Appearance
《现浇混凝土空心楼盖技术规程[附条文说明]》JGJ/T 268-2012
🗓️ 住房和城乡建设部 实施时间:2012-08-01
前言
中华人民共和国行业标准
现浇混凝土空心楼盖技术规程
Technical specification for cast-in-situ concrete hollow floor structure
JGJ/T 268-2012
批准部门:中华人民共和国住房和城乡建设部
施行日期:2012年8月1日
中华人民共和国住房和城乡建设部公告
第1326号
关于发布行业标准《现浇混凝土空心楼盖技术规程》的公告
现批准《现浇混凝土空心楼盖技术规程》为行业标准,编号为JGJ/T 268-2012,自2012年8月1日起实施。
本规程由我部标准定额研究所组织中国建筑工业出版社出版发行。
中华人民共和国住房和城乡建设部
2012年3月1日
前言
根据原建设部《关于印发<二〇〇二~二〇〇三年度工程建设城建、建工行业标准制定、修订计划>的通知》(建标[2003]104号)的要求,规程编制组经广泛调查研究,认真总结工程实践经验;参考有关国际标准和国外先进标准,在广泛征求意见的基础上,编制本规程。
本规程的主要技术内容是:1.总则;2.术语和符号;3.材料;4.基本规定;5.结构分析方法;6.结构构件计算;7.构造规定;8.施工及验收。
本规程由住房和城乡建设部负责管理,由中冶建筑研究总院有限公司负责具体技术内容的解释。执行过程中如有意见和建议,请寄送至中冶建筑研究总院有限公司(地址:北京市海淀区西土城路33号,邮编:100088)。
本规程主编单位 :中冶建筑研究总院有限公司
本规程参编单位 :长沙巨星轻质建材股份有限公司
中国京冶工程技术有限公司
中国建筑科学研究院
北京市建筑工程研究院有限责任公司
重庆大学
北京东方京宁建材科技有限公司
深圳大学建筑设计研究院
中国电子工程设计院
北京市建筑工程设计有限责任公司
西安建筑科技大学
中国建筑材料科学研究总院
本规程主要起草人员 :吴转琴 尚仁杰 刘航 胡萍 元宏华 李萍 徐焱 徐金声 刘畅 李培彬 姚谦峰 文辉 周建锋 刘景亮 范蕴蕴 蒋方新 周时 秦土洪 全学友 翁端衡
本规程主要审查人员 :马克俭 叶列平 李云贵 宋玉普 吴徽 范重 束伟农 李晨光 杨伟军 束七元
条文说明
中华人民共和国行业标准 现浇混凝土空心楼盖技术规程 JGJ/T268-2012 条文说明 制订说明 《现浇混凝土空心楼盖技术规程》JGJ/T268-2012,经住房和城乡建设部2012年3月1日以1326号公告批准、发布。 本规程编制过程中,编制组进行了广泛的调查研究,总结了现浇混凝土空心楼盖技术的实践经验,同时参考了国外先进技术法规、技术标准,通过试验取得了现浇混凝土空心楼盖设计、施工等重要技术参数。 为便于广大设计、施工、科研、学校等单位有关人员在使用本规程时能正确理解和执行条文规定,《现浇混凝土空心楼盖技术规程》编制组按章、节、条顺序编制了本规程的条文说明,对条文规定的目的、依据以及执行中需注意的有关事项进行了说明。但是,本条文说明不具备与规程正文同等的法律效力,仅供使用者作为理解和把握规程规定的参考。
1 总则
1 总 则
1.0.1 为使现浇混凝土空心楼盖的设计、施工做到技术先进、安全适用、经济合理、确保质量,制定本规程。
条文说明
1.0.1现浇混凝土空心楼盖结构在减轻楼盖自重、减小地震作用、隔声、节能等方面较传统的实心板有较明显的优势,同时可降低总体成本、改善使用功能,目前已经在一些大跨度写字楼、商业楼、大型会展中心、图书馆、多层停车场等公共建筑及大开间民用住宅中广泛应用。 现浇混凝土空心楼盖结构有自身的特点,如:由于填充体布置的不对称性引起板的正交各向异性、正交异性板的内力和变形计算方法以及圆孔板横向抗剪问题、横向最低配筋率及其算法等,这些都是过去没有遇到的,也是本规程要解决的问题。 制定本规程是为了规范现浇混凝土空心楼盖中使用的填充体的技术参数,并对以上提到的新的技术问题给出解决办法,确保工程设计和施工质量,使该项技术得到更好的应用和发展。
1.0.2 本规程适用于工业与民用建筑及一般构筑物的现浇钢筋混凝土及预应力混凝土空心楼盖结构的设计、施工及验收。
条文说明
1.0.2本条明确了本规程的适用范围,适用于一般工业与民用建筑工程。因缺乏可靠的近场地震资料和数据,抗震设防烈度大于9度的柱支承空心楼盖没列入本规程。
1.0.3 现浇混凝土空心楼盖的设计、施工及验收除应符合本规程的规定外,尚应符合国家现行有关标准的规定。
条文说明
1.0.3现浇混凝土空心楼盖是混凝土结构的一种形式,设计计算依据现行国家标准《混凝土结构设计规范》GB50010进行,本规程只是根据该结构的特点进一步细化和明确,特别是解决板的正交各向异性参数的计算问题、正交异性板的内力计算方法问题以及圆孔板横向抗剪问题等。其他常规设计问题,凡现行标准中已有明确规定的,本规程原则上不再重复。同时,规程编制过程中参考了《现浇混凝土空心楼盖结构技术规程》CECS175:2004。
2 术语和符号
2.1 术语
2 术语和符号
2.1 术 语
条文说明
术语是根据本规程内容表达的需要而列出的。其他较常用和重要的术语在相关标准中已有规定,此处不再重复。
2.1.1 现浇混凝土空心楼板 cast-in-situ concrete hollow slab
采用内置或外露填充体,经现场浇筑混凝土形成的空腔楼板。
2.1.2 现浇混凝土空心楼盖 cast-in-situ concrete hollow floor structure
由现浇混凝土空心楼板和支承梁(或暗梁)等水平构件形成的楼盖结构。
条文说明
2.1.2现浇混凝土空心楼盖的填充体空心部分不参与结构受力。现浇混凝土空心楼盖包括了混凝土空心楼板和梁(暗梁)等水平支承构件。
2.1.3 刚性支承楼盖 rigid edge supported floor structure
由墙或竖向刚度较大的梁作为楼板竖向支承的楼盖。
条文说明
2.1.3刚性支承楼盖的楼板只承受竖向荷载,竖向刚度较大的梁是一模糊的概念,一般认为
达到4或5就可以作为刚性支承梁,楼板就可以按四边竖向刚性支承的双向板计算。
2.1.4 柔性支承楼盖 flexible edge supported floor structure
由竖向刚度较小的梁作为楼板竖向支承的楼盖。
条文说明
2.1.4柔性支承楼盖介于刚性梁支承和无梁柱支承楼盖之间,本规程给出了这类楼盖的计算方法。
2.1.5 柱支承楼盖 column supported floor structure
由柱作为楼板竖向支承,且支承间没有刚性梁和柔性梁的楼盖。
条文说明
2.1.5柱支承楼盖也就是无梁楼盖。
2.1.6 填充体 filler
永久埋置于现浇混凝土楼板中,置换部分混凝土以达到减轻结构自重的物体。按形状和成型方式可分为:管状成型的填充管、棒状成型的填充棒、箱状成型的填充箱、块状成型的填充块和板状成型的填充板等。
2.1.7 内置填充体 embedded filler
埋置于现浇混凝土楼板中,表面均不外露的填充体。
2.1.8 外露填充体 exposed filler
埋置于现浇混凝土楼板中,其上表面或下表面或上、下表面暴露于楼板表面的填充体。
条文说明
2.1.6~2.1.8给出各种形式的内置填充体和外露填充体的定义。
填充板是通过钢丝连接网将轻质芯块连为一体形成的网格状填充板,填充板的构造见图1,现场浇筑混凝土后与混凝土成为整体。
2.1.9 体积空心率 volumetric void ratio
现浇混凝土楼板区格内填充体的体积与楼板体积的比值。填充体的体积包括了填充体材料的体积和内部空腔的体积。
条文说明
2.1.9体积空心率只是表明了填充体占的体积,由于填充体有一定重量,因此不能完全表达减轻自重的比率。
2.1.10 表观密度 apparent density
自然状态下填充体的质量与体积的比值。
条文说明
2.1.10表观密度是衡量填充体自重和占有板内体积的一个宏观量度,体积空心率相同时,填充体表观密度越小越能减轻自重。 
图1填充板示意图 1-轻质芯块;2-连接网
2.1.11 肋 rib
同一柱网内相邻填充体侧面之间、端面之间形成的混凝土区域。
2.1.12 主肋 main-rib
现浇混凝土空心楼板中相邻填充板之间形成的肋。
2.1.13 次肋 secondary-rib
现浇混凝土空心楼板中填充板内相邻轻质芯块间形成的肋。
2.1.14 肋间距 rib spacing
相邻两肋中心线之间的距离。
2.1.15 翼缘厚度 flange depth
填充体上、下表面分别至现浇混凝土空心楼板顶面、底面的距离。
2.1.16 拟板法 analogue slab method
将现浇混凝土空心楼板等效为实心板进行内力和变形分析的计算方法。
2.1.17 拟梁法 analogue cross beam method
将现浇混凝土空心楼板等效为双向交叉梁系进行内力和变形分析的计算方法。
2.1.18 经验系数法 empirical coefficient method
用弯矩分配系数计算现浇混凝土空心楼盖各板带控制截面弯矩的计算方法。
2.1.19 等代框架法 equivalent frame method
在两个方向将柱支承楼盖或柔性支承楼盖等效成以柱轴线为中心的连续框架分别进行内力分析的计算方法。
条文说明
2.1.16~2.1.19给出了现浇混凝土空心楼盖的几种计算方法的定义。
2.2 符号
2.2 符 号
条文说明
本节给出了本规程所用到的主要符号。
2.2.1 材料性能
E c ——混凝土弹性模量;
E cb ——梁混凝土弹性模量;
E cs ——板混凝土弹性模量;
E cc ——柱混凝土弹性模量;
E x ——正交各向异性板x向弹性模量;
E y ——正交各向异性板y向弹性模量;
G xy ——正交各向异性板剪变模量;
g fil ——填充体表观密度;
v c ——混凝土泊松比;
v x ——正交各向异性板x向泊松比;
v y ——正交各向异性板y向泊松比。
2.2.2 作用、作用效应
G fil ——楼板区格内填充体重量;
M 0 ——计算板带在计算方向一跨内的总弯矩设计值;
M x1 、M y1 、M x1y1 ——等效各向同性板x向弯矩、y向弯矩以及扭矩;
M x 、M y 、M xy ——正交各向异性板x向弯矩、y向弯矩以及扭矩。
2.2.3 几何参数
A a 、A p ——圆形截面填充体空心楼板纵向、横向截面积;
b——计算单元宽度;计算板带宽度;等代框架梁计算宽度;
b b ——梁截面宽度;拟梁宽度;
b c ——柱截面宽度;
b w ——计算截面肋宽;
c 2 ——等代框架法中垂直于板跨度l 1 方向的柱(柱帽)宽;
D——圆形截面填充体直径;
h——楼板厚度;
h 0 ——楼板截面有效高度;
h c ——柱截面高度;
h con ——空心楼板折实厚度;
I 1 ——等代框架中梁板在柱(柱帽)边缘处的截面惯性矩;
I 0 ——计算单元等宽度实心楼板截面惯性矩;
I a 、I p ——圆形截面填充体空心楼板纵向、横向截面惯性矩;
I c ——柱在计算方向的截面惯性矩;
K c ——等代框架法中柱的抗弯线刚度;
K ec ——等代框架法中等效柱的抗弯线刚度;
K t ——等代框架法中柱两侧抗扭构件的抗扭刚度;
l 1 ——经验系数法及等代框架法中板计算方向跨度;
l 2 ——经验系数法及等代框架法中板垂直于计算方向的跨度;
l x ——正交各向异性板x向计算跨度;刚性支承双向板长跨跨度;
l y ——正交各向异性板y向计算跨度;刚性支承双向板短跨跨度;
l x1 、l y1 ——等效各向同性板x向和y向跨度;
l n ——计算方向板的净跨。
2.2.4 计算系数及其他
C——经验系数法计算中的截面抗扭常数;
k——正交各向异性板y向与x向的弹性模量比;填充管(棒)空心楼板横向与纵向惯性矩比;
α 1 ——经验系数法计算中计算方向梁与板截面抗弯刚度的比值;
α 2 ——经验系数法计算中垂直于计算方向梁与板截面抗弯刚度的比值;
β——填充管(棒)空心楼板横向受剪承载力调整系数;
β b ——等代框架计算中抗扭刚度增大系数;
β t ——经验系数法中抗扭刚度系数;
ρ void ——体积空心率。
3 材料
3.1 混凝土
3 材 料
3.1 混凝土
3.1.1 用于现浇混凝土空心楼盖的混凝土强度等级:钢筋混凝土楼盖不宜低于C25,预应力混凝土楼盖不宜低于C40,且不应低于C30。
条文说明
3.1.1本条对现浇混凝土空心楼盖的最低混凝土强度等级作了规定。
3.2 普通钢筋
3.2 普通钢筋
3.2.1 现浇混凝土空心楼盖的普通纵向受力钢筋宜采用HRB400、HRB500、HRBF400和HRBF500钢筋,也可采用HPB300、HRB335、HRBF335、RRB400钢筋。
条文说明
3.2.1本规程提倡采用HRB400级钢筋作为主受力钢筋。
3.3 预应力筋及锚固系统
3.3 预应力筋及锚固系统
3.3.1 现浇预应力混凝土空心楼盖的预应力筋宜优先选用高强低松弛钢绞线,必要时也可选用钢丝束、纤维预应力筋等性能可靠的预应力筋,其性能应符合现行国家标准《预应力混凝土用钢绞线》GB/T 5224和《预应力混凝土用钢丝》GB/T 5223等相关标准的规定。
条文说明
3.3.1公称直径15.2mm的低松弛钢绞线是我国目前预应力混凝土结构中应用最广的预应力筋,优先采用高强低松弛预应力钢绞线对于工程设计和施工都是有利的。
3.3.2 预应力可采用有粘结、无粘结、缓粘结等技术体系,其性能应符合国家现行标准《混凝土结构设计规范》GB 50010、《无粘结预应力混凝土结构技术规程》JGJ 92和《缓粘结预应力钢绞线》JG/T 369的规定。
条文说明
3.3.2本条说明了结构可采用的预应力体系类别。近年来缓粘结预应力技术在不断推广应用,对于柱支承的空心楼盖,由于楼盖参与了结构抗震,而无粘结预应力混凝土结构延性比不上有粘结预应力混凝土结构,有粘结预应力技术在楼板中应用存在波纹管和群锚布置困难等施工缺陷,而采用缓粘结预应力体系既可以提高抗震性能、又便于施工,因此,柱支承的现浇混凝土空心楼盖可以优先采用缓粘结预应力技术。由于《缓粘结预应力混凝土结构技术规程》还没有颁布,因此,条文里只列出了《缓粘结预应力钢绞线》JG/T369。
3.3.3 预应力锚固系统应符合现行国家标准《预应力筋用锚具、夹具和连接器》GB/T 14370的规定。
条文说明
3.3.3本条规定了预应力筋锚固系统应遵循的有关标准。
3.4 填充体
3.4 填充体
3.4.1 用于现浇混凝土空心楼盖的填充体材料,氯化物和碱的总含量应符合现行国家标准《混凝土结构设计规范》GB 50010中对混凝土材料的要求;放射性核素的限量应符合现行国家标准《建筑材料放射性核素限量》GB 6566的要求;正常使用环境下不应产生有损人身健康及环境的有害成分,火灾时防火等级要求时间内不得产生析出楼板的有毒气体。
条文说明
3.4.1本条对填充体有害物质含量、火灾时的形态等作了规定,考虑填充体可能含有对结构有害成分,尤其是氯离子,其含量应符合《混凝土结构设计规范》GB50010的要求。
3.4.2 填充管、填充棒的规格尺寸应根据具体工程需要确定,外径可取100mm~500mm,尺寸允许偏差应符合表3.4.2的规定,检验方法应按本规程附录A的规定执行。填充管、填充棒的外观质量应符合下列要求:
1 表面应平整,无明显贯通性裂纹、孔洞;
2 填充管管端应封堵密实、牢固;
3 当填充棒有外裹封闭层时,封裹应密实,粘附应牢固。
表3.4.2 填充管、填充棒尺寸允许偏差

条文说明
3.4.2本条对填充管、填充棒的规格、尺寸作了具体的规定,填充棒断面也可以不为圆形,此时,D取断面的最大尺寸。
3.4.3 填充箱、填充块的规格尺寸应根据具体工程需要确定,边长可取400mm~1200mm,尺寸允许偏差应符合表3.4.3的规定,检验方法应按本规程附录A的规定执行。当内置填充箱、填充块的底面短边尺寸大于600mm时,宜在中部设置竖向通孔。填充箱、填充块外观质量应符合下列规定:
1 表面应平整,无明显贯通性裂纹、孔洞;
2 填充箱应具有可靠的密封性;
3 外露填充箱的外露面侧边应与楼盖混凝土有可靠连接。
表3.4.3 填充箱、填充块尺寸允许偏差

条文说明
3.4.3本条对填充箱、块的规格、尺寸作了具体的规定。
3.4.4 填充板的规格尺寸应根据具体工程需要确定,边长可取800mm~1800mm,厚度可取80mm~500mm,尺寸允许偏差应符合表3.4.4的规定,检验方法应按本规程附录A的规定执行。填充板外观质量应符合下列规定:
1 填充板表面应平整,轻质芯块应排列整齐;
2 连接网不应有脱落;
3 轻质芯块表面不应有明显破损,大小应满足混凝土浇筑密实的要求。
表3.4.4 填充板的尺寸允许偏差

条文说明
3.4.4本条对填充板的规格、尺寸作了具体的规定。
3.4.5 填充体的物理力学性能应符合表3.4.5的规定,检验方法应按本规程附录A的规定执行。
表3.4.5 填充体的物理力学性能要求


注:1 当外露填充箱上表面为混凝土,且与现浇混凝土同样受力时,上表面质量和体积可不计入表观密度计算;
2 填充板的局部抗压强度是指轻质芯块的局部抗压强度。
条文说明
3.4.5本条规定了填充体的物理力学性质,局部抗压荷载主要为了防止施工中填充体上站人等造成破坏。外露填充体表面一般为混凝土,且有一定厚度并与现浇混凝土有可靠连接,能参与板的共同受力,这种情况的外露填充体上表面可以与现浇混凝土一起考虑,在计算填充体表观密度时不计入其质量和体积。表观密度最小为15kg/m3是根据国家标准《绝热用模塑聚苯乙烯泡沫塑料》GB/T10801.1-2002的规定确定的,当聚苯乙烯泡沫填充体有加强构造时,表观密度可适当减小。
4 基本规定
4.1 结构布置原则
4 基本规定
4.1 结构布置原则
4.1.1 现浇混凝土空心楼盖的结构布置应受力明确、传力合理。
4.1.2 现浇混凝土空心楼板为单向板时,填充体长向应沿板受力方向布置。
4.1.3 现浇混凝土空心楼板为双向板时,填充体宜为平面对称形状,并宜按双向对称布置;当为填充管、填充棒等平面不对称形状时,其长向宜沿受力较大的方向布置。
条文说明
4.1.3现浇混凝土空心楼盖为双向板时,内力与两个方向的刚度比例有关,如果双向布置不对称,两个方向刚度不同,需要用正交异性板理论去求弹性内力。对于对称布置的内置填充体空心板,可根据截面惯性矩等效为各向同性板计算;对于对称布置的外露填充体空心板,由于板抗扭刚度的影响,原则上仍为正交异性板,如果忽略抗扭刚度的影响,可以按各向同性板理论计算,误差在工程设计要求精度范围内。
4.1.4 直接承受较大集中静力荷载的楼板区域,不宜布置填充体;直接承受较大集中动力荷载的楼板区格,不应采用空心楼板。
条文说明
4.1.4楼板的空心截面不利于承受较大的集中荷载。在承受较大的集中静力荷载的部位,宜采用实心楼板或采取有效的局部加强构造措施。对于承受较大的集中动力荷载的部位(如较大机械设备等)的区格板,应采用实心楼板。
4.2 截面特性计算
4.2 截面特性计算
4.2.1 双向布置填充体的现浇混凝土空心楼板,两正交方向的截面特性应按下列规定计算:
1 选取两相邻填充体中心线之间的范围作为一个计算单元(图4.2.1-1)。

图4.2.1-1 现浇混凝土空心楼板截面示意图
1-混凝土;2-填充体
2 当填充体为内置填充体、单面外露填充体和双面外露填充体时,可将计算单元分别简化为I形截面、T形截面和矩形截面来计算其截面积A和截面惯性矩I(图4.2.1-2)。
3 当填充体外壳为混凝土且与现浇混凝土可靠连接时,可将填充体外壳计入混凝土截面内计算截面特性。

图4.2.1-2 截面计算单元示意图
条文说明
4.2.1对于具有一定刚度的实心填充体,填充体在理论上会参与楼板的受力。经过计算分析,填充体弹性模量要达到混凝土弹性模量的10%以上才有明显的效果,而目前采用的实心填充体都未达到这个数值,因此,暂时不考虑填充体与混凝土共同受力的复合作用。本节给出了将内置填充体空心楼板、单面外露填充体空心楼板和双面外露填充体空心楼板的计算单元分别简化为I形、T形和矩形截面计算单元,可以得到计算单元的截面积和截面惯性矩。
4.2.2 当内置填充体为圆形截面且圆心与板形心一致时,可取宽度D+b w 为一个计算单元(图4.2.2),其截面积和截面惯性矩的计算应符合下列规定:

图4.2.2 圆形截面填充体空心板
1-混凝土;2-填充体
1 空心楼板沿填充体纵向的截面积和截面惯性矩应按下列公式计算:

式中:A a 、I a ——纵向一个计算单元宽度内空心楼板截面积(mm 2 )、截面惯性矩(mm 4 );
D——填充体直径(mm);
b w ——肋宽(mm);
b——计算单元宽度(mm),大小为D+b w ;
h——楼板厚度(mm)。
2 空心楼板沿填充体横向的截面积和截面惯性矩可按下列公式计算:

式中:A p 、I p ——横向一个计算单元宽度内空心楼板截面积(mm 2 )、截面惯性矩(mm 4 );
k——横向计算单元与纵向计算单元截面惯性矩比,可按表4.2.2采用,中间值按线性插值。
表4.2.2 横向计算单元与纵向计算单元截面惯性矩比k

条文说明
4.2.2对于单向布置的圆截面填充体形成的空心楼板,纵向满足平截面假定,可以直接计算截面积和截面惯性矩。空心楼板横向不能满足平截面假定,因此不能直接得到受压时等效的截面积和抗弯时等效的截面陨性矩,本节是在采用有限元法进行计算分析基础上得到。 1横向截面积的计算如下: 根据填充体直径D与板厚的比值以及肋宽与板厚的比值建立计算模型(图2),混凝土建立有限元,填充体忽略不计,左端固定,右端施加水平向位移作用d,计算支座的水平支座反力RA1,得到水平刚度K1=RA1/d;再建立外形相同的实心混凝土模型,同样左端固定,右端施加水平向位移作用d,计算支座的水平支座反力RA0,得到混凝土实心板水平刚度K=RA0/d,空心楼板横向有效的截面积A与实心楼板截面积A0相比为:A/A0=K/K1=RA1/RA0,这样得到表1: 表1横向换算截面积与实化板截面积比值 
通过对表中数据回归分析,可以得到横向宽度b=D+bw范围内截面有效面积的近似计算公式(4.2.2-3),该公式计算值与表中数据误差均不超过3.5%,满足工程设计精度。 
图2截面特性计算模型 2截面惯性矩计算如下: 计算模型见图2(b),左端固定,右端作用一力偶,根据B端发生的转角换算出截面宏观的抗弯刚度,抗弯刚度除以混凝土弹性模量进而得到空心楼板横向宏观等效的截面惯性矩;纵向截面惯性矩可以按平截面假定得到;相同宽度板的横向等效截面惯性矩除以纵向截面惯性矩得到参数k值,也就是表4.2.2给出的数值。 由于纵向截面惯性矩可以通过平截面假定按公式(4.2.2-2)计算出,有了k值就可以很容易得到横向等效的截面惯性矩。 圆形截面内置填充体现浇混凝土空心楼板横向和纵向惯性矩比见图3,计算方法可参看文献“现浇混凝土空心板的正交各向异性研究”,特种结构,2007,24(2):12-14。 
图3横向和纵向惯性矩比与圆孔直径和板厚比值的关系
5 结构分析方法
5.1 一般规定
5 结构分析方法
5.1 一般规定
条文说明
本节规定了现浇混凝土空心楼盖结构分析原则和每种楼盖所采用的计算方法。
5.1.1 现浇混凝土空心楼盖应采用满足力学平衡条件和变形协调条件的计算方法进行结构分析。结构分析宜采用弹性分析方法;在有可靠依据时可考虑内力重分布,当进行内力重分布时应考虑正常使用要求。
5.1.2 当楼盖平面布置不规则、填充体布置间距不等、作用有局部集中荷载、局部开洞等特殊情况时,宜作专门的计算分析。结构分析所采用的电算程序应经考核验证,其技术条件应符合本规程和现行国家标准《混凝土结构设计规范》GB 50010的有关规定。
5.1.3 现浇混凝土空心楼板的自重应考虑空心的影响,整体分析时,也可通过折实厚度考虑板自重,可按本规程附录B计算。
5.1.4 周边刚性支承的内置填充体现浇混凝土空心楼板,可采用拟板法按本规程第5.2节的规定计算;也可采用拟梁法按本规程第5.3节的规定计算。周边刚性支承的外露填充体现浇混凝土空心楼板宜采用拟梁法按本规程第5.3节的规定计算。
5.1.5 柱支承、柔性支承及混合支承现浇混凝土空心楼盖竖向均布荷载下的内力宜采用经验系数法按本规程第5.4节的规定计算;当不符合经验系数法的规定时,可采用等代框架法按本规程第5.5节的规定计算。
5.1.6 承受地震及风荷载作用的柱支承、柔性支承及混合支承现浇混凝土空心楼盖,宜采用等代框架法按本规程第5.5节的规定计算。
条文说明
5.1.5、5.1.6混合支承是指由柱支承、柔性支承、刚性梁支承中两种混合的支承。
5.2 拟板法
5.2 拟板法
5.2.1 现浇混凝土空心楼板按拟板法计算时,应符合下列规定:
1 现浇混凝土空心楼板肋间距宜小于2倍板厚;
2 内置填充体现浇混凝土空心楼板双向刚度相同或相差较小时,可作为各向同性板计算,否则宜按正交各向异性板计算。
条文说明
5.2.1本条规定了现浇混凝土空心楼板采用拟板法的条件。
5.2.2 刚性支承现浇混凝土空心楼板应按下列原则计算:
1 两对边刚性支承的现浇混凝土空心楼板可按单向板计算;
2 四边刚性支承现浇混凝土空心楼板应按下列规定计算:
1)长边与短边长度之比不大于2时,应按双向板计算;
2)长边与短边长度之比大于2,但小于3时,宜按双向板计算;
3)长边与短边长度之比不小于3时,宜按沿短边方向受力的单向板计算,并应沿长边方向布置构造钢筋。
条文说明
5.2.2本条给出了单向板和双向板的划分原则。
5.2.3 现浇混凝土空心楼板可按下列规定等效为等厚度的实心板计算:
1 当现浇混凝土空心楼板作为各向同性板计算时,各向同性板弹性模量E可按下式计算:

式中:I——计算单元截面惯性矩(mm 4 ),可按本规程第4.2节的规定采用;
I 0 ——计算单元等宽度实心板截面惯性矩(mm 4 );
E c ——混凝土弹性模量(N/mm 2 )。
2 当现浇混凝土空心楼板作为正交各向异性板计算时,正交各向异性板的弹性模量、泊松比、剪变模量可按下列规定确定:


式中:I x 、I y ——x向、y向计算单元截面惯性矩(mm 4 ),可按本规程4.2节规定计算;
I 0x 、I 0y ——与I x 、I y 对应计算单元等宽度实心板截面惯性矩(mm 4 );
E x 、v x ——现浇混凝土空心楼板等效为正交各向异性板的x向弹性模量(N/mm 2 )和泊松比;
E y 、v y ——现浇混凝土空心楼板等效为正交各向异性板的y向弹性模量(N/mm 2 )和泊松比;
G xy ——现浇混凝土空心楼板等效为正交各向异性板的剪变模量(N/mm 2 );
v c ——混凝土泊松比,取0.2。
条文说明
5.2.3现浇混凝土空心楼板可以采用拟板法计算,各向同性板需要的参数是板厚、弹性模量和泊松比,第1款给出了弹性模量计算方法,泊松比不变。 对于正交各向异性板,需要的参数除了板厚外,还有两个正交方向上的弹性模量、泊松比,以及剪变模量。第2款给出了内置填充体形成的空心楼板力学参数计算方法。对于填充管(棒)圆截面填充体空心楼板,等效为正交异性板时顺管(棒)方向弹性模量比横向大,顺向的泊松比近似按混凝土泊松比取值,因此,有公式(5.2.3-4)。上、下表面封闭的空心楼板等效为正交异性板后剪变模量可以按公式(5.2.3-6)计算。 对于上、下表面不能封闭的外露填充体形成的空心板,由于板的抗扭刚度比上、下封闭的板小很多,需要根据肋梁的抗扭刚度折算板的剪变模量,本规程没有给出。 当外露填充体双向对称布置但是上、下表面不封闭时,尽管双向抗弯刚度相同,但是,严格意义上也属于正交各向异性板。 对于内置填充体空心板,两个方向刚度相同或相差不大时可以按各向同性板计算;当两个方向刚度不同时宜按正交异性板理论计算,本节给出了正交各向异性板的所有力学参数的计算方法。
5.2.4 现浇混凝土空心楼板等效为正交各向异性板后,可用有限元法进行内力和变形计算;当填充体为内置填充体时,可按本规程附录C提供的等效各向同性板法计算。
条文说明
5.2.4内置填充体空心板可以等效为各向同性板计算,方法见附录C。
5.2.5 刚性支承现浇混凝土空心楼板按拟板法求得的双向板弹性弯矩值,可按下列规定取弯矩控制值:
1 正弯矩:每个方向分别划分为板边区域和跨中区域三个配筋范围(图5.2.5),均按1/4板短跨尺寸分界;板边区域的弯矩控制值可取相应方向最大正弯矩值的1/2,跨中区域的弯矩控制值可取相应方向最大正弯矩值;
2 负弯矩:均可取相应方向负弯矩的最大值。

图5.2.5 双向板弹性正弯矩取值示意
注:M x 、M y ——l x 、l y 跨度方向计算最大正弯矩(N·m/m),其中l x ≥l y 。
条文说明
5.2.5刚性支承楼盖按拟板法计算出的是板内最大弯矩值,本条参考了现行协会标准《现浇混凝土空心楼盖结构技术规程》CECS175:2004的有关规定将一跨板分为三个区域,给出了各区域配筋的正弯矩控制值,与全跨采用最大弯矩控制配筋相比,有效节省钢筋用量。
5.3 拟梁法
5.3 拟梁法
条文说明
本节给出了采用拟梁法计算的条件和计算方法。每个方向拟梁不少于5根可以更接近于板的受力,并且要考虑梁的抗扭刚度。对于填充体为填充管和填充棒的空心板,可以通过板的正交各向异性确定的刚度换算为梁的刚度,进而在拟梁中考虑板的正交各向异性。
5.3.1 现浇混凝土空心楼板按拟梁法计算时,应符合下列规定:
1 所取拟梁宜在相邻区格边间连续;
2 每个区格板内拟梁的数量在各方向上均不宜少于5根(图5.3.1);

图5.3.1 拟梁法示意图
1-拟梁对应的空心板宽度;2-拟梁尺寸为b b ×h
3 计算中宜考虑空心楼板扭转刚度的影响。
5.3.2 拟梁的截面可按抗弯刚度相等、截面高度相等的原则确定,拟梁的宽度可按下式计算:

式中:b 0 ——拟梁对应的空心楼板宽度(mm);
b b ——拟梁宽度(mm);
I——拟梁对应空心楼板宽b 0 范围内截面惯性矩之和(mm 4 ),可按本规程第4.2节的规定计算;
I 0 ——拟梁对应空心楼板宽b 0 范围内按等厚实心板计算的截面惯性矩(mm 4 )。
5.3.3 在用拟梁法计算现浇混凝土空心楼板的自重时应扣除两个方向拟梁交叉重叠而增加的梁量。
5.4 经验系数法
5.4 经验系数法
5.4.1 柱支承、柔性支承现浇混凝土空心楼盖在竖向均布荷载作用下,当采用经验系数法进行计算时,应符合下列规定:
1 楼盖为矩形区格,任一区格的长边与短边之比不应大于2;
2 楼盖结构的每个方向至少应有三个连续跨;
3 同一方向相邻跨的跨度差不应超过较长跨的1/3;
4 任一方向柱离相邻柱中心线的偏移距离不应超过该方向跨度的1/10;
5 可变荷载标准值与永久荷载标准值之比不应大于2;
6 楼盖应按纵、横两个方向分别计算,且均应考虑全部竖向荷载的作用;
7 对于柔性支承楼盖,两个垂直方向的梁尚应满足下式要求;

式中:l 1 、l 2 ——分别为板计算方向和垂直于计算方向的跨度(m),取柱支座中心线之间的距离;
α 1 、α 2 ——分别为计算方向和垂直于计算方向梁与板截面抗弯刚度的比值。
8 计算方向和垂直于计算方向梁与板截面抗弯刚度的比值应按下式计算:

式中:E cb 、E cs ——分别为梁、板的混凝土弹性模量(N/mm 2 );
I b 、I s ——分别为梁、板的截面惯性矩(mm 4 ),应分别按本规程第5.4.2条和第5.4.3条的规定计算。
条文说明
5.4.1经验系数法参考了美国ACI318规范的相关规定。柱支承和柔性支承楼盖如满足本条限制条件,可采用经验系数法进行竖向均布荷载作用下的内力分析。第1款的限制主要是保证楼板的双向受力。第2款的限制主要是由于经验系数法假定楼盖的第一内支座既非嵌固,也非简支,如果结构只有两个连续跨,则中支座负弯矩值不满足假定。第3款的限制是为保证楼板支座负弯矩分布不超过钢筋切断点。第4款给出了柱子相对规则柱网的偏移限制。第5款的限制是由于经验系数法是在均布重力荷载试验的基础上得出的,大多数情况下,可变荷载与永久荷载比值不超过2,就可以不计荷载形式的影响。第6款给出了经验系数法的应用方法。第7款的限制是为保证楼盖弹性弯矩的分布符合经验系数法的假定,当超出该限制时,楼盖弹性弯矩的分布将发生显著变化。
5.4.2 柔性支承现浇混凝土空心楼盖中,梁的截面惯性矩I b 可按T形或倒L形截面计算,每侧翼缘计算宽度宜取梁高与板厚之差,且不应超过板厚的4倍。
条文说明
5.4.2对于柔性支承楼盖,计算梁的截面惯性矩时应考虑楼板的翼缘作用。中间梁可按T形、边梁按倒L形截面计算。如图4所示: 
图4楼板翼缘作用示意
5.4.3 柔性支承现浇混凝土空心楼盖中,楼板的截面惯性矩I s 可按本规程第5.4.4条的规定的计算板带计算,梁位置按实心板计算,空心楼板部分的截面惯性矩可按本规程第4.2节的规定计算。
条文说明
5.4.3本条楼板的截面惯性矩主要用于α和βt的计算,其计算宽度取为计算板带的宽度,对柔性支承楼盖,不包括梁在楼板上、下凸出部分的截面。 当内模为筒芯时,由于正交各向异性,应区分顺筒方向和横筒方向分别计算。公式均由楼板实心区域和空心区域两个部分组成。
5.4.4 计算板带取柱支座中心线两侧区格各自中心线为界的板带。板带可划分为柱上板带和跨中板带,板带宽度应按下列规定取值:
1 柱上板带应为柱支座中心线两侧各自区格宽度的1/4之和;
2 跨中板带应为每侧各自区格宽度的1/4。
5.4.5 计算板带在计算方向一跨内的总弯矩设计值M 0 (N·m)应按下式计算:

式中:q——板面竖向均布荷载设计值(N/m 2 );
b——计算板带的宽度(m):当垂直于计算方向柱中心线两侧跨度不等时,取两侧跨度的平均值;当计算板带位于楼盖边缘时,取该区格中心线到楼盖边缘的距离;
l n ——计算方向板的净跨(m),取相邻柱(柱帽或墙)侧面之间的距离,且不应小于0.65l 1 。
条文说明
5.4.5总弯矩设计值M0的计算公式中,假定支座反力作用于与计算方向垂直的柱或柱帽的侧面,因此计算跨度取为净跨。计算净跨时,对于矩形或方形截面柱按实际柱侧面位置确定,对于圆形、正多边形等形状可按面积相等的方形截面确定。如图5所示: 
图5支座等效截面
5.4.6 计算板带的总弯矩设计值M 0 可按下列原则分配(图5.4.6):

图5.4.6 板带总弯矩的分配示意图
1-边支座负弯矩;2-正弯矩;3-内支座负弯矩
1 计算板带的内跨负弯矩设计值应取0.65M 0 ,正弯矩设计值应取0.35M 0 ;
2 计算板带的端跨弯矩应按表5.4.6的系数分配:
表5.4.6 计算板带端跨各控制截面弯矩设计值分配系数

3 内支座截面设计时,其负弯矩应取支座两侧负弯矩的较大值,否则应对不平衡弯矩按相邻构件的刚度再分配;设计板的边缘或边梁时,应考虑边支座负弯矩的扭转作用。
条文说明
5.4.6负弯矩的计算截面为支座侧面,见5.4.5条条文说明;正弯矩的计算截面为跨中。 对于楼盖端跨,各控制截面弯矩按表5.4.6中系数确定。表中系数基于等效支座刚度原则确定。表中除了简支与嵌固两种情况之外,正弯矩和内支座负弯矩的系数取值接近于变化范围的上限,边支座负弯矩接近于变化范围的下限,这主要是由于多数情况下,边支座负弯矩所需配筋很少,通常按裂缝控制采用构造配筋。表中系数除符合上述原则外,还进行了适当调整,以保证正弯矩与负弯矩平均值绝对值之和等于M0。 支座截面设计时应考虑支座两侧板弯矩的差异。对不平衡弯矩进行再分配时,构件抗弯刚度可按混凝土毛截面计取。垂直于板边或边梁的弯矩应传给柱或墙支座,设计板边和边梁时应考虑该弯矩引起的扭转应力。
5.4.7 柱上板带各控制截面所承担的弯矩设计值宜按本规程第5.4.6条确定的弯矩设计值乘以表5.4.7的系数确定。
表5.4.7 柱上板带弯矩分配系数

注:1 柱上板带弯矩分配系数可按表中数值的线性插值确定;
2 当支座由墙或柱组成,且其支承长度不小于3b/4时,可按负弯矩在计算板带宽度b范围内均匀分布计算;
3 表中抗扭刚度系数β t 应按本规程第5.4.8条的规定确定。
条文说明
5.4.7对于承受竖向均布荷载的柱支承楼盖和柔性支承楼盖,设计时可认为控制截面弯矩分别在柱上板带和跨中板带内均匀分布。表5.4.7中的分配系数为柱上板带承担弯矩占计算板带弯矩的比值。
5.4.8 抗扭刚度系数β t 应满足下列规定:

式中:C——截面抗扭常数(mm 4 ),将垂直于跨度方向的抗扭构件横截面划分为若干个矩形,取不同划分方案计算结果的最大值;
x、y——抗扭构件划分为若干矩形时,每一矩形截面的高度与宽度(mm),抗扭构件横截面应按下列规定确定:
1 对于柱支承楼盖,只有一个矩形时,其截面高度可取楼板厚度,宽度可取与柱(柱帽)等宽(图5.4.8);

图5.4.8 典型抗扭构件宽度图示
2 对于柔性支承楼盖,可取下述两种情况的较大值:
1)板带加上横梁凸出板上、下的部分,板带的宽度取与柱(柱帽)等宽;
2)本规程第5.4.2条规定的计算截面。
条文说明
5.4.8边支座负弯矩分配时,应考虑截面抗扭刚度系数βt的影响,当梁的抗扭刚度相对于被支承板的抗弯刚度很小时,即βt=0时,可认为全部边支座负弯矩由柱上板带承担,跨中板带按最小配筋率配筋即可;当梁的抗扭刚度相对于被支承板的抗弯刚度不可忽略时,可按表中系数线性内插确定柱上板带弯矩分配系数。βt的计算公式中,混凝土的剪切模量根据《混凝土结构设计规范》GB50010取为其弹性模量的1/2.5。 当支座为沿柱轴线布置的墙体时,可以认为是很刚性的梁,其α1I2/I1≥1.0。当边支座由垂直于计算方向的墙体组成,如果为抗扭刚度很低的砌体墙体,应取βt≥0,如果为抗扭刚度很大的混凝土墙体,应取βt≥2.0。
5.4.9 柔性支承楼盖柱上板带所承担的弯矩包括由板承担的弯矩和由梁承担的弯矩两部分。由梁承担的弯矩占柱上板带总弯矩的比例应按下列规定取值:
1 当 
≥1.0时,取85%;
2 当0≤ 
<1.0时,取0到85%之间的线性插值;
3 直接作用于梁上的荷载所产生的弯矩应由梁全部承担。
条文说明
5.4.9对于柔性支承楼盖,柱上板带中楼板所承担的弯矩尚应减去由梁承担的弯矩。直接作用于梁上的荷载是指作用于梁腹板宽度范围内的荷载,其中线荷载包括梁上的隔墙自重和梁在板上、下凸出部分的自重,集中荷载包括梁上的立柱或梁下的吊重。
5.4.10 柔性支承楼盖跨中板带所承担的弯矩设计值应按下列规定取值:
1 计算板带中柱上板带未承受的弯矩设计值应按比例分配给两侧的跨中板带;
2 与支承墙平行的边跨跨中板带,应承受远离墙体的半个跨中板带弯矩设计值的两倍。
条文说明
5.4.10对于与支承在墙体上的柱上板带相邻的跨中板带,由于墙的截面刚度较大,与墙相邻的半个跨中板带从计算板带中分配到的弯矩较少,为保证跨中板带的承载能力,要求整个跨中板带承受远离墙体的半个跨中板带弯矩设计值的两倍。
5.4.11 柔性支承楼盖应按现行国家标准《混凝土结构设计规范》GB 50010的规定验算梁的斜截面受剪承载力,梁承担的剪力设计值应按下列规定计算:
1 当 
≥1.0时,梁应承受其荷载从属面积范围内板所传递的设计剪力;该从属面积取板角45°线与相邻区格平行于梁的中心线所包围的面积(图5.4.11阴影面积);

图5.4.11 梁的荷载从属面积示意
2 当0≤ 
<1.0时,应取0剪力值和本条第1款所计算剪力设计值之间的线性插值;
3 直接作用于梁上的荷载所产生的剪力应由梁全部承担。
条文说明
5.4.11柔性支承楼盖应验算梁的受剪承载力。当α1I2/I1≥1.0时,梁承担其从属面积内的全部设计剪力;当0≤α1l2/l1<1.0时,梁所承担的设计剪力按本条第2款计算,剩余的剪力由板承担,此时还应验算板的抗冲切承载力。
5.5 等代框架法
5.5 等代框架法
5.5.1 柱支承或柔性支承现浇混凝土空心楼盖采用等代框架法计算内力时,应按楼盖的纵、横两个方向分别进行,每个方向的计算均应取全部竖向作用荷载。
条文说明
5.5.1采用等代框架法进行内力分析时,在竖向均布荷载作用下,每个计算方向的等代框架均为以柱轴线为中心的连续平面框架。在水平地震荷载作用下,地震作用计算应考虑楼盖的全部永久荷载和可变荷载组合值,且应符合现行国家标准《建筑抗震设计规范》GB50011的有关规定。
5.5.2 等代框架梁的计算宽度应按下列规定确定:
1 竖向荷载作用下,等代框架梁的计算宽度可取垂直于计算方向的两个相邻区格板中心线之间的距离(图5.5.2)。
2 水平荷载或地震作用下,等代框架梁的计算宽度宜取下列公式计算结果的较小值:

式中:b——等代框架梁的计算宽度(mm);
l 1 、l 2 ——计算方向及与之垂直方向柱支座中心线间距离(mm);
b ce2 ——垂直于计算方向的柱帽有效宽度(mm),无柱帽时取0。

图5.5.2 竖向荷载作用下等代框架梁的计算宽度
1-等代框架梁计算宽度
条文说明
5.5.2在竖向荷载作用下,等代框架梁的计算宽度与经验系数法计算板带宽度相同;在水平荷载或地震作用下,等代框架梁的计算宽度较小,这是由于在水平荷载或地震作用下,主要通过柱的弯曲把水平荷载或地震作用传给板带,而能与柱一起工作的板带宽度较小。
5.5.3 等代框架梁位于节点区外任意截面的惯性矩I bf 应按下式计算:

式中:I b ——计算方向柱轴线上梁的截面惯性矩(mm 4 ),梁截面应按本规程第5.4.2条规定确定;
I s0 ——等代框架梁宽度范围内除I b 所取梁截面外楼板截面惯性矩(mm 4 ),空心楼板部分的截面惯性矩可按本规程第4.2节的规定计算。
条文说明
5.5.3等代框架梁惯性矩的计算原则与本规程5.4.3条基本相同,主要区别在于,第5.4.3条实心部分惯性矩的计算仅指楼板,而本条包括梁。
5.5.4 等代框架梁在柱中线至柱(柱帽)边之间的截面惯性矩,可按下式计算:

式中:c 2 ——垂直于板跨度l 1 方向的柱(柱帽)宽(mm);
I 1 ——等待框架中梁板在柱(柱帽)边缘处的截面惯性矩(mm 4 ),按式(5.5.3)计算。
条文说明
5.5.4本条是用来计算等代框架梁在支座节点区宽度范围内的截面惯性矩,支座节点区可以是柱、柱帽、托板和墙。
5.5.5 等代框架当跨度相差较大或相邻跨荷载相差较大时,应考虑柱及柱两侧抗扭构件的影响按等效柱计算,等效柱的刚度可按下列公式计算:

式中:K c ——柱的抗弯线刚度(N·mm),按本规程第5.5.6条确定;
I c ——柱在计算方向的截面惯性矩(mm 4 );
K t ——柱两侧抗扭构件刚度(N·mm),按本规程第5.5.7条确定。
5.5.6 柱的抗弯线刚度应按下列公式计算:

式中:E cc ——柱的混凝土弹性模量(N/mm 2 );
h ca ——柱帽高度(mm),无柱帽时取0;
ψ——考虑柱帽的影响系数;
λ ca ——柱帽高度与柱计算长度之比;
H i ——柱的计算长度(mm),取下层楼板中心轴至上层楼板中心轴间距离;对底层柱取基础顶面至一层楼板中心轴距离;柔性支承楼盖尚应减去梁、板高度之差;
条文说明
5.5.5、5.5.6对柱支承楼盖,当无柱帽时,等代框架柱的计算高度从下层楼板中心线到上层楼板中心线,当有柱帽时,该计算高度应考虑柱帽的刚域作用进行折减,该折减系数参考国家现行标准《钢筋混凝土升板结构技术规范》GBJ130-90确定。对柔性支承楼盖,等代框架柱的计算高度应考虑梁对柱的刚度提高作用进行折减。竖向荷载作用下,宜考虑柱及柱两侧抗扭构件的影响按等效柱计算刚度,由于抗扭构件的存在,减少了柱弯矩的分配,等效柱的柔度为柱柔度和两侧横向抗扭构件柔度之和,由此可确定等效柱的转动刚度计算公式。
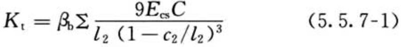
5.5.7 柱两侧抗扭构件刚度K t 可按下式计算:

式中:E cs ——板的混凝土弹性模量(N/mm 2 );
C——截面抗扭常数(mm 4 ),按本规程式(5.4.8-2)计算;
β b ——抗扭刚度增大系数,对柱支承楼盖,应取1.0;对柔性支承楼盖,可按下式计算:

式中:I bf ——等代框架梁截面惯性矩(mm 4 ),按本规程第5.5.3条规定计算;
I bs ——等代框架梁宽度的楼板截面惯性矩(mm 4 ),梁位置按实心板计算,空心楼板部分的截面惯性矩可按本规程第4.2节的规定计算。
条文说明
5.5.7本条抗扭构件刚度的计算公式中抗扭常数C的计算同本规程第5.4.8条。式(5.5.7-1)为根据三维楼盖变参数分析得出的近似计算公式,该公式假定扭矩沿受扭构件呈线性分布,在支座中心处最大,在跨中处为0。增大系数βb为考虑横向梁影响的增大系数。
5.5.8 柱支承现浇混凝土空心楼盖在竖向均布荷载作用下按等代框架法进行计算时,负弯矩控制截面可按下列规定确定:
1 对内跨支座,弯矩控制截面可取柱(柱帽)侧面处,但与柱中心的距离不应大于0.175l 1 ;
2 对有柱帽或托板的边跨支座,弯矩控制截面距柱侧距离不应超过柱帽侧面与柱侧面距离的1/2。
条文说明
5.5.8本条规定了采用等代框架法分析时的弯矩控制截面,支座侧面位置可参考第5.4.5条文说明确定。对于有柱帽的边跨支座,按本条规定可避免边支座弯矩折减过多。
6 结构构件计算
6.1 一般规定
6 结构构件计算
6.1 一般规定
6.1.1 现浇混凝土空心楼盖的设计,除应符合本规程有关规定外,尚应符合国家现行标准《混凝土结构设计规范》GB 50010、《建筑抗震设计规范》GB 50011和《无粘结预应力混凝土结构技术规程》JGJ 92、《预应力混凝土结构抗震设计规程》JGJ 140等的有关规定。
条文说明
6.1.1现浇混凝土空心楼板的承载力和抗裂验算均是在满足现行国家标准《混凝土结构设计规范》GB50010的基础上进行的。
6.1.2 现浇混凝土空心楼盖进行承载力计算和抗裂验算时,应取楼盖混凝土实际截面;正截面受弯承载力计算时,位于受压区的翼缘计算宽度应按现行国家标准《混凝土结构设计规范》GB 50010有关规定确定;受压区高度不宜大于受压翼缘的厚度;当单向布置填充体时,横向受弯承载力计算的受压区高度不应大于受压翼缘的厚度;抗裂验算时,应考虑位于受拉区的翼缘。
条文说明
6.1.2由于肋中一般不配箍筋,因此,控制受压区高度在受压翼缘内。本规程中将填充体上、下混凝土截面板称为翼缘,以便在将截面计算单元按I形、T形截面计算时与习惯叫法统一。
6.1.3 对于现浇预应力混凝土空心楼盖,除应进行承载能力极限状态计算和正常使用极限状态验算外,尚应按具体情况对施工阶段进行验算。预应力作为荷载效应时,对于承载能力极限状态,当预应力作用效应对结构有利时,预应力分项系数应取1.0,不利时应取1.2;对于正常使用极限状态,预应力作用分项系数应取1.0。
条文说明
6.1.3本条给出了预应力混凝土楼盖承载力极限状态计算和正常使用极限状态验算时,预应力作为荷载效应的考虑方法。
6.1.4 超静定现浇预应力混凝土空心楼盖在进行承载力计算和抗裂验算时,应考虑次内力影响,次内力参与组合的计算应符合现行国家标准《混凝土结构设计规范》GB 50010的有关规定。
条文说明
6.1.4本条给出了预应力混凝土空心楼盖在进行承载力计算和抗裂验算时次内力考虑方法。
6.2 设计计算原则
6.2 设计计算原则
条文说明
本节给出了空心楼盖按承载力极限状态验算的统一公式和正常使用极限状态验算的统一公式,后面章节中极限状态验算只是给出了现浇混凝土空心楼盖特有的验算,可以直接按现行国家标准《混凝土结构设计规范》GB50010进行设计计算的内容没有重复给出。
6.2.1 现浇混凝土空心楼盖的承载力极限状态应按下列公式验算:

式中:γ 0 ——结构重要性系数,按现行国家标准《混凝土结构设计规范》GB 50010采用;
S d ——承载力极限状态下作用组合的效应设计值,按现行国家标准《建筑结构荷载规范》GB 50009和《建筑抗震设计规范》GB 50011的有关规定计算;
R d ——结构构件承载力设计值;
γ RE ——承载力抗震调整系数。
6.2.2 现浇混凝土空心楼盖的正常使用极限状态验算,应根据荷载效应的标准组合并考虑长期作用的影响按下式验算:

式中:S——正常使用极限状态荷载组合的效应设计值;
C——结构构件达到正常使用要求所规定的变形、裂缝宽度、应力和自振频率等的限值,按现行国家标准《混凝土结构设计规范》GB 50010采用。
6.3 承载力极限状态计算
6.3 承载力极限状态计算
6.3.1 柱支承及柔性支承楼盖柱上板带的承载力计算应考虑水平荷载效应与竖向荷载效应的组合,跨中板带可仅考虑竖向荷载效应的组合。
条文说明
6.3.1柱支承及柔性支承楼盖柱上板带除了承受竖向荷载外,还承受水平荷载效应。
6.3.2 刚性支承楼盖现浇混凝土空心楼板的承载力计算可仅考虑竖向荷载组合的效应。
条文说明
6.3.2刚性支承楼盖的水平荷载效应由刚性支承构件承受,板的承载力计算可仅考虑竖向荷载组合的作用效应。
6.3.3 现浇混凝土空心楼盖的正截面受弯承载力应按现行国家标准《混凝土结构设计规范》GB 50010中有关规定验算。
6.3.4 现浇混凝土空心楼板斜截面受剪承载力应将计算单元截面简化为I形、T形或矩形截面按现行国家标准《混凝土结构设计规范》GB 50010中有关规定执行;当设置肋梁时,应考虑肋梁内箍筋对受剪承载力的影响。
条文说明
6.3.3、6.3.4空心楼盖的正截面受弯承载力和斜截面受剪承载力都是按现行国家标准《混凝土结构设计规范》GB50010相关章节计算。
6.3.5 当内置填充体为填充管(棒)且未配置抗剪钢筋时,现浇混凝土空心楼板计算单元宽度范围内的受剪承载力应符合下列规定:

式中:f t ——混凝土轴心抗拉强度设计值(N/mm 2 )
V p ——计算单元宽度内由预应力所提高的受剪承载力设计值(N),按现行国家标准《混凝土结构设计规范》GB 50010的有关规定确定;
V——计算宽度范围内剪力设计值(N);
h 0 ——空心楼板截面有效高度(mm);
h——空心楼板板厚(mm);
b w ——肋宽(mm);
b——计算单元宽度(mm),大小为D+b w (图6.3.5);
β——空心楼板沿填充管(棒)横向受剪承载力调整系数,按下式计算:

图6.3.5 沿管(棒)纵向和横向受剪

条文说明
6.3.5空心楼板的抗剪设计是区别于普通实心板的重要部分,顺孔方向的抗剪可以参照现行国家标准《混凝土结构设计规范》GB50010中I形截面受弯构件斜截面受剪承载力计算公式,也就是本节公式(6.3.5-1)。 横孔方向的抗剪比较复杂,在肋宽较大而上、下翼缘较小时,上、下翼缘会先于肋发生剪切破坏。在正弯矩区上翼缘是压剪受力,下翼缘是拉剪受力,拉剪翼缘受剪承载力降低,压剪翼缘受剪承载力提高,总体上可以认为整个截面受剪承载力基本不变,可以得到公式(6.3.5-2)。 
图6横孔方向受力图 取图6(a)计算单元隔离体,纵向宽度为b,左、右弯矩和剪力之间的关系为下式: 
6.3.6 柱支承楼盖,应在柱周围设置楼板实心区域,其尺寸和配筋应根据受冲切承载力计算确定,冲切承载力应按现行国家标准《混凝土结构设计规范》GB 50010的有关规定计算。
6.3.7 柔性支承楼盖,宜由支承梁受剪承载力和节点实心区域受冲切承载力承受全部竖向荷载,梁所承担的剪力设计值应按本规程5.4.11条规定取值。支承梁与柱相交周边设置实心区域时,其尺寸及配筋应根据抗冲切承载力计算确定。
6.4 正常使用极限状态验算
6.4 正常使用极限状态验算
6.4.1 现浇混凝土空心楼盖可按区格板进行挠度验算。在楼面竖向均布荷载作用下区格板的最大挠度计算值应按荷载标准组合效应并考虑荷载长期作用影响的刚度计算,所求得的最大挠度计算值不应超过表6.4.1规定的挠度限值。当构件制作时预先起拱,且使用上允许,最大挠度计算值可减去起拱值。预应力混凝土构件可按现行国家标准《混凝土结构设计规范》GB 50010的规定考虑预应力所产生的反拱值。
表6.4.1 楼盖挠度限值

注:1 表中l 0 为楼盖的计算跨度;
2 表中括号内数值用于使用上对挠度有较高要求的楼盖。
条文说明
6.4.1空心楼盖挠度控制大小与普通混凝土楼盖及预应力混凝土楼盖相同。
6.4.2 现浇混凝土空心楼盖挠度计算所采用的楼板刚度可按下列规定确定:
1 现浇混凝土空心楼板的刚度应按国家现行标准《混凝土结构设计规范》GB 50010和《无粘结预应力混凝土结构技术规程》JGJ 92的有关规定计算,并应按本规程第4.2节的规定考虑楼板的空心效应。
2 刚性支承楼盖现浇混凝土空心楼板刚度可取短跨方向跨中最大弯矩处的刚度。
3 柱支承及柔性支承楼盖现浇混凝土空心楼板刚度可取两个方向中间板带跨中最大弯矩处的刚度平均值。
条文说明
6.4.2空心楼盖挠度计算时采用的刚度应该考虑空心效应。
6.4.3 在楼面竖向荷载作用下,钢筋混凝土及有粘结预应力混凝土空心楼板的裂缝控制应符合现行国家标准《混凝土结构设计规范》GB 50010的有关规定;无粘结预应力混凝土空心楼盖的裂缝宽度计算应符合现行行业标准《无粘结预应力混凝土结构技术规程》JGJ 92的有关规定。
条文说明
6.4.3裂缝控制遵守国家现行标准《混凝土结构设计规范》GB50010和《无粘结预应力混凝土结构技术规程》JGJ92的有关规定。
6.4.4 对于大跨度现浇混凝土空心楼盖,宜进行竖向自振频率验算,其自振频率不宜小于表6.4.4的限值。
表6.4.4 楼盖竖向自振频率的限值(Hz)

条文说明
6.4.4楼盖竖向自振频率可以采用弹性动力分析获得。
6.4.5 对于具有特殊使用要求的现浇混凝土空心楼盖结构,应根据使用功能的具体要求进行验算。
7 构造规定
7.1 一般规定
7 构造规定
7.1 一般规定
7.1.1 现浇混凝土空心楼板的体积空心率可按本规程附录B计算,当填充体为填充管、填充棒时,宜为20%~50%;当填充体为内置填充箱、填充块、填充板时,宜为25%~60%;当填充体为外露填充箱、填充块时,宜为35%~65%。
条文说明
7.1.1本条定义了现浇混凝土空心楼盖能发挥受力及构造最佳状态的空心率,空心率太低则不经济,空心率太高则整体性能有所下降,当填充体为管、棒时双向刚度差异还会变大,施工也有所不便。体积空心率宜以一个楼板区格为计算单元,见附录B。
7.1.2 现浇混凝土空心楼盖的跨度、跨高比宜符合表7.1.2的规定。
表7.1.2 楼盖的跨度、跨高比

注:1 当耐火等级低于二级(含二级)、无开洞、静态均布荷载大于70%时,跨高比宜取上限;
2 如遇荷载集中(单重大于5kN的集中活荷载)或开洞尺寸大于1.5倍板厚时,跨高比宜取下限;
3 如属耐火等级为一级的重要建筑物,跨高比宜取下限;
4 如有可靠经验且满足设计要求时,可适当放宽跨度限值。
条文说明
7.1.2现浇混凝土空心板的刚度比等厚度的实心板刚度略小,但重量更轻,厚度一般比相同跨度的实心板取值稍大即可,但不宜小于200mm,否则空心率及其他构造难以满足。空心率随板厚增加而增大,故无特殊要求或当荷载较大时建议取适当厚一些。
7.1.3 现浇混凝土空心楼板应沿受力方向设肋,肋宽宜为填充体高度的1/8~1/3,且当填充体为填充管、填充棒时,不应小于50mm;当填充体为填充箱、填充块时,不宜小于70mm;当肋中放置预应力筋时,肋宽不应小于80mm。
条文说明
7.1.3肋宽的取值应根据剪力计算确定,同时考虑混凝土的浇筑及施工的方便,确定最小肋宽。
7.1.4 现浇混凝土空心楼板边部填充体与竖向支承构件间应设置实心区,实心区宽度应满足板的受剪承载力要求,从支承边起不宜小于0.20倍板厚,且不应小于50mm(图7.1.4)。

图7.1.4 实心区范围示意图
1-混凝上实心区;2-支承构件;3-填充体起始处
7.1.5 当填充体为内置填充体时,现浇混凝土空心楼板上、下翼缘的厚度宜为板厚的1/8~1/4.且不宜小于50mm,不应小于40mm(图7.1.5)。

图7.1.5 上、下翼缘厚度及肋宽示意图
1-现浇混凝土;2-填充体;3-上翼缘厚度:4-下翼缘厚度;5-肋宽
条文说明
7.1.5内置填充体成形的现浇混凝土空心楼板,当按整板考虑计算时,受压区高度应控制在实心翼缘内,同时考虑受力筋的保护层厚度,确定最小厚度不宜小于50mm;外露填充体自带预制底板,无现浇下翼缘,不受此条限制。
7.1.6 当填充体为填充板且楼板内布置预应力筋时,预应力筋宜布置在主肋内,主肋宽宜为100mm~200mm,并考虑预应力筋的构造要求(图7.1.6)。
7.1.7 当填充体为填充管(棒)时,在填充管(棒)方向宜设横肋,横肋间距不宜大于1.2m,横肋宽度不宜小于100mm,并可考虑横肋参与受剪承载力计算。
条文说明
7.1.7垂直管方向设肋可传递该方向的剪力,增强空心楼板的双向受力性能。
7.1.8 现浇混凝土空心楼板主受力钢筋应符合下列规定:

图7.1.6 填充板空心楼板构造
1-填充板;2-预应力筋;3-主肋肋宽;4-次肋肋宽
1 受力钢筋与填充体的净距不得小于10mm;
2 填充体为内置填充体时,楼板中非预应力受力钢筋宜均匀布置,其间距不宜大于250mm;
3 跨中的板底钢筋应全部伸入支座,支座的板面钢筋向板内延伸的长度应覆盖负弯矩图并满足锚固长度的要求,负弯矩受力钢筋应锚入边梁内,其锚固长度应满足现行国家标准《混凝土结构设计规范》GB 50010的有关规定。对无边梁的楼盖,边支座锚固长度从柱中心线算起。
条文说明
7.1.8考虑受力钢筋需要一定的混凝土握裹,与填充体的净距离不应小于10mm。
7.1.9 现浇混凝土空心楼板的最小配筋应符合下列规定:
1 受力钢筋最小配筋面积A s 应符合下列规定:

式中:ρ min ——最小配筋率,按现行国家标准《混凝土结构设计规范》GB 50010的有关规定取值。
I——截面惯性矩(mm 4 );
I 0 ——相同外形的实心板截面惯性矩(mm 4 )。
2 内置填充体预应力混凝土空心楼板的非预应力筋最小配筋面积A s 在两个方向均宜满足下列公式:

式中:A s ——非预应力筋面积(mm 2 );
A 0 ——相同外形的实心板截面积(mm 2 )。
3 当有可靠的试验依据时,最低配筋率可按试验结果确定。
条文说明
7.1.9由于现浇混凝土空心楼板的空腔通常都不是连续布置,楼板断面会随截断位置不同而不同.式(7.1.9-1)根据混凝土空心楼板的开裂弯矩与最小配筋的承载力相同确定。对于预应力空心板,非预应力筋的最低配筋率是为了避免在设计的使用荷载下抗裂性弱的一方突然出现过大的裂缝宽度(超过现行国家标准《混凝土结构设计规范》GB50010规定的正常使用极限状态裂缝宽度限值)和长度,造成用户不能正常使用。因为规范和规程没有规定双向的空心板必须双向都配置预应力筋使其抗裂度相同,没有规定其两个方向都要作抗裂设计,也没有提供双向裂缝宽度的计算方法。当正交异性空心楼板的内力分析和实际构造不一致时,更为严重,故对填充体为管和棒的空心楼板补充这条规定。
7.1.10 当现浇混凝土空心楼板为内置填充体,受力钢筋间距大于150mm时,楼板角部宜配置附加的构造钢筋,构造钢筋应符合下列规定:
1 楼板角部板顶、板底均应配置构造钢筋,配筋的范围从支座中心算起,两个方向的延伸长度均不应小于所在角区格板短边跨度的1/4;
2 构造钢筋的直径不宜小于8mm,间距不宜大于200mm,配筋方式宜沿两个方向垂直布置、放射状布置或斜向平行布置。
条文说明
7.1.10结合现行国家标准《混凝土结构设计规范》GB50010规定并根据工程经验用于确定楼板角部抵抗应力集中的钢筋。
7.1.11 当现浇混凝土空心楼板需要开洞时(图7.1.11),应符合国家现行标准《建筑抗震设计规范》GB 50011、《高层建筑混

图7.1.11 洞口构造示意图
凝土结构技术规程》JGJ 3、《无粘结预应力混凝土结构技术规程》JGJ 92的有关规定,并应满足下列规定:
1 当洞口尺寸不大于300mm或不大于板厚时,可将填充体在洞口处取消,钢筋绕过洞口;
2 当洞口尺寸大于300mm并大于板厚时,洞口周边应布置不小于100mm宽的实心板带,且应在洞边布置补偿钢筋,每个方向的补偿钢筋面积不应小于该方向被切断钢筋的面积;
3 当洞口切断肋时,应在洞口的周边设暗梁,暗梁宽度不应小于150mm,每个方向暗梁主筋面积不应小于该方向被切断钢筋的面积,暗梁纵筋不应少于2根直径12mm钢筋,暗梁箍筋直径不应小于8mm;
4 圆形洞口应沿洞边上、下各配置一根直径8mm~12mm的环形钢筋及 
6@200~300放射形钢筋。
条文说明
7.1.11给出了现浇混凝土空心楼板遇到洞口时的处理方法,参照了贵州省《现浇混凝土圆孔空心楼盖结构技术规程》DBJ52-52-2007。
7.1.12 当现浇混凝土空心楼板下需要吊挂时,吊点宜布置在肋内,当布置在下翼缘时应验算吊挂承载力;当空心楼板配有预应力筋时,严禁吊点打孔伤及预应力筋。
条文说明
7.1.12当填充体为内置时,板底有不小于50mm的实心混凝土层,故吊挂点可设置于任意位置;当填充体为外露时,由于填充体自身混凝土底板仅20mm~30mm厚,只宜吊挂较轻且无摆动的物体,并宜采用化学锚栓连接。较重物体吊挂点仍需设置于现浇混凝土肋梁下。
7.1.13 当现浇混凝土空心楼盖需要设置后浇带时,后浇带的宽度及间距应符合现行行业标准《高层建筑混凝土结构技术规程》JGJ 3的有关规定,后浇带内可放置填充体(图7.1.13)。

图7.1.13 后浇带示意图
1-填充体;2-后浇带
条文说明
7.1.13当填充体为内置时,后浇带内填充体两侧的肋宽不宜小于200mm,以方便施工。
7.2 柔性支承楼盖
7.2 柔性支承楼盖
7.2.1 柔性支承梁应符合国家现行标准《建筑抗震设计规范》GB 50011及《预应力混凝土结构抗震设计规程》JGJ 140中有关扁梁的规定,柔性支承梁宜双向布置,且不宜用于一级抗震等级框架结构。柔性支承梁的截面尺寸除应满足有关标准对挠度和裂缝宽度要求外,尚应满足下列要求:

式中:b c ——柱截面宽度(mm),圆形截面可取柱直径的8/10;
b b ——柔性支承梁的截面宽度(mm),当柔性支承梁为边梁时不宜超过柱截面宽度b c ;
h b ——柔性支承梁的截面高度(mm),可取计算跨度的1/25~1/22;
d——柱纵筋直径(mm)。
条文说明
7.2.1柔性支承楼盖是介于柱支承楼盖和刚性支承楼盖之间的一种楼盖。为满足抗震要求,对柔性支承梁的宽度和高度作了一定的限制。
7.2.2 当柔性支承梁能承担全部剪力时,柔性支承楼盖可不进行抗冲切验算。柔性支承梁箍筋设置应满足现行国家标准《建筑抗震设计规范》GB 50011中框架梁的要求,且箍筋加密区不应小于1000mm。
条文说明
7.2.2柔性支承梁承担全部剪力时,柱边冲切不起决定作用,但柱周边仍建议设置一定范围实心区域。由于柔性梁梁高较小,2倍梁高的箍筋加密区长度已不满足设计要求。
7.2.3 当采用梁宽大于柱宽的宽扁梁时,外露填充体柔性支承楼盖宜在柱周边设置实心区域,范围应为柱截面边缘外不小于1.5倍板厚,板面宜配置钢筋网。在肋中配有负弯矩钢筋的范围内,宜配置构造用封闭箍筋,箍筋直径不应小于6mm,间距不应大于肋高,且不应大于200mm。
7.3 柱支承楼盖
7.3 柱支承楼盖
7.3.1 柱支承楼盖宜在纵、横柱轴线上设置实心区域,其宽度不应小于柱宽加两侧各100mm。
7.3.2 柱支承楼盖宜在柱周边设置实心区域,范围应为柱截面边缘向外不小于1.5倍板厚。
条文说明
7.3.1、7.3.2实心区域应根据受力状态配置适当数量的钢筋。
7.3.3 柱支承楼盖可根据承载力和变形要求采用无柱帽(柱托)板形式或有柱帽(柱托)板形式。柱托板的长度和厚度应按计算确定,且每方向长度不宜小于板跨度的1/6,厚度不宜小于楼板厚度的1/4。抗震设防烈度为7度时宜采用有托板,8度时应采用有托板,此时托板每方向长度不宜小于同方向柱截面宽度与4倍板厚之和,托板处总厚度不应小于16倍柱纵筋直径。当无柱托板且无梁板受冲切承载力不足时,可采用型钢剪力架(键),此时板的厚度不应小于200mm。
条文说明
7.3.3地震时板柱节点为薄弱点,容易出现正截面裂缝从而导致冲切抗力不足的脆性破坏,故8度抗震设计时宜采用有托板或柱帽的板柱节点。
7.3.4 抗震设计时,柱支承楼盖的周边和楼梯、电梯洞口周边宜设置刚性支承梁。
条文说明
7.3.4地震时由于结构不可避免的扭转,在边跨、楼电梯洞口边容易出现受力复杂的情况,因此宜设刚性支承梁。
7.3.5 抗震设计时,无柱帽的柱支承板楼盖应沿纵、横柱轴线在板内设置暗梁,暗梁宽度取柱宽及两侧各1.5倍板厚之和。暗梁配筋应符合下列要求:
1 暗梁上、下纵向钢筋应分别不小于柱上板带上、下钢筋截面面积的1/2,且下部钢筋不宜小于上部钢筋的1/2;
2 当计算不需要箍筋时,箍筋直径不应小于8mm,间距不宜大于3h 0 /4,肢距不宜大于2h 0 ;
3 当计算需要箍筋时,箍筋应按计算确定,直径不应小于10mm,间距不宜大于h 0 /2,肢距不宜大于1.5h 0 。
条文说明
7.3.5暗梁宽度的设置依据国家标准GB50011-2001第6.6.7条,其配筋参考国家标准GB50011-2001第6.3节中相关条文并结合工程经验,当为高层建筑时,尚应满足现行行业标准《高层建筑混凝土结构技术规程》JGJ3的相关条文。
7.3.6 无柱帽柱支承楼盖,沿两个主轴方向均应布置通过柱截面的板底连续钢筋,且钢筋的总截面面积应符合下式要求:

式中:N G ——该层楼面重力荷载代表值作用下的柱轴向压力设计值(N),8度时尚应计入竖向地震作用影响;
A s ——贯通柱截面的板底纵向普通钢筋的截面面积(mm 2 );
f y ——通过柱截面的板底连续钢筋抗拉强度设计值(N/mm 2 )。
A p ——贯通柱截面连续预应力筋截面积(mm 2 );
f py ——预应力筋抗拉强度设计值,对无粘结预应力筋,取其应力设计值σ pu (N/mm 2 )。
条文说明
7.3.6为了防止无柱帽板柱结构的柱边开裂以后楼板脱落,穿过柱截面板底两个方向钢筋的受拉承载力应满足该层柱承担的重力荷载代表值的轴压力设计值。对一端在柱截面对边锚固的普通钢筋和预应力筋,截面积按一半计算。
8 施工及验收
8.1 施工要点
8 施工及验收
8.1 施工要点
8.1.1 现浇混凝土空心楼盖的施工应符合下列规定:
1 填充体、普通钢筋、预应力筋、混凝土等分项工程施工除应符合本规程规定外,尚应符合国家现行标准《混凝土结构工程施工质量验收规范》GB 50204、《无粘结预应力混凝土结构技术规程》JGJ 92及其他相关标准的规定。
2 施工前应编制专项施工技术方案。
3 模板应按设计要求起拱,当设计未作规定时,起拱高度宜为跨度的0.1%~0.3%。
4 填充体在运输和堆放时应轻装轻卸,严禁甩扔,运输中应捆紧绑牢。
5 填充体的安装位置应符合设计要求,并应采取措施保证其安装位置准确、行列平直。
6 施工中应采取措施防止损坏填充体,板面钢筋安装之前已损坏的填充体应予以更换,板面钢筋安装之后损坏的填充体,应采取有效措施进行修补或封堵,防止混凝土漏入。
7 预留、预埋设施安装工序应与钢筋、填充体安装等工序穿插进行。
8 当预留、预埋设施无法避开填充体时,可对填充体采取开孔或断开等措施,并应对孔洞和缺口进行封堵修复。对管线集中的部位,宜采用局部调整填充体尺寸等措施避让。
9 浇筑混凝土前应对模板及填充体浇水润湿。
10 填充体安装和混凝土浇筑过程中,宜铺设架空施工通道,禁止将施工机具和材料直接放置在填充体上,施工操作人员不得直接在填充体上踩踏。
11 混凝土浇筑宜采用泵送施工,并一次连续浇捣成型;在楼板钢筋上铺设输送混凝土的泵管时,宜使用柔性缓冲支垫架空支承在板面;混凝土的坍落度不宜小于150mm;振动混凝土时,应避免振动器触碰预应力筋、钢筋支凳、填充体;应保证板底、肋、板面混凝土充填饱满,无积存气囊、气泡。
12 当楼板厚度大于500mm时,楼板混凝土浇筑和振动宜分层进行,首次浇筑宜为板厚的3/5,待混凝土振捣密实后,再进行第二次浇筑捣实,第二次振捣时振动器插入第一层中不宜大于50mm,第二层混凝土浇筑振捣应在第一层混凝土初凝前进行。
13 浇筑混凝土时应对填充体进行观察,发现异常情况,应及时采取措施进行处理。
条文说明
8.1.1现浇混凝土空心楼盖的正确施工是保证楼盖满足设计要求的前题: 1现浇混凝土空心楼盖结构的施工及质量验收包括模板、钢筋、混凝土或预应力等分项工程。在施工及验收时除应遵守本规程的要求外,还应符合现行国家标准《混凝土结构工程施工质量验收规范》GB50204的有关规定。当楼盖中采用无粘结预应力混凝土结构技术时,其施工和质量验收尚应符合现行行业标准《无粘结预应力混凝土结构技术规程》JGJ92等的有关规定。 2在进行现浇混凝土空心楼盖施工前,应编制专门的施工技术方案,并取得工程监理和建设单位批准。施工技术方案应包括施工工艺流程、施工材料、施工设备、操作方法、质量保证措施、质量问题的处理及安全措施等针对性内容,同时方案中涉及工程建设强制性标准的内容,应有明确的规定和相应的措施。根据现行国家标准《建筑工程施工质量验收统一标准》GB50300和《混凝土结构工程施工质量验收规范》GB50204的有关规定,对现浇混凝土空心楼盖施工现场和施工项目的质量管理体系和质量保证制度提出了要求。施工时,参与工程建设的有关各方均应实行全过程质量控制。 3现浇混凝土空心楼盖的适度起拱有利于抵消拆模后楼盖自重引起的挠度变形。楼盖宜按设计要求起拱;当设计未作规定时,宜按跨度的0.1%~0.3%进行起拱,起拱值的下限值适用于跨度和荷载均不大的楼盖,当楼盖的跨度较大时,板底挠度容易引起顶棚面下坠的视觉偏差,宜采用较大值进行楼盖起拱。当楼盖的支模系统为全木结构时,起拱值宜适当增大。预应力混凝土空心楼盖的起拱值应按设计和施工验算确定。 4填充体产品虽然有一定强度和抗冲击性能,可抵抗正常施工荷载,但装卸和运输时过重的撞击、挤压和甩扔可能导致裂缝和破损,另外填充体装卸和转运次数越多损伤越大,影响其正常使用功能。填充体在施工现场的垂直运输宜采用专门吊篮装运。施工现场采用钢丝绳直接捆绑吊运填充体产品有两大危害:一是不安全,二是易造成产品损坏。填充体的堆放场地应平整坚实,堆高不得超过相关规定。 5保证填充体安装位置准确、行列顺直、与梁柱间混凝土实心部分的尺寸准确,对于满足设计要求非常重要,应严格执行。这里所指的位置包括填充体的竖向位置及它们与相邻构件之间的水平位置。填充体竖向位置的过大偏差将导致空心楼板孔腔顶部和底部现浇板厚不能满足设计规定,板内受力钢筋的混凝土保护层厚度不能满足相关要求,板的承载能力削弱。填充体水平位置的过大偏差将导致肋不顺直或截面尺寸不符合设计要求,肋内受力钢筋的混凝土保护层厚度亦不能满足有关规定。 主要技术措施有: 1)按设计要求绘制填充体排布图,排布图上应详细标明填充体型号规格、肋宽及与周围结构构件之间的距离等。楼盖施工时,应严格按设计图或排布图的规定对框架梁、肋梁、柱帽、预留预埋设施及填充体等安装位置定位画线。 2)按照施工技术方案规定对内置填充体采取安装定位、抗浮锚固、防水平漂移等技术措施。 6施工过程中防止填充体损坏的措施主要有:合理安排各工序施工,在已安装完工的内置填充体上铺设脚手板或模板覆盖保护等。施工人员直接踩踏内置填充体,施工机具直接放置在填充体上,可能造成填充体破损,影响楼盖混凝土成型质量,故应避免。对于板面钢筋完工之前已损坏的填充体应予以更换;板面钢筋完工之后损坏的填充体采取有效处理措施,以保证填充体的外形尺寸符合要求,且不会漏入混凝土。 7制订现浇混凝土空心楼盖施工技术方案时应将预留、预埋、钢筋安装和填充体安装的配合方案予以明确。施工时应视预留、预埋设施所在部位,尽可能与钢筋及填充体安装相互配合.穿插或同步进行,避免预留预埋工序介入时间滞后而造成施工困难或损坏填充体。 8外径(或截面边长)不大于30mm的预留预埋管线对楼盖截面削弱不大,可水平布置在框架梁、柱帽、肋等结构截面内。由于外径(或截面边长)大于30mm的预留预埋管线或管线密集部位会对楼盖截面削弱较大,从而影响楼板结构受力性能,可采用对填充体开孔、断开等措施,让较大尺寸的预留预埋设施或集中管线埋设于填充体开孔或断开处。由此造成的填充体破损应及时封堵,以避免混凝土进入其空腔内。在管线集中处,也可采用较小尺寸的填充体替换较大尺寸的填充体,让出预埋管线位置,也不会造成楼板截面削弱。现浇混凝土空心楼盖孔腔顶部及底部板厚一般较薄,且又是楼板的关键受力区域,预留预埋设施在其中水平布置将会严重削弱楼板截面,故应避免。 9大部分填充体和模板材料都具有吸水性。浇筑混凝土前对其浇水润湿,有利于保证楼盖混凝土施工质量。 10采取铺设架空施工通道,避免施工操作人员直接在安装好的内置填充体上踩踏,不将施工机具及材料直接堆放在安装好的填充体上,是防止填充体损坏和移位,保证楼盖施工质量的有效措施之一。 11现浇混凝土空心楼盖混凝土采用泵送施工有利于保证连续供料,避免出现混凝土施工冷缝。混凝土泵管工作时会产生冲击力,泵管在楼面上铺设时采用柔性缓冲支垫(诸如废旧小汽车外胎)架空支承在板面的纵横肋梁交汇处,可以较大程度地缓减泵管对填充体、钢筋及模板的冲击力。布料时,混凝土落差太大,其下落冲击力对填充体、钢筋和模板均不利。浇捣混凝土时,振捣器紧贴钢筋、预应力筋、钢筋马凳或填充体振动,会造成钢筋走位或填充体破损,影响工程质量。两相邻振捣点的间距不得大于500mm,振捣器在每处振捣时间宜在20~30s之间,既不能漏振,也不得在同一点长时间振捣。 12当楼盖厚度大于500mm时,对框架梁和肋的混凝土分层布料振捣有利于排出混凝土内气泡和保证混凝土密实。前后两层混凝土布料振捣时间差不得超过混凝土初凝时间。当施工企业有能力保证混凝土施工质量时,厚度大于500mm的楼盖混凝土也可采用一次布料振捣方式施工。 13为了能及时处理填充体在混凝土中的浮力和振捣器作用下可能会出现的上浮、水平漂移或破损等事故,保证现浇混凝土空心楼盖施工质量和施工安全,应安排专人在混凝土浇筑过程中对填充体的定位、抗浮、防水平位移等措施进行观察和维护。
8.1.2 内置填充体现浇混凝土空心楼盖的施工除应满足本规程第8.1.1条规定外,尚应符合下列规定:
1 内置填充体底部应有定位措施,保证下翼缘厚度和板底受力钢筋混凝土保护层厚度;
2 内置填充体应有可靠的抗浮和防水平漂移措施;
3 内置填充体空心楼板的混凝土用粗骨料的最大粒径不宜大于25mm;
4 当填充体为填充管(棒)时,浇筑混凝土宜顺填充管(棒)方向推进。
条文说明
8.1.2内置填充体空心楼盖施工的专项要求: 1保证内置填充体底部现浇板厚度及与板底受力钢筋混凝土保护层厚度的定位措施有多种,施工时可根据实际情况选用。目前常用的定位措施有内置填充体底部自带定位脚、设支承钢筋、专门垫块、钢筋马凳等多种。 2在混凝土浇筑时,现浇空心楼盖中的内置填充体在混凝土及振捣器作用下会产生上浮、水平漂移,导致楼盖截面尺寸与设计要求不符,因此必须采取相应的技术措施。内置填充体抗浮锚固用拉丝(筋)的规格、间距等必须经计算确定,抗浮锚固拉丝(筋)的布设位置应便于同支模系统的木龙骨或钢架管绑牢拉紧。防止内置填充体上浮及水平漂移措施可根据实际情况确定,其布设位置和传力应合理可靠,在混凝土及振捣器作用下不会损坏填充体。 3现浇空心楼盖的混凝土粗骨料粒径应兼顾填充体形式、构件截面尺寸、施工设备和施工条件等因素。由于现浇空心楼盖内置填充体两侧肋宽度和底部板厚尺寸均较小,粗骨料粒径较大时,粗骨料在内置填充体底部板中流动困难,易造成板底混凝土骨料分布不均匀,故规定现浇空心楼盖混凝土粗骨料最大粒径不宜大于25mm。 4按顺管或顺棒方向浇筑混凝土有利于防止填充管或填充棒水平漂移。
8.1.3 外露填充体空心楼盖的施工除应满足本规程第8.1.1条规定外,尚应符合下列规定:
1 楼板底部不铺设模板或不满铺模板时,其底部木龙骨和模板应满足外露填充体受力的要求,且应能向支架有效传递上部荷载。
2 外露填充体要锚入现浇混凝土内的钢筋(丝)锚固方向应正确、锚固长度应符合设计或相关标准的规定。
条文说明
8.1.3外露填充体空心楼盖施工的专项要求: 1本条所说的“不铺设模板”是仅指外露填充体及肋底部均不铺设模板,而利用外露填充体底板作为模板,适用于外露填充体底板每向外挑1/2肋宽的情况,但框架梁及跨中次梁底部还是应按要求铺设模板。“不满铺模板”是指外露填充体底部不铺设模板,而利用外露填充体底板作为模板,但肋、框架梁及次梁底部还是应按要求铺设模板。外露填充体空心楼板采用不铺设模板或不满铺模板的支模方式时,其底部木龙骨规格、数量及间距均应经模板设计验算确定。 2外露填充体外露部件的外伸钢筋(丝)与梁锚固连接方向及锚固长度符合相关规定是结构共同受力的要求,施工时应认真对待。
8.1.4 现浇混凝土空心楼盖施工流程宜符合本规程附录D的规定。
8.2 材料进场验收
8.2 材料进场验收
8.2.1 填充体进场检验批的划分应符合下列规定:
1 内置填充体及单面外露填充体进场时,应按同一厂家在正常生产条件下生产的同工艺、同规格、同材质的产品,连续进场5000件为一检验批,不足5000件时亦按一批计,检查产品合格证、出厂检验报告,并进行抽样检验。当连续3批一次检验合格时,可改为符合前述条件的每10000件为一个检验批。
2 双面外露填充体顶板应按同一厂家在正常生产条件下生产的同工艺、同规格、同材质的产品,且连续进场2000件为一检验批,不足2000件时亦按一批计,检查产品合格证、出厂检验报告,并进行抽样检验。当连续5个检验批均一次检验合格时,可改为每5000件为一个检验批。
条文说明
8.2.1填充体进场检验批的划分应符合下列规定: 1本条对内置填充体及单面外露填充体进场验收检验批的划分作了详细说明,作为一个检验批的产品应是同一工厂在正常生产条件下连续生产的产品。所谓“正常生产条件”是指工厂生产设备运转正常、生产操作人员稳定、原材料供应正常且质量稳定,生产中未发生较大质量事故,所生产的填充体质量稳定并抽检合格。进场验收时作为一个检验批的填充体还须是采用相同工艺、相同原材料生产的同一规格型号的产品。对于存放时间较长(超过3个月以上)的玻纤增强型无机类填充体,其中的玻纤性能因遇水泥中碱性物质会产生变化,对填充体物理力学性能会有不利影响,亦不能作为一个检验批。当连续三个检验批内置填充体或单面外露填充体产品均一次检验合格时,足以说明其质量比较稳定,可将每个检验批的批量扩大至10000件。进场检验时,应注意同一检验批的界定条件和每个检验批中抽样数量的规定。当一次进场的数量大于该产品的进场检验批量时,应划分为若干个检验批进行检验;当一次进场的数量少于该产品的进场检验批数量时,也应作为一个检验批进行检验。内置填充体及单面外露填充体进场时,应提供产品合格证、产品出厂检验报告等产品质量证明文件。 2本条对双面外露填充体进场检验批划分的界定条件作了相应规定。参照现行国家标准《混凝土结构工程施工质量验收规范》GB50204中对预制构件进场验收按每1000件数量划为一个检验批规定,鉴于双面外露填充体的顶板属钢筋混凝土预制构件,但其余部件仅作为模板或装饰构件,故此,本规程将双面外露填充体每个检验批的批量定为2000件。当连续五个检验批次的双面外露填充体产品均一次检验合格时,足以说明其质量比较稳定,可将每个检验批数量扩大至5000件。
8.2.2 填充体的检验方法应符合本规程附录A的规定,抽样应符合下列规定:
1 每个检验批产品的外观质量应全数目测检查,其外观质量应符合本规程第3.4节的相关规定;对不符合外观质量要求的产品,可在现场修补,经检验合格后可重新使用。
2 从外观质量检验合格的产品中随机抽取10件试样进行尺寸检验,检验合格后,从中随机抽取3件试样检验各项物理力学性能指标。
条文说明
8.2.2本条对填充体的抽样及检验作了规定: 填充体进场验收时,除应检查产品质量证明文件外,还应对产品外观质量全数目测检查,并现场随机抽取规定数量的试样检测外观尺寸偏差及物理力学性能指标,用于外观尺寸偏差检验的填充体必须外观质量合格,用于物理力学性能检验的填充体必须外观质量及尺寸偏差均合格。填充体外观质量不符合本规程规定时,对能够返修的,可在现场修理或退回厂家修理,并经重新验收合格后方可使用;对无法修理的,不得用于工程。
8.2.3 填充体的质量等级判定规则应符合下列规定:
1 当抽取的10件试样尺寸偏差符合本规程第3.4节规定的合格率不小于90%,且没有严重超差时,该检验批产品的尺寸可判定为合格。当合格率小于90%但不小于80%时,应再从该批中随机抽取10件试样进行检验,当按两次抽样总和计算的合格率不小于90%,且没有严重超差时,则该检验批的尺寸仍可判定为合格。如不符合上述要求,则应逐件检验,并剔除严重超差者。
2 从上述10件试样中随机抽取3件试样进行物理力学性能检验,当检验符合本规程第3.4.5条的规定时,该检验批的物理力学性能可判定为合格。如某检验项目不符合要求,则应加倍抽样对不合格项目复检,当复检试样的检验结果均符合要求时,该检验批的物理力学性能仍可判定为合格;当复检试样的检验结果仍不符合要求时,该检验批产品的该项物理力学性能判定为不合格。
条文说明
8.2.3本条对填充体的质量等级判定规则作了规定: 1本条对填充体尺寸偏差检验方法、复检条件、结果判定及不合格的处理办法等方面进行了相应规定。本条中的“严重超差”是指填充体某项目检验时出现会造成楼板成型后截面尺寸不符合设计要求的尺寸偏差。 2本条对填充体物理力学性能指标检验方法、结果判定及复检条件等方面进行了相应规定。
8.2.4 填充体进场验收应按本规程附录E中的相关记录表进行记录,与本批产品的出厂合格证和出厂检验报告一齐归入工程质量保证资料存档备查。
条文说明
8.2.4填充体作为现浇混凝土空心楼盖中空心孔腔的非抽芯式成孔材料,其质量对保证现浇空心楼盖质量起着较为重要的作用,进场时应严格按本规程的有关规定对其质量进行检查验收,并认真记录进场验收结果,及时做好出厂合格证、质量检验报告和进场验收记录整理归档工作。
8.2.5 用户对填充体物理力学性能有特殊需要时,可根据相应要求进行专项性能的抽样检验,检验方案可由有关各方共同协商确定。
条文说明
8.2.5对本规程中未规定的填充体质量指标项目,当工程需要时,经工程有关各方共同商定后,可进行专项检测。
8.3 工程施工质量验收
8.3 工程施工质量验收
8.3.1 现浇混凝土空心楼盖结构用钢筋、填充体、预应力筋、水泥、砂、石、外加剂、矿物掺合料、水等原材料的进场检验,应按现行国家标准《混凝土结构工程施工质量验收规范》GB 50204及其他相关标准的有关规定执行。
条文说明
8.3.1现浇混凝土空心楼盖施工所用材料包括填充体、钢筋以及混凝土的各种原材料。对预应力混凝土空心楼盖工程,还包括预应力筋、锚具、夹具和连接器等。各种原材料进场时均应进行抽样检验,其质量应符合相应标准的规定。应遵照现行国家标准《混凝土结构工程施工质量验收规范》GB50204中对各种原材料进场检验的有关规定执行。
8.3.2 填充体安装检验批的质量要求及验收方法应符合表8.3.2的规定,验收结果可按本规程附录E记录。
表8.3.2 填充体安装检验批的质量要求及验收方法


8.3.3 内置填充体或单面外露填充体的安装验收宜归入模板分项工程验收,可不参与混凝土结构子分部工程的验收,但应提供填充体质量检验报告及出厂合格证等质量保证材料。
条文说明
8.3.3根据本条的规定,现浇混凝土空心楼盖中内置填充体和单面外露填充体的安装宜按模板分项工程的要求进行施工质量控制和验收。内置填充体和单面外露填充体安装检验批与普通模板安装检验批的划分方法可取一致,例如均按楼层、结构缝或施工段划分。根据具体情况,内置填充体和单面外露填充体安装检验批可与普通模板安装检验批一同验收,也可单独验收。与普通模板分项工程一样,内置填充体和单面外露填充体的安装不参与混凝土结构子分部工程的验收。
内置填充体和单面外露填充体安装检验批的抽检频率、验收方法及质量要求应符合表8.3.2中相关规定。
施工质量验收程序、组织应符合现行国家标准《混凝土结构工程施工质量验收规范》GB50204的规定。其中,检验批的检查层次为:生产班级的自检、交接检;施工企业质量检验部门的专业检查和评定;监理单位(建设单位)组织的检验批验收。在施工过程中,前一工序的施工质量未得到监理单位(建设单位)的检查认可,不应进行后续工序的施工,以免质量缺陷累积,造成更大的损失。对工程质量起重要作用或有争议的检验项目,应进行由各方参与的见证检测,以确保施工过程中的关键质量得到控制。
8.3.4 当双面外露填充体的顶板作为楼板结构的组成部分时,双面外露填充体的安装验收宜归入装配式结构分项工程验收,可参与混凝土结构子分部工程的验收;当双面外露填充体不参与结构受力时,双面外露填充体的安装验收可按本规程第8.3.3条的规定验收。
条文说明
8.3.4当双面外露填充体的顶板为楼板结构的组成部分时,其安装检验批验收后,应归入装配式结构分项工程验收,并参与混凝土结构子分部工程的验收评定。双面外露填充体安装检验批的抽检频率、验收方法及质量要求按表8.3.2中规定。
8.3.5 现浇混凝土空心楼盖结构作为混凝土结构子分部工程的组成部分,其各分项工程应按现行国家标准《混凝土结构工程施工质量验收规范》GB 50204的规定进行验收。
条文说明
8.3.5国家标准《混凝土结构工程施工质量验收规范》GB50204-2002第10.2.1条规定的文件和记录反映在从基本的检验批开始,贯彻于整个施工过程的质量控制结果,落实了过程控制的基本原则,是确保工程质量的重要证据。
附录A填充体检验方法
A.1外观检查
附录A 填充体检验方法
A.1 外观检查
A.1.1 填充体的外观质量用目测观察进行全数检查。
条文说明
A.1.1填充体的外观质量采用目测方式检查,必要时可辅以其他检测工具。填充体进场验收时,对其外观质量全数检查,是为了防止外观质量存在缺陷的填充体用于工程,影响现浇混凝土空心楼盖质量。
A.2尺寸偏差检查
A.2 尺寸偏差检查
A.2.1 填充管、填充棒的尺寸偏差应按表A.2.1进行检验,尺寸测量应精确至1mm。
表A.2.1 填充管、填充棒尺寸偏差检验

条文说明
A.2.1填充管、填充棒的尺寸偏差的测量控制精度为1mm,填充管、填充棒长度或断面尺寸偏差值为实测值减去标志值。填充管、填充棒断面尺寸测量方法,在端面用钢尺直接量测,在管中部用外卡钳辅以钢尺测量。测量圆形断面的填充管、棒不圆度方法,从端面上选取管径或棒径存在明显差异且相互垂直的两向测量。
A.2.2 填充块、填充箱、填充板尺寸偏差应按表A.2.2检验,尺寸测量应精确至1mm。
表A.2.2 填充块、填充箱、填充板尺寸偏差检验

条文说明
A.2.2 填充板、填充块、填充箱边长或高度尺寸偏差值为实测值减去标志值。填充板、填充块、填充箱对角线长度差测量方法:测量填充体顶面或底面的两对角线长度值,将同一平面上两对角线长度值中较大者减去较小者,所得结果即为对角线长度差。
A.3物理力学性能检查
A.3 物理力学性能检查
A.3.1 填充体的表观密度可按下列规定进行检验:
1 测量和计算体积:
1)填充管(棒):取自然干燥的试样,量测其直径和长度(精确至1×10 -3 m),计算其体积V(精确至1×10 -6 m -3 );
2)填充块(箱):取自然干燥的试样,量测其长、宽和高(精确至1×10 -3 m),计算其体积V(精确至1×10 -6 m -3 );
3)填充板:取自然干燥的填充板试样,量测轻质芯块的长、宽和厚(精确至1×10 -3 m),计算其体积V(精确至1×10 -6 m -3 )。
2 用台秤称其质量M(精确至0.01kg);
3 填充体表观密度g fil 应按下式计算(精确至0.1kg/m 3 ):

条文说明
A.3.1填充体重量是楼盖结构设计时荷载的重要指标之一,本条规定了检验方法及相关要求。进行楼盖结构设计或模板验算选用该指标时,应注意将填充管(棒)的表观密度、填充箱(块)的表观密度换算成作用于单位面积楼盖上的荷载值。用作表观密度计算的重量检测试样应处于自然干燥状态,否则,检测结果与填充体的真实性状会有差异。
A.3.2 填充体的局部抗压荷载可按下列规定进行检验:
1 取试样放入水中浸泡:填充管、填充棒长度宜为1m;填充箱、填充块为一个填充体;填充板为一个芯块,边长不小于20cm;
2 浸泡48h后取出放置在水平板面上,底部垫平放稳,填充管、填充棒可采用与试样同长的三角木塞在两侧;
3 将100mm×100mm×20mm的加荷垫板放置在试样受检面中部,当填充体上表面为弧面时应采用同弧面垫板;
4 加荷分5级进行,每级加荷值为本规程表3.4.5中规定荷载值的20%,并静置5min,对试样外表面观察;
5 当加荷值达到本规程表3.4.5中规定的荷载值,试样无裂纹及破损迹象,可判定该批产品局部抗压荷载检验合格。
条文说明
A.3.2本条规定了填充体48h水中浸泡后局部抗压荷载的检验方法及相关要求。对于圆弧面的填充体局部抗压加载时,除采用在其侧向垫放三角木方法保持试样稳定外,亦可采用将试样放置在细砂上,使其保持稳定。在试样承压面放置加压垫板是为了便于加载,对圆弧形承压面的试样,应采用与承压面相一致的弧面加压垫板,加压垫板应与试样承压面紧密接触,为了消除二者的间隙,圆弧形承压面与加压垫板之间可垫放如橡胶板之类的柔性垫层,对平面承压面与加压垫板之间可垫放如细砂之类的柔性垫层。采用标准砝码分级加载,当加载值达到本规程中规定荷载值后,如要继续加载至试样破坏,每级加荷值应改为规定局部抗压荷载值的5%,48h水中浸泡是防止填充体遇水软化,浇筑混凝土后变形。
A.3.3 填充体的自然吸水率可按下列要求进行检验:
1 取一件填充体试样,称取试样自然干燥后质量m 0 ;
2 将填充体试样浸没在100℃~25℃清水中,水面应保持高出试样10mm~20mm,24h后将试样取出,用干毛巾擦干试样表面附着水,随即称取试样的质量m 1 ;
3 填充体的自然吸水率w m 按下式计算:

4 当自然吸水率满足本规程第3.4.5条规定时,可判定为自然吸水率检验合格。
条文说明
A.3.3本条中填充体的自然吸水率是指填充体母体材料的吸水率,当填充体为实心的填充棒、填充板、填充块时,可取整个填充体作为吸水率受检试样;当填充体为空腔的填充管、填充箱时,应采用切块方式检验其吸水率。
A.3.4 填充体抗振动冲击性可按下列要求进行检验:
1 选取外观质量、尺寸偏差合格的自然干燥的填充体试样;
2 用直径30mm的振动棒紧贴试样受测面振动1min;
3 检查表面,当无贯通性裂纹及破损时,则判定抗振动冲击性能合格。
条文说明
A.3.4填充体抗振动冲击的受检面应是填充体与空心楼盖现浇混凝土相接触的所有表面,检测时振捣器必须紧贴填充体受检表面振动,抗振动冲击测试时间应从振捣器完全启动后开始计时。
附录B空心楼板自重、折实厚度、体积空心率计算
附录B 空心楼板自重、折实厚度、体积空心率计算
B.0.1 现浇混凝土空心楼板自重可按下式计算:

式中:G——现浇混凝土空心楼板区格内自重(kN),区格是指双向相邻柱轴线间形成的一个楼板区域;
G fil ——现浇混凝土空心楼板区格内填充体的重量(kN);
V fil ——现浇混凝土空心楼板区格内填充体的体积(m 3 );
V u ——现浇混凝土空心楼板区格内总体积(m 3 );
γ——混凝土重度(kN/m 3 )。
条文说明
B.0.1设计阶段计算现浇混凝土空心楼板自重时应根据经验或厂家提供的填充体尺寸和重量进行计算。空心楼板区格体积、自重只包括楼板,不包括轴线上的梁。
B.0.2 现浇混凝土空心楼板按重量等效的折实厚度可按下式计算:

式中:h con ——现浇混凝土空心楼板折实厚度;
h——现浇混凝土空心楼板厚度。
条文说明
B.0.2现浇混凝土空心楼板按重量等效的折实厚度是衡量楼板自重减轻的一个重要指标,比体积空心率更准确。
B.0.3 现浇混凝土空心楼板的体积空心率ρ void 可按下式计算:

式中:V fil ——现浇混凝土空心楼板区格内填充体的体积(m 3 );
V u ——现浇混凝土空心楼板区格内总体积(m 3 )。
条文说明
B.0.3现浇混凝土空心楼板的体积空心率是反映楼板减轻自重的标志参数之一。式(B.0.3)所表示的空心率是指一个楼板区格单元的空心率。
附录C正交各向异性板的等效各向同性板法
附录C 正交各向异性板的等效各向同性板法
C.0.1 由内置填充体形成的上、下表面闭合的正交各向异性板,其力学参数存在本规程式(5.2.3-6)所列关系,可将正交各向异性板等效为各向同性板计算。
C.0.2 等效各向同性板的几何尺寸、力学参数及荷载可由下列原则确定:

式中:l x 、l y ——正交各向异性板x向和y向的跨度;
l x1 、l y1 ——等效各向同性板x向和y向的跨度;
E x 、E y ——正交各向异性板x向、y向弹性模量;
E 1 、v 1 ——等效各向同性板的弹性模量、泊松比。
C.0.3 计算出尺寸为l x1 ×l y1 、弹性模量为E 1 、泊松比为v 1 的各向同性板在相应等效荷载作用下的内力和变形,原正交异性板各对应点变形不变,内力应按下列公式计算:

式中:M x1 、M y1 、M x1y1 ——等效各向同性板x向弯矩、y向弯矩及扭矩;
M x 、M y 、M xy ——正交各向异性板x向弯矩、y向弯矩及扭矩;
Q x1 、Q y1 ——等效各向同性板x向剪力、y向剪力;
Q x 、Q y ——正交各向异性板x向剪力、y向剪力。
附录D施工流程
附录D 施工流程
条文说明
本附录给出了现浇混凝土空心楼盖施工参照的工艺流程。 现浇混凝土空心楼盖施工控制的关键点为:填充体安装、预留预埋及混凝土浇筑等工序。内置填充体安装就位准确后,应对内置填充体采取有效的防水平漂移措施和抗浮锚固措施;预留、预埋设施施工时既要满足其相应功能,又能尽量减少预留、预埋设施对楼盖结构截面削弱,并尽可能不对填充体有开孔或断开等损伤;现浇混凝土空心楼盖的混凝土应在填充体周围的楼盖有效截面内充填饱满、密实。当设计图中无填充体的平面布置详图时,施工现场应根据设计要求及填充体布置规则绘制排布图,并按设计图或排布图统计填充体的型号、规格和数量,并提前向专业厂家订购。严格执行图中的“暗梁、柱帽、肋、预留、预埋设施及填充体等位置定位画线”工序操作是保证框架暗梁、柱帽、肋、预留、预埋设施和填充体等安装位置准确的前提,也是保证成型后的楼盖结构截面尺寸符合设计要求的有效方法之一;图中的“内置填充体抗浮及防漂移”工序虽然排在“板面钢筋安装”工序之前,但实施过程中也可两者同时进行,即利用支承板面钢筋的钢筋马凳控制肋宽度及防止内置模水平方向漂移,利用将板面钢筋向下锚固作为内置填充体抗浮措施,但此时板面钢筋与内置填充体间的混凝土保护层厚度应正确。肋内钢筋安装施工程序应视具体情况而定,当肋内箍筋为双肢环箍时,应先安装肋梁钢筋,再安装板底部钢筋,待内置填充体安装后,再进行板面钢筋安装;当肋内箍筋为单肢箍时,因肋内单肢箍必须同时钩挂到板底和板面最外侧的受力钢筋,所以应在板面钢安装完后,再安装肋内单肢箍筋。预留、预埋设施安装施工应穿插到钢筋及填充体安装工序之中进行。 内置填充体现浇混凝土空心楼盖施工应遵照该施工工艺流程图及施工技术方案要求进行。 肋内钢筋安装工序的先后会因外露填充体型号不同而异:对于外露填充体底板未伸至肋梁底时,肋内钢筋安装可在外露填充体安装之前与框架梁及柱帽钢筋安装同时施工;当外露填充体底板伸至肋梁底部并采用现场拼装式的外露填充体时,应待外露模底板安装完后再进行肋梁钢筋安装;当采用整体式的外露填充体时,则应在肋梁钢筋安装之前进行外露填充体安装施工。
D.0.1 现浇混凝土空心楼盖可按图D.0.1流程施工:

图D.0.1 现浇混凝土空心楼盖施工流程图
注:1 图中虚线工序为预应力特需工序;
2 预留、预埋设施施工应适时与钢筋、填充体安装穿插进行。
附录E填充体质量验收记录表
E.1进场验收记录表
附录E 填充体质量验收记录表
E.1 进场验收记录表
E.1.1 各类填充体进场验收应按下列各表分别记录:
表E.1.1-1 填充管、填充棒进场验收记录表

注:产品合格证和出厂检验报告应作为本表的附件。
表E.1.1-2 填充箱、填充块进场验收记录表

注:产品合格证和出厂检验报告应作为本表的附件。
表E.1.1-3 填充板进场验收记录表

注:产品合格证和出厂检验报告应作为本表的附件。
条文说明
E.1.1表E.1.1-1列出了填充管、填充棒进场时应检验项目及相应质量要求。表E.1.1-2列出了填充箱、填充块进场时应检验项目及相应质量要求。表E.1.1-3列出了填充板进场时应检验项目及相应质量要求。各种类型的填充体进场时,施工项目的专业质量检验员和监理工程师共同按该验收记录表的要求进行验收及记录检测结果。产品合格证、出厂检验报告及进场检验报告应作为本表的附件。
E.2填充体安装检验批质量验收记录表
E.2 填充体安装检验批质量验收记录表
E.2.1 各类填充体安装检验批质量验收应按表E.2.1记录。
表E.2.1 填充体安装检验批质量验收记录表

条文说明
E.2.1表E.2.1列出了填充体安装检验批验收应检查的项目及相应质量要求。内置填充体抗浮措施、外露填充体顶板和底板钢筋外伸锚固、施工中局部破损的填充体的处理等是保证现浇混凝土空心楼盖结构截面成型准确及结构安全可靠的重要项目,故将其归入质量验收主控项目。填充体安装定位、抗浮及防水平漂移措施完工后,经施工班组自检与交接检,专业施工员随班检查,项目专职质量检验员检查合格后,由项目专职质量检验员填写该记录表,并向项目监理机构(或建设单位项目管理机构)报验,由项目监理工程师(建设单位项目技术负责人)组织项目专业质量检验员等共同进行验收。按照现行建筑法规的有关规定,参加质量检查验收有关各方对验收结果真实有效应承担各自相应的责任。
本规程用词说明
本规程用词说明
1 为便于在执行本规程条文时区别对待,对于要求严格程度不同的用词说明如下:
1)表示很严格,非这样做不可的:
正面词采用“必须”;反面词采用“严禁”;
2)表示严格,在正常情况下均应这样做的:
正面词采用“应”;反面词采用“不应”或“不得”;
3)表示允许稍有选择,在条件许可时首先应这样做的:
正面词采用“宜”;反面词采用“不宜”;
4)表示有选择,在一定条件下可以这样做的,采用“可”。
2 条文中指明应按其他有关标准、规范执行的写法为“应符合……的规定”或“应按……执行”。
引用标准名录
引用标准名录
1 《建筑结构荷载规范》GB 50009
2 《混凝土结构设计规范》GB 50010
3 《建筑抗震设计规范》GB 50011
4 《混凝土结构工程施工质量验收规范》GB 50204
5 《预应力混凝土用钢丝》GB/T 5223
6 《预应力混凝土用钢绞线》GB/T 5224
7 《建筑材料放射性核素限量》GB 6566
8 《预应力筋用锚具、夹具和连接器》GB/T 14370
9 《高层建筑混凝土结构技术规程》JGJ 3
10 《无粘结预应力混凝土结构技术规程》JGJ 92
11 《预应力混凝土结构抗震设计规程》JGJ 140
12 《缓粘结预应力钢绞线》JG/T 369
