Appearance
《混凝土中钢筋检测技术标准[附条文说明]》JGJ/T 152-2019
🗓️ 住房和城乡建设部 实施时间:2020-02-01
前言
中华人民共和国行业标准
混凝土中钢筋检测技术标准
Technical standard for test of reinforcing steel bar in concrete
JGJ/T 152-2019
批准部门:中华人民共和国住房和城乡建设部
施行日期:2020年2月1日
中华人民共和国住房和城乡建设部公告
2019年 第163号
住房和城乡建设部关于发布行业标准《混凝土中钢筋检测技术标准》的公告
现批准《混凝土中钢筋检测技术标准》为行业标准,编号为JGJ/T 152-2019,自2020年2月1日起实施。原《混凝土中钢筋检测技术规程》JGJ/T 152-2008同时废止。
本标准在住房和城乡建设部门户网站(www.mohurd.gov.cn)公开,并由住房和城乡建设部标准定额研究所组织中国建筑工业出版社出版发行。
中华人民共和国住房和城乡建设部
2019年6月18日
前 言
根据住房和城乡建设部《关于印发<2015年工程建设标准规范制订、修订计划>的通知》(建标[2014] 189号)的要求,标准编制组经广泛调查研究,认真总结实践经验,参考有关国际标准和国外先进标准,并在广泛征求意见的基础上,修订了本标准。
本标准的主要技术内容是:1 总则;2 术语和符号;3 基本规定;4 混凝土保护层厚度和钢筋间距检测;5 钢筋公称直径检测;6 钢筋力学性能检测;7 钢筋锈蚀性状检测;8 钢筋锈蚀性状监测;9 基桩钢筋笼长度检测。
本次修订的主要技术内容是:1 增加了取样称量法检测钢筋公称直径;2 取消了电磁感应法检测钢筋公称直径;3 增加了钢筋力学性能检测;4 增加了钢筋锈蚀性状监测;5 增加了磁测井法检测基桩钢筋笼长度。
本标准由住房和城乡建设部负责管理,由中国建筑科学研究院负责具体技术内容的解释。执行过程中如有意见或建议,请寄送中国建筑科学研究院(地址:北京市北三环东路30号,邮政编码:100013)。
本标准主编单位:中国建筑科学研究院
福州市一建建设股份有限公司
本标准参编单位:福建省建筑科学研究院
安徽省(水利部淮河水利委员会)水利科学研究院
山东省建筑科学研究院
台州市建设工程质量检测中心
中交公路规划设计院有限公司
北京盛世伟业科技有限公司
喜得利(中国)有限公司
北京万兴建筑集团有限公司
厦门鹭恒达建筑工程有限公司
深圳中建院建筑科技有限公司
本标准主要起草人员:张仁瑜 徐接武 徐教宇 陈松 崔德密 崔士起 孙盛佩 张新越 何春凯 刘俊杰 王景贤 叶健 许卓敏 张今阳 成勃 撖利平 张鹏飞 杜建江 罗滨 肖疆 龚郁杰 张仁俊 魏华
本标准主要审查人员:黄政宇 童寿兴 冷发光 徐国孝 黄可明 谭学民 王绍林 苏军 张亚挺 李孝成
条文说明
中华人民共和国行业标准
混凝土中钢筋检测技术标准
JGJ/T 152-2019
条文说明
编制说明 《混凝土中钢筋检测技术标准》JGJ/T152-2019,经住房和城乡建设部2019年6月18日以第163号公告批准、发布。 本标准是在《混凝土中钢筋检测技术规程》JGJ/T152-2008的基础上修订而成的,上一版主编单位是中国建筑科学研究院,参编单位是福建省建筑科学研究院、安徽省水利科学研究院、山东省建筑科学研究院、欧美大地仪器设备中国有限公司、北京盛世伟业科技有限公司、喜利得(中国)有限公司。主要起草人是:张仁瑜、陈松、崔德密、崔士起、叶健、何春凯、陈涛、李劲松、张今阳、成勃、徐凯讯。 本标准修订过程中,编制组进行了混凝土中钢筋检测现状的调查研究,总结了《混凝土中钢筋检测技术规程》JGJ/T152-2008实施以来的实践经验、出现的问题,同时参考了国外先进检测技术、方法标准,通过调研、征求意见,对增加和修订的内容进行反复的讨论、分析、论证,开展专题研究和工程试验验证等工作,为本次标准修订提供了依据。 为便于广大设计、施工、科研、学校等单位的有关人员在使用本标准时能正确理解和执行条文规定,《混凝土中钢筋检测技术标准》编制组按章、节、条顺序编制了本标准的条文说明,对条文规定的目的、依据以及执行中需注意的有关事项进行了说明。但是,本条文说明不具备与标准正文同等的法律效力,仅供使用者作为理解和把握标准规定的参考。
1 总则
1 总 则
1.0.1 为规范混凝土中钢筋的检测方法及检测结果评价,保证检测工作质量,制定本标准。
1.0.2 本标准适用于混凝土中钢筋的保护层厚度、间距、公称直径、力学性能、锈蚀性状以及基桩钢筋笼长度的现场检测。
条文说明
1.0.1、1.0.2混凝土结构通常由混凝土和置于混凝土内的钢筋组成。钢筋在混凝土结构中主要承受拉力并赋予结构以延性,补偿混凝土抗拉能力低下、容易开裂和脆断的缺陷,而混凝土则主要承受压力并保护内部的钢筋不致发生锈蚀。因此,混凝土中的钢筋直接关系到建筑物的结构安全和耐久性。混凝土中的钢筋已成为工程质量鉴定和验收所必检的项目,本标准的制定将规范混凝土中钢筋的检测技术及检测结果的评价方法,提高检测结果的可靠性和可比性。
本次修订增加了一些内容。主要内容包括:混凝土中钢筋的保护层厚度、间距、公称直径、锈蚀性状、力学性能和基桩钢筋笼长度的现场检测及钢筋锈蚀性状的监测。采用的设备主要有电磁感应法钢筋探测仪、雷达仪和半电池电位法钢筋锈蚀检测仪、混凝土电阻率测试仪、磁测井仪。 另外,本标准中所指的混凝土中钢筋的保护层厚度是指被测钢筋外轮廓到混凝土表层的最小实际距离。
1.0.3 混凝土中钢筋检测除应符合本标准外,尚应符合国家现行有关标准的规定。
2 术语和符号
2.1 术语
2 术语和符号
2.1 术 语
2.1.1 电磁感应法 electromagnetic test method
用电磁感应原理检测混凝土中钢筋间距、混凝土保护层厚度的方法。
2.1.2 雷达法 radar test method
通过发射和接收到的毫微秒级电磁波来检测混凝土中钢筋间距、混凝土保护层厚度的方法。
2.1.3 半电池电位法 half-cell potentials test method
通过检测钢筋表面上某一点的电位,并与铜-硫酸铜参考电极的电位作比较,以此来确定钢筋锈蚀性状的方法。
2.1.4 磁测井法 magnetic method
在桩中或桩侧成孔,通过测量井壁及周围介质的磁性参数来分析和判断钢筋笼长度的检测方法。
2.1.5 混凝土电阻率法 concrete electrical resisrivity method
通过测量混凝土电阻率来判别混凝土中钢筋是否容易锈蚀的方法。
2.1.6 直接法 direct method
混凝土剔凿后,直接测量钢筋的间距、直径、力学性能、锈蚀性状以及混凝土中钢筋保护层厚度的方法。
2.1.7 取样称量法 sampling and weighing method
混凝土剔凿后,截取部分钢筋,通过称量钢筋重量,得出钢筋直径的方法。
2.2 符号
2.2 符 号
c t m ——混凝土保护层厚度检测值;
c c ——混凝土保护层厚度修正量;
c z i ——第i个测点的混凝土保护层厚度直接法实测值;
c t i ——第i个测点的混凝土保护层厚度电磁感应法钢筋探测仪器示值;
c 0 ——探头垫块厚度;
d——钢筋直径;
h——测点距离孔口深度;
G l ——钢筋试件实际重量;
g 0 ——钢筋单位长度理论重量;
ι——钢筋试件长度;
p——钢筋实际重量与理论重量偏差;
T——检测环境温度;
V——温度修正后电位值;
V R ——温度修正前电位值;
s i ——第i个钢筋间距;
s m ——钢筋平均间距;
ω——钢筋试件重量;
Z——测点处磁场垂直分量强度值。
3 基本规定
3 基本规定
3.0.1 混凝土中钢筋检测可分为工程质量检测和结构性能检测。
条文说明
3.0.1混凝土中钢筋检测用于评估结构的性能和确定工程质量,两者的目的不同,在抽检的数量和结果的评定方面要求不同。
3.0.2 检测用仪器设备性能应符合本标准的规定,并应在检定或校准有效周期内使用。检测前后宜对仪器设备进行核查。
3.0.3 对混凝土中钢筋检测进行剔凿或取样时应确保结构安全,取样后应及时对破损构件进行修复或补强。
条文说明
3.0.3钢筋混凝土保护层进行剔凿或钢筋截取削弱了构件截面受力性能,应对可能造成的风险进行评估,当有可能影响结构的安全时,应采取适当的结构加固措施,检测完成后应对破损部位和构件进行修复。
3.0.4 检测前宜收集下列主要资料:
1 工程概况;
2 设计和施工技术资料;
3 检测原因及委托方要求;
4 其他需要收集的资料。
3.0.5 根据检测目的、项目特点和条件,可按表3.0.5选择检测方法。

3.0.6 混凝土中钢筋检测宜采用无损检测方法,可结合直接法对检测结果进行验证。
条文说明
3.0.6无损检测方法对结构的损伤较少,现场操作便携高效,是检测的首选方法。但无损测试方法受测试原理局限性、现场环境、仪器设备、人员操作等诸多因素的影响,检测结果较直接法具有一定的不确定性。因此,为减少检测风险,提高检测结果的准确性,特别是对检测结果有疑义时,应结合直接法对检测结果进行验证。
4 混凝土保护层厚度和钢筋间距检测
4.1 一般规定
4 混凝土保护层厚度和钢筋间距检测
4.1 一般规定
4.1.1 本章所规定检测方法不适用于含有铁磁性物质的混凝土检测,当含有铁磁性物质时,可采用直接法进行检测。
条文说明
4.1.1铁磁性原材料主要指带有铁磁性的粗细骨料、掺合料或者金属纤维等,这些物质会对仪器产生干扰,导致检测结果不准确或者出现错误的结果。
4.1.2 检测面选择应便于仪器操作并应避开金属预埋件;检测面应清洁平整。
4.1.3 进行混凝土保护层厚度检测时,检测部位应无饰面层,有饰面层时应清除;当进行钢筋间距检测时,检测部位宜选择无饰面层或饰面层影响较小的部位。
条文说明
4.1.3在对既有建筑进行检测时,构件通常具有饰面层,在进行钢筋间距检测时,完全清除饰面层进行检测不仅没有必要,而且也无法体现非破损检测的优势。当饰面层较薄时,其钢筋定位的精度还是很高的。但是在进行混凝土保护层厚度检测时,饰面层会带来干扰,导致不准确的检测结果,此时必须清除饰面层。
4.1.4 混凝土保护层检测位置宜选择保护层要求较高的部位。
条文说明
4.1.4保护层要求较高的部位是指受力较大部位、施工中容易出现保护层厚度偏差及耐久性要求较高的部位。
4.1.5 检测所进行的钻孔、剔凿等不得损坏钢筋。混凝土保护层厚度的直接量测精度不应低于0.1mm。钢筋间距的直接量测精度不应低于1mm。
条文说明
4.1.5保护层厚度可采用游标卡尺进行测量,钢筋间距可采用钢卷尺进行测量。
4.2 抽样规定
4.2 抽样规定
4.2.1 对混凝土结构进行工程质量检测时,混凝土保护层厚度检测抽样应符合现行国家标准《混凝土结构工程施工质量验收规范》GB 50204的规定。
4.2.2 对混凝土结构进行结构性能检测时,混凝土保护层厚度及钢筋间距的抽样可按现行国家标准《建筑结构检测技术标准》GB/T 50344或《混凝土结构现场检测技术标准》GB/T 50784的有关规定进行。当委托方有明确要求时,应按相关要求确定。
4.3 仪器性能要求
4.3 仪器性能要求
4.3.1 用于混凝土保护层厚度检测的仪器,当混凝土保护层厚度为10mm~50mm时,保护层厚度检测的允许偏差应为±1mm;当混凝土保护层厚度大于50mm时,保护层厚度检测允许偏差应为±2mm。
条文说明
4.3.1国家标准《混凝土结构工程施工质量验收规范》GB50204-2015附录E“结构实体钢筋保护层厚度检验”中,对混凝土保护层厚度的检测误差规定不应大于1mm,考虑到通常混凝土保护层厚度设计值以及国家标准《混凝土结构工程施工质量验收规范》GB50204-2015所允许的实际施工误差,因此提出在10mm~50mm范围内其检测的允许误差为1mm,多数仪器在此量程范围内是可以满足要求的。
4.3.2 用于钢筋间距检测的仪器,当混凝土保护层厚度为10mm~50mm时,钢筋间距的检测允许偏差应为±2mm。
4.3.3 电磁感应法钢筋探测仪的校准应按本标准附录A的规定进行,雷达仪的校准应按本标准附录B的规定进行。仪器的校准有效期可为1年,发生下列情况之一时,应对仪器进行校准:
1 新仪器启用前;
2 检测数据异常,无法进行调整;
3 经过维修或更换主要零配件。
条文说明
4.3.3校准是为了保证仪器的正常工作状态和检测精度。仪器的主要零配件包括探头、天线等。
4.4 电磁感应法
4.4 电磁感应法
4.4.1 电磁感应法钢筋探测仪可用于检测混凝土构件中混凝土保护层厚度和钢筋的间距。
4.4.2 检测前,应进行下列准备工作:
1 根据设计资料了解钢筋的直径和间距。
2 根据检测目的确定检测部位,检测部位应避开钢筋接头、绑丝及金属预埋件。检测部位的钢筋间距应符合电磁感应法钢筋探测仪的检测要求。
3 根据所检钢筋的布置状况,确定垂直于所检钢筋轴线方向为探测方向,检测部位应平整光洁。
4 应对仪器进行预热和调零.调零时探头应远离金属物体。
条文说明
4.4.2本条规定了检测前所必须进行的准备工作。 首先应根据设计图纸或者结构知识,了解所检测构件中可能的钢筋品种、排列方式,比如框架柱一般有纵筋、箍筋,了解钢筋分布的目的在于确定适当的检测面。检测面宜避免布置在钢筋排列较为密集的部位,以免相邻钢筋对检测结果产生干扰。 预热可以使仪器达到稳定的工作状态。对于电子仪器,使用中难免受到各种干扰导致读数漂移,为保证仪器读数的准确,应适时检查仪器是否偏离调零时的状态。
4.4.3 检测前应进行预扫描,电磁感应法钢筋探测仪的探头在检测面上沿探测方向移动,直到仪器保护层厚度示值最小,此时探头中心线与钢筋轴线应重合,在相应位置做好标记,并初步了解钢筋埋设深度。重复上述步骤将相邻的其他钢筋位置逐一标出。
条文说明
4.4.3用仪器在构件上预先扫描检测,了解其大致的位置,以便于在细测时尽可能避开钢筋间的相互干扰,即可根据最强信号或者最小指示保护层厚度来判断钢筋轴线。
4.4.4 钢筋混凝土保护层厚度的检测应按下列步骤进行:
1 应根据预扫描结果设定仪器量程范围,根据原位实测结果或设计资料设定仪器的钢筋直径参数。沿被测钢筋轴线选择相邻钢筋影响较小的位置,在预扫描的基础上进行扫描探测,确定钢筋的准确位置,将探头放在与钢筋轴线重合的检测面上读取保护层厚度检测值。
2 应对同一根钢筋同一处检测2次,读取的2个保护层厚度值相差不大于1mm时,取二次检测数据的平均值为保护层厚度值,精确至1mm;相差大于1mm时,该次检测数据无效,并应查明原因,在该处重新进行2次检测,仍不符合规定时,应该更换电磁感应法钢筋探测仪进行检测或采用直接法进行检测。
3 当实际保护层厚度值小于仪器最小示值时,应采用在探头下附加垫块的方法进行检测。垫块对仪器检测结果不应产生干扰,表面应光滑平整,其各方向厚度值偏差不应大于0.1mm。垫块应与探头紧密接触,不得有间隙。所加垫块厚度在计算保护层厚度时应予扣除。
条文说明
4.4.4对于电磁感应法钢筋探测仪,其基本原理是根据钢筋对仪器探头所发出的电磁场感应强度来判定钢筋的大小和距离,而钢筋公称直径和距离是相互关联的,对于同样强度的感应信号,当钢筋直径较大时,其保护层厚度较大,因此,为了准确得到混凝土保护层厚度值,应该按照钢筋实际直径进行设定。 当2次检测混凝土保护层厚度示值的误差超过1mm时,表明其数据的重复性出现问题,原因可能是钢筋定位出现偏差,或者探头的2次扫描方向不一致,或者仪器偏离调零时的状态,应检查出现偏离的原因并采取相应的处理措施。当无法排查偏离时,应采用直接法量测混凝土保护层厚度值。 当保护层厚度值过小时,有些电磁感应法钢筋探测仪无法进行检测或示值偏差较大,可采用在探头下附加垫块来人为增大保护层的检测值。
4.4.5 钢筋间距的检测应按下列步骤进行:
1 根据预扫描的结果,设定仪器量程范围,在预扫描的基础上进行扫描,确定钢筋的准确位置;
2 检测钢筋间距时,应将检测范围内的设计间距相同的连续相邻钢筋逐一标出,并应逐个量测钢筋的间距。当同一构件检测的钢筋数量较多时,应对钢筋间距进行连续量测,且不宜少于6个。
条文说明
4.4.5本条第2款规定了检测钢筋间距时,一般情况下,需要检测7根钢筋的位置,得到6个间距。
4.4.6 遇到下列情况之一时,应采用直接法进行验证:
1 认为相邻钢筋对检测结果有影响;
2 钢筋公称直径未知或有异议;
3 钢筋实际根数、位置与设计有较大偏差;
4 钢筋以及混凝土材质与校准试件有显著差异。
4.4.7 当采用直接法验证时,应选取不少于30%的已测钢筋,且不应少于7根,当实际检测数量小于7根时应全部抽取。
4.5 雷达法
4.5 雷达法
4.5.1 雷达法宜用于结构或构件中钢筋间距和位置的大面积扫描检测以及多层钢筋的扫描检测;当检测精度符合本标准4.3.1条的规定时,也可用于混凝土保护层厚度检测。
条文说明
4.5.1雷达法的特点是一次扫描后能形成被测部位的断面图像,因此可以进行快速、大面积的扫描检测。因为雷达法需要利用雷达波(电磁波的一种)在混凝土中的传播速度来推算其传播距离,而雷达波在混凝土中的传播速度和其介电常数有关。故为达到检测所需的精度要求,应根据检测结构或构件所采用的混凝土的相对介电常数,对雷达仪的检测数据进行校正。
4.5.2 钢筋检测应按下列步骤进行:
1 根据检测构件的钢筋位置选定合适的天线中心频率。天线中心频率的选定应在满足探测深度的前提下,使用较高分辨率天线的雷达仪。
2 根据检测构件中钢筋的排列方向,雷达仪探头或天线沿垂直于选定的被测钢筋轴线方向扫描采集数据。场地允许的情况下,宜使用天线阵雷达进行网格状扫描。
3 根据钢筋的反射回波在波幅及波形上的变化形成图像,来确定钢筋间距、位置和混凝土保护层厚度检测值,并可对被检测区域的钢筋进行三维立体显示。
4.5.3 遇到下列情况之一时,宜采用直接法验证:
1 认为相邻钢筋对检测结果有影响;
2 无设计图纸时,需要确定钢筋根数和位置;
3 当有设计图纸时,钢筋检测数量与设计不符或钢筋间距检测值超过相关标准允许的偏差;
4 混凝土未达到表面风干状态;
5 饰面层电磁性能与混凝土有较大差异。
条文说明
4.5.3本条第5款规定了饰面层材料与混凝土介电常数应相差不能过大,否则会影响混凝土中钢筋的探测准确性。
4.5.4 当采用直接法验证时,应选取不少于30%的已测钢筋且不应少于7根,当实际检测数量不到7根时应全部抽取。
4.6 直接法
4.6 直接法
4.6.1 混凝土保护层厚度检测应按下列步骤进行:
1 采用无损检测方法确定被测钢筋位置;
2 采用空心钻头钻孔或剔凿去除钢筋外层混凝土直至被测钢筋直径方向完全暴露,且沿钢筋长度方向不宜小于2倍钢筋直径;
3 采用游标卡尺测量钢筋外轮廓至混凝土表面最小距离。
4.6.2 钢筋间距的检测应按下列步骤进行:
1 在垂直于被测钢筋长度方向上对混凝土进行连续剔凿,直至钢筋直径方向完全暴露,暴露的连续分布且设计间距相同钢筋不宜少于6根;当钢筋数量少于6根时,应全部剔凿。
2 采用钢卷尺逐个量测钢筋的间距。
4.7 检测数据处理及结果评定
4.7 检测数据处理及结果评定
4.7.1 当采用直接法验证混凝土保护层厚度时,应先按下式计算混凝土保护层厚度的修正量:

式中:c c ——混凝土保护层厚度修正量(mm),精确至0.1mm;
c z i ——第i个测点的混凝土保护层厚度直接法实测值(mm),精确至0.1mm;
c t i ——第i个测点的混凝土保护层厚度电磁感应法钢筋探测仪器示值(mm),精确至1mm;
n——钻孔、剔凿验证实测点数。
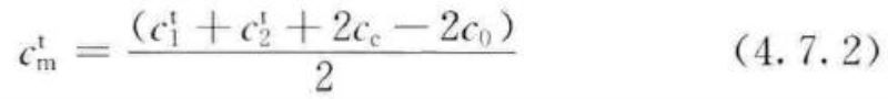
4.7.2 混凝土保护层厚度测点检测值应按下式计算:

式中:c t m ——混凝土保护层厚度检测值(mm),精确至1mm;
c t 1 、c t 2 ——第1、2次混凝土保护层厚度电磁感应法钢筋探测仪器示值(mm),精确至1mm;
c c ——混凝土保护层厚度修正量(mm);当没有进行钻孔剔凿验证时,取0;
c 0 ——探头垫块厚度(mm),精确至0.1mm;无垫块时取0。
4.7.3 检测钢筋间距时,可根据实际需要采用绘图方式给出相邻钢筋间距,当同一构件检测钢筋为连续6个间距时,也可给出被测钢筋的最大间距、最小间距和平均间距,钢筋平均间距按下式计算:

式中:s m ——钢筋平均间距,精确至1mm;
s i ——第i个钢筋间距,精确至1mm。
4.7.4 工程质量检测时,混凝土保护层厚度的评定应符合设计及现行国家标准《混凝土结构工程施工质量验收规范》GB 50204的有关规定。
4.7.5 对混凝土结构进行结构性能检测时,混凝土保护层厚度、钢筋间距的结果评定应符合现行国家标准《建筑结构检测技术标准》GB/T 50344或《混凝土结构现场检测技术标准》GB/T 50784的规定。
5 钢筋公称直径检测
5.1 一般规定
5 钢筋公称直径检测
5.1 一般规定
5.1.1 钢筋公称直径的检测可采用直接法或取样称量法。
5.1.2 当出现下列情况之一时,应采用取样称量法进行检测:
1 仲裁性检测;
2 对钢筋直径有争议;
3 缺失钢筋资料;
4 委托方有要求。
5.1.3 钢筋公称直径检测前应确定钢筋位置。
5.2 抽样规定
5.2 抽样规定
5.2.1 当采用直接法检测钢筋公称直径时,钢筋抽样可按下列规定进行:
1 单位工程建筑面积不大于2000m 2 同牌号同规格的钢筋应作为一个检测批;
2 工程质量检测时,每个检测批同牌号同规格的钢筋各抽检不应少于1根;
3 结构性能检测时,每个检测批同牌号同规格的钢筋各抽检不应少于2根;当图纸缺失时,选取钢筋应具有代表性。
条文说明
5.2.1现行国家标准《混凝土结构工程施工质量验收规范》GB50204规定同牌号同规格的钢筋进场检验按60t划分一个批次,建筑工程每平方米用钢量大约为30kg,本标准规定建筑面积2000m2建筑用钢量大约为60t,考虑到实际建筑的配筋为多种规格,按此取样是适宜的,当用钢量偏大时,应加大取样数量。
5.2.2 当采用取样称量法检测钢筋直径时,抽样应符合本标准第6.2节的规定。
5.3 取样称量法
5.3 取样称量法
5.3.1 采用取样称量法检测钢筋公称直径时,应符合下列规定:
1 应沿钢筋走向凿开混凝土保护层;
2 截取长度不宜小于500mm;
3 应清除钢筋表面的混凝土,用12%盐酸溶液进行酸洗,经清水漂净后,用石灰水中和,再以清水冲洗干净;
4 应调直钢筋,并对端部进行打磨平整,测量钢筋长度,精确至1mm;
5 钢筋表面晾干后,应采用天平称重,精确至1g。
条文说明
5.3.1采用取样称量法检测钢筋公称直径,调直钢筋时不得延伸其长度。
5.3.2 钢筋直径应按下式进行计算:

式中:d——钢筋直径(mm),精确至0.1mm;
ω——钢筋试件重量(g),精确至0.1g;
ι——钢筋试件长度(mm),精确至1mm。
5.3.3 钢筋实际重量与理论重量的偏差应按下式计算:

式中:p——钢筋实际重量与理论重量偏差(%);
G l ——钢筋试件实际重量(g),精确至0.1g;
g 0 ——钢筋单位长度理论重量(g/mm);
ι一钢筋试件长度(mm),精确至1mm。
5.3.4 钢筋实际重量与理论重量的允许偏差应符合表5.3.4的规定。

条文说明
5.3.4钢筋实际重量与理论重量的允许偏差,考虑酸洗造成重量损失补偿,在产品标准的基础上进行适当调整。
5.4 直接法
5.4 直接法
5.4.1 本方法宜用于光圆钢筋和带肋钢筋。对于环氧涂层钢筋应清除环氧涂层。
5.4.2 直接法检测混凝土中钢筋直径应符合下列规定:
1 应剔除混凝土保护层,露出钢筋,并将钢筋表面的残留混凝土清除干净;
2 应用游标卡尺测量钢筋直径,测量精确到0.1mm;
3 同一部位应重复测量3次,将3次测量结果的算术平均值作为该测点钢筋直径检测值。
5.4.3 钢筋直径的测量应符合下列规定:
1 对光圆钢筋,应测量不同方向的直径;
2 对带肋钢筋,宜测量钢筋内径。
5.5 检测结果评定
5.5 检测结果评定
5.5.1 采用直接法检测时,光圆钢筋直径应符合现行国家标准《钢筋混凝土用钢 第1部分:热轧光圆钢筋》GB 1499.1的规定;带肋钢筋内径允许偏差应符合现行国家标准《钢筋混凝土用钢 第2部分:热轧带肋钢筋》GB 1499.2的规定,并应根据内径推定带肋钢筋的公称直径。
5.5.2 钢筋直径检测结果评定宜符合现行国家标准《建筑结构检测技术标准》GB/T 50344和《混凝土结构现场检测技术标准》GB/T 50784的规定。
条文说明
5.5.2常用的月牙肋钢筋内径公称尺寸允许偏差如表1所示。 
6 钢筋力学性能检测
6.1 一般规定
6 钢筋力学性能检测
6.1 一般规定
6.1.1 当存在下列情况之一时,应进行钢筋力学性能检测:
1 缺乏钢筋进场抽检试验报告;
2 缺乏相关设计资料;
3 对钢筋力学性能存在怀疑时。
6.1.2 混凝土中钢筋的力学性能应采用直接截取钢筋进行检测,检测项目应符合现行国家标准《钢筋混凝土用钢 第1部分:热轧光圆钢筋》GB 1499.1和《钢筋混凝土用钢 第2部分:热轧带肋钢筋》GB 1499.2的规定。
6.1.3 截取钢筋前后,应对截取钢筋的构件采取防护和修复措施。
条文说明
6.1.3在构件上截取钢筋对其承载力会造成不同程度的影响,取样方案既要考虑代表性,又要避免对结构造成大的损伤。因此取样方案、保护措施和修复方案应由结构工程师进行确认。
6.2 抽样规定
6.2 抽样规定
6.2.1 对构件内钢筋进行截取时,应符合下列规定:
1 应选择受力较小的构件进行随机抽样,并应在抽样构件中受力较小的部位截取钢筋;
2 每个梁、柱构件上截取1根钢筋,墙、板构件每个受力方向截取1根钢筋;
3 所选择的钢筋应表面完好,无明显锈蚀现象;
4 钢筋的截断宜采用机械切割方式;
5 截取的钢筋试件长度应符合钢筋力学性能试验的规定。
条文说明
6.2.1针对房屋建筑的构件钢筋取样进行了规定,梁、柱包含了剪力墙中的暗梁和暗柱。
6.2.2 工程质量检测时,钢筋的抽样数量应符合下列规定:
1 当有钢筋材料进场记录时,根据钢筋材料进场记录确定检测批;当钢筋材料进场记录缺失时,应符合本标准第6.2.3条第1款的规定。
2 在一个检测批内,仅对有疑问的钢筋进行取样,相同牌号和规格的钢筋截取钢筋试件不应少于2根。
条文说明
6.2.2钢筋是工业产品,同规格批次产品性能较为一致,且截取钢筋对结构有较大损伤,因此尽量减小取样数量。
6.2.3 结构性能评价时,钢筋的抽样数量应符合下列规定:
1 单位工程建筑面积不大于3000m 2 的钢筋应作为一个检测批;
2 在一个检测批中,随机抽取同一种牌号和规格的钢筋,截取钢筋试件数量不应少于2根。
6.2.4 评估损伤钢筋的力学性能时,应根据不同受损程度确定取样范围和数量。每类受损程度截取的钢筋试件数量不应少于2根。
条文说明
6.2.4不同受损程度的钢筋应分开进行检测,便于确定受损程度和范围。钢筋损伤可分为火灾和腐蚀两类。火灾损伤宜根据钢筋所遭受的过火温度的不同进一步分类。腐蚀包括锈蚀和其他化学腐蚀。
6.3 检测结果评定
6.3 检测结果评定
6.3.1 钢筋力学性能试验应符合现行国家标准《金属材料 拉伸试验 第1部分:室温试验方法》GB/T 228.1的规定。
6.3.2 腐蚀钢筋应按本标准第5.3节取样称量法确定其损伤后钢筋的公称直径。
条文说明
6.3.2钢筋腐蚀后,截面面积会出现一定的损失,在确定其力学性能时应按实际受力面积计算,并在检测结果中注明实际截面面积。
6.3.3 工程质量检测时,钢筋合格判定标准应按现行国家标准《钢筋混凝土用钢 第1部分:热轧光圆钢筋》GB 1499.1和《钢筋混凝土用钢 第2部分:热轧带肋钢筋》GB 1499.2等的规定执行。
6.3.4 结构性能评价时,各批受检钢筋力学性能评定值应按现行国家标准《混凝土结构现场检测技术标准》GB/T 50784有关规定进行确定。当检测值离散程度超过其规定范围时,宜补充检测;当不具备补充检测条件时,应以最小检测值作为该批钢筋力学性能检测值。
6.3.5 对损伤钢筋的力学性能评定,应取最低检测值作为该类损伤钢筋力学性能评定值。
6.3.6 钢筋牌号可根据检测结果以及其他辅助试验,并根据现行国家标准《钢筋混凝土用钢 第1部分:热轧光圆钢筋》GB 1499.1和《钢筋混凝土用钢 第2部分:热轧带肋钢筋》GB 1499.2等进行推定。
7 钢筋锈蚀性状检测
7.1 一般规定
7 钢筋锈蚀性状检测
7.1 一般规定
7.1.1 本章规定的半电池电位法用于评估混凝土结构及构件中钢筋的锈蚀性状,不适用于带涂层的钢筋以及混凝土已饱水和接近饱水的构件中钢筋检测。
条文说明
7.1.1半电池电位法是一种电化学方法。考虑到在一般的建筑物中,混凝土结构及构件中钢筋腐蚀通常是由于自然电化学腐蚀引起的,因此采用测量电化学参数来进行判断。在本标准中,规定了一种半电池,即铜-硫酸铜半电池;同时将混凝土与混凝土中的钢筋看作是另一个半电池。测量时,将铜-硫酸铜半电池与钢筋混凝土相连接检测钢筋的电位,根据研究积累的经验来判断钢筋的锈蚀性状。所以这种方法适用于已硬化混凝土中钢筋的半电池电位的检测,它不受混凝土的构件尺寸和钢筋保护层厚度的限制。
7.1.2 钢筋的实际锈蚀状况宜采用直接法进行验证。
条文说明
7.1.2半电池电位、混凝土电阻率所判定钢筋锈蚀性状的方法均为间接方法,包含了大量的工程实体检测经验积累,因而,现场检测钢筋的实际锈蚀状况时,仍然需要进行局部的验证。
7.1.3 当需要对混凝土中钢筋进行耐久性评估时,可检测混凝土的电阻率,并应结合半电池电位法检测结果进行综合评估。混凝土电阻率检测方法应符合本标准附录C的规定。
条文说明
7.1.3混凝土的碳化导致混凝土电阻率变化,通过混凝土电阻率的变化及半电池点位法检测结果可以综合评估混凝土中钢筋的耐久性。
7.2 仪器性能要求及维护
7.2 仪器性能要求及维护
7.2.1 钢筋锈蚀性状检测应采用半电池电位法钢筋锈蚀检测仪和电磁感应法钢筋探测仪等设备。电磁感应法钢筋探测仪的技术要求应符合本标准第4.3节的规定。
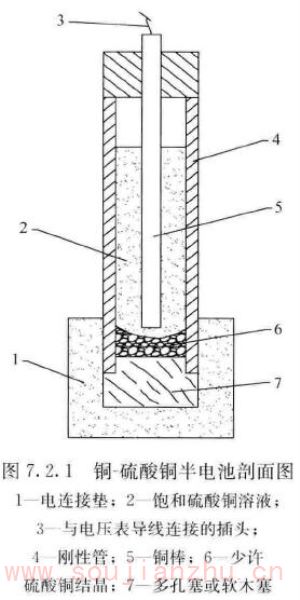
1 半电池电位法钢筋锈蚀检测仪应由铜-硫酸铜半电池(图7.2.1)、电压计和导线构成。
2 饱和硫酸铜溶液应采用分析纯硫酸铜试剂晶体溶解于蒸馏水中制备。应使透明刚性管的底部积有少量未溶解的硫酸铜结晶体,溶液应清澈且饱和。
3 半电池的电连接垫应预先浸湿,多孔塞和混凝土构件表面应形成电通路。
4 电压计应具有采集、显示和存储数据的功能,满量程不宜小于1000mV。在满量程范围内的测试允许误差应为±3%。
5 用于连接电压计与混凝土中钢筋的导线宜为铜导线,其总长度不宜超过150m、截面面积宜大于0.75mm 2 ,在使用长度内因电阻干扰所产生的测试回路电压降不应大于0.1mV。

6 硫酸铜溶液配置达到6个月时宜给予更换,更换后宜采用甘汞电极进行校准。在室温(22±1)℃时,铜-硫酸铜电极与甘汞电极之间的电位差应为(68±10)mV。
条文说明
7.2.1使用电磁感应法钢筋探测仪是要在检测前找到钢筋的位置,有利于提高工作的效率。本条规定了半电池点位法钢筋锈蚀检测仪应具备的性能参数。 将预先浸湿的电连接垫安装在刚性管底端,以使多孔塞和混凝土构件表面形成电通路,从而在混凝土表面和半电池之间提供一个低电阻的液体桥路。 多孔塞一般为软木塞,一旦干燥收缩,将会产生很大变形,影响其使用寿命。
7.2.2 半电池电位法钢筋锈蚀检测仪使用后,应及时清洗刚性管、铜捧和多孔塞,并应密闭盖好多孔塞;铜棒可采用稀释的盐酸溶液轻轻擦洗,并用蒸馏水清洗干净。不得用钢毛刷擦洗铜棒及刚性管。
7.3 半电池电位法
7.3 半电池电位法
7.3.1 在混凝土结构及构件上可布置若干测区,测区面积不宜大于5m×5m,并按确定的位置进行编号。每个测区应采用行、列布置测点,依据被测结构及构件的尺寸,宜用100mm×100mm~500mm×500mm划分网格,网格的节点应为电位测点。每个结构或构件的半电池电位法测点数不应少于30个。
条文说明
7.3.1为了便于操作,建议测区面积不宜大于5m×5m。一般碰到尺寸较大的结构及构件时,测区面积控制在5m×5m,测点间距可取大值,如500mm×500mm;而构件尺寸相对较小时,如梁、柱等,测区面积相应较小,测点间距可取小值,如100mm×100mm。
7.3.2 当测区混凝土有绝缘涂层介质隔离时,应清除绝缘涂层介质。测点处混凝土表面应平整、清洁。不平整、清洁的应采用砂轮或钢丝刷打磨,并应将粉尘等杂物清除。
条文说明
7.3.2当混凝土表面有绝缘涂层介质隔离时,为了能让2个半电池形成通路,应清除绝缘层介质。为了保证半电池的电连接垫与测点处混凝土有良好接触,测点处混凝土表面应平整、清洁。如果表面有水泥浮浆或其他杂物时,应用砂轮或钢丝刷打磨,将其清除掉。
7.3.3 导线与钢筋的连接应按下列步骤进行:
1 采用电磁感应法钢筋探测仪检测钢筋的分布情况,并应在适当位置剔凿出钢筋;
2 导线一端应接于电压仪的负输入端,另一端应接于混凝土中钢筋上;
3 连接处的钢筋表面应除锈或清除污物,以保证导线与钢筋有效连接;
4 测区内的钢筋必须与连接点的钢筋形成电通路。
条文说明
7.3.3选定好被测构件后,用电磁感应法钢筋探测仪扫描钢筋的分布情况,在合适的位置凿出2处钢筋。用万用表测量这2根钢筋是否连通,用以验证测区内的钢筋是否与连接点的钢筋形成通路。然后选择其中1根钢筋用于连接电压仪。
7.3.4 导线与铜-硫酸铜半电池的连接应按下列步骤进行:
1 连接前应检查各种接口,接口接触应良好;
2 导线一端应连接到铜-硫酸铜半电池接线插座上,另一端应连接到电压仪的正输入端。
7.3.5 测区混凝土应预先充分浸湿。可在饮用水中加入2%液态洗涤剂配置成导电溶液,在测区混凝土表面喷洒,半电池的电连接垫与混凝土表面测点应有良好的耦合。
7.3.6 铜-硫酸铜半电池检测系统稳定性应符合下列规定:
1 在同一测点,用同一只铜-硫酸铜半电池重复2次测得该点的电位差值,其值应小于10mV;
2 在同一测点,用两只不同的铜-硫酸铜半电池重复2次测得该点的电位差值,其值应小于20mV。
7.3.7 铜-硫酸铜半电池电位的检测应按下列步骤进行:
1 测量并记录环境温度;
2 应按测区编号,将铜-硫酸铜半电池依次放在各电位测点上,检测并记录各测点的电位值;
3 检测时,应及时清除电连接垫表面的吸附物,铜-硫酸铜半电池多孔塞与混凝土表面应形成电通路;
4 在水平方向和垂直方向上检测时,应保证铜-硫酸铜半电池刚性管中的饱和硫酸铜溶液同时与多孔塞和铜棒保持完全接触;
5 检测时应避免外界各种因素产生的电流影响。
7.3.8 当检测环境温度在(22±5)℃之外时,应按下列公式对测点的电位值进行温度修正:
当T≥27℃:

当T≤17℃:

式中:V——温度修正后电位值(mV),精确至1mV;
V R ——温度修正前电位值(mV),精确至1mV;
T——检测环境温度(℃),精确至1℃;
k——系数(mV/℃)。
7.4 检测结果评判
7.4 检测结果评判
7.4.1 半电池电位检测结果可采用电位等值线图(图7.4.1)表示被测结构及构件中钢筋的锈蚀性状。宜按合适比例在结构及构件图上标出各测点的半电池电位值,可通过数值相等的各点或内插等值的各点绘出电位等值线。电位等值线的最大间隔宜为100mV。
条文说明
7.4.1采用电位等值线图后,可以较直观地反映不同锈蚀性状的钢筋分布情况。
7.4.2 当采用半电池电位值评估钢筋锈蚀状态时,应根据表7.4.2 进行钢筋锈蚀性状判断。


条文说明
7.4.2半电池电位法检测结果评判采用《StandardTestMethodforHalf-CellPotentialsofUncoatedReinforcingSteelinConcrete》ASTMC876-91(Reapproved1999)中的判据。《混凝土中钢筋检测技术规程》JGJ/T152-2008实施10年来,经过大量工程检测实践,证明该评定方法是可行的。
8 钢筋锈蚀性状监测
8.1 一般规定
8 钢筋锈蚀性状监测
8.1 一般规定
8.1.1 钢筋锈蚀性状监测应预先在混凝土结构中埋设锈蚀传感器。对于既有钢筋混凝土结构可采用后装式锈蚀传感器。
条文说明
8.1.1在重要或重大工程中,特别是氯离子含量较高、受腐蚀影响较大或有设计要求的区域往往需要对钢筋锈蚀情况进行长期的动态监测。如果是新建工程,可以在钢筋绑扎时、浇筑混凝土前,将腐蚀传感器预埋在混凝土内部,将传感器的接线留出,用于后期的数据传输。对于既有的混凝土结构,可以在需要观测的地方钻孔,将腐蚀传感器埋入混凝土中,用于后期的观测。
8.1.2 钢筋锈蚀性状监测过程中宜采用本标准第7章中的方法对钢筋锈蚀性状进行核查。
8.2 仪器性能要求
8.2 仪器性能要求
8.2.1 钢筋锈蚀性状监测系统应由中央控制器、总线接口、集线节点、锈蚀传感器、参比电极和电缆等构成。
8.2.2 中央控制器采样频率不宜小于1000Hz。
条文说明
8.2.3钢筋锈蚀反应是监测的目标,阳极采用与钢筋相同的材料,可有效监测锈蚀当前发生的深度位置,以便于判定钢筋服役环境是否安全。钛金属网可与参比电极组成一个电位稳定的阴极,阳极电位的变化,可通过与阴极稳定的电位比对,换算成电位差,用于腐蚀监测评估。
8.2.3 锈蚀传感器(图8.2.3)应由一个阴极和若干个阳极组成。阳极宜采用与钢筋相同的材料制作,阴极宜为由钛金属网与二氧化锰参比电极组成。

8.2.4 参比电极的正常工作温度宜为-10℃~40℃;在室温(23±2)℃时,参比电极在饱和Ca(OH) 2 溶液中与甘汞电极比对,电位差不宜低于170mV,且不宜高于220mV。
条文说明
8.2.4因混凝土本身呈弱碱性,故在校准时采用弱碱性环境与甘汞电极比对。
8.3 钢筋锈蚀动态监测技术
8.3 钢筋锈蚀动态监测技术
8.3.1 预埋式锈蚀传感器安装(图8.3.1)应按下列规定进行:

1 锈蚀传感器阳极安装至需要监测的位置。锈蚀传感器应安装牢固,当基座固定在钢筋网上时,应采用绝缘材料与钢筋网绝缘。
2 测量并记录锈蚀传感器每个阳极外缘距被测钢筋的距离,精确至1mm。
3 将参比电极固定在锈蚀传感器附近的钢筋网上,参比电极表面应采用碱性无氯凝胶封装。
条文说明
8.3.1本条规定了预埋式锈蚀传感器安装的基本要求。 1由于锈蚀传感器本身有一定的尺寸,所以安装位置应具有一定的保护层厚度,防止因保护层厚度太薄致使阳极外露。锈蚀传感器基座平面的法线方向应与钢筋可能最早脱钝的方向一致,即确保锈蚀传感器能准确监控到腐蚀的前锋,确保监控数据的意义。现场安装时,一般首先制备两根细长钢筋,如直径为10mm左右,长度为300mm~500mm即可。然后将细长钢筋与锈蚀传感器基座平面接触的部位用绝缘胶带或橡皮、塑料管套预先阻隔,确保稳固并绝缘。使用绝缘线或胶带将锈蚀传感器固定到细长钢筋的绝缘部分。将细长钢筋绑扎到选定的安装部位,确保稳固,即在后续的混凝土浇筑过程中不至于引起位移。最终,应确保锈蚀传感器基座平面的法线与腐蚀前锋线推进梯度方向一致,一般指向保护层最小的混凝土表面即可,即基座平面与该混凝土表面平行。根据保护层厚度的大小,锈蚀传感器基座可以在被测钢筋外侧或内侧,使得最内侧的阳极略高于被测钢筋。 2每一个阳极距被测钢筋或混凝土表面的距离是锈蚀监测评估的重要参数,混凝土保护层的失效是由表及里的,根据不同深度阳极的锈蚀发生程度,可判定当前锈蚀发生的前锋位置及推进速度,进而判断钢筋的服役环境是否安全,以达到锈蚀监测的目的。 3为保证参比电极长期服役的稳定性,应采用碱性无氯凝胶封装。
8.3.2 后装式锈蚀传感器安装应按下列规定进行:
1 采用电磁感应法钢筋探测仪探测钢筋的位置和保护层厚度,并在混凝土表面进行标记;
2 根据保护层厚度的大小和需要监测的部位确定锈蚀传感器的安装位置;
3 阴极应安装于锈蚀传感器的中心位置,并将阴极与混凝土间的间隙填补密实。
条文说明
8.3.2本条规定了后装式锈蚀传感器安装的基本要求。 1后装式锈蚀传感器安装过程需要预先成孔,因而应根据钢筋的分布情况,成孔时宜避开钢筋。 2安装位置的确定原则同预埋式锈蚀传感器。 3阴极位于中心位置,阳极分布于四周(图1),布局能有效反映监测点位锈蚀前锋的推进情况,利于监测评估。 
8.3.3 锈蚀传感器的阴极在安装过程中,应保证其不受粉尘、液体、铁锈等的污染。
条文说明
8.3.3传感器阴极安装过程中受污染可能会引起灵敏度降低,更严重可能导致失效,如阴极安装过程受到酸性物质污染,有异于工作环境要求的弱碱性环境,会直接导致电极失效。
8.3.4 应将各处的锈蚀传感器和阴极引出的电缆接入集线节点,采用串联的方式将各集线节点接入总线接口,将总线接口并入中央控制器。
8.3.5 应启动监测系统中央控制器,检查锈蚀传感器、总线接口和各集线节点等参数是否显示正确。
条文说明
8.3.5若存在总线接口或集线节点未能正确显示,应排查相应的接口是否连接正确牢靠,电缆是否存在断路。
8.3.6 应启动监测系统监测软件,并根据监测计划启动监测记录。
条文说明
8.3.6应根据需要制订监测计划,根据监测计划设定系统的监测参数,比如监测频次,每次监测时长等,启用监测记录后,系统将会自动记录监测数据,需要调取监测数据时,可于数据库中相应时段进行拷贝。 需要对监测数据进行分析时,可根据锈蚀监测系统测试直接输出的锈蚀电位曲线来分析评估被测结构及构件混凝土中钢筋的锈蚀状况,见示例。监测期间应确保监测系统的正常运行,可根据阶段性的检测结果对监测系统进行参数更新,保持监测系统动态有效性。 示例:图2中四条曲线,分别表示四种不同的锈蚀传感器埋置深度,到第七年左右,阳极Ⅰ出现拐点,经该点之后,曲线陡降,即可认为在该年份锈蚀前锋线推进到此深度位置;曲线后续时间的下降段,可表示锈蚀进行的程度;到第十二年后,曲线出现近似水平段,及表示,该深度处已进入到严重锈蚀阶段,其他三条曲线分析类似。 
9 基桩钢筋笼长度检测
9.1 一般规定
9 基桩钢筋笼长度检测
9.1 一般规定
9.1.1 基桩钢筋笼长度可采用磁测井法检测,检测深度不宜超过80m。
条文说明
9.1.1由于钻孔偏差,测试深度太长容易造成较大的误差。
9.1.2 检测前除应收集本标准3.0.4条所规定的资料,还应收集下列资料:
1 周边环境情况;
2 岩土工程勘察资料。
条文说明
9.1.2现场检测前,应考虑被测基桩周围环境磁场对检测的影响。
9.2 设备要求
9.2 设备要求
9.2.1 磁测井仪应包括主机、深度编码器、磁阻传感器、计数滑轮、计数电缆等。
9.2.2 深度编码器应具备自动记录功能,其深度分辨率应小于50mm。
9.2.3 磁阻传感器测量范围应为-99999nT~+99999nT,分辨率宜小于50nT,精度不应低于150nT。
9.2.4 磁阻传感器工作环境温度宜为0℃~40℃,耐水压力应大于1.5MPa。
9.2.5 成孔钻孔机应符合现行行业标准《建筑基桩检测技术规范》JGJ 106的有关规定。
9.3 磁测井法
9.3 磁测井法
9.3.1 检测应按规定的步骤进行(图9.3.1)。
条文说明
9.3.1桩内成孔检测和桩侧成孔检测见图3。 
9.3.2 测孔分桩内成孔和桩侧成孔,测孔应符合下列规定:
1 桩侧成孔检测时,测试孔与受检桩外侧边缘间距不宜大于1.0m,并应尽量远离非受检桩;

2 测试孔垂直度偏差不应大于0.5°;
3 测试孔内径应大于传感器外径,测试孔孔底标高应低于被检测钢筋笼底设计标高3.0m;
4 当孔中有铁磁性物体存在时,应进行清理,若无法清除时应重新布孔;
5 测试管应采用无磁性管;
6 检查测试孔和测试管的通畅情况,并应进行孔口和管口保护,防止杂物进入测试孔和测试管,确保传感器在全程范围内升降顺畅;
7 测试结束时,应对测试孔进行封闭。
9.3.3 当桩外单孔测试结果有异议时,可采用桩两侧对称成孔检测综合分析判别。
9.3.4 磁场垂直分量强度的测量应符合下列规定:
1 采样间距不宜大于250mm;
2 传感器移动速率不宜大于250mm/s;
3 每孔检测不应少于2次,曲线应具有良好的重复性;
4 应记录和绘制磁场垂直分量-深度(Z-h)关系曲线;
5 磁场垂直分量-深度(Z-h)关系曲线应能反映钢筋笼分节特征。
9.4 检测数据处理
9.4 检测数据处理
9.4.1 应根据实测磁场垂直分量(z)曲线下端平稳段的Z值来确定磁场垂直分量背景值Z 0 ,(图9.4.1)。
9.4.2 磁场垂直分量梯度值应按下式计算:


式中:dz/dh——磁场垂直分量梯度(nT/m);
Z 1 、Z 2 ——上下测点的实测磁场垂直分量强度值(nT);
△h——上下测点的测点距(m)。
9.4.3 钢筋笼底端深度应根据实测磁场垂直分量曲线和磁场垂直分量梯度曲线(图9.4.1)进行综合判定,并应符合下列规定:
1 根据磁场垂直分量-深度(Z-h)曲线确定时,应取磁场垂直分量-深度(Z-h)曲线深部由小于背景场的极小值转变成大于背景场值的拐点(斜率最大处)所对应的深度位置;
2 根据磁场垂直分量梯度-深度(dz/dh-h)曲线确定时,应取磁场垂直分量梯度-深度(dz/dh-h)曲线最深的明显极值点所对应的深度位置。
附录A电磁感应法钢筋探测仪的校准方法
附录A 电磁感应法钢筋探测仪的校准方法
A.1 校准试件的制作
A.1.1 制作校准试件的材料不得对仪器产生电磁干扰,可采用混凝土、木材、塑料、环氧树脂等。宜优先采用混凝土材料,且在混凝土龄期达到28d以后使用。
条文说明
A.1.1对于电磁感应法钢筋探测仪,一般来说,用一定厚度的隔离材料进行校准即可,为了方便,此条不对试件的制作进行强行规定,而是提供参考,根据实际条件选择使用。试件的参考尺寸主要考虑了保护层厚度测试精度的需要,可以根据实际条件加大尺寸。只要不对电磁感应法钢筋探测仪产生电磁干扰,多数电磁感应式仪器对隔离材料的材质是没有要求的。
A.1.2 制作校准试件时,宜将钢筋预埋在校准试件中,钢筋埋置时两端应露出试件,长度宜大于50mm。试件表面应平整,钢筋轴线应平行于试件表面,从试件4个侧面量测其钢筋的埋置深度应不相同,并且同一钢筋两外露端轴线至试件同一表面的垂直距离差不应大于0.5mm。
A.1.3 校准试件的尺寸、钢筋公称直径和混凝土保护层厚度可根据电磁感应法钢筋探测仪的量程和工程中被检钢筋的设计参数进行设置。钢筋间距校准试件的制作可按本标准附录B第B.1.2条进行。
A.2 校准项目及指标要求
A.2.1 应对钢筋间距和混凝土保护层厚度2个检测项目进行校准。
A.2.2 校准项目的指标应符合本标准第4.3.1条和第4.3.2条的规定。
A.3 校准步骤
A.3.1 应在试件各测试表面标记出钢筋的实际轴线位置,用游标卡尺量测两外露钢筋在各测试面上的实际保护层厚度值,取其平均值,精确至0.1mm。
A.3.2 应采用游标卡尺量测钢筋直径,精确至0.1mm,并通过现行国家标准《钢筋混凝土用钢 第1部分:热轧光圆钢筋》GB 1499.1和《钢筋混凝土用钢 第2部分:热轧带肋钢筋》GB 1499.2等查出其对应的公称直径。
A.3.3 校准时,电磁感应法钢筋探测仪探头应在试件上进行扫描,并标记出仪器所指定的钢筋轴线,应采用直尺测试件表面电磁感应法钢筋探测仪所测定的钢筋轴线与实际钢筋轴线之间的最大偏差。记录电磁感应法钢筋探测仪指示的保护层厚度检测值。
A.3.4 电磁感应法钢筋探测仪检测值和实际量测值的偏差均符合本标准附录A第A.2节的规定时,应判定电磁感应法钢筋探测仪合格。当部分项目指标及一定量程范围内的检测值和试件量测值的偏差符合本标准附录B第B.2节的规定时,可判定其相应部分合格,但应限定电磁感应法钢筋探测仪的使用范围,并应指明其符合的项目和量程范围以及不符合的项目和量程范围。
A.3.5 经过校准合格或部分合格的电磁感应法钢筋探测仪,应注明所采用的校准试件的钢筋牌号、规格以及校准试件材质。
附录B雷达仪校准方法
附录B 雷达仪校准方法
B.1 校准试件的制作
B.1.1 应选择当地常用的原材料及强度等级制作混凝土板,并宜采用同盘混凝土拌合物同时制作校正混凝土介电常数的素混凝土试块,其大小应符合雷达仪说明书的规定。当试件较多时,校准用混凝土板应和校正介电常数的试块一一对应。
B.1.2 混凝土板应采用单层钢筋网,宜采用直径为8mm~12mm的圆钢制作,其间距宜为100mm~150mm,混凝土保护层厚度应覆盖15mm、40mm、65mm、90mm四个区段,每个混凝土保护层厚度的钢筋网至少应有8个间距。钢筋两端应外露,其两端保护层厚度差不应大于0.5mm,两端的间距差不应大于1mm。也可根据工程实际制作相应的试件。
B.1.3 制作混凝土试件的原材料均不得含有铁磁性原材料,试件浇筑后7d内应浇水并覆盖养护,7d后采用自然养护,试件龄期应达到28d且在自然风干后使用。
B.2 校准项目及指标要求
B.2.1 应对钢筋间距和混凝土保护层厚度2个项目进行校准。
B.2.2 校准项目的指标应符合本标准第4.3.1条和第4.3.2条的规定。
B.3 校准步骤
B.3.1 校准过程中应避免外界的电磁干扰。
B.3.2 应先用校正介电常数的试块对雷达仪进行校正。
B.3.3 在外露钢筋的两端,应采用钢卷尺量测各段钢筋间距的长度,精确至1mm,取平均值,并作为钢筋的实际平均间距,精确至1mm;同时应用游标卡尺量测钢筋两外露端实际混凝土保护层厚度值,取其平均值,精确至0.1mm。
B.3.4 应根据雷达仪在试件上的扫描结果,标记出雷达仪所指定的钢筋轴线,并应根据扫描结果计算钢筋平均间距及混凝土保护层厚度检测值。
B.3.5 当雷达仪检测值和实际量测值的差值符合本标准附录第B.2节的规定时,应判定雷达仪合格。当部分项目指标以及一定量程范围内的检测值和实际量测值的差值符合本标准第B.2节的规定时,可判定其相应部分合格,但应限定雷达仪的使用范围,并应指明其符合的项目和量程范围以及不符合的项目和量程范围。
B.3.6 经过校准合格或部分合格的雷达仪,应注明所采用的校准试件的钢筋牌号、规格以及混凝土材质。
附录C混凝土电阻率检测
附录C 混凝土电阻率检测
C.0.1 混凝土电阻率法检测应采用混凝土电阻率测试仪、标准块和电磁感应法钢筋探测仪等设备。钢筋探测仪的技术要求除应符合本标准第4.3节的规定外,尚应符合下列规定:
1 混凝土电阻率测试仪应包括主机、四电极探头、导电溶液等;
2 混凝土电阻率测试仪量程宜为0kΩ·cm~2000kΩ·cm,显示分辨率应为0.1kΩ·cm,准确度应为±1kΩ·cm;
3 混凝土电阻率测试仪使用前宜用标准块进行校准。在校准规定的温度下,利用四电极探头测得的标准块上标准电阻的实测值与该标准电阻额定值的差值不应大于额定值的5%。
C.0.2 在混凝土构件上可布置若干测区,测区面积不宜大于5m×5m,并按确定的位置编号。每个测区应采用行、列布置测点,依据被测结构及构件的尺寸,宜用300mm×300mm~600mm×600mm划分网格,网格的节点应为混凝土电阻率测点。
条文说明
C.0.2为了便于操作,建议测区面积不宜大于5m×5m。一般碰到尺寸较大的结构及构件时,测区面积控制在5m×5m,测点间距可取大值,如600mm×600mm;而构件尺寸相对较小时,如梁、柱等,测区面积相应较小,测点间距可取小值,如300mm×300mm。
C.0.3 当测区混凝土有绝缘涂层介质隔离时,应清除绝缘涂层介质。测区应清洁、平整,不应有接缝、施工缝、蜂窝、麻面或孔洞等。
条文说明
C.0.3当混凝土表面有绝缘涂层介质隔离时,为了能让四电极与混凝土表面形成通路,应清除绝缘层介质。为了保证电极与测点处混凝土有良好接触,测点处混凝土表面应平整、清洁。如果表面有水泥浮浆或其他杂物时,应该用砂轮或钢丝刷打磨,将其清除掉。
C.0.4 混凝土电阻率检测应按下列步骤进行:
1 测量并记录环境温度;
2 检测钢筋的分布情况,在混凝土表面作出标记;
3 检测前应把海绵充分吸水后塞入电极中;
4 应按测区编号,将四电极探头依次放在各测点上,检测并记录各测点的混凝土电阻率值;
5 检测时,四电极探头应远离钢筋,并保证四电极探头海绵塞与混凝土表面测点有着良好的耦合。
条文说明
C.0.4本条规定了采用四电极法检测混凝土电阻率的具体步骤。 1环境温度对混凝土电阻率有一定影响,经冻融试验发现,混凝土的电阻率随着温度降低而增大,低于0℃时,由于混凝土内部水由液相转换成固相,会使混凝土电阻率增大梯度更为明显,而高于40℃时,由于水汽作用,会使混凝土电阻率减小梯度更为明显;四电极在20℃左右测试混凝土电阻率具有最好的准度,因而,需要记录好测试环境的温度,以便引入混凝土电阻率测试值的温度修正量。 5由于钢筋的电导率远高于混凝土,混凝土中表层钢筋的存在会导致混凝土电阻率测试值偏小,采用四电极测试时,应尽量避免四电极中轴线与钢筋走向平行,当双向配筋无可避免时,应尽量使四电极中轴线远离钢筋正上方,以最大程度减小来自钢筋的影响。可采用与钢筋成对角线的方式进行测量,如图4所示。如果钢筋间距太过接近,无法避开,则可以与钢筋成直角进行测量,如图5所示。 
C.0.5 混凝土电阻率测试仪使用后,应及时擦干四电极探头上的金属部件,清洗四电极探头海绵塞,并挤干海绵内水分;若海绵塞损坏,应在使用时更换。
本标准用词说明
本标准用词说明
1 为便于在执行本标准条文时区别对待,对要求严格程度不同的用词说明如下:
1)表示很严格,非这样做不可的:
正面词采用”必须”,反面词采用“严禁”;
2)表示严格,在正常情况下均应这样做的:
正面词采用“应”,反面词采用“不应”或“不得”;
3)表示允许稍有选择,在条件许可时首先应这佯做的:
正面词采用“宜”,反面词采用“不宜”;
4)表示有选择,在一定条件下可以这样做的,采用“可”。
2 条文中指明应按其他有关标准执行的写法为:“应符合……规定”或“应按……执行”。
引用标准名录
引用标准名录
1 《混凝土结构工程施工质量验收规范》GB 50204
2 《建筑结构检测技术标准》GB/T 50344
3 《混凝土结构现场检测技术标准》GB/T 50784
4 《金属材料 拉伸试验 第1部分:室温试验方法》GB/T 228
5 《钢筋混凝土用钢 第1部分:热轧光圆钢筋》GB 1499.1
6 《钢筋混凝土用钢 第2部分:热轧带肋钢筋》GB 1499.2
7 《建筑基桩检测技术规范》JGJ 106
