Appearance
《尾矿堆积坝排渗加固工程技术规范[附条文说明]》GB 51118-2015
🗓️ 住房和城乡建设部 实施时间:2016-05-01
前言
中华人民共和国国家标准
尾矿堆积坝排渗加固工程技术规范
Technical code for drainage-consolidation of tailings embankment
GB 51118-2015
主编部门:中国冶金建设协会
批准部门:中华人民共和国住房和城乡建设部
施行日期:2016年5月1日
中华人民共和国住房和城乡建设部公告
第890号
住房城乡建设部关于发布国家标准《尾矿堆积坝排渗加固工程技术规范》的公告
现批准《尾矿堆积坝排渗加固工程技术规范》为国家标准,编号为GB 51118-2015,自2016年5月1日起实施。其中,第3.0.4条为强制性条文,必须严格执行。
本规范由我部标准定额研究所组织中国计划出版社出版发行。
中华人民共和国住房和城乡建设部
2015年8月27日
前言
本规范是根据住房城乡建设部《关于印发<2010年工程建设标准制订、修订计划>的通知》(建标[2010]43号)的要求,由中冶集团武汉勘察研究院有限公司会同有关单位共同编制完成。
本规范在编制过程中,编制组进行了广泛调查研究,结合近年来有关规范的执行、新技术的应用和工程实践经验的总结,征求了国内有关生产、科研、设计等单位的意见,经多次讨论和反复修改,先后形成征求意见稿和送审稿,最后经审查定稿。
本规范共8章和3个附录,主要内容包括:总则,术语和符号,基本规定,勘察,设计,施工,检验、监测与验收,安全与环保等。
本规范中以黑体字标志的条文为强制性条文,必须严格执行。
本规范由住房城乡建设部负责管理和对强制性条文的解释,由中国冶金建设协会负责日常管理,由中冶集团武汉勘察研究院有限公司负责技术内容的解释。执行过程中如有意见和建议,请寄送中冶集团武汉勘察研究院有限公司(地址:湖北省武汉市青山区冶金大道17号,邮政编码:430080,E-mail:WKdjb2011@126.com)。
本规范主编单位、参编单位、主要起草人和主要审查人:
主编单位 :中冶集团武汉勘察研究院有限公司
参编单位 :中国恩菲工程技术有限公司
中冶长天国际工程技术有限公司
长沙有色冶金设计研究院有限公司
中冶北方工程技术有限公司
中冶沈勘秦皇岛工程技术有限公司
中国五环工程有限公司
河海大学
中冶沈勘工程技术有限公司
马鞍山长江地质工程公司
吉林延边华冶排渗工程有限公司
武汉钢铁集团矿业公司
江西铜业集团公司
主要起草人 :万凯军 徐牧明 陈洪全 张明云 岑健 袁兵 陈章友 滕志国 赵永志 高伟 丁家平 辛利伍 张元瑞 付文堂 刘曙 冯模伦
主要审查人 :田文旗 王立忠 郭天勇 林颂恩 杨春富 李明阳 袁永强 刘耀峰 王树
条文说明
中华人民共和国国家标准
尾矿堆积坝排渗加固工程技术规范
GB51118-2015
条文说明
制订说明
《尾矿堆积坝排渗加固工程技术规范》GB51118-2015经住房城乡建设部2015年8月27日以第890号公告批准发布。
本规范制订过程中,编制组进行了广泛的调查和研究,总结了我国近30年来在尾矿堆积坝排渗加固勘察,设计,施工,检验、监测与验收,安全与环保等方面的工程经验和工程事故教训,进行了有关试验研究,并广泛征求有关单位的意见,最后经有关部门共同审查定稿。
为了便于广大勘察、设计、施工、科研、学校等单位有关人员在使用本规范时能正确理解和执行条文规定,本规范编制组按章、节、条顺序编制了条文说明,对本规范的编制目的、依据以及在执行过程中需要注意的有关事项进行了说明,还着重对强制性条文的强制性理由作了解释。但是,本条文说明不具备与规范正文同等的法律效力,仅供使用者作为理解和把握规范规定的参考。
1 总则
1 总 则
1.0.1 为了在尾矿堆积坝排渗加固工作中做到安全适用、技术先进、运行可靠、保护环境、经济合理,制定本规范。
条文说明
1.0.1尾矿库是一个具有高势能的人造泥石流的危险源。在长达十多年甚至数十年的运行时间里,各种自然的和人为的不利因素都会直接威胁它的安全。目前,我国尾矿库多位于江、河、湖等水系的上游地段,有些尾矿库已进入中后期服务年限,并存在安全隐患,一旦发生尾矿堆积坝失稳事故,必将对其下游地区人民的生命和财产造成巨大危害,并对环境造成严重污染。
尾矿堆积坝稳定性加固方式主要采取排渗加固和结构加固,其中排渗加固是通过在尾矿堆积坝体内设置排渗设施,改善堆积坝体内渗透条件,降低浸润线,使其逐步排水固结和增加强度,从而提高堆积坝体抗滑稳定性和渗流稳定性等。
我国95%以上的尾矿堆积坝为上游式尾矿筑坝法形成,坝体渗透破坏是导致尾矿堆积坝失稳事故的主因之一,但到目前为止,我国尾矿堆积坝排渗加固工程没有专门的技术标准,过去主要分别以《上游法尾矿堆积坝工程地质勘察规范》YBJ11-86、《冶金工业建设岩土工程勘察规范》YSJ202-88/YBJ1-88、《尾矿堆积坝岩土工程技术规范》GB50547-2010等作为勘察依据,以《选矿厂尾矿设施设计规范》ZBJ1-90、《尾矿设施设计规范》GB50863-2013等作为设计依据,以《供水管井技术规范》GB50296-99、《建筑与市政降水工程技术规范》JGJ/T111-98、《塑料排水板施工规程》JTJ/T256-96、《混凝土结构工程施工及验收规范》GB50204-92等作为施工和验收依据,而这些技术标准对此均未做出系统和具体的规定,不能满足尾矿堆积坝排渗加固工程的实施要求。
自20世纪80年代以来,我国加大了对堆积坝体排渗加固新技术的研究与应用,取得了较好的效果。为了全面归纳当前先进、成熟的尾矿堆积坝排渗加固技术,满足尾矿堆积坝排渗加固技术工作要求和提高技术水平,以及规范矿山尾矿堆积坝的排渗加固工程勘察、设计与施工管理和保障尾矿堆积坝的安全运行,使尾矿堆积坝排渗加固工程符合安全性、合理性、经济性、可操作性的要求,故制订了本规范。
1.0.2 本规范适用于尾矿堆积坝排渗加固工程的勘察、设计、施工、检验、监测及验收。
条文说明
1.0.2本规范中尾矿堆积坝排渗加固工程是在其运行过程中增设的排渗加固设施,不包括初期坝及堆积坝中的预埋排渗设施以及核工业尾矿设施的排渗加固。
氧化铝厂湿式堆存的赤泥堆场、锰渣堆积坝和一次建坝的尾矿坝排渗加固工程可参照本规范执行。
1.0.3 尾矿堆积坝排渗加固,应坚持因地制宜、就地取材、保护环境和节约资源的原则,进行勘察和设计,强化施工质量控制与管理。
1.0.4 尾矿堆积坝的排渗加固,除应符合本规范外,尚应符合国家现行有关标准的规定。
2 术语和符号
2.1 术语
2 术语和符号
2.1 术 语
条文说明
本节中术语是以现行国家标准《尾矿设施设计规范》GB 50863和《尾矿堆积坝岩土工程技术规范》GB 50547中部分术语为基础,参考现行国家标准《岩土工程基本术语标准》GB/T 50279,作了适当修改,并增加了排渗加固、贴坡排渗、管井排渗、排渗管排渗、垂直-水平联合排渗、虹吸排渗和辐射井排渗等术语。
2.1.1 尾矿坝 tailings dam
拦挡尾矿和水的尾矿库外围构筑物。通常指尾矿库初期坝和尾矿堆积坝的总体。
2.1.2 尾矿堆积坝 tailings embankment
生产过程中用尾矿堆积而成的坝。
2.1.3 浸润线 phreatic line
坝体中渗流水的自由表面的位置,在剖面上为一条曲线。
条文说明
2.1.3由于浸润线是指坝体中渗流水的自由表面位置,其压力水头为零。
2.1.4 控制浸润线 controlled position of phreatic line
既满足临界浸润线要求,又满足尾矿堆积坝下游坡最小埋深浸润线要求的坝体最高浸润线。
2.1.5 临界水力梯度 critical hydraulic gradient
开始发生流土或管涌时的水力梯度。
2.1.6 排渗加固 drainge-consolidation
通过设置排渗设施,降低坝体内浸润线、改良尾矿堆积坝体工程性能、提高坝体稳定性的技术方法。
条文说明
2.1.6通过设置排渗设施,一是降低坝体内浸润线,减小静水和动水压力;二是使尾矿产生排水固结或压密效应,改良尾矿堆积坝体工程性能;三是在坝体后续逐级向上堆积过程中,其自重荷载进一步使尾矿通过排渗设施产生相应的排渗加固或压密效应,并改良尾矿堆积坝体工程性能,从而有效地提高坝体稳定性。
2.1.7 贴坡排渗 fitting-slope drainage
为防止细颗粒流失,在坝体下游坡面渗流出逸段设置护坡的排渗加固方法。
2.1.8 管井排渗 pipe well drainage
通过管状水井抽取尾矿坝坝体内渗流水,降低浸润线的排渗加固方法。
2.1.9 排渗管排渗 tube drainage
在坝体内设置排渗管,降低浸润线的自流排渗加固方法。
2.1.10 垂直-水平联合排渗 vertical-horizontal drainage
通过在坝体内设置垂直排渗体与水平排渗体对接组成的排渗系统,降低浸润线的自流排渗加固方法。
2.1.11 虹吸排渗 siphon drainage
水源井的水在内外水头差作用下,通过虹吸管流至坝外或水封池的排渗加固方法。
2.1.12 辐射井排渗 radial well drainage
利用辐射状排渗管将堆积坝体内渗流水自流至集水井内,并通过导水管自流排出坝体以外的排渗加固方法。
2.2 符号
2.2 符 号
b——塑料排水板宽度,袋装砂砾井分段连续长度;
D——管井滤水管的外径,虹吸管的管径;
H——潜水含水层厚度;
H w ——管井深度;
K——渗透系数;
L——水平排渗管长度,辐射井单根排渗管长度;
l——滤水管工作部分长度;
n——滤水管进水表面有效孔隙率,排渗管的根数;
Q——管井出水量,虹吸井单井出水量,辐射井出水量;
q——辐射井中单根排渗管出水量;
R——影响半径;
r——管井的半径;
S——水位降深。
3 基本规定
3 基本规定
3.0.1 尾矿堆积坝出现下列情况之一时,应进行排渗加固:
1 坝坡有流土、管涌、浸润线出逸、沼泽化、湿地等现象;
2 实测浸润线高于设计控制浸润线。
条文说明
3.0.1根据我国尾矿堆积坝实际发生事故的资料统计分析,坝体渗透破坏事故位居于各种事故发生的原因及其概率的前列。尾矿堆积坝本身是一种散粒体堆筑的水工构筑物,在运行过程中上游存在高势能水位,坝体形成了复杂的渗流场。在渗流作用下,当实际水力梯度达到或超过临界水力梯度时,坝体便发生渗透变形和破坏,甚至导致溃坝,同时浸润线还直接影响坝体的静力和动力稳定性。因此当出现本条所列情况时,应及时进行排渗加固处理。
3.0.2 排渗加固工程施工前,应进行勘察和设计。
条文说明
3.0.2 影响尾矿堆积坝稳定性的因素十分复杂,诸如尾矿堆积坝体的工程地质及水文地质条件、加固措施、施工质量、安全管理等。尤其是尾矿堆积坝建设过程中违反建设程序,未进行必要的勘察和设计,盲目采取措施,使其存在“先天不足”,给工程留下安全隐患。因此尾矿堆积坝排渗加固工程施工前,首先要查明场地工程地质和水文地质条件,取得有关设计参数,并在此基础上调整初步设计方案或选用有效性加固措施。
3.0.3 对于高于设计控制浸润线导致的尾矿堆积坝临时抢险工程,除险后应按本规范要求进行排渗加固。
条文说明
3.0.3 对于高于设计控制浸润线导致的尾矿堆积坝临时抢险工程,由于时间的紧迫性,难以按照正常程序实施,而临时应急抢险措施不能根除安全隐患,所以其后仍需按基本建设程序进行加固。
3.0.4 排渗加固必须符合坝体渗流稳定性、静力稳定性和动力稳定性的要求。
条文说明
3.0.4 由于尾矿堆积坝体内的渗流作用不仅直接产生坝体渗透变形和破坏,而且影响坝体的静力和动力稳定性,当尾矿堆积坝的渗流稳定性、静力稳定性和动力稳定性不足时,将可能发生坝体失稳,甚至导致溃坝事故而危及其下游地区人民的生命财产和已有设施的安全,产生严重的环境污染。自2000年以来,我国已经发生20余起尾矿库溃坝事故,并因此产生重大损失。所以尾矿堆积坝排渗加固除满足静、动力稳定外,尚必须满足坝体渗流稳定性要求。本条为强制性条文,必须严格执行。
3.0.5 排渗加固工程应综合工程地质、水文地质和环境条件等因素的影响,选用排渗加固方法。
3.0.6 排渗加固场地复杂程度可根据工程地质及水文地质条件按表3.0.6划分。
表3.0.6 排渗加固场地复杂程度划分表


注:1 排渗加固场地系指排渗加固地段及其周边影响范围;
2 尾矿类别可按现行国家标准《尾矿堆积坝岩土工程技术规范》GB 50547划分;
3 从复杂场地开始,向中等复杂场地、简单场地依次推定排渗加固场地复杂程度,以最先满足表中条件之一者为准。
条文说明
3.0.6场地复杂程度取决于场地内水文地质和工程地质条件特性,尤其是地下水的赋存情况,是排渗加固工程勘察、设计和施工的重要依据,对合理选择排渗加固设施类型和排渗加固效果至关重要。
国内尾矿堆积坝排渗加固工程实践表明,由于有些排渗加固工程勘察不考虑场地复杂程度的差异,勘察工作布置不具有针对性和合理性,盲目布置勘察工作量,特别是不能具体和准确地反映复杂场地或中等场地内含水层和隔水层的分布情况及其有关设计参数,致使后续设计和施工缺乏必要的依据。
因有些复杂场地或中等场地的勘察成果资料未准确反映场地内水文地质和工程地质条件,无法据此选用有效的排渗加固设施和进行针对性设计,只能按简单场地进行设计和施工,致使实际工程中存在水平排渗管置于相对隔水层中、有些含水层未设排渗加固设施、垂直-水平联合排渗间接贯通部位未置于强透水层中等情况,从而未能达到预期排渗加固效果。
因此按照场地复杂程度的差异进行相应的勘察工作,为设计和施工提供可靠的成果资料,设计和施工据此采取相应的有效排渗加固措施,可避免实施过程中的盲目性和保证排渗加固效果。
4 勘察
4.1 一般规定
4 勘 察
4.1 一般规定
4.1.1 岩土工程勘察应依据委托单位提供的任务书或技术要求进行。
4.1.2 岩土工程勘察等级应根据尾矿库等别和排渗加固场地复杂程度确定。尾矿库等别应符合现行国家标准《尾矿设施设计规范》GB 50863的有关规定,排渗加固场地复杂程度可按本规范第3.0.6条确定。一等~三等尾矿库或复杂场地尾矿坝排渗加固岩土工程勘察等级应为甲级,其余应为乙级。
条文说明
4.1.2 排渗加固勘察等级除依据尾矿库等别外,本规范明确了场地复杂程度等级的确定依据。
4.1.3 当现有勘察资料不满足排渗加固设计要求时,应进行排渗加固勘察。
条文说明
4.1.3 按照现行国家标准《尾矿设施设计规范》GB 50863和《尾矿堆积坝岩土工程技术规范》GB 50547的有关要求,在尾矿堆积坝运行期间已经进行不同程度的勘察,主要作为坝体稳定性分析依据,但难以完全满足本规范第4.2.1条的规定和排渗加固工程设计及施工要求。所以本条规定现有勘察资料不满足排渗加固设计要求时,应进行排渗加固勘察。
4.1.4 勘察纲要应根据勘察目的和技术要求,在现场踏勘、搜集和分析已有资料的基础上编制。
4.1.5 勘察技术要求除应满足本规范以外,尚应符合现行国家标准《尾矿堆积坝岩土工程技术规范》GB 50547的有关规定。
条文说明
4.1.5 本规范主要对尾矿堆积坝排渗加固勘察工作布置做了规定,当需对其进行静力或动力稳定分析评价时,相应勘察工作布置尚应符合现行国家标准《尾矿堆积坝岩土工程技术规范》GB 50547的有关规定。
4.2 勘察技术要求
4.2 勘察技术要求
4.2.1 勘察内容应符合下列规定:
1 应查明排渗加固影响范围内堆积物的成分、颗粒组成、密实度、沉积规律和层位分布特征;
2 应查明尾矿堆积体中含水层和隔水层的分布情况,并应提供各层水文地质参数;
3 应查明尾矿堆积体的工程特性,提供各层尾矿的物理力学指标,对辐射井排渗加固工程,应提供各尾矿层与井壁的单位摩阻力标准值;
4 应查明初期坝的结构形式、反滤和排渗设施的设置及运行情况;
5 应查明勘察期间尾矿堆积体内浸润线的位置,综合尾矿库运行过程中取得的浸润线和库水位观测记录资料,分析浸润线和库水位变化规律及其与控制浸润线的关系;
6 应查明反滤层、渗流层、土工合成材料等已有设施和地下障碍物的分布情况,并应分析评价对排渗加固工程的影响;
7 应查明尾矿堆积体中渗流出逸点、流土、管涌、沼泽化、湿地等分布情况,分析其成因、发展趋势及其对尾矿堆积坝稳定性的影响,并应提出相应的工程治理措施建议。
条文说明
4.2.1本条规定了排渗加固勘察需查明的内容。
2由于堆积坝体内含水层和隔水层的分布情况是决定水文地质特征和场地复杂程度的主要因素,涉及排渗加固设施的合理选用,所以应予以准确探明。
3辐射井排渗是目前广泛应用的排渗加固方法之一,各尾矿层与井壁的单位摩阻力标准值是集水井井筒下沉及助沉措施的重要计算参数。
6反滤层、渗流层、土工合成材料、盲井等已有设施和地下障碍物(包括废弃钢丝绳、钢管、竹跳板等)常影响水平排渗管和辐射井的正常施工,甚至导致设计变更,故应通过调查和勘探予以查明。
4.2.2 勘察前应搜集、整理和分析下列资料:
1 尾矿的原矿性质、选矿工艺、尾矿的矿物成分和化学成分,尾矿的颗粒组成;
2 尾矿排放堆积方式、坝体上升速度、最终堆积高度、沉积滩的分布和变化情况以及尾矿库运行情况;
3 初期坝的结构形式,防渗和排渗设施的设置及其运行情况;
4 坝体浸润线、渗透水量和水质等观测设施的分布及监测资料;
5 已有勘察资料、设计文件及施工竣工等资料。
4.2.3 工程地质测绘和调查应符合下列规定:
1 测绘和调查范围应包括排渗加固设施的范围及相关的外围;
2 工程地质测绘比例尺宜为1:500~1:2000;
3 对坝体有重大影响的变形、裂缝、渗漏、管涌、流土、沼泽化、湿地等现象的地质单元体,可扩大比例尺表示;
4 地质界线和地质点的测绘精度,在图上的误差不得超过3mm。
条文说明
4.2.2、4.2.3 资料收集、工程地质测绘和调查主要围绕坝体内浸润线、渗透变形及破坏、排渗设施运行情况等进行,作为初步了解和分析实测浸润线高于控制浸润线和出现渗透变形及破坏原因的依据。
4.2.4 勘探方法应以钻探、静力触探为主,可辅以物探、井探和槽探。
4.2.5 勘探线、勘探点的布置应符合下列规定:
1 在管涌、流土等地段应沿渗流方向向上游布置勘探线,勘探线上游端应达到上游拟布设排渗设施的部位;
2 在渗流出逸点、沼泽化、湿地等地段,应沿渗流方向向上游布置勘探线,勘探线上游端应达到实测浸润线低于控制浸润线的部位或上游拟布设排渗设施的部位;
3 沿拟设置的排渗管、导水管等排渗设施应布置勘探线;
4 勘探点的间距可按表4.2.5确定:
表4.2.5 尾矿坝排渗加固勘察勘探点的间距(m)

注:当尾矿堆积体中隔水层变化复杂时,应加密勘探点。
5 用于排渗加固的管井和辐射井应单独布置勘探点,每个井布置勘探孔不得少于1个。
4.2.6 勘探点的深度应符合下列规定:
1 在管涌、流土、渗流出逸点、沼泽化、湿地等地段,控制性勘探孔数量不应少于勘探点总数的1/3,深度应达到控制浸润线下8m~10m。一般勘探孔应达到控制浸润线下5m~8m。
2 在辐射井地段,勘探孔深度应进入井底标高以下5m~8m。
3 对管井、虹吸井等其他竖向排渗体,勘探孔深度应进入井底标高以下2m~3m。
4 沿排渗管、导水管等水平排渗体地段,勘探点深度应进入其埋设深度以下2m~3m。
条文说明
4.2.5、4.2.6本规范对主要渗透变形和破坏地段(如管涌、流土、渗流出逸点、沼泽化、湿地等)及主要排渗加固设施(如辐射井、管井、虹吸井、排渗管、导水管等)规定了勘探工作布置,以作为设计和施工的可靠依据,并避免在实际排渗加固施工过程中出现沉井下沉困难、降水方案不合理、资料不足等问题。
4.2.7 采取尾矿土试样应符合下列规定:
1 所有钻孔均应取样,对以粉性和黏性为主的尾矿土应采用薄壁取土器或回转取土器采取不扰动样,砂性为主的尾矿土应采用取砂器采取不扰动样,取样的垂直间距宜为1.0m~1.5m;
2 每一主要尾矿层的不扰动试样数量应满足试验项目和统计分析的需要;
3 当尾矿层不均匀时,应相应增加取样数量。
4.2.8 标准贯入试验的垂直间距宜为1.0m~1.5m。
4.2.9 水、土对建筑材料的腐蚀性评价应取样试验,且试验数量不宜少于3件。腐蚀性试验项目应符合现行国家标准《岩土工程勘察规范》GB 50021的有关规定。
4.2.10 室内试验应根据渗流计算与稳定性分析要求及尾矿特性确定。尾矿的试验项目应包括下列内容:
1 砂性尾矿的颗粒级配、比重、天然含水量、天然密度、相对密度、抗剪强度、垂直和水平渗透系数;
2 粉性尾矿的颗粒级配、液限、塑限、比重、天然含水量、天然密度、抗剪强度、垂直和水平渗透系数;
3 黏性尾矿的液限、塑限、比重、天然含水量、天然密度、抗剪强度、垂直和水平渗透系数。
4.2.11 砂性尾矿和粉性尾矿宜进行室内渗透变形试验确定临界水力梯度,室内渗透变形试验应符合本规范附录A的规定。
条文说明
4.2.11尾矿临界水力梯度是重要的水文地质参数,而且是确定是否产生渗透变形和破坏的依据,所以排渗加固勘察成果宜提供该项参数。
4.2.12 浸润线以下的尾矿应进行饱和状态抗剪强度试验。
4.2.13 探井中可分别平行和垂直尾矿层理取样进行相应的室内渗透试验。
4.3 水文地质测试
4.3 水文地质测试
4.3.1 勘探孔均应量测初见地下水位和稳定地下水位。稳定地下水位与初见水位量测的时间间隔,对于砂性尾矿不得少于0.5h,对于粉性尾矿、黏性尾矿不得少于8h。
条文说明
4.3.1 勘探孔包括钻孔和静力触探孔等。鉴于水位稳定时间取决于尾矿堆积层的渗透性能,本条规定了量测各类尾矿地下水位的时间间隔。
4.3.2 当采用抽水试验法或注水试验法测定尾矿的渗透系数时,试验数量不得少于3处。
4.3.3 抽水试验应符合下列规定:
1 根据场地水文地质条件,抽水试验可选择稳定流或非稳定流的试验方法。稳定流试验宜做三次降深,非稳定流试验应保持稳定出水量。
2 当水位较深、水量不大时,可选用抽筒提水进行简易抽水试验。
3 观测孔宜垂直和平行地下水流向各布一条观测线,每条线上宜布置1个~3个观测孔。观测孔与抽水孔的距离应根据含水层的厚度、透水性能等因素确定。
4 试验期间,应对钻孔中静水位、动水位、恢复水位进行量测,同时应对库内水位、坝坡渗流出逸点的水位及其变化进行监测。
5 其他要求应符合现行国家标准《冶金工业岩土勘察原位测试规范》GB/T 50480的有关规定。
条文说明
4.3.3本条规定了抽水试验的要求。 3每条观测线的观测孔一般布置在与地下水流向垂直的方向上,与抽水孔的距离宜为1倍~2倍含水层的厚度。 4抽水试验期间,在量测钻孔中静水位、动水位、恢复水位过程中,需同步对库内水位、坝坡地下水出逸点的水位及其变化进行监测,以准确反映地下水动态变化规律。
4.3.4 抽水试验成果应包括下列内容:
1 抽水和观测钻孔平面布置图、柱状图、抽水孔结构图;
2 出水量与时间关系曲线Q=f(t)、水位降深与时间关系曲线S=f(t)、出水量与降深关系曲线Q=f(s)、单位出水量与降深关系曲线q=f(s);
3 影响半径、渗透系数和勘察期间地下水的实际水力梯度等计算公式及结果。
4.3.5 注水试验应符合现行国家标准《冶金工业岩土勘察原位测试规范》GB/T 50480的有关规定,试验方法宜符合下列规定:
1 浸润线以上尾矿可采用试坑注水法,砂性尾矿宜采用单环注水法,黏性、粉性尾矿宜采用双环自流注水法;
2 浸润线以下可采用钻孔注水法,砂性尾矿宜采用常水头注水法,粉性和黏性尾矿宜采用降水头注水法。
条文说明
4.3.5根据浸润线埋深和尾矿的渗透性等级差异,选择试坑注水试验或钻孔注水试验。其中试坑注水试验适用于浸润线以上,且浸润线埋藏深度一般大于5m的尾矿;钻孔注水试验不受地下水位埋深的影响。
4.3.6 注水试验成果应包括下列内容:
1 注水试验综合图;
2 采用试坑注水法时,稳定流量与时间关系曲线Q=f(t),尾矿渗透系数的计算公式及结果;
3 采用钻孔降水头法时,水头比H/H 0 与时间的关系曲线,滞后时间T,尾矿渗透系数的计算公式及结果;
4 采用钻孔常水头法时,流量q与时间t的关系曲线,尾矿渗透系数的计算公式及结果。
条文说明
4.3.6注水试验综合图内容一般包括钻孔或试坑柱状图、试验地层及其深度、试验方法等。
4.4 勘察成果报告
4.4 勘察成果报告
4.4.1 岩土工程勘察报告应包括下列内容:
1 工程概况;
2 勘察目的和依据;
3 勘察方法和勘察工作布置;
4 场地位置、地形地貌、气象水文及区域地质概况;
5 地层、地质构造、尾矿堆积坝和沉积滩的物质组成、岩性特征、沉积规律、不良地质作用等场地工程地质条件;
6 地下水的赋存条件及其类型、相对含水层和隔水层的特性及分布情况、浸润线埋深及其动态变化、水文地质参数等场地水文地质条件;
7 各尾矿堆积层的岩土工程参数及性能分析与评价;
8 尾矿堆积坝现状及其岩土工程问题分析和排渗加固处理建议;
9 排渗加固设计和施工所需的有关参数;
10 监测工作建议;
11 尾矿堆积坝排渗加固施工安全措施建议。
条文说明
4.4.1本条规定了尾矿堆积坝排渗加固岩土工程勘察报告的基本内容。
1工程概况包括初期坝及尾矿堆积坝体的设计参数、现状条件、运行状况等内容;
8本款需根据浸润线埋深及其动态变化情况,分析其与下游坡浸润线最小埋深之间的关系,当掌握控制浸润线埋深时,尚需分析二者之间的关系。当场地内存在渗流出逸点、流土、管涌、沼泽化或湿地等现象时,需分析其特征和成因。另外,在全面分析场地内水文地质和工程地质条件及有关岩土工程问题的基础上,结合各类排渗加固的工作原理及其应用条件,提出合理的排渗加固处理建议。
10本款包括对排渗加固施工期间的监测工作建议。
4.4.2 勘察报告应包括下列图、表:
1 勘探点主要数据一览表;
2 室内土工试验成果表;
3 勘探点平面布置图;
4 工程地质图;
5 工程地质剖面图;
6 工程地质柱状图;
7 原位测试成果图。
4.4.3 勘察报告可包括下列图表:
1 与工程相关的照片;
2 浸润线动态变化图表;
3 其他成果图表。
条文说明
4.4.3其他成果图、表包括有关素描图,综合分析图、表,岩土工程计算简图及计算成果图表等。
4.4.4 勘察报告应包括工程勘察任务书或技术要求。
4.4.5 勘察报告可包括下列附件:
1 工程任务委托书;
2 与工程相关的重要函电;
3 与工程相关的审查报告或会议纪要;
4 专门性试验报告、专题研究报告或监测报告;
5 其他必要的报告及资料。
条文说明
4.4.5其他需要的报告及资料包括有关岩土工程问题或事故调查与分析报告、专项岩土工程问题的技术咨询报告等。
5 设计
5.1 一般规定
5 设 计
5.1 一般规定
5.1.1 设计基础资料应包括下列内容:
1 岩土工程勘察报告;
2 尾矿坝已有设计和施工资料;
3 尾矿坝运行及监测资料。
5.1.2 排渗加固设施实施后应满足降低坝体浸润线和尾矿坝稳定的要求。两个(组)排渗体间的中心部位浸润线降深应满足坝体内控制浸润线的要求。
条文说明
5.1.2排渗加固设施运行期间,浸润线在横断面上呈起伏状(图1),排渗设施处浸润线最深(即图1中A、C、D、F点),每两个(组)排渗设施之间的中间部位浸润线最浅(即图1中B、E点),坝体内控制浸润线埋深应以图1中B、E点为准。 
图1排渗加固后横断面上的浸润线示意图
1-浸润线;2-排渗加固设施
5.1.3 排渗加固设施类型可按本规范附录B选用。
5.1.4 排渗加固方式应根据场地复杂程度、尾矿渗透性能、浸润线降深和范围要求、场地适用条件等因素,经过技术经济比较确定。
5.1.5 尾矿渗透变形判别可按现行国家标准《水利水电工程地质勘察规范》GB 50487的有关规定执行。
5.1.6 排渗加固设施中的管材应符合抗老化和耐腐蚀性的要求。
5.2 渗流计算与稳定性分析
5.2 渗流计算与稳定性分析
5.2.1 设计时,应进行渗流计算和稳定性分析。
条文说明
5.2.1 在选择排渗加固设计方案时,通过渗流计算及稳定性分析,可以为寻求安全、合理、经济的排渗加固技术方案及具体布置提供依据。
5.2.2 渗流计算应包括下列工况:
1 正常运行库水位和洪水位;
2 排渗加固措施设置前和设置后。
条文说明
5.2.2正常运行库水位或洪水位是两种常规计算水位。不设置排渗加固措施工况的渗流计算结果可以反映出渗流稳定性和排渗加固的必要性,而设置排渗加固措施工况的计算结果可以作为制订和优化排渗加固技术方案的依据。
5.2.3 渗流计算宜考虑渗透系数的各向异性。
5.2.4 尾矿堆积坝中临界浸润线和控制浸润线应符合现行国家标准《尾矿设施设计规范》GB 50863的有关规定。
条文说明
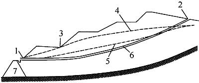
5.2.4在渗流控制和排渗加固设施安全与否的判断中,浸润线位置的判断最为重要,静力和动力稳定性分析是浸润线位置安全性的理论分析依据。尾矿堆积坝下游坡浸润线的最小埋深已成业内共识,在尾矿库的管理中发挥了有益的作用。需要说明的是,当下游坡浸润线的最小埋深与坝坡抗滑稳定和渗透稳定确定的浸润线埋深不协调时,应同时满足二者埋深要求。下面举例说明不适合的工况。
例如,在图2中,初期坝EFGH为透水堆石坝,BCDE段为尾矿堆积坝。由于地形原因,在CD段出现宽平台。显然,尾矿堆积坝在C点附近不可能满足尾矿堆积坝下游坡浸润线最小埋深的要求,但是根据稳定计算结果,该尾矿堆积坝是安全的,但仍需满足尾矿堆积坝下游坡浸润线最小埋深要求。 
图2某尾矿堆积坝纵断面示意图
1-库水位;2-干滩面;3-浸润线;4-初期坝
5.2.5 一级~三级尾矿坝和复杂场地渗流分析宜采用二维或三维有限元法等数值分析方法,四级、五级尾矿坝可根据排渗条件采用二维渗流计算方法。
条文说明
5.2.5采用排渗加固设施尾矿堆积坝的浸润线大多呈现为复杂的三维形态,当将三维渗流简化为二维渗流计算时,应取中间断面的浸润线和孔隙压力(或渗流等水头线)分布作为计算条件。
图3为某尾矿堆积坝纵断面,因在CD段浸润线偏高,拟采用排渗加固措施。经计算,设置垂直-水平联合排渗设施后,浸润线降低。图3中下面为排渗加固后的浸润线,上面为中间断面的浸润线,后者高于前者。 
图3某尾矿堆积坝纵断面示意图
1-库水位;2-干滩面;3-浸润线;4-排渗加固设施;5-初期坝;6-中间断面浸润线
5.2.6 渗流计算应为确定排渗加固措施设置后的浸润线或渗流等水头线提供依据,并应结合尾矿堆积坝稳定性分析结果提供排渗加固方案设计所需的下列内容:
1 排渗管的层数、位置、管径、长度、埋深、间距和个数;
2 管井的排数、位置、井径、井深、井间距和个数;
3 虹吸排渗的水源井排数、位置、井径、井深、井间距和个数;
4 垂直-水平排渗的水平排渗管层数、位置、长度、管径,垂直排渗体的截面积、深度、间距和个数;
5 辐射井的组数,集水井位置、井径、井深,排渗管方向、管径、长度、层数、根数。
5.2.7 稳定性分析应符合现行国家标准《尾矿设施设计规范》GB 50863的有关规定。
5.3 贴坡排渗
5.3 贴坡排渗
5.3.1 设计内容应包括反滤层和保护层。
条文说明
5.3.1反滤层是贴坡排渗中的重点设计内容,其作用是使坝体内渗流顺利排至坝外,降低坝体内的孔隙水压力,增强坝坡稳定性,但不能有效地降低浸润线(图4)。 
图4贴坡排渗层示意图
1-下游坡面;2-保护层;3-粒状反滤层;4-土工织物反滤层;5-浸润线;6-渗流出逸段
5.3.2 反滤层可采用土工织物或粒状反滤料。
5.3.3 贴坡排渗设置应符合下列规定:
1 设置区域应大于渗流出逸范围;
2 保护层厚度应大于标准冻结深度;
3 贴坡坡脚应设置排水沟。
5.3.4 反滤层设计应符合下列规定:
1 被保护尾矿不得发生渗透变形;
2 渗透性应大于被保护尾矿。
5.3.5 采用土工织物作反滤层时,应符合现行国家标准《土工合成材料应用技术规范》GB 50290的有关规定。
5.3.6 采用粒状反滤料作反滤层时,应符合下列规定:
1 反滤层每层的厚度应根据材料的级配、性质、施工方法等因素综合确定。反滤层的厚度不得少于400mm。
2 被保护尾矿与反滤料的粒径应按下列公式验算:

式中:D 15 ——反滤料的粒径,小于该粒径的滤料重占总滤料重的15%;
d 85 (d 15 )——被保护尾矿的粒径,小于该粒径的尾矿重占总尾矿重的85%(15%)。
3 当被保护尾矿为细粒尾矿,且其d 85 为0.01mm~0.03mm时,可采用D 15 小于或等于0.5mm的砂或砾质砂作为反滤料。
4 对于不均匀系数(C u )较大的被保护尾矿,可取级配曲线中C u 不大于5~8细粒部分的d 85 、d 15 作为计算粒径。
5 对于不连续级配的尾矿,应取级配曲线平段1mm~5mm以下粒组的d 85 、d 15 作为计算粒径。
6 当第一层反滤料采用不均匀系数(C u )大于5~8的砂砾石时,砾石(d≥5mm)含量应小于60%,且应取其细粒(d<5mm)部分的D 15 作为计算粒径。
条文说明
5.3.3~5.3.6反滤层的设计一般应通过试验确定参数,再进行设计。在无试验资料的情况下,一般采用工程类比法进行设计。
反滤层的材料可为砂、砾料。砂、砾料可在天然料场选用。当难以找到合适的天然料场时,可考虑采用人工砂、砾料,但其颗粒级配应符合设计要求,否则应进行筛选配制。土工织物是作为反滤层的良好用料,其施工方便、经济实用,已经在工程实践中广泛应用。在土工织物应用中要注意其透水性与尾矿的渗透性相适应。
5.3.7 保护层材料宜采用砂石料,厚度不宜小于300mm。
5.4 排渗管排渗
5.4 排渗管排渗
5.4.1 排渗管可分为水平排渗管和弧形排渗管。
条文说明
5.4.1排渗管按管道轨迹可分为水平(直线式)和弧形(非直线式)两种,其结构一般由滤水管和导水管两部分组成。伸入计算浸润线以下部分开孔(槽)为滤水管,计算浸润线以上部分则不开孔(槽)为导水管。滤水管直径一般根据施工机具确定。排渗管与浸润线形成较大夹角可发挥较好的排渗作用,排渗管施工时一般要求形成上倾角,以形成自流排渗效果。
水平排渗管是一种近似水平的自流式排渗设施,一般采用水平钻机钻孔设置。其中坝坡段为导水管,坝体深处浸润线内为滤水管(图5)。 
图5水平排渗管排渗示意图
1-库水位;2-初期坝;3-水平排渗管;4-排渗加固前浸润线;5-排渗加固后浸润线;6-坝面
弧形排渗管是非开挖技术在尾矿堆积坝排渗加固工程中的应用。利用水平定向钻机以可控钻孔轨迹的方式,在地下不同尾矿和深度进行钻进,并通过专用的控向仪,使钻孔沿设计轨迹掘进达设计位置,然后用回拖法安装排渗管(图6)。 
图6弧形排渗管排渗示意图
1-排渗管入土点;2-排渗管出土点;3-出逸处;4-排渗加固前浸润线;5-排渗加固后浸润线;6-弧形排渗管;7-初期坝
5.4.2 设计内容应包括滤水管段和导水管段,滤水管段与导水管段的直径应相同。
5.4.3 排渗管宜选用抗压强度大于0.8MPa的聚乙烯(PE)管或聚氯乙烯(PVC)管。
5.4.4 排渗管的出水口处应设置集水导流设施。
Ⅰ 水平排渗管
5.4.5 水平排渗管宜垂直坝轴线在坝坡下游布置,可多层布设,并宜布设在尾矿粒径相对较大的层位。
5.4.6 层数、间距和长度应根据勘察资料、渗流计算和稳定性分析结果结合现场条件确定。
条文说明
5.4.6尾矿的沉积规律一般是愈往上游颗粒愈细,渗透系数相应递减,所以排渗管无限往上游延伸,并不能明显增加排渗效果。试验研究和工程实践经验表明,当水平排渗管的长度超过一定范围后,出水量增大比例较小,因此对尾矿堆积坝排渗加固勘察资料进行分析,合理确定贯入深度是很重要的。根据工程实践经验,排渗管的滤水管部分进入浸润线内含水层15m~30m较为合适。排渗管沿坝体上的分布间距可视尾矿的渗透系数差异确定,一般颗粒较粗、渗透系数较大时,其间距可取表1中大值,反之取小值。
从理论上讲,水平排渗管越长,其排渗效果越好,目前国内已具备水平排渗管长度超过150m的施工能力。但水平排渗管过长,其施工难度较大,工程造价也相应增加,因此需寻求一个技术可行和经济合理的管长值。
在渗流计算过程中,可按表1经验值初步选取排渗管水平间距和长度,并经计算进行调整。
表1排渗管水平间距、长度经验值 
5.4.7 水平排渗管结构宜符合下列规定:
1 水平排渗管外径宜为63mm~90mm,导水管长度宜为5m~15m;
2 滤水管段的滤水孔宜梅花形布置,孔径宜为 
6mm~ 
12mm,开孔率宜为8%~10%;
3 滤水管外包扎的土工布规格宜为200g/m 2 ~400g/m 2 。
条文说明
5.4.7本条规定了水平排渗管结构要求。
1排渗管直径由施工设备所用套管内径决定。我国目前通常采用套管的外径为108mm~168mm,可设置相应的水平排渗管外径为75mm~110mm。实际工程案例表明,采用排渗管外径为90mm时,其最大排渗量可达32.4m3/h,一般能够满足排渗流量的要求,因此条件许可时首选管径外径为63mm~90mm的排渗管。
2从理论上说,滤水管开孔率愈大则排渗效果越好,但实验结果表明,开孔率从7%增加到15%时,其综合渗透性能变化不大。因此本规范建议滤水管开孔率宜为8%~10%。
5.4.8 水平排渗管应向下游方向倾斜设置,坡比宜为2%~4%。
Ⅱ 弧形排渗管
5.4.9 弧形排渗管应由直线段和曲线段组成。
5.4.10 间距、长度和埋深应根据勘察资料、渗流计算和稳定性结果结合现场条件确定。
5.4.11 弧形排渗管结构宜符合下列规定:
1 排渗管敷设长度不宜大于180 m,入口直线段最小敷设长度宜大于30m,直线段坡比宜为1%~4%;
2 弧形排渗管的最大垂直埋置深度不宜大于20m;
3 曲线段最大弯曲率不宜大于每米0.8°;
4 排渗管宜选用异形聚乙烯(PE)槽孔式排渗管,直径宜为 
60mm~ 
100mm。
条文说明
5.4.11本条规定了弧形排渗管结构要求。
4槽孔式排渗管是一种新型的尾矿堆积坝排渗管(图7)。它是特制的槽孔结合的PE异形聚乙烯塑料管,目前一般采用的规格是管外径75mm,壁厚6mm。管外壁纵向均匀地开有12条渗水槽,槽底按150mm~200mm间距钻8mm的渗水孔,孔眼分布为螺旋状,管外壁包裹有设计规格的不锈钢丝网。排渗管内外压力差集中体现在渗流槽上,渗水可从渗流槽内的任意渗水孔流出,渗水孔表面没有压力,因此槽孔式排渗管排渗的持久性远高于普通排渗管。
槽孔式排渗管是聚乙烯材料一次挤塑成型的槽形管,槽内开滤水孔,滤水孔的数量在同一截面不能超过凹槽面积的30%。导水管是聚乙烯材料挤塑成型的光滑无孔的内压式圆形管。滤水管外部采用白钢网包裹作为过滤层,白钢网材质由地下水质确定。白钢网目数由尾矿细度决定。 
图7槽孔式排渗管结构示意图
1-滤网;2-PE管;3-滤水槽;4-滤水孔
5.4.12 当排渗管的入土点与出土点范围内浸润线高差超过30m时,宜采用多排敷设。
5.4.13 滤水管外包过滤网目数应根据过滤网等效孔径和尾矿颗粒级配的特性确定。
5.5 管井排渗
5.5 管井排渗
5.5.1 管井应由相同直径的井口管段、井壁管段、滤水管段、沉砂管段组成。
条文说明
5.5.1管井法是较早用于尾矿堆积坝排渗加固的方法,一般在初期坝上游的堆积坝坡上平行于坝轴设置,采用水泵抽排渗入井内的渗流水,从而降低坝体内浸润线(图8)。由于目前尾矿颗粒趋于细粒化,渗透性和渗水量较小,管井的抽水系统难以适应细水长流的排渗要求,为此需要频繁启动关闭水泵,造成水泵和反滤体使用寿命缩短。所以该方法主要用于不具备自流排渗条件 
图8管井排渗示意图
1-库水位;2-初期坝;3-管井;4-排渗加固前浸润线;5-排渗加固后浸润线;6-坝面
且排渗水量较大的地段。另外,可作为临时性排渗降水措施。当采用该方法时,井深除满足控制浸润线深度外,还应考虑渗透阻力引起的管井内的水头损失和泵体的长度。管井由井口管段、井壁管段、滤水管段、沉砂管段组成是针对其各自功能划分的。
5.5.2 管井宜平行于坝轴方向成直线排列布置。
5.5.3 井口宜高于地面300mm以上,井口应用盖板封闭。井口周围应铺设碎石或浇筑混凝土,厚度不宜小于500mm。
5.5.4 管材应根据尾矿特性确定,可选用无砂混凝土管、钢管或塑料管。
条文说明
5.5.4井管材料一般根据井径、井深、水质和技术经济等因素来选定。目前尾矿堆积坝排渗加固工程的管井,滤水管多采用无砂混凝土管,具有制作简单、造价低等优点,但因其强度低、重量大,多用于50m深度以内的管井。
5.5.5 管井的间距、井数、井径、井深应根据抽水试验或渗流和稳定性计算结果确定,并应符合下列规定:
1 井间距宜为10m~20m。
2 井径宜为200mm~500mm。
3 滤水管的直径应满足水泵的安装要求,滤水管外径应按式(5.5.5-1)验算:

式中:D——管井滤水管的外径(m);
Q——管井出水量(m 3 /s);
l——滤水管工作部分长度(m);
n——滤水管进水表面有效孔隙率(%);
V g ——允许入管流速(m/s),不得大于0.03m/s。
4 深度应按式(5.5.5-2)验算:

式中:H w ——管井深度(m);
H w1 ——浸润线距离坝坡要求的设计埋深(m);
H w2 ——降水期间的浸润线变幅(m);
H w3 ——管井过滤器的工作长度(m);
H w4 ——沉砂管长度(m);
i——水力梯度,在管井的分布范围内宜为1/12~1/10;
r 0 ——管井分布范围的等效半径或降水井间距的1/2(m)。
5 滤水管的有效长度不宜超过30m。
条文说明
5.5.5本条规定了确定管井间距、井数、井径、井深的要求。
3为满足水泵的安装和动水位测量要求,安装水泵井段的内径应比水泵铭牌上标定的井管内径大50mm。式(5.5.5-1)中滤水管进水表面有效孔隙率(n)一般按滤水管进水表面孔隙率的50%考虑。
5工程试验和对比资料表明,滤水管有效长度在一定范围内,管井出水量随着其长度增加而增大,但当其长度超过30m后,出水量增大比例甚微,从经济合理性方面考虑,滤水管有效长度不宜超过30m。
5.5.6 抽水水泵的型号应根据管井内径、估算出水量和扬程确定。
条文说明
5.5.6一般潜水泵选用不受条件限制,离心式水泵仅适用于水位埋深在6m~7m以内的水量较大的管井。
5.5.7 钢管或塑料管滤水段开孔率宜为15%~25%。
5.5.8 滤水管应设置在设计动水位以下含水层部位。
5.5.9 滤水管周围应充填砂砾石滤料,厚度宜为100mm~150mm。充填砂砾石滤料的规格可按式(5.5.9)计算,当尾矿含水层不均匀系数C u 大于10时,应逐步剔除筛分样中的粗颗粒,并应以满足C u 小于10时的颗粒级配曲线确定d 50 :

式中:D 50 ——滤料的粒径,小于该粒径的滤料重占滤料总重的50%;
d 50 ——尾矿的粒径,小于该粒径的尾矿重占尾矿总重的50%。
5.5.10 沉砂管长度不宜小于1m。
5.5.11 管井出水量可按本规范附录C确定。
条文说明
5.5.11由于尾矿堆积坝体内浸润线一般起伏较大,本规范附录C为出水量估算公式,估算结果需以现场试验结果进行复核。
5.5.12 管井中最高水位和最低水位应设液位器控制。
5.6 垂直 水平联合排渗
5.6 垂直-水平联合排渗
5.6.1 垂直-水平联合排渗应包括垂直排渗体和水平排渗管。垂直排渗体和水平排渗管可采用直接连接或间接贯通,间接贯通部位宜置于渗透系数大于10 -3 cm/s的尾矿层中。
条文说明
5.6.1垂直-水平联合自流排渗系统在竖向和水平向同时集水,具有立体排渗效果(图9)。竖向排渗设施的功能主要是集水作用,渗水汇集后在其下部通过水平排渗管导出。水平排渗管兼有集水和导水两种功能,其中在浸润线以下的部分具有集水和导水功能,浸润线以上的部分仅具有导水功能。 
图9水平-竖向联合排渗示意图
1-库水位;2-初期坝;3-竖向排渗体;4-水平排渗管;5-排渗加固前浸润线;6-排渗加固后浸润线;7-坝面
因竖向排渗体需将其设置深度范围内上、下各含水层贯通并集水,为将集水顺畅通过水平排渗管导出坝外,二者必须连接贯通,且竖向排渗体底部标高应低于水平排渗管所处位置的标高。
尾矿渗透性等级可参考国家标准《水利水电工程地质勘察规范》GB50487确定,中等渗透尾矿为10-4cm/s≤渗透系数(K)<10-2cm/s,其以上为强透水和极强透水尾矿层。
5.6.2 垂直排渗体结构可选用管井、大直径砂砾井、小直径袋装砂砾井或塑料排水板。
5.6.3 垂直排渗体应设置在水平排渗管终端5m内,深度应进入水平排渗管端部以下2m。
5.6.4 管井设计应符合本规范第5.5节的有关规定。
5.6.5 大直径砂砾井可采用普通砂砾井和袋装砂砾井,其设计应符合下列规定:
1 井间距应与水平排渗管间距一致;
2 井径宜为600mm~800mm;
3 袋装砂砾井的制袋材料可采用300g/m 2 ~500g/m 2 土工布;
4 普通砂砾井的砂砾料应符合本规范第5.5.9条的规定,袋装砂砾井的砂砾料粒径宜为2mm~40mm。
5.6.6 小直径袋装砂砾井设计宜符合下列规定:
1 宜平行坝轴方向呈直线状连续布置,对隔水层不连续地段可分段布置。
2 小直径袋装砂砾井分段布置时,分段连续长度宜符合下列规定:
1)当水平排渗管长度不大于50m时,分段连续长度不宜小于2.5m;
2)当水平排渗管长度大于50m时,分段连续长度可按下式计算:

式中:b——袋装砂砾井分段连续长度(m);
L——水平排渗管长度(m)。
3 单井直径宜为150mm。
4 小直径袋装砂砾井的制袋材料可选择300g/m 2 ~500g/m 2 的土工布,袋内充填滤料的粒径宜为2mm~5mm。
条文说明
5.6.6目前小直径袋装砂砾井在工程上得到广泛的应用,我国通常采用100mm~200mm的直径。由于可连续或分段布置,从而弥补了单个大直径砂井和管井的不足,使砂井的设计和施工更加科学化。
当分段布置时,可视其结构情况,在平面上呈圆形、矩形、条形、冀形等布置。
1987年在安徽铜陵狮子山铜矿杨山冲尾矿坝加固治理工程中,首次应用袋装砂砾石排渗井作为垂直排渗体,并取得显著效果。在袋装砂砾石排渗井开发应用初期,先后应用麻棕、尼龙网等材料进行试验,效果不甚理想,出水含砂量较大,无法满足设计要求。最后选用土工布作为制袋材料,经河海大学对各种规格土工布在不同荷载下的渗透及淤堵试验等相关数据,确定选用400B2型材料较为合适。到目前为止,大量实际工程实践表明采用300g/m2土工布效果较好。所以本条规定可用300g/m2~500g/m2土工布制袋。
5.6.7 塑料排水板排渗设计宜符合下列规定:
1 塑料排水板宜为双排或多排组成,排距宜为200mm~400mm。
2 塑料排水板点距宜为塑料排水板当量换算直径的5倍~10倍,塑料排水板当量换算直径可按下式计算:

式中:D p ——塑料排水板当量换算直径(mm);
b——塑料排水板宽度(mm);
δ——塑料排水板厚度(mm)。
3 塑料排水板型号可按表5.6.7选用。槽沟型板芯宜选用聚丙烯或聚乙烯材料,滤膜材料宜选用耐腐蚀的涤纶衬布。
表5.6.7 常用塑料排水板型号及性能指标

注:A型排水板适用于打设深度小于15m,B型排水板适用于打设深度小于25m,C型排水板适用于打设深度小于35m。
条文说明
5.6.7塑料排渗板的排渗原理和设计计算方法和砂井排渗法相同,塑料排渗板具有单孔过水断面大、排水畅通,质量轻、强度高、耐久性好等特点,是一种较理想的竖向排渗体。根据塑料排渗板的结构,要求滤水膜渗透性好,排水沟槽输入畅通。此外,塑料板沟槽断面不因受尾矿侧压力作用而减小,这是发挥塑料板排渗作用至关重要的因素。因此在选择塑料板时,应着重于板芯材料、滤水膜质量、塑料板的结构等因素综合考虑。一般采用聚丙烯和聚乙烯塑料板芯。
当分段布置时,也可视其结构情况,在平面上呈圆形、矩形、条形、冀形等布置。
5.6.8 水平排渗管设计应符合本规范第5.4节的规定。
5.7 虹吸排渗
5.7 虹吸排渗
5.7.1 虹吸排渗应由井室、水源井、虹吸管和水封池组成。
条文说明
5.7.1 水源井又称集水井,在尾矿坝排渗加固中多采用管井。
5.7.2 水源井宜成排平行于尾矿堆积坝轴线布设,排数、井数和间距宜经渗流计算确定。
5.7.3 严寒和寒冷地区,虹吸管、水封池、水源井应采取防冻措施。
条文说明
5.7.3 本条中气候分区是按照现行国家标准《民用建筑热工设计规范》GB 50176-93的规定而确定的,主要划分为严寒地区、寒冷地区、夏热冬冷地区、夏热冬暖地区和温和地区等五个气候区,其中严寒地区和寒冷地区应满足冬季保温要求,结合我国不同地区尾矿堆积坝虹吸排渗加固设施运行情况,做出本条规定。
5.7.4 水源井宜为管井,管井设计应符合本规范第5.5节的有关规定。
5.7.5 水源井结构应符合下列规定:
1 底座宜采用混凝土结构,厚度宜为400mm~500mm,混凝土强度等级不宜低于C25;
2 井深不宜大于15m,井管材料宜采用无砂混凝土管,管径宜为200mm~300mm,壁厚宜为50mm~100mm;
3 反滤层材料可采用土工布、过滤网和中、粗砂。土工布的规格应符合现行国家标准《土工合成材料应用技术规范》GB 50290的有关规定,过滤网的规格应符合现行国家标准《管井技术规范》GB 50296的有关规定;
4 井室直径宜为1200mm~1500mm,井室高不得低于2500mm,埋入尾矿坝面以下不宜小于2000mm。井室应采用砖石砌体或钢筋混凝土结构。
5.7.6 虹吸管设计应符合下列规定:
1 虹吸管的管径应根据虹吸井的单井出水量按下式计算:

式中:D——虹吸管的管径(m);
Q——虹吸井单井出水量(m 3 /s),可按本规范附录C估算;
v——虹吸管的允许流速,可取0.5m/s~0.7m/s。
2 管中水头损失可按下式计算:

式中:h——虹吸管的管中水头损失(m);
h f ——虹吸管的沿程水头损失(m);
h j ——虹吸管的局部水头损失(m)。
3 虹吸管的允许真空高度宜为6m~7m,有效真空高度按下式计算。

式中:h y ——有效真空高度(m);
h r ——允许真空高度(m);
h——虹吸管的管中水头损失(m)。
4 虹吸管进口端宜设置在水源井内最低水位以下1.0m~1.5m,当虹吸管进口端直接与水源井管连接时,过滤器淹没于最低动水位以下的深度宜为0.5m~1.0m。
5 虹吸管出口端深入水封池内水下深度宜为0.5m~1.0m。
6 虹吸管的直径和数量应根据抽水试验结果复核,抽水试验井的数量宜为水源井总数的25%,且不宜少于5口井。
7 虹吸管材料宜采用聚乙烯(PE)管,且应通长设置。
条文说明
5.7.6本条规定了虹吸管设计要求。
2虹吸管沿程水头损失可由下式计算: 
式中:λ——沿程阻力损失系数;
l——管长;
d——管径;
v——流速。
虹吸管的局部水头损失由下式计算: 
式中:ζ——局部阻力损失系数;
v——流速。
7本款中通长设置主要指不宜设置管道接头,以减小局部水头损失。
5.7.7 水封池结构应符合下列规定:
1 水封池宜为长方形,长度应根据接入虹吸管的数量确定,宽度不宜小于1500mm,高度宜为1000mm~1500mm,严寒和寒冷地区水封井应置于冻土层以下,或采取保温防冻措施。
2 水封池结构材料应采用钢筋混凝土结构,混凝土强度等级不应低于C25。
3 溢水管材料可采用聚氯乙烯(PVC)管或钢管,管径应根据排水量确定,排水量按下式计算:

式中:Q p ——排水量(m 3 /s);
β——系数,取1.5~2.0;
Q i ——单根虹吸管的渗流量(m 3 /s)。
4 溢水管出口应接入坝面排水沟或坝下水封池。
5 水封池内水位应低于水源井水位,二者高差不得小于1.5m。
5.8 辐射井排渗
5.8 辐射井排渗
5.8.1 辐射井应由集水井、排渗管和导水管构成。
条文说明
5.8.1辐射井由横管井发展和演变而来,早期主要用于地下水开采取,自20世纪90年代开始逐步应用于尾矿堆积坝排渗加固工程,并取得良好效果。辐射井具有适用性强、排渗效果显著、维护成本低、使用寿命长等特点。
辐射井是利用辐射状排渗管将堆积坝体内地下水自流至集水井内,通过导水管自流排出坝体以外的排水系统(图10)。对于复杂场地,为增加排渗加固效果,可沿辐射排渗管增设小直径袋装砂砾井、塑料排水板等垂直排渗体,形成立体排渗系统。 
图10辐射井排渗示意
1-库水位;2-初期坝;3-集水井;4-导流管;5-排渗管;6-排渗加固前浸润线;7-排渗加固后浸润线
5.8.2 集水井的井位可选择在堆积坝坝坡或沉积滩上。
条文说明
5.8.2集水井在坝坡或沉积滩的平面位置布置主要依据坝轴线长度、需要排渗加固治理的范围、浸润线埋深、坝体渗透破坏情况和导水管路途等因素确定,并优先考虑渗透破坏的范围和浸润线埋深较浅的部位。
5.8.3 集水井的井数、井距、井深和井径应根据堆积坝轴线长度、排渗降水范围、水平排渗管的长度等因素,通过渗流和稳定性计算确定。
条文说明
5.8.3 由于辐射井的平面排渗加固范围主要取决于辐射排渗管长度,垂直排渗加固主要取决于最底层辐射排渗管设置深度,所以应在渗流和稳定性计算的基础上,结合辐射排渗管的设置情况和导水管的设置条件综合确定井数、井距、井深和井径。
5.8.4 集水井结构应符合下列规定:
1 集水井宜采用圆形,集水井直径不宜小于3m;
2 井口距地面的高度不应小于300mm;
3 井深不宜小于15m,井距不宜小于100m;
4 井口应设井盖和检修口,井内壁应设人行爬梯;
5 井筒宜采用钢筋混凝土结构,刃脚部位混凝土强度等级不得低于C25,井身混凝土和水下封底混凝土强度等级不得低于C20;
6 井筒结构计算应符合现行行业标准《水工混凝土结构设计规范》SL 191的有关规定,荷载尚应包括水平排渗管施工时作用在井壁上的顶力;
7 井筒内受力钢筋的混凝土保护层厚度不应小于35mm;
8 井筒下沉计算应符合现行国家标准《给水排水工程构筑物结构设计规范》GB 50069的有关规定;
9 当尾矿坝内地下水对混凝土结构和钢筋具有腐蚀性时,应采取防腐措施;
10 井口盖板宜采用预制钢筋混凝土板或钢板。
条文说明
5.8.4本条规定了集水井结构设计要求。
3井的间距不宜小于100m,可根据排渗管施工机具的能力确定。
4井口设置井盖是为了防止人或杂物掉入井内,造成人员伤害及淤堵辐射井。在井盖上设置检修口,井内设爬梯是为便于检修。
8井筒下沉设计时,井壁外侧与尾矿间的单位摩阻力标准值fk应通过试验确定。无试验资料时,可参照表2选用。
表2单位摩阻力标准值fk
对流塑状态黏性尾矿取表2中下限值,可塑状态黏性尾矿取表2中上限值;对松散状态尾粉土和砂性尾矿取表2中下限值,密实状态尾粉土和砂性尾矿取表2中上限值。
当集水井深度范围内为多种类别尾矿时,单位摩阻力取各尾矿层单位摩阻力标准值的加权平均值,按式(3)计算: 
式中:fkj——多土层的单位摩阻力标准值的加权平均值(kPa);
fki——第i土层的单位摩阻力标准值(kPa),按表2选用;
hsi——第i层土的厚度(m);
n——沿辐射井下沉深度不同类别土层的层数。
下沉系数应符合式(4)和式(5)的要求: 
式中:kst——下沉系数;
Gk——井筒自重标准值(包括外加助沉重量的标准值)(kN);
Ffw,k——下沉过程中水的浮托力标准值(kN);
Ffk——井壁总摩阻力标准值(kN)。
集水竖井封底混凝土厚度根据基底的向上净反力计算确定,可按式(6)计算: 
式中:ht——封底混凝土厚(mm);
M——每米宽度内最大弯矩的设计值(N·mm);
b——设计宽度(mm),取1000mm;
ft——混凝土抗拉强度设计值(N/mm2);
hu——附加厚度(mm),可取300mm。
计算厚度需扣除封底的附加厚度。
5.8.5 排渗管设计应符合下列规定:
1 应以集水井为中心在含水尾矿层内呈辐射状布置,且应以上游方向为主。排渗管均应向集水井筒内倾斜,坡比宜为2%~4%。
2 排渗管数量宜经渗流计算确定,可设置为单层或多层,每层宜采用5根~9根。并宜布设在尾矿粒径相对较大的层位。
3 底层排渗管距集水井底板顶面的高度不应小于1.0m。
4 排渗管长度应根据尾矿含水层的厚度、渗透特性、降深要求等条件确定,宜为30m~100m。
5 排渗管的结构应符合本规范第5.4.7条的规定。
6 辐射井的出水量可按本规范附录C确定。
条文说明
5.8.5工程实践表明,辐射井出水量的影响因素十分复杂,按经验公式和理论计算的结果与实际情况均存在较大差异,具体工程可按本规范附录C推荐公式进行估算。
目前,辐射井出水量也有采用瞿兴业公式(即渗水管法)进行估算。


式中:H——辐射渗水管全程水位平均高度(m);
Hx——降落曲线坐标的公式,距集水竖井中心距离x处的水位高度(m);
Hw——集水竖井中水位高度(m);
Ho——辐射渗水管端点处的水位高度(m);
H1、H2——距集水竖井R1、R2处的水位高度(m);
R1、R2——距集水竖井较近和较远处观测孔的距离(m);
Ro——辐射渗水管端点距集水竖井中心的距离(m);
Q——辐射井总出水量(m3/h);
α——待定系数;
r——集水竖井半径(m);
n——辐射排渗管根数;
θ——相邻两辐射管夹角(°);
△H——辐射渗水管中心与隔水底板间高差(m);
d——辐射渗水管直径(m)。
式中H、Hx、Hw、Ho、H1、H2均为从集水竖井底起算的高度。
5.8.6 导水管设计应符合下列规定:
1 导水管进水口距集水井底板顶面的高度不应小于700mm。
2 导水管应为自流式排水,坡比宜为2%~4%。
3 导水管的排水能力应大于全部排渗管的流量,导水管管径应根据出水量计算确定,管径宜为90mm~130mm。当单根导水管排水能力不足时,可增加导水管数量。
4 导水管长度宜为50m~130m。当导水管长度大于90m时,可在堆积坝中设中继井,中继井应符合集水井结构要求。
6 施工
6.1 一般规定
6 施 工
6.1 一般规定
6.1.1 施工前应进行现场踏勘,收集资料,依据设计文件编制施工组织设计。
6.1.2 施工前应具备下列资料:
1 岩土工程勘察报告;
2 施工图设计文件及图纸会审纪要;
3 施工场地和邻近区域内地下设施和障碍物的调查资料;
4 环保防渗设施;
5 施工组织设计;
6 主要施工机具及配套设备的技术性能资料;
7 主要原材料及其制品的质检报告;
8 测量放线资料。
6.1.3 施工组织设计应包括下列内容:
1 工程概况;
2 设计要求;
3 施工技术方案;
4 施工组织方案;
5 施工进度计划;
6 施工平面布置;
7 质量管理措施;
8 职业健康和安全生产管理措施;
9 文明施工和环境保护措施。
条文说明
6.1.3本条规定了编制施工组织设计的基本要求,明确了施工组织设计的编写内容。施工组织设计编制时,根据工程的规模和场地复杂程度,具体内容可作合理增减。
1工程概况具体内容一般包括尾矿堆积坝概况、场地地形、工程地质与水文地质特点、施工条件、必要的图件及技术难点等;
2设计要求具体内容一般包括排渗加固设施类型、技术质量要求及工作量等;
3施工技术方案内容包括施工准备、施工工艺、设备和材料计划等;
4施工组织方案内容应包括施工组织机构、劳动力计划及职责分工等;
6施工平面布置应包括施工现场给水、排水、用电、道路、材料存储、材料加工、临时设施及有关施工安全设施等场地的布置等。
6.1.4 施工工艺应根据设计要求、排渗加固场地复杂程度和现场条件确定。
6.1.5 施工材料及制品应符合设计要求和产品规格标准。
6.1.6 施工机具和配套设备应根据施工工艺、排渗加固方法、设计要求、场地条件、尾矿性质和地下障碍物特性综合确定,并应符合下列规定:
1 施工机具、配套设备和辅助系统应经调试和安全性检验;
2 所有设备和装置在施工过程中应定期检查、维修和保养。
6.1.7 当需要设计变更时,施工前应取得设计单位相应变更设计文件。
6.1.8 施工过程中应填写原始记录、监测记录、验收记录、隐蔽工程记录和质量检查记录。
6.1.9 采用施工新技术和新工艺应经过技术认证或鉴定。
条文说明
6.1.9由于尾矿堆积坝的筑坝方式和尾矿排放方式的差异,导致坝体本身的水文地质和工程地质条件不尽相同,需采取相应有效的排渗加固方法对其进行治理,所以提倡开发施工新技术和新工艺,但实施前应进行工艺性试验,并应经过技术认证或鉴定。
6.1.10 排渗设施成孔施工不宜采用泥浆护壁。
6.1.11 当室外日平均气温连续5天稳定低于5℃时,施工时应采取防冻措施。
6.2 贴坡排渗
6.2 贴坡排渗
6.2.1 铺设范围、厚度应满足设计要求,外表宜平整。
6.2.2 粒状反滤料施工铺设应符合下列规定:
1 反滤料的性质、级配、不均匀系数、含泥量及其铺筑位置和有效范围均应符合设计要求;
2 反滤料加工生产过程中应随机抽查检测,经验收合格后使用;
3 反滤料铺筑过程中,应保持湿润,不得混入杂物;
4 反滤层施工时应分层夯实;
5 对已施工合格的反滤层应做好防护;
6 反滤层应层次清楚,不宜设置纵缝,不得发生层间错位和中断。
条文说明
6.2.2 采用粒状反滤料施工时,应按设计要求复核料场的用料贮量和质量,其中质量主要复核用料的粒径、级配、不均匀系数、含泥量等。反滤料运送过程中应保持湿润状态,以免颗粒分离,并防止杂物或不同规格物料混入。铺填反滤层时,一般按10m间距方格网设置厚度控制点,使其厚度均匀层次清楚。铺填反滤层须自底部向上进行,不得从坡面上向下倾倒。分段铺填时,应做好接缝处各层之间的连接。反滤层铺填后,应及时铺设保护层。
6.2.3 用土工织物作反滤层时,搭接方式宜采用缝接,施工铺设应符合现行国家标准《土工合成材料应用技术规范》GB 50290的有关规定。
6.2.4 保护层可采用机械或人工选石堆砌、整坡,宜与底部反滤层填筑同步进行,施工过程中不得损坏反滤层。
6.3 排渗管排渗
6.3 排渗管排渗
6.3.1 设备安装应符合下列规定:
1 安装前应构筑反力墩,反力墩的设置应根据施工设备的几何尺寸和钻进最大阻力值综合确定;
2 应根据排渗管轴线位置采用仪器定位,施工设备应根据设计孔位和轴线方向进行安装和调试。
条文说明
6.3.1 为确保水平排渗管的施工质量,首先应把施工设备安装牢固,防止施工过程中发生失稳或偏移。
6.3.2 施工孔径宜大于排渗管外径45mm~80mm。
6.3.3 导水管应采用管外封孔处理。
条文说明
6.3.3 由于退拔套管后,钻孔孔径大于导水管直径,会导致渗水不从导流管排出,而从导流管与孔壁之间的空隙流出,并使周边尾矿产生渗透破坏,因此需对其做好封孔处理。
6.3.4 排渗管出水含砂量体积比不得大于1/100000。
条文说明
6.3.4排渗管出水含砂量直接关系到排渗设施的正常运行、使用寿命和堆积坝体变形等,含砂量过大会导致局部坝体渗透变形、排渗管堵塞等事故,控制出水含砂量在允许范围内是保证排渗设施质量的关键之一。因此本条对排渗设施含砂量作了明确规定。
工程实践表明,排渗设施的排水含砂量变化具有规律性,一般排水开始时含砂量较高,随着排水时间的延续,含砂量逐渐减小并趋于稳定,最终形成稳定含砂量。本条规定的含砂量是指稳定含砂量。
Ⅰ 水平排渗管
6.3.5 工作坑的尺寸应根据施工设备机具型号、单根套管长度、开孔处埋深等因素确定。施工完毕后,应回填工作坑和恢复坝面。
6.3.6 水平排渗管施工工艺宜采用排渣顶管钻进或跟管钻进。
6.3.7 排渣顶管钻进应符合下列规定:
1 施工最大顶力应大于顶进阻力;
2 首节管宜慢速顶进,顶进方位应采用测斜仪检查;
3 顶进过程中遇障碍物时,宜采用筒形旋转钻头穿越;
4 顶进时宜从下方向上方顶进,并应及时清除管内渣土;
5 顶至设计深度后,应采用封砂器封堵套管端部和清除管内全部渣土。
条文说明
6.3.7顶管施工是采用油压千斤顶等推力设备将水平套管按设计要求顶入尾矿中,同时将管内渣土掏出。油压千斤顶的推力一般大于或等于2000kN,根据管径和阻力大小可采用一个或多个千斤顶。应对工作坑承受顶进反力侧壁进行加固,以便为顶进提供足够的反力支撑,并防止工作坑壁垮塌。
1顶进阻力按下式估算: 
式中:FP——顶进阻力(kN);
L——顶入管的长度(m);
Do——顶入管的外径(m);
fk——顶入管外壁与尾矿间的单位摩阻力标准值(kN/m2);
NF——管的端阻力(kN)。
顶入管外壁与尾矿间的单位摩阻力标准值fk应通过试验确定。无试验资料时,可参照表2选用,但需考虑顶入过程中挤密效应影响。
3筒形旋转钻头可穿越地下障碍物、导正和修正孔壁,一般钻头长度与其直径比值不宜小于1.5。
6.3.8 跟管钻进应符合下列规定:
1 跟管套管应采用无缝钢管,套管外径可按表6.3.8选择。
表6.3.8 套管外径与施工孔径和设计排渗管外径对应关系(mm)

2 套管宜采用丝扣连接,连接处不得漏水。
3 钻进至设计深度后,应封堵套管端部和清除管内残余渣土。
条文说明
6.3.8跟管钻进是通过固定在反力墩上的钻机向尾矿层中水平钻进成孔,同时跟进套管。
本条规定了水平孔达到设计深度后,安装水平排渗管前应进行必要的封堵套管端部和清除管内残渣工作,以保证后续排渗管的顺利安放和套管的顺利拨出。
6.3.9 排渗管安装长度应与套管长度一致,安装过程中不得损伤滤水管装置。
6.3.10 排渗管完成安装后,套管拔出宜连续作业。
条文说明
6.3.10由于在拔管过程中停顿时间过长,会导致尾矿涌入套管和水平排渗管之间的环状间隙,为防止因此发生的夹管事故,所以拨出套管宜连续作业。
6.3.11 水平排渗管施工允许偏差应符合表6.3.11的规定。
表6.3.11 水平排渗管施工允许偏差

Ⅱ 弧形排渗管
6.3.12 弧形排渗管应采用定向钻进工艺施工,并应采用导向定位系统控制钻进轨迹。
6.3.13 定向钻机的回转扭矩和回拉力应根据终孔孔径、曲线段最大弯曲率、排渗管长度,结合勘察资料确定。
条文说明
6.3.12、6.3.13弧形排渗管施钻前应根据勘察资料和管线设计要求,设计导向钻进轨迹图。为使钻进轨迹符合设计要求,首先确立定向钻的入土点和出土点位置,再根据钻进轨迹设计确定入土角、出土角、管道曲线段的轴向曲率半径等。导向定位系统是确保钻进行轨迹符合要求的关键,应根据定向钻机类型、穿越障碍物类型、探测深度和现场探测条件等合理选用。
6.3.14 导向孔钻进应符合下列规定:
1 钻机应先进行试运转,确定各部分运转正常后正式钻进;
2 钻孔时应匀速钻进,并应控制钻进给进力和钻进方向;
3 钻进时应跟踪探测,并应及时纠偏;
4 钻进过程中应绘制钻孔轨迹平面图、剖面图。
条文说明
6.3.14导向钻进用的探头每次使用前应进行深度标定,接收机与探头的标定距离应根据探测深度而定。探测时信号显示要适中,在表盘上要留有足够的增益和衰减余地,在一定范围内移动接收机,找到响应信号最强位置。
钻进过程中跟踪探测一般按每钻进一根钻杆探测一次钻头方位、倾角、距离、深度。当存在偏差时,一般采用小角度逐步纠偏。
6.3.15 套管选用应符合下列规定:
1 应采用无缝钢管;
2 管材力学性能应满足轴向最大回拉力和曲线段最大弯曲变形的要求。
6.3.16 套管设置施工应符合下列规定:
1 应从出土点向入土点方向回拉;
2 回拉过程中宜设滚筒架;
3 回拉过程应连续作业,直线段与曲线段节点处可暂停回拉,暂停时间应根据尾矿特性确定。
6.3.17 排渗管设置应符合下列规定:
1 排渗管接头应采用热熔连接;
2 排渗管应安放在套管内,并宜采用回拉法设置在孔内;
3 排渗管应在出土点一侧沿套管轴线方向组拼连接,并应在套管内向入土点方向设置。
6.3.18 在浸润线实际水力梯度大于临界水力梯度地段应采取减压措施。
条文说明
6.3.18由于在施工过程中可能导致浸润线发生变化,甚至致使其实际水力梯度大于临界水力梯度,所以需采取必要的减压措施,以避免施工过程中发生流土、管涌等现象。
6.3.19 弧形排渗管施工允许偏差应符合表6.3.19的规定。
表6.3.19 弧形排渗管施工允许偏差

注:表中L为设计排渗管长度。
6.4 管井排渗
6.4 管井排渗
6.4.1 管井可采用冲击、回转正(反)循环钻进工艺成孔,也可采用水冲法成孔。
6.4.2 采用冲击、回转钻进成孔工艺时,应符合现行行业标准《供水水文地质钻探与管井施工操作规程》CJJ/T 13的有关规定。
6.4.3 采用水冲法成孔时,成孔深度不宜大于30m,送水水量、水压及时间等参数应由现场试验确定。
条文说明
6.4.3由于不同堆积坝的尾矿组成差异较大,难以形成送水水量、水压及时间等技术参数的统一标准,故应通过试验确定有关参数。
6.4.4 安装井管前应校核孔径、孔深和孔斜,孔径不得小于设计井径。
6.4.5 井管外观应符合下列规定:
1 井管应无残缺、断裂和弯曲等缺陷;
2 井管的上、下口平面应垂直于井管轴线。
6.4.6 井管的安装应符合下列规定:
1 下管方法应根据管材强度和起重设备能力选定,可选用悬吊下管法和托盘下管法;
2 井管应对正接直,封闭严密,连接强度应满足下管安全和成井质量的要求;
3 对于充填滤料的管井,应设置扶正器;
4 管井底部应采取封堵措施。
6.4.7 充填滤料应按设计要求筛选,滤料充填应连续均衡,并应测量填筑高度和校核用量,所填滤料应留样备查。
6.4.8 管井施工允许偏差应符合表6.4.8的规定。
表6.4.8 管井施工允许偏差

注:d为管井直径。
6.4.9 洗井应符合下列规定:
1 滤料充填后应及时洗井,并应补充滤料;
2 洗井方式可采用抽水和注水交替洗井或空压机送风洗井。
6.4.10 水泵进水口应安置在沉淀管顶部与控制浸润线之间。
条文说明
6.4.10水泵进水口在沉砂管顶部与控制浸润线之间的具体位置可根据管井实际出水量进行调整,若实际出水量较大时可适当上移,反之则下移。
6.4.11 试验抽水应符合下列规定:
1 宜采用非稳定流抽水;
2 抽水量和水位降深不得小于设计值;
3 应同步观测出水量和水位降深,前3次观测时间间隔应分别为5min、10min、20min,其后应每隔30min测一次;
4 抽水延续时间应大于24h;
5 试验抽水结束前,应采用容积法测定出水含砂量。
6.4.12 井底沉淀物厚度不得大于井深的5‰。
6.5 垂直 水平联合排渗
6.5 垂直-水平联合排渗
6.5.1 水平排渗管的施工应符合本规范第6.3节的有关规定。
6.5.2 垂直排渗体平面位置应采用测量仪器进行定位。
条文说明
6.5.2垂直排渗体与水平排渗管直接连接或间接贯通是联合自流排渗的关键核心技术。一般可采用测量放线找准垂直排渗体点位或先采用高精度水平测斜仪对水平孔进行精确测量,然后结合测量放线进行垂直排渗体的施工定位。 随水平排渗管长度增加,垂直排渗体在坝面位置的确定难度相应增加,对于50m以上的水平排渗管,可采取多次定点法确定垂直排渗体在坝面的位置。
6.5.3 垂直排渗体与水平排渗管的直接连接或间接贯通效果应进行送水检验。
条文说明
6.5.3 送水检验一般采取送入清水,通过观测送入水量与排出水量的动态变化关系确定。必要时,可通过示踪试验确定。
6.5.4 管井施工应符合本规范第6.4节的规定。
6.5.5 大直径砂砾井施工应符合下列规定:
1 成井工艺应符合本规范第6.4节的有关规定;
2 可在井中直接填充砂砾料或投放袋装砂砾料;
3 充填砂砾料应进行清洗,含泥量不得大于3%;
4 袋装砂砾井采用土工布制袋时,缝合处应连续、平直、严实。
6.5.6 小直径袋装砂砾井施工应符合下列规定:
1 小直径袋装砂砾井成孔可采用沉管法、水冲法或螺旋钻进法;
2 当采用水冲法成孔时,应根据尾矿性质并通过试验确定冲孔水压和冲水时间;
3 当采用沉管法成孔时,对于相切排列的小直径袋装砂砾井应采用多套套管依次施工;
4 在小直径袋装砂砾井实施过程中,应标识并记录与水平排渗管贯通的砂砾井;
5 管口及其内壁应平直光滑,并应在套管管口设置滚轮向管内投放砂砾袋,投放过程中不得损伤砂砾袋;
6 起拔套管过程中,砂砾袋回带长度不得超过200mm。
条文说明
6.5.6本条对小直径袋装砂砾井作为垂直排渗体的施工做出了规定 1由于小直径袋装砂砾井具有直径相对较小、施工机具轻便、施工方法简单和效率高等优点,目前已得到广泛应用。沉管法成孔可据尾矿特性采用静压沉管法、锤击沉管法、静压-锤击联合沉管法或振动沉管法 2水冲法成孔是在直径为50mm~70mm冲套(一般为无缝钢管)下端装一个圆锥形射水喷头,喷头锥面上钻有数个直径为3mm~5mm的喷射孔,并焊有3个~5个三角形翼片(或环形刮刀),以利切土,冲管上端由耐压胶管与高压泵相连。高压水射出冲切土体,喷头靠自重下沉至设计深度成孔。施工时注意控制冲孔水压和时间 3采用多套套管依次施工主要是为避免损伤砂袋,具体实施步骤如下 (1)沉入第一套套管到设计深度,用高压清水冲出套管内的尾矿并投袋,不拔管 (2)按小直径袋装砂砾井设计布置方向紧贴第一套套管沉入第二套套管并投袋,不拔管 (3)拔出第一套套管,贴紧第二套套管沉第三套套管至设计孔深并投袋,依次类推直至所有小直径袋装砂砾井施工完毕。
6.5.7 大直径砂砾井和小直径袋装砂砾井施工允许偏差应符合表6.5.7的规定。
表6.5.7 砂砾井施工允许偏差

注:d为砂砾井直径。
6.5.8 塑料排水板的施工机具宜采用液压式插板机。
6.5.9 塑料排水板施工应符合下列规定:
1 施工过程中,不得损坏滤膜和扭曲塑料排水板;
2 塑料排水板回带超过500mm或断板时,应在相应位置补充设置;
3 塑料排水板需要接长时,应在滤膜内平搭接,搭接长度应大于200mm;
4 当采用套管插入时,塑料排水板与孔壁的间隙应采用粗砂充填。
6.5.10 塑料排水板质量应符合现行行业标准《水运工程质量检验标准》JTS 257的有关规定。
条文说明
6.5.8~6.5.10施工塑料排水板的方法有套管法和裸打法两种,由于尾矿砂易对滤膜造成损伤,目前在尾矿堆积坝排渗加固工程中多采用套管法。 一般打设塑料排渗板的套管管靴有圆形、扁形或棱形,由于管靴断面不同,则所用重坠各异,并且一般都与套管分离。重坠主要作用是在打设塑料排渗板过程中对塑料排渗起下坠锚定作用,以防提拔套管时将塑料排渗板带起。
6.5.11 塑料排水板施工允许偏差应符合表6.5.11的规定。
表6.5.11 塑料排水板施工允许偏差

6.6 虹吸排渗
6.6 虹吸排渗
6.6.1 水源井采用管井时,施工应符合本规范第6.4节的有关规定。
条文说明
6.6.1尾矿堆积坝排渗加固工程一般采用管井作为水源井。当采用其他形式时,可参照相应的规定施工。
6.6.2 井室施工应符合国家现行标准《砌体结构工程施工质量验收规范》GB 50203和《水工混凝土施工规范》DL/T 5144的有关规定。
6.6.3 虹吸管施工应符合下列规定:
1 虹吸管连接不得变径;
2 铺设前应对虹吸管进行逐一检查;
3 水封池可对应多个水源井,多个水源井的虹吸管可铺设在同一沟槽内同时穿入水封池。
条文说明
6.6.3对虹吸管的检查主要采用外观和注水相结合的方法进行。
6.6.4 水源井反滤层采用土工织物时,土工织物施工应符合现行国家标准《土工合成材料应用技术规范》GB 50290的有关规定。
6.6.5 水源井反滤层采用过滤网和中、粗砂时,施工应符合现行国家标准《管井技术规范》GB 50296的有关规定。
6.6.6 水源井施工允许偏差应符合本规范第6.4.8条的规定。
6.6.7 水封池施工应符合现行行业标准《水工混凝土施工规范》DL/T 5144的有关规定。
6.7 辐射井排渗
6.7 辐射井排渗
6.7.1 辐射井施工应包括集水井、排渗管和导水管。
6.7.2 集水井施工应符合下列规定:
1 集水井宜采用沉井施工工艺,并应根据工程地质和水文地质条件,选用排水下沉或不排水下沉施工方法。
2 集水井制作应符合国家现行标准《混凝土结构工程施工质量验收规范》GB 50204和《水工混凝土施工规范》DL/T 5144的有关规定。
3 挖土施工应符合下列规定:
1)排水下沉施工可采用人工挖土或机械抓斗挖土,不排水下沉施工可采用机械抓斗挖土、水冲和水力吸土;
2)宜由井筒中心向刃脚方向对称、均匀、分层开挖,每层挖土厚度不得大于0.5m。
4 井筒下沉测量控制应符合下列规定:
1)在井筒外围地面的轴线位置应预设测量基准点;
2)各节下沉前后,均应测量刃脚踏面的标高、井内底面标高、下沉量、垂直度;
3)井筒下沉过程中,每8h测量井筒标高和轴线位移量不得少于1次。终沉时,应每1h测量1次。
5 当井筒下沉受阻时,应采用助沉措施。
6 井筒下沉过程中,应控制井筒下沉的均匀性。当井筒出现倾斜时,应及时进行纠偏。
7 集水井封底应符合下列规定:
1)当采用排水封底时,井底不得发生管涌、流砂、流土等现象,当井底存在尾矿渗透变形或破坏时,应采用水下封底;
2)井筒下沉到设计标高后,封底前8h内井筒累计沉降量不得大于10mm;
3)采用排水封底时,混凝土强度等级未达到设计强度70%不得停止排水。采用水下封底时,混凝土强度未达到设计强度70%不得将井内储水抽除。
条文说明
6.7.2本条说明如下: 1在施工前应根据勘察和设计资料,认真分析和判定施工过程中是否会发生井筒周围尾矿沉陷、下部流砂和井底涌砂等现象,从而决定采取哪种施工方法和对应措施。 对于集水井所穿过的尾矿层因排水而产生流砂或因排水造成周边地面沉降过大时,应选用不排水下沉施工方法。反之,可采用排水下沉施工方法。 4在井筒下沉测量控制过程中,可采用水平管测量装置辅助观测垂直度。 5当井筒下沉受阻时,可视具体情况选用如下助沉措施: (1)沿井筒周围预埋注浆管并向井筒外壁注入泥浆滑润剂; (2)贴近井筒外壁钻孔并向孔内注入泥浆; (3)井筒外模板壁贴薄膜提高井筒外壁光滑度或涂抹润滑剂; (4)井筒顶压载降; (5)低井筒内水位。 6下沉过程中要随时掌握尾矿层的变化情况,分析和检验尾矿的阻力与井筒重量的关系,控制排土部位和排土量,使井筒均匀平稳下沉。井筒一般采取分段(节)施工,各段(节)衔接部位应平直,以免因此产生偏斜。 井筒下沉过程中产生的倾斜一般由尾矿的性质、厚度差异或沉井施工方法不当等原因所致,施工前应制订相应的纠偏方案。 7对于排水封底,一般采取两次封底法。第一次封底,即先在井底中部安装降水减压装置并抽水,然后在其周围施工钢筋混凝土。第二次封底是待初封混凝土初凝后,再施工第二层钢筋混凝土。 必要时,为防止渗水导致水泥流失,混凝土强度可按设计强度提高一个等级。
6.7.3 井壁的排水孔及导水孔宜采用钻具开孔法。
6.7.4 排渗管施工除应符合本规范第6.3节的有关规定外,尚应符合下列规定:
1 对于多层排渗管,应设置相应的施工作业平台;
2 排渗管的出水口管壁周围应封口保护,可采用沥青麻丝、土工织物或混凝土封堵。
6.7.5 导水管施工应符合下列规定:
1 应根据导水管管轴线位置采用仪器定位,施工设备应根据设计孔位和轴线方向进行安装和调试;
2 导水管成孔宜采用跟管钻进;
3 导水管的进水口和出水口管壁周围应封口保护,进水口处可采用沥青麻丝、土工织物或混凝土封堵,出水口处可采用混凝土或黏性土封填。
6.7.6 辐射井施工的允许偏差应符合表6.7.6的规定。
表6.7.6 辐射井施工的允许偏差

条文说明
6.7.6目前国内有关技术标准,对建筑工程中沉井最大倾斜度允许偏差的要求不尽相同,一般规定不大于2%H(H为下沉深度),对于浮式沉井规定倾斜度不大于2°。本规范中集水井功能不同于建筑工程中沉井,主要作为集水和排渗管、导水管的施工平台,井筒中心垂直度小于或等于3°时不影响其正常使用功能。
7 检验、监测与验收
7.1 一般规定
7 检验、监测与验收
7.1 一般规定
7.1.1 排渗加固施工应符合施工图设计要求。
7.1.2 原材料、成品、半成品检验应包括质量合格证和现场抽检。
7.1.3 检验数量和方法除应符合本规范第6章的有关规定外,尚应符合现行国家标准《混凝土结构工程施工质量验收规范》GB 50204的有关规定。
7.1.4 应根据排渗加固设施类型和监测内容,制订相应的监测方案。
7.2 检验
7.2 检 验
7.2.1 贴坡排渗施工检验应包括下列内容:
1 反滤料和保护层原材料的质量;
2 反滤料的颗粒级配、不均匀系数、含泥量;
3 反滤层分层厚度;
4 保护层厚度;
5 铺设范围、土工织物搭接。
7.2.2 水平排渗管施工检验应包括下列内容:
1 管材、土工织物等原材料质量;
2 管径、滤水管开孔率;
3 水平排渗管出口位置、方位角、倾角、长度;
4 出水量及出水含砂量。
7.2.3 弧形排渗管施工检验应包括下列内容:
1 管材和滤网等原材料质量;
2 排渗管的直径、槽宽、滤孔直径与间距;
3 排渗管入土点和出土点位置、排渗管长度;
4 出水量及出水含砂量。
7.2.4 管井施工检验应包括下列内容:
1 砂、石、水泥、钢材、管材等原材料质量;
2 混凝土配合比、坍落度、强度;
3 管井的中心位置、井深、井径、垂直度、井的结构;
4 滤料的规格;
5 无砂混凝土滤水管透水性;
6 钢管或塑料管滤水段的开孔率;
7 试验抽水的出水量和降深;
8 洗井后井底沉淀物厚度、出水含砂量。
7.2.5 垂直-水平联合排渗施工检验应包括下列内容:
1 水平排渗管施工检验;
2 管井施工检验;
3 砂砾井的垂直度、井位、井深、井径及充填砂砾料质量;
4 袋装砂砾井的制袋材料质量;
5 塑料排水板材料质量、平面位置、板底深度、垂直度;
6 垂直排渗体与水平排渗管的连接或贯通效果;
7 出水量和出水含砂量。
7.2.6 虹吸排渗施工检验内容应符合本规范第7.2.4条的有关规定,并应检验虹吸管管材、反滤层、土工织物等原材料质量。
7.2.7 辐射井施工检验应包括下列内容:
1 砂、石、水泥、钢材、管材等原材料质量;
2 混凝土配合比、坍落度、强度;
3 钢筋的焊接质量、主筋和箍筋的制作偏差;
4 集水井的井筒中心垂直度、井筒直径、井壁厚度、井深;
5 排渗管的开孔位置、方位角、长度、倾角、开孔率;
6 导水管的进出口位置、倾角;
7 出水量和出水含砂量。
条文说明
7.2.1~7.2.7规定了各种排渗加固工程的检验内容,包括原材料、半成品、产品的检验和施工质量的检质检验。检验标准应符合相关标准的规定和设计要求。 对于贴坡反滤层内砂砾石,一般每50m2~100m2不少于1个检验点,且检验数量不少于3个点。
7.2.8 监测设施施工检验应包括下列内容:
1 监测设施的原材料质量;
2 浸润线观测精度;
3 流量监测精度。
条文说明
7.2.8监测设施的原材料主要包括管材、滤料、电缆、光纤等。
7.3 监测
7.3 监 测
7.3.1 排渗加固施工期间应进行监测。
条文说明
7.3.1由于本条规定排渗加固监测适用于排渗加固施工期间的监测,因此监测范围为采取排渗加固工程的区域内,监测内容主要指浸润线和流量。当合同另有要求时,可按现行行业标准《尾矿库安全监测技术规范》AQ2030的规定执行。
7.3.2 监测应在利用已有监测设施的基础上进行。当已有监测设施不满足要求时,应增设监测设施。
7.3.3 监测内容应包括浸润线和出水量监测。在辐射井排渗施工期间,应进行坝体变形监测。
7.3.4 监测过程中应定期整理监测数据,分析其动态变化规律,并应预测其发展趋势。当发现异常现象时,应报告业主单位,并应采取应急处理措施。
Ⅰ 浸润线监测
7.3.5 增设监测设施时,浸润线监测应符合下列规定:
1 监测线应根据排渗加固设施数量及其影响范围确定,不得少于2条。监测线应按穿过排渗加固设施中心区域且垂直坝轴线布置。对于多组排渗设施,应在相邻两组排渗设施中间设置观测孔。
2 监测线上观测孔间距宜为20m~40m,且不得少于3个。
3 监测线上观测孔应深入排渗加固后渗流计算浸润线和控制浸润线3m以下。
7.3.6 浸润线观测孔施工应符合下列规定:
1 观测孔应采用清水钻进;
2 观测管内径不得小于50mm,沉淀管长度不得小于1m,管底应封闭;
3 浸润线以下的观测管应为滤水管,滤水管的孔隙率不宜小于3%,管外宜包扎200g/m 2 ~300g/m 2 土工布;
4 观测管管口应加盖并固定。
条文说明
7.3.6监测线一般在具有代表性的地段平行于地下水流向布置。监测点数量和埋设位置应根据监测线长度、渗流计算方法等因素合理确定,为准确反映浸润线的形状及其变化,在其变化较大部位取监测线距和点距的小值。
7.3.7 浸润线观测可采用电测水位计或自动水位测量仪,每日观测不应少于1次,测量精度误差不得大于20mm。
Ⅱ 出水量监测
7.3.8 出水量监测点应设置在单个排渗设施的出水口或多个排渗设施的汇流处,每日量测不应少于一次。
7.3.9 出水量监测方法可按表7.3.9选用。
表7.3.9 出水量监测方法的适用条件和精度要求

注:采用测流速法时,测速沟槽直线段长度不应小于15m,且坡度一致。
7.4 验收
7.4 验 收
7.4.1 验收程序和组织应符合现行国家标准《建筑工程施工质量验收统一标准》GB 50300的有关规定。
7.4.2 尾矿堆积坝排渗加固工程验收应包括隐蔽工程验收和竣工验收。
7.4.3 竣工报告应包括下列内容:
1 开工和竣工报告单;
2 施工组织设计和专项方案;
3 排渗加固施工报告和设施使用及维护说明;
4 原材料、成品、半成品质量合格证;
5 原材料和试件检验报告、试验报告和质量评定记录;
6 隐蔽工程验收记录;
7 工程测量定位记录,图纸会审记录、设计变更或洽商记录;
8 浸润线、出水量和水质等监测资料;
9 竣工图。
7.4.4 竣工验收应在隐蔽工程验收合格的基础上,根据浸润线、出水量及其含砂量等监测资料评价排渗加固效果后进行验收。
条文说明
7.4.1~7.4.4尾矿堆积坝排渗加固工程属特殊治理工程项目,有别于一般建(构)筑物工程施工项目,且大多属于隐蔽工程,因此可按隐蔽工程验收和竣工验收程序进行,施工质量验收和效果检验均应符合设计和相关技术标准的要求。同时可参照执行国家标准《尾矿设施施工及验收规范》GB50864的有关规定。
8 安全与环保
8 安全与环保
8.0.1 施工组织设计应包括安全生产管理措施与环境保护措施、特殊气象条件下的施工安全措施。
8.0.2 对于重大危险源和重要环境因素,施工单位应制订安全生产与环境保护专项预案。
8.0.3 在尾矿堆积坝排渗加固工程勘察和施工过程中,不得对堆积坝体产生破坏性影响和损害已有的环保防渗设施。
条文说明
8.0.3在尾矿堆积坝排渗加固施工过程中,若施工方法不当,可能引起堆积坝体饱和尾粉土和尾砂液化、渗透破坏、坝体变形乃至失稳等严重后果。由于尾矿堆积坝排渗加固工程是对已有坝体进行加固治理,有些含污染物的尾矿库采取了环保防渗设施,若这些环保防渗设施在排渗加固治理勘察和施工过程中遭到破坏,将产生污染物流失而导致环境污染事件。 在勘察、设计和施工前期均应充分收集和分析已有有关资料,避免勘探钻孔和排渗加固设施损害已有环保防渗设施。
8.0.4 现场作业人员和设备对含有害物质的尾矿、水、气应采取防护措施。
8.0.5 临时用电线路架设和拆除应符合现行行业标准《施工现场临时用电安全技术规范》JGJ 46的有关规定。
条文说明
8.0.5加强用电安全管理,电工必须持证上岗。现场设备必须具有接地装置,做到一机一闸一保险和三级漏电保护。严禁私自拉接照明线路,现场实行轮流值班制,便于及时处理突发事故。
8.0.6 施工开挖的废渣应按照指定的地点进行堆放并处理,排出的尾矿水应集中回收利用或处理,不得随意排放。
8.0.7 勘察安全措施应符合现行国家标准《岩土工程勘察安全规范》GB 50585的有关规定。除长期观测钻孔外,所有钻孔和探井完工后进行的回填封堵应符合现行国家标准《尾矿堆积坝岩土工程技术规范》GB 50547的有关规定。
条文说明
8.0.7若不对坝体上的钻孔、探井等进行回填封堵,则可能改变坝体渗流条件。因此钻孔、探井等勘探工作完成后,应以“以土还土、以砂还砂”原则进行回填封堵,并做好封堵施工记录。记录内容包括钻孔编号、孔口高程、孔径、钻进情况、事故及处理情况、封孔用料、分层捣实及孔口处理情况等。
8.0.8 排渗加固施工过程中应采取控制管涌、流砂、流土发生的措施。
8.0.9 辐射井的集水井施工时,安全生产应符合下列规定:
1 井口应设置围护栏、盖板等安全防护设施,每班应对防护设施检查,非作业人员不得入内;
2 在距井口5m范围内不得堆放弃土;
3 起吊设备应安全可靠,钢丝绳检验、更换和报废应符合现行国家标准《起重机 钢丝绳 保养、维护、安装、检验和报废》GB/T 5972的有关规定;
4 应配置向井内作业面送风设备,风量不得少于25L/s;
5 井内应设置低压防水照明装置,作业人员应佩戴劳动防护用品;
6 暴雨期间不得进行辐射井沉井施工。
条文说明
8.0.9辐射井的集水井开挖掘进施工时,不同程度地存在安全隐患,直接危及井下施工人员生命安全,应制订周密可靠的安全技术措施,以确保施工安全。 4一般集水井深度超过10m时,含氧量明显降低,所以需配置向井内作业面送风设备。在施工过程需进行缺氧试验,根据测试结果进行通风供氧,以保障井内施工人员生命安全。 6尾矿坝的险情常在汛期发生,特别是重大险情多在暴雨期间发生。汛期尾矿库处于高水位工作状态,调洪库容有所减少,遇暴雨易造成洪水漫顶,同时浸润线的位置处于高位,坝体饱和区扩大,使坝体的稳定性降低,因此为防止尾矿坝险情的发生,本条规定在暴雨期间不得进行沉井施工。
8.0.10 现场机械设备的安全防护和保养应符合现行行业标准《建筑机械使用安全技术规程》JGJ 33的有关规定。
8.0.11 施工完成后,应对工作坑、排渗管和导水管进出口管壁周围进行封堵、回填处理。
附录A尾矿渗透变形室内试验要点
附录A 尾矿渗透变形室内试验要点
A.0.1 渗透变形试验仪应由渗流容器、渗流容器的垂直与水平支座、水头升降装置、水头及流量测量等装置构成。当需要测定某一应力状态下临界水力梯度与破坏梯度时,试验仪应具备相应的加载功能。水头可采用测压管测读或压力传感器测量,流量可采用量筒测读。渗流容器内径可取100mm、试样高度可取200mm。上、下透水板孔径宜为3mm或5mm。
A.0.2 水头、流量及压力等计量器具应进行检定与校验,并应符合现行国家标准《岩土工程仪器基本参数及通用技术条件》GB/T 15406的有关规定。试验装置在工程要求的最大水头作用下,各密封处不得漏水。
A.0.3 扰动试样制备应符合下列规定:
1 尾矿扰动试样应风干或70℃左右烘干,并应碾散拌和均匀;
2 应选取代表性试样进行颗粒分析试验,并应按控制干密度称取试样;
3 在试样中可加入试样总质量1%~2%的蒸馏水,拌和均匀后应分层装填制备试样。
A.0.4 原状试样采取与制备应符合下列规定:
1 应采用侧面开孔环刀采取试样,采样时应保持环刀垂直或水平完全压入尾矿中,试样与环刀内壁不得存在间隙。取出环刀和削平两端余样后,应在两端加盖并采用胶带密封。
2 对密封的环刀试样应进行竖向减振包装,在运输过程中应保持试样呈竖直放置。
A.0.5 试样安置渗流容器后,对试样饱和可按下列规定执行:
1 对砂性尾矿和粉性尾砂可采用70℃~90℃的自来水进行饱和;
2 对黏性尾矿可在装样前进行真空抽气饱和。
A.0.6 渗透变形试验应按照工程测试要求,对垂直或水平渗流容器施加相应的轴向或侧向压力。施加侧向压力时不得使用环刀。砂性尾矿可采用高于室内气温5℃~10℃的自来水进行测定,粉性尾矿和黏性尾矿宜采用脱气蒸馏水测定。
A.0.7 测定流土破坏型的临界水力梯度与破坏水力梯度时,宜在垂直向上渗流状态下测定。
A.0.8 试验过程中,应对试样分级施加渗流水头直至破坏,初始渗透梯度宜为0.02~0.04,后续渗透梯度递增值依次宜为0.05、0.10、0.15、0.20、0.30、0.40、0.50、0.70、1.00、1.50、2.00……当接近临界水力梯度或破坏水力梯度时,渗透梯度递增值可减小。
A.0.9 试验过程中,应观察并记录水温、浑浊程度、冒泡、颗粒跳动、移动或被水流带出、土体悬浮、渗流量及测压管水位的变化等情况,并应根据观测的水头差、渗流量分别计算流速和水力梯度。
A.0.10 试验成果整理过程中,应在双对数图上以水力梯度i为纵坐标、流速v为横坐标,绘制水力梯度与流速关系(lgi~lgv)曲线。
A.0.11 对管涌破坏型尾矿,当lgi~lgv曲线的斜率出现变化且开始产生颗粒跳动或被水流带出时,应取该级与其前一级的水力梯度平均值为临界水力梯度。当测压管水位差停止增加且流量急骤增大时,可取该级的前一级水力梯度为破坏水力梯度。
A.0.12 对流土破坏型尾矿,应取lgi~lgv曲线拐点的水力梯度为临界梯度,可取测压管水位差停止增加且土体悬浮时的前一级水力梯度为破坏水力梯度。
附录B尾矿堆积坝排渗加固设施类型及其适用条件
附录B 尾矿堆积坝排渗加固设施类型及其适用条件
表B 尾矿堆积坝排渗加固设施类型及其适用条件


附录C出水量估算
C.1管井出水量估算
附录C 出水量估算
C.1 管井出水量估算
C.1.1 管井出水量可按现行国家标准《管井技术规范》GB 50296的有关规定确定。
C.1.2 潜水含水层单井的出水量可按下列公式计算。

式中:Q——单井出水量(m 3 /d);
H——潜水含水层厚度(m);
r——管井的半径(m);
K——渗透系数(m/d);
h——管井中水深(m);
b 1 ——管井中心至排泄边界距离(m);
b 2 ——管井中心至补给边界距离(m);
H 1 ——补给边界处含水层厚度(m);
H 2 ——排泄边界处含水层厚度(m)。
2 圆形补给边界的潜水非完整井(图C.1.2-2),当l小于0.3H时,单井出水量可按下式计算:

式中:S——水位降深(m);
R——影响半径(m);
l——滤水管工作部分长度(m)。

图C.1.2-1 潜水完整井单井出水量计算示意

图C.1.2-2 潜水非完整井单井出水量计算示意
3 井群呈直线排列时的潜水非完整井,单井出水量可按下列公式计算,与 h 有关的系数(A)可按表C.1.2取值。

式中:a——两井间距的1/2(m);
A——与 h 有关的系数。
表C.1.2 A与 h 的关系系数

C.2辐射井出水量估算
C.2 辐射井出水量估算
C.2.1 根据单根排渗管出水量,辐射井出水量可按下列公式计算:


式中:Q——辐射井出水量(m 3 /d);
K——渗透系数(m/d);
q——辐射井单根排渗管出水量(m 3 /d);
n——排渗管的根数;
L——辐射井单根排渗管长度(m);
H——潜水含水层厚度(m);
h 0 ——动水位以下含水层厚度(m);
R——影响半径(m);
α——与n有关的系数,可按表C.2.1确定。
表C.2.1 α与n的关系系数

C.2.2 根据潜水含水层厚度及水位降深,辐射井出水量(图C.2.2)可按下式计算:

式中:h r ——排渗管轴线至不透水层底板之间的距离(m);
S——水位下降值(m);
A——与 
有关的系数,可按表C.2.2确定。
表C.2.2 A与 
的关系系数

本规范用词说明
本规范用词说明
1 为便于在执行本规范条文时区别对待,对要求严格程度不同的用词说明如下:
1)表示很严格,非这样做不可的:
正面词采用“必须”,反面词采用“严禁”;
2)表示严格,在正常情况下均应这样做的:
正面词采用“应”,反面词采用“不应”或“不得”;
3)表示允许稍有选择,在条件许可时首先应这样做的:
正面词采用“宜”,反面词采用“不宜”;
4)表示有选择,在一定条件下可以这样做的,采用“可”。
2 条文中指明应按其他有关标准执行的写法为:“应符合……的规定”或“应按……执行”。
引用标准名录
引用标准名录
《岩土工程勘察规范》GB 50021
《给水排水工程构筑物结构设计规范》GB 50069
《砌体结构工程施工质量验收规范》GB 50203
《混凝土结构工程施工质量验收规范》GB 50204
《土工合成材料应用技术规范》GB/T 50290
《管井技术规范》GB 50296
《建筑工程施工质量验收统一标准》GB 50300
《水利水电工程地质勘察规范》GB 50487
《尾矿堆积坝岩土工程技术规范》GB 50547
《岩土工程勘察安全规范》GB 50585
《尾矿设施设计规范》GB 50863
《起重机 钢丝绳 保养、维护、安装、检验和报废》GB/T 5972
《岩土工程仪器基本参数及通用技术条件》GB/T 15406
《冶金工业岩土勘察原位测试规范》GB/T 50480
《供水水文地质钻探与管井施工操作规程》CJJ/T 13
《水工混凝土施工规范》DL/T 5144
《建筑机械使用安全技术规程》JGJ 33
《施工现场临时用电安全技术规范》JGJ 46
《水运工程质量检验标准》JTS 257
《水工混凝土结构设计规范》SL 191
