Appearance
《钢结构高强度螺栓连接技术规程[附条文说明]》JGJ 82-2011
🗓️ 住房和城乡建设部 实施时间:2011-10-01
前言
中华人民共和国行业标准
钢结构高强度螺栓连接技术规程
Technical specification for high strength bolt connections of steel structures
JGJ 82-2011
批准部门:中华人民共和国住房和城乡建设部
施行日期:2011年10月1日
中华人民共和国住房和城乡建设部公告
第875号
关于发布行业标准《钢结构高强度螺栓连接技术规程》的公告
现批准《钢结构高强度螺栓连接技术规程》为行业标准,编号为JGJ 82-2011,自2011年10月1日起实施。其中,第3.1.7、4.3.1、6.1.2、6.2.6、6.4.5、6.4.8条为强制性条文,必须严格执行。原行业标准《钢结构高强度螺栓连接的设计、施工及验收规程》JGJ 82-91同时废止。
本规程由我部标准定额研究所组织中国建筑工业出版社出版发行。
中华人民共和国住房和城乡建设部
2011年1月7日
前 言
根据原建设部《关于印发<2004年工程建设标准规范制订、修订计划>的通知》(建标[2004]66号)的要求,规程编制组经广泛调查研究,认真总结实践经验,参考有关国际标准和国外先进标准,并在广泛征求意见的基础上,修订本规程。
本规程的主要技术内容是:1.总则;2.术语和符号;3.基本规定;4.连接设计;5.连接接头设计;6.施工;7.施工质量验收。
本规程修订的主要技术内容是:1.增加调整内容:由原来的3章增加调整到7章;增加第2章“术语和符号”、第3章“基本规定”、第5章“接头设计”;原来的第二章“连接设计”调整为第4章,原来第三章“施工及验收”调整为第6章“施工”和第7章“施工质量验收”;2.增加孔型系数,引入标准孔、大圆孔和槽孔概念;3.增加涂层摩擦面及其抗滑移系数μ;4.增加受拉连接和端板连接接头,并提出杠杆力计算方法;5.增加栓焊并用连接接头;6.增加转角法施工和检验;7.细化和明确高强度螺栓连接分项工程检验批。
本规程中以黑体字标志的条文为强制性条文,必须严格执行。
本规程由住房和城乡建设部负责管理和强制性条文的解释,由中冶建筑研究总院有限公司负责具体技术内容的解释。执行过程中如有意见或建议,请寄送中冶建筑研究总院有限公司(地址:北京市海淀区西土城路33号,邮编:100088)。
本规程主编单位:中冶建筑研究总院有限公司
本规程参编单位:国家钢结构工程技术研究中心
铁道科学研究院
中冶京诚工程技术有限公司
包头钢铁设计研究总院
清华大学
青岛理工大学
天津大学
北京工业大学
西安建筑科技大学
中国京冶工程技术有限公司
北京远达国际工程管理有限公司
中冶京唐建设有限公司
浙江杭萧钢构股份有限公司
上海宝冶建设有限公司
浙江精工钢结构有限公司
浙江泽恩标准件有限公司
北京三杰国际钢结构有限公司
宁波三江检测有限公司
北京多维国际钢结构有限公司
北京首钢建设集团有限公司
五洋建设集团股份有限公司
本规程主要起草人员:侯兆欣 柴昶 沈家骅 贺贤娟 文双玲 王燕 王元清 何文汇 王清 马天鹏 杨强跃 张爱林 陈志华 严洪丽 程书华 陈桥生 郭剑云 郝际平 洪亮 蒋荣夫 张圣华 张亚军 孟令阁
本规程主要审查人员:沈祖炎 陈禄如 刘树屯 柯长华 徐国彬 赵基达 尹敏达 范重 游大江 李元齐
条文说明
中华人民共和国行业标准 钢结构高强度螺栓连接技术规程 JGJ82-2011 条文说明 修订说明 《钢结构高强度螺栓连接技术规程》JGJ82-2011,经住房和城乡建设部2011年1月7日以第875号公告批准、发布。 本规程是在《钢结构高强度螺栓连接的设计、施工及验收规程》JGJ82-91的基础上修订而成,上一版的主编单位是湖北省建筑工程总公司,参编单位是包头钢铁设计研究院、铁道部科学院、冶金部建筑研究总院、北京钢铁设计研究总院,主要起草人员是柴昶、吴有常、沈家骅、程季青、李国兴、肖建华、贺贤娟、李云、罗经亩。本规程修订的主要技术内容是:1.增加、调整内容:由原来的3章增加调整到7章;增加第2章“术语和符号”、第3章“基本规定”、第5章“接头设计”;原第二章“连接设计”调整为第4章,原第三章“施工及验收”调整为第6章“施工”和第7章“施工质量验收”;2.增加孔型系数,引入标准孔、大圆孔和槽孔概念;3.增加涂层摩擦面及其抗滑移系数;4.增加受拉连接和端板连接接头,并提出杠杆力(撬力)计算方法;5.增加栓焊并用连接接头;6.增加转角法施工和检验内容;7.细化和明确高强度螺栓连接分项工程检验批。 本规程修订过程中,编制组进行了一般调研和专题调研相结合的调查研究,总结了我国工程建设的实践经验,对本次新增内容“孔型系数”、“涂层摩擦面抗滑移系数”、“栓焊并用连接”、“转角法施工”等进行了大量试验研究,并参考国内外类似规范而取得了重要技术参数。 为便于广大设计、施工、科研、学校等单位有关人员在使用本规程时能正确理解和执行条文规定,《钢结构高强度螺栓连接技术规程》编制组按章、节、条顺序编制了本规程的条文说明,对条文规定的目的、依据以及执行中需注意的有关事项进行了说明,还着重对强制性条文的强制性理由做了解释。但是,本条文说明不具备与规程正文同等的法律效力,仅供使用者作为理解和把握规程规定的参考。
1 总则
1 总 则
1.0.1 为在钢结构高强度螺栓连接的设计、施工及质量验收中做到技术先进、经济合理、安全适用、确保质量,制定本规程。
条文说明
1.0.1 本条为编制本规程的宗旨和目的。
1.0.2 本规程适用于建筑钢结构工程中高强度螺栓连接的设计、施工与质量验收。
条文说明
1.0.2本条明确了本规程的适用范围。
1.0.3 高强度螺栓连接的设计、施工与质量验收除应符合本规程外,尚应符合国家现行有关标准的规定。
条文说明
1.0.3本规程的编制是以原行业标准《钢结构高强度螺栓连接的设计、施工及验收规程》JGJ82-91为基础,对现行国家标准《钢结构设计规范》GB50017、《冷弯薄壁型钢结构技术规范》GB50018及《钢结构工程施工质量验收规范》GB50205等规范中有关高强度螺栓连接的内容,进行细化和完善,对上述三个规范中没有涉及但实际工程实践中又遇到的内容,参照国内外相关试验研究成果和标准引入和补充,以满足工程实际要求。
2 术语和符号
2.1 术语
2 术语和符号
2.1 术 语
条文说明
本规程给出了13个有关高强度螺栓连接方面的特定术语,该术语是从钢结构高强度螺栓连接设计与施工的角度赋予其涵义的,但涵义又不一定是术语的定义。本规程给出了相应的推荐性英文术语,该英文术语不一定是国际上的标准术语,仅供参考。
2.1.1 高强度大六角头螺栓连接副 heavy-hex high strength bolt assembly
由一个高强度大六角头螺栓,一个高强度大六角螺母和两个高强度平垫圈组成一副的连接紧固件。
2.1.2 扭剪型高强度螺栓连接副 twist-off-type high strength bolt assembly
由一个扭剪型高强度螺栓,一个高强度大六角螺母和一个高强度平垫圈组成一副的连接紧固件。
2.1.3 摩擦面 faying surface
高强度螺栓连接板层之间的接触面。
2.1.4 预拉力(紧固轴力) pre-tension
通过紧固高强度螺栓连接副而在螺栓杆轴方向产生的,且符合连接设计所要求的拉力。
2.1.5 摩擦型连接 friction-type joint
依靠高强度螺栓的紧固,在被连接件间产生摩擦阻力以传递剪力而将构件、部件或板件连成整体的连接方式。
2.1.6 承压型连接 bearing-type joint
依靠螺杆抗剪和螺杆与孔壁承压以传递剪力而将构件、部件或板件连成整体的连接方式。
2.1.7 杠杆力(撬力)作用 prying action
在受拉连接接头中,由于拉力荷载与螺栓轴心线偏离引起连接件变形和连接接头中的杠杆作用,从而在连接件边缘产生的附加压力。
2.1.8 抗滑移系数 mean slip coefficient
高强度螺栓连接摩擦面滑移时,滑动外力与连接中法向压力(等同于螺栓预拉力)的比值。
2.1.9 扭矩系数 torque-pretension coefficient
高强度螺栓连接中,施加于螺母上的紧固扭矩与其在螺栓导入的轴向预拉力(紧固轴力)之间的比例系数。
2.1.10 栓焊并用连接 connection of sharing on a shear load by bolts and welds
考虑摩擦型高强度螺栓连接和贴角焊缝同时承担同一剪力进行设计的连接接头形式。
2.1.11 栓焊混用连接 joint with combined bolts and welds
在梁、柱、支撑构件的拼接及相互间的连接节点中,翼缘采用熔透焊缝连接,腹板采用摩擦型高强度螺栓连接的连接接头形式。
2.1.12 扭矩法 calibrated wrench method
通过控制施工扭矩值对高强度螺栓连接副进行紧固的方法。
2.1.13 转角法 turn-of-nut method
通过控制螺栓与螺母相对转角值对高强度螺栓连接副进行紧固的方法。
2.2 符号
2.2 符 号
条文说明
本规程给出了41个符号及其定义,这些符号都是本规程各章节中所引用且来给具体解释的。对于在本规程各章节条文中所使用的符号,应以本条或相关条文中的解释为准。
2.2.1 作用及作用效应
F——集中荷载;
M——弯矩;
N——轴心力;
P——高强度螺栓的预拉力;
Q——杠杆力(撬力);
V——剪力。
2.2.2 计算指标
——钢材的抗拉、拉压和抗弯强度设计值;

b c ——高强度螺栓连接件的承压强度设计值;

b t ——高强度螺栓的抗拉强度设计值;

v ——钢材的抗剪强度设计值;

b v ——高强度螺栓的抗剪强度设计值;
N b c ——单个高强度螺栓的承压承载力设计值;
N b t ——单个高强度螺栓的受拉承载力设计值;
N b v ——单个高强度螺栓的受剪承载力设计值;
σ——正应力;
τ——剪应力。
2.2.3 几何参数
A——毛截面面积;
A eff ——高强度螺栓螺纹处的有效截面面积;
A f ——一个翼缘毛截面面积;
A n ——净截面面积;
A w ——腹板毛截面面积;
a——间距;
d——直径;
d 0 ——孔径;
e——偏心距;
h——截面高度;
h f ——角焊缝的焊脚尺寸;
I——毛截面惯性矩;
l——长度;
S——毛截面面积矩。
2.2.4 计算系数及其他
k——扭矩系数;
n——高强度螺栓的数目;
n i ——所计算截面上高强度螺栓的数目;
n v ——螺栓的剪切面数目;
n f ——高强度螺栓传力摩擦面数目;
μ——高强度螺栓连接摩擦面的抗滑移系数;
N v ——单个高强度螺栓所承受的剪力;
N t ——单个高强度螺栓所承受的拉力;
P c ——高强度螺栓施工预拉力;
T c ——施工终拧扭矩;
T ch ——检查扭矩。
3 基本规定
3.1 一般规定
3 基本规定
3.1 一般规定
3.1.1 高强度螺栓连接设计采用概率论为基础的极限状态设计方法,用分项系数设计表达式进行计算。除疲劳计算外,高强度螺栓连接应按下列极限状态准则进行设计:
1 承载能力极限状态应符合下列规定:
1)抗剪摩擦型连接的连接件之间产生相对滑移;
2)抗剪承压型连接的螺栓或连接件达到剪切强度或承压强度;
3)沿螺栓杆轴方向受拉连接的螺栓或连接件达到抗拉强度;
4)需要抗震验算的连接其螺栓或连接件达到极限承载力。
2 正常使用极限状态应符合下列规定:
1)抗剪承压型连接的连接件之间应产生相对滑移;
2)沿螺栓杆轴方向受拉连接的连接件之间应产生相对分离。
条文说明
3.1.1高强度螺栓的摩擦型连接和承压型连接是同一个高强度螺栓连接的两个阶段,分别为接头滑移前、后的摩擦和承压阶段。对承压型连接来说,当接头处于最不利荷载组合时才发生接头滑移直至破坏,荷载没有达到设计值的情况下,接头可能处于摩擦阶段。所以承压型连接的正常使用状态定义为摩擦型连接是符合实际的。 沿螺栓杆轴方向受拉连接接头在外拉力的作用下也分两个阶段,首先是连接端板之间被拉脱离前,螺栓拉应力变化很小,被拉脱离后螺栓或连接件达到抗拉强度而破坏。当外拉力(含撬力)不超过0.8P(摩擦型连接螺栓受拉承载力设计值)时,连接端板之间不会被拉脱离,因此将定义为受拉连接的正常使用状态。
3.1.2 高强度螺栓连接设计,宜符合连接强度不低于构件的原则。在钢结构设计文件中,应注明所用高强度螺栓连接副的性能等级、规格、连接类型及摩擦型连接摩擦面抗滑移系数值等要求。
条文说明
3.1.2目前国内只有高强度大六角头螺栓连接副(10.9s、8.8s)和扭剪型高强度螺栓连接副(10.9s)两种产品,从设计计算角度上没有区别,仅施工方法和构造上稍有差别。因此设计可以不选定产品类型,由施工单位根据工程实际及施工经验来选定产品类型。
3.1.3 承压型高强度螺栓连接不得用于直接承受动力荷载重复作用且需要进行疲劳计算的构件连接,以及连接变形对结构承载力和刚度等影响敏感的构件连接。
承压型高强度螺栓连接不宜用于冷弯薄壁型钢构件连接。
条文说明
3.1.3因承压型连接允许接头滑移,并有较大变形,故对承受动力荷载的结构以及接头变形会引起结构内力和结构刚度有较大变化的敏感构件,不应采用承压型连接。 冷弯薄壁型钢因板壁很薄,孔壁承压能力非常低,易引起连接板撕裂破坏,并因承压承载力较小且低于摩擦承载力,使用承压型连接非常不经济,故不宜采用承压型连接。但当承载力不是控制因素时,可以考虑采用承压型连接。
3.1.4 高强度螺栓连接长期受辐射热(环境温度)达150℃以上,或短时间受火焰作用时,应采取隔热降温措施予以保护。当构件采用防火涂料进行防火保护时,其高强度螺栓连接处的涂料厚度不应小于相邻构件的涂料厚度。
当高强度螺栓连接的环境温度为100℃~150℃时,其承载力应降低10%。
条文说明
3.1.4高环境温度会引起高强度螺栓预拉力的松弛,同时也会使摩擦面状态发生变化,因此对高强度螺栓连接的环境温度应加以限制。试验结果表明,当温度低于100℃时,影响很小。当温度在(100~150)℃范围时,钢材的弹性模量折减系数在0.966左右,强度折减很小。中冶建筑研究总院有限公司的试验结果表明,当接头承受350℃以下温度烘烤时,螺栓、螺母、垫圈的基本性能及摩擦面抗滑移系数基本保持不变。温度对高强度螺栓预拉力有影响,试验结果表明,当温度在(100~150)℃范围时,螺栓预拉力损失增加约为10%,因此本条规定降低10%。当温度超过150℃时,承载力降低显著,采取隔热防护措施应更经济合理。
3.1.5 直接承受动力荷载重复作用的高强度螺栓连接,当应力变化的循环次数等于或大于5×10 4 次时,应按现行国家标准《钢结构设计规范》GB 50017中的有关规定进行疲劳验算,疲劳验算应符合下列原则:
1 抗剪摩擦型连接可不进行疲劳验算,但其连接处开孔主体金属应进行疲劳验算;
2 沿螺栓轴向抗拉为主的高强度螺栓连接在动力荷载重复作用下,当荷载和杠杆力引起螺栓轴向拉力超过螺栓受拉承载力30%时,应对螺栓拉应力进行疲劳验算;
3 对于进行疲劳验算的受拉连接,应考虑杠杆力作用的影响;宜采取加大连接板厚度等加强连接刚度的措施,使计算所得的撬力不超过荷载外拉力值的30%;
4 栓焊并用连接应按全部剪力由焊缝承担的原则,对焊缝进行疲劳验算。
条文说明
3.1.5对摩擦型连接,当其疲劳荷载小于滑移荷载时,螺栓本身不会产生交变应力,高强度螺栓没有疲劳破坏的情况。但连接板或拼接板母材有疲劳破坏的情况发生。本条中循环次数的规定是依据现行国家标准《钢结构设计规范》GB50017的有关规定确定的。 高强度螺栓受拉时,其连接螺栓有疲劳破坏可能,国内外研究及国外规范的相关规定表明,螺栓应力低于螺栓抗拉强度30%时,或螺栓所产生的轴向拉力(由荷载和杠杆力引起)低于螺栓受拉承载力30%时,螺栓轴向应力几乎没有变化,可忽略疲劳影响。当螺栓应力超过螺栓抗拉强度30%时,应进行疲劳验算,由于国内有关高强度螺栓疲劳强度的试验不足,相关规范中没有设计指标可依据,因此目前只能针对个案进行试验,并根据试验结果进行疲劳设计。
3.1.6 当结构有抗震设防要求时,高强度螺栓连接应按现行国家标准《建筑抗震设计规范》GB 50011等相关标准进行极限承载力验算和抗震构造设计。
条文说明
3.1.6现行国家标准《建筑抗震设计规范》GB50011规定钢结构构件连接除按地震组合内力进行弹性设计外,还应进行极限承载力验算,同时要满足抗震构造要求。
3.1.7 在同一连接接头中,高强度螺栓连接不应与普通螺栓连接混用。承压型高强度螺栓连接不应与焊接连接并用。 ( 自2022年1月1日起废止该条,详见新规 《钢结构通用规范》GB 55006-2021)
条文说明
3.1.7高强度螺栓连接和普通螺栓连接的工作机理完全不同,两者刚度相差悬殊,同一接头中两者并用没有意义。承压型连接允许接头滑移,并有较大变形,而焊缝的变形有限,因此从设计概念上,承压型连接不能和焊接并用。本条涉及结构连接的安全,为从设计源头上把关,定为强制性条款。
3.2 材料与设计指标
3.2 材料与设计指标
3.2.1 高强度大六角头螺栓(性能等级8.8s和10.9s)连接副的材质、性能等应分别符合现行国家标准《钢结构用高强度大六角头螺栓》GB/T 1228、《钢结构用高强度大六角螺母》GB/T 1229、《钢结构用高强度垫圈》GB/T 1230以及《钢结构用高强度大六角头螺栓、大六角螺母、垫圈技术条件》GB/T 1231的规定。
条文说明
3.2.1 当设计采用进口高强度大六角头螺栓(性能等级8.8s和10.9s)连接副时,其材质、性能等应符合相应产品标准的规定。设计计算参数的取值应有可靠依据。
3.2.2 扭剪型高强度螺栓(性能等级10.9s)连接副的材质、性能等应符合现行国家标准《钢结构用扭剪型高强度螺栓连接副》GB/T 3632的规定。
条文说明
3.2.2当设计采用进口扭剪型高强度螺栓(性能等级10.9s)连接副时,其材质、性能等应符合相应产品标准的规定。设计计算参数的取值应有可靠依据。
3.2.3 承压型连接的强度设计值应按表3.2.3采用。
表3.2.3 承压型高强度螺栓连接的强度设计值(N/mm 2 )

条文说明
3.2.3 当设计采用其他钢号的连接材料时,承压强度取值应有可靠依据。
3.2.4 高强度螺栓连接摩擦面抗滑移系数μ的取值应符合表3.2.4-1和表3.2.4-2中的规定。
表3.2.4-1 钢材摩擦面的抗滑移系数μ

注:1 钢丝刷除锈方向应与受力方向垂直;
2 当连接构件采用不同钢号时,μ应按相应的较低值取值;
3 采用其他方法处理时,其处理工艺及抗滑移系数值均应经试验确定。
表3.2.4-2 涂层摩擦面的抗滑移系数μ

注:1 当设计要求使用其他涂层(热喷铝、镀锌等)时,其钢材表面处理要求、涂层厚度以及抗滑移系数均应经试验确定;
2 *当连接板材为Q235钢时,对于无机富锌漆涂层抗滑移系数μ值取0.35;
3 防滑防锈硅酸锌漆、锌加底漆(ZINGA)不应采用手工涂刷的施工方法。
条文说明
3.2.4高强度螺栓连接摩擦面抗滑移系数可按表3.2.4规定值取值,也可按摩擦面的实际情况取值。当摩擦承载力不起控制因素时,设计可以适当降低摩擦面抗滑移系数值。设计应考虑施工单位在设备及技术条件上的差异,慎重确定摩擦面抗滑移系数值,以保证连接的安全度。 喷砂应优先使用石英砂;其次为铸钢砂;普通的河砂能够起到除锈的目的,但对提高摩擦面抗滑移系数效果不理想。 喷丸(或称抛丸)是钢材表面处理常用的方法,其除锈的效果较好,但对满足高摩擦面抗滑移系数的要求有一定的难度。对于不同抗滑移系数要求的摩擦面处理,所使用的磨料(主要是钢丸)成分要求不同。例如,在钢丸中加入部分钢丝切丸或破碎钢丸,以及增加磨料循环使用次数等措施都能改善摩擦面处理效果。这些工艺措施需要加工厂家多年经验积累和总结。 对于小型工程、加固改造工程以及现场处理,可以采用手工砂轮打磨的处理方法,此时砂轮打磨的方向应与受力方向垂直,打磨的范围不应小于4倍螺栓直径。手工砂轮打磨处理的摩擦面抗滑移系数离散相对较大,需要试验确定。 试验结果表明,摩擦面处理后生成赤锈的表面,其摩擦面抗滑移系数会有所提高,但安装前应除去浮锈。 本条新增加涂层摩擦面的抗滑移系数值,其中无机富锌漆是依据现行国家标准《钢结构设计规范》GB50017的有关规定制定。防滑防锈硅酸锌漆已在铁路桥梁中广泛应用,效果很好。锌加底漆(ZINGA)属新型富锌类底漆,其锌颗粒较小,在国内外所进行试验结果表明,抗滑移系数值取0.45是可靠的。同济大学所进行的试验结果表明,聚氨酯富锌底漆或醇酸铁红底漆抗滑移系数平均值在0.2左右,取0.15是有足够可靠度的。 涂层摩擦面的抗滑移系数值与钢材表面处理及涂层厚度有关,因此本条列出钢材表面处理及涂层厚度有关要求。当钢材表面处理及涂层厚度不符合本条的要求时,应需要试验确定。 在实际工程中,高强度螺栓连接摩擦面采用热喷铝、镀锌、喷锌、有机富锌以及其他底漆处理,其涂层摩擦面的抗滑移系数值需要有可靠依据。
3.2.5 每一个高强度螺栓的预拉力设计取值应按表3.2.5采用。
表3.2.5 一个高强度螺栓的预拉力P(kN)

条文说明
3.2.5高强度螺栓预拉力P只与螺栓性能等级有关。当采用进口高强度大六角头螺栓和扭剪型高强度螺栓时,预拉力P取值应有可靠依据。
3.2.6 高强度螺栓连接的极限承载力取值应符合现行国家标准《建筑抗震设计规范》GB 50011有关规定。
条文说明
3.2.6抗震设计中构件的高强度螺栓连接或焊接连接尚应进行极限承载力设计验算,据此本条作出了相应规定。具体计算方法见《建筑抗震设计规范》GB50011-2010第8.2.8条。
4 连接设计
4.1 摩擦型连接
4 连接设计
4.1 摩擦型连接
4.1.1 摩擦型连接中,每个高强度螺栓的受剪承载力设计值应按下式计算:
N b v =k 1 k 2 n f μP (4.1.1)
式中:k 1 ——系数,对冷弯薄壁型钢结构(板厚t≤6mm)取0.8;其他情况取0.9;
k 2 ——孔型系数,标准孔取1.0;大圆孔取0.85;荷载与槽孔长方向垂直时取0.7;荷载与槽孔长方向平行时取0.6;
n f ——传力摩擦面数目;
μ——摩擦面的抗滑移系数,按本规程表3.2.4-1和3.2.4-2采用;
P——每个高强度螺栓的预拉力(kN),按本规程表3.2.5采用;
N b v ——单个高强度螺栓的受剪承载力设计值(kN)。
条文说明
4.1.1本条所列螺栓受剪承载力计算公式与现行国家标准《钢结构设计规范》GB50017规定的基本公式相同,仅将原系数0.9替换为k1,并增加系数k2。 k1可取值为0.9与0.8,后者适用于冷弯型钢等较薄板件(板厚t≤6mm)连接的情况。 k2为孔型系数,其取值系参考国内外试验研究及相关标准确定的。中冶建筑研究总院有限公司所进行的试验结果表明,M20高强度螺栓大圆孔和槽型孔孔型系数分别为0.95和0.86,M24高强度螺栓大圆孔和槽型孔孔型系数分别为0.95和0.87,因此本条参照美国规范的规定,高强度螺栓大圆孔和槽型孔孔型系数分别为0.85、0.7、0.6。另外美国规范所采用的槽型孔分短槽孔和长槽孔,考虑到我国制孔加工工艺的现状,本次只考虑一种尺寸的槽型孔,其短向尺寸与标准圆孔相同,但长向尺寸介于美国规范短槽孔和长槽孔尺寸的中间。正常情况下,设计应采用标准圆孔。 涂层摩擦面对预拉力松弛有一定的影响,但涂层摩擦面抗滑移系数值中已考虑该因素,因此不再折减。 摩擦面抗滑移系数的取值原则上应按本规程3.2.4条采用,但设计可以根据实际情况适当调整。
4.1.2 在螺栓杆轴方向受拉的连接中,每个高强度螺栓的受拉承载力设计值应按下式计算:
N b t =0.8P (4.1.2)
式中:N b t ——单个高强度螺栓的受拉承载力设计值(kN)。
4.1.3 高强度螺栓连接同时承受剪力和螺栓杆轴方向的外拉力时,其承载力应按下式计算:

式中:N v ——某个高强度螺栓所承受的剪力(kN);
N t ——某个高强度螺栓所承受的拉力(kN)。
4.1.4 轴心受力构件在摩擦型高强度螺栓连接处的强度应按下列公式计算:

式中:A——计算截面处构件毛截面面积(mm 2 );
A n ——计算截面处构件净截面面积(mm 2 );
——钢材的抗拉、拉压和抗弯强度设计值(N/mm 2 );
N——轴心拉力或轴心压力(kN);
N′——折算轴力(kN), 
n——在节点或拼接处,构件一端连接的高强度螺栓数;
n 1 ——计算截面(最外列螺栓处)上高强度螺栓数。
4.1.5 在构件节点或拼接接头的一端,当螺栓沿受力方向连接长度l 1 大于15d 0 时,螺栓承载力设计值应乘以折减系数 
当l 1 大于60d 0 时,折减系数为0.7,d 0 为相应的标准孔孔径。
条文说明
4.1.5本条所规定的折减系数同样适用于栓焊并用连接接头。
4.2 承压型连接
4.2 承压型连接
4.2.1 承压型高强度螺栓连接接触面应清除油污及浮锈等,保持接触面清洁或按设计要求涂装。设计和施工时不应要求连接部位的摩擦面抗滑移系数值。
条文说明
4.2.1除正常使用极限状态设计外,承压型连接承载力计算中没有摩擦面抗滑移系数的要求,因此连接板表面可不作摩擦面处理。虽无摩擦面处理的要求,但其他如除锈、涂装等设计要求不能降低。 由于承压型连接和摩擦型连接是同一高强度螺栓连接的两个不同阶段,因此,两者在设计和施工的基本要求(除抗滑移系数外)是一致的。
4.2.2 承压型连接的构造、选材、表面除锈处理以及施加预拉力等要求与摩擦型连接相同。
4.2.3 承压型连接承受螺栓杆轴方向的拉力时,每个高强度螺栓的受拉承载力设计值应按下式计算:
N b t =A eff 
b t (4.2.3)
式中:A eff ——高强度螺栓螺纹处的有效截面面积(mm 2 ),按表4.2.3选取。
表4.2.3 螺栓在螺纹处的有效截面面积A eff (mm 2 )

条文说明
4.2.3按照现行国家标准《钢结构设计规范》GB50017的规定,公式4.2.3是按承载能力极限状态设计时螺栓达到其受拉极限承载力。
4.2.4 在受剪承压型连接中,每个高强度螺栓的受剪承载力,应按下列公式计算,并取受剪和承压承载力设计值中的较小者。
受剪承载力设计值:

式中:n v ——螺栓受剪面数目;
d——螺栓公称直径(mm);在式(4.2.4-1)中,当剪切面在螺纹处时,应按螺纹处的有效截面面积A eff 计算受剪承载力设计值;
∑t——在不同受力方向中一个受力方向承压构件总厚度的较小值(mm)。
4.2.5 同时承受剪力和杆轴方向拉力的承压型连接的高强度螺栓,应分别符合下列公式要求:

4.2.6 轴心受力构件在承压型高强度螺栓连接处的强度应按本规程第4.1.4条规定计算。
4.2.7 在构件的节点或拼接接头的一端,当螺栓沿受力方向连接长度l 1 大于15d 0 时,螺栓承载力设计值应按本规程第4.1.5条规定乘以折减系数。
4.2.8 抗剪承压型连接正常使用极限状态下的设计计算应按照本规程第4.1节有关规定进行。
条文说明
4.2.8由于承压型连接和摩擦型连接是同一高强度螺栓连接的两个不同阶段,因此,将摩擦型连接定义为承压型连接的正常使用极限状态。按正常使用极限状态设计承压型连接的抗剪、抗拉以及剪、拉同时作用计算公式同摩擦型连接。
4.3 连接构造
4.3 连接构造
4.3.1 每一杆件在高强度螺栓连接节点及拼接接头的一端,其连接的高强度螺栓数量不应少于2个。 ( 自2022年1月1日起废止该条,详见新规 《钢结构通用规范》GB 55006-2021)
条文说明
4.3.1高强度大六角头螺栓扭矩系数和扭剪型高强度螺栓紧固轴力以及摩擦面抗滑移系数都是统计数据,再加上施工的不确定性以及螺栓延迟断裂问题,单独一个高强度螺栓连接的不安全隐患概率要高,一旦出现螺栓断裂,会造成结构的破坏,本条为强制性条文。 对不施加预拉力的普通螺栓连接,在个别情况下允许采用一个螺栓。
4.3.2 当型钢构件的拼接采用高强度螺栓时,其拼接件宜采用钢板;当连接处型钢斜面斜度大于1/20时,应在斜面上采用斜垫板。
4.3.3 高强度螺栓连接的构造应符合下列规定:
1 高强度螺栓孔径应按表4.3.3-1匹配,承压型连接螺栓孔径不应大于螺栓公称直径2mm。
2 不得在同一个连接摩擦面的盖板和芯板同时采用扩大孔型(大圆孔、槽孔)。
表4.3.3-1 高强度螺栓连接的孔径匹配(mm)

3 当盖板按大圆孔、槽孔制孔时,应增大垫圈厚度或采用孔径与标准垫圈相同的连续型垫板。垫圈或连续垫板厚度应符合下列规定:
1)M24及以下规格的高强度螺栓连接副,垫圈或连续垫板厚度不宜小于8mm
2)M24以上规格的高强度螺栓连接副,垫圈或连续垫板厚度不宜小于10mm
3)冷弯薄壁型钢结构的垫圈或连续垫板厚度不宜小于连接板(芯板)厚度。
4 高强度螺栓孔距和边距的容许间距应按表4.3.3-2的规定采用。
表4.3.3-2 高强度螺栓孔距和边距的容许间距

注:1 d 0 为高强度螺栓连接板的孔径,对槽孔为短向尺寸;t为外层较薄板件的厚度;
2 钢板边缘与刚性构件(如角钢、槽钢等)相连的高强度螺栓的最大间距,可按中间排的数值采用。
条文说明
4.3.3本条列出了高强度螺栓连接孔径匹配表,其内容除原有规定外,参照国内外相应规定与资料,补充了大圆孔、槽孔的孔径匹配规定,以便于应用。对于首次引入大圆孔、槽孔的应用,设计上应谨慎采用,有三点值得注意: 1大圆孔、槽孔仅限在摩擦型连接中使用; 2只允许在芯板或盖板其中之一按相应的扩大孔型制孔,其余仍按标准圆孔制孔; 3当盖板采用大圆孔、槽孔时,为减少螺栓预拉力松弛,应增设连续型垫板或使用加厚垫圈(特制)。 考虑工程施工的实际情况,对承压型连接的孔径匹配关系均按与摩擦型连接相同取值(现行国家标准《钢结构设计规范》GB50017对承压型连接孔径要求比摩擦型连接严)。
4.3.4 设计布置螺栓时,应考虑工地专用施工工具的可操作空间要求。常用扳手可操作空间尺寸宜符合表4.3.4的要求。
表4.3.4 施工扳手可操作空间尺寸

条文说明
4.3.4高强度螺栓的施拧均需使用特殊的专用扳手,也相应要求必需的施拧操作空间,设计人员在布置螺栓时应考虑这一施工要求。实际工程中,常有为紧凑布置而净空限制过小的情况,造成施工困难或大部分施拧均采用手工套筒,影响施工质量与效率,这一情况应尽量避免。表4.3.4仅为常用扳手的数据,供设计参考,设计可根据施工单位的专用扳手尺寸来调整。
5 连接接头设计
5.1 螺栓拼接接头
5 连接接头设计
5.1 螺栓拼接接头
5.1.1 高强度螺栓全栓拼接接头适用于构件的现场全截面拼接,其连接形式应采用摩擦型连接。拼接接头宜按等强原则设计,也可根据使用要求按接头处最大内力设计。当构件按地震组合内力进行设计计算并控制截面选择时,尚应按现行国家标准《建筑抗震设计规范》GB 50011进行接头极限承载力的验算。
条文说明
5.1.1高强度螺栓全栓拼接接头应采用摩擦型连接,以保证连接接头的刚度。当拼接接头设计内力明确且不变号时,可根据使用要求按接头处最大内力设计,其所需接头螺栓数量较少。当构件按地震组合内力进行设计计算并控制截面选择时,应按现行国家标准《建筑抗震设计规范》GB50011进行连接螺栓极限承载力的验算。
5.1.2 H型钢梁截面螺栓拼接接头(图5.1.2)的计算原则应符合下列规定:

图5.1.2 H型钢梁高强度螺栓拼接接头
1—角点1号螺栓
1 翼缘拼接板及拼接缝每侧的高强度螺栓,应能承受按翼缘净截面面积计算的翼缘受拉承载力;
2 腹板拼接板及拼接缝每侧的高强度螺栓,应能承受拼接截面的全部剪力及按刚度分配到腹板上的弯矩;同时拼接处拼材与螺栓的受剪承载力不应小于构件截面受剪承载力的50%;
3 高强度螺栓在弯矩作用下的内力分布应符合平截面假定,即腹板角点上的螺栓水平剪力值与翼缘螺栓水平剪力值成线性关系;
4 按等强原则计算腹板拼接时,应按与腹板净截面承载力等强计算;
5 当翼缘采用单侧拼接板或双侧拼接板中夹有垫板拼接时,螺栓的数量应按计算增加10%。
条文说明
5.1.2本条适用于H型钢梁截面螺栓拼接接头,在拼接截面处可有弯矩M与剪力偏心弯矩Ve、剪力y和轴力N共同作用,一般情况弯矩M为主要内力。
5.1.3 在H型钢梁截面螺栓拼接接头中的翼缘螺栓计算应符合下列规定:
1 拼接处需由螺栓传递翼缘轴力N f 的计算,应符合下列规定:
1)按等强拼接原则设计时,应按下列公式计算,并取二者中的较大者:

式中:A nf ——一个翼缘的净截面面积(mm 2 );
A f ——一个翼缘的毛截面面积(mm 2 );
n 1 ——拼接处构件一端翼缘高强度螺栓中最外列螺栓数目。
2)按最大内力法设计时,可按下式计算取值:

式中:h 1 ——拼接截面处,H型钢上下翼缘中心间距离(mm);
M 1 ——拼接截面处作用的最大弯矩(kN·m);
N 1 ——拼接截面处作用的最大弯矩相应的轴力(kN)。
2 H型钢翼缘拼接缝一侧所需的螺栓数量n应符合下式要求:
n≥N f /N b v (5.1.3-4)
式中:N f ——拼接处需由螺栓传递的上、下翼缘轴向力(kN)。
条文说明
5.1.3本条对腹板拼接螺栓的计算只列出按最大内力计算公式,当腹板拼接按等强原则计算时,应按与腹板净截面承载力等强计算。同时,按弹性计算方法要求,可仅对受力较大的角点栓1(图5.1.2)处进行验算。 一般情况下H型钢柱与支撑构件的轴力N为主要内力,其腹板的拼接螺栓与拼接板宜按与腹板净截面承载力等强原则计算。
5.1.4 在H型钢梁截面螺栓拼接接头中的腹板螺栓计算应符合下列规定:
1 H型钢腹板拼接缝一侧的螺栓群角点栓1(图5.1.2)在

式中:e——偏心距(mm);
I wx ——梁腹板的惯性矩(mm 4 ),对轧制H型钢,腹板计算高度取至弧角的上下边缘点;
I x ——梁全截面的惯性矩(mm 4 );
M——拼接截面的弯矩(kN·m);
V——拼接截面的剪力(kN);

χ i ——所计算螺栓至栓群中心的横标距(mm);
y i ——所计算螺栓至栓群中心的纵标距(mm)。

3 在拼接截面处弯矩M与剪力偏心弯矩V e 、剪力V和轴力N作用下,角点1处螺栓所受的剪力N v 应满足下式的要求:

5.1.5 螺栓拼接接头的构造应符合下列规定:
1 拼接板材质应与母材相同;
2 同一类拼接节点中高强度螺栓连接副性能等级及规格应相同;
3 型钢翼缘斜面斜度大于1/20处应加斜垫板;
4 翼缘拼接板宜双面设置;腹板拼接板宜在腹板两侧对称配置。
5.2 受拉连接接头
5.2 受拉连接接头
5.2.1 沿螺栓杆轴方向受拉连接接头(图5.2.1),由T形受拉件与高强度螺栓连接承受并传递拉力,适用于吊挂T形件连接节点或梁柱T形件连接节点。

图5.2.1 T形受拉件连接接头
1—T形受拉件;2—计算单元
5.2.2 T形件受拉连接接头的构造应符合下列规定:
1 T形受拉件的翼缘厚度不宜小于16mm,且不宜小于连接螺栓的直径;
2 有预拉力的高强度螺栓受拉连接接头中,高强度螺栓预拉力及其施工要求应与摩擦型连接相同;
3 螺栓应紧凑布置,其间距除应符合本规程第4.3.3条规定外,尚应满足e 1 ≤1.25e 2 的要求;
4 T形受拉件宜选用热轧剖分T型钢。
5.2.3 计算不考虑撬力作用时,T形受拉连接接头应按下列规定计算确定T形件翼缘板厚度与连接螺栓。
1 T形件翼缘板的最小厚度t ec 按下式计算:

式中:b——按一排螺栓覆盖的翼缘板(端板)计算宽度(mm);
e 1 ——螺栓中心到T形件翼缘边缘的距离(mm);
e 2 ——螺栓中心到T形件腹板边缘的距离(mm)。
2 一个受拉高强度螺栓的受拉承载力应满足下式要求:
N t ≤N b t (5.2.3-2)
式中:N t ——一个高强度螺栓的轴向拉力(kN)。
5.2.4 计算考虑撬力作用时,T形受拉连接接头应按下列规定计算确定T形件翼缘板厚度、撬力与连接螺栓。
1 当T形件翼缘厚度小于t ec 时应考虑橇力作用影响,受拉T形件翼缘板厚度t e 按下式计算:


3 考虑撬力影响时,高强度螺栓的受拉承载力应按下列规定计算:
1)按承载能力极限状态设计时应满足下式要求:
N t +Q≤1.25N b t (5.2.4-3)
2)按正常使用极限状态设计时应满足下式要求:
N t +Q≤N b t (5.2.4-4)
条文说明
5.2.3、5.2.4T形受拉件在外加拉力作用下其翼缘板发生弯曲变形,而在板边缘产生撬力,撬力会增加螺栓的拉力并降低接头的刚度,必要时在计算中考虑其不利影响。T形件撬力作用计算模型如图1所示,分析时假定翼缘与腹板连接处弯矩M与翼缘板栓孔中心净截面处弯矩M′2均达到塑性弯矩值,并由平衡条件得: 
图1 T形件计算模型 
式中:?y为翼缘钢材的屈服强度,α、δ为相关参数。当α=0时,撬力Q=0,并假定螺栓受力Nt达到Nbt,以钢板设计强度?代替屈服强度?y,则得到翼缘厚度tc的计算公式(5)。故可认为tc为T形件不考虑撬力影响的最小厚度。撬力Q=0意味着T形件翼缘在受力中不产生变形,有较大的抗弯刚度,此时,按欧洲规范计算要求tc不应小于(1.8~2.2)d(d为连接螺栓直径),这在实用中很不经济。故工程设计宜适当考虑撬力并减少翼缘板厚度。即当翼缘板厚度小于tc时,T形连接件及其连接应考虑撬力的影响,此时计算所需的翼缘板较薄,T形件刚度较弱,但同时连接螺栓会附加撬力Q,从而会增大螺栓直径或提高强度级别。本条根据上述公式推导与使用条件,并参考了美国钢结构设计规范(AISC)中受拉T形连接接头设计方法,分别提出了考虑或不考虑撬力的T形受拉接头的设计方法与计算公式。由于推导中简化了部分参数,计算所得撬力值会略偏大。 
公式中的Nbt取值为0.8P,按正常使用极限状态设计时,应使高强度螺栓受拉板间保留一定的压紧力,保证连接件之间不被拉离;按承载能力极限状态设计时应满足式(5.2.4-3)的要求,此时螺栓轴向拉力控制在1.0P的限值内。
5.3 外伸式端板连接接头
5.3 外伸式端板连接接头
5.3.1 外伸式端板连接为梁或柱端头焊以外伸端板,再以高强度螺栓连接组成的接头(图5.3.1)。接头可同时承受轴力、弯矩与剪力,适用于钢结构框架(刚架)梁柱连接节点。

图5.3.1 外伸式端板连接接头
1—受拉T形件;2—第三排螺栓
条文说明
5.3.1端板连接接头分外伸式和平齐式,后者转动刚度只及前者的30%,承载力也低很多。除组合结构半刚性连接节点外,已较少应用,故本节只列出外伸式端板连接接头。图5.3.1外伸端板连接接头仅为典型图,实际工程中可按受力需要做成上下端均为外伸端板的构造。关于接头连接一般应采用摩擦型连接,对门式刚架等轻钢结构也宜采用承压型连接。
5.3.2 外伸式端板连接接头的构造应符合下列规定:
1 端板连接宜采用摩擦型高强度螺栓连接;
2 端板的厚度不宜小于16mm,且不宜小于连接螺栓的直径;
3 连接螺栓至板件边缘的距离在满足螺栓施拧条件下应采用最小间距紧凑布置;端板螺栓竖向最大间距不应大于400mm;螺栓布置与间距除应符合本规程第4.3.3条规定外,尚应满足e 1 ≤1.25e 2 的要求;
4 端板直接与柱翼缘连接时,相连部位的柱翼缘板厚度不应小于端板厚度;
5 端板外伸部位宜设加劲肋;
6 梁端与端板的焊接宜采用熔透焊缝。
条文说明
5.3.2本条根据工程经验与国内外相关规定的要求,列出了外伸端板的构造规定。当考虑撬力作用时,外伸端板的构造尺寸(见图5.3.1)应满足e1≤1.25e2的要求。这是由于计算模型假定在极限荷载作用时杠杆力分布在端板边缘,若e1与e2比值过大,则杠杆力的分布由端板边缘向内侧扩展,与杠杆力计算模型不符,为保证计算模型的合理性,因此应限制e1≤1.25e2。 为了减小弯矩作用下端板的弯曲变形,增加接头刚度,宜在外伸端板的中间设竖向短加劲肋。同时考虑梁受拉翼缘的全部撬力均由梁端焊缝传递,故要求该部位焊缝为熔透焊缝。
5.3.3 计算不考虑撬力作用时,应按下列规定计算确定端板厚度与连接螺栓。计算时接头在受拉螺栓部位按T形件单元(图5.3.1阴影部分)计算。
1 端板厚度应按本规程公式(5.2.3-1)计算。
2 受拉螺栓按T形件(图5.3.1阴影部分)对称于受拉翼缘的两排螺栓均匀受拉计算,每个螺栓的最大拉力N t 应符合下式要求:

式中:M——端板连接处的弯矩;
N——端板连接处的轴拉力,轴力沿螺栓轴向为压力时不考虑(N=0);
n 2 ——对称布置于受拉翼缘侧的两排螺栓的总数(如图5.3.1中n 2 =4);
h 1 ——梁上、下翼缘中心间的距离。
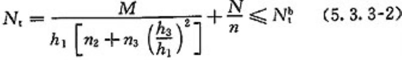
3 当两排受拉螺栓承载力不能满足公式(5.3.3-1)要求时,可计入布置于受拉区的第三排螺栓共同工作,此时最大受拉螺栓的拉力N t 应符合下式要求:

式中:n 3 ——第三排受拉螺栓的数量(如图5.3.1中n 3 =2);
h 3 ——第三排螺栓中心至受压翼缘中心的距离(mm)。
4 除抗拉螺栓外,端板上其余螺栓按承受全部剪力计算,每个螺栓承受的剪力应符合下式要求:

式中:n v ——抗剪螺栓总数。
5.3.4 计算考虑撬力作用时,应按下列规定计算确定端板厚度、撬力与连接螺栓。计算时接头在受拉螺栓部位按T形件单元(图5.3.1阴影部分)计算。
1 端板厚度应按本规程式(5.2.4-1)计算;
2 作用于端板的撬力Q应按本规程式(5.2.4-2)计算;
3 受拉螺栓按对称于梁受拉翼缘的两排螺栓均匀受拉承担全部拉力计算,每个螺栓的最大拉力应符合下式要求:

当轴力沿螺栓轴向为压力时,取N=0。
4 除抗拉螺栓外,端板上其余螺栓可按承受全部剪力计算,每个螺栓承受的剪力应符合式(5.3.3-3)的要求。
条文说明
5.3.3、5.3.4按国内外研究与相关资料,外伸端板接头计算均可按受拉T形件单元计算,本条据此提出了相关的计算公式。主要假定是对称于受拉翼缘的两排螺栓均匀受拉,以及转动中心在受压翼缘中心。关于第三排螺栓参与受拉工作是按陈绍蕃教授的有关论文列入的。对于上下对称布置螺栓的外伸式端板连接接头,本条计算公式同样适用。当考虑撬力作用时,受拉螺栓宜按承载能力极限状态设计。当按正常使用极限状态设计时,公式(5.3.4)右边的1.25Nbt改为Nbt即可。
5.4 栓焊混用连接接头
5.4 栓焊混用连接接头
5.4.1 栓焊混用连接接头(图5.4.1)适用于框架梁柱的现场连接与构件拼接。当结构处于非抗震设防区时,接头可按最大内力设计值进行弹性设计;当结构处于抗震设防区时,尚应按现行国家标准《建筑抗震设计规范》GB 50011进行接头连接极限承载力的验算。

图5.4.1 栓焊混用连接接头
1—梁翼缘熔透焊;2—梁腹板高强度螺栓连接
条文说明
5.4.1栓焊混用连接接头是多、高层钢结构梁柱节点中最常用的接头形式,本条中图示了此类典型节点,规定了接头按弹性设计与极限承载力验算的条件。
5.4.2 梁、柱、支撑等构件的栓焊混用连接接头中,腹板连(拼)接的高强度螺栓的计算及构造,应符合本规程第5.1节以及下列规定:
1 按等强方法计算拼接接头时,腹板净截面宜考虑锁口孔的折减影响;
2 施工顺序宜在高强度螺栓初拧后进行翼缘的焊接,然后再进行高强度螺栓终拧;
3 当采用先终拧螺栓再进行翼缘焊接的施工工序时,腹板拼接高强度螺栓宜采取补拧措施或增加螺栓数量10%。
条文说明
5.4.2混用连接接头中,腹板螺栓连(拼)接的计算构造仍可参照第5.1节的规定进行。同时,结合工程经验补充提出了有关要求。翼缘焊缝焊后收缩有可能会引起腹板高强度螺栓连接摩擦面发生滑移,因此对施工的顺序有所要求,施工单位应采取措施以避免腹板摩擦面滑移。
5.4.3 处于抗震设防区且由地震作用组合控制截面设计的框架梁柱栓焊混用接头,当梁翼缘的塑性截面模量小于梁全截面塑性截面模量的70%时,梁腹板与柱的连接螺栓不得少于2列,且螺栓总数不得小于计算值的1.5倍。
5.5 栓焊并用连接接头
5.5 栓焊并用连接接头
5.5.1 栓焊并用连接接头(图5.5.1)宜用于改造、加固的工程。其连接构造应符合下列规定:
1 平行于受力方向的侧焊缝端部起弧点距板边不应小于h f ,且与最外端的螺栓距离应不小于1.5d 0 ;同时侧焊缝末端应连续绕角焊不小于2h f 长度;
2 栓焊并用连接的连接板边缘与焊件边缘距离不应小于30mm。

图5.5.1 栓焊并用连接接头
1—侧焊缝;2—端焊缝;3—连续绕焊
条文说明
5.5.1 栓焊并用连接在国内设计中应用尚少,故原则上不宜在新设计中采用。
5.5.2 栓焊并用连接的施工顺序应先高强度螺栓紧固,后实施焊接。焊缝形式应为贴角焊缝。高强度螺栓直径和焊缝尺寸应按栓、焊各自受剪承载力设计值相差不超过3倍的要求进行匹配。
条文说明
5.5.2从国内外相关标准和研究文献以及试验研究看,摩擦型高强度螺栓连接与角焊缝能较好地共同工作,当螺栓的规格、数量等与焊缝尺寸相匹配到一定范围时,两种连接的承载力可以叠加,甚至超过两者之和。据此本文提出节点构造匹配的规定。
5.5.3 栓焊并用连接的受剪承载力应分别按下列公式计算:
1 高强度螺栓与侧焊缝并用连接
N wb =N fs +0.75N bv (5.5.3-1)
式中:N bv ——连接接头中摩擦型高强度螺栓连接受剪承载力设计值(kN);
N fs ——连接接头中侧焊缝受剪承载力设计值(kN);
N wb ——连接接头的栓焊并用连接受剪承载力设计值(kN)。
2 高强度螺栓与侧焊缝及端焊缝并用连接
N wb =0.85N fs +N fe +0.25N bv (5.5.3-2)
式中:N fe ——连接接头中端焊缝受剪承载力设计值(kN)。
条文说明
5.5.3 综合国内外相关标准和研究文献以及试验研究结果得出并用系数,计算分析和试验结果证明栓焊并用连接承载力长度折减系数要小于单独螺栓或焊接连接,本条不考虑这一有利因素,偏于安全。
5.5.4 在既有摩擦型高强度螺栓连接接头上新增角焊缝进行加固补强时,其栓焊并用连接设计应符合下列规定:
1 摩擦型高强度螺栓连接和角焊缝焊接连接应分别承担加固焊接补强前的荷载和加固焊接补强后所增加的荷载;
2 当加固前进行结构卸载或加固焊接补强前的荷载小于摩擦型高强度螺栓连接承载力设计值25%时,可按本规程第5.5.3条进行连接设计。
条文说明
5.5.4在加固改造或事故处理中采用栓焊并用连接比较现实,本条结合国外相关标准和研究文献以及试验研究,给出比较实用、简化的设计计算方法。
5.5.5 当栓焊并用连接采用先栓后焊的施工工序时,应在焊接24h后对离焊缝100mm范围内的高强度螺栓补拧,补拧扭矩应为施工终拧扭矩值。
条文说明
5.5.5 焊接时高强度螺栓处的温度有可能超过100℃,而引起高强度螺栓预拉力松弛,因此需要对靠近焊缝的螺栓补拧。
5.5.6 摩擦型高强度螺栓连接不宜与垂直受力方向的贴角焊缝(端焊缝)单独并用连接。
条文说明
5.5.6 由于端焊缝与摩擦型高强度螺栓连接的刚度差异较大,目前对于摩擦型高强度螺栓连接单独与端焊缝并用连接的研究尚不充分,本次修订暂不纳入。
6 施工
6.1 储运和保管
6 施 工
6.1 储运和保管
6.1.1 大六角头高强度螺栓连接副由一个螺栓、一个螺母和两个垫圈组成,使用组合应按表6.1.1规定。扭剪型高强度连接副由一个螺栓、一个螺母和一个垫圈组成。
表6.1.1 大六角头高强度螺栓连接副组合

条文说明
6.1.1 本条规定了大六角头高强度螺栓连接副的组成、扭剪型高强度螺栓连接副的组成。
6.1.2 高强度螺栓连接副应按批配套进场,并附有出厂质量保证书。高强度螺栓连接副应在同批内配套使用。 ( 自2022年1月1日起废止该条,详见新规 《钢结构通用规范》GB 55006-2021)
条文说明
6.1.2 高强度螺栓连接副的质量是影响高强度螺栓连接安全性的重要因素,必须达到螺栓标准中技术条件的要求,不符合技术条件的产品,不得使用。因此,每一制造批必须由制造厂出具质量保证书。由于高强度螺栓连接副制造厂是按批保证扭矩系数或紧固轴力,所以在使用时应在同批内配套使用。
6.1.3 高强度螺栓连接副在运输、保管过程中,应轻装、轻卸,防止损伤螺纹。
条文说明
6.1.3螺纹损伤后将会改变高强度螺栓连接副的扭矩系数或紧固轴力,因此在运输、保管过程中应轻装、轻卸,防止损伤螺纹。
6.1.4 高强度螺栓连接副应按包装箱上注明的批号、规格分类保管;室内存放,堆放应有防止生锈、潮湿及沾染脏物等措施。高强度螺栓连接副在安装使用前严禁随意开箱。
条文说明
6.1.4 本条规定了高强度螺栓连接副在保管过程中应注意事项,其目的是为了确保高强度螺栓连接副使用时同批;尽可能保持出厂状态,以保证扭矩系数或紧固轴力不发生变化。
6.1.5 高强度螺栓连接副的保管时间不应超过6个月。当保管时间超过6个月后使用时,必须按要求重新进行扭矩系数或紧固轴力试验,检验合格后,方可使用。
条文说明
6.1.5 现行国家标准《钢结构用高强度大六角头螺栓、大六角螺母、垫圈技术条件》GB/T 1231和《钢结构用扭剪型高强度螺栓连接副》GB/T 3632中规定高强度螺栓的保质期6个月。在不破坏出厂状态情况下,对超过6个月再次使用的高强度螺栓,需重新进行扭矩系数或轴力复验,合格后方准使用。
6.2 连接构件的制作
6.2 连接构件的制作
6.2.1 高强度螺栓连接构件的栓孔孔径应符合设计要求。高强度螺栓连接构件制孔允许偏差应符合表6.2.1的规定。
表6.2.1 高强度螺栓连接构件制孔允许偏差(mm)

条文说明
6.2.1根据第4.3.3条,增加大圆孔和槽孔两种孔型。并规定大圆孔和槽孔仅限于盖板或芯板之一,两者不能同时采用大圆孔和槽孔。
6.2.2 高强度螺栓连接构件的栓孔孔距允许偏差应符合表6.2.2的规定。
表6.2.2 高强度螺栓连接构件孔距允许偏差(mm)

注:孔的分组规定:
1 在节点中连接板与一根杆件相连的所有螺栓孔为一组;
2 对接接头在拼接板一侧的螺栓孔为一组;
3 在两相邻节点或接头间的螺栓孔为一组,但不包括上述1、2两款所规定的孔;
4 受弯构件翼缘上的孔,每米长度范围内的螺栓孔为一组。
6.2.3 主要构件连接和直接承受动力荷载重复作用且需要进行疲劳计算的构件,其连接高强度螺栓孔应采用钻孔成型。次要构件连接且板厚小于或等于12mm时可采用冲孔成型,孔边应无飞边、毛刺。
条文说明
6.2.3 当板厚时,冲孔工艺会使孔边产生微裂纹和变形,钢板表面的不平整降低钢结构疲劳强度。随着冲孔设备及加工工艺的提高,允许板厚小于或等于12mm时可冲孔成型,但对于承受动力荷载且需进行疲劳计算的构件连接以及主体结构梁、柱等构件连接不应采用冲孔成型。孔边的毛刺和飞边将影响摩擦面板层密贴。
6.2.4 采用标准圆孔连接处板迭上所有螺栓孔,均应采用量规检查,其通过率应符合下列规定:
1 用比孔的公称直径小1.0mm的量规检查,每组至少应通过85%;
2 用比螺栓公称直径大(0.2~0.3)mm的量规检查(M22及以下规格为大0.2mm,M24~M30规格为大0.3mm),应全部通过。
6.2.5 按本规程第6.2.4条检查时,凡量规不能通过的孔,必须经施工图编制单位同意后,方可扩钻或补焊后重新钻孔。扩钻后的孔径不应超过1.2倍螺栓直径。补焊时,应用与母材相匹配的焊条补焊,严禁用钢块、钢筋、焊条等填塞。每组孔中经补焊重新钻孔的数量不得超过该组螺栓数量的20%。处理后的孔应作出记录。
6.2.6 高强度螺栓连接处的钢板表面处理方法及除锈等级应符合设计要求。连接处钢板表面应平整、无焊接飞溅、无毛刺、无油污。经处理后的摩擦型高强度螺栓连接的摩擦面抗滑移系数应符合设计要求。 ( 自2022年1月1日起废止该条,详见新规 《钢结构通用规范》GB 55006-2021)
条文说明
6.2.6 钢板表面不平整,有焊接飞溅、毛刺等将会使板面不密贴,影响高强度螺栓连接的受力性能,另外,板面上的油污将大幅度降低摩擦面的抗滑移系数,因此表面不得有油污。表面处理方法的不同,直接影响摩擦面的抗滑移系数的取值,设计图中要求的处理方法决定了抗滑移系数值的大小,故加工中必须与设计要求一致。
6.2.7 经处理后的高强度螺栓连接处摩擦面应采取保护措施,防止沾染脏物和油污。严禁在高强度螺栓连接处摩擦面上作标记。
条文说明
6.2.7 高强度螺栓连接处钢板表面上,如粘有脏物和油污,将大幅度降低板面的抗滑移系数,影响高强度螺栓连接的承载能力,所以摩擦面上严禁作任何标记,还应加以保护。
6.3 高强度螺栓连接副和摩擦面抗滑移系数检验
6.3 高强度螺栓连接副和摩擦面抗滑移系数检验
6.3.1 高强度大六角头螺栓连接副应进行扭矩系数、螺栓楔负载、螺母保证载荷检验,其检验方法和结果应符合现行国家标准《钢结构用高强度大六角头螺栓、大六角螺母、垫圈技术条件》GB/T 1231规定。高强度大六角头螺栓连接副扭矩系数的平均值及标准偏差应符合表6.3.1的要求。
表6.3.1 高强度大六角头螺栓连接副扭矩系数平均值及标准偏差值

注:每套连接副只做一次试验,不得重复使用。试验时,垫圈发生转动,试验无效。
6.3.2 扭剪型高强度螺栓连接副应进行紧固轴力、螺栓楔负载、螺母保证载荷检验,检验方法和结果应符合现行国家标准《钢结构用扭剪型高强度螺栓连接副》GB/T 3632规定。扭剪型高强度螺栓连接副的紧固轴力平均值及标准偏差应符合表6.3.2的要求。
表6.3.2 扭剪型高强度螺栓连接副紧固轴力平均值及标准偏差值

注:每套连接副只做一次试验,不得重复使用。试验时,垫圈发生转动,试验无效。
条文说明
6.3.1、6.3.2 高强度螺栓运到工地后,应按规定进行有关性能的复验。合格后方准使用,是使用前把好质量的关键。其中高强度大六角头螺栓连接副扭矩系数复验和扭剪型高强度螺栓连接副紧固轴力复验是现行国家标准《钢结构工程施工质量验收规范》GB 50205进场验收中的主控项目,应特别重视。
6.3.3 摩擦面的抗滑移系数(图6.3.3)应按下列规定进行检验:
1 抗滑移系数检验应以钢结构制作检验批为单位,由制作厂和安装单位分别进行,每一检验批三组;单项工程的构件摩擦面选用两种及两种以上表面处理工艺时,则每种表面处理工艺均需检验;
2 抗滑移系数检验用的试件由制作厂加工,试件与所代表的构件应为同一材质、同一摩擦面处理工艺、同批制作,使用同一性能等级的高强度螺栓连接副,并在相同条件下同批发运;
3 抗滑移系数试件宜采用图6.3.3所示形式(试件钢板厚度2t 2 ≥t 1 );试件的设计应考虑摩擦面在滑移之前,试件钢板的净截面仍处于弹性状态;

图6.3.3 抗滑移系数试件
4 抗滑移系数应在拉力试验机上进行并测出其滑移荷载;试验时,试件的轴线应与试验机夹具中心严格对中;
5 抗滑移系数μ应按下式计算,抗滑移系数μ的计算结果应精确到小数点后2位。

式中:N——滑移荷载;
n f ——传力摩擦面数目,n f =2;
P t ——高强度螺栓预拉力实测值(误差小于或等于2%),试验时控制在0.95P~1.05P范围内;
∑P t ——与试件滑动荷载一侧对应的高强度螺栓预拉力之和。
6 抗滑移系数检验的最小值必须大于或等于设计规定值。当不符合上述规定时,构件摩擦面应重新处理。处理后的构件摩擦面应按本节规定重新检验。
条文说明
6.3.3本条规定抗滑移系数应分别经制造厂和安装单位检验。当抗滑移系数符合设计要求时,方准出厂和安装。 1制造厂必须保证所制作的钢结构构件摩擦面的抗滑移系数符合设计规定,安装单位应检验运至现场的钢结构构件摩擦面的抗滑移系数是否符合设计要求;考虑到每项钢结构工程的数量和制造周期差别较大,因此明确规定了检验批量的划分原则及每一批应检验的组数; 2抗滑移系数检验不能在钢结构构件上进行,只能通过试件进行模拟测定;为使试件能真实地反映构件的实际情况,规定了试件与构件为相同的条件; 3为了避免偏心引起测试误差,本条规定了试件的连接形式采用双面对接拼接;为使试件能真实反映实际构件,因此试件的连接计算应符合有关规定;试件滑移时,试板仍处于弹性状态; 4用拉力试验测得的抗滑移系数值比用压力试验测得的小,为偏于安全,本条规定了抗滑移系数检验采用拉力试验;为避免偏心对试验值的影响,试验时要求试件的轴线与试验机夹具中心线严格对中; 5在计算抗滑移系数值时,对于大六角头高强度螺栓Pt为拉力试验前拧在试件上的高强度螺栓实测预拉力值;因为高强度螺栓预拉力值的大小对测定抗滑移系数有一定的影响,所以本条规定了每个高强度螺栓拧紧预拉力的范围; 6为确保高强度螺栓连接的可靠性,本条规定了抗滑移系数检验的最小值必须大于或等于设计值,否则就认为构件的摩擦面没有处理好,不符合设计要求,钢结构不能出厂或者工地不能进行拼装,必须对摩擦面作重新处理,重新检验,直到合格为止。 监理工程师将试验合格的摩擦面作为样板,对照检查构件摩擦面处理结果,有参考和借鉴的作用。
6.4 安装
6.4 安 装
6.4.1 高强度螺栓长度l应保证在终拧后,螺栓外露丝扣为2~3扣。其长度应按下式计算:
l=l′+Δl (6.4.1)
式中:l′——连接板层总厚度(mm);
Δl——附加长度(mm),Δl=m+n w s+3p;
m——高强度螺母公称厚度(mm);
n w ——垫圈个数;扭剪型高强度螺栓为1,大六角头高强度螺栓为2;
s——高强度垫圈公称厚度(mm);
p——螺纹的螺距(mm)。
当高强度螺栓公称直径确定之后,Δl可按表6.4.1取值。但采用大圆孔或槽孔时,高强度垫圈公称厚度(s)应按实际厚度取值。根据式6.4.1计算出的螺栓长度按修约间隔5mm进行修约,修约后的长度为螺栓公称长度。
表6.4.1 高强度螺栓附加长度Δl(mm)

条文说明
6.4.1相同直径的螺栓其螺纹部分的长度是固定的,其值为螺母厚度加5~6扣螺纹。使用过长的螺栓将浪费钢材,增加不必要的费用,并给高强度螺栓施拧时带来困难,有可能出现拧到头的情况。螺栓太短的会使螺母受力不均匀,为此本条提出了螺栓长度的计算公式。
6.4.2 高强度螺栓连接处摩擦面如采用喷砂(丸)后生赤锈处理方法时,安装前应以细钢丝刷除去摩擦面上的浮锈。
6.4.3 对因板厚公差、制造偏差或安装偏差等产生的接触面间隙,应按表6.4.3规定进行处理。
表6.4.3 接触面间隙处理


6.4.4 高强度螺栓连接安装时,在每个节点上应穿入的临时螺栓和冲钉数量,由安装时可能承担的荷载计算确定,并应符合下列规定:
1 不得少于节点螺栓总数的1/3;
2 不得少于2个临时螺栓;
3 冲钉穿入数量不宜多于临时螺栓数量的30%。
条文说明
6.4.4构件安装时,应用冲钉来对准连接节点各板层的孔位。应用临时螺栓和冲钉是确保安装精度和安全的必要措施。
6.4.5 在安装过程中,不得使用螺纹损伤及沾染脏物的高强度螺栓连接副,不得用高强度螺栓兼作临时螺栓。 ( 自2022年1月1日起废止该条,详见新规 《钢结构通用规范》GB 55006-2021)
条文说明
6.4.5螺纹损伤及沾染脏物的高强度螺栓连接副其扭矩系数将会大幅度变大,在同样终拧扭矩下达不到螺栓设计预拉力,直接影响连接的安全性。用高强度螺栓兼作临时螺栓,由于该螺栓从开始使用到终拧完成相隔时间较长,在这段时间内因环境等各种因素的影响(如下雨等),其扭矩系数将会发生变化,特别是螺纹损伤概率极大,会严重影响高强度螺栓终拧预拉力的准确性,因此,本条规定高强度螺栓不能兼作临时螺栓。
6.4.6 工地安装时,应按当天高强度螺栓连接副需要使用的数量领取。当天安装剩余的必须妥善保管,不得乱扔、乱放。
条文说明
6.4.6为保证大六角头高强度螺栓的扭矩系数和扭剪型高强度螺栓的轴力,螺栓、螺母、垫圈及表面处理出厂时,按批配套装箱供应。因此要求用到螺栓应保持其原始出厂状态。
6.4.7 高强度螺栓的安装应在结构构件中心位置调整后进行,其穿入方向应以施工方便为准,并力求一致。高强度螺栓连接副组装时,螺母带圆台面的一侧应朝向垫圈有倒角的一侧。对于大六角头高强度螺栓连接副组装时,螺栓头下垫圈有倒角的一侧应朝向螺栓头。
条文说明
6.4.7对于大六角头高强度螺栓连接副,垫圈设置内倒角是为了与螺栓头下的过渡圆弧相配合,因此在安装时垫圈带倒角的一侧必须朝向螺栓头,否则螺栓头就不能很好与垫圈密贴,影响螺栓的受力性能。对于螺母一侧的垫圈,因倒角侧的表面平整、光滑,拧紧时扭矩系数较小,且离散率也较小,所以垫圈有倒角一侧应朝向螺母。
6.4.8 安装高强度螺栓时,严禁强行穿入。当不能自由穿入时,该孔应用铰刀进行修整,修整后孔的最大直径不应大于1.2倍螺栓直径,且修孔数量不应超过该节点螺栓数量的25%。修孔前应将四周螺栓全部拧紧,使板迭密贴后再进行铰孔。严禁气割扩孔。 ( 自2022年1月1日起废止该条,详见新规 《钢结构通用规范》GB 55006-2021)
条文说明
6.4.8强行穿入螺栓,必然损伤螺纹,影响扭矩系数从而达不到设计预拉力。气割扩孔的随意性大,切割面粗糙,严禁使用。修整后孔的最大直径和修孔数量作强制性规定是必要的。
6.4.9 按标准孔型设计的孔,修整后孔的最大直径超过1.2倍螺栓直径或修孔数量超过该节点螺栓数量的25%时,应经设计单位同意。扩孔后的孔型尺寸应作记录,并提交设计单位,按大圆孔、槽孔等扩大孔型进行折减后复核计算。
条文说明
6.4.9过大孔,对构件截面局部削弱,且减少摩擦接触面,与原设计不一致,需经设计核算。
6.4.10 安装高强度螺栓时,构件的摩擦面应保持干燥,不得在雨中作业。
6.4.11 大六角头高强度螺栓施工所用的扭矩扳手,班前必须校正,其扭矩相对误差应为±5%,合格后方准使用。校正用的扭矩扳手,其扭矩相对误差应为±3%。
条文说明
6.4.11 大六角头高强度螺栓,采用扭矩法施工时,影响预拉力因素除扭矩系数外,就是拧紧机具及扭矩值,所以规定了施拧用的扭矩扳手和矫正扳手的误差。
6.4.12 大六角头高强度螺栓拧紧时,应只在螺母上施加扭矩。
6.4.13 大六角头高强度螺栓的施工终拧扭矩可由下式计算确定:
T c =kP c d (6.4.13)
式中:d——高强度螺栓公称直径(mm);
k——高强度螺栓连接副的扭矩系数平均值,该值由第6.3.1条试验测得;
P c ——高强度螺栓施工预拉力(kN),按表6.4.13取值;
T c ——施工终拧扭矩(N·m)。
表6.4.13 高强度大六角头螺栓施工预拉力(kN)

条文说明
6.4.13 高强度螺栓连接副在拧紧后会产生预拉力损失,为保证连接副在工作阶段达到设计预拉力,为此在施拧时必须考虑预拉力损失值,施工预拉力比设计预拉力增加10%。
6.4.14 高强度大六角头螺栓连接副的拧紧应分为初拧、终拧。对于大型节点应分为初拧、复拧、终拧。初拧扭矩和复拧扭矩为终拧扭矩的50%左右。初拧或复拧后的高强度螺栓应用颜色在螺母上标记,按本规程第6.4.13条规定的终拧扭矩值进行终拧。终拧后的高强度螺栓应用另一种颜色在螺母上标记。高强度大六角头螺栓连接副的初拧、复拧、终拧宜在一天内完成。
条文说明
6.4.14 由于连接处钢板不平整,致使先拧与后拧的高强度螺栓预拉力有很大的差别,为克服这一现象,提高拧紧预拉力的精度,使各螺栓受力均匀,高强度螺栓的拧紧应分为初拧和终拧。当单排(列)螺栓个数超过15时,可认为是属于大型接头,需要进行复拧。
6.4.15 扭剪型高强度螺栓连接副的拧紧应分为初拧、终拧。对于大型节点应分为初拧、复拧、终拧。初拧扭矩和复拧扭矩值为0.065×P c ×d,或按表6.4.15选用。初拧或复拧后的高强度螺栓应用颜色在螺母上标记,用专用扳手进行终拧,直至拧掉螺栓尾部梅花头。对于个别不能用专用扳手进行终拧的扭剪型高强度螺栓,应按本规程第6.4.13条规定的方法进行终拧(扭矩系数可取0.13)。扭剪型高强度螺栓连接副的初拧、复拧、终拧宜在一天内完成。
表6.4.15 扭剪型高强度螺栓初拧(复拧)扭矩值(N·m)

条文说明
6.4.15 扭剪型高强度螺栓连接副不进行扭矩系数检验,其初拧(复拧)扭矩值参照大六角头高强度螺栓连接副扭矩系数的平均值(0.13)确定。
6.4.16 当采用转角法施工时,大六角头高强度螺栓连接副应按本规程第6.3.1条检验合格,且应按本规程第6.4.14条规定进行初拧、复拧。初拧(复拧)后连接副的终拧角度应按表6.4.16规定执行。
表6.4.16 初拧(复拧)后大六角头高强度螺栓连接副的终拧转角

注:1 螺母的转角为螺母与螺栓杆之间的相对转角;
2 当螺栓长度L超过螺栓公称直径d的12倍时,螺母的终拧角度应由试验确定。
条文说明
6.4.16在某些情况下,大六角头高强度螺栓也可采用转角法施工。高强度螺栓连接副首先须经第6.3.1条检验合格方可应用转角法施工。大量转角试验用一层芯板、两层盖板基础上得出,所以作出三层板规定。本条是参考国外(美国和日本)标准及中冶建筑研究总院有限公司试验研究成果得出。作为国内第一次引入转角法施工,对其适用范围有较严格的规定,应符合下列要求:
1螺栓直径规格范围为:M16、M20、M22、M24; 2螺栓长度在12d之内; 3连接件(芯板和盖板)均为平板,连接件两面与螺栓轴垂直; 4连接形式为双剪接头(一层芯板加两层盖板); 5按本规程第6.4.14条初拧(复拧),并画出转角起始标记,按本条进行终拧。
6.4.17 高强度螺栓在初拧、复拧和终拧时,连接处的螺栓应按一定顺序施拧,确定施拧顺序的原则为由螺栓群中央顺序向外拧紧,和从接头刚度大的部位向约束小的方向拧紧(图6.4.17)。几种常见接头螺栓施拧顺序应符合下列规定:
1 一般接头应从接头中心顺序向两端进行(图6.4.17a);
2 箱形接头应按A、C、B、D的顺序进行(图6.4.17b);
3 工字梁接头栓群应按①~⑥顺序进行(图6.4.17c);
4 工字形柱对接螺栓紧固顺序为先翼缘后腹板;

图6.4.17 常见螺栓连接接头施拧顺序
5 两个或多个接头栓群的拧紧顺序应先主要构件接头,后次要构件接头。
条文说明
6.4.17 螺栓群由中央顺序向外拧紧,为使高强度螺栓连接处板层能更好密贴。
6.4.18 对于露天使用或接触腐蚀性气体的钢结构,在高强度螺栓拧紧检查验收合格后,连接处板缝应及时用腻子封闭。
6.4.19 经检查合格后的高强度螺栓连接处,防腐、防火应按设计要求涂装。
条文说明
6.4.19 高强度螺栓连接副在工厂制造时,虽经表面防锈处理,有一定的防锈能力,但远不能满足长期使用的防锈要求,故在高强度螺栓连接处,不仅要对钢板进行涂漆防锈,对高强度螺栓连接副也应按照设计要求进行涂漆防锈、防火。
6.5 紧固质量检验
6.5 紧固质量检验
6.5.1 大六角头高强度螺栓连接施工紧固质量检查应符合下列规定:
1 扭矩法施工的检查方法应符合下列规定:
1)用小锤(约0.3kg)敲击螺母对高强度螺栓进行普查,不得漏拧;
2)终拧扭矩应按节点数抽查10%,且不应少于10个节点;对每个被抽查节点应按螺栓数抽查10%,且不应少于2个螺栓;
3)检查时先在螺杆端面和螺母上画一直线,然后将螺母拧松约60°;再用扭矩扳手重新拧紧,使两线重合,测得此时的扭矩应在0.9T ch ~1.1T ch 范围内。T ch 应按下式计算:
T ch =kPd (6.5.1)
式中:P——高强度螺栓预拉力设计值(kN),按本规程表3.2.5取用;
T ch ——检查扭矩(N·m)。
4)如发现有不符合规定的,应再扩大1倍检查,如仍有不合格者,则整个节点的高强度螺栓应重新施拧;
5)扭矩检查宜在螺栓终拧1h以后、24h之前完成;检查用的扭矩扳手,其相对误差应为±3%。
2 转角法施工的检查方法应符合下列规定:
1)普查初拧后在螺母与相对位置所画的终拧起始线和终止线所夹的角度应达到规定值;
2)终拧转角应按节点数抽查10%,且不应少于10个节点;对每个被抽查节点按螺栓数抽查10%,且不应少于2个螺栓;
3)在螺杆端面和螺母相对位置画线,然后全部卸松螺母,再按规定的初拧扭矩和终拧角度重新拧紧螺栓,测量终止线与原终止线画线间的角度,应符合本规程表6.4.16要求,误差在±30°者为合格;
4)如发现有不符合规定的,应再扩大1倍检查,如仍有不合格者,则整个节点的高强度螺栓应重新施拧;
5)转角检查宜在螺栓终拧1h以后、24h之前完成。
条文说明
6.5.1 考虑到在进行施工质量检查时,高强度螺栓的预拉力损失大部分已经完成,故在检查扭矩计算公式中,高强度螺栓的预拉力采用设计值。现行国家标准《钢结构工程施工质量验收规范》GB 50205中终拧扭矩的检验是按照施工扭矩值的±10%以内为合格,由于预拉力松弛等原因,终拧扭矩值基本上在1.0~1.1倍终拧扭矩标准值范围内(施工扭矩值=1.1倍终拧扭矩标准值),因此本条规定与现行国家标准《钢结构工程施工质量验收规范》GB 50205并无实质矛盾,待修订时统一。
6.5.2 扭剪型高强度螺栓终拧检查,以目测尾部梅花头拧断为合格。对于不能用专用扳手拧紧的扭剪型高强度螺栓,应按本规程第6.5.1条的规定进行终拧紧固质量检查。
条文说明
6.5.2 不能用专用扳手拧紧的扭剪型高强度螺栓,应根据所采用的紧固方法(扭矩法或转角法)按本规程第6.5.1条的规定进行检查。
7 施工质量验收
7.1 一般规定
7 施工质量验收
7.1 一般规定
7.1.1 高强度螺栓连接分项工程验收应按现行国家标准《钢结构工程施工质量验收规范》GB 50205和本规程的规定执行。
条文说明
7.1.1 高强度螺栓连接属于钢结构工程中的分项工程之一,其施工质量的验收按照现行国家标准《钢结构工程施工质量验收规范》GB 50205执行,对于超出《钢结构工程施工质量验收规范》GB 50205的项目可按本规程的规定进行验收。
7.1.2 高强度螺栓连接分项工程检验批合格质量标准应符合下列规定:
1 主控项目必须符合现行国家标准《钢结构工程施工质量验收规范》GB 50205中合格质量标准的要求;
2 一般项目其检验结果应有80%及以上的检查点(值)符合现行国家标准《钢结构工程施工质量验收规范》GB 50205中合格质量标准的要求,且允许偏差项目中最大超偏差值不应超过其允许偏差限值的1.2倍;
3 质量检查记录、质量证明文件等资料应完整。
7.1.3 当高强度螺栓连接分项工程施工质量不符合现行国家标准《钢结构工程施工质量验收规范》GB 50205和本规程的要求时,应按下列规定进行处理:
1 返工或更换高强度螺栓连接副的检验批,应重新进行验收;
2 经有资质的检测单位检测鉴定能够达到设计要求的检验批,应予以验收;
3 经有资质的检测单位检测鉴定达不到设计要求,但经原设计单位核算认可能够满足结构安全的检验批,可予以验收;
4 经返修或加固处理的检验批,如满足安全使用要求,可按处理技术方案和协商文件进行验收。
条文说明
7.1.2、7.1.3 本节中列出的合格质量标准及不合格项目的处理程序来自于现行国家标准《钢结构工程施工质量验收规范》GB 50205和《建筑工程施工质量验收统一标准》GB 50300,其目的是强调并便于工程使用。
7.2 检验批的划分
7.2 检验批的划分
7.2.1 高强度螺栓连接分项工程检验批宜与钢结构安装阶段分项工程检验批相对应,其划分宜遵循下列原则:
1 单层结构按变形缝划分;
2 多层及高层结构按楼层或施工段划分;
3 复杂结构按独立刚度单元划分。
条文说明
7.2.1 高强度螺栓连接分项工程检验批划分应按照现行国家标准《钢结构工程施工质量验收规范》GB 50205的规定执行。
7.2.2 高强度螺栓连接副进场验收检验批划分宜遵循下列原则:
1 与高强度螺栓连接分项工程检验批划分一致;
2 按高强度螺栓连接副生产出厂检验批批号,宜以不超过2批为1个进场验收检验批,且不超过6000套;
3 同一材料(性能等级)、炉号、螺纹(直径)规格、长度(当螺栓长度≤100mm时,长度相差≤15mm;当螺栓长度>100mm时,长度相差≤20mm,可视为同一长度)、机械加工、热处理工艺及表面处理工艺的螺栓、螺母、垫圈为同批,分别由同批螺栓、螺母及垫圈组成的连接副为同批连接副。
条文说明
7.2.2高强度螺栓连接副进场验收属于高强度螺栓连接分项工程中的验收项目,其验收批的划分除考虑高强度螺栓连接分项工程检验批划分外,还应考虑出厂批及螺栓规格。 高强度螺栓连接副进场验收属于复验,其产品标准中规定出厂检验最大批量不超过3000套,作为复验的最大批量不宜超过2个出厂检验批,且不宜超过6000套。 同一材料(性能等级)、炉号、螺纹(直径)规格、长度(当螺栓长度≤100mm时,长度相差≤15mm;当螺栓长度>100mm时,长度相差≤20mm,可视为同一长度)、机械加工、热处理工艺及表面处理工艺的螺栓为同批;同一材料、炉号、螺纹规格、厚度、机械加工、热处理工艺及表面处理工艺的螺母为同批;同一材料、炉号、直径规格、厚度、机械加工、热处理工艺及表面处理工艺的垫圈为同批。分别由同批螺栓、螺母及垫圈组成的连接副为同批连接副。
7.2.3 摩擦面抗滑移系数验收检验批划分宜遵循下列原则:
1 与高强度螺栓连接分项工程检验批划分一致;
2 以分部工程每2000t为一检验批;不足2000t者视为一批进行检验;
3 同一检验批中,选用两种及两种以上表面处理工艺时,每种表面处理工艺均需进行检验。
条文说明
7.2.3 摩擦面抗滑移系数检验属于高强度螺栓连接分项工程中的一个强制性检验项目,其检验批的划分除应考虑高强度螺栓连接分项检验批外,还应考虑不同的处理工艺和钢结构用量。
7.3 验收资料
7.3 验收资料
7.3.1 高强度螺栓连接分项工程验收资料应包含下列内容:
1 检验批质量验收记录;
2 高强度大六角头螺栓连接副或扭剪型高强度螺栓连接副见证复验报告;
3 高强度螺栓连接摩擦面抗滑移系数见证试验报告(承压型连接除外);
4 初拧扭矩、终拧扭矩(终拧转角)、扭矩扳手检查记录和施工记录等;
5 高强度螺栓连接副质量合格证明文件;
6 不合格质量处理记录;
7 其他相关资料。
本规程用词说明
本规程用词说明
1 为便于在执行本规程条文时区别对待,对要求严格程度不同的用词说明如下:
1)表示很严格,非这样做不可的:
正面词采用“必须”,反面词采用“严禁”;
2)表示严格,在正常情况下均应这样做的:
正面词采用“应”,反面词采用“不应”或“不得”;
3)表示允许稍有选择,在条件许可时首先应这样做的:
正面词采用“宜”,反面词采用“不宜”;
4)表示有选择,在一定条件下可以这样做的,采用“可”。
2 条文中指明应按其他有关标准执行的写法为:“应符合……的规定”或“应按……执行”。
引用标准名录
引用标准名录
1 《建筑抗震设计规范》GB 50011
2 《钢结构设计规范》GB 50017
3 《钢结构工程施工质量验收规范》GB 50205
4 《钢结构用高强度大六角头螺栓》GB/T 1228
5 《钢结构用高强度大六角螺母》GB/T 1229
6 《钢结构用高强度垫圈》GB/T 1230
7 《钢结构用高强度大六角头螺栓、大六角螺母、垫圈技术条件》GB/T 1231
8 《钢结构用扭剪型高强度螺栓连接副》GB/T 3632
自2022年1月1日起废止的条文

