Appearance
《高强混凝土强度检测技术规程[附条文说明]》JGJ/T 294-2013
🗓️ 住房和城乡建设部 实施时间:2013-12-01
前言
中华人民共和国行业标准
高强混凝土强度检测技术规程
Technical specification for strength testing of high strength concrete
JGJ/T 294-2013
发布部门:中华人民共和国住房和城乡建设部
发布日期:2013年05月09日
实施日期:2013年12月01日
中华人民共和国住房和城乡建设部
公告
第26号
住房城乡建设部关于发布行业标准
《高强混凝土强度检测技术规程》的公告
现批准《高强混凝土强度检测技术规程》为行业标准,编号为JGJ/T 294-2013,自2013年12月1日起实施。
本规程由我部标准定额研究所组织中国建筑工业出版社出版发行。
中华人民共和国住房和城乡建设部
2013年5月9日
前言
根据原建设部《关于印发<二〇〇二~二〇〇三年度工程建设城建、建工行业标准制订、修订计划>的通知》(建标[2003]104号)的要求,规程编制组经广泛调查研究,认真总结实践经验,参考有关标准,并在广泛征求意见的基础上,制定本规程。
本规程主要技术内容是:1.总则;2.术语和符号;3.检测仪器;4.检测技术;5.混凝土强度的推定;6.检测报告。
本规程由住房和城乡建设部负责管理,由中国建筑科学研究院负责具体技术内容的解释。执行过程中如有意见和建议,请寄送中国建筑科学研究院(地址:北京市北三环东路30号,邮政编码:100013)。
本规程主编单位:中国建筑科学研究院
本规程参编单位:甘肃省建筑科学研究院、山西省建筑科学研究院、中山市建设工程质量检测中心、重庆市建筑科学研究院、贵州中建建筑科学研究院、河北省建筑科学研究院、深圳市建设工程质量检测中心、山东省建筑科学研究院、广西建筑科学研究设计院、沈阳市建设工程质量检测中心、陕西省建筑科学研究院
本规程参加单位:乐陵市回弹仪厂
本规程主要起草人员:张荣成 冯力强 邱平 魏利国 朱艾路 林文修 张晓 强万明 陈少波 崔士起 李杰成 陈伯田 王宇新 王先芬 颜丙山 黎刚 谢小玲 边智慧 赵士永 郑伟 陈灿华 赵强 赵波 王金山 孔旭文 王金环 蒋莉莉 肖嫦 张翼鹏 贾玉新 晏大玮 孟康荣 文恒武 魏超琪
本规程主要审查人员:艾永祥 张元勃 李启棣 国天逵 胡耀林 路来军 周聚光 郝挺宇 王文明 黄政宇 王若冰 金华
1 总则
1 总则
1.0.1 为检测工程结构中的高强混凝土抗压强度,保证检测结果的可靠性,制定本规程。
条文说明
1.0.1为C50及以上强度等级的混凝土抗压强度检测,制定本规程。
1.0.2 本规程适用于工程结构中强度等级为C50~C100的混凝土抗压强度检测。本规程不适用于下列情况的混凝土抗压强度检测:
1 遭受严重冻伤、化学侵蚀、火灾而导致表里质量不一致的混凝土和表面不平整的混凝土;
2 潮湿的和特种工艺成型的混凝土;
3 厚度小于150mm的混凝土构件;
4 所处环境温度低于0℃或高于40℃的混凝土。
条文说明
1.0.2本规程所述的混凝土材料是符合现行国家有关标准的、由一般机械搅拌或泵送的配制强度等级为C50~C100的混凝土。在检测仪器技术性能允许的前提下,可适当放宽对仪器工作环境温度的限制。
1.0.3 当对结构中的混凝土有强度检测要求时,可按本规程进行检测,其强度推定结果可作为混凝土结构处理的依据。
条文说明
1.0.3在正常情况下,应当按现行国家标准《混凝土结构工程施工质量规范》GB50204及《混凝土强度检验评定标准》GB/T50107验收评定混凝土强度,不允许用本规程取代国家标准对制作混凝土标准试件的要求。但是,由于管理不善、施工质量不良,试件与结构中混凝土质量不一致或对混凝土标准试件检验结果有怀疑时,可以按本规程进行检测,推定混凝土强度,并作为处理混凝土质量问题的主要依据。
1.0.4 当具有钻芯试件或同条件的标准试件作校核时,可按本规程对900d以上龄期混凝土抗压强度进行检测和推定。
条文说明
1.0.4本规程测强曲线为900d的期龄。如果检测900d以上期龄混凝土强度,需钻取混凝土芯样(或同条件标准试件)对测强曲线进行修正。
1.0.5 当采用回弹法检测高强混凝土强度时,可采用标称动能为4.5J或5.5J的回弹仪。采用标称动能为4.5J的回弹仪时,应按本规程附录A执行,采用标称动能为5.5J的回弹仪时,应按本规程附录B执行。
1.0.6 采用本规程的方法检测及推定混凝土强度时,除应符合本规程外,尚应符合国家现行有关标准的规定。
2 术语和符号
2.1 术语
2 术语和符号
2.1 术语
2.1.1 测区 testing zone
按检测方法要求布置的具有一个或若干个测点的区域。
2.1.2 测点 testing point
在测区内,取得检测数据的检测点。
2.1.3 测区混凝土抗压强度换算值 conversion value of con-crete compressive strength of testing zone
根据测区混凝土中的声速代表值和回弹代表值,通过测强曲线换算所得的该测区现龄期混凝土的抗压强度值。
2.1.4 混凝土抗压强度推定值 estimation value of strength for concrete
测区混凝土抗压强度换算值总体分布中保证率不低于95%的结构或构件现龄期混凝土强度值。
2.1.5 超声回弹综合法 ultrasonic-rebound combined method
通过测定混凝土的超声波声速值和回弹值检测混凝土抗压强度的方法。
2.1.6 回弹法 rebound method
根据回弹值推定混凝土强度的方法。
2.1.7 超声波速度 velocity of ultrasonic wave
在混凝土中,超声脉冲波单位时间内的传播距离。
2.1.8 波幅 amplitude of wave
超声脉冲波通过混凝土被换能器接收后,由超声波检测仪显示的首波信号的幅度。
2.2 符号
2.2 符号
e r ——相对标准差;

c cu,i ——结构或构件第i个测区的混凝土抗压强度换算值;

cu,e ——结构混凝土抗压强度推定值;

c cu,min ——结构或构件最小的测区混凝土抗压强度换算值;

cor,i ——第i个混凝土芯样试件的抗压强度;

cu,i ——第i个同条件混凝土标准试件的抗压强度;

c cu,i0 ——第i个测区修正前的混凝土强度换算值;

c cu,il ——第i个测区修正后的混凝土强度换算值;
l i ——第i个测点的超声测距;
m f c cu ——结构或构件测区混凝土抗压强度换算值的平均值;
n——测区数、测点数、立方体试件数、芯样试件数;
R i ——第i个测点的有效回弹值;
R——测区回弹代表值;
s f c cu ——结构或构件测区混凝土抗压强度换算值的标准差;
T k ——空气的摄氏温度;
t i ——第i个测点的声时读数;
t 0 ——声时初读数;
υ——测区混凝土中声速代表值;
υ k ——空气中声速计算值;
υ 0 ——空气中声速实测值;
υ i ——第i个测点的混凝土中声速值;
Δ tot ——测区混凝土强度修正量。
3 检测仪器
3.1 回弹仪
3 检测仪器
3.1 回弹仪
3.1.1 回弹仪应具有产品合格证和检定合格证。
条文说明
3.1.1回弹仪属于量具,在使用之前,应当由法定计量检定机构进行检定,使检测精度得到保证。
3.1.2 回弹仪的弹击锤脱钩时,指针滑块示值刻线应对应于仪壳的上刻线处,且示值误差不应超过±0.4mm。
条文说明
3.1.2确认回弹仪标称动能的具体检查方法。满足该条款要求后方可投入使用。检查方法是:先将回弹仪刻度尺从仪壳上拆下,露出指针滑块。然后将弹击杆压缩至外露长度约1/3时,用手将指针滑块拨至刻度尺率定值对应的仪壳刻线以上的高度,继续施压至弹击锤脱钩,按住按钮,观察指针滑块示值刻线停留位置。此时的停留位置应与仪壳上的上刻线对齐。否则需调整尾盖上的螺栓。率定时应采用与回弹仪配套的质量为20.0kg的钢砧。
3.1.3 回弹仪率定应符合下列规定:
1 钢砧应稳固地平放在坚实的地坪上;
2 回弹仪应向下弹击;
3 弹击杆应旋转3次,每次应旋转90°,且每旋转1次弹击杆,应弹击3次;
4 应取连续3次稳定回弹值的平均值作为率定值。
条文说明
3.1.3回弹仪每次使用前,通常都要进行率定。本条给出具体率定方法和率定值计算方法。
3.1.4 当遇有下列情况之一时,回弹仪应送法定计量检定机构进行检定:
1 新回弹仪启用之前;
2 超过检定有效期;
3 更换零件和检修后;
4 尾盖螺钉松动或调整后;
5 遭受严重撞击或其他损害。
3.1.5 当遇有下列情况之一时,应在钢砧上进行率定,且率定值不合格时不得使用:
1 每个检测项目执行之前和之后;
2 测试过程中回弹值异常时。
条文说明
3.1.4、3.1.5对回弹仪检定和率定的条件划分。回弹仪的检定和率定,直接关系到检测精度。
3.1.6 回弹仪每次使用完毕后,应进行维护。
3.1.7 回弹仪有下列情况之一时,应将回弹仪拆开维护:
1 弹击超过2000次;
2 率定值不合格。
3.1.8 回弹仪拆开维护应按下列步骤进行:
1 将弹击锤脱钩,取出机芯;
2 擦拭中心导杆和弹击杆的端面、弹击锤的内孔和冲击面等;
3 组装仪器后做率定。
3.1.9 回弹仪拆开维护应符合下列规定:
1 经过清洗的零部件,除中心导杆需涂上微量的钟表油外,其他零部件均不得涂油;
2 应保持弹击拉簧前端钩入拉簧座的原孔位;
3 不得转动尾盖上已定位紧固的调零螺钉;
4 不得自制或更换零部件。
条文说明
3.1.6~3.1.9由于回弹仪的使用环境中,粉尘含量较高,加之仪器内各相互移动的部件间有相对磨损。因此,必须经常地做好维护和保养工作。保养工作结束后,将回弹仪外壳和弹击杆擦拭干净,使弹击杆处于外伸状态并装入仪器盒内,水平置于干燥阴凉处。需要注意的是,维护保养的人员必须是对回弹仪工作原理很熟悉的,或经过相应技术培训的技术人员。
3.2 混凝土超声波检测仪器
3.2 混凝土超声波检测仪器
3.2.1 混凝土超声波检测仪应具有产品合格证和校准证书。
3.2.2 混凝土超声波检测仪可采用模拟式和数字式。
3.2.3 超声波检测仪应符合现行行业标准《混凝土超声波检测仪》JG/T 5004的规定,且计量检定结果应在有效期内。
3.2.4 应符合下列规定:
1 应具有波形清晰、显示稳定的示波装置;
2 声时最小分度值应为0.1μs;
3 应具有最小分度值为1dB的信号幅度调整系统;
4 接收放大器频响范围应为10kHz~500kHz,总增益不应小于80dB,信噪比为3﹕1时的接收灵敏度不应大于50μV;
5 超声波检测仪的电源电压偏差在额定电压的±10%的范围内时,应能正常工作;
6 连续正常工作时间不应少于4h。
3.2.5 模拟式超声波检测仪除应符合本规程第3.2.4条的规定外,尚应符合下列规定:
1 应具有手动游标和自动整形两种声时测读功能;
2 数字显示应稳定,声时调节应在20μs~30μs范围内,连续静置1h数字变化不应超过±0.2μs。
3.2.6 数字式超声波检测仪除应符合本规程第3.2.4条的规定外,尚应符合下列规定:
1 应具有采集、储存数字信号并进行数据处理的功能;
2 应具有手动游标测读和自动测读两种方式,当自动测读时,在同一测试条件下,在1h内每5min测读一次声时值的差异不应超过±0.2μs;
3 自动测读时,在显示器的接收波形上,应有光标指示声时的测读位置。
3.2.7 超声波检测仪器使用时的环境温度应为0℃~40℃。
3.2.8 换能器应符合下列规定:
1 换能器的工作频率应在50kHz~100kHz范围内;
2 换能器的实测主频与标称频率相差不应超过±10%。
3.2.9 超声波检测仪在工作前,应进行校准,并应符合下列规定:
1 应按下式计算空气中声速计算值(υ k ):

式中:υ k ——温度为T k 时空气中的声速计算值(m/s);
T k ——测试时空气的温度(℃)。
2 超声波检测仪的声时计量检验,应按“时-距”法测量空气中声速实测值(υ 0 ),且υ 0 相对υ k 误差不应超过±0.5%。
3 应根据测试需要配置合适的换能器和高频电缆线,并应测定声时初读数(t 0 ),检测过程中更换换能器或高频电缆线时,应重新测定t 0
3.2.10 超声波检测仪应至少每年保养一次。
4 检测技术
4.1 一般规定
4 检测技术
4.1 一般规定
4.1.1 使用回弹仪、混凝土超声波检测仪进行工程检测的人员,应通过专业培训,并持证上岗。
4.1.2 检测前宜收集下列有关资料:
1 工程名称及建设、设计、施工、监理单位名称;
2 结构或构件的部位、名称及混凝土设计强度等级;
3 水泥品种、强度等级、砂石品种、粒径、外加剂品种、掺合料类别及等级、混凝土配合比等;
4 混凝土浇筑日期、施工工艺、养护情况及施工记录;
5 结构及现状;
6 检测原因。
条文说明
4.1.2本条中的第1~6款资料系对结构或构件检测混凝土强度所需要的资料。
4.1.3 当按批抽样检测时,同时符合下列条件的构件可作为同批构件:
1 混凝土设计强度等级、配合比和成型工艺相同;
2 混凝土原材料、养护条件及龄期基本相同;
3 构件种类相同;
4 在施工阶段所处状态相同。
条文说明
4.1.3当按批抽样检测时,四个条件同时相同,方可视为同批构件。
4.1.4 对同批构件按批抽样检测时,构件应随机抽样,抽样数量不宜少于同批构件的30%,且不宜少于10件。当检验批中构件数量大于50时,构件抽样数量可按现行国家标准《建筑结构检测技术标准》GB/T 50344进行调整,但抽取的构件总数不宜少于l0件,并应按现行国家标准《建筑结构检测技术标准》GB/T 50344进行检测批混凝土的强度推定。
条文说明
4.1.4为按批检测时,对构件数量的要求。
4.1.5 测区布置应符合下列规定:
1 检测时应在构件上均匀布置测区,每个构件上的测区数不应少于10个;
2 对某一方向尺寸不大于4.5m且另一方向尺寸不大于0.3m的构件,其测区数量可减少,但不应少于5个。
条文说明
4.1.5对测区布置的规定和要求。其中第2款的规定,对某一方向尺寸不大于4.5m且另一方向尺寸不大于0.3m的同批构件按批抽样检测时,最少测区数量可以为5个。
4.1.6 构件的测区应符合下列规定:
1 测区应布置在构件混凝土浇筑方向的侧面,并宜布置在构件的两个对称的可测面上,当不能布置在对称的可测面上时,也可布置在同一可测面上;在构件的重要部位及薄弱部位应布置测区,并应避开预埋件;
2 相邻两测区的间距不宜大于2m;测区离构件边缘的距离不宜小于l00mm;
3 测区尺寸宜为200mm×200mm;
4 测试面应清洁、平整、干燥,不应有接缝、饰面层、浮浆和油垢;表面不平处可用砂轮适度打磨,并擦净残留粉尘。
4.1.7 结构或构件上的测区应注明编号,并应在检测时记录测区位置和外观质量情况。
条文说明
4.1.6、4.1.7对在构件上布置测区的规定和要求。为了解构件强度变化情况,应当将测区编号记录下来,以供强度分析计算使用。
4.2 回弹测试及回弹值计算
4.2 回弹测试及回弹值计算
4.2.1 在构件上回弹测试时,回弹仪的纵轴线应始终与混凝土成型侧面保持垂直,并应缓慢施压、准确读数、快速复位。
条文说明
4.2.1考虑到高强混凝土多用于竖向承载的构件,所以绝大多数检测面为混凝土浇筑侧面,本规程的测强曲线就是在混凝土成型侧面建立的。因此,测区换算强度按混凝土浇筑侧面对应的测强曲线计算。测试时回弹仪的轴线方向应与结构或构件的测试面相垂直。
4.2.2 结构或构件上的每一测区应回弹16个测点,或在待测超声波测区的两个相对测试面各回弹8个测点,每一测点的回弹值应精确至1。
4.2.3 测点在测区范围内宜均匀分布,不得分布在气孔或外露石子上。同一测点应只弹击一次,相邻两测点的间距不宜小于30mm;测点距外露钢筋、铁件的距离不宜小于100mm。
条文说明
4.2.2、4.2.3规定测区测点数量和测点位置。
4.2.4 计算测区回弹值时,在每一测区内的16个回弹值中,应先剔除3个最大值和3个最小值,然后将余下的10个回弹值按下式计算,其结果作为该测区回弹值的代表值:

式中:R——测区回弹代表值,精确至0.1;
R i ——第i个测点的有效回弹值。
4.3 超声测试及声速值计算
4.3 超声测试及声速值计算
4.3.1 采用超声回弹综合法检测时,应在回弹测试完毕的测区内进行超声测试。每一测区应布置3个测点。超声测试宜优先采用对测,当被测构件不具备对测条件时,可采用角测和单面平测。
条文说明
4.3.13个超声测点应布置在回弹测试的同一测区内。由于测强曲线建立时采用了超声对测方法,所以,实际工程检测时应优先采用对测的方法。当被测构件不具备对测条件时(如地下室外墙面),可采用角测或平测法。平测时两个换能器的连线应与附近钢筋的轴线保持40°~50°夹角,以避免钢筋的影响。大量实践证明,平测时测距宜采用350mm~450mm,以便使接收信号首波清晰易辨认。角测和平测的具体测试方法可参照现行标准《超声回弹综合法检测混凝土强度技术规程》CECS02:2005。
4.3.2 超声测试时,换能器辐射面应采用耦合剂使其与混凝土测试面良好耦合。
条文说明
4.3.2使用耦合剂是为了保证换能器辐射面与混凝土测试面达到完全面接触,排除其间的空气和杂物。同时,每一测点均应使耦合层达到最薄,以保持耦合状态一致,这样才能保证声时测量条件的一致性。
4.3.3 声时测量应精确至0.1μs,超声测距测量应精确至1mm,且测量误差应在超声测距的±1%之内。声速计算应精确至0.01km/s。
条文说明
4.3.3本条对声时读数和测距量测的精度提出了严格要求。因为声速值准确与否,完全取决于声时和测距量测是否准确可靠。
4.3.4 当在混凝土浇筑方向的两个侧面进行对测时,测区混凝土中声速代表值应为该测区中3个测点的平均声速值,并应按下式计算:

式中:υ——测区混凝土中声速代表值(km/s);
l i ——第i个测点的超声测距(mm);
t i ——第i个测点的声时读数(μs);
t 0 ——声时初读数(μs)。
条文说明
4.3.4规定了测区混凝土中声速代表值的计算方法。测区混凝土中声速代表值是取超声测距除以测区内3个测点混凝土中声时平均值。当超声测点在浇筑方向的侧面对测时,声速不做修正。如果超声测试采用了角测或平测,应考虑参照现行标准《超声回弹综合法检测混凝土强度技术规程》CECS02:2005的有关规定,事先找到声速的修正系数对声速进行修正。 声时初读数t0是声时测试值中的仪器及发、收换能器系统的声延时,是每次现场测试开始前都应确认的声参数。
5 混凝土强度的推定
5 混凝土强度的推定
5.0.1 本规程给出的强度换算公式适用于配制强度等级为C50~C100的混凝土,且混凝土应符合下列规定:
1 水泥应符合现行国家标准《通用硅酸盐水泥》GB 175的规定;
2 砂、石应符合现行行业标准《普通混凝土用砂、石质量及检验方法标准》JGJ 52的规定;
3 应自然养护;
4 龄期不宜超过900d。
条文说明
5.0.1具体说明了本规程给出的全国高强混凝土测强曲线公式适用范围。由于高强混凝土在施工过程中,早期强度的增长情况备受关注。因此,建立测强曲线公式时,采用了最短龄期为1d的试验数据。测强曲线公式在短龄期的适用,有利于采用本规程为控制短龄期高强混凝土质量提供技术依据。该条所提及的高强混凝土所用水、外加剂和掺合料等尚应符合国家有关标准要求。
5.0.2 结构或构件中第i个测区的混凝土抗压强度换算值应按本规程第3章的规定,计算出所用检测方法对应的测区测试参数代表值,并应优先采用专用测强曲线或地区测强曲线换算取得。专用测强曲线和地区测强曲线应按本规程附录C的规定制定。
条文说明
5.0.2实践证明专用测强曲线精度高于地区测强曲线,而地区测强曲线精度高于全国测强曲线。所以本条鼓励优先采用专用测强曲线或地区测强曲线。
5.0.3 当无专用测强曲线和地区测强曲线时,可按本规程附录D的规定,通过验证后,采用本规程第5.0.4条或第5.0.5条给出的全国高强混凝土测强曲线公式,计算结构或构件中第i个测区混凝土抗压强度换算值。
条文说明
5.0.3如果检测部门未建立专用或地区测强曲线,可使用本规程给出的全国测强曲线。为了掌握全国测强曲线在本地区的检测精度情况,应对其进行验证。
5.0.4 当采用回弹法检测时,结构或构件第i个测区混凝土强度换算值,可按本规程附录A或附录B查表得出。
5.0.5 当采用超声回弹综合法检测时,结构或构件第i个测区混凝土强度换算值,可按下式计算,也可按本规程附录E查表得出:

式中:
c cu,i ——结构或构件第i个测区的混凝土抗压强度换算值(MPa);
R——4.5J回弹仪测区回弹代表值,精确至0.1。
条文说明
5.0.5对全国11个省、直辖市提供的4000余组数据回归分析后得到如表1所示的测强曲线公式。 表1测强曲线公式和统计分析指标
考虑到高强混凝土质量控制时,需要掌握高强混凝土在强度增长过程的强度变化情况,公式的强度应用范围定为20.0MPa~110.0MPa。建立表1中所示的测强曲线公式时,所用仪器为混凝土超声波检测仪和标称动能为4.5J回弹仪。
5.0.6 结构或构件的测区混凝土换算强度平均值可根据各测区的混凝土强度换算值计算。当测区数为10个及以上时,应计算强度标准差。平均值和标准差应按下列公式计算:

式中:m f c cu ——结构或构件测区混凝土抗压强度换算值的平均值(MPa),精确至0.1MPa;
s f c cu ——结构或构件测区混凝土抗压强度换算值的标准差(MPa),精确至0.01MPa;
n——测区数。对单个检测的构件,取一个构件的测区数;对批量检测的构件,取被抽检构件测区数之总和。
条文说明
5.0.6结构或构件混凝土强度的平均值和标准差是用各测区的混凝土强度换算值计算得出的。当按批推定混凝土强度时,如果测区混凝土强度标准差超过本规程第5.0.9条规定,说明该批构件的混凝土制作条件不尽相同,混凝土强度质量均匀性差,不能按批推定混凝土强度。
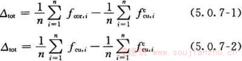
5.0.7 当检测条件与测强曲线的适用条件有较大差异或曲线没有经过验证时,应采用同条件标准试件或直接从结构构件测区内钻取混凝土芯样进行推定强度修正,且试件数量或混凝土芯样不应少于6个。计算时,测区混凝土强度修正量及测区混凝土强度换算值的修正应符合下列规定:
1 修正量应按下列公式计算:

式中: Δ tot ——测区混凝土强度修正量(MPa),精确至0.1MPa;
cor,i ——第i个混凝土芯样试件的抗压强度;
cu,i ——第i个同条件混凝土标准试件的抗压强度;
c cu,i ——对应于第i个芯样部位或同条件混凝土标准试件的混凝土强度换算值;
n——混凝土芯样或标准试件数量。
2 测区混凝土强度换算值的修正应按下式计算:

式中:
c cu,i0 ——第i个测区修正前的混凝土强度换算值(MPa),精确至0.1MPa;
c cu,il ——第i个测区修正后的混凝土强度换算值(MPa),精确至0.1MPa;
条文说明
5.0.7当现场检测条件与测强曲线的适用条件有较大差异时,应采用同条件立方体标准试件或在测区钻取的混凝土芯样试件进行修正。为了与《建筑结构检测技术标准》GB/T50344-2004所规定的修正量法相协调,本规程采用了修正量法。按式(5.0.7-1)或式(5.0.7-2)计算修正量。这里需要注意的是,1个混凝土芯样钻取位置只能制作1个芯样试件进行抗压试验。混凝土芯样直径宜为100mm,高径比为1。此外,规程中所说的混凝土芯样抗压强度试验,仅是参照现行标准《钻芯法检测混凝土强度技术规程》CECS03的规定进行。
5.0.8 结构或构件的混凝土强度推定值(
cu,e )应按下列公式确定:
1 当该结构或构件测区数少于10个时,应按下式计算:

式中:
c cu,min ——结构或构件最小的测区混凝土抗压强度换算值(MPa),精确至0.1MPa;
2 当该结构或构件测区数不少于10个或按批量检测时,应按下式计算:

条文说明
5.0.8按本规程推定的混凝土抗压强度,不能等同于施工现场取样成型并标准养护28d所得的标准试件抗压强度。因此,在正常情况下混凝土强度的验收与评定,应按现行国家标准执行。 当构件测区数少于10个时,应按式(5.0.8-1)计算推定抗压强度。当构件测区数不少于10个或按批推定构件混凝土抗压强度时,应按式(5.0.8-2)计算推定抗压强度。注意批推定构件混凝土抗压强度时的强度平均值和标准差,应采用该检验批中所有抽检构件的测区强度来计算。 当结构或构件的测区抗压强度换算值中出现小于20.0MPa的值时,该构件混凝土抗压强度推定值?cu,e应取小于20MPa。若测区换算值小于20.0MPa或大于110.0MPa,因超出了本规程强度换算方法的规定适用范围,故该测区的混凝土抗压强度应表述为“<20.0MPa”,或“>110.0MPa”。若构件测区中有小于20.0MPa的测区,因不能计算构件混凝土的强度标准差,则该构件混凝土的推定强度应表述为“<20.0MPa”;若构件测区中有大于110.0MPa的测区,也不能计算构件混凝土的强度标准差,此时,构件混凝土抗压强度的推定值取该构件各测区中最小的测区混凝土抗压强度换算值。
5.0.9 对按批量检测的结构或构件,当该批构件混凝土强度标准差出现下列情况之一时,该批构件应全部按单个构件检测:
1 该批构件的混凝土抗压强度换算值的平均值(m f c cu )不大于50.0MPa,且标准差(s f c cu )大于5.50MPa;
2 该批构件的混凝土抗压强度换算值的平均值(m f c cu )大于50.0MPa,且标准差(s f c cu )大于6.50MPa。
条文说明
5.0.9对按批量检测的构件,如该批构件的混凝土质量不均匀,测区混凝土强度标准差大于规定的范围,则该批构件应全部按单个构件进行强度推定。 考虑到实际工程中可能会出现结构或构件混凝土未达到设计强度等级的情况,mfccu≤50MPa的情形是存在的。本条中混凝土抗压强度平均值mfccu≤50MPa和mfccu>50MPa时,对标准差sfccu的限值,沿用了《超声回弹综合法检测混凝土强度技术规程》CECS02:2005中的规定。
6 检测报告
6 检测报告
条文说明
要求检测报告的信息尽量齐全。对于较复杂的工程,还需要在检测报告中反映工程概况、所检测构件种类及分布等信息。对于检测结果,可以与设计强度等级对应的强度相对比,给出是否满足设计要求的结论。
6.0.1 检测报告应信息完整、齐全,并宜包括下列内容:
1 工程名称;
2 工程地址;
3 委托单位;
4 设计单位;
5 监理单位
6 施工单位;
7 检测部位;
8 混凝土浇筑日期;
9 检测原因;
10 检测依据;
11 检测时间;
12 检测仪器;
13 检测结果;
14 报告批准人、审核人和主检人签字;
15 出具报告日期;
16 检测单位公章。
6.0.2 检测报告宜采用本规程附录F的格式,并可增加所检测构件平面分布图。
附录A采用标称动能4.5J回弹仪推定混凝土强度
附录A 采用标称动能4.5J回弹仪
推定混凝土强度
A.0.1 标称动能为4.5J的回弹仪应符合下列规定:
1 水平弹击时,在弹击锤脱钩的瞬间,回弹仪的标称动能应为4.5J;
2 在配套的洛氏硬度为HRC60±2钢砧上,回弹仪的率定值应为88±2。
A.0.2 采用标称动能为4.5J回弹仪时,结构或构件的第i个测区混凝土强度换算值可按表A.0.2直接查得。
表A.0.2 采用标称动能为4.5J回弹仪时测区混凝土强度换算值

注:1 表内未列数值可用内插法求得,精度至0.1MPa;
2 表中R为测区回弹代表值,
c cu,i 为测区混凝土强度换算值;
3 表中数值是根据曲线公式
c cu,i =﹣7.83+0.75R+0.0079R 2 计算得出。
附录B采用标称动能5.5J回弹仪推定混凝土强度
附录B 采用标称动能5.5J回弹仪
推定混凝土强度
B.0.1 标称动能为5.5J的回弹仪应符合下列规定:
1 水平弹击时,在弹击锤脱钩的瞬间,回弹仪的标称动能应为5.5J;
2 在配套的洛氏硬度为HRC60±2钢砧上,回弹仪的率定值应为83±1。
B.0.2 采用标称动能为5.5J回弹仪时,结构或构件的第i个测区混凝土强度换算值可按表B.0.2直接查得。
表B.0.2 采用标称动能为5.5J回弹仪时的测区混凝土强度换算值


注:1 表内未列数值可用内插法求得,精度至0.1MPa;
2 表中R为测区回弹代表值,
c cu,i 为测区混凝土强度换算值;
3 表中数值根据曲线公式
c cu,i =2.51246R 0.889 计算。
附录C建立专用或地区高强混凝土测强曲线的技术要求
附录C 建立专用或地区高强混凝土
测强曲线的技术要求
C.0.1 混凝土应采用本地区常用水泥、粗骨料、细骨料,并应按常用配合比制作强度等级为C50~C100、边长150mm的混凝土立方体标准试件。
C.0.2 试件应符合下列规定:
1 试模应符合现行行业标准《混凝土试模》JG 237的规定;
2 每个强度等级的混凝土试件数宜为39块,并应采用同一盘混凝土均匀装模振捣成型;
3 试件拆模后应按“品”字形堆放在不受日晒雨淋处自然养护;
4 试件的测试龄期宜分为7d、14d、28d、60d、90d、180d、365d等;
5 对同一强度等级的混凝土,应在每个测试龄期测试3个试件。
C.0.3 试件的测试应按下列步骤进行:
1 试件编号:将被测试件四个浇筑侧面上的尘土、污物等擦拭干净,以同一强度等级混凝土的3个试件作为一组,依次编号;
2 选择测试面,标注测点:在试件测试面上标示超声测点,并取试块浇筑方向的侧面为测试面,在两个相对测试面上分别标出相对应的3个测点(图C.0.3);
3 测量试件的超声测距:采用钢卷尺或钢板尺,在两个超声测试面的两侧边缘处对应超声波测点高度逐点测量两测试面的垂直距离(l 1 、l 2 、l 3 ),取两边缘对应垂直距离的平均值作为测点的超声测距值;
4 测量试件的声时值:在试件两个测试面的对应测点位置涂抹耦合剂,将一对发射和接收换能器耦合在对应测点上,并始终保持两个换能器的轴线在同一直线上,逐点测读声时(t 1 、t 2 、t 3 );
5 计算声速值:分别计算3个测点的声速值(υ i ),并取3个测点声速的平均值作为该试件的混凝土中声速代表值(υ);

图C.0.3 声时测量测点布置示意
1——超声测点;2——回弹测点;3——混凝土浇筑面
6 测量回弹值:先将试件超声测试面的耦合剂擦拭干净,再置于压力机上下承压板之间,使另外一对侧面朝向便于回弹测试的方向,然后加压至60kN~100kN,并保持此压力;分别在试件两个相对侧面上按本规程第4.2.2条规定的水平测试方法各测8点回弹值,精确至1;剔除3个最大值和3个最小值,取余下10个有效回弹值的平均值作为该试件的回弹代表值R,计算精确至0.1;
7 抗压强度试验:回弹值测试完毕后,卸荷将回弹测试面放置在压力机承压板正中,按现行国家标准《普通混凝土力学性能试验方法标准》GB/T 50081的规定速度连续均匀加荷至破坏;计算抗压强度实测值
cu ,精确至0.1MPa。
C.0.4 测强曲线应按下列步骤进行计算:
1 数据整理:将各试件测试所得的声速值(υ)、回弹值(R)和试件抗压强度实测值(
cu )汇总;
2 回归分析:得出回弹法或超声回弹综合法测强曲线公式;
3 误差计算:测强曲线的相对标准差(e r )应按下式计算:

式中: e r ——相对标准差;
cu,i ——第i个立方体标准试件的抗压强度实测值(MPa);
c cu,i ——第i个立方体标准试件按相应检测方法的测强曲线公式计算的抗压强度换算值(MPa)。
C.0.5 所建立的专用或地区测强曲线的抗压强度相对标准差(e r )应符合下列规定:
1 超声回弹综合法专用测强曲线的相对标准差(e r )不应大于12%;
2 超声回弹综合法地区测强曲线的相对标准差(e r )不应大于14%;
3 回弹法专用测强曲线的相对标准差(e r )不应大于14%;
4 回弹法地区测强曲线的相对标准差(e r )不应大于17%。
C.0.6 建立专用或地区高强混凝土测强曲线时,可根据测强曲线公式给出测区混凝土抗压强度换算表。
C.0.7 测区混凝土抗压强度换算时,不得在建立测强曲线时的标准立方体试件强度范围之外使用。
附录D测强曲线的验证方法
附录D 测强曲线的验证方法
D.0.1 在采用本规程测强曲线前,应进行验证。
D.0.2 回弹仪应符合本规程第3.1节的规定,超声波检测仪应符合本规程第3.2节的规定。
D.0.3 测强曲线可按下列步骤进行验证:
1 根据本地区具体情况,选用高强混凝土的原材料和配合比,制作强度等级C50~C100,边长为150mm混凝土立方体标准试件各5组,每组6块,并自然养护;
2 按7d、14d、28d、60d和90d,进行欲验证测强曲线对应方法的测试和试件抗压试验;
3 根据每个试件测得的参数,计算出对应方法的换算强度;
4 根据实测试件抗压强度和换算强度,按下式计算相对标准差(e r ):

式中: e r ——相对标准差;
cu,i ——第i个立方体标准试件的抗压强度实测值(MPa);
c cu,i ——第i个立方体标准试件按相应的检测方法测强曲线公式计算的抗压强度换算值(MPa)。
5 当e r 小于等于15%时,可使用本规程测强曲线;当e r 大于15%,应采用钻取混凝土芯样或同条件标准试件对检测结果进行修正或另建立测强曲线;
6 测强曲线的验证也可采用高强混凝土结构同条件标准试件或采用钻取混凝土芯样的方法,按本条第1~5款的要求进行,试件数量不得少于30个。
附录E超声回弹综合法测区混凝土强度换算表
附录E 超声回弹综合法测区混凝土强度换算表
表E 超声回弹综合法测区混凝土强度换算表





































注:1 表内未列数值可用内插法求得,精度至0.1MPa;
2 表中υ为测区声速代表值,R为4.5J回弹仪测区回弹代表值,
c cu 为测区混凝土强度换算值。
附录F高强混凝土强度检测报告
附录F 高强混凝土强度检测报告

本规程用词说明
本规程用词说明
1 为便于在执行本规程条文时区别对待,对要求严格程度不同的用词说明如下:
1)表示很严格,非这样做不可的用词:
正面词采用“必须”,反面词采用“严禁”;
2)表示严格,在正常情况下均应这样做的用词:
正面词采用“应”;反面词采用“不应”或“不得”;
3)表示允许稍有选择,在条件许可时首先应这样做的用词:
正面词采用“宜”;反面词采用“不宜”;
4)表示有选择,在一定条件下可以这样做的用词,采用“可”。
2 条文中指明应按其他有关标准执行的写法为:“应符合……的规定”或“应按……执行”。
引用标准名录
引用标准名录
1 《普通混凝土力学性能试验方法标准》GB/T 50081
2 《建筑结构检测技术标准》GB/T 50344
3 《通用硅酸盐水泥》GB 175
4 《普通混凝土用砂、石质量及检验方法标准》JGJ 52
5 《混凝土试模》JG 237
6 《混凝土超声波检测仪》JG/T 5004
制订说明
制订说明
《高强混凝土强度检测技术规程》JGJ/T 294-2013,经住房和城乡建设部2013年5月9日以第26号文公告批准、发布。
本规程编制过程中,编制组开展了大量的实验研究和工程质量检测,取得了高强混凝土强度检测的重要技术参数。
为便于广大工程设计、施工、科研、学校等单位有关人员在使用本规程时能正确理解和执行条文规定,《高强混凝土强度检测技术规程》编制组按章、节、条顺序编制了本规程的条文说明。对条文规定的目的、依据以及执行中需要注意的有关事项进行了说明。但是,本条文说明不具备与规程正文同等的法律效力,仅供使用者作为理解和把握规程规定的参考。
