程当地技术水平与地方经验,可单独使用形成刚性桩复合地基,也可与碎石桩、水泥土桩、灰土挤密桩和土挤密桩、现场灌注的混凝土桩等组合使用,形成多桩型复合地基。
6.1.2 可根据单桩承载力设计要求、施工方法等因素选用管桩、水泥土复合管桩等劲性管桩作为复合地基竖向增强体。
6.1.3 地基处理所采用的管桩及其他材料,应符合耐久性设计要求。
6.1.4 管桩复合地基应根据地质条件、环境影响程度,选择打入、压入、中掘、植入等方法施工。
条文说明
6.1.1~6.1.4 近年来,以管桩作为竖向主要劲性增强体的多桩型复合地基在地基处理工程中得到广泛应用,如湿陷性黄土地区,先采用挤土的灰土桩处理湿陷性,再施工管桩形成复合地基或作为桩基;再如可液化土,先采用碎石桩挤密消除湿陷性,再施工管桩形成复合地基或作为桩基。管桩施工方法的选择应遵循“考虑设计意图、方便施工、对承载力与变形控制有利”等原则,并尽量减少对环境的影响。打入、压入法施工对管桩损伤普遍存在,中掘、植入方法对管桩损伤较小且不存在挤土效应,应根据土层或管桩选型情况选择工法。当需要利用挤土效应时,应选择挤土沉桩方法。
6.1.5 管桩复合地基的设计选型应符合下列规定:
1 应选择承载力和压缩模量高的土层作为管桩桩端持力层;
2 地基中有多层坚硬土层时,可采用长桩与短桩组合的管桩复合地基方案,当采用管桩与其他增强体组合形成多桩型复合地基时,应将管桩设计为复合地基主要增强体;
3 浅部存在软土、欠固结土、湿陷性黄土、可液化土时,宜先采用预压、压实、夯实、挤密等方法或低强度桩处理浅层地基,再采用管桩复合地基处理,处理效果应满足国家现行标准《建筑地基处理技术规范》JGJ 79和《湿陷性黄土地区建筑规范》GB 50025的相关规定;
4 当管桩挤土效应能减低或消除黄土湿陷性、砂土和粉土液化时,也可单独使用管桩复合地基。
6.1.6 管桩复合地基可只在基础范围内布置增强体,对需要进行抗震设计的地基采用多桩型复合地基时,增强体布置范围应能满足地基抗液化处理的要求。
6.1.7 管桩复合地基应进行包括软弱下卧层承载力在内的承载力、变形和稳定性验算。
6.1.8 当对管桩复合地基进行承载力深度修正计算时,应对复合地基中的管桩桩身强度进行验算。
条文说明
6.1.8 复合地基承载力特征值进行深度修正后的承载力值,实际上可以视为处理后地基承载力的容许值。由于天然地基的竖向变形刚度远小于增强体竖向变形刚度,通过深度修正增加的承载力作为荷载作用于复合地基顶面时,试验结果表明此时的桩土荷载分担并不完全按照预先假定的比例进行。基底桩间土荷载在达到其承载力特征值后分担荷载的水平可能远小于增强体单桩,因此,应对复合地基中的管桩桩身强度进行验算。当设计取用不经深度修正的复合地基承载力特征值时,只需按单桩承载力特征值验算。
6.2 设计
6.2 设 计
6.2.1 管桩增强体直径宜取300mm~600mm。间距应按复合地基承载力设计要求,考虑土层情况、施工机具、施工工法等综合确定。对正常固结土,当采用锤击、静压施工方法时,桩间距不宜小于3d,桩长范围内土层挤土效应明显时,桩间距不宜小于3.5d。对需要利用挤土效应处理湿陷性黄土、可液化土及采用非挤土方法施工和采用水泥土复合管桩时,可取(2.5~3)d。
条文说明
6.2.1 总体上,相对于桩基而言,复合地基中桩间距的确定可适当放宽。考虑到挤土方法施工时的挤土效应可能产生增强体桩的偏位、倾斜、桩身上浮等影响单桩承载力和地基处理效果,本标准规定:对正常固结土,当采用锤击、静压施工方法时,桩间距不宜小于3d,桩长范围内土层挤土效应明显时,桩间距不宜小于3.5d。对湿陷性黄土和可液化土一般密实度较差,挤土效应对加固土是有利的;复合管桩水泥土桩中插入管桩不会产生挤土效应。因此,桩间距可取(2.5~3)d。
6.2.2 管桩复合地基应在基础和增强体之间设置褥垫层,并应符合下列规定:
1 褥垫层厚度宜取管桩增强体直径的1/2;采用多桩型复合地基时,宜取对复合地基承载力贡献大的增强体桩径的1/2,且不宜小于200mm;
2 褥垫层材料可选用中粗砂、最大粒径不大于25mm的级配砂石;
3 对未要求全部消除湿陷性的黄土、膨胀土地基,宜采用灰土垫层,其厚度不宜小于300mm;
4 桩顶应采用填芯混凝土等方式进行封闭,填芯高度不宜小于管桩直径的3倍,填芯混凝土强度等级不宜小于C30;
5 砂石褥垫层夯填度不应小于0.93,灰土褥垫层压实系数不应小于0.95。
条文说明
6.2.2 复合地基需要设置褥垫层,但褥垫层设置的厚度多少为宜目前尚缺乏系统研究并且认识存在分歧。理论分析与模型试验结果表明,桩径确定后,在桩间距(或置换率)不变的前提下,褥垫层厚度与单桩承载力发挥度密切关联,厚度越大增强体单桩承载力发挥度越小。但对刚性基础条件下刚性桩复合地基而言,褥垫层厚度较小桩间土承载力发挥度较小,可能影响地基处理的经济性。因此,褥垫层厚度应根据桩的间距或置换率、桩的竖向变形刚度、上部结构对沉降的要求等综合确定。夯填度为夯实后的厚度与虚铺厚度的比值。本条规定基于垫层材料产生滑动的一般性认识和工程经验,设计时可根据具体情况选用。
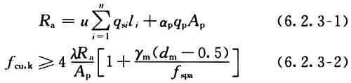
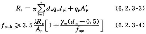
6.2.3 初步设计时,管桩单桩承载力特征值与桩身强度设计值可按下列公式估算:
1 采用锤击、静压法施工时,单桩承载力特征值、桩身强度应符合下列公式要求:

式中:u——桩身周长(m);
A p ——管桩由外径计算得到的面积(m 2 );
q si ——桩周第i层土的侧阻力特征值(kPa);
l i ——桩周第i层土(岩)的厚度(m);
α p ——桩端端阻力发挥系数,可按地区经验确定,一般可取0.8~1.0;
q p ——桩端阻力特征值(kPa),可按经验取值,无经验时可由现行行业标准《建筑桩基技术规范》JGJ 94查表得到;
f cu,k ——管桩桩身混凝土立方体抗压强度标准值(N/mm 2 );
γ m ——基础底面以上土的加权平均重度(kN/m 3 ),地下水位以下取浮重度;
d m ——基础埋置深度(m);
f spa ——经深度修正后的复合地基承载力特征值(kPa)。
2 采用中掘、植入方法或在水泥土中植入管桩形成水泥土复合管桩时,单桩竖向承载力特征值、桩身强度可按下列公式计算:

式中:q si ——桩侧阻力特征值,可取泥浆护壁钻孔灌注桩桩侧阻力特征值;
q p ——水泥土桩桩端阻力特征值,应根据管桩插入深度确定,当插入深度大于水泥土桩底时,应按管桩桩端阻力值取;当插入深度小于水泥土桩底时,应按水泥土桩桩端阻力值取;当插入深度等于水泥土桩长时,可按灌注桩桩端阻力值取;
A′ p ——桩由外径计算得到的面积,当插入深度大于水泥土桩底时,取管桩由外径计算得到的面积;当插入深度小于或等于水泥土桩底时,取水泥土桩由外径计算得到的面积;
d si ——分层土中水泥土桩直径。
条文说明
6.2.3 预应力混凝土桩身承载力计算时,应充分考虑成桩工艺对桩身材料损伤情况。显然,采用中掘、植入方法施工或在水泥土中插入管桩的施工方法对桩身材料损伤较小,因此,其桩身强度折减系数可适当降低。在进行水泥土复合管桩桩身强度计算时,不应考虑管桩外包水泥土的作用。
6.2.4 管桩复合地基应进行变形计算,计算结果应小于现行国家标准《建筑地基基础设计规范》GB 50007的规定限值或设计限值。设计等级为甲级的建筑应进行变形监测。
6.2.5 水泥土复合管桩的相关计算可按现行行业标准《劲性复合桩技术规程》JGJ/T 327执行。
7 基坑支护
7.1 一般规定
7 基坑支护
7.1 一般规定
7.1.1 管桩支护不宜用于下列工程:
1 深厚淤泥等软土基坑工程;
2 开挖深度大于10m的膨胀性土或填土基坑工程;
3 支护结构挠曲变形计算结果大于30mm的基坑工程。
条文说明
7.1.1 通过管桩与灌注桩力学性能分析比较及工程应用,人们对预应力管桩的抗剪强度、抗弯承载力的认识逐步有了提高。其实,预应力管桩用于支护结构的最大问题是预应力管桩的脆性破坏和接头施工质量。
7.1.2 管桩支护结构设计选型,应符合下列规定:
1 悬臂式支护适用于深度小于7m、安全等级为三级的基坑工程,双排桩支护适用于基坑深度小于10m、安全等级为三级的基坑工程;
2 管桩-复合土钉墙支护适用于深度小于10m、安全等级不大于二级的基坑工程;
3 安全等级为一级的基坑工程宜选用排桩-预应力锚杆支护或排桩-内支撑支护形式,支护深度不宜大于12m;
4 当基坑不同部位的周边环境条件、土层性状、基坑深度等不同时,可分别采用不同的支护形式;
5 当需要设置截水帷幕时,可采用水泥土墙内插管桩的形式,水泥土墙可根据土层情况、施工对周边环境扰动程度,选用搅拌水泥土连续墙、旋喷水泥土连续墙、渠式切割连续墙等。
7.1.3 管桩支护设计应评价管桩施工方法对周边环境的影响,并应根据影响程度选择施工方法和工艺。
7.1.4 管桩的选型应符合下列规定:
1 宜选用混合配筋管桩,当选用预应力高强混凝土管桩或预应力混凝土管桩时,除微型桩复合土钉支护外,不应选用A型桩;
2 当采用两节桩时,可根据土层和土压力分布特征、管桩内力计算结果,选用由混合配筋管桩及预应力高强混凝土管桩组合的形式;
3 排桩-锚杆或排桩-内支撑支护的管桩直径不宜小于600mm;管桩复合土钉支护,管桩直径可小于300mm。
条文说明
7.1.2~7.1.4 管桩支护应用于基坑工程在我国已有10多年的历史,支护形式主要有悬臂支护、桩-锚支护、桩-撑支护。为了保证管桩基坑工程安全,促进管桩支护技术的健康发展,对基坑工程中的管桩支护形式做一些限制。有条件的地区,在逐步积累经验后可以适当放宽适用范围。标准试验时,PHC、PC管桩为受拉区钢筋拉断的脆性破坏模式,PRC管桩为受压区混凝土破坏的模式,相对较好。因此,宜优先选用PRC管桩。条件许可时,采用上下组合桩支护可以节省工程造价。对各种支护结构适用条件的限制,主要为了控制管桩挠度或挠曲变形。当计算的挠度或挠曲变形超过限制要求时,可以采用增加锚杆或支撑排数、减少排桩间距、调整管桩直径等方法减少挠度或挠曲变形值。
7.1.5 支护管桩构造应符合下列规定:
1 支护用管桩接头不宜超过1个,连接时应采用端板对端板焊接等方法连接;悬臂式支护时,宜采用单节桩。
2 采用悬臂桩支护时,桩间距应满足下式要求:

式中:d——管桩直径;
s——管桩中心间距。
3 当采用排桩-锚杆支护时,桩净距宜为300mm~900mm,砂性土中宜采用较小桩间距,当桩间净距大于500mm时,桩间土宜采用钢板网喷射混凝土等防护措施封闭。
4 排桩桩顶应设置冠梁,对混凝土冠梁,混凝土强度等级不应低于C30,宽度宜大于排桩桩径,高度不宜小于400mm。
条文说明
7.1.5 用于支护的管桩原则上宜用单节桩,当需要接桩时应严格控制接头数量。连接时采用端板对端板的可靠焊接或套箍连接,是保证等强度连接的关键。排桩间距要求主要考虑排桩外侧土体形成拱效应的条件。公式(7.1.5)参考了现行国家行业标准《建筑桩基技术规范》JGJ 94的相关规定。当采用排桩-预应力锚杆、复合土钉支护时,采取喷射混凝土等措施后,该间距可以适当放宽。
7.1.6 用于基坑支护的管桩接头应满足与桩身等强度设计要求。
条文说明
7.1.6 本条对管桩接头处的抗弯做出了明确的规定。管桩的接头是管桩用于基坑支护时的关键部位,其接头的连接质量与强度影响到基坑支护结构的施工安全与质量。用于基坑支护的管桩主要承受水平力产生的弯矩和剪力,其接头所承受的弯矩和剪力远高于用于建筑桩基础的管桩接头。一旦管桩接头的连接强度不足,易造成基坑在施工过程中出现安全问题,甚至发生基坑坍塌、周边建筑物倾斜甚至倒塌等严重安全事故。管桩与灌注桩不同,灌注桩通过钢筋笼之间的搭接焊可满足搭接焊处的抗弯强度与桩身等强度设计要求。而管桩的连接主要通过端板焊接、机械连接或端板焊接与机械连接组合连接等方式,不同的连接方式对施工质量的控制及现场施工人员的水平要求也不一样,同时不同的连接方式的接头抗弯性能也不一致。当用于基坑的管桩涉及多节桩接桩时,为控制接头的连接质量,确保基坑支护的稳定,接头不管采用哪种连接方式,均应满足与桩身等强度设计要求。
7.1.7 当用于基坑支护的管桩接头采用焊接时,接桩处按荷载效应标准组合计算的弯矩值应符合下列公式规定:

式中:M cr ——不考虑非预应力钢筋作用的管桩桩身开裂弯矩计算值;
γ 0 ——支护结构重要性系数,不应小于1.0;
M k ——接桩处按荷载效应标准组合计算的弯矩值。
条文说明
7.1.7 根据本标准附录A的管桩桩身力学性能表,对管桩受弯时的开裂值、设计值、极限值进行对比分析得出:
(1)对PHC管桩来说,除A型管桩外,AB型、B型及C型管桩受弯时的极限值与开裂值的比值均大于1.6,极限值与设计值的比值均大于1.3(详见表4)。
(2)对PRC管桩来说,不管是Ⅰ型还是Ⅱ型的各种型号,受弯时的极限值与开裂值的比值均大于1.7,极限值与设计值的比值均大于1.3(详见表5、表6)。 由此说明,对预应力管桩(PHC、PRC桩)而言,其抗弯能力设计控制水准与普通钢筋混凝土设计是基本相当的,可以按照普通钢筋混凝土设计相关规范执行。但是,用于基坑支护的管桩,当涉及多节桩时,在接桩处的桩身强度往往因制作、连接方式、现场及人为等原因可能会造成强度一定程度的损失,设计时应考虑这种可能性,即在设计时应考虑接头处强度作折减。编制组对7组管桩焊接接头进行抗弯试验(详见表7),接头处的实测开裂弯矩值与桩身开裂弯矩计算值的比值为1.14~1.20,接头实测极限弯矩值与桩身开裂计算值的比值为1.80~2.26。根据PHC管桩以往大量的抗弯试验结果,管桩接头开裂弯矩的实测值与桩身开裂弯矩计算值的比值在1.20~1.35。因此在支护结构荷载综合分项系数取为1.25的情况下,多节管桩的接桩处按荷载效应标准组合计算的弯矩值在满足公式(7.1.7)的前提下是在安全可控的范围内,并且偏于安全。
表4 PHC管桩桩身力学性能比值

表5 PRC管桩Ⅰ型桩身力学性能比值

表6 PRC管桩Ⅱ型桩身力学性能比值

表7 管桩接头抗弯试验结果汇总表

7.1.8 当采用多节管桩时,应进行管桩配桩设计,接桩位置不宜设在计算最大弯矩或剪力位置。
7.1.9 管桩支护设计尚应符合现行行业标准《建筑基坑支护技术规程》JGJ 120的相关规定。
7.2 施工与监测要求
7.2 施工与监测要求
7.2.1 管桩施工与质量检验应符合下列规定:
1 宜采用静压、植入、中掘法施工,局部静压法施工困难或邻近建(构)筑物基础及管线对挤土效应影响敏感时,可采用引孔施工工艺,并应采用间隔成桩的施工顺序;引孔孔径不应大于管桩直径的0.8倍;
2 桩位偏差不应大于50mm,垂直度偏差不应大于1/100,桩底标高应符合设计要求;
3 接桩宜采用套箍连接或焊接后再套箍连接的方法;
4 填芯混凝土出露的钢筋笼长度应满足设计计算要求;
5 施工前应检查管桩外观质量,校核桩位,施工中应检查焊接质量、垂直度;施工后应检测桩身完整性;
6 开挖前应对质量检验存在缺陷的管桩进行设计复核或采取补救加固措施。
7.2.2 在水泥土中或水泥土帷幕中插入管桩的施工应符合下列规定;
1 采用搅拌施工工艺时,相邻搅拌桩施工时间间隔,黏性土不宜大于12h,砂性土不宜大于8h;
2 采用高压旋喷工艺时,应采用隔孔分序作业,相邻孔作业时间间隔,黏性土不宜小于24h,砂性土不宜小于12h;
3 管桩插入作业,宜在搅拌施工完成后(6~8)h、旋喷施工完成后(3~4)h内完成;
4 插入管桩的直径宜小于水泥土桩直径或墙最小宽度50mm,桩间距应符合设计要求,偏差不应大于50mm。
7.2.3 腰梁与冠梁施工要求,应符合附录C的规定。
7.2.4 管桩支护结构监测,除应满足设计要求外尚应符合下列规定:
1 安全监测应覆盖管桩支护结构施工、土方开挖、基坑工程使用与维护直至基坑回填的全过程;
2 宜对管桩挠曲变形进行监测,监测方法可采用填芯混凝土中预埋测斜管并结合桩顶水平位移监测;
3 宜对管桩的裂缝进行监测;
4 宜对管桩芯桩钢筋与冠梁的连接处外观进行检查。
7.2.5 管桩基坑工程报警值的确定,除应满足设计与现行国家标准《建筑基坑工程监测技术规范》GB 50497的规定外,尚应符合下列规定:
1 管桩桩身内力应大于设计值;
2 管桩产生的挠曲变形大于20mm且变形不收敛。
条文说明
7.2.5 本条明确管桩基坑工程报警值的确定,除应满足设计与现行国家标准《建筑基坑工程监测技术规范》GB 50497的要求外,当管桩所受的水平力超过桩身的设计值时,管桩的裂缝及挠曲变形将会发展更快,不利于基坑的安全,应立即报警。管桩挠曲变形控制条件,是基于防止和控制管桩脆性破坏的发生。大量的试验数据表明,当管桩产生的挠曲变形超过20mm且变形不收敛时,此时管桩所受的水平力已达到桩身的设计强度,应立即报警。
8 施工
8.1 一般规定
8 施 工
8.1 一般规定
8.1.1 沉桩施工前,应进行下列准备工作:
1 调查场地及毗邻区域内的地下及地上管线、建筑物及障碍物受沉桩施工影响的情况,并应提出相应的技术安全措施;
2 调查现场的地质、地形、气象等情况并提出相应的安全质量措施;
3 处理或清除场地内影响沉桩的高空及地下障碍物;
4 平整场地,地基土表面处理;
5 在不受施工影响的位置设置坐标、高程控制点及轴线定位点;
6 经审查批准的施工组织设计或施工方案;
7 供电、供水、排水、道路、照明、通信、临设工房等的安设;
8 管桩基础施工图、设计交底及图纸会审纪要;
9 对防汛有影响的工程,汛期施工时,应执行防汛工作的有关规定。
8.1.2 沉桩施工前,应具备下列文件和资料:
1 拟建场地的岩土工程勘察报告;
2 向施工作业人员作技术安全交底;
3 根据工程具体情况编制施工组织设计或施工方案;
4 拟建场地周围道路及建(构)筑物、地下管线、高空线路等相关的技术资料;
5 主要施工设备的技术性能资料;
6 管桩出厂合格证及产品说明书;
7 施工工艺的试验资料;
8 保障工程质量、安全生产、文明施工和季节性施工的技术措施。
条文说明
8.1.1、8.1.2 施工前应准备好相关的各种资料,特别应着重在三个方面:一是场地气象、地形、地质资料,根据场地条件选择合适的施工设备,确定桩体强度及考虑是否加桩尖等;二是场地现状及周围环境,包括影响管桩施工的高压架空线、地下电缆、地下管线、位于桩位处的旧建筑物基础和杂填土中的石块等,场地回填情况、地下构筑物等埋藏情况等资料,同时应考虑施工对周围建筑及环境造成的影响;三是编写施工组织设计,它是作为现场管理和质量保障的主要依据,能充分反映施工单位现场管理水平和技术水平。在管桩施工前应清除或妥善处理地下障碍物,不然会妨碍施工,延误工期,影响沉桩质量。
8.1.3 当桩基施工影响邻近建筑物、地下管线的正常使用和安全时,应调整施工工艺或沉桩施工顺序,并可采用下列一种或多种辅助措施:
1 锤击沉桩时,宜采用“重锤轻击”法施工;
2 在施工场地与被保护对象间开挖缓冲沟,根据挤土情况可反复在缓冲沟内取土;
3 全部或部分桩采用引孔沉桩;
4 在饱和软土地区设置砂井或塑料排水板;
5 采用植入法、中掘法等方法施工;
6 控制沉桩速率、优化沉桩流程;
7 对被保护建筑物进行加固处理。
8.1.4 施工时应设置相应观测点,对先期沉入的基桩顶部进行上浮、下沉以及水平位移监测。
8.1.5 当桩基施工毗邻边坡或在边坡上施工时,应监测施工对边坡的影响;在邻近湖、塘的施工场区,应防止桩位偏移和倾斜。
8.1.6 沉桩施工顺序应符合下列规定:
1 沉桩顺序应在施工组织设计或施工方案中明确;
2 对于桩的中心距小于4倍桩径的群桩基础,应由中间向外或向后退打;对于软土地区桩的中心距小于4倍桩径的排桩,或群桩基础的同一承台的桩采用锤击法沉桩时,可采取跳打或对角线施打的施工顺序;
3 多桩承台边缘的桩宜待承台内其他桩施工完成并重新测定桩位后再施工;
4 对于一侧靠近现有建(构)筑物的场地,宜从毗邻建(构)筑物的一侧开始由近至远端施工;
5 同一场地桩长差异较大或桩径不同时,宜遵循先长后短、先大直径后小直径的施工顺序。
条文说明
8.1.6 沉桩顺序是施工方案的一项重要内容,以往施工单位不注意合理安排沉桩顺序而造成事故的事例很多,如桩位偏移、挤断上拔、地面隆起过多、建筑物破坏等,因此,施工时必须合理安排施工顺序。
8.1.7 桩位控制应符合下列规定:
1 桩位测放应根据桩位平面图、建筑红线和主要基准轴线确定,桩位误差应符合设计要求;
2 沉桩时桩机定位应准确、平稳,保证在施工中不会发生倾斜、移动。
条文说明
8.1.7 桩位施放是现场控制重要环节之一,同时需防止施工时的桩点跑位,因此,施工时需经常对将要施工的桩位进行复核,以保障桩点位误差在允许范围内。
8.1.8 管桩的混凝土强度必须达到设计混凝土强度等级和规定的龄期后方可使用。
条文说明
8.1.8 管桩不同于灌注桩,其在沉桩施工时就受到较大竖向荷载作用,并且在吊运过程中易发生桩身磕碰开裂等现象,因此要求管桩的混凝土强度必须达到设计混凝土抗压、抗拉强度和规定的龄期后方可使用。
8.1.9 管桩的沉桩施工应符合下列规定:
1 第一节管桩起吊就位插入地面下0.5m~1.0m时的垂直度偏差不得大于0.5%;
2 当桩身垂直度偏差超过0.8%时,应找出原因并作纠正处理;沉桩后,严禁用移动桩架的方法进行纠偏;
3 沉桩、接桩、送桩宜连续进行;
4 管桩沉桩施工工艺应与沉桩工艺试验一致。
8.1.10 沉桩施工时,每根桩应根据沉桩工艺由专职记录员分别按本标准附录D~附录F的要求实时做好施工记录,并经当班监理人员验证签名后方可作为施工记录。
8.1.11 送桩时,需用两台互为正交的经纬仪随时观测控制送桩器的垂直度,送桩器与桩身的纵向轴线应保持一致。
8.1.12 沉桩的控制深度应根据地质条件、贯入度、压桩力、设计桩长、标高等因素综合确定。当桩端持力层为黏性土时,应以标高控制为主,贯入度、压桩力控制为辅;当桩端持力层为密实砂性土时,应以贯入度、压桩力控制为主,标高控制为辅。
条文说明
8.1.12 为准确控制沉桩深度或桩顶标高,施工前对全部工程的桩顶标高进行分类,并在施工时严格按设计标高执行,一般采用水准仪控制桩顶标高。对于以密实土层作为桩端持力层的场地沉桩时,锤击法可采用贯入度控制,最后三阵贯入度不宜小于30mm/10击,以防止将桩头打坏,并根据不同的锤型或不同的设计要求综合确定;静压法可采用压桩力控制,其控制的压桩力不能超过桩身结构承载力设计值。对于不能达到设计要求的桩,应及时向设计人员反馈;当施工桩长与设计桩长差异较大时,设计应采取相应的措施。
8.1.13 采用引孔辅助沉桩法时,引孔的直径、孔深及数量应符合下列规定:
1 引孔直径不宜超过桩直径的2/3,深度不宜超过桩长的2/3,并应采取防塌孔的措施;
2 引孔宜采用长螺旋钻机引孔,垂直偏差不宜大于0.5%,钻孔中有积水时,宜用开口型桩尖;
3 引孔作业和沉桩作业应连续进行,间隔时间不宜大于12h;
4 采用引孔辅助沉桩法的终压(锤)标准应根据相应的沉桩工艺,依据本标准第8.4节、第8.5节的有关规定执行。
条文说明
8.1.13 当遇到密实的砂土等硬夹层,桩难于穿透沉到设计标高,或需要减少桩的挤土效应时,此时可采用引孔辅助沉桩法。 引孔孔径一般比管桩直径小100mm,否则设计应考虑钻孔对承载力的影响;也有与管桩直径一样的孔径,主要看现场的土质情况、桩直径、桩的密集程度等因素而定。 一般情况下,钻孔深度不宜超过12m,主要是因为钻孔太深,孔的垂直度偏差不易控制,一旦钻孔倾斜,管桩下沉时很难纠偏,也容易发生桩身折断事故。 钻孔内积水,宜采用开口形桩尖,若用封口形桩尖,桩端部一般达不到孔底,会造成工程质量事故。
8.1.14 遇下列特殊情况之一时应暂停沉桩,应与设计、监理等有关人员研究处理后方可继续施工:
1 压桩力或沉桩贯入度突变;
2 沉桩入土深度与设计要求差异大;
3 实际沉桩情况与地质报告中的土层性质明显不符;
4 桩头混凝土剥落、破碎,或桩身混凝土出现裂缝或破碎;
5 桩身突然倾斜;
6 地面明显隆起、邻桩上浮或位移过大;
7 沉桩过程出现异常声响;
8 压桩不到位,或总锤击数超过规定值。
条文说明
8.1.14 沉桩过程综合反映了土层的阻力、桩身质量、桩锤锤击和压桩机效能,沉桩出现的异常情况与地质、设计、施工、桩质量均有关,因此,施工遇到本条所列情况之一时均应暂停打桩,并及时报设计、监理等有关人员,以便进行原因分析,研究处理解决的措施。
8.1.15 沉桩完成后应对桩头高出或低于地表部分进行保护处理。
条文说明
8.1.15 沉桩后,桩头高出地表部分需小心保护,严禁施工机械碰撞或将桩头用作拉锚点;沉桩后,管桩孔洞应做好回填、覆盖等措施,防止坠人、坠物事件发生。
8.1.16 基坑开挖时应制定施工方案,桩顶以上1.0m内的土方,应采用人工开挖与小型挖土机械相配合的方法。当桩顶高低不齐时,应采用人工逐批开挖出桩头,截桩后再行开挖。
条文说明
8.1.16 当基坑深度范围内有较厚的淤泥等软弱土层时,软土部分及其以下土方宜采用人工开挖,可在桩与桩之间采取构件连接措施。
8.1.17 严禁在基坑影响范围内的施工现场进行边沉桩边开挖施工。
条文说明
8.1.17 当基坑有围护结构时,不论采用何种支护形式,一般均不宜先施工围护结构再打桩,否则会造成以下不良后果:一是后打桩会对围护结构产生挤压,使其变形或破坏,影响其在基坑开挖后的挡土止水效果;二是围护结构先形成、后打管桩时的挤土受其约束,使孔隙水压力骤增且难以消除,在基坑挖土时,先挖的土坑就成为超孔隙水压力释放的去向和场所,导致工程桩倾斜;三是容易造成管桩随着土的隆起而上浮。
8.1.18 在饱和黏性土、粉土地区,应在沉桩全部完成15d后进行开挖。
条文说明
8.1.18 一般饱和黏性土、粉土地区,超孔隙水压力的消散时间为15d,淤泥质土时间会更长一些,因此建议各地区结合当地经验确定合理的基坑开挖时间。
8.1.19 挖土应均衡分层进行,对流塑状软土的基坑开挖,高差不应超过1.0m。
条文说明
8.1.19 本条引用现行行业标准《建筑桩基技术规范》JGJ 94。管桩工程的基坑开挖是一项很重要的工作,为指导土方开挖,需制定详细可行的土方开挖方案。土方开挖要分层,由于土方开挖未分层造成管桩偏移甚至桩身断裂事故时有发生,为防止挖土机械对管桩的碾压和碰撞而破坏桩体,对流塑性状软土的基坑开挖,其高差不应超过1.0m,否则容易导致管桩大量偏移或断桩。
8.1.20 基坑顶部边缘地带堆土、堆放重物及机械车辆的荷载不得超过设计允许荷载的限值。
8.1.21 挖土机械和运土车辆在基坑中工作时不应对管桩和基坑围护结构进行直接挤推。
8.2 起吊、搬运与堆放
8.2 起吊、搬运与堆放
8.2.1 管桩运输宜采用平板车或驳船,装卸及运输时应采取防止桩滑移与损伤的措施。
8.2.2 管桩的现场堆放应符合下列规定:
1 堆放场地应平整、坚实,排水条件良好;
2 堆放时应采取支垫措施,支垫材料宜选用长方木或枕木,不得使用有棱角的金属构件;
3 应按不同规格、长度及施工流水顺序分类堆放;
4 当场地条件许可时,宜单层或双层堆放;叠层堆放及运输过程堆叠时,外径500mm以上的管桩不宜超过5层,直径为400mm以下的管桩不宜超过8层,堆叠的层数还应满足地基承载力的要求;
5 叠层堆放时,应在垂直于桩身长度方向的地面上设置两道垫木,垫木支点宜分别位于距桩端0.21倍桩长处;采用多支点堆放时上下叠层支点不应错位,两支点间不得有突出地面的石块等硬物;管桩堆放时,底层最外缘桩的垫木处应用木楔塞紧。
条文说明
8.2.2 现场管桩的堆放多采用单层堆放或双层堆放,堆放对场地平整要求较高,双层堆放应在桩下放置垫木。
8.2.3 管桩的吊运应符合下列规定:
1 管桩在吊运过程中应轻吊轻放,严禁碰撞、滚落;
2 管桩不宜在施工现场多次倒运;
3 管桩长度不应大于15m且应符合现行国家标准《先张法预应力混凝土管桩》GB 13476规定的单节长度,宜采用两点起吊(图8.2.3-1);也可采用专用吊钩钩住桩两端内壁进行水平起吊,吊绳与桩夹角应大于45°;

图8.2.3-1 15m以下桩吊点位置
4 管桩长度大于15m且小于30m的管桩或拼接桩,应采用四点吊(图8.2.3-2);长度大于30m的管桩或拼接桩,应采用多点吊,吊点位置应另行验算。

图8.2.3-2 15m~30m长桩吊点位置
8.2.4 施工现场移桩应符合下列规定:
1 管桩叠层堆放时,应采用吊机取桩,严禁拖拉移桩;
2 应保持桩机的稳定和桩的完整;
3 采用三点支撑履带自行式打桩机施工时不宜拖拉取桩。
8.3 接桩与截桩
8.3 接桩与截桩
8.3.1 管桩施工应避免在桩尖接近密实砂土、碎石、卵石等硬土层时进行接桩。
条文说明
8.3.1 管桩连接时需要的时间较长,停歇在接近硬土层(碎石、卵石、砂层)的管桩再行沉桩时,易造成沉桩困难。
8.3.2 焊接接桩除应符合现行国家标准《钢结构工程施工质量验收规范》GB 50205中二级焊缝的规定外,尚应符合下列规定:
1 入土部分桩段的桩头宜高出地面1.0m。
2 下节桩的桩头处宜设置导向箍或其他导向措施。接桩时,上、下节桩段应保持顺直,错位不超过2mm;逐节接桩时,节点弯曲矢高不得大于1/1000桩长,且不得大于20mm。
3 上、下节桩接头端板坡口应洁净、干燥,且焊接处应刷至露出金属光泽。
4 手工焊接时宜先在坡口圆周上对称点焊4点~6点,待上、下节桩固定后拆除导向箍再分层焊接,焊接宜对称进行。
5 焊接层数不得少于2层,内层焊渣必须清理干净后方能施焊外层,焊缝应饱满、连续。
6 手工电弧焊接时,第一层宜用 
3.2mm电焊条施焊,保证根部焊透。第二层可用粗焊条,宜采用E43型系列焊条;采用二氧化碳气体保护焊时,焊丝宜采用ER50-6型。
7 桩接头焊好后应进行外观检查,检查合格后必须经自然冷却,方可继续沉桩。自然冷却时间不应少于表8.3.2所列时间,严禁浇水冷却,或不冷却就开始沉桩。
表8.3.2 自然冷却时间表(min)

8 钢桩尖宜在工厂内焊接;当在工地焊接时,宜在堆放现场焊接。严禁桩起吊后点焊、仰焊的做法。
9 桩身接头焊接外露部分应作防锈处理。
10 雨天焊接时,应采取防雨措施。
8.3.3 管桩采用机械连接方式时,其间隙应保证采用沥青填料填满,并应符合下列规定:
1 采用机械螺纹接头接桩时,应符合下列规定:
1)接桩前检查桩两端制作的尺寸偏差及连接件,无损伤后方可起吊施工,下节桩段的桩头宜高出地面0.8m~1.0m;
2)接桩时,卸下上、下节桩两端的保护装置后,应清理接头残留物;
3)采用专用接头锥度对中,对准上下节桩后,旋紧连接;
4)可采用专用链条式扳手旋紧,锁紧后两端板尚应有1mm~2mm的间隙。
2 采用机械啮合接头接桩时,宜符合下列步骤:
1)连接前,连接处的桩端端头板必须先清理干净,把满涂沥青涂料的连接销用扳手逐根旋入管桩带孔端板的螺栓孔内,并用钢模型板检测调整连接销的方位;
2)剔除下边已就位管桩带槽端板连接槽内填塞的泡塑保护块,在连接槽内注入不少于0.5倍槽深的沥青涂料,并沿带槽端板外周边抹上宽度20mm、厚度3mm的沥青涂料,当管桩基础的地基土、地下水具有中等以上腐蚀性时,带槽端板板面应满涂沥青涂料,厚度不应小于2mm;
3)将上节管桩吊起,使连接销与带槽端板上的各个连接口对准,随即将连接销插入连接槽内;
4)加压使上、下桩节的桩端端头板接触,接桩完成。
3 采用其他机械方式接桩时,应符合相应机械连接方式操作要求的规定,固定正确、牢固。
8.3.4 管桩截桩应采用锯桩器,严禁采用大锤横向敲击截桩或强行扳拉截桩。
条文说明
8.3.4 管桩截桩应采用锯桩器。先行截桩应采取有效措施防止桩头开裂,若截桩时出现较严重的裂缝应继续下移截桩,将裂缝段去除。
8.4 静压法沉桩
8.4 静压法沉桩
8.4.1 静力压桩设备宜采用液压式压桩机,桩机型号应根据地质条件、桩型和受力情况及本标准附录G确定,并应符合下列规定:
1 压桩机最大压桩力应大于考虑群桩挤密效应的最大压桩动阻力,还应小于压桩机的机架重量和配重之和的0.8倍,不得在浮机状态下施工;
2 采用顶压式压桩机时,桩帽或送桩器与桩之间应加设弹性衬垫;
3 采用抱压式压桩机时,夹持机构中夹具应避开桩身两侧合缝的位置;
4 压桩过程中的最大压桩力值应符合设计要求,或根据沉桩工艺试验值确定,不宜大于桩身结构竖向承载力设计值的1.5倍;
5 压桩机的选择还应综合考虑下列因素后确定:
1)夹持机构应适应桩截面形状,且桩身混凝土不发生夹裂现象;
2)压边桩的能力应能满足现场施工作业条件要求;
3)最大压桩力应达到按本条第4款所规定的终压力值。
8.4.2 压桩机资料应具备下列内容:
1 压桩机型号、机架重量(不含配重)、整机的额定压桩力等;
2 压桩机的外形尺寸及拖运尺寸;
3 压桩机的最小边桩距及压边桩机构的额定压桩力;
4 长、短船型靴履的接地压力;
5 夹持机构的形式;
6 液压油缸的数量、直径,率定后的压力表读数与压桩力的对应关系;
7 吊桩机构的性能及吊桩能力。
8.4.3 选择抱压式或顶压式液压压桩机时,桩身允许抱压压桩力、顶压压桩力可按下列公式计算:

式中:R b ——桩身允许抱压压桩力(kN);
R d ——桩身允许顶压压桩力(kN);
f c ——桩身混凝土轴心抗压强度设计值(kPa);
A——管桩桩身横截面面积(m 2 )。
8.4.4 压桩机就位后应精确定位,采用线锤对点时,锤尖距离放样点不宜大于10mm。
8.4.5 沉桩工艺试验完成后应提供下列信息资料:
1 压桩全过程记录,包括桩不同入土深度时的压桩力、压桩力曲线等;
2 桩身混凝土经抱压后完整性的检查检测资料;
3 压桩机整体运行情况;
4 桩接头形式及接头施工记录。
8.4.6 静压法施工沉桩速度不宜大于2m/min。
8.4.7 抱压式液压压桩机压桩作业尚应符合下列规定:
1 压桩机应安装能满足最大压桩力要求的配重;
2 当机上吊机在进行吊桩续桩过程中,压桩机严禁行走和调整;
3 压桩过程中应经常注意观察桩身混凝土的完整性,一旦发现桩身裂缝或掉角,应立即停机,找出原因,采取改进措施后方可再施压;
4 遇有夹持机具打滑、压桩机下陷或浮机时,应暂停压桩作业,采取处理措施。
8.4.8 静压施工应配备专用送桩器,严禁采用工程用桩作为送桩器,送桩器应符合下列规定:
1 送桩器应有足够的强度和刚度,送桩器长度应满足送桩深度的要求;
2 送桩器的横截面外周形状应与所压桩相一致,下端应设置套筒,套筒深度宜为300mm~350mm,内径应比管桩外径大20mm~30mm,送桩器的弯曲度不得大于送桩器长度的1‰;
3 送桩器上应有尺寸标志;
4 送桩器下端面应设置排气孔,保证管桩内腔与外界相通。
8.4.9 采用送桩器施工时,应符合下列规定:
1 送桩器与桩顶的接触面应平整,并与送桩器中心轴线垂直。送桩器与桩顶的接触面间应加衬垫,防止桩顶压碎。衬垫需经常更换,送桩器与桩顶接触面应密贴。
2 送桩前应测量桩的垂直度,并检查桩头质量。最上面一节桩的端板应套上防土桩帽,桩帽用1mm~2mm的薄钢板焊成,薄钢板上应开孔,保证管桩内腔与外界连通。合格后方可送桩,送桩作业应连续进行。
3 送桩前,管桩露出地面高度宜为0.3m~0.5m。
8.4.10 当场地上部有较厚的淤泥土层时,送桩器应开孔排淤、排泥,送桩深度不宜小于1.5m。当场地上无淤泥土层或确有沉桩经验,且采取相应的措施保证桩身的垂直度满足要求时,送桩深度不宜超过12m。
8.4.11 终压控制标准应符合下列规定:
1 终压标准应根据设计要求、沉桩工艺试验情况、桩端进入持力层情况及压桩动阻力等因素,结合静载荷试验情况确定;
2 摩擦桩与端承摩擦桩以桩端标高控制为主,终压力控制为辅;
3 当终压力值达不到预估值时,单桩竖向承载力特征值宜根据静载试验确定,不得任意增加复压次数;
4 当压桩力已达到终压力或桩端已到达持力层时应采取稳压措施;
5 当压桩力小于3000kN时,稳压时间不宜超过10s;当压桩力大于3000kN时,稳压时间不宜超过5s;
6 稳压次数不宜超过3次,对于小于8m的短桩或稳压贯入度大的桩,不宜超过5次。
条文说明
8.4.11 终压标准有点类似于打桩的收锤标准,主要的定量控制指标是:终压力值、终压次数和稳压时间。稳压时间一般规定为3s~5s,所以实际上只有终压力值和终压次数这两项。终压次数一般不宜超过3次。靠增加终压次数来提高静压桩的承载力,是得不偿失的一种做法,终压次数太多,承载力并没有太多的增长,反而容易引起桩身和压桩机的破损。当然,对施压入土深度小于8m的短桩,允许终压次数可增至3次~5次。稳压时间是指终压时每次用终压力值持续稳压的时间,不宜太长,一般应控制在3s~5s。稳压时间太长,压桩机上高压油泵和油管很快破损。另外,增加稳压时间,对单桩承载力的增加并不起多大效果,因为这些都是瞬间压力,倒不如增大终压力值,反而能起到一点增载的效果,但终压力值受桩身抱压允许压桩力的限制,不能无限增加。
8.5 锤击法沉桩
8.5 锤击法沉桩
8.5.1 锤击式打桩机械应根据场地条件、工程特点、施工前沉桩工艺试验、管桩截面尺寸及强度、承载力特征值、持力层土性及进入深度等综合选定,打桩锤宜选用液压锤或柴油锤。打桩机的桩架和底盘必须具有足够的强度、刚度和稳定性,并应与桩锤相匹配。筒式柴油锤的冲击体质量不宜小于本标准附录H规定的低限值。
8.5.2 桩帽及垫层的设置应符合下列规定:
1 桩帽应有符合要求的强度、刚度和耐打性;
2 桩帽套筒应与施打的管桩直径相匹配,桩帽下部套桩头用的套筒应做成圆筒形,圆筒形中心应与锤垫中心重合,筒体深度宜取350mm~400mm,内径应比管桩外径大20mm~30mm,严禁使用过渡性钢套,用大桩帽打小直径管桩;
3 打桩时桩帽套筒底面与桩头之间应设置桩垫,桩垫可采用纸板、棕绳、胶合板等材料制作,厚度应均匀一致,压缩后桩垫厚度应为120mm~150mm,且应在打桩期间经常检查,及时更换或补充;
4 桩帽上部直接接触打桩锤的部位应设置锤垫,锤垫应用竖纹硬木或钢丝绳制作,其厚度应为150mm~200mm,打桩前应进行检查、校正或更换。
8.5.3 送桩器及其衬垫设置除应符合8.4.8条、8.5.2条规定外,尚应符合下列规定:
1 插销式送桩器下端的插销长度宜取200mm~300mm,外径应比桩内径小20mm~30mm,对于内孔存有余浆的管桩,不应采用插销式送桩器;
2 送桩作业时,送桩器与桩头之间应设置桩垫,桩垫经锤击压实后的厚度不宜小于60mm。
8.5.4 锤击沉桩施工应符合下列规定:
1 首节桩插入时,应认真检查桩位及桩身垂直度偏差,校正后的垂直度偏差应为±0.5%;
2 当管桩沉入地表土后就遇上厚度较大的淤泥层或松软的回填土时,柴油锤应采用不点火空锤的方式施打;液压锤应采用落距为200mm~300mm的方式施打;
3 管桩施打过程中,宜重锤轻击,应保持桩锤、桩帽和桩身的中心线在同一条直线上,并随时检查桩身的垂直度;
4 在较厚的黏土、粉质黏土层中施打管桩,宜将每根桩一次性连续打到底,减少中间休歇时间;
5 管桩内孔充满水或淤泥时,桩身上部应设置排气(水)孔;
6 重要工程应采用高应变法进行打桩过程监测,并对监测结果进行分析。
条文说明
8.5.4 沉桩时,必须严格控制第一节桩的沉桩质量,认真注意稳桩、压桩时的桩身变化情况,发现有偏移或倾斜时,应立即分析原因,采取校正措施。开始锤击时,宜用低能量、低冲程或空锤锤击3击~5击,在确认桩身贯入方向无异常时,方可连续锤击。
8.5.5 每根桩的总锤击数及最后1m沉桩锤击数宜进行控制,混合配筋管桩、预应力高强混凝土管桩总锤击数不宜超过2000击,最后1m沉桩锤击数不宜超过300击;预应力混凝土管桩总锤击数不宜超过1500击,最后1m沉桩锤击数不宜超过250击。
条文说明
8.5.5 对每根桩的总锤击数及最后1m沉桩击数进行限制,目的是防止桩身混凝土产生疲劳破坏。有统计资料表明,大多数管桩工程的桩的总锤击数在300击~1500击之间,少数超过2000击,个别达到3000击甚至4000击;超过3000击时,桩身容易被打坏或产生严重的“内伤”。当某工地为数不少的桩总锤击数超过本条规定时,设计者应从锤型、持力层和收锤贯入度等方面去反复调整。
8.5.6 打桩的最后贯入度量测应符合下列条件:
1 桩头和桩身完好;
2 桩锤、桩帽、桩身及送桩器中心线重合;
3 桩帽及送桩器套筒内衬垫厚度符合本标准规定;
4 打桩结束前即完成测定,不得间隔较长时间后才量测。
8.5.7 收锤标准应根据工程地质条件、桩的承载性状、单桩承载力特征值、桩规格及入土深度、打桩锤性能规格及冲击能量、桩端持力层性状及桩尖进入持力层深度、最后贯入度或最后1m~3m的每米沉桩锤击数等因素综合确定。
条文说明
8.5.7 收锤标准包括的内容、指标较多,如桩的入土深度、每米沉桩锤击数、最后一米沉桩锤击数、总锤击数、最后贯入度、桩尖进入持力层深度等。一般情况下,桩端持力层、最后贯入度或最后一米沉桩锤击数为主要控制指标,其中桩端持力层作为定性控制指标,最后贯入度或最后一米锤击数作为定量控制指标。其余指标可根据具体情况有所选择作为参考指标。定量指标中用得最多的是最后贯入度,一般以最后3阵(每阵10击)的贯入度来判断该桩能否收锤。而最后贯入度大小又与工程地质条件、桩承载性状、单桩承载力特征值、桩规格及桩入土深度、打桩锤的规格、性能及冲击能量大小、桩端持力层性状及桩尖进入持力层深度等因素有关,需要综合考虑后确认。但由于地质等条件复杂多变,最后贯入度并非是打桩收锤的唯一定量控制指标,应具体情况具体分析,最终目的是为了保障单桩的承载能力,控制建筑物的沉降,使建(构)筑物安全、适用。
8.5.8 当以贯入度控制时,最后贯入度不宜小于30mm/10击。当持力层为较薄的强风化岩层且下卧层为中、微风化岩层时,最后贯入度不应小于25mm/10击,此时宜量测一阵锤的贯入度,若达到收锤标准即可收锤。
条文说明
8.5.8 确定最后贯入度的控制指标,主要是要解决好一个“度”的问题。贯入度过大不行,基桩达不到设计承载力;贯入度过小也不好,基桩易被打坏。总之,要“恰如其分”,既能达到桩的承载力,又能保持桩身的完整性。在常规情况下,标准要求所确定的贯入度指标不要小于每阵(10击)30mm。这样做既保护了桩身,又延长了打桩锤的使用寿命。有些特殊的地质条件,如强风化岩层较薄(≤1.0m)且上覆土层又较软弱时,要达到同样的承载力,最后贯入度控制值可适当减少,但不宜小于25mm/10击;否则,应从设计入手,适当减少单桩竖向抗压承载力特征值。在这种特殊的地质条件下测量一阵贯入度,若贯入度值达到收锤标准时即可收锤,若再打第二阵,管桩易被打坏。当然,在以全风化岩层、密实砂层、坚硬土层作为桩端持力层的管桩工程,应量测最后三阵贯入度值,当每阵贯入度值逐渐递减且最后二阵达到收锤标准时,即可收锤,终止施打。
8.5.9 管桩桩尖规格及构造宜符合本标准附录J的规定。
8.5.10 有下列要求之一时,应按现行行业标准《建筑基桩检测技术规范》JGJ 106的规定,监测试打桩过程。在相同施工工艺和相近地基条件下,进行沉桩工艺试验的数量不应少于3根:
1 确定打桩过程中桩身最大的拉应力或压应力;
2 确定沉桩工艺参数;
3 选择沉桩设备;
4 选择桩端持力层;
5 设计要求。
8.6 植入法沉桩
8.6 植入法沉桩
8.6.1 当在水泥土或旋喷桩中植入管桩时,施工应符合现行行业标准《劲性复合桩技术规程》JGJ/T 327和《水泥土复合管桩基础技术规程》JGJ/T 330的规定。
8.6.2 当采用钻孔等成孔工艺植入法沉桩时,应符合下列规定:
1 成孔工艺应符合现行行业标准《建筑桩基技术规范》JGJ 94的规定;
2 护壁浆液宜采用水泥浆、水泥与膨润土混合浆液,相关配比及性能应符合工艺与性能要求,应由现场工艺试验与静载试验确定。
8.6.3 采用植入法沉桩时,施工前应进行沉桩工艺试验和静载试验,确定施工工艺和施工参数。
8.6.4 植入管桩前应将桩孔附近返浆清理干净。
条文说明
8.6.4 植入管桩前清除桩顶返浆,露出桩孔轮廓,有助于管桩植入时中心位置的确定。
8.6.5 植入法沉桩时应采取监控预防措施,多节管桩接桩时应保证接桩质量和桩身垂直度。
条文说明
8.6.5 管桩接桩有端板焊接、机械连接等方式,采用其中任一种连接方式时均应保证接桩质量和上下节段的桩身垂直度。
8.6.6 植入法沉桩施工时,管桩垂直度允许偏差不应大于0.5%,定位允许偏差应为±10mm,桩顶标高允许偏差应为±50mm。
8.7 中掘法沉桩
8.7 中掘法沉桩
8.7.1 中掘法沉桩适用于桩端持力层为一般黏性土层、粉土层、砂土层、碎石类土层、强风化基岩和软质岩层的地质情况。
8.7.2 中掘法施工前应进行沉桩工艺试验和静载试验,确定施工工艺和施工参数。
8.7.3 浆液制备及注入装置、浆液输送管线等组成的供浆系统应先进行调试,试运转正常后方可施工。
8.7.4 中掘法沉桩应符合下列规定:
1 施工前,应在桩位处做好标记。桩机就位后,应将桩准确放到桩位,桩芯容许偏差应为±30mm;
2 沉桩时桩垂直度容许偏差应为±0.5%;
3 在桩中空部分安装螺旋钻杆、钻挖桩底端内壁土体时,宜注入压缩空气(或水),边排土边连续沉桩;
4 钻挖时应控制钻挖深度,钻进深度与管桩前端距离应小于2倍桩径;
5 在砂土、淤泥质土中,宜注入压缩空气辅助排土;在超固结黏性土中宜压水和加大压缩空气辅助排土;
6 在具有承压水的砂层中钻进时,应边在桩的中空部分保持大于地下水压的孔内水头、边钻进施工;
7 钻进结束提钻时,应慢速提起螺旋钻杆。
8.7.5 当钻头进入持力层上部时,应将扩大翼打开至扩大直径的尺寸进行扩大钻挖,扩头直径应符合设计要求,桩端扩大部分的高度L p 宜为1.0+d+h(m),扩头进入持力层的深度应符合下列规定:
1 当桩径d≤800mm时,h取2d(m),钻孔标高位于设计桩端标高以下2d处;
2 当桩径d>800mm时,h取1.0(m),钻孔标高位于设计桩端标高以下1.0m处。

图8.7.5 桩端扩大部分示意图
1-管桩;2-桩端扩大部分
8.7.6 当钻至扩底深度时,开始注入浆液,钻头应上下反复旋转,保证浆液与地基土搅拌混合均匀,同时沉桩至设计标高。浆液材料宜为42.5级以上的普通硅酸盐水泥,可加入水玻璃或早强剂。
条文说明
8.7.6 桩端通过注浆形成扩大头,相当于增大了端部的直径和桩长,提高了管桩垂直承载力。同时在注浆压力作用下,浆液会在桩端以上一定高度范围内沿着桩土间上渗,通过渗透、劈裂、充填、挤密和胶结作用,填充桩身与桩周边土体的空隙,并渗入桩周土体一定宽度范围,在桩周形成脉状结石体,如同树根植入土中,从而改善地基土承载力,提高桩侧摩阻力。扩底浆液配合比可参照表8。
表8 扩底浆液配合比

8.7.7 中掘法沉桩施工尚应符合现行行业标准《随钻跟管桩技术规程》JGJ/T 344的相关规定。
9 质量检测与验收
9.1 质量检测
9 质量检测与验收
9.1 质量检测
9.1.1 管桩质量检查和检测宜按单位工程进行抽检,当工程规模大、施工方法不同或使用不同生产厂家的管桩时,可将单位工程划分为若干个检验批,并按检验批进行抽检。
条文说明
9.1.1 单位工程所用的管桩,进行质量检查和检测时,是否需要划分为若干个检验批,视工程实际情况而定。如果验收批的样本数量较大,当出现不合格情况时,该检验批的管桩不准使用,可能会造成较大浪费;如果单位工程划分的验收批较多,可能会增加抽检数量。诸如管桩的规格和型号,尺寸偏差和外观质量,桩端板几何尺寸等检查项目,可按供货批次划分检验批;管桩的预应力钢棒数量和直径、螺旋筋直径和间距、螺旋筋加密区的长度以及钢筋混凝土保护层厚度、桩身混凝土强度等检查项目,可按管桩生产厂家划分检验批。
9.1.2 监理人员和施工单位应对运到现场的管桩成品质量进行下列内容的检查和检测:
1 应按照设计图纸要求,根据产品合格证、运货单及管桩外壁的标志,对管桩的规格和型号进行逐条检查。当施工工艺对龄期有要求时,应核查龄期,管桩的龄期应满足施工工艺要求。
2 应对管桩的尺寸偏差和外观质量进行抽检。抽查数量不应少于管桩桩节总数的2%,管桩的尺寸偏差和外观质量应符合现行国家标准《先张法预应力混凝土管桩》GB 13476的有关规定。同一检验批中,当抽检结果出现一节管桩不符合质量要求时,应加倍检查,再发现有不合格的管桩时,该检验批的管桩不准使用。
3 应对管桩端板几何尺寸进行抽检。抽查数量不应少于管桩桩节总数的2%,检测结果应符合现行行业标准《先张法预应力混凝土管桩用端板》JC/T 947的有关规定,凡端板厚度或电焊坡口尺寸不合格的桩,不得使用。
4 应对管桩的预应力钢棒数量和直径、螺旋筋直径和间距、螺旋筋加密区的长度以及钢筋混凝土保护层厚度进行抽检。每个检验批抽检桩节数不应少于两根,检测结果应符合设计要求或现行国家标准《先张法预应力混凝土管桩》GB 13476的有关规定。同一检验批中,仍有不合格的管桩时,该检验批的管桩不准使用。
条文说明
9.1.2 建筑工程中使用的管桩,除应按产品标准进行生产质量控制和出厂检验外,管桩运到工地后,施工前,还应进行成品桩质量检查和检测。本条列出的质量检查检测工作,应由施工单位完成并实行旁站监理。 管桩的规格和型号、尺寸偏差和外观质量、桩端板几何尺寸,应在管桩运到工地后及时进行检查和抽检。目前管桩成品桩质量存在最大的问题是混凝土强度低和端板质量问题,端板质量存在三个方面问题,一是端板材质未采用Q235钢材,而采用铸钢或“地条钢”,可焊性差而不符合要求;二是端板厚度偏薄,导致钢棒与端板的连接较差;三是电焊坡口尺寸不规范,导致焊缝高度不符合要求。因此,对焊接接头,应重点检查端板厚度和电焊坡口尺寸。当采用机械连接接头时,端板的结构与采用焊接方式的端板结构有一定的差异。为了实现通过连接部件对两节桩的连接,管桩的连接质量既与连接部件质量有关,也与桩端接头质量有关,应重点检查端板厚度和桩端接头以及连接部件。当对端板材质质疑时,应执行本标准第9.1.7条的规定。 管桩的预应力钢棒数量和直径、螺旋筋直径和间距、螺旋筋加密区的长度以及钢筋混凝土保护层厚度,可利用先施工的2m以上长度的余桩经人工破碎后进行检测;若工地没有余桩可利用,则应在工地上随机选取两节桩经人工破碎后检测。检测预应力钢棒规格可截一段钢筋称其重量,检测螺旋筋直径和保护层厚度可用游标卡尺,检测螺旋筋间距和加密区长度可用钢卷尺。
9.1.3 应对桩身垂直度进行检查。检查应符合下列规定:
1 应检查第一节桩定位时的垂直度;当垂直度偏差不大于0.5%时,方可进行施工;
2 在施工过程中,应及时抽检桩身垂直度;
3 送桩前,应对桩身垂直度进行检查;
4 管桩基础承台施工前,应对工程桩桩身垂直度进行检查,垂直度偏差应为±1%。
条文说明
9.1.3 第一节底桩垂直度控制的好坏对整根桩的垂直度影响至关重要,因此对底桩垂直度控制要严格一些,不得大于0.5%。送桩以后桩身垂直度偏差不易测量,故在送桩前应进行桩身垂直度测量。一般情况下,送桩前后的桩身垂直度不会有大的变化,但对于深基坑内的基桩,有时由于基坑土方开挖不当会引起桩身倾斜,而且这种桩身倾斜往往导致桩基施工单位和土方开挖单位的责任纠纷,为了理清其责任纠纷,在深基坑土方过程中和开挖后,需再次测量桩身垂直度。桩身垂直度可采用吊线坠法或经纬仪测量。
9.1.4 施工过程中,应监测施工对周围环境的影响。监测应符合下列规定:
1 应根据施工组织方案检查工程桩的施工顺序;
2 当施工振动或挤土可能危及周边的建筑物、道路、市政设施时,应对周边建(构)筑物的变形和裂缝情况进行监测;
3 对挤土效应明显或大面积群桩基础,应抽样监测已施工工程桩的上浮量及桩顶偏位值,工程桩的监测数量不应少于1%且不得少于10根。
条文说明
9.1.4 由于施工方法和工序不合理,或未结合地质条件科学合理地选择桩型,不少工程中出现工程桩上浮甚至发生桩位偏移,对不调整设计方案和施工方案的情况,只能通过加强监测来控制工程质量,本标准对监测数量进行了明确规定,监测点应设置在已施工的工程桩桩上部裸露的部位,根据施工情况确定监测频次,且应在施工后及时进行第一次监测(基准值)读数。条件允许时,监测应延伸至基坑土方开挖期间。
9.1.5 施工记录应按下列规定进行审核:
1 当配置施工自动记录仪时,应对自动记录仪的工作状态、所记录的各种施工数据进行逻辑分析判定;
2 当采用人工记录时,应对作业班组所安排专人记录的内容进行检查;
3 工程桩施工完成后,施工记录应经旁站监理人员签名确认,方可作为施工记录。
条文说明
9.1.5 目前,国内管桩施工记录大多采用人工记录,也有一些地区针对锤击法施工采用打桩自动记录仪,打桩自动记录仪主要记录每米锤击数并由此获得总锤击数和贯入度。施工记录内容包括施工桩长(入土深度)、配桩情况,每米锤击数等施工过程信息,收锤标准和终压标准等工程桩终止施工的情况,焊接接头的焊接情况,以及对施工过程中出现异常情况的记录。
9.1.6 当对桩身混凝土强度存在异议时,可对管桩桩身混凝土强度进行抽检,检测方法宜采用钻芯法或管桩全截面抗压试验方法。钻芯法检测及结果评价宜符合现行国家标准《钻芯检测离心高强混凝土抗压强度试验方法》GB/T 19496的有关规定,且芯样直径宜为70mm~100mm,最小不得小于70mm。管桩全截面抗压试验应符合本标准附录K的规定。当对钻芯法的检测结果评价有争议时,可采用管桩全截面抗压试验进行评价。
条文说明
9.1.6 管桩混凝土强度是影响工程质量安全的主要因素,也是管桩生产厂家和地基基础施工单位对管桩质量纠纷的主要矛盾,因此,本标准对管桩桩身混凝土强度抽检进行了明确规定,一是明确可选择两种检测方法,即钻芯法或管桩全截面抗压试验方法;二是影响钻芯法检测结果的因素比较多,如取样、样品处理等都会影响评价结果,当对钻芯法的检测评价结果有争议时,可采用管桩全截面抗压试验进行评价。
9.1.7 当对管桩所用预应力钢棒、螺旋筋、桩端板材料的材质有争议或怀疑时,应对钢材(钢筋)材质进行抽检。
9.1.8 应对桩顶标高和桩位偏差进行检测,检测结果应符合现行国家标准《建筑地基基础工程施工质量验收规范》GB 50202的有关规定。
9.1.9 工程桩施工完毕后,工程桩单桩承载力和桩身完整性应进行抽样检测,检测数量和检测方法应符合现行行业标准《建筑基桩检测技术规范》JGJ 106的有关规定。对水泥土桩中植入管桩的管桩基础,单桩承载力试验应采用静载试验。
9.1.10 对于管桩复合地基,除应按本标准第9.1.9条对管桩进行检测外,还应进行复合地基平板载荷试验,复合地基平板载荷试验的检测数量和检测方法应符合现行行业标准《建筑地基检测技术规范》JGJ 340的有关规定。对设计要求消除地基液化、湿陷性的,应进行桩间土的液化、湿陷性检验。
条文说明
9.1.9、9.1.10 在本标准中,管桩有三种使用方式,即桩基础中的管桩、复合地基中的管桩和支护结构中的管桩。不论哪种情况,均应对工程桩桩身质量完整性和单桩承载力进行抽检。单桩承载力检测,视设计要求而定,可能只包括单桩竖向抗压承载力,也可能包括单桩竖向抗压承载力、单桩竖向抗拔承载力和单桩水平承载力。检测单桩竖向抗压承载力可采用静载试验和高应变法,检测桩身质量完整性可采用低应变法和高应变法。应该指出,对于基坑支护工程中的管桩,其水平受力状况与现行行业标准《建筑基桩检测技术规范》JGJ 106单桩水平荷载试验假定的基桩水平受力状况是有差别的,如何科学合理地评价基坑支护工程中的管桩水平承载能力满足设计要求,尚需进一步进行研究。此外,本标准规定,对水泥土桩中植入管桩的管桩基础,应采用静载试验对水泥土复合管桩的单桩承载力进行试验;对于管桩复合地基,还应进行复合地基平板载荷试验,对设计要求消除地基液化、湿陷性的,应进行桩间土的液化、湿陷性检验。 有些地方标准规定采用低压灯泡吊入管桩内腔作桩身完整性检查,或用孔内摄像仪进行检查,作为低应变法和高应变法检测结果的补充,是有实际工程意义的,值得鼓励,但作为行业标准,本标准未进行规定。另外,对于一般工程中的预应力管桩,有些地方标准鼓励采用高应变法同时进行桩身完整性和单桩抗压承载力的检测,这与地方工程质量控制水平和检测技术水平有关,作为行业标准,本标准未进行规定,各地可执行地方标准。
9.1.11 锤击沉桩过程中出现贯入度突变时,应停止锤击沉桩施工,按现行行业标准《建筑基桩检测技术规范》JGJ 106规定的方法,对出现贯入度突变的基桩进行检测,并在相同施工工艺和相近地基条件下,与未出现贯入度突变的基桩进行对比检测或监测,查明贯入度突变的原因。
9.1.12 试沉桩阶段未进行打桩过程监测的长桩、超长桩,当其穿越深厚软土层时,宜按现行行业标准《建筑基桩检测技术规范》JGJ 106规定的方法,在工程桩锤击施工阶段进行打桩过程监测。
9.1.13 下列管桩基础应在承台完成以后的施工期间及使用期间进行沉降变形观测直至沉降达到稳定标准;当设计有要求时,应满足设计要求。
1 地基基础设计等级为甲级的管桩基础;
2 地质条件复杂地基基础设计等级为乙级的管桩基础;
3 设计施工工艺采用植入法或中掘法的管桩基础;
4 采用管桩复合地基;
5 桩端持力层为遇水易软化风化岩层的管桩基础。
9.1.14 当基坑支护结构中使用管桩时,宜对管桩的挠度进行监测,基坑的监测应符合现行国家标准《建筑基坑工程监测技术规范》GB 50497的有关规定。
9.2 工程验收
9.2 工程验收
9.2.1 管桩的桩顶标高、桩位偏差和桩身垂直度的验收程序应符合下列规定:
1 当桩顶标高与施工现场标高一致时,可待全部管桩施打完毕后一次性验收;
2 当需要送桩时,在送桩前应进行桩身垂直度检查,合格后方可送桩;
3 全部管桩施工结束,并开挖到设计标高后再进行竣工验收。
9.2.2 工程验收时应具备下列资料:
1 桩基设计文件和施工图,包括施工图纸会审记录、设计变更资料;
2 桩位测量放线图,包括工程基线复核签证单;
3 岩土工程勘察报告;
4 施工组织设计或施工方案;
5 管桩出厂合格证、产品说明书;
6 施工记录汇总,包括桩位编号图;
7 现场用桩检查资料,包括管桩的规格型号,尺寸偏差和外观质量,预应力钢棒的数量和直径,螺旋筋的直径和间距,螺旋筋加密区的长度,钢筋混凝土保护层厚度,桩端板和桩尖的尺寸,预应力钢棒和螺旋筋抽检、接头焊缝验收记录等汇总资料;
8 桩基工程竣工图;
9 桩顶标高、桩顶平面位置、垂直度偏差检测结果;
10 预应力钢棒、螺旋筋、桩端板材质检验报告,管桩混凝土强度检测报告;
11 桩身完整性检测报告;
12 单桩承载力检测报告,对管桩复合地基还应有复合地基承载力检测报告;
13 监测资料;
14 发生质量事故时的处理记录;
15 施工技术措施记录。
9.2.3 工程验收尚应符合现行国家标准《建筑地基基础工程施工质量验收规范》GB 50202的有关规定。
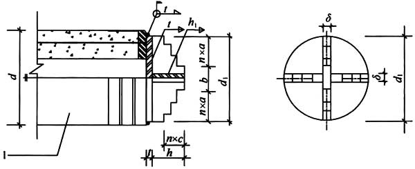
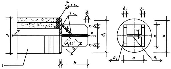
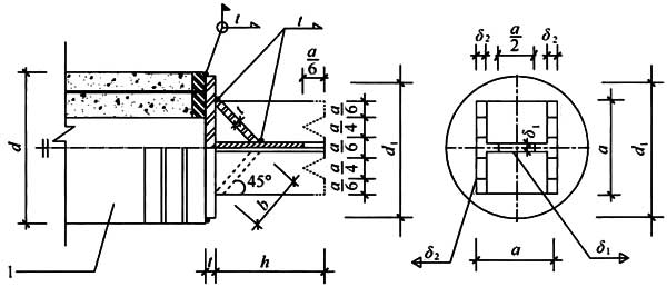
附录A管桩结构形式、桩身配筋及桩身力学性能参数表
附录A 管桩结构形式、桩身配筋及桩身力学性能参数表
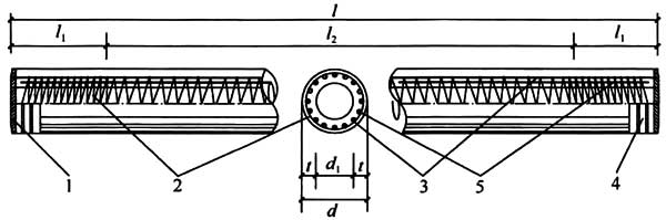
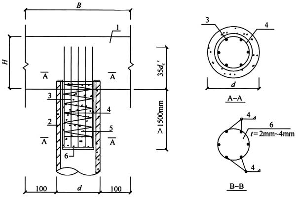
A.0.1 管桩结构形式(图A.0.1-1~图A.0.1-2),桩套箍结构形式(图A.0.1-3)及参数(表A.0.1)。
1 管桩(预应力高强混凝土管桩、预应力混凝土管桩)的结构形式(图A.0.1-1);

图A.0.1-1 管桩(预应力高强混凝土管桩、预应力混凝土管桩)结构形式
t-壁厚;l-桩长;d-管桩外径;d 1 -管桩内径;l 1 -桩端加密区长度;
l 2 -非加密区长度;1-端板:2-螺旋筋;3-预应力钢棒;4-桩套箍
2 管桩(混合配筋管桩)的结构形式(图A.0.1-2);
3 管桩的桩套箍结构形式(图A.0.1-3)及结构参数(表A.0.1)
表A.0.1 管桩桩套箍的结构参数表


图A.0.1-2 管桩(混合配筋管桩)结构形式
t-壁厚;l-桩长;d-外径;d 1 -管桩内径;l 1 -桩端加密区长度;
l 2 -非加密区长度;1-端板;2-螺旋筋;3-预应力钢棒;4-桩套箍;5-非预应力钢筋

图A.0.1-3 管桩桩套箍的结构形式
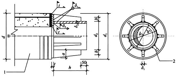
A.0.2 受压管桩与承台连接构造(图A.0.2)及填芯混凝土内配筋(表A.0.2)。
表A.0.2 填芯混凝土内配筋表


图A.0.2 受压管桩与承台连接构造图
1-承台或底板;2-管桩;3-垫层;4-灌芯混凝土内纵筋;
5-灌芯混凝土内箍筋;6-微膨胀混凝土灌芯;7-支托钢板及吊筋;d′ e -填芯钢筋直径(mm)
A.0.3 不截桩受拉管桩与承台连接构造(图A.0.3-1)和截桩受拉管桩与承台连接构造(图A.0.3-2)。

图A.0.3-1 不截桩受拉管桩与承台连接构造图
1-锚固钢筋;2-锚板;3-端板;4-承台或底板;5-管桩;6-4mm厚托板;7-垫层;8-微膨胀灌芯混凝土

图A.0.3-2 截桩受拉管桩与承台连接构造图
1-承台或底板;2-管桩;3-垫层;4-灌芯混凝土内纵筋;
5-灌芯混凝土内箍筋;6-微膨胀灌芯混凝土;7-支托钢板
A.0.4 桩基工程、基坑支护工程用管桩推荐桩型桩身配筋及相关参数应按表A.0.4-1~表A.0.4-4取值。
表A.0.4-1 PHC管桩桩身配筋及相关参数表





注:PHC管桩的混凝土强度等级为C80。
表A.0.4-2 PC管桩桩身配筋及相关参数表





注:PC管桩的混凝土强度等级为C60。
表A.0.4-3 PRC管桩桩身配筋及相关参数表(Ⅰ型)




注:表中PRC管桩(Ⅰ型)的混凝土强度等级为C80。
表A.0.4-4 PRC管桩桩身配筋及相关参数表(Ⅱ型)



注:表中PRC管桩(Ⅱ型)的混凝土强度等级为C80。
A.0.5 桩基工程、基坑支护工程用管桩推荐桩型桩身力学性能应按表A.0.5-1~表A.0.5-12取值。
表A.0.5-1 PHC管桩桩身力学性能表





表A.0.5-2 PHC管桩桩身力学性能表





注:表中混凝土强度等级为C80,桩身轴心受压承载力设计值未考虑压屈影响,其打入式或抱压式施工、顶压式施工、中掘法或植入法施工的综合折减系数ψ c 分别取0.7、0.8、0.85进行计算。
表A.0.5-3 PHC管桩桩身力学性能表






表A.0.5-4 PC管桩桩身力学性能表






表A.0.5-5 PC管桩桩身力学性能表





注:表中混凝土强度等级为C60,桩身轴心受压承载力设计值未考虑压屈影响,其打入式或抱压式施工、顶压式施工、中掘法或植入法施工的综合折减系数ψ c 分别取0.7、0.8、0.85进行计算。
表A.0.5-6 PC管桩桩身力学性能表





表 A.0.5-7 PRC管桩(Ⅰ型)桩身力学性能表



表A.0.5-8 PRC管桩(Ⅰ型)桩身力学性能表



注:表中混凝土强度等级为C80,桩身轴心受压承载力设计值未考虑压屈影响,其打入式或抱压式施工、顶压式施工、中掘法或植入法施工的综合折减系数ψ c 分别取0.7、0.8、0.85进行计算。
表A.0.5-9 PRC管桩(Ⅰ型)桩身力学性能表




表A.0.5-10 PRC管桩(Ⅱ型)桩身力学性能表



表A.0.5-11 PRC管桩(Ⅱ型)桩身力学性能表



注:表中混凝土强度等级为C80,桩身轴心受压承载力设计值未考虑压屈影响,其打入式或抱压式施工、顶压式施工、中掘法或植入法施工的综合折减系数ψ c 分别取0.7、0.8、0.85进行计算。
表A.0.5-12 PRC管桩(Ⅰ型)桩身力学性能表




A.0.6 地基处理用管桩推荐桩型桩身配筋及相关参数应按表A.0.6-1、表A.0.6-2取值。
表A.0.6-1 地基处理用管桩推荐桩型桩身配筋及相关参数表


注:表中PHC管桩、PC管桩的混凝土强度等级分别为C80、C60。
表A.0.6-2 地基处理用管桩推荐桩型桩身配筋及相美参数表


注:混凝土强度等级为C80。
A.0.7 地基处理用管桩推荐桩型桩身力学性能应按表A.0.7-1~表A.0.7-4取值。
表A.0.7-1 地基处理用管桩推荐桩型桩身力学性能表

注:表中PHC管桩、PC管桩的混凝土强度等级分别为C80、C60。
表A.0.7-2 地基处理用管桩推荐桩型桩身力学性能表

注:表中PHC管桩、PC管桩的混凝土强度等级分别为C80、C60。
表A.0.7-3 地基处理用管桩推荐桩型桩身力学性能表

表A.0.7-4 地基处理用管桩推荐桩型桩身力学性能表

注:表中混凝土强度等级为C80,桩身轴心受压承载力设计值未考虑压屈影响,其打入式或抱压式施工、顶压式施工、中掘法或植入法施工的综合折减系数ψ c 分别取0.7、0.8、0.85进行计算。
附录B管桩偏心受压N M曲线
附录B 管桩偏心受压N-M曲线
B.0.1 PHC管桩A型偏心受压N-M曲线(图B.0.1)。

图B.0.1 PHC管桩A型偏心受压N-M曲线
B.0.2 PHC管桩AB型偏心受压N-M曲线(图B.0.2)。

图B.0.2 PHC管桩AB型偏心受压N-M曲线
B.0.3 PHC管桩B型偏心受压N-M曲线(图B.0.3)。

图B.0.3 PHC管桩B型偏心受压N-M曲线
B.0.4 PHC管桩C型偏心受压N-M曲线(图B.0.4)。

图B.0.4 PHC管桩C型偏心受压N-M曲线
B.0.5 PC管桩A型偏心受压N-M曲线(图B.0.5)。

图B.0.5 PC管桩A型偏心受压N-M曲线
B.0.6 PC管桩AB型偏心受压N-M曲线(图B.0.6)。

图B.0.6 PC管桩AB型偏心受压N-M曲线
B.0.7 PC管桩B型偏心受压N-M曲线(图B.0.7)。

图B.0.7 PC管桩B型偏心受压N-M曲线
B.0.8 PC管桩C型偏心受压N-M曲线(图B.0.8)。

图B.0.8 PC管桩C型偏心受压N-M曲线
B.0.9 PRC-Ⅰ管桩A型偏心受压N-M曲线(图B.0.9)。

图B.0.9 PRC-Ⅰ管桩A型偏心受压N-M曲线
B.0.10 PRC-Ⅰ管桩AB型偏心受压N-M曲线(图B.0.10)。

图B.0.10 PRC-Ⅰ管桩AB型偏心受压N-M曲线
B.0.11 PRC-Ⅰ管桩B型偏心受压N-M曲线(图B.0.11)。

图B.0.11 PRC-Ⅰ管桩B型偏心受压N-M曲线
B.0.12 PRC-Ⅰ管桩C型偏心受压N-M曲线(图B.0.12)

图B.0.12 PRC -Ⅰ管桩C 型偏心受压N-M曲线
B.0.13 PRC-Ⅰ管桩D型偏心受压N-M曲线(图B.0.13)。

图B.0.13 PRC-Ⅰ管桩D型偏心受压N-M曲线
B.0.14 PRC-Ⅱ管桩A型偏心受压N-M曲线(图B.0.14)。

图B.0.14 PRC-Ⅱ管桩A型偏心受压N-M曲线
B.0.15 PRC-Ⅱ管桩AB型偏心受压N-M曲线(图B.0.15)。

图B.0.15 PRC-Ⅱ管桩AB型偏心受压N-M曲线
B.0.16 PRC-Ⅱ管桩B型偏心受压N-M曲线(图B.0.16)。

图B.0.16 PRC-Ⅱ管桩B型偏心受压N-M曲线
B.0.17 PRC-Ⅱ管桩C型偏心受压N-M曲线(图B.0.17)。

图B.0.17 PRC-Ⅱ管桩C型偏心受压N-M曲线
B.0.18 PRC-Ⅱ管桩D型偏心受压N-M曲线(图B.0.18)。

图B.0.18 PRC-Ⅱ管桩D型偏心受压N-M曲线
附录C管桩与腰梁、冠梁的连接构造示意图
附录C 管桩与腰梁、冠梁的连接构造示意图
C.0.1 管桩与腰梁连接构造(图C.0.1)。

图C.0.1 钢腰梁构造(一)
1-顶部缀板;2-底部缀板;3-锚头承压板;4-锚具;5-管桩;6-锚杆;7-工字钢或H型钢

图C.0.1 钢腰梁构造(二)
1-顶部缀板;2-底部缀板;3-锚头承压板;4-锚具;5-管桩;6-锚杆;7-槽钢
注:1 对于双拼槽钢,其规格宜选用[18~[36;对于双拼工字钢,其规格宜选用Ⅰ16~Ⅰ32;
2 双拼钢腰梁应通过缀板焊接为整体,缀板的尺寸及间距应根据在锚杆集中荷载作用下的局部受压稳定与受扭稳定计算确定,两相邻锚头之间不应少于1块;焊缝高度不应小于8mm;
3 锚头承压板开洞d根据锚杆杆体的直径确定,其宽度B应满足局部承压要求,且不小于200mm;
4 顶部缀板、底部缀板、锚头承压板钢材牌号为Q235或Q345;
5 锚杆设置在相邻管桩之间。
C.0.2 管桩与冠梁连接构造(图C.0.2)。

图C.0.2 混凝土冠梁与管桩连接构造
1-冠梁;2-管桩;3-灌芯混凝土内纵筋;4-灌芯混凝土内箍筋;5-微膨胀灌芯混凝土;6-支托钢板
注:管桩与冠梁宜采用混凝土梁,混凝土冠梁与管桩连接时,冠梁高度H不应小于400mm且不宜小于管桩直径的2/3。
附录D静压沉桩施工记录表
附录D 静压沉桩施工记录表
表D 静压沉桩施工记录表

附录E锤击沉桩施工记录表
附录E 锤击沉桩施工记录表
表E 锤击沉桩施工记录表


附录F植入法沉桩施工记录表
附录F 植入法沉桩施工记录表
表F 植入法沉桩施工记录表


附录G静压桩机及适用范围参数表
附录G 静压桩机及适用范围参数表
G.0.1 静压桩机技术参数应按表G.0.1取值
表G.0.1 静压桩机技术参数表

G.0.2 静压桩机适用范围参数应按表G.0.2取值。
表G.0.2 静压桩机适用范围参数表


注:1 压桩机应根据工程地质条件、估算的最大压桩阻力、单桩极限承载力、入土深度及桩身强度并结合地区经验等因素综合考虑后选用;
2 最大压桩力为理论最大压桩力,压桩时压桩机提供的最大压桩力约为其机架重量和配重之和的0.8倍;
3 本表中静压桩机施工边、角桩及正常桩时,与邻近建(构)筑物施工的最小距离宜为2m~5m。
附录H柴油锤重选择及适用范围参数表
附录H 柴油锤重选择及适用范围参数表
H.0.1 柴油锤重选择技术参数应按表H.0.1取值。
表H.0.1 柴油锤重选择技术参数表

H.0.2 柴油锤重适用范围参数应按表H.0.2取值。
表H.0.2 柴油锤重适用范围参数表


注:1 本表仅供选锤用,选择时宜重锤低击。
2 本表适用于桩长16m~60m,且桩端进入硬土层有一定深度。
3 本表中的柴油锤施工时,与邻近建(构)筑物的最小距离宜为1.5m。
附录J管桩桩尖规格及构造图
附录J 管桩桩尖规格及构造图
J.0.1 平底十字形桩尖构造(图J.0.1)及尺寸(表J.0.1)。

图J.0.1 平底十字形桩尖
1-管桩桩身
表J.0.1 平底十字形桩尖构造尺寸(mm)

J.0.2 尖底十字Ⅰ(Ⅱ)型桩尖构造(图J.0.2)及尺寸(表J.0.2)。

图J.0.2 尖底十字形桩尖
1-管桩桩身
表J.0.2 尖底十字形桩尖构造尺寸(mm)

J.0.3 锯齿十字形桩尖构造(图J.0.3)及尺寸(表J.0.3)。

图J.0.3 锯齿十字形桩尖
1-管桩桩身
表J.0.3 锯齿十字形桩尖构造尺寸(mm)

J.0.4 四棱锥形桩尖构造(图J.0.4)及尺寸(表J.0.4)。

图J.0.4 四棱锥形桩尖
1-管桩桩身
表J.0.4 四棱锥形桩尖构造尺寸(mm)


注:必要时桩尖内可灌C30混凝土填实。
J.0.5 六棱锥形桩尖构造(图J.0.5)及尺寸(表J.0.5)。

图J.0.5 六棱锥形桩尖
1-管桩桩身
表J.0.5 六棱锥形桩尖构造尺寸(mm)

注:必要时桩尖内可灌C30混凝土填实。
J.0.6 H钢1型桩尖构造(图J.0.6)及尺寸(表J.0.6)。

图J.0.6 H钢1型桩尖
1-管桩桩身
表J.0.6 H钢1型桩尖构造尺寸(mm)

J.0.7 H钢2型桩尖构造(图J.0.7)及尺寸(表J.0.7)。

图J.0.7 H钢2型桩尖
1-管桩桩身
表J.0.7 H钢2型桩尖构造尺寸(mm)

J.0.8 开口形桩尖构造(图J.0.8)及尺寸(表J.0.8)。

图J.0.8 开口形桩尖
1-管桩桩身;2-加劲肋n条
表J.0.8 开口形桩尖构造尺寸(mm)

附录K管桩全截面桩身混凝土抗压强度试验评价
附录K 管桩全截面桩身混凝土抗压强度试验评价
K.0.1 本附录适用于管桩全截面桩身抗压强度试验评价管桩桩身混凝土强度。
K.0.2 试件应从工地现场随机抽取的管桩上截取,截取试件时应避开管桩螺旋筋加密区。试件的长径比应为1.0~2.0(试件的长径比应为2:1,长度的尺寸允许偏差宜为±5%)。
K.0.3 抗压试验宜在试验机上进行,也可采用千斤顶施加荷载。试验用的计量器具应进行检定或校准。
K.0.4 试验前,应对试件的垂直度和平整度进行测量,并应符合下列规定:
1 试件端面的平整度在100mm长度内应为±0.1mm;
2 试件端面与轴线的垂直度应为±2°。
K.0.5 当试件的平整度和垂直度不能满足要求时,应选用以下方法进行端面加工:
1 采用磨平方法。
2 用硫黄胶泥等材料进行补平。补平层应与试件端部结合牢固,受压时补平层与试件的结合面不得提前破坏。
K.0.6 管桩全截面试件的抗压强度应按下式计算:

式中:f cu,k ——试件抗压强度标准值(MPa),精确至0.1MPa;
P——试件抗压试验测得的破坏荷载(N);
A——管桩桩身横截面面积(mm 2 );
ξ——试件抗压强度换算系数,宜取1.0。
K.0.7 管桩全截面试件的抗压强度值不小于管桩混凝土强度设计等级的95%时,可认为抽检的管桩混凝土强度满足设计要求。
K.0.8 当一个试件的强度值不满足设计要求时,可再截取两个试件进行试验,试验后,当三个强度试验值的中值(或平均值)满足K.0.7条要求时,可认为抽检的管桩混凝土强度满足设计要求。
本标准用词说明
本标准用词说明
1 为便于在执行本标准条文时区别对待,对要求严格程度不同的用词说明如下:
1)表示很严格,非这样做不可的:
正面词采用“必须”,反面词采用“严禁”;
2)表示严格,在正常情况下均应这样做的:
正面词采用“应”,反面词采用“不应”或“不得”;
3)表示允许稍有选择,在条件许可时首先应这样做的:
正面词采用“宜”,反面词采用“不宜”;
4)表示有选择,在一定条件下可以这样做的,采用“可”。
2 条文中指明应按其他有关标准执行的写法为:“应符合……的规定”或“应按……执行”。
引用标准名录
引用标准名录
1.《建筑地基基础设计规范》GB 50007
2.《混凝土结构设计规范》GB 50010
3.《建筑抗震设计规范》GB 50011
4.《钢结构设计规范》GB 50017
5.《岩土工程勘察规范》GB 50021
6.《湿陷性黄土地区建筑规范》GB 50025
7.《工业建筑防腐蚀设计规范》GB 50046
8.《普通混凝土长期性能和耐久性能试验方法标准》GB/T 50082
9.《混凝土外加剂应用技术规范》GB 50119
10.《建筑地基基础工程施工质量验收规范》GB 50202
11.《钢结构工程施工质量验收规范》GB 50205
12.《建筑基坑工程监测技术规范》GB 50497
13.《钢结构焊接规范》GB 50661
14.《先张法预应力混凝土管桩》GB 13476
15.《碳素结构钢》GB/T 700
16.《预应力混凝土用钢棒》GB/T 5223.3
17.《用于水泥和混凝土中的粒化高炉矿渣粉》GB/T 18046
18.《钻芯检测离心高强混凝土抗压强度试验方法》GB/T 19496
19.《砂浆和混凝土用硅灰》GB/T 27690
20.《建筑地基处理技术规范》JGJ 79
21.《建筑桩基技术规范》JGJ 94
22.《建筑基桩检测技术规范》JGJ 106
23.《建筑基坑支护技术规程》JGJ 120
24.《劲性复合桩技术规程》JGJ/T 327
25.《水泥土复合管桩基础技术规程》JGJ/T 330
26.《建筑地基检测技术规范》JGJ 340
27.《随钻跟管桩技术规程》JGJ/T 344
28.《先张法预应力混凝土管桩用端板》JC/T 947
