Appearance
《逆作复合桩基技术规程[附条文说明]》JGJ/T 186-2009
🗓️ 住房和城乡建设部 实施时间:2010-07-01
前言
中华人民共和国行业标准
逆作复合桩基技术规程
Technical specification for composite pile foundation with top-down method
JGJ/T 186-2009
批准部门:中华人民共和国住房和城乡建设部
施行日期:2010年7月1日
中华人民共和国住房和城乡建设部
公告
第422号
关于发布行业标准《逆作复合桩基技术规程》的公告
现批准《逆作复合桩基技术规程》为行业标准,编号为JGJ/T 186-2009,自2010年7月1日起实施。
本规程由我部标准定额研究所组织中国建筑工业出版社出版发行。
中华人民共和国住房和城乡建设部
2009年10月30日
前言
根据住房和城乡建设部《关于印发<2008年工程建设标准规范制订、修订计划(第一批)>的通知》(建标[2008] 102号)的要求,规程编制组经广泛调查研究,认真总结实践经验,参考有关国际标准和国外先进标准,并在广泛征求意见的基础上,制定本规程。
本规程的主要内容是:1.总则;2.术语和符号;3.基本规定;4.设计;5.施工;6.检测与验收。
本规程由住房和城乡建设部负责管理,由江苏南通六建建设集团有限公司负责具体技术内容的解释。执行过程中,如有意见或建议,请寄送江苏南通六建建设集团有限公司(地址:江苏省如皋市福寿路336号,邮编:226500)。
本规程主编单位:江苏南通六建建设集团有限公司
江苏江中集团有限公司
本规程参编单位:东南大学
北京市建筑工程研究院
南通市建筑设计研究院有限公司
湖北省建筑科学研究院
天津市勘察院
本规程主要起草人:石光明 龚维明 邹科华 穆保岗 沈保汉 褚国栋 周家谟 吴永红 赵艳 程晔 过超 陈小兰 耿中原 黄宏成 刘斌
本规程主要审查人:钱力航 汤小军 蒋明镜 王建华 蔡正银 张孟喜 瞿启忠 金如元 夏长春
条文说明
中华人民共和国行业标准 逆作复合桩基技术规程 JGJ/T186-2009 条文说明 制定说明 《逆作复合桩基技术规程》JGJ/T186-2009经住房和城乡建设部2009年10月30日以第422号公告批准、发布。 本规程制定过程中,编制组对国内逆作复合桩基技术进行了调查研究,全面总结了已有的工程经验,并开展了一系列室内模型试验。 为便于广大设计、施工、科研、学校等单位人员在使用本标准时能正确理解和执行条文规定,《逆作复合桩基技术规程》编制组按章、节、条的顺序编制了本规程的条文说明,对条文规定的目的、依据以及执行中需注意的有关事项进行了说明。但是本条文说明不具备与标准正文同等的法律效力,仅供使用者作为理解和把握标准规定的参考。在使用中如果发现本条文说明有不妥之处,请将意见函寄江苏南通六建建设集团有限公司。
1 总则
1 总则
1.0.1 为了在逆作复合桩基的设计与施工中保证建筑物基础的安全适用,做到技术先进,经济合理,确保质量,保护环境,制定本规程。
1.0.2 本规程适用于地基土为黏性土及中密、稍密的砂土的逆作复合桩基的设计、施工、检测及验收,也适用于既有建筑物的地基基础加固;不适用于高灵敏性的黏性土。
条文说明
1.0.2对于地基土为黏性土及中密、稍密的砂土的基础设计,如按传统的桩基础设计,桩承担全部荷载,则往往需要的桩数过多,既不经济又增加施工工期。采用逆作复合桩基,考虑地基土的承载能力,桩设计为摩擦桩,允许桩发生刺入沉降以发挥地基土的承载能力,对于端承桩不适用于本规程。
1.0.3 逆作复合桩基的设计与施工应综合考虑工程地质与水文地质条件、上部结构类型、荷载特征、施工技术条件与环境、检测条件等因素。
条文说明
1.0.3当受到建筑物层高以及场地的限制,大型施工机械不能进入场地时,一般采用静力压入方式进行桩基施工。静压桩具有无噪声、无泥浆、无油烟污染等优点,属于环保型施工;而且静压桩压入施工时不像锤击桩那样会在桩身产生动应力,桩头和桩身不会受损,从而可以降低对桩身的强度等级要求,节约钢材和水泥,保证成桩质量。
1.0.4 本规程规定了逆作复合桩基的设计与施工的基本技术要求。当本规程与国家法律、行政法规的规定相抵触时,应按国家法律、行政法规的规定执行。
条文说明
1.0.4本规程适用于桩和承台、条形基础、筏形基础、箱形基础等共同工作的逆作复合桩基,在此表述以承台为例。 对本规范所采用的符号、单位和术语,按《建筑结构设计术语和符号标准》GB/T50083的规定,一方面力求与《混凝土结构设计规范》GB50010、《建筑地基基础设计规范》GB50007以及《建筑桩基技术规范》JGJ94协调一致,另一方面有关桩基础的专业术语和符号采用国际土力学与基础工程学会的统一规定。这样,既方便国内应用,又有利于国际交流。
1.0.5 采用逆作复合桩基技术的工程除应符合本规程的规定外,尚应符合国家现行有关标准的规定。
2 术语和符号
2.1 术语
2 术语和符号
2.1 术语
2.1.1 复合桩基 composite pile foundation
由基桩和承台下地基土共同承担荷载的桩基础。
2.1.2 逆作复合桩基 composite pile foundation with top-down method
先进行建筑物基础底板和部分上部结构的施工,而后同时进行上部结构、压桩以及封桩施工的复合桩基。
2.2 符号
2.2 符号
2.2.1 作用和作用效应
F 1k ——压桩前,荷载效应标准组合下,施工到 N 1 层时作用于承台顶面的竖向力;
F 2k ——压桩后封桩前,荷载效应标准组合下,施工到 N 2 层时上部结构增加的竖向力;
F 3k ——封桩后,荷载效应标准组合下,增加的竖向力;
F 1q ——压桩前,荷载效应准永久组合下,施工到 N 1 层时作用于承台顶面的竖向力;
F 2q ——压桩后封桩前,荷载效应准永久组合下,施工到 N 2 层时上部结构增加的竖向力;
F 3q ——封桩后,荷载效应准永久组合下,增加的竖向力;
F k ——荷载效应标准组合下,上部结构总竖向力与承台及承台上土自重;
G k ——桩基承台和承台上土自重标准值;
M xk 、 M yk ——按荷载效应标准组合计算的作用于承台底面的外力,绕通过群桩形心的x轴、y轴的力矩;
P pk ——荷载效应标准组合下, F k 作用下群桩的竖向力;
P ' pk ——荷载效应标准组合下,由于封桩后的固结沉降导致原地基土转移给桩体的竖向力(kN);
P sk ——荷载效应标准组合下, F k 作用下地基土的竖向力;
P ——压桩力。
2.2.2 抗力和材料性能
E 0 ——土体的变形模量;
E p ——桩身弹性模量;
E s ——土的压缩模量;
f a ——修正后的地基承载力特征值;
f y ——锚固筋抗拉强度设计值;
K p ——群桩刚度;
K pr ——复合桩基刚度;
K ps ——复合地基刚度;
K r ——承台刚度;
k p ——单桩刚度;
k v ——竖向渗透系数;
P max ——最大压桩力设计值;
P uk ——沉桩总阻力标准值;
P sk ——桩端附近的静力触探单桥探头比贯入阻力标准值;
Q uk ——单桩竖向极限承载力标准值;
q sik ——单桩第 i 层土的极限侧阻力标准值;
q 2s ——滑移区侧摩阻力;
q 3s ——挤压区侧摩阻力;
q p ——桩端阻力;
s 1 ——压桩前浅基础的沉降;
s 2 ——基础上抬量;
s 3 ——开始压桩至封桩前的沉降;
s 4 ——封桩后的沉降;
U t1 ——压桩前,在 F 1k 荷载作用下基础沉降的固结度;
U t2 ——封桩前,在荷载 F 1k + F 2k 作用下基础沉降的固结度。
2.2.3 几何参数
A ——承台底总面积;
A c ——承台底净面积;
A p ——桩端截面积;
B c ——承台的宽度;
d' ——锚固筋直径;
H ——压缩土层的最远排水距离;
L c ——承台的长度;
l ——桩身长度;
l a ——锚固筋的锚固长度;
l p ——桩的入土深度;
l 1 ——无侧阻区土层厚度;
l 2 ——滑移区土层厚度;
l 3 ——挤压区土层厚度;
l 2i 、 l 3i ——滑移区、挤压区单位土层厚度;
r 0 ——桩半径;
r m ——单桩位移影响范围;
r r ——承台的等效半径;
r p ——单桩等效半径;
u ——桩身周长;
V p ——单桩体积;
x i 、 y i ——第 i 排桩中心至y轴、x轴的距离;
z n ——浅基础阶段,地基变形计算深度。
2.2.4 计算系数
K v ——垂直位移系数;
K 0 ——安全系数;
K 1 ——体积变化系数;
K 2 ——施工影响系数;
m ——桩端处土层的桩端冲击系数;
n ——桩数;
n i ——挤压区土的桩周冲击系数;
n 0 ——每个桩孔预埋锚固筋数;
p m ——垂直压力作用下的影响系数;
T v ——时间因子;
u 1 ——桩身的压缩变形系数;
α ——承台长度与宽度之比;
α rp ——复合桩基中群桩对承台的影响系数;
β ——桩端土与桩端以下土的剪变模量比;
v ——土体泊松比;
ω ——与场地有关的系数;
λ p ——桩的荷载分担比;
λ s ——地基土的荷载分担比;
λ' ——桩土刚度比;
ε ——天然地基承载力特征值的利用系数;
ζ ——单桩极限承载力利用系数;

——修正系数;
ρ ——桩端尺寸效应折算系数;
ω ——桩身平均剪变模量与桩端土剪变模量比。
3 基本规定
3 基本规定
3.0.1 逆作复合桩基设计前,应完成下列工作:
1 搜集详细的岩土工程勘察资料、基础及上部结构设计资料等;
2 根据工程要求确定采用逆作复合桩基的目的和技术经济指标;
3 了解当地的施工条件、施工经验和使用情况等;
4 调查邻近建筑、地下工程和有关管线等情况,了解建筑场地的环境情况。
3.0.2 逆作复合桩基应符合建筑物对地基承载力和变形的要求。
3.0.3 本规程中的基桩应为受压桩。
条文说明
3.0.3逆作复合桩基中的基桩在压桩过程中受压桩机施加的压力或者承受通过锚固筋传递的压力,封桩后参与基础受力,承受上部结构的荷载。无论是在施工过程中还是在封桩以后,基桩总是承受压力。可以采用接近于竖向受压桩实际工作条件的试验方法——单桩竖向受压静载试验确定单桩竖向受压极限承载力和单桩竖向受压承载力特征值,判定竖向受压承载力是否满足设计要求,测量桩端沉降和桩身压缩量,评价桩基的施工质量。
3.0.4 施工中应有专人负责质量控制和监测,并应做好施工记录。施工结束后应按有关规定进行工程质量检验和验收。
条文说明
3.0.4施工技术人员应掌握采用逆作复合桩基的目的、设计原理、技术要求和质量标准等。当出现异常情况时,应及时会同有关部门妥善解决。
4 设计
4.1 一般规定
4 设计
4.1 一般规定
4.1.1 逆作复合桩基应按压桩前、压桩和封桩后三个施工阶段相应的受力状态进行计算分析。
条文说明
4.1.1逆作复合桩基的设计应按下列三个阶段进行: 1压桩前阶段:在设计埋深处施工桩基承台,同时按设计桩位预留桩孔和锚固筋; 2压桩阶段:施工若干层上部结构,当上部结构自重荷载大于压桩所需反力,但小于天然地基的承载力时,可按设计方案通过承台预留桩孔分批进行压桩; 3封桩后阶段:包括封桩后上部结构继续施工阶段及竣工后的正常使用阶段。 对应三阶段的受力状态为: 1浅基础阶段:在压桩之前,上部结构荷载F1全部由承台底地基土承担,完成对土体的部分预压。土体与承台底部保持严密接触,此阶段的沉降对应于图1中的s1; 
图1 施工、荷载、沉降特性曲线 2复合地基阶段:压桩后、封桩前,承台与桩体没有可靠连接,桩体不直接参与基础受力,这一阶段的荷载F2仍然由地基土承担。相当数量预制桩的压入有两个效果,其一为加固作用,改变了土体的结构刚度;其二为地基土会有一定程度的上抬量s2。随着上部结构荷载继续增加,封桩前复合地基阶段的沉降量为s3。从图1中可以明显地看出复合地基阶段的沉降速率小于浅基础阶段,沉降量亦小于浅基础阶段,现象的本质在于桩的介入对原地基土有加固作用; 3复合桩基阶段:封桩以后,承台与桩体形成可靠连接,桩体参与基础受力,分担后期荷载F3。复合桩基阶段的沉降量为s4,由于封桩后桩直接参与基础的受力和抵抗沉降变形,依照弹性理论可认为封桩后基础刚度变大,基础的沉降量和沉降速率再次减小。
4.1.2 在进行逆作复合桩基设计时,应按本规程附录A进行变形计算。
4.1.3 对于受水平荷载较大的基桩,其桩身受弯承载力和受剪承载力的验算应符合现行行业标准《建筑桩基技术规范》JGJ 94的有关规定。
4.2 构造
4.2 构造
4.2.1 逆作复合桩基中桩的构造应符合下列规定:
1 桩由一根首节桩和多根中间节桩组成,桩节长度由建筑物底层净高和压桩架高度确定,每节桩长宜为2m。首节桩应设桩尖,中间节桩端部构造和接桩应符合本规程第5.4.3条和第5.4.4条的规定;
2 桩身最小配筋率不应小于0.6%,主筋直径不应小于10mm;
3 桩型选择可采用钢桩、钢筋混凝土桩等预制桩,各类型桩的构造应符合现行行业标准《建筑桩基技术规范》JGJ 94的有关规定。
条文说明
4.2.1一般工业与民用建筑的底层净高有限,不一定满足采用逆作复合桩基方法设计的单桩长度,这时需要将基桩分节,但有条件时,应适当加长。 确定桩长时要对静压桩穿透土层的能力,即沉桩可能性进行预测。最好根据压桩力曲线确定桩长,这样一方面能保证承载力,另一方面能保证桩端持力层厚度。 影响静压桩穿透土层能力的因素,主要取决于压桩机的压桩力、锚固筋的承载力以及土层的物理力学性质、厚度及其层状变化等;同时也受桩截面大小,地下水位高低及终压前的稳定时间和稳定次数等的影响。可以根据不同地区静压桩贯穿土层的类别、性质,结合土层的标准贯入试验锤击数N和部分实测的压桩力曲线的特点,确定或预测桩长。具体做法有: 1根据试压记录绘制压桩力曲线,即压入阻力P随压入深度Z变化绘制的P-Z曲线来预测桩长,这种方法非常直观,是其他类型的沉桩方法无法比拟的。 2根据双桥静力触探的锥头阻力及锥侧摩阻力,或单桥静力触探的比贯入阻力随压入深度的变化曲线来预测桩长。 3标准贯入试验法,一般在钻孔中应用,对于上部松散软土层,每层取一标贯值N,下部硬素土至强风化岩则每米取一标贯值,根据N-Z曲线分析,来预测桩长。 4重型动力触探法(圆锥动探法),一般最适合用于砂土地层。采用连续击入,当连续出现6~8个N63.5>50击即可终孔,根据N63.5-Z曲线规律来预测压入桩长。 5地质类比法,在无钻孔控制(或两孔之间),或者无动力触探资料的地段,应该根据附近的地质情况进行详细的地层状况(厚度变化及岩土的各物理力学指标)的类比,从而推测该处的压入桩长。
4.2.2 逆作复合桩基中承台的构造应符合下列规定:
1 承台施工时应在设计桩位处预留孔,孔洞(图4.2.2)宜对称布置,形状可做成上小下大的截头锥形,上部孔口边长应比桩身横截面的边长大50mm,下部孔口边长应比桩身横截面的边长大100mm,且上部孔口应加强;

2 承台构造除应符合本规程的规定外,尚应符合现行行业标准《建筑桩基技术规范》JGJ 94的有关规定。
条文说明
4.2.2当压桩孔在承台边缘转角处,压桩力较大时,应设置受拉构造钢筋。
4.2.3 桩与承台的连接构造应符合下列规定:
1 锚固筋与压桩孔的间距宜为150mm(图4.2.3-1a),锚固筋与周围结构的最小间距不应小于150mm(图4.2.3-1b),锚固筋或压桩孔边缘至承台边缘的最小间距不应小于200mm(图4.2.3-1c)。

2 封桩(图4.2.3-2)完毕后浇筑防水现浇层时,桩口应设与锚固筋焊接的加强筋(图4.2.3-3),加强筋宜用2 φ 18;

3 桩与承台的连接构造除应满足本规程的规定外,尚应符合现行行业标准《建筑桩基技术规范》JGJ 94的有关规定。
条文说明
4.2.3桩头与承台的连接是逆作法复合桩基静压桩施工的重要环节之一,必须连接可靠。桩头伸入承台的长度,一般为(50~100)mm。承台厚度不宜小于350mm,承台边缘距边桩的距离不宜小于200mm。桩与承台的连接,采用强度等级高于承台混凝土的微膨胀早强混凝土。在浇筑混凝土前,压桩孔内的泥水、杂物必须清理干净,应对孔壁做凿毛处理,以增加新老混凝土的黏结力。
4.3 逆作复合桩基荷载分配及计算
4.3 逆作复合桩基荷载分配及计算
4.3.1 在压桩前施工阶段,地基土所承受的荷载应按下式计算:
P 1sk = G k + F 1k (4.3.1)
式中 P 1sk ——荷载效应标准组合下, F 1k 作用下地基土的竖向力(kN);
G k ——桩基承台和承台上土自重标准值(kN);
F 1k ——压桩前,荷载效应标准组合下,施工到 N 1 层时作用于承台顶面的竖向力(kN)。
条文说明
4.3.1压桩前施工阶段,基础的受力特性与天然地基上的浅基础受力特性一致,上部结构荷载与承台自重及承台上土自重全部由地基土承担。
4.3.2 在压桩阶段,地基土所分担的荷载增量应按下式计算:
P 2sk = F 2k (4.3.2)
式中 P 2sk ——荷载效应标准组合下, F 2k 作用下地基土的竖向力(kN);
F 2k ——压桩后封桩前,荷载效应标准组合下,施工到 N 2 层时上部结构增加的竖向力(kN)。
条文说明
4.3.2在压桩阶段,桩体和承台尚未形成有效连接,此时天然地基刚度明显改善,但是由于在桩位处预留孔洞,桩体上方并没有直接承受荷载,只是由于桩体加入而使复合土体变形模量增大,沉降速率明显降低,在桩数较多的饱和黏土中,结构有可能整体上抬(并非所有逆作法工艺中都会出现这种情况),所以直到封桩前,土体将承担全部上部荷载。
4.3.3 封桩后继续施工阶段,封桩后增加 N 3 层上部结构所增加的竖向力,由地基土承担的部分应按下列公式计算:

式中 P 3sk ——荷载效应标准组合下 F 3k 作用下地基土的竖向力(kN);
F 3k ——封桩后,荷载效应标准组合下,增加的竖向力(kN);
K p ——群桩刚度(kN/m),按本规程式(A.0.7-13)计算;
K r ——承台刚度(kN/m),按本规程式(A.0.7-3)计算;
α rp ——复合桩基中群桩对承台的影响系数,按本规程式(A.0.7-15)计算;
λ s ——地基土的荷载分担比。
条文说明
4.3.3封桩完毕后,桩与承台已建立可靠连接,承台在荷载分配中发挥了作用,此后增加的上部荷载将在桩和承台之间进行分配,基础的受力进入了复合桩基阶段。封桩后增加N3层上部结构所增加的竖向力F3k在桩土之间的分配与桩、土及其整个基础的刚度有关。分别由式(A.0.7-13)和式(A.0.7-3)得到群桩及承台刚度,并引入复合桩基中群桩对承台的影响系数αrp,将λs定义为地基土的荷载分担比,竖向力F3k分配给地基土的荷载即为λs与F3k的乘积。
4.3.4 封桩后形成复合桩基阶段转移至桩体承担的荷载可按下列公式计算:
P ' pk = λ p (1- U t2 )( F 1k + F 2k ) (4.3.4-1)
λ p =1- λ s (4.3.4-2)
式中 P ' pk ——荷载效应标准组合下,由于封桩后的固结沉降导致原地基土转移给桩体的竖向力(kN);
U t2 ——封桩前,在荷载 F 1k + F 2k 作用下基础沉降的固结度,可按本规程式(A.0.7-1)计算;
λ p ——桩的荷载分担比。
条文说明
4.3.4本规程式(4.3.3-1)所确定的是在封桩后的第三阶段所增加的竖向力F3k分配给土体的荷载,由于封桩前,在荷载F1k+F2k作用下基础的固结沉降并未完全完成,在第三阶段,原本在封桩前全部由土体承担的荷载F1k+F2k由于封桩后桩体的介入,将有一部分转移至桩体承担,转移荷载量的大小与封桩前地基土的固结度有关,如果在封桩之前,地基土的固结沉降全部完成,则固结度为1,由式(4.3.4-1)可看出,在第三阶段不会发生荷载的转移,只有第三阶段的荷载在桩、土之间进行分配。
4.3.5 在总荷载作用下承台底地基土和桩承受的荷载可分别按下列公式计算:

式中 F k ——荷载效应标准组合下,上部结构总竖向力与承台及承台上土自重(kN);
P sk ——荷载效应标准组合下, F k 作用下地基土的竖向力(kN);
P pk ——荷载效应标准组合下, F k 作用下群桩的竖向力(kN)。
4.3.6 逆作复合桩基竖向承载力的计算应符合下列公式要求:

式中 f a ——修正后的地基承载力特征值(kPa);
Q uk ——单桩竖向极限承载力标准值(kN);
A c ——承台底净面积(m 2 );
ε ——天然地基承载力特征值的利用系数,取0.5;
ζ ——单桩极限承载力利用系数,可取0.8~0.9,当竖向荷载偏心时取小值。
4.3.7 逆作复合桩基的桩数(n)可按下式确定:

条文说明
4.3.7逆作复合桩基在实际工程应用中,实配桩数有可能多于按公式计算桩数,这样就导致了桩体极限承载力不能完全发挥。实配桩数的增加会引起基础上抬量的增加,而基础的上抬量是沉降计算的重要组分,应考虑压桩时间的早晚进行合理的基础上抬量估算。若实配桩数增加过量,将导致群桩刚度过大,桩体荷载水平远低于极限承载力水平。有关分析表明:桩数的增加并不能无限地增加群桩刚度,适当地减少桩数将使第三阶段有更多的荷载分配给土体,并使整体沉降量略有增加,但只要在沉降的容许范围内,便可以节约材料,并减少沉桩施工时的附加沉降。
4.3.8 作用于基桩顶部的竖向荷载标准值( P ik )可按下式计算:

式中 M xk 、 M yk ——按荷载效应标准组合计算的作用于承台底面的外力,绕通过群桩形心的x轴、y轴的力矩(kN·m);
x i 、 y i ——第 i 排桩中心至y轴、x轴的距离(m)。
4.3.9 逆作复合桩基中基桩的桩身承载力应按现行行业标准《建筑桩基技术规范》JGJ 94的规定进行验算。
4.3.10 逆作复合桩基的沉降不得超过建筑物的沉降允许值,并应符合现行国家标准《建筑地基基础设计规范》GB 50007的有关规定。沉降计算可按本规程附录A进行。
4.4 承台设计
4.4 承台设计
4.4.1 承台的受弯承载力、受剪承载力、受冲切承载力计算,应符合现行行业标准《建筑桩基技术规范》JGJ 94的规定。
4.4.2 承台设计应符合布桩的需要,每个承台下宜对称布桩。
条文说明
4.4.2桩基逆作法中的承台设计与传统的浅基础没有本质上的区别,承台的厚度通常由桩或柱(墙)的抗冲切来控制,由于桩的反力位置常常在靠近支座,所以承台设计应考虑布桩的需要。为了施工方便,每个承台下桩数宜为偶数并对称布桩。
4.4.3 当利用锚固筋压桩时,宜采用地脚螺栓作为锚固筋,锚固筋的锚固长度应符合现行国家标准《混凝土结构设计规范》GB 50010的有关规定,锚固筋自身强度应符合下式要求:

式中 K 0 ——安全系数,取1.2;
P max ——最大压桩力设计值(kN);
n 0 ——每个桩孔预埋锚固筋数;
f y ——锚固筋抗拉强度设计值(kN/mm 2 );
d' ——锚固筋直径(mm);
5 施工
5.1 一般规定
5 施工
5.1 一般规定
5.1.1 压桩施工应符合下列规定:
1 上部结构荷载应大于压桩所需的反力;
2 压桩宜按先中间后外围的顺序分批对称进行;
3 在压桩过程中应进行基础的沉降观测。
条文说明
5.1.1压桩施工前,应该保证基底压力平均值不应大于地基承载力特征值。 一定层数的上部结构施工完成时,开始在地下部分进行分批压桩,为了防止过大的挤土效应,在周围环境允许的条件下,先压中间部分桩,再压外围部分桩。为防止压桩力过大和承台受力突变,压桩不能一次进行,建议分批跳压。
5.1.2 封桩施工应符合下列规定:
1 封桩时,基底压力的平均值不应大于修正后地基承载力特征值;
2 压桩应采用信息化施工,当基础的沉降及差异沉降超过预计值时,应及时封桩;
3 封桩宜从承台中间部分开始;
4 封桩应采用高于承台混凝土强度等级的微膨胀早强混凝土,冬期施工时宜掺加早强剂。
条文说明
5.1.2封桩的具体时机有两种,一种为立即封桩,另一种则为延后封桩,一般采用延后封桩。封桩越晚,则土体承受荷载增加,在第三阶段本该由土体承受的荷载向桩体转移量将减少乃至没有,这种作法可以明确控制桩土荷载分担比例。由于第二阶段的复合地基刚度较大,一般情况下沉降速率很小。压桩后迅速封桩,则前两阶段施加荷载下的固结沉降尚未完成,将有较多的荷载发生转移,桩体受力增大,相应对桩数和桩长的要求提高。当然,如果前期荷载下结构沉降值偏大,可以压桩后立即封桩,使桩体刚度提前介入以减少沉降。 由于土层厚度与性质不均匀,荷载差异,体型复杂等因素引起的地基变形,对于砌体承重结构应由局部倾斜控制;对于框架结构应由相邻柱基的沉降差控制;对于多层或高层建筑和高耸结构应由倾斜值控制。基础沉降预计值一般由经验确定,在没有相近工程经验参考的条件下应由设计、施工、监理和业主共同确定。一般多层建筑物在施工期间完成的沉降量,对于砂土可认为其最终沉降量已完成80%以上,对于其他低压缩性土可认为已完成最终沉降量的50%~80%,对于中压缩性土可认为已完成20%~50%,对于高压缩性土可认为已完成5%~20%。建筑物的地基变形允许值应遵循《建筑地基基础设计规范》GB50007的有关规定。
5.2 施工准备
5.2 施工准备
5.2.1 逆作复合桩基施工应具备下列资料:
1 建筑物场地工程地质资料和必要的水文地质资料;
2 桩基工程施工图(包括同一单位工程中所有的桩基础)及图纸会审纪要;
3 建筑场地和邻近区域内的地下管线(包括管道、电缆)、地下构筑物危房、精密仪器车间等的调查资料;
4 主要施工机械及其配套设备的技术性能资料;
5 桩基工程的施工组织设计或施工方案;
6 水泥、砂、石、钢筋等原材料及预制桩的质检报告;
7 有关荷载、施工工艺的试验参考资料。
5.2.2 施工组织设计应结合工程特点有针对性地制定相应质量管理措施,并应包括下列内容:
1 施工平面图:应标明桩位、编号、施工顺序、水电线路和临时设施的位置;
2 施工作业计划和劳动力组织计划;
3 机械设备、备(配)件、工具(包括质量检查工具)、材料供应计划;
4 保证工程质量、安全生产和季节性(即冬、雨期)施工的技术措施。
5.2.3 压桩机械必须经鉴定合格,不合格机械不得使用。
5.2.4 施工前应组织图纸会审,会审纪要连同施工图等应作为施工依据并列入工程档案。
5.3 承台施工
5.3 承台施工
5.3.1 承台施工前应清除地下障碍物。
5.3.2 承台埋置较深时,应对临近建筑物、市政设施采取必要的保护措施,在施工期间应进行监测。
5.3.3 承台施工中必须熟悉承台施工图、准确定位压桩孔,绑扎承台钢筋时应同时绑扎锚固筋。
5.3.4 承台混凝土应一次浇筑完成,混凝土入槽宜用平铺法。大体积承台混凝土施工,应采取有效措施防止温度应力引起裂缝。
5.4 压桩及封桩施工
5.4 压桩及封桩施工
5.4.1 压桩机械或锚固筋应根据压桩力的估算值选取,压桩阻力的分布形式可按图5.4.1所示采用。
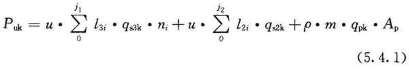
压桩所需的压桩力可按下式估算:


图5.4.1 压桩阻力的分布形式
式中 P uk ——沉桩总阻力标准值(kN);
j 1 —— l 3 区段土的分层数;
j 2 —— l 2 区段土的分层数;
l 2 i 、 l 3 i ——滑移区、挤压区单位土层厚度(m),宜按土质分层情况划分;
u ——桩身周长(m);
A p ——桩端截面积(m 2 );
q s3k 、 q s2k ——用静力触探比贯入阻力值估算的桩周挤压区和滑移区土的极限侧阻力标准值(kPa);
q pk ——桩端附近的静力触探比贯入阻力标准值(kPa);
n i ——挤压区土的桩周冲击系数,黏土取2.5~3.5,砂土取2~3;
m ——桩端处土层的桩端冲击系数,黏土取2,砂土取1.2~1.5;
ρ ——桩端尺寸效应折算系数,取0.4~0.6;
条文说明
5.4.1静压桩桩侧阻力可分为无侧阻区、滑移区、挤压区三个区域。无侧阻区:由于桩身横向晃动,浅层土体位移会使桩与土体间形成小的裂缝,加上在超孔隙水压力作用下孔隙水沿桩侧的渗流作用,会使上部桩侧摩阻力接近于零,l1=(0.15~0.3)lp;滑移区:由于土体结构扰动,超孔隙水压力作用和孔隙水沿桩侧的渗流作用,使桩身中部桩侧土软化,降低桩侧单位摩阻力,当桩的入土深度lp小于30m时,l2取距挤压区顶部(0.5~0.6)lp,当入土深度lp达到45m~60m时,l2可取距挤压区顶部(0.4~0.5)l0;挤压区:在桩贯入的同时,桩端处土体产生向桩端附近的水平压力,使桩端附近单位摩阻力增大,但因桩对土体产生的扰动影响和孔隙水压力的作用,又降低了土体强度,在上述因素的共同作用下,桩端下部土层接近于或稍大于原状土强度,挤压区厚度可取距桩端5~8倍桩直径,当桩径很大且土质硬时取小值,反之取大值。
5.4.2 压桩施工应符合下列规定:
1 压桩架应保持竖直并应与锚固筋可靠连接,在施工过程中应随时检查、调整;
2 桩节应垂直就位,千斤顶与桩节轴线应保持在同一垂直线上,桩顶上应设桩垫和桩帽;
3 压桩应一次压至设计标高,不得中途停顿;
4 在压桩过程中,严禁向桩孔内填塞石、砂等杂物。
条文说明
5.4.2对于表层为杂填土的情况,场地整平时应该首先清除土中的大体积障碍物以防止对后期压桩产生影响。
5.4.3 接桩施工应符合下列规定:
1 对于承受竖向压力为主的桩可采用硫黄胶泥锚接法连接,对于承受较大水平力或穿过一定厚度硬土层的桩宜采用焊接法连接。
2 当采用硫黄胶泥锚接法时应符合下列规定:
1)接桩锚筋应先清刷干净和调直,锚筋长度、锚筋孔深度和平面位置均应经检查符合设计要求后方可接桩;
2)锚筋孔内应干燥、无杂质和无污染,不得因孔深不够而切断锚筋;
3)接桩时,锚筋孔内应先灌满硫黄胶泥,并在桩顶面满铺厚度为(10~20) mm硫黄胶泥,灌铺时间不得超过2min,并随即将上节桩垂直接上;
4)在硫黄胶泥熬制过程中,温度应在170℃以内,灌铺时温度不得低于140℃;
5)不得使用烧焦的或未熔化的硫黄胶泥,并不得混进砂石碎块、木片等杂物;
6)硫黄胶泥浆浇注后,接桩停歇时间应根据压桩时的气温由试验确定。
3 当采用焊接法时应符合下列规定:
1)焊接时,预埋件表面应保持清洁;
2)当上下两节桩之间有间隙时,应用楔形铁片填实焊牢;
3)焊接时应先将四角点焊固定,然后对称焊接,焊缝应连续饱满,焊缝尺寸应满足设计要求;
4)焊接完成后,应在自然条件下冷却8min后方可继续压桩。
条文说明
5.4.3承受竖向压力的桩,是指承受竖向压力为主的桩。 压桩过程中桩节就位必须保持垂直,使千斤顶与桩节轴线保持在同一垂线上,桩顶应做好保护措施。可在桩顶垫上30mm~40mm的木板或是多层麻袋,套上桩帽,然后再进行压桩。 采用硫黄胶泥锚接法时,接桩前要把上、下两节桩的端头用钢丝刷刷净,把预留钢筋调直,清除粘在上面的砂土、铁锈等杂物,并把底桩的预留孔清理干净。接桩时先把烧好的硫黄胶泥溶液浇在底桩的预留孔内及桩头表面,再将上节桩的预埋筋伸进底桩的预留孔内,然后将上节桩与底桩的表面紧密接触,并施加一定的压力。根据外界温度和桩截面大小,分别等3min~10min,待胶泥冷却后方可继续压桩。当遇到个别桩头表面与桩身不垂直时,要在底桩上加一个临时护套,以便储存一定厚度的胶泥,保证上节桩的垂直度,待胶泥干硬后,再拆除护套,按常规办法压桩。 硫黄胶泥锚接的影响因素较多,如原材料的配合比、胶泥制作的好坏、成品胶泥熔化的温度、锚接时浇筑时间的控制等。硫黄胶泥的配合比可以根据试验确定,其原材料为工业硫黄、建筑用中砂、普通硅酸盐42.5级水泥和聚硫橡胶,配合比(重量比)如下:工业硫黄:中砂:水泥:聚硫橡胶为37:15:47:1。聚硫橡胶可以以石蜡代替,但会使胶泥的物理性能略差。 熬制硫黄胶泥前必须将水泥和中砂烘干,按比例拌匀,待硫黄熔化且温度升至120℃~130℃时加入,待升温至150℃~160℃时将聚硫橡胶加入。这期间必须不停地搅拌,否则会因局部升温太快而燃烧。温度必须严格控制在170℃内,待完全脱水后(一般需要2h~3h),降温成型而成成品硫黄胶泥。 采用焊接工艺,接桩前先将预制桩的预埋钢帽表面处理干净,接桩时上、下节桩的中心线偏差不得大于10mm,两接触面尽量平整,当接触面有间隙时应用铁片填实焊牢,减少焊接变形,焊接应连续饱满。
5.4.4 桩头处理应符合下列规定:
1 桩端应压到设计标高,桩顶应嵌入承台50mm~100mm,主筋嵌入承台内的锚固长度不应小于35 d 2 ;
2 当压桩力达到设计要求,最后一节桩尚未压至设计标高时,经设计方同意后,方可截除外露的桩头;
3 截桩前应将桩头固定,不得在悬臂状态下截桩。
条文说明
5.4.4接桩前可以先用楔块把桩固定住,然后用凿子开3cm~5cm深的沟槽,露出的钢筋加以切割,以便摘除桩头。
5.4.5 封桩施工应符合下列规定:
1 封桩前应将桩孔内的杂物清理干净、排除积水;
2 应采用双面焊将锚固筋和交叉加强钢筋焊接,焊缝长度不应小于5 d 1 ( d 1 为交叉加强钢筋直径);
3 封桩宜对称均衡进行。
条文说明
5.4.5封桩时可以利用锚固筋和交叉钢筋焊接以加强封口的锚固能力,保证桩与承台连接成一体参与基础受力。
6 检测与验收
6.1 检测
6 检测与验收
6.1 检测
6.1.1 基桩应进行静载荷试验,检测数量不得少于总桩数的1%,且不得少于3根;当总桩数少于50根时,不得少于2根。试桩的桩位应由设计人员根据上部结构受荷情况与施工记录等要求选取,试验方法应按现行行业标准《建筑基桩检测技术规范》JGJ 106的要求进行。
条文说明
6.1.1静压桩竖向承载力检验可根据建筑物的重要程度确定抽检数量及检验方法。对地基基础设计等级为甲、乙级的工程,宜采用慢速静荷载加载法进行承载力检验。
6.1.2 采用逆作复合桩基的建筑物应按现行行业标准《建筑变形测量规范》JGJ 8的规定进行沉降观测。
条文说明
6.1.2沉降观测应包括施工阶段的沉降观测以及工程竣工后的沉降观测。
6.1.3 为确保基桩正常工作,应进行桩身完整性的检测。
6.2 验收
6.2 验收
6.2.1 压桩过程中,应按本规程附录B做好施工记录。
6.2.2 逆作复合桩基验收时应提供下列资料:
1 原材料的质量合格证和质量鉴定文件;
2 桩位平面布置图与桩位编号图;
3 预制桩静荷载试验报告;
4 隐蔽工程验收记录;
5 静压桩的施工记录表;
6 基桩完整性检测报告;
7 封桩混凝土强度试验报告;
8 工程验收记录。
附录A逆作复合桩基沉降计算
附录A 逆作复合桩基沉降计算
A.0.1 逆作复合桩基的沉降曲线(图A.0.1-1),简化计算沉降曲线(图A.0.1-2),沉降应按式(A.0.1)计算:
s=s 1 -s 2 +s 3 +s 4 (A.0.1)

图A.0.1-1 P - s 曲线图
1-压桩开始;2-压桩结束;3-封桩开始;4-封桩结束;5-结构封顶
式中 s 1 ——压桩前浅基础的沉降(mm);
s 2 ——基础上抬量(mm);
s 3 ——开始压桩至封桩前的沉降(mm);
s 4 ——封桩后的沉降(mm)。
条文说明
A.0.1逆作复合桩基的最终沉降由四部分组成。首先,在压桩前,施工的N1层总竖向荷载F1q将引起基础产生s1沉降;在压桩时,挤土效应将使建筑物产生整体上抬,上抬量s2的大小与沉桩数量、桩的类型、施工顺序等因素有关;压桩结束后,若并不马上封桩,基础处于复合地基阶段,压桩后封桩前施工的N2层的总竖向荷载F2q引起的基础沉降为s3;封桩以后,为复合桩基阶段,在继续施工的N3层的总竖向荷载值F3q作用下产生沉降s4。
A.0.2 浅基础的固结沉降应按下式计算:


图A.0.1-2 简化计算 P - s 曲线
1-压桩开始;2-压桩结束;3-封桩开始;
4-封桩结束;5-结构封顶
式中 U t1 ——压桩前,在 F 1k 荷载作用下基础沉降的固结度,按本规程式(A.0.7-1)计算。
条文说明
A.0.2在压桩前,施工的N1层总竖向荷载F1q将引起基础产生s1的固结沉降,因为在F1q作用下,地基土尚未达到最终沉降,故该段沉降与压桩前的施工时间以及土的渗透系数有关,可采用Terzaghi一维固结理论方法求得。
A.0.3 基础上抬量应按下式估算:

式中 n——桩数;
V p ——单桩体积(m 3 );
A——基础总面积(m 2 );
K 1 ——体积变化系数,取0.7~0.95;
K 2 ——施工影响系数,取0.55~0.8;
K v ——垂直位移系数,取0.33~0.4。
条文说明
A.0.3压桩引起的基础上抬量,目前暂无完善的理论方法对其进行计算,可以把沉桩过程模拟在半无限弹性介质中的孔洞扩张问题,根据桩压入土中体积大小按式(A.0.3)进行简单估算。
A.0.4 压桩后封桩前的基础沉降应按下式计算:

式中 K ps ——复合地基刚度(kN/m),应按本规程式(A.0.7-5)计算;
s c1 ——压桩前,在荷载 F 1k 作用下承台的最终沉降值(mm);
U t2 ——压桩后封桩前,在 F 1k + F 2k 荷载作用下基础沉降的固结度,按本规程式(A.0.7-1)计算。
条文说明
A.0.4压桩后封桩前,由于桩体的压入增加了地基土刚度,基础沉降速率减小,按照桩土变形的特点,可利用式(A.0.4)计算这一阶段基础的沉降量。
A.0.5 封桩后基础沉降应按下式计算:

式中 F 3q ——封桩后,荷载效应准永久组合下,所增加的竖向力(kN);
K pr ——封桩后,复合桩基的刚度(kN/m),应按本规程式(A.0.7-14)计算。
条文说明
A.0.5封桩后,基础的沉降由两部分组成,其一为继续施工的N3层的总竖向荷载值F3q作用下引起的基础沉降,第二部分沉降是由于封桩前在荷载F1k+F2k作用下地基土的固结沉降并未完成,在封桩后仍将引起基础的沉降,两部分沉降均可采用弹性理论按式(A.0.5)计算。
A.0.6 总沉降量 s 应按下式计算:

式中 s 1 ——压桩前浅基础的沉降(mm);
s 2 ——基础上抬量(mm);
s c1 ——压桩前,在荷载 F 1k 作用下承台最终沉降值(mm);
K r ——承台刚度(kN/m);
K ps ——复合地基刚度(kN/m);
K pr ——复合桩基刚度(kN/m);
U t2 ——压桩后封桩前,在 F 1k + F 2k 荷载作用下基础沉降的固结度;
F 1k ——压桩前,荷载效应标准组合下,施工到 N 1 层时作用于承台顶面的竖向力(kN);
F 1k + F 2k ——压桩后封桩前,载荷效应标准组合下,施工到 N 2 层时上部结构的总竖向力(kN);
F 3q ——封桩后,荷载效应准永久组合下,所增加的竖向力(kN);
A.0.7 计算参数的取值应符合下列规定:
1 承台下地基土固结沉降中固结度的计算应按Terzaghi一维固结理论,并应按照下列公式计算:

式中 U ti —— t i 时刻上的固结度( i =1,2);
t——时间(s);
T v ——时间因子;
k v ——竖向渗透系数(m/s);
E s ——土的压缩模量(kPa),采用地基土在自重应力至自重应力加附加压力作用时的压缩模量;
γ w ——水的重度(kN/m 3 );
H 0 ——压缩土层的最远排水距离(m)。
2 承台刚度应按以下公式计算:

式中 K r ——承台刚度(kN/m);
E 0 ——土体的变形模量(kPa),取地基变形计算深度范围内的加权平均值;
v ——土体泊松比,黏土取0.25~0.35,砂土取0.2~0.25;
P m ——垂直压力作用下的影响系数;
B c ——承台宽度(m);
α ——承台长度与宽度之比。
3 复合地基刚度应按下式计算:

式中 K ps ——复合地基刚度(kN/m);
z n ——浅基础阶段地基沉降计算深度(m),应符合现行国家标准《建筑地基基础设计规范》GB 50007的有关规定。
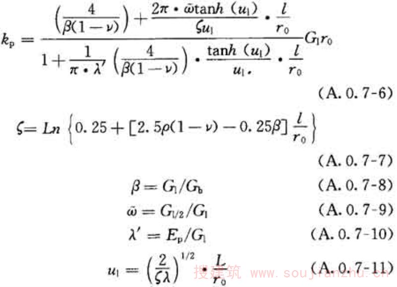
4 单桩刚度应按下列公式计算:
式中 k p ——单桩刚度(kN/m);
β ——桩端土与桩端以下土的剪变模量比;
G 1 ——桩端土的剪变模量(kPa);
G b ——桩端以下土体的剪变模量(kPa);
ω ——桩身平均剪变模量与桩端土剪变模量比;
G 1/2 ——桩身平均剪变模量,对于均质土取1;
λ' ——桩土刚度比;
E p ——桩身弹性模量(kPa);
r 0 ——桩半径;
——修正系数;
v ——土体泊松比;
u 1 ——桩身的压缩变形系数;
5 群桩刚度应按下式计算:

式中 K p ——群桩刚度(kN/m);
n ——桩数;
ω ——与场地有关的系数,对黏性土可取0.5,砂质土可取0.3~0.4。
6 复合桩基刚度按下列公式计算:

式中 K pr ——复合桩基刚度(kN/m);
r m ——单桩位移影响范围(m),在该范围以外认为由桩体引起的沉降为0;
r p ——单桩等效半径(m);
v——土体泊松比;
l——桩身长度(m);
r r ——承台的等效半径(m);
L c ——承台的长度(m);
B c ——承台的宽度(m)。
条文说明
A.0.7计算参数的取值应符合下列规定: 2为了表征承台的刚度特征,可将承台视为弹性地基上的刚性板,取承台的平均沉降来计算承台的刚度: 将式(1)代入式(2),即可得到承台刚度计算公式(A.0.7-3)。 4工程中,可通过基桩的现场静载荷试验获得单桩的竖向支撑刚度,且从压桩完成到开始静载荷试验的间歇时间需满足有关规定。当缺乏试桩资料时,对于摩擦桩,可采用剪切位移法求得单桩的刚度。
5群桩刚度计算可由单桩刚度推广而得,式(A.0.7-13)为群桩刚度计算经验公式,建立群桩刚度与单桩刚度之间的关系式,对于确定的桩长、桩径、土性而言,群桩刚度与单桩刚度呈幂指数关系。要求得群桩刚度精确解,同样可采用剪切位移法,考虑群桩的相互影响,编制电算程序获得,也可在电算结果的基础上,拟合出针对实际应用工程土质条件的ω值。 6引入柔度矩阵考虑桩基础中群桩刚度和承台刚度的影响,可建立封桩后复合桩基刚度与位移的矩阵方程表达式:
式中wp——复合桩基阶段群桩的平均沉降; wr——复合桩基中承台的平均沉降,当承台为绝对刚性时,复合桩基的沉降与群桩及承台沉降有wp=wr=wpr; Pr——承台所分担的荷载; Pp——群桩所分担的荷载; αpr——复合桩基中承台对群桩的影响系数; αrp——复合桩基中群桩对承台的影响系数; 令矩阵的对角元素αpr/Kr=αrp/Kp,可得到群桩分担的荷载Pp、承台分担的荷载Pr表达式如下:
将式(4)、(5)代入式(6),可得复合桩基刚度表达式(A.0.7-14),联立式(4)、(5)还可得地基土的荷载分担比表达式(4.3.3-2)。
附录B逆作复合桩基验收表格
附录B 逆作复合桩基验收表格
表B-1 预制桩检查记录

表B-2 逆作复合桩基压桩施工记录

表B-3 隐蔽工程验收记录

本规程用词说明
本规程用词说明
1 为了便于在执行本规程条文时区别对待,对于要求严格程度不同的用词说明如下:
1)表示很严格,非这样做不可的用词:
正面词采用“必须”,反面词采用“严禁”;
2)表示严格,在正常情况下均应这样做的用词:
正面词采用“应”,反面词采用“不应”或“不得”;
3)表示允许稍有选择,在条件许可时首先应该这样做的用词:
正面词采用“宜”,反面词采用“不宜”。
4)表示有选择,在一定条件下可以这样做的,采用“可”。
2 条文中指明应按其他有关标准执行的,写法为:“应符合……的规定”或“应按……执行”。
引用标准名录
引用标准名录
1《建筑地基基础设计规范》GB 50007
2《混凝土结构设计规范》GB 50010
3《建筑变形测量规范》JGJ 8
4《建筑桩基技术规范》JGJ 94
5《建筑基桩检测技术规范》JGJ 106
