Appearance
《高层建筑岩土工程勘察标准[附条文说明]》JGJ/T 72-2017
🗓️ 住房和城乡建设部 实施时间:2018-02-01
前言
中华人民共和国行业标准
高层建筑岩土工程勘察标准
Standard for geotechnical investigation of tall buildings
JGJ/T 72-2017
批准部门:中华人民共和国住房和城乡建设部
施行日期:2018年2月1日
中华人民共和国住房和城乡建设部公告
第1651号
住房城乡建设部关于发布行业标准《高层建筑岩土工程勘察标准》的公告
现批准《高层建筑岩土工程勘察标准》为行业标准,编号为JGJ/T 72-2017,自2018年2月1日起实施。原《高层建筑岩土工程勘察规程》JGJ 72-2004同时废止。
本标准在住房城乡建设部门户网站(www.mohurd.gov.cn)公开,并由我部标准定额研究所组织中国建筑工业出版社出版发行。
中华人民共和国住房和城乡建设部
2017年8月23日
前言
根据住房和城乡建设部《关于印发<2013年工程建设标准规范制订、修订计划>的通知》(建标[2013]6号)的要求,编制组经广泛调查研究,认真总结工程实践经验,参考有关国际标准和国外先进标准,并在广泛征求意见的基础上,修订了《高层建筑岩土工程勘察规程》JGJ 72-2004。
本标准主要技术内容是:1 总则;2 术语和符号;3 基本规定;4 勘察方案;5 地下水勘察;6 室内试验;7 原位测试;8 岩土工程评价;9 检验和监测;10 特级勘察;11 岩土工程勘察报告。
本标准修订的主要内容是:1.勘察等级增加了特级;2.增加了设计参数检验术语,对抗浮设防水位的术语作了修改;3.对天然地基勘察方案勘探点布设,在花岗岩残积土地区的钻孔深度和连续记录的静力触探或动力触探测试的数量作了调整;4.对综合确定抗浮设防水位作了修改和补充;5.增加了按复合地基载荷试验测求的复合地基变形模量E 0.sp 估算复合地基变形量的方法;6.取消了用静力触探试验成果估算预制桩单桩极限承载力;7.增加了回弹模量和回弹再压缩模量室内试验要点及估算回弹量和回弹再压缩量的公式;8.对采用标准贯入试验成果估算预制桩竖向极限承载力作了修改和调整;9.对嵌岩灌注桩岩石极限侧阻力、极限端阻力经验值作了修改和调整;10.对泥浆护壁灌注桩不同岩土的抗拔系数λ作了补充规定。
本标准由住房和城乡建设部负责管理,由机械工业勘察设计研究院有限公司负责具体技术内容的解释。执行过程中如有意见或建议,请寄送机械工业勘察设计研究院有限公司(地址:西安市咸宁中路51号,邮编:710043)。
本标准主编单位 :机械工业勘察设计研究院有限公司
本标准参编单位 :北京市勘察设计研究院有限公司
上海岩土工程勘察设计研究院有限公司
深圳市勘察测绘院有限公司
中国建筑科学研究院
建设综合勘察研究设计院有限公司
同济大学
上海长凯岩土工程有限公司
深圳市建设综合勘察设计院有限公司
本标准主要起草人员 :张炜 张旷成 沈小克 顾国荣 丘建金 周宏磊 张继文 杨石飞 陈晖 郭明田 高文生 高广运 高术孝 张文华 侯东利 张武
本标准主要审查人员 :龚晓南 戴一鸣 王步云 顾晓鲁 徐张建 梁金国 化建新 康景文 王卫东 王笃礼 崔鼎九
条文说明
中华人民共和国行业标准
高层建筑岩土工程勘察标准
JGJ/T72-2017
条文说明
修订说明 《高层建筑岩土工程勘察标准》JGJ/T72-2017,经住房和城乡建设部2017年8月23日以第1651号公告批准、发布。 本标准是在《高层建筑岩土工程勘察规程》JGJ72-2004的基础上修订而成。上一版的主编单位是机械工业勘察设计研究院;参编单位有北京市勘察设计研究院、上海岩土工程勘察设计研究院、深圳市勘察测绘院、同济大学、上海广联岩土工程钻探有限公司;主要起草人员是张旷成、张炜、孔千、丘建金、张文华、沈小克、陆文浩、陈晖、周宏磊、顾国荣、高广运、高术孝。 本标准修订过程中,编制组进行了国内超高层建筑勘察方面的调查研究,总结了我国高层建筑建设过程中的实际经验,同时参考了国外先进技术、法规、标准,通过工程验证、试验和征求意见,获取了本规范修订技术内容的有关技术参数。 为便于广大设计、施工、科研、学校等单位的有关人员在使用本标准时能正确理解和执行条文规定,《高层建筑岩土工程勘察标准》修订组按章、节、条顺序编制了本标准的条文说明,对条文规定的目的、依据以及执行中需注意的有关事项进行了说明。但是,本条文说明不具备与标准正文同等的法律效力,仅供使用者作为理解和把握标准规定的参考。
1 总则
1 总 则
1.0.1 为在高层建筑岩土工程勘察中贯彻执行国家技术经济政策,做到技术先进、经济合理、安全适用、确保质量和保护环境,制定本标准。
条文说明
1.0.1本条主要明确了制定本标准的目的和指导思想。制定本标准的目的在于在高层建筑岩土工程勘察中贯彻执行国家技术经济政策,合理统一技术标准,促进岩土工程技术进步;为高层建筑而进行的岩土工程勘察,在指导思想上应起好四个方面的桥梁作用:即“承上启下”、地质体与结构体之间、工程地质与土木工程之间、勘察与设计之间的桥梁作用,且应在它们之间保证有足够的“搭接长度”。岩土工程勘察不仅是客观地反映工程地质条件,而且要为高层建筑的设计、施工和建设的全过程服务。在制定勘察方案、选择勘察手段和方法、进行岩土工程分析评价、提出勘察报告以及在建设期间的全过程都应做到技术先进、经济合理、安全适用、确保质量和保护环境。为达到上述目的,本次修订中加强了分析评价内容,并注意吸收了近十年来高层建筑岩土工程勘察中的新技术和新经验,尤其是原位测试技术的应用。
1.0.2 本标准适用于高层建筑和高耸结构的岩土工程勘察。
条文说明
1.0.2本条规定了本标准的适用范围。本标准中所指高层建筑含超高层建筑。高层、超高层建筑系根据国家标准《民用建筑设计通则》GB50352-2005划分确定,该通则规定:1.住宅建筑按层数划分为:1层~3层为低层;4层~6层为多层;7层~9层为中高层;10层及10层以上为高层住宅;2.除住宅建筑之外的民用建筑高度不大于24m者为单层或多层建筑,大于24m者为高层建筑(不包括建筑高度大于24m的单层公共建筑);3.建筑高度大于100m的民用建筑为超高层建筑。本标准中的高耸结构系指电视塔、水塔、烟囱、冷却塔、石油化工塔、贮仓等民用与工业高耸结构。 本次修订对勘察等级增加了特级,是指高度超过250m(含250m)的超高层建筑、高度超过300m(含300m)的高耸结构以及含有周边环境特别复杂或对基坑变形有特殊要求基坑的高层建筑。
1.0.3 高层建筑和高耸结构的岩土工程勘察除应符合本标准规定外,尚应符合国家现行有关标准的规定。
条文说明
1.0.3在执行本标准时,尚应符合的现行国家标准主要包括:《岩土工程勘察规范》GB50021、《建筑地基基础设计规范》GB50007、《建筑抗震设计规范》GB50011、《建筑边坡工程技术规范》GB50330、《工程岩体分级标准》GB/T50218、《土工试验方法标准》GB/T50123等,尤其是其中的强制性条文。
2 术语和符号
2.1 术语
2 术语和符号
2.1 术 语
2.1.1 高层建筑岩土工程勘察 geotechnical investigation of tall buildings
采用工程地质测绘与调查、勘探、原位测试、室内试验等针对性的勘察手段和方法,对高层建筑和高耸结构场地稳定性、地基稳定性、地基岩土条件、地下水以及它们与工程之间的相互关系进行调查研究,并在此基础上对高层建筑地基基础、基坑工程等作出工程评价和预测建议。
条文说明
2.1.1“岩土工程勘察”在国家标准《岩土工程勘察规范》GB50021术语中及《岩土工程基本术语标准》GB/T50279中均有解释,本条文针对高层建筑特点强调两点:一是采用针对性勘察手段和方法;二是勘察工作为解决高层建筑、高耸结构建设中有关岩土工程问题而进行。
2.1.2 一般性勘探点 general exploratory point
为查明地基主要受力层性质,满足主要受力层地基承载力评价等问题的需要布设的勘探点。
条文说明
2.1.2一般性勘探点是以查明地基主要受力层性质,满足评价地基(桩基)承载力等一般性问题为目的的勘探点。
2.1.3 控制性勘探点 control exploratory point
为控制场地地层结构,满足场地、地基基础和基坑工程的稳定性、变形等评价要求布设的勘探点。
条文说明
2.1.3控制性勘探点是以控制场地的地层结构,满足场地、地基、基坑稳定性评价及地基变形计算为目的的勘探点。
2.1.4 取样、测试勘探点 exploratory point for sampling or in-situ testing
采取不扰动土试样、岩石试样或进行原位测试的勘探点。
2.1.5 基准基床系数 basic coefficient of subgrade reaction
采用边长为300mm的方形标准刚性承压板的静力载荷试验,测取得半无限空间地基竖向或水平向表面某点的压力强度与该点相应变形的比值。
2.1.6 抗浮设防水位 ground water level for prevention of up-floating
为满足地下结构抗浮设防安全及抗浮设计技术经济合理的需要,根据场地水文地质条件、地下水长期观测资料和地区经验,预测地下结构在施工期间和使用年限内可能遭遇到的地下水最高水位,用于设计按静水压力计算作用于地下结构基底的最大浮力。
条文说明
2.1.6近年来随着高层建筑地下室的不断加深,地下室在地下水作用下的抗浮评价显得越来越重要,而抗浮评价中的重要内容之一就是要确定抗浮设防水位。确定抗浮设防水位的原则是既要保证设防安全,又要技术经济合理;确定抗浮设防水位的依据是场地水文地质条件、地下水长期观测资料和地区经验;抗浮设防水位的特性是包括施工期和使用期可能遭遇到的地下水最高水位,而这个水位是预测性质的;其用途是设计按静水压力计算作用于地下结构基底的最大浮力。
2.1.7 突涌 piping
弱透水土层的自重压力小于其下部承压水水头压力时,土体隆起破坏并同时发生喷水、冒砂的现象,系黏性土渗流破坏的一种形式。
2.1.8 设计参数检验 design parameter verification
在设计、施工期间,对地基基础和基坑工程设计中的控制性设计参数进行检验校核的各种原位测试工作。
2.2 符号
2.2 符 号
2.2.1 几何参数
A——基础底面积;
A p ——桩端面积;
B——假想实体基础的等效基础宽度;
b——基础底面宽度;
d——基础埋置深度或桩身直径;
d c ——控制性勘探孔深度;
d g ——一般性勘探孔深度;
L——建筑物长度;
l——桩长度、分段桩长或基础长度;
H g ——自室外地面算起的建筑物高度;
h ri ——桩身全断面嵌入第i层中风化、微风化岩层内长度;
u——桩身周长;
u l ——桩群外围周长;
u r ——嵌岩桩嵌岩段周长。
2.2.2 土、岩性能指标与性质参数
a——压缩系数;
c——黏聚力;
C c ——压缩指数;
C r ——回弹再压缩指数;
C s ——回弹指数;
c u ——十字板剪切强度;
C v ——固结系数;
e——孔隙比;
E 0 ——土的变形模量;
E m ——旁压模量;
E r ——回弹模量;
E rc ——回弹再压缩模量;
E s ——土的压缩模量;
d s (G s )——岩土体的相对密度(比重);
I L ——液性指数;
k——渗透系数;
p c ——土的先期固结压力;
γ——土的重力密度;
μ——土的泊松比;
w——含水量,含水率;
φ——内摩擦角。
2.2.3 原位测试参数、指标
f s ——双桥静力触探侧壁摩阻力;
K V 、K h ——竖向、水平向基准基床系数;
N 63.5 ——重型圆锥动力触探试验实测锤击数;
N 120 ——超重型圆锥动力触探试验实测锤击数;
p f ——旁压试验临塑压力;
p L ——旁压试验极限压力;
N——标准贯入试验实测锤击数;
p s ——单桥静力触探比贯入阻力;
q c ——双桥静力触探锥头阻力;
T——场地土的卓越周期;
v s ——剪切波波速。
2.2.4 抗力、作用与效应参数
f a ——深宽修正后的地基承载力特征值;
f ak ——地基承载力特征值;
f hak ——原位测试深度处均一土层的地基承载力特征值;
f hu ——原位测试深度处均一土层的地基极限承载力;
f r ——岩石饱和单轴极限抗压强度;
f u ——由极限承载力公式计算的地基极限承载力;
f sk ——复合地基加固后桩间土承载力特征值;
f spk ——复合地基承载力特征值;
F a ——抗浮桩或抗浮锚杆抗拔承载力特征值;
k 0 ——静止侧压力系数;
p——对应于荷载效应准永久组合时的基底平均压力;
p 0 ——对应于荷载效应准永久组合时的基底平均附加压力,旁压试验初始压力或载荷试验求得的比例界限压力;
p z ——土的有效自重压力;
q pr ——桩端岩石极限端阻力;
q ps ——桩端土极限端阻力;
q sir ——桩侧第i层岩层极限侧阻力;
q sis ——桩侧第i层土的极限侧阻力;
Q u ——单桩竖向极限承载力;
Q u1 ——单桩抗拔极限承载力;
R a ——单桩竖向承载力特征值。
2.2.5 计算参数
A i ——平均附加应力系数在第i层土的层位深度内积分值;
E s ——在钻孔位置处、地基变形计算深度范围内的岩土层压缩模量当量值;
m——面积置换率;
s——基础沉降量或载荷试验沉降量;
z n ——沉降计算深度。
2.2.6 系数
K——安全系数,地基不均匀系数界限值;
N γ 、N q 、N c ——地基承载力系数;
ζ γ 、ζ q 、ζ c ——基础形状系数;
ψ s ——沉降计算经验系数。
3 基本规定
3 基本规定
3.0.1 高层建筑岩土工程勘察,应针对高层建筑特点,重视地区经验,广泛搜集资料,明确勘察任务要求,采用有针对性的勘察手段,提出资料真实准确、评价合理、建议可行的岩土工程勘察报告或工程咨询报告。
条文说明
3.0.1本条提出了高层建筑岩土工程勘察的共性和原则性要求。高层建筑的特点是竖向和水平荷载均很大,基础埋置深,地基基础均系按变形控制设计,制定勘察方案和分析评价时应充分考虑这些特点。考虑到我国幅员宽广,地基条件差异性很大,故进行勘察时要重视地区经验,因地制宜布置勘察方案和进行分析评价;实践证明,只有在详细了解和摸清建设和设计要求情况下才能使勘察工作有较强的针对性、解决好设计和施工所关心的岩土工程问题,做到勘察评价有的放矢,勘察结论与建议切合工程实际,故本条强调了要充分掌握委托方和设计方的要求。原始资料的真实性是保证工程质量的基础,在2000年1月30日由国务院颁发的《建筑工程质量管理条例》中,就提出了“勘察成果必须真实准确”,故本标准的基本规定中规定“提出资料真实准确、评价合理、建议可行的岩土工程勘察报告或工程咨询报告”。
3.0.2 高层建筑岩土工程勘察的勘察等级,应根据高层建筑规模和特征、场地、地基复杂程度以及破坏后果的严重程度,划分为三个等级,具体划分时,应符合表3.0.2的规定。
表3.0.2 高层建筑岩土工程勘察等级划分


注:1 建筑边坡地质环境复杂程度按现行国家标准《建筑边坡工程技术规范》GB 50330划分判定;
2 场地复杂程度和地基复杂程度的等级按现行国家标准《岩土工程勘察规范》GB 50021判定;
3 基坑支护结构的安全等级按现行行业标准《建筑基坑支护技术规程》JGJ 120判定。
条文说明
3.0.2高层建筑的勘察等级应根据高层建筑规模和特征、场地和地基复杂程度以及破坏后果的严重程度确定,而高层建筑、超高层建筑、高耸结构的地基基础设计等级为甲级或乙级,没有丙级,按国家标准《工程结构可靠性设计统一标准》GB50153附录A的规定相应的安全等级为一级或二级,没有三级;上述高层建筑所含基坑或邻近建筑边坡的支护结构的安全等级均属一级或二级,没有三级,故高层建筑的勘察等级只有特级、甲级和乙级,没有丙级,其中特级和甲级的安全等级为一级,乙级的安全等级为二级,没有三级。 本次修订增加了特级,这是因近年来高层建筑越来越高,据摩天城市网2012年《摩天城市报告》,若采用以152m(500ft)为“摩天大楼”的美国标准,截至2012年,中国已有470座“摩天大楼”,还有在建的332座,预计至2022年,中国“摩天大楼”总数将达1318座。处于前期报建阶段最高者为长沙远大集团的“天空城市”,最高达838m,超过迪拜塔10m,另现已封顶的上海中心大厦高度为632m,在建的深圳平安国际金融中心高达600m,这类高层建筑,竖向和水平荷载均很大,抗震、抗风要求很高,使用寿命长、投资巨大(引自“中国频建摩天大楼能否打破‘劳伦斯魔咒’”一文,载于《基础工程》双月刊杂志2014贺岁版、第5卷、总第22期)。 根据建设部2003年9月12日颁发的《工程勘察技术进步与技术政策要点》:“对于城市中按规划确定场址的重大工程,必须留有足够的前期工作时间,投入必要的经费,论证场址的安全性和稳定性,预测和解决有关岩土工程难题,为后续工作打好基础”,上述“摩天大楼”是城市中有历史意义的标志性建筑,显然是城市中的重大工程,为贯彻上述技术政策,保证这类建筑地基基础的绝对安全,将其从原勘察等级甲级中分出来,划为特级,多花一些时间,多做一些更详尽的工作是必要的。至于特级的具体划分标准,根据中国摩天大楼TOP100统计排名,截至2014年1月23日,中国(包括港、澳、台)已建成或封顶的超高层建筑,高度超过258m(含258m)者共105栋,其中超过300m(含300m)共48栋,占105栋的46%,已建成或封顶的最高建筑为上海中心大厦,楼高632m,121层,基础底板厚6m;据查国家标准《建筑设计防火规范》GB50016-2014总则中第1.0.6条:建筑高度大于250m的建筑,除应符合本规范的要求外,尚应结合实际情况采取更加严格的防火措施,其防火设计应提交国家消防部门专题研究论证。另据查中国已建成并投产使用的高耸结构,广州、成都、北京、上海、天津、郑州、沈阳7个城市的电视塔均超过300m,目前最高者为广州电视塔,主塔高450m,发射天线桅杆160m,总高610m;超高层建筑的地下室有少数达5层~6层,开挖深度超过30m。根据中国建设超高层建筑的现实情况,本标准将勘察等级特级的标准定为:(1)高度超过250m(含250m)的超高层建筑;(2)高度超过300m(含300m)的高耸结构;(3)含有周边环境特别复杂或对基坑变形有特殊要求基坑的高层建筑。对于勘察等级为特级者,应有针对性地做更为详尽的岩土工程勘察工作,在总结已有勘察实践经验的基础上,特别增设了第10章特级勘察,对其勘察阶段划分,各阶段勘察方案布设,强化原位测试、设计参数检验和施工检验、定性定量评价等提出了要求。 有关勘察等级甲级和乙级的具体划分与现行国家标准《建筑地基基础设计规范》GB50007设计等级相适应。本次修订对乙级的条件规定更加具体,便于操作。
3.0.3 勘察阶段的划分应符合下列规定:
1 对勘察等级为特级或复杂场地、复杂地基的高层建筑岩土工程勘察,勘察阶段应划分为可行性研究勘察、初步勘察、详细勘察三阶段;
2 当场地勘察资料缺乏、建筑总平面布置未定,对勘察等级为甲级的单体高层建筑,或勘察等级为甲级和乙级的高层建筑群的岩土工程勘察,勘察阶段应分为初步勘察和详细勘察两阶段;
3 当场地已有勘察资料能满足初步设计要求,且建筑总平面位置已定时,对甲级和乙级的单体高层建筑,可将初步勘察和详细勘察两阶段合并为一阶段,直接进行详细勘察;
4 当场地和地基复杂,施工中可能出现或已出现有关岩土工程问题时,应进行施工勘察;
5 基槽开挖到底后,应进行施工验槽和验桩。
条文说明
3.0.3由于岩土工程问题造成高层建筑地基破坏,或影响其正常使用的后果均很严重或严重,近年来工程实践表明,其勘察工作有必要强调勘察工作分阶段、逐步深化,不要不分工程具体情况,均按所谓“一阶段勘察”进行。为此,将原规程“勘察阶段的划分‘宜’符合下列规定”改为“应”。第1款考虑到勘察等级为特级的超高层建筑属城市中有历史意义和深远影响的标志性建筑,建设条件逐步成熟,故对这些建筑的勘察工作,应留有足够的勘察周期,投入必要的人力和经费,对场地的稳定性、地基的安全性、技术经济合理性做充分的论证,为此应按可行性研究勘察、初步勘察、详细勘察三阶段进行。第2款是针对勘察资料缺乏,建筑总图未定的单体甲级或甲级和乙级高层建筑群所做的规定,凡符合第2款规定的条件,应按初步勘察和详细勘察两阶段进行。第3款是针对已有勘察资料较充分能满足初步勘察要求,且总图已定时,对甲级和乙级的单体高层建筑而做的规定,凡符合第3款规定的条件,可将初步勘察和详细勘察合并为一阶段按详细勘察阶段的深度要求进行勘察。第4款当场地和地基复杂时,例如在岩溶地区,基岩起伏大,溶洞成串发育,桩基的入岩和嵌岩深度变化很大,一般都要逐桩进行1个~3个“超前钻”,实际就是施工勘察。故本款作出应进行施工勘察的规定。第5款现行国家标准《建筑地基基础设计规范》GB50007-2011第10.2.1条强制性条文规定,基槽(坑)开挖到底后,应进行基槽(坑)检验。建设部2007年颁发的《建设工程勘察质量管理办法》第9条明确规定,勘察单位应参与施工验槽。
3.0.4 进行勘察工作前,应详细了解和研究勘察技术要求,并应依据勘察阶段取得委托方提供的下列资料:
1 可行性研究勘察应取得的资料包括:
1)拟建高层建筑的场址地点、占地面积和征地情况;
2)高层建筑的高度,结构类型、地下室层数;
3)场地周边环境,包括既有建筑、道路和地表水体的有关情况;
4)设计方的技术要求。
2 初步勘察应取得的资料包括:
1)建设场地建筑红线角点坐标;附有主楼、裙房、地下室位置的平面图;建筑群的幢数及平面位置;
2)建筑的层数和高度,地下室的层数;
3)场地的拆迁及分期建设情况;
4)勘察场地周边环境条件,既有地下管线及其他地下设施情况;
5)设计方的技术要求。
3 详细勘察前应取得的资料包括:
1)附有建筑红线角点坐标、地形等高线和±0.00高程的建筑总平面布置图;
2)建筑结构类型、特点、层数、总高度和地下室层数;
3)预计的地基基础类型、平面尺寸、荷载、埋置深度和允许变形要求等;
4)场地地表水汇集及排泄情况;
5)地质灾害评估资料,超限高层建筑地震安全性评价报告;
6)勘察场地周边环境条件,包括既有建筑基础类型、埋深、既有道路等级、既有地下管线及其他地下设施情况;
7)设计方的技术要求。
条文说明
3.0.4本次修订做了以下几点修改: 1考虑到进行勘察工作前,只有在详细了解和吃透勘察技术要求,并取得委托方所提供的有关资料后,才能针对性地制定出保证安全、经济合理的勘察方案,故将可行性研究勘察、初步勘察和详细勘察“宜”取得的资料,改为“应”取得的资料,当有些资料,委托方不一定掌握时,应由委托方委托有关单位查明后,由委托方提供; 2增加了可行性研究勘察应取得的资料; 3原规程JGJ72-2004在初步勘察和详细勘察前应取得由委托方提供的资料中包括勘察场地地震背景,此项任务应是勘察单位自身完成的工作,由委托方提供不合适,故予以取消; 4在原规程JGJ72-2004详细勘察前应取得的资料中包括“荷载效应组合”一项,考虑到此应由设计中按有关设计规范取值,不需由委托方专门提出,予以取消。
3.0.5 各勘察阶段的勘察方案,应根据高层建筑规模和结构特征、场地和地基复杂程度、委托方的要求,由勘察单位制定。
条文说明
3.0.5勘察方案包括勘探测试手段的选择、勘探点平面布设及勘探测试深度的要求等,勘察方案制定的好坏是保证勘察工作质量、满足工程设计、施工要求、技术经济合理的关键,它应根据场地具体地质条件的复杂程度制定。由于勘察单位对场地地质情况更为了解,故明确勘察方案应由勘察单位在详细了解委托方和设计方要求的基础上由勘察单位制定,避免由委托方和设计方布孔和确定深度,勘察单位只“照打不误”的不正常、不合理现象。
3.0.6 可行性研究勘察应以搜集资料和工程地质调查为主,从工程地质和岩土工程的角度对拟建高层建筑的可行性、适宜性作出评价并提出建议,并应符合下列规定:
1 应根据区域性地质资料从断裂稳定性、地震稳定性、斜坡稳定性、岩溶稳定性、特殊岩土稳定性等方面,初步判断场地对拟建高层建筑的可行性和适宜性;
2 当已有地质资料不足,对影响项目建设的可行性和适宜性问题作出明确判断依据不充分时,宜进行工程地质测绘和少量针对性的勘探、测试工作;
3 可行性研究勘察报告应对所选场址、建设拟建高层建筑的可行性、适宜性作出判断、比选和评价,对后续的勘察程序及勘察要解决的重点问题、勘探测试手段等提出意见和建议。
条文说明
3.0.6本次修订增加了勘察等级为特级应进行可行性研究勘察,本阶段主要任务是在充分了解场地稳定性的基础上,对建设超高层建筑是否可行和适宜作出判断和评价;可行性研究勘察的工作方法是搜集资料和工程地质调查为主,当已有资料不足,难以对一些重大问题作出明确判断时,可进行工程地质测绘和少量勘探、测试工作;可行性研究勘察报告应对所选场地是否适合建设超高层建筑作出明确的判断和评价,并对以后的勘察程序、要解决的重点问题、勘探测试手段等提出意见和建议。
3.0.7 初步勘察阶段应在查明地貌、不良地质作用、特殊性岩土、地层结构、岩土特性和地下水埋藏条件的基础上,对场地稳定性和适宜性作出评价;对地基基础方案选型进行初步论证,并提供相关资料、参数和建议,并应符合下列规定:
1 应查明场地所处地貌单元形态和类型;
2 应查明断裂、斜坡、岩溶、地震和特殊岩土等对场地稳定性的影响,提出避让或整治措施的建议;
3 应查明场地地层时代、成因、地层结构、风化带和岩土物理力学性质,对地基基础方案和基坑支护方案选型进行初步论证和评价;
4 应查明地下水类型、补给、径流、排泄条件、年变化幅度和腐蚀性,应从初步勘察阶段起设置地下水观测孔进行长期观测。
条文说明
3.0.7高层建筑初步勘察的目的和任务是需对场地稳定性作出评价。初步勘察应当解决的主要问题: 第1款提出要查明场地所在地貌单元形态和类型,是因地貌形态是地质历史时期各种营力作用长期演变的结果,它是岩土时代、成因、地层结构、岩土特性的综合反映,对宏观判定场地稳定性、承载力、岩土特性等至关重要,勘察时应详加论证,并力求判断准确。 第2款本次修订将初步勘察应查明的“场地稳定性”归纳为五个方面: (1)断裂稳定性——在查明断裂形成时代、产状、力学属性基础上,对是否属于全新活动断裂或发震断裂作出评价; (2)斜坡稳定性——本场地是否有崩塌、滑坡、泥石流等地质灾害存在,预测在场地整平过程中所形成边坡的稳定性; (3)岩溶稳定性——在查明岩溶形态基础上,对溶沟、溶槽、溶洞的稳定性和发育程度作出评价; (4)特殊性岩土的稳定性——如湿陷性土湿陷后引起的场地稳定问题;软土地区大面积填土,导致软土流动、滑移,对本场地和邻近建筑场地的稳定性造成影响;膨胀岩土滑移稳定性;盐渍岩土的溶陷性、溶蚀洞穴的分布和发育程度等; (5)地震稳定性——对建筑抗震有利、一般、不利和危险地段的划分和评价,提供场地覆盖层厚度、类别;对地震时可能引起的滑坡、崩塌、液化和震陷特性等进行评价。 上述五个方面的场地稳定性是初勘中需解决的重点问题,应作出评价,并提出避让或整治措施的建议。 第3款明确了在初步勘察阶段应对高层建筑的地基基础方案和基坑支护进行论证和评价。 第4款系有关地下水勘察的要求。本款中的“径流”是指地下水从补给区至排泄区的流动途径和流动区范围。当地下水埋藏深度浅,勘察单位应提供抗浮设防水位的建议,在没有系统的地下水长期观察资料情况下,地下水年变化幅度是提供抗浮水位的重要依据,故本次修订强调要从初步勘察起设置地下水长期观测孔,即便是获得一个水文年的变化情况,亦很有参考价值。
3.0.8 详细勘察阶段采取的勘探、测试手段应具有针对性,应详细查明场地工程地质条件和地下水埋藏条件;应为评价、计算地基稳定性、承载力、土压力和变形提供所需资料和参数指标;应为地基基础设计、不良地质作用和特殊性岩土治理、抗浮设计、基坑支护设计、地下水控制等提出建议。
条文说明
3.0.8本条概括了高层建筑详细勘察的目的和任务,其主要任务是为设计提供计算地基稳定性、承载力、土压力、变形所需资料和参数。新修订的行业标准《高层建筑筏形与箱形基础技术规范》JGJ6-2011增加了筏形与箱形基础地基稳定性计算方法,在基本规定强制性条文中规定:“对建造在斜坡上的高层建筑,应进行整体稳定验算”。在地基计算一章中,增加了稳定性计算一节,包括:抗滑移稳定性计算、抗倾覆稳定性计算,用极限平衡理论的圆弧滑动法验算地基整体稳定性和抗浮稳定性验算等。为此,岩土工程勘察应为这些计算提供资料和参数指标,并进行评价;除为高层建筑地基基础设计中稳定性、强度(包括承载力、土压力)、变形三大计算提供所需资料和参数指标外,尚应对基础方案、不良地质作用和特殊岩土防治方案、抗浮设计、基坑支护设计、地下水控制等提出建议。
3.0.9 详细勘察阶段应符合下列规定:
1 应详细查明建筑场地地层结构和岩土物理力学性质,并重点查明基础下软弱和坚硬地层的分布及其特性;对于岩质地基和岩质基坑工程,应查明岩石坚硬程度、岩体完整程度、基本质量等级、各风化带厚度及主要结构面的产状;
2 应查明地下水的初见及稳定水位、埋藏条件、类型、补给、径流及排泄条件、季节变化幅度和腐蚀性;应对抗浮设防水位、主要岩土层的渗透系数、基坑工程中地下水控制措施提出建议;当建议采用降水控制措施时,应评价降水对周边环境的影响;
3 根据高层建筑的勘察等级和场地工程地质、水文地质条件,应对地震效应、地基基础方案选型进行论证分析并提出建议;
4 当建议采用天然地基时,应对地基的均匀性、承载力、软弱下卧层、变形、横向倾斜等进行分析评价;应提供设计计算所需各种参数、指标;宜对持力层选择、基础埋深等提出建议;
5 当建议采用复合地基时,应对复合地基增强体类型、持力层选择进行分析评价;
6 当建议采用桩基时,应对桩基类型、持力层选择进行分析评价;应提供桩的极限侧阻力、极限端阻力和变形计算的有关参数;宜对沉桩或成桩可行性、施工对环境的影响和应注意的问题提出建议;
7 高层建筑岩土工程勘察应包括基坑工程勘察的内容,通过勘察应对基坑工程的设计、施工方案提出意见和建议;宜建议各侧边涵盖最不利因素、供设计用于计算的地质剖面;应提供计算基坑稳定性、土压力、变形所需的参数;
8 对开挖深度超过15m的土质和风化岩基坑,宜提供回弹模量和回弹再压缩模量,需要时应布设回弹观测,实测基坑的回弹量;对天然地基或复合地基宜在开挖卸荷后基础底面处进行载荷试验,为最终确定天然地基承载力特征值或复合地基承载力特征值和变形参数进行验证;
9 应对不良地质作用和特殊岩土的防治提出建议,提供所需参数;
10 应对初步勘察中遗留的有关问题提出结论性意见。
条文说明
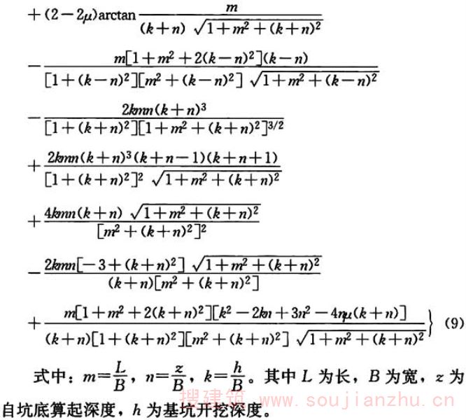
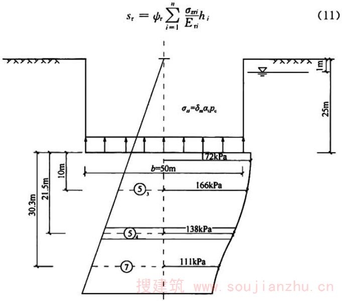
3.0.9本条是为落实详细勘察阶段的任务而对详勘阶段应解决的主要问题做出的具体规定: 第1款规定需查明基础下软弱和坚硬地层的分布,查明软弱地层分布是软弱下卧层验算、基坑支护土压力计算和锚杆,或内支撑支点选择的需要;查明坚硬地层分布是天然地基持力层和复合地基、桩基选择桩端持力层的需要。本款还较详细地提出了岩质地基和岩质基坑应查明的内容要求。 第2款原规程JGJ72-2004没有明确要求勘察单位要提供抗浮设防水位,根据近十年的工程实践,抗浮设防水位还是应由勘察单位为主提出建议,本次修订明确了详勘阶段应提供地下水年变化幅度和抗浮设防水位。目前住房和城乡建设部已在组织编制行业标准《建筑地下结构抗浮技术规范》,深圳市亦在编制深圳市标准《深圳市建筑抗浮技术规范》,这两本规范中均包含有“抗浮设防水位的确定”的章节,将为如何确定安全、经济合理的抗浮设防水位提供依据。 第3款明确提出详勘阶段要根据高层建筑勘察等级和场地工程地质条件和水文地质条件,对所勘察项目的地基基础方案选型进行论证分析,提出优选方案的建议。目前绝大多数勘察单位都已这样做,只是分析的深浅程度不一和建议的技术经济合理性和可行性还有待提高。 第4款本款提出当建议采用天然地基时,应分析评价的主要内容,其中提出对地基变形、横向倾斜(即基础短边方向倾斜)进行分析,这是因为有的设计院对岩土工程不熟悉,他们希望勘察单位帮助进行分析,作为勘察单位来说,对其进行预测分析后,也可检验所提供计算参数是否合理,这种互相结合,取长补短、共同解决岩土工程问题的做法值得提倡,对提高岩土工程勘察水平大有好处,为此列入了详勘阶段应评价的内容之一。 第5、6款系当建议采用复合地基、桩基时应评价的内容,其中有关复合地基增强体的选型和桩基的选型,是保证高层建筑和超高层建筑基础方案安全和技术经济合理的重要内容,目前大多数的勘察报告中均有这方面的分析评价内容,但分析、评价的水平尚有待提高。 第7款本款是针对基坑工程设计、施工应评价的内容。原规程JGJ72-2004规定提供各侧边地质模型的建议,此要求未被各勘察单位所理解。新修订的行业标准《建筑基坑支护技术规程》JGJ120-2012,基本规定一章3.1节设计原则第3.1.11条提出:“应按基坑各部位的开挖深度、周边环境条件、地质条件等因素划分设计计算剖面。对每一计算剖面,应按其最不利条件进行计算。在3.4水平荷载一节的第3.4.3条,对成层土、土压力计算时,各土层计算厚度应如何取值作了具体规定”,这些规定说明计算剖面的合理选取是确定作用于支护结构上的土压力的关键因素之一,非常重要,而勘察人员对场地地质条件最为了解,故本款中规定勘察报告中宜建议涵盖最不利因素的地质剖面。 第8款对开挖深度大于、等于15m的基坑,应充分考虑大面积开挖卸荷后,地基回弹、鼓胀、松弛、应力状态改变等对地基承载力和变形的影响,一些工程实例说明,影响是较大的。例如深圳市某高层建筑工程,设计采用筏形基础天然地基,以全风化、强风化花岗岩作为持力层,承载力特征值采用300kPa,基坑开挖深度达18m,作为设计参数检验,在大面积开挖卸荷后的基础底板深度处进行了6个承压板为1m×1m的平板载荷试验,试验结果证明:在压力为450kPa~600kPa以前p-s曲线均呈直线,即比例界限压力p0可定为450kPa~600kPa,完全可以满足承载力特征值300kPa的要求,地基回弹再压缩量较大达3mm~6mm(即按最小二乘法修正后的s0值),最大回弹量(s′rmax)为最大荷载下原始沉降量(s′pmax)的41%~97%;且全风化、强风化花岗岩的变形模量E0值仅为20MPa~60MPa,仅相当于花岗岩残积砾质黏土变形模量的经验值(具体试验成果见表1和图1),这很可能是由于卸荷后,基底以下土质由于回弹使土质鼓胀、松弛所引起。对开挖深度较大基坑,还应通过室内固结试验,测求回弹模量和回弹再压缩模量,供设计计算回弹量和回弹再压缩量。至于15m的具体深度,系根据经验,且与现行国家标准《建筑地基基础设计规范》GB50007-2011规定“开挖深度大于15m的基坑工程”划为甲级相一致;在软土地区,回弹量为基坑挖深的5‰~15‰,即当基坑挖深为15m时,其回弹量可能达75mm~225mm,回弹再压缩量可能更大,这个数值相当可观。还规定对天然地基或复合地基宜在卸荷后基础底面处进行浅层或复合地基载荷试验,对天然地基或复合地基承载力特征值、变形模量进行验证。 表1深圳福田区某工程天然地基开挖18m后基础底面处平板载荷试验成果(承压板1m×1m) 

3.0.10 高层建筑应从底板施工起进行沉降观测;基坑工程应从围护结构施工起,对支护结构、邻近建筑道路和管线的变形、支护结构应力等进行监测;并宜进行设计参数检验和施工检验。
4 勘察方案
4.1 一般规定
4 勘察方案
4.1 一般规定
4.1.1 高层建筑可行性研究勘察、初步勘察阶段勘察方案的编制除应符合现行国家标准《岩土工程勘察规范》GB 50021的有关规定外,尚应符合现行国家标准《建筑抗震设计规范》GB 50011的规定。
条文说明
4.1.1对可行性研究勘察和初步勘察阶段,勘探手段的选择及勘探点布设要求,在现行国家标准《岩土工程勘察规范》GB50021中均有明确规定,为避免重复,本条中明确此两阶段的勘察方案的制定按该规范执行,在本标准第3.0.5、3.0.6条中分别补充了一些针对高层建筑特点的要求;详勘阶段的勘察方案应按本章规定制定。
4.1.2 高层建筑初步勘察除应符合现行国家标准《岩土工程勘察规范》GB 50021的相关规定外,尚应符合下列规定:
1 勘探点的布置应能控制整个建筑场地,勘探线的间距宜为50m~100m,勘探点的间距宜为30m~50m;
2 每栋高层建筑不宜少于一个控制性勘探点;
3 勘探点深度应满足查明地层结构,评价场地稳定性、确定地基承载力、确定场地覆盖层厚度、进行变形计算等所需深度的要求。
条文说明
4.1.2《岩土工程勘察规范》GB50021对勘探孔布置在初勘阶段较为宽泛,没有针对高层建筑的针对性要求。同时高层建筑特别是超高层建筑,建筑结构等资料在初勘前尚存在一定的不确定性,故初步勘察阶段适当多布置并加深控制性钻孔,可以控制整个场地地质条件,避免孔深不足造成不能满足稳定性、变形评价计算的要求。根据高层建筑的重要性和变形设计的特点,勘察精度要求较高,初勘勘探线、勘探点间距,按现行国家标准《岩土工程勘察规范》GB50021一级(复杂)场地的规定执行。
4.1.3 详细勘察阶段勘探点的平面布设,应根据高层建筑平面形状、荷载的分布情况确定,并应符合下列规定:
1 当高层建筑平面为矩形时,应按双排布设;当为不规则形状时,宜在凸出部位的阳角和凹进的阴角布设勘探点;
2 在高层建筑层数、荷载和建筑体形变异较大位置处,应布设勘探点;
3 对勘察等级为甲级的高层建筑,当基础宽度超过30m时,应在中心点或电梯井、核心筒部位布设勘探点;
4 单栋高层建筑的勘探点数量,对勘察等级为甲级及其以上的不应少于5个,乙级不应少于4个;控制性勘探点的数量,对勘察等级为甲级及其以上的不应少于3个,乙级不应少于2个;
5 湿陷性黄土、膨胀土、红黏土等特殊性岩土应布设适量的探井;
6 高层建筑群可按建筑物并结合方格网布设勘探点。相邻的高层建筑,勘探点可互相共用,控制性勘探点的数量不应少于勘探点总数的1/2。
条文说明
4.1.3提出了详细勘察阶段勘探点平面布设应考虑的原则和布设的数量,布设原则就是根据建筑物平面形状和荷载的分布情况,对如何布设做了一些具体规定: 1是适应建筑体形做出的规定,当建筑平面为矩形时,应按双排布设,当为不规则形状时,宜在突出部位的角点和凹进的阴角布设; 2是针对建筑荷载差异做出的规定,即在层数、荷载和建筑体型变异较大位置处,应布设勘探点; 3规定了对勘察等级为甲级的高层建筑,当基础宽度超过30m时,要在中心点或电梯井、核心筒部位布设勘探点,因这些部位一般荷载最大,为计算建筑物这些部位的最大沉降,需查清这些部位的地层结构; 4是对勘探点数量做了规定,对单幢甲级及其以上的不少于5个,乙级不少于4个,同时规定了控制性勘探点的数量对甲级及其以上的不应少于3个,乙级不少于2个; 5是对特殊岩土场地勘察基本要求; 6是针对高层建筑群做出的规定。目前,我国经济建设持续发展,高层建筑勘察往往不是一幢两幢,而是一个小区或数幢同时进行。该款规定比较灵活,既可按单幢高层建筑布设,亦可结合方格网布设,相邻建筑的勘探点可互相共用,控制性勘探点的数量不应少于勘探点总数的1/2。
4.1.4 详细勘察阶段采取不扰动土试样和原位测试数量应符合下列规定:
1 单栋高层建筑采取不扰动土试样和原位测试勘探点的数量不宜少于全部勘探点总数的2/3,对勘察等级甲级及其以上者不宜少于4个,对乙级不宜少于3个;
2 单栋高层建筑每一主要土层,采取不扰动土试样或十字板剪切、标准贯入试验等原位测试数量不应少于6件(组、次),当采用连续记录的静力触探或动力触探时,不应少于3个孔;
3 同一建筑场地当有多栋高层建筑时,每栋建筑的数量可适当减少。
条文说明
4.1.4提出了详细勘察阶段采取不扰动土试样和原位测试的共性要求。
4.1.5 对于深层土体,黏性土宜采用三重管单动回转取土器,砂土宜采用环刀取土器。
4.1.6 根据工程需要和对不易取得Ⅰ级不扰动土样的土类,应布置适宜的原位测试方法评价其工程性质。
4.1.7 评价土的湿陷性、膨胀性、饱和砂土和粉土地震液化、确定场地覆盖层厚度、查明地下水渗透性等勘探点深度和测试试验深度,尚应符合国家现行有关规范的要求。
4.1.8 在断裂破碎带、冲沟地段、地裂缝等不良地质作用发育场地及位于斜坡上或坡脚下的高层建筑,当需进行整体稳定性验算时,控制性勘探点的深度应满足评价和验算的要求。
4.2 天然地基
4.2 天然地基
4.2.1 详细勘察阶段勘探点间距应根据高层建筑勘察等级控制在15m~30m范围内,并应符合下列规定:
1 勘察等级为甲级及其以上宜取较小值,乙级可取较大值;
2 在暗沟、塘、浜、湖泊沉积地带和冲沟地区,在岩性差异显著或基岩面起伏很大的基岩地区,在断裂破碎带、地裂缝等不良地质作用场地,勘探点间距宜取小值并可适当加密;
3 在浅层岩溶发育地区,宜采用浅层地震勘探和孔间地震CT或孔间电磁波CT测试等地球物理勘探与钻探相配合进行,查明溶洞和土洞发育程度、范围和连通性。钻孔间距宜取小值或适当加密,溶洞、土洞密集时宜在每个柱基下布置勘探点。
条文说明
4.2.1本条规定了详细勘察阶段勘探点间距和加密原则。原规程JGJ72-2004规定勘探点间距应控制在15m~35m以内,为与现行国家标准《岩土工程勘察规范》GB50021中等复杂程度地基取得一致,改为15m~30m。既适用于单幢建筑,也适用于高层建筑群。对于勘探点间距取值和复杂地基的加密作了一些具体规定。
4.2.2 高层建筑详细勘察阶段勘探孔的深度应符合下列规定:
1 控制性勘探点深度应超过地基变形计算深度。
2 控制性勘探点深度,对于箱形基础或筏形基础,在不具备变形深度计算条件时,可按下式计算确定:

式中:d c ——控制性勘探点的深度(m);
d——箱形基础或筏形基础埋置深度(m);
α c ——与土的压缩性有关的经验系数,根据基础下的地基主要土层按表4.2.2取值;
β——与高层建筑层数或基底压力有关的经验系数,对勘察等级为甲级的高层建筑可取1.1,对乙级高层建筑可取1.0;
b——箱形基础或筏形基础宽度,对圆形基础或环形基础,按最大直径考虑,对不规则形状的基础,按面积等代成方形、矩形或圆形面积的宽度或直径考虑(m)。
表4.2.2 经验系数α c 、α g 值

注:1 表中范围值对同一类土中,地质年代老、密实或地下水位深者取小值,反之取大值;
2 b≥50m时取小值,b≤20m时,取大值,b为20m~50m时,取中间值。
3 一般性勘探点的深度应适当大于主要受力层的深度,对于箱形基础或筏形基础可按下式计算确定:

式中:d g ——一般性勘探点的深度(m);
α g ——与土的压缩性有关的经验系数,根据基础下的地基主要土层按表4.2.2取值。
4 一般性勘探点,在预定深度范围内,有比较稳定且厚度超过3m的坚硬地层时,可钻入该层适当深度并能正确定名和判明其性质;当在预定深度内遇软弱地层时应加深或钻穿。
5 在基岩和浅层岩溶发育地区,当基础底面下的土层厚度小于地基变形计算深度时,一般性钻孔应钻至完整、较完整基岩面;控制性钻孔应深入完整、较完整基岩不小于5m;专门查明溶洞或土洞的钻孔深度应深入洞底完整地层不小于5m。
6 在花岗岩地区,对箱形或筏形基础,勘探孔宜穿透强风化岩至中等风化、微风化岩,控制性勘探点宜进入中等、微风化岩3m~5m,一般性勘探点宜进入中等、微风化岩1m~2m;当强风化岩很厚时,勘探点深度宜穿透强风化中带,进入强风化下带,控制性勘探点宜进入3m~5m,一般性勘探点宜进入1m~2m。
条文说明
4.2.2由于花岗岩残积土、全(强)风化岩均属可压缩层,其埋藏深度、厚度变化很大,对勘察等级为甲、乙级的高层建筑,当拟以全、强风化岩作为箱基或筏基天然地基持力层时,为变形计算需要应查明残积土、全(强)风化岩的厚度和分布深度,当强风化岩厚度很大时,在深圳、厦门地区其层底深度有的地区达100余米,宜将强风化岩划分为土状、砂砾状、块状的上、中、下三带。根据经济合理地选择地基持力层和优化地基基础方案的需要,本款规定勘探孔宜穿透强风化岩至中等、微风化一定深度,强风化岩厚度较大时宜穿透中带进入下带一定深度。
4.2.3 采取不扰动土试样或进行原位测试的竖向间距,基础底面下1.0倍基础宽度内宜按1m~2m,基础底面下1.0倍基础宽度以下可根据土层变化情况适当加大距离。
条文说明
4.2.3规定了采取不扰动土试样和进行原位测试的竖向间距,为了保证不扰动土试样和原位测试指标有一定数量,规定基础底面下1.0倍基础宽度内采样及试验点间距按1m~2m,以下根据土层变化情况适当加大距离,且在同一钻孔中或同一勘探点采取土试样和原位测试宜结合进行。这里的原位测试主要是指标准贯入试验,旁压试验,扁铲侧胀试验等。
4.2.4 采取岩土试样和进行原位测试除应符合本标准第4.1.5条规定外,尚应符合下列规定:
1 在地基主要受力层内,对厚度大于0.5m的夹层或透镜体,应采取不扰动土试样或进行原位测试;
2 当土层性质不均匀时,应增加取土数量或原位测试次数;
3 岩石试样的数量每层不应少于6件(组),以中等风化、微风化岩石作为持力层时,每层不宜少于9件(组);
4 地下室侧墙计算、基坑稳定性计算或锚杆设计所需的抗剪强度指标试验,每主要土层采取不扰动土试样不应少于6件(组)。
条文说明
4.2.4 本条第1款所指“夹层”,按现行《岩土工程勘察规范》第3.3.6条的规定,同一土层薄厚层相间出现,薄层与厚层的厚度比大于1/3时,定为“互层”,厚度比为1/10~1/3时宜定为“夹层”。而“透镜体”通常是指另一种土、岩层的零星分布形式,不是同一岩、土层,故两者并列。
4.2.5 对勘察等级为甲级及其以上的高层建筑,或工程经验缺乏,或研究程度较差的地区,应布设静载荷试验确定天然地基持力层的承载力特征值和变形模量。
4.3 桩基
4.3 桩 基
4.3.1 端承型桩勘探点平面布置应符合下列规定:
1 勘探点应按柱列线布设,其间距应能控制桩端持力层层面和厚度的变化,宜为12m~24m;
2 对荷载较大或复杂地基的一柱一桩工程,应每柱设置勘探点;
3 在勘探过程中发现基岩中有构造破碎带,或桩端持力层为软硬互层且厚薄不均,或相邻勘探点所揭露桩端持力层层面坡度超过10%,勘探点应适当加密;
4 岩溶发育场地,当以基岩作为桩端持力层时应按柱位布孔,同时应辅以各种有效的地球物理勘探手段,应查明拟建场地范围及有影响地段的各种岩溶洞隙和土洞的位置、规模、埋深、岩溶堆填物性状和地下水特征。
条文说明
4.3.1本条是对端承型桩基勘探点平面布设做出的规定: 第1款勘探点间距12m~24m,是考虑柱距通常为6m的倍数而提出。 第2、3款主要是规定勘探点的加密原则。原规程JGJ72-90和《建筑桩基技术规范》JGJ94均规定,当相邻勘探点所揭露桩端持力层层面坡度超过10%时,宜加密勘探点;现行国家标准《岩土工程勘察规范》GB50021规定,相邻勘探点揭露持力层层面高差宜控制为1m~2m。当勘探点间距为12m~24m时,按10%控制即为高差1.2m~2.4m,因而两者规定是一致的。对于复杂地基的一柱一桩工程,宜每柱设置勘探点,这里的复杂地基是指端承桩桩端持力层岩土种类多,很不均匀,性质变化大的地基,且一柱一桩多为荷载很大,一旦出现差错或事故,将影响大局,难以弥补和处理,故规定按柱位布孔。 第4款本款是指岩溶发育场地,溶沟、溶槽、溶洞发育,显然属复杂场地,此时若以基岩作为桩端持力层,应按柱位布孔。但单纯钻探工作往往还难以查明其发育程度和发育规律,故应辅以有效地球物理勘探方法,近年来地球物理勘探技术发展很快,有效的方法有电法、地震法(浅层折射法或浅层反射法)及钻孔电磁波透视法等。连通性系指土洞与溶洞的连通性、溶洞本身的连通性和岩溶水的连通性。
4.3.2 摩擦型桩勘探点平面布置应符合下列规定:
1 勘探点应按建筑物周边或柱列线布设,其间距宜为20m~30m,当相邻勘探点揭露的主要桩端持力层或软弱下卧层层位变化较大,影响桩基方案选择时,应适当加密勘探点;
2 对基础宽度大于30m的高层建筑,其中心宜布设勘探点;带有裙楼或外扩地下室的高层建筑勘探点布设时应将裙楼和外扩地下室与主楼一同考虑。
条文说明
4.3.2本条是对摩擦型桩勘探点平面布设做出的规定,摩擦型桩勘探点间距20m~30m,基础宽度大于30m时,中心点宜布勘探点,系根据各勘察、设计单位多年来积累的经验,实践证明是经济合理的。
4.3.3 端承型桩勘探孔的深度应符合下列规定:
1 当以可压缩地层(包括全风化和强风化岩)作为独立柱基桩端持力层时,勘探点深度应能满足沉降计算的要求,控制性勘探点的深度应深入预计桩端持力层以下5d~8d(d为桩身直径,或方桩的换算直径),直径大的桩取小值,直径小的桩取大值,且不应小于5m;一般性勘探点的深度应达到预计桩端下3d~5d,且不应小于3m;
2 对一般岩质地基的嵌岩桩,控制性勘探点应钻入预计嵌岩面以下3d~5d,且不应小于5m,一般性勘探点深度应钻入预计嵌岩面以下1d~3d,且不应小于3m;
3 对花岗岩地区的嵌岩桩,控制性勘探点深度应进入中等、微风化岩5m~8m,一般性勘探点深度应进入中等、微风化岩3m~5m;
4 对于岩溶、断层破碎带地区,勘探点应穿过溶洞或断层破碎带进入稳定地层,进入深度不应小于3d,且不应小于5m;
5 具多韵律薄层状的沉积岩或变质岩,当风化带内强风化、中等风化、微风化岩呈互层出现时,对拟以微风化岩作为持力层的嵌岩桩,勘探点深度进入微风化岩不应小于5m。
条文说明
4.3.3本条是对端承型桩勘探孔深度做出的规定: 1本条1款所指作为桩端持力层的可压缩地层,包括硬塑、坚硬状态的黏性土;中密、密实的砂土和碎石土,还包括全风化和强风化岩。这些岩土按现行行业标准《建筑桩基技术规范》JGJ94-2008的规定,全断面进入持力层的深度不宜小于:黏性土、粉土2d(d为桩径),砂土1.5d,碎石土1d。当存在软弱下卧层时,桩端以下硬持力层厚度不宜小于3d;《欧洲地基基础规范EUROCODE7》(中国建筑科学研究院地基基础研究所编译,中英文对照版,1995年12月),新版将原规定勘探深度为6d~10d,改为“钻探、触探或其他原位试验,通常宜进行到预期的桩尖深度下5倍桩身直径深度处,或至少在此深度下5m处,有时也需要比这个深度更深的钻孔,另一个要求是勘探的深度应大于在桩尖水平处组成基础的群桩的矩形周边的短边长度”。根据以上国内外的经验,本次修订规定:一般性勘探点深度应达到预计桩端下3d~5d,且不应小于3m,控制性勘探点应深入预计桩端下5d~8d,且不应小于5m。 2本条第2款是对一般岩性地基嵌岩桩的勘探深度做出规定,由于嵌岩桩是指嵌入中等风化或微风化岩石的钢筋混凝土灌注桩,且系大直径桩,这种桩型一般不需考虑沉降问题,尤其是以微风化岩作为持力层,往往是以桩身强度控制单桩承载力。嵌岩桩的勘探深度与岩石成因类型和岩性有关。一般岩质地基系指岩浆岩、正变质岩及厚层状的沉积岩,这些岩体多系整体状结构和块状结构,岩石风化带明确,层位稳定,进入微风化带一定深度后,其下一般不会再出现软弱夹层,故规定一般性勘探点进入预计嵌岩面以下1d~3d,且不应小于3m,控制性勘探点进入预计嵌岩面以下3d~5d,且不应小于5m。 3本条第3款是对花岗岩地区嵌岩桩勘探深度的规定,花岗岩地区,在残积土和全、强风化带中常出现球状风化体,直径一般为1m~3m,最大可达5m,岩性呈微风化状,钻探过程中容易造成误判,为此,第3款中对此特予强调,一般性和控制性勘探点均要求进入微风化一定深度,目的是杜绝误判。 4本条第5款是对多韵律薄层状沉积岩或变质岩嵌岩桩勘探深度的规定:在具多韵律薄层状沉积岩或变质岩地区,常有强风化、中等风化、微风化呈互层或重复出现的情况,此时若要以微风化岩层作为嵌岩桩的持力层时,必须保证微风化岩层具有足够厚度,为此本条第5款规定,勘探点深度应进入微风化岩厚度不小于5m方能终孔。
4.3.4 摩擦型桩勘探点的深度应符合下列规定:
1 一般性勘探点的深度应进入预计桩端持力层或预计最大桩端入土深度以下不小于5m;
2 控制性勘探点的深度应达群桩桩基(假想的实体基础)沉降计算深度以下1m~2m,群桩桩基沉降计算深度宜取桩端平面以下附加应力为上覆土有效自重压力20%的深度,或按桩端平面以下1B~1.5B(B为假想实体基础宽度)的深度考虑。
条文说明
4.3.4对于摩擦型桩虽然是以侧阻力为主,但在勘察时,还是应寻求相对较坚硬、较密实的地层作为桩端持力层,故规定一般性勘探孔的深度应进入预计桩端持力层或最大桩端入土深度以下不小于5m,此5m值是按以可压缩地层作为桩端持力层和中等直径桩考虑确定的;对高层建筑采用的摩擦型桩,多为筏基或箱基下的群桩,此类桩筏或桩箱基础除考虑承载力满足要求外,还要验算沉降,为满足验算沉降需要,提出了控制性勘探孔深度的要求。
4.3.5 桩基勘察的岩土试样采取及原位测试除应符合本标准第4.1.5条规定外,尚应符合下列规定:
1 当采用嵌岩桩时,其桩端持力层的每种岩层,每个建筑场地应采取不少于9组的岩样进行天然和饱和单轴极限抗压强度试验;
2 以不同风化带作桩端持力层的桩基工程,勘察等级为甲级及以上时控制性钻孔宜进行波速测试,按波速值、波速比或风化系数划分岩石风化程度,划分标准应符合现行国家标准《岩土工程勘察规范》GB 50021的规定。
条文说明
4.3.5以基岩作桩端持力层时,桩端阻力特征值取决于岩石的坚硬程度、岩体的完整程度和岩石的风化程度。岩石坚硬程度的定量指标为岩石单轴饱和抗压强度;岩体的完整程度定量指标为岩体完整性指数,它为岩体与岩块压缩波速度比值的平方;岩石风化程度的定量指标为波速比,它为风化岩石与新鲜岩石压缩波波速之比。因此在勘察等级为甲级及以上的高层建筑勘察时宜进行岩体的压缩波波速测试,按完整性指数判定岩体的完整程度,按波速比判定岩石风化程度,这对决定桩端阻力和桩侧阻力的大小有关键性作用。
4.4 复合地基
4.4 复合地基
4.4.1 对拟采用复合地基的场地,勘察前应收集本地区同类高层建筑的复合地基工程经验和附近场地的地质资料,确定本地区复合地基设计与施工的关键岩土工程问题以及复合地基勘察的重点任务和关键内容,明确复合地基现场试验的必要性和基本要求。
条文说明
4.4.1复合地基是在不良地基中设置竖向增强体(桩体),通过置换、挤密作用对土体进行加固,形成地基土与竖向增强体共同承担建筑荷载的人工地基。根据复合地基桩体的刚度可分为柔性桩复合地基、半刚性桩复合地基和刚性桩复合地基。针对高层建筑特点,本标准采用复合地基时,主要应采用刚性桩复合地基,如CFG(水泥、粉煤灰、碎石)桩、素混凝土桩和预制桩(含预应力管桩和预制方桩)。对10层左右的高层建筑亦可采用以水泥搅拌桩为增强体的半刚性桩。 利用竖向增强体的高强度、低变形特性,可以改善天然地基土体在强度、变形方面的不足,同时可以辅助部分柔性桩复合地基解决地基土液化、湿陷等工程问题,从而满足高层建筑对地基的要求。 目前,复合地基在许多地区得到了广泛的应用,采用复合地基方案的建筑物也由十几层、二十几层,发展到三十几层,取得了丰富的地区经验。勘察前除了搜集一般工程勘察所需要的基础资料外,强调应注意收集地区经验。由于我国地域辽阔,工程地质与水文地质条件、建筑材料及施工机械与方法不尽相同,区域性很强,由此引发的工程问题复杂,应对措施也十分丰富,因此要强调依据规范和地区经验来编制复合地基勘察方案。需要解决的主要岩土工程问题包括建筑地基的强度、变形、湿陷性、液化等。
4.4.2 勘察方案应根据建筑地基处理目的和增强体类型进行布设,并应符合下列规定:
1 应查明建筑场地各岩土层分布及性状和地下水的分布及类型,并取得各岩土层承载力特征值、压缩模量以及计算单桩承载力、变形等所需的参数;
2 应查明相对软弱土层的分布范围、深度和厚度情况,以及设计、施工所需的有关技术资料;
3 应查明适宜作为桩端持力层的土层埋深、厚度及其物理力学性质,以及地基土的承载力特征值;
4 对黏性土地基,应取得地基土的压缩模量、不排水抗剪强度、含水量、地下水位及pH值、有机质含量等指标:对饱和软黏性土地基,尚应取得灵敏度、固结系数等指标;
5 对湿陷性黄土地基,应重点查明场地湿陷类型、地基湿陷等级、湿陷性土层的分布范围,非湿陷性土层的埋深及性质,提供地基土的湿陷系数、自重湿陷系数、干密度、含水量、最大干密度和最优含水量等指标;
6 对砂土、粉土地基,应重点查明建筑场地液化等级,提供地基土层的标准贯入试验锤击数、静力触探试验比贯入阻力或锥尖阻力和侧壁摩阻力、密实度和液化土层的层位及厚度。
条文说明
4.4.2本条文对高层建筑常用复合地基类型的勘察方案布设提出相应的要求: 第1款对于本条“取得各岩土层承载力特征值、压缩模量以及计算单桩承载力、变形等所需的参数”中提及的各岩土层主要指基坑深度范围内、基础影响深度范围内的各主要岩土层。 第2款不同的地基加固方法,分别对地下水水位及流动状态、腐蚀性、pH值、硫酸盐含量、土质及土中含水量、有机质含量等因素有着不同的要求和限制:有些加固方法只适用于地下水位以上的地层;水泥土的抗压强度随土层含水量的增加而迅速降低;土中有机质含量越高,水泥的加固效果就越差,甚至单用水泥无法对有机质含量高的土进行加固;地下水pH值高、硫酸盐含量高时,用水泥加固效果差等。因此,应根据不同的地基加固方法结合地区性经验布设相应的勘察工作,提供相应的指标。 第5款对于辅以采用挤密桩法消除黄土湿陷性的刚性桩复合地基,其中涉及土或灰土桩挤密法的规范有《挤密桩法处理地基技术规程》DBJ61、国家标准《湿陷性黄土地区建筑规范》GB50025、行业标准《建筑地基处理技术规范》JGJ79。经验表明,土的含水量及干密度对采用土或灰土桩挤密法消除黄土湿陷性效果影响很大,成孔的好坏在于土的含水量,桩距大小在于土的干密度,当土的含水量大于23%及饱和度超过65%时往往难以成孔,而且挤密效果差,为了达到消除黄土湿陷性效果,要求灰土的干密度ρd≥1.5g/cm3或者其压实系数λ≥0.97(此为国家标准《湿陷性黄土地区建筑规范》GB50025轻型击实仪的标准)。 第6款对于辅以采用砂石桩挤密法消除地震液化的刚性桩复合地基,由于在成桩过程中桩间土受到多次预振作用、砂石桩的排水通道作用、成桩对桩间土的挤密、振密作用,有效地消散了由振动引起的超孔隙水压力,同时土的结构强度得以提高,从而使得地基土的抗液化能力得到提高,表现在标贯击数的增加、静力触探比贯入阻力的提高等方面。在地基勘察时应进行相关的试验,提供相应的测试结果,以对比和检验加固后的效果。
4.4.3 当高层建筑拟采用复合地基时,勘探点布设和勘探深度应符合下列规定:
1 勘探点平面布设应按天然地基勘察方案布设,并应符合本标准第4.2节的规定;当适宜作为桩端持力层的土层顶面高程、厚度变化较大时,应加密勘探点,查明其变化;
2 勘探点深度应符合本标准第4.3节桩基勘察的要求,查明适宜作为桩端持力层的地层分布情况和下卧岩土层的性状。
条文说明
4.4.3考虑到复合地基方案的特点、区域适用性及工程经验,对于高度超过100m(含100m)的高层建筑在采用复合地基方案时应慎重,需在仔细计算分析论证的基础上采用。高层建筑拟采用复合地基时的勘察方案布设要求: 1复合地基勘察方案布设有其特点,其勘探点平面布设和勘探点间距应按4.2节天然地基规定执行;对某些桩端持力层起伏大的部位宜加密勘探点,查明桩端持力层顶板起伏及其厚度的变化; 2勘探孔深度则应符合第4.3节桩基勘察要求,重点是查明桩端持力层的地层分布和性状,当需要按变形控制设计时,还需查明下卧岩土层的性状。
4.5 基坑工程
4.5 基坑工程
4.5.1 基坑工程勘察应与高层建筑地基勘察同步进行。当已有勘察资料不满足要求时,应对基坑工程进行补充勘察。
条文说明
4.5.1近十年来基坑出现的破坏事故不少,为此各方都给予了高度重视,“基坑工程”已成为岩土工程领域中的一门热门学科。 为基坑工程而进行的勘察工作是高层建筑岩土工程勘察的一个重要组成部分,故本条规定应与高层建筑勘察同步进行,如果详勘时勘探点布置不能满足基坑工程设计要求,应按本节要求进行专门的基坑工程补充勘察,包括勘探点的布置、深度,原位测试和土工试验均应符合本节的相关要求。
4.5.2 基坑工程勘察前,应取得委托方提供的下列资料:
1 本基坑的外轮廓线,开挖深度;
2 周边道路和各类地下管线的资料;
3 邻近地下工程的基本情况;
4 邻近建(构)筑物的结构类型、层数、地基与基础类型、埋深、持力层等资料;
5 周边地表水汇集、排泄以及地下管网渗漏情况。
条文说明
4.5.2本次修编时保留了应取得委托方提供的周边环境条件等资料,增加了基坑工程外轮廓线、开挖深度等资料,以便勘察人员有针对性布孔并确定钻孔深度。 周边环境是基坑工程的勘察、设计、施工中必须首先考虑的问题,在进行这些工作时应有“先人后己”的概念,周边环境的复杂程度是决定基坑工程设计等级、支护结构方案选型等最重要的因素之一,勘察最后的结论和建议亦必须充分考虑对周边环境影响而提出。为此,本条规定了勘察时,委托方应提供的周边环境的资料,如果委托方不能提供周边环境条件等资料或提供的资料不全,委托方可以通过购买服务专项委托勘察单位进行勘察,可采用开挖、物探、专用仪器等进行探测,或通过收集取得相关资料。
4.5.3 勘察范围应根据开挖深度和场地的岩土工程条件确定,宜在开挖边界线外1倍~2倍开挖深度范围内布置适量勘探点,深厚软土地基、膨胀土地基可适当扩大范围;当开挖边界外无法进行勘探时,应通过调查和搜集取得相应资料。
条文说明
4.5.3勘察平面范围应适当扩到基坑边界以外,是因为验算基坑整体稳定性时需要知道基坑外侧岩土体的物理力学条件,此外,基坑支护可能需设置锚杆,还有降水、截水等都必须了解和掌握基坑边线外一定距离内的地质情况,但扩展外出的具体距离,各规范规定不尽一致,本标准要求勘察范围达到基坑边线以外1倍~2倍基坑开挖深度,但是高层建筑多在城市的已建成区,而业主一般都要将红线范围内用足,地下室外墙边线往往靠近红线甚至压在红线上,要扩展到红线以外很远进行勘察工作有困难,通常只有依靠调查,搜集邻近工程的勘察和竣工资料来解决。
4.5.4 勘探点应沿基坑各侧边布设,其间距应根据地层复杂程度确定,宜取15m~30m,且每一侧边的剖面线勘探点不宜少于3个。当场地存在软土、饱和粉细砂、深厚填土、暗沟、暗塘等特殊地段以及岩溶地区,应适当加密勘探点,查明其分布和工程特性。
条文说明
4.5.4本条强调基坑工程勘探点应沿基坑边线布设,且每边不宜少于3个点,这在实际工程中非常重要,有时候仅利用地基勘察资料可能会有误差,必要时应按本条要求进行补充勘察。
4.5.5 勘探点的深度不宜小于基坑开挖深度的2倍,并应穿过软弱土层和饱和砂层。当在要求的勘探深度内遇到微风化岩石时,控制性勘探点深度可进入微风化岩3m~5m,一般性勘探点深度可进入微风化岩1m~3m,每个侧边控制性勘探点数量不宜少于该侧边勘探点数量的1/3,且不宜少于1个。
条文说明
4.5.5关于勘探孔深度,本标准规定“勘探孔的深度不宜小于基坑深度2倍”,这样可以满足绝大部分基坑工程的要求,并规定应穿过软土层和主要含水层,如果场地存在多层含水层且埋深很大时,应由该项目勘察与设计共同研究决定勘探点深度的增减;在基坑深度内遇微风化基岩时,一般性勘探点应钻入微风化岩1m~3m,控制性勘探点可钻入微风化岩3m~5m,是因为有的地区强风化、中等风化、微风化岩呈互层出现,为避免微风化岩面误判,需进入一定深度。
4.5.6 对岩质基坑,勘察工作应以工程地质测绘、调查为主,以钻探、地球物理勘探、原位测试及室内试验为辅;基坑施工期间,宜进行施工地质工作,应查明的内容如下:
1 岩石的坚硬程度、完整程度和风化带的划分;
2 软弱外倾结构面等主要结构面的力学属性、产状、延伸长度、结合程度、充填物状态、充水状况,组合关系与临空面的关系;
3 坡体的含水状况等。
条文说明
4.5.6本条是关于岩质基坑勘察要求,勘察人员也可参照边坡规范关于岩质边坡的相关勘察要求进行勘察。
4.5.7 基坑工程勘察试样采取、室内试验和原位测试,除应符合本标准第4.1.5条采样规定外,尚应符合下列规定:
1 室内试验应符合下列规定:
1)抗剪强度试验除常规的快剪及固结快剪试验外,尚应进行三轴固结不排水试验和三轴不固结不排水试验;
2)对饱和软土应进行高压固结试验判定其应力历史,必要时,测定其黏粒含量;
3)对砂土应作休止角试验,并宜进行颗粒分析试验,绘制颗粒粒径分布曲线;
4)当人工素填土厚度大于3.0m时,应进行重度和抗剪强度试验;
5)对岩质基坑,当存在顺层或外倾岩体软弱结构面时,宜在现场或室内测定结构面的抗剪强度。
2 原位测试应符合下列规定:
1)对一般黏性土和砂土应进行标准贯入试验;
2)对淤泥、淤泥质土应进行十字板剪切和静力触探试验;
3)对碎石土和厚度大于3.0m的杂填土应进行重型或超重型动力触探试验;
4)当设计需要时可进行基准基床系数载荷试验、扁铲侧胀试验或旁压试验。
条文说明
4.5.7基坑工程设计最重要的是计算支护结构所受的土压力,因此提供准确的岩土抗剪强度指标非常重要,本次修编强调各种抗剪强度试验的重要性,要求进行三轴的UU和CU试验,勘察报告中宜同时提供不同试验方法得到的抗剪强度指标,供设计选取。对于岩质基坑,控制基坑安全的主要是软弱结构面,本条建议有条件时宜进行现场试验测定结构面的抗剪强度。由于砂土很难取得原状土样,故要求对砂、砾、卵石层进行水上、水下休止角试验,主要是根据测得的天然休止角来预估这类土的内摩擦角。 另外针对为基坑设计提供有关参数而应进行的原位测试项目提出了要求。其中在地下连续墙和排桩支护设计中,要按弹性地基梁计算,需要提供基床系数,故提出设计需要时,应进行现场基床系数试验,测求竖向和水平向基床系数的载荷试验要点见附录H。
4.5.8 对场地地下水的勘察,除应符合本标准第5章要求外,尚应符合下列规定:
1 当含水层为卵石层或含卵石颗粒的砂层时,应详细描述或测求卵石的颗粒组成、粒径大小;
2 当附近有地表水体时,宜在其间布设一定数量的勘探孔或观测孔,查明地下水与地表水体之间的水力联系;
3 当场地水文地质资料缺乏或在岩溶发育地区,应进行单孔或群孔分层抽水试验,测求其渗透系数、影响半径、单井涌水量等水文地质参数。
条文说明
4.5.8地下水是影响基坑工程安全的重要因素,本条规定了基坑工程设计应查明的场地水文地质条件的有关问题。其中土的渗透系数对基坑工程非常重要,本条强调了应进行现场抽水试验,提供准确的渗透系数指标。当含水层为卵石层或含卵石颗粒的砂层时,强调要详细描述或测求卵石颗粒的粒径和颗粒组成(级配),这是因为卵石粒径的大小,对设计和施工时选择截水方案和选用机具设备有密切关系;例如,当卵石粒径大、含量多时,采用深层搅拌桩形成帷幕截水会有很大困难,甚至不可能。
5 地下水勘察
5 地下水勘察
5.0.1 高层建筑地下水勘察应根据工程需要,查明地下水的类型、埋藏条件和变化规律,提供水文地质参数;应针对地基基础形式、基坑和边坡支护形式、施工方法等情况分析评价地下水对地基基础设计、施工和环境影响,预估可能产生的危害,提出预防和处理措施的建议。
条文说明
5.0.1本条规定了高层建筑勘察中对地下水的基本要求。在高层建筑勘察中地下水对基础工程和环境的影响问题越来越突出,如基础设计中的抗浮、基坑支护设计中侧向水压力、基坑开挖过程中管涌、突涌以及工程降水引起地面沉降等环境问题,大量工程经验表明,地下水作用对工程建设的安全与造价产生极大影响。因此,勘察中要求查明与工程有关的水文地质条件,评价地下水对工程的作用和影响,预测可能产生的岩土工程危害,为设计和施工提供必要的水文地质资料。 查明地下水类型主要是查明场地地下水是属于上层滞水、潜水和承压水的某一种或某几种;地下水埋藏条件包括地下水分布和埋藏深度,含水层岩性、层数以及地下水的补给、径流、排泄条件。
5.0.2 对已有地区经验或场地水文地质条件简单,且有常年地下水位监测资科的地区,地下水的勘察可通过调查方法掌握地下水的性质、埋藏条件和变化规律,并宜包括下列内容:
1 地下水的类型、主要含水层及其渗透特性;
2 地下水的补给,径流和排泄条件、地表水与地下水的水力联系;
3 历史最高、最低地下水位及近3年~5年水位变化趋势和主要影响因素;
4 区域性气象资料;
5 地下水腐蚀性和污染源情况。
5.0.3 在无经验地区,当地下水的变化或含水层的水文地质特性对地基评价、地下室抗浮和地下水控制有重大影响时,在调查和满足本标准第5.0.2条要求的基础上,应进行专项水文地质勘察,并应符合下列规定:
1 应查明地下水类型、水位及其变化幅度;
2 应明确与工程相关的含水层相互之间的补给关系;
3 应测定地层渗透系数等水文地质参数;
4 在初步勘察阶段应设置长期水位观测孔或孔隙水压力计;
5 对与工程结构有关的含水层,应采取有代表性水样进行水质分析;
6 在岩溶地区,应查明场地岩溶裂隙水的主要发育特征及其不均匀性。
条文说明
5.0.2、5.0.3 主要依据地区经验的丰富程度、场地的水文地质条件的复杂程度、地区有无地下水长期观测资料以及对工程影响程度,有针对性地区分为地下水调查和现场勘察两部分内容。在调查和专项水文地质勘察中,从高层建筑工程勘察角度出发,侧重查明地下水类型、与工程有关的含水层分布、承压水水头、渗透性以及地下水与地表水的水力联系,尤其是地下水与江、河、湖、海等地表水体的水力联系。
5.0.4 当勘察遇有地下水时,应量测水位,也可埋设孔隙水压力计,或采用孔压静力触探试验进行量测,但在黏性土中应有足够的消散时间;当场地有多层对工程有影响的地下水时,应在代表性地段布设一定数量钻孔分层量测水位。
条文说明
5.0.4对工程有重大影响的多层含水层,在分层测水位时,应采取止水措施将被测含水层与其他含水层隔离后测定地下水位或承压水头高度。也可采用埋设孔隙水压力计进行量测,或采用孔压静力触探试验进行量测。搞清多层地下水水位,对基础设计和基坑支护设计十分重要,并涉及基坑施工的安全性问题,故本条对此作了明确规定。
5.0.5 含水层的渗透系数等水文地质参数的测定,应根据岩土层特性和工程需要,由现场钻孔或探井抽水试验、注水试验或压水试验确定。
条文说明
5.0.5含水层的渗透系数等水文地质参数测定,有现场试验和室内试验两种方法,一般室内试验由于边界条件与实际相差太大(如在上海地区的黏性土中往往夹有薄层粉砂),室内与现场试验结果会差几个数量级,如选择参数不当,可能造成不安全的降水设计,故本条提出宜采用现场试验。
5.0.6 地下水对工程的作用和影响评价应符合下列规定:
1 对地基基础、地下结构应评价地下水对结构的上浮作用;对节理不发育的岩石和黏土且有地方经验或实测数据时,可根据经验或实测数据确定其对结构的上浮作用;有渗流时,地下水的水头和作用宜通过渗流计算进行分析评价;
2 验算基坑和边坡稳定性时,应评价地下水及其渗流压力对基坑和边坡稳定的不利影响;
3 采取降水措施时在地下水位下降的影响范围内,应评价降水引发周边环境地面沉降及其对工程的危害;
4 当地下水位回升时,应评价可能引起的土体回弹和附加的浮力等;
5 在湿陷性黄土地区应评价地下水位上升对湿陷性的影响;
6 对粉细砂、粉土地层,应评价在有水头压差情况下产生潜蚀、流砂、管涌的可能性;
7 在地下水位下开挖基坑,应评价降水或截水措施的可行性及其对基坑稳定和周边环境的影响;
8 当基坑底面下存在高水头的承压含水层时,应评价坑底土层的隆起或产生突涌的可能性;
9 在粉土、砂土、卵石地层中,当可能受潮汐波动或地下水渗流影响时,应评价灌注桩、搅拌桩以及注浆工程产生水泥土流失或水泥浆液呈支脉状流失的影响。
条文说明
5.0.6根据高层建筑基础埋深较大的特点,以及在工程建设中由于降水而引起的环境问题,本条文规定评价地下水对工程的作用和影响的要求。如地下水对结构的上浮作用,经济合理地确定抗浮设防水位将涉及工程造价、施工难度和周期等一些十分关键的问题;施工中降、排水引起的潜水位或承压水头的下降,虽能减少水的浮力,但增加了土体的有效压力,使土体产生附加沉降,在黏性土地层中也可能出现“流泥”现象,引起地面塌陷,造成不均匀沉降而对周围环境(邻近建筑物、地下管线等)产生不良影响等环境问题;当基坑下有承压含水层时,由于基坑开挖减少了基坑底部隔水土层的厚度,在承压水头压力作用下,基坑底部土体将会产生隆起或突涌等危险现象。受潮汐波动、地下水流动的粉土、砂土、卵石地层中,由于地下水流动,夹带水泥颗粒,使水泥颗粒呈支脉状流失,造成止水效果不理想,应考虑其不利影响。
5.0.7 地下水的物理、化学作用的评价应符合下列规定:
1 对地下水位以下的工程结构,应评价地下水对混凝土、钢筋混凝土结构中的钢筋的腐蚀性,评价方法应按现行国家标准《岩土工程勘察规范》GB 50021执行;
2 对软岩、强风化、全风化岩石、残积土、湿陷性土、膨胀岩土和盐渍岩土,应评价地下水位变化所产生的软化、崩解、湿陷、胀缩和潜蚀等有害作用;
3 在冻土地区,应评价地下水对土的冻胀和融陷的影响。
5.0.8 当任务需要时,应对地下水的分布和动态特征进行分析,评估工程建设对场地水文地质环境可能造成的影响,提出地下水控制的建议,评估、模拟、预测深基坑降水引起的地下水渗流场的变化及对地面沉降的影响,并提出防治措施建议。
条文说明
5.0.8即使是在赋存条件和水质基本不变的前提下,地下水对岩土体和结构基础的作用往往也是一个渐变的过程,开始可能不为人们所注意,一旦危害明显就难以处理。由于受环境,特别是人类活动的影响,地下水位和水质还可能发生变化。所以在勘察时要注意调查研究,在充分了解地下水赋存环境和岩土条件的前提下做出合理的预测和评价。
6 室内试验
6 室内试验
6.0.1 地基承载力计算所需的抗剪强度试验应符合下列规定:
1 当勘察等级为特级或甲级时,应采取质量等级为Ⅰ级的土试样,进行三轴压缩试验;
2 抗剪强度试验方法应根据施工速度、地层条件和计算公式等选用,宜符合地基土实际受力状况,对饱和黏性土或施工速率较快、排水条件差的土,可采用不固结不排水剪,对饱和软黏性土,应对试样在有效自重压力预固结后再进行试验,总应力法提供不固结不排水条件下的黏聚力、内摩擦角参数;经过预压固结的地基,可根据其固结程度采用固结不排水剪,总应力法提供固结不排水条件下的黏聚力、内摩擦角指标;
3 三轴压缩试验结果应提供摩尔圆及其强度包线。
条文说明
6.0.1为准确计算地基承载力,c、φ值参数的选用非常重要,而采样和抗剪强度试验的方法对c、φ值影响很大。高层建筑勘察比一般工程勘察更重要,故本标准只强调三轴压缩试验,未提直剪试验。 对饱和黏性土和深部的土样,为消除取土时应力释放和结构扰动的影响,应在自重压力下固结后再进行剪切试验。现行国家标准《岩土工程勘察规范》GB50021和行业标准《建筑基坑支护技术规程》JGJ120均有这样的规定,但试验证明,固结方法不同,将使试验成果差异很大,建议有关单位应尽快制定自重固结的统一试验标准。 关于抗剪强度试验的方法,总的原则是应该与建筑物的实际受力状况以及施工工况相符合。对于施工加荷速率较快,地基土的排水条件较差的黏土、粉质黏土等,固结排水时间较长,如加荷速率较快,来不及达到完全固结,土已剪损,这种情况下宜采用不固结不排水剪(UU)。但应注意三轴UU试验所测得的值只能代表该层深度处原位状态的性状,由于它是随深度的增加而增加,故不能作为该层土的指标,只能作为该深度处的不排水强度参数(详见龚晓南,从勘察报告不固结不排水试验成果引起的思考,《地基处理》2008年6月:44~45)。由于UU试验在施加周围压力和轴向荷载过程中都不排水,所施加周围压力将全部由孔隙水承担,周围压力的大小不能改变摩尔圆的直径,故从理论上看,φ角应等于零(陈肇元、崔京浩,深基坑支护技术综述,内部资料1997:55-59)。当由于取土扰动、土试样未充分饱和等原因,φ角不等于零时,应取φ等于零。对于施工加荷速率较慢,地基土的排水条件较好,如经过预压固结的地基,预压施工期间已完成部分固结,这种情况下可根据其固结程度采用固结不排水剪(CU)。原状砂土取样困难时可考虑采用冷冻法等取土技术。
6.0.2 地基沉降计算所用的压缩性指标,根据不同计算方法,可采用下列试验方法确定:
1 当采用分层总和法进行沉降计算时,单轴压缩试验最大压力应超过预计土的有效自重压力与附加压力之和,压缩性指标应取土的有效自重压力至土的有效自重压力与附加压力之和压力段的计算值;
2 当根据应力历史进行固结沉降计算时,应采取质量等级为Ⅰ级的土样进行试验,固结试验的最大压力应满足绘制完整的e-logp曲线的需要,并求得先期固结压力(p c )、压缩指数(C c )和回弹再压缩指数(C r ),回弹压力宜模拟现场卸荷条件;
3 当进行群桩基础变形验算时,对桩端平面以下压缩层范围内的土,应测求土的压缩性指标,试验压力不应小于实际土的有效自重压力与附加压力之和;
4 当依据基坑开挖卸荷引起的回弹量和回弹再压缩量时,应进行压缩—回弹—再压缩固结试验,获取回弹模量和回弹再压缩模量,其试验时加卸荷压压力宜模拟实际加、卸荷状况。试验除应符合现行国家标准《土工试验方法标准》GB/T 50123的有关要求外,尚应按本标准附录A回弹模量和回弹再压缩模量室内试验要点执行。
条文说明
6.0.2压缩试验方法应与所选用计算沉降方法相适应,试验选用合适与否直接影响到计算沉降量的正确性。 1本款是针对分层总和法进行的压缩试验而定。对高层建筑地基来说,不应按固定的100kPa~200kPa压力段所求得的压缩模量。而应按土的自重压力至土自重压力与附加压力之和的压力段,取其相应压缩模量。这样的试验方法和取值与工程实际受力情况较符合,显然是合理的。 2本款是针对考虑应力历史的固结沉降计算所需参数的试验方法,这种沉降计算需用先期固结压力pc、压缩指数Cc和回弹再压缩指数Cr三个参数。为准确求得pc值,最大压力应加至出现较长的直线段,必要时可加至3000kPa~5000kPa,否则难以在e-logp曲线上准确求得pc和Cc值。pc值可按卡式图解法确定。Cr值宜在预计的pc值之后进行卸载回弹试验确定。卸荷回弹压力从何处开始过去不明确,本标准规定从所取土样处的上覆有效自重压力处开始,这是考虑取土后应力释放,在室内重新恢复其原始应力状态。对于超固结土应超过预估的前期固结压力,并以不影响pc值的选取为原则,具体卸至何处,应根据基坑开挖深度确定。 3群桩深基础变形验算时,取对应实际不同压力段的压缩模量、压缩指数Cc、回弹再压缩指数Cr等进行计算。 4回弹模量和回弹再压缩模量的测求,可按照上述第2款说明的方法。对有效自重压力分段取整,获得回弹和回弹再压缩曲线,利用回弹曲线的割线斜率计算回弹模量,利用回弹再压缩割线斜率计算回弹再压缩模量。高层建筑的基坑越来越深,回弹量和回弹再压缩量的计算相当重要,本次修订特增加了附录A回弹模量、回弹再压缩模量试验要点。
6.0.3 当基坑开挖采用明沟、井点或管井抽水降低地下水位时,宜根据土性情况进行有关土层的常水头或变水头渗透试验。
条文说明
6.0.3基坑开挖需降低地下水位时,可根据土性进行原位测试和室内渗透试验确定相应参数,以满足降水设计需要。为了估算砂土的内摩擦角,对于砂土应进行水上、水下的休止角试验。
6.0.4 为验算边坡稳定性和支档设计需要所进行的抗剪强度试验,宜采用三轴压缩试验,验算整体稳定性和抗隆起稳定性宜采用不固结不排水试验(UU);当有地区经验时,也可采用直剪快剪试验。计算土压力宜采用固结不排水试验(CU),当需按有效应力法计算土压力时,宜采用测孔隙水压力的固结不排水试验( CU );当有地区经验时,也可采用直剪试验的固结快剪试验。
条文说明
6.0.4在验算边坡稳定性以及基坑工程中的支挡结构设计时,土的抗剪强度参数应慎重选取。三轴压缩试验受力明确,又可控制排水条件,因此本标准规定宜采用三轴压缩试验方法。现对其中主要问题说明如下: 1不同规范计算土压力时c、φ的取值规定为,现行行业标准《建筑基坑支护技术规程》JGJ120:c、φ应按照三轴固结不排水试验确定,当有可靠经验时,可采用直剪固快试验确定。上海市工程建设规范《上海地基基础设计规范》DBJ08-11:水土分算时,c、φ取固结不排水(CU)或直剪固快的峰值;水土合算时,c、φ取直剪固快的峰值。其他部分行业规范和地方规范关于土压力计算时,c、φ值的确定可参见《岩土工程勘察规范》GB50021相应条文说明。 2对于饱和黏性土,本标准推荐采用三轴固结不排水CU强度参数计算土压力,其主要依据:一是饱和黏性土渗透性弱、渗透系数较小,宜采用三轴压缩试验总应力法CU试验;二是根据原规程JGJ72-2004版修订时,曾做过直剪固结快剪、三轴CU、三轴UU计算土压力的对比试算,证明采用三轴CU计算土压力是安全和合适的。 总体说来,按CU参数计算是偏于安全和合适的。参考我国其他行业标准和地方标准,本标准规定,计算土压力宜采用固结不排水试验(CU)。当有可靠经验时,也可采用直剪固快试验指标。由于饱和黏性土,尤其是饱和软黏性土,原始固结度不高,且受到取土扰动的影响,为了不使试验结果过低,故规定了应在有效自重压力下进行预固结后再剪的试验要求。 3对于砂、砾、卵石土由于渗透性强,渗透系数大,可以很快排水固结,且这类土均应采用土水分算法,计算时其重度是采用有效重度,故其强度参数从理论上看,均应采用有效强度参数,即c′、φ′,其试验方法应是有效应力法,三轴固结不排水测孔隙水压力
估算,式中N为标准贯入实测击数。
4对于抗隆起验算,一般都是基坑底部或支护结构底部有软黏性土时才验算,因而应当采用饱和软黏性土的三轴UU试验方法所得强度参数,或采用原位十字板剪切试验测得的不排水强度参数。对于整体稳定性验算,当为饱和软黏性土时,亦应采用不固结不排水强度参数。
6.0.5 当需根据室内岩石试验结果确定嵌岩桩单桩竖向极限承载力时,应进行饱和单轴抗压强度试验。对于在地下水位以下、多韵律薄层状的黏土质沉积岩或变质岩,可采用天然湿度试样,不进行饱和处理;对较为破碎的中等风化带岩石,取样确有困难时,可取样进行点荷载强度试验,其试验标准及与岩石单轴抗压强度的换算关系成分别按现行国家标准《工程岩体试验方法标准》GB/T 50266和《工程岩体分级标准≥GB/T 50218执行。
6.0.6 当进行地震反应分析和地基液化判别时,可采用动三轴试验、动单剪试验和其共振柱试验,测定地基土的动剪切模量和阻尼比等参数。
条文说明
6.0.6动三轴、动单剪和共振柱是土的动力性质试验中目前比较常用的三种方法。其他试验方法或还不成熟,或仅作专门研究之用,故本标准未作规定。
7 原位测试
7 原位测试
7.0.1 高层建筑岩土工程勘察中原位测试项目,应根据工程计算分析的需要和设计要求,针对性地选择适宜本场地岩土工程条件的原位测试方法。
条文说明
7.0.1原位测试基本上是在原位应力条件下对岩土体进行试验,因其测试结果有较高的可靠性和代表性,是高层建筑岩土工程勘察中十分重要的手段,尤其在难以取得原状土样的地层更能发挥出它的优势,能提供较准确的有关参数供设计计算高层建筑地基承载力、沉降、稳定性和基坑支护设计、计算用。但由于原位测试成果运用一般是建立在统计公式基础上的,有很强的地区性和土类的局限性,因此,在选择原位测试方法时应综合考虑岩土条件、设计对参数的要求、地区经验和测试方法的适用性等因素。
7.0.2 原位测试成果应结合钻探、室内土工试验、原型试验、地区工程经验经综合分析后使用。
条文说明
7.0.2正是由于原位测试成果应用一般建立在统计经验公式上的,因此尤其需要积累经验,重视与原型试验、工程实测对比,综合分析,完善经验公式,将有助于缩短勘察工期,提高勘察质量。
7.0.3 原位测试所用的仪器和设备应定期校准、标定。
条文说明
7.0.3对量测设备应定期检验,对探头、传输电缆和记录仪应作为系统进行定期标定。
7.0.4 原位测试项目可根据设计要求、测定参数、主要用途按表7.0.4选用。
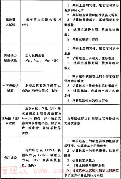
表7.0.4 原位测试项目



条文说明
7.0.4各种原位测试均应遵照相应的试验规程进行,表2列出了可供参考的相关标准。 表2原位测试的相关试验标准 
7.0.5 高层建筑岩土工程勘察原位测试应符合现行国家标准《岩土工程勘察规范》GB 50021和《建筑地基基础设计规范》GB 50007的有关规定。
条文说明
7.0.5本章主要针对高层建筑岩土工程勘察原位测试的特点,提出了原位测试过程中除了满足现行有关规范规定外,尚应注意的事项。有关各类原位测试方法的现场操作、资料分析、成果应用等可参见有关测试规程、手册。
7.0.6 平板载荷试验尚应符合下列规定:
1 平板载荷试验应采用圆形或矩形刚性承压板,承压板面积应根据高层建筑附加荷载、岩土性状、均匀性及下卧层深度等因素确定,浅层土载荷试验承压板面积不应小于1.00m 2 ;深层土载荷试验承压板面积不应小于0.50m 2 ,岩石载荷试验承压板面积不宜小于0.07m 2 ;
2 浅层载荷试验承压板设置高程宜与浅基础底面高程一致,或与设计要求的受检岩土层高程一致;
3 为求取地基承载力特征值、桩端阻力特征值和变形模量的浅层和深层载荷试验均应采用沉降相对稳定法,并应采用线性回归分析求取或验证比例界限压力特征点,相关系数不应小于0.90,比例界限前各级压力下的沉降量按线性回归方程计算,比例界限以后各点的沉降量按实测沉降取值;
4 每一受检岩土层的试验数量不应少于3个。
条文说明
7.0.6对本条说明三点: 1载荷试验目前有两种方法:一为沉降相对稳定法,又称慢速法,另一种为沉降非稳定法,又称快速法,考虑到高层建筑勘察中载荷试验的重要性,为确保试验质量,规定应采用前者,并规定浅层载荷试验的承压底板面积应不小于1m2,使其影响深度更大,代表性更好。 2比例界限是确定地基承载力特征值的关键,而所谓比例界限是p-s曲线上沉降量s随压力p成比例增加的特征点,即直线变形转为非直线变形的拐点。故本标准规定应进行线性回归分析,并要求相关系数r达到0.90以上,否则会造成比例界限误判。例如:本标准条文说明表1所示基础底面深度18m处所做6个浅层载荷试验,其中3、4、5号三个载荷试验,在设计基底压力300kPa时,其原始沉降量分别为12.79mm、14.05mm和14.56mm,大于0.01d=11.28mm(d为方形底板换算直径1128mm),试验单位认为不能满足设计基底压力为300kPa的要求,后经线性回归分析,其比例界限可分别取525kPa、525kPa和425kPa,其相关系数r分别为0.998、0.989和0.998,说明比例界限取值是合理的。另在设计要求基底压力为300kPa时,允许沉降量可取0.015d=0.015×1128=16.92mm(现行国家标准《建筑地基基础设计规范》GB50007附录C规定当压板面积为0.25m2~0.5m2时,可取s/d=0.01~0.015,而本试验压板面积为1.0m2,故可取较大值0.015d),实测(或修正后的)沉降量均小于此值,满足变形要求。 3线性回归方程的表达式为s=s0+Cp,式中s为修正后的沉降量,s0为修正后直线段交于s轴的截距,其物理意义是大面积开挖卸荷地基回弹后,再加荷至卸荷压力时的回弹再压缩量,现一些手册中均规定将其舍弃,只按Cp计算不妥,C为直线斜率,p为各级压力,本条对比例界限前后修正后的沉降量s如何取值做出了规定。
7.0.7 现场剪切试验包括土体现场直剪试验、岩体现场直剪试验和岩体现场三轴试验三类,可根据分析计算需要和设计要求选择合适的方法。每一岩土层的试验数量不宜少于3处。
条文说明
7.0.7土体现场直剪试验分为大型剪切仪法和水平推挤法两种;岩体现场直剪试验分为岩体本身、岩体沿软弱结构面和岩体沿混凝土接触面的直剪试验三种,剪切荷载的施加有平推法、斜推法和楔形体法三种;岩体现场三轴试验,分为等围压三轴(σ1=σ2=σ3)和真三轴(σ1>σ2>σ3)试验两种。有关原位剪切试验,在国内公开报导较少。《岩土工程学报》2006年第7期报导了徐文杰、胡瑞林、曾如意“水下土石混合体的原位大型水平推剪试验研究”一文,中科院地质与地球物理所工程地质力学重点实验室等在云南丽江市虎跳峡龙蟠乡做了大型原位试验,该场地土石混合体骨料主要为砂岩,少量为板岩,填充物为黏土,含量甚少,经颗粒分析:粒径大于2mm的颗粒约为80%,粒径小于2mm的细粒主要为0.1mm~2mm的砂粒,约占细粒总含量的90%,<0.1mm的粉粒和黏粒甚少(按现行国家标准《岩土工程勘察规范》GB50021,此种土可定名为圆砾或角砾),经5组试样尺寸为80cm×80cm×30cm的水平推剪试验结果:天然状态下2组,黏聚力c值为0.42kPa和1.58kPa,内摩擦角φ为47.83°和49.81°,浸水状态下3组,c值为0.25kPa~0.28kPa,平均值为0.27kPa,φ角为57.96°~60.31°,平均值为59.40°。此种混合土细粒土含量仅占20%,属角砾、圆砾,c值很小可以理解,但φ角无论天然状态或浸水状态均超过45°,却非常少见。该文作者对浸水状态下c值降低、φ值大大提高的原因作了解释:浸水后粒间填充土遇水软化、崩解,有些细粒被水流带走,削弱了粒间粘结作用,孔隙率增大(密度变松),使c值明显降低;由于天然状态下粒间填充黏土起到“润滑”作用,而浸水后碎石与碎石间变为“裸露”接触,引起内摩擦角急剧上升。 《岩土工程技术》2016年第1期报导了张旷成、朱杰兵、陈明“花岗岩强风化岩块和残积土岩土混合料填土强夯后的抗剪强度”一文,2011年为广东珠海××港××项目兴建高达44m、长达2600m的高填方人工边坡设计需要,进行了大型剪切盒直剪试验,填料为花岗岩强风化岩和残积土的岩土混合料,其中含粒径大于200mm的块石和大于20mm的碎石,边坡填筑后,采用分层强夯处理,虚铺厚度为6m以内时,采用单击夯击能3000kN·m,虚铺厚度为12m以内时,采用单击夯击能5000kN·m。试验由长江水利委员会长江科学院、水利部岩土力学与工程重点实验室进行,装入直剪盒的填料为粒径小于20mm的颗粒质量约占总质量的30%,粒径20mm~100mm的粒径约占总质量的70%,直剪盒尺寸长×宽×高分别为500mm×500mm×300mm,含水率为5%,试验时填料厚度减为3.0m,夯击能减为1500kN·m,试验结果为:强夯处理后岩土混合料本身内摩擦角φ=38°,黏聚力c=101kPa。岩土混合料与原始地面交界面的内摩擦角φ=39.1°,黏聚力c=108.9kPa。强夯后的岩土混合料具有较高黏聚力的原因,该文作者认为主要是: (1)岩土混合料中的碎石岩块为抗剪断贡献了较大的抗剪断黏聚力; (2)花岗岩残积土本身具有较高的原始黏聚力; (3)强风化花岗岩残积土强夯后产生了加固黏聚力。
7.0.8 静力触探试验尚应符合下列规定:
1 当贯入深度超过30m或由厚层软土层贯入硬土层时,应采用导向护管或测斜探头;
2 当采用水冲法下护管时,水冲深度应小于已贯入深度1m,护管深度应小于水冲深度;
3 当采用测斜探头时,应量测探头倾斜角,校正分层界线。
7.0.9 超深标准贯入试验可采用实测锤击能量器,并根据能量衰减及上覆压力对标贯击数的影响进行修正。当根据标准贯入试验击数评估试验土体的密实程度及确定设计参数时,应剔除可能受到地下水作用引起的塌孔、涌砂影响的试验结果。
7.0.10 当需利用圆锥动力触探试验划分地层和划分风化程度界限或提供岩土的力学参数时,每个场地宜布设不少于3个点的圆锥动力触探与取土试验孔(井)的对比试验,分析判定分层的超前、滞后效应和所得力学参数的匹配性。
7.0.11 十字版剪切试验尚应符合下列规定:
1 十字板头压至预定试验深度后应静止2min~3min后,方可开始试验;
2 试验时十字板头应以1°/10s~2°/10s的速度进行扭转剪切,十字板头每转1°测读一次,应在3min~4min内测得峰值强度,当出现峰值强度或稳定值后,再继续测记1min;
3 试验点的竖向间距宜为1m~2m;
4 实测十字板强度c u 值是随深度的增加而增加,不宜以其平均值或标准值作为该层土的抗剪强度指标;
5 如需做重塑土试验,应松开夹具使钻杆顺着剪切方向快速旋转6周,使十字板头周围土层充分搅动,重复上述第2款,可测得重塑土的抗剪强度。
条文说明
7.0.11对本条说明如下: 1十字板剪切试验适用于测定饱和软黏土的不排水抗剪强度,对夹粉砂或粉土薄层或有植物根的饱和黏性土不宜采用。 2十字板剪切试验所测求得到的cu值相当于三轴不固结不排水试验(UU试验)的cuu值,其φ角等于零。 3十字板剪切强度cu与三轴UU试验所得cuu值一样,都有一个重要特性,它是随上覆压力(深度)的增加而增加,不同深度的cu值是所在深度原位状态下的不排水强度参数,不是某层饱和软黏土的不排水抗剪强度指标,不能采用平均或厚度加权平均求得的cu值,作为该层土的不排水抗剪强度指标。 4根据不同深度的十字板不排水强度cu值,可以按线性回归的方法求取近似直剪固结快剪的ccq、φcq指标。 示例:深圳××海底管线工程勘察由香港辉固土力工程公司测得海域内淤泥不同深度的十字板不排水强度cu值如图2所示。
图2根据淤泥不同深度cu值求直剪固结快剪强度指标示意图 按τ=γ′h·tanφ+c进行线性回归分析获得: τ=γ′h×0.3196+4.561,相关系数r=0.9335, 即tan-1φ=0.3196,φcq=17.7°,ccq=4.561kPa, 还可以按现行行业标准《铁路工程地质原位测试规程》TB10018求取三轴固结不排剪的φcq、和ccu指标。
7.0.12 现场抽(注)水试验尚应符合下列规定:
1 抽水试验段孔径应根据含水层的性质、渗透性和过滤器的类型确定,实际孔径不得小于设计井径;安装过滤器前,将孔内沉渣清除,并保证井壁的稳定;沉淀管应封底,并采用找中器使过滤器居于中间位置,井管上端口应居于钻孔中心,过滤器安装深度的允许偏差宜控制在±200mm以内;
2 抽水试验井管安装后,稀释井内泥浆并在过滤器与孔壁之间及时、连续填充级配砾料,随填随测;过滤器上部的井管外围选用优质黏土或黏土球封闭止水,井管口外围应封闭;
3 正式抽水试验前,抽水孔应进行反复清洗,达到水清砂净无沉淀;
4 注水试验的试验段应采用清水钻进,孔底沉淀物厚度不应大于5cm,并应减少对试验段土层的扰动;
5 注水试验采用孔壁进水时,对于孔壁稳定性差的试验段可采用过滤器护壁;试验段长度可为2m~3m;非试验段可用套管隔离,应保证止水效果,套管接头应密合止水;试验段隔离以后,向套管内注入清水,使管中水位高出地下水位一定高度或至套管顶部作为初始水头,停止供水并开始记录管内水位变化情况。
7.0.13 波速试验可分为单孔法和跨孔法,尚应符合下列规定:
1 测试孔应垂直,成孔深度宜大于试验深度0.5m~1.0m,采用泥浆护壁成孔后应采用清水洗孔15min~30min;
2 成孔后可直接测试,亦可下套管后测试。当采用成孔后直接测试时孔径应符合检波器直径要求;当采用下套管测试时,成孔孔径应与套管外径相配;下套管时底部宜封闭,套管内宜灌满清水沉入孔内,套管接头应紧固并采取止水措施;套管下至预定深度固定,孔壁与套管的间隙用中粗砂填实或进行灌浆处理;填砂或灌浆一周后,方可进行测试;
3 跨孔法波速试验应有2个或2个以上测试孔,孔位可呈直线或放射状布置,孔距宜为4m。
7.0.14 地面或地下微振动测试,尚应符合下列规定:
1 测点数量应根据工程要求、场地面积及周边环境确定,且不宜少于2点;每个测点应放置1组3个方向相互垂直的拾振器,拾振器宜放置在平整后的天然土层上或指定的测试位置;
2 在孔内测试时,测点深度应根据工程需要确定,应使拾振器紧密地接触孔底或孔壁,同时应在孔口布置一组拾振器,地下及地面同步测试;
3 测点应远离各类干扰源,测试时间应选择在场地环境干扰最低的时间段进行。
8 岩土工程评价
8.1 场地稳定性评价
8 岩土工程评价
8.1 场地稳定性评价
8.1.1 高层建筑岩土工程勘察应查明影响场地稳定性的不良地质作用,评价其对场地稳定性的影响程度。
条文说明
8.1.1 高层建筑其破坏后果是很严重的,因而应充分查明影响场地稳定性的不良地质作用,评价其对场地稳定性的影响程度,不良地质作用主要是指岩溶、滑坡、崩塌、活动断裂、采空区、地面沉降和地震效应等。
8.1.2 对于存在不良地质作用,经技术经济论证能治理的高层建筑场地,应提出防治方案建议。经论证属于滑坡、崩塌、泥石流等地质灾害的危险区域,不应建造高层建筑。
条文说明
8.1.2本条规定了对存在不良地质作用,但危害较小,经技术经济论证能治理且别无选择的地段,可以选做高层建筑场地,但应提出防治方案,采取安全可靠的治理措施。对经论证属于地质灾害的危险区,不应选作高层建筑建设场地。
8.1.3 场地稳定性评价应符合下列规定:
1 应划分对建筑抗震有利、一般、不利和危险的地段,提供建筑场地类别和岩土的地震稳定性评价,对需要采用时程分析法补充计算的建筑,尚应根据设计要求提供有代表性的地层结构剖面、场地覆盖层厚度和有关动力参数;
2 场地内存在浅埋的全新活动断裂和发震断裂时,应按现行国家标准《建筑抗震设计规范》GB 50011提出避让的最小距离;
3 应查明非全新活动断裂的破碎带发育程度,并提出相应的地基处理措施;
4 场地内存在正在活动的地裂缝时,应提出避让距离和采取的措施;
5 在地面沉降持续发展地区,应搜集地面沉降历史资料,预测地面沉降发展趋势,提出高层建筑应采取的措施建议。
条文说明
8.1.3本条提出了高层建筑场地稳定性评价应符合的要求: 1本款系按照现行国家标准《建筑抗震设计规范》GB50011第4.1.9条内容提出; 2本款规定了抗震设防烈度为8度和9度、场地内存在全新活动断裂和发震断裂,其土层覆盖厚度分别小于60m和90m时为浅埋断裂,高层建筑应避开,避让的最小距离应按现行国家标准《建筑抗震设计规范》GB50011的规定确定; 3本款规定对非全新活动断裂的破碎带情况,应查明并采取相应的地基处理措施; 4高层建筑应避开活动地裂缝,在我国西安和山西大同等地区地裂缝活动强烈,地裂缝的安全距离和应采取的措施有地方专门性的勘察和设计规程,可供参照执行; 5关于地面沉降,强调在地面沉降持续发展地区,应搜集已有资料,预测地面沉降发展趋势,提出应采取的措施。
8.1.4 位于斜坡地段的高层建筑,其场地稳定性评价应符合下列规定:
1 高层建筑场地不应选在滑坡体上,对选在滑坡体附近的建筑场地,应对滑坡进行专项勘察,验算滑坡稳定性,论证建筑场地的适宜性,并提出治理措施建议;
2 位于斜坡上的高层建筑,应为设计提供进行高层建筑整体稳定性验算所需的地层剖面和有关计算参数;
3 位于边坡下的高层建筑,应分析评价边坡的整体稳定性及对高层建筑的影响。
条文说明
8.1.4本条是针对位于斜坡地段的高层建筑场地的稳定性评价;滑坡对工程安全具有严重威胁,滑坡能造成重大人身伤亡和经济损失,因此,明确规定高层建筑场地不应选在滑坡体上。拟建场地附近存在滑坡或有滑坡可能时,应进行专门滑坡勘察。
8.1.5 高层建筑场地应选择在对建筑抗震有利地段或一般地段;当不能避开不利地段时,应采取有效的防护治理措施,并不应在危险地段建设高层建筑。
条文说明
8.1.5本条所指的有利地段、一般地段、不利地段和危险地段按现行国家标准《建筑抗震设计规范》GB50011的规定确定,高层建筑场地应选择在抗震有利地段或一般地段,不应选择在抗震危险地段,避开不利地段,当不能避开时,应采取有效措施。
8.1.6 建筑场地类别应根据土层等效剪切波速和场地覆盖层厚度划分;抗震设防烈度为7度~9度地区,应采用多种方法综合判定饱和砂土和粉土(不含黄土)地震液化的可能性,并提出处理措施的建议;6度地区可不进行判别,对液化沉陷敏感的乙类建筑可按7度的要求进行判别。
条文说明
8.1.6本条明确应划分建筑场地类别,对抗震设防烈度为7度~9度地区,均应进行饱和砂土和粉土的液化判别和提出地基处理建议,6度地区可不进行判别。
8.1.7 溶洞和土洞发育地段,应查明基础底面以下溶洞、土洞大小及顶板厚度,研究地基加固措施。
8.1.8 在滨海、滨湖饱和软黏性土地区,应查明软土的时代、成因和物理力学性质,评价大面积挖、填方可能引起软土流动,造成对本工程和周边环境的影响;8度及8度以上地区软弱黏性土应进行震陷判别和危害性分析;均应提出防治建议。
条文说明
8.1.8在滨海、滨湖地区曾发生过大面积填方、软土流动引发工程事故的案例。例如深圳后海湾发生过大面积填方造成新近海积淤泥流动,涌入邻近100余米正在施工的地铁鲤鱼门站基坑内,使基坑失稳;再如2013年云南昆明滇池附近,曾发生大面积填方引起基坑下泥炭质土发生流动,使距填方区60m~70m的建筑小区内数栋正待验收入住的8层建筑产生倾斜,最大顶层位移180mm,远超过允许倾斜0.004的标准。该8层建筑采用直径为400mm的静压预应力管桩,桩长32m,桩端置于稳定的粉土和黏土层上。基底下5m左右有厚约4m的泥炭质土,其w=381%、γ=10.8kN/m3、e=8.75、IL=1.25、标贯N=1.7、静探qc=0.34MPa、fs=24.6kPa,其下还有两层稍好的泥炭质土。在查明原因后,采用隔离桩挡土和顶托纠偏进行了处理。 8度及8度以上地区,软弱黏性土应进行震陷。
8.1.9 在地下采空区,应查明采空区上覆岩层的性质、地表变形特征、采空区的埋深和范围,根据高层建筑的基底压力,评价场地稳定性。
8.2 天然地基评价
8.2 天然地基评价
8.2.1 天然地基分析评价应包括下列内容:
1 评价地基稳定性并提出处理措施的建议;
2 评价地基均匀性;
3 提出地基持力层建议;
4 提供地基持力层和软弱下卧层地基承载力特征值;
5 预测高层和高低层建筑地基的变形特征;
6 对地基基础选型提出建议。
条文说明
8.2.1本条明确了天然地基分析评价应包括的基本内容,本次修订取消了场地稳定性、地下室防水和抗浮以及基坑工程评价,场地稳定性在初勘阶段进行明确评价,而地下室抗浮以及基坑工程的评价内容详见本标准第8.6、8.7节。 1地基稳定性主要是指因地形、地貌或设计方案造成建筑地基侧限削弱或不均衡,而可能导致基础整体失稳;或软弱地基、局部软弱地基如暗浜、暗塘等,超过承载能力极限状态的地基失稳,此时应进行稳定性验算或提请设计进行整体稳定性验算,并提供预防措施建议。 2地基均匀性评价,是地基按变形控制设计的基础,故应根据本标准8.2.3条的规定,对地基均匀性作出定性和定量的评价。 3建议高层建筑地基持力层和基础埋深等内容,以及是否存在软弱下卧层等。 4根据地基条件、地下水条件、高层建筑的设计方案和可能采取的基础类型,采用载荷试验、理论计算、原位测试(静力触探、标准贯入试验、圆锥动力触探、旁压试验)等多种方法,结合地区经验提供各土层的地基承载力特征值。 5预测建筑地基的变形特征,是因高层建筑地基设计主要是按变形控制的设计原则和现行国家标准《岩土工程勘察规范》GB50021强制性条文,要求评价变形特征,包括高层、低层建筑地基的总沉降量、差异沉降、倾斜等。通过变形特征的分析、预测,方可验证所提地基基础方案建议是否真正可行、所提各种变形参数是否切合实际。在已知高层建筑荷载及埋深等条件时,应进行变形特征预测,提供计算沉降的有关参数,具体的评价要求见本标准第8.5节。
8.2.2 天然地基方案应在拟建场地整体稳定性基础上,根据附属建筑、相邻的既有或拟建建筑、地下设施和地基条件可能发生显著变化的影响等情况进行分析论证。
条文说明
8.2.2在工程勘察实践中,只着眼于地基,忽略宏观的场区环境、地基整体稳定性分析评价的情况还不时出现,因此必须引起重视。我国在20世纪80年代以前的“高层建筑”多数为20层以下的单体建筑,基础埋深往往不超过10m,故地基分析的工况相对简单,我国1990年前后颁布的国家或地方标准基本以该时期的资料为依据。20世纪90年代以来,现代城市建设中的高层建筑除高度显著增大,致使基础影响深度加大外,还常包括多层、低层附属建筑,以及纯地下建筑(如地下车库),由此造成建筑地基周围的应力边界条件发生变化;其次,基础埋深的显著增加,在某些地区有可能遇到多层地下水等以前未曾遇到的问题。因此,现代高层建筑的岩土工程分析必须有针对性地分析相关各种条件的变化,在工程分析中考虑其影响,才有可能正确地进行工程判断并提供有效的专业建议。应特别注意的一些明显问题在第8.2.3~8.2.6条中加以指明。
8.2.3 对判定为不均匀的地基,应进行沉降、差异沉降、倾斜等特征分析评价,并应提出相应建议。符合下列情况之一者,应判定为不均匀地基:
1 地基持力层跨越不同地貌单元或工程地质单元,工程特性差异显著。
2 地基持力层虽属于同一地貌单元或工程地质单元,但存在下列情况之一:
1)中—高压缩性地基,持力层底面或相邻基底高程的坡度大于10%;
2)中—高压缩性地基,持力层及其下卧层在基础宽度方向上的厚度差值大于0.05b(b为基础宽度)。
3 同一高层建筑虽处于同一地貌单元或同一工程地质单元,但各处地基土的压缩性有较大差异时,可在计算各钻孔地基变形计算深度范围内当量模量的基础上,根据当量模量最大值 E smax 和当量模量最小值 E smin 的比值判
条文说明
8.2.2在工程勘察实践中,只着眼于地基,忽略宏观的场区环境、地基整体稳定性分析评价的情况还不时出现,因此必须引起重视。 我国在20世纪80年代以前的“高层建筑”多数为20层以下的单体建筑,基础埋深往往不超过10m,故地基分析的工况相对简单,我国1990年前后颁布的国家或地方标准基本以该时期的资料为依据。20世纪90年代以来,现代城市建设中的高层建筑除高度显著增大,致使基础影响深度加大外,还常包括多层、低层附属建筑,以及纯地下建筑(如地下车库),由此造成建筑地基周围的应力边界条件发生变化;其次,基础埋深的显著增加,在某些地区有可能遇到多层地下水等以前未曾遇到的问题。因此,现代高层建筑的岩土工程分析必须有针对性地分析相关各种条件的变化,在工程分析中考虑其影响,才有可能正确地进行工程判断并提供有效的专业建议。应特别注意的一些明显问题在第8.2.3~8.2.6条中加以指明。
定地基均匀性。当 
大于表8.2.3中地基不均匀系数界限值K时,可按不均匀地基考虑。
表8.2.3 地基不均匀系数K界限值

在地基变形计算深度范围内,某一个钻孔的压缩模量当量值 E s 应根据平均附加应力系数在各层土的层位深度内积分值A i 和各土层压缩模量E si (按实际应力段取值)按下式计算:

式中: E s ——压缩模量当量值;
A i ——第i层土的层位深度内平均附加应力系数的积分值。
条文说明
8.2.3虽然地基均匀性判断不是精确的定量分析,而且随着计算机应用和分析软件的普及,差异沉降变形的分析都可方便快捷地进行,但地基均匀性评价仍有其积极的指导作用,尤其是地貌、工程地质单元和地基岩土层结构等条件具有重要的控制性影响,往往会被忽视或轻视。 地基明显不均匀将直接导致建筑的倾斜、影响电梯正常运行,即使采用桩基也发生过明显倾斜问题。 表8.2.3列出的“地基不均匀系数界限值”借鉴了北京地区的一种定性评价地基不均匀性的定量方法,可作为初判地基是否均匀、是否需要进一步做分析沉降变形的依据。该不均匀系数指地基土本身满足规定的勘察精度条件下的土的压缩性不均匀,不包括结构调整、设计计算和施工误差的影响。下面举例进行说明。 案例:地基不均匀系数计算 1设计资料 基础长度4.00m,宽度4.00m,基础埋深2.50m,水位埋深10.00m,基础底面平均压力125kPa。各钻孔地层参数如表3所示。 表3各钻孔地层参数 

2过程计算 先以1号孔为例,计算结果如表4所示。 表4计算结果 

8.2.4 地基承载力应根据岩土工程条件选择适宜的原位测试和室内试验方法,结合理论计算、设计需要和工程经验进行综合评价。特殊土的地基承载力评价应根据特殊土的相关规范和地区经验进行。当需验证地基承载力特征值和变形模量时,宜在大面积开挖卸荷后的基础底面处进行载荷试验。
条文说明
8.2.4因地基破坏模式的问题,目前高层建筑天然地基承载力的确定尚没有固定的模式或方法,因此本标准强调采用多种手段方法进行综合判断。当高层建筑设有多层、低层附属建筑和地下车库时,为减小差异沉降可能采用条形基础或独立基础,此时通过现场试验和对其地基承载力进行验证是很有必要的。 本条强调在当基础埋深较大时,应在大面积开挖卸荷后的基础底面处进行载荷试验的理由详见本标准第3.0.9条第8款的条文说明。
8.2.5 岩石地基应根据现行国家标准《岩土工程勘察规范》GB 50021划分和评定岩石坚硬程度、岩体完整程度、风化程度和岩体基本质量等级,其承载力特征值应按现行国家标准《建筑地基基础设计规范》GB 50007确定。
8.2.6 地基承载力计算应符合下列规定:
1 应验算持力层及软弱下卧层的地基承载力;
2 当高层建筑周边的附属建筑基础处于超补偿状态,且其与高层建筑不能形成刚性整体结构时,应根据由此造成高层建筑基础侧限力的永久性削弱及其对地基承载力的影响进行验算;
3 当拟提高附属建筑部分基底压力,以加大其地基沉降、减小高低层建筑之间的差异沉降时,应同时验算地基承载力及地基极限承载力。
条文说明
8.2.6高层建筑周边的低层一多层附属建筑或纯地下车库的基底平均压力可能显著小于基底标高处的土体自重应力,使地基处于超补偿应力状态,从而造成高层建筑地基侧限(应力边界条件)的永久性削弱。因此,在地基承载力分析(深宽修正)、建筑地基整体稳定性分析时应注意考虑其影响。 如果高层建筑周边的低层裙房跨度不大且与高层建筑有刚性连接,则高层建筑的荷载可以传递到裙房部分,使裙房基底压力接近或大于基底高程处的土体自重压力,计算裙房地基承载力时,应考虑其影响。 地基变形控制是绝大多数高层建筑确定地基承载力的首要原则。通过减小基础尺寸来加大附属建筑物基底压力,从而减小附属建筑与高层建筑之间的差异沉降是工程实践中的一种常规办法,但必须仔细核算其地基的极限承载力,确保地基不会发生强度破坏而导致失稳。
8.2.7 地基承载力特征值f ak 和修正后的地基承载力特征值f a 应按现行国家标准《建筑地基基础设计规范》GB 50007确定。地基承载力特征值f ak 也可按本标准附录B进行估算,采用估算的地基极限承载力f u 除以安全系数K确定。
条文说明
8.2.7本条继续保留了评价计算地基极限承载力的方法,这是因为: 1它符合国际上通行的极限状态设计原则,例如《欧洲地基基础规范》EUROCODE7就规定了承载力系数与本标准完全相同的极限承载力公式;但换算为设计承载能力时,不是除以总安全系数,而是根据材料特性除以分项安全系数γm,对tanφ,γm=1.2~1.25,对c′、cu,γm=1.5~1.8,但计算是采用有效强度c′、φ′; 2对于高层建筑附属裙房或低层建筑的地下室,当采用条形基础或独立基础时,由于其埋深从室内地面高程算起埋深小,此时应验算其极限承载力能否满足要求; 3验算地基稳定性和基坑工程抗隆起稳定性,实质上就是验算地基极限承载力能否满足要求; 4本次修订将安全系数K如何选取放入附录B中。
8.2.8 采用旁压试验(PMT)成果估算岩性均一土层的竖向地基承载力时,可按下列方法进行承载力估算,并应结合其他评价方法综合判定:
1 通过旁压临塑压力估算原位测试深度处地基承载力特征值时,应按下式计算:

式中:f hak ——原位测试深度处均一土层的地基承载力特征值(kPa),在无经验地区,在原位测试深度处用浅层或深层载荷试验验证;
p 0 ——由旁压试验曲线和经验综合确定的土的初始压力(kPa);
p f ——由旁压试验曲线确定的临塑压力(kPa);
λ——修正系数,结合地区经验取值,但不应大于1。
2 通过旁压极限压力估算原位测试深度处地基极限承载力f hu 和原位测试深度处地基承载力特征值f hak 时,可按下列公式计算:

式中:f hu ——原位测试深度处均一土层的地基极限承载力(kPa);
p L ——由旁压试验曲线确定的极限压力(kPa);
K——旁压极限承载力安全系数,根据地区经验在2~4之间选取,且f hak 不高于临塑压力p f 。
条文说明
8.2.8西方国家采用旁压试验进行基础工程评价有较长的时间,不同国家的专家学者也提出过多种方法。但在天然地基承载力和地基沉降计算方面,外国的评价公式主要基于小尺寸的建筑基础,计算方式也较复杂。本规范参照上海地区经验,选择了对极限压力和临塑压力的统计分析方法,与通过国内地基规范确定的地基承载力、载荷试验或已有经验进行对比,提出利用旁压试验结果分析确定均一岩性地层地基承载力标准值的建议。 旁压试验目前在国内使用得还不广泛,但更多地采用原位测试是勘察行业的一个发展方向。原规程JGJ72-2004修订时的统计资料源于上海、西安和北京地区12个在地基条件方面具有一定代表性的工程,尽管在统计规律上具有相似的规律性,但尚缺少西南、华南、东北等地区的代表性试验数据。因此,作为全国性的标准,该分析结果的覆盖面还不是十分充分。有鉴于此,同时考虑地区经验亟待进一步积累和行业发展方向,一是提出具体承载力表的时机还不成熟,二是应鼓励岩土工程师的实践总结、发挥创造性,各地一方面应进一步积累旁压试验资料及工程使用中的经验,另一方面在使用旁压试验时应结合其他测试评价方法,综合验证工程判断。 在根据旁压试验成果的分析应用中,临塑压力法和极限压力法是目前国内常用的确定地基承载力的方法,不同地区在应用中不同程度地积累了一定的经验,如北京已纳入到2009版的北京地方标准《北京地区建筑地基基础勘察设计规范》DBJ11-501(以下简称:“北京规范”)当中,上海已纳入到新修编的上海地方标准《上海市岩土工程勘察规范》DBJ08-37(以下简称“上海规范”)当中。一些行业标准中也有相应的规定或建议。规范修订时也采用了临塑压力法和极限压力法,按照不同岩性、不同地区进行了综合统计分析和比较,也同已有的承载力标准值进行了对比。 条文中的旁压试验曲线上的初始压力p0,临塑压力pf和极限压力pL其物理意义见图3。 1原规程JGJ72-90修订过程中共搜集到上海地区、西安地区、北京地区12项工程的旁压试验资料,全部采用预钻式旁压仪。经筛选分析,纳入计算、统计、比较的旁压数据共278组,涉及的钻孔深度在1m~100m。这些工程的地理位置和测试地层的地貌条件见表5和表6,旁压试验压力随深度变化散点图参见图4~图6。 


2为求得临塑压力计算地基承载力特征值时的修正系数λ和通过旁压极限承载力分析地基承载力特征值时的安全系数K,对三个地区的数据进行统计分析,主要结果如下: 1)上海地区 上海数据分析情况: ①上海规范对旁压试验确定地基承载力已有规定,即对于黏性土、粉土和砂土,λ取值0.9~0.7,K取值2.2~2.7。本次统计结果与上述规定基本吻合。 ②图7~图9为针对不同土类,采用旁压临塑压力和旁压极 图7上海地区黏性土 
图8上海地区粉土 
图9上海地区砂土 
限压力计算结果的对比图。根据对比图,黏性土K在2.2~2.7,粉土和砂土的K值在2.4~3.3左右。 ③从本次统计结果看,根据旁压测试结果确定的上海地区砂土层的承载力较高,主要是由于本次所统计的测试数据相应的地层深度较大。所有统计样本中,小于30m的仅有2组,其余都超过了30m,其中30m~50m的数据为8组,50m以上的数据有33组。由于深层砂土的旁压试验结果值一般均很高,由此计算得出的承载力值也很高,因此除根据旁压测试外,尚应结合其他方法和地区经验综合确定承载力。 2)西安地区 西安地区资料中的粉土测试数据较少且不够完整,故仅选取黏性土和砂土进行分析。 西安数据分析情况: ①从西安地区3个工程52组试验结果看,采用旁压试验确定地基承载力的规律性较好,黏性土承载力特征值在100kPa~500kPa,与《地基基础设计规范》GBJ7给出的黏性土承载力基本值的范围值基本一致。因此根据旁压临塑压力(取λ=1)直接确定承载力特征值是可行的,根据旁压极限压力确定承载力特 图10西安地区黏性土 
图11西安地区砂上 
征值时,K可取值为2.7左右。 ②两安地区的砂土样本较少,并且与北京和上海地区相比较,测试深度浅,在4m~5m以内,由此得出的承载力也低得多。 3)北京地区 ①黏性土见表7。 表7北京地区黏性土统计分析表 
②粉土见表8。 表8北京地区粉土统计分析表 
③砂土见表9。 表9北京地区砂土统计分析表 
北京数据分析情况: ①所搜集整理北京地区旁压试验资料的成果以极限压力pL和初始压力p0为主,因此本次计算和统计分析主要是对极限压力法的验证和评估。 ②通过统计分析,北京地区旁压试验压力和由此确定的承载力特征值都具有明显的差异性。以pL—p0的结果为例: 对于黏性土以pL—p0=1400kPa为界,小于和大于1400kPa的统计样本的标准差基本相当(表7); 对于粉土以pL—p0=1900kPa为界,小于和大于1900kPa的统计样本集合的标准差基本相当(表8); 同样,对于砂土在pL—p0=4000kPa处也可分为2个统计集合,且各统计指标相差超过2倍。 由于在同样安全系数K条件下,过大的pL—p0值将使计算得出的承载力过高,且同北京地区已有的承载力评价经验相差过大,因此本次仅统计分析pL—p0小于界限值的样本。 ③对于北京地区砂土,将统计结果同本地区所积累的砂土承载力相比较,即使安全系数K为3.6时,根据旁压试验所得到的承载力仍然较高。由于北京地区砂土承载力是在定量控制地基差异沉降的条件下确定的,因此,在根据旁压试验确定承载力并严格控制地基差异沉降时,砂土地基需要较高的安全系数K。 ④按上述原则统计得到的K值与本次统计的上海及西安地区的结果基本一致。 3综合上海、西安、北京三地资料,对不同岩性进行统计对比情况如表10~表12所示。 表10黏性土综合对比表 
表11粉土综合对比表 
表12砂土综合对比表 
由(pL—p0)/(pf—p0)得出K值的统计结果可比性较强,表明各地旁压曲线p0、pf和pL之间的比例关系是基本一致的。 根据计算统计结果、已有的工程经验,建议在根据旁压试验极限压力分析地基承载力特征值时,不同土层岩性的K值范围值参见表13。由于统计工程的基础设计资料不完整,无法正确分析深宽修正后的地基承载力特征值fa,因此上述K值不得低于2,并应根据各地情况、经验和其他评价方法不断总结,综合确定地基承载力。 表13极限承载力安全系数K取值建议 
北京规范对临塑修正系数(相当于λ)规定为0.7~1.0,上海规范对临塑修正系数规定为0.7~0.9。因缺少对比资料,未对λ的取值进行分析,但认为按照不大于1计算是合理和安全的。 采用临塑压力法及极限压力法估算地基承载力特征值的方法可行,计算结果基本合理,说明旁压试验是综合评价地基承载力的一种有效方法之一,但在具体工程应用中,应采用多种不同方法进行对比分析,并积累各地区的地区经验。 除对地基承载力的确定的分析外,原计划研究各地Em的统计规律,并通过计算来验证估算沉降的适用性。但由于所搜集的资料中,具体的建筑荷载、基础尺寸和埋深不甚清楚,更缺少必要的沉降观测数据,同时各地勘察资料中的常规压缩模量的试验方法也不统一,无法进行有效的归类统计分析,故放弃了采用旁压试验结果直接或间接估算天然地基沉降的方法的研究。 本次修订对该条条文中的fak名称作了修改,对条文说明作了补充: 1在本标准修订送审稿审查会上有的专家提出:按照旁压试验原位测试深度所测得的临塑压力pf或极限压力pL与根据土物理力学性质指标按国内原地基规范查表、载荷试验或地区经验所求得的地基承载力,进行对比统计分析获得的承载力特征值与现行地基规范所定义的fak不能完全等同,前者为横向加荷,后者为竖向加荷。原《上海地基基础设计规范》DGJ08-11-1999叫“不同埋深处地基土的承载力”,《北京地区建筑地基基础勘察设计规范》DBJ11-501-2009叫“地基承载力标准值fka”,本标准改称为:“旁压试验原位测试深度处的地基承载力特征值fhak,并要乘以小于1的修正系数,才能等同于fak”。fhak可用作估算浅基础持力层承载力特征值fak的方法之一,按现行国家标准《建筑地基基础设计规范》GB50007规定,当基础宽度大于3m,或埋置深度大于5m时,由载荷试验或其他原位测试、经验值等方法确定的fak值尚应进行深宽修正,故fhak亦应进行深宽修正。 fhak还可直接作为桩和扩底桩的端阻力特征值Rpk,Rpk=qpk/2(qpk为极限端阻力标准值),由于桩、扩底桩等属于深基础,而深基础的承载力,不应按浅基础承载力的理念进行深、宽修正,故fhak可直接作为端阻力特征值,不进行深宽修正。 2根据卞昭庆“赴美岩土工程考察报告”(1985年9月~10月,原载孙宏伟主编《岩土工程进展与实践案例选编》,中国建筑工业出版社,2016年9月第1版)介绍了美国STS公司咨询报告为芝加哥市900号工程利用旁压试验成果评价持力层承载力的案例,900号工程位于芝加哥市北密芝安大街,为一65层的塔式大楼,周围是5层裙楼,塔楼地下室3层,底板位于地面下10m,塔楼两根最重柱荷载为52MN,其他柱为22.7MN~36.3MN,裙楼柱荷载为6.8MN~13.6MN。 美国STS公司岩土工程咨询报告建议塔楼基础形式为钻孔扩底墩,扩底墩筑在⑤层硬盘上,硬盘层面深度26m~27m,层底深度30m~33m,硬盘为砂质黏土、粉土和粉质黏土互层。硬盘是指坚硬、不透水、塑性高的土,胶结物不易溶解,直接掺水不会成为塑体。硬盘的最大净承载力为1465kPa(即由墩底传到地基的压力,不计土的自重,不做深度修正)。咨询报告还提出一个扩底桩的较浅深度的方案,即置于地面下,18m~22m的④层坚硬的粉质黏土上,④层为粉质黏土,坚硬至很硬,低塑的含水量w=13%~15%,高塑的w=35%,①层层底深度为24m~26m。其净承载力为500kPa。对基桩的沉降估算为1.9cm~4.5cm,桩间沉降差为6mm~13mm。 考察报告估计:⑤层和④层的净承载力是根据大量旁压试验成果得到的,例如第⑤层硬盘,旁压试验实测临塑压力pf平均值为1680kPa,极限压力pL平均值为3580kPa,而采用的净承载力为1465kPa,为pf值的87%(即修正系数λ为0.87),或pL除以2.45的安全系数;而第④层坚硬粉质黏土,旁压临塑压力pf平均值为780kPa,极限压力pL平均值为1470kPa,采用的净承载力为500kPa,为pf值的65%(即修正系数λ为0.65),或pL除以3。考察报告认为在美国旁压试验确定承载力的方法主要是以pL除以2.5~3,同时不得大于pf值。另在美国不考虑初始压力p0值(在原位测试总表中,不出现p0值)。 从以上对比可以看出,美国利用旁压试验测试数据估算地基承载力的方法和取值,与国内方法是大致相同的,他们用的安全系数略小,但他们不减去初始压力p0值。
8.2.9 当场地、地基整体稳定且持力层为完整、较完整的中等风化、微风化岩体时,可不进行地基变形验算。其他地基的最终沉降宜按现行国家标准《建筑地基基础设计规范》GB 50007规定的方法计算,也可按本标准规定的其他计算方法,并应根据后期地面填方和相邻建设工程的影响进行地基沉降预测。
条文说明
8.2.9当场地、地基整体稳定,高层建筑建于完整、较完整的中等风化一微风化岩体上时,可不进行地基变形验算,但岩溶、断裂发育等地区应仔细论证。
8.2.10 对不能准确取得压缩模量的地基土,包括碎石土、砂土、花岗岩残积土、全风化岩、强风化岩等,可按本标准附录C采用变形模量E 0 分别估算高层建筑箱形或筏形基础及扩展基础或条形基础的地基沉降量。
条文说明
8.2.10关于按变形模量E0计算地基沉降列入附录C,现对有关问题作如下说明: 1本次修订取消了粉土,是按照目前的勘察技术水平,认为粉土是可以采取原状土样的。 2公式(C.0.1)是计算筏形和箱形基础地基最终沉降量的公式,它是由苏联K.E叶戈洛夫提出(见П.Г库兹明《土力学讲义》,高等教育出版社,1959),该式的沉降应力系数是按刚性基础下,考虑了三个应力分量(σx、σy和σz)而得出,因而土的侧胀受一定条件的限制。高层建筑的箱形或筏形大基础,在与高层建筑共同作用下刚度很大,因而用该式计算沉降是合适的。由于是按刚性基础计算而得,计算所得地基沉降是平均沉降。对于一些不能准确取得压缩模量Es值的岩土,如碎石土、砂土、含碎石、砾石的花岗岩残积土、全风化岩、强风化岩等,均可按本式进行计算。根据大量工程对比,计算结果与实测沉降比较接近,作为对国家标准《建筑地基基础设计规范》GB50007的补充列入本标准。 3按公式(C.0.1)计算时,采用基底平均压力p,而不是用附加压力p0,这是考虑高层建筑的筏形、箱形基础埋置深,往往处于补偿或超补偿状态,即p0很小,甚至p0<0,出现负值,但在平均压力p作用下并非不发生沉降,且往往会超过回弹再压缩量,按p值计算结果与实测沉降接近。 4关于地基变形模量E0值,各地区对各类土都进行过大量载荷试验,或用标准贯入试验击数N与E0值(广东省标准、深圳市标准《地基基础设计规范》),或圆锥动力触探击数N63.5与E0建立了经验关系(辽宁省标准《建筑地基基础设计规范》),且国内许多岩土工程勘察单位均可按设计要求提供E0值。各地区可建立本地区的经验关系式,或建立本地区的沉降经验系数ψs。 5关于沉降计算深度zn=(zm+ξb)β,是根据建研院何颐华先生《大基础地基压缩层深度计算方法的研究》一文而提出,该式的特点是考虑了土性不同对压缩层的影响,其计算的zn值与实测压缩层深度作过对比,并作过修正。按表C.0.2-2确定β值时,若地基土为多层土组成时,首先按zn=(zm+ξb)确定其沉降计算深度,再按此深度范围内各土层厚度加权平均值确定β值。 而沉降计算深度zn=b(2.5—0.41nb),是国家标准《建筑地基基础设计规范》GB50007以实测压缩层深度zn与基础宽度b的比值关系分析统计而得,由于均是按实测压缩层深度分析后得到的,应该比较符合实际,故予列入,但经对比,后者较前者为深,在实际工程中需要考虑更为安全,可按后者计算。 6本次修订在附录C中增加了扩展基础、条形基础用变形模量E0计算最终沉降量的公式(C.0.3-1)、公式(C.0.3-2),该公式在深圳花岗岩残积土用过近30年,实践证明计算值与实测值非常接近。但将该公式引入本标准时,对第i层的附加压力p0i的计算略作改动,即将p0i为“基底附加压力在i层土的顶面和底面所产生的附加压力之和的一半”改为现通行的“第i层中点处的附加压力”。对于其他岩土,只要是变形模量E0取值合适,应该是适用的。
8.2.11 当地基由饱和土层组成且次固结变形忽略不计时,根据Ⅰ级土样的标准固结试验结果,可采用下列计算方法分层预测超固结土、正常固结土和欠固结土的基础沉降,然后合计估算总沉降,并结合地区经验进行修正和判断:
1 利用标准固结试验测求土的回弹再压缩指数(C r )、压缩指数(C c )、初始孔隙比(e 0 )和先期固结压力(p c ),根据先期固结压力p c 与土的有效自重压力p z 的比值——超固结比OCR,确定土的固结状态。当超固结比OCR<1.0时,为欠固结土;当OCR为1.0~1.2时,可视为正常固结土;当OCR>1.2时,可视为超固结土。
2 超固结土的固结沉降量可按下列规定估算:
1)当超固结土层中的p 0i +p zi ≤p ci 时,该层土的固结沉降量可按下式估算:

式中:s i ——第i层土的固结沉降量(mm);
h i ——第i层土的平均厚度(mm);
e 0i ——第i层土的初始孔隙比平均值;
G ri ——第i层土的回弹再压缩指数平均值;
p zi ——第i层土的有效自重压力平均值(kPa);
p 0i ——对应于荷载效应准永久组合时,第i层土有效附加压力平均值(kPa);
p ci ——第i层土的先期固结压力平均值(kPa)。
2)当超固结土层中的p 0i +p zi >p ci 时,该层土的固结沉降量可按下式估算:

式中:C ci ——第i层土的压缩指数平均值。
3 当为正常固结土时,该层土的固结沉降量可按下式估算:

4 当为欠固结土时,该层土的沉降量可按下式估算:

5 整个沉降计算深度内的总沉降量应为各土层沉降量之和。沉降计算深度对于中、低压缩性土应算至有效附加压力等于上覆土有效自重压力20%处,对于高压缩性土应算至有效附加压力等于上覆土有效自重压力10%处。当无相邻荷载影响时,亦可按本标准附录C计算沉降量。
条文说明
8.2.11通过标准固结试验指标、考虑土的应力历史计算土层的固结沉降是饱和土地区和国际上习惯的主要方法之一,为促进取样技术水平和土样质量的提高,满足国外设计企业越来越多地进入中国建设市场的需要,有必要继续采用该评价方法。 由于在瞬时(剪切变形)变形和次固结变形的评价方面,尚无统一的普遍适合各地区的方法,故本标准仅限于以主固结为主的地基条件。 关于正常固结的确定,不同学者的观点和考虑不尽相同(OCR=1~2)。综合考虑后按OGR略高于理论值(以1.0~1.2)确定,并结合地区经验进行修正和判断,但在工程实践中,首要的影响因素是取样的质量(包括取样、包装、防护和运输条件)。
8.2.12 高层建筑整体倾斜宜结合建筑物荷载分布和地层分布情况进行分析。
条文说明
8.2.12实际工程中对倾斜的预测与很多因素有关,如地层分布、建筑荷载分布(包括大小和平面分布)及基础结构刚度、施工顺序等。由于近年计算机性能的快速提高和相关商业化软件的增多,可以在勘察阶段的沉降计算分析中考虑地层条件与建筑荷载条件,以较快捷地计算不同地层条件与荷载分布情况下基底不同位置的沉降。按照统计实测资料,结构刚度不同的基础整体挠度约在万分之一至万分之四,对沉降值影响较大,但对建筑整体倾斜的影响与地层及荷载的分布相比较小,故根据角点地基沉降计算建筑物整体倾斜可以作为一种判断的方法。重要的是要采用合理划分的地层及相关参数,在计算中考虑建筑荷载的分布(包括相邻建筑影响)。对建筑物整体倾斜的计算结果,应在与地区实测资料进行对比的基础上进行判断。
8.3 桩基评价
8.3 桩基评价
8.3.1 桩基工程分析评价宜具备下列条件:
1 了解工程结构的类型、特点、荷载情况和变形控制等要求;
2 掌握场地的工程地质和水文地质条件,了解岩土体的非均质性、随时间延续的增减效应以及土性参数的不确定性;
3 了解分析地区经验和类似工程的经验;
4 缺乏经验地区通过设计参数检验和施工检验取得实测数据,调整和修改设计和施工方案。
条文说明
8.3.1主要提出桩基工程分析评价及计算所需的基本条件以及主要工作思路,特别指出土体的不均匀性、软土的时间效应和不同施工工况造成土性参数的不确定性的特点,强调搜集类似工程经验的重要性。
8.3.2 桩基评价应包括下列内容:
1 提出桩型和桩端持力层的建议;
2 提供建议桩型的侧阻力、端阻力和桩基设计其他岩土参数;
3 对沉(成)桩可能性、桩基施工对环境影响进行评价。
条文说明
8.3.2本条是对桩基分析评价的主要内容提出了要求。其中第1~3款均为基本内容,一般勘察报告均应包括。
8.3.3 当任务需要时,可对下列内容进一步评价或提出专门的工程咨询报告:
1 估算单桩、群桩承载力和桩基沉降量;
2 对各种可能的桩基方案进行技术经济分析比选,并提出建议;
3 对欠固结土和有大面积堆载的桩基,分析桩侧产生负摩阻力的可能性及其对桩基承载力的影响并提出相应防治措施的建议;
4 当持力层为倾斜地层、层面起伏大或岩土中有洞穴时,评价桩的稳定性,并提出处理措施的建议。
条文说明
8.3.3当任务需要且具备条件时,提倡按岩土工程要求进行桩基分析、评价和计算。分析评价中应结合场地的工程地质、工程性质以及周围环境等条件,做到重点突出、针对性强、评价结论有充分依据、确切合理、提供建议切实可行。
8.3.4 桩端持力层选择应符合下列规定:
1 持力层宜选择层位稳定、压缩性较低的可塑—坚硬状态黏性土、中密以上的粉土、砂土、碎石土和残积土,以及不同风化程度的基岩;不应选择在可液化土层、湿陷性土层或软土层中;
2 当存在软弱下卧层时,桩端以下硬持力层厚度宜超过3倍桩径;扩底桩的持力层厚度宜超过3倍扩底直径,且均不宜小于5m。
条文说明
8.3.4当存在连续沉积、层位稳定的多层持力层,可合并作为复合持力层,并应满足进入持力层深度及持力层厚度要求。本条第2款当存在软弱下卧层时,持力层厚度的规定,是按照现行行业标准《建筑桩基技术规范》JGJ94作出的规定。
8.3.5 桩型选择应根据工程性质、地质条件、施工条件、场地周围环境及经济指标等综合确定,并应符合下列规定:
1 当持力层顶面起伏不大、坡度小于10%、周围环境允许且沉桩可能时,可采用钢筋混凝土预制桩;
2 当荷载较大,桩较长或需穿越一定厚度的坚硬土层,需选用较重的锤,锤击过程可能使桩身产生较大锤击应力时,宜采用预应力桩;或经方案比较,证明技术可行、经济合理时,也可采用钢桩;
3 当土层中有难以清除的孤石或有硬质夹层、岩溶地区或基岩面起伏大的地层,均不宜采用钢筋混凝土预制桩、预应力桩和钢桩,可采用钢筋混凝土灌注桩;
4 在基岩埋藏相对较浅,单柱荷载较大时,宜采用嵌岩钢筋混凝土灌注桩;
5 当场地周围环境保护要求较高、采用钢筋混凝土预制桩或预应力桩难以控制沉桩挤土影响时,可采用钢筋混凝土灌注桩或压入式H型钢桩。
8.3.6 当挤土桩需贯穿的岩土层中分布有一定厚度的或需进入一定深度的坚硬状态黏性土、中密以上的粉土、砂土、碎石土和全风化、强风化基岩时,应从下列因素综合考虑其沉桩的可能性:
1 各岩土组成的力学特性;
2 桩的结构、强度、形式和设备能力;
3 类似工程经验等;
4 在工程桩施工前进行沉桩试验,测定压入桩贯入阻力及打入桩总锤击数、最后1m锤击数及贯入度;
5 在打入桩沉桩过程中进行高应变动力法试验,测定打桩过程中桩身压应力和拉应力,根据试验结果评定沉桩可能性、桩进入持力层后单桩承载力的变化以及其他施工参数。
条文说明
8.3.6关于判断沉桩可能性,是桩基分析中常遇到的问题,如何分析评价,是一个复杂的问题,有岩土组成的力学特性、桩身强度、沉桩设备等诸多因素,一般宜在工程桩施工前进行沉桩试验,测定贯入阻力(指压入桩),总锤击数、最后1m锤击数及贯入度(指打入桩)或在沉桩过程中进行高应变动力法试验(指打入桩),测定打桩过程中桩身压应力和拉应力等,以评定沉桩可能性、桩进入持力层后单桩承载力的变化以及其他施工参数。 近年来沉桩工艺有所改变,大能量D80、D100柴油锤在工程中使用较多,常用的柴油锤性能及使用桩型等可参考表14。 除常规的采用打入式外,在一些大城市采用静力压桩工艺沉桩,其优点避免了锤击沉桩的噪声、振动,同时由于目前压桩机械的改进和压桩能力提高,在上海等一些地区已有900t的全液压静力压桩机,部分液压静力压桩机的主要参数可参考表15。 表14锤重选择参数表 
表15液压静力压桩机的主要技术参数 

8.3.7 沉(成)桩对周围环境的主要影响分析评价宜包括下列内容:
1 锤击沉桩产生的多次反复振动,对邻近既有建(构)筑物及公用设施等的损害;
2 对饱和黏性土地基宜分析评价大量、密集的挤土桩或部分挤土桩对邻近既有建(构)筑物和地下管线等造成的影响;
3 大直径挖孔桩成孔时,分析评价松软地层可能坍塌的影响、降水对周围环境影响以及有毒、有害或可燃气体对人身安全的影响;
4 灌注桩施工中产生的泥浆对环境的污染。
8.3.8 挤土桩和部分挤土桩可根据工程和周围环境条件,选择下列一种或几种措施减少沉桩影响:
1 合理安排沉桩顺序;
2 控制沉桩速率;
3 设置竖向排水通道;
4 在桩位或桩区外预钻孔取土;
5 设置防挤沟等。
条文说明
8.3.7、8.3.8这两条主要考虑高层建筑在城市施工中沉(成)桩对周围环境的影响以及相应的防治措施,也是目前城市环境岩土工程中所需要分析评价和治理的问题。需要指出的是,由于人工挖孔桩存在受地质条件限制、工人劳动强度大、危险性高、大量抽水容易造成周边建筑损害等缺陷,各地已逐步限制使用人工挖孔桩。
8.3.9 单桩承载力应通过现场静载荷试验确定。估算单桩承载力时应结合地区的经验,采用静力触探试验、标准贯入试验或旁压试验等原位测试结果进行计算,并根据地质条件类似的试桩资料综合确定。单桩竖向承载力特征值R a 可按下式确定:

式中:R a ——单桩竖向承载力特征值(kN);
Q u ——单桩竖向极限承载力(kN);
K——安全系数,按本标准所列计算式所估算的Q u 值,均可取K=2。
条文说明
8.3.9单桩承载力应通过现场静载荷试验确定。采用可靠的原位测试参数进行单桩承载力估算,其估算精度较高,并参照地质条件类似的试桩资料综合确定,能满足一般工程设计需要;在确保桩身强度不破坏的条件下,试桩加载尽可能至基桩极限承载力状态。 基桩在荷载作用下,由于桩长和进入持力层的深度不同,其桩侧阻力和桩端阻力的发挥程度是不同的,因而桩侧阻力特征值和桩端阻力特征值,并非定值。且单桩承载力特征值,无论是从理论上或从工程实践上,均是以载荷试验的极限承载力为基础,因此,本标准只规定了估算单桩极限承载力的公式,并规定按极限承载力除以总安全系数K的常规方法来估算单桩竖向承载力特征值Ra,即公式(8.3.9),按本标准所提出公式估算Ra时,其K值均可取2。 目前高层建筑基础愈来愈深,大面积开挖卸荷后,基础底面以下桩周围压将随卸荷深度的增加而降低,加之卸荷后地基受到回弹、鼓胀、松弛的影响,桩周侧阻力亦将有不同程度的降低,基础埋深越大,卸荷越多,桩侧阻力降低越多,当基础埋深较大时,单桩承载力载荷试验宜在基础底面处进行。
8.3.10 当以静力触探试验确定预制桩的单桩竖向极限承载力时,可按现行行业标准《建筑桩基技术规范》JGJ 94估算。
条文说明
8.3.10采用静探方法确定单桩极限承载力,被勘察人员和设计人员广泛使用,其估算值与实测值较为接近,可按现行行业标准《建筑桩基技术规范》JGJ94进行估算。需要指出,对大直径开口型预制桩应按相关规定考虑桩端闭塞效应。为避免与现行行业标准JGJ94重复,取消了原规程JGJ72-2004附录C。
8.3.11 当根据标准贯入试验结果,确定预制桩、预应力管桩、沉管灌注桩的单桩竖向极限承载力时,可按本标准附录D估算。
条文说明
8.3.11对于高层、超高层建筑,桩埋置较深,当持力层为硬质黏性土、粉土、砂土、碎石土、全风化岩和强风化岩时,除黏性土外均很难取得不扰动土样、通过室内试验求得其压缩性、密实性等工程特性指标,而标准贯入试验是国际上通用的测试手段,在国内已有相当丰富的经验,因此原规程提出用标准贯入试验锤击数与打入、压入预制桩各类岩土的极限侧阻力和极限端阻力建立关系,避免了取土扰动和不能取得不扰动试样的影响。但原2004规程由于按标贯实测击数对黏性土状态的分档和对粉土密实度的分档不合适,致使所计算的侧阻力偏低,本次修订对原分档进行了修改,且经实际工程数据进行了验证后列入了本标准,详见附录D及其条文说明。 国内外早有人提出了用标准贯入试验锤击数计算单桩极限承载力的公式,如Meyerhof(1976)提出的公式见《加拿大岩土工程手册》和我国贾庆山提出的公式。但这些公式经核算侧阻力计算结果明显偏小,端阻力未考虑随深度增加的影响,本标准未予采纳。
8.3.12 对嵌入中等风化和微风化岩石中的嵌岩灌注桩,可根据岩石的坚硬程度、单轴抗压强度和岩体完整程度,按下式估算单桩极限承载力:

式中:Q u ——嵌入中等风化、微风化岩石中的灌注桩单桩竖向极限承载力(kN);
u s 、u r ——分别为桩身在土、全风化、强风化岩石和中等、微风化岩石中的周长(m);
q sis 、q sir ——分别为第i层土、岩的极限侧阻力(kPa),q sis 可按现行行业标准《建筑桩基技术规范》JGJ 94确定,q sir 可按表8.3.12经地区经验验证后确定;
q pr ——岩石极限端阻力(kPa),应按本标准附录E大直径桩端阻力载荷试验要点确定,岩石极限侧阻力宜用载荷试验确定,当无条件进行载荷试验时,可按表8.3.12经地区经验验证后确定;
h ri ——桩身全断面嵌入第i层中风化、微风化岩石内长度(m);
A p ——桩底端面积(m 2 )。
表8.3.12 嵌岩灌注桩岩石极限侧阻力、极限端阻力经验值

注:1 表中极限侧阻力和极限端阻力适用于孔底残渣厚度为50mm~100mm的钻孔、冲孔、旋挖灌注桩;对于残渣厚度小于50mm的钻孔、冲孔灌注桩和无残渣挖孔桩,其极限端阻力可按表中数值乘以1.1~1.2取值;
2 对于扩底桩,扩大头斜面及斜面以上直桩部分1.0m~2.0m不计侧阻力(扩大头直径大者取大值,反之取小值);
3 风化程度愈弱、抗压强度愈高、完整程度愈好、嵌入深度愈大,其侧阻力、端阻力可取较高值,反之取较低值,也可根据f rk 值按内插法求取;
4 对于软质岩,单轴极限抗压强度可采用天然湿度试样进行,不经饱和处理。
条文说明
8.3.12本条所称嵌岩灌注桩系指桩身下部嵌入中等风化、微风化岩石一定深度的挖孔、冲孔、钻孔、旋挖形成的钢筋混凝土灌注桩。原规程公式是在《建筑桩基技术规范》JGJ94-94基础上确定的,现行《建筑桩基技术规范》已进行了修订,其中嵌岩段侧阻力系数和端阻力系数作了调整,并简化合并为侧阻和端阻综合系数ζr。为保持各规范之间一致性,本条表8.3.12的取值作了调整,调整后的数据,经试算对比与按现行行业标准《建筑桩基技术规范》JGJ94-2008计算结果基本一致。 本次修订表8.3.12的具体修改及与JGJ94-2008计算结果对比如下: 1考虑到实际工程中,到目前为止,尚无将桩端持力层一定要求要放在“未风化”和单轴抗压强度frk>60MPa的岩石上,且目前灌注桩桩身混凝土强度等级均采用C60以下,而C60混凝土轴心抗压强度设计值fc为27.5MPa,轴心抗压强度标准值frk为38.5MPa。为此,本次修订取消了原规程(JGJ72-2004)“未风化”和“60<frk≤90”、“(坚硬岩)、完整”一栏; 表16桩径d=2m时,《桩规》与《高标》嵌岩桩总极限阻力Qu对比 
2根据本标准(以下简称“《高标》”)公式(8.3.12)估算嵌岩桩单桩极限承载力与修订后的行业标准《建筑桩基技术规范》JGJ94-2008(以下简称“《桩规》”)嵌岩桩按该规程公式(5.3.9-1)~公式(5.3.9-3)计算的极限承载力对比分析结果,将“较软岩”qpr由9000kPa~18000kPa调整为9000kPa~16000kPa,将“较硬岩”一栏qpr由18000kPa~36000kPa调整为16000kPa~32000kPa; 3为验证本标准按公式(8.3.12)和表8.3.12所规定的qsir和qpr值估算的单桩竖向极限承载力的合理性,与现《桩规》对比如下: 设桩径为2.0m、直桩、不扩底。 按《桩规》计算时,用Qrk=ζrfrkAp计算; 按本标准计算时,用
对比结果见表16。 从表16对比结果可以看出: 1)两本规范的计算来自不同的途径,但其计算结果是接近的,尤其是当深径比η由0~4时,《桩规》①较《高标》②略大,①/②比值的平均值,当frk分别为5、15、30、60MPa时,依次为1.051、1.093、1.000和1.052;当η由5~8时,《桩规》①较《高标》②为小,且随深径比的增大,①/②比值越来越小,当frk为5MPa时,①/②平均值为0.769;frk为15MPa时,①/②平均值为0.835,但《高标》计算结果仍是安全的; 2)实际工程中深径比η>4者,较少,常用灌注桩桩径为1m~2m,要将桩嵌入中风化、微风化内5m~10m者,更少; 3)总的来看,在勘察期间用公式(8.3.12)和表8.3.12估算嵌岩桩单桩承载力是偏于安全和合理的; 4)现行《桩规》计算Qrk公式的综合修正系数ζr是将嵌岩段原侧阻力系数ζs和端阻力系数ζp经归整合并而得(见《桩规》5.3.9条条文说明),理论上是合理的,但这只适合嵌岩为同一岩性,即嵌岩段全为中风化岩或全为微风化岩的情况。而实际工程中,要以微风化岩作为桩端持力层时,必然要穿过中风化岩,此时,只有采用侧阻力与端阻力分开计算,求其总和,才能获得合理的结果,本标准的计算公式是按此表达的。
8.3.13 预制桩的桩周土极限侧阻力q sis 可根据旁压试验曲线的极限压力p L 按表8.3.13确定;桩端土的极限端阻力q ps 可按下列公式估算:

当为钻孔灌注桩时,其桩周土极限侧阻力q sis 可按预制桩的70%~80%采用;桩的极限端阻力q ps 可按预制桩的30%~40%采用。
表8.3.13 预制桩的桩周极限侧阻力q sis

注:1 表中数值可内插;
2 表中数据对无经验的地区应先进行验证。
条文说明
8.3.13旁压试验方法既能获得土的强度特性,还可测得土的变形特性,其结果常常能直接用来预测地基土强度、变形特性,且适用性较广,采用旁压试验估算单桩垂直极限承载力在国外应用已相当普遍,法国1985年(SETRA-LCPC1985)规程中建议的方法较为适用,经适当修改,可估算桩极限侧阻力和桩极限端阻力标准值。 本次收集了上海地区近30项资料,通过旁压试验方法与静探方法得到的单桩极限承载力估算值(样本数342组)并与部分单桩静载荷试验实测值(样本数79组)比较,结果详见图12~图14。 图12实测值与旁压试验方法比较(样本数79组) 
图13静力触探方法与旁压试验方法计算结果比较(样本数342组) 
图14采用旁压试验方法估算单桩极限承载力的相对误差频图 
(以上摘自上海岩土工程勘察设计研究院负责市建设技术发展基金会科研项目《上海地区密集群桩沉降计算与承载力课题研究报告》) 由图表明:旁压试验成果估算单桩极限承载力与静力触探试验方法相比,其估算精度相当,与试桩结果相比,其相对误差一般小于15%,接近试桩的实测值。
8.3.14 详细勘察阶段,桩基沉降验算宜根据工程性质及设计要求,按现行国家标准《建筑地基基础设计规范》GB 50007计算最终沉降量,亦可在取得地区经验后用有关原位测试参数按本标准附录F估算。
8.3.15 对需估算桩基最终沉降量的高层建筑,应提供土试样压缩曲线、地基土在有效自重压力至有效自重压力加附加压力之和时的压缩模量E s 。对无法或难以采取不扰动土样的土层,可在取得地区经验后根据原位测试参数按本标准附录F表F.0.2换算土的压缩模量E s 值。
8.4 复合地基评价
8.4 复合地基评价
8.4.1 勘察等级为乙级的高层建筑采用复合地基方案时,应符合本节的规定,勘察等级为甲级的高层建筑拟采用复合地基方案时,尚应进行充分论证。
条文说明
8.4.1国内复合地基方案已用于35层建筑的地基处理,但对复合地基仍存在研究不够、理论滞后的问题(工作机理、沉降分析、抗震性能等)。个别工程存在以下现象:竣工后沉降量较大,不均匀沉降,抗震性能研究甚少,桩身混凝土难以保证达到较高的设计强度等级等,因此复合地基方案仍有待于不断总结工程经验和提高理论分析水平,目前将复合地基的适用范围限制在勘察等级为乙级和部分甲级的高层建筑是必要的。 对勘察等级为甲级的高层建筑拟采用复合地基方案时,需极其谨慎,其增强体的类型应建议采用刚性桩。复合地基的勘察、试验、设计、施工等各方应紧密配合,宜按以下程序进行: 1根据高层建筑上部结构对复合地基承载力、变形的要求,以及建筑场地工程地质和水文地质条件,设计应首先明确加固目的、加固深度和范围; 2根据场地工程地质和水文地质条件、环境条件、机具设备条件和地区经验,选择合适的增强体(桩体)、增强体直径、间距及持力层等,作出复合地基方案设计; 3宜选择代表性地段采用复合地基载荷试验进行设计参数检验,以确定复合地基承载力特征值和变形模量等有关参数;在无经验地区尚宜进行不同增强体、不同间距的试验; 4根据设计参数检验结果优化、修改设计方案后,再进行施工; 5施工中应按设计要求或指定的规范进行监测、检验工作,并根据反馈信息对原设计进行补充或修改; 6施工完成后应按设计要求或指定的规范进行验收检测工作。
8.4.2 高层建筑岩土工程勘察中复合地基评价应包括下列内容:
1 根据设计条件、工程地质和水文地质条件、环境及施工条件,对复合地基增强体的类型和提出建议;
2 提供桩间土天然地基承载力特征值和增强体桩侧、桩端阻力特征值等有关复合地基承载力设计及变形分析所需的计算参数;
3 建议增强体的加固深度及桩端持力层;
4 建议桩端进入持力层的深度;
5 提供地下水的埋藏条件和腐蚀性评价,对淤泥和泥炭土应提供有机质含量,分析对复合地基桩体的影响,并提出处理措施和建议;
6 对复合地基设计参数检验和设计、施工中注意的问题提出建议;
7 对复合地基的检验、监测工作提出建议。
条文说明
8.4.2本条文列出勘察阶段复合地基评价应包括的内容。随着勘察工作逐步向岩土工程的深入,发挥岩土工程师的专业特长,对地基基础进行深入分析计算,是勘察工作的发展方向,提高勘察工作的技术含量十分重要。 1在对诸多加固方案(包括不同桩型、桩距、桩径、桩长、置换率)的初步对比筛选后,应对所建议的方案进行计算分析,在达到设计要求的基础上对复合地基方案提出建议。 2第3款建议适宜的加固深度,是指确定增强体的桩顶及桩底高程,包括有效桩长以及保护桩长部分。
8.4.3 高层建筑复合地基增强体选型的建议应符合下列规定:
1 对深厚软土地基,不宜建议采用散体材料(桩)增强体;
2 当地基承载力或变形不能满足设计要求时,应建议采用刚性或半刚性桩;
3 当以消除建筑场地砂土液化为主要目的时,宜建议选用砂石挤密桩;当以消除地基土湿陷性为主要目的时,宜建议选用灰土挤密桩。
条文说明
8.4.3本条文规定了选择复合地基类型的一般原则,此外,尚应根据不同地区的地质条件、地区经验等情况选择适宜的增强体类型。 1软土地层散体材料增强体的侧限约束力很弱,桩体在上部高层建筑大荷载作用下将产生侧向挤出,达不到将荷载传递到深部地层的作用即达不到提高地基承载能力的目的,同时满足不了建筑对沉降变形的要求,在深厚软土地区,当建筑荷载较大时,不宜采用柔性散体材料增强体加固地基。 2针对高层建筑荷载大、沉降要求严格的特点,采用刚性桩加固的复合地基,其承载能力高、变形小、设计施工质量可控性强、竣工检验方法成熟并有成功经验,故宜优先考虑采用此方法进行加固。 3本款是考虑宜优先采用经验比较成熟的加固方法。针对高层建筑荷载大的特点,在处理湿陷性地基时,灰土桩挤密法较土桩挤密法更能满足高层建筑对地基的承载力要求,宜优先选用。
8.4.4 高层建筑复合地基的承载力特征值和变形模量应通过单桩或多桩复合地基载荷试验确定。
条文说明
8.4.4 鉴于复合地基承载力特征值和变形模量是由桩间土和增强体的不同组合共同提供,情况变化复杂,难于准确计算求得,加上施工条件、施工质量难于控制,故本标准强调复合地基的承载力和变形模量应采用单桩或多桩复合地基载荷试验确定。现行国家标准《建筑地基基础设计规范》GB 50007和行业标准《建筑地基处理技术规范》JGJ 79均将复合地基承载力特征值应按复合地基载荷试验或单桩载荷试验确定作为强制性条文。既然作了单桩或多桩复合地基载荷试验,不仅可以得到复合地基承载力特征值,还可以同时获得复合地基的变形模量,过去对此重要参数没有加以利用,本标准强调应加以利用,详见第8.4.6条条文说明。
8.4.5 当复合地基受力层范围内存在软弱下卧层时,应按现行国家标准《建筑地基基础设计规范》GB 50007的规定进行验算。
8.4.6 高层建筑复合地基的变形计算应符合下列规定:
1 刚性桩、半刚性桩复合地基变形计算应按现行国家标准《建筑地基基础设计规范》GB 50007执行。为计算变形的复合地基模量宜采用复合地基载荷试验所求得的复合地基变形模量E 0.sp ,按本标准附录C估算刚性桩或半刚性桩复合地基沉降量;
2 其他增强体类型复合地基加固深度范围内,复合土层的压缩模量可按现行行业标准《建筑地基处理技术规范》JGJ 79的规定取值。
条文说明
8.4.6本条第1款对刚性桩、半刚性桩复合地基,没有推荐采用现行国家标准《建筑地基基础设计规范》GB50007和现行行业标准《建筑地基处理技术规范》JGJ79所规定复合地基各土层的压缩模量等于天然地基压缩模量的ζ倍,即ζ=fspk/fsk的概念。因两本规范的条文说明都没有从理论上和工程实例对比中把这种关系说清楚。但却有工程实例说明复合地基压缩模量提高的倍数远小于承载力提高的倍数,见表17。 表17深圳市宝安新中心区裕安路静动联合排水固结法淤泥承载力特征值、压缩模量加固后/加固前倍数ζ 
本标准推荐采用单桩或多桩复合地基载荷试验求得的变形模量按本标准附录C估算刚性桩和半刚性桩复合地基的沉降量,现举工程实例加以说明: 工程实例1:大面积梁筏基础,用CFG刚性桩复合地基,按附录C公式(C.0.1)计算沉降量。 该工程实例见芦萍珍等“CFG桩复合地基增强体偏位影响”一文,原载孙宏伟主编《岩土工程进展与实践案例选编》P310~P319。 某办公楼为钢筋混凝土框架核心筒结构,地上24层,地下2层,基础为梁筏基础,地基采用CFG刚性桩复合地基,基础底面地基承载力特征值: Ⅰ区不小于550kPa,Ⅱ区不小于380kPa,Ⅰ区为核心筒区,其长、宽原文未标出,现按原文图3设计及施工桩位分布图桩距1.2m估算l≈29m、b≈19m,Ⅱ区为周围非核心筒区,估算其l≈49.2m、b≈40.8m,CFG桩桩径皆为400mm,桩间距皆为1.2m,面积置换率皆为8.73%,桩长Ⅰ区为15m,Ⅱ区为13m,桩身混凝土等级皆为C20,单桩承载力特征值RaI区为730kN,Ⅱ区为230kN。 基础底面以下岩土工程参数见表18,场区稳定水位埋深14.6m~16.3m。 表18基础底面以下岩土参数 
该工程梁筏基础以第⑤层细砂作为持力层,其承载力特征值fak仅为240kPa,该层厚度仅为2m,其下为厚度8m~10m的粉质黏土和细砂层,其fak仅分别为180kPa和280kPa,不能满足550kPa(Ⅰ区)和380kPa(Ⅱ区)的要求,故采用CFG复合地基。 该工程做了6个单桩复合地基载荷试验,承压板尺寸为1.2m×1.2m的方板,承压板面积A为1.44m2,按照原文图6单桩复合地基载荷试验p-s曲线,对Ⅰ区,当承载力特征值为550kPa时,6个载荷试验平均沉降为7.8mm,对Ⅱ区,当承载力特征值为380kPa时,6个载荷试验平均沉降为3.6mm,故复合地基的变形模量为: 
ψs为沉降经验取1,η为考虑刚性下卧层的修正系数,本工程无岩石等刚性下卧层,取1,对Ⅰ区,按b=19m,l=29m,l/b=29/19=1.53≈1.6,z为基础底面至该层底面的距离,按z=桩长=15.0m,2z/b=2×15/19=1.578≈1.6,按插入法查表C.0.1-1求得δi=0.396;对Ⅱ区,按b=40.8m≈41m,l=49.2m≈49m,l/b=49/41=1.195≈1.2,z=桩长=13.0m,2z/b=2×13/41=0.634,按插入法查表C.0.1-1求得δi=0.16,故: 
原文未附该工程的实测沉降,但附了按程序PLAXIS3D计算的沉降,Ⅰ区的沉降范围值为40mm~67mm,平均值为53.5mm,该程序所计算的沉降可能是按柔性基础计算的沉降,得出的沉降是中心大、周边小,而公式(C.0.1)是按刚性基础计算的沉降,得出的是平均沉降(详见本标准8.2.10条文说明),本计算的平均沉降60.9mm较53.5mm略大;对Ⅱ区,按程序计算的沉降范围值为15mm~40mm,平均沉降为27.5mm,本计算平均沉降为24.4mm,较27.5mm略小,总的来说,两者计算结果极为接近。 本条第1款规定,刚性桩、半刚性桩复合地基除可按复合压缩模量Es,sp计算变形外,也可用复合地基载荷试验所得复合变形模量E0,sp按本标准附录C、用变形模量E0估算复合地基最终沉降量。现举工程实例加以说明。 工程实例2:用半刚性水泥搅拌桩作为复合地基增强体,按附录C,用公式(C.0.3)计算沉降量。 现选择广东省惠州地区采用三个深层水泥搅拌桩增强体、均做过单桩复合地基载荷试验的独立基础和条形基础工程(引自《广东省土木与建筑》2010年第12期,吕广平、刘奇斌“高承载力深层水泥搅拌桩地基的应用”)。按复合地基变形模量E0,sp计算沉降与实测沉降对比见表19~表21。 表19三个工程的楼高、地层和水泥搅拌桩情况 
表20各实例的土层物理力学性能指标及计算参数 
注:1fak、fspk分别为桩间土承载力特征值、设计承载力特征值; 2采用矩形布桩,柱下增加1~2根桩,呈梅花形布置。 表21各实例的载荷试验检测结果 
表中复合地基变形模量系按E0,sp=I0(1—μ2)pd/s求得,由于系方形承压板I0=0.886,取泊松比μ=0.35,复合地基承载力特征值取250kPa和220kPa,方形承压板换算直径d=0.85(或1.0)/0.886=0.959m(或1.129),s取各试验点承载力特征值下的沉降量(mm)。 用上述复合地基平均变形模量E0,sp按本标准附录C第C.0.3条的公式(C.0.3-1)
和公式(C.0.3-2)p0i=αi(pk—pc)计算沉降。 [实例1]原文明确该实例采用独立基础,但未注明基础尺寸和埋深,现设基础为方形,2.0m×2.0m,埋深d为2.0m,h=8.0m,按l/b=1,2z/b=2×4/2=4.0,查表C.0.3,αi=0.108,p0=0.108×(250—2×19)=22.9kPa,,取η=1.0,则s1=1.0×22.9×8/36.9=4.96mm。原文明确本实例实测沉降为小于10mm,计算与实测沉降基本吻合。 [实例2]原文明确该实例为条形基础,但未明确基础宽度和埋深,现设b=1.8m,d=2.0m,2z/b=2×4/1.8=4.44,查表C.0.3(条基),αi=0.278,p0=0.278(250—2×19)=58.9kPa,则s2=1.0×58.9×8/39.5=11.9mm,该文未明确本楼的实测沉降量。 [实例3]原文明确本楼为独立基础,但未明确基础尺寸和埋深,现设基础为矩形l=2.2m,b=1.8m,l/b=2.2/1.8=1.22≈1.2,d=2.0m,2z/b=2×4.5/1.8=5.0,查表C.0.3,αi=0.085,p0=0.085×(220—38)=15.5kPa,则s3=1.0×15.5×9/44.2=3.2mm,略小于实测值5mm~8mm。 以上说明用复合地基变形模量E0,sp和上述公式计算搅拌桩复合地基的沉降是可行的。
8.4.7 复合地基施工检验除应符合本标准第9章有关规定外,尚应符合下列规定:
1 复合地基方案选型期间,未进行过复合地基载荷试验或增强体载荷试验的工程,应进行复合地基载荷试验或增强体载荷试验的施工检验。复合地基载荷试验要点和试验数量,应按现行行业标准《建筑地基处理技术规范》JGJ 79执行;
2 当复合地基以刚性灌注桩作为增强体时,其桩身质量应采用低应变法、钻芯法等进行检验,检测具体方法和数量应按现行行业标准《建筑基桩检测技术规范》JGJ 106执行;
3 桩间土性状改善程度,宜根据土类选用静力触探、十字板剪切试验、圆锥动力触探、标准贯入试验和钻探取土试验等方法进行检验。
8.5 高低层建筑差异沉降评价
8.5 高低层建筑差异沉降评价
8.5.1 存在下列情况之一时,应进行高低层建筑差异沉降分析评价:
1 主体与裙房或附属地下建筑结构之间不设永久沉降缝;
2 内部荷载差异显著,平面不规则或荷载分布不均造成建筑物显著偏心;
3 采用不同类型基础;
4 不均匀地基或压缩性较高的地基。
条文说明
8.5.1由于现代高层建筑的多样化设计,不均匀的地基变形并非只是地基本身不均匀造成的,如不均匀软土地基上不规则平面的建筑物(偏心)、大底盘上高低错落多栋建筑物造成的基底荷载差异等,都是岩土工程师要综合考虑的因素。针对近年常见的差异沉降问题,本条概括为四种需要注意加强沉降分析的工况,其中也包括单体建筑物,因为现代建筑常在底层和地下室有大开间的设计需要并多采用刚度相对较小的筏形基础,框筒、框剪结构建筑物的电梯井或角柱、组合柱部位的集中荷载会明显高于基底平均荷载。
8.5.2 在详细勘察阶段,差异沉降分析可根据各建筑物或各建筑部分的基底平均竖向荷载分别估算建筑重心、角点的地基沉降量。沉降估算应包括相邻建筑和结构施工完成后地基剩余沉降的影响,结合基础整体刚度情况和实测资料类比,综合评估各建筑部分的沉降特性及其影响。处于超补偿状态的基础,应采用地基回弹再压缩模量和建筑基底总压力进行沉降估算。
条文说明
8.5.2由于在勘察阶段通常还不可能具备基础设计荷载的分布和结构刚度资料,故勘察阶段的差异沉降预测一般限于不同楼座之间的平均沉降差。估算建筑物重心、边角点的地基沉降量及结构到顶后的剩余沉降量,有助于判断不同楼座之间差异沉降的影响。
8.5.3 差异沉降分析时,当数据资料不能满足要求时,应进行补充勘察并提供所需成果。
条文说明
8.5.3在近年工程实践中,由于基础设计分析与勘察之间会发生脱节现象(并不是由勘察单位承担基础设计分析),存在着勘察成果资料与数据不能有效满足基础工程设计分析的情况。因此,要求勘察单位必须做好前期策划,以确保能够在勘察阶段获取设计分析地质模型所需的特定参数和资料。在工程中,切忌将设计分析决策建立在不可靠的基础上,故当所提供的勘察成果在完整性和可靠性方面确实不能有效满足基础设计分析需要,应由勘察单位进行必要的补充勘察,提供正确、完整的数据资料输入。
8.5.4 对荷载差异显著的高低层建筑工程,在下列情况下,宜采用经过工程有效验证的模型,进行地基基础与上部结构共同作用分析,为确定地基方案提供依据:
1 采取可能的设计、施工调整措施后,相邻建筑或各建筑部分估算的差异沉降接近现行标准限值或设计限值时;
2 按沉降控制设计的摩擦桩;
3 高层建筑主楼及其附属建筑采用联合基础时;
4 基坑开挖引起的地基回弹再压缩量占地基总沉降量的比例超过20%时。
条文说明
8.5.4基底附加压力越小、基坑深度越大,则地基回弹再压缩变形占地基沉降的比例越大,从而使以往规范建议的很多沉降计算方法不再适用。根据上海、北京的观测资料,建筑基坑开挖后的最大回弹再压缩量与基坑的深度有一定的对应关系(表22),可作为判断地基回弹再压缩变形占地基总沉降比例的参考。此外,根据北京、上海的工程实践,如结构相连的相邻建筑(后浇带两侧)的后期沉降差在3cm~4cm范围内,有可能通过设计、施工措施加以调整。 表22基坑最大回弹再压缩量与基坑深度的比值 
注:se为地基回弹再压缩变形,H为基坑深度。
8.5.5 在进行沉降估算或配合设计对地基基础与上部结构共同作用分析时,宜考虑下列因素的影响:
1 地下水位变化和岩土参数的不确定性;
2 荷载偏心作用;
3 地基回弹再压缩的影响;
4 桩间土对建筑基底荷载的分担;
5 施工顺序、施工阶段和施工后浇带的影响;
6 结构施工完成后至沉降稳定期间的地基剩余沉降。
条文说明
8.5.5获取和选择合理的土工参数对地基基础工程的分析结果具有关键的影响,而土工参数与试验方法又是密切相关的,故在从勘察成果资料中选择土工参数指标时必须注意其试验方法。 在通过结构-地基共同作用分析进行差异沉降分析时,通常要采取提高局部基底压力以加大沉降、减小差异沉降的设计措施,该措施应以不发生有关部位地基破坏为前提,为此还应进行相应的地基极限承载力验算。
8.5.6 当预测的差异沉降接近或超过现行规范标准或设计的限值时,可对结构设计或施工提出下列减少地基差异沉降不利影响的建议:
1 调整地基持力层:高层建筑部分宜选择排水固结较快、后期沉降小的土层和岩层;裙房部分宜选择压缩性相对较高的土层;
2 不同建筑物或建筑部分的建造顺序;
3 设置沉降缝或施工后浇带及其位置,施工后浇带的浇筑时间;
4 适当扩大高层建筑部分基底面积;
5 低层裙房、地下建筑物采用条基或独立柱基加防水板的基础形式,宜增加裙房结构自重、配重或覆土;
6 调整高层建筑与裙房之间的连接刚度,或采用变刚度调平设计,并进行桩长、桩径、桩间距的优化;
7 进行局部换土、加固处理或采用局部深基础方案;
8 减少地基差异沉降的措施,宜兼顾建筑基础结构抗浮问题。
条文说明
8.5.6增加墙体厚度对结构刚度贡献较小,调节差异沉降效果也不大,因此将原2004规程中“在不影响建筑使用功能的条件下,适当增加裙房墙体结构”删除。
8.5.7 进行上部结构、基础与地基共同作用分析的工程,应进行基坑回弹与沉降监测。
8.6 地下室抗浮评价
8.6 地下室抗浮评价
8.6.1 地下室抗浮评价应包括下列基本内容:
1 分析提出合理的抗浮设防水位建议;
2 根据抗浮设防水位,结合地下室埋深、结构自重等情况,对抗浮有关问题提出建议;
3 对可能设置抗浮锚杆、抗浮桩或采取其他抗浮措施的工程,应提供极限侧阻力和抗拔系数λ等设计计算参数的建议值。
条文说明
8.6.1随着高层建筑在全国迅猛发展,建筑物越来越高,国内已经出现超过600m的超高层建筑,由于高层建筑一般都有地下室,相对应的地下室也越挖越深,已经有超过30m深的基坑,地下室抗浮问题已经引起工程界普遍关注,抗浮设防水位所涉及的工程费用和潜在的风险也越来越大。因此合理进行高层建筑的抗浮评价在勘察报告中显得比以往更加重要。 地下室抗浮评价主要有三个问题: 1提供抗浮设防水位,这是近年来的重点也是难点,经常引起争论,还发生有建设单位要求勘察人员有意降低抗浮水位以达到节省投资的目的等问题,这样做会给工程留下隐患;勘察人员宜按本节第8.6.2条要求给出场地地下室抗浮设防水位; 2根据地下室埋深和上部结构自重,初步评估地下室抗浮稳定性,如果自重与浮力相差不大,一般建议采用配重或地面覆土等措施,如果抗浮水位与常年平均地下水位相差较大,使用期间达到抗浮水位的概率很小,或者场地处于山坡地带,有自流排泄条件,可以建议采用设置排水盲沟、集水井等排水设施进行抗浮设计;必要时应建议设置抗浮桩或抗浮锚杆; 3如果抗浮压力较大,需要设置抗浮锚杆或抗拔桩时,应给出相应的设计参数,包括桩(锚杆)的侧阻力和抗拔系数λ的建议值。
8.6.2 抗浮设防水位的综合确定宜符合下列规定:
1 抗浮设防水位宜取地下室自施工期间到全使用寿命期间可能遇到的最高水位。该水位应根据场地所在地貌单元、地层结构、地下水类型、各层地下水水位及其变化幅度和地下水补给、径流、排泄条件等因素综合确定;当有地下水长期水位观测资料时,应根据实测最高水位以及地下室使用期间的水位变化,并按当地经验修正后确定;
2 施工期间的抗浮设防水位可按勘察时实测的场地最高水位,并根据季节变化导致地下水位可能升高的因素,以及结构自重和上覆土重尚未施加时,浮力对地下结构的不利影响等因素综合确定;
3 场地具多种类型地下水,各类地下水虽然具有各自的独立水位,但若相对隔水层已属饱和状态、各类地下水有水力联系时,宜按各层水的混合最高水位确定;
4 当地下结构邻近江、湖、河、海等大型地表水体,且与本场地地下水有水力联系时,可按地表水体百年一遇高水位及其波浪雍高,结合地下排水管网等情况,并根据当地经验综合确定抗浮设防水位;
5 对于城市中的低洼地区,应根据特大暴雨期间可能形成街道被淹的情况确定,对南方地下水位较高、地基土处于饱和状态的地区,抗浮设防水位可取室外地坪高程。
条文说明
8.6.2地下室抗浮设防水位的确定是高层建筑勘察的主要内容之一,由于地下室面积越来越大,基坑深度也越来越深,抗浮水位定得过高,工程费用可能浪费很大;定得过低,如果地下室发生上浮破坏,后果也很严重。由于抗浮设防水位是地下室使用期间可能遇到的最高水位,这个水位显然不是勘察期间实测到的场地最高水位,也不完全是历史上观测或记录到的历史最高水位,而是地下室使用期间可能遇到的最高水位,也就是说这个水位是岩土工程师根据场地条件和当地经验预测的、未来可能出现的一个水位,这个水位既反映了岩土工程师的经验判断水平,也反映当地技术经济发展水平;而地下室未来几十年使用期间,地下水位变化可能很大,这就给岩土工程师确定合理设防水位带来很大的困难。 我国幅员辽阔,场地工程地质、水文地质条件千差万别,要统一规定一个抗浮设防水位取值标准非常困难。 因此本条第1款仅给出一个取值原则,具体应由岩土工程师按场地条件和当地经验选取。当有地下水长期观测资料时,可根据历史上最高水位,来推定和预测今后使用期间的地下水最高水位;当没有地下水长期观测资料,而对当地不同地貌单元地下水季节变化幅度有经验数据时,可按“勘察期间实测地下水位”+“地下水季节变化幅度”(旱季勘察时加变化幅度大值,雨季勘察时加变幅小值)+“意外补给可能带来的地下水升高值”,来预测和推定地下水抗浮设防水位。 本条第2款规定施工期间临时抗浮稳定的设防水位选取办法,以引起地下室设计与施工人员重视,因为实际工程中确实发生过施工过程中地下室整体上浮的事故,岩土工程师在抗浮评价中有必要提醒设计和施工人员关注此类问题,并在施工过程中加强基坑抽排水,防止地下室发生上浮问题,特别是地下室埋置不太深,没有设置抗浮桩或抗浮锚杆的项目。 本条第3款考虑场地存在上层滞水、潜水和多层承压水,各层地下水虽然具有各自的独立水位,但若相对隔水层已属饱和状态,说明各类地下水具有水力联系,且由于场地勘察孔打穿了所有含水层,桩基施工时也将场地可能存在的多个含水量连通起来,甚至地下室肥槽回填未处理好也可能引起地下水各层互相连通,因此地下室使用期间,各类地下水实际上是相互连通的,故本款规定按各层水的混合最高水位确定。 本条第4款规定了地表水和地下水有水力联系,地表水体一般都有系统的水文观测资料,可通过地表水体100年的洪水位来推定地下水100年的最高水位,按现行国家标准《工程结构可靠性设计统一标准》GB50153的规定,“标志性建筑和特别重要的建筑结构”使用年限为100年,高层建筑属于此类。故取百年一遇洪水位或潮水位是合适的。我国许多大城市群地下水都与地表水关系密切,如广州、深圳等珠江三角洲城市群受珠江水系和海水位影响,上海和江苏、浙江等的城市受长江水系、太湖等湖水位或海水位的影响,武汉市受长江和汉江水位的影响等。 本条第5款是针对我国南方地区许多城市,在雨季往往会遭遇特大暴雨,使城市中一些低洼地区形成水涝,例如深圳市在2008年和2014年5月~6月发生暴雨,不少低洼地区均被水淹。若这些地区正值地下结构施工,其基坑将会被雨水淹没,由于浸泡会造成正在施工的地下结构上浮,而洪水灾害是难以阻止的。因而从保证地下结构施工安全出发其抗浮设防应取室外地坪高程。
8.6.3 当建设场地处于斜坡地带且高差较大或者地下水赋存条件复杂、变化幅度大、地下室使用期间区域性补给、径流和排泄条件可能有较大改变或工程需要时,应进行专门论证,提供抗浮设防水位的专项咨询报告。
条文说明
8.6.3考虑到某些地区地下水赋存条件复杂,补给和排泄条件在建筑使用期间可能发生较大变化,例如南水北调等大型水利工程或周边大型水库应急放水等可能对该地区地下水产生较大影响,而地下水的抗浮设防水位是一个有如抗震设防一样的重要技术经济指标,较为复杂,故对于这类重要工程的抗浮设防水位应由建设单位委托有资质的单位进行专门论证后提出。
8.6.4 对位于斜坡地段的地下室或其他可能产生明显水头差的场地上的地下室,进行抗浮设计时,应分析地下水渗流在地下室底板产生的非均布荷载对地下室结构的影响。
条文说明
8.6.4地下室若处于斜坡地段或施工降水等原因产生稳定渗流场时,渗透压力在地下室底板将产生非均布荷载,勘察报告中宜提请抗浮设计注意这种非均布荷载对地下室结构的影响。
8.6.5 地下室在稳定地下水位作用下的浮力应按静水压力计算。对临时高水位作用下所受的浮力,在黏性土地层中可根据当地经验适当折减。
条文说明
8.6.5地下室所受浮力应按静水压力计算,即地下室底板所受的浮力强度p=γwh,式中γw为水的重度,h为底板上作用点到地下室抗浮设防水位的距离,即使在黏性土地基或地下室底板直接与基岩接触的情况下也不宜折减。因为地下室底板所受浮力不因黏性土的渗透性差而减小,即使地下室底板直接与基岩接触,由于基岩总是存在节理和裂隙等,且混凝土与基岩接触面也存在微裂隙,水压力也不宜折减。如因暴雨等因素产生临时高水位,如果该水位持续时间较短,在黏性土中不能形成有效浮力,根据当地经验可以适当折减。
8.6.6 当地下室自重及其承受的荷载小于地下水浮力作用时,宜设置压重或设置抗浮锚杆或抗浮桩。对高层建筑附属裙房或主楼以外、独立结构的地下室宜推荐选用增加配重或抗浮锚杆;对地下室所受浮力较大或地下室地基较差时宜推荐选用抗浮桩。
条文说明
8.6.6直接位于高层建筑主体结构下的地下室,主要是施工期间的临时抗浮稳定问题,一般可通过工程桩或基坑临时强排水等措施来解决;而对于附属的裙房或主楼以外独立结构的地下室,由于荷载小,仅需设置少数抗压桩,甚至不需设置基桩,故推荐采用抗浮锚杆较为经济合理,如果地质条件较差,地下水水位变化很大或地下室所受浮力较大、基底可能产生频繁的拉压循环荷载,且受压时地基承载力明显不足时,宜选用抗浮桩。
分析认为,反算的 q sa 很小的原
8.6.7 未设置抗浮锚杆或抗浮桩,仅以建筑自重或附加填土或配重抗浮的地下室,应考虑施工期间各种工况下不利荷载组合时地下室的临时抗浮稳定性,并应采取可靠的控制地下水位措施,防止地下室上浮。
条文说明
8.6.7本条文提醒设计和施工人员注意地下室施工期间的临时抗浮稳定问题,深圳和其他城市已经发生多起地下室施工期间上浮破坏的事故,勘察报告中应提醒后续设计与施工单位采取可靠的基坑排水措施。
8.6.8 抗浮桩和抗浮锚杆的抗拔承载力应通过现场抗拔静载荷试验确定。
条文说明
8.6.8抗浮桩和抗浮锚杆的抗拔极限承载力,一般都应通过现场抗拔静载荷试验确定,抗拔静载荷试验应符合附录G的规定,考虑到地下水水位和地下室使用荷载是变化的,所以附录G中要求采用循环加卸荷方式进行试验,试验方法是参考了现行行业标准《建筑桩基技术规范》JGJ94、国家标准《建筑边坡工程技术规范》GB50330和《岩土锚杆与喷射混凝土支护工程技术规范》GB50086中有关基桩抗拔和锚杆抗拔试验相关规定后综合确定的。
8.6.9 初步设计时,抗浮桩的单桩抗拔极限承载力可按下式估算:

式中:Q ul ——单桩抗拔极限承载力(kN);
u i ——桩的破坏表面周长(m),对于等直径桩取u i =πd,对于扩底桩按表8.6.9-1取值;
q si ——桩侧表面第i层岩土的抗压极限侧阻力(kPa);应按现行行业标准《建筑桩基技术规范》JGJ 94确定;
λ i ——第i层土的抗拔系数,当无当地经验时,可按表8.6.9-2取值;
l i ——第i层土的桩长(m)。
表8.6.9-1 扩底桩破坏表面周长u i

注:D—桩的扩底直径(m);d—桩身直径(m)。
表8.6.9-2 抗拔系数λ i

注:1 桩长l与桩径d之比小于20时,λ i 取较小值,反之取较大值;
2 砂土、粉土密度较小、黏性土状态较软者,λ i 取较小值,反之取较大值;
3 风化程度越强取较小值,反之取较大值;
4 表中λ i 值在有充分试验依据的条件下,可根据地区经验作适当调整。
8.6.10 群桩可能发生整体破坏时,单桩的抗拔极限承载力可按下式验算:

式中:u l ——桩群外围周长;
n——桩群内的桩数。
8.6.11 抗浮桩抗拔承载力特征值可按下式计算:

式中:F a1 ——抗浮桩抗拔承载力特征值(kN)。
条文说明
8.6.9~8.6.11抗浮桩抗拔承载力可按公式(8.6.9)~公式(8.6.11)进行估算,如当地有较丰富的工程经验,也可按经验值进行估算,但正式施工前仍应进行抗拔静载荷试验进行验证。 关于抗拔系数λi,考虑到桩型不同,λi系数应有所区别,预制桩是挤土桩,由于桩周土被挤压,其抗拔系数应较泥浆护壁的冲、钻、旋挖灌注桩(以下简称灌注桩)的取土桩(非挤土桩)为高。预制桩的λi采用按现行行业标准《建筑桩基技术规范》JGJ94的规定,即砂土取0.5~0.7,黏性土取0.7~0.8;灌注桩对砂土取较低的0.4~0.6,灌注桩对黏性土、粉土和风化岩情况比较复杂,其抗拔系数取何值?现做如下分析: 1按桩基竖向抗拔静载试验检测结果进行分析: 1)受检桩的基本情况 从深圳市建筑工程质量检测中心搜集到“灌注桩(冲、钻、旋挖)抗拔检测情况信息汇总”,共105根桩,遍布深圳市各区,其中冲孔桩50根、占总桩数48%,钻孔桩11根、占11%,旋挖桩42根、占41%,其中2根为扩底桩,由于不知具体尺寸,不参加分析;103根直桩中,有48根桩、占47%,以中风化作为持力层,则其侧阻段应为强、全风化和第四系土层,其余55根桩、占53%,以强风化作为持力层,则其侧阻段仅包括全风化岩及第四系土层,基岩大部分为花岗岩,很少桩为泥质粉砂岩和泥岩。受检桩桩径为0.8m~1.8m,桩长为4.0m~55.8m;设计要求抗拔承载力特征值为400kN~4700kN,多数为1500kN~2500kN,抗拔检测按设计要求抗拔特征值的1倍~2.7倍进行检测,即安全系数有1.0、1.08、1.2、1.23、1.5、1.65、2.0、2.62、2.7,较多数为2.0,检测值≥检测要求值为合格,反之,不合格。检测结果有16根桩不合格,占总桩数15.5%;有2根桩,钢筋拉断,占2%,未获得确切检测值;合格桩85根,占总桩数82.5%。
2)由于不知道受检桩侧阻段的岩土名称和厚度,只能以桩长作为总侧阻段厚度,反算其总的综合抗拔侧阻段特征值 q sa 来进行分析:

式中: q sa——侧阻段总的综合抗拔侧阻力特征值(kPa);
Tsa——设计要求的抗拔力特征值(kN);
d——桩径(m);
l——侧阻段总厚度,即桩长(m)。
对于检测要求值,安全系数大于、等于2时,还可按极限侧阻力标准值进行分析。
式中: Q suk——侧阻段总的综合抗拔极限侧阻力标准值(kPa);
Tuk——检测要求安全系数≥2时的检测值(kN)。
3)5根侧阻力特征值小于10kPa的合格桩分析:
85根合格桩的 q sa计算结果其范围值为5.06kPa~46kPa,其中有5根受检桩 q sa<10kPa,其具体情况如表23所示。
表23 q sa 小于10kPa的合格桩分析

分析认为,反算的 q sa很小的原因,并非是侧阻段有很软的土层使其 q sa很小,而是设计的桩很长,由于桩长l与 q sa成反比,致使 q sa很小,例如14号桩设计要求Ts值仅为650kN,其桩长达41m,反算 q sa仅为5.06kPa,若桩长减少至15m,其 q sa=13.8kPa, Q suk=27.6kPa,只要上部土层为可塑黏性土或中密粉细砂,桩长15m,按现行行业标准《建筑桩基技术规范》JGJ94,取该档最低抗压极限侧阻力,抗拔系数λ均取0.6,所计算的抗拔极限侧阻力标准值Tuk均能满足1300kN的要求,桩长不需要41m。
4)安全系数为2的合格桩中反算的 q sa有4根受检桩大于30kPa,最高达46kPa,这是由于桩较短、检测值较大所致,还可能是受到侧阻段有全风化、强风化岩、甚至中风化岩等高侧阻力的影响,作为黏性土不会有如此高的侧阻力。
5)合格桩中有4根冲孔桩桩径为1.5m,设计要求抗拔承载力为3300kN,其中两根桩长为4.0m,反算桩侧侧阻力特征值 q sa为175kPa,另两根桩长为5m,反算 q sa为140kPa,表中列的持力层为中风化岩,由此认为此纯系中风化岩侧阻力的实测数据,为确定中风化岩侧阻力特征值,很有参考价值,此4根桩未包括在上述4根 q sa>30kPa的桩中。
6)在16根不合格桩中有11根均能满足设计要求的抗拔力特征值Tsa,只是不满足检测值要求,其余5根桩不能满足设计要求Tsa值,例如序号47和48号桩,桩径1.2m,桩长仅为10.3m和9.3m,设计要求的Ts值为2000kN,但检测值仅为1200kN和800kN,不合格的原因自然是桩太短。
7)3根序号为53、54、55的合格桩,设计要求抗拔承载力为4700kN(103根桩中最大值),桩径1.5m,桩长依次为38.07m、34.10m和32.25m,按1.2倍设计值5640kN进行检测,全部合格,反算的 q sa值依次为26.2kPa、29.2kPa和30.9kPa,受检桩相对不长,侧阻力得到充分发挥。
8)看不出冲孔桩、钻孔桩、旋挖桩的抗拔力有多大差异。
综合以上分析认为:泥浆护壁的灌注桩,对黏性土和粉土其抗拔侧阻力特征值宜控制在5kPa~30kPa之内。
2通过试桩获得的实测综合抗拔侧阻力特征值和规范规定的抗压侧阻力特征值反求抗拔系数λi。
按现行行业标准《建筑桩基技术规范》JGJ94规定:“抗拔侧阻力特征值”=λiד抗压侧阻力特征值”,故λi
。
根据103根桩的统计分析,85根合格桩(占受检桩的82.5%),其 q sa范围值为5kPa~46kPa,只有4根桩 q sa>30kPa,这些大于30kPa的桩可能受到全风化、强风化岩的影响,即第四系土层包括黏性土、粉土和砂土,其实测抗拔侧阻力特征值均在5kPa~30kPa之内。
现行行业标准《建筑桩基技术规范》JGJ94表5.3.5-1所列泥浆护壁桩抗压侧阻力特征值(表列为极限值,除以安全系数2,变为特征值),这个表的值在全国应用多年,同行比较认可。对黏性土和粉土其范围值为10.5kPa~51kPa,出于安全考虑,最高取45kPa;对各类砂土,其范围值为12kPa~65kPa,出于安全考虑,最高取50kPa;对于全风化岩(包括软质岩和硬质岩)其范围值为40kPa~70kPa;对于强风化岩(包括软质岩和硬质岩)其范围值为70kPa~120kPa。反求泥浆护壁桩的λi:

关于全风化岩和强风化岩的λi系数,在深圳龙岗××医院工程中,对全风化炭质泥岩qsia仅提为35kPa,全风化泥质粉砂岩仅提为45kPa,前者小于规范的最低值,后者略大于最低值,后做了调整,前者改为45kPa,后者改为65kPa,介于范围值40kPa~70kPa之间,λi取0.75;对于强风化岩,原勘察报告对上述两种岩石分别提为55kPa~70kPa,小于或等于规范最低值,后调整为80kPa~100kPa,介于70kPa~120kPa之间,λi取0.8。若按原勘察报告值计算,13根桩压桩中有6根(近一半)的桩、9根抗拔桩中有2根计算值小于检测值,显然,原勘察报告提值偏低,故做了调整,λi系数可取0.7~0.8。
对于中风化、微风化岩的λi系数,本标准推荐按嵌岩桩表8.3.12求取抗压侧阻力特征值,即中风化岩抗压侧阻力特征值范围为150kPa~600kPa,微风化岩抗压侧阻力特征值范围为600kPa~1000kPa,λi系数可取0.8~0.9。
3工程实例验证
深圳龙岗区××医院桩基工程,由于在岩溶分布区,地层相变复杂。曾做过13根抗压灌注桩载荷试验(其中10根为冲孔桩,3根为挖孔桩)和9根抗拔桩的荷载试验(其中6根为冲孔桩,3根为挖孔桩),每根试验桩桩位处至少有1个钻孔,最多达3个钻孔,对侧阻段和持力层的岩土名称、厚度及岩土物理力学性指标都有确切数据。经深圳市检测中心检测结果,所有受检桩的抗压、抗拔承载力设计值和检测值均合格。张旷成等在“深圳市龙岗区石炭系测水组地层岩溶分布区桩基工程勘察设计中几个问题的研讨”一文(原载《建筑科学》2013年增刊2)中曾根据原勘察报告所提供的有关参数,计算出基桩抗压、抗拔承载力特征值,与按静载试验所实测得的抗压、抗拔承载力进行的对比研究,发现由于原勘察报告所提供参数偏低,致使13根抗压桩中有6根桩(近一半)计算的抗压承载力特征值小于检测值,9根抗拔桩中有2根抗拔承载力特征值也小于检测值。例如②、⑤、⑥、⑦层粉质黏土,IL分别为0.25、0.15、0.40、0.23,按规范属硬可塑档,其抗压承载力特征值为34kPa~43kPa,但勘察报告只提为20kPa、25kPa、23kPa、26kPa,比最小值还小得多,为此作了调整。调整后计算值满足了检测值的要求,各土层调整前、后抗压、抗拔侧阻力特征值取值如表24所示。
该工程9根抗拔桩载荷试验检测值与计算值对比如表25所示。
表24土、岩层调整前、后抗压、抗拔侧阻力特征值取值

表25抗拔桩载荷试验检测值与计算值对比表

经过上述工程实例分析,在侧阻段有土名、厚度和有关岩土物理力学指标后,完全按现行行业标准《建筑桩基技术规范》JGJ94所规定的抗压极限侧阻力特征值表,极限侧阻力除以安全系数2,乘以合理的抗拔系数λ后,计算所得抗拔承载力特征值,与抗拔载荷试验所得检测值对比研究后得出如下认识:
1)勘察单位在提供抗压侧阻力特征值时,应遵守现行行业标准《建筑桩基技术规范》JGJ94表5.3.5-1的规定,不应随意折减,致使抗拔承载力特征值过低,设计桩过长,工程实践证明,该表已有足够安全度;
2)上述工程为冲孔桩和挖孔桩,严格按现行桩基规范对抗压桩侧阻力取值,抗拔系数λi对黏性土取0.7、砂土取0.6、全风化岩取0.75、强、中、微风化岩取0.8(详见表24),按此计算结果,抗压桩和抗拔桩计算承载力和检测值的比值均大于1,说明具有2.0以上安全系数,足够安全;
3)9根抗拔桩中有3根桩抗拔设计要求值均仅为750kN,但综合侧阻力特征值均小于10kPa,经查这3根桩的侧阻段均没有第②层流塑淤泥质黏性土,正如前述,这是由于桩相对过长,有如抗拔锚杆的锚固段一样,应有一个“临界长度”,当超过此长度后,锚固力发挥不出来;
4)看不出冲孔桩与人工挖孔桩有多大差异。
4结语
经过103根桩检测结果分析和工程实例验证后认为:
1)泥浆护壁的冲、钻、旋挖桩的抗拔系数λi对砂土取0.4~0.6;对黏性土、粉土取0.5~0.7,砂土、粉土密实度较松、黏性土状态较软者,λi应取较小值,反之应取较大值;对全风化、强风化岩取0.7~0.8,中风化、微风化岩取0.8~0.9,风化程度越强者取较小值,反之取较大值;取值过程中应考虑地区经验和施工工艺水平。
2)抗拔桩的桩长设计应根据抗拔承载力和变形控制确定。抗拔桩有如抗拔锚杆的锚固段一样,应该有一个“临界长度”,当超过此长度后,锚固力发挥不出来。此问题相当重要,留待今后作进一步研究。
3)抗拔桩的抗拔效果,施工因素影响很大,施工中应控制泥浆浓度,减少泥皮厚度,并应避免形成桩径上大下小的“喇叭口”情况,若此,抗拔力将大大降低。
4)在审查过程中,上海的专家认为泥浆护壁灌注桩λi系数对黏性土,仍可采用0.7~0.8;广东省的地基基础设计规范修订报批稿,对花岗岩残积土λi为0.3~0.5;根据应重视地区经验的原则,表中的λi系数在有充分试验依据的条件下,可根据地区经验作适当调整。
8.6.12 抗浮锚杆承载力特征值可按下式估算:

式中:F a2 ——抗浮锚杆抗拔承载力特征值(kN);
u i ——锚固体周长(m),对于等直径锚杆取u i =πd(d为锚固体直径);
f sai ——第i层岩土体与锚固体粘结强度特征值(kPa),宜按现行国家标准《建筑边坡工程技术规范》GB 50330确定。
条文说明
8.6.12抗浮锚杆应结合施工工艺进行锚杆抗拔试验,公式(8.6.12)仅供初步设计估算时采用。
8.7 基坑工程评价
8.7 基坑工程评价
8.7.1 基坑工程岩土工程评价应包括下列内容:
1 对基坑支护方案和解决基坑工程可能产生的主要岩土工程问题提出建议,应提供基坑工程设计和施工所需的岩土参数;
2 对地下水控制方案提出建议,场地拟采取降水措施时,应提供水文地质计算有关参数和预测降水对周边环境可能造成的影响;
3 对基坑周边环境可能产生的影响进行预测,并对基坑工程的监测提出建议。
条文说明
8.7.1本条规定了基坑工程评价应包括的内容,对其中条文说明如下: 1由于勘察人员对周边环境和场地工程地质、水文地质条件最为了解,因而可以对可能采用的基坑支护方案提出建议,当各侧边条件差异很大且复杂时,每个侧边可建议不同的支护方案;同时,可将基坑工程可能面临的主要岩土工程问题揭示出来,并应提供基坑工程设计和施工所需的岩土参数。 2许多工程实践证明,基坑降水往往会造成邻近地面沉降,对邻近建筑、管线等造成影响,因而本款提出,若需采取降水措施时,应提供水文地质计算的相应参数、预测降水及其对周边环境可能造成的影响,建议设计人员计算周边地面下沉量和影响范围。 3基坑开挖不可避免会对周边环境产生影响,勘察人员可以根据场地岩土条件和周边环境条件,对可能产生的对周边环境影响进行预测,并对周边环境监测要点提出建议。
8.7.2 宜根据场地所在地貌单元、地层结构、地下水特征,提供基坑各侧壁安全可靠、经济合理、有代表性的综合地质剖面。
条文说明
8.7.2基坑支护设计中,支护结构的荷载是土、水压力,而土、水压力的大小则取决于地层结构剖面和计算参数(主要是c、φ值),而过去此代表性的综合地质剖面由设计人员选定,不一定经济合理,现提出每一侧边的综合地质剖面由勘察人员提出建议。当条件简单时,亦可指定按某个勘察孔或地层剖面进行计算,并提供相应的计算参数。
8.7.3 基坑工程各项计算参数的试验方法和取值,应根据其用途和计算方法按现行行业标准《建筑基坑支护技术规程》JGJ 120确定。
条文说明
8.7.3勘察报告所建议的各项参数,尤其是抗剪强度参数,将直接用于工程计算和设计,十分重要,而这些参数由于实验方法不同,得出的结果各异,它应当与采用的计算方法和安全度相匹配,为此,本条规定了基坑工程计算指标的实验方法,现对其中主要问题说明如下: 1现行国家标准《建筑地基基础设计规范》GB50007、现行行业标准《建筑基坑支护技术规程》JGJ120及湖北省、深圳市、广东省等基坑工程地方标准均规定对黏性土宜采用土水合算,对砂土宜采用土水分算;冶金行业标准,上海市和广州市基坑工程标准则规定以土水分算为主,有经验时,对黏性土可采用土水合算。根据试算对比(详见原规程JGJ72-2004第6.0.5条条文说明),当采用土水合算时,其抗剪强度参数宜用总应力法的固结不排水(CU)试验参数;当用土水分算时,其抗剪强度参数宜用三轴有效应力法、固结不排水测孔隙压力(CU)试验; 2对于砂、砾、卵石土由于渗透性强,渗透系数大,可以很快排水固结,这类土均应采用土水分算法,计算时其重力密度是采用有效重力密度,故其强度参数从理论上看,均应采用有效强度参数,即(c′、φ′),其试验方法应是有效应力法,三轴固结不排水测孔隙水压力
试验,测求有效强度。但实际工程中,是很难取得砂、砾、卵石的原状试样而进行室内试验,故本条规定可采用砂土天然休止角试验和现场标准贯入试验来估算砂土有效内摩擦角φ′,一般情况下可按φ′=(
+15)估算,式中N为标准贯入实测击数; 3对于欠固结或饱和黏性土,本标准和《建筑基坑支护技术规程》JGJ120都规定宜采用有效自重压力下预固结的三轴不固结不排水抗剪强度指标cuu、φuu,但目前的国标《土工试验方法标准》GB/T50123中没有预固结方法的试验标准,宜注意选择合适的试验方法; 4对于抗隆起验算,一般都是基坑底部或支护结构底部有软黏土时才验算,因而应当采用上述饱和软黏土的UU试验方法所得强度参数,或采用原位十字板剪切试验测得的不排水强度参数。对于整体稳定性验算亦应采用不固结不排水强度参数; 5对于静止土压力计算,公式规定应用有效强度指标c′、φ′值; 6基坑工程计算的试验方法和用途可按表26选用。 表26基坑工程计算参数的试验方法和用途 

8.7.4 当场地附近有地表水体时,宜分析场地地下水与邻近地表水体的补给、径流、排泄条件,判明地表水与地下水的水力联系,以及对场地地下水水位、基坑涌水量的影响。
条文说明
8.7.4由于估算基坑涌水量、进行降水设计和预测降水对邻近建筑的影响等,这些均涉及比较专业的水文地质问题,一般的岩土工程设计人员有一定的困难,而勘察人员比较了解,故本条规定在此情况下应提供水文地质计算有关参数,包括计算的边界条件、地层结构、渗透系数等。
8.7.5 当基坑底部为饱和软土或基坑深度内有软弱夹层时,应进行抗隆起和整体稳定性验算;当基坑底部为砂土层,尤其是粉细砂地层并存在承压水时,应进行抗渗流稳定性验算,并提供有关参数和防治措施的建议;当土的有机质含量超过10%时,如建议采用水泥土方案,应分析有机质对水泥土可凝固性的影响。
条文说明
8.7.5目前国内许多基坑工程均采用比较经济的土钉墙支护方案,但当基坑底部为饱和软土时,由于基坑底部隆起,侧壁整体失稳的事故较多,为此对有类似情况的工程,应建议设计进行抗隆起验算,验算的方法、公式和安全系数在现行国家标准《建筑地基基础设计规范》GB50007和行业标准《建筑基坑支护技术规程》JGJ120中已有规定,计算结果不能满足时,应采取坑底被动区加固、微型桩加强等措施;当基坑底部为砂土,尤其是粉、细砂地层和存在承压水时,应建议设计进行抗渗流稳定性验算。 基坑工程常采用水泥搅拌桩或高压喷射注浆形成止水帷幕,如果土中有机质含量太高,水泥士可能不凝固,不能形成止水帷幕,如果采用搅拌桩形成重力式挡墙的支护方案更应该注意这个问题。应该要求进行现场或室内试验进行验证。
9 检验和监测
9.1 设计参数检验
9 检验和监测
9.1 设计参数检验
9.1.1 设计参数检验宜包括下列内容:
1 大直径桩端阻力载荷试验;
2 单桩竖向抗压、抗拔静载荷试验:
3 单桩水平静载荷试验;
4 复合地基的静载荷试验;
5 抗浮桩和抗浮锚杆抗拔试验;
6 最终确定天然地基承载力的载荷试验;
7 重要岩土层现场抗剪强度试验;
8 判定沉桩可能性的沉桩试验。
条文说明
9.1.1设计参数检验主要是指勘察结束后设计施工期间,应在现场进行的各种与岩土工程有关的试验,目的是为地基基础设计、地下室抗浮设计和基坑支护设计等工程设计中所采用的重要参数进行检验、校核,对所采用施工工艺和控制施工的重要参数能否达到设计要求进行核定。从目前情况看,有些业务勘察单位并未开展起来,但从岩土工程发展来看,这些都是在高层建筑勘察设计中需要岩土工程师解决的问题,故在规范条文中列出这些试验项目,希望勘察单位能进一步拓展业务,积累工程经验。试验要点应按相关标准执行。
9.1.2 对于勘察等级为甲级及以上的高层建筑,单桩抗压、抗拔承载力应采用现场单桩竖向抗压、抗拔静载荷试验进行检验,在同一条件下不应少于3根。试验方法应按现行行业标准《建筑基桩检测技术规范》JGJ 106执行。当基础埋置深度很大,宜在开挖卸荷后的基础底面进行试桩,此时,也可采用自平衡法进行试桩。
条文说明
9.1.2有关抗拔系数λi修订的依据已在8.6.9~8.6.11条条文说明中作了详细说明。后来看见《广东土木与建筑》2017年第1期发表的深圳市建设工程质量检测中心杨立、张译天“深圳地区灌注桩抗拔性状分析”一文,文中提出,为避免不合格桩的概率太高,在现有施工和测试水平条件下,要调低抗拔桩的抗拔系数λi,由现在中~微风化的0.8~0.9调低至0.26~0.36。本标准在详细研究杨文后认为,将λi调低至小于第四系土层λi不合理。可以考虑保持λi和frk不变,调低C′2值,计算见表27。 表27λi值不变时反算的C′2和C2值不变时反算的λ′i
注:1由于系对比,计算Rta时不考虑u、h; 2R′ta②是实测桩的平均值。 从表27计算结果可看出,当抗拔系数保持不变,反算的C′2值为0.017~0.021,平均值0.019,确实要降低,但杨文说,由于多数未达极限状态,实测值可再高些。 现行《建筑桩基技术规范》JGJ94-2008条文说明提供了相当于C2、C1的ζs和ζp值,对较硬岩、坚硬岩ζs值为0.04~0.06,ζp为0.4~0.6,对极软岩、软岩,ζs为0.040~0.060,ζp为0.42~0.73,换算为特征值,应除2或乘0.5,即换算为特征值时,相当于C2的ζs值可取为0.02~0.03,相当于C1值的ζp可取0.2~0.3。 现行行业标准《公路桥涵地基与基础设计规范》JTGD63-2007规定对完整、较完整,较破碎,破碎、极破碎三类,其C1分别为0.6、0.5、0.4,C2分别为0.05、0.04、0.03,但表注2规定对钻孔桩要降低20%即乘0.8的系数;表注3规定对中风化岩作为持力层,C1、C2要分别乘0.75的折减系数。折减后C1分别为0.36、0.3和0.24;C2分别为0.03、0.024、0.018,取整为0.03、0.025、0.02。 本标准未采用C2法,而是采用表8.3.12求得的灌注桩极限侧阻力qsir和极限端阻力qpr计算。C2法与高标法对比如表28。 表28C2法与高标法对比 
当基础埋置深度很大,由于开挖卸荷,桩侧围岩应力降低,桩侧阻力可能减少,为此宜在基础底面处进行试桩,试桩方法由现通行的孔口“拉力型”改为孔底“推压型”。此时,试桩方法可由自平衡法来实现。该法装置简单,不占用过大场地,不需加载物和锚桩,可用于大吨位试桩。郭盛等在“深覆土条件下自平衡法基桩静载试验初探”一文(原载《建筑科学》2013年9月增刊:119-124)中,较详细地介绍了桩长29m、桩径1.8m、桩顶设计标高在现地面下20m、单桩设计承载力特征值达7000kN的试桩结果。
9.1.3 单桩水平承载力和桩侧土的水平抗力系数的比例系数应通过单桩水平静载荷试验进行检验,其数量不应少于3根。试验方法应按现行行业标准《建筑基桩检测技术规范》JGJ 106执行。
9.1.4 大直径桩的端阻力应采用大直径桩单桩端阻力载荷试验进行检验,其数量不宜少于3根。试验方法应按本标准附录E执行。
条文说明
9.1.4本标准提出的大直径桩端阻力载荷试验是模拟大直径桩的实际受力状态,采用的圆形刚性板直径800mm,试井直径等于承压板直径,试井底不保留3倍承压板宽度,即在桩周有超载的情况下进行。
9.1.5 对于采用复合地基的高层建筑,应进行单桩或多桩复合地基载荷试验,以最终确定复合地基承载力和变形模量,试验点的数量不应少于3点。试验方法应按现行行业标准《建筑地基处理技术规范》JGJ 79和《建筑地基检测技术规范》JGJ 340执行。
条文说明
9.1.5为更准确地确定复合地基承载力,有必要作两部分工作,一是对复合地基的增强体(柔性桩、半刚性桩、刚性桩)进行静载荷试验;二是对单桩或多桩承担的加固面积进行平板载荷试验。
9.1.6 对于高层建筑的抗浮桩和抗浮锚杆,应进行抗拔静载荷试验确定其抗拔承载力,宜采用循环加、卸载法,试验数量不应少于3根。试验方法应按本标准附录G执行。
条文说明
9.1.6对抗浮桩或抗浮锚杆,应根据其实际受力状况选择试验方法,本标准推荐均采用循环加、卸载法。
9.1.7 用于基坑支护的锚杆(土钉),应进行现场试验确定其抗拔承载力,试验数量每一主要土层不宜少于3根。试验方法应按现行行业标准《建筑基坑支护技术规程》JGJ 120执行。
9.1.8 当基础埋置深度超过15m时,最终确定天然地基或复合地基承载力特征值和变形模量的浅层平板载荷试验,宜在开挖卸荷后的基础底面进行,其数量不应少于3处。试验方法应按现行国家标准《建筑地基基础设计规范》GB 50007执行。
条文说明
9.1.8当基础埋深大于15m时,由于开挖卸荷后,地基回弹、鼓胀、松弛,将可能使地基承载力、变形模量降低,故对天然地基和复合地基等浅基础宜在基础底面处做浅层平板载荷试验进行验证。
9.1.9 当以现场直接剪切试验确定岩土体抗剪强度时,试验方法应按现行国家标准《岩土工程勘察规范》GB 50021执行,其数量不应少于2组。
9.1.10 当以荷载试验确定地基的竖向和水平方向基准基床系数时,试验方法应按本标准附录H执行。
9.2 施工检验
9.2 施工检验
9.2.1 施工检验应包括下列内容:
1 基槽检验;
2 桩基持力层检验;
3 复合地基、桩基检测;
4 岩土性状、地下水埋藏特征的核查。
9.2.2 基槽检验应在天然地基开挖或基坑开挖到底时进行,应检查其揭露的地基条件与勘察成果的相符性,包括用轻便动力触探等手段检测暗浜、古井、墓穴的位置、土层的分布、持力层的埋深和岩土性状等。
条文说明
9.2.2基槽检验工作是由建设方、施工方会同勘察、设计单位一起进行,主要对基槽揭露的地层情况进行检查,是否到了设计所要求的地基持力层等。
9.2.3 桩基工程应通过试钻或试打检验岩土条件与勘察成果的相符性。对大直径挖孔桩,应核查桩基持力层的岩土性质、埋深和起伏变化情况。桩身质量可采用反射波法、声波透射法或钻芯法检测,单桩承载力可采用静载荷试验检测。
条文说明
9.2.3由于桩基工程的重要性和隐蔽性,应在工程桩施工前进行试钻或试打,检验实际岩土条件与勘察成果的相符性。对大直径挖孔桩,应逐桩进行持力层检验。对桩身质量的检验,抽检数量应根据工程重要性、地质条件、基础形式、施工工艺等因素综合确定,抽检数量应按现行行业标准《建筑基桩检测技术规范》JGJ106执行,抽检方式必须随机、均匀、有代表性,对重要工程及一柱一桩形式的工程宜100%检验。对于高应变确定单桩承载力应有静载的对比资料。
9.2.4 复合地基工程应根据复合地基类型对增强体和桩间土进行检测,检测方法可按现行行业标准《建筑地基检测技术规范》JGJ 340执行。
9.2.5 当发现岩土性状、地下水埋藏特征与原勘察报告不符或有异常时,应对出现的问题进行分析并提出解决意见,必要时可进行施工阶段补充勘察。
9.3 现场监测
9.3 现场监测
9.3.1 工程施工及使用过程中应对岩土体性状、周边环境、相邻建筑、地下管线设施所引起的变化进行现场监测,并视其变化规律和发展趋势,提出相应的防治措施。任务需要时,现场监测主要包括下列内容:
1 基坑工程监测;
2 基底回弹观测;
3 沉桩施工监测;
4 地下水长期观测;
5 建筑物沉降观测。
9.3.2 现场监测应根据委托方要求、工程性质、施工场地条件与周围环境受影响程度有针对性地从施工开始进行。当出现下列情况之一时,应开展相应监测工作:
1 基坑开挖施工引起周边土体位移、坑底土隆起影响支挡结构、相邻建筑和地下管线设施的安全时;
2 地基加固或打入桩施工时,可能影响相邻建筑、地下管线和道路安全时;
3 当地下水位的升降影响岩土的稳定时;
4 当地下水上升对建(构)筑物产生浮托力或对地下室和地下构筑物的防潮、防水产生较大影响时。
条文说明
9.3.1、9.3.2现场监测的内容主要取决于工程性质及周围环境的状况。本条文列出了应布置现场监测的几种情况,基于岩土工程的理论计算还不十分精确,具有半经验半理论特点,为保证工程安全,监测是非常必要的,既能根据监测数据指导施工,也为岩土工程的反演计算研究提供资料。
9.3.3 现场监测前应进行踏勘、编制工作纲要、设置监测点和基准点、测定初始值、确定报警值。
9.3.4 基坑施工前应对周围建筑物和有关设施的现状、裂缝开展情况等进行调查,并应进行记录或拍照、摄像作为施工前档案资料。
9.3.5 各类仪器设备在埋设安装前均应进行重新标定。各种测量仪器除精度需满足设计要求外,应定期由法定计量单位进行检验、校正,并出具合格证。
条文说明
9.3.3~9.3.5正式监测前应做的准备工作。
9.3.6 现场监测的结果应分析整理、仔细校核,及时提交当日报表。当监测值达到报警指标时,应及时签发报警通知。必要时,应根据监测结果提出施工建议和预防措施。
条文说明
9.3.6监测资料应及时整理,监测报表应及时提交有关方,以指导以后施工。当监测值达到或超过报警值时,应有醒目的标识,并及时报警。
9.3.7 基坑工程监测应按现行国家标准《建筑基坑工程监测技术规范》GB 50497执行。
9.3.8 坑底回弹监测应符合下列规定:
1 监测点宜按剖面布置,监测剖面宜从中部开始向纵向和横向延伸,数量不应少于2条;
2 剖面上监测点间距宜为10m~30m,数量不宜少于3个;
3 直接监测点竖向上宜布置在基坑底部0.2m~0.3m或基底相应的目标土层内。
9.3.9 沉桩施工监测应根据工程情况、有关规范和设计要求选择下列部分或全部内容进行:
1 在挤土桩和部分挤土桩沉桩施工影响范围内地表土和深层土体的水平、竖向位移和孔隙水压力的变化情况;
2 邻近建筑物的沉降及邻近地下管线水平、竖向位移;
3 当为锤击法沉桩时,还应根据需要监测振动和噪声。
9.3.10 地下水长期观测应符合下列规定:
1 观测孔宜按三角形布置,同一水文地质单元观测孔数不宜少于3个;
2 地下水位变化较大的地段或上层滞水或裂隙水赋存地段,均应布置观测孔;
3 在邻近地表水体的地段,应观测地下水与地表水的水力联系;
4 地下水受污染地段,应定期进行水质变化的观测;
5 观测期限应至少有一个水文年;
6 对采用基底地下水减压法抗浮工程,应在基底均匀布置水压力计,每个基底不应少于4处,监测应从基础顶板完成后开始,监测频率不应少于每6个月一次,监测期限不应小于设计正常使用期。
条文说明
9.3.7~9.3.10包含了基坑监测、坑底回弹监测、沉桩施工监测和地下水长期观测的基本内容,具体实施时应根据需要选择监测项目。
9.3.11 建筑物沉降观测应符合下列规定:
1 在被观测建筑物周边的适当位置,应布置2个~3个沉降观测水准基点。水准基点标石应埋设在基岩层或其他稳定地层中。埋设位置以不受周边建(构)筑物基础压力的影响为准,在建筑区内,水准基点与邻近建筑物的距离应大于建筑物基础最大宽度的2倍;
2 沉降观测点的布设应根据建筑物体形、结构形式、工程地质条件等确定,可沿建筑物外墙周边、角点、中点每隔10m~15m或每隔2根~3根柱基设置。对高低层连接处、不同地基基础类型、沉降缝连接处以及荷载有明显差异处,均应布置沉降观测点;
3 沉降观测应根据建筑物的重要性、使用要求、基础类型、工程地质条件及预估沉降量等因素综合确定;
4 宜在基础底板浇筑后开始测量,施工期间宜每增加一层观测一次,竣工后,第一年每隔2个~3个月观测一次,以后每隔4个~6个月观测一次,直至沉降相对稳定为止;
5 沉降相对稳定标准可根据观测目的、要求并结合地基土压缩性确定,高层建筑采用半年内日平均沉降速率(0.01~0.02)mm/d作为沉降相对稳定标准,对软土地基沉降观测时间宜持续5年~8年;
6 埋设在基础底板上的初始沉降观测点应随施工逐层向上引测至地面以上。
条文说明
9.3.11建筑物沉降观测应符合条文规定,未尽事项可按现行行业标准《建筑变形测量规范》JGJ8执行。关于沉降相对稳定标准:根据现行行业标准《建筑变形测量规范》JGJ8,“一般观测工程,若沉降速度小于(0.01~0.04)mm/d,可认为已进入稳定阶段”;上海工程建设规范《地基基础设计规范》DBJ08-11规定“半年沉降量不超过2mm,并连续出现两次”;很多城市规定沉降相对稳定标准为沉降速度小于0.01mm/d,所以对高层建筑采用半年内日平均沉降速率(0.01~0.02)mm/d作为沉降相对稳定标准。
10 特级勘察
10 特级勘察
10.0.1 勘察等级为特级的高层建筑岩土工程勘察(以下简称特级勘察),其勘察阶段应按本标准第3.0.3条规定分为可行性研究勘察、初步勘察、详细勘察三阶段进行。
条文说明
10.0.1由于超高层建筑竖向、水平荷载大、变形要求严,基础埋置深,设计复杂,建筑结构设计条件只能逐步明确,因此特级勘察工作应根据设计条件而逐步深入,有序地分阶段进行,以保证勘察工作的技术经济合理。设计期间的设计参数检验主要进行原位试验或原型试验,为设计提供可靠参数;施工期间,往往会暴露出一些岩土工程问题,应针对这些问题进行补充性质的施工勘察。
10.0.2 特级勘察应根据原位测试、原型试验或类似工程实测沉降反分析,结合地区经验综合论证后提出计算稳定性、承载力、强度、变形分析评价的参数。
条文说明
10.0.2特级勘察勘探孔深度较大,工程地质钻探、取样、测试工艺存在一定的局限性,例如深部原状土样(特别是软土)的采取极易造成扰动,卵石层(可能的桩端持力层)的采取难度很大等,另外取出土样应力释放对试验结果会有较大的影响。因此应当鼓励研制和采用更为先进的钻探、取样技术,如深孔软土取样器、植物胶护壁以及采取砂砾石土样等,以便更为准确地鉴别地层分布。对于深部地层的原位测试,如标准贯入试验、重型圆锥动力触探试验,由于深度越大,能量损失越大,造成试验结果的准确性下降,同时对深部砂卵石的适用程度也需要进一步探讨;其他原位测试方法,由于试验设备的限制,也只能测试到一定深度。因此,需要改进现有的测试方法,采取辅助措施获得深层土体的测试参数。同时也认识到单一或几种方法已经不能满足高层建筑特级勘察要求,应该多收集同类型的工程经验,精心编制现场原型试验方案,通过多参数的综合分析,相互验证,以建立与原位测试参数、土的物理力学性指标的经验统计关系,指导工程实践。
10.0.3 特级勘察勘探点布置范围应包括核心筒、主楼投影区、主楼外扩区(一般为建筑物边线外一至二柱跨),并宜与结构设计共同确定边线取值;勘探点数量、间距及控制性勘探点的数量应符合本标准第4章勘察等级甲级的规定,控制性勘探点宜布置在建筑物主体四周角点及核心筒中心部位。
10.0.4 特级勘察勘探点深度应根据基础埋深、荷载分布、地层结构及基础方案等条件综合确定,并应符合下列规定:
1 当以可压缩土层(包括全风化和强风化岩)作为桩筏、桩箱基础桩端持力层时,一般性勘探孔的深度应进入预计最大桩端入土深度以下不小于0.7b(b为筏形或箱形基础宽度),控制性勘探孔孔深应达到桩端平面以下附加应力为上覆土有效自重压力20%的深度,并不小于桩端平面以下1.5b,当遇微风化基岩时,一般性勘探孔可钻入微风化岩1m~3m后终孔,控制性勘探孔可钻入微风化岩3m~5m后终孔;
2 对一般岩质地基的嵌岩桩,一般性勘探孔深度应钻入预计嵌岩面以下3d~5d,控制性勘探孔应钻入预计嵌岩面以下5d~8d,并应满足筏形或箱形基础平面以下不小于1.0b。
条文说明
10.0.4由于勘察等级为特级的超高层建筑较甲级荷载更大、基础埋置更深,绝大多数都将采用桩基,只有极少数有可能采用天然地基、复合地基,本条针对采用桩基时的两种情况对其勘探深度的要求做出了规定: 1当基岩埋置很深,例如上海、天津、西安等地,只能以可压缩性土层(包括全风化、强风化岩)作为桩筏或桩箱基础的桩端持力层,此时一般性钻孔的深度应适当大于主要受力层的深度,根据天然地基计算沉降的经验取0.7b,对于控制性钻孔应超过计算沉降深度即压缩层的深度,根据天然地基计算沉降的经验取1.5b; 2当基岩埋置深度相对较浅,以中风化、微风化岩作为桩端持力层的嵌岩桩,其单桩竖向极限承载力标准值的确定,按现行行业标准《建筑桩基技术规范》JGJ94,它取决于嵌岩深径比hr/d和岩石的饱和单轴抗压强度frk。JGJ94和本标准第4章规定一般性勘探点为1d~3d,控制性勘探点为3d~5d,由于特级勘察建筑荷载较甲级更大,为取得更高的单桩承载力,一般性勘探点取3d~5d,控制性勘探点深度取5d~8d,现行行业标准《建筑桩基技术规范》JGJ94最大嵌岩深度为8d。
10.0.5 为场地地震反应分析提供资料的勘探孔,应能代表场地的地层结构和不同工程地质单元,孔深应进入基岩层且剪切波速不小于500m/s。当基岩埋深大于100m,且有邻近或区域深孔资料、土动力参数可参照时,孔深可适当减少,但不应小于100m。
10.0.6 特级勘察应结合土层条件及工程要求,进行下列原型试验:
1 当拟以坚硬密实土、砂、卵石层或全、强风化岩作为特级勘察超高层建筑桩基或复合桩基持力层时,应进行桩基或复合桩基载荷试验,以提供相应地基的承载力特征值和变形模量;
2 宜实测基坑回弹量;
3 当桩基采用超长桩、后注浆、扩底桩等技术时,应结合试成(沉)桩以及现场静载试验实测结果提供相应设计、施工参数;
4 当水文地质参数难以通过室内试验获取时,应通过单井或群井抽水试验提供相应参数;
5 抗浮桩、抗浮锚索、锚杆应进行抗拔力试验。
10.0.7 评价大直径超长桩对桩基承载力及建筑物沉降影响时,宜分析下列因素的影响:
1 尺寸效应对单桩承载力影响;
2 超长桩桩身压缩量;
3 嵌岩桩中非嵌岩段侧阻力的贡献;
4 主楼外扩区与投影区、核心筒桩基变刚度协调底板变形。
10.0.8 基础埋深较大时,应分析卸荷引起的地基土回弹和回弹再压缩对工程的不利影响,估算地基土的回弹量和回弹再压缩量,分析地基土应力历史对回弹量的影响。地基的回弹变形量s r 、地基的回弹再压缩量s rc 可按下列公式估算:
1 正常固结土可按下列公式估算:


式中:s r 、s rc ——地基的回弹量(mm)、地基的回弹再压缩量(mm);
σ zri ——由于基坑开挖卸荷,引起基础底面处及底面以下第i层土中点处产生向上回弹的附加应力,相当于该处有效自重压力的减量(kPa),为负值;
σ zrci ——基坑开挖卸荷回弹后,随着结构施工再加荷,加至卸除基坑底面以上土的有效自重压力时,基坑底面及基坑底面以下第i层土中点产生的附加应力的增量(kPa),为正值;
ψ r 、ψ rc ——回弹量计算经验系数和回弹再压缩量计算经验系数,应根据类似工程条件下沉降观测资料及群桩作用情况综合确定,当无经验时可取1.0;
n——地基变形计算深度范围内所划分的土层数;
h i ——第i层土厚度(m);
δ m ——由Boussinesq解,换算为Mindlin解的应力修正系数,可按本标准附录J确定,当δ m >1.0时取δ m =1.0;
α i ——按Boussinesq解的竖向附加应力系数,可根据本标准附录C表C.0.3确定,l、b分别为基础底面的长度和宽度,z i 为基坑底面至第i层土中点的距离;
p e ——基坑底面处有效自重压力(kPa),地下水位以下应扣除浮力;
p 0c ——基坑开挖卸荷后,随着结构施工基坑底面处新增的附加压力;
E ri 、E rci ——第i层土的回弹模量、回弹再压缩模量(MPa),按本标准附录A回弹模量和回弹再压缩模量室内试验要点确定。
2 当需分析地基土应力历史对回弹量的影响时,可采用回弹指数C si 按下列公式估算地基回弹量:

式中:C si ——坑底开挖面以下第i层土的回弹指数,C si 可用e-logp曲线按应力变化范围确定;
e 0i ——第i层土的初始孔隙比;
p czi ——考虑应力修正系数(δ m )后的第i层土层中心点的原有土层有效自重压力(kPa);
p ci ——第i层土的原有有效自重压力(kPa)。
条文说明
10.0.8早在20世纪三四十年代Terzaghi等就注意到小的开挖段产生的回弹量比大的开挖段要小的事实。Baladi(1968)曾研究了线弹性介质内条形挖方坑底的隆起问题。Duncan(1970)利用了曲线模型,对基坑隆起进行了有限元计算。 日本《建筑基础构造设计基准》规定坑底隆起回弹量使用分层总和法,其计算式为:
式中:Csi——坑底开挖面以下第i层土的回弹指数,Csi可用e-lgp曲线按应力变化范围做回弹试验确定; e0i——相应于第i层土的孔隙比; hi——第i层土的厚度(m); pni——第i层土层中心的原有土层上覆荷重(kN/m2); △pi——挖去的第i层土的荷载(kN/m2)。 上海地基基础设计规范采用工程上常用的分层总和法计算基坑开挖时土体隆起变形计算:
式中:Eei为第i层土体的割线膨胀模量;p0为基坑顶面作用的荷载,即把挖去的土重作用于基坑顶面;B为基础宽度;δi,δi-1为沉降系数。 上述两种回弹变形计算模式中,第一种考虑土体应力历史,比较合理,但是自上而下的应力卸载量保持不变与理论及实测差别较大;公式无法考虑尺寸效应,基坑规模往往决定了回弹量大小;公式中将卸载作为反向荷载与自重荷载相加后来确定对应位置孔隙比,概念不合理。第二种考虑分层应力差别,与实际情况相似,而且能考虑尺寸效应,但是无法考虑土体应力历史,应力解采用布氏解与实际情况有差别,尤其对于深基坑,效应更明显。因此本标准修订时,当采用回弹指数方法,卸载解应采用坑底一定深度处Mindlin解,不同深度采用不同应力解。
式中:Cri——坑底开挖面以下第i层土的回弹指数,Cri可用e-lgp曲线按应力变化范围做回弹试验确定; ei——相应于的第i层土的孔隙比; hi——第i层土的厚度(m); pzi——第i层土层中心的原有土层上覆荷重(kN/m2); σzi——按修正后Boussinesq解计算的挖去第i层土层顶及层顶衰减应力平均值,即按土层中点的应力计算(kN/m2)。 计算坑底卸载产生的土体应力采用Mindlin解更合理,但分析表明在较浅基坑情况下按Mindlin解计算的挖去第i层土层顶及层顶减少的应力平均值与Boussinesq解相差不大,当开挖深度与基坑开挖宽度比超过0.2后,误差相对较大,当深宽比为2时,按Mindlin解计算附加应力仅为按Boussinesq解的57%,因此对于深基坑有必要按照Mindlin解进行土体中卸载应力计算。Mindlin解推导过程及计算方法如下: 基坑开挖后,土体卸载所产生的竖直向应力对于埋深为D3、面积为2A×2B的矩形地下室,由于土体卸载而在地基土中所产生的竖向应力(如图15、图16所示),为Mindlin解在面积区域2A×2B范围内的积分,即:
图15剖面示意图
图16Mindlin解示意图 
上式表明除了与基坑开挖尺寸相关以外,还与土体的泊松比μ相关。通过大量计算表明,对于土体泊松比在0.25~0.45间,不同泊松比对计算结果影响较小,一般可按0.4进行计算。 上述公式计算较为麻烦,故实际计算时可按Boussinesq解应力值乘以一修正系数,表明其与Mindlin解之间的对应关系,简写为:
其中αi是按Boussinesq解计算的附加应力系数,可按附录C表C.0.3确定,δm为应力修正系数,可通过查附录J表J.0.2确定,当δm>1时取δm=1.0。 公式(10.0.8-1)~公式(10.0.8-4)的基本理念是:当基坑逐步开挖卸荷至基础底面时,基础底面及其以下的各土层必然产生向上的回弹应力,在基础底面处其值等于所卸除土的有效自重压力,可以此作为计算向上回弹量的附加应力。它在基础底面处最大;随着离基础底面越远,此应力越小,此应力的衰减按Boussinesq解的α系数求取,然后乘以修正系数δm,变为Mind-lin解。此即为式中的σzri=δmαipc,在求得各层的回弹附加应力后,根据胡克(Hookean)定律——在弹性限度内,物体的形变跟引起形变的外力成正比。在已知变形模量E0后,即可按sc=σ/E0求取回弹量。 现举例说明两种计算方法:某基坑长60m,宽50m,地下水位在地表以下0.5m,地基土参数如表26所示,计算开挖深度为25m时回弹量,回弹计算中采用的土性指标如表29所示。 表29回弹量计算中采用的土性指标
分别按照回弹模量法和回弹指数法计算回弹量,计算终止深度按照1.5倍基坑开挖深度(遇淤泥质土继续算至淤泥质土层底)。 1按公式(10.0.8-1)、公式(10.0.8-3)和图17计算回弹量,自重应力计算见表30,开挖至25m时卸土应力p0=198kPa,ψr=1.0,δm=0.868。
图17基坑回弹量计算示意 表30按回弹模量法计算回弹量示例 
2按公式(10.0.8-5)计算,开挖至25m时卸土应力p0=198kPa,ψr=1.0,δm=0.868。
公式(12)实质上是考虑应力历史,按正常固结土计算回弹量的公式,计算示例,见表31。 表31按回弹指数法计算回弹量示例 
从表30和表31计算结果看,前者略大于后者,但总的看来,比较接近。
10.0.9 当地基回弹量按本标准第10.0.8条估算时,计算深度应自基坑底面算起,算到坑底以下1.5倍基坑开挖深度处,当在计算深度以下尚有软弱下卧土层时,应算至软弱下卧层底部。
10.0.10 估算基坑回弹对桩基影响时宜同时分析单桩在上部荷载作用下产生沉降的影响。
条文说明
10.0.11伴随着近年来大规模的城市建设,密集的市政设施、地铁网络如血脉一般贯通城市,超高层建筑往往邻近重大市政设施、重要建筑、地铁,其建设施工(基坑开挖与降水、高层建筑桩基工程等)的群体活动都会对周边环境安全造成不同程度的影响:超高层建筑往往建设在城市核心区的繁华地带,周边环境条件极其复杂,特别当超高层建筑以建筑组团方式建设时,如北京CBD、上海陆家嘴、广州珠江新城等,因此除了自身各工序的协调外,还需考虑相邻地块、地下共同体(交通市政廊道)的同期或者交叉施工问题,结合地层、地下水条件开展综合施工与管理。 随着地下水资源的不断超量开采,区域地面沉降成为城市建设活动中所面临的一个重要地质灾害问题,具有易发性、缓变性、累进性和不可逆性等特点。当大面积地面沉降量达到一定程度后会对城市道路、地下管线设施、轨道交通、桥涵及其他各类建(构)筑物的正常使用带来不利影响,甚至造成破坏。因此如果拟建超高层建筑位于区域地面沉降区时,应分析区域地面沉降可能对该工程基础稳定性造成的不利影响。 深大基坑往往会涉及多层地下水的施工降水问题,尤其是对于目前密集的高层建筑群,而施工降水将造成工程场区及其周边地区地下水位(或水头)的下降,引起一定范围内孔隙水压力场和有效应力场的重新分布。由于地下水位(或水头)降低,将造成受降水影响范围内的地基土层有效应力增大,从而将导致地基土层压缩或沉降,进而引起影响范围内各类地下、地面建(构)筑物的变形、开裂,管线的爆裂等不良影响,因此也需要予以正确合理的评价。
10.0.11 邻近重大市政设施、重要建筑、地铁的超高层建筑,评价其施工对周边环境造成的影响时宜分析下列因素的影响:
1 基坑工程开挖引起的坑壁侧向位移和坑底土体回弹;
2 长时间的基坑降水活动引起大面积土体沉降,进而引起周边环境的差异沉降;
3 密集高层建筑的桩基拖带影响范围内地铁隧道共同沉降;
4 周边各类工程活动在空间与时间上的叠加影响效应;
5 在工程活动作用时,周边环境自身结构的变形响应。
10.0.12 特级勘察应根据设计要求进行设计参数检验,当采用天然地基时,应进行浅层平板载荷试验,以最终确定持力层的承载力特征值、变形模量或竖向基床系数;当采用桩基时,应进行基桩竖向抗压、抗拔载荷试验或水平载荷试验,以最终确定基桩的抗压、抗拔承载力特征值、桩侧地基土水平抗力系数的比例系数,基桩的竖向、水平向基床系数等参数。
条文说明
10.0.12设计参数检验的概念是原规程JGJ72-2004首次提出的,经10多年规程执行和工程实践后,认为对超高层建筑,特别是勘察等级为特级的超高层建筑,进行设计参数检验非常有必要。例如屋面结构高度达596.5m的天津117大厦,按设计要求进行了桩直径1m的4根超长桩(2根100m,2根120m)和10根100m长的锚桩的试桩工作,根据试桩的过程数据和成桩检测数据分析,调整了工程桩的设计参数,满足了117大厦结构受力的安全要求(详见《基础工程》2015年第6卷,总32期,左传文“解读天津117大厦:中国结构第一高楼”一文)。
10.0.13 底板监测可根据荷载分布特点布置,并宜包括下列内容:
1 底板挠曲、差异变形;
2 底板钢筋应力;
3 基底土压力;
4 基底回弹量和回弹再压缩量;
5 底板施工过程中大体积混凝土水化热;
6 桩端阻力、桩侧摩阻力分布规律。
11 岩土工程勘察报告
11.1 一般规定
11 岩土工程勘察报告
11.1 一般规定
11.1.1 高层建筑岩土工程勘察报告应结合工程特点和主要岩土工程问题进行编写,并应资料完整、真实准确、数据无误、图表清晰、结论有据,工程措施建议因地制宜、合理可行。文字报告与图表部分应协调一致。
条文说明
11.1.1本条是对高层建筑岩土工程勘察报告总的要求,包括了四个方面,一是报告书要结合高层建筑的特点和各地区的主要岩土工程问题;二是对报告书的基本要求;三是强调报告书要因地制宜,突出重点,有工程针对性;四是说明文字报告与图表的关系。
11.1.2 针对特殊、复杂、疑难问题,可根据任务要求,进行有关的专门岩土工程勘察与评价,提供专题咨询报告。
条文说明
11.1.2本条是指通常的高层建筑岩土工程勘察报告书内容不能包括的特殊岩土工程问题(具体见11.2.11),宜进行专门岩土工程勘察评价,提交专题咨询报告,咨询费用应另行计算。
11.2 勘察报告主要内容和要求
11.2 勘察报告主要内容和要求
11.2.1 高层建筑岩土工程初步勘察报告应满足初步设计的要求,对拟建场地的稳定性和建筑适宜性作出明确判断,作为设计确定高层建筑总平面布置、选择地基基础类型、防治不良地质作用的依据。
条文说明
11.2.1本条提出高层建筑初步勘察报告书的要求,报告书内容应回答建筑场地稳定性和建筑适宜性,高层建筑总平面图,选择地基基础类型,防治不良地质现象等问题,以满足高层建筑初步设计要求。
11.2.2 高层建筑岩土工程详细勘察报告应满足施工图设计要求,为高层建筑地基基础设计、地基处理、基坑与边坡工程、基础施工方案及地下水控制方案的确定等提供岩土工程资料,并应作出相应的分析和评价。高层建筑岩土工程详细勘察报告应包括下列内容:
1 建筑、结构条件及荷载特点,地下室层数、基础埋深及形式等基本情况;
2 场地和地基的稳定性,不良地质作用、特殊性岩土和地震效应评价;
3 采用天然地基的可能性,地基均匀性、承载力评价;
4 对复合地基和桩基的桩型和桩端持力层选择,桩的侧阻力、端阻力提出建议;
5 地基变形特征预测;
6 地下水和地下室抗浮评价;
7 基坑开挖和支护的评价;
8 施工中应注意的工程问题及工程对环境的影响分析与评价;
9 对检测与监测的建议;
10 对初步勘察中遗留的问题作出结论。
条文说明
11.2.2本条提出了高层建筑详细勘察报告的服务对象,指出了详细勘察报告应解决高层建筑地基基础设计与施工中的主要问题;强调了高层建筑岩土工程详细勘察报告与一般建筑详细勘察报告相比应突出的内容,包括拟建高层建筑的基本情况、场地及地基的稳定性与地震效应、天然地基、桩基、复合地基、地下水、基坑工程、施工中应注意的工程问题、有关风险及对周边环境影响分析、警示及评价等,其中第8款是本次修订时增加的。
11.2.3 详细勘察报告应阐明影响高层建筑的场地、地基稳定性及不良地质作用的分布及发育情况,评价其对工程的影响。场地地震效应的分析与评价应符合现行国家标准《建筑抗震设计规范》GB 50011的规定;建筑边坡稳定性的分析与评价应符合现行国家标准《建筑边坡工程技术规范》GB 50330的规定。
条文说明
11.2.3高层建筑场地稳定性及不良地质作用的发育情况,如果已做过初勘并有结论,则在详勘中应结合工程的平面布置,评价其对工程的影响;如果没有进行初勘,则应在分析场地地形、地貌与环境地质条件的基础上进行具体评价,并作出结论。
11.2.4 详细勘察报告应对地基岩土层的空间分布规律、均匀性、强度和变形性质及与工程有关的其他特性进行定性和定量评价。岩土参数指标的分析和选用应符合现行国家标准《建筑地基基础设计规范》GB 50007和《岩土工程勘察规范》GB 50021的规定。
条文说明
11.2.4详勘报告应明确而清楚地论述地基土层的分布规律,对地基土的物理力学性质参数及工程特性进行定性、定量评价,岩土参数的分析和选用应符合有关国家标准。
11.2.5 详细勘察报告应阐明场地地下水的类型、埋藏条件、水位、渗流状态,提供有关水文地质参数,并应评价地下水对混凝土和钢筋混凝土中钢筋的腐蚀性及对深基坑、边坡工程的不良影响。深基础位于地下水位以下者,应分析地下水对成桩工艺及复合地基施工的影响。
条文说明
11.2.5由于地下水在高层建筑设计中的作用和影响日益受到重视,因此在传统的查明水文地质条件和参数的前提下,本次修订还要求报告书对地下水抗浮设防水位、地下水对基础及边坡的不良影响,以及对地基基础施工的影响进行分析和评价。
11.2.6 天然地基方案应对地基持力层及下卧层进行分析,提出地基承载力和沉降计算的岩土参数和指标,宜结合工程条件对地基变形进行分析评价。当采用岩石作为天然地基持力层时,应鉴定岩层的时代、名称和风化程度,并进行岩石坚硬程度、岩体完整程度和岩体基本质量等级的划分,以确定岩石地基的承载力。
条文说明
11.2.6详勘报告书对天然地基方案的分析,首先应着眼于对地基持力层和下卧层的评价,在归纳了勘察成果及工程条件的基础上,提出地基承载力和沉降计算所需的有关参数供设计使用。
11.2.7 桩基方案应分析提出桩型、桩端持力层的建议,提供桩基承载力和桩基沉降计算的参数,宜进行不同情况下桩基承载力和桩基沉降量的分析与评价,对各种可能选用的桩基方案宜进行必要的分析比较,提出建议。
条文说明
11.2.7 详勘报告对桩基方案的分析,首先应着眼于桩型及桩端持力层(桩长)的建议,提出桩基承载力和桩基沉降计算的有关参数供设计使用,对各种可能方案进行比选,推荐最佳方案。
11.2.8 复合地基方案应根据高层建筑特征及场地条件,建议增强体类型,并提供加固深度或桩端持力层建议。应提供复合地基承载力及变形分析计算所需的岩土参数指标。
条文说明
11.2.8详勘报告对复合地基方案的分析,应在分析建筑物要求及地基条件的基础上提出可能的复合地基加固方案,确定加固深度,提出相关设计计算参数。
11.2.9 基坑工程应根据基坑的规模及场地条件,对基坑支护方案、基坑工程可能产生的主要岩土工程问题等提出建议。应根据场地水文地质条件,对地下水控制方案提出建议。
条文说明
11.2.9勘察报告要求,宜根据基坑规模及场地条件提出供设计计算使用的基坑各侧壁综合地质剖面的建议,并建议基坑支护方案。对地下水位高于基坑底面的基坑工程,还宜提出地下水控制方案的建议。
11.2.10 勘察报告应根据可能采用的地基基础方案、基坑支护方案及场地的工程地质、水文地质环境条件,对地基基础及基坑支护等施工中应注意的岩土工程问题及设计参数检测、现场检验、监测工作提出建议。
11.2.11 当遇到下列特殊岩土工程问题时,应根据任务要求进行专门岩土工程工作或分析研究,提供专题咨询报告:
1 场地范围内或附近存在性质或规模尚不明确的活动断裂及地裂缝、滑坡、高边坡、地下采空区等不良地质作用的工程;
2 水文地质条件复杂或环境特殊,需现场进行专门水文地质试验,以确定水文地质参数的工程;或需进行专门的施工降水、截水设计,并需分析研究降水、截水对建筑本身及邻近建筑和设施等周边环境影响的工程;
3 对地下水防护有特殊要求,需进行专门的地下水动态分析研究、专门进行地下室抗浮设计的工程;
4 建筑结构特殊或对差异沉降有特殊要求,需进行专门的上部结构、地基与基础共同作用分析计算与评价的工程;
5 根据工程要求,需对地基基础方案进行优化、比选分析论证的工程;
6 抗震设计所需的时程分析评价;
7 有关工程设计重要参数的最终检测、核定等。
条文说明
11.2.11对高层建筑建设中遇到的一些特殊岩土工程问题,勘察期间高层建筑勘察有时难以解决,这些特殊问题主要包括:查明与工程有关的性质或规模不明的活动断裂及地裂缝、高边坡、地下采空区等不良作用,复杂水文地质条件下水文地质参数的确定或水文地质设计,特殊条件下的地下水动态分析及地下室抗浮设计。工程要求时的上部结构、地基与基础共同作用分析,地基基础方案优化分析及论证,地震时程分析及有关设计重要参数的最终检测、核定等。针对这些问题要单独进行专门的勘察测试或技术咨询,并单独提出专门的勘察测试或咨询报告。
11.3 图表及附件
11.3 图表及附件
11.3.1 高层建筑岩土工程勘察报告所附图件应体现勘察工作的主要成果,反映拟建场地的地层结构与岩土工程性质的变化,并应与报告书文字相互呼应。主要图件及附件应包括下列内容:
1 岩土工程勘察任务委托书(含建筑物基本情况及勘察技术要求);
2 拟建建筑平面位置及勘探点平面布置图;
3 工程地质钻孔柱状图或综合工程地质柱状图;
4 工程地质剖面图;
5 当工程地质条件复杂或地基基础分析评价需要时,宜绘制下列图件:
1)关键地层层面等高线图和等厚度线图;
2)工程地质三维图;
3)工程地质分区图;
4)基坑各侧壁代表性的综合地质剖面;
5)特殊土或特殊地质问题的专门性图件;
6)设计参数检验、原型试验的图件。
条文说明
11.3.1勘察报告所附图件应与报告书内容紧密结合,具体分两个层次,首先是每份勘察报告书都应附的图件及附件主要有四种,本次修订增加了“岩土工程勘察任务书”的附件,它是勘察工作的主要依据之一;另一个层次是根据场地工程地质条件或工程分析需要而宜绘制的图件,这是本次修订增加的内容,它是根据不同场地及工程的情况来选择,条文只列出四种,实际工作还可以选择和补充。
11.3.2 高层建筑岩土工程勘察报告所附表格和曲线宜包括下列内容:
1 土工试验及水质分析成果表;
2 地基土原位测试试验曲线及数据表;
3 岩土层的强度和变形试验曲线;
4 重要的岩土工程设计分析成果图表等。
条文说明
11.3.2勘察报告所附表格和曲线,一方面要全面反映勘察过程中测试和试验的结果,另一方面要为岩土工程分析评价和地基基础设计计算提供数据。条文也只列了四种,实际工作也可以进行选择和补充。
附录A回弹模量和回弹再压缩模量室内试验要点
附录A 回弹模量和回弹再压缩模量室内试验要点
A.0.1 回弹模量和回弹再压缩模量应按室内固结试验测得的回弹曲线和回弹再压缩曲线计算求取。卸荷回弹引起回弹量的计算深度宜等同于沉降计算深度。
条文说明
A.0.1由于基坑开挖荷载将引起基坑底面以下的土体产生回弹,而计算回弹量所需深度与计算沉降所需深度密切相关,故规定计算回弹的计算深度等同于计算天然地基和桩基沉降的计算深度。
A.0.2 基础底面下第i层土回弹曲线和回弹再压缩曲线(图A.0.2)测求,应符合下列规定:

图A.0.2 第i层土回弹曲线和回弹再压缩曲线示意图
1-恢复自重压力压缩曲线;2-回弹曲线;3-回弹再压缩曲线
1 在基础底面下第i层土中点a i 处取不扰动土样,切取环刀进行标准固结试验,分级加荷至取样深度a i 点的有效自重压力p cai 处,p cai =γ′ h h i (γ′ h 为h i 深度以上土的按厚度加权平均有效重度,位于地下水位以下的土层取浮重度,h i 为第i层中点取样深度);
2 从第i层中点有效自重压力p cai 处开始分级卸荷,分级不少于2个点,卸荷压力p d 按基础底面埋深确定,即p d =γ′ d d(γ′ d 为基础埋置深度d以上土层按厚度加权平均有效重度),卸至p d =0处,可获得回弹曲线a i 、b i 点的孔隙比;
3 在p d =0处,再分级加荷至p cai 处,可获得回弹再压缩曲线上c i 点处的孔隙比;
4 根据回弹曲线和回弹再压缩曲线,按下列公式计算第i层回弹模量E ri 和回弹再压缩模量E rci ;

式中:E ri 、E rci ——第i层土的回弹模量,第i层土的回弹再压缩模量;
e bi 、e ai 、e ci ——回弹曲线和回弹再压缩曲线上,分别为b i 、a i 、c i 点固结压力下相对稳定后的孔隙比。
条文说明
A.0.2说明如下: 第1款分级加荷至基坑底面下每层土中点的有效自重压力处,取样深度的有效自重压力是为恢复试样所处的原位应力状态,故每层土的pcai是不同的。 第2款卸荷压力pd值是相同的,但开始卸荷的起始点pcai是不相同的。pcai是第i层中点原位深度处的有效自重压力值,ebi—eai是试样由于卸荷pd后,ai点回弹至bi点的回弹量,代表该土层开挖卸荷后所产生的回弹量。 第3款试样由回弹后的bi点再加荷至pcai的ci点,ebi—eci是试样由回弹后的bi点再加荷pd至pcai的ci点所产生的再压缩量,代表该层土的回弹再压缩量。 第4款变形模量是应力与应变的比值,此处,应力是基坑开挖卸荷的卸荷压力pd,应变是应力作用下试样变形△s与试样高度的比值,设试样原始高度为1,变形后的高度为1+ea(或1+eb),故可得到公式(A.0.2-1)和公式(A.0.2-2)。
A.0.3 加荷、卸荷分级压力按取土深度和开挖深度,由试验设计确定;加荷和卸荷每级压力后,每小时变形小于等于0.01mm时,作为相对稳定标准。
A.0.4 试验中的其他要求应符合现行国家标准《土工试验方法标准》GB/T 50123标准固结试验的规定。
附录B天然地基极限承载力估算
附录B 天然地基极限承载力估算
B.0.1 天然地基极限承载力可按下列公式估算:

式中:f u ——地基极限承载力(kPa);
f ak ——地基承载力特征值(kPa);
N γ 、N q 、N c ——地基承载力系数,根据地基持力层代表性内摩擦角标准值 φ k (°),按表B.0.1-1确定;
ζ γ 、ζ q 、ζ c ——基础形状修正系数,按表B.0.1-2确定;
b、l——分别为基础(包括箱形基础和筏形基础)底面的宽度与长度,当基础宽度大于6m时,取b=6m;
γ 0 、γ——分别为基底以上和基底组合持力层的土体平均重度(kN/m 3 )。位于地下水位以下且不属于隔水层的土层取浮重度;当基底土层位于地下水位以下但属于隔水层时,γ可取天然重度;如基底以上的地下水与基底高程处的地下水之间有隔水层,基底以上土层在计算γ 0 时可取天然重度;
d——基础埋置深度(m);
c k ——地基持力层代表性黏聚力标准值(kPa);
K——安全系数,应根据建筑安全等级和土性参数的可靠性在2~3之间选取。
B.0.2 天然地基极限承载力计算时,基础埋置深度d应根据不同情况按下列规定选取:
1 一般自室外地面高程算起,对于地下室采用箱形或筏形基础时,自室外天然地面起算,采用独立柱基或条形基础时,从室内地面起算;
2 在填方整平地区,可自填土地面起算;但若填方在上部结构施工后完成时,自填方前的天然地面起算;
3 当高层建筑周边附属建筑为超补偿基础时,宜分析周边附属建筑基底压力低于土层自重压力的影响。
表B.0.1-1 极限承载力系数表

表B.0.1-2 基础形状修正系数

附录C用变形模量E0估算天然和复合地基最终沉降量
附录C 用变形模量E 0 估算天然和复合地基最终沉降量
C.0.1 对筏形和箱形基础,地基最终平均沉降量可按下式估算:

式中:s——地基最终平均沉降量(mm);
ψ s ——沉降经验系数,根据地区经验确定,对花岗岩残积土ψ s 可取1;
p——对应于荷载效应准永久组合时的基底平均压力(kPa),地下水位以下扣除水浮力;
b——基础底面宽度(m);
δ i 、δ i-1 ——沉降应力系数,与基础长宽比(l/b)和基底至第i层和第i—1层(岩)土底面的距离z有关,可按表C.0.1-1确定;
E 0i ——基底下第i层土的变形模量(MPa),可通过载荷试验或地区经验确定;
η——考虑刚性下卧层影响的修正系数,可按表C.0.1-2确定。
表C.0.1-1 按E 0 估算地基沉降应力系数δ i


注:1 l与b分别为矩形基础的长度与宽度(m);
2 z为基础底面至该层土底面的距离(m);
3 r为圆形基础的半径(m)。
表C.0.1-2 修正系数η

C.0.2 按变形模量E 0 预测沉降时,沉降计算深度z n 可按下式确定:

式中:z n ——沉降计算深度(m);
z m ——与基础长宽比有关的经验值,按表C.0.2-1确定;
ξ——折减系数,按表C.0.2-1确定;
β——调整系数,按表C.0.2-2确定。
表C.0.2-1 z m 值和折减系数ξ

表C.0.2-2 调整系数β

当无相邻荷载影响,基础宽度在30m范围内时,基础中点的地基沉降计算深度也可按下式计算:

C.0.3 对扩展基础、条形基础按变形模量E 0 预测地基沉降时,可按下列公式估算:

式中:s——地基最终沉降量(mm);
E 0i ——基底下第i层土的变形模量(MPa);
h i ——第i层土的厚度(m);
η——沉降计算经验系数,对花岗岩类的土岩层可取0.8;对其他土层宜根据实测资料和工程经验确定;
p 0i ——第i层中点处的附加压力(kPa);
p k ——对应于荷载效应标准永久组合基础底面的平均压力(kPa);
p c ——基础底面以上土的自重压力标准值(kPa);
α——矩形基础和条形基础均布荷载作用下中心点竖向附加应力系数,可根据表C.0.3确定,l、b分别为基础底面的长度和宽度,z i 为基础底面至第i层土中点的距离。
表C.0.3 矩形基础和条形基础均布荷载作用下中心点竖向附加应力系数α(Boussinesq解)


附录D标准贯入试验成果估算预制桩竖向极限承载力
附录D 标准贯入试验成果估算预制桩竖向极限承载力
D.0.1 采用标准贯入试验成果测求混凝土预制桩的极限侧阻力可按表D.0.1取值。
表D.0.1 用标准贯入实测击数N测求混凝土预制桩极限侧阻力q sis


注:1 全风化,强风化软质岩和全风化、强风化硬质岩系指其母岩分别为f rk ≤15MPa、f rk >30MPa的岩石;
2 单桩极限承载力最终宜通过单桩静载荷试验确定;
3 表中数据可根据地区经验作适当调整;
4 带*者,主要适用于花岗岩、花岗片麻岩和火山凝灰岩硬质岩。
条文说明
D.0.1对于高层建筑,桩端埋置较深,有效桩长内可能穿过的黏性土、粉土、砂土、碎石土、全风化岩、强风化岩地层。除黏性土外均难取得不扰动土样测求桩侧阻力、端阻力所需指标,而标准贯入试验是国内外通用的测试手段,因此原规程JGJ72-2004提出用标准贯入试验实测击数N与预制桩各类岩土的极限侧阻力、极限端阻力建立关系。根据47根预制桩的载荷试验实测与计算的对比提出了附录D用标贯实测击数N求极限侧阻力表D.0.1-1和求极限阻力表D.0.1-2两张表。但经有关单位应用后提出这两张表存在以下问题: 1用标贯试验实测击数确定的黏性土、粉土极限侧阻力较用静力触探、液性指数、孔隙比确定的极侧阻力低很多。 经检查,侧阻力偏低的原因主要是标贯实测击数对黏性土状态的分档和对粉土密度的分档不合适。 根据《工程地质手册》第四版手拉绳实测标贯击数N(手)与黏性土液性指数IL建立了关系,另Terzaghi和Peck亦早已建立了实测标贯击数与黏性土的状态的关系,此关系在国际上通用,直到最近,在国外的勘探报告中仍采用此标准,现将两者对比列于表32。 表32标贯实测击数N与黏性土状态的经验关系 
从表32对比可看出,两者在可塑以前是一致的,可塑以后前者偏大,另考虑到前者系手拉绳测试的标准,现标准贯入试验早已不用而均采用机械控制,自动落锤,且考虑后者是国际上通用标准,故本标准应采用后者作为划分黏性土状态的标准。原JGJ72-2004规程虽然参考了上述标准,但并未按此划分,例如按泰氏标准N为4~8,相当于可塑,按现行行业标准《建筑桩基技术规范》JGJ94其极限侧阻力为55kPa~70kPa,而原JGJ72-2004规程,N为5~10时,其qsis仅为20kPa~30kPa;N为8~15时为硬可塑,其qsis为70kPa~86kPa,而原规程N为10~15时,仅为30kPa~50kPa。 现随机抽出三个工程的6组一般黏性土,既做了液性指数IL又做了标贯试验N的测试,按现行行业标准《建筑桩基技术规范》JGJ94表5.3.5-1,以IL、Terzaghi&Peck分档标准N1和原规程JGJ72-2004表D.0.1-1N2三种方法,严格按插入法求其侧阻力进行对比如表33所示。 表33一般黏性土按IL、N1、N2计算极限侧阻力对比 
注:表中的土性参数均为标准值,其中n1为物性指标的频数,n2为标贯频数。 从表33对比可看出: 1)按原规程JGJ72-2004表D.0.1计算的极限侧阻力较按桩规以IL分档计算的侧阻力偏低很多,不能应用,需要修订。 2)按N1分档所计算的侧阻力与按IL计算的侧阻力比较接近,约为后者的0.8~0.9,偏于安全。但对软塑一档(序号5),按N1所算得的侧阻力偏高,应用时应加以注意。 对于粉土,原规程JGJ72-2004按标贯实测击数对粉土密实度分档所求得极限侧阻力同样存在偏低现象,需要修改。经测算对比修改为:2<N≤6稍密,6<N≤12中密,12<N≤28密实,记为N①;原规程JGJ72-2004:5<N≤10稍密,10<N≤15中密,15<N≤(28)密实,记为N②;按单桥静力触探贯入阻力ps计算的极限侧阻力,按qsis=0.02ps记为按ps,按孔隙比e计算极限侧阻力的标准为:0.9<e≤(1.0)稍密,0.75<e≤0.9中密,(0.6)<e≤0.75密实,记为按e,带括号者为插入法计算用。随机抽样以此四种分档方法,按现行行业标准《建筑桩基技术规范》JGJ94各分档可规定的极限侧阻力计算对比如表34所示。 表34粉土按孔隙比e、静力触探ps和标贯实侧击数N计算极限侧阻力对比 

从表34对比可以看出: 1)以静力触探qsis=0.02ps计算极限侧阻力远大于按孔隙比e计算的极限侧阻力,应用时宜加以注意; 2)按原规程JGJ72-2004以N②划分密度标准计算的侧阻力远小于按孔隙比e计算的极限侧阻力,不宜采用; 3)按标贯实测击数以N①分档计算的极限侧阻力与按孔隙比计算的极限侧阻力比较接近,有大有小,(按e)/(按N①)所确定qsis的比值为0.8~1.15,有1个数据为1.56;另属Q3埋深在20m以下的粉土,其标贯击数均在12以上,属密实状态,这是合理的。本次修订采用N①标准; 4)对于北京地区,本次搜集的7个工程项目分布于北京市的各个区域。由于北京市特殊的地质成因,大部分粉土均为超固结土,属密实状态,本次统计样本个别为中密状态,因此室内试验的孔隙比均比较小,按照孔隙比确定的极限侧阻力值偏高(部分受近代河流影响区域除外),而按照标准贯入试验以N①分档计算的极限侧阻力相对较合理。 2用标准贯入击数确定极限端阻力时,原规程JGJ72-2004没有考虑岩土性质的差异。现将可以作为预制桩桩端持力层的主要岩土类别,按标贯击数实测击数N分档,参照行业标准《建筑桩基技术规范》JGJ94提出了预制桩极限端阻力的表。由于流塑、软塑的黏性土、稍密粉土、稍密状态的砂土均不适宜作为预制桩的桩端持力层,故本标准未列。 3关于花岗岩类岩石风化带的划分标准,主要应以野外鉴别为主,且风化程度是渐变的,但工程上又必须划出明确的界限。在深圳市建设初期的大量岩土工程勘察中,就提出了用标准贯入试验经杆长修正后的击数N′>50击作为划分花岗岩强风化的标准,并在花岗岩残积土的承载力表中,明确花岗岩残积土的N′为4击~30击,此规定纳入了国家标准《岩土工程勘察规范》GB50021-94之中,现行国家标准GB50021-2001沿用了GB50021-94的规定,但明确了N以“试验锤击数”为准,即不进行杆长修正。 杆长修正最早来自国家标准《建筑地基基础设计规范》GBJ7-89,据《岩土工程勘察规范》GB50021-94第9.5.4条条文说明:“杆长修正的理论依据来源于牛顿的碰撞理论,杆件系统质量不得超过锤重的两倍,这样就限制杆长在21m以内”,国内有的规范将杆长延伸至75m,修正系数为0.5是没有理论依据的,而且所有杆长修正系数都没有做过专门的试验。这就是目前由原来的N′改为N的原因。 本标准考虑到由杆长修正N′,改为不修正N后,其击数标准亦应作修改,若不改,将会使残积士、全风化、强风化的界限划浅,偏于不安全。故对击数标准要做修改,现以杆长为21m、最小修正系数α=0.7为准,反算实测击数N的击数,即N=30/0.7=42,取40击作为划分残积土的标准,N=50/0.7=71,取70作为划分强风化的标准,改用不修正的实测击数后,花岗岩类岩石击数标准应修改为:花岗岩残积土N<40,花岗岩全风化40<N≤70,花岗岩强风化N>70。经大量工程实践,用此标准划分花岗岩类岩石风化带与野外鉴别吻合。 至于全风化软质岩和强风化软质岩的划分标准是按现行行业标准《建筑桩基技术规范》JGJ94的标准执行,即该规范全风化软质岩30<N≤50,强风化软质岩虽然未按实测标准贯入击数N,而按重型动力触探N63.5>10划分,但全风化软质岩的实测标贯击数最大为N≤50,则强风化硬质岩的N自然应为N>50击。
D.0.2 采用标准贯入试验成果测求混凝土预制桩的极限端阻力可按表D.0.2取值。
表D.0.2 用标准贯入试验实测击数测求混凝土预制桩极限端阻力q ps


注:1 表中极限端阻力q ps 可根据标准贯入试验实测击数用插入法求取,表中N值带()者,系为插入法用;
2 表中中密—密实的中砂、粗砂、砾砂的q ps 范围值,中砂取小值,粗砂取中值,砾砂取大值;
3 表中数据可根据地区经验作适当调整;
4 带*者,主要适用于花岗岩、花岗片麻岩和火山凝灰岩硬质岩。
D.0.3 采用标准贯入试验成果可按下式估算预制桩单桩竖向极限承载力:

式中:q sis ——第i层土的极限侧阻力(kPa);
q ps ——桩端土极限端阻力(kPa)。
附录E大直径桩端阻力载荷试验要点
附录E 大直径桩端阻力载荷试验要点
E.0.1 大直径桩极限端阻力载荷试验应采用圆形刚性承压板,其直径应为0.8m。
条文说明
E.0.1制定本要点的目的是为测求大直径桩(包括扩底桩)的极限端阻力,以作为设计确定端阻力特征值的基础,不包括确定“埋深等于或大于3m的深部地基土的承载力”。 一般认为,载荷试验在各种原位测试中是最为可靠的,并以此作为其他原位测试和试验结果的对比依据。但这一认识的正确性是有前提条件的,即基础影响深度范围内的土层变化应均一。实际地基土层往往是非均质土或多层土,当土层变化复杂时,载荷试验反映的承压板影响范围内地基土的性状与实际基础下地基土的性状将有很大的差异。故在进行载荷试验时,对尺寸效应要有足够的认识。 考虑到大直径桩的定义是d≥0.8m的桩,故承压板直径取0.8m。
E.0.2 承压板应置于桩端持力层上,亦可在试井完成后,直接在外径为0.8m的钢环内浇灌混凝土而成,当试井直径大于承压板直径时,紧靠承压板周围外侧的土层高度不应小于0.8m;承压板上用小于试井直径的钢管联结,延伸至地面进行加荷;亦可利用井壁护圈作反力加荷,沉降观测宜直接在底板上进行。
条文说明
E.0.2本试验装置的设置原则是为模拟大直径桩的实际受力状态,要求试井直径等于承压板直径,当试井直径大于承压板直径时,紧靠承压板周围土层高度不应小于0.8m,以尽量保持承压板和荷载作用于半无限体内部的受力状态。加载时宜直接测量承压板的沉降,以避免加载装置变形的影响。
E.0.3 加荷等级可按预估极限端阻力的1/15~1/10分级施加,最大荷载应达到破坏,且不应小于设计端阻力的两倍。
E.0.4 在加每级荷载后的第一小时内,每隔10min、10min、10min、15min、15min观测一次,以后每隔30min观测一次。
E.0.5 在每级荷载作用下,当连续2h,每小时的沉降量小于0.1mm时,则认为已经稳定,可施加下一级荷载。
E.0.6 符合下列条件之一时可终止加载:
1 当荷载—沉降曲线上,有可判定极限端阻力的陡降段,且沉降量超过(0.04~0.06)d(d为承压板直径),压缩性小的岩土取小值,反之取大值;
2 本级沉降量大于前一级沉降量的5倍;
3 某级荷载作用下经24h沉降量尚不能达到稳定标准;
4 当持力层岩土层坚硬,沉降量很小时,最大加载量已不小于设计端阻力2倍。
条文说明
E.0.6终止加载条件中的第1款系判定极限端阻力的沉降量标准。
E.0.7 卸载观测应符合下列规定:
1 卸载的每级荷载为加载每级荷载的2倍;
2 每级卸载后,隔15min、15min、30min观测一次,即可卸下一级荷载;
3 全部卸载后隔3h~4h再测读一次。
E.0.8 端阻力特征值的确定应符合下列规定:
1 满足终止加载条件前三条之一时,其对应的前一级压力定为极限端阻力;
2 当p-s曲线有明显的比例界限时,取比例界限所对应压力为端阻力特征值,但其值不应大于最大加载量或极限端阻力的一半;
3 当p-s曲线无明显的拐点时,可取s=(0.008~0.015)d(对全风化、强风化、中等风化岩取较小值,对黏性土取较大值,砂类土取中间值)所对应的p值,作为端阻力特征值,但其值不应大于最大加载量或极限端阻力的一半。
条文说明
E.0.8本条第3款,原规程JGJ72-90规定,当p-s曲线上无明显拐点时,可取s=(0.005~0.01)d所对应的p值,参照现行国家标准《岩土工程勘察规范》GB50021和一些实测资料修改为s=(0.008~0.015)d。
E.0.9 同一岩土层参加统计的试验点不应少于3点,当试验实测值的极差不超过平均值的30%时,取此平均值作为极限端阻力或端阻力特征值。
附录F原位测试参数估算群桩基础最终沉降量
附录F 原位测试参数估算群桩基础最终沉降量
F.0.1 用原位测试参数换算土压缩模量E s ,或直接用原位测试参数估算预制群桩基础沉降量的方法适用于一般黏性土、粉土和砂土地基,应符合下列规定:
1 桩中心距小于6d、排列密集的预制桩群桩基础;
2 桩基承台、桩群和桩间土可视为实体基础,不计入沿桩身的应力扩散;
3 沉降计算深度自桩端全断面平面算起,算至有效附加压力等于土有效自重压力的20%处,有效附加压力应计入相邻基础影响;
4 各地区应根据当地的工程实测资料统计对比、验证,确定相应的桩基沉降计算经验系数。
条文说明
F.0.1本条规定了用原位测试参数按经验关系换算土的压缩模量后,直接用原位测试参数估算群桩基础最终沉降量方法的适用范围和适用条件,尤其是在本条第4款中明确了用本附录的有关公式计算沉降时,应与本地区实测沉降进行统计对比和验证,确定合理的经验系数。
F.0.2 对无法或难以采取不扰动土试样的填土、粉土、砂土和深部土层,可根据静力触探试验、标准贯入试验和旁压试验测试参数按表F.0.2的经验关系换算土的压缩模量E s 值,此压缩模量为有效自重压力至有效自重压力加附加压力之和段的压缩模量。
表F.0.2 土的压缩模量E s 与原位测试参数的经验关系


注:表中经验公式仅适用于桩基,使用前应根据地区资料进行验证。
条文说明
F.0.2对无法或难以采取原状土样的土层,如砂土、深部粉土和黏性土等,可根据原位测试成果按标准中表F.0.2经验公式确定压缩模量Es值。 对砂土和粉土,主要依据旁压试验Em与单桥静力触探比贯入阻力ps、标准贯入试验N值建立相应统计关系(近100项工程数据),如图18和图19所示。
图18旁压试验模量与静探比贯入阻力ps关系图
图19旁压试验模量与标准贯入试验击数N关系图 由图可见,Em与ps、N值有良好的线性关系(相关系数分别为0.83和0.95),由Es与Em相关关系[即Es=(1.5~2.0)Em],可得到Es=(3~4)ps或Es=(1.33~1.77)N,与目前勘察单位已使用经验公式基本一致,故表中对于粉土和粉细砂采用经验公式Es=(3~4)ps或Es=(1.0~1.2)N。对深部黏性土,通过ps值与室内试验Es值建立相应经验关系见图20(约100项工程数据)。
图20压缩模量Es与静探比贯入阻力ps关系图 由图可见,Es与ps值存在较好的相关性(相关系数约为0.86),考虑安全储备,对统计公式进行适当折减(乘0.9系数),求得经验公式Es=3.3ps+3.2。
F.0.3 预制群桩基础最终沉降量可按下列公式估算:

式中:s——桩基最终沉降量(mm)。
η——桩端入土深度修正系数;η<0.3时,取0.3;
p cz ——桩端处土的有效自重压力(kPa);
p 0 ——对应于荷载效应准永久组合时的桩端处的有效附加压力(kPa);
ψ s1 ——桩侧土性修正系数,当桩侧土有层厚不小于0.3B(B为等效基础宽度)的硬塑状的黏性土或中密—密实砂土时,ψ s1 =0.7~0.8;可塑状黏性土或稍密砂土时,ψ s1 =1;流塑状淤泥质土时,ψ s1 =1.2;
ψ s2 ——桩端土性修正系数,当桩端下有层厚≥0.5B的硬塑状的黏性土或中密—密实砂土时,ψ s2 =0.8;可塑状黏性土或稍密砂土时,ψ s2 =1;流塑状淤泥质土时,ψ s2 =1.1;
p 0i ——桩端下第i土层中的平均有效附加压力(采用Boussinesq应力分布解)(kPa);
E si ——桩端下第i土层中的平均压缩模量(MPa),可按表F.0.2确定;
h i ——桩端下第i土层的厚度(m)。
F.0.4 采用静力触探试验或标准贯入试验方法估算桩基础最终沉降量,可按下列公式计算:

式中:s——桩基最终沉降量(mm);
ψ s ——桩基沉降估算经验系数,应根据类似工程条件下沉降观测资料和经验确定;
B——等效基础宽度(m);
η——桩端入土深度修正系数;可按式(F.0.3-2)计算,η<0.3时,取0.3;
A——等效基础面积(m 2 );
p s ——取1倍B范围内静探比贯入阻力按厚度修正平均值(MPa);
q c ——取1倍B范围内静探锥尖阻力按厚度修正平均值(MPa);
N ——取1倍B范围内标准贯入试验击数按厚度修正平均值,计算方法与静力触探计算方法相同。
条文说明
F.0.3、F.0.4关于桩基最终沉降量估算及其计算指标。在详勘阶段,一般可采用实体深基础方法估算,如有详细荷载分布图和桩位图,可采用Mindlin应力分布解的单向压缩分层总和法估算。但通过大量工程沉降实测资料统计,其估算值精度仍不够理想,造成上述方法计算精度不高的原因有: 1没有考虑桩侧土的作用,即沿桩身的压力扩散角,而实际上即便在软土地区,如上海浅层软土的内摩擦角已很小,但或多或少存在着一定的桩身摩擦力,且随桩的深度增加,土质渐变硬,摩擦力也增大。目前由于施工技术有了很大的提高,沉桩设备能量大的柴油锤已达D100,液压锤已有30t,静压桩设备最大压力已达900t,与十多年前情况完全不同,一般高层建筑物或超高层建筑物均穿过较硬黏性土、中密的砂土甚至穿过厚层粉细砂。这样导致计算所得的作用在实体深基础底面(即桩端平面处)的有效附加压力偏大,相应地桩端平面处以下土中的有效附加压力也偏大。 2在计算桩端平面以下土中的有效附加压力时,采用了弹性理论中的Mindlin或Boussinesq应力分布解,与土性无关(土层的软弱、土颗粒的粗细等)可能使实际土体中的应力与计算值不相符,也导致计算应力偏小或偏大,在软黏性土和密实砂土中尤为突出。 3确定地基土的压缩模量是一个关键性的问题。据目前的勘察水平,深层地基土的压缩模量很难准确确定,因为不扰动土样的采取受到很大的限制,特别是粉土、砂土扰动程度更大,导致地基土的压缩模量偏小或失真。 4对沿海地区深层黏性土由于具有较长的地质年代,一般具有超压密性(OCR>1),尤其是地质时代属Q3的黏性土,据一些工程试验数据,由于取土扰动,使OCR明显偏小。 如不考虑这些因素,势必造成沉降量估算值偏大。为提高桩基沉降估算精度,桩基沉降估算经验系数应根据类似工程条件下沉降观测资料和经验确定;计算参数(如Es)宜通过原位测试方法取得或通过建立经验公式求得;当有工程经验时,可采用国际上通用的旁压试验等原位测试方法估算桩基沉降量,本次修订工作收集的上海地区近150项工程的沉降实测资料,在进行计算值与实测值的对比、分析、统计后,使计算值与实测值较为接近,提出采用原位测试成果计算桩基沉降量方法,在使用时应注意其经验性和适用条件。 本标准修订中推荐了两种方法,第一种按实体深基础假定的分层总和法(s=ηψs1ψs2∑p0ihi/Esi),通过对桩端入土深度、桩侧土性和桩端土性修正,以提高桩基的计算精度。 本标准所提出的计算方法与实测值比较结果见图21和图22。
图21沉降量计算值与实测值之比频图 由上图可见,一般情况下,按建议方法计算的沉降量大于实测值,其平均值为1.2,变异系数为14%,计算值与实测值比值在0.9~1.3区间占到75%,其计算精度能满足工程设计要求。 但必须说明:本次修订工作所收集的近150项工程的沉降实测资料主要分布在上海地区,尚需全国其他地区的资料加以验证和补充。 第二种方法是采用静力触探试验或标准贯入试验方法估算桩
图22沉降量计算值与实测值散点图 基础最终沉降量。根据专题报告,收集上海地区120幢建筑物工程资料及其地质资料进行分析,按建议方法计算,与实测沉降比较见图23,相对误差频数分布见图24。
图23静力触探试验参数经验法计算与实测比较 从图中可见,计算值与实测值比值平均值为1.08,标准偏差为0.19,偏于保守,按截距为0进行拟合的相对误差为6%(r=0.92)。相对误差在20%以内的有96项,占总数(120项)的80%。由此可见,静力触探方法计算简单,概念明确,计算精度能满足设计要求。 附工程计算实例:
图24静力触探试验参数经验法相对误差频数分布 某工程有三幢20层高层建筑,基础为半地下室加短桩,埋深1.7m,平面面积为489.3m2,箱基底板梁轴线下布置183根0.4m×0.4m×7.5m钢筋混凝土预制桩,场地地质情况见图25。 

该工程三幢高层最终实测沉降分别为363.1mm,410.6mm,419.1mm,计算结果与实测十分吻合。
F.0.5 静力触探比贯入阻力按厚度修正平均值 p s (图F.0.5)可按下式计算:

式中:p si ——桩端以下第i层土的比贯入阻力(MPa);
I si ——第i层土应力衰减系数,取该层土深度中点处与桩端处为1.0,一倍等效基础宽度深度处为0的应力三角形交点值;
h i ——桩端下第i层土厚度(m)。

图F.0.5 p s 计算方法示意图
附录G抗浮桩和抗浮锚杆抗拔静载荷试验要点
附录G 抗浮桩和抗浮锚杆抗拔静载荷试验要点
G.0.1 试验应采用接近于抗浮桩和抗浮锚杆的实际工作条件的试验方法,以确定单桩(或单根锚杆)的抗拔极限承载力。
G.0.2 试验的加载装置,对抗浮桩可采用液压千斤顶加载,对抗浮锚杆可采用穿孔液压千斤顶加载。千斤顶和油泵的额定压力必须大于试验压力,且试验前应进行标定。加载反力装置的承载力和刚度应满足最大试验荷载的要求。
G.0.3 计量仪表(测力计、位移计和计时表等)应满足测试要求的精度。位移量一般采用百分表或电子位移计测量,对大直径桩应在其两个正交直径方向对称安置4个位移测试仪表,中、小直径桩可安置2个或3个位移测试仪表。
G.0.4 在确定桩身强度或锚杆锚固段浆体强度达到设计要求的前提下,从成桩或锚杆注浆后到开始试验的休止时间,对于砂土和粉土,不应少于10d;对于非饱和黏性土,不应少于15d;对于饱和黏性土,不应少于28d,对于泥浆护壁灌注桩,宜适当延长休止时间。
G.0.5 对于重要工程或缺乏经验的地层,试验桩(或锚杆)数应不少于3根。
G.0.6 进行抗拔力试验时,预计最大试验荷载应加至破坏或预估抗拔设计承载力的两倍。试验桩或试验锚杆的配筋应满足最大试验荷载的要求。
G.0.7 根据抗浮桩和抗浮锚杆的实际受荷特征,加荷方式宜采用循环加、卸载法,加荷等级与位移测读间隔时间应按表G.0.7确定。
G.0.8 当出现下列情况之一时,即可终止加载,此时的荷载为破坏荷载:
表G.0.7 循环加、卸荷等级与位移观测间隔时间

注:在每级加荷等级观测时间内,测读桩锚头位移不应少于3次。
1 锚头或桩头位移不收敛;
2 某级荷载作用下,锚头或桩头变形量达到前一级荷载作用下的5倍;
3 抗浮桩累计拔出量超过100mm或抗浮锚杆累计拔出量超过设计允许值。
G.0.9 在每级加荷等级观测时间间隔内,位移增量不超过0.1mm,并连续出现两次,即可认为变形相对稳定,方可加下一级荷载,否则应按间隔时间继续观测,直到位移增量在2h内小于2.0mm,方可施加下一级荷载。
G.0.10 抗浮桩和抗浮锚杆抗拔试验结果应进行详细记录,并绘制有关图表,编写详细的分析报告。
G.0.11 可根据下列方法确定抗浮桩或抗浮锚杆抗拔极限承载力:
1 试验出现破坏时,取破坏荷载的前一级荷载作为抗拔极限承载力;
2 在最大试验荷载下未达到本标准第G.0.8条规定的破坏标准时,取最大试验荷载为抗拔极限承载力;
3 根据荷载与变形及时间的关系,取荷载-变形(Q-s)曲线陡升起始点所对应的荷载或s-lgt曲线尾部显著弯曲点所对应的前一级荷载为抗拔极限承载力。
附录H竖向和水平向基准基床系数载荷试验要点
附录H 竖向和水平向基准基床系数载荷试验要点
H.0.1 竖向和水平向载荷试验应布置在有代表性的平面位置和高程处,压缩层内每个土层不宜少于3组试验。
条文说明
H.0.1 本试验要点适用于测求弹性地基竖向和水平向基准基床系数。原2004规程没有对水平向基床系数的标准试验方法作出规定,本次修订推荐采用与竖向基床系数相同的标准方法求取。水平向基准基床系数试验时将承压板置于坑壁,采用水平向压力加载。 上海《地基基础设计规范》DGJ 08-11-2010附录G提供了上海地区竖向基床系数、水平向基床系数,见表36,可供与试验结果对比、校核、参考。 表36 上海地基基础设计规范竖向和水平向基床系数经验值 
H.0.2 竖向基准基床系数载荷试验的试坑直径不应小于承压板边长的3倍,水平向基准基床系数载荷试验承压板设置深度不应小于1.0m。
H.0.3 用于基床系数载荷试验的标准承压板应为方形,其边长应为300mm。
条文说明
H.0.3载荷试验中承压板采用边长为300mm的方形板。现行行业标准《铁路路基设计规范》TB10001规定采用30cm直径的圆形承压板,取下沉量为0.125cm的荷载强度为基床系数;现行行业标准《公路路面现场测试规程》JTGE60,“承压板测定土基回弹模量试验方法”规定采用直径为30cm的圆形承压板;《高层建筑岩土工程勘察规程》JGJ72-2004,规定采用直径为300mm圆形承压板。1955年Terzaghi最早采用1平方英尺面积的方形承压板载荷试验测定竖向基准基床系数;之后按基础尺寸换算的基床系数多引用Terzaghi公式。本次修订将承载板改为方形板。
H.0.4 最大加载量应达到破坏。承压板的安装、加载分级、观测时间、稳定标准和终止加载条件等,应符合现行国家标准《建筑地基基础设计规范》GB 50007浅层平板载荷试验要点的要求。
H.0.5 根据载荷试验成果分析要求,应绘制荷载强度p与沉降或水平变形s曲线,必要时绘制各级荷载下沉降或水平变形s与时间t或时间对数lgt曲线;根据p-s曲线拐点,结合s-lgt曲线特征,确定比例界限压力。
H.0.6 根据标准承压板载荷试验p-s曲线,可按下式计算竖向基准基床系数K v 或水平基准基床系数K h (kN/m 3 ):

式中:p 0 ——实测p-s关系曲线上比例界限压力,如p-s关系曲线无明显直线段,p 0 可取极限压力之半(kPa);
s——为相应于该p 0 值的沉降量或水平变形(m)。
H.0.7 对于非标准承压板载荷试验计算的基床系数,可不进行面积大小的修正。
条文说明
H.0.6、H.0.7本试验要点仅提供竖向及水平向基准基床系数。基床系数并不是岩土的特性指标,而是与基础或构件尺寸密切相关的计算系数。勘察单位可根据试验的结果提供基准基床系数,设计单位根据计算目的,基础或构件的尺寸、刚度进行修正,取得设计基础或设计构件下的基床系数。 原规程JGJ72-2004规定竖向基床系数可按太沙基(Terzaghi,1955)建议的方法进行基础尺寸和形状的修正。对于砂性土地基,竖向载荷试验得出基床反力系数仅需进行基础尺寸修正;对于黏性土地基,则需进行基础尺寸和基础形状两项修正: 1根据实际基础尺寸,修正后的竖向地基土基床系数Kv1(kN/m3)按下列公式计算:
式中:b——基础底面宽度(m)。 2根据实际基础形状,修正后的竖向地基基床系数Ks(kN/m3)按下列公式计算:
式中:l——基础底面的长度(m)。 按照原规程JGJ72-2004条文说明,当竖向载荷试验采用非标准承压板时,必须将试验结果修正为基准基床反力系数Kv(kN/m3),具体修正方法如下: 1根据非标准板载荷试验p-s曲线,按下式计算竖向载荷试验基床系数K′v(kN/m3):
式中:p0——比例界限压力;如p-s关系曲线无初始直线段,p0可取极限荷载之半(kPa); s——为相应于该p0值的沉降量(m)。 2由非标准板载荷试验所得基床系数K′v,按下列公式计算竖向基准基床系数Kv(kN/m3):
式中:d——承压板的直径(m),当为方形承压板时,按其面积换算为等代直径。 上述修正公式是原规程JGJ72-2004在条文说明中所列公式,执行过程中广东省建筑设计研究院的魏路先生曾于2010年3月2日来函提出疑问:他们设计一学校教学楼,7层框架,1层地下室,采用梁筏基础,持力层为②1砂质黏性土(可能是残积),天然地基承载力特征值200kPa、Es=3.3MPa,在计算筏板时,基床系数是一个重要参数,对配筋影响较大,做过压板尺寸为0.707m×0.707m的载荷试验,试验成果如表37所示。 表37载荷试验原始成果 
通过上述工程实例计算分析后认为: 1基准基床系数Kv是按太沙基早年建议使用1平方英尺面积的承压底板载荷试验求得。现行国家标准《岩土工程勘察规范》GB50021,规定尺寸为300mm×300mm的方形标准板,而该工程实例等采用0.707m×0.707m的非标准板0.5m2进行试验,试验结果K′v=41322kN/m3与经验值吻合。如按非标准板进行修正,其Kv=107178kN/m3较经验值大很多。宰金珉主编的《高层建筑基础分析与设计》中P53页和史佩栋等主编的《高层建筑基础工程手册》P95页均提出当承压底板宽度B1≥0.707m时,可不做面积大小的修正。为此本次修订规定不进行非标准板的修正。 2太沙基建议的基础尺寸和形状(方形或矩形)修正,主要是针对独立柱基而言,而该工程是梁筏基础,若按太沙基建议的方法修正,所得Kv1和Ks值会相当小,不符合实际,故认为对筏形和箱形大面积基础可不进行基础尺寸和基础形状的修正。
附录J回弹变形和回弹再压缩变形计算用表
附录J 回弹变形和回弹再压缩变形计算用表
J.0.1 矩形和条形均布荷载作用下中心点Boussinesq解竖向附加应力系数可按本标准表C.0.3确定。
J.0.2 由Boussinesq解变为Mindlin解的应力修正系数δ m 可按表J.0.2确定。
表J.0.2 应力修正系数δ m



注:L为基坑长,B为基坑宽,h为挖深。
本标准用词说明
本标准用词说明
1 为便于在执行本标准条文时区别对待,对要求严格程度不同的用词说明如下:
1)表示很严格,非这样做不可的:
正面词采用“必须”,反面词采用“严禁”;
2)表示严格,在正常情况下均应这样做的:
正面词采用“应”,反面词采用“不应”或“不得”;
3)表示允许稍有选择,在条件许可时首先这样做的:
正面词采用“宜”,反面词采用“不宜”;
4)表示有选择,在一定条件下可以这样做的,采用“可”。
2 条文中指明应按其他有关标准执行的写法为:“应符合……的规定”或“应按……执行”。
引用标准名录
引用标准名录
1 《建筑地基基础设计规范》GB 50007
2 《建筑抗震设计规范》GB 50011
3 《岩土工程勘察规范》GB 50021
4 《土工试验方法标准》GB/T 50123
5 《建筑地基基础工程施工质量验收规范》GB 50202
6 《工程岩体分级标准》GB/T 50218
7 《工程岩体试验方法标准》GB/T 50266
8 《建筑边坡工程技术规范》GB 50330
9 《建筑基坑工程监测技术规范》GB 50497
10 《高层建筑筏形与箱形基础技术规范》JGJ 6
11 《建筑地基处理技术规范》JGJ 79
12 《建筑桩基技术规范》JGJ 94
13 《建筑基桩检测技术规范》JGJ 106
14 《建筑基坑支护技术规程》JGJ 120
15 《建筑地基检测技术规范》JGJ 340
