Appearance
《地下结构抗震设计标准》GB/T 51336-2018
🗓️ 实施时间: 2019-04-01
总 则
1 总 则
1.0.1 为贯彻执行国家防震减灾的法律法规,实行以预防为主的方针,规范地下结构的抗震设计,使地下结构经抗震设防后,减轻地震破坏,避免人员伤亡,减少经济损失,制定本标准。
条文说明
1.0.1 制定本标准,不仅仅是为了确保地下结构的地震安全,也是为了尽可能减轻地下结构因地震导致的性能降低给自身及周边建(构)筑物的正常使用造成的障碍。
1.0.2 本标准适用于抗震设防烈度为6、7、8和9度地区地下结构的抗震设计。
条文说明
1.0.2 多年来,很多位于区划图6度的地区发生了较大的地震,6度地震区的地下结构要适当考虑一些抗震要求,以减轻地震灾害。抗震设防烈度大于9度地区的地下结构,其抗震设计应做专门研究论证。本标准“6度、7度、8度、9度”即“抗震设防烈度为6度、7度、8度、9度”的简称。
本标准不包括沉管结构和深部地下结构的抗震设计。
1.0.3 地下结构所在地区的抗震设防烈度应采用根据现行国家标准《中国地震动参数区划图》GB 18306确定的地震基本烈度。已完成地震安全性评价的工程场地,可按审定的抗震设防烈度或设计地震动参数进行抗震设防,但不应低于现行国家标准《中国地震动参数区划图》GB 18306的要求。
条文说明
1.0.3 本条文参照现行国家标准《城市轨道交通结构抗震设计规范》GB 50909的相关规定,并取区划图和安评结果的大值以确保工程安全。
1.0.4 地下结构的抗震设计,除应符合本标准外,尚应符合国家现行有关标准的规定。
术语和符号
2.1 术 语
2.1 术 语
2.1.1 地下结构 underground structure
地表以下的结构,依据其结构特征与分布形式分为地下单体结构、地下多体结构、隧道结构、下沉式挡土结构和复建式地下结构,其中隧道结构按施工方法分为盾构隧道结构、矿山法隧道结构和明挖隧道结构。
2.1.2 自由场动力分析方法 free-field site response analysis method
确定自由场土体受动荷作用时任意时刻反应值的方法。
2.1.3 剪切层法 shear layer method
将土体简化为一系列由剪切弹簧和阻尼器相联的薄层体系,进行动力分析的方法。
2.1.4 动力时程分析法 dynamic time history analysis
对运动微分方程进行逐步积分求解的动力分析方法。
2.1.5 等效线性化时程分析法 viscous-elastic time history analysis method
考虑土体的模量和阻尼比与剪应变满足一定的函数关系,并且在每一时段内土体的模量和阻尼比为常数,通过迭代进行求解的动力时程分析方法。
2.1.6 弹塑性时程分析法 elasto-plastic time history analysis method
考虑土体弹塑性的动力时程分析方法。
2.1.7 反应位移法 seismic displacement method
以场地土层地震动相对位移为主要因素确定地震作用,对地下结构物进行抗震计算的拟静力方法。
2.1.8 反应位移法Ⅰ seismic displacement method Ⅰ
适用于均质地层中地下结构的形状简单断面的反应位移法。
2.1.9 反应位移法Ⅱ seismic displacement method Ⅱ
适用于成层地层中地下结构的形状简单断面的反应位移法。
2.1.10 反应位移法Ⅲ seismic displacement method Ⅲ
适用于均质或较均质地层的线长形地下结构的纵向反应位移法。
2.1.11 反应位移法Ⅳ seismic displacement method Ⅳ
适用于沿纵向地层变化明显的线长形地下结构的纵向反应位移法。
2.1.12 整体式反应位移法 integrated seismic displacement method
适用于均质、水平成层或复杂成层中地下结构的形状复杂断面的反应位移法。
2.1.13 地下单体结构 singular underground structure
独立的地下结构。
2.1.14 地下多体结构 complex underground structure
由两个或以上体量相当的单体结构组成的地下结构。
2.1.15 下沉式挡土结构 sunken earth retaining structure
由地表下切形成地槽两侧的挡土结构,包括下沉重力式挡土结构和下沉式U型挡土结构。
2.1.16 复建式地下结构 superstructure-integrated underground structure
与地上建(构)筑物相连的地下结构,包括单体建筑地下结构和复合建筑地下结构,分别对应于地上建、构筑物为单体和复合体结构的情况。
2.1.17 地震液化的四步判别法 four step method for liquefactiontion assessment
考虑地下结构存在对地震液化深度影响的液化判别方法,分为初判、复判、详判和动力时程分析四步。
2.2 符 号
2.2 符 号
2.2.1 作用和作用效应
amaxⅡ——Ⅱ类场地地表水平向峰值加速度;
E0——中性状态时的地震土压力合力;
F一—地下结构所受上浮荷载设计值;
FAX——作用于A点水平向的节点力;
FAY——作用于A点竖直向的节点力;
FEhk——水平地震作用标准值;
FEvk——竖向地震作用标准值;
FGE——重力荷载代表值;
fi——结构i单元上作用的惯性力;
Fp——超静孔压引起上浮力标准值的效应;
Fs——静力条件下的浮力设计值;
Gso——结构所在空间对应的自由场的土的重量;
Gst——结构重量;
Rsf——地下结构壁和桩侧摩阻力设计值;
S( )——作用组合的效应函数;
Sd——地下结构构件作用效应设计值;
SEhk——水平地震作用标准值的效应;
SEvk——竖向地震作用标准值的效应;
SGE——重力荷载代表值的效应;
τA——圆形结构上任意点A处的剪应力;
τB——结构底板剪切力;
τs——结构侧壁剪力;
τU——结构顶板剪切力。
2.2.2 材料性能和抗力
fa——深宽修正后的地基承载力特征值;
faE——调整后的地基抗震承载力;
fak——地基承载力特征值;
IL一—液性指数;
IIE——液化指数;
IP——塑性指数;
IW——结构底面所在土层震动弱化指数;
R——地下结构构件承载力设计值;
RF—— 地下结构抗浮力设计值;
Rg一—地下结构自重设计值;
Rsg——上覆地层有效自重设计值;
△ue——基本地震作用标准值产生的地下结构层内最大的弹性层间位移;
△up——弹塑性层间位移;
△δf——震陷变形标准;
[θe]一—弹性层间位移角限值;
[θp]——弹塑性层间位移角限值。
2.2.3 几何参数
Ahi一—结构表层单元i外表面面积;
B——结构宽度;
d——地层沿地下结构纵向的计算长度;
D——结构上覆地层厚度;
Df——自由场液化深度;
ds——饱和土标准贯入点深度;
Ds——存在地下结构时的液化深度;
dW——地下水位深度;
h——地下结构层高;计算点到自由水面的竖向距离;
H——结构高度;地表至地震作用基准面的距离;
L——地基的集中弹簧间距;
lmax——网格单元竖向最大尺寸;
u(z)——地震时深度z处地层相对设计基准面的水平位移;
U'(z)一—深度z处相对于结构底部的自由地层相对位移;
u(zB)一—结构底部深度zB处相对设计基准面的自由地层地震反应位移;
uA(x,z)——坐标(x,z)处地震时的地层纵向位移;
umax——场地地表最大位移;
uT(x,z)——坐标(x,z)处地震时的地层横向位移;
W——隧道横向平均宽度或直径;
z—一深度;
zB——结构底板埋深;
zU——结构顶板埋深;
λ——地层变形的波长;
λ1——表面地层的剪切波波长;
λ2—一计算基准面地层的剪切波波长。
2.2.4 计算系数
KE——中性状态时的地震土压力系数;
Wi—一i地层单位地层厚度的层位影响权函数值;
γEh——水平地震作用分项系数;
γEv——竖向地震作用分项系数;
γG——重力荷载分项系数;
γRE——承载力抗震调整系数;
γRF——地震抗浮安全系数;
ζa——地基抗震承载力调整系数;
Ψa—一峰值加速度调整系数;
ψe—一地震弱化修正系数;
Ψu——峰值位移调整系数。
2.2.5 其他
e一一自然对数底数;
g——重力加速度;
G——地层动剪切模量;
k——压缩、剪切地基弹簧刚度;
K——基床系数;
mi—一结构i单元的质量;
n一—判别深度范围内每一个钻孔标准贯入试验点的总数;横截面螺栓的个数;
N0——液化判别标准贯入锤击数基准值;
Ncr——液化判别标准贯入锤击数临界值;
Ncri——i点标准贯入锤击数的临界值;
N1——标准贯入锤击数的实测值;
Ts——考虑地层应变水平的场地特征周期;
üi——结构i单元的加速度;
VSD一—表面地层的平均剪切波速;
VSDB—一计算基准面地层的平均剪切波速;
WL一液限含水率;
WS一—天然含水率;
α——墙后填土表面与水平面的夹角;
β——调整系数;结构壁与竖直方向夹角;
γ——墙后填土的重度;
δ0——中性状态时的墙背摩擦角;
ηgs一—结构等效比重;
θ——挡土墙的地震角;土与结构的界面A点处的法向与水平向的夹角;
θi——结构表层单元i外表面外法向与竖直向下方向的夹角;
λmin——输入地震波在该地层中向上传播的最小波长;
ξs一—结构影响因子;
ρc——黏粒含量百分率;
σz——采用弹塑性动力时程分析时相应深度处竖向有效应力为最小值σ'zmin时刻的竖向总应力值;
σ'zmin——采用弹塑性动力时程分析时相应深度处竖向有效应力的最小值;
φ——墙后填土的有效内摩擦角。
基本规定
3.1 抗震设防分类和目标
3.1 抗震设防分类和目标
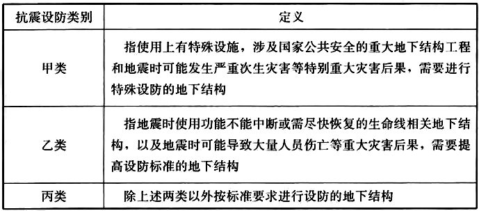
3.1.1 地下结构的抗震设防类别应按表3.1.1确定。
表3.1.1 抗震设防类别划分

条文说明
3.1.1 本条参照现行国家标准《建筑工程抗震设防分类标准》GB 50223按地下结构承担功能的重要性对地下结构的抗震设防类别进行划分。
3.1.2 地下结构的抗震性能要求应按表3.1.2划分等级。
表3.1.2 地下结构的抗震性能要求等级划分

条文说明
3.1.2 地下结构多具有体量大、结构复杂、人员集中的特点,受损后影响面大且修复困难,且很多也是抗震救灾的基础设施。因此,相比地面建筑物“小震不坏,中震可修,大震不倒”的抗震设防目标,对于乙类地下结构应进一步提高为“中震不坏,大震可修”。本条规定的地下结构应达到的四个抗震性能要求,在抗震设计时,应根据不同的地震动水准,并结合其重要程度,选取不同的性能要求,作为抗震设防目标。地下结构在不同性能要求下的工作状态及受损程度分述为:
性能要求Ⅰ:结构处于正常使用状态,从抗震分析角度,结构可视为线弹性体系。在预期的地震动作用下,结构一般不受损坏。
性能要求Ⅱ:结构整体处于弹性工作阶段,在预期的地震动作用下,仅有局部的轻微损伤且应保证可快速修复后正常使用。
性能要求Ⅲ:结构进入弹塑性工作阶段,在预期的地震动作用下,结构发生一定的非弹性变形,但应控制在可修复的范围内。
性能要求Ⅳ:结构进入弹塑性工作阶段,在预期的地震动作用下,结构可发生较大塑性变形,但应不发生倒塌。
3.1.3 地下结构的抗震设防应分为多遇地震动、基本地震动、罕遇地震动和极罕遇地震动4个设防水准。设计地震动参数的取值可按现行国家标准《中国地震动参数区划图》GB 18306的规定执行。
条文说明
3.1.3 本标准按现行国家标准《中国地震动参数区划图》GB?18306中的规定,按地震重现期将地震动分为多遇地震动、基本地震动、罕遇地震动和极罕遇地震动。设防水准与地震重现期的关系应符合表1的规定。
表1 设防水准与地震重现期的关系

3.1.4 地下结构抗震设防目标应符合表3.1.4的规定。
表3.1.4 地下结构抗震设防目标

条文说明
3.1.4 从经济方面考虑,将结构设计成在任何强烈地震作用下都不破坏是极其困难的、甚至是不可能的。考虑到强度不同的地震发生的概率不同,强度越高则发生概率越低。在抗震设计性能要求方面,基本设想是乙类地下结构在遭受发生概率高的地震时,预期的结构破损应比较轻微,而在遭受发生概率低的地震时,预期的结构破坏比较明显。不同发生概率的地震作用下,容许的结构破坏程度不同。对于甲类的地下结构,由于其重要性尚应考虑万年一遇的极罕遇地震下的抗震设计。
3.2 地震作用
3.2 地震作用
3.2.1 地下结构的地震作用应符合下列规定:
1 甲类地下结构,除有特殊规定外,应按高于本地区设防烈度的要求确定其地震作用:
2 乙类和丙类地下结构,除有特殊规定外,应按本地区抗震设防烈度确定其地震作用。
条文说明
3.2.1 本条主要参照现行国家标准《建筑工程抗震设防分类标准》GB 50223制定。
3.2.2 地下结构所在地区遭受的地震影响,应采用相应于抗震设防烈度的设计基本地震加速度表征。抗震设防烈度与设计基本地震加速度取值的对应关系应符合表3.2.2的规定。场地地表水平向设计地震动加速度反应谱可按现行国家标准《城市轨道交通结构抗震设计规范》GB 50909的规定执行。
表3.2.2 抗震设防烈度与设计基本地震加速度取值的对应关系

注:g为重力加速厦。
条文说明
3.2.2 地下结构的抗震设防要求一般应比地面建筑有所提高,本标准仅提高了地下结构抗震性能要求,地震动作用与现行国家标准《建筑抗震设计规范》GB 50011一致。
地面建筑的设计使用周期目前为50年,而地下结构设计使用周期设定为100年应更为合理,所以地下结构地震设防水准与地震重现期是否需要提高尚缺乏深入研究。因此本标准的抗震设防烈度和设计加速度的取值要求仍然与现行国家标准《建筑抗震设计规范》GB 50011一致。
3.2.3 地下结构施工阶段可不计地震作用影响。
条文说明
3.2.3 本条参照现行国家标准《地铁设计规范》GB 50157的相关规定。
3.3 结构体系
3.3 结构体系
3.3.1 地下结构可分为地下单体结构、地下多体结构、隧道结构、下沉式挡土结构、复建式地下结构5类,其中隧道结构可分为盾构隧道结构、矿山法隧道结构、明挖隧道结构。各类地下结构的结构体系应根据地下结构的抗震设防类别、抗震设防烈度、结构尺寸、场地条件、地基、结构材料和施工等因素,经技术、经济和使用条件综合比较确定。
条文说明
3.3.1 长期以来地下结构都缺少一个合适的分类,本标准依据地下结构的结构特征与分布形式的不同,将地下结构分为地下单体结构、地下多体结构、隧道结构、下沉式挡土结构、复建式地下结构5类,其中隧道结构按施工方法分为盾构隧道结构、矿山法隧道结构和明挖隧道结构,并分别对复建式地下结构以外的每一类地下结构给出了抗震设计的一般规定、抗震计算要点和抗震措施。
复建式地下结构是指与地上建(构)筑物相连的地下结构,包括单体建筑地下结构和复合建筑地下结构,分别对应于地上建(构)筑物为单体和复合体结构的情况。复建式地下结构相比与之相连的地上结构可以是占主要地位的,也可以是占附属地位的。现行国家标准《建筑抗震设计规范》GB 50011中的附建式地下结构是指地上结构的地下室等地下附属结构,往往是比较简单的,是占附属地位的。因此本标准定义的复建式地下结构与现行国家标准《建筑抗震设计规范》GB 50011中的附建式地下结构在内涵上是有区别的。附建式地下结构是包含于复建式地下结构中的相对简单、附属性的地下结构。
复建式地下结构在地震作用下显著地受到地上部分的惯性作用和地下部分的土与结构动力相互作用的共同影响,应当对地上和地下结构整体进行抗震设计,目前相关研究尚不成熟,因此在本次标准编制中未单独给出其抗震设计的一般规定、抗震计算要点和抗震措施。
3.3.2 结构体系应符合下列规定:
1 应具有明确的计算简图和合理的地震作用传递途径;
2 不宜因部分结构或构件破坏而导致整个结构丧失抗震能力或承载能力;
3 应具备必要的抗震承载能力、良好的变形能力和消耗地震能量的能力;
4 对可能出现的薄弱部位,应采取措施提高其抗震能力;
5 不应影响近旁既有建筑、构筑物或地下结构的抗震安全性。
条文说明
3.3.2 明确的计算简图和合理的地震作用传递途径包括三重含义:在地震作用下结构的实际受力状态与计算简图相符;结构传递地震作用的路线不能中断;合理反映结构与地基的相互作用以及地基的辐射阻尼的减震作用。
关于薄弱部位的概念,其内涵为:
1 在罕遇或极罕遇地震作用下,结构的强度安全储备所剩无几,此时应按构件的实际承载力标准值来分析,判定薄弱部位的安全性。
2 结构突变处会产生应力集中的不利影响,设计上不应出现这种薄弱部位,并对这种部位采取措施以提高其抗震能力。
3 不应仅对结构中某些构件或节点采取局部加强措施,造成整体结构的刚度、强度的不协调而使其他部位形成薄弱环节。
4 在抗震设计时要控制薄弱部位有较好的变形能力,不应使薄弱部位发生转移。
地下结构与既有建(构)筑物或地下结构相临近时,地下结构与既有结构相互作用显著,要考虑新建地下结构对既有结构抗震的影响。
3.3.3 结构体系尚宜符合下列规定:
1 宜具有多道抗震防线;
2 宜具有合理的刚度和承载力分布。
条文说明
3.3.3 多道防线对于结构在强震下的安全是很重要的。多道防线的概念指:
1 整个抗震结构体系由若干个延性较好的分体系组成,并由延性较好的结构构件连接起来协同工作。
2 抗震结构体系具有最大可能数量的内部、外部赘余度,有意识地建立起一系列分布的塑性屈服区,以使结构能吸收和耗散大量的地震能量,一旦破坏也易于修复。设计计算时,要考虑部分构件出现塑性变形后的内力重分布,使各个分体系所承担的地震作用的总和大于不考虑塑性内力重分布时的数值。
结构体系宜具有合理的刚度和承载力分布,不应因局部削弱或突变形成薄弱部位,产生过大的应力集中或塑性变形集中。
3.3.4 结构构件应符合下列规定:
1 混凝土结构构件应控制截面尺寸和受力钢筋、箍筋的设置,剪切破坏不宜先于弯曲破坏、混凝土的压溃不宜先于钢筋的屈服、钢筋的锚固粘结破坏不宜先于钢筋破坏;
2 钢结构构件的尺寸应合理控制,不应出现局部失稳或整个构件失稳。
3.3.5 结构各构件之间的连接应符合下列规定:
1 构件节点的破坏不应先于共连接的构件;
2 预埋件的锚固破坏不应先于连接件;
3 装配式结构构件的连接应能保证结构的整体性。
3.4 地震反应计算
3.4 地震反应计算
3.4.1 地下结构地震反应计算方法宜依据地层条件和地下结构几何形体条件按下列规定确定:
1 地下结构抗震计算方法宜按表3.4.1采用;
表3.4.1 地下结构抗震计算方法

2 复建式地下结构宜对地下结构与地面建、构筑物进行整体计算;
3 岩质隧道地震反应计算方法宜按表3.4.1采用,亦可按现行国家标准《铁路工程抗震设计规范》GB 50111的规定选取。
条文说明
3.4.1 反应位移法是一种地下结构地震反应的简化拟静力分析方法。其用地震时周围地层的变形作为地震作用,比较符合地下结构地震时的振动特点。反应位移法Ⅰ是给定了位移模式和地表位移量,对均质地层偏于保守,适用于均质地层和断面形式简单的地下结构。反应位移法Ⅱ通过自由场分析确定场地位移分布,可适用于水平成层或复杂成层的地层,适用于断面形式简单的地下结构。反应位移法Ⅲ是针对沿纵向均匀的地层中线长形结构的纵向地震反应计算方法。反应位移法Ⅳ是针对沿纵向非均匀的地层中线长形结构的纵向地震反应计算方法。整体式反应位移法建立了地层-结构模型,适用于断面形式复杂的地下结构。其他拟静力方法可按其特点在合适的条件下使用。
由于反应位移法Ⅰ和反应位移法Ⅱ中采用本标准公式(6.2.3)计算地基弹簧的方法没有考虑深度的影响,与实际情况存在偏差,因此对结构横断面进行地震反应计算时,在有条件的情况下建议采用整体式反应位移法。
当地层中有呈现强非线性的软土层时,最危险的时刻或位移模态不易确定,拟静力法不再适用,应采用等效线性化时程分析法。
当地层中含有饱和砂土或粉土层时,可能出现强度显著降低的振动弱化或液化的情形,应采用弹塑性时程分析方法,且模型要能合理考虑饱和土超静孔压上升的影响。
对于几何形体简单的地下结构,沿结构纵向地层有显著变化时,采用三维计算更为合理。
对于岩质隧道的地震反应计算,宜按本标准表3.4.1选用计算方法。传统的静力法在理论上有明显缺陷,没有反映周围岩土介质的模量,且对地下结构地震反应与埋深的关系反映不当,但实际设计中积累了丰富经验,目前仍可在特定情况下应用。
3.4.2 地下结构抗震计算应符合下列规定:
1 简化计算模型应反映结构在地震作用下的实际工作状态,简化结构体系应与原工程结构体系的传力路径相符、节点功能相同、构件受力相似,构件的简化计算模型应符合本标准附录A的规定;
2 计算分析时应考虑地下结构体形及地震输入方向等最不利工况的影响;
3 计算结果应经分析判断,确认其合理且有效后方可用于工程设计。
条文说明
3.4.2 计算结果的可靠性与计算模型、计算软件和操作过程密切相关,使用计算机进行抗震分析时,应对软件的功能有切实的了解,计算模型的选取必须符合结构的实际工作情况,计算软件的技术条件应符合标准及有关强制性条文的规定,设计时应对所获计算结果进行判别,确认其合理有效后方可在设计中应用。
对于时程分析法,要求:
(1)通过与材料试验结果对比,验证所采用本构模型能够正确反映材料本构反应;
(2)通过与相关实测或模型试验结果对比,验证所采用的计算模型、计算软件和操作过程有效。
3.5 抗震措施
3.5 抗震措施
3.5.1 地下结构应根据抗震设防类别、烈度和结构类型采用不同的抗震等级,并应符合相应的构造措施要求。
条文说明
3.5.1 抗震设防烈度等级的划分体现了对不同结构类型、不同抗震设防类别、不同烈度抗震措施要求的不同。
3.5.2 地下结构体系复杂、结构平面不规则或者施工工法、结构形式、地基基础、荷载发生较大变化处的不同结构单元之间,宜根据实际需要设置变形缝。
3.5.3 地下结构抗震设计中,变形缝的设置应符合下列规定:
1 变形缝应贯通地下结构的整个横断面;
2 当结构布置、基础、地层或荷载发生变化,变形缝两侧可能产生较大的差异沉降时,宜通过地基处理、结构措施等方法,将差异沉降控制在地下结构及其功能允许的范围内;
3 变形缝的设置位置宜避开地下结构公共区及出入口、风道结构范围,同时宜避开不能跨缝设置的设备;
4 变形缝的宽度宜采用20mm~30mm,同时应采取措施满足地下结构的防水要求。
3.5.4 地下结构刚度突变、结构开洞处等薄弱部分应加强抗震构造措施。
3.5.5 地下结构内部构件的抗震构造措施可按现行国家标准《建筑抗震设计规范》GB 50011的有关规定执行。
条文说明
3.5.2~3.5.5 本节所提的抗震措施是针对地下结构的共性要求。设置变形缝是为了适应断面两侧的不均匀变形,只有在变形缝贯通情况下,两侧才能自由变形以适应沉降差。从地下结构的结构安全及其功能要求考虑,地下结构不宜发生较大沉降差,因此可通过地基处理、结构措施等方法控制差异沉降。对于不同类别地下结构的具体抗震措施,见本标准第7章~第12章的有关规定。
3.6 结构材料与施工
3.6 结构材料与施工
3.6.1 抗震结构对材料和施工质量的特别要求应在设计文件上注明。
条文说明
3.6.1 抗震结构在材料选用、施工程序特别是材料代用上有特殊的要求,主要是指减少材料的脆性和贯彻原设计意图。
3.6.2 结构材料性能指标应符合下列规定:
1 混凝土结构材料应符合下列规定:
1)框支梁、框支柱及抗震等级为一级的框架梁、柱、节点核心区的混凝土的强度等级不应低于C30;构造柱、芯柱、圈梁及其他各类构件的混凝土的强度等级不应低于C20;
2)抗震等级为一、二、三级的框架和斜撑构件,其纵向受力钢筋采用普通钢筋时,钢筋的抗拉强度实测值与屈服强度实测值的比值不应小于1.25;钢筋的屈服强度实测值与屈服强度标准值的比值不应大于1.30,且钢筋在最大拉力下的总伸长率实测值不应小于9%。
2 钢结构的钢材应符合下列规定:
1)钢材的屈服强度实测值与抗拉强度实测值的比值不应大于0.85;
2)钢材应有明显的屈服台阶,且伸长率不应小于20%;
3)钢材应有良好的焊接性和合格的冲击韧性。
3.6.3 结构材料性能指标尚宜符合下列规定:
1 普通钢筋宜优先采用延性、韧性和焊接性较好的钢筋;普通钢筋的强度等级,纵向受力钢筋宜选用符合抗震性能指标的不低于HRB400级的热轧钢筋,箍筋宜选用符合抗震性能指标的不低于HRB335级的热轧钢筋。
2 混凝土结构的混凝土强度等级,主体结构不宜超过C60;其他构件,9度时不宜超过C60,8度时不宜超过C70。
3 钢结构的钢材宜采用Q235等级B、C、D的碳素结构钢及Q355等级B、C、D的低合金高强度结构钢;当有可靠依据时,尚可采用其他钢种和钢号。
条文说明
3.6.2、3.6.3 对钢筋混凝土结构中的混凝土强度等级有所限制,这是因为高强度混凝土具有脆性性质,且随强度等级提高而增加。钢材应保证抗拉强度、屈服强度、冲击韧性合格及硫、磷和碳含量的限制值。
3.6.4 采用焊接连接的钢结构,当接头的焊接拘束较大、钢板厚度不小于40mm且承受沿板厚方向的拉力时,钢板厚度方向截面收缩率不应小于现行国家标准《厚度方向性能钢板》GB/T 5313关于Z15级规定的容许值。
条文说明
3.6.4 本条参照现行国家标准《厚度方向性能钢板》GB/T 5313制定。
3.6.5 混凝土墙体、框架柱的水平施工缝,应采取措施加强混凝土的结合性能。
3.7 减震隔震设计
3.7 减震隔震设计
3.7.1 地下结构可采用减震和隔震设计。
条文说明
3.7.1 减震和隔震设计是一种新技术,应考虑使用功能要求、减震与隔震效果、长期工作性能等问题。适应我国经济发展的需要,有条件地利用减震和隔震来减轻地下结构的地震灾害,是完全可能的。现阶段,这种新技术主要用于对使用功能有特别要求和高地震活动性地区的地下结构。
3.7.2 采用减震和隔震设计的地下结构,其抗震设防性能目标不应低于本标准第3.1.4条的规定。
条文说明
3.7.2 本条对地下结构减震和隔震设计的设防目标提出了原则要求。按本标准规定进行减震或隔震设计,提高结构变形适应性,减少结构损伤,与非减震或非隔震的地下结构相比,抗震设防性能目标应有所提高。
3.8 地震反应观测
3.8 地震反应观测
3.8.1 抗震设防烈度为7、8、9度的甲类和乙类地下结构,宜设置结构的地震反应观测系统,结构设计宜留有观测设备的位置。
条文说明
3.8.1 地震反应观测是发展地震工程和工程抗震科学的必要手段,本条强调在条件许可的情况下,甲类和乙类地下结构宜布设地震反应观测系统。
3.8.2 对于甲类和有特殊要求的乙类地下结构宜进行试验验证。
场 地
4.1 场地分类与评价
4.1 场地分类与评价
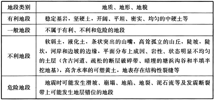
4.1.1 选择地下结构场地时,对抗震有利、一般、不利和危险地段的划分应符合表4.1.1的规定。
表4.1.1 有利、一般、不利和危险地段的划分

条文说明
4.1.1 关于对结构物抗震有利、一般、不利和危险地段的划分,参照了现行国家标准《建筑抗震设计规范》GB 50011的规定。其中状态明显不均匀的土层指古河道、疏松的断层破碎带、暗埋的塘浜沟谷和半填半挖地基等。不利地段中增加高耸孤立的山丘,研究表明其下方具有地震波几何聚焦效应,易导致地下结构处的自由场地震动放大。
4.1.2 选择地下结构场地时,应根据工程需要,综合判定其场地的地段类别属于抗震有利、一般、不利、危险地段。对不利地段、危险地段应提出避开要求。
条文说明
4.1.2 现行国家标准《建筑抗震设计规范》GB 50011对场地进行了有利、一般、不利和危险地段的划分,并按建筑物或构筑物的重要性对场地的选择提出了要求。与地面建筑相比,地下结构的安全性受场地的影响更大,因此对场地的选择也应按要求进行。本标准第4.1.1条给出划分场地有利、一般、不利和危险地段的依据。
对于地铁隧道等线长形地下结构,由于穿越区域跨度很大,存在无法避免穿越危险地段的可能。因此,建造线长形地下结构且选线不能避开危险地段时,应做好地质灾害监测预警工作。
4.1.3 场地类别的划分应符合现行国家标准《建筑抗震设计规范》GB 50011的相关规定。
4.1.4 场地为Ⅲ、Ⅳ类时,对设计基本地震加速度为0.15g和0.30g的地区,除本标准另有规定外,宜分别按抗震设防烈度8度和9度时各抗震设防类别地下结构的要求采取抗震构造措施。
4.1.5 含有饱和砂土或粉土、软弱黏性土、新近堆积和晚更新世饱和砂黄土及砂质粉黄土土层的场地,应估计其不利影响并采取相应措施。
条文说明
4.1.5 饱和砂土或粉土、软弱黏性土、新近堆积和晚更新世饱和砂黄土及砂质粉黄土土层对地下结构的抗震安全性有较大的威胁,因此要充分考虑其不利影响并采取相应措施。根据黄土的塑性指数可将黄土分为砂黄土、砂质粉黄土、粉黄土、黏质粉黄土和黏黄土。其中砂黄土的塑性指数Ip满足4≤Ip<6,砂质粉黄土的塑性指数Ip满足6≤Ip<9。
4.1.6 对于可能产生滑坡、塌陷、崩塌和位于采空区影响范围内等的场地,应进行地震作用下岩土体稳定性的评价。
条文说明
4.1.6 岩土体产生滑坡、塌陷、崩塌和采空区等会对附近的地下结构的受力情况产生较大影响,因此要对场地可能发生此类问题的岩土体进行地震作用下稳定性的评价。
4.1.7 场地内存在发震断裂时,宜避开主断裂带,其避让距离不宜小于表4.1.7的规定。不能避开主断裂带时,应对其影响进行专门研究,并采取抗变形的结构、构造措施。
表4.1.7 发震断裂的最小避让距离(m)

条文说明
4.1.7 目前对地下结构的避让距离尚无成熟研究结果,考虑地下结构的抗震性能一般优于地上结构,从保守角度考虑,本条参照现行国家标准《建筑抗震设计规范》GB 50011对地上结构的要求制定,但由于本标准不考虑核设施,所以将发震断裂明确为1万年以来的发震断裂。
4.1.8 对处于抗震不利和危险地段的场地,地下结构的抗震验算应包括土体与结构动力相互作用分析。采用时程分析法进行场地地震反应分析时,应根据设计要求,提供地层剖面、场地覆盖层厚度和剪切波速、动剪切模量、动弹性模量、动泊松比、阻尼比等动力参数。
条文说明
4.1.8 本条参照了现行国家标准《建筑抗震设计规范》GB 50011相关条文的规定。
4.1.9 下沉式挡土结构和复建式地下结构天然地基的抗震承载力应按下式计算:
faE=ζafa (4.1.9)
式中:faE——调整后的地基抗震承载力(kPa);
ζa——地基抗震承载力调整系数,应按表4.1.9采用;
fa——深宽修正后的地基承载力特征值,应按现行国家标准《建筑地基基础设计规范》GB 50007采用。
表4.1.9地基抗震载力调整系数

条文说明
4.1.9 在天然地基抗震验算中,对地基土承载力特征值调整系数的规定,主要考虑了地基土在有限次循环动力作用下强度一般较静强度提高和在地震作用下结构可靠度容许有一定程度降低这两个因素。调整系数参照现行国家标准《建筑抗震设计规范》GB 50011中相关条文制定。
4.1.10 地震作用下天然地基的竖向承载力应根据地震作用效应标准组合的基础底面平均压力和边缘最大压力按现行国家标准《建筑抗震设计规范》GB 50011的相关规定确定。
4.2 场地地震液化的判别及其处理措施
4.2 场地地震液化的判别及其处理措施
4.2.1 场地地震液化的判别和处理应符合下列规定:
1 当抗震设防地震动分档为0.05g时,对丙类地下结构可不进行场地地震液化判别和处理;对甲类、乙类地下结构可按抗震设防地震动分档为0.10g的要求进行场地地震液化判别和处理;
2 当抗震设防地震动分档为0.10g及以上时,乙类、丙类地下结构可按本地区的抗震设防地震动分档的要求进行场地地震液化判别;甲类地下结构应进行专门的场地液化和处理措施研究;
3 对甲类、乙类地下结构,宜对遭遇罕遇或极罕遇地震作用时的场地液化效应进行评价。
条文说明
4.2.1 本条参照现行国家标准《城市轨道交通结构抗震设计规范》GB 50909制定。
4.2.2 地下结构场地的地震液化判别应采用四步判别法,按下列步骤进行判别:
1 先按本标准第4.2.3条进行初步判别;
2 当初步判别认为有液化可能时,应按本标准第4.2.4条的经验方法进行复判,当距结构物底部10m深度范围内的地层存在饱和砂土、粉土或黄土时,尚应进行详判;
3 当距结构物底部10m深度范围内的地层存在饱和砂土、粉土或黄土时,应按本标准第4.2.5条的方法进行详判;
4 当详判认为有液化可能时,应对结构物和土层整体进行动力时程分析。
4.2.3 当饱和砂土、粉土或黄土土层符合下列条件之一时,可初步判别为不液化或可不考虑液化影响:
1 地质年代为第四纪晚更新世及其以前的饱和砂土、粉土和第四纪中更新世及其以前的饱和黄土,地震烈度为7、8度时可判为不液化;
2 粉土和黄土的黏粒含量百分率当地震烈度为7、8和9度分别不小于10、13、16和12、15、18时,可判为不液化土。
4.2.4 当饱和砂土、粉土或黄土的初步判别认为要进一步进行液化判别时,应采用标准贯入试验判别法判别地表下20m深度范围内土的液化。当饱和土标准贯入锤击数小于或等于液化判别标准贯入锤击数临界值时,应判为液化土。当有成熟经验时,尚可采用其他判别方法。在地表下20m深度范围内,液化判别标准贯入锤击数临界值可按下式计算:

式中:Ncr——液化判别标准贯入锤击数临界值;
N0——液化判别标准贯入锤击数基准值,应按表4.2.4采用;
ds——饱和土标准贯入点深度(m);
ρc——黏粒含量百分率,当小于3或者为砂土时,取3;
dW——地下水位深度(m);
β——调整系数,设计地震第一组取0.80,第二组取0.95,第三组取1.05。
表4.2.4 液化判别标准贯入锤击数基准值N0

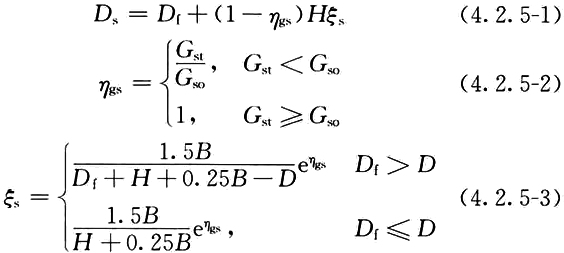
4.2.5 地下结构底部位于饱和砂土或粉土层时,应对场地液化深度进行详判,并应符合下列规定:
1 可按下列公式计算液化深度:

式中:Ds——存在地下结构时的液化深度(m);
Df——按本标准第4.2.2条中复判得到的自由场液化深度(m);
H——结构高度(m);
ηgs——结构等效比重;
ξs——结构影响因子;
Gst——结构重量(N),对于复建式地下结构和地表存在堆载的情况,宜考虑地上结构重量和堆载;
Gso——结构所在空间对应的自由场的土的重量(N);
B——结构宽度(m);
D——结构上覆地层厚度,即埋深(m);
e——自然对数底数。
2 考虑液化影响的土层范围不应含经本标准第4.2.3条判别为不液化或可不考虑液化影响的土层。
条文说明
4.2.2~4.2.5 地震液化的四步判别法是经过长期研究提出的。第4.2.3条的初判方法和第4.2.4条的复判方法采用的是现行国家标准《建筑抗震设计规范》GB 50011提供的经验方法。用于液化判别的黏粒含量系采用六偏磷酸钠作为分散剂测定,采用其他方法时应按有关规定换算;饱和黄土为含水率不小于80%的黄土土层。
第4.2.5条的详判方法是经过试验和数值分析总结出的。由于结构物的平均重度可能小于所在位置的土层,所以结构物底部土体的竖向应力会由于结构物的存在而减小,液化深度会因此加深,研究发现地下结构底部以下约10m范围内都会受此影响,因而在这个范围内的饱和砂土或粉土在进行液化判别时应考虑地下结构的影响。图1给出了用计算公式计算出的液化深度与实际液化深度的对比,验证了计算公式的有效性。计算公式中各符号的含义如图2所示。当计算出的液化范围包含本标准第4.2.3条判别为不液化或可不考虑液化影响的土层时,应将其排除在液化范围之外。
当详判认为地下结构所在场地有液化可能时,应采用合适的本构模型对结构物和土层整体进行动力时程分析,确定液化范围以采用相应抗液化对策。

图1 液化深度预测值与实际值

图2 地下结构下卧土层液化判定方法示意
1-液化区域
4.2.6 对存在饱和砂土、粉土或黄土层的场地,应探明各饱和砂土、粉土或黄土层的深度和厚度,应按下式计算每个钻孔的液化指数,并按表4.2.6综合划分场地的液化等级:

式中:IIE——液化指数;
n——判别深度范围内每一个钻孔标准贯入试验点的总数;
Ni、Ncri——分别为i点标准贯入锤击数的实测值和临界值,当实测值大于临界值时应取临界值的数值;
di——i所代表的土层厚度(m),可采用与该标准贯入试验点相邻的上、下两标准贯入试验点深度差的1/2,但上界不高于地下水位深度,下界不深于液化深度;
Wi——i地层单位地层厚度的层位影响权函数值(m-1)。当该层中点深度不大于5m时应采用10,大于等于20m时应采用零值,5m~20m时应按线性内插法取值。
表4.2.6 场地的液化等级

条文说明
4.2.6 本条参照现行国家标准《建筑抗震设计规范》GB 50011的相关规定制定。由于存在地下结构时液化深度可能大于20m,因此补充了中点深度大于20m时Wi的取值。
4.2.7 存在地震液化引起的地基侧向流动的影响时,应采取防土体滑动措施或结构抗裂措施。当饱和砂土、粉土和黄土层比较平坦且均匀时,宜按表4.2.7选用抗液化措施。
表4.2.7 抗液化措施

条文说明
4.2.7 本条参照现行国家标准《建筑抗震设计规范》GB 50011的相关规定制定。
4.2.8 消除结构液化上浮或沉陷的措施应符合下列规定:
1 对因土层液化而可能产生上浮或沉陷的结构,可采用桩基,桩端伸入液化深度以下稳定土层中的长度,应按计算确定,且对碎石土、砾砂、粗砂、中砂、坚硬黏性土和密实粉土尚不应小于0.5m,对其他土类尚不宜小于1.5m;
2 对饱和砂土、粉土和黄土层埋深较浅的情形,结构基础底面可埋入液化深度以下的稳定土层中,其深度不应小于0.5m;
3 采用加密法加固时,应处理至液化深度下界;振冲或挤密碎石桩加固后,桩间土的标准贯入锤击数不宜小于本标准第4.2.4条中的液化判别标准贯入锤击数临界值;
4 采用加密法或换土法处理时,在结构边缘以外的处理宽度,应超过结构底面下处理深度的1/2且不应小于结构宽度的1/5;
5 采用注浆、旋喷或深层搅拌等方法进行加固时,处理深度应达到饱和砂土、粉土或黄土层的下界。
条文说明
4.2.8 本条参照现行国家标准《城市轨道交通结构抗震设计规范》GB 50909的相关规定制定。
计算桩端伸入稳定土层长度时不包括桩尖部分。
4.2.9 可采用下列措施减轻场地地震液化的影响:
1 选择合适的地下结构埋置深度;
2 加强地下结构单体的整体性和刚度;
3 地下结构间的连接处采用柔性接头等;
4 合理设置沉降缝,不应采用对不均匀位移敏感的结构形式等;
5 将永久性围护结构嵌入非液化地层;
6 对液化土层采取注浆加固和换土等消除或减轻液化的措施。
4.3 场地震陷评价及处理措施
4.3 场地震陷评价及处理措施
4.3.1 场地中含有非饱和结构性粉土、砂黄土及砂质粉黄土或饱和粉质黏土时,应进行场地震陷变形评价和处理,并应符合下列规定:
l 当抗震设防地震动分档为0.05g时,对丙类地下结构可不进行场地震陷评价和处理;对甲类、乙类地下结构可按抗震设防地震动分档为0.10g的要求进行场地震陷评价和处理;
2 当抗震设防地震动分档为0.10g及以上时,乙类、丙类地下结构可按本地区的抗震设防地震动分档的要求进行场地地震震陷评价;甲类地下结构应进行专门的场地震陷评价和处理措施研究;
3 对甲类、乙类地下结构,宜对遭遇罕遇或极罕遇地震作用场地的震陷危害性进行评价;
4 设计基本加速度为0.30g和0.40g时,对塑性指数小于15且符合下列公式规定的饱和粉质黏土应判定为震陷性软土:
WS≥0.9WL (4.3.1-1)
IL≥0.75 (4.3.1-2)
式中:WS——天然含水率;
WL——液限含水率,采用液、塑限联合测定法测定;
IL一—液性指数。
条文说明
4.3.1 本条参照现行国家标准《城市轨道交通结构抗震设计规范》GB 50909制定。
4.3.2 非饱和结构性粉土、砂黄土及砂质粉黄土场地的震陷变形可按本标准附录B进行计算。场地震陷变形程度应按表4.3.2划分震陷等级。
表4.3.2 地基震陷等级

条文说明
4.3.2 非饱和结构性粉土、砂黄土及砂质粉黄土震陷场地地层中的地下结构受不均匀沉降变形的附加作用。地下结构中隧道承受沿纵向震陷沉降差作用时易产生破坏。根据震陷黄土地层中埋深10m、宽度11m、高度10m的马蹄形断面隧道,在初衬为钢拱架喷层200mm、二衬为C40钢筋混凝土300mm条件下,隧道一端作用震陷变形分别为50mm、100mm、200mm,进行数值模型分析,揭示另一端衬砌结构拱顶局部、上半洞及拱腰和隧道整体拱顶及拱腰出现了塑性屈服破坏,如图3所示。通过对地下结构在震陷变形作用下的破坏情况确定了场地震陷变形等级。
4.3.3 地基主要受力范围内存在非饱和结构性粉土、砂黄土及砂质粉黄土时,应同时考虑其湿陷和震陷,且应符合下列规定:
1 应采用整片或局部垫层、强夯、挤密或其他复合地基进行地基处理,消除土层的全部或部分湿陷量和震陷量,或采用桩基础将荷载传至较深的非湿陷性、非震陷性土层中;
2 应采取防止雨水和生产、生活用水及环境水渗入未处理的湿陷性、震陷性土层的防水措施;
3 对地下结构可采取设置桩基础等措施,以提高地下结构适应场地土层不均匀下沉的能力。对震陷等级为中等和严重的地区,应计入震陷引起的桩基的负摩阻力。
条文说明
4.3.3 场地的震陷和湿陷性质是紧密相连的。消除了场地土的湿陷变形,也会消除震陷变形。处理方法包括采用整片或局部垫层、强夯、挤密或其他复合地基;采用桩基础将荷载传至较深的非震陷性土层中;防止水入渗,不应出现因震陷性土层产生湿陷变形。震陷变形土层对桩作用的负摩阻力会影响桩基承载力,应计入其影响。
含水率接近液限,且处于流塑状态的饱和粉质黏土,具有大孔隙比和一定的结构性。峰值加速度为0.30g或0.40g的地震随机振动作用充分扰动土结构,土的强度、刚度明显衰减,土的动孔隙水压力上升。随着孔隙水排出,土产生明显的震陷变形。

图3 隧道场地不均匀震陷变形的衬砌结构塑性区域分布
随着地震动荷载作用,地基中震陷性软土的力学性状发生显著变化,引起地基与地下结构或桩基复杂的相互作用。随着震后孔隙水压力的消散,震陷性软土产生明显的震陷变形。桩基设计应考虑超静孔压上升,有效应力减小引起承载力的减小,以及震陷变形土层负摩阻力和桩身摩阻力改变引起的作用荷载和承载力的变化。
4.3.4 消除非饱和结构性粉土、砂黄土及砂质粉黄土场地震陷的措施应符合下列规定:
1 对地基震陷等级为严重的结构,可采用桩基,桩端伸入震陷土层深度以下稳定土层深度不应小于0.5m;
2 对震陷土层埋深较浅的场地,结构基础底面可埋入震陷土层深度以下的稳定土层中,其深度不应小于0.5m;
3 采用加密法加固时,应处理至震陷土层深度下界;
4 采用加密法或换土法处理时,在结构边缘以外的处理宽度,应超过结构底面下处理深度的1/2且不应小于结构宽度的1/5;
5 采用注浆、旋喷或深层搅拌等方法进行加固时,处理深度应达到震陷土层的下界。
4.3.5 地基主要受力层范围内存在震陷性软土时,应采用桩基或对地基进行加固处理,并采取下列结构措施:
1 选择合适的地下结构埋置深度;
2 地下结构间的连接处采用柔性接头等;
3 不应采用对不均匀沉降敏感的结构形式,并合理设置变形缝;
4 对震陷等级为中等和严重的地区,采用桩基的抗震计算时,应计入震陷引起的桩基的负摩阻力及因孔压上升而减小的桩基摩阻力,并采用抗震措施。
设计地震动
5.1 地下结构设计地震动参数
5.1 地下结构设计地震动参数
5.1.1 甲类地下结构抗震设计采用的地震动参数,应采用经审定的工程场地地震安全评价结果或经专门研究论证的结果与本节规定的地震动参数中的较大值。乙类或丙类地下结构抗震设计采用的地震动参数,应采用地震动参数区划的结果与本节规定的地震动参数中的较大值。
条文说明
5.1.1 不同类型的地下结构地震破坏后果不同,特别是次生灾害及修复难易程度,为有效地减轻工程的地震灾害,对不同类型地下结构抗震设计地震动参数的确定提出了不同的要求。
甲类地下结构抗震设计要采用基于具体工程场地的地震、地质环境及工程地质条件的特定地震动参数,因此规定应采用基于具体工程场地地震安全性评价或专门研究工作结果确定的地震动参数。为甲类地下结构的抗震设计而进行的地震安全性评价或专门研究工作提供的成果应能满足抗震设计要求。
一般情况下对于乙类及丙类地下结构,抗震设计所采用的地震动参数应为地震动参数小区划的结果或本节规定的地震动参数。
5.1.2 抗震设计采用的地震动参数应包括地表和基岩面水平向峰值加速度、竖向峰值加速度、地表峰值位移以及峰值加速度与峰值位移沿深度的分布。
条文说明
5.1.2 与地上结构相比,地下结构抗震设计的一个明显特点在于地震动对结构的作用遍布结构的整个外表面,而地震加速度和位移在场地不同高程处有明显不同,因此地震动参数要包括地下结构所在场地不同高程的值。
5.1.3 场地的地表水平向设计地震动参数取值应符合下列规定:
1 场地的地表水平向峰值加速度应根据现行国家标准《中国地震动参数区划图》GB 18306中规定的地震动峰值加速度分区按表5.1.3取值并乘以场地地震动峰值加速度调整系数гA。гA应按现行国家标准《城市轨道交通结构抗震设计规范》GB 50909的相关规定确定。
表5.1.3 Ⅱ类场地地表水平向峰值加速度amaxⅡ(g)

2 使用反应位移法Ⅰ进行计算时,场地地表水平向峰值位移应按现行国家标准《城市轨道交通结构抗震设计规范》GB 50909的相关规定确定并乘以场地地震动峰值位移调整系数гU,гU应按现行国家标准《城市轨道交通结构抗震设计规范》GB 50909的相关规定确定。对极罕遇地震作用情形应采用时程分析法计算。
条文说明
5.1.3 本条参照现行国家标准《城市轨道交通结构抗震设计规范》GB 50909的相关条文制定,并按现行国家标准《中国地震动参数区划图》GB 18306的规定补充了极罕遇地震的情况。
5.1.4 当考虑竖向地震动时,场地地表竖向设计地震动峰值加速度应按现行国家标准《城市轨道交通结构抗震设计规范》GB 50909的相关规定确定。
条文说明
5.1.4 是否需要考虑竖向地震动对不同类别的地下结构有不同要求,在本标准针对不同类别地下结构的章节中有具体规定。
5.1.5 地震动参数沿深度的变化应符合下列规定:
1 使用反应位移法Ⅰ和反应位移法Ⅲ进行计算时,地表以下的峰值加速度应随深度的增加比地表相应减少。基岩处的地震作用可取地表的1/2,地表至基岩的不同深度处可按插值法确定。
2 使用反应位移法Ⅱ、整体式反应位移法或时程分析法进行计算时,地表以下一定深度的峰值加速度应根据地表峰值加速度进行反演。
条文说明
5.1.5 实测和理论分析表明,浅埋地下结构所处的深度范围内,在较均质的地层中峰值加速度会随深度衰减,因此在采用适用于较均质地层的反应位移法Ⅰ和反应位移法Ⅲ进行计算时,可按现行国家标准《建筑抗震设计规范》GB 50011相关条文的规定,即按本条第一款情况考虑。但当地层条件更为复杂,采用反应位移法Ⅱ或时程分析法进行计算时,应根据地表峰值加速度进行反演。反演可采用自有场地分析方法进行。
5.2 设计地震动加速度时程
5.2 设计地震动加速度时程
5.2.1 设计地震动加速度时程可人工生成,其加速度反应谱曲线与设计地震动加速度反应谱曲线的误差应小于5%。
5.2.2 工程场地的设计地震动时间过程合成宜利用地震和场地环境相近的实际强震记录作为初始时间过程。
5.2.3 当采用时程分析法进行结构动力分析时,应采用不少于3组设计地震动时程。当设计地震动时程少于7组时,宜取时程法计算结果和反应位移法计算结果中的较大值;当设计地震动时程为7组及以上时,可采用计算结果的平均值。
条文说明
5.2.1~5.2.3 本节条文按现行国家标准《城市轨道交通结构抗震设计规范》GB 50909的相关条文制定,其中“加速度反应谱曲线与设计地震动加速度反应谱曲线的误差应小于5%”是指两条曲线任意横坐标对应的纵坐标的值相差不超过5%。地震反应谱的选取方法可参照现行国家标准《城市轨道交通结构抗震设计规范》GB 50909。
设计地震动加速度时程不应直接采用地震记录加速度时程。由于地震是随机过程,一次实测的地震波并不具有代表性,不能直接作为设计用的地震波,设计用的地震波应为遍历性的随机过程,即按规定步骤人工合成满足设计场地地震特性的地震波。
抗震计算和验算
6.1 一般规定
6.1 一般规定
6.1.1 根据地下结构类型和地层复杂程度,可采用本标准表3.4.1的计算方法进行地震反应计算。
6.1.2 地下结构抗震计算应明确初始静应力状态。初始静应力状态的确定,可按本标准附录C的方法进行。
6.2 反应位移法Ⅰ
6.2 反应位移法Ⅰ
6.2.1 当地下结构断面形状简单、处于均质地层,且覆盖地层厚度不大于50m的场地时,可采用反应位移法Ⅰ进行地下结构横向断面地震反应计算。设计基准面到地下结构的距离不应小于地下结构有效高度的2倍,且该处岩土体剪切波速不应小于500m/s。
6.2.2 应考虑地层相对变形、结构周围剪力以及结构自身的惯性力等三种地震作用,可将周围岩土体作为支撑结构的地基弹簧,结构可采用梁单元进行建模。
条文说明
6.2.1、6.2.2 选取反应位移法Ⅰ用于地下结构横断面地震反应计算,应符合本标准第3.4.1条的相关规定,即均质地层、结构断面形状简单。反应位移法Ⅰ除考虑静载外,应考虑地震引起的地层相对位移、结构惯性力和结构周围剪力作用。反应位移法认为地下结构在地震时的反应主要取决于周围地层的变形,而惯性力的影响相对较小。进行反应位移法计算时,在计算模型中引入地基弹簧来反映结构周围地层对结构的约束作用,同时可以定量表示两者间的相互影响。将地层在地震作用下产生的变形通过地基弹簧以静荷载的形式作用在结构上,同时考虑结构周围剪力以及结构自身的惯性力,采用静力方法计算结构的地震反应。
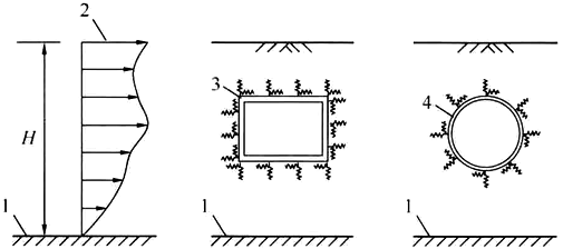
计算模型中,结构周围土体采用地基弹簧表示,包括压缩弹簧和剪切弹簧;结构一般采用梁单元进行建模,根据需要也可以采用其他单元类型(图4)。
6.2.3 地基弹簧刚度宜按静力有限元方法计算,也可按下式计算:
k=KLd (6.2.3)
式中:k——压缩、剪切地基弹簧刚度(N/m);
K——基床系数(N/m3),可按现行国家标准《城市轨道交通岩土工程勘察规范》GB 50307取值;
L——地基的集中弹簧间距(m);
d——地层沿地下结构纵向的计算长度(m)。
条文说明
6.2.3 地基弹簧刚度可按静力有限元方法计算,作为简化,也可使用简化公式计算。
采用有限元方法计算基床系数的方法如下:根据土层一维地震反应分析,求出与地震震动最大应变幅度相应的土层参数,对土层建立有限元模型,在模型的结构部位分别沿纵向和横向施加均布荷载q,由静力法算出结构位置的平均变形δ(图5),从而求得纵向基床系数和横向基床系数K=q/δ。另外,也可以在计算模型结构处施加单位强制位移,然后根据反力求出基床系数。上述两种计算方法本质是相同的。

图4 横断面地震反应计算的反应位移法
1-土层相对设计基准面位移;2-惯性力;3-地面;4-设计基准面;5-A点
kv-结构顶底板拉压地基弹簧刚度(N/m);ksv-结构顶底板剪切地基弹簧刚度(N/m):
kh-结构侧壁压缩弹簧刚度(N/m);ksh-结构侧壁剪切地基弹簧刚度(N/m);
τU-结构顶板单位面积上作用的剪力(Pa);τB-结构底板单位面积上作用的剪力(Pa):
τs-结构侧壁单位面积上作用的剪力(Pa);kn-圆形结构侧壁压缩地基弹簧刚度(N/m);
ks-圆形结构侧壁剪切地基弹簧刚度(N/m);FAX-作用于A点水平向的节点力(N);
FAY-作用于A点竖直向的节点力(N);
θ-土与结构的界面A点处的法向与水平向的夹角(°)?

图5 有限元法计算基床系数
1-地下结构;2-地层
6.2.4 场地地表水平向峰值位移可按本标准第5.1.3条确定。对地层均匀、结构断面形状规则无突变,且未进行工程场地地震安全性评价工作的,地层位移和施加在弹簧非结构端的地层相对位移可按下列公式计算:

式中:u(z)——地震时深度z处地层相对设计基准面的水平位移(m);
z——深度(m);
umax——场地地表最大位移(m),应按本标准第5.1.3条确定;
H——地表至地震作用基准面的距离(m);
U'(z)——深度z处相对于结构底部的自由地层相对位移(m);
u(zB)——结构底部深度zB处相对设计基准面的自由地层地震反应位移(m)。
条文说明
6.2.4 地层相对变形可采用三角函数法确定(图6)。

图6 地层位移沿深度分布
1-设计基准面;2-地表最大位移;3-地下结构;4-地层相对变形
6.2.5 地下结构的惯性力大小可按下式计算:
fi=miüi (6.2.5)
式中:fi——结构i单元上作用的惯性力(N);
mi——结构i单元的质量(kg);
üi——结构i单元的加速度,取峰值加速度(m/s2),应按本标准第5.1.3条确定。
条文说明
6.2.5 结构自身的惯性力可简化取峰值加速度(m/s2),可按本标准第5.1.3条取值,并可简化为作用在结构单元形心上的集中力。
6.2.6 矩形结构顶底板剪力作用可按下列公式计算:

式中:τU——结构顶板剪切力(N);
τB——结构底板剪切力(N);
zU——结构顶板埋深(m);
zB——结构底板埋深(m);
G——地层动剪切模量(Pa)。
6.2.7 矩形结构侧壁剪力作用可按下式计算:
τs=(τU+τB)/2 (6.2.7)
式中:τs——结构侧壁剪力(N)。
6.2.8 圆形结构周围剪力作用可按下列公式计算:
FAX=τALdsinθ (6.2.8-1)
FAY=τALdcosθ (6.2.8-2)
式中:τA——圆形结构上任意点A处的剪应力(Pa);
FAX——作用于A点水平向的节点力(N);
FAY——作用于A点竖直向的节点力(N);
θ一—土与结构的界面A点处的法向与水平向的夹角(°)。
条文说明
6.2.6~6.2.8 结构周边剪力可使用简化计算公式确定地下结构边界处的剪应力。
6.3 反应位移法Ⅱ
6.3 反应位移法Ⅱ
6.3.1 当地下结构断面形状简单、处于非均匀地层,且具有工程场地地震动时程时,可采用反应位移法Ⅱ计算地下结构横向断面的地震反应。计算时,应考虑地层相对变形、结构周围剪力以及结构自身的惯性力等三种地震作用,可将周围岩土体作为支撑结构的地基弹簧,结构可采用梁单元进行建模。
条文说明
6.3.1 选取反应位移法Ⅱ用于对地下结构横断面地震反应计算,应符合本标准第3.4.1条的相关规定,即水平成层或复杂成层、结构断面形状简单(图7)。

图7 非均质地层某时刻相对位移分布
1-设计基准面;2-地层相对位移分布;3-矩形断面结构;4-圆形断面结构
6.3.2 采用反应位移法Ⅱ时,对于覆盖地层厚度小于50m的场地,设计基准面到地下结构的距离不应小于地下结构有效高度的2倍,且该处岩土体剪切波速不应小于500m/s;对于覆盖地层厚度大于50m的场地,可取场地覆盖地层超过50m深度且剪切波速不小于500m/s的岩土层位置。
条文说明
6.3.2 由于地震动存在沿地层深度的变化,因而结构地震反应分析中,以何处的地震动作为输入则是分析工作的必要前提,因此设计基准面取法参照现行国家标准《城市轨道交通结构抗震设计规范》GB 50909。
6.3.3 采用反应位移法Ⅱ进行地下结构地震反应计算时,地下结构所在位置的地层相对位移可由一维地层地震反应分析或自由场地地震时程反应分析确定。地层相对位移可按本标准公式(6.2.4-2)计算。
条文说明
6.3.3 使用反应位移法Ⅱ时,由于地层可能为水平成层或复杂成层,其在地震中相对变形、加速度反应、动力反应的确定可根据实际地层参数,由一维地层地震反应分析或自由场地地震时程反应分析得到。
地层位移可以采用动力有限元方法等数值方法进行计算。
反应位移法中要将地下结构周围自由地层在地震作用下的最大变形(可取相对变形,令相应于结构底面深度的位移为零)施加于结构两侧面压缩弹簧及上部剪切弹簧远离结构的端部。也可将地层相对位移的作用转换为作用于地基弹簧结构连接端的等效荷载,即化为直接施加在结构侧壁和顶板上的等效荷载。
6.3.4 地下结构加速度可由一维地层地震反应分析或自由场地地震时程反应分析确定,惯性力可按下式计算:
fi=-miüi (6.3.4)
式中:fi——结构i单元上作用的惯性力(N);
mi——结构i单元的质量(kg);
üi——结构i单元的加速度(m/s2)。
条文说明
6.3.4 结构自身的惯性力可将结构物的质量乘以场地最不利时刻的相应位置的加速度进行计算,由于惯性力对地下结构地震反应影响非常有限,也可简化采用相应位置的最大加速度来计算,可以简化为作用在结构单元形心上的集中力。
最不利时刻是指地震作用下地下结构最大变形时刻,由于实际地下结构最大变形时刻的确定比较困难,考虑到地下结构的底层反应受周围底层的约束较大,因此可以用相应自由场的底层反应近似确定地下结构地震反应的最不利时刻。最不利时刻定义为地震作用下结构所在位置自由地层发生最大变形的时刻,对地下结构横断面反应分析可取地下结构顶底板位置处自由底层发生最大相对位移的时刻。
6.3.5 矩形结构顶底板剪力、侧壁剪力作用宜按一维地层地震反应分析或自由场地地震时程反应分析确定,侧壁剪力作用也可按本标准第6.2.7条计算。圆形地下结构周围剪力宜按自由场地地震时程反应分析确定。
条文说明
6.3.5 矩形断面地下结构上下表面的地层剪力可由自由场地震反应分析来获得,等于地震作用下结构周围自由地层相应于结构上下表面处的剪力。圆形断面地下结构周围地层剪力可由自由场地震反应分析来获得,等于地震作用下结构周围自由地层相应于结构周围的剪力。
6.3.6 对场地进行自由场动力分析时,宜根据场地地层情况按表6.3.6选用分析方法。表6.3.6中饱和砂性土土层震动弱化指数IW应按下式计算:
IW=Ncr/N1 (6.3.6)
式中:N1——标准贯入锤击数的实测值;
Ncr——液化判别标准贯入锤击数临界值,按本标准第4.2.4条计算。
表6.3.6 场地自由场分析方法

6.3.7 对于非液化的水平成层地层,可采用剪切层法确定地层不同深度处的位移过程、加速度过程等动力反应。使用剪切层法时应按下列步骤进行:
1 假定各地层的剪切模量和阻尼比,利用动力平衡方程和各层的连续性条件计算出各地层水平位移;
2 由各地层水平位移计算出各地层的剪应变,利用模量比与剪应变的关系和阻尼比与剪应变的关系计算出各地层的剪切模量和阻尼比;
3 计算出的各地层的剪切模量和阻尼比与假定值相差在给定误差范围内时,则得到的各地层位移为所需结果;否则,以计算出的各地层的剪切模量和阻尼比作为第1步中假定的各地层的剪切模量和阻尼比,重复1步~3步,直到计算出的各地层的剪切模量和阻尼比与假定值相差在给定误差范围内,得到所需结果。
6.3.8 对于复杂成层、含软土、软硬交错层或含饱和砂土或粉土层的场地,应采用有限元法确定地层中位移、加速度、剪应力等动力时程反应,且应符合下列规定:
1 应合理截取地层范围并细分计算网格,网格单元竖向最大尺寸应符合下式规定:
lmax≤λmin/n (6.3.8)
式中:lmax——网格单元竖向最大尺寸(m);
λmin——输入地震波在该地层中向上传播的最小波长(m);
n——取10。
2 对于除IW大于0.75的饱和砂土或粉土之外的土体,其本构模型应采用黏弹性本构模型或弹塑性本构模型。当采用黏弹性本构模型时,本构模型应能反映土体滞回特性,软土的本构模型还应能反映软土的高压缩性;当采用弹塑性本构模型时,本构模型应能反映土体硬化特性和强度特性。并根据实际地勘与室内试验数据标定材料参数。
3 对于IW大于0.75的饱和砂土或粉土,其本构模型应采用能反映其硬化特性、强度特性、循环剪切特性、液化变形特性的弹塑性本构模型,并应根据实际地勘与室内试验数据标定材料参数。
4 可采用动力人工边界模拟能量辐射与耗散。
条文说明
6.3.6~6.3.8 液化判别标准贯入锤击数临界值Ncr是地层发生液化的临界值。循环扭剪实验表明,当超静孔压上升引起土体弱化到一个临界值后土体的剪应变会显著增加,对应的标贯数约为临界锤击数的0.75倍,因此以公式(6.3.6)定义的土层震动弱化指数作为土体是否发生强度显著降低的判定指标。
剪切层法为一维黏弹性分析方法,其基本假定为:(1)地层是水平成层的;(2)地震波为垂直向上传播的剪切波;(3)土体取用等效线性化的黏弹性模型,其模量、阻尼比与剪应变的关系如图8所示。所以仅对于均质或水平成层地层适用。

图8 模量、阻尼比与剪应变关系
当土层较复杂时,应采用黏弹性动力时程分析法。当土层含地震显著弱化土层时,应采用弹塑性动力时程分析方法。
6.4 反应位移法Ⅲ
6.4 反应位移法Ⅲ
6.4.1 当线长形地下结构处于沿纵向均匀的地层时,可采用反应位移法Ⅲ进行地下结构纵向地震反应计算,可将结构周围土体作为支撑结构的地基弹簧,结构宜采用梁单元进行建模。地震位移应施加于地基弹簧的非结构连接端。
条文说明
6.4.1 选取反应位移法Ⅲ用于地下结构纵向地震反应计算,应符合本标准第3.4.1条的相关规定。
研究发现,隧道结构刚度较大而密度小于地层,其纵向变形取决于隧道周围地层的位移,包括沿隧道纵向和横向水平位移,而隧道衬砌结构则通过弹性支承链杆与地层相连或视为弹性地基梁,并随地层位移而产生相关变形(图9)。目前,隧道纵向地震反应计算方法有很多种,根据地层和隧道变形情况大体上可以分为共同变形法和相对变形法两大类。共同变形法认为在地震波作用下,隧道随周围地层一并波动变形,两者间无相对位移;而相对变形法认为隧道的刚度对周围地层的变形会产生一定的影响,两者通过相互作用使得隧道的变形与自由场地层变形并不完全一致。历次震害表明,相对变形法能更准确地计算隧道纵向地震反应。

图9 纵向地震反应计算的反应位移法Ⅲ
1-横向变形;2-拉压变形;
k1-沿地下结构纵向侧壁剪切地基弹簧刚度(N/m);
kt-沿地下结构纵向侧壁拉压地基弹簧刚度(N/m)
反应位移法Ⅲ是一种相对变形法,该方法是在求得结构周围地层地震变形的情况下,采用变形传递系数计算结构的地震反应。
6.4.2 线长形地下结构纵向地震反应的计算,应给出沿纵向的拉压应力和挠曲应力。
条文说明
6.4.2 地层地震动可以分解为与隧道纵轴平行和垂直的两个分量。其中,与隧道纵轴平行的分量可使隧道结构随周围地层产生平行于隧道轴线的拉压变形,隧道将产生拉压应力;与隧道纵轴垂直的分量可使隧道结构随周围地层产生垂直于隧道轴线的水平和竖直方向的横向变形,隧道将产生挠曲应力。因此评估隧道纵向地震反应时,要计算沿隧道纵向的拉压应力和挠曲应力。
6.4.3 地基弹簧刚度可按静力有限元方法计算,也可按下列公式计算:
kt=KLW (6.4.3-1)
k1= 1/3kt (6.4.3-2)
式中:k1——沿地下结构纵向侧壁剪切地基弹簧刚度(N/m);
kt——沿地下结构纵向侧壁拉压地基弹簧刚度(N/m);
K——基床系数(N/m3);
L——地基的集中弹簧间距(m);
W——隧道横向平均宽度或直径(m)。
条文说明
6.4.3 可按现行国家标准《城市轨道交通结构抗震设计规范》GB 50909的相关规定,对地层建立有限元模型,在模型的结构部位分别沿隧道纵向和横向施加均布荷载q,由静力法计算得到相应位置的平均变形δ,从而求得基床系数与地基弹簧刚度。
6.4.4 沿地下结构纵向轴线处施加的地层位移分布可采用结构纵向轴线各处地层自由场的位移时程分布。地层沿结构轴线方向的纵向位移uA及与结构轴线垂直方向的横向位移uT可采用正弦规律分布,按下列公式计算:

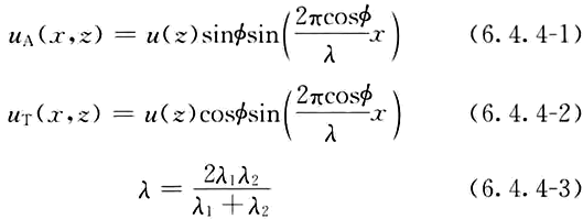
式中:uA(x,z)——坐标(x,z)处地震时的地层纵向位移(m);
uT(x,z)——坐标(x,z)处地震时的地层横向位移(m);
u(z)——地震时深度z处地层相对设计基准面的水平位移(m),应按本标准公式(6.2.4-1)计算;
λ——地层变形的波长,即强迫位移的波长(m);
λ1——表面地层的剪切波波长(m);
λ2——计算基准面地层的剪切波波长(m);
VSD——表面地层的平均剪切波速(m/s);
VSDB——计算基准面地层的平均剪切波速(m/s)
Ts——考虑地层应变水平的场地特征周期(s);
ф——地震波的传播方向与地下结构轴线的夹角。
条文说明
6.4.4 对于线长形地下结构,其沿纵轴和垂直纵轴的变形可通过自由场变形计算(图10),作为简化,也可使用简化计算公式确定。

图10 反应位移法Ⅲ的地层位移分解模型
6.4.5 地下结构可用梁单元建模,当施加横向的地震动位移时,变形缝宜采用转动非线性弹簧模型;当施加纵向的地震动位移时,变形缝宜采用非对称拉压非线性弹簧模型。
条文说明
6.4.5 由于变形缝与隧道结构在强度、刚度等方面存在差异,因此要采用不同的模型进行模拟。在施加横向地震动位移时,隧道结构将产生横向弯曲变形,由于变形缝采用了一定的抗震措施,因此可承受一定的弯矩作用,可将变形缝模型化为转动非线性弹簧模型;同样,在施加纵向地震动位移时,隧道结构将产生拉压变形,变形缝一样能承受一定的拉压荷载,同时,因为其抗拉压能力不同,因此可将变形缝模型化为非对称拉压非线性弹簧模型。
6.4.6 盾构隧道结构梁单元长度应按盾构环的长度确定;明挖隧道结构梁单元长度可按隧道的自然节段确定,且不应大于10m;模型总长度不宜小于地层变形波长或取全长。
条文说明
6.4.6 盾构施工时,一般在盾构环之间的结构相对薄弱,因此可将结构梁单元取为一盾构环的长度;而对于明挖施工法,结构连续性较强,可按隧道自然节段确定,但为了保证计算精度,梁单元长度不应大于10m,同时应满足模型总长度不小于地层变形波长的要求。
6.5 反应位移法Ⅳ
6.5 反应位移法Ⅳ
6.5.1 当地下结构穿越非均匀地层或处于纵向线形变化较大的陡坡、急曲线,且具有工程场地地震动时程时,可采用反应位移法Ⅳ进行地下结构纵向地震反应计算;计算时,可将结构周围土体作为支撑结构的地基弹簧,结构宜采用梁单元进行建模,地震位移应施加于地基弹簧的非结构连接端。
6.5.2 采用反应位移法Ⅳ进行地下结构地震反应计算时,地下结构所在位置的地层相对位移可由自由场地地震时程反应分析确定,再将最不利时刻结构轴线所在位置的地层位移作用于纵向梁-弹簧模型中地层弹簧的非结构端计算结构的内力与变形。
条文说明
6.5.1、6.5.2 当结构穿越复杂地层时,反应位移法Ⅲ中确定场地变形的简化方法不再适用,可采取自由场地地震时程反应分析得到结构所在地层的地震位移,再以此位移施加于纵向梁-弹簧模型中地层弹簧的非结构连接端,进而计算结构地震反应(图11、图12)。

图11 纵向地震反应计算的反应位移法Ⅳ
1-地层位移;2-地层弹簧;3-强制位移

图12 结构所在不同位置处地层位移时程分布示意
6.6 整体式反应位移法
6.6 整体式反应位移法
6.6.1 当地下结构断面形状复杂、处于非均匀地层,且具有工程场地地震动时程时,可采用整体式反应位移法进行地下结构横向地震反应计算。计算时,应建立岩土-结构相互作用模型,地震作用应包括等效输入地震荷载和结构自身的惯性力,岩土体宜采用平面应变单元建模,结构可采用梁单元进行建模。
条文说明
6.6.1 按本标准表3.4.1规定,整体式反应位移法用于地下结构横断面地震反应计算。整体式反应位移法借鉴反应位移法的基本原理,采用岩土-结构相互作用模型来直接反映岩土体与结构间的相互作用(图13),避免了引入地基弹簧带来的计算量和计算误差。采用自由场地层有限元模型计算等效输入地震动荷载(图14)。

图13?整体式反应位移法
1-惯性力;2-等效输入地震荷载;3-固定边界
计算模型中,岩土体采用平面应变单元,结构一般采用梁单元进行建模,根据需要也可以采用其他单元类型。采用整体式反应位移法时,不需要计算结构周边对应自由场地的剪力,计算简便,适用于各种断面形式的地下结构。
6.6.2 等效输入地震荷载应采用自由场岩土层有限元模型计算。等效输入地震荷载应通过在地下结构与地层交界面对应位置施加自由场地最不利时刻的相对位移,同时对地下结构对应位置的岩土体施加最不利时刻的惯性力,求解岩土-结构交界面对应位置的节点反力。
条文说明
6.6.2 通过对自由场地层有限元模型对应岩土-结构交界面施加最不利时刻地层相对位移,对该交界面内的自由场土体施加最不利时刻地层水平加速度,求得岩土-结构交界面位置节点反力即为等效输入地震荷载(图14)。

图14 计算等效输入地震荷载
1-惯性力;2-地层相对位移;3-固定边界
6.6.3 采用整体式反应位移法进行地下结构地震反应计算时,地层相对位移可由一维地层地震反应分析或自由场地地震反应分析确定。
条文说明
6.6.3 使用整体式反应位移法时,由于地层可能为水平成层或复杂成层,其在地震作用中相对位移和加速度可根据实际地层参数,由一维地层地震反应分析或自由场地地震反应分析得到。
6.6.4 地层水平加速度可按本标准第6.3.4条确定,地层水平加速度应取最不利时刻对应自由场地的水平加速度;当地下结构竖向高度较小时,可取结构所在高度范围内的自由地层的平均加速度。
条文说明
6.6.4 结构惯性力采用结构质量乘以结构所在位置自由地层最不利时刻的水平加速度计算;当地下结构高度较小时,地下结构对应位置自由地层最不利时刻的加速度可由最不利时刻地下结构高度范围内自由地层的平均加速度代替。
6.6.5 采用整体式反应位移法进行地下结构地震反应计算时,对称结构可只进行单向地震动作用下的计算;非对称结构应分别进行正反两个方向地震动作用下的计算,并应取两者中较大值作为分析结果。
6.6 整体式反应位移法
6.6 整体式反应位移法
6.6.1 当地下结构断面形状复杂、处于非均匀地层,且具有工程场地地震动时程时,可采用整体式反应位移法进行地下结构横向地震反应计算。计算时,应建立岩土-结构相互作用模型,地震作用应包括等效输入地震荷载和结构自身的惯性力,岩土体宜采用平面应变单元建模,结构可采用梁单元进行建模。
6.6.2 等效输入地震荷载应采用自由场岩土层有限元模型计算。等效输入地震荷载应通过在地下结构与地层交界面对应位置施加自由场地最不利时刻的相对位移,同时对地下结构对应位置的岩土体施加最不利时刻的惯性力,求解岩土-结构交界面对应位置的节点反力。
6.6.3 采用整体式反应位移法进行地下结构地震反应计算时,地层相对位移可由一维地层地震反应分析或自由场地地震反应分析确定。
6.6.4 地层水平加速度可按本标准第6.3.4条确定,地层水平加速度应取最不利时刻对应自由场地的水平加速度;当地下结构竖向高度较小时,可取结构所在高度范围内的自由地层的平均加速度。
6.6.5 采用整体式反应位移法进行地下结构地震反应计算时,对称结构可只进行单向地震动作用下的计算;非对称结构应分别进行正反两个方向地震动作用下的计算,并应取两者中较大值作为分析结果。
6.7 时程分析法
6.7 时程分析法
6.7.1 地下结构时程分析法包括等效线性化时程分析法和弹塑性时程分析法,对于等效线性化时程分析法和弹塑性时程分析法的选取应符合本标准第3.4.1条的规定。
6.7.2 采用时程分析法计算时,加速度时程曲线的选用应符合本标准第5.2节的规定。实际强震记录的地表加速度时程调整最大值应符合本标准第5.1节的规定。
条文说明
6.7.2 进行时程分析时,鉴于不同地震波输入进行时程分析的结果不同,本条规定一般可以根据小样本容量下的计算结果来估计地震作用效应值。通过大量地震加速度记录输入不同结构类型进行时程分析结果的统计分析,选用不少于2组实际记录和1组人工模拟的加速度时程曲线作为输入时,计算的平均地震效应值不小于大样本容量平均值的保证率在85%以上,而且一般也不会偏大很多。当选用数量较多的地震波,如5组实际记录和2组人工模拟时程曲线,则保证率更高。
6.7.3 计算模型的侧面边界距地下结构的距离不宜小于3倍结构单边最大尺寸,不应采用完全固定或完全自由等不合理边界条件。计算模型底面与地下结构底面距离不宜小于3倍结构单边最大尺寸;当地下结构埋深较深,结构与基岩的距离小于3倍结构单边最大尺寸时,计算模型底面宜取至基岩面;当地下结构嵌入基岩时,计算模型底面宜取至基岩面以下。
条文说明
6.7.3 计算模型的选取范围,一般顶面取地表面,底面和侧面要与结构有足够的距离以减小边界效应。该距离主要受结构宽度和高度的最大值,即单边最大尺寸的影响,同时也受地层条件的影响。
计算模型底面与地下结构底面距离不宜小于3倍结构单边最大尺寸,水平向自结构侧壁至边界的距离宜至少取结构单边最大尺寸的3倍,如图15所示。

图15 一般情况下计算模型选取范围
1-结构;2-设计基准面;
H-结构高度;B-结构宽度
当地下结构与基岩的距离小于3倍结构单边最大尺寸时,计算模型底面取至基岩面即可,如图16(a)所示;当地下结构嵌入基岩时,计算模型底面要取至基岩面以下,如图16(b)所示。

图16 特殊情况下计算模型选取范围
1-结构:2-基岩画;3-基岩;H-结构高度;B-结构宽度
6.7.4 采用等效线性化时程分析法时,土体材料本构模型应能反映应力应变骨干曲线和滞回曲线随着循环剪切应变幅值的非线性变化特性,并应根据实际地勘与室内试验数据标定材料参数。
条文说明
6.7.4 土的应力应变关系是很复杂的,尤其是土的动应力应变关系具有非线性、滞后性、变形累积性等特点,目前已有的本构模型都只能模拟某些加载条件下某类土的主要特征,没有一种本构模型能够全面地、正确地描述任何加载条件下各类土体的本构特征。同时,经验表明一些本构模型理论上虽然很严密,但可能由于参数取值不当,出现计算结果不合理的现象;相反,有些模型尽管形式简单,但由于其参数物理意义明确,容易通过试验确定,计算结果反而较为合理。因此,在选择本构模型时,往往需要在精确性和可靠性之间找到一个平衡点,使得选取的本构模型既能反映所关心土体某方面的特征,又要便于测定参数。地层土的性质将直接影响土与结构相互作用的结果,因此,应采用合理的本构模型,并根据实际地勘与室内试验数据测定材料参数。
在黏弹性本构模型中,骨干曲线表示最大剪应力与最大剪应变之间的关系,反映了动应变的非线性,滞回曲线表示某一个应力循环内各时刻剪应力与剪应变的关系,反映了应变对应力的滞后性,它们一起反映了应力应变关系的全过程。骨干曲线和滞回曲线的变化分别由模量衰减曲线和阻尼比变化曲线来表示,如图8所示。当地层中存在初始驱动剪应力或需要考虑超静孔隙水压力的影响时,可在等效线性化时程分析法中,采用残余变形模型或孔压模型,来考虑残余剪应变、残余体变和超静孔隙水压力的累积。
6.7.5 采用弹塑性时程分析法时,土体材料本构模型应能反映复杂往返加载条件下的应力应变规律,并应根据实际地勘与室内试验数据标定模型参数。软土采用的本构模型应能反映其循环剪切弱化特性和残余变形特性。饱和砂土或粉土采用的本构模型应能反映其超静孔隙水压力的起伏累积、循环大剪切变形和再固结体变特性,同时土体单元应采用符合比奥固结理论的流固耦合单元。
条文说明
6.7.5 选用的弹塑性本构模型应能够反映土体在循环荷载下的硬化特性、强度特性,能够合理反映土体在加卸载过程中产生的塑性变形。
目前,针对饱和砂土或粉土,能否高精度地模拟循环剪切体应变规律已经成为评价一个循环动本构模型性能优劣的重要指标。因此,采用的本构模型应反映在复杂往返加载条件下的应力应变规律、特别是对循环剪切作用引起的体应变规律;同时,应能够合理描述如图17所示的土体液化变形特性,包括剪应变发展规律、再固结体变规律等。

图17 弹塑性本构模型剪应力随剪应变和球应力变化曲线
6.7.6 计算中应考虑土体与结构接触面的力学行为。
条文说明
6.7.7 采用有限元法等数值方法求解土-结构动力相互作用问题时,一般需要从无限介质中取出有限尺寸的计算区域,因此要通过在区域的边界上引入人工边界来模拟地基无限性。
6.7.7 宜采用动力人工边界模拟能量辐射与耗散。
条文说明
6.7.8 地层初始应力场对地下结构震动反应有很大影响,而施工过程会改变地层初始应力场,因而模拟结构施工过程,获得合理初始应力场是动力时程分析的基础。
6.7.8 宜模拟地下结构施工过程获得合理的初始应力场。
条文说明
替换条文文字
6.7.9 周围地层分布均匀、规则且具有对称轴的线长形地下结构,可按平面应变问题计算分析。
条文说明
6.7.9 针对工程设计的实际情况选用适当的建模分析方法。如满足周围地层分布均匀、规则且具有对称轴的线长形地下结构,可合理简化,按平面应变问题进行计算分析。
6.7.10 不符合本标准第6.7.9条规定的线长形地下结构,应采用三维计算分析模型。
6.7.11 选用的计算软件应满足对本构模型、边界条件和施工过程模拟的要求。
6.8 截面抗震验算
6.8 截面抗震验算
6.8.1 地下结构构件的地震作用和其他荷载作用的基本组合效应的计算应符合下列规定:
1 当作用与作用效应按非线性关系考虑时,地下结构构件作用效应设计值宜按下式计算:
Sd=S(γGFGE+γEhFEhk+γEvFEvk) (6.8.1-1)
式中:Sd——地下结构构件作用效应设计值;
S( )——作用组合的效应函数;
γG——重力荷载分项系数,一般情况应采用1.2,当重力荷载对构件承载能力有利时,不应大于1.0;
γEh、γEv——分别为水平、竖向地震作用分项系数,应按表6.8.1采用;
FGE——重力荷载代表值;
FEhk——水平地震作用标准值;
FEvk——竖向地震作用标准值。
2 当作用与作用效应按线性关系考虑时,地下结构构件作用效应设计值可按下式计算:
Sd=γGSGE+γEhSEhk+γEvSEvk(6.8.1-2)
式中:SGE——重力荷载代表值的效应;
SEhk——水平地震作用标准值的效应;
SEvk——竖向地震作用标准值的效应。
表6.8.1 地震作用分项系数

条文说明
6.8.1 本条按现行国家标准《建筑抗震设计规范》GB 50011和《工程结构可靠性设计统一标准》GB 50153的相关规定制定。
1 地震作用分项系数的确定
在众值烈度下的地震作用,应视为可变作用而不是偶然作用。这样,根据现行国家标准《建筑结构可靠性设计统一标准》GB 50068(以下简称《统一标准》)中确定直接作用(荷载)分项系数的方法,通过综合比较,本标准对水平地震作用,确定γEh=1.3,至于竖向地震作用分项系数,则按水平地震作用,也取γEv=1.3。当竖向与水平地震作用同时考虑时,根据加速度峰值记录和反应谱的分析,二者的组合比为1:0.4,故γEh=1.3,γEv=0.4×1.3≈0.5。
此外,按《统一标准》的规定,当重力荷载对结构构件承载力有利时,取γG=1.0。
6.8.2 地下结构构件的截面抗震验算应在组合荷载作用下符合下式规定:
Sd≤R (6.8.2)
式中:R——地下结构构件承载力设计值。
条文说明
6.8.2 由于目前对地下结构构件的承载力调整系数的研究还不完善,从安全角度,不考虑调整系数对承载力的放大。还需注意,地震作用下结构的弹塑性变形直接依赖于结构实际的屈服强度(承载力),本节的承载力是设计值,不可误作为标准值来进行本章第6.9节要求的弹塑性变形验算。
6.8.3 当仅计算竖向地震作用时,各类地下结构构件承载力抗震调整系数均应采用1.0。
条文说明
6.8.3 本条与现行国家标准《建筑抗震设计规范》GB 50011中的相关规定一致。
6.9 抗震变形验算
6.9 抗震变形验算
6.9.1 地下结构进行弹性变形验算时,断面应采用最大弹性层间位移角作为指标,并应符合下式规定:
△ue≤[θe]h (6.9.1)
式中:△ue——基本地震作用标准值产生的地下结构层内最大的弹性层间位移(m);计算时,钢筋混凝土结构构件的截面刚度可采用弹性刚度;
[θe]——弹性层间位移角限值,宜按表6.9.1采用;
h——地下结构层高(m)。
表6.9.1 弹性层间位移角限值

注:圆形断面结构应采用直径变形率作为指标,地震作用产生的弹性直径变形率应小于4‰。
条文说明
6.9.1 根据本标准所提出的抗震设防四个水准的要求,采用两阶段设计方法来实现,即:在多遇地震作用下,主体结构不受损坏,非结构构件没有过重破坏并导致人员伤亡,保证结构的正常使用功能;在罕遇地震作用下,主体结构遭受可修复的破坏或严重破坏但不倒塌。
第一阶段设计,变形验算以弹性层间位移角表示。不同结构类型给出弹性层间位移角限值,主要依据编制组针对不同层数与跨数地下结构对比分析的结果,以钢筋混凝土地下结构构件出现塑性铰时的层间位移角作为结构弹性层间位移角限值。
圆形断面结构整体的验算指标的研究成果还未深入,国内外应用较多的是直径变形率,现行国家标准《地铁设计规范》GB 50157以其为验算指标。现行国家标准《地铁设计规范》GB 50157的条文说明中,根据已有工程实践经验,给出了4‰~6‰直径的限制,但这是施工荷载情况下的结果。针对常见的城市轨道交通盾构隧道,有研究建议在弹性工作状态下的限值取为3.4‰,但由于当前研究中的简化假设以及数值计算的样本量限制,指标限值还需要试验研究来验证,因此取4‰作为目前的弹性直径变形率限值。
6.9.2 地下结构断面的弹塑性层间位移应符合下式规定:
△up≤[θp]h (6.9.2)
式中:△up——弹塑性层间位移(m);
[θp]——弹塑性层间位移角限值,取1/250;
h——地下结构层高(m)。
条文说明
6.9.2 根据震害经验、试验研究和计算分析结果,提出以构件(梁、柱、墙)和节点达到极限变形时的层间极限位移角作为第二阶段设计下结构弹塑性层间位移角限值的依据。考虑地下结构修复的难度较大,将罕遇地震作用下混凝土结构弹塑性层间位移角的限值取为[θp]=1/250。
国内外许多研究结果表明,不同结构类型的不同结构构件的弹塑性变形能力是不同的,钢筋混凝土结构的弹塑性变形主要由构件关键受力区的弯曲变形、剪切变形和节点区受拉钢筋的滑移变形等三部分非线性变形组成。影响结构层间极限位移角的因素很多,包括:梁柱的相对强弱关系,配箍率、轴压比、剪跨比、混凝土强度等级、配筋率等,其中轴压比和配箍率是最主要的因素。因而,随着弹塑性分析模型和软件的发展和改进,后续修订将细化地下结构弹塑性层间位移的规定。
6.9.3 圆形断面地下结构在罕遇地震作用下产生的弹塑性直径变形率应小于6‰。
条文说明
6.9.3 与弹性变形类似,圆形断面结构整体的弹塑性验算指标限值还需要试验研究来验证,取6‰作为目前的弹塑性直径变形率限值。
6.9.4 地下结构纵向变形验算应符合下列规定:
1 变形缝的变形量不应超过满足接缝防水材料水密性要求的允许值;
2 伸缩缝处轴向钢筋或螺栓的位移应小于屈服位移;伸缩缝处的转角应小于屈服转角。
条文说明
6.9.4 纵向抗震验算,应充分考虑隧道与地下车站和伸缩缝等连接部位的变形能力、极限承载力以及防水能力。伸缩缝等连接部位装置宜考虑材料和施工措施,在试验的基础上正确把握其变形性能和防水性能,进行合理的建模和参数设定。
6.10 地震抗浮验算
6.10 地震抗浮验算
6.10.1 当采用本标准第4.2.2条的判别法对地下结构场地进行地震液化判别时,详判后地下结构底部以下有液化可能时,应进行地震抗浮验算。
条文说明
6.10.1 大量震害调查表明,由于地震引起的超静孔压上升使得地下结构上浮破坏是饱和砂土或粉土地基中地下结构破坏的一种常见形式。因此本条规定,当采用本标准第4.2.2条的四步判别法对地下结构场地进行地震液化判别时,进行详判后认为地下结构底部以下有液化可能时,在对结构物和土层整体进行动力时程分析的基础上,应进一步进行地下结构地震抗浮验算。
6.10.2 结构所受上浮荷载应按下式计算:
F=Fs+Fp (6.10.2)
式中:F——地下结构所受上浮荷载设计值(N);
Fs——静力条件下的浮力设计值(N);
Fp——超静孔压引起上浮力标准值的效应(N),可按本标准第6.10.3条计算。
条文说明
6.10.2 地下结构所受的上浮荷载应包括静力条件下的浮力和地震产生的超静孔压引起的上浮力。
6.10.3 超静孔压引起上浮力标准值的效应Fp可由下式计算:

式中:psi——与结构表层单元i外表面相接触的土单元超静孔压(Pa);
Ahi——结构表层单元i外表面面积(m2);
θi——结构表层单元i外表面外法向与竖直向下方向的夹角(°)。
条文说明
6.10.3 本条对于地震产生的超静孔压引起的上浮力是基于对结构物和土层整体进行弹塑性动力时程分析的结果计算的。
6.10.4 地下结构抗浮力应按下式计算:
RF=Rg+Rsg+Rsf (6.10.4)
式中:RF——地下结构抗浮力设计值(N);
Rg——地下结构自重设计值(N);
Rsg——上覆地层有效自重设计值(N);
Rsf——地下结构壁和桩侧摩阻力设计值(N),可按本标准第6.10.5条计算。
条文说明
6.10.4 地下结构的抗浮力应包括结构自重、上覆地层有效自重和结构壁及与其相连的抗浮桩的侧摩阻力。
6.10.5 地下结构壁和桩侧摩阻力Rsf可按现行行业标准《建筑桩基技术规范》JGJ 94的取值乘以地震弱化修正系数ψe计算,其中地震弱化修正系数ψe可按现行行业标准《建筑桩基技术规范》JGJ 94取土层液化影响折减系数,也可由下式计算:

式中:σ'zmin——采用弹塑性动力时程分析时相应深度处竖向有效应力的最小值(Pa);
σz——采用弹塑性动力时程分析时相应深度处竖向有效应力为最小值σ'zmin时刻的竖向总应力值(Pa)。
条文说明
6.10.5 本条对于侧摩阻力的计算是采用了对桩基侧摩阻力进行修正的方式,修正主要考虑了液化对侧摩阻力的影响。由弹塑性动力时程分析可以得到结构侧壁和桩周位置处竖向有效应力最小值与对应的总应力的比值,侧摩阻力的地震弱化修正系数照此取值。为了方便计算,弹塑性动力时程分析的模型中可不含抗浮桩,抗浮桩桩周侧摩阻力的地震弱化修正系数可取相应位置处土的弹塑性动力分析的结果计算。
6.10.6 地下结构的地震抗浮验算应符合下式规定:
F≤RF/γRF (6.10.6)
式中:γRF一—地震抗浮安全系数,应取1.05。
条文说明
6.10.6 地下结构的抗浮验算应满足公式(6.10.6)的要求,即抗浮力不小于上浮力,抗浮安全系数按现行国家标准《地铁设计规范》GB 50157取1.05。
地下单体结构
7.1 一般规定
7.1 一般规定
7.1.1 明挖法和矿山法施工的钢筋混凝土框架地下单体结构应依据本章进行抗震设计。
条文说明
7.1.1 地下单体结构目前主要为钢筋混凝土框架结构。
7.1.2 地下单体结构应符合下列规定:
1 结构布置宜简单、规则、对称、平顺,结构质量及刚度宜均匀分布,不应出现抗侧力结构的侧向刚度和承载力突变;
2 地下单体结构下层的竖向承载结构刚度不宜低于上层;
3 地下单体结构的主体结构与附属通道结构之间应设变形缝。
条文说明
7.1.2 研究表明,地震作用下地下结构地震反应的规律与结构布置的规则性关系密切,形状不规则常可导致个别构件的动内力剧烈增加,从而成为结构体系抗震承载能力的薄弱环节。因此地下单体结构的布置,在纵向和横剖面上都应同时注意形状变化的平顺性,不应出现刚度和承载力突然变化。
7.1.3 地下单体结构的抗震等级应按表7.1.3确定。
表7.1.3 地下单体结构的抗震等级

注: 1 抗震设防烈度为9度时,甲类地下单体结构的抗震等级应进行专门研究沦证;
2 甲类和乙类地下单体结构依据本表确定抗震等级时无需再提高设防烈度。
条文说明
7.1.3 对于同等规模的同类结构而言,地下单体结构的抗震性能和地震时受到的破坏总体上优于地面建筑结构,但考虑到地下单体结构工程的重要性和修复的困难性,以及与现行国家标准《建筑抗震设计规范》GB 50011和《地铁设计规范》GB 50157的规定保持一致,本标准推荐了不同抗震设防烈度下较为安全的结构抗震等级标准。
7.1.4 地下单体结构框架结构中柱的设置宜符合下列规定:
1 地下单体结构框架柱的设置宜结合使用功能、结构受力、施工工法等的要求综合确定;
2 位于设防烈度8度及以上地区时,不宜采用单排柱;当采用单排柱时,宜采用钢管混凝土柱或型钢混凝土柱。
条文说明
7.1.4 1995年日本阪神地震中,大开地铁站和止泽地铁站震害情况表明,对于框架式钢筋混凝土地下结构,钢筋混凝土中柱是结构的薄弱环节。在此次地震中,很多中柱损坏严重,混凝土保护层开裂脱落,纵向钢筋弯曲外凸,箍筋接头开脱。一半以上中柱甚至完全丧失了承载能力,导致顶板弯折拥塌、上覆土层沉陷,最大沉陷量超过2.5m。而钢管混凝土中柱基本上没有出现损害现象。
7.1.5 当地下单体结构所处地层中含有可液化土层时,应分析土层液化对结构受力和变形产生的影响,设计时应考虑液化和不液化两种条件下的不利工况。
条文说明
7.1.5 地下结构在液化土体中经常遇到的一个问题是上浮。地基发生液化时,可能减小结构的地震力,对结构抗震有利;另一方面,地基液化还可能导致结构过度下沉或倾斜,对结构产生破坏作用,因此要考虑两种条件下的不利工况。
7.2 计算要求
7.2 计算要求
7.2.1 地下单体结构的地震反应应按本标准第3.4.1条规定的计算方法和本章的规定进行计算。
条文说明
7.2.1 地下单体结构地震反应计算,应根据设防要求、场地条件、结构类型和埋深等因素,选用能较好反映其地震工作性状的计算分析方法,如反应位移法和时程分析法等。该两种方法均可用于横向和纵向地震反应计算。
7.2.2 地下单体结构抗震计算应符合下列规定:
1 地下单体结构的抗震计算模型应反映结构的实际受力状况以及结构与周边地层的动力相互作用;
2 地下单体结构简化应符合本标准附录A的简化原则。
7.2.3 采用动力时程分析法计算时,土、岩石的动力特性参数应由动力特性试验确定。
7.2.4 形状和地层条件简单的地下单体结构可按平面荷载-结构模型进行断面水平地震反应计算。
7.2.5 短边与长边之比大于2/3,且短边长度大于30m的地下单体结构抗震设计时宜同时考虑两个主轴方向上的水平地震作用,并宜按空间结构模型进行时程分析。
条文说明
7.2.4、7.2.5 地下结构的地震作用方向与地面建筑有所区别。对于长条形地下结构,作用方向与其纵轴方向斜交的水平地震作用,可分解为横断面上和沿纵轴方向作用的水平地震作用,二者强度均将降低,一般不可能单独起控制作用。因此对其按平面应变问题分析时,一般可仅考虑结构断面的水平地震作用。
7.2.6 对于下列情况,地下单体结构应按空间地层-结构模型采用时程分析法进行地震反应计算:
1 沿结构纵向地层分布有显著差异;
2 沿纵向结构形式有较大变化;
3 同时在水平和竖向两个方向结构变化较多或复杂;
4 楼板开孔的孔洞宽度大于该层楼板宽度的30%;
5 结构体系复杂、体形不规则以及结构断面变化较大、结构断面显著不对称等复杂的地下单体结构;
6 地下单体结构紧贴既有重要建(构)筑物。
条文说明
7.2.6 地下单体结构一般可按几何形体分为线状、块状和竖井式地下结构,其中线状地下单体结构指结构的短边与长边之比小于2:3;块状地下单体结构指结构的短边与长边之比大于2:3;竖井式地下单体结构指结构高度均远大于结构长度和宽度。
7.2.7 对于下列情况,地下单体结构除应进行水平地震作用计算外,尚宜考虑竖向地震作用:
1 结构体系复杂、体形不规则以及结构断面变化较大、结构断面显著不对称的地下单体结构;
2 大跨度结构或浅埋大断面结构;
3 在结构顶板、楼板上开有较大孔洞,形成大跨悬臂构件;
4 竖向地震作用效应很重要的其他结构。
条文说明
7.2.7 形状与地层条件简单的地下单体结构可只进行水平地震作用计算,竖向地震作用不控制其结构设计,原因如下:
1 竖向地震动的峰值加速度一般均小于水平地震动峰值加速度,约为水平地震动峰值的1/2~2/3。
2 形状与地层条件简单的地下单体结构体系一般均具有较强的竖向承载力,而水平向承载力较小,这就使得水平地震作用更具危险性。
3 随震中距的加大,竖向地震作用衰减很快,所以大部分地区水平地震作用较为明显。当浅埋地下单体结构中存在大跨或长悬臂等构件时,结构对竖向地震作用相对敏感,故本标准对高烈度区(相对较接近震中区)的此类地下结构提出了竖向地震作用计算的要求。
7.2.8 考虑地震组合的框架梁剪力设计值应根据结构抗震等级选用不同计算公式,应符合现行国家标准《混凝土结构设计规范》GB 50010的规定。
7.2.9 框架柱及框支柱节点上、下端的截面弯矩设计值应根据结构抗震等级选用不同计算公式,应符合现行国家标准《混凝土结构设计规范》GB 50010的规定。
7.2.10 框架柱及框支柱的剪力设计值应根据结构抗震等级选用不同计算公式,应符合现行国家标准《混凝土结构设计规范》GB 50010的规定。
7.2.11 框架梁柱节点核心区的剪力设计值应根据结构抗震等级选用不同计算公式,应符合现行国家标准《混凝土结构设计规范》GB 50010的规定。
条文说明
7.2.8~7.2.11 本节对于钢筋混凝土框架地下结构各截面承载力的计算,与现行国家标准《混凝土结构设计规范》GB?50010中钢筋混凝土地面建筑的计算方法保持一致。
7.3 抗震措施
7.3 抗震措施
7.3.1 框架结构的基本抗震构造措施应符合现行国家标准《建筑抗震设计规范》GB 50011的规定。
7.3.2 梁的截面宽度不宜小于200mm,截面高宽比不宜大于4。梁中线宜与柱中线重合。
7.3.3 梁的纵向钢筋、箍筋配置应符合现行国家标准《建筑抗震设计规范》GB 50011的规定。
7.3.4 柱轴压比应符合下列规定:
1 柱轴压比不宜超过表7.3.4的限值。
表7.3.4 地下结构框架柱轴压比限值

注:1 轴压比指结构地震组合下柱的轴压力设计值与柱的全截面面积和混凝土轴心抗压强度设计值乘积之比值;对本标准规定不进行地震作用计算的结构,可取无地震作用组合时轴力设计值计算;
2 表中限值适用于剪跨比大于2、混凝土强度等级不高于C60的柱;剪跨比不大于2的柱,轴压比限值应降低0.05;剪跨比小于1.5的柱,轴压比限值应专门研究并采取特殊构造措施。
2 下列情况下轴压比限值可增加0.10,箍筋的最小配箍特征值均应按增大的轴压比按现行国家标准《建筑抗震设计规范》GB 50011的要求确定:
1)沿柱全高采用井字复合箍,且箍筋肢距不大于200mm、间距不大于100mm、直径不小于12mm;
2)沿柱全高采用复合螺旋箍,且箍筋间距不大于100mm、箍筋肢距不大于200mm、直径不小于12mm;
3)沿柱全高采用连续复合矩形螺旋箍,且螺旋净距不大于80mm、箍筋肢距不大于200mm、直径不小于10mm。
3 在柱的截面中部附加芯柱,其中另加的纵向钢筋的总面积不少于柱截面面积的0.8%,轴压比限值可增加0.05;当此项措施与本条第2款的措施共同采用时,轴压比限值可增加0.15,但箍筋的体积配箍率仍可按轴压比增加0.10的要求确定。
4 柱轴压比不应大于1.00。
7.3.5 柱的纵向钢筋配置应符合下列规定:
1 柱截面纵向受力钢筋的最小总配筋率不宜小于表7.3.5的规定,且每一侧配筋率不应小于0.2%,总配筋率不应大于5%;
表7.3.5 柱截面纵向受力钢筋的最小总配筋率(%)

2 柱的纵向配筋宜对称配置,柱主筋间距不宜大于200mm;
3 对于柱净高与截面短边长度或直径之比不大于4的柱,柱全高范围内均应加密箍筋且箍筋间距不应大于100mm;
4 柱纵向钢筋的绑扎接头应避开柱端的箍筋加密区。
7.3.6 柱的箍筋配置应符合现行国家标准《建筑抗震设计规范》GB 50011的规定。
7.3.7 框架梁柱节点区混凝土强度等级不宜低于框架柱2级,当不符合该规定时,应对核心区承载力进行验算,宜设芯柱加强。
7.3.8 框架梁宽度大于框架柱宽度时,梁柱节点区柱宽以外部分应设置梁箍筋。
7.3.9 地下框架结构的板墙构造措施应符合下列规定:
1 板与墙、板与纵梁连接处1.5倍板厚范围内箍筋应加密,宜采用开口箍筋,设置的第一排开口箍筋距墙或纵梁边缘不应大于50mm,开口箍筋间距不应大于板非加密区箍筋间距的1/2;
2 墙与板连接处1.5倍墙厚范围内箍筋应加密,宜采用开口箍筋,设置的第一排开口箍筋距板边缘不应大于50mm,开口箍筋间距不应大于墙非加密区箍筋间距的1/2;
3 当采用板-柱结构时,应在柱上板带中设置构造暗梁,其构造措施应与框架梁相同;
4 楼板开孔时,孔洞宽度不宜大于该层楼板宽度的30%。洞口的布置宜使结构质量和刚度的分布仍较均匀、对称,不应发生局部突变。孔洞周围应设置满足构造要求的边梁或暗梁。
7.3.10 混凝土结构构件的纵向受力钢筋的锚固和连接应符合现行国家标准《混凝土结构设计规范》GB 50010的有关规定。
条文说明
7.3.1~7.3.10 针对不同抗震等级的结构,根据现行国家标准《混凝土结构设计规范》GB 50010、《建筑抗震设计规范》GB 50011对梁、柱的几何尺寸、布置、钢筋配置等要求作出了规定。
地下多体结构
8.1 一般规定
8.1 一般规定
8.1.1 由相互连接或邻近的2个及以上体量相当的地下单体结构组成的地下多体结构体系应依据本章进行抗震设计。
条文说明
8.1.1 地下多体结构是指由相互连接或临近的两个及以上体量相当的地下单体结构组成的地下多体结构体系。如有换乘通道连接的地铁车站,近距离平行、叠落或立交的地下结构。
8.1.2 地下多体结构的各单体结构的抗震设计应符合本标准第7章的规定。
8.1.3 地下多体结构不应处于软硬交错的地层中。当地下多体结构无法避免的处于软硬交错的地层中时,应对地下多体结构的各结构单元分别采用相应的抗震措施。
8.1.4 地下多体结构的各单体结构间宜设置变形缝。
8.1.5 对可能出现的薄弱部位应采取针对性措施提高其抗震能力。
8.1.6 应采取构造措施提高地下多体结构各单体结构连接处的抗震能力。
8.1.7 地下多体结构的抗震等级应按表8.1.7确定。
表8.1.7 地下多体结构的抗震等级

注:1 抗震设防烈度为9度时,甲类地下多体结构的抗震等级应进行专门研究论证;
2 甲类、乙类地下多体结构依据本表确定抗震等级时无需再提高抗震设防烈度。
条文说明
8.1.7 考虑地下多体结构的特点,以及与现行国家标准《建筑抗震设计规范》GB 50011和《地铁设计规范》GB 50157的规定保持一致,本标准推荐了不同抗震设防烈度下较为安全的结构抗震等级标准。
8.2 计算要求
8.2 计算要求
8.2.1 地下多体结构应按本标准第3.4.1条选取计算方法,并按本节的规定进行抗震计算。
8.2.2 地下多体结构应按三维空间地层-结构模型进行考虑动力相互作用的地震反应计算。
条文说明
8.2.2 本条款中所列均为空间效应和动力相互作用明显的结构,为真实反映其在地震作用下的地震反应及各结构部位间的相互影响,本条规定按空间地层结构模型并采用时程分析法进行地震反应计算。
8.2.3 地下多体结构的计算模型应反映各单体结构和连接部位的实际受力状态以及结构与周边地层的动力相互作用。各单体结构间设置变形缝时,计算模型应同时反映各单体结构间的实际动力相互作用。
8.2.4 地下多体结构体系的简化应符合本标准附录A的规定。
8.3 抗震措施
8.3 抗震措施
8.3.1 组成地下多体结构的各单体结构的抗震构造措施应符合本标准第7.3节的规定。
8.3.2 当地下多体结构无法避免的处于软硬相差较大的地层中时,可根据需要对各单体结构分别采用不同的处理措施保证其整体抗震性能。
盾构隧道结构
9.1 一般规定
9.1 一般规定
9.1.1 盾构隧道、隧道与横通道连接处、隧道与盾构工作井或通风井连接处应进行抗震设计。
9.1.2 盾构隧道结构的抗震等级应按表9.1.2确定。
表9.1.2 盾构隧道结构的抗震等级

注:抗震设防烈度为9度时,甲类盾构隧道结构的抗震等级应进行专门研究论证。
条文说明
9.1.2 考虑盾构隧道结构的特点,以及与现行国家标准《建筑抗震设计规范》GB 50011和《地铁设计规范》GB 50157的规定保持一致,本标准推荐了不同抗震设防烈度下较为安全的结构抗震等级标准。
9.1.3 盾构隧道的抗震设计除满足本标准外,尚应符合现行国家标准《地铁设计规范》GB 50157和《城市轨道交通结构抗震设计规范》GB 50909的规定。
条文说明
9.1.3 除本标准外,现行国家标准《地铁设计规范》GB 50157和《城市轨道交通结构抗震设计规范》GB 50909中也包含对城市盾构隧道抗震设计的相关规定,按本标准进行城市盾构隧道抗震设计时,还用符合相关标准的规定。
9.2 计算要求
9.2 计算要求
9.2.1 盾构隧道的抗震计算应包括横向和纵向抗震计算。盾构隧道与横通道、工作井、通风井等连接部位及地质条件剧烈变化段需精细化设计时,宜进行三维抗震计算。
条文说明
9.2.1 基于隧道工程管状线形结构特点以及盾构隧道管片加接头的特殊结构形式,盾构隧道在地震作用下隧道横断面方向和纵向结构内力大小与方向均不相同,特别是应考虑接头构造在地震作用下的受力与变形对结构安全的影响,因此盾构隧道要考虑横断面方向和纵向的抗震计算。在地形、地质条件变化较大区段以及结构空间效应显著的联络横通道、竖井连接处等部位的结构受力复杂,精细化设计时宜进行三维抗震计算。
9.2.2 应根据本标准第3章中抗震设防类别、设防目标及性能要求,并结合工程环境、地质条件等因素选择合理的抗震计算方法,并应符合下列规定:
1 土质地层中的盾构隧道横向抗震计算宜采用本标准中的反应位移法Ⅰ或Ⅱ,纵向抗震计算宜采用本标准中的反应位移法Ⅲ或Ⅳ;处于均匀地层中的圆形盾构隧道可采用本标准附录D的均匀地层圆形盾构隧道地震内力简化计算公式;当计算断面内地质条件复杂或隧道断面形状复杂时应采用时程分析法;
2 岩质地层中的盾构隧道横向抗震计算可按现行国家标准《铁路工程抗震设计规范》GB 50111的规定进行,当计算断面内地质条件复杂或隧道断面形状复杂时应采用时程分析法;岩质地层中的盾构隧道纵向抗震计算宜采用时程分析法进行;
3 盾构隧道与横通道、工作井、通风井等结构连接部位应采用时程分析法进行抗震计算。
条文说明
9.2.2 盾构隧道衬砌是用螺栓将预制管片拼装而成,隧道的横断面以及纵向均有很多接头,除了管片外,接头处的受力与变形也对结构的安全和正常使用起到控制性作用,此外,隧道与横通道连接处、隧道与盾构工作井或通风井连接处等结构形式变化大、空间效应显著的部位,容易产生应力集中和变形过大,因此要针对盾构隧道结构特点选取合适的抗震计算方法对其进行抗震计算。
9.2.3 盾构隧道各种计算方法中的计算模型选择应符合下列规定:
1 盾构隧道断面抗震计算可采用考虑管片接头对整环管片刚度折减的等效刚度环模型或采用管片接头与管片共同作用的梁-弹簧模型;盾构隧道纵向抗震计算可采用环间接头对结构纵向刚度折减的等效刚度梁模型或梁-弹簧模型;
2 盾构隧道进行了结构性二次衬砌时,抗震计算中应考虑二次衬砌的作用;在本条第1款的基础上,将二次衬砌采用梁单元模拟,二次衬砌和一次衬砌之间相互作用采用弹簧单元模拟;
3 盾构隧道抗震计算采用时程分析法时,对于盾构隧道的横向抗震计算,可按平面应变问题进行;对于纵向或主隧道与横通道、竖井等结构连接处以及地层条件发生显著变化段的抗震计算宜采用三维计算模型。
条文说明
9.2.3 盾构隧道由管片和接头组成,为了合理反映盾构隧道的特征,要将接头的影响反映到结构模型中,通常盾构隧道横断面方向可采用等效刚度环模型或梁-弹簧模型,纵向抗震计算可采用等效刚度梁模型或梁-弹簧模型,具体说明如下:
采用等效刚度环模型进行横断面抗震计算时,将环向接头与管片作为整体,通过刚度折减系数表征环向接头对衬砌环的刚度折减,把管片环简化为等效刚度圆环,周围土体采用地层弹簧模拟;梁-弹簧模型中,管片结构采用曲梁单元,环向接头采用弹簧(回转、拉压、剪切)模拟,在模拟管片错缝拼装及考虑纵向接头影响时,可选取纵向2环或3环进行内力计算,此时纵向接头采用剪切弹簧,周围土体采用地层弹簧模拟。采用等效刚度梁模型进行隧道纵向抗震计算时,把纵向接头与管片作为整体,通过变形一致条件计算纵向等效拉、压和弯曲刚度,将隧道结构沿纵向简化为一根等效刚度梁,周围土体用地层弹簧模拟;梁-弹簧模型中,管片结构用梁单元,纵向接头用弹簧(回转、拉压、剪切)模拟,周围土体用地层弹簧模拟,采用该模型能更细致地评价隧道结构力学行为。
盾构隧道的二次衬砌是指当仅靠一次衬砌难以达到隧道的使用目的时,通过在一次衬砌内侧浇筑混凝土来满足设计的功能。二次衬砌分为非结构性二次衬砌和结构性二次衬砌。非结构性二次衬砌的目的是对管片进行加固、预防腐蚀和振动、改善衬砌外观、矫正隧道线路;结构性二次衬砌的目的是与管片一起构成隧道的结构构件。对于非结构性二次衬砌,由于不作为构件考虑,抗震设计中也可不专门进行抗震计算;对于结构性二次衬砌,按双层衬砌层间结合面的光滑程度,将双层衬砌分为复合结构(层间具有抗剪强度,可传递轴力和剪力)和叠合结构(层间不具有抗剪强度,仅传递轴力)。对结构性二次衬砌进行抗震计算时,衬砌采用梁单元模拟;二次衬砌和一次衬砌间的相互作用采用弹簧单元模拟,通过设置不同的层间弹簧刚度分别模拟复合结构和叠合结构。
9.2.4 盾构隧道抗震计算中地震作用应符合下列规定:
1 抗震计算采用反应位移法时,设计基准面应按本标准第6.2.1条和第6.3.2条确定;
2 采用反应位移法Ⅰ或Ⅱ时应将地层在隧道横断面方向的位移差和周边剪切力作用于隧道结构进行抗震计算;采用反应位移法Ⅲ或Ⅳ时应将地层中隧道轴线所在位置的地层纵向及横向位移作用于隧道进行抗震计算;
3 采用时程分析法时应按本标准第5.2节相关规定确定地震作用及输入地震动进行抗震计算。
条文说明
9.2.4 随着埋深的减小,地层对地震动具有放大效应,设计基准面的选择将直接影响抗震设计中地震作用的大小,采用反应位移法时应根据本标准第6.2.1条和第6.3.2条,对设计基准面的选取作出规定。
反应位移法中最主要的地震作用是地层作用于结构的强制位移以及地层作用于结构外表面的剪应力,结构惯性力因隧道的表观重度较小,在地震内力所占比例很小,一般可以忽略;岩质地层中隧道结构地震反应受惯性作用控制,宜采用修正静力法进行抗震计算,根据其计算原理,应考虑的地震作用包括衬砌自重地震惯性作用、上覆土柱地震惯性作用、地震侧向土压力增量三部分。
9.2.5 盾构隧道的抗震验算除应符合本标准第6.8节~第6.10节的要求外,尚应符合下列规定:
1 抗震验算应包括管片结构、管片接头构造、隧道与横通道等结构连接处的强度、变形验算以及地层稳定验算;
2 结构抗震变形验算时,管片环直径变形率不应大于满足抗震性能要求的最大变形率;管片接缝及结构连接部位总变形量不应大于防水密封构造及材料容许的最大变形量;接缝处螺栓等连接件的变形应小于屈服变形;
3 对于进行了结构性二次衬砌的盾构隧道,尚应进行二次衬砌的抗震验算。
条文说明
9.2.5 盾构隧道衬砌是用螺栓将预装管片拼装而成,隧道的横断面以及纵向有大量接头,除了管片结构外,接头处的受力与变形也对结构的安全和正常使用起到控制性作用。此外,隧道与横通道连接处、隧道与盾构工作井或通风井连接处等结构形式变化大、空间效应显著的部位。容易产生应力集中和变形过大,因此盾构隧道抗震验算应包括管片结构、接头、连接处结构交叉部位。
结构性二次衬砌的目的是与管片一起构成隧道的结构构件。因此,对于结构性二次衬砌,也应进行相应的抗震验算。
9.3 抗震措施
9.3 抗震措施
9.3.1 隧道结构抗震措施应提高隧道结构自身抗震性能或减少地层传递至隧道结构的地震能量。
条文说明
9.3.1 合理的抗震措施,比单纯依靠提高设防标准来增强抗震能力更为经济合理。盾构隧道的地震反应主要取决于地层的位移差,控制地层位移差的方法主要有两种,一方面是采取必要的构造措施,使隧道容易随着地层的振动而振动,提高隧道自身的抗震性能;另一方面是通过工程手段减少地层传递至隧道结构的地震能量,如绕避不良地质地段、改良土体、在盾构隧道与地层之间设置隔震层等措施。
9.3.2 盾构隧道与横通道等结构连接处、地质条件剧烈变化段以及上覆荷载显著变化处应采取措施提高结构变形能力,不得使结构产生影响使用的差异沉降,同时应满足结构防水要求。
9.3.3 可采用减小管片环幅宽、加长螺栓长度、加厚弹性垫圈、局部选用钢管片或可挠性管片环等措施提高隧道结构适应地层变形的能力。
条文说明
9.3.2、9.3.3 根据工程实践经验,盾构隧道的变形主要产生在隧道接头处,隧道与联络横通道、竖井连接处或地形及地质条件突变处等特殊部位,使用柔性接头和钢管片等可以通过自身的变形来适应周围地层的位移,减小地震引起的结构内力。
还可以考虑纵向接头采用直螺栓、加长纵向螺栓长度、在接头处加弹性垫圈等方式来适应周围地层的位移,从而达到抗震的目的。从图18中可以看出,直螺栓更容易适应地震变形,且变形时对隧道管片结构的损害相对较小,从抗震角度推荐采用直螺栓连接形式。

图18 不同形式螺栓连接示意
如图19所示,在盾构隧道接头处采用回弹能力强的止水弹性胶片,且适当增加胶片的厚度,施加预应力紧固,可达到地震时有效止水的目的,保证隧道的正常运营;沿盾构隧道和竖井的连接处设置橡胶止水带可防止此处变形过大而发生漏水;采用可更换的遇水膨胀橡胶密封圈作为螺栓孔密封垫圈不仅可止水,还可以减小地震引起的结构内力。

图19 止水弹性胶片工作原理示意
1-丁腈软木橡胶;2-复合止水条;3-嵌缝材料
9.3.4 可采用管片壁后注入低剪切刚度注浆材料等措施,在内衬和外壁之间、外壁与地层之间等设置隔震层。
条文说明
9.3.4 在衬砌外表面和围岩之间采取隔震措施,使原有的衬砌-围岩系统变为衬砌-隔震层-围岩系统,其目的是通过隔震层将衬砌与围岩介质隔开,从而减小或改变地震对结构的作用强度和方式,以达到减小结构振动的目的。隔震层不仅要求能吸收衬砌与地层之间反复循环的动应变或相对动位移,还应具有充分的弹性,保证在一次地震塑性化后,下一次地震时还能再发挥作用。压注式隔震层是新近开发出来的隔震材料,包括沥青系、氨基甲酸乙酯系、橡胶系、硅树脂系等,这些材料平时是液状,与硬化添加剂一同压注到围岩与衬砌之间的间隙内,硬化后就形成隔震层,该类型隔震材料具有较高的剪切变形性能、耐久性好、施工性好、不易产生有害物质。对于盾构隧道而言,在施工中进行壁后注浆时注入硅胶类的隔震材料已经在日本得到应用。
9.3.5 盾构隧道不应穿越断层破碎带、地裂缝等不良地质区域。当绕避不开时,应在断层破碎带全长范围及其两侧3.5倍隧洞直径过渡区域内采取本标准第9.3.3条和第9.3.4条的抗震措施。
条文说明
9.3.5 跨越断层带的隧道抗震研究是隧道抗震的一个难题,特别是活动断层错动位移量对隧道结构的影响。1978年日本伊豆大岛近海地震中的稻取隧道,1999年中国台湾集集地震中穿越车笼铺断层的输水隧洞,2004年日本新瀉中越地震中的国铁隧道、鱼沼隧道和妙见隧道,2008年中国汶川地震中龙溪隧道、龙洞子隧道和酒家垭隧道等都直接受到地震断层的错动而发生严重震害。根据实际工程经验,可适当扩大隧道断面尺寸,使得断层错动时可以保证隧道横断面的净空面积利于修复和正常使用。另外可以减小隧道纵向刚度,降低地震附加应力对隧道承载力的影响,或者加固断层带区域的围岩。
隧道抗震设防长度应包括全部断层破碎带段长度及过渡段长度,过渡段指断层带向其两侧较好围岩的过渡区域。2008年汶川大地震等震害表明:隧道震害常常发生在隧道断层带及其过渡段,原铁道部科技研究开发计划“大瑞铁路复杂地质艰险山区工程建设成套技术研究——高地温深埋特长隧道修建关键技术研究——高地震烈度地区隧道活动断裂带抗震减震技术研究”成果表明,过渡段长度可取3.5倍隧道直径。
9.3.6 盾构隧道不应穿越可能发生液化的地层。当绕避不开时,应分析液化对结构安全及稳定性的不利影响并采取相应抗震、减震措施;消除结构液化沉陷或上浮措施可按本标准第4.2.8条执行,可采用在盾构隧道环缝面设置凹凸榫槽、隧道局部或全长进行二次衬砌等结构构造措施。
条文说明
9.3.6 盾构隧道周边地基的液化现象可能导致隧道结构的失稳,隧道线路选择应尽可能避开可能发生液化的地层;无法避开时,应采用相应的措施来改善隧道周围地层或加强隧道结构,以保证隧道的稳定和安全。
10.1 一般规定
10.1 一般规定
10.1.1 矿山法隧道位置应选择在稳定的地层中,不应穿越断层破碎带段、软硬地层变化段、软弱围岩段等不良地质段。隧道洞口应遵循早进晚出的原则,宜避开可能会发生崩塌、滑坡、泥石流等不良地质现象的地段。
条文说明
10.1.1 从以往的震害现象来看,穿越断层破碎带段、软硬地层变化段、软弱围岩段等一些不良地质段的隧道更容易遭受地震破坏,应尽量避免穿越。洞口是山岭隧道抗震设防的重点,特别是位于可能发生崩塌、滑坡、泥石流等不良地质现象的地段时,因地震作用产生的次生灾害导致隧道洞口被掩埋或衬砌破坏。
10.1.2 矿山法隧道结构的抗震等级应按表10.1.2确定。
表10.1.2 矿山法隧道结构的抗震等级

注:抗震设防烈度为9度时,甲类矿山法隧道结构的抗震等级应进行专门研究论证。
条文说明
10.1.2 考虑矿山法隧道结构的特点,以及与现行国家标准《建筑抗震设计规范》GB 50011和《地铁设计规范》GB 50157的规定保持一致,本标准推荐了不同抗震设防烈度下较为安全的结构抗震等级标准。
10.1.3 矿山法隧道抗震设计除应符合本标准外,尚应符合国家现行标准《铁路工程抗震设计规范》GB 50111和《公路工程抗震规范》JTG B02的有关规定。
矿山法隧道结构
10.2 计算要求
10.2 计算要求
10.2.1 应根据抗震设防类别、设防目标、性能要求以及工程环境、地质条件等因素选择合理的抗震计算方法,并应符合下列规定:
1 土质地层中的矿山法隧道横向抗震计算宜采用本标准中的反应位移法Ⅰ、反应位移法Ⅱ或整体式反应位移法,岩质地层中横向抗震计算也可按现行国家标准《铁路工程抗震设计规范》GB 50111的规定进行;地质条件或结构形式复杂时,矿山法隧道横向抗震计算宜采用时程分析法;
2 矿山法隧道洞口段、纵向穿越软硬突变等非均匀地层时宜采用时程分析法进行纵向抗震计算;
3 矿山法隧道洞门、洞口段、主洞与辅助通道连接处等部位可采用时程分析法进行三维抗震计算。
10.2.2 矿山法隧道抗震计算模型的选取应符合下列规定:
1 矿山法隧道断面计算模型中可将衬砌结构视为弹性地基上的拱形结构,可采用梁单元模拟隧道衬砌;
2 矿山法隧道抗震计算采用时程分析法且地质条件及结构形式简单时,可按平面应变问题进行地震反应计算;
3 洞门、洞口段、主洞与辅助通道连接处等部位的抗震计算应采用三维计算模型。
10.2.3 矿山法法隧道地震反应计算中,地震作用应符合下列规定:
1 一般情况可仅考虑沿结构断面的水平地震作用;
2 洞门和邻接洞口的衬砌结构、纵向穿越软硬突变等非均匀地层的衬砌结构宜考虑沿结构纵向的水平地震作用;
3 地形起伏较大的浅埋傍山隧道,或沿线地质条件变化较大的局部区段,尚宜考虑竖向地震作用。
条文说明
10.2.2、10.2.3 考虑矿山法隧道的施工工法、结构特点以及地层环境等因素,同时参考大量实际工程设计经验可知,横断面的设计往往起控制作用,因此一般情况下,可按平面应变问题进行横向水平地震动作用下的抗震设计,将衬砌结构视为弹性地基上的拱形结构,采用梁单元模拟隧道衬砌、弹簧模拟结构与地层之间的相互作用。矿山法隧道洞口段以及纵向穿越非均匀地层区段的衬砌结构因地形、地质条件复杂,应考虑纵向及竖向地震作用。
10.2.4 矿山法隧道的抗震验算除应符合本标准第6.8节~第6.10节的要求外,应重点对隧道洞门和明洞、洞口、浅埋、偏压、下穿或近接建筑物、断层破碎带、软硬地层变化、软弱围岩、结构形式变化、主洞与辅助通道连接段的衬砌结构进行验算。
条文说明
10.2.4 根据宏观震害资料调研可知,地震对于矿山法隧道的破坏与地形、地质、结构埋深、结构形式等因素相关。洞门、洞口段、浅埋偏压段常常因为临空、覆盖层厚度较小、覆盖层厚度不均匀等因素导致地震动力作用放大显著从而诱发较严重的震害;断层破碎带、软硬地层突变带以及主洞与辅助通道连接处等部位因围岩或结构刚度的突变导致地震动力反应复杂,是矿山法隧道抗震的薄弱环节,因此这些部位是矿山法隧道抗震验算的重点部位。
10.3 抗震措施
10.3 抗震措施
10.3.1 城市浅埋矿山法隧道应采用防水型钢筋混凝土结构且隧道全部设置仰拱。
10.3.2 隧道洞口段、浅埋偏压段、深埋软弱围岩段和断层破碎带等地段的结构,其抗震加强长度应根据地形、地质条件确定。加强段两端应向围岩质量较好的地段延伸,延伸长度最小值宜按表10.3.2的规定采用。
表10.3.2 隧道抗震设防范围延伸段长度最小值(m)

条文说明
10.3.2 隧道洞口段、浅埋偏压段、深埋软弱围岩段和断层破碎带区域为抗震设防的重点。其设防范围应根据地震烈度、地质条件及断面大小等因素确定。
1 洞口段设防范围包括洞口段长度和往洞身的延伸段长度。
2 断层破碎带段设防范围包括断层破碎带段长度和往两端较好围岩的延伸段长度。
3 浅埋偏压段设防范围为浅埋偏压段和往围岩均质区域的延伸段长度。
4 深埋软弱围岩段设防范围为软弱围岩段和往两端较好围岩的延伸段长度。
10.3.3 抗震设防段的隧道衬砌应采用混凝土或钢筋混凝土材料,其强度等级不应低于表10.3.3的规定。
表10.3.3 隧道衬砌材料种类及强度等级

注:1 浅埋隧道均应采用钢筋混凝土;
2 地震动峰值加速度为0.40g的地区隧道跨度B≥12m的隧道衬砌混凝土宜添加纤维材料,以提高抗震性能。
条文说明
10.3.3 抗震设防范围内隧道应采用复合式衬砌。地震动峰值加速度为0.4g的地区三车道隧道衬砌混凝土宜添加纤维材料,增加衬砌强度,减小衬砌刚度,以提高隧道随地层变形的能力。
10.3.4 抗震设防地段衬砌结构构造应符合下列规定:
1 软弱围岩段的隧道衬砌应采用带仰拱的曲墙式衬砌;
2 明暗洞交界处、软硬岩交界处及断层破碎带的抗震设防地段衬砌结构应设置抗震缝,且宜结合沉降缝、伸缩缝综合设置。Ⅱ类场地基本地震动峰值加速度为0.05g的地区应至少设置1道抗震缝,Ⅱ类场地基本地震动峰值加速度为0.10g或0.15g的地区应至少设置2道抗震缝,Ⅱ类场地基本地震动峰值加速度为0.20g及以上的地区应至少设置3道抗震缝;
3 通道交叉口部及未经注浆加固处理的断层破碎带区段采用复合式支护结构时,二衬结构应采用钢筋混凝土衬砌;
4 穿越活动断层的隧道衬砌断面宜根据断层最大错位量评估值进行隧道断面尺寸的扩挖设计;无断层最大错位量评估值时,隧道断面尺寸可放大400mm~600mm。断层设防段衬砌结构端部应增加最大错位评估值厚度,且应设置抗震缝,抗震缝宜在断层位置设置,缝宽宜40mm~60mm,并保证抗震缝填充密实,做好隧道结构的防水;在抗震缝两侧各1m范围内,初衬和二衬结构之间宜构筑100mm~150mm厚的沥青混凝土衬砌,沥青混凝土衬砌可采用预制块体熔化沥青砌筑的方法施工;
5 穿越黄土地裂缝的隧道,地裂缝设防区段衬砌结构应设置抗震变形缝。二衬结构端部厚度宜增大500mm以上,增厚长度宜在2m以上,且应满足竖向最大错位量的要求。在变形缝两侧各1m范围内,初衬和二衬结构之间宜构筑100mm~200mm厚的沥青混凝土衬砌。
条文说明
10.3.4 地质条件较差时,地层承载能力不足,变形较大。在此要采用带仰拱的曲墙式衬砌,使得衬砌整体成环,更好的抵抗地层变形。
设置抗震缝的目的是为了减弱衬砌特别是二次衬砌的整体性,进而降低隧道整体刚度,使其更好适应地层变形。
应注意抗震缝处的防渗水处理,可使用沉降缝防水设计方法。
我国多个城市存在地表沉降及其诱发的地裂缝,城市地铁建设必然面临隧道穿越活动地裂缝的问题。西安地铁穿越黄土地层地裂缝竖向错位量评估值达500mm,同时存在伸缩和扭转错位。西安地裂缝的诱发因素主要包括构造运动和承压水开采,而地震作用导致下伏基岩产生构造运动。考虑到地裂缝错位引起衬砌结构的运动位移变化特征,确定适应地裂缝的变形缝宽为100mm。除此之外,黄土地区高阶地、塬、岭还有潜在湿陷变形诱发的地裂缝,以及震陷诱发的地裂缝。
10.3.5 矿山法隧道不应穿越可能发生液化的地层。当绕避不开时应分析液化对结构安全及稳定性的不利影响并采取相应构造措施,且可按本标准第4.2.8条、第4.2.9条执行。
条文说明
10.3.5 在有可能液化的地层中建造矿山法隧道时,应注意检验其抗浮稳定性,并在必要时采取措施加固地层,以防地震时结构周围的场地液化。必要时,可设置抗拔桩。
10.3.6 洞门口抗震措施应符合下列规定:
1 隧道洞口位置的选择应结合洞口段的地形和地质条件确定,并应采取措施控制洞口仰坡和边坡的开挖高度,防止发生崩塌和滑坡等震害。当洞口地下较陡时,宜采取接长明洞或其他防止落石撞击的措施。
2 Ⅱ类场地基本地震动峰值加速度为0.20g及以上的地区宜采用明洞式洞门,洞门不宜斜交设置。
3 Ⅱ类场地基本地震动峰值加速度为0.30g以上的地区,洞口边坡、仰坡坡率降一档设置,边坡、仰坡防护应根据设防地震动峰值加速度值的提高,依次选用锚网喷、框架长锚杆、锚索、框架锚索等措施。
条文说明
10.3.6 当洞口处仰坡开挖高度较高、地形较为陡峭时,在地震过程中可能会存在落石风险。此时宜采取接长明洞方式防治落石对行人或行车的威胁,同时,宜适当增大明洞洞顶回填土厚度,减轻地震落石对明洞结构的撞击。
10.3.7 在满足隧道功能和结构受力良好的前提下,可加大隧道断面尺寸。
条文说明
10.3.7 适当加大隧道断面尺寸,不仅有利于在震后隧道存在一定损毁的条件下保持足够的净空,可持续发挥通行功能。同时,当震后隧道损毁严重时,还可为隧道内施工额外的支护结构提供足够的空间。
10.3.8 隧道内设辅助通道时,应提高主洞与辅助通道连接处的抗震性能。
条文说明
10.3.8 隧道内设辅助通道时,此处结构刚度出现明显变化,为抗震设防的薄弱部位。宜对此区域进行专门的抗震验算并采取相应的措施。
明挖隧道结构
11.1 一般规定
11.1 一般规定
11.1.1 明挖隧道应建在密实、均匀、稳定的地基上,选址时宜避开地层突变、软弱土、液化土及断层破碎带等不利地段;当无法避开时应采取可靠的抗震措施。回填部分的材料、密实度效应指标不应小于原位原状土。
条文说明
11.1.1 明挖隧道的地震反应受地层影响很大,其变形对周围地层有追随性。故其选址尽量位于地质条件优良的地层上,且地表起伏尽量较小。
11.1.2 明挖隧道结构的抗震等级应按表11.1.2确定。
表11.1.2 明挖隧道结构的抗震等级

注:抗震设防烈度为9度时,甲类明挖隧道结构的抗震等级应进行专门研究论证。
11.2 计算要求
11.2 计算要求
11.2.1 明挖隧道结构的抗震计算方法应根据本标准第3.4.1条确定,并应符合下列规定:
1 隧道纵向地层条件变化较大时,明挖隧道除应进行横向抗震计算外,尚应进行纵向抗震计算,可采用反应位移法Ⅳ或时程分析法;
2 隧道断面形状变化较大或与相邻建(构)筑物构成整体时,宜采用时程分析法进行三维抗震计算;
3 明挖隧道的地震作用可适当考虑挡土墙叠加效果。挡土墙与结构主体密切接触且受力钢筋互相连接时,可将挡土墙纳入结构共同计算;挡土墙与结构主体没有密切连接或连接薄弱时,可将挡土墙与主体结构分开建模,并根据实际情况确定二者之间的约束条件。
条文说明
11.2.1 明挖隧道在进行抗震设计时,一般可仅考虑沿结构断面的水平地震作用。布置不规则的明挖隧道应同时考虑两个主轴方向的水平地震作用,并按空间结构进行分析。对重要隧道应进行专门抗震研究,按地震安全评估所确定的场地地震动对隧道结构的抗震安全性进行验算。
隧道断面形状变化较大或隧道与相邻建(构)筑物构成整体时,宜同时考虑横向及纵向的水平地震作用。
对基坑开挖采用挡土墙的明挖隧道,特别是与隧道结构相叠合的挡土墙在地震作用下与明挖隧道共同变形,故抗震时应予以考虑。
11.2.2 明挖隧道的地震作用应符合下列规定:
1 结构形状复杂、纵向穿越软硬突变等非均匀地层的衬砌结构宜考虑沿结构纵向的水平地震作用;
2 地形起伏较大的浅埋隧道,或沿线地质条件变化较大的局部区段,或Ⅱ类场地基本地震动峰值加速度为0.15g及其以上地区的明挖隧道尚宜考虑竖向地震作用;
3 不符合本条第1款、第2款的情况可仅考虑沿结构断面的水平地震作用。
条文说明
11.2.2 一般情况下,隧道具有纵向长度较大、横向结构形式及构造基本不变的特点,因此一般情况下,可按平面应变问题进行断面水平地震动作用下的抗震设计,将衬砌结构视为弹性地基上的框架结构,采用梁单元模拟隧道衬砌、弹簧模拟结构与地层之间的相互作用。形状复杂以及纵向穿越非均匀地层区段的隧道因地形、地质条件复杂,应考虑纵向及竖向地震作用。
11.3 抗震措施
11.3 抗震措施
11.3.1 明挖隧道结构抗震构造要求应符合下列规定:
1 宜采用现浇结构。设置装配构件时,应与周围构件可靠连接。
2 墙或中柱的纵向钢筋最小总配筋率,应增加0.5%。中柱或墙与梁或顶板、底板的连接处应满足柱箍筋加密区的构造要求,箍筋加密区范围与抗震等级相同的地表结构柱构件相同。
3 地下钢筋混凝土框架结构构件的最小尺寸,应不低于同类地表结构构件的规定。
条文说明
11.3.1 明挖隧道结构一般都采用矩形钢筋混凝土结构,其抗震构造措施可参照同类地表结构。地下钢筋混凝土框架结构构件的尺寸常大于同类地表结构的构件,但使用功能不同的框架结构要求不一致,因此本条仅提构架最小尺寸应至少符合同类地表结构构件的规定,而未对其规定具体尺寸。
地下钢筋混凝土结构按抗震等级提出的构造要求,第2款为根据“强柱弱梁”的设计概念适当加强框架柱的措施。
11.3.2 明挖隧道顶板和底板应符合下列规定:
1 顶板、底板宜采用梁板结构。当采用板柱-抗震墙结构时,宜在柱上板带中设构造暗梁,其构造要求同地表同类结构。
2 地下连续墙复合墙体的顶板、底板的负弯矩钢筋至少应有50%锚入地下连续墙,锚入长度按受力计算确定;正弯矩钢筋应锚入内衬。
3 隔板开孔的孔洞宽度应不大于该隔板宽度的30%;洞口的布置宜使结构质量和刚度的分布较均匀、对称,不应发生局部突变;孔洞周围应设置满足构造要求的边梁或暗梁。
条文说明
11.3.2 本条规定比地上板柱结构有所加强,旨在便于协调安全受力和方便施工的需要。为加快施工进度,减少基坑暴露时间,地下结构的底板、顶板和楼板常采用无梁肋结构,由此使底板、顶板和楼板的受力体系不再是板梁体系,故在必要时宜通过在柱上板带中设置暗梁对其加强。
为加强楼盖结构的整体性,提出第2款加强周边墙体与楼板连接构造的措施。
水平地震作用下,地下结构侧墙、顶板和楼板开孔都将影响结构体系的抗震承载能力,故有必要适当限制开孔面积,辅以必要的措施加强孔口周围的构件。
11.3.3 明挖隧道结构穿过地震时岸坡可能滑动的古河道,或可能发生明显不均匀沉陷的地层时,应采取换土或设置桩基础等措施。
11.3.4 明挖隧道不应穿越可能发生液化的地层。当绕避不开时;应分析液化对结构安全及稳定性的不利影响,并可采取下列措施:
1 对液化土层应采取注浆加固和换土措施;
2 对液化土层未采取措施时,应分析其上浮的可能性并采取抗浮措施;
3 明挖隧道结构与薄层液化土夹层相交,或施工中采用深度大于20m的地下连续墙围护结构的明挖隧道结构遇到液化土层时,可仅对下卧层进行处理。
条文说明
11.3.4 对地层中存在的液化土层,注浆加固和换土等措施可有效消除或减轻液化危害。
地层中包含薄的液化土夹层时,以加强地下结构而不是加固地基为好。当基坑开挖中采用深度大于20m的地下连续墙作为围护结构时,坑内土体将因受到地下连续墙的挟持包围而形成较好的场地条件,地震时一般不可能液化。这两种情况,周围土体都存在液化土,在承载力及抗浮稳定性验算中,仍应考虑周围土层液化引起的土压力增加和摩阻力降低等因素的影响。
下沉式挡土结构
12.1 一般规定
12.1 一般规定
12.1.1 下沉重力式挡土结构和下沉U型挡土结构应依据本章进行抗震设计。
条文说明
12.1.1 下沉式挡土结构包括下沉重力式挡土结构和下沉U型挡土结构。
12.1.2 下沉式挡土结构可采用拟静力法进行抗震计算。
12.1.3 下沉式挡土结构的抗震等级应按表12.1.3确定。
表12.1.3 下沉式挡土结构的抗震等级

注:抗震设防烈度为9度时,甲类下沉式档土结构的抗震等级应进行专门研究论证。
条文说明
12.1.3 考虑下沉式挡土结构的特点,以及与现行国家标准《建筑抗震设计规范》GB 50011和《地铁设计规范》GB 50157的规定保持一致,本标准推荐了不同抗震设防烈度下较为安全的结构抗震等级标准。
12.1.4 挡土墙高度超过15m且抗震设防烈度为9度的下沉式挡土结构应进行专门研究和论证。
条文说明
12.1.4 震害调查表明,强震区的高挡土结构明显受竖向震动等影响,所以本章参照国外有关挡土结构抗震设计规范,对9度区高度超过15m的下沉式挡土结构的抗震设计,建议进行专门研究。
12.2 计算要求
12.2 计算要求
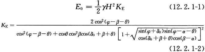
12.2.1 下沉式挡土结构可采用中性状态时的地震土压力,其合力和合力作用点的高度可分别按下列公式计算:

式中:E0——中性状态时的地震土压力合力(kN/m);
KE——中性状态时的地震土压力系数;
θ——挡土墙的地震角(°),可按表12.2.1取值;
h——地震土压力合力作用点距墙踵的高度(m);
H——挡土墙后填土高度(m);
γ——墙后填土的重度(kN/m3);
φ——墙后填土的有效内摩擦角(°);
δ0——中性状态时的墙背摩擦角(°),可取实际墙背摩擦角的1/2,或取墙后填土有效内摩擦角值的1/6;
α——墙后填土表面与水平面的夹角(°);
β——墙背面与铅锤方向的夹角(°)。
表12.2.1 档土墙的地震角θ(°)

条文说明
12.2.1 中性状态是指地震时墙体与土体之间不产生相对位移的状态。当地震作用为零时,中性状态就是静止土压力状态。对墙基坚固的下沉式挡土结构,地震时墙体与墙后填土几乎不会发生相对位移,建议采用中性状态时的地震土压力,其值明显比主动地震土压力要大。所以采用中性状态时的地震土压力值更为合理。
12.2.2 下沉重力式挡土结构在地震作用下的抗滑移稳定性和抗倾覆稳定性应进行验算,其抗滑移稳定性的安全系数不应小于1.1,抗倾覆稳定性的安全系数不应小于1.2。
条文说明
12.2.2 下沉重力式挡土结构的抗滑移稳定性、抗倾覆稳定性、偏心距、地基应力、墙身水平界面应力的计算方法可以依照有关的设计手册。
12.2.3 下沉重力式挡土结构的整体滑动稳定性验算可采用圆弧滑动面法。
12.2.4 下沉式挡土结构的地基承载力验算应符合现行国家标准《构筑物抗震设计规范》GB 50191的有关规定。
12.3 抗震措施
12.3 抗震措施
12.3.1 下沉式挡土结构的后填土应采用排水措施,可采用点排水、线排水或面排水方案。
12.3.2 抗震设防烈度8度和9度时,下沉重力式挡土结构不得采用干砌片石砌筑。抗震设防烈度7度时,采用干砌片石砌筑的下沉重力式挡土结构墙高不应大于3m。
12.3.3 下沉重力式浆砌片石或浆砌块石挡土结构墙高,抗震设防烈度8度时不宜超过12m,抗震设防烈度9度时不宜超过10m;超过10m时,宜采用混凝土整体浇筑。
12.3.4 下沉重力式混凝土挡土结构的施工缝应设置榫头或采用短钢筋连接,榫头的面积不应小于总截面面积的20%。
12.3.5 同类地层上建造的下沉重力式或U型挡土结构,伸缩缝间距不宜大于15m。在地基土质或墙高变化较大处应设置沉降缝。
12.3.6 下沉式挡土结构不应直接设在液化土或软弱地基上。不可避免时,可采用换土、加大基底面积或采用砂桩、碎石桩等地基加固措施。当采用桩基时,桩尖应伸入稳定地层。
条文说明
12.3.1~12.3.6 抗震构造措施是基于国内外许多震害调查资料的经验总结,参考了日本等国外以及国内有关设计标准的相应条款。
附录A 结构体系简化计算原则
附录A 结构体系简化计算原则
A.0.1 当采用反应位移法Ⅰ~反应位移法Ⅳ计算时,结构抗震计算应采用荷载-结构模型;当采用整体式反应位移法或时程分析法计算时,结构抗震计算应采用地层-结构模型。
条文说明
A.0.1 反应位移法Ⅰ~反应位移法Ⅳ是将地层的变形作为位移荷载加到与结构相连的弹簧的非结构端,因此建立的是荷载-结构模型;采用整体式反应位移法和时程分析法时应对地层和结构整体建模,因此建立的是地层-结构模型。
A.0.2 当采用荷载-结构模型计算时,地下结构构件宜采用梁单元模拟,周边地层对结构的支承及与结构的运动相互作用宜采用地层弹簧模拟。
A.0.3 当采用地层-结构模型计算时,应符合下列规定:
1 宜采用地层-结构模型按平面应变问题计算分析,当考虑地下结构空间动力效应时,宜采用三维模型计算分析;
2 二维时程分析法时,地下结构构件可采用梁单元或平面应变单元模拟;地层可采用平面应变单元模拟;
3 三维时程分析法时,梁、柱等杆系构件可采用梁单元或实体单元模拟,板、侧墙等构件可采用板单元或实体单元模拟,地层可采用实体单元模拟;
4 采用时程分析法计算时,侧面宜采用能反映能量辐射的人工边界。当底部为坚硬基岩面,且上覆地层模量显著低于基岩时,底部人工边界可取刚性边界;否则,宜选用能反映能量辐射的人工边界。
条文说明
A.0.3 采用时程分析法计算时,有限元模型的截断边界是实际物理问题中不存在的,会引起额外的对外行波的反射问题,因此要对截断边界的边界条件进行处理。目前较为常用的人工边界有黏弹性人工边界、黏性人工边界、透射边界等。
A.0.4 腋角的简化计算应符合下列规定:
1 构件端部设有腋角时,腋角尺寸小于相应方向构件跨度的1/10,可作为同样板厚进行分析;
2 验算腋角断面所用的构件有效尺寸d,应考虑腋角,腋角可仅考虑1:3坡度缓的部分作为有效尺寸(图A.0.4)。
A.0.5 采用纵梁-柱体系的地下结构应按等代框架法进行地震反应分析,即中柱应按真实截面尺寸建模,其他构件截面宽度应取纵梁相邻跨度各一半之和。

图A.0.4 梁腋断面有效高度d
附录B 非饱和结构性粉土、砂黄土及砂质粉黄土场地的震陷变形计算
附录B 非饱和结构性粉土、砂黄土及砂质粉黄土场地的震陷变形计算
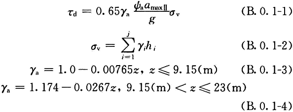
B.0.1 当遭受7度、8度和9度地震时,可按等效动剪应力的方法确定地震荷载的动剪应力幅值,其对应的振动次数宜分别为10次、20次和30次。地震作用的等效动剪应力可按下列公式计算:

式中:amaxⅡ——Ⅱ类场地地表水平向峰值加速度(m/s2),应按本标准表5.1.3确定;
ψa——峰值加速度调整系数,应按现行国家标准《城市轨道交通结构抗震设计规范》GB 50909确定;
σv——深度z处第j层土上覆土柱压缩应力(kPa);
γa——深度z处动剪应力折减系数;
γi——自地表往下第i层土的重度(kN/m3);
hi——自地表往下第i层土的厚度(m)。
条文说明
B.0.1 当遭受7度、8度和9度地震时,欠压密、孔隙比较大的结构性粉土、砂黄土及砂质粉黄土易产生震陷变形。震陷变形与动剪应力作用下动剪应变发展及循环累积作用破坏土结构具有密切联系。地震烈度越大,地表水平向峰值加速度越大,相同震中距场地的震级越高,地震历时越长。应用Seed地震随机振动的等效循环运动原理,随机振动地震波可简化为一定循环次数和振动幅值的谐振。对应于7度、8度和9度地震的循环振次分别为10次、20次和30次。
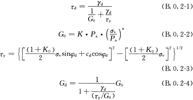
B.0.2 可采用等效黏弹性本构模型描述土的动应力应变关系。动剪应力幅值与动剪应变幅值之间的骨干曲线应服从双曲线关系。土的骨干曲线和动剪切模量可由下列公式计算:

式中:γd——动剪应变幅值;
G0——初始动剪切模量(kPa),可按本标准公式(B.0.2-2)计算;
τy——骨干曲线渐近线的动剪应力(kPa),可按本标准公式(B.0.2-3)计算;
Pa——大气压力(kPa);
K,n——土的试验参数;
K0——土的静止土压力系数;
cd---土的动黏聚强度指标(kPa);
φd——土的动摩擦强度指标(°);
Gd——土的动剪切模量(kPa)。
条文说明
B.0.2 土具有非线性和循环滞回特性,采用黏弹性本构模型描述土的动应力应变关系时,其骨干曲线一般呈双曲线变化。天然沉积结构性土具有明显的结构强度,由于动三轴应力条件下结构性土三轴压缩和三轴挤伸状态具有不同的强度,往往产生挤伸强度破坏的断裂,难以测试得到土结构逐渐遭到破坏的发展过程。尤其是天然含水量较低的刚性土,结构强度较大,更易产生断裂破坏,而在断裂之前近似呈线弹性关系。这种应力条件作用与水平向地震运动向上传递的动剪切作用不同。因此,宜采用动单剪试验测试动剪应力作用下结构性土骨架逐渐破坏和非线性骨干曲线。分析破坏动剪应变条件下土的动强度指标,以及动剪切模量与动剪应变之间的关系。
B.0.3 土的动剪应变可依据地震作用的动剪应力及土的动剪切模量随动剪应变幅值的变化关系,按下列方法计算:
1 可按下式迭代计算动剪应变:
γdn=τd/Gdn (B.0.3-1)
式中:Gdn——第n次迭代计算的动剪切模量(kPa);
γdn——第n次迭代计算的动剪应变幅值。
2 当第n次迭代计算的动剪切模量与前一次计算确定的动剪切模量满足下式时,可判断迭代计算完成:

条文说明
B.0.3 在确定地震剪切运动的等效谐振动剪应力峰值后,首先由初始动剪切模量计算动剪应变。然后,依据动模量与动剪应变的关系,由动剪应变确定动剪切模量,再计算给定峰值动剪应力作用下的动剪应变。前后两次计算动剪应变确定的动剪切模量误差不大于5%时,动剪应变计算完成。
B.0.4 非饱和结构性粉土、砂黄土及砂质粉黄土的震陷变形可由动剪切作用下动剪应变及其等效循环次数,土的含水率和上覆压缩应力确定。砂质粉黄土的震陷系数可按下式计算:

式中:ω——土的含水率(%);
γd——土的动剪应变;
N——等效循环次数;
α,a,b——土的震陷系数参数。
条文说明
B.0.4 通过不同含水量砂质粉黄土,在不同初始压缩应力作用下的等应变动单剪试验,测试了震陷变形随振次的累积发展。分析了土初始结构状态的动剪应力与动剪应变骨干曲线;以及不同含水率土不同压缩应力条件下震陷变形与动剪应变之间的关系,一定振次、动剪应变、压缩应力条件下震陷变形与含水量之间的关系,一定振次、动剪应变、含水量条件下震陷变形与压缩应力之间的关系。从而,建立了震陷系数与动剪应变、压缩应力、含水量和循环振次之间的关系。兰州砂质粉黄土的天含水量为10.6%,干重度14.2kN/m3,孔隙比为1.08,液限为28.0%,塑限为18.0%,塑性指数为10。以动剪应变幅值为2.5%为破坏标准,测试得到振次10次、20次、30次的震陷系数随上覆压缩应力之间的关系,测试确定公式(B.0.4)中兰州砂质粉黄土的α,a,b分别为-0.012,0.041,0.072。
B.0.5 当震陷系数δd不小于0.015时,可判断为震陷性土。非饱和结构性粉土、砂黄土及砂质粉黄土场地的震陷变形可按下式计算:

式中:δdi——第i层土的震陷系数。
条文说明
B.0.5 由于室内动单剪试样土结构和土性与现场原位天然沉积土结构和土性的不同,以及场地地层结构对水平向地震动作用反应的差异,室内试验测试土的震陷性与原位土震陷性不同。当黄土浸水破坏土结构,土压缩变形表现出湿陷性,室内试验测试湿陷系数不小于0.015时,现场原位天然土才表现出湿陷变形。与依据室内湿陷性试验判断现场原位天然土的湿陷性类似,震动剪切作用破坏土结构,土压缩变形表现出震陷性,由于场地各地层天然沉积土结构和土性空间分布的变化和差异,亦认为室内试验测试原状土震陷系数不小于0.015时,现场原位天然土才表现出震陷变形。场地地面震陷变形由各震陷性土层的变形构成。
附录C 初始静应力状态确定方法
附录C 初始静应力状态确定方法
C.0.1 静力设计时已进行过考虑施工过程的应力状态分析,动力计算中的初始静应力状态宜采用静力分析结果。
条文说明
C.0.1 初始静应力状态是动力计算的初始状态,对动力计算的结果有很大影响,因此在进行地下结构动力反应计算时,初始静应力状态的确定也叫十分重要。
C.0.2 对于采用反应位移法且结构壁为直边的抗震设计,静力分析可按下列方法计算:
1 土压力和水压力宜分别计算,其中水压力可按静水压力公式计算出压强分布:
pW=γWh (C.0.2-1)
式中:pW——水压力(Pa);
γW——水的重度,取9810N/m3;
h——计算点到自由水面的竖向距离(m)。
2 土压力可按下列公式计算:

式中:σsz——计算点处的竖向自重应力(kPa);
γi——第i层土的重度(kN/m3),地下水位以上用天然重度,地下水位以下用浮重度;
Hi——第i层土的厚度(m);
K0——考虑结构壁与竖直方向夹角的静止状态下的土压力系数;
q0——地表堆载(kPa);
φ'——计算点所在土层的有效应力强度指标(°);
δ0——结构壁与土的摩擦角(°);
β——结构壁与竖直方向夹角(°)。
条文说明
C.0.2 公式(C.0.2-4)是将本标准公式(12.2.1-2)中挡土墙的地震角和墙后填土表面与水平面的夹角取为零后的结果。
C.0.3 对于采用时程分析法或结构壁为曲边的抗震设计,应采用数值分析方法计算起始静应力状态。
附录D 均匀地层中圆形盾构隧道地震内力简化计算公式
附录D 均匀地层中圆形盾构隧道地震内力简化计算公式
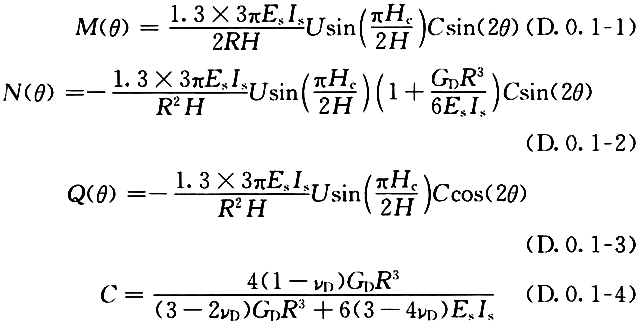
D.0.1 均匀地层中圆形盾构隧道横断面地震内力(图D.0.1)可按下列公式计算:

图D.0.1 横向地震内力正负号约定(图示为正)
M-弯矩;N-轴力;Q-剪力;1-管片中轴线

式中:U——地表最大相对位移(m),可根据本标准公式(6.2.4-1)当z=0时确定;
Hc——地表至隧道中心的距离(m);
R——隧道横断面衬砌中轴线半径(m);
Es——衬砌弹性模量(Pa);
Is——衬砌环断面惯性矩(m4);
υD——地层的泊松比;
GD——地层动剪切模量(Pa)。
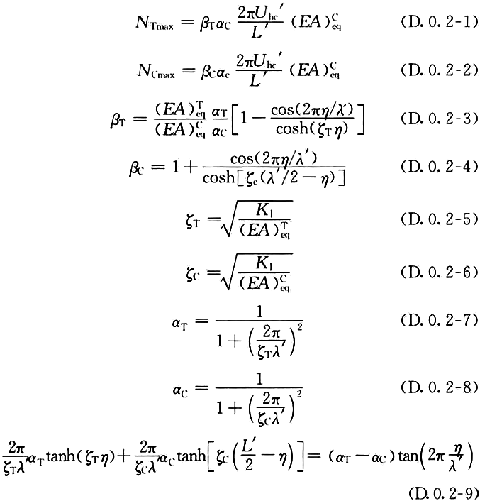
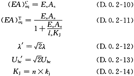
D.0.2 均匀地层中圆形盾构隧道纵向地震内力可按下列公式计算:
1 地震波的传播方向与隧道轴线夹角为45°时,隧道所受轴力最大,最大轴向拉力及相关系数可按下列公式计算:


式中:βT——拉伸轴力系数;
βC——压缩轴力系数;
K1——结构纵向单位长度内纵向地层弹簧刚度(N/m2);
η——轴向拉伸或压缩范围(m);
λ'——地震波沿隧道轴线的波长(m);
λ——地层变形的波长(m),可按本标准公式(6.4.4-3)计算;
Uhc'——隧道中心处地层的水平相对位移最大值Uhc在隧道轴向方向的分量(m);
Uhc——隧道中心处地层的水平相对位移最大值(m),按本标准公式(6.2.4-1)中z取隧道中心埋深Hc时的取值;
——盾构隧道等效抗压刚度(N);
——盾构隧道等效抗拉刚度(N);
Es——衬砌弹性模量(Pa);
kj——单个螺栓的抗拉刚度(N/m);
n——横截面螺栓的个数;
As——隧道横截面面积(m2)。
2 当地震波的传播方向与隧道轴向一致时,衬砌结构将产生最大弯矩,最大弯矩及相关系数可按下列公式计算:

式中:αM——弯矩系数;
Kt——结构纵向单位长度内横向地层弹簧刚度(N/m2);
Uhc——隧道中心处地层的水平相对位移最大值(m),按本标准公式(6.2.4-1)中z取隧道中心埋深Hc时的取值;
λ——地层变形的波长(m),可按本标准公式(6.4.4-3)计算;
(EI)eq——盾构隧道等效抗弯刚度(N·m2);
Is——衬砌环断面惯性矩(m4);
KJ——隧道横截面螺栓抗拉刚度(N/m);
kj——单个螺栓的抗拉刚度(N/m);
n——横截面螺栓的个数;
ls——衬砌环宽度(m)。
条文说明
D.0.2 公式(D.0.2-9)来源于川岛一彦编写的《地下构造物の耐震设计》(日本,鹿岛出版社,1994.6),用于求解轴向拉伸或压缩的η值,需通过迭代求解,计算求解时,初始值可取为80。公式(D.0.2-18)、公式((D.0.2-19))中的ф指的是中性轴与隧道中心水平线的夹角,如图20所示。

圆20 等效弯曲刚度计算示意
1-隧道中心水平线;2-中性轴
本标准用词说明
本标准用词说明
1 为便于在执行本标准条文时区别对待,对要求严格程度不同的用词说明如下:
1)表示很严格,非这样做不可的:
正面词采用“必须”,反面词采用“严禁”;
2)表示严格,在正常情况下均应这样做的:
正面词采用“应”,反面词采用“不应”或“不得”;
3)表示允许稍有选择,在条件许可时首先应这样做的:
正面词采用“宜”,反面词采用“不宜”;
4)表示有选择,在一定条件下可以这样做的,采用“可”。
2 条文中指明应按其他有关标准执行的写法为:“应符合……的规定”或“应按……执行”。
引用标准名录
引用标准名录
1 《建筑地基基础设计规范》GB 50007
2 《混凝土结构设计规范》GB 50010
3 《建筑抗震设计规范》GB 50011
4 《铁路工程抗震设计规范》GB 50111
5 《地铁设计规范》GB 50157
6 《构筑物抗震设计规范》GB 50191
7 《城市轨道交通岩土工程勘察规范》GB 50307
8 《城市轨道交通结构抗震设计规范》GB 50909
9 《厚度方向性能钢板》GB/T 5313
10 《中国地震动参数区划图》GB 18306
11 《建筑桩基技术规范》JGJ 94
12 《公路工程抗震规范》JTG B02
