Appearance
《城市轨道交通结构抗震设计规范[附条文说明]》GB 50909-2014
🗓️ 住房和城乡建设部 实施时间:2014-12-01
前言
中华人民共和国国家标准
城市轨道交通结构抗震设计规范
Code for seismic design of urban rail transit structures
GB 50909-2014
主编部门:中华人民共和国住房和城乡建设部
批准部门:中华人民共和国住房和城乡建设部
施行日期:2014年12月1日
中华人民共和国住房和城乡建设部公告
第365号
住房城乡建设部关于发布国家标准《城市轨道交通结构抗震设计规范》的公告
现批准《城市轨道交通结构抗震设计规范》为国家标准,编号为GB 50909-2014,自2014年12月1日起实施。其中,第1.0.3、3.1.4、3.2.4、5.2.1条为强制性条文,必须严格执行。
本规范由我部标准定额研究所组织中国计划出版社出版发行。
中华人民共和国住房和城乡建设部
2014年3月31日
前言
根据原建设部《关于印发<2007年工程建设标准规范制订、修订计划(第一批)>的通知》(建标[2007]125号)要求,由同济大学和天津市地下铁道集团有限公司会同有关单位编制而成。
本规范在编制过程中,编制组经广泛调查研究,认真总结实践经验,参考有关国际标准和国外先进标准,并在广泛征求意见的基础上,完成报批稿,最后经审查定稿。
本规范共分10章和2个附录。主要技术内容包括:总则,术语和符号,基本要求,场地、地基与基础,地震作用,地震反应计算,抗震性能的验算方法,高架区间结构,高架车站结构,隧道与地下车站结构等。
本规范中以黑体字标志的条文为强制性条文,必须严格执行。
本规范由住房城乡建设部负责管理和对强制性条文的解释,由同济大学负责具体技术内容的解释。执行过程中如有意见或建议,请寄送同济大学(地址:上海市四平路1239号同济大学桥梁系805室,邮政编码:200092),以供今后修订时参考。
本规范主编单位、参编单位、主要起草人和主要审查人:
主编单位 :同济大学
天津市地下铁道集团有限公司
参编单位 :住房和城乡建设部地铁与轻轨研究中心
北京工业大学
上海市隧道工程轨道交通设计研究院
广州地铁设计研究院有限公司
清华大学
哈尔滨工业大学
中国地震局地球物理研究所
北京交通大学
中国地震局工程力学研究所
南京工业大学
北京城建设计研究总院有限责任公司
上海市政工程设计研究总院
天津城建设计院有限公司
中铁隧道勘测设计院有限公司
上海市地震局
苏州科技学院
广州大学
上海市城市建设设计研究院
主要起草人 :王君杰 朱敢平 亓路宽 秦国栋 孙利民 曹文宏 袁勇 史海欧 李小军 陈文艳 刘晶波 廖景 杜修力 王建新 杨秀仁 邵长宇 赵成刚 韩振勇 陈国兴 杨庆山 陈鸿 董正方 张素燕 程纬 刘如山 陶连金 王绍博 李伟华 韩鹏 翟长海 韩圣章 丁海平 宋仪 马运康 李伟华 韦晓 卢明奇 崔杰 闫兴非
主要审查人 :谢礼立 张雁 陈兴冲 何川 仝学让 谭文 董雪 唐光武 刘雨生 杨伟林 张敏政 杨玉成 沈建文
1 总则
1 总 则
1.0.1 为了在城市轨道交通结构抗震设计中贯彻执行国家的技术经济政策,做到安全、适用、经济,保证质量,制定本规范。
条文说明
1.0.1 制定本规范,不仅仅是为了确保城市轨道交通结构的地震安全,也是为了尽可能减轻轨道交通结构因地震导致的性能降低给城市轨道交通的正常运行造成的障碍。
1.0.2 本规范适用于新建、改建城市轨道交通结构的抗震设计。
条文说明
1.0.2 抗震设防的重点是城市轨道交通常见的、大量使用的结构物,如高架区间结构、高架车站结构、地下车站结构和区间隧道结构等。对于有特殊抗震要求的城市轨道交通结构物未包含在本规范内。
1.0.3 抗震设防地区的城市轨道交通结构必须进行抗震设计。 (自2023年3月1日起废止该条, ▶▶点击查看: 新规《城市轨道交通工程项目规范》GB 55033-2022 )
条文说明
1.0.3 本条为强制性条文,必须严格执行。城市轨道交通结构是城市极为重要的交通基础设施,通过抗震设计,使其具有合理的抵抗地震破坏作用的能力,对城市交通秩序、城市经济和社会活动、生命和财产安全都是非常重要的。
1.0.4 抗震设防采用的地震动参数应按现行国家标准《中国地震动参数区划图》GB 18306执行;已进行工程场地地震安全性评价的,应按审批结果取值。
条文说明
1.0.4 一般情况下,抗震设计验算可直接采用现行国家标准《中国地震动参数区划图》GB 18306规定的地震动参数。对做过专门地震研究的地区应采用经主管部门批准的工程场地地震安全性评价结果确定的地震动参数进行抗震设计。
1.0.5 城市轨道交通结构抗震设计除应符合本规范外,尚应符合国家现行有关标准的规定。
2 术语和符号
2.1 术语
2 术语和符号
条文说明
本章没有列出其他现行广泛使用的规范、标准或文献中已有统一定义的术语或符号,只列出了没有统一定义或本规范特有的术语与符号。
地震动峰值加速度分区值和地震动分档值不是术语,但因在规范中作为重要的名词用到,因此在这里给出了它们的定义。
地震动峰值加速度分区值(peak ground acceleration value of seismic hazard zoning area)是指地震区划图上标示地震动分区的地震动峰值加速度值。
地震动分档值(grading value of ground motion level)是指以地震动峰值加速度为指标划分出的地震动强度分档的代表性地震动峰值加速度值。
2.1 术 语
2.1.1 基于性能的抗震设计 performance-based seismic design
根据所选定的性能目标进行设计,使结构在规定的设计地震动水平下的行为满足预期的抗震性能目标。
2.1.2 E1 地震作用 low-level earthquake
重现周期为100年的地震动。
2.1.3 E2 地震作用 design earthquake
重现周期为475年的地震动。
2.1.4 E3 地震作用 high-level earthquake
重现周期为2475年的地震动。
2.1.5 设计地震作用基准面 ground level in seismic design
设计地震动参数取值所对应的土层位置。
2.1.6 防落梁装置 unseating-prevention system
为防止桥梁墩梁间的相对位移超过限值而设计的构造装置。
2.1.7 限位装置 restrainer
为防止桥梁支座损伤所引起的墩梁间的相对大位移而设计的构造装置。
2.1.8 多点反应谱法 multiple-support input response spec-trum method
结构与地基支承点处地震动输入不同时的反应谱组合方法。
2.1.9 弹塑性反应谱法 elastoplastic response spectrum method
根据结构的等效周期和屈服地震加速度,利用弹塑性反应谱计算结构的地震反应的分析方法。
2.1.10 反应位移法 response displacement method
以场地土层地震动相对位移为主要因素确定地震作用,对地下结构物进行抗震计算的方法。
2.1.11 反应加速度法 response acceleration method
用场地土层地震动加速度确定地震作用,施加于地下结构及周围土体,对地下结构物进行抗震计算的方法。
2.2 符号
2.2 符 号
a——梁端的支承长度;
a h ——桥墩(台)顶端反应绝对加速度最大值;
a i ——第i层土单元水平有效惯性加速度;
a max ——地表水平向设计地震动峰值加速度;
a maxⅡ ——Ⅱ类场地设计地震动峰值加速度值;
c e ——土层液化影响折减系数;
d——覆盖土层厚度,土层沿隧道与地下车站纵向的计算长度,承台质心处的地震反应位移,地基弹簧影响长度;
d 0 ——计算深度,液化土特征深度;
d b ——基础埋置深度;
d d ——承台质心处的设计容许位移;
d eq ——结构整体屈服点对应的水平位移;
d i ——计算深度范围内第i层土的厚度,i点所代表的土层厚度;
d s ——饱和土标准贯入点深度;
d u ——上覆盖非液化土层厚度;
d w ——地下水位深度;
f a ——深宽修正后的地基承载力特征值;
f aE ——调整后的地基承载力;
f ak ——由荷载试验等方法得到的地基承载力特征值;
f i ——结构i单元上作用的惯性力;
F eq ——结构整体屈服点对应的水平荷载;
F h ——支座水平地震力;
F L ——土层的液化抵抗率;
h i ——第i层土单元的厚度;
I IE ——液化指数;
k——压缩或剪切地基弹簧刚度;
K——基床系数,构件极限塑性转角的安全系数;
K eq ——等效刚度;
k h ——结构侧壁压缩地基弹簧刚度;
k l ——沿隧道纵向侧壁剪切地基弹簧刚度;
k n ——圆形结构侧壁压缩地基弹簧刚度;
k s ——圆形结构侧壁剪切地基弹簧刚度;
k sh ——结构侧壁剪切地基弹簧刚度;
k sv ——结构顶底板剪切地基弹簧刚度;
k t ——沿隧道纵向侧壁拉压地基弹簧刚度;
k v ——结构顶底板压缩地基弹簧刚度;
K v ——竖向地震动峰值加速度与水平向峰值加速度比值;竖向基床系数;
l i ——计算桥墩处两侧跨径;
L——垂直于结构横向的计算长度;
L p ——塑性铰长度;
m i ——结构i单元的质量;
M eq ——等效质量;
M p ——桥墩质量;
M s ——上部结构质量;
M u ——构件截面极限弯矩;
M v ——等效列车质量;
M y ——构件截面等效屈服弯矩;
n——计算深度范围内土层的分层数,在判别深度范围内每一个钻孔标准贯入试验点的总数;
N——上部结构重力在支座上产生的反力;
N 0 ——液化判别标准贯入锤击数基准值;
N 1 ——场地土标准贯入锤击数实测值;
N cr ——判别标准贯入液化锤击数临界值;
N cri ——i点液化判别标准贯入锤击数临界值;
N i ——i点标准贯入锤击数实测值;
p——地震作用效应标准组合的基础底面平均压力;
p max ——地震作用效应标准组合的基础边缘最大压力;
R——需要计算的结构反应,结构构件承载力设计值;
R D ——地震作用下支座的水平地震力;
R e ——复数的实部;
R H ——永久荷载作用下支座的水平力;
R i ——第i振型反应;
R j ——第j振型反应;
R max ——支座水平抗力值;
R t ——包括地震力效应的支座的水平力效应组合值;
R X ——X方向地震动作用对同一反应量的贡献;
R Y ——Y方向地震动作用对同一反应量的贡献;
R Z ——Z方向地震动作用对同一反应量的贡献;
R μ ——折减系数;
S——反应谱值,结构构件内力组合设计值;
t——剪切波在地面至计算深度之间的传播时间;
T——结构自振周期;
T 0 ——场地相关特征周期参数;
T i ——第i振型的自由振动周期;
T j ——第j振型的自由振动周期;
T eq ——结构等效周期;
T g ——场地设计地震动加速度反应谱特征周期;
u(z)——深度z处自由土层地震反应位移;
u(z B )——结构底部深度z B 处的自由土层地震反应位移;
u'(z)——深度z处相对于结构底部的自由土层相对位移;
u max ——地表水平向设计地震动峰值位移;
u maxⅡ ——Ⅱ类场地设计地震动峰值位移;

——地下结构顶底板位置处自由土层发生最大相对位移时刻,自由土层对应于结构i单元位置处的加速度;
v s ——岩土等效剪切波速;
v se ——场地土层等效剪切波速;
v si ——计算深度范围内第i层土的剪切波速;
V mu ——构件达到截面等效屈服弯矩时的剪力;
V cd ——混凝土设计剪切抗力;
V sd ——钢骨设计剪切抗力;
V wd ——钢筋设计剪切抗力;
V yd ——设计剪切抗力;
W——隧道横向平均宽度或直径;
W i ——i土层单位土层厚度的层位影响权函数值,支座所分担到的水平惯性力所对应的上部结构重量;
α——构件性能等级系数;
β m ——场地设计地震动加速度反应谱动力放大系数最大值;
γ——下降段的衰减指数;
γ RE ——承载力抗震修正系数;
δ i ——第i个墩顶处轨顶面位移;
ζ a ——地基抗震承载力调整系数;
τ U ——隧道与地下车站结构顶板单位面积上作用的剪力;
τ B ——隧道与地下车站结构底板单位面积上作用的剪力;
τ S ——隧道与地下车站结构侧壁单位面积上作用的剪力;
η——阻尼调整系数;
η m ——与设防地震动加速度反应谱特征周期分区相关的调整系数;
θ——地震反应转角,平行转角或折转角;
θ d ——性能等级的界限值;
θ pu ——构件塑性铰区的极限塑性转角;
θ u ——塑性铰区域极限转角;
θ y ——构件塑性铰区等效屈服转角,基础底面屈服转角;
μ——延性系数;
μ d ——支座的动摩阻系数;
ξ i ——第i振型阻尼比;
ξ j ——第j振型阻尼比;
ρ c ——黏粒含量百分率;
ρ i ——第i层土单元的质量密度;
τ、τ i-1 ——地下结构顶底板位置处土层发生最大相对位移时刻第i层土单元底部与顶部的剪应力;

y ——塑性铰区屈服曲率;

u ——塑性铰区极限曲率;
∑t——橡胶层的总厚度;
△ D ——活动支座的滑动量,地震产生的梁端与墩顶的相对位移;
△ gd ——固定墩的墩顶位移;
△ H ——永久作用下支座产生的水平位移;
△ max ——支座容许最大滑动水平位移;
△ t ——地震作用下最不利效应组合后支座产生的水平位移;
△ top ——滑动支座处的墩顶位移;
Γ a ——场地地震动峰值加速度调整系数;
Γ u ——场地地震动峰值位移调整系数。
3 基本要求
3.1 抗震设防要求
3 基本要求
3.1 抗震设防要求
3.1.1 城市轨道交通结构应划分为标准设防类、重点设防类、特殊设防类三个抗震设防类别。
条文说明
3.1.1 城市轨道交通结构抗震分类参照了现行国家标准《建筑工程抗震设防分类标准》GB 50223,但考虑到城市轨道交通结构的特点,进行了调整。重要性的划分应适当考虑规划交通量的大小和大型地下空间的利用。
3.1.2 抗震设防类别的划分应符合下列规定:
1 标准设防类:除特殊设防类、重点设防类以外的其他轨道交通结构;
2 重点设防类:除特殊设防类以外的高架区间结构、高架车站主体结构、区间隧道结构和地下车站主体结构;
3 特殊设防类:在城市轨道交通网络中占据关键地位、承担交通量大的大跨度桥梁和车站的主体结构。
条文说明
3.1.2 日本、美国和欧洲等国家和地区的抗震设计规范一般根据桥梁结构震后在交通维持、救灾与国防通行,以及维修难易度和经济损失等方面的重要性程度,划分抗震设计中桥梁结构的抗震设防类别。我国现行行业标准《公路桥梁抗震设计细则》JTG/T B02-01-2008将单跨跨径超过150m的特大桥梁划为A类桥梁。随着我国各大城市在人口规模、交通量等方面的迅速增长,轨道交通在震后救灾和人口转移等方面也将起到越来越重要的作用,其关键桥梁的破坏对震后救灾可能产生的重大影响不可忽视,因而,本规范建议将城市轨道交通线路上的关键大型桥梁划分为特殊设防类结构。为在设计工作中具备较好的可操作性,本规范亦以单跨最大跨径为指标,对特殊设防类结构的划分作出定量规定,规定单跨跨径超过150m的混凝土与预应力混凝土连续梁桥、连续刚构桥划分为特殊设防类结构,符合上述跨径范围的斜拉桥、悬索桥和拱桥等结构,建议划分为特殊设防类结构。 这里车站的交通量是指设计预测日平均客流量,包括进出站客流和站内换乘客流,不包括过站客流。目前上海市城市轨道交通网络中人民广场站的日平均客流量超过50万,世界上日均客流最大的车站为日本新宿站(包括地铁、铁路等),达到385万。建议将日平均客流量超过50万人次的大型综合枢纽车站的主体结构划分为特殊设防类。作此规定是为了控制特殊设防类车站范围。对于设计预测日平均客流量没有超过50万人次,而实际运营达到或超过50万人次的车站,建议通过抗震专题研究以确定是否需要按特殊设防类要求做适当的抗震加固。隧道出入口的挡土墙、通风井等归为标准设防类。
3.1.3 抗震设防地震动峰值加速度与抗震设防地震动分档和抗震设防烈度之间对应关系应符合表3.1.3的规定。
表3.1.3 抗震设防地震动峰值加速度与抗震设防地震动分档和抗震设防烈度之间对应关系

注:表中的g为重力加速度。
条文说明
3.1.3 表3.1.3列出了抗震设防地震动峰值加速度与抗震设防地震动分档的对应关系,这一关系直接引用现行国家标准《中国地震动参数区划图》GB 18306的规定。要注意的是抗震设防烈度为7度或8度时分别对应两档抗震设防地震动分档。
3.1.4 各抗震设防类别结构的抗震设防标准,应符合下列要求:
1 标准设防类:抗震措施应按本地区抗震设防烈度确定;地震作用应按现行国家标准《中国地震动参数区划图》GB 18306规定的本地区抗震设防要求确定;
2 重点设防类:抗震措施应按本地区抗震设防烈度提高一度的要求确定;地震作用应按现行国家标准《中国地震动参数区划图》GB 18306规定的本地区抗震设防要求确定;对进行过工程场地地震安全性评价的。应采用经国务院地震工作主管部门批准的建设工程的抗震设防要求确定,但不应低于本地区抗震设防要求确定的地震作用;
3 特殊设防类:抗震措施应按本地区抗震设防烈度提高一度的要求确定;地震作用应按国务院地震工作主管部门批准的建设工程的抗震设防要求且高于本地区抗震设防要求确定。 (自2023年3月1日起废止该条, ▶▶点击查看: 新规《城市轨道交通工程项目规范》GB 55033-2022 )
条文说明
3.1.4 本条为强制性条文,必须严格执行。本条主要参照现行国家标准《建筑工程抗震设防分类标准》GB 50223制定,提高抗震措施,着眼于把财力、物力用在增加结构薄弱部位的抗震能力上,是经济且有效的方法;只提高地震作用,则结构的各构件均全面增加材料,使得投资增加,效果不如前者。
3.2 抗震性能要求
3.2 抗震性能要求
3.2.1 城市轨道交通结构的抗震性能要求应分成下列三个等级:
1 性能要求Ⅰ:地震后不破坏或轻微破坏,应能保持其正常使用功能;结构处于弹性工作阶段;不应因结构的变形导致轨道的过大变形而影响行车安全;
2 性能要求Ⅱ:地震后可能破坏,经修补,短期内应能恢复其正常使用功能;结构局部进入弹塑性工作阶段;
3 性能要求Ⅲ:地震后可能产生较大破坏,但不应出现局部或整体倒毁,结构处于弹塑性工作阶段。
条文说明
3.2.1 为确保城市轨道交通结构在地震作用下的安全性,防止地震时发生毁灭性的损伤,避免使用功能低下,本条规定了城市轨道交通结构应达到的三个抗震性能要求。在抗震设计时,应根据不同的地震动水准,并结合其重要程度,选取不同的性能要求,作为抗震设防目标。城市轨道交通结构在不同性能要求下的工作状态及受损程度分述为:
性能要求Ⅰ:结构处于正常使用状态,从抗震分析角度,结构可视为弹性体系,在预期的地震动作用下,结构一般不受损坏或轻微损坏,但不中断行车。
性能要求Ⅱ:结构局部进入弹塑性工作阶段,结构的非弹性变形或结构体系的损坏应控制在可修复的范围,在预期的地震动作用下,结构不致产生大的破坏,经修补后可限速通车。
性能要求Ⅲ:结构进入弹塑性工作阶段,结构发生较大的非弹性变形,但应控制在规定的范围内,在预期的地震动作用下,结构可能产生较大破坏,但不出现整体倒塌,经抢修后可限速通车。
3.2.2 城市轨道交通结构构件、基础和支座的抗震性能等级宜按下列要求划分:
1 构件宜按表3.2.2-1划分为3个抗震性能等级。
表3.2.2-1 构件性能等级

2 基础宜按表3.2.2-2划分为3个抗震性能等级。
表3.2.2-2 基础性能等级

3 支座宜按表3.2.2-3划分为2个抗震性能等级。
表3.2.2-3 支座性能等级

条文说明
3.2.2 本规范主要针对城市轨道交通中常见的钢筋混凝土构件、钢骨混凝土构件、钢管混凝土构件和钢构件的材料力学特点与修复工艺特征,将构件性能等级划分为无需维修、可修复的损伤和更换新构件3个等级。
由于可直接观察的基础的震害实例不多,本规范参考日本铁道抗震规范将其分为3个等级。
支座作为结构的重要连接构件,相对结构的其他构件易于更换。在实际工程中,针对它的破坏往往不是进行维修加固,而是直接更换,故本规范将其分为无需更换和需要更换2个等级。
3.2.3 构件、基础和支座的性能等级与结构抗震性能的关系应符合下列规定:
1 性能要求Ⅰ:构件、基础和支座的性能等级要求应为1;
2 性能要求Ⅱ:构件、基础的性能等级要求不应低于2;
3 性能要求Ⅲ:构件、基础的性能等级要求不应低于3;
4 对于性能要求Ⅱ或Ⅲ,下部具有较好延性的结构,支座的性能等级要求可为1;下部延性较差的结构,支座的性能等级要求可为2。
条文说明
3.2.3 由于性能要求Ⅰ规定结构地震后不破坏或轻微破坏,结构呈现弹性体系,这就要求其所属构件、基础和支座均处于正常使用状态,无需修复,故构件、基础和支座的性能等级均要求为1。
性能要求Ⅱ是以结构在地震后可修复,短期内应能恢复其正常使用功能为条件,故一般将构件的性能等级定为可修复的损伤,即为2。同时对于一些诸如特殊设防类结构的主要受力构件(如特大桥的桥塔、主拱圈等)、隧道与地下车站的侧壁等外侧与土相接的构件、直接支承轨道结构的构 件等极为重要或极不易维修的构件,由于它的严重破坏会使得整体结构修复难度加大。故要求设定这些构件的性能等级时,虽仍为可修复的损伤,但相对一般构件损伤程度要低,易于修复,即在满足构件性能等级2的要求基础上适当提高。
性能要求Ⅲ规定结构地震后可能产生较大破坏,但不应出现局部或整体倒毁,故一般将构件的性能等级设定为需要更换新构件,即为3。
对于性能要求Ⅱ和Ⅲ,若下部结构按延性设计,主要是通过下部结构的弹塑性变形来实现抗震设计的目的,此时为防止落梁的发生,需要保持支座的完好,故支座的性能等级设定为1;而若下部结构按非延性设计的情况,则可以考虑将支座作为牺牲构件,通过支座的破坏释放上部结构的地震力,来达到减小地震在下部结构中产生的反应,因此支座的性能等级可设定为2。
3.2.4 城市轨道交通结构的抗震性能要求不应低于表3.2.4的规定。
表3.2.4 城市轨道交通结构抗震设防目标


(自2023年3月1日起废止该条, ▶▶点击查看: 新规《城市轨道交通工程项目规范》GB 55033-2022 )
条文说明
3.2.4 本条是强制性条文,必须严格执行。历次强烈地震中的震害经验表明,即使是现代土木工程结构也会发生不同程度的破坏、甚至倒塌。从经济方面考虑,将结构设计成在任何强烈地震作用下都不破坏是极其困难的、甚至是不可能的。考虑到强度不同的地震发生的概率不同,强度越高则发生概率越低。在抗震设计性能要求方面,基本设想是在遭受发生概率高的地震时,预期的结构破坏应比较小,而在遭受发生概率低的地震时,预期的结构破坏比较大,即不同发生概率的地震作用下,规范容许的结构破坏程度不同。
3.3 地震反应计算
3.3 地震反应计算
3.3.1 抗震设计中地震反应的计算方法宜按表3.3.1采用。
表3.3.1 地震反应计算方法


条文说明
3.3.1 线性反应谱方法在基本理论、计算方法等方面都已经成熟,并且经过数十年的应用检验,是一个简单和可靠的方法,为工程师所熟悉和掌握,因此对该方法适用的场合,应优先采用。对于特殊设防类的高架区间结构,性能要求Ⅱ时宜采用等效线性化方法考虑支座等处可能产生的局部或轻微的非线性。振动特性简单的结构是指结构的振动反应由第一振型控制,并且塑性铰出现的位置明确。
弹塑性反应谱方法是线性反应谱方法的拓展,可以考虑结构弹塑性效应,用来分析结构的弹塑性反应。考虑到弹塑性反应谱方法简单且具有统计意义,需要进行弹塑性反应分析时,应优先考虑采用此方法。
非线性时程方法是结构非线性地震反应计算比较普遍适用的方法,当弹性反应谱方法和弹塑性反应谱方法不适用时,需要采用非线性时程方法。
对地下车站和区间隧道结构,反应位移法、反应加速度法和时程分析法都是常用的计算方法。反应位移法是用地震时周围土层的变形作为地震荷载,这符合地下结构地震时的振动特点,并且该方法操作简单,因此在弹性范围内的计算,可优先考虑该方法。反应加速度法直接将土体划分为二维平面应变单元,因此可以考虑土体的非线性,并且无需计算地基弹簧,因此消除了反应位移法中计算地基弹簧刚度时带来的误差。时程分析法精度较高,且可以考虑非线性等,但由于需要较深的多方面专业知识和技能,对使用者要求较高且操作繁杂,其计算结果的评价也不容易,因此一般只有特殊要求时才使用该方法。
3.3.2 结构抗震计算应符合下列规定:
1 计算模型的建立及简化,应反映结构在地震作用下的实际工作状态;
2 计算软件的技术条件应符合本规范及国家现行有关标准的规定,并阐明其特殊处理的内容和依据;
3 计算机的计算结果,应经分析判断确认其合理、有效后方可用于工程设计。
条文说明
3.3.2 《建筑工程设计文件编制深度规定》要求使用计算机进行抗震分析时,应对软件的功能有切实的了解,计算模型的选取必须符合结构的实际工作情况,计算软件的技术条件应符合规范及有关强制性标准的规定,设计时应对所获计算结果进行判别,确认其合理有效后方可在设计中应用。
3.4 减震设计
3.4 减震设计
3.4.1 城市轨道交通结构可采用消能减震设计。
条文说明
3.4.1 隔震和消能减震设计是一种新技术,应考虑使用功能的要求、隔震与消能减震的效果、长期工作性能,以及经济性等问题。适应我国经济发展的需要,有条件地利用隔振和消能减震来减轻城市轨道交通结构的地震灾害,是完全可能的。现阶段,这种新技术主要用于对使用功能有特别要求和高地震活动性地区的城市轨道交通结构,即用于投资方愿意通过增加投资来提高安全要求的城市轨道交通结构物。
3.4.2 对采用消能减震设计的轨道交通结构,其抗震设防性能目标不应低于本规范第3.2.4条的规定。
条文说明
3.4.2 本条对轨道交通结构隔震和消能减震设计的设防目标提出了原则要求。按本规范规定进行隔震设计,还不能做到在设防地震下上部结构不受损坏或主体结构处于弹性工作阶段的要求,但与非隔震或非消能减震结构相比,应有所提高。
3.5 地震反应观测
3.5 地震反应观测
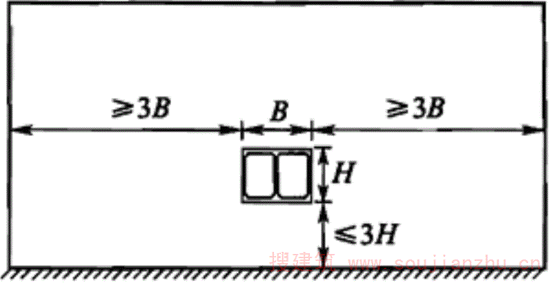
3.5.1 对地震动峰值加速度分区0.20g及以上地区,在轨道交通结构系统中宜设置地震反应观测系统。
3.5.2 当设置地震反应观测系统时,结构设计中应留有放置观测设备的位置。
条文说明
3.5.1、3.5.2 地震反应观测是发展地震工程和工程抗震科学的必要手段,为工程抗震设防方法和技术发展提供基础资料,也是为工程抗震设防合理性检验提供依据。我国过去限于基建资金,发展不快;在本规范中对地震反应观测进行了规定,其目的在于强调条件许可的情况下,应当布设地震反应观测系统,以促进其发展。
4 场地、地基与基础
4.1 一般规定
4 场地、地基与基础
4.1 一般规定
4.1.1 城市轨道交通结构的场地与地基应考虑下列宏观震害或地震反应:
1 强烈地震动造成场地、地基的失稳或失效,包括土层液化、震陷、地裂缝、滑坡等;
2 地表断裂错动,包括地表基岩断裂及构造性地裂造成的破坏;
3 局部地形、地貌、地层结构的变异引起地震动异常造成的特殊破坏。
4.1.2 城市轨道交通结构的场地与地基的勘察和评价应至少包括下列内容:
1 确定场地土的类型和场地类别;
2 对可能产生滑坡、塌陷、崩塌和采空区等的岩土体,进行地震作用下的地基稳定性评价;
3 对判别为液化的土层,根据液化等级提出处理方案;当不进行抗液化处理时,应计入液化效应的影响对土层的设计参数进行修正;
4 划分场地抗震地段类别。
条文说明
4.1.2 根据城市轨道交通结构的特点,本条给出了修建城市轨道交通工程进行工程结构抗震设防时,应该对场地与地基进行勘查和评价的内容。一共4款,这些内容虽各不相同,但又互有交叉,应该根据场地的条件和工程的不同情况与要求,进行其中一项或多项工作。
4.2 场地
4.2 场 地
4.2.1 场地抗震地段类别应按表4.2.1划分。
表4.2.1 场地抗震地段类别划分


条文说明
4.2.1 关于对结构物抗震有利、一般、不利和危险地段的划分,直接采用了现行国家标准《建筑抗震设计规范》GB 50011的规定,并在表中明确列出了可进行建设的一般地段,一般地段即不属于有利、不利和危险的地段。
4.2.2 工程场地抗震地段的选择宜规避抗震不利和危险地段;当不能规避时,应对抗震不利和危险地段的工程结构采取适宜的安全措施。
条文说明
4.2.2 本条系在参考现行国家标准《建筑抗震设计规范》GB 50011相关规定的基础上,考虑了城市轨道交通结构的特殊性制定的。
4.2.3 岩土的类型应按表4.2.3的规定划分。
表4.2.3 岩土的类型划分和剪切波速范围

注:f ak 为由荷载试验等方法得到的地基承载力特征值;v s 为岩土等效剪切波速。
条文说明
4.2.3 岩土的类型划分采用了现行国家标准《建筑抗震设计规范》GB 50011的规定,将原坚硬土或岩石场地区分为岩石场地和坚硬土或软质岩石2亚类,以进一步细化了土的类型的表述。
4.2.4 对特殊设防类、重点设防类结构物,工程场地土层剪切波速应由现场实测给出;标准设防类结构物,当无实测剪切波时,可根据岩土的名称和性状按本规范表4.2.3划分岩土的类型,并结合当地的经验,在本规范表4.2.3的范围内估计各土层的剪切波速。
4.2.5 工程场地覆盖层厚度应按下列要求确定:
1 应按地面至剪切波速大于500m/s且其下卧各岩土的剪切波速均不小于500m/s的土层顶面的距离确定;
2 当地面5m以下存在剪切波速大于相邻上层土剪切波速2.5倍的土层,且其下卧岩土的剪切波速均不小于400m/s时,可按地面至该土层顶面的距离确定;
3 对剪切波速大于500m/s的孤石、透镜体,应视同周围土层;
4 对土层中的火山岩硬夹层,应视为刚体,其厚度应从覆盖土层中扣除。
条文说明
4.2.5 工程场地覆盖层厚度的确定方法参照现行国家标准《建筑抗震设计规范》GB 50011规定。
4.2.6 工程场地类别,应根据土层等效剪切波速和场地覆盖层厚度划分为四类,并应符合表4.2.6的规定。当土层等效剪切波速和覆盖层厚度处于表4.2.6所列场地类别分界线的界限值附近时,宜按插值方法确定地震作用计算所用的场地特征周期。
表4.2.6 工程场地类别与场地土层剪切波速和场地覆盖土层厚度对应表

注:v se 为场地土层等效剪切波速(m/s);d为场地覆盖层厚度(m)。
条文说明
4.2.6 采用现行国家标准《建筑抗震设计规范》GB 50011的工程场地类别划分方法。《建筑抗震设计规范》GB 50011是以土层等效剪切波速和覆盖层厚度作为评定指标的双参数分类方法。这一场地分类方法得到了我国工程界的普遍认同,但在使用过程中也提出了一些问题和意见。主要的意见是此分类方案呈阶梯状跳跃变化,在边界线上不容易掌握,特别是在覆盖层厚度为80m、土层等效剪切波速为150m/s的特定情况下,覆盖层厚度或土层等效剪切波速稍有变化,则场地类别有可能从Ⅳ类突变到Ⅲ类场地,地震作用的取值差异甚大。为了解决场地类别的突变问题,本规范规定当有充分依据时可适当调整。具体可采用如下的调整方法:当有可靠的土层剪切波速和覆盖层厚度值而场地类别处于类别的分界线附近时,允许使用插值方法确定边界线附近(指相差15%的范围)的Tg值。
4.2.7 土层等效剪切波速应按下式计算:

式中:d 0 ——计算深度,取覆盖厚度和20m二者的较小值(m);
t——剪切波在地面至计算深度之间的传播时间(s)。
4.2.8 剪切波在地面至计算深度之间的传播时间应按下式计算:

式中:d i ——计算深度范围内第i层土的厚度(m);
v si ——计算深度范围内第i层土的剪切波速(m/s);
n——计算深度范围内土层的分层数。
条文说明
4.2.7、4.2.8 这两条采用了现行国家标准《建筑抗震设计规范》GB 50011的规定。
4.3 地基与基础
4.3 地基与基础
4.3.1 天然地基抗震承载力应按下式计算:

式中:f aE ——调整后的地基承载力(kPa);
ζ a ——地基抗震承载力调整系数,应按表4.3.1采用;
f a ——深宽修正后的地基承载力特征值(kPa),应按现行国家标准《建筑地基基础设计规范》GB 50007采用。
表4.3.1 地基抗震承载力调整系数

条文说明
4.3.1 在天然地基抗震验算中,对地基土承载力特征值调整系数的规定,主要考虑了地基土在有限次循环动力作用下强度一般较静强度提高和在地震作用下结构可靠度容许有一定程度降低这两个因素。调整系数参照现行国家标准《建筑抗震设计规范》GB 50011中相关条文制定。
4.3.2 当验算天然地基地震作用下的竖向承载力时,基础底面平均压力和边缘最大压力应符合下列公式的要求:


式中:p——地震作用效应标准组合的基础底面平均压力(kPa);
p max ——地震作用效应标准组合的基础边缘最大压力(kPa)。
条文说明
4.3.2 本条规定参照现行国家标准《建筑抗震设计规范》GB 50011中相关条文制定。地基基础的抗震验算,一般采用所谓“拟静力法”,此法假定地震作用如同静力,然后在这种条件下验算地基和基础的承载力和稳定性。所列的公式主要是参考相关规范的规定提出的,压力的计算应采用地震作用效应标准组合,即各作用分项系数均取1.0的组合。
4.4 可液化场地
4.4 可液化场地
4.4.1 当抗震设防地震动分档为0.05g时,对标准设防类城市轨道交通结构物可不进行场地地震液化判别和处理;对特殊设防类、重点设防类城市轨道交通结构物可按抗震设防地震动分档为0.10g的要求进行场地地震液化判别和处理。当抗震设防地震动分档为0.10g及以上时,重点设防类、标准设防类城市轨道交通结构物可按本地区的抗震设防地震动分档的要求或采用经主管部门批准的工程场地地震安全性评价的结果进行场地地震液化判别;特殊设防类轨道交通结构物应进行专门的场地液化和处理措施研究。对特殊设防类、重点设防类轨道交通结构物,宜对遭遇E3地震作用时的场地液化效应进行评价。
条文说明
4.4.1 本条规定主要依据液化场地的震害调查结果。多数资料表明抗震设防地震动分档0.05g区的液化对一般城市轨道交通结构物所造成的震害是比较轻的。所以规定抗震设防地震动分档0.05g时,一般情况下可不进行液化判别和处理。但对液化沉陷敏感的城市轨道交通结构物可按抗震设防地震动分档0.10(0.15)g的要求进行判别和处理。
4.4.2 对砾粒含量较高的饱和砂土、饱和粉土、饱和粉细砂与粉质黏土互层土、饱和混砂土,其液化可能性宜做专门研究。
条文说明
4.4.2 饱和松砂和饱和粉土属于可液化土层,这已经被历次地震的震害调查结果所证实。汶川地震砂土液化现场考察发现10余处液化地点有砂砾石喷出,最大直径为3cm~10cm,并通过勘察验证了砂砾层液化现象的存在;分析现场考察资料发现,液化砂砾土的平均粒径0.4mm~10mm,不均匀系数3~20,曲率系数0.3~1.2;汶川地震液化喷水持续时间明显比唐山地震短,说明地下液化层不同于以往的纯砂层,地震时的超孔隙水压力消散较快,使砂砾层液化的可能性较大。较早的震害调查也发现砂砾料发生液化破坏的实例,如:1975年海城7.3级地震时辽宁省营口市石门岭水库心墙土石坝上游砂砾料坝壳水下部分发生液化、滑坡;1976年唐山7.8级地震时北京密云水库白河主坝黏土斜墙上游保护层砂砾料发生液化、滑坡。 含砾粒砂土、粉质黏土与粉砂互层土、混砂土可以发生液化,但目前对其液化性能的研究尚不充分,对其液化问题作为砂土或粉土处理,也是不合适的,应进行专门的研究。
4.4.3 液化判别宜采用有成熟经验的多种方法,综合判定液化可能性和液化程度。
条文说明
4.4.3 现行国家标准《建筑抗震设计规范》GB 50011中给出的判别方法是根据实际液化与非液化资料的统计分析给出的。它主要以地表是否已喷水冒砂和液化引起的滑移等宏观震害现象而确定的。另外这种情况所定义的液化不完全等同于由取土样并进行三轴试验而确定的“初始液化”、“完全液化”、“固态转变为液态”等液化的概念。本规范强调以震害调查为基础的宏观判别和以原位测试及室内试验为主要依据的进一步判别相结合的方法。先从宏观判别入手,经宏观判别认为有液化可能性时,再做进一步判别;而宏观判别认为没有液化可能性时,则不再做进一步判别。 地震液化是由多种复杂的内因和外因综合作用的结果。而“液化”或“不液化”这两种复杂的现象绝非一个简单的定值标准所能概括。工程设计中的“液化”概念,只能是一个概念性的、潜在的趋势。因此,强调进一步判别时宜结合国内外有代表性的研究成果,采用多种方法进行分析、比较和判断,不宜采用单一方法做出判定。当多种方法判别有矛盾时,应根据地震地质条件以及具体工程情况,做出科学、合理的综合判定。
4.4.4 可液化土(不含黄土)的场地地震液化初步判别应符合下列规定:
1 当地质年代为第四纪晚更新世(Q3)及其以前,且抗震设防地震动分档为0.10(0.15)g、0.20(0.30)g时,可判别为不液化。
2 当粒径小于0.005mm的粉土的黏粒含量百分率对应抗震设防地震动分档为0.10(0.15)g、0.20(0.30)g、0.40g分别不小于10、13和16时,可判为不液化土。
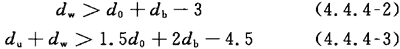
3 对浅埋天然地基的结构物,当上覆非液化土层厚度和地下水位深度符合下列条件之一时,可不考虑液化影响:


式中:d u ——上覆盖非液化土层厚度(m),计算时宜将淤泥和淤泥质土层扣除;
d b ——基础埋置深度(m),不超过2m时应采用2m;
d w ——地下水位深度(m);
d 0 ——液化土特征深度(m),可按表4.4.4采用。
表4.4.4 液化土特征深度(m)

注:表中的0.10(0.15)g等表不抗震设防地震动分档。
条文说明
4.4.4 液化初步判别方法取自现行国家标准《建筑抗震设计规范》GB 50011。此方法是根据对新中国成立以来历次大地震的地震区可能液化的土层液化情况进行统计分析得出的,同时也借鉴了国外的研究成果和经验。
根据对唐山地震区砂土液化的宏观调查表明,震中区为滦河二级阶地,地层年代为晚更新世(Q3)地层,地下水位为3m~4m,表层为3.0m左右的黏性土,其下为饱和砂层,在地震烈度10度情况下没有发生液化;而在一级阶地及高河漫滩等地分布的地质年代较新的地层,地震烈度虽然只有7度和8度却发生了大面积的液化;其他震区的河流冲积地层在地质年代较老的地层中也没有发现液化实例。国外学者Youd和Perkins的研究结果表明,饱和松散的水力冲填土差不多总会液化,全新世的无黏性土对液化也是敏感的,更新世发生液化的情况很罕见,前更新世发生液化的情况更加罕见。这些结论虽然是根据1975年以前世界范围的地震液化资料给出的,但在后来的1978年日本的两次地震和1977年罗马尼亚地震已经获得了证实。
室内试验说明:土的液化强度是随着黏粒含量的增加而提高的。海城、唐山地震现场勘察资料也表明,当黏粒含量达到一定的数值后,就很少发生液化。因此规定,对地震动峰值加速度分区0.10(0.15)g、0.20(0.30)g和0.40g的地区的粉土的黏粒(粒径小于0.005mm的颗粒)含量百分率分别不小于10、13和16时,可判为不液化土。需要注意的是:黏粒含量必须严格遵守操作规程,采用六偏磷酸钠作为分散剂测定,如果采用其他分散剂或者其他颗粒分析方法,则应按有关规定换算。
关于利用上覆非液化土层厚度和地下水位深度进行液化初判的界限值,是根据唐山、海城和日本新澙地震地震区的调查结果,并考虑一定的安全系数确定的。对以往的震害调查表明,地下水位较高的情况产生液化的例子较多,对地下水位较低的情况或当地表有较厚的非液化覆盖层时,即使下覆可能液化的土层发生液化,由于上覆有效压力比较大,可以抑制液化的土喷冒出地面,因此地基也不会产生大量的下沉和不均匀沉降。
4.4.5 场地地震液化的进一步判别可采用标准贯入试验判别法,并应符合下列规定:
1 液化判别的土层深度应达到地面以下20m。当饱和土标准贯入锤击数(未经杆长修正)小于或等于液化判别标准贯入锤击数临界值时,应判为可液化土。
2 在地面下20m深度范围内,液化判别标准贯入锤击数临界值可按下式计算:

式中:N cr ——判别标准贯入液化锤击数临界值;
N 0 ——液化判别标准贯入锤击数基准值;
d s ——饱和土标准贯入点深度(m);
d w ——地下水位深度(m);
ρ c ——黏粒含量百分率,当小于3或为砂土时,应采用3;
η m ——与设防地震动加速度反应谱特征周期分区相关的调整系数。
3 液化判别标准贯入锤击数基准值N 0 应按表4.4.5-1采用。
表4.4.5-1 液化判别标准贯入锤击数基准值N 0

4 与设防地震动加速度反应谱特征周期分区相关的调整系数η m 应按表4.4.5-2选用。
表4.4.5-2 调整系数η m

条文说明
4.4.5 本条文主要给出了场地地震液化的进一步判别方法。
1 液化判别的深度。汶川地震砂土液化现场考察发现4个不同地区的村庄均出现了液化喷水高度达10m以上的情况,勘察确认了20m以内深处土层液化的真实性。过去的多次大地震中也发现,地面以下15m~20m的粉细砂层可能发生液化。另外,考虑到城市轨道交通高架区间结构、高架车站结构的基础埋深很大,多采用桩基础;且区间隧道结构、地下车站结构是城市轨道交通结构的主要组成部分,地下车站结构为浅覆深埋结构,二层~三层的地下车站结构的底面埋深达15m~20m,甚至超过20m;单层区间隧道底面埋深可能达10m~15m,双层或交叉区间隧道下层底面埋深可能达到甚至超过25m。因此,地面以下15m~20m范围内土层的液化,可能引起地下车站结构和区间隧道的严重破坏或上浮,对地面以下20m土层进行液化判别是非常必要的。所以本条文关于液化判别的深度采用现行国家标准《建筑抗震设计规范》GB 50011中的规定,即对地面以下20m深度范围的饱和砂土、粉土应采用标准贯入试验法判别。
对超过20m深度土层的深层土液化问题,目前的研究还不够深入,当地下车站结构和区间隧道的底面埋深超过20m时,对深层土层的液化问题,有必要进行专门的研究。
2 进一步判别时宜采用多种方法进行分析、比较和判断。当有成熟经验时,尚可采用其他液化判别方法。有代表性的方法:
(1)NCEER法:即经Youd等修改后的Seed简化方法,是国外目前普遍接受的液化判别方法;
(2)砂土液化概率判别法:陈国兴等(2005)选取国内外25次大地震中344个场地的实测资料,提出以地面峰值加速度为指标并具有概率意义的液化判别方法;
(3)静力触探试验判别法:此方法已纳入现行国家标准《铁路工程抗震设计规范》GB 50111;
(4)剪切波速判别法;
(5)动三轴试验判别法。
4.4.6 对判定为发生液化的土层,应根据土层的液化程度对地基的变形模量、地基的基床系数、地基承载力和桩周边土的承载力等土层设计参数进行修正。
条文说明
4.4.6 土工试验测得的土层设计参数是在一定的荷载条件下得到的,不一定完全符合结构物真实的荷载条件。例如,饱和松散的砂土地基会因为地震时的液化而丧失承载力。因此,本条规定判定为发生液化的土层,相应于其液化程度应对土层设计参数进行修正。
4.4.7 可液化土层的设计参数宜采用该土层在不发生液化时的土层设计参数乘以该土层的液化影响折减系数c e 进行修正。土层液化影响折减系数可按表4.4.7取值。折减系数为0的土层不应计该土层的抗力作用。
表4.4.7 土层液化影响折减系数c e

条文说明
4.4.7 确定土层液化影响的折减系数也可以采用其他成熟的方法。4.4.8 本条文制定参考了现行国家标准《铁路工程抗震设计规范》GB 50111的相关规定。
4.4.8 当采用标准贯入锤击数表征土的液化抗力时,土层的液化抵抗率可按下式计算:

式中:F L ——土层的液化抵抗率;
N 1 ——场地土标准贯入锤击数实测值;
N cr ——液化判别标准贯入锤击数临界值。
条文说明
4.4.8 本条文制定参考了现行国家标准《铁路工程抗震设计规范》GB 50111的相关规定。
4.4.9 地基液化等级应按下列方法判别:
1 对存在可液化土层的地基,应探明各可液化土层的深度和厚度,按下式计算每个钻孔的液化指数,且应按表4.4.9-1综合划分:

式中:I IE ——液化指数;
n——在判别深度范围内每一个钻孔标准贯入试验点的总数;
N i ——i点标准贯入锤击数实测值;
N cri ——i点液化判别标准贯入锤击数临界值,当实测值大于临界值时应取临界值的数值;
d i ——i点所代表的土层厚度(m),可采用与该标准贯入试验点相邻的上、下两标准贯入试验点深度差的一半,但上界不高于地下水位深度,下界不深于液化深度;
W i ——i土层单位土层厚度的层位影响权函数值(m -1 )。
表4.4.9-1 地基液化等级与液化指数的对应关系

2 W i 应按表4.4.9-2取值,但当只需考虑深度在15m以内的液化时,15m(不包括15m)以下的W i 值可视为零。
表4.4.9-2 液化判别的单位土层厚度的层位影响权函数值W i (1/m)

条文说明
4.4.9 液化等级的划分为液化危害的估计提供了一个简单的方法,可以根据液化等级对场地的喷水冒砂程度、对地下结构物和地面结构物基础的可能损坏做粗略地预估。液化的等级为轻微、中等和严重三级;根据我国百余个液化震害资料,各级液化等级(判别深度15m)下,地面喷水冒砂情况以及对地面结构物的危害程度,见表1。 表1 液化等级和对建筑物相应的危害程度


4.4.10 当可液化土层比较平坦且均匀时,宜按表4.4.10的要求选用地基抗液化措施;尚可计入上部结构重力荷载对液化危害的影响,根据液化震陷量的估计适当调整抗液化措施。不宜将未经处理的可液化土层作为天然地基持力层。
表4.4.10 抗液化措施

条文说明
4.4.10 抗液化措施是对液化地基的综合治理。要注意以下几点: (1)判定为发生液化的土层,如果采取抗液化措施,则不必根据其液化程度对土的参数进行修正。因为土已经过抗液化处理,不可能液化;其土性参数也不再是液化时的土性参数。 (2)本条规定不宜将未经处理的可液化土层作为天然地基持力层。理论分析和振动台试验均已证明液化的主要危害来自基础外侧,液化持力层范围内位于基础正下方的部位其实最难液化,由于最先液化区域对基础正下方未液化部分的影响,使之失去侧边土压力支持。在外侧易液化区的影响得到控制的情况下,轻微液化的土层是可以作为基础的持力层的。并且通过震害调查与有限元分析显示,当基础宽度与液化层厚之比大于3时,则液化震陷不超过液化层厚的1%,不致引起结构严重破坏。所以将轻微和中等液化的土层作为持力层不是绝对不允许,但应经过严密的论证。 (3)倾斜场地的土层液化往往带来大面积土体滑动,造成严重后果,而水平场地土层液化的后果一般只造成建筑的不均匀下沉和倾斜,本条规定不适用于坡度大于10度的倾斜场地和液化土层严重不均的情况。 (4)液化等级属于轻微者,除特殊设防类、重点设防类结构物由于其重要性需确保安全外,一般不作特殊处理,因为这类场地可能不发生喷水冒砂,即使发生也不致造成结构物的严重危害。 (5)对于液化等级属于中等的场地,尽量多考虑采用较易实施的基础与结构物处理的构造措施,不一定要加固处理液化土层。 (6)在液化层深厚的情况下,消除部分液化沉陷的措施,处理深度不一定达到液化下界,可以残留部分未经处理的液化层。 (7)强烈地震时软土发生震陷,不仅被科学实验和理论研究证实,而且在宏观震害调查中,也证明存在软土震陷。但研究成果尚不够充分,因此本条只是给出了必要时可以根据液化震陷量的评价结果适当调整抗液化措施的原则规定。
4.4.11 全部消除地基液化沉陷的措施应符合下列规定:
1 采用桩基时,桩端伸入液化深度以下稳定土层中的长度(不包括桩尖部分),应按计算确定,且对碎石土,砾、粗、中砂,坚硬黏性土和密实粉土尚不应小于0.5m,对其他非岩石土尚不宜小于1.5m。
2 区间隧道、地下车站结构以及特殊设防类、重点设防类的其他结构物的深基础,其底面应埋入液化深度以下的稳定土层中,其深度不应小于0.5m。
3 当采用振冲、振动加密、挤密碎石桩或强夯等加密法加固时,应处理至液化深度下界;振冲或挤密碎石桩加固后,桩间土的标准贯入锤击数不宜小于本规范第4.4.5条规定的液化判别标准贯入锤击数临界值。
4 采用非液化土替换液化土层。
5 当采用加密法或换土法处理时,在基础边缘以外的处理宽度,应超过基础底面下处理深度的1/2且不应小于基础宽度的1/5。当区间隧道、地下车站结构处于液化土层中并采用加密法或换土法处理时,其处理宽度不宜小于液化土层厚度。
6 当采用注浆、旋喷或深层搅拌等方法进行基底土加固时,处理深度应达到可液化土层的下界。当区间隧道、地下车站结构处于液化土层中并采用注浆方法加固时,注浆厚度不宜小于液化土层厚度。
7 将永久性围护结构嵌入非液化土层。
4.4.12 部分消除地基液化沉陷的措施,应符合下列规定:
1 处理深度应使处理后的地基液化指数减小,当液化判别深度为15m时,其值不宜大于4;当液化判别深度为20m时,其值不宜大于5。对独立基础和条形基础,尚不应小于基础底面下液化土特征深度和基础宽度的最大值。
2 采用振冲或挤密碎石桩加固后,桩间土的标准贯入锤击数不宜小于本规范第4.4.5条规定的液化判别标准贯入锤击数临界值。
3 基础边缘以外的处理宽度,应符合本规范第4.4.11条第5款的规定。
4.4.13 减轻液化影响的基础和上部结构处理,可综合采用下列各项措施:
1 选择合适的基础埋置深度;
2 调整基础底面积,减少基础偏心;
3 加强基础的整体性和刚度;
4 减轻荷载,增强上部结构的整体刚度和均匀对称性,避免采用对不均匀沉降敏感的结构形式等;
5 在管道穿过结构物处预留足够尺寸或采用柔性接头等。
条文说明
4.4.11~4.4.13 这三条中规定了消除或部分消除液化震陷、减轻液化影响的具体措施,这些措施都是在震害调查和分析判断的基础上提出来的。条文的制定参考了现行国家标准《建筑抗震设计规范》GB 50011,特别强调了对区间隧道、地下车站结构处于液化土层中的处理要求。
4.5 场地地震反应分析
4.5 场地地震反应分析
4.5.1 对基岩面、地表地形起伏变化不大且土层水平向的土性变化比较均匀的场地,可采用一维剪切土层模型进行场地地震反应分析,以确定场地设计地震动参数。
4.5.2 对基岩面、地表地形起伏变化明显的场地,或土层水平向的土性变化显示出明显的不均匀性,应采用二维或三维场地模型进行场地地震反应分析,以确定场地设计地震动参数。
5 地震作用
5.1 一般规定
5 地震作用
5.1 一般规定
5.1.1 城市轨道交通结构抗震设计地震作用的确定应符合本规范第3.1.4条的规定。
5.1.2 重点设防类或标准设防类结构应采用本规范第5.2节~5.4节规定的地震作用。
条文说明
5.1.1、5.1.2 不同类型的城市轨道交通工程结构的地震破坏后果不同,特别是次生灾害及修复难易程度,为有效地减轻工程的地震灾害,对不同类型工程结构抗震设计地震动参数的确定提出了不同的要求。
特殊设防类城市轨道交通工程结构抗震设计需要采用基于具体工程场地的地震、地质环境及工程地质条件的特定地震动参数,因此规定应采用基于具体工程场地地震安全性评价或专门研究工作结果经主管部门审定批准的地震动参数。为特殊设防类城市轨道交通工程结构的抗震设计而进行的地震安全性评价 或专门研究工作提供的成果应能满足抗震设计要求,如:沿线路方向各主要控制点的地表、地下设计深度和基岩面水平向峰值加速度及加速度反应谱、竖向峰值加速度及加速度反应谱、地表峰值位移,峰值加速度和位移沿深度的变化,以及与地表、地下设计深度及基岩面处峰值加速度、加速度反应谱和峰值位移相匹配的地震动加速度时程。
一般情况下对于重点设防类及标准设防类结构,抗震设计所采用的地震动参数按本规范取值即可。对已进行了具体工程场地地震安全性评价的情况,应采用主管部门审定批准的震动参数结果进行抗震设计,但一般情况下不应低于本规范规定的设计地震动参数。
5.1.3 当工程场地表层工程地质特性变化显著、地形变化较大,或轨道结构的一个结构振动单位的跨度超过600m时,宜计入地震作用的空间变化。
条文说明
5.1.3 工程场地的局部场地和地形变化显著,将导致一定空间范围内的地震动明显变化,在城市轨道交通结构跨度超过600m时,这一地震动的空间变化将导致结构基础处地震动的空间显著变化,不可忽略。因此,对于特殊工程场地,工程结构的抗震设防宜考虑设计地震动参数的空间变化特征。
5.1.4 当工程场址及外延5km范围内存在可能发生震级6.5级及以上地震的活断层时,必须进行场地地震安全性评价。
条文说明
5.1.4 如果工程场址及附近场区(5km)范围内可能存在发生强震的活动断层,则这条断层及未来可能发生的强烈地震将会可能对工程场地形成近断层地震动影响作用频谱特征和引起严重的地震地质灾害(如断层地表破裂)产生显著的影响,为充分考虑这一地震地质环境的影响,必须进行场地地震安全性评价。同时有必要基于场地地震安全性评价结果,合理地考虑强震引起的近断层地震动特征,包括近断层竖向地震动特性。
5.2 水平向设计地震动参数
5.2 水平向设计地震动参数
5.2.1 Ⅱ类场地设计地震动峰值加速度a maxⅡ 应按现行国家标准《中国地震动参数区划图》GB 18306中地震动峰值加速度分区值和表5.2.1-1采用;场地设计地震动加速度反应谱特征周期T g 应根据场地类别和现行国家标准《中国地震动参数区划图》GB 18306中地震动反应谱特征周期分区按表5.2.1-2采用;场地设计地震动加速度反应谱动力放大系数最大值β m 应取2.5。
表5.2.1-1 Ⅱ类场地设计地震动峰值加速度a maxⅡ

表5.2.1-2 设计地震动加速度反应谱特征周期T g (s)

(自2023年3月1日起废止该条, ▶▶点击查看: 新规《城市轨道交通工程项目规范》GB 55033-2022 )
条文说明
5.2.1 本条为强制性条文,必须严格执行。对于场地设计地震动参数根据现行国家标准《中国地震动参数区划图》GB 18306确定的情况,所能直接确定的只是场地设计地震动E2地震作用的地震动峰值加速度,需要进一步利用表5.2.1-1来确定E1地震作用和E3地震作用的地震动峰值加速度。表5.2.1-1中数值参考了现行国家标准《建筑抗震设计规范》GB 50011的规定。根据场地类别对设计地震动加速度反应谱特征周期进行调整。
5.2.2 除Ⅱ类外的其他类别工程场地地表水平向设计地震动峰值加速度a max 应取Ⅱ类场地设计地震动峰值加速度a maxⅡ 乘以场地地震动峰值加速度调整系数Г a ;场地地震动峰值加速度调整系数Г a 应根据场地类别和Ⅱ类场地设计地震动峰值加速度a maxⅡ 按表5.2.2采用。
表5.2.2 场地地震动峰值加速度调整系数Г a

注:场地地震动峰值加速度调整系数Г a 可按表中所给值分段线性插值确定。
条文说明
5.2.2 地震动观测数据及有关研究表明,同一地震中不同场地类别的场地地表地震动的放大系数有明显差异。同一场地在不同强度地震作用下的非线性影响程度不同,导致其地震动特性,包括峰值加速度和位移改变程度不同。本规范考虑了以上因素,采用了场地类别和地震动峰值加速度双参数的场地地震动参数调整方法,根据场地类别和Ⅱ类场地地震动峰值加速度的不同选用地震动峰值加速度调整系数Гa(表5.2.2)对地震动峰值加速度进行调整。场地地震动参数调整方法参考现行国家标准《中国地震动参数区划图》GB 18306。
5.2.3 当结构自振周期小于6.0s时,场地地表水平向设计地震动加速度反应谱(图5.2.3)应符合下列规定:
1 当结构阻尼比ξ为0.05时,η和γ取值1.0;
2 当阻尼比不等于0.05时,加速度反应谱曲线的阻尼调整系数和形状参数应符合下列规定,且η当计算值小于0.55时应取值0.55:
1)下降段的衰减指数应按下式确定:


图5.2.3 设计地震动加速度反应谱曲线S a (T)
2)阻尼调整系数应按下式确定:

条文说明
5.2.3 随着数字化强震动观测仪器的发展和推广应用,目前已能得到较可靠的地震动长周期成分;同时,对长周期结构动力特性的研究也逐步深入。对于加速度反应谱衰减段,如直接采用现行国家标准《建筑抗震设计规范》GB 50011-2010中5Tg~6.0s区段的衰减关系向后延伸,则会造成6.0s附近的反应谱值过高,对具有较长自振周期的轨道交通工程则会造成过高的抗震设防投入。因此,本规范采用了不分段指数衰减的形式。不同阻尼比加速度反应谱的调整方案直接采用现行国家标准《建筑抗震设计规范》GB 50011的规定。
5.2.4 Ⅱ类场地设计地震动峰值位移u maxⅡ 应按表5.2.4-1采用,其他类别工程场地地表水平向设计地震动峰值位移u max 应取Ⅱ类场地设计地震动峰值位移u maxⅡ 乘以场地地震动峰值位移调整系数Г u 的值;场地地震动峰值位移调整系数Г u 应根据场地类别和Ⅱ类场地设计地震动峰值位移u maxⅡ 按表5.2.4-2采用。
表5.2.4-1 Ⅱ类场地设计地震动峰值位移u maxⅡ (m)

表5.2.4-2 场地地震动峰值位移调整系数Г u


注:场地地震动峰值位移调整系数Г u 可按表中所给值分段线性插值确定。
条文说明
5.2.4 考虑到城市轨道交通结构自振周期较长的特殊性以及抗震分析的要求,抗震设计时需要考虑地震动峰值位移的影响作用,本条给出了场地水平向地震动峰值位移的取值规定。设计地震动峰值位移是通过地震动峰值位移与峰值加速度关系的研究结果,利用设计地震动峰值加速度转化得到的。理论分析和大量的地震记录统计表明,地震动峰值位移与峰值加速度的比值受震级大小、场地条件和震源距的影响。综合国内外的研究结果,本标准规定了峰值位移(m)与峰值加速度(m/s2)的比值为1/15。与地震动峰值加速度相对应,地震动峰值位移也采用了场地类别和地震动峰值加速度双参数的调整方法,根据场地类别和地震动峰值加速度的不同选用峰值位移调整系数Гu(表5.2.4-2)对设计地震动峰值位移进行调整。 峰值位移(m)与峰值加速度(m/s2)比值的确定参考了如下资料: (1)对Chi-Chi、Koba、Northrudge等十次地震记录进行了统计分析,得到地震动峰值位移(m)与峰值加速度(m/s2)的比值平均值为1/14。 (2)根据美国有关文献给出的统计关系,见表2,得到地震动峰值位移(m)与峰值加速度(m/s2)的比值平均值为1/9。 (3)《地震工程学(第二版)》(作者:胡聿贤)推荐的峰值位移(m)与峰值加速度(m/s2)的比值为1/25。 表2 峰值位移(单位:cm)与峰值加速度(单位:g)的比值统计表 
5.3 竖向设计地震动参数
5.3 竖向设计地震动参数
5.3.1 场地地表竖向设计地震动峰值加速度取值不应小于水平向峰值加速度的0.65倍。竖向地震动峰值加速度与水平向峰值加速度的比值可按表5.3.1确定。在活动断裂附近,竖向峰值加速度宜采用水平向峰值加速度值。
表5.3.1 竖向地震动峰值加速度与水平向峰值加速度比值K v

条文说明
5.3.1 场地竖向地震动峰值加速度与水平向的比值与地震环境有关,近断层处比值可达到或超过1.0,但随着震中距的增加其比值会减少。为此,本标准确定了考虑地震环境影响的竖向地震动峰值加速度与水平向比值的取值方案。但为了安全起见,同时限制了场地竖向地震动峰值加速度取值应不小于水平向峰值加速度的0.65倍。
5.3.2 当竖向设计地震动参数采用主管部门批准的工程场地地震安全性评价或经专门研究的结果确定时,应不低于本规范第5.3.1条的规定。
条文说明
5.3.2 本规范第5.1.1条中规定了特殊设防类轨道交通工程结构抗震设计采用的地震动参数应采用主管部门批准的工程场地地震安全性评价或经专门研究的结果确定,因此,场地竖向设计地震动参数的取值应根据主管部门批准的工程场地地震安全性评价或经专门研究的结果取值。
5.4 设计地震动加速度时程
5.4 设计地震动加速度时程
5.4.1 设计地震动加速度时程可人工生成,其加速度反应谱曲线与设计地震动加速度反应谱曲线的误差应小于5%。
5.4.2 宜利用地震和场地环境相近的实际强震记录作为初始时间过程,合成适合工程场地的设计地震动时间过程。
5.4.3 当采用时程分析法进行结构动力分析时,应采用不少于3组设计地震动时程;当设计地震动时间过程少于7组时,宜取时程法计算结果和反应谱法计算结果中的较大值;当设计地震动时间过程为7组及以上时,可采用计算结果的平均值。
条文说明
5.4.1~5.4.3 采用时程分析法进行结构动力分析时,需要提供地震动输入时程,本规范规定可以采用人工合成方法给出地震动时程曲线。同时考虑到应更多地反映真实地震动的频谱和相位信息,还建议宜充分利用地震和场地环境相近的实际强震动记录,特别是本地的强震动记录,以震级和距离与工程场地地震环境相近的强震动记录加速度时程作为初始时程合成适合工程场地的地震动时程,达到引入真实的地震动相位信息的目的。我国工程实践中,采用的地震动人工合成方法一般假定均匀随机分布的地震动相位,没有考虑与地震环境相关的非均匀分布的地震动相位,这会在一定程度上影响人工合成的地震动频谱特性的合理性。为此,本规范建议利用强震动记录加速度时程作为初始时程合成适合工程场地的地震动时程,以引入真实的地震动相位信息,来反映真实地震动频谱特性,特别是相位特性,实现对结构地震反应的合理计算分析。人工合成的地震动的加速度反应谱曲线与设计地震动加速度反应谱曲线的误差要小于一定值,这个值一般可取5%。 进行结构地震反应时程分析时,鉴于各条地震动输入的结构反应结果有较大的差异,本节规定输入地震动样本数及选用要求。当地震波的样本数量较少时,如3条,计算结果具有较大的随机性,因此选其中的大值进行设计。当地震波的样本数较多时,如大于7条,计算结果具有较好的统计特征,因此可以取平均值进行抗震设计。为了保证设计所采用地震波的统计特征的合理性,地震动样本的平均加速度反应谱曲线与设计地震动加速度反应谱曲线相比,在各个周期点上相差不大于20%。 由于目前可用的强震动观测记录并不是很丰富,特别是在我国大陆范围内,按照与设计地震动反应谱相近的要求选择实际地震动记录,其实是很困难的事。为此,在选用的实际地震动记录时,可以选择同一记录的三个分量作为一组设计地震动时程,也可以选用不同记录的单个分量组成一组设计地震动时程,但选择的每条记录均应满足在统计意义上相符的要求。三向同时输入,其地震动参数(加速度峰值或反应谱最大值)比例取:水平主向/水平次项=1.00:0.85,竖向地震参数与水平地震动参数的关系按表5.3.1确定。 考虑地震行波效应和局部场地效应时,对各独立基础或支承结构输入不同的设计反应谱或加速度时程进行计算,估计可能造成的地震效应。研究表明,地震传播过程的行波效应、相干效应和局部场地效应对于大跨空间结构的地震效应有不同程度的影响,其中,以行波效应和场地效应的影响较为显著,一般情况下,可不考虑相干效应。对于周边支承空间结构,行波效应影响表现在对大跨屋盖系统和下部支承结构;对于两线边支承空间结构,行波效应通过支座影响到上部结构。 行波效应将使不同点支承结构或支座处的加速度峰值不同,相位也不同,从而使不同点的设计反应谱或加速度时程不同,计算分析应考虑这些差异。由于地震动是一种随机过程,多点输入时,应考虑最不利的组合情况。行波效应与潜在震源、传播路径、场地的地震地质特性有关,当需要进行多点输入计算分析时,应对此做专门研究。 当独立基础或支承结构下卧土层地质条件相差较大时,可采用一维或二维模型计算求得基础底部的土层地震反应谱或加速度时程或按土层等效剪切波速对基岩地震反应谱或加速度时程进行修正后,作为多点输入的地震反应谱或加速度时程。当下卧土层剖面地质条件比较均匀时,可不考虑局部场地效应,不需要对地震反应谱或加速度时程进行修正。
6 地震反应计算
6.1 一般规定
6 地震反应计算
6.1 一般规定
6.1.1 城市轨道交通结构抗震设计计算方法应按本规范第3.3节确定;挡土墙、重力式桥台等挡土结构地震反应的计算应按现行国家标准《铁路工程抗震设计规范》GB 50111相关规定执行。
6.1.2 抗震设计计算中,应根据结构的地震反应特点和地震反应计算方法划分结构振动单位。
条文说明
6.1.2 本条规定了地震反应计算时的振动单位的选取。 城市轨道交通结构线路一般较长,相邻结构相互关联,抗震计算时整条线路整体建模一般不现实,所以宜根据轨道交通结构的特点和地质条件,划分适当的振动单位。根据现有的研究经验积累,地震反应计算中采用的结构模型一般可以分为两个部分,一个部分可称为目标部分,是抗震计算需要得到合理精度反应值的部分,而另一部分是为了得到目标部分反应值而附加的部分。根据这一原则,振动耦联性强的部分应划分为一个振动单位。 对于高架区间结构,一个振动单位中包括分析关心的一个目标结构部分,并同时考虑目标结构两端部分的影响(图1)。对连续梁桥,目标结构应至少包含1联,两端部分分别包含至少1联(或相邻桥台、车站)。对简支梁桥,目标结构应至少包含1跨,两端部分分别包含至少1跨(或相邻桥台、车站)。地质条件和结构发生明显变化的区域,应选取目标联(跨)。 满足弹塑性反应谱方法适用条件的高架区间结构一般为简支或连续结构,根据已有的大量研究结果,可采用单墩模型作为一个振动单位。 地面结构采用非线性时程法分析时,可以采用单墩或多墩模型,基础和结构的相互作用可以采用等代弹簧或集中参数分布弹簧;等代弹簧方法适用于结构的地震反应以第一振型为主的情况。由于非线性时程分析运算量较大,结构与构件非线性特性的模拟和分析结果的处理均较为复杂,因而,非线性时程法的振动单位划分的复杂程度,不宜超过弹性反应谱方法。 
图1 连续梁与简支梁桥弹性反应谱分析振动单位选取 1-振动单位;2-目标联;3-边联;4-目标跨;5-边跨;6-桥台;△-固定支座;○-滑动支座 区间隧道结构和地下车站结构按平面问题考虑时,计算单元沿结构纵向可取为单位长度;对于有中柱的结构,纵向取中柱间距的长度。需要对土层建立模型时,土层的计算范围现在还没有统一的标准,一般认为一侧土层的宽度取为2倍~3倍以上的结构宽度即可。 区间隧道结构和地下车站结构按三维空间问题考虑时,地下车站取整个结构计算;区间隧道由于纵向较长,因此可根据地形地质条件、结构形式等在纵向取出一段长度。
6.1.3 城市轨道交通结构设计地震作用基准面宜按下列规定确定:
1 对扩大基础,宜以基础的底面作为设计地震作用基准面;
2 对低桩基础,宜以承台的底面作为设计地震作用基准面;对高桩基础,宜以地基土表面作为设计地震作用基准面;表层土为可液化土层或极软弱土层时,设计地震作用基准面宜取在该土层的底面;
3 对桩基础,当考虑地震动沿土层深度变化时,设计地震作用基准面宜取在桩尖位置;
4 对埋置于地层中的隧道和地下车站结构,设计地震作用基准面宜取在隧道和地下车站结构以下剪切波速大于或等于500m/s岩土层位置。对覆盖土层厚度小于70m的场地,设计地震作用基准面到结构的距离不宜小于结构有效高度的2倍;对覆盖土层厚度大于70m的场地,宜取在场地覆盖土层70m深度的土层位置。
条文说明
6.1.3 由于地震动存在沿土层深度的变化。结构地震反应分析中,以何处的地震动作为输入是分析工作的必要前提,因此本规范规定了设计地震作用基准面。
6.1.4 结构的建模应符合下列规定:
1 梁、柱、杆等构件宜采用梁、杆单元进行建模;对梁、杆单元不适用的情况,宜采用其他单元建模;
2 结构的节点宜处理成为刚性域;
3 计算所采用的本构关系应满足本规范第7章的要求;
4 支座宜简化为约束关系或按本规范附录A确定等效线性弹簧或非线性弹簧;
5 对防落梁装置进行抗震计算时,宜根据装置的具体情况确定恢复力模型;
6 当采用弹性反应谱方法和弹塑性反应谱方法时,基础与地基土相互作用应按本规范附录B规定建模;当采用非线性时程方法时,基础和地基土相互作用应按本规范第6.4节规定建模。
条文说明
6.1.4 地震反应分析时,采用的结构体系的计算模型应真实模拟结构的刚度和质量分布及边界条件。根据现有的研究,对于城市轨道交通结构的大多数结构采用梁、杆单元已可满足要求。对于墙式墩、矮墩等构件采用梁、杆单元误差可能较大,可考虑采用板壳或实体单元。 结构体系建立整体模型时,支座若不考虑非线性特征的影响,比如,金属固定支座,其变形小,简化为简单约束条件,已可以反映其边界本质,对反应结果影响不大。但是若需要考虑支座非线性特性,如减隔震铅芯橡胶支座,则需建立计算模型。 若采用集中参数法模拟桩土相互作用,根据附录式(B.1.4-3)计算桩土分离段长度时,多层土的hs,按下列步骤计算: (1)按第一层土(厚度为l1)水平基床系数K1计算hs1,当hs1≤l1,取hs=hs1; (2)当hs1>l1,按第二层土(厚度为l2)的水平基床系数K2计算hs2,并按下式计算l'2: 
当l'2<l2,取hs=l1+l'2; (3)当l'2>l2,按第三层土(厚度为l3)的水平基床系数K3计算hs3,并按下式计算l'3: 
当l'3<l3,取hs=l1+l2+l'3;若l'3>l3,则按上述方法继续计算。
6.1.5 当竖向地震动对结构影响较大时,应计入竖向地震动作用。
条文说明
6.1.5 一般来说,对于距离活动断层较近,或者结构形式对竖向地震作用比较敏感的情况,考虑竖向地震动后方可获得比较合理的计算结果。对竖向地震动比较敏感的结构有拱式结构、长悬臂结构、大跨结构等。至于距离活断层多远竖向地震动不能忽略,目前还很难给出定量的要求。美国AASHTO Guide Specifications for LRFD Seismic Bridge Design,LRFDSEIS-2,2011规定对于SDC D区内的桥梁,在9.6km内,竖向地震动影响不能忽略。欧洲规范Euro Code 8 EN1998-2:2005 Design of structures for earthquake resistance-part 2:Bridges 则规定在5km内要考虑竖向地震动的影响。基于当前的研究现状,本规范仅规定了需要考虑竖向地震作用的原则。
6.2 地面结构弹性反应谱方法
6.2 地面结构弹性反应谱方法
6.2.1 当采用弹性反应谱方法时,参与计算的振型数应保证其振型质量之和大于结构总质量的90%。
条文说明
6.2.1 采用弹性反应谱方法计算地震反应,一般需建立三维有限元计算模型,其自由度数可能十分巨大,包含的振型数目也十分巨大。根据强震观测结果,地震动的能量一般集中于30Hz以下的频带,所激发的结构地震反应(位移、内力和应力等)的频带也主要集中于这一范围。一般情况下,选择适当数目低阶振型就可以得到满足工程设计精度要求的结构地震反应。结构地震动力反应是由于惯性效应产生的,因此参与计算的振型质量之和必须达到结构体系质量的一定比例,本规范规定其下限为结构总质量的90%,以保证结构惯性力计算的精度。
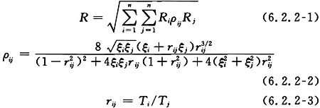
6.2.2 当采用弹性反应谱方法时,振型反应和组合系数应按下列公式计算:

式中:R——需要计算的结构反应;
R i ——第i振型反应;
R j ——第j振型反应;
ξ i ——第i振型阻尼比;
ξ j ——第j振型阻尼比;
T i ——第i振型的自由振动周期(s);
T j ——第j振型的自由振动周期(s)。
条文说明
6.2.2 国内外许多专家学者对反应谱法进行了大量研究,提出了多种振型组合方法。其中常用的有SRSS(Square Root of Sum of Squares)法和CQC(Complete Quadratic Combination)法。上述两种方法均从线性结构平稳随机振动理论导出,SRSS法是CQC法的简化形式。SRSS法对于结构自由振动频率分离较好的结构具有很好的精度,但是如果对于结构地震反应贡献较大的振型的频率密集出现的结构,由于SRSS法忽略了振型间的耦合项,故时常过高或过低地估计结构的反应。CQC方法需要进行一个完整的二次型求和运算,比SRSS法需要更多的计算时间,但基于目前的计算能力,用CQC方法替代SRSS方法进行反应谱组合已经没有困难,所以本规范推荐CQC方法。
6.2.3 当采用弹性反应谱方法时,振型阻尼比应按表6.2.3取值。
表6.2.3 振型阻尼比取值

条文说明
6.2.3 弹性反应谱计算中,阻尼比的确定很大程度上影响结构地震反应的计算结果,需要谨慎选择。根据现有的研究结果,土木工程结构的阻尼比与结构振动的强烈程度有关,因此原则上所遭受的地震水平不同,则结构的阻尼比也有所差别。但关于结构阻尼比的研究还很难给出阻尼比随振动幅度的变化关系,为了使结构地震反应计算保持一致,本规范根据目前关于阻尼比的认识,并参考了欧洲规范Euro Code 8 EN1998-2:2005 Design of struc-tures for earthquake resistance-part 2:Bridges,对弹性反应谱计算中的阻尼比的取值进行了统一规定。
6.2.4 当多分量地震作用时,各地震动分量引起的地震反应按下式进行组合,对3种组合得出的结果应分别进行抗震验算:

式中:R——需计算的结构反应;
R X ——X方向地震动作用对同一反应量的贡献;
R Y ——Y方向地震动作用对同一反应量的贡献;
R Z ——Z方向地震动作用对同一反应量的贡献。
条文说明
6.2.4 地震作用分量组合是对地震动方向不确定性和结构反应最不利输入方向等因素的综合协调,是指对结构或构件的同一反应,在各分量地震动分别输入下得到其值,并进行组合。分量组合有多种方法,如SRSS方法、百分比法等。2009版美国AASHTO规范采用百分比法,欧洲规范EuroCode8和我国公路桥梁抗震设计细则采用SRSS方法。由于百分比法的表达形式与通常的荷载组合的概念更为接近,易于被工程师理解和应用,因此本规范采用百分比方法。
6.2.5 对需考虑设计地震作用变化的情形,可按下列方法之一处理:
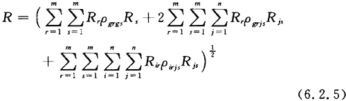
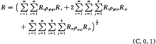
1 按下式进行反应谱组合,组合系数的计算方法和符号解释应符合本规范附录C的规定:

2 对空间各点不同的地震输入分别进行一致地震反应分析,结构反应选最不利值。
条文说明
6.2.5 多点反应谱组合方法与采用的结构地震动方程有关,本规范建议的多点反应谱组合方法依据分解位移地震动方程。经过30多年的研究,相关成果已经成熟。本规范根据国内外的相关研究成果,建议了多点反应谱组合方法。
6.3 地面结构弹塑性反应谱方法
6.3 地面结构弹塑性反应谱方法
6.3.1 结构体系简单、第一振型对结构地震反应贡献起主要作用,并且塑性铰发生位置明确的情况下,可采用弹塑性反应谱方法计算结构的地震反应。
条文说明
6.3.1 根据现有的工程设计实践,大量的高架区间结构采用结构形式简单的梁式结构,其大部分惯性质量来自上部结构和车辆,并可近似集中在墩顶以上,根据已有的研究结论,第一振型对结构的地震反应起控制作用,通过第一振型的计算可以满足此类结构的抗震设计要求。另外高架区间结构在一般的设计条件下,当因地震作用进入弹塑性状态时,塑性铰发生部位一般在墩底或墩顶,比较易于识别和预先设计,因此大量的高架区间结构可以满足第一振型为主、塑性铰位置明确的要求,弹塑性反应谱方法可用于大量的高架区间结构节段的抗震设计计算。弹塑性反应谱方法的计算流程如下(图2): 
图2 弹塑性反应谱法计算流程
6.3.2 采用弹塑性反应谱方法计算结构的地震反应时,结构等效周期的计算应考虑结构的非线性特征,按下列公式计算:

式中:T eq ——结构等效周期(s);
M eq ——等效质量(kg);
K eq ——等效刚度(N/m);
M s ——上部结构质量(kg);
M p ——桥墩质量(kg);
r p ——桥墩质量换算系数,独柱式墩取0.3;排架式墩取0.4;
M v ——等效列车质量(kg);顺桥向取0.0,横桥向0.5倍的列车质量;
F eq ——结构整体屈服点对应的水平荷载(N);
d eq ——结构整体屈服点对应的水平位移(m)。
条文说明
6.3.2 考虑到高架区间结构线路一般很长,地震发生时,车辆正在运行的概率较大,参考现行国家标准《铁路工程抗震设计规范》GB 50111,在横桥向计算中考虑了50%的车辆惯性质量。
虽然弹塑性反应谱方法与所采用的计算模型没有直接关系,但根据目前对该方法的使用经验,该方法可以比较好的用于可简化为单墩模型的情况,出于这样的考虑,顺桥向地震作用下,1联(1跨)梁体附加在支座的顶面;横桥向地震作用下,按照支座反力或跨径分配上部结构与列车质量,取两种分配方式中的质量较大者,质量附加到上部结构的重心处。
弹塑性反应谱方法中,根据考虑结构和地基非线性特性的静力非线性分析所得荷载-变形曲线,连接原点与结构等效屈服点所得割线斜率确定结构等效刚度。结构等效屈服点,取桥墩屈服点与基础屈服点最先达到的状态点。
6.3.3 弹塑性反应谱通过对弹性反应谱的折减得到,折减系数R μ 应按下式计算:

式中:R μ ——折减系数;
T 0 ——场地相关特征周期参数,应按表6.3.3取值;
μ——延性系数。
表6.3.3 周期T 0 的取值

条文说明
6.3.3 弹塑性反应谱将结构等效周期作为参数进行单自由度体系的非线性时程反应分析,将其最大值作为结构物固有周期的函数。弹塑性反应谱的谱值与延性系数μ有关。 本规范折减系数参照了Vidic等人提出的关系式。由于各种地基的地表面地震动特性各不相同,所以所需弹塑性反应谱也要针对各种场地分别计算。在本规范的编写过程中,收集了国内外800余条强震记录,采用双线性本构模型计算了弹塑性反应谱并分析回归了各类场地、特征周期分区和多个延性系数所对应的特征周期参数T0,结果具有与弹性反应谱类似的统计意义。
6.3.4 按弹塑性反应谱方法计算结构物的地震反应,可根据结构等效周期和结构屈服地震加速度(图6.3.4)确定结构所需延性系数。

图6.3.4 根据结构等效周期和设计屈服加速度算出需求延性系数
Ⅰ-屈服地震加速度0.1g;Ⅱ-等效周期0.8s;Ⅲ-得到延性系数3
6.4 地面结构非线性时程分析方法
6.4 地面结构非线性时程分析方法
6.4.1 当弹性反应谱方法和弹塑性反应谱方法不适用时,应采用非线性时程分析方法。
条文说明
6.4.1 动力时程分析法,是一种能合理表现结构物地震时动态反应的方法。考虑到此方法的发展日益成熟,并为设计工程师所熟悉,因此规范引入了此方法。
6.4.2 当采用非线性时程分析方法时,基础与地基土相互作用宜采用等代弹簧方法,并应符合本规范附录D的规定。
条文说明
6.4.2 等代弹簧方法将复杂的基础-土相互作用转化为几个自由度的非线性平动、转动支承刚度,采用阻尼器模拟桩土辐射阻尼,是便于在设计工作中应用的简化分析方法,用于非线性时程分析,可有效提高计算效率和数值计算稳定性。 当需要考虑桩基础地震反应沿深度变化时,对一般的桩基础,本规范推荐采用较为简便的桩土弹簧-阻尼器集中参数模型。非线性弹簧用于模拟桩土之间的非线性刚度作用并包含了滞回耗能作用,阻尼器则模拟材料内部耗能和地震波辐射耗能效应。采用结构-桩基础-地基整体分析模型时,地基和基础结构的各种设计参数和边界条件等对分析结果的精度和可靠性影响很大,须恰当选取。
少数情况下(比如地质条件复杂,或需要更细致了解结构-桩基础-地基相互作用时),桩土弹簧-阻尼器集中参数模型可能不满足要求,此时可以考虑更一般性的非线性有限元动力分析方法,建议专门研究。
6.4.3 对桩基础,等代弹簧方法不适用或计算精度要求高时,可采用结构-基础-地基整体计算建模方法。桩土相互作用应按本规范附录B.4的规定采用集中弹簧和阻尼器建模。
6.4.4 当集中弹簧和阻尼器模型不能满足设计要求时,应进行专门研究。
6.5 支座地震反应计算方法
6.5 支座地震反应计算方法
6.5.1 对没有建立支座计算模型的情况,支座水平地震力F h 可按下式计算:

式中:F h ——支座水平地震力(N);
a h ——桥墩(台)顶端反应绝对加速度最大值(m/s 2 );
W i ——该支座所分担到的水平惯性力所对应的上部结构重量(N)。
条文说明
6.5.1 本规范参考日本抗震设计规范的相关规定,支座水平地震力取该支座所分担到的包含恒载和等效列车质量与桥墩顶端反应绝对加速度最大值的乘积。需要注意的是,这里所谓分担的质量是指分担到的惯性力质量。如有一个固定墩的连续梁桥,固定支座顺桥向水平地震力计算时,质量应取整联恒载对应的质量;横桥向水平地震力计算时,质量应取分担的上部结构质量和等效列车质量,其中等效列车质量参照本规范条文6.3.2取值。同时,由于对活动支座的动摩擦力的认识尚有不足,本规范忽略了活动支座的动摩擦力对固定支座的影响。
6.5.2 对没有建立全桥模型的情况,活动支座的滑动量的计算应符合下列规定:
1 E1地震作用下混凝土梁的活动支座的滑动量可根据桥梁跨径按表6.5.2确定。
表6.5.2 活动支座的滑动量

2 E2、E3地震作用下,活动支座的滑动量可按下列规定计算:
1)简支梁桥和无固定支座墩的连续梁桥,活动支座的滑动量可取所在桥墩顶端位移。根据桥墩分担的上部结构重量或桥墩刚度明显不同的情况或邻近桥墩间场地条件显著不同的情况,活动支座的滑动量可取所在桥墩顶端位移的2倍。
2)有固定支座墩的连续梁桥,活动支座的滑动量可按下式计算:

式中:△ D ——活动支座的滑动量(mm);
△ gd ——固定墩的墩顶位移(mm);
△ top ——滑动支座处的墩顶位移(mm)。
条文说明
6.5.2 对于E1地震作用,本规范参照日本铁道抗震规范《铁道构造物等设计标准·同解说-耐震设计(1999)》,以表格形式直接给出了设计中应采用的滑动支座滑动量的设计值。考虑到E1地震作用下结构反应的位移一般较小,故根据经验作简单规定,方便设计工作。
对于E2、E3地震作用下,简支梁桥和无固定支座墩的连续梁桥,活动支座的滑动量可取所在下部结构的顶端位移; 但在桥墩分担的上部结构重量或桥墩刚度明显不同的情况或邻近桥墩间场地条件显著不同的情况,从结构安全和设计方便考虑,活动支座的滑动量取所在桥墩顶端位移的2倍。对于有固定支座墩的连续梁桥,固定支座墩的墩顶位移对活动支座的滑动量影响较大,从结构安全和设计方便考虑,活动支座的滑动量取所在桥墩顶端位移与固定墩的墩顶位移之和。
6.6 隧道与地下车站结构横向地震反应计算的反应位移法
6.6 隧道与地下车站结构横向地震反应计算的反应位移法
6.6.1 当采用反应位移法时,可将周围土体作为支撑结构的地基弹簧,结构可采用梁单元(图6.6.1)进行建模。

图6.6.1 横向地震反应计算的反应位移法
1-地面;2-设计地震作用基准面;3-土层位移;4-惯性力
k v -结构顶底板压缩地基弹簧刚度;k sv -结构顶底板剪切地基弹簧刚度;
k h -结构侧壁压缩地基弹簧刚度;k sh -结构侧壁剪切地基弹簧刚度;
τ U -结构顶板单位面积上作用的剪力;τ B -结构底板单位面积上作用的剪力;
τ S -结构侧壁单位面积上作用的剪力;k n -圆形结构侧壁压缩地基弹簧刚度;
k s -圆形结构侧壁剪切地基弹簧刚度;τ A -点A处的剪应力;
F AX -作用于A点水平向的节点力;F AY -作用于A点竖直向的节点力;
θ-土与结构的界面A点处的法向与水平向的夹角;d-地基弹簧影响长度
条文说明
6.6.1 反应位移法认为地下结构在地震时的反应主要取决于周围土层的变形,而惯性力的影响相对较小。进行反应位移法计算时,在计算模型中引入地基弹簧来反映结构周围土层对结构的约束作用,同时可以定量表示两者间的相互影响。将土层在地震作用下产生的变形通过地基弹簧以静荷载的形式作用在结构上,同时考虑结构周围剪力以及结构自身的惯性力,采用静力方法计算结构的地震反应。 计算模型中,结构周围土体采用地基弹簧表示,包括压缩弹簧和剪切弹簧;结构一般采用梁单元进行建模,根据需要也可以采用其他单元类型。 反应位移法适用于土层比较均匀,埋深一般不大于30m的地下结构抗震设计分析。
6.6.2 地基弹簧刚度可按下式计算:

式中:k——压缩或剪切地基弹簧刚度(N/m);
K——基床系数(N/m 3 );
L——垂直于结构横向的计算长度(m);
d——土层沿隧道与地下车站纵向的计算长度(m)。
条文说明
6.6.2 在计算模型中以集中地基弹簧来反映一定面积的土层作用,因此需要将基床系数(即单位面积地基弹簧刚度)乘以作用面积换算为相应的地基弹簧刚度。地基弹簧影响长度一般为集中地基弹簧间距。
基床系数的确定比较复杂,不仅与结构外缘的做法(防水、防腐等构造)、场地土质相关,还和隧道结构的施工工法(明挖、盾构、新奥法等),以及地震动水平密切相关。研究表明,地基弹簧刚度的大小对使用该方法进行抗震计算的最终结果起到较大的影响,因此基床系数取值正确与否直接影响该方法的计算精度。
基床系数可以采用静力有限元法(图3)进行计算。取一定宽度和深度的土层有限元模型,除去结构位置处土体,将模型侧面和底面边界固定,在此模型中土层的弹性常数根据地震反应分析或场地试验确定。在孔洞的各个方向施加均布荷载q,然后分别计算各种荷载条件下的变形δ,得到基床系数K=q/δ。出于简化考虑,假设结构同一个面上的弹簧相同,即弹簧刚度一致,因此结构在均布荷载q作用下某一面的变形δ应为该面各结点变形的平均值。其中,对于矩形结构而言,顶底板位置处基床系数不同,应分别进行计算。
用该方法进行计算时,对于本规范中的不同地震动水平,土体的刚度应通过一维土层反应分析得到的土体有效弹性模量作为输入参数。
采用静力有限元法计算地基弹簧,也可以在计算模型(图3)的结构处施加单位强制位移δ,求出反力,然后根据反力求出基床系数。

图3 采用静力有限元法计算基床系数
现行国家标准《地下铁道、轻轨交通岩土工程勘察规范》GB 50307也给出了通过地质勘察和工程经验确定基床系数的方法。
对于矩形结构,日本《铁道构造物等设计标准·同解说》(1999)的规定地基弹簧刚度也可按下列公式计算:

式中:Kh——水平基床系数;
Kv——竖向基床系数。
对于圆形结构,日本土木研究所资料《大型地下结构抗震设计方法指南》规定地基弹簧刚度也可按下列公式计算:

式中:G——地基剪切模量,可取等效剪切模量
R——圆形结构半径。
6.6.3 反应位移法中土层相对位移、结构惯性力和结构与周围土层剪力的计算应符合下列规定:
1 土层相对位移可按下式计算;土层地震反应位移应取地下结构顶底板位置处自由土层发生最大相对位移时刻的土层位移分布。

式中:u'(z)——深度z处相对于结构底部的自由土层相对位移(m);
u(z)——深度z处自由土层地震反应位移(m);
u(z B )——结构底部深度z B 处的自由土层地震反应位移(m)。
2 结构惯性力可按下式计算:

式中:f i ——结构i单元上作用的惯性力(N);
m i ——结构i单元的质量(kg);

——地下结构顶底板位置处自由土层发生最大相对位移时刻,自由土层对应于结构i单元位置处的加速度(m/s 2 )。
3 矩形结构侧壁剪力作用可按下式计算:

4 圆形结构周围剪力作用可按下列公式计算:

6.6.4 对已进行工程场地地震安全性评价工作的,可采用其得到的位移随深度的变化关系;对未进行工程场地地震安全性评价工作的,可按本规范附录E确定位移随深度的变化并计算土层相对位移。
条文说明
6.6.3、6.6.4 土层位移可以采用动力有限元方法等数值方法进行计算,目前可供选择的较为成熟的一维土层地震反应分析程序有ProShake、EERA、RSLNLM等,也可以采用通用有限元分析软件MSC.Marc等进行计算。 在进行工程场地地震安全性评价工作中,要求直接提供场地地震动位移随深度的变化结果,设计中可以直接采用其结果。对未进行工程场地地震安全性评价工作的,建议可按附录E确定位移随深度的变化。附录E中,场地深度50m处的地震动峰值位移取值为场地自由地表地震动峰值位移的1/2,场地地震动峰值位移随土层深度增加而线性减小,但考虑最大减小值为场地自由地表地震动峰值位移的1/2,场地深度超过50m处的地震动峰值位移均取为场地自由地表地震动峰值位移的1/2。 在反应位移法中,根据地下结构顶底板位置处自由土层发生最大相对位移时刻的土层位移分布确定土层相对位移,即相对于结构底板位置处的位移,并施加于结构两侧面压缩弹簧及上部剪切弹簧远离结构的端部。结构自身的惯性力可将结构物的质量乘以最大加速度来计算,作为集中力可以作用在结构形心上,为提高计算精度,也可以按照各部位的最大加速度计算结构的水平惯性力并施加在相应的结构部位上。结构上下表面的土层剪力可由自由场土层地震反应分析来获得,等于地震作用下结构上下表面处自由土层的剪力;也可以采用反应谱法计算土层位移,通过土层位移微分确定土层应变,最终通过物理关系计算土层剪力。 为了真实地反映地下结构在地震作用下的反应,在计算中应考虑重力的影响。当不考虑结构非线性时,可将重力引起的结构反应与地震引起的结构反应进行组合,作为地震作用下结构的真实反应。当需要考虑结构非线性影响时,重力作用将影响结构的非线性特性,需要同时考虑重力作用与地震作用。同时考虑重力作用与地震作用时,首先计算自重作用下模型的应力场,在初始应力场的基础上计算地震作用下结构的反应。
6.7 隧道与地下车站结构横向地震反应计算的反应加速度法
6.7 隧道与地下车站结构横向地震反应计算的反应加速度法
6.7.1 当采用反应加速度法时,土体可采用平面应变单元、结构可采用梁单元进行有限元建模。计算模型底面应采用固定边界,侧面应采用水平滑移边界(图6.7.1)。模型底面可取设计地震作用基准面,顶面取地表面,侧面边界到结构的距离宜取结构水平有效宽度的2倍~3倍。

图6.7.1 横向地震反应计算的反应加速度法
1-水平滑移边界;2-惯性力;3-固定边界
条文说明
6.7.1 反应加速度法以土-地下结构系统为研究对象,分析模型为土-结构相互作用模型,能直接反映土-结构相互作用,对于复杂土层及不规则结构断面都可以方便地进行计算。
结构周围土体采用平面应变单元,结构一般采用梁单元,也可以根据需要采用其他单元类型。隧道或地下车站的柱类构造采用梁单元时,应确定计算模型沿隧道或车站纵向的厚度。一般计算模型沿纵向取中柱间距的长度,而柱取实际尺寸,计算得到的柱内力为真实内力,便于设计使用; 若取纵向单位长度模型进行计算,得到的柱内力不是真实内力,设计时还需要进行换算。计算模型的底面边界采用固定边界,当仅计算地震作用下的结构反应时,模型两侧边界竖向位移约束为零,水平向自由,即为水平可滑动边界。
6.7.2 土层和地下结构根据其所在位置施加相应的水平加速度a i ,a i 应取地下结构顶底板位置处土层发生最大相对位移时刻第i层土单元水平加速度;当土层复杂,结构深度位置土层性质和土层的刚度参数差别较大时,土层和地下结构宜根据其所在位置施加相应的水平有效惯性加速度,按下式计算:

式中:a i ——第i层土单元水平有效惯性加速度(m/m 2 );
τ i 、τ i-1 ——地下结构顶底板位置处土层发生最大相对位移时刻第i层土单元底部与顶部的剪应力(N/m 2 ),当i=1时,τ 0 =0;
ρ i ——第i层土单元的质量密度(kg/m 3 );
h i ——第i层土单元的厚度(m)。
条文说明
6.7.2 土-地下结构系统在地震作用下受力以体积力为主,土层与地下结构之间存在着动力相互作用,土层对地下结构的约束作用不可忽略。反应加速度法通过对各土层和地下结构按照其所在的位置施加相应的水平有效惯性加速度来实现在整个土-结构系统中施加水平惯性体积力。
在地震动作用下,地下结构位置的土层发生最大变形时结构受力最不利,此时结构位置的土层处于最大剪应变状态。当土层条件简单时,施加的水平加速度为地下结构顶底板位置处土层发生最大相对位移时刻的水平加速度; 当土层复杂,土层和地下结构宜根据其所在位置施加相应的水平有效惯性加速度(图4),通过对土单元水平方向受力分析得到各土层的水平有效惯性加速度。地下结构位置处的土层发生最大变形时刻,成层土中的剪应力分布可以通过一维土层地震反应分析方法计算获得,如采用等效线性化程序SHAKE91、EERA、RSLNLM等,或者通用有限元分析软件MSC.Marc等进行分析。

图4 水平有效惯性加速度求解方法
此时,第i层土单元的运动方程为:

为了反映惯性力和阻尼力的共同作用,采用土单元的变形来计算有效反应加速度,通过上式中的应力项计算有效反应加速度:

得到自由场的水平有效惯性加速度分布之后,即可在土-结构静力分析模型中按照各土层单元所在的位置施加于相应的土层上,模型中结构部分也按照所在土层深度位置作用水平有效惯性加速度,然后根据计算要求,按照静力有限元方法进行线弹性或弹塑性分析。该方法进行计算时,因为结构部分仅按照其位置作用水平有效惯性加速度,因此复杂断面结构也可以采用该方法分析计算。
6.7.3 土体单元的剪切模量可取对应地震动水准的一维土层地震反应分析得到的等效剪切模量。
条文说明
6.7.3 反应加速度法以地震反应作为地震输入荷载。地震反应的大小受土层构成、土层动力特性、土层应变水平等方面的影响很大。因此,为考虑上述因素和计算简单,本规范通过使用等效线性化法的一维土层反应分析结果。有限元分析模型中土层的剪切模量,通过自由场一维土层地震反应分析获得对应地震动水平的等效剪切模量。当计算精度要求较高时,为了避免结构角部应力畸变而引起的误差,在计算时宜直接采用土体非线性模型,进行土层非线性反应计算。 对于反应加速法,当需要同时考虑重力作用与地震作用,也可先计算自重作用下自由土层反应,将计算得到的侧向边界条件(水平荷载+竖向位移)施加在模型侧面作为侧向边界条件,建立完整的土-结构相互作用分析模型,采用静力分析方法计算模型在自重作用下的静力反应,在完成自重反应的基础上,再在土-结构相互作用模型中施加水平等效惯性加速度,以此计算结构真实地震反应。其中,侧向边界条件为混合边界条件,水平向为力边界条件,竖向为位移边界条件,施加的水平应力和竖向位移分别等于一维土层自由场模型重力反应分析得到的侧向土压力和竖向位移。
6.8 隧道纵向地震反应计算的反应位移法
6.8 隧道纵向地震反应计算的反应位移法
6.8.1 当采用反应位移法时,可将结构周围土体作为支撑结构的地基弹簧,结构宜采用梁单元进行建模(图6.8.1)。土层位移应施加于地基弹簧的非结构连接端。

图6.8.1 纵向地震反应计算的反应位移法
1-隧道;2-横向土层位移;3-纵向土层位移
k 1 -沿隧道纵向侧壁剪切地基弹簧刚度;k t -沿隧道纵向侧壁拉压地基弹簧刚度
条文说明
6.8.1 研究发现,隧道结构刚度较大而密度小于地层,其纵向变形取决于隧道周围地层的位移,包括沿隧道纵向和横向水平位移。而隧道衬砌结构则通过弹簧与地层相连或视为弹性地基梁,并随地层位移而产生相关变形。目前,隧道纵向地震反应计算方法有很多种,根据土层和隧道变形情况大体上可以分为共同变形法和相对变形法两大类。共同变形法认为在地震波作用下,隧道随周围土层一并波动变形,两者间无相对位移;而相对变形法认为隧道的刚度对周围土层的变形会产生一定的影响,两者通过相互作用使得隧道的变形与自由场土层变形并不完全一致。历次震害表明,相对变形法能更准确地计算隧道纵向地震反应。
纵向反应位移法是一种相对变形法,该方法是在求得结构周围土层地震变形的情况下,采用变形传递系数来考虑结构的真实变形,并由此计算结构的地震反应。
6.8.2 隧道纵向地震反应的计算,应给出沿隧道纵向的拉压应力和挠曲应力。
条文说明
6.8.2 土层地震动可以分解为与隧道纵轴平行和垂直的两个分量。其中,与隧道纵轴平行的分量可使隧道结构随周围土层产生平行于隧道轴线的拉压变形,隧道将产生拉压应力;与隧道纵轴垂直的分量可使隧道结构随周围土层产生垂直于隧道轴线的水平和竖直方向的横向变形,隧道将产生挠曲应力。因此评估隧道纵向地震反应时,需计算沿隧道纵向的拉压应力和挠曲应力。
6.8.3 地基弹簧刚度可按下列规定计算:
1 地基弹簧刚度宜按静力有限元方法计算;
2 地基弹簧刚度也可按下列公式计算:

式中:k——基床系数(N/m 3 );
d——土层沿隧道与地下车站纵向的计算长度(m);
W——隧道横向平均宽度或直径(m)。
条文说明
6.8.3 地基土的基床系数可根据土的动力特性通过现场试验或采用计算方法确定。现行国家标准《核电厂抗震设计规范》GB 50267采用下列公式确定: 
式中:Kt、K1——横向和轴向单位长度上地基土的弹簧刚度(MPa/m); G——与地震震动最大应变幅度相应的地基土的剪切模量(MPa); β——换算系数,其值可取为1/3。 基床系数也可以采用有限元计算方法如下:根据土层一维地震反应分析,求出与地震震动最大应变幅度相应的土层参数,对土层建立有限元模型,在模型的结构部位分别沿隧道纵向和横向施加均布荷载q,由静力法算出结构位置的平均变形δ(图5),从而求得纵向基床系数和横向基床系数K=q/δ。另外,也可以在计算模型结构处施加单位强制位移,然后根据反力求出基床系数。上述两种计算方法本质是相同的。 
图5 有限元法计算基床系数
当隧道为矩形结构时,周长W为隧道横截面上下底边长与侧墙边长之和;当隧道为圆形结构时,周长W为πD,其中D为圆形结构直径。
6.8.4 沿隧道结构纵向轴线处施加的土层位移分布可按本规范附录E的方法计算,或采用结构纵向轴线各处土层自由场的位移时程分布。
6.8.5 当施加横向土层位移时,变形缝宜采用弯曲非线性弹簧;当施加纵向土层位移时,变形缝宜采用非对称拉压非线性弹簧。
条文说明
6.8.5 由于变形缝与隧道结构在强度、刚度等方面存在差异,因此需采用不同的模型进行模拟。在施加横向地震动位移时,隧道结构将产生横向挠曲变形,变形缝由于采用了一定的抗震措施,因此可承受一定的弯矩作用,可将变形缝简化为弯曲非线性弹簧模型;同样,在施加纵向地震动位移时,隧道结构将产生拉压变形,变形缝一样能承受一定的拉压荷载,同时,因为其抗拉压能力不同,因此可将变形缝简化为非对称拉压非线性弹簧模型。
6.8.6 对盾构隧道,结构梁单元长度可按盾构环的长度确定;对沉管隧道和明挖隧道,结构梁单元长度可按隧道的自然节段确定,但不宜大于10m;模型总长度不宜小于土层变形波长或取全长。
条文说明
6.8.6 盾构施工时,一般在衬砌环之间的结构相对薄弱,因此可将结构梁单元取为一盾构环的长度;而对于沉管和明挖施工法,结构连续性较强,可按隧道自然节段确定,但为了保证计算精度,梁单元长度不应大于10m,同时应满足模型总长度不小于土层变形波长的要求。
6.9 隧道与地下车站结构地震反应计算的时程分析方法
6.9 隧道与地下车站结构地震反应计算的时程分析方法
6.9.1 当采用时程分析方法时,应对土体及其边界进行合理建模与处理。
6.9.2 当采用时程分析方法时,计算模型的侧面人工边界距地下结构的距离不宜小于3倍地下结构水平有效宽度,且不宜采用完全固定或完全自由等不合理边界条件;底面人工边界宜取至设计地震作用基准面且距结构的距离不小于3倍地下结构竖向有效高度。
条文说明
6.9.1、6.9.2 采用动力分析时,由于直接输入地震波作用,因此应限制土层单元尺寸,通常竖向单元尺寸不大于1m即可满足要求。采用有限元法等数值方法求解土-结构动力相互作用问题时一般需要从无限介质中取出有限尺寸的计算区域,地基无限性的模拟是通过在区域的边界上引入虚拟的人工边界加以实现的(图6)。模型边界一般采用粘性人工边界或粘弹性人工边界等合理的人工边界条件,且侧向人工边界应避免采用固定或自由等不合理的边界条件(图7)。
土层的选取范围,一般顶面取地表面,底面取设计地震作用基准面,水平向自结构侧壁至边界的距离宜至少取结构水平有效宽度的3倍(图8)。

图6 结构-地基整体分析中的人工边界示意图
1-广义结构;2-结构;3-基础;4-地面;5-地基无限域;6-地基有限域;7-人工边界;8-地基无限域

图7 合理的人工边界条件
1-自由表面;2-人工边界;3-有限元计算模型;4-粘性人工边界;5-粘弹性人工边界

图8 一般情况下计算模型选取范围
同时需要考虑以下两种特殊情况。当地下结构埋深较深,结构与基岩的距离小于3倍地下结构竖向有效高度时,计算模型底面边界取至基岩面(图9);当地下结构埋深嵌入基岩,此时计算模型底面边界需取至基岩面以下(图10)。

图9 埋深较深时计算模型

图10 地下结构嵌入基岩时计算模型
1-基岩面;2-基岩
6.9.3 当进行隧道与地下车站结构横向地震反应计算时,可采用土-结构动力相互作用计算模型,按平面应变问题分析。当考虑地下车站结构的空间动力效应时,宜采用三维计算分析模型,且地下连续墙等受力板构件宜采用板壳单元建模。
条文说明
6.9.3 当隧道或地下车站结构沿纵向结构形式连续、规则、横向断面构造不变,周围土层沿纵向分布一致时,可只沿横向计算水平地震作用并进行抗震验算,抗震分析可近似按平面应变问题处理。当结构形式变化较大,土层条件不均匀时需要按空间问题进行三维建模求解。
6.9.4 地震输入可采用波动法或振动法。
条文说明
6.9.4 当采用波动法输入时,考虑波的传播特性,在人工边界上按位移或应力边界条件实现入射波动的能量输入。当采用振动法输入时,一般采用输入基岩加速度,结构对于基岩做相对运动,在结构上施加惯性力来实现。
7 抗震性能的验算方法
7.1 一般规定
7 抗震性能的验算方法
7.1 一般规定
7.1.1 城市轨道交通结构应区分高架区间结构、高架车站结构、区间隧道结构、地下车站结构等不同结构形式进行抗震性能验算。
7.1.2 抗震验算应分为强度验算、变形验算和位移验算。
条文说明
7.1.2 结构性能要求Ⅰ须保证构件在地震中保持线弹性工作状态,构件内力、应力等不超过以强度表征的承载能力。地震反应内力应参与相应结构常规设计规范中要求的内力组合后进行强度验算。关于强度验算的内容,在现行国家标准《铁路工程抗震设计规范》GB 50111和《建筑抗震设计规范》GB 50011中已作规定,本规范不再作补充说明。 结构性能要求Ⅱ和Ⅲ条件下,为保证设计的安全性和经济型,结合城市轨道交通结构特点和本规范的分析、验算方法,要求对结构和构件进行以变形和位移为指标的验算。其中,变形验算确保延性构件具备足够的变形能力,位移验算则保证结构整体的完整性。
钢筋和钢骨混凝土构件抗震验算流程图(图11)和柱式钢管混凝土构件和柱式钢构件抗震验算流程图(图12)。
7.1.3 进行位移验算时,应将结构作为一个整体来进行建模和地震反应计算。
7.2 钢筋和钢骨混凝土构件
7.2 钢筋和钢骨混凝土构件
7.2.1 钢筋和钢骨混凝土柱式构件的破坏形态应按下列公式进行判定:

式中:V mu ——构件达到截面等效屈服弯矩时的剪力(N);
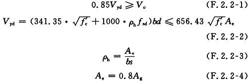
V yd ——设计剪切抗力(N),按本规范附录F.1方法计算;
V cd ——混凝土的设计剪切抗力(N);
V wd ——钢筋的设计剪切抗力(N);
V sd ——钢骨的设计剪切抗力(N)。
条文说明
7.2.1 钢筋混凝土或钢骨混凝土构件因构件的变形及破坏形态不同,其损伤的过程及损伤的状况有所不同,因此应使用能恰当表现构件破坏状态的性能指标。构件的形态分为柱式构件和受面内力的壁式构件。构件的破坏形态应分为弯曲破坏和剪切破坏。 通过比较构件的抗剪能力与构件达到抗弯能力时所对应的最大剪力,来判定钢筋混凝土构件的破坏形态时,构件的最大剪力应由实际弯曲抗力求得。因此在计算弯曲抗力时应考虑全部轴向钢筋和钢骨,且采用钢材实际屈服强度,同时也应根据破坏截面的不同考虑弯曲抗力的增强等影响。 
图11 钢筋和钢骨混凝土构件抗震验算流程图 
图12 柱式钢管混凝土构件和柱式钢构件抗震验算流程图 简支结构根据合理假定剪切跨度,就可以从设计弯曲抗力直接求出Vmu值;超静定结构如果假定剪切跨度有难度,则应采用静力非线性分析来求得Vmu值。 本规范中钢筋和钢骨混凝土构件抗剪能力的计算方法,主要参照美国Caltrans Seismic Design Criteria(V1.6)(以下简称“Caltrans规范”)、AASHTO Guide Specifications for LRFD seismic Design(LRFDSEIS-2,2011)、日本《铁道构造物等设计标准·同解说——耐震设计》(1999)和日本 《道路桥示方书——V耐震设计编·同解说》(2002)等,并结合我国公路与铁路常用设计指标进行调整后形成: (1)已有研究表明,美国28天圆柱体抗压强度与中国抗压强度标准值基本一致,因而,将Caltrans规范混凝土强度f'c直接等效为我国抗压强度标准值f'c。Caltrans规范公式中箍筋的规范强度fyh,相当于我国规范的抗拉强度设计值。
(2)Caltrans规范中计算c1所用μd为位移延性系数,对于群桩基础等多种形式的构件,在地震的动力作用下,其计算较为复杂,且与指标相应的界限值在实际应用中受限制较大。为了方便操作,结合转角延性系数μθ大于位移延性系数μd的一般规律,本规范采用转角延性系数μθ代替位移延性系数μd,这是偏于保守的。由于一般构件的塑性铰区长度Lp不超过塑性铰区截面至反弯点之间距离的0.2倍(即0.2L),进一步将构件的屈服转角θy的计算公式简化: 
(3)Caltrans规范中系数c2旨在计入轴向力对混凝土剪切抗力的提高,由于在地震作用下,墩柱尤其是群桩构件轴力的取值变动较大,因而本规范偏保守取c2=1.0。
7.2.2 对轴压比小于0.5,且剪跨比为1.5以上的钢筋和钢骨混凝土柱式构件,其弯曲变形性能应按等效理想弹塑性弯矩-转角关系(图7.2.2)和本规范附录G.1确定。

图7.2.2 构件的弯矩和转角的关系
a-截面等效屈服点;b-极限变形点;1、2、3-分别对应构件的性能等级1、2、3;
M y -构件截面等效屈服弯矩;M u -构件截面极限弯矩;θ y -构件塑性铰区等效屈服转角;
θ u -构件塑性铰区极限转角;α-构件性能等级系数
7.2.3 判别为弯曲破坏的小轴压比柱式构件,其性能等级可按构件转角或塑性铰区转角划分,其界限值可按下列公式确定:

式中:θ d ——性能等级的界限值(rad);
K——构件极限塑性转角的安全系数,可取1.5;
α——构件性能等级系数,可按表7.2.3取值;
θ pu ——构件塑性铰区的极限塑性转角(rad);

u ——塑性铰区极限曲率,可按本规范附录G.1计算;

y ——塑性铰区屈服曲率,可按本规范附录G.1计算;
L p ——塑性铰长度(m),L p =1.0D,D为计算方向截面高度。
表7.2.3 钢筋混凝土柱构件的性能等级系数

条文说明
7.2.2、7.2.3 钢筋混凝土或钢骨混凝土构件的荷载和位移的关系与轴向压力的作用程度有关。本规范主要针对具有明显延性的破坏形态给出了钢筋混凝土构件的损伤验算指标。轴向压力比较大的情形,构件的破坏形态缺少延性,验算指标需要另外进行研究。 本规范对钢筋混凝土构件性能等级的划分主要参考日本公路桥梁抗震规范《道路桥示方书 V耐震设计篇》。该规范采用构件变形为指标衡量构件延性能力,按下式计算: 
式中:μd——钢筋混凝土桥墩容许延性系数; δu——钢筋混凝土桥墩极限变形; δy——钢筋混凝土桥墩屈服变形; α——构件安全系数,按表3取值。 表3 钢筋混凝土桥墩容许延性系数计算时的安全系数 
该安全系数α主要表征构件进入非线性的塑性变形占屈服平台段的比例(图13)。假定构件屈服后,构件塑性转动全部发生在塑性铰区中心,塑性变形按下式计算: 
图13 日本道路桥梁抗震规范钢筋混凝土构件容许延性示意图 Py-等效屈服力;Py0-首次屈服力;δy0-首次屈服变形;δy-屈服变形;δu-极限变形 
式中:δp——构件塑性变形,δp=δ—δy; θp——塑性铰区塑性转角,θp=θ—θy。 δ和θ分别为实际反应变形和塑性铰区转角。 而极限变形对应的塑性变形与塑性铰区塑性转角之间的关系为: 
因而,采用构件变形和塑性铰区局部转角描述构件延性时,对应同一性能等级,其α系数可取相同限值。以塑性铰区转角表达的延性系数界限值为: 
本规范采用塑性铰区转角延性系数表达构件的转动能力,并将日本规范安全系数取倒数作为乘子。同时,根据现行国家标准《工程场地地震安全性评价技术规范》GB 17741,采用综合概率法以及中国地震烈度区划图的编制方法,我国地震作用的确定不区分直下型和板块边缘型,因而将性能系数规定为表7.2.3中的数值,以表达各性能等级的延性限值。为保证构件具备足够的塑性变形冗余,采用安全系数K对塑性铰区极限塑性转角作折减,因而公式(13)可以重写为: 
7.2.4 当墙(板)式构件承受面外力时,可按柱式构件根据本规范第7.2.3条进行抗震验算;承受面内力时,其抗剪能力应按本规范附录F.2计算。
条文说明
7.2.4 一些桥梁构件,如墙式桥墩等,横断面两个方向的几何尺度相差悬殊,可以看成平面构件。当设计地震力作用于平面构件的面外方向时,抗震验算可以作为柱式构件处理。但当设计地震力作用于平面构件的面内方向时,应作为板构件处理,按附录F.2验算抗剪性能。
7.3 钢管混凝土构件和钢构件
7.3 钢管混凝土构件和钢构件
7.3.1 轴压比小于0.3的柱式圆形钢管混凝土构件和柱式钢构件宜按双线性力-变形关系(图7.3.1)和本规范附录G.2、G.3规定的弯矩-曲率分析方法确定。

图7.3.1 柱式钢管混凝土构件和钢构件断面的弯矩转角关系
Y-截面屈服点;A-极限变形点;1、2、3-分别对应构件的性能等级1、2、3;
M y -构件屈服弯矩;M u -构件截面极限弯矩;θ y -构件塑性铰区屈服转角;
θ u -构件塑性铰区极限转角;α-构件性能等级系数
条文说明
7.3.1 钢管混凝土构件的抗力及变形性能的计算,应考虑钢管的材料非线性特性或局部压屈、填充混凝土的非线性特性等影响。本规范介绍的方法使用范围为轴压比小于0.3的情况。在超过此标准的高压轴向力作用时其变形性能应另行研究。
与圆形截面的构件相比,矩形截面构件的局部压屈抵抗能力较弱,其变形性能较差。矩形截面的变形性能因试验数据有限,一般情况下难以定量计算,需要另外进行详细研究。
7.3.2 钢管混凝土构件和钢构件的性能等级可按构件转角或塑性铰区转角划分,其界限值可按公式(7.2.3-1和7.2.3-2)确定,α可按表7.3.2取值。
表7.3.2 柱式钢管混凝土构件和柱式钢构件的性能等级系数

条文说明
7.3.2 采用与钢筋和钢骨混凝土类似的方式对钢管混凝土与钢构件进行性能等级划分。一般情况下,认为钢管混凝土与钢构件的抗震性能优于钢筋混凝土构件,因而,其α在钢筋混凝土构件的基础上适当增大。
7.4 基础
7.4 基 础
7.4.1 桩基础应按下式验算整体抗震性能:

式中:d——承台质心处的地震反应位移(m);
d d ——承台质心处的设计容许位移(m),按表7.4.1确定。
表7.4.1 基础整体性能等级界限值

条文说明
7.4.1 置于土中的桩基础结构物,其性能与地面以上的构件的性能有所不同。本规范综合考虑构件抗震性能、地基土承载力等指标,验算桩基础整体抗震性能。
为确保结构物整体的安全性及必要的功能,应进行桩基础位移验算。从结构物整体的安全性考虑应保证结构物不发生落梁或崩塌,从结构物的功能考虑应保证列车行驶安全和地震后结构物的使用。
7.4.2 扩大基础的偏心、滑动和倾覆稳定性应按现行国家标准《铁路工程抗震设计规范》GB 50111进行验算,性能等级应按下式进行验算:

式中:θ——地震反应转角(rad);
α——扩大基础性能等级系数,应按表7.4.2确定;
θ y ——基础底面屈服转角(rad)。
表7.4.2 扩大基础性能等级系数

条文说明
7.4.2 扩大基础的震害以及相关的研究工作目前比较缺乏,本规范关于其抗震性能等级的规定,主要参考日本《铁道构造物等设计标准同解说-耐震设计》的规定。
7.4.3 其他类型的基础、桥台和挡土墙的抗震验算可按现行国家标准《铁路工程抗震设计规范》GB 50111进行。
7.5 支座
7.5 支 座
7.5.1 板式橡胶支座在抗震性能等级要求为1时,宜进行下列抗震验算:
1 支座厚度应按下列公式进行验算:

式中:∑t——橡胶层的总厚度(mm);
△ t ——地震作用下最不利效应组合后支座产生的水平位移(mm);
△ D ——地震作用下支座产生的水平位移(mm);
△ H ——永久作用下支座产生的水平位移(mm)。
2 支座抗滑稳定性应按下列公式进行验算:

式中:μ d ——支座的动摩阻系数;橡胶支座与混凝土表面的动摩阻系数采用0.15,与钢板的动摩阻系数采用0.10;
N——上部结构重力在支座上产生的反力(N);
R t ——包括地震力效应的支座的水平力效应组合值(N);
R D ——地震作用下支座的水平地震力(N);
R H ——永久荷载作用下支座的水平力(N)。
条文说明
7.5.1 板式橡胶支座在抗震性能等级为1时,应保证支座的正常使用功能,故需要对橡胶支座的厚度及抗滑稳定性进行抗震性能验算。对于验算方法,本规范参考我国现行行业标准《公路桥梁抗震设计细则》JTG/T B02-01-2008中的计算公式进行了规定。
7.5.2 盆式橡胶支座和球形支座在抗震性能等级要求为1时,宜进行下列抗震验算:
1 支座滑动方向应按下列公式进行验算:

式中:△ max ——支座容许最大滑动水平位移(mm)。
2 支座固定方向应按下列公式进行验算:

式中:R max ——支座水平抗力值(N)。
3 支座的连接与局部验算宜按现行国家标准《铁路工程抗震设计规范》GB 50111进行。
条文说明
7.5.2 盆式橡胶支座和球形支座在抗震性能等级为1时,应保证支座的正常使用功能,故对其滑动方向进行位移验算,固定方向进行水平力验算。
7.6 梁端支承长度和行车安全
7.6 梁端支承长度和行车安全
7.6.1 E3地震动产生的梁端位移应按下式进行验算:

式中:△ D ——地震产生的梁端与墩顶的相对位移(m);
a——梁端的支承长度(图7.6.1)(m)。

图7.6.1 梁端支承长度示意图
条文说明
7.6.1 比较各国抗震规范对梁的搁置长度的要求,可以看出,虽然各规范均采用的经验公式来进行设计,但各自考虑的要点并不相同。美国AASHTO规范考虑的影响因素有:桥面板长度、墩台高度、偏角;Caltrans规范考虑的影响因素有:预应力、混凝土徐变收缩、温度、计算地震上下部结构相对位移;欧洲统一规范考虑的因素有:确保竖向荷载安全传递的最小支撑长度、设计地震位移、由于结构变形支撑的有效地震变形;日本抗震规范考虑的因素有:跨径、地震造成上部结构与下部结构顶端的相对位移、地震时地基应力产生的地基相对位移等。为保证在E3地震作用下,不致出现落梁现象,本规范参照美国Caltrans规范对梁端支承长度验算进行了规定。
7.6.2 E1地震作用下,应进行行车安全验算,并应符合下列规定:
1 行车安全应验算规定的错位、平行转角和折转角(图7.6.2-1)。

图7.6.2-1 错位、平行转角和折转角的示意
1-错位;2-平行转角;3-折转角
2 平行转角和折转角(图7.6.2-2)应按下式计算:

式中:θ——平行转角或折转角(rad);
δ i (i=1,2,3)——第i个墩顶处轨顶面位移(m);
l i (i=1,2)——计算桥墩处两侧跨径(m)。

图7.6.2-2 平行转角和折转角的计算示意图
3 行车安全验算指标的界限值应按表7.6.2确定。
表7.6.2 E1地震作用下行车安全验算指标界限值

注:表中v为列车设计运行速度(km/h)。
条文说明
7.6.2 本条规定参照了日本《铁道构造物等设计标准·同解说》(1999)的规定。
7.7 隧道与地下车站结构
7.7 隧道与地下车站结构
7.7.1 抗震性能要求为Ⅰ时,应按现行国家标准《建筑抗震设计规范》GB 50011进行结构构件的截面抗震验算。对需进行纵向验算的情况,尚应符合下列规定:
1 变形缝的变形量不应超过满足接缝防水材料水密性要求的允许值;
2 伸缩缝处轴向钢筋(螺栓)的位移应小于屈服位移;伸缩缝处的转角应小于屈服转角。
7.7.2 抗震性能要求为Ⅱ时,宜验算结构整体变形性能,且宜符合下列规定:
1 矩形断面结构应采用层间位移角作为指标,对钢筋混凝土结构层间位移角限值宜取1/250;
2 圆形断面结构应采用直径变形率作为指标,地震作用产生的直径变形率应小于规定的限值。
7.7.3 对重点设防类结构,当抗震性能要求为Ⅱ时,宜同时进行构件断面变形能力的验算。
条文说明
7.7.1~7.7.3 根据本规范所提出的各种抗震设防水准下的设防性能目标,隧道与地下车站结构性能要求有Ⅰ、Ⅱ两个等级。限于当前地下结构抗震性能研究水平及有限的研究成果,目前地下车站结构的抗震验算仍主要参照地面建筑的抗震验算内容。
纵向抗震验算,应充分考虑隧道与地下车站和伸缩缝等连接部位的变形能力、极限承载力以及防水能力。伸缩缝等连接部位装置宜考虑材料和施工措施,在试验的基础上正确把握其变形性能和防水性能,进行合理的建模和参数设定。
纵向地震反应计算,应综合考虑纵向和横向水平向地震动耦联计算结果,对结构进行纵向和横向的验算。但由于两个方向地震动的耦联方式有待进一步深入研究,且两个方向地震反应最大值一般情况下不可能同时发生,因此,为简便起见,隧道结构纵向地震反应时的验算,可分别根据隧道结构纵向和横向水平方向地震动的结构反应进行抗震验算。考虑到隧道结构的轴向拉-压一般不会引起地震破坏,因此本规范仅规定对沿横向水平地震作用进行验算。
根据各国规范的规定、震害经验和试验研究结果及工程实例分析,比照地面建筑结构抗震规范,当前采用层间位移角衡量结构变形能力,作为判别是否满足建筑功能要求的指标是合理可行的。考虑到地下车站结构修复难度较大,尚应进行E3地震作用下的抗震变形验算,对于钢筋混凝土结构层间位移角限值宜取1/250,等价于可修水平。
圆形断面结构整体的验算指标的研究成果还未深入,日本提出过倾斜角、直径变形率等,但倾斜角主要考虑的是结构周边地基的剪切变形,因此其使用还不普遍;国内外应用较多的是直径变形率, 现行国家标准《地铁设计规范》GB 50157和上海市现行地方标准《地下铁道建筑结构抗震设计规范》DG/TJ 08-2064-2009中都以其为验算指标;因此本规范认为直径变形率作为验算指标是可行的。现行国家标准《地铁设计规范》GB 50157的条文说明中,根据已有工程实践经验,给出了4‰~6‰倍的直径的限值,但这是施工荷载情况下的结果;上海市现行地方标准 《地下铁道建筑结构抗震设计规范》DG/TJ 08-2064-2009规定,在相当于结构性能Ⅰ下直径变形率的最大值不超过按接缝防水材料安全使用确定的允许值;性能Ⅱ下的直径变形率的限值的取值还没有定论,参考现行国家标准《地铁设计规范》GB 50157,限值取为4‰~6‰倍的直径。
8 高架区间结构
8.1 一般规定
8 高架区间结构
8.1 一般规定
8.1.1 本章适用于梁式高架区间结构、高架车站结构中承受列车荷载的结构。
条文说明
8.1.1 从我国已建城市轨道交通结构的形式来看,梁式高架区间结构是高架区间结构的主要类型,其应用十分广泛。它由大量的简支、连续梁和一定数量的刚构桥等组成,构件材料往往采用钢筋混凝土、钢骨混凝土、钢管混凝土和钢材。故本规范主要是以这类梁式结构为研究对象进行阐述的,对于其他形式的高架区间结构(斜拉桥、悬索桥以及大跨度拱桥等)可参照本规范规定的抗震设计原则进行设计或做专门研究。 高架车站结构一般分为建筑结构与桥梁结构分离(简称:建-桥分离)和建筑结构与桥梁结构一体(简称:建-桥合一)两种。建-桥分离的高架车站结构,建筑部分与桥梁部分之间的力学联系弱,可分别独立进行抗震设计。桥梁部分按第8章的规定进行抗震设计,建筑部分按第9章进行抗震设计。建-桥合一的高架车站结构中,一部分结构主要承受轨道交通荷载,另外一部分结构主要承受人群荷载,二者之间有较强的力学联系。从受力分析的角度,不宜将二者分开进行抗震设计,但在目前我国的规范体系中,承受轨道交通荷载和承受人群荷载的结构应分别遵从不同的抗震设计规范,其协调性还缺乏讨论与研究。因此本规范建议对于承受轨道交通荷载的结构部分按本规范第8章的规定进行抗震验算与抗震构造措施的设计,其他结构部分按本规范第9章进行抗震验算与抗震构造措施的设计。但在地震反应计算中,仍建议采用一体化建模和分析。如果上述简化的处理方法导致了明显的不合理的结果,则应根据本规范规定的抗震设计原则进行专门的抗震研究。
8.1.2 高架区间结构抗震设计应避免脆性破坏形式的发生。
条文说明
8.1.2 地震中构件剪切破坏呈脆性破坏特征,易导致构件承载能力的急剧下降甚至丧失,震后结构物难以修复。以往的震害调查表明,钢筋混凝土墩柱的剪切破坏往往是桥梁倒塌的重要成因,因而抗震设计中,应通过验算和构造设计保证构件在地震中不发生剪切破坏。
8.1.3 当利用桥墩的延性进行位移或变形抗震设计时,塑性铰部位应首先选择桥墩底部或顶部,盖梁中应避免出现塑性铰。
条文说明
8.1.3 根据本规范城市轨道交通结构抗震设防水准下的抗震设防目标和性能要求,通过常规设计,确保结构体系中的构件为延性构件,结构不发生脆性破坏。同时考虑到地震后结构物修复的难易程度,尽可能地保证结构局部发生破坏(即塑性铰),以缩短震后结构物修复时间和减少结构物修复费用。因此,选择在地震中预期出现的弯曲塑性铰的合理位置,保证结构能形成一个适当的塑性耗能机制,通过强度和延性设计,确保潜在塑性铰区域截面的结构性能是行之有效的方法之一。 大量桥梁震害调查案例显示,桥梁墩柱是地震引起桥梁破坏的主要构件,因此将桥梁结构的主要塑性变形区预设在桥梁墩柱上(图14)是合理的选择。这一做法也符合常规荷载下桥梁合理体系设计的一般概念。因此将塑性铰预设在桥梁墩柱上成为桥梁抗震延性设计的普遍共识。对于延性差的墙式桥墩等情形,在保证基础的整体稳定性的前提下,可以考虑将塑性变形区设置在桩顶处。

图14 梁式桥墩柱塑性铰区域
1-塑性铰区
8.1.4 可采用专门的消能减震设计。
条文说明
8.1.4 减震消能技术已经日益发展成熟,并获得了越来越多的应用,一些情况下可以显著改善桥梁等结构的抗震性能。在城市轨道交通结构的抗震设计中,在保证其他性能要求的前提下,可以利用减震消能技术。
8.2 地震反应计算
8.2 地震反应计算
8.2.1 高架区间结构的墩台与基础结构的地震作用应按本规范第5章的规定确定。
8.2.2 设计计算方法应按本规范第6章的规定执行。
8.3 抗震性能验算
8.3 抗震性能验算
8.3.1 高架区间结构抗震验算的荷载效应组合可按现行国家标准《铁路工程抗震设计规范》GB 50111执行。
8.3.2 抗震性能Ⅰ下的墩、基础结构物及构件强度验算可按现行国家标准《铁路工程抗震设计规范》GB 50111执行。
8.3.3 抗震性能Ⅱ、Ⅲ下的墩、基础结构物及构件的抗剪强度、塑性铰区变形验算应按本规范第7章执行。
8.3.4 支座的验算应按本规范第7.5节执行。
8.3.5 梁端支承长度的验算应按本规范第7.6节执行。
8.4 抗震构造细节
8.4 抗震构造细节
Ⅰ 钢筋混凝土桥墩
8.4.1 钢筋混凝土桥墩抗震构造应符合下列规定:
1 钢筋混凝土墩身应符合下列规定:
1)墩身刚度变化均匀,避免出现突变;
2)墩身主筋全截面配筋率不应小于0.5%,并不大于5%;
3)桥墩塑性铰区域应加强箍筋配置,加强区高度不应小于验算方向截面高度的2倍,当塑性铰区域位于桥墩底部时,加强区高度为截面高度;当墩高与验算方向截面高度的比值小于2.5时,应对所有截面进行加强,并进行抗剪强度验算,必要时设置抗剪钢筋;
4)配箍率不低于主筋配筋率的1/4,且不应低于0.3%;
5)对圆形截面,箍筋可沿截面周边布置;圆形箍筋的接头应采用焊接,焊接长度不应小于10倍箍筋直径;矩形箍筋端部应有135°弯钩,弯钩的直段长度不应小于200mm。箍筋配置应符合表8.4.1-1的规定。
表8.4.1-1 桥墩箍筋配置

6)对抗震设防地震动分档为0.20(0.30)g及以下地区,加强区箍筋间距不应大于100mm;对抗震设防地震动分档大于0.20(0.30)g地区,加强区箍筋间距不应大于50mm;
7)对矩形截面,除在周边布置箍筋外,在加强区混凝土核心范围应按表8.4.1-2规定布置箍筋或拉筋。
表8.4.1-2 矩形截面箍筋或拉筋布置

2 纵向钢筋的接头与锚固应符合下列规定:
1)从桥墩底部至截面高度的1.5倍范围内不宜设纵向钢筋焊接接头。当接头不可避免时,应确保纵向钢筋在反复交变应力下发生屈服时,接头仍具有预定的性能;
2)从桥墩底部至截面高度的1.5倍范围内不设绑扎钢筋接头;
3)在同一截面内所设的钢筋接头数不大于总钢筋数的50%。
3 箍筋的配置及锚固应符合下列规定:
1)桥墩墩身的箍筋应使用普通箍筋或螺旋箍筋;
2)从桥墩墩身底部至截面高度的2倍的范围内应配置与塑性铰的区间完全相同的箍筋形式;
3)箍筋搭接点的强度不应小于箍筋的抗拉强度。当采用拉筋复合箍时,拉筋应弯成135°以上并勾住箍筋;
4)箍筋在构件轴线方向的间距应为构件截面短边长度的1/2以下,且应为轴向钢筋直径的12倍以下。对矩形截面,箍筋在横向的间距应为箍筋直径的48倍以下,当箍筋间距超过此数则应设置拉筋。
条文说明
8.4.1 本条明确了钢筋混凝土桥墩抗震构造应符合的一般规定。
1 箍筋对桥墩的延性影响很大,甚至在某种程度上依赖于箍筋配置的合理与否。大量的研究结果表明,箍筋的作用主要是提供横向约束,使混凝土在发生开裂、破碎的情况下,不致因塌落、崩溃而引起桥墩的突然失效,从而充分利用竖向钢筋的变形能力,使塑性铰处产生足够的弹塑性变形,消耗地震能量,防止结构的整体破坏。
圆形截面,箍筋可沿截面周边布置;矩形截面,除在周边布置箍筋外,混凝土核心范围应按规范表8.4.1-2规定布置箍筋或横向钢筋(拉筋)(图15)。

图15 矩形截面箍筋或横向钢筋(拉筋)布置示意图
2 纵向钢筋对约束混凝土墩柱的延性有较大影响,因此,延性墩柱中纵向钢筋含量不应太低。各国抗震设计规范都对墩柱纵向最小、最大配筋率进行了规定,其中,美国AASHTO规范(2004年版)建议的纵筋配筋率为0.01~0.08;现行国家标准《建筑抗震设计规范》GB 50011建议为0.008~0.004;现行行业标准《公路工程抗震设计规范》JTJ 004建议的最小配筋率为0.004,对最大配筋率没有规定。根据我国桥梁结构的具体情况,本规范建议墩柱纵向钢筋的最小配筋率为0.05。
横向钢筋在桥墩柱中的功能主要有以下三个方面:①用于约束塑性铰区域内混凝土,提高混凝土的抗压强度和延性;②提供抗剪能力;③防止纵向钢筋压曲。各国抗震设计规范对塑性铰区域横向钢筋的最小配筋率都进行了具体规定。美国AASHTO规范、欧洲规范Eurocode8、国家现行标准《公路工程抗震设计规范》JTJ 004及《建筑抗震设计规范》GB 50011对横向钢筋最小配筋率都有具体规定。综合国内外主要地震国家桥梁抗震设计规范的规定,本规范规定配箍率不低于主筋配筋率的1/4,且不应低于0.3%。
由于表层混凝土保护层不受横向钢筋约束,在地震作用下产生剥落,这层混凝土不能为横向钢筋提供锚固。因此,所有箍筋都应采用等强度焊接来闭合,或者在端部弯过纵向钢筋到混凝土核心内,角度至少为135°。
在进行混凝土结构物的抗震设计时,一般假设构件的纵向钢筋能承受发生屈服的反复荷载作用,因此,与通常的混凝土结构物细部构造应有所不同。为了确保钢筋充分发挥其强度,纵向钢筋必须在构件接合部进行充分锚固。对于离桥墩底部至截面高度1.5倍范围内设置的钢筋接头所应具有的性能,除高强度钢筋等特殊钢筋以外,钢筋在1.2倍屈服强度以上的拉力、1.1倍屈服强度以上的压力的反复作用下,不发生折断或龟裂等损伤。
由于地震时的反复荷载作用,塑性铰范围内纵向钢筋使用搭接接头时,如混凝土保护层脱落,则不能充分发挥接头的性能。因此,在可能发生混凝土保护层脱落的范围内原则上不能使用搭接接头。如遇特殊情况,在保证强度的前提下,可采用焊接接头。
3 设置箍筋的目的主要为抵抗剪力、防止主筋压屈、增强核心混凝土的横向约束及防止粘着劈裂。箍筋端部即使弯成135°以上并锚固在内部混凝土中,如果锚固长度不足,也达不到设计时假设的变形性能,因此应采用焊接或螺旋箍筋形式。但是,如必须采用箍筋弯钩角度为135°以上并锚固在混凝土中时,钢筋弯钩长度宜大于10倍钢筋直径。
如矩形截面构件的截面尺寸较大,距截面转角处较远部位箍筋的约束作用会降低。因此,截面内的箍筋间距应为箍筋直径的48倍以下以保证其效果不显著降低。截面内的中间部位配置的拉筋在构件轴向的间距宜与箍筋间距相同。
8.4.2 柱式桥墩应符合下列规定:
1 塑性铰加密区域配置的箍筋应延续到盖梁和承台内,延伸到盖梁和承台的距离不应小于盖梁或承台高度的1/3~1/4,且不应小于500mm;
2 桩柱式桥墩和多排桩桥墩的柱(桩)与盖梁、承台连接处的配筋不应小于柱(桩)身最大配筋。桩柱式桥墩的截面变化部位,宜做成坡度为2:1~3:1的喇叭形渐变截面或在截面变化处适当增加配筋;
3 桩柱式桥墩和多排桩桥墩加密区箍筋配置应布置在柱(桩)在地面或一般冲刷线以上1倍柱(桩)径处延伸到最大弯矩以下3倍柱(桩)径处,且不应小于500mm。桩柱式桥墩加密区段箍筋配置及箍筋接头应符合本规范第8.4.1条钢筋混凝土桥墩的规定。
条文说明
8.4.2 柱式桥墩和排架桩墩的柱(桩)与盖梁、承台连结处等的截面变化部位,在强烈地震时容易遭到破坏,而这些连结部位的配筋不足是造成破坏的重要原因之一。为了提高这些部位的连结强度,应保证其配筋不少于柱(桩)本身的最大配筋。为了减轻柱(桩)式墩截面变化部位的破坏,可将突变截面改做成喇叭形渐变截面。当施工有困难时,也可在截面突变部位适当增加配筋,予以加强。 桥梁震害调查资料表明,柱墩的顶部和底部、桩的顶部和地面线或一般冲刷线处最容易破坏,这些位置处的箍筋应当适当加密。本规范规定的箍筋加密区段的高度参考了美国AASHTO规范的规定。
8.4.3 空心截面墩柱潜在塑性铰区域内加密箍筋的配置,应符合下列规定:
1 应配置内外两层环形箍筋,在内外两层环形箍筋之间应配置足够的拉筋;
2 加密箍筋的配置及锚固应满足本规范第8.4.1条的规定。
Ⅱ 钢骨混凝土桥墩
8.4.4 纵向钢筋的接头和锚固、箍筋的布置和锚固应符合本规范第8.4.1条和第8.4.2条的规定。
8.4.5 钢框架的底部与混凝土的锚固及连接应保证在钢骨进入了塑性状态后,钢骨锚固和连接点仍不发生破坏。
条文说明
8.4.4、8.4.5 钢骨的锚固及连接的设计,应保证钢骨混凝土构件的抗力及变形性能。因此锚固及连接部位不应先于钢骨混凝土构件的其他部位发生破坏,连接构件也不宜出现在塑性铰部位。
8.4.6 钢管混凝土桥墩宜采用圆形截面形式。
条文说明
8.4.6 钢管混凝土桥墩为避免钢管套箍作用的削弱或丧失导致钢管混凝土抗力的衰减,应采用圆形截面形式。
Ⅲ 钢桥墩
8.4.7 矩形截面钢桥墩应符合下列规定:
1 在确定矩形截面的面板的宽厚比参数R r 、长细比参数 
及纵向加劲杆件的刚度比γ时,应确保所需要的变形性能;
2 纵向加劲肋在墩底附近底板或隔板位置不应断开,应使其贯通;
3 角部的焊接应采用完全熔透焊。
8.4.8 圆形截面钢桥墩应符合下列规定:
1 在确定圆形截面的径厚比参数R t 时,应确保其所需的变形性能;
2 圆形截面的钢管构件中应设置环形加劲肋或隔板,其最大间距应为钢管外径的3倍以下。当径厚比小于30时,可不设置环形加劲肋或隔板。
条文说明
8.4.7、8.4.8 为使钢构件具有较好的变形性能,则矩形截面护墙板的宽厚比参数Rr在加劲截面时为0.5以下、无加劲截面时为0.7以下。圆形截面最初发生局部压屈后变形会集中,由此会发生桥墩倾斜,并随着变形的进一步发展,在圆周方向会出现裂缝。为了防止此现象的发生,并保证变形性能,应设定径厚比参数的限制。为了防止圆钢管构件因剪切及扭转而发生压屈或局部变形,可以设置环形加劲板或隔板,其最大间距一般为钢管外径的3倍以下。对于径厚比R/t≤30情况,钢管的变形性能已可以得到保证,可不设置加劲构件。
8.4.9 梁柱节点应符合下列规定:
1 节点的抗力应超过梁、柱等结构的抗力;
2 应避免截面变化部位及节点处设置检查孔。
8.4.10 抗震设防地震动分档为0.10(0.15)g及以上地区的钻孔桩基础,在桩顶2.5d~3.0d(d为设计桩径)长度范围内,应加强箍筋配置。
8.4.11 支座底面应水平设置在梁底及墩台上,应保证梁与墩台间均匀传递压力。
条文说明
8.4.11 为了避免在地震作用下因支座非水平设置产生下部结构中附加或不均匀内力,也为了避免支座因受力不均匀产生局部破坏,要求支座水平设置。
8.5 抗震措施
8.5 抗震措施
8.5.1 抗震措施应符合下列规定:
1 对抗震设防地震动分档为0.05g区和0.10(0.15)g区,抗震措施应符合下列规定:
1)简支梁应采取纵向梁端连接或梁端纵向支挡;连续梁应在桥墩上横隔板位置设置纵、横向支挡,并应对横隔板作局部加强。各梁片间还应加强梁与梁间的横向连接;
2)修复困难的桥梁,墩台顶帽应适当加宽或设置消能设施;
3)宜采取合理的限位装置。
2 对抗震设防地震动分档为0.20(0.30)g区和0.40g区,抗震措施应符合下列规定:
1)对连续梁桥,宜采取对抗震有利的多墩、台共同承担地震力的措施;
2)抗震设防地震动分档为0.20(0.30)g区和0.40g区的抗震措施,除应符合本条第1款的规定外,梁桥支座尚应采取限制其竖向位移的措施;
3)抗震设防地震动分档为0.20(0.30)g区和0.40g区的高架区间结构宜采用适当的防落梁构造措施。
3 当抗震设防地震动分档为0.10(0.15)g时,对判断为液化的场地,抗震措施应符合本条第2款的规定。
条文说明
8.5.1 本条规定了抗震措施应符合的要求。
1 抗震设防地震动分档为0.05g区和抗震设防地震动分档为0.10(0.15)g区。
1)对于桥梁支座而言,纵向承受的水平地震荷载较横向大。为防止落梁,除桥梁支座的锚栓、销钉、防震板等应有足够的强度外,一般只着重采用纵向梁端连接措施和支挡设施。
2)对于高烈度区的大跨桥梁,纵向设置的消能装置,可共同承受水平地震荷载的作用,消能装置应有足够的强度。消能装置还应考虑梁因温度等变化而产生的位移影响。
3)使用横向和纵向限位装置可以实现桥梁结构的内力反应和位移反应之间的协调。一般来讲,限位装置的间隙小,内力反应增大;相反,若限位装置的间隙大,则内力反应减小,但位移反应大。横向和纵向限位装置应使内力反应和位移反应二者之间达到某种平衡;另外,纵向限位装置位移能力应与支座部分的位移能力相适应。
梁式桥横向落梁或斜桥扭转滑移落梁的例子很少,并且主要发生在高烈度区。一般震害是板梁部分旁落,桁架倾斜,其原因是桥面系整体性差或稳定性不足造成的,因此,本条规定对梁桥各片梁必须加强横向联系。
2 抗震设防地震动分档为0.20(0.30)g区和抗震设防地震动分档为0.4g区。
1)连续梁桥在强烈地震时,如每一联只在一个墩上设置固定支座,其余为活动支座,只依靠一个固定支座墩来承受整个一联上部构造所产生的水平地震荷载,在技术上比较困难,在经济上也不合理。近年修建的连续梁桥,也考虑了同时几个桥墩(台)采用板式橡胶支座作为固定支座,其余墩(台)采用滑板支座,这种办法是可行的。
2)地震的宏观现象表明,地震竖向运动的影响在极震区是很显著的。地震开始时是上、下跳动,随后是水平晃动。因此,对于9度(地震动分档为0.40g)区桥梁活动支座,为防止上部结构上抛而损坏,应采用限制竖向位移的措施。
本条的规定比现行国家标准《建筑工程抗震设防分类标准》GB 50223有所提高;对于标准设防类的抗震设防地震动分档为0.05g和抗震设防地震动分档为0.20(0.30)g区的结构,抗震措施要求有所提高;对于重点设防类和特殊设防类的抗震设防地震动分档为0.10(0.15)g区的结构,抗震措施有所提高。
8.5.2 防落梁措施应符合下列规定:
1 防落梁措施的采用,不应影响支座的正常移动;
2 防落梁措施宜根据经验或进行定量计算确定。
条文说明
8.5.2 在主要结构构件之间用挡块、螺栓连接和钢板连接等防止纵、横向落梁措施。板桥与梁桥在强烈地震时,由于地震惯性力的作用和地基变形、地基失效及岸坡滑移引起墩台变位,很可能在上、下部结构之间产生过大的相对位移而造成落梁破坏。1970年的通海地震、1975年的海城地震、1976年的唐山地震等强烈地震和2008年汶川地震,都有不少落梁破坏的实例。
9 高架车站结构
9.1 一般规定
9 高架车站结构
9.1 一般规定
9.1.1 本章适用于高架车站中非承受车辆荷载结构的抗震设计。
9.1.2 高架车站抗震构造措施宜符合下列规定:
1 当场地类别为Ⅰ类时,重点设防类车站宜按本地区抗震设防地震动分档的要求采取抗震构造措施;
2 当场地为Ⅲ、Ⅳ类时,对地震动分档为0.15g和0.30g的地区,除本规范另有规定外,宜分别按地震动分档为0.20g和0.40g时各抗震设防类别建筑的要求采取抗震构造措施。
条文说明
9.1.2 抗震构造措施不同于抗震措施。历次大地震的震害表明,同样或相近的建筑,建造于Ⅰ类场地时震害较轻,建造于Ⅲ、Ⅳ类场地时震害较重。
对Ⅰ类场地仅降低抗震构造措施,不降低抗震措施中的其他要求,如按概念设计要求的内力调整措施等。对Ⅲ、Ⅳ类场地,仅提高抗震构造措施,不提高抗震措施中的其他要求。
9.1.3 抗震设计应避免脆性破坏形式的发生。
9.2 地震反应计算
9.2 地震反应计算
9.2.1 高架车站结构的地震作用应按本规范第5章的相关规定执行。
9.2.2 高架车站结构的抗震设计计算分析方法应按本规范表3.3.1采用。
9.2.3 计算结构的地震反应时,可将基础顶面设为刚接进行计算;在整体模型中也可利用等代弹簧方法替代基础和地基的力学行为。等代弹簧应按本规范附录D确定。
9.3 抗震性能验算
9.3 抗震性能验算
9.3.1 城市轨道交通结构中高架车站结构中荷载组合应按现行国家标准《建筑抗震设计规范》GB 50011取用。
条文说明
9.3.1 高架车站从结构类型来看,基本属于建筑结构;从荷载类型来看,主要承受的还是建筑荷载。因此,本规范在非地震荷载(作用)取值、分类和抗震荷载组合中采用现行建筑抗震设计规范中的方法。但是高架车站上有列车,因此验算时要考虑列车荷载;当有列车时,顺桥方向,由于车轮的作用,地面运动的加速度很难传递到列车上,因此纵向可以不计列车产生的水平地震作用,但活载竖向力按列车竖向静活载的100%计入;活载的横向地震力,一般而言,只有地震时恰好桥上有列车通过,而地震的主要振动方向又在横向,才可能使列车活载产生最大的水平地震力,这种概率很小。考虑到列车车架上有弹簧,对横向振动有一定的消能作用,而且地震的主要振动方向不一定与横向一致,因此有横向地震作用可按列车活载的50%计算。
9.3.2 地震时可能产生液化的地层,设计时应考虑液化和不液化两种条件下的不利工况。
条文说明
9.3.2 地基发生液化时,可能减小上部结构的地震力,对结构抗震有利,但是为结构安全考虑,在高架车站结构的抗震设计中对地基液化减小地震力的有利作用不予考虑;另一方面,地基液化还可能导致上部结构过度下沉或倾斜,对上部结构产生破坏作用,因此要考虑两种条件下的不利工况。
9.3.3 当抗震性能要求为Ⅰ时,高架车站结构构件应采用下式进行截面抗震验算:

式中:γ RE ——承载力抗震修正系数,除另有规定外,应按表9.3.3采用;
S——结构构件内力组合设计值;
R——结构构件承载力设计值。
表9.3.3 承载力抗震修正系数

注:当仅计算竖向地震作用时,各类结构构件承载力抗震调整系数均宜采用1.0。
条文说明
9.3.3 对于高架车站在性能要求Ⅰ的抗震设计,主要采用了建筑结构抗震设计的方法,引入了承载力抗震调整系数。承载力抗震调整系数参考国家现行标准《建筑抗震设计规范》GB 50011、《型钢混凝土组合结构技术规程》JGJ 138、《矩形钢管混凝土结构技术规程》CECS 159等给出。
9.3.4 当抗震性能要求为Ⅰ时,钢筋混凝土高架车站的抗震性能和结构层间位移应按现行国家标准《建筑抗震设计规范》GB 50011进行计算及验算。
9.3.5 高架车站结构中预应力混凝土构件的抗震验算应按现行国家标准《建筑抗震设计规范》GB 50011进行。
条文说明
9.3.5 高架车站结构中如采用预应力混凝土结构,预应力混凝土梁应满足现行国家标准《建筑抗震设计规范》GB 50011规范中对预应力强度比,考虑受压钢筋的混凝土受压区高度和有效高度之比以及梁底和梁顶非预应力筋配筋量的比值等抗震设计要求。
9.3.6 当抗震性能要求为Ⅰ时,钢结构高架车站结构构件的抗震验算应按现行国家标准《建筑抗震设计规范》GB 50011进行。
9.3.7 当抗震性能要求为Ⅰ时,钢骨混凝土高架车站结构构件抗震验算应符合现行行业标准《型钢混凝土组合结构技术规程》JGJ 138的规定。
9.3.8 当抗震性能要求为Ⅱ和Ⅲ时,钢筋混凝土、钢结构、钢骨混凝土构件的抗震验算可按本规范第7章进行。
条文说明
9.3.8 目前现行国家标准《建筑抗震设计规范》GB 50011未采用基于性能的抗震设计方法,对于性能要求Ⅱ和Ⅲ的抗震验算,本规范按第7章的方法利用弹塑性反应谱或非线性时程分析方法进行设计。
9.3.9 钢管混凝土高架车站结构构件的抗震验算应按本规范第7章进行。
9.4 抗震构造措施
9.4 抗震构造措施
9.4.1 钢筋混凝土高架车站抗震构造措施应符合现行国家标准《混凝土结构设计规范》GB 50010规定。
9.4.2 钢结构高架车站的抗震构造措施应符合现行国家标准《建筑抗震设计规范》GB 50011的规定。
9.4.3 钢骨混凝土结构高架车站抗震构造措施应符合下列规定:
1 钢骨混凝土高架车站结构中的框架梁、框架柱和节点应符合国家现行有关标准中相应的抗震构造要求。
2 钢骨混凝土高架车站结构中梁柱节点的连接构造应简单,传力明确,便于混凝土浇捣和配筋。
9.4.4 钢管混凝土高架车站结构中,钢管混凝土柱与钢筋混凝土梁、钢梁、钢骨混凝土梁的节点连接构造,应符合下列规定:
1 梁柱节点,应使钢管和钢骨混凝土、钢筋混凝土以及钢梁部分可靠连接,并应保证混凝土的填充密实。
2 节点区布置钢筋,应避免在钢骨或钢管上开孔。
10 隧道与地下车站结构
10.1 一般规定
10 隧道与地下车站结构
10.1 一般规定
10.1.1 隧道与地下车站的地震作用应按本规范第5章的规定执行。
10.1.2 隧道与地下车站中的非地震作用取值、分类应按现行国家标准《地铁设计规范》GB 50157执行,抗震设计荷载组合应按现行国家标准《建筑抗震设计规范》GB 50011的规定执行。
条文说明
10.1.2 现行国家标准《地铁设计规范》GB 50157中仅规定了荷载的分类,荷载的组合及组合系数是参考现行国家标准《建筑抗震设计规范》GB 50011的规定。
10.1.3 进行隧道选线与地下车站选址时应绕避不良地质地段及地层;当无法避开时,应采取可靠的处理措施。遇有下述情况时,尚应按本规范第6.9节进行动力时程分析:
1 地下结构纵向的断面变化较大或在横向有结构连接;
2 地质条件沿地下结构纵向变化较大,软硬不均;
3 隧道线路存在小半径曲线。
条文说明
10.1.3 除地震动是引起结构破坏的直接原因外,场地条件恶化也是地震造成城市轨道交通区间隧道和地下车站结构破坏的次生原因。例如,地震引起地表错动与地裂,地基土不均匀沉陷、滑坡和粉、砂土液化等。因此线路的布置宜选择有利地段,避开不利地段。
当隧道结构在情况1和2下,认为隧道结构存在纵向刚度不均匀和穿越地层不均匀。这两种情况下,隧道在地震时有可能发生较大的纵向不均匀沉降,因此应进行动力时程分析,必要时尚应考虑竖向地震作用影响。
10.1.4 应采取构造措施提高结构连接处的整体抗震能力。
条文说明
10.1.4 抗震构造措施是提高E3地震作用时结构整体抗震能力、保证其实现预期设防目标、延迟结构破坏的重要手段。合理的抗震构造措施,可以充分发掘结构的潜力,在一定条件下,比单纯依靠提高设防标准来增强抗震能力更为经济合理。以往震害资料显示,地下结构主要在结构连接处发生破坏,因此,提高结构连接处的整体抗震能力,采取必要的构造措施有利于提高地下结构抗震性能。目前我国对地下建筑结构抗震设计中结构构件所采用的抗震构造措施研究还很缺乏,在实际设计中主要参照地面建筑结构的抗震构造措施进行设计。
10.1.5 当隧道所处土层中含有可液化土层时,应分析液化土层对结构受力和稳定产生的影响,设计时应考虑液化和不液化两种条件下的不利工况。
条文说明
10.1.5 地下结构在液化土体中经常遇到的一个问题是上浮。地基发生液化时,可能减小结构的地震力,对结构抗震有利,但是为结构安全考虑,在隧道结构的抗震设计中对地基液化减小地震力的有利作用不予考虑;另一方面,地基液化还可能导致结构过度下沉或倾斜,对结构产生破坏作用,因此要考虑两种条件下的不利工况。 Schmidt和Hashash(1999)研究分析了液化地层中隧道的上浮机制,即随着隧道的上升,液化土体向产生位移的隧道下方运动,进一步提升隧道。防止重量相对较轻的地下结构上浮的一种方法是通过运用防渗墙和隔离原理(图15)。防渗墙可采用板桩墙也可采用旋喷柱或石柱来改善土体。带有排水功能的板桩(SPDC)还能减小地震产生的过孔隙水压力。Tanaka等人所做振动台试验表明SPDC可以有效地防止采用普通板桩遭受损坏的结构的上浮。 
图15 防渗墙防止液化引起隧道上浮的隔离原理
1-松散的回填土;2-液化土层的流动;3-隧道上浮;4-上浮力;
5-原状土;6-排水垫层;7-石柱隔离墙;8-插入原状土;9-旋喷隔离墙
防渗墙可以抑制地下结构底部和地基中的过孔隙水压力上升。较长防渗墙的上浮要小于较短防渗墙,这表明防渗墙可有效地减小地下结构模型的上浮速度和累积竖向位移。
减轻液化引起的侧向运动在技术上唯一可行的方法是加固地基。除非危害发生的位置确定或侧向运动较小,否则无法确定地下结构的设计思想,即地下结构是抵抗该运动还是适应该运动。
防止支承隧道地基土液化的措施有:①基底土换填;②采用注浆、旋喷或深层搅拌等方法进行基底土加固,处理深度达到可液化土层的下界。
地层液化后仍使隧道保持稳定的措施有:①在隧道两侧设置防渗墙;②在隧道底部设置摩擦桩;③将围护结构嵌入非液化土层。
10.1.6 地下车站结构在平面内宜规则、对称布置,沿竖向布置不宜出现错层或局部收进等不连续形式。
10.1.7 平面不规则的地下车站,应结合车站功能要求合理设置结构变形缝,形成较规则的结构单元。
条文说明
10.1.6、10.1.7 大量震害资料表明,简单、对称的结构在地震时较不容易破坏。而且简单、对称的地下结构外力传递路径明确,容易估计结构地震时的反应,采取相应抗震构造措施和进行细部处理。
10.1.8 抗震设计应避免脆性破坏形式的发生。
10.2 隧道结构地震反应计算
10.2 隧道结构地震反应计算
10.2.1 隧道结构抗震设计应根据设防要求、场地条件、结构类型和埋深等因素按本规范第6.6节或6.7节进行隧道横向地震反应计算,必要时应按本规范第6.8节进行纵向地震反应计算。
条文说明
10.2.1 隧道地震反应计算,应根据设防要求、场地条件、结构类型和埋深等因素,选用能较好反映其地震工作性状的计算分析方法,如反应位移法、反应加速度法和时程分析法。其中,反应位移法和时程分析法可用于横向和纵向地震反应计算,反应加速度法可用于横向地震反应计算。
10.2.2 地质条件及结构形式简单的隧道结构横向抗震计算可采用反应位移法或反应加速度法。
10.2.3 周围土层均匀、断面形状标准、规则且无突变的隧道结构纵向抗震计算宜采用反应位移法。
条文说明
10.2.2、10.2.3 不同于上部结构地震反应特性,地下结构物随周边地层的振动而振动,受惯性力影响小。只要周边地基的动态能精确地预测,根据反应位移法或反应加速度法进行静力分析可以比较精确地算出反应值。因此,具有一般地层条件和结构形式的隧道,可采用反应位移法或反应加速度法进行抗震分析。
10.2.4 在地质条件、结构形式复杂的情况下,隧道结构宜考虑地基和结构的相互作用以及地基和结构的非线性动力特性,应采用时程分析法进行抗震计算。
条文说明
10.2.4 时程分析法即结构直接动力法是普遍适用的一般方法。其基本原理为:将地震运动视为一个随时间而变化的过程,并将地下结构物和周围岩土体介质视为共同受力变形的整体,通过直接输入地震加速度记录,在满足变形协调条件的前提下分别计算结构物和岩土体介质在各时刻的位移、速度、加速度,以及应变和内力,并进而验算场地的稳定性和进行结构截面设计。时程分析法具有普遍适用性,在地质条件、结构形式复杂,隧道结构宜考虑地基和结构的相互作用以及地基和结构的非线性动力特性时,应采用这一方法,且迄今尚无其他计算方法可以代替。
10.3 地下车站结构地震反应计算
10.3 地下车站结构地震反应计算
10.3.1 地下车站结构的地震反应应按本规范第6.6、6.7、6.9节和本节规定的内容进行计算。
条文说明
10.3.1 地下车站结构地震反应计算,应根据设防要求、场地条件、结构类型和埋深等因素,选用能较好反映其地震工作性状的计算分析方法,如反应位移法、反应加速度法和时程分析法。其中,反应位移法和时程分析法可用于横向和纵向地震反应计算,反应加速度法可用于横向地震反应计算。
隧道与地下车站结构的抗震设计流程一般如图16。
10.3.2 地下车站结构设计地震反应计算应符合下列规定:
1 除本规范特别规定外,地下车站结构应进行E2地震作用下的弹性内力和变形分析。结构形式不规则且具有明显薄弱部位可能导致地震时严重破坏的地下车站结构应按本规范有关规定进行E3地震作用下的弹塑性变形分析。
2 沿纵向结构形式连续、规则、横向断面构造不变的地下车站结构,可只沿横向计算水平地震作用并进行抗震验算,抗震分析时可近似按平面应变问题处理。
3 遇到下列情况之一时,地下车站结构宜按空间问题进行地震反应计算:
1)结构上部局部建有建筑物或构筑物时;
2)沿结构纵向土层分布有显著差异时;
3)沿纵向结构型式有较大变化时;
4)同时在平面和竖向两个方向结构变化较多或复杂时。
4 抗震设防地震动分档为0.20(0.30)g及以上的形状不规则的地下车站、枢纽站、采用多层框架结构的地下换乘站等宜计入地震动竖向分量。
条文说明
10.3.2 E2地震作用下的内力分析是本规范对结构地震反应截面承载力验算最基本的要求。按本规范的规定,地下结构当遭受低于本地区抗震设防地震动分档的设计地震(E2地震)影响时,性能要求为Ⅰ。与此相应,地下结构在E2地震作用下的反应分析的方法,截面抗震验算,以及层间弹性位移的验算都是以线弹性理论为基础。因此本条规定当地下车站结构进行E2地震作用下的内力和变形分析时,可假定结构与构件处于弹性工作状态。 按本规范规定:当地下结构遭受高于本地区抗震设防地震动分档的预估的E3地震影响时,性能要求为Ⅱ。特别是结构体型和抗侧力系统复杂时,将在结构的薄弱部位发生应力集中和弹塑性变形集中严重,会导致重大的破坏甚至有倒塌的危险。因此本规范提出了检验地下结构抗震薄弱部位采用非线性分析方法的要求。 
图16 隧道与地下车站结构的抗震设计流程图
考虑到非线性分析的难度较大,规范只限于对特别不规则并具有明显薄弱部位可能导致重大地震破坏,特别是有严重的变形集中可能导致地震倒塌的结构。
第4款按照构造特点及其在系统安全运营中的重要程度,对不同类型的地铁车站抗震设计提出的计算要求。枢纽站和多层换乘站等重要地铁车站需考虑水平向和竖向地震的联合作用。
10.4 抗震性能验算
10.4 抗震性能验算
10.4.1 抗震设防地震动分档为0.10(0.15)g及以上的隧道与地下车站结构,应进行结构抗震性能的验算。
条文说明
10.4.1 抗震性能验算是根据结构物的类型和地震动的等级对结构的抗震能力进行检验,地面结构抗震验算规定不对抗震设防地震动分档0.05g及以下的结构进行抗震验算,但应符合有关抗震措施的要求。地下结构的抗震性能优于地面结构,但考虑到轨道交通地下结构的重要性较高,修复困难,本规范规定对抗震设防地震动分档0.10(0.15)g及以上的地下结构进行抗震验算,抗震设防地震动分档0.10(0.15)g以下的地下结构采取构造措施处理。
10.4.2 隧道与地下车站结构进行构件性能和结构整体抗震性能验算时,应按本规范第7.7节的规定执行。
条文说明
10.4.2 根据本规范第3.2节的要求,在满足设定的结构抗震性能要求下,构件也要满足性能等级要求。因此对于地下结构应同时对结构整体和构件进行抗震性能验算。
10.5 抗震构造措施
10.5 抗震构造措施
10.5.1 隧道与地下车站结构的抗震构造措施应按现行国家标准《铁路抗震设计规范》GB 50111、《地铁设计规范》GB 50157、《混凝土结构设计规范》GB 50010和《建筑抗震设计规范》GB 50011中有关条文及本节规定执行。
条文说明
10.5.1 由于受到周围介质的约束,地下结构的抗震特性与地面结构有所不同。地下结构抗震措施应考虑不同的围岩条件和施工方法,根据其自身特点有针对性地采取抗震构造措施。然而,现阶段我国在地下车站和区间隧道等地下结构抗震设计理论方法和抗震构造措施方面尚缺乏深入系统的理论和试验研究。因此,在没有充足的科学数据支撑情况下,隧道及地铁车站结构的抗震构造措施参照相关规范中有关条文规定执行是合理可行的。这也与现阶段设计院进行地下结构设计主要参照铁路系统和地面民用建筑结构抗震要求的现状相符。
10.5.2 当按现行国家标准《建筑抗震设计规范》GB 50011进行抗震构造设计时,特殊设防类、重点设防类结构的抗震等级宜取二级,标准设防类结构的抗震等级宜取三级。
条文说明
10.5.2 本条文与现行国家标准《建筑抗震设计规范》GB 50011精神基本一致,该规范将无上部结构的部分,抗震构造措施的抗震等级可采用三级,特殊设防类、重点设防类结构按规定提高一档确定其抗震等级。因此,本规范将特殊设防类、重点设防类结构的抗震等级取为二级。
10.5.3 隧道与地下车站结构中柱式构件的设计轴压比宜符合下列规定:
1 轴压比不宜超过表10.5.3的规定;对深度超过20m的地下结构,其轴压比限制宜适当放宽。
表10.5.3 柱式构件设计轴压比限制值

注:1 轴压比指柱组合的轴压力设计值与柱的全截面面积和混凝土轴心抗压强度设计值乘积之比值。
2 表中限值适用于剪跨比大于2、混凝土强度等级不高于C60的柱;剪跨比不大于2的柱,轴压比限值应降低0.05;剪跨比小于1.5的柱,轴压比限值应专门研究并采取特殊构造措施。
2 下列情况下轴压比限值可增加0.10,箍筋的最小配箍特征值应按现行国家标准《建筑抗震设计规范》GB 50011确定:
1)沿柱全高采用井字复合箍且箍筋肢距不大于200mm、间距不大于100mm、直径不小于12mm;
2)沿柱全高采用复合螺旋箍、箍筋间距不大于100mm、箍筋肢距不大于200mm、直径不小于12mm;
3)沿柱全高采用连续复合矩形螺旋箍、螺旋净距不大于80mm、箍筋肢距不大于200mm、直径不小于10mm。
3 在柱的截面中部附加芯柱,其中另加的纵向钢筋的总面积不少于柱截面面积的0.8%,轴压比限值可增加0.05;当此项措施与第2款的措施共同采用时,轴压比限值可增加0.15,但箍筋的体积配箍率仍可按轴压比增加0.10的要求确定;
4 柱轴压比不应大于1.05。
条文说明
10.5.3 现行国家标准《建筑抗震设计规范》GB 50011规定:地下一层以下抗震构造措施的抗震等级可逐层降低一级。同时,地震震害表明,结构在地震时的破坏程度与其在土中的埋置深度有关,结构在土中的埋置深度越深,其破坏程度越小,反之,则越大。
10.5.4 埋置于软弱土层或明显上软下硬土层中的隧道与地下车站结构的抗震构造措施,当遇到下列情况之一时,应进行加强处理:
1 大断面的明挖地下结构;
2 埋置于Ⅳ~Ⅵ级围岩中的矿山法地下结构;
3 多线隧道重叠段或交叉部位;
4 结构局部外露时;
5 隧道处于性质显著不同的土层中时;
6 隧道下方的基岩变化很大时;
7 隧道处于可能液化或软黏土层以及处于易发生位移的地形条件时;
8 隧道断面急剧变化的部位。
条文说明
10.5.4 以往历史震害经验表明,在地质条件和结构刚度变化之处,地下结构极易遭受地震破坏。如1923年日本关东大地震和1978年宫城县冲地震中,遭到地震破坏的地下结构大多位于城市冲积平原与较硬的山区边界位置,即处于上软下硬土层中。1985年在墨西哥发生的米却肯地震中,工作井与隧道接合处2~3环范围内以起拱线为中心,竖井结合处环向接头5处损坏,并且管片端部也有局部缺损。对于城市轨道交通隧道结构,隧道与车站主体的连接部,通风竖井与水平通道的连接部,双线隧道的联络通道,正线的分岔处等断面急剧变化部位也是薄弱环节。因此,在以上部位应高度重视隧道与地下车站结构的抗震问题,充分研究地震的影响。
10.5.5 明挖隧道和浅埋矩形框架结构的隧道与地下车站,宜采用现浇整体钢筋混凝土结构,避免采用装配式和部分装配式结构。
条文说明
10.5.5 现浇整体钢筋混凝土框架结构中的梁板构件具有良好的延性,能承受较大的动力荷载。而对于装配式和部分装配式结构的节点是薄弱环节,应当有更高的要求。对大构件的节点应该通过钢筋的焊接,使之锚固牢靠,并作整浇处理,使得节点具有足够的强度和刚度,防止拉断和剪坏,以保证轴力、剪力的传递。但是要求节点做到与构件本身相同的强度来传递弯矩,可能有实际困难。鉴于此,在条件许可时应尽可能采用现浇整体钢筋混凝土框架结构。
10.5.6 盾构隧道应符合下列规定:
1 隧道与车站结构连接处、联络通道两侧、土层性质急剧变化处等,应设置变形缝;
2 衬砌管片环间宜采用螺栓等抗拉构造进行连接。
条文说明
10.5.6 与明挖隧道相比,盾构隧道具有大量柔性接头,在地震作用下可通过自身弯曲变形吸收地震动带来的隧道周边地基位移,减小管片内力,因此,具有较好的抗震性能。但另一方面,如果盾构隧道结构刚度太小,结构会发生较大的变形,需要充分考虑接头产生的转角和张开量,并做好充足的防水措施。传统型螺栓接头等抗拉构造非常适合抗震,而且它可以通过提高螺栓强度而不会提高接头刚度,因此适用范围较广。
10.5.7 对埋入式隧道结构,应及时向其衬砌背后压注硬化性浆液,并应保证周围介质与隧道结构的共同作用。
1 用盾构法施工的隧道,在软土层或需严格控制地面沉降的地段应进行同步注浆;
2 用矿山法施工的不良地质地段或偏压地段的隧道,及处于Ⅲ~Ⅵ级围岩中的隧道拱部应及时注浆。
条文说明
10.5.7 根据以往实践经验,隧道衬砌背后注浆能加固地层并使衬砌与围岩密贴,改善其接触条件及地震时的振动状态,减少自振的影响,提高其抗震性能。
10.5.8 对隧道跨断层的情况,宜采用柔性接头设计。
条文说明
10.5.8 跨越活动断层的区间隧道抗震研究是地下工程抗震的一个难题。迄今为止,隧道抗震设计中尚未能考虑断层剪切位移量对隧道结构的影响;另一方面,1978年日本伊豆大岛近海地震中破坏的稻取隧道和2004年日本新潟中越地震中受灾的国铁隧道、鱼沼隧道和妙见隧道等,在直接受到地震断层活动影响而发生的山岭隧道受灾实例表明,断层错位对于隧道横向和纵向都有产生强烈冲击和挤压的可能。目前有四种设计理念用于减小地震对穿越断层隧道结构的破坏:加固围岩,设置减震层,超挖设计,设置柔性接头;其中设置柔性接头一方面可以适应断层的地震变形,另一方面可以使地震破坏局部化,避免结构发生整体破坏,并且已有工程应用实例。因此,宜采用柔性设计,尽可能降低超额应力对隧道承载力的影响。
10.5.9 地下车站的抗震构造措施,应符合下列规定:
1 地下框架结构的中柱宜采用延性性能良好的钢管混凝土柱;当采用钢筋混凝土柱时,其轴压比和箍筋的配置应符合本节规定及现行国家标准《建筑抗震设计规范》GB 50011的相关规定。
2 当地下车站采用装配式结构时,接缝的连接措施应具有整体性和连续性。
条文说明
10.5.9 1995年日本阪神地震中,大开地铁站和止泽地铁站建筑震害情况表明,对于框架式钢筋混凝土地下建筑,钢筋混凝土中柱是结构的薄弱环节。在此次地震中,很多中柱损坏严重,混凝土保护层开裂脱落,纵向钢筋弯曲外凸,箍筋接头开脱。一半以上中柱甚至完全丧失了承载能力,导致顶板弯折坍塌、上覆土层沉陷,最大沉陷量达2.5m。而钢管混凝土中柱基本上没有出现损害现象。有鉴于此,建议地下结构宜采用现浇结构;需要设置部分装配式构件时,应使其与周围构件有可靠的连接。
附录A支座的恢复力模型
附录A 支座的恢复力模型
A.0.1 盆式支座、球形支座在固定方向,可简化为约束或根据产品力学特性确定线性刚度[图A.0.1(a)];在可滑动方向,可简化为刚塑性本构模型[图A.0.1(b)],滑动力可按下式计算:

式中:F s ——滑动力(kN);
μ f ——动摩擦系数;
N——支座承担的恒载(kN)。

图A.0.1 盆式支座、球形支座恢复力模型
F-水平力;u-水平变形
A.0.2 板式橡胶支座可简化为线性弹簧(图A.0.2),其刚度可按下式计算:

式中:k H ——板式橡胶支座的剪切刚度(kN/m);
A——板式橡胶支座的剪切面积(m 2 );
G——板式橡胶支座的动剪切模量(kN/m 2 );
∑t e ——橡胶层的总厚度(m)。

图A.0.2 板式橡胶支座线性恢复力模型
A.0.3 具有滑动面的板式橡胶支座,可按本规范A.0.1建立刚塑性本构模型。
A.0.4 铅芯橡胶支座、高阻尼橡胶支座等可根据产品说明中提供的初始刚度k 1 和二次刚度k 2 建立双线性本构模型(图A.0.4)。

图A.0.4铅芯橡胶支座、高阻尼橡胶支座的非线性本构模型和等效线性刚度
k 1 、k 2 -隔震支座初始刚度和二次刚度;Q y -隔震支座屈服荷载;
Q d -位移为0时的荷载;u y 、u Be -隔震支座屈服位移和有效设计位移
附录B基于集中参数模型的静力与动力分析方法
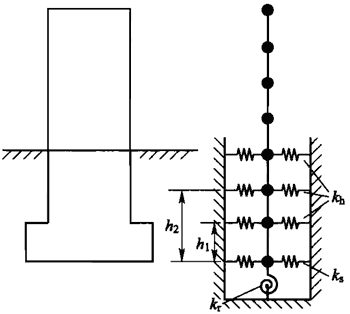
B.1桩基础集中参数建模方法
附录B 基于集中参数模型的静力与动力分析方法
B.1 桩基础集中参数建模方法
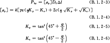
B.1.1 土与桩基础静力相互作用建模的集中参数法(图B.1.1-1)中非线性土弹簧可采用理想弹塑性本构模型(图B.1.1-2);地基反力上限值可按表B.1.1规定确定。

图B.1.1-1 桩基础集中参数模型示意图
1-简化为梁单元模拟;2-桥墩;3-承台;4-桩;k v-桩尖竖向地
基弹簧初始刚度;k sv -桩周竖向地基弹簧初始刚度;k h -桩侧水平地基弹
簧初始刚度;k hf -承台侧面水平地基弹簧初始刚度
表B.1.1 地基反力的上限值


图B.1.1-2 桩土相互作用地基弹簧模型
1-桩压入;2-桩拔出;P h -水平地基反力;P hy -水平地基反力上限;
u h -水平地基变形;P v -桩尖竖向地基反力;P vy -桩尖竖向地基反力上限;
u v -桩尖竖向地基变形;P sv -桩周竖向地基反力;
P svy -桩周竖向地基反力上限值;u sv -桩周竖向地基变形
B.1.2 桩侧水平地基弹簧计算应符合下列规定:
1 桩侧水平地基弹簧初始刚度应按下式计算:

式中:k h ——桩侧水平地基弹簧初始刚度(kN/m);
K h ——桩侧水平基床系数(kN/m 3 ),取计算位置的基床系数K,包含由于基础尺寸效应而对基本基床系数的修正,根据现行国家标准《地下铁道、轻轨交通岩土工程勘察规范》GB 50307规定的方法确定;
△l——水平弹簧刚度计算范围内桩的长度(m);
D——桩的直径或宽度(m)。
2 当水平地震作用方向所在竖直面内有n根桩时,初始刚度k h 应乘以桩构件相互影响系数k,并应按下式计算:

式中:L 0 ——桩在水平地震作用方向所在竖直面内的净距(m);
h 0 ——桩构件埋入地面或局部冲刷线以下的计算深度(m),h 0 =3(D+1);
x n ——与桩构件数目有关的水平地基刚度调整系数,可按表B.1.2-1取值。
表B.1.2-1 水平地基刚度调整系数x n

3 水平地基反力上限值,应按下列公式计算:

式中:D 0 ——桩构件侧面土抗力的计算宽度(m),可按表B.1.2-2取值;
[σ p ]——桩侧水平地基压应力(kPa);
z——计算位置的深度(m);
γ——土的容重(有水时考虑水浮力)(kN/m 3 );
c——土的黏聚力(kPa);
k——桩构件相互影响系数;
K p ——被动土压力系数;
K a ——主动土压力系数;
φ——土的内摩擦角;
η——系数,η=D 0 /D。
表B.1.2-2 桩构件侧面土抗力的计算宽度D 0

B.1.3 桩尖竖向地基弹簧计算应符合下列规定:
1 桩尖竖向地基弹簧初始刚度应按下式计算:

式中:k v ——桩尖竖向地基弹簧初始刚度(kN/m);
K v ——桩尖竖向基床系数(kN/m 3 ),取计算位置的基床系数K,根据现行国家标准《地下铁道、轻轨交通岩土工程勘察规范》GB 50307规定的方法确定;
A v ——桩尖面积(m 2 )。
2 桩尖承载力上限值,应按现行行业标准《铁路桥涵地基与基础设计规范》TB 10002.5计算。
3 当桩尖土受拉时,不计其地基反力。
B.1.4 桩周竖向地基弹簧计算应符合下列规定:
1 桩周竖向地基弹簧初始刚度应按下列公式计算:

式中:k sv ——桩周竖向地基弹簧初始刚度(kN/m);
K sv ——桩周竖向基床系数(kN/m 3 );
△l——桩周竖向基床系数计算范围内桩的长度(m);
U——桩截面周长(m)。
2 桩周承载力上限值应按现行行业标准《铁路桥涵地基与基础设计规范》TB 10002.5计算。
3 桩顶(或局部冲刷线)以下计算桩土分离段长度以内不宜设置桩周竖向地基弹簧,计算桩土分离段长度应按下式计算:

式中:h s ——计算桩土分离段长度(m);
D——桩径或宽度(m);
EI——桩的抗弯刚度(kN·m 2 )。
B.1.5 承台侧面的水平地基弹簧初始刚度可按下式计算:

式中:k hf ——承台正面的水平地基弹簧初始刚度(kN/m);
A f ——承台正面的面积(m 2 )。
B.1.6 桩的非线性特性应采用计入轴力影响的弯矩-曲率关系描述,并应按一般的钢筋混凝土构件或钢构件计算。
B.2扩大基础集中参数建模方法
B.2 扩大基础集中参数建模方法
B.2.1 当确定土与扩大基础静力相互作用模型(图B.2.1-1)时,应计入基础及地基土中的墩身部分水平地基反力、基础底面剪切反力和基础底面的抵抗弯矩,并应分别采用非线性弹簧模拟(图B.2.1-2)。

图B.2.1-1 扩大基础集中参数模型示意图
k h -侧面水平弹簧地基弹簧初始刚度;k s -基底剪切弹簧地基弹簧初始刚度;
k r -基底转动弹簧地基弹簧初始刚度

图B.2.1-2 非线性地基弹簧模型
P h -水平地基反力;u h -水平地基变形;P hy -水平地基反力上限;
u hy -水平地基屈服变形;P s -基底剪切反力;u s -基底地基剪切变形;
P sy -基底剪切反力上限;u sy -基底地基剪切屈服变形;M-基底抵抗弯矩;
θ-基底地基转角;M 1 -基底提离弯矩;θ 1 -基底地基提离转角;
M 2 -基底抵抗弯矩上限;θ 2 -基底地基屈服转角
B.2.2 水平地基弹簧计算可符合下列规定:
1 地基土中墩身(或基础)水平地基弹簧刚度可按下式计算:

式中:k h ——墩身(或基础)水平地基弹簧初始刚度(kN/m);
A h ——计算范围内墩身(或基础)正面受土压计算面积(m 2 )。
2 水平地基反力上限值,可按下列公式计算:

式中:b 0 ——水平弹簧刚度计算范围内基础侧面土抗力的计算宽度(m),按现行行业标准《铁路桥涵地基与基础设计规范》TB 10002.5计算;
△l——水平弹簧计算范围的高度(m);
[σ p ]——基础侧面水平地基压应力强度(kPa);
η——系数,η=b 0 /b;
b——垂直于荷载作用方向的基础水平宽度(m)。
B.2.3 基底剪切弹簧计算可符合下列规定:
1 基底剪切弹簧初始刚度k s 可按下列公式计算:


式中:k s ——基底剪切弹簧初始刚度(kN/m);
K s ——剪切基床系数(kN/m 3 );
A v ——基础底面面积(m 2 );
K v ——基底竖向基床系数,取计算位置处的基床系数K(kN/m 3 )。
2 基底最大剪切抗力P sy 可按下式计算:

式中:P sy ——基底最大剪切抗力(kN);
V d ——基底竖向荷载(kN);
μ——基底摩擦系数,由地质勘察报告提供,或按表B.2.3取值。
表B.2.3 基底摩擦系数

B.2.4 基底转动弹簧计算可符合下列规定:
1 基底转动弹簧刚度计算可按下列规定:
1)转动弹簧第一段折线刚度k r 可按下式计算:

式中:k r ——转动弹簧第一段折线刚度(kN·m/rad);
I y ——基底截面惯性矩(m 4 )。
2)转动弹簧第二段折线刚度可按下式计算:

3)转动弹簧第三段折线刚度应取0。
2 基础界限弯矩计算。
1)扩大基础的提离界限弯矩M 1 可按下式计算:

式中:M 1 ——提离界限弯矩(kN·m);
V d ——基础底面的竖向荷载(kN);
B——水平荷载作用方向的基础宽度(m)。
2)基础最大抵抗弯矩M 2 可按下式计算:

式中:M 2 ——基础最大抵抗弯矩(kN·m);
L——与水平荷载作用方向垂直的基础宽度(m);
σ d ——修正后的地基极限承载力(kPa),根据现行行业标准《铁路桥涵地基与基础设计规范》TB 10002.5规定的基本承载力,按表B.2.4进行地震作用下的修正后得到。
表B.2.4 各类土和岩石地基地震作用下极限承载力建议值[σ d ]

注:[σ 0 ]为地基土基本承载力。
B.3静力非线性分析
B.3 静力非线性分析
B.3.1 桩基础和扩大基础静力非线性分析,应采用本规范B.1节和B.2节中的集中参数模型。
B.3.2 应基于集中参数模型的第一振型模式,按惯性质量的分布特征施加荷载。
B.3.3 结构等效屈服点应取桥墩与基础首先达到的屈服点,并应符合下列规定:
1 桥墩的屈服点,应取本规范附录G中的屈服点。
2 基础的屈服点,对桩基础,应根据表8.3.3所示3个条件任一首先达到的状态确定;对扩大基础,应按本规范B.2节中的扩大基础提离界限弯矩对应的状态确定。
表B.3.3 桩基础的整体屈服点

3 结构等效刚度(图B.3.3)应按下式计算:

式中:F eq ——结构整体屈服点对应的水平荷载(kN);
d eq ——结构整体屈服点对应的水平位移(m)。

图B.3.3 静力非线性分析中等效刚度的计算
B.4动力非线性分析
B.4 动力非线性分析
B.4.1 具有复杂地质条件或特殊结构物,宜采用结构-基础-地基整体模型计算地震反应。
B.4.2 可采用等效阻尼器描述地震波的辐射效应。
B.4.3 结构-桩基础-地基整体动力分析可按下列规定建立计算模型:
1 桩土相互作用弹簧,可采用本规范B.1中的地基弹簧,可不计入土体附加惯性质量;
2 当进行非线性动力分析时,桩土相互作用弹簧的动力本构模型应合理反映桩土之间的非线性动力相互作用;
3 一致地震动输入下,可采用类型Ⅰ集中参数计算模型(图B.4.3-1)。

图B.4.3-1 一致地震动输入下的类型Ⅰ集中参数计算模型
1-上部结构;2-桥墩;3-桩节点;4-承台;5-单点输入边界;
6-桩土相互作用弹簧与阻尼器;7-地震动输入
注:实际应设置双侧水平弹簧和阻尼器,为简明起见,本图仅在一侧标注
4 非一致地震动输入下,可采用类型Ⅱ集中参数计算模型(图B.4.3-2)。

图B.4.3-2 非一致地震动输入下的类型Ⅱ集中参数计算模型
1-上部结构;2-桥墩;3-桩节点;4-承台;5-多点输入边界;
6-基岩地震动;7-自由场土体
注:实际应设置双侧水平弹簧和阻尼器,为简明起见,本图仅在一侧标注
B.4.4 结构-扩大基础-地基整体动力分析模型应符合下列规定:
1 非线性动力分析模型(图B.4.4-1)中,基础与土相互作用弹簧可采用本规范B.2节中的地基弹簧,其中水平地基弹簧和基底剪切弹簧取为线性弹簧。
2 基底转动弹簧(图B.4.4-2)宜符合下列滞回规则:
1)自原点起单调加载时,沿骨架曲线进行;
2)卸载时,路径指向原点;在卸载路径上再加载时,沿卸载路径反向进行;再加载至骨架曲线后,沿骨架曲线加载;
3)卸载至原点后,自原点再反向加载时,均沿骨架曲线进行。
4)刚度k 3 采用k 1 /20。

图B.4.4-1 扩大基础动力非线性分析模型
1-水平地基弹簧和阻尼器;2-基底剪切地基弹簧和阻尼器;
3-基底转动地基弹簧和阻尼器

图B.4.4-2 扩大基础基底转动弹簧恢复力模型
k 1 ,k 2 ,k 3 -分段刚度
附录C多点输入反应谱组合系数的计算方法
附录C 多点输入反应谱组合系数的计算方法
C.0.1 多点地震动输入下,应采用分解位移法,结构反应最大值的平均值可按下式计算:

式中:R r ——第r地震动输入下的结构拟静力反应;
R s ——第s地震动输入下的结构拟静力反应;
R ir ——第r地震动输入下第i振型的动力反应;
R js ——第s地震动输入下第i振型的动力反应。
C.0.2 组合系数,可按下列公式计算:

式中:ρ grgs ——结构拟静力反应组合系数;
ρ grjs ——拟静力与动力耦合反应组合系数;
ρ irjs ——动力反应组合系数。
C.0.3 结构反应矩可按下列公式计算:


式中:λ grgs ——拟静力反应矩(m);
λ grjs ——拟静力与动力耦合反应(m);
λ irjs ——动力反应(m);
Re——复数的实部;
H j (ω)——第j振型的稳态频率响应函数,按本规范C.0.4条的规定计算;
H * i (ω)——第i振型的稳态频率响应函数的共轭函数;
S A grgs (ω)——地震动加速度互功率谱密度函数,按本规范C.0.5条的规定计算。
C.0.4 第j振型的稳态频率响应函数可按下式计算:

式中:ω j ——第j振型的圆频率;
ξ j ——第j振型的模态阻尼比。
C.0.5 地震动加速度互功率谱密度函数可按下式计算:

式中:ω f 、ξ f ——自功率谱模型参数,按表C.0.5取值;
ρ 1 、ρ 2 、q——相干函数模型参数,按表C.0.5取值;
d rs ——空间r点和s点间的水平空间距离(m);
θ——地震波传播方向与r至s连线方向的夹角(rad);
V app ——地震动水平视波速(m/s)。
表C.0.5 计算ρ grgs 、ρ grjs 、和ρ irjs 的地震动参数取值

C.0.6 地震动水平视波速V app 宜符合下列规定:
1 可通过对工程场地所处具体地震环境的评价确定其取值;
2 当无可靠依据时,可取1000m/s或取对结构反应最不利的视波速;
3 视波速的取值不宜小于1000m/s。
附录D动力分析中基础的等代弹簧法
D.1桩基础等代弹簧
附录D 动力分析中基础的等代弹簧法
D.1 桩基础等代弹簧
D.1.1 桩基础宜采用水平弹簧、竖向弹簧和转动弹簧(图D.1.1)进行等代,对简支梁桥等静定结构可将竖向弹簧简化为约束。

图D.1.1 桩基础采用等代弹簧建立单墩模型
1-上部结构集中质量;2-桥墩;3-承台;4-转动弹簧与阻尼器;5-水平弹簧与阻尼器;6-竖向弹簧与阻尼器
D.1.2 水平弹簧、转动弹簧的本构关系(图D.1.2)可分别采用折线形式表达,并应符合下列规定:
1 等代弹簧恢复力模型骨架曲线,应根据本规范第B.3节所得基础整体力-位移关系和弯矩-转角关系确定。弹簧的屈服位移(转角)以及对应的力(弯矩)应根据本规范表B.3.3的规定确定;极限位移(转角)以及对应的力(弯矩)应根据本规范表7.4.1-2的规定确定。
2 对桥墩先于基础屈服的情况,基础等代弹簧应采用线性刚度,并应根据桥墩屈服时基础的力(弯矩)和位移(转角)确定其线性刚度值。
3 等代弹簧的滞回关系应根据基础构件及地基的特性确定。

图D.1.2 弹簧本构关系
F-水平力;δ-水平位移;M-弯矩;θ-转角;F y -屈服点的水平力;
F u -极限点的水平力;δ y -屈服点的水平位移;δ u -极限点的水平位移;
M y -屈服点的弯矩;F u -极限点的弯矩;θ y -屈服点的转角;θ u -极限点的转角
D.1.3 动力分析中基础的竖向等代弹簧刚度,可按本规范第B.1节中的竖向弹簧取初始刚度,根据桩基础顶面竖向力-位移关系确定,取线性刚度。
D.1.4 等代阻尼器的阻尼系数,宜按下式计算:

式中:C 0 ——按全结构瑞利阻尼假定确定的等代阻尼器的阻尼系数;
α——地震波辐射效应产生能量耗散的等效阻尼调整系数,取1.1~1.2。
D.2扩大基础等代弹簧
D.2 扩大基础等代弹簧
D.2.1 当采用等代弹簧进行动力非线性分析时,扩大基础的等代弹簧应按本规范第D.1节规定设置,并应符合下列规定:
1 基础可假设为刚体,并应计入集中质量计算范围内构件的转动惯性质量。
2 弹簧的骨架曲线应符合下列规定:
1)转动弹簧应采用三线性弯矩-转角关系模型;
2)水平弹簧应采用线性模型,且应取墩身和基脚正面的水平地基弹簧和基底剪切弹簧的组合刚度。
3 转动弹簧宜采用原点指向型恢复力模型。
4 阻尼器的阻尼系数宜根据本规范第D.1.4条确定。
附录E反应位移法中土层位移的简单确定方法
附录E 反应位移法中土层位移的简单确定方法
E.0.1 埋于土层中的隧道与地下车站沿土层深度方向的土层位移的同一时刻的值(图E.0.1)可按下式计算:

图E.0.1 土层位移沿深度变化规律
1-地表面;2-设计地震作用基准面;u max -场地地表最大位移,取值按表5.2.4-1,其调整系数按表5.2.4-2;H-设计地震作用基准面的深度
E.0.2 隧道与地下车站抗震设计中,土层的水平峰值位移沿深度变化(图E.0.2)应采用直线规律表达,地表下50m及其以下部分的峰值位移可取地表的1/2,不足50m处的峰值位移应按深度作线性插值确定。沿与隧道延长方向垂直的水平方向土层水平位移的同一时刻的值可按下列公式计算:


式中:u(x,z)——坐标(x,z)处地震时的土层水平位移(m);
u max (z)——地震时深度Z处土层的水平峰值位移(m);
L——土层变形的波长,即强迫位移的波长(m);
L 1 ——表面土层变形的波长(m);
L 2 ——基岩变形的波长(m);
V SD ——表面土层的平均剪切波速(m/s);
V SDB ——基岩的平均剪切波速(m/s);
T s ——考虑土层地震应变水平的土层场地特征周期(s)。

图E.0.2 土层的水平峰值位移沿深度变化规律
1-地表面
附录F钢筋和钢骨混凝土构件抗剪能力计算方法
F.1柱式构件的抗剪能力
附录F 钢筋和钢骨混凝土构件抗剪能力计算方法
F.1 柱式构件的抗剪能力
F.1.1 钢筋和钢骨混凝土构件的计算应符合下列规定:
1 应根据下列公式进行抗剪验算:

式中:V yd ——构件设计剪切抗力(kN);
V 0 ——剪力需求(kN);
V cd ——混凝土的设计剪切抗力(kN);
V wd ——钢筋的设计剪切抗力(kN);
V sd ——钢骨的设计剪切抗力(kN);
A g ——构件横截面的毛截面积(m 2 );
v c ——横截面单位面积混凝土提供的抗剪能力(kPa);
A e ——构件横截面的等效截面积(m 2 )。
2 v c 应按下式计算,且当构件荷载组合后轴力为拉力时,v c 取零值。

式中:f' c ——混凝土抗压强度标准值(MPa);
c——混凝土抗剪能力系数。
3 抗剪能力系数c取值应符合下列规定:
1)对圆形柱,采用螺旋或环形箍筋时:


式中:A sp ——螺旋或环形箍筋的横截面积(m 2 );
D'——自箍筋环中心线量取的箍筋环直径(m);
s——箍筋间距(m);
f sd ——箍筋的抗拉强度设计值(MPa);
ρ s ——螺旋或环形箍筋体积配箍率;
μ θ ——构件的需求转角延性系数,对构件非塑性铰区,取1.0;
θ——构件的需求转角(rad);
θ y ——构件的屈服转角(rad);
L——塑性铰区构件端部截面至相邻构件反弯点之间的距离(m)。
2)对矩形柱,当采用矩形箍筋时,抗剪能力系数应按下列公式计算:

式中:ρ w ——矩形箍筋在计算方向的体积配箍率;
A v ——计算方向箍筋的总截面积(m 2 );
n——箍筋间距s内,计算方向箍筋的总数量;
b——矩形构件截面宽度(m)。
4 钢筋的设计剪切抗力应按下列规定计算:
1)对圆形柱,采用螺旋或环形箍筋,箍筋提供的剪切抗力应按下式计算:

式中:n——独立的箍筋环数量。
2)对矩形柱,采用矩形箍筋,箍筋提供的剪切抗力应按下式计算:

式中:d——计算方向上截面有效剪切高度,为自受压区边缘到受拉钢筋合力作用点的距离(m)。
5 钢骨的设计剪切抗力应按下式计算:

式中:f sd ——钢骨的屈服强度(MPa);
D——钢骨的腹板高度(m);
t w ——腹板厚度(m)。
F.2板构件的抗剪能力
F.2 板构件的抗剪能力
F.2.1 当钢筋混凝土板构件在较弱方向(面外)受力时,应按墩柱计算剪切抗力和弯曲能力,且符合本规范附录F.1节的规定。
F.2.2 当钢筋混凝土板构件在较强方向受力时,应按下列公式验算抗剪能力:

式中:V yd ——设计剪切抗力(kN);
V o ——剪力需求(kN);
f' c ——混凝土抗压强度标准值(MPa);
f sd ——箍筋的抗拉强度设计值(MPa);
ρ h ——构件在剪力计算方向上的体积配箍率;
A v ——计算方向箍筋的总截面积(m 2 );
A g ——构件横截面的毛截面积(m 2 );
A e ——构件横截面的等效截面积(m 2 );
b——矩形构件与剪力计算方向垂直的截面宽度(m);
s——箍筋间距(m)。
附录G构件变形能力计算方法
G.1钢筋和钢骨混凝土构件变形能力计算方法
附录G 构件变形能力计算方法
G.1 钢筋和钢骨混凝土构件变形能力计算方法
G.1.1 钢筋混凝土和钢骨混凝土构件的弯曲变形能力,应基于材料的标准强度,根据截面的弯矩-曲率(M- 
)分析得出,截面弯矩-曲率曲线等效为理想弹塑性折线形式(图G.1.1)。截面弯矩-曲率分析中所用轴向力,应根据地震时可能存在的荷载作用进行内力组合得到。

图G.1.1 钢筋混凝土和钢骨混凝土构件截面弯矩-曲率关系
1-混凝土开裂;2-受拉钢筋首次屈服;3-截面等效屈服点;
4-极限变形点;M' y -第一根钢筋屈服弯矩;M y -等效屈服弯矩;
M u -极限弯矩; 
' y -第一根钢筋屈服曲率; 
y -等效屈服曲率; 
u -极限曲率
G.1.2 在截面的弯矩-曲率关系(图G.1.1)中,弹性段应通过M- 
曲线上表征第一根钢筋屈服的点( 
' y ,M' y )。在该屈服点之后,应按Ⅰ区和Ⅱ区面积相等的原则确定等效屈服弯矩M y 和等效屈服曲率 
y ,且应符合下列规定:
1 截面等效屈服点对应的构件塑性铰区转角,由塑性铰区各截面曲率沿塑性铰区长度积分得出。对自由端受横向集中力的悬臂柱构件[图G.1.2-1(a)],可按下式简化计算:

式中:θ y ——塑性铰区转角(rad);
L p ——塑性铰区长度(m),L p =1.0D,D取水平力作用方向截面高度(m)。

图G.1.2-1 钢筋混凝土和钢骨混凝土构件简化曲率分布
2 截面极限变形点对应的构件塑性铰区转角应按下式计算:

G.1.3 钢筋混凝土和钢骨混凝土构件变形能力计算应采用约束混凝土应力-应变(图G.1.3)。

图G.1.3 混凝土应力-应变关系
1-约束混凝土;2-无约束混凝土;f c -混凝土应力;ε c -混凝土应变;
f' cc -约束混凝土抗压强度;ε cu -约束混凝土极限应变;
ε cc -约束混凝土抗压强度对应的应变;
E sec -约束混凝土抗压强度对应的割线弹性模量;
f' c -混凝土抗压强度标准值;ε° cu -无约束混凝土极限应变;
ε° cc -抗压强度标准值对应的应变;E c -混凝土弹性模量
G.1.4 约束混凝土应力-应变关系可由下列公式确定:

式中:ε——混凝土应变;
f c ——混凝土应力(MPa);
E c ——弹性模量(MPa);
ε cc ——约束混凝土抗压强度对应的应变;
f' c ——混凝土抗压强度标准值(MPa);
f' cc ——约束混凝土抗压强度,可取1.25倍的混凝土抗压强度标准值(MPa)。
G.1.5 混凝土极限压应变,可按下式计算:

式中:ρ s ——箍筋的体积配箍率,ρ s =ρ x +ρ y ;
ρ x 、ρ y ——箍筋沿截面两个主轴的体积配箍率;
f kh ——箍筋抗拉强度标准值(MPa);
ε R su ——箍筋的折减极限应变,取0.09。
G.1.6 钢筋应力-应变关系可采用双线性应力-应变关系模型(图G.1.6)。

图G.1.6 钢筋双线性应力-应变关系模型
1-钢筋受拉;2-钢筋受压
G.1.7 钢筋材料应力-应变关系应按下列公式确定:

式中:ε——钢材应变;
σ——钢材应力(MPa);
f sy ——钢材抗拉强度标准值(MPa);
ε sy ——屈服应变;
E s ——弹性模量(MPa)。
G.1.8 保护层混凝土可采用无约束混凝土应力-应变关系(本规范图G.1.3),并应按下列公式计算:


式中:ε——混凝土应变;
f c ——混凝土应力(MPa);
E c ——混凝土弹性模量(MPa);
f' c ——混凝土抗压强度标准值(MPa);
ε° cc ——混凝土抗压强度标准值对应的应变,取0.002;
ε° cu ——无约束混凝土极限压应变,取0.0035;
ε° sp ——无约束混凝土剥落压应变,取0.005;
f° cu ——混凝土达到极限压应变ε°cu时的应力(MPa);
f° sp ——混凝土剥落后应力,取0。
G.2钢管混凝土构件变形能力计算方法
G.2 钢管混凝土构件变形能力计算方法
G.2.1 钢管混凝土构件的弯矩-转角关系中塑性铰区转角应按本规范第G.1.2条规定计算。
G.2.2 钢管混凝土构件的弯矩-转角关系计算中,钢材应力-应变可采用双线性本构关系模型(图G.2.2-1),混凝土应力-应变可采用曲线-折线本构关系模型(图G.2.2-2),钢材受压容许应变ε a 可按下式计算:

式中:ε a ——钢材受压容许应变;
ε sy ——钢材屈服应变;
f sy ——钢材屈服强度标准值(MPa);
E s ——钢材弹性模量(MPa)。

图G.2.2-1 钢材双线性应力-应变关系模型
1-钢材受拉;2-钢材受压

图G.2.2-2 混凝土应力-应变关系
f c -混凝土应力;ε c -混凝土应变;
f' c -混凝土抗压强度标准值;ε 0 -混凝土应变等于0.002
G.2.3 钢材受压容许应变ε a 的确定宜符合下列规定:
1 相对宽厚比宜满足下式要求:

式中:R t ——相对宽厚比;
R——钢管厚度中心处的截面半径(mm);
t——钢管壁厚(mm);
f sy ——钢材屈服强度(MPa);
E——钢材杨氏弹性模量(MPa);
v——钢材泊松比,取0.3。
2 相对长细比宜满足下式要求:

式中: 
——相对长细比;
l 0 ——轴心受压杆件的计算长度(m),对边界条件简单的等截面杆件,可按照表G.2.3计算,对边界条件复杂或变截面杆件,可采用有限元方法确定;
r——截面回转半径(m)。
表G.2.3 杆件的计算长度

注:L为杆件有效约束间,或有效约束与自由端之间的长度。
3 轴向压力宜满足下式要求:

式中:N——轴向压力(N);
N y ——不包含填充混凝土的全截面屈服轴力(N),N y =f sy A;
A——截面面积(mm 2 )。
G.2.4 钢管混凝土截面弯矩-曲率(图G.2.4)宜采用双线性模型表征。Y点宜取以下两状态首先达到的状态点:受压侧钢管板厚中心处首次达到受压屈服应变或受拉侧钢管板厚中心处首次达到受压屈服应变。A点宜取受压侧最外缘钢管板厚中心处达到受压容许应变ε a 对应的状态点。

图G.2.4 钢管混凝土构件截面弯矩-曲率关系
M y -钢管屈服弯矩;M a -钢管容许应变点弯矩;

y -钢管屈服曲率; 
a -钢管容许应变点曲率
G.2.5 钢管混凝土构件截面在非线性时程分析中宜采用动力强化恢复力模型(图G.2.5)。

图G.2.5 钢管混凝土构件截面弯矩-曲率恢复力模型
G.3钢构件变形能力计算方法
G.3 钢构件变形能力计算方法
G.3.1 钢构件的弯曲变形能力,应基于材料的标准强度,根据截面的弯矩-曲率(M- 
)分析得出,构件塑性铰区转角应按本规范第G.1.2条规定计算。
G.3.2 钢构件变形能力计算中,钢材料应力-应变应采用双线性本构关系模型(图G.2.1),其中,钢材受压容许应变ε a 应按下列公式计算:

式中:R t ——圆形截面相对宽厚比;
R F ——矩形截面加劲肋之间钢截面相对宽厚比;
R R ——矩形截面计算相对宽厚比;
b——加劲肋之间钢截面板宽(mm);
t——加劲肋之间钢截面板厚(mm);
v——泊松比;
k F ——弹性屈曲系数,无加劲肋截面k F =4,有加劲肋截面k F =4n 2 ;
n——被纵向加劲肋所分割的区域数。
G.3.3 对矩形截面,钢材受压容许应变ε a 的确定应符合下列规定。
1 相对宽厚比应满足下列要求:

2 相对长细比应满足下式要求:

式中:λ——相对长细比,应按(G.2.3-3)式计算。
3 轴向压力应满足下式要求:

式中:N——轴向压力(N);
N y ——全截面屈服轴力(N),N y =f sy A;
A——截面面积(mm 2 )。
4 刚度比应满足下列要求:

式中:γ——纵向加劲肋和翼缘板的刚度比;
γ * ——根据线性屈曲理论算得的临界刚度比;
I s ——一条纵向加劲肋的截面二次矩(m 4 ),计算轴为纵向加劲肋与板的交界线;
δ——单根加劲肋的截面面积与被加劲板的面积之比δ=A 1 /bt;
α——加劲板的长宽比α=a/b;
a——加劲板的长度(横隔板或刚性横向加劲肋的间距);
b——加劲板的宽(腹板或刚性纵向加劲肋的间距);
t——加劲板的厚度;
α 0 ——临界长宽比;
n——被纵向加劲肋所分割的区域数。
G.3.4 对圆形截面,钢材受压容许应变ε a 的确定宜符合下列规定:
1 相对宽厚比应满足下式要求:

式中:R t ——相对宽厚比,应按本规范(G.2.3-2)式计算。
2 相对长细比应满足下式要求:

式中: 
——相对长细比,应按本规范(G.2.3-3)式计算。
3 轴向压力应满足下式要求:

式中:N——轴向压力(N);
N y ——全截面屈服轴力(N),N y =f sy A;
A——截面面积(mm 2 )。
G.3.5 钢构件截面弯矩-曲率关系宜采用双线性模型(本规范图G.2.4)。Y点宜取外缘钢管板厚中心处首次达到屈服应变对应的状态点。A点宜取受压侧最外缘钢管板厚中心处达到受压容许应变ε a 对应的状态点。
本规范用词说明
本规范用词说明
1 为便于在执行本规范条文时区别对待,对要求严格程度不同的用词说明如下:
1)表示很严格,非这样做不可的:
正面词采用“必须”,反面词采用“严禁”;
2)表示严格,在正常情况下均应这样做的:
正面词采用“应”,反面词采用“不应”或“不得”;
3)表示允许稍有选择,在条件许可时首先应这样做的:
正面词采用“宜”,反面词采用“不宜”;
4)表示有选择,在一定条件下可以这样做的,采用“可”。
2 条文中指明应按其他有关标准执行的写法为:“应符合……的规定”或“应按……执行”。
引用标准名录
引用标准名录
《建筑地基基础设计规范》GB 50007
《混凝土结构设计规范》GB 50010
《建筑抗震设计规范》GB 50011
《铁路工程抗震设计规范》GB 50111
《地铁设计规范》GB 50157
《地下铁道、轻轨交通岩土工程勘察规范》GB 50307
《中国地震动参数区划图》GB 18306
《型钢混凝土组合结构技术规程》JGJ 138
《铁路桥涵地基与基础设计规范》TB 10002.5
