Appearance
《建筑振动荷载标准[附条文说明]》GB/T 51228-2017
🗓️ 住房和城乡建设部 实施时间:2018-05-01
前言
中华人民共和国国家标准
建筑振动荷载标准
Standard for vibration load of buildings
GB/T 51228-2017
主编部门:中华人民共和国住房和城乡建设部
批准部门:中华人民共和国住房和城乡建设部
施行日期:2018年5月1日
中华人民共和国住房和城乡建设部公告
第1693号
住房城乡建设部关于发布国家标准《建筑振动荷载标准》的公告
现批准《建筑振动荷载标准》为国家标准,编号为GB/T 51228-2017,自2018年5月1日起实施。
本标准在住房城乡建设部门户网站(www.mohurd.gov.cn)公开,并由我部标准定额研究所组织中国建筑工业出版社出版发行。
中华人民共和国住房和城乡建设部
2017年9月27日
前言
根据住房和城乡建设部《关于印发2014年工程建设标准规范制订修订计划的通知》(建标[2013]169号)的要求,标准编制组经广泛调查研究,认真总结实践经验,参考有关国际标准和国外先进标准,并在广泛征求意见的基础上,编制本标准。
本标准的主要技术内容是:1 总则、2 术语和符号、3 基本规定、4 旋转式机器、5 往复式机器、6 冲击式机器、7 冶金机械、8 矿山机械、9 轻纺机械、10 金属切削机床、11 振动台、12 人行振动、13 轨道交通、14 施工机械等。
本标准由住房和城乡建设部负责管理,由中国机械工业集团有限公司负责具体技术内容的解释。执行过程中如有意见或建议,请寄送中国机械丁业集团有限公司(地址:北京市海淀区丹棱街3号A座,邮政编码:100080)。
本标准主编单位 :中国机械工业集团有限公司
本标准参编单位 :中国汽车工业工程有限公司
中国中元国际工程有限公司
中国铁道科学研究院
北方工程设计研究院有限公司
宝钢工程技术集团有限公司
中国电力工程顾问集团华北电力设计院有限公司
中国寰球工程公司
合肥通用机械研究院
中国重型机械研究院股份公司
隔而固(青岛)振动控制有限公司
中国第二重型机械集团公司
合肥工业大学
重庆大学
中国昆仑工程公司
中国机械工业建设集团有限公司
机械工业第六设计研究院有限公司
合肥水泥研究设计院
中国轻工业长沙工程有限公司
中国电子工程设计院
中国联合工程有限公司
中机国际工程设计研究院有限责任公司
中冶建筑研究总院有限公司
中冶京诚工程技术有限公司
中冶赛迪工程技术股份有限公司
哈尔滨电站设备成套设计研究所有限公司
哈尔滨电机厂有限责任公司
哈尔滨汽轮机厂有限责任公司
大连机床集团有限责任公司
青岛科而泰环境控制技术有限公司
中建材(合肥)粉体科技装备有限公司
中央军委后勤保障部工程兵科研三所
安阳锻压机械工业有限公司
本标准主要起草人员 :徐建 万叶青 张同亿 杨宜谦 黎益仁 陈炯 周建军 余东航 尹学军 杨俭 于跃平 张德友 钱则刚 冯延雅 朱大勇 陈骝 张洪波 胥畅 王建刚 江山红 徐衍林 王永国 丁奇生 曹雪生 王伟强 高星亮 邵晓岩 胡明祎 黄伟 宫海军 徐学东 何正法 李图学 毕成 李永录 陆锋 曲高君 夏巍 王林春 李正良 晏致涛 余仲元 付承云 刘鹏辉 王巍 徐敏杰 李志和 顾卫东 余尚江 彭晓辉 王洪领 赵玉兰 严乐 王卫东 姜涌 高霖 刘福海 黄晓毅 李剑 罗秀珍
本标准主要审查人员 :杜彦良 张建民 金新阳 王立军 任书考 李炳益 张楠 邹宏 张友亮 李波 钱春宇
条文说明
中华人民共和国国家标准
建筑振动荷载标准
GB/T51228-2017
条文说明
制订说明 《建筑振动荷载标准》GB/T51228-2017经住房和城乡建设部2017年9月27日以第1693号公告批准、发布。 本标准适用于工业工程(包括机械、冶金、轻工、纺织、建材、石油、化工等行业)的常用动力设备振动荷载的确定,同时也包括对振动荷载的测量要求,对新研制产品动力荷载确定方法规定,为工业工程振动控制提供依据。 本标准编制过程中,编制组先后多次开展专题研究,进行广泛的调查分析,总结了近年来我国在振动设计中振动荷载确定的实践经验,与相关标准进行了协调,比较和借鉴了国际先进标准,多个单位及学者在此基础上以多种方式进行了深入研究和讨论,为标准编制提供了极有价值的参考资料。 为便于广大设计、施工、科研、学校等单位有关人员在使用本标准时能正确理解和执行条文的规定,本标准编制组按章、节、条顺序编制了《建筑振动荷载标准》的条文说明,对条文规定的目的、依据以及执行中需要注意的有关事项进行了相关说明。条文说明不具备与标准正文同等的效力,仅作为使用者理解和掌握标准规定的参考。
1 总则
1 总 则
1.0.1 为了有效地控制建筑工程的振动,符合安全适用、经济合理的要求,制定本标准。
条文说明
1.0.1制定本标准的目的是要保证建筑结构设计的安全可靠,同时兼顾经济合理。
1.0.2 本标准适用于工业与民用建筑及构筑物承受人为振动作用时振动荷载的确定,不包括风振、地震等自然现象引起的振动。
条文说明
1.0.2本标准适用于工业与民用建筑及构筑物承受人为振动时振动荷载的确定,对于风振和地震的振动荷载,应按相应有关标准采用。
1.0.3 建筑工程的振动荷载,除应符合本标准的规定外,尚应符合国家现行有关标准的规定。
条文说明
1.0.3建筑工程振动荷载类别很多,一些振动荷载目前尚不具备条件列入本标准,设计时应根据具体情况确定;当其他国家标准有规定时,设计时应按相应的标准执行。
2 术语和符号
2.1 术语
2 术语和符号
条文说明
术语和符号是根据现行国家标准《工程结构设计通用符号标准》GB/T50132、《工程结构设计基本术语标准》GB/T50083的规定,并结合本标准的具体情况给出的。
2.1 术 语
2.1.1 振动荷载 vibrational load
作用于结构体系上,随时间变化的荷载,作用力具有动力特性。
2.1.2 静力荷载 static load
施加在作用物上的力或者力矩,其大小、方向、位置不变或者随着时间变化非常缓慢,亦即在结构分析时可以忽略时间因素和惯性作用的荷载。
2.1.3 等效静力荷载 equivalent static load
建筑结构动力计算时,根据荷载效应等效的原则将结构或设备的自重乘以动力系数后得到的荷载称为等效静力荷载。等效静力荷载可以按照静力计算方法进行设计。
2.1.4 荷载组合 load combination
按极限状态设计时,为保证结构的可靠性而对同时出现的各种荷载设计值的规定。
2.1.5 振动荷载效应 effect of vibration load
由振动荷载引起结构或构件的动力反应,例如振动位移、振动速度和振动加速度等。
2.1.6 动力系数 dynamic coefficient
承受振动荷载的结构或构件,当按静力设计时采用的系数,其值为结构或构件的最大动力效应与相应的静力效应的比值。
2.1.7 频率响应函数 frequency response function
描述振动体系振动特性,以频率作为自变量的函数。
2.1.8 振动荷载代表值 representative value of vibrational load
设计中用于验算结构振动响应的荷载量值。
2.2 符号
2.2 符 号
2.2.1 作用和作用效应
F v ——振动荷载;
F vx ——x轴向振动荷载;
F vy ——y轴向振动荷载;
F vz ——z轴向振动荷载;
M θ ——回转力矩;
M ψ ——扭转力矩。
2.2.2 计算指标
C——振动体系阻尼系数;
E——弹性模量;
e——偏心距;
f——频率;
K——振动体系刚度;
M——振动体系质量;
T——周期;
t——时间;
ζ——阻尼比;

——初始相位角;
w——振动圆频率,主轴旋转角速度。
2.2.3 几何参数
I——惯性矩;
l i ——轨道几何不平顺的波长;
α i ——轨道几何高低不平顺的矢高。
2.2.4 计算系数
G——衡量转子平衡品质等级的参数;
γ——等效静力设计时采用的动力系数;
η——振动传递效率;
η 1 ,η 2 ——修正系数。
3 基本规定
3.1 一般规定
3 基本规定
3.1 一般规定
3.1.1 建筑工程振动荷载,应根据设计要求采用标准值、组合值作为代表值。
条文说明
3.1.1振动荷载的变异性较大,设计时需根据反映振动荷载变异性的各种统计参数,运用相应的概率分析得到工程振动荷载的代表值。工程振动荷载代表值的选用直接影响到振动荷载的取值,涉及结构设计的安全性和适用性。
3.1.2 振动荷载标准值宜由设备制造厂提供,当设备制造厂不能提供时,应按本标准的有关规定采用。
条文说明
3.1.2由于振动设备种类繁多,不同类型设备的振动荷载具有较大的离散性。即使是同类型机器,不同厂家生产的设备也会有一些差异。虽然荷载标准运用统计方法得到具有包络特性的振动荷载数值,然而一些设备的差异性,可能会引起荷载的偏差。因此,工程设计时振动荷载应优先由设备厂家提供,当设备厂家不能提供时,宜按本标准的规定确定。
3.1.3 振动荷载的计算模型和基本假定应与设备的实际运行工况相一致。
条文说明
3.1.3振动荷载计算时,其计算模型和基本假定至关重要,要求应与设备运行的实际工况相一致。
3.1.4 在有充分依据时,振动荷载可简化为等效静力荷载,按静力方法进行设计。
条文说明
3.1.4振动荷载可采用动力荷载或等效静力荷载。当具有充分依据时,为了简化计算,可采用等效静力荷载。等效静力荷载一般采用某一基准值(一般采用重力值)乘以动力系数得到。
3.1.5 当采用等效静力方法计算时,振动荷载的动力系数,宜按下列公式计算:

式中:β v ——振动荷载的动力系数;
μ v ——振动荷载效应比;
S v ——振动荷载效应;
S s ——静力荷载效应。
条文说明
3.1.5等效静力设计方法的要点是确定动力系数,而动力系数量值与振动设备的类型和结构振动响应密切相关,对于不同振动设备、不同设计对象,振动荷载的作用效应不同,因此有必要对振动设备基础、厂房结构地基基础以及所在上部结构分别给出相应的动力系数。
3.1.6 振动荷载应明确荷载最大值或荷载时间历程曲线、作用位置及方向、作用有效时间和作用有效频率范围等。
条文说明
3.1.6振动荷载作用具有荷载动力特性,振动荷载应包含:荷载的频率区间、振幅大小、持续时间、作用位置及方向等数据。这些振动荷载动力特性的变化会改变结构的振动响应,影响结构安全性和适用性。
3.1.7 正常使用极限状态设计时,荷载代表值应符合下列规定:
1 计算结构振动加速度、速度和位移等振动响应与结构变形时,宜采用振动荷载效应标准值或标准组合值;
2 验算结构裂缝时,宜采用等效静力荷载效应的标准组合值。
3.1.8 承载能力极限状态设计时,验算结构承载力和疲劳强度的荷载代表值宜采用振动荷载效应与静力荷载效应的基本组合值。
条文说明
3.1.7、3.1.8关于正常使用极限状态和承载能力极限状态的定义和计算表达式在现行国家标准《建筑结构荷载规范》GB50009中都有较为明确的规定,本标准针对振动荷载的特点加以细化,并考虑了标准之间的有效衔接。
3.2 荷载组合
3.2 荷载组合
3.2.1 振动荷载作用效应组合,应符合下列规定:
1 承载能力极限状态设计时,静力荷载与等效静力荷载效应组合、静力荷载与振动荷载效应组合时,应采用基本组合;
2 正常使用极限状态设计时,静力荷载与等效静力荷载效应组合、静力荷载与振动荷载效应组合应采用标准组合,振动荷载与振动荷载效应组合应按本标准第3.2.2条的规定计算。
条文说明
3.2.1在建筑结构设计中,所涉及的荷载条件包括:静力荷载和动力荷载两大类。 根据建筑结构的荷载分类,考虑荷载标准之间分工、衔接和相互补充等问题,在这里加以明确。
3.2.2 多振源振动荷载作用效应组合,应符合下列规定:
1 当多个周期性振动荷载或稳态随机振动荷载组合时,振动荷载均方根效应组合值,宜按下式计算:

式中:S vσ ——n个振动荷载均方根效应的组合值;
S vσi ——第i个振动荷载效应的均方根值;
n——振动荷载的总数量。
2 当两个周期性振动荷载作用时,振动荷载效应组合的最大值,宜按下式计算:

式中:S vmax ——两个振动荷载效应组合的最大值;
S v1max ——第1个振动荷载效应的最大值;
S v2max ——第2个振动荷载效应的最大值。
3 当冲击荷载起控制作用时,振动荷载效应组合,宜按下式计算:

式中:S vp ——当冲击荷载控制时,在时域范围上效应的组合值;
S vmax ——冲击荷载效应在时域上的最大值;
α k ——冲击作用下的荷载组合系数,可取1.0。
条文说明
3.2.2振动荷载与静力荷载不同,荷载在振动方向、振幅大小和振动频率等方面应能包络振动激励的所有工况。在考虑结构安全和适用的前提下,尚需考虑结构的经济性。因此,根据振动荷载的变异性特点,在确定振动荷载参数值时,应当满足合理的保证概率。 根据现行国家标准《建筑结构可靠度设计统一标准》GB50068的规定,对振动荷载进行统计和组合计算。 根据数理统计的概念,两个正态分布过程,不论是否独立,其组合依然服从正态分布。 在考虑多振源振动的效应时,由于振动相位的随机性,振动相遇时组合振动的分布特性就具有一些随机振动的特性,多数情况接近正态分布,因此,我们可按正态分布函数基本特性来分析多振源振动荷载的组合效应。
3.3 振动荷载测量
3.3 振动荷载测量
3.3.1 振动荷载测试系统和测试仪器性能应符合国家现行有关标准的规定,测试仪器应由国家认定的计量部门定期检定或校准,并应在有效期内使用。
条文说明
3.3.1为了确保测试数据的有效性和准确性,测试系统应按照国家有关标准进行校准。
3.3.2 振动荷载测试系统应根据测试对象振动荷载对应的物理量、频率区间和幅值范围的要求选取。
条文说明
3.3.2测试仪器的选择应与所测物理量相符合,其中包括传感器类型、频率范围、测试量程以及测试方向等。测试对象的不同,测试仪器或测试系统的选取也不同。
3.3.3 振动荷载测试时,测试方法的选择应符合下列规定:
1 振动荷载测试宜采用直接测试法;
2 当无法直接测试设备振动荷载时,可采用振动荷载间接测试法;
3 对于旋转机械,振动荷载可根据动平衡试验结果乘以经验系数的方法计算。
条文说明
3.3.3测量激振力是确定振动荷载作用的直接方法。然而,多数振动设备的激振力测试较为困难,不容易直接获取振动荷载。工程中常用的间接方法包括测量振动输入的能量、动量或惯性运动量等来推算振动荷载作用;还可以通过测量振动响应和识别振动系统来推断振动荷载。 振动荷载测量有两种形式:作用于系统上的作用力P(t);作用于基础上的位移Z0(t)。 振动体系荷载作用如图1所示。 振动荷载测试方法可以分为: 1直接法是在振动体系的激振输入部位直接测试作用力P(t); 2间接法是根据振动体系振动输入部位的不同激励形式推算振动荷载,振动激励形式可以是运动量(位移,速度或加速度等),也可以是能量或动量; 
图1 振动体系示意图 3频响函数法:根据振动系统传递函数识别振动系统的各项参数,按照数据分析方法导算振动荷载,由运动微分方程: 
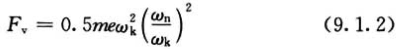
4动平衡法:对于旋转机械中的作旋转运动的零部件,旋转机械经过动平衡处理后,残余不平衡量就会产生旋转扰力。 可以根据动平衡试验的参与不平衡量来计算振动荷载: 
式中:Fv——旋转扰力(kN); m——旋转部件质量(kg); e——不平衡偏心距(m); w——角速度(rad/s); n——转速(r/min)。 振动荷载Fv通过转轴作用在轴承上,使轴承承受附加的动扰力荷载,引起转子、轴承和支承结构振动。扰力作用的方向与转轴垂直,是以转轴为圆心旋转作用的振动荷载。
3.3.4 除有特殊要求外,振动测试点应取振动设备的支承点或动力荷载作用点;振动荷载测试方向应包括竖向和水平两个方向。
3.3.5 振动荷载测试时,传感器应安装牢固,在测试过程中不应产生倾斜或附加振动。
条文说明
3.3.4、3.3.5在进行振动测试时,测点的设置和传感器的安装对测试结果的准确性至关重要,需要认真对待。
3.3.6 振动荷载测量数据分析,应符合下列规定:
1 稳态周期振动分析时,宜采用时域分析方法,将测量信号中所有幅值在测量区间内进行平均;亦可采用幅值谱分析的数据作为测量结果,每个样本数据宜取1024的整数倍,并应进行加窗函数处理,频域上的总体平均次数不宜小于20次;
2 冲击振动分析时,宜采用时域分析方法,应选取3个以上的连续冲击周期中的峰值,经比较后选取最大的数值作为测量结果;
3 随机振动分析时,应对随机信号的平稳性进行评估;对于平稳随机过程宜采用总体平滑的方法提高测量精度;当采用快速傅立叶变换或频谱分析时,每个样本数据宜取1024的整数倍,并应进行加窗函数处理,频域上的总体平均次数不应小于32次;
4 每个测点记录振动数据的次数不得少于2次,当2次测量结果与其算术平均值的相对误差在±5%以内时,可取其平均值作为测量结果。
条文说明
3.3.6振动荷载数据分析(图2) 
图2 测试系统示意 P(f)—激振作用; H(f)—系统特性; Z(f)—振动响应; N(f)—信号噪声 测试中包括激振力、动应力、动应变、振动位移、振动速度和加速度等物理量。数据分析采用的信号是测试的电压信号。信号的类型可以是周期信号、随机信号和脉冲信号等。 测试信号应根据需要,可以是时域或频域的;分析结果应包括幅值、峰值、均值、均方根值以及最大值等。对于模态试验的分析结果,包括振型、频率和阻尼比等。 通常测试中存在一定的误差,其中包括系统误差、过失误差和随机误差等。在测试过程中,需要控制系统误差,避免过失误差。一旦信号记录完毕,开始数据分析时,就需要考虑随机误差问题。 为了确保数据分析精度,减少测试工作量,常用的平滑段数有:20、32、40、100。对于随机数据而言,不论取多少段平均,随机误差总是存在的,即使取了100段数据平均,也存在10%的随机误差可能性。 对于稳态周期振动,如果数据中的随机信号或噪声干扰部分的振动能量不超过总能量的10%,采用20段数据平滑,其统计精度可达95%以上。 为了减少这些误差影响,判断数据的可信程度,在数据分析中常采用凝聚函数法。 凝聚函数应满足: 
当系统是一种理想线性且无噪声时,凝聚函数将等于1,否则将在0与1之间。 在进行传递函数或振动模态分析时,应同时测量激振作用和振动响应信号;当输入与输出信号的凝聚函数在0.8~1.0区间内时,可取分析的传递函数。
4 旋转式机器
4.1 汽轮发电机组与重型燃气轮机
4 旋转式机器
4.1 汽轮发电机组与重型燃气轮机
4.1.1 汽轮发电机组和重型燃气轮机作用在基础上的振动荷载,宜按下列公式计算:

式中:F vx ——横向振动荷载(N);
F vy ——纵向振动荷载(N);
F vz ——竖向振动荷载(N);
m i ——作用在基础i点上的机器转子质量(kg);
G——衡量转子平衡品质等级的参数(m/s),一般情况下可取6.3×10 -3 m/s;
w 0 ——机器设计额定运转速度时的角速度(rad/s);
w——计算振动荷载转速时的角速度(rad/s)。
条文说明
4.1.1现行国家标准《动力机器基础设计规范》GB50040规定,汽轮发电机基础动力计算时,竖向振动荷载按0.2倍转子重量采用。多年工程实践证明,该值作为控制设计值,与容许振动线位移和阻尼比的取值相配套,能有效控制汽轮发电机基础的振动,保证汽轮发电机的安全运行。本条采用转子平衡品质等级的方法确定振动荷载值,主要基于以下两点:一是平衡品质等级方法以圆频率和偏心距来定义振动荷载,物理概念明确,有较严格的理论基础;二是目前机械行业用国家标准和ISO标准均采用了平衡品质等级方法,主要汽轮发电机制造厂家的企业标准也基本采用该方法,汽轮发电机基础动力设计采用平衡品质等级方法能与国际接轨,同时也与制造厂家的技术要求相衔接。 现行国家标准《机械振动恒态(刚性)转子平衡品质要求第1部分:规范与平衡允差的检验》GB/T9239.1/ISO1940-1推荐汽轮发电机转子平衡品质等级取2.5×10-3m/s(G2.5)。当汽轮发电机额定转速为50Hz、平衡品质等级取2.5×10-3m/s(G2.5)时,竖向扰力值为: 
当转子平衡品质等级取6.3×10-3m/s(G6.3)时,竖向扰力值为0.2mig,与现行国家标准《动力机器基础设计规范》GB50040规定一致,与其他相关设计标准也是协调的。汽轮发电机组的轴系由数段转子连接而成,考虑装配误差,轴系的平衡品质等级比单段转子降低一级是必要的。 作用在基础上的振动荷载纵向(轴向)值取竖向和横向的1/2,延续了现行国家标准《动力机器基础设计规范》GB50040的规定。根据现行国家标准《机械振动在非旋转部件上测量评价机器的振动第2部分:50MW以上,额定转速1500r/min、1800r/min、3000r/min、3600r/min陆地安装的汽轮机和发电机》GB/T6075.2/ISO10816-2的规定,通常不进行汽轮机和发电机主轴承的轴向振动测量,但在评价推力轴承轴向振动时,其振动烈度可以采用径向振动相同的准则,对于没有轴向约束的其他轴承,其轴向振动没有严格的要求,因此在实际设计中可以根据轴承类型区别对待。 本标准中的重型燃气轮机适用于安装在陆地基础上,用于发电和机械驱动的重型燃气轮机。目前国家标准中尚没有重型燃气轮机振动荷载取值的相关规定。国内机器制造行业分别引进了德国西门子公司、美国GE公司和日本三菱公司的重型燃气轮机技术。西门子公司和GE公司企业标准中,转子振动荷载推荐采用4.0×10-3m/s(G4.0)平衡品质等级,三菱公司推荐采用5.0×10-3m/s(G5.0)平衡品质等级。鉴于国内重型燃气轮机的制造和使用经验还有待进一步丰富,本标准规定重型燃气轮机的振动荷载采用6.3×10-3m/s(G6.3)是偏于安全的。
4.1.2 汽轮发电机组和重型燃气轮机基础动力计算时,当机器转速在额定转速的0.95倍~1.05倍范围内时,振动荷载宜取为固定值。
条文说明
4.1.2汽轮发电机基础动力计算时,振动荷载的大小随着机器转速变化而变化,当机器运行频率处于机器额定转速的0.95倍~1.05倍范围内时,振动荷载误差不超过10%,此时可将扰力设为固定值,不会对计算结果产生太大影响,但会给基础的设计带来很大的便利。
4.1.3 汽轮发电机组和重型燃气轮机基础动力计算时,振动荷载的作用位置宜取与机组的轴承支座中心线一致,振动荷载作用点的高度宜取基础顶面到转子中心线的距离。
条文说明
4.1.3按照现行国家标准《动力机器基础设计规范》GB50040的规定,振动荷载的作用位置在基础顶面或纵、横梁的形心,这主要是限于当时计算条件的制约(杆系计算模型)。根据相关研究资料,振动荷载作用点高度的不同,结构的动力响应是有所差别的,一般在10%左右。
4.2 旋转式压缩机
4.2 旋转式压缩机
4.2.1 旋转式压缩机的振动荷载,宜按下列公式计算:

式中:m——机器转子的质量(kg);
n——机器的工作转速(r/min);
g——重力加速度(m/s 2 )。
当旋转式压缩机与驱动机之间有变速箱时,机器转子的质量应计入变速箱内对应相同转速的齿轮、转轴的质量。
4.2.2 振动荷载作用点的位置,应根据机器转子的质量分布状况确定。
条文说明
4.2.1、4.2.2本条提出的振动荷载计算公式,是根据转子的工作情况求出其近似值,按可能产生的最大扰力值作为设计振动荷载值。在确定振动荷载时,按照绕定点作圆周运动的质点的惯性力公式: 
式中:Fvr——机器的径向计算扰力(N); m——转子的质量(kg); e——转子的计算偏心距(m); w——转子的旋转角速度(rad/s)。 力求通过机械制造行业的有关标准找出偏心距e值后,再用上式计算出扰力。 可按美国石油学会标准《轴流、离心式压缩机和膨胀机-压缩机》API617,其规定的峰一峰振幅限值A1: 
即为本标准中的公式(4.2.1-1)。该公式经过多年设计和实践验证,与实测值比较接近。 美国混凝土协会标准《动力设备基础》ACI351.3R-04提供了多种扰力计算方法,其中也可按API-617给出的公式F0=
,与本标准中扰力计算方法相同,区别是ACI的公式中取了安全系数Sf=2。 旋转式压缩机的工作转速大多高于3000r/min,不会低于1000r/min。对于转速1000r/min~3000r/min的旋转式压缩机,根据本节式(4.2.1-1)~式(4.2.1-3)计算出的结果与本标准4.1节或4.4节的相关公式结果非常接近,故本标准取消了现行国家标准《动力机器基础设计规范》GB50040第6章中仅适用于转速大于3000r/min的规定。但当旋转式压缩机由电机驱动时,由电机产生的振动荷载仍应按本标准4.4节的相关规定计算。
4.3 通风机、鼓风机、离心泵、电动机
4.3 通风机、鼓风机、离心泵、电动机
4.3.1 通风机、鼓风机、离心泵、电动机的振动荷载,宜按下列公式计算:

式中:m——旋转部件的总质量(kg);
e——转子质心与转轴几何中心的当量偏心距(m);
w——转子转动角速度(rad/s)。
条文说明
4.3.1通风机、鼓风机、离心泵、电动机属旋转机械,其基本构成包括电机转子、支撑转子的轴承定子或壳体、联轴器、密封等,一般通过转子旋转完成能量形式转换任务,转子是旋转机械最核心部件,也是振动激振能量主要输入部位。 1引起风机、泵等振动的因素主要集中在设计、制造、运行三方面,这些影响因素多数具有很强的随机性(如机器零件松动、滚动轴承损坏、油膜涡动和油膜振荡、摩擦、不稳定工况或气流脉动引起振动等),难以计算或是设计环节应通过设计结构消除因素(如离心泵转子的轴向力及压水室引起的叶轮的径向力引起的振动力,电机磁场作用产生的电磁激振力引起的自激振动时的荷载)。而转子不平衡可归结为转子的质量偏心始终存在,数值可以进行计算,因此本标准中回转机器振动源主要关注转子不平衡引起的受迫振动荷载。 2单圆盘转子的不平衡振动,见图3。 设转子偏心质量集中于C,考虑阻尼的作用,其轴心O′的运动微分方程如下: 
图3 单圆盘转子的不平衡振动 式中:m——转子的质量; e——当量偏心距; w——转子角速度。 从运动方程可知,转子x、y方向的振动为幅值相同、相位差90°的简谐振动,轴心轨迹圆形,但因转子轴各向弯曲刚度差异及支承刚度各向的不同,实际转子系统并非完全线性振动系统,沿x、y方向的振动幅值不同,相位差也不是90°,轴心轨迹为椭圆。 此外,由转子运动微分方程可知,转子不平衡最大激振力为F=mew2,其中偏心距e按转子不平衡等级,根据G=ew确定。其中,G为平衡品质等级,一般不低于6.3;e为转子当量质量偏心距;w为角速度,w=2πn/60;n为转子最高工作转速。
4.3.2 旋转部件当量偏心距,宜按下式计算:

条文说明
4.3.2通风机、鼓风机、离心泵、电动机转子一般为刚性转子。实践中,平衡等级高要求时为G2级,低要求时为G6.3级。工程中,当机器技术资料缺乏时,假设转子的平衡品质等级为6.3mm/s(即6.3=ew),根据机器运行速度近似估算转子质量偏心距e(mm),机器的转子质量可以通过称重或通过转子长度、回转半径、叶片数、材质特性等估算获得,过去有些资料从机器设备重量近似估算,显得比较粗糙,实践证明难以操作。 由于转子偏心质量集中点与几何中心的距离很近,估算中可近似认为不平衡力振动扰力作用于转子几何中心,实践证明,工程中对计算基础的振动荷载影响可忽略不计。
4.4 离心机
4.4 离心机
4.4.1 离心机的振动荷载,宜按下列公式计算:

式中:F vx ——垂直于离心机轴向水平x方向的振动荷载(N);
F vy ——垂直于离心机轴向水平y方向的振动荷载(N);
F vz ——离心机轴向的振动荷载(N);
m——离心机旋转部件总质量(kg),可取转鼓体的质量及转鼓内物料的质量之和;
e——离心机旋转部件总质量对离心机轴心的当量偏心距(m);
w n ——离心机的工作角速度(rad/s);
n——离心机工作转速(r/min)。
条文说明
4.4.1离心机是作为一种分离固-液相、液-液相、液-液-固相混合物的化工机械,广泛应用于多种生产过程。离心机不同于离心泵、离心压缩机、离心风机等高速回转机械,除了离心机转鼓质量不均匀、尺寸误差等因素引起的质量偏心外,它在生产中处理不均匀的介质(液体或气体)时,还会因生产过程中物料性能的差异及操作上的因素譬如布料不均引起回转件质量偏心,致使离心机产生偏心离心力,传递到基础上,使得基础承受振动荷载。 立式或卧式离心机,一般做成悬臂结构,这种布置形式的离心机在工作时很容易产生由偏心离心力引起的振动荷载Fv,振动荷载的方向在不断变化,但始终沿半径向外,其大小由下式决定: 
对于卧式离心机,垂直于离心机轴向的横向振动荷载Fvx和垂直于离心机轴向的竖向振动荷载Fvz大小等于上式中计算的振动荷载Fv,离心机的轴向振动荷载Fvy较小,一般根据经验取0.5倍振动荷载Fv,即: 
对于立式离心机,垂直于离心机轴向的水平X方向振动荷载Fvx和垂直于离心机轴向的水平Y方向振动荷载Fvy大小等于振动荷载Fv,离心机的轴向振动荷载Fvz较小,一般根据经验取振动荷载Fv的0.5倍,即: 

4.4.2 离心机旋转部件总质量对于离心机轴心的当量偏心距e,宜按表4.4.2确定。
表4.4.2 离心机旋转部件总质量对于离心机轴心的当量偏心距e

注:表中e的取值已计入轴承、联轴器等对于振动荷载的影响。
条文说明
4.4.2离心机属旋转机械,其基本构成包括离心机转鼓、支撑转鼓的轴承室或壳体、联轴器或槽轮、轴承等;一般通过转鼓旋转完成能量形式转换实现任务,转鼓是离心机最核心部件,也是振动激振能量最先输入部位。 离心机旋转部件总质量一般包括:转鼓体(包括主轴、齿轮箱等)、转鼓内物料、联轴器或槽轮(皮带轮)、轴承等,为了计算方便和取值统一,旋转部件总质量规定直接取转鼓体的质量加上转鼓内物料质量,轴承、联轴器等对于振动荷载的影响综合到偏心距e取值中考虑,不再计入。 离心机旋转部件总质量对于旋转轴心的当量偏心距e的确定: 1转速高低不同的离心机产品标准要求转鼓的动平衡精度等级不同,中低速离心机产品标准要求转鼓的动平衡精度等级不低于G6.3级,对于高速分离机如管式分离机要求转鼓的动平衡精度等级不低于G2.5级; 2长期以来,我国工程技术人员在计算动载荷时,偏心距e的取值一直沿用苏联的资料,即对过滤式离心机转鼓,取偏心距e等于转鼓直径的1/1000,但考虑到它只是一种简化的理论计算,过滤式离心机品种多样,结构不一,处理物料复杂,即使是同一种形式的离心机也在不同场合使用,这就决定了离心机在实际使用过程中可能出现转鼓偏心距e小于转鼓直径的1/1000情况,但大于1/1000情况也是经常有的; 3工程技术人员在确定离心机工作时的动载荷方面做了大量实验工作,如利用GK1200卧式刮刀离心机分离粗蒽做过试验,结果为实际最大偏心距等于0.3mm,折合离心机转鼓直径的0.25/1000,也就是减少到计算值的1/4,又利用HY800单级活塞推料离心机做过试验,分离硫铵时实际最大偏心距达到7.5mm,折合离心机转鼓直径的9.4/1000,即为计算值的9.4倍。因此,在离心机的设计计算中,对于离心机偏心距e取转鼓直径的1/1000,还不能反映出离心机转鼓质量不平衡的状况,偏心距e的计算应该按离心机的不同转速和不同使用场合分别对待,表4.4.2中偏心距e的确定是根据大多数机器在运转条件下的试验数据获得的。
4.4.3 在腐蚀环境中工作的离心机,其旋转部件总质量对轴心的当量偏心距e,应按本标准表4.4.2的数值乘以介质系数,介质系数可取1.1~1.2,工作转速较低时取较小值,工作转速较高时取较大值。
条文说明
4.4.3考虑到离心机在化工、冶金、矿山、环保等许多行业应用,且处理的多为腐蚀性物料,在腐蚀环境中工作的离心机,转鼓、主轴等转动部件会有不同程度的腐蚀,且这种腐蚀常常是不均匀的,因此,在考虑离心机的振动荷载时,其旋转部件总质量对轴心的当量偏心距e,应按表4.4.2的数值乘以介质系数,长期经验表明,介质系数可取1.1~1.2,工作转速较低时取小值,工作转速较高时取大值。
5 往复式机器
5.1 往复式压缩机、往复泵
5 往复式机器
5.1 往复式压缩机、往复泵
5.1.1 往复式压缩机、往复泵的振动荷载由旋转运动不平衡质量惯性力和往复运动质量惯性力组成;旋转运动不平衡质量惯性力仅有一谐波,往复运动质量惯性力可只计入一谐波和二谐波,更高谐波可忽略不计。
5.1.2 往复式压缩机、往复泵的振动荷载,宜按下列方法计算:
1 振动荷载坐标系(图5.1.2-1),应按下列规定采用:
1)坐标原点应取机器主轴上各气缸布置中心C;
2)Y轴应取机器主轴方向,Z轴正向应取向上方向,X轴正向应取向右方向,曲轴角速度w正向应取绕Y轴顺时针方向;
3)各扰力、扰力矩方向应符合右手定则。

图5.1.2-1 振动荷载坐标系
1-十字头、活塞、活塞杆;2-连杆;3-曲柄;4-主轴
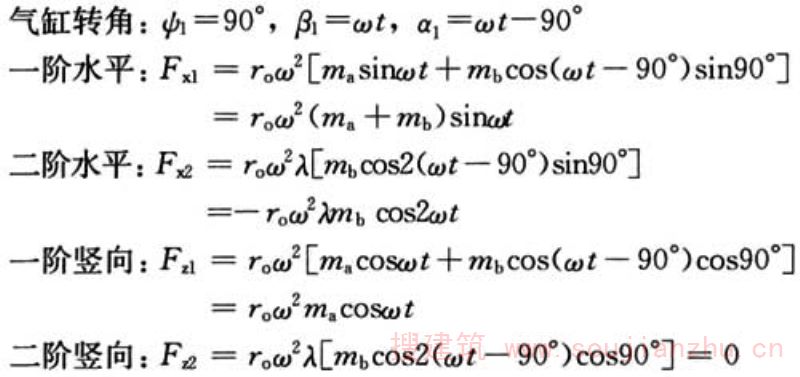
2 往复式机器的一谐波和二谐波振动产生的扰力和扰力矩,宜按下列公式计算:

式中:F vx1 ——一谐波的水平扰力(N);
F vx2 ——二谐波的水平扰力(N);
F vz1 ——一谐波的竖向扰力(N);
F vz2 ——二谐波的竖向扰力(N);
M vz1 ——一谐波的扭转力矩(N·m);
M vz2 ——二谐波的扭转力矩(N·m);
M vx1 ——一谐波的回转力矩(N·m);
M vx2 ——二谐波的回转力矩(N·m);
m ai ——旋转不平衡质量,可取第i列曲柄-连杆-活塞机构各部分换算到曲柄销的质量(kg),宜按本标准附录A的规定计算;
m bi ——往复运动质量,可取第i列曲柄-连杆-活塞机构各部分换算到十字头的质量(kg),宜按本标准附录A的规定计算;
r o ——曲柄半径(m);
l o ——连杆长度(m);
λ——结构比,λ=r o /l o ;
w——机器主轴的旋转角速度(rad/s);
i——气缸列数;
Y i ——第i列气缸中心线距坐标原点C的距离(m);
α i 、β i 、ψ i ——运动转角(图5.1.2-2)。

图5.1.2-2 转角示意图
1-十字头、活塞、活塞杆;2-连杆;3-曲柄
β i -Z轴正向与第i列曲柄的夹角;
ψ i -Z轴正向与第i列气缸中心线的夹角;
α i -第i列气缸中心线与曲柄的夹角,α i =β i —ψ i 。
注:转角以顺时针为正。
3 常用往复式机器的振动荷载,宜按本标准附录B的规定确定。
条文说明
5.1.1、5.1.2往复式机器振动荷载的扰力是由曲柄、连杆等做旋转运动产生的不平衡质量惯性力(即离心力)和由连杆、十字头、活塞杆、活塞等做往复运动产生的质量惯性力组成。各列气缸分扰力向主轴上气缸布置中心平移时形成扰力矩。 单气缸往复式机器的旋转不平衡质量ma引起扰力Fa,其方向沿曲柄向外,计算通式如下: 
单气缸往复式机器的往复运动质量mb引起扰力Fb,其方向沿气缸中心线指向气缸外侧(气缸盖一侧),计算通式如下: 
式(22)由两项组成,第一项为一谐波扰力,第二项为二谐波扰力。该式推导时采用了牛顿二项式定理,在保证足够精确度的前提下,结果中仅保留了一、二谐波,忽略了更高谐波。 将式(21)、式(22)得出的扰力分别沿X、Z轴分解,即可得到单气缸往复式机器的水平及竖向扰力。把每个气缸的扰力叠加进而得到多气缸往复式机器的水平及竖向扰力,即本标准正文中的式(5.1.2-1)~式(5.1.2-4)。 扰力和扰力矩的大小与机器转速、曲柄-连杆-活塞机构等运动部件的质量、气缸几何分布、曲柄与连杆的长度等因素有关。若机器制造厂不能提供扰力数据,则应提供机器的转速、曲柄连杆数量、尺寸、平面布置图和曲柄错角,以及各运动部件的质量等资料,由设计人员按照本节及本标准附录A的公式计算扰力和扰力矩。 往复式机器的扰力主要是由各列气缸往复运动质量产生,旋转运动产生的离心力相对较小。不同类型的机器的扰力(矩)特点是不同的,依不同的气缸方向而定,立式机器以Fvz、Mvx为主,卧式机器以Fvx、Mvz为主,对称平衡型机器由于各列气缸水平扰力相互抵消,仅余下扭转力矩Mvz,L、V、W型机器以Fvx、Fvz为主。 驱动机转子旋转产生的不平衡惯性力相对于往复式机器曲柄-连杆-活塞机构运动产生的一、二谐扰力(矩)而言是很小的,为简化计算,可以忽略驱动机的扰力。 如果在设计时需要考虑倾覆力矩Mvy,应由机器制造厂提供该力矩的数值及频率。 对于某一类型的往复式机器,可分别推导出各气缸的转角βi、ψi、αi,进而根据本节式(5.1.2-1)~式(5.1.2-8)计算出各向的一、二谐扰力(矩)。下面是单列卧式机器的计算示例:其布置简图见本标准附录B的表B.0.1,气缸列数i=1,运动质量为ma1、mb1,此处对于单列机器可简化为ma、mb。 
单列卧式机器无扰力矩。 附录A中曲柄成对设置的往复式机器的旋转不平衡质量ma的计算假定如下: 1)以单个曲柄作为基本计算单元。 2)将单个曲柄中所有重心不与该曲柄销重心重合的旋转不平衡质量都按距离等比换算到曲柄销重心处。 此处,虽然曲柄臂和平衡质量沿轴向的间距改变本不该影响原应沿径向计算的旋转不平衡质量数值,但计算中这样做可以将这两项质量沿轴向的作用力臂得以体现,从而对应得出正确的扰力矩。且因为曲柄是成对设置的,故单个曲柄旋转不平衡质量引起的水平、竖向扰力最终叠加后都会成对相互抵消,仍能保证得出正确的扰力结果。 针对附录A图A.0.1-1(b)中所示的曲柄形式,其中间曲柄臂对振动荷载的影响一般很小,除少数质量及倾角较大者外,均可略去不计。为了简化计算,原式(A.0.1-2)可转化为式(23)。 
5.2 往复式发动机
5.2 往复式发动机
5.2.1 往复式发动机的振动荷载,宜按下列规定确定:
1 一般情况下,宜取工作转速最大值时的扰力和扰力矩;当某一转速的扰力可能使基础产生共振时,应取该转速时的扰力值;
2 一谐扰力或扰力矩、二谐扰力或扰力矩应按本标准附录B表B.0.2的规定确定;
3 当一谐、二谐扰力或扰力矩采用平衡装置时,宜取本标准附录B表B.0.2的理论计算值减去被平衡装置已平衡部分的扰力或扰力矩;
4 当扰力或扰力矩的理论计算值为0或可忽略不计时,宜按同类机型的单曲柄发动机取平衡块容许质量误差或连杆与活塞容许质量误差平方和开方计算一谐扰力值;
5 制造厂提供的倾覆力矩简谐分量,当发动机不少于3缸时,不宜少于3个谐次,当发动机不少于8缸时,宜在主谐次与基频之间取值。
条文说明
5.2.1本条对往复式发动机的振动荷载应包含的内容及其要求作出了相应规定。 往复式发动机亦称内燃机,包括柴油机和汽油机,与往复式压缩机和往复泵一样,其振动荷载是由曲柄连杆机构产生的。通过对曲柄连杆机构的运动学、动力学分析,建立了一套理论计算公式。由于扰力矩是扰力平衡后产生的力偶,因此同一谐次的扰力与扰力矩不同时存在。通过设计计算,得出一谐、二谐扰力或扰力矩理论值、未平衡的倾覆力矩各简谐分量理论值,可以将这些振动荷载提供作基础设计。但机器设计是将旋转运动扰力与往复运动扰力分开,而基础动力计算则需要将二者合并,然后分一谐扰力、二谐扰力的竖向分量Pvz和水平向分量Pvx,或一谐扰力矩、二谐扰力矩分回转力矩Mx和扭转力矩Mz分别提出,方可计算基础的动力响应。绕旋转轴y轴作用的倾覆力矩由与功率对应的静力矩和未平衡的动力矩简谐分量My构成,后者是作用于基础的外扰力,需与相对应的谐次匹配计算基础的振动响应。往复式发动机的振动荷载还具有以下特点: 1扰力具有变频率的特征,发动机是变转速的原动力设备,其扰力及其对应扰频率都随转速增大而增大,因此要求提供的扰力应涵盖工作转速取最大值,通常可取最高转速时的扰力值。但往复式发动机的转速、功率覆盖范围很宽,有些转速所对应的某项扰力或扰力矩未必最大,但可能激发基础的共振,因此需要取该项扰力或扰力矩校核基础的振动是否超标。当提供的扰力为对应最高转速时,其他转速时的一谐扰力和二谐扰力可乘以转速比的平方予以折减。倾覆力矩的简谐分量则需要制造厂家另行提供。当发动机与发电机组配套,以某一常定转速工作时,振动荷载则应取对应该转速的扰力。 2往复式发动机各气缸的特性是相同的,各个曲柄的换算质量mr和各列气缸的往复运动质量ms也是相同的。因此,扰力和扰力矩公式可以比往复式压缩机的简化一些,质量误差好控制得多,实际控制也严格得多。如压缩机的连杆、活塞质量误差限值一般为5%,而发动机采用称重匹配后远远小于此值;不少制造厂采用平衡装置平衡理论公式计算未能平衡的一谐、二谐扰力或扰力矩,这就使往复式发动机的扰力平衡比往复式压缩机好得多。因此,很多机型惯性力部分的扰力或扰力矩在理论上基本、甚至完全平衡掉了,仅剩运动部件很小的质量误差产生的扰力,在振动荷载中降为次要地位。而倾覆力矩未平衡的简谐分量和理论上虽已平衡而实际上并未完全平衡的简谐分量,就可能上升为最重要的振动荷载。 3倾覆力矩亦称反扭矩,是通过连杆作用于曲轴的扭矩反作用力矩,它通过机身和轴承座直接传给发动机基础,是激发基础振动的外扰力。倾覆力矩由气缸内燃气压力产生的扭矩和曲柄连杆机构的往复惯性力产生的扭矩两部分合成,二者分别计算。通常情况下,气缸内燃气压力产生的倾覆力矩起主要作用,对发动机基础设计而言,往复惯性力部分产生的倾覆力矩可以不予计算。在扭矩或倾覆力矩中,平均值对应发动机的扭矩和功率标示值,脉动值即为倾覆力矩的各简谐分量,二者均在发动机设计时作了理论上的计算,并按单缸气体压力曲线计算后按气缸爆发的时间顺序叠加。多缸发动机叠加的结果,倾覆力矩较多谐次的简谐分量就得到了平衡。当发动机各缸的点火时间间隔相同时,4冲程发动机倾覆力矩的基频为1/2谐波、主谐次对应缸数的1/2;2冲程发动机倾覆力矩的基频为一谐波、主谐次对应缸数。理论上,低于主谐次的倾覆力矩均已平衡了,但实际上由于各气缸的燃气压力与设计计算中采用的理论曲线会存在一定程度的偏差,这就使多缸发动机自基频起至主谐次之间的倾覆力矩仍然存在,并起着重要的振动荷载作用。这在8缸和8缸以上转速较高的发动机上体现甚为明显,振动计算和发动机隔振基础实测结果都说明了这一点。因此本条第5款提出了需要发动机制造厂提供该项振动荷载及相应简谐分量的谐次要求。当发动机与测功器或工作机器设置在各自的刚性基础上时,还应计入倾覆力矩的静力矩对各自基础的作用。设计无基础发动机组时,倾覆力矩有可能激发公共底座的扭转和扭振。
5.2.2 扰力和扰力矩的一谐频率应取对应发动机的工作转速,其余各谐频率应取对应一谐波频率的倍数。四冲程发动机的倾覆力矩简谐分量基频应取对应1/2谐次,主谐次应取对应缸数的1/2;二冲程发动机的倾覆力矩简谐分量基频对应的一谐次,主谐次应取对应缸数。
5.2.3 扰力和扰力矩作用点的位置,宜取曲轴中心。
5.2.4 扰力和扰力矩的相位差,宜按下列规定采用:
1 一谐扰力和扰力矩的竖向与水平向相位差宜取90°;
2 二谐扰力和扰力矩的相位:气缸中心线无夹角或夹角为90°时,宜取同相位;与一谐波叠加时,宜取同相位;其他夹角时,宜按实际情况确定;
3 多谐倾覆力矩简谐分量产生的振动值叠加、扰力和扰力矩与倾覆力矩简谐分量产生的振动值叠加时,宜按平方和开方取值。
条文说明
5.2.2~5.2.4 此3条对各谐次扰力和扰力矩的频率、作用位置和相位作出规定。
6 冲击式机器
6.1 锻锤
6 冲击式机器
6.1 锻 锤
6.1.1 锻锤的振动荷载,宜按下式计算:

式中:F v ——锻锤的振动荷载(N);
△t——锤击作用时间,一般情况下可取0.001s;
m 1 ——打击后与砧座一起运动部件的总质量(kg);
v 1 ——打击后与砧座一起运动部件的初速度(m/s)。
6.1.2 锻锤工作时,下部质量产生的初速度,宜按下式计算:

式中:m 0 ——锤头质量(kg);
v 0 ——锤头的锤击速度(m/s);
e n ——撞击回弹系数,宜按表6.1.2采用。
表6.1.2 锻锤工作时撞击回弹系数

6.1.3 锻锤的锤击速度,宜按下列规定计算:
1 单作用锤的锤击速度,宜按下式计算:

式中:h 0 ——锤头的下落高度(m);
g——重力加速度(m/s 2 );
η 1 ——阻尼影响的修正系数,可取0.9。
2 双作用锤的锤击速度,宜按下式计算:

式中:h 0 ——锤的提升高度(m);
S——活塞面积(m 2 );
p——作用于活塞的平均压力(N/m 2 );
η 2 ——修正系数,可取0.65。
3 当仅给出锤击最大能量E 0 时,锤击速度宜按下式计算:

式中:E 0 ——锤击最大能量(kJ)。
条文说明
6.1.1~6.1.3锻锤的振动荷载是指锤头打击砧座的冲击力。单作用锤在下落阶段为自由下落,双作用锤在下落阶段是由蒸汽或压缩空气推动下落。 锤基初速度的计算是根据动量守恒定理: 
回弹系数en为两物体碰撞后的相对速度v1+v′0与碰撞前相对速度v0的比值,与工件材料有关。v′0是m0的回弹速度(m/s),其方向与v1相反。 对于模锻锤,m1包括机架、砧座和基础的总质量。 对于自由锻,隔振时m1包括机架、砧座和隔振器以上基础块的总质量,不隔振时m1包括砧座质量。
6.2 压力机
6.2 压力机
条文说明
本节适用于热模锻压力机、通用机械压力机、液压压力机和螺旋压力机振动荷载的确定。压力机种类繁多,按工件成型温度可分为冷、热两类;按工件成型工艺可分为延展变形(挤压用于热工件、拉伸用于冷工件)、冲裁(切断、冲孔)和旋转成型;按压力机工作机械原理可分为机械压力机、液压压力机和螺旋压力机三类。为便于描述,本标准按振动荷载作用特性将压力机分为四类:热模锻压力机(或称曲柄连杆压力机)、通用机械压力机(包括多连杆压力机、偏心连杆压力机、伺服压力机)、液压压力机和螺旋压力机(包括电动螺旋压力机、摩擦螺旋压力机、离合式螺旋压力机)。 这四类压力机的振动荷载特性在工作的不同阶段相差较大。在工作阶段和起始阶段表现为脉冲振动,在空载运行阶段表现为低频周期振动。本标准给出的是各阶段起控制作用的振动荷载。
6.2.1 热模锻压力机起始阶段和机构运行阶段的振动荷载,宜按下列规定确定(图6.2.1):
1 起始阶段的振动荷载,宜按下列规定确定:

图6.2.1 热模锻压力机荷载示意图
F vz -竖向振动荷载;F vx -水平振动荷载;M vy -振动力矩
1)起始阶段竖向振动荷载,宜按表6.2.1-1确定。
表6.2.1-1 竖向振动荷载

2)起始阶段水平振动荷载,宜按表6.2.1-2确定。
表6.2.1-2 水平振动荷载

3)振动力矩,宜按表6.2.1-3确定。
表6.2.1-3 振动力矩

2 运行阶段的竖向振动荷载,宜按表6.2.1-4确定。
表6.2.1-4 运行阶段竖向振动荷载

条文说明
6.2.1热模锻压力机振动荷载较大且振动特性随工作过程不断变化,振动荷载曲线见图4。 图4热模锻压力机振动荷载曲线 一些大型热模锻机械压力机在起始阶段的水平振动荷载较大,作用点高,加上作用力矩较大,工作时容易引起压力机摇摆晃动,设计时应特别关注。 本标准给出的是公称压力在10000kN~125000kN热模锻压力机的振动荷载值。10000kN以下可以外差取值,125000kN以上由于统计数量较少,应由设备制造厂提供上述荷载资料。
6.2.2 通用机械压力机冲裁阶段和机构运行阶段竖向振动荷载(图6.2.2),宜按下列规定确定:
1 冲裁阶段竖向振动荷载,宜按表6.2.2-1取值。

图6.2.2 通用机械压力机荷载示意图
表6.2.2-1 冲裁阶段竖向振动荷载

2 运行阶段竖向振动荷载,宜按表6.2.2-2确定。
表6.2.2-2 运行阶段竖向振动荷载

条文说明
6.2.2通用机械压力机主要是指闭式压力机,由于此类压力机工作台面较大,多连杆运动方向在压机平面内且对称布置,故起始阶段基本不产生振动力矩。本标准给出的竖向振动荷载是用作落料、冲裁工艺时的值,对于用作薄板成型工艺时,其竖向振动荷载会更小,对设计来说是安全的。 对于开式压力机须考虑振动力矩和水平振动荷载,但由于目前已较少生产、资料不多,振动荷载应由厂商提供。
6.2.3 液压压力机锻压阶段竖向振动荷载,宜按表6.2.3取值。
表6.2.3 液压压力机振动荷载

条文说明
6.2.3液压压力机工作的起始阶段和空载运行阶段工作均比较平稳,速度相对较慢,因此不考虑此阶段的振动荷载。 对于落料、冲裁工艺,液压压力机产生振动荷载的原理与通用机械压力机相似。由于液压压力机自重较通用机械压力机小,因此振动荷载较小,也表现为脉冲特性。 一些超大型的水压机和油压机由于数量极少,设备需专门定制设计,应由设备厂商提供完整的荷载资料,本标准不作规定。
6.2.4 螺旋压力机锻压阶段的竖向振动荷载F vz 、水平振动扭矩M z (图6.2.4),宜按表6.2.4取值。

图6.2.4 螺旋压力机荷载示意图
表6.2.4 螺旋压力机振动荷载

条文说明
6.2.4螺旋压力机主要靠横置于顶部的飞轮旋转势能通过摩擦或离合带动螺杆形成向下的振动荷载,振动荷载的最大值发生在锻压工件很难变形时,极端情况发生在模具打靠时。飞轮旋转势能在此时又产生水平振动力矩,表现为脉冲特性。
7 冶金机械
7.1 冶炼机械
7 冶金机械
7.1 冶炼机械
7.1.1 卷筒驱动装置的振动荷载,宜按下式计算:

式中:F v ——卷筒驱动装置振动荷载(N);
m——卷筒等旋转部件的总质量(kg);
e——卷筒等旋转部件的当量偏心距(m);
w——卷筒的工作角速度(rad/s)。
条文说明
7.1.1机器离心力的方向,可沿卷筒回转中心的360°全周方向。按其最不利作用,机器的扰力主要考虑作用在卷筒回转中心的铅垂平面和水平面内,并在正反两个方向交替。
7.1.2 振动荷载的作用方向,可取物料所偏置方向。水渣转鼓装置的振动荷载,宜按下式计算:

式中:F vx ——作用在转鼓中心处的横向振动荷载(N);
m——转鼓等旋转部件的总质量(kg);
e——转鼓等旋转部件的当量偏心距(m);
w——转鼓的工作角速度(rad/s);
m r ——转鼓内物料的总质量(kg)。
条文说明
7.1.2确定振动荷载时,设备制造厂需提供转鼓回转中心相对于设备基础的标高等参数资料。 水平面的扰力同时会对基础产生正反两个方向的倾覆力矩。 作用在转鼓中心处的横向振动荷载,方向指向物料所偏置侧。
7.1.3 转炉炉体的振动荷载,宜按下列规定确定:
1 钢水激振所形成的振动荷载,宜按下式计算:

式中:F v ——转炉吹氧工作时钢水激振所形成的振动荷载(N),作用在沿耳轴标高处水平面任意方向;
k——激振力系数,可取0.15~0.40;
m——转炉及耐材、辅料、铁水等的总质量(kg)。
2 转炉切渣时的振动荷载,宜按下式计算:

式中:F vx ——转炉切渣时的振动荷载(N),从转炉操作侧指向炉体中心;
L——转炉最大切渣弦长(m);
τ——转炉炉口切渣弦上的切渣振动荷载,可取10417N/m。
条文说明
7.1.3转炉炉体的振动荷载包括装入废钢时、刮(顶)渣时、倾动过程加速和减速等时刻产生的冲击荷载,以及在吹炼过程中,由于气流对钢水喷射作用激振引起的炉体振动产生的脉冲冲击,其中较大的是钢水激振力和顶渣荷载。 激振力系数k应按转炉底吹气量大小、钢水熔池深度大小、转炉底吹口布置是否对称、是否采用喷粉工艺、转炉容量大小等进行综合考虑确定,可取0.15~0.40。其中,转炉底吹气量大时、转炉钢水熔池深度越深时、转炉底吹口布置不对称时、应用喷粉工艺时、采用小容量转炉时趋向于取大值,反之则取小值;选用激振力系数时,应综合考虑上述各影响因素。 在基础设计中,激振力分配到驱动端承受的力,根据激振力方向不同,在0.5Fv~Fv之间变化,当激振力作用方向为耳轴轴向时,激振力分配到驱动端承受的力为Fv,当激振力垂直于耳轴轴向作用时,激振力分配到驱动端承受的力为0.5Fv。激振力分配到游动端承受的力,根据激振力方向不同,在0~0.5Fv之间变化,当激振力作用方向为耳轴轴向时,激振力分配到游动端承受的力为0,当激振力垂直于耳轴轴向作用时,激振力分配到游动端承受的力为0.5Fv。 切渣振动荷载以水平力的形式作用到转炉炉体托圈耳轴轴承座的基础上。
7.1.4 转炉倾动装置的振动荷载,宜按下列公式计算:

式中:M v1 ——转炉倾动装置在转炉正常冶炼状态时的振动力矩(N·m);
M max ——最大计算振动力矩(N·m);
M v2 ——转炉倾动装置事故时的振动力矩(N·m);
k 1 ——实际倾动力矩与计算倾动力矩之间的误差系数,可取1.2;
k 2 ——转炉启动、制动等造成的动负荷系数,可取1.4~2.0,转炉的启制动时间短时取较小值,启制动时间长时取较大值;
k 3 ——电机的最大过载倍数,不宜超过3.0;
η——倾动装置传动机械的总效率;
P——转炉驱动电机的额定功率(kW);
n——电机额定转速所对应的转炉转速(r/min)。
条文说明
7.1.4误差系数k1一般可取1.2,计算倾动力矩时以转炉质量和质心等参数精确计算为依据时也可取1.5。 转炉的启动、制动等的动负荷系数k2,启制动时间短时取小值,启制动时间长时取大值。 电机最大过载倍数,应由电机制造厂提供,不宜超过3.0。
7.1.5 钢包回转台的振动荷载,宜按下列公式计算:

式中:M v1 ——钢包取放时,回转台一侧加载所致的振动力矩(N·m);
M v2 ——钢包回转台启动、制动时的振动力矩(N·m);
m——钢包满载时的总质量(kg);
R——钢包回转台的回转半径(m);
k 1 ——突加荷载系数,基础锚固采用螺栓时可取1.3;
k 2 ——电机的最大启动力矩倍数,不宜超过3.0;
η——钢包回转台传动机械的总效率;
P——钢包回转台驱动电机的额定功率(kW);
n——电机额定转速所对应的钢包回转台转速(r/min)。
条文说明
7.1.5启动或制动时的回转转矩,以钢水不剧烈晃动所限定的加速度进行计算,但一般不会超过以式(7.1.5-1)算得的最大启动力矩。 取放钢包倾翻力矩,使取放钢包一侧的基础受压,另一侧锚固基础锚固螺栓受拉。 电机最大启动力矩倍数,应由电机制造厂提供,一般不宜超过3.0。
7.2 轧钢机械
7.2 轧钢机械
7.2.1 可逆轧机与连续轧机的振动荷载,宜按下列规定计算:
1 轧机咬入时的冲击荷载,宜按下列公式计算:

式中:F v1 ——轧机咬入时的冲击荷载(N);
S——轧件咬入过程中与轧辊的接触面积,可取稳态轧制接触面积的2%(m 2 );
E——轧辊的弹性模量(N/m 2 );
L——轧辊两支点之间的距离(m);
I——轧辊的惯性矩(m 4 );
W——轧辊的截面模量(m 3 );
T——轧件与轧辊间无滑动且轧件无塑性变形时,轧件给轧辊的冲击能量(J);
α——咬入角(°);
m——带钢的质量(kg);
v O ——轧线辊道的线速度(m/s);
v——轧辊的线速度(m/s)。
2 轧件稳态轧制时的冲击荷载,宜按下列公式计算:

式中:F v2 ——轧件稳态轧制时的冲击荷载(N);
k v ——冲击系数;
S 1 ——轧件稳态轧制时与轧辊的接触面积(m 2 );
b——轧件宽度(m);
f y ——轧件的屈服强度(N/m 2 );
P m ——金属充满变形区时的平均单位压力(N/m 2 );
σ c ——静弯矩作用下的轧辊应力(N/m 2 );
D——轧辊的直径(m);
△h——轧件在本道次的厚度改变量(m)。
3 轧机抛钢时的冲击荷载,宜按式(7.2.1-1)计算。
4 连轧过程中的倾翻力矩,宜按下式计算:

式中:M v max ——连轧过程中的最大倾翻力矩(N·m);
M z ——总轧制力矩(N·m),事故状态时可取电机额定力矩的3倍;
D——轧辊直径(m);
h——轧制中心线至轨座间的距离(m)。
条文说明
7.2.1可逆轧机机列有带减速机和不带减速机两种形式:一种是电机传动减速机并通过齿轮机座传动车轧机的轧辊;另一种是电机直接传动轧机的轧辊工作。不管是哪一种形式的可逆轧机机列,其组成中的主要设备有电机、减速机、齿轮机座、轧机。由于是可逆运转,所以荷载是双向交替变换的。 连续轧机机列有带减速机和不带减速机两种形式,连续轧机一般是不可逆轧制,故其荷载是单向作用的。 1电机为动力荷载输出源,电机对基础的动力荷载为电机的输出力矩。 工作时力矩为轧制力矩,其最大值为电机输出的最大力矩。一般为电机额定力矩的2.5倍,荷载是正反两个方向交替变化。 电机的尖峰负载为事故荷载,电机发生堵转,其对基础产生的力矩为额定力矩的3倍,荷载方向应为正反两个方向。 2减速机工作时对基础产生的力矩为输入力矩减去输出力矩,荷载方向应为正反两个方向。 减速机的尖峰负载为事故荷载,即为电机输入的尖峰力矩,荷载方向应为正反两个方向。 3齿轮机座的尖峰负载为事故荷载,即为电机输入的尖峰力矩,荷载方向应为正反两个方向。 4实际轧制过程中,在轧件开始咬入之前,首先是轧件以一定的线速度向旋转着的轧辊撞击,此时的冲击荷载即为咬入时的冲击荷载,也称为第一类冲击荷载。由于摩擦力的作用,轧件开始咬入,直到金属充满变形区,轧制咬入阶段终结,在此间隔时间内,金属的变形抗力以递加的方式作用到轧辊上,称此时的冲击荷载为第二类冲击荷载。 轧机抛钢是咬钢的反向过程,如没有第一类冲击荷载,其第二类冲击荷载的值与咬钢时相近,可等效考虑。 5由传动装置加在机座上的倾翻力矩仅当转动上、下轧辊的力矩不相等时才发生;通常情况下,不考虑倾翻力矩。 轧制速度的变化使轧件产生惯性力,连轧过程中前、后张力差的作用都会使轧件在水平方向上产生水平力,并引起倾翻力矩;水平力的最大值为Qmax=2Mz/D,可导出轧机的最大倾翻力矩。
7.2.2 锯机刀片锯切时对刀槽的振动荷载,宜按下式计算:

式中:F v ——刀片锯切时对刀槽的冲击荷载(kN);
C——锯片的振动与锯槽侧壁引起的正压力之间的关联系数(mm/kN),宜按表7.2.2-1采用;
d m ——锯片的振动幅值(mm),宜按表7.2.2-2采用。
表7.2.2-1 锯片的振动与锯槽侧壁引起的正压力之间的关联系数

表7.2.2-2 锯片的振动幅值(mm)

7.2.3 滚切式剪机对基础产生的振动荷载,宜按下式计算:

式中:F v ——滚切式剪机对基础产生的振动荷载(N);
k 1 ——剪切过程的影响系数,可取1.0;
k 2 ——剪刃钝化后的影响系数,可取1.20;
k 3 ——剪刃侧向间隙影响系数,可取0.00265;
h——轧件厚度(m);
δ 5 ——轧件延伸率;
f u ——轧件的抗拉强度(N/m 2 );
ξ——转换系数;
θ——上下剪刃当量剪切角(°);
E——轧件的弹性模量(N/m 2 );
S y ——剪刃侧向相对间隙;
S x ——压板侧向相对距离。
条文说明
7.2.3滚切式剪机分为定尺剪和双边剪,剪机在剪切钢板时产生不均匀冲击力。 滚切剪剪切钢板时的剪切力变形情况如图5所示。由图可知,最大冲击剪切力发生在切入阶段,其大小一般为平稳剪切力的1.3倍,式(7.2.3)的前半部分是解析式。一般情况下,剪切过程中对基础的冲击荷载,取最大冲切剪切力的20%。 切入阶段影响系数k1,在切入、切离阶段约为0.7,稳定剪切阶段取1,公式中统一取大值1。 剪切过程中对基础的振动荷载方向垂直向下或向上。 
图5剪切力曲线图 剪刃钝化后的影响系数k2,一般可取1.15~1.20,当剪刃较新时取1.15,当剪刃临近更换时取1.20,公式中统一取大值1.20。
7.2.4 矫直机的振动荷载,宜按下列规定确定:
1 矫直机对基础产生的振动荷载峰值可取事故荷载,对基础产生的振动力矩宜取额定力矩的2.5倍,荷载作用方向应取正反两个方向;
2 电机工作时矫直振动力矩峰值,可取电机额定力矩的1.75倍;事故荷载力矩峰值,宜取电机额定力矩的2倍,荷载作用方向应取正反两个方向;
3 减速器和齿轮座工作力矩应根据实际输入轴和输出轴的布置综合确定,荷载作用方向应取正反两个方向。
减速器和齿轮座尖峰时的振动荷载宜取事故荷载,应根据实际输入轴和输出轴的布置进行分析,荷载作用方向应为正反两个方向。
条文说明
7.2.4矫直机分为可逆矫直与不可逆矫直两种,可逆矫直机的荷载是双向交替变换的。 1电机为动力荷载输出源时,电机对基础的动力荷载为电机的输出力矩。工作时力矩为矫直力矩,其最大值为电机输出的最大力矩,一般为电机额定力矩的1.75倍,荷载是正反两个方向交替变化。尖峰负载为事故荷载,电机发生堵转,其对基础产生的力矩为额定力矩的2倍,荷载方向应为正反两个方向。 2板带辊式矫直机的减速器一般为分体式,输入轴和输出轴数目不定。因此,减速器工作时对基础产生的力矩应根据实际输入轴和输出轴的布置进行分析。减速机的尖峰负载为事故荷载,数值大小应根据实际输入轴和输出轴的布置进行分析。 板带辊式矫直机的齿轮座一般为整体式,输入轴与减速器的输出轴数量相等,输出轴与矫直辊数相等,也有齿轮座与减速器设计为一个整体机构。 3齿轮座的尖峰负载为事故荷载,数值大小应根据结构及实际输入轴和输出轴的布置进行分析。 4矫直机本体,应计算矫直咬入和抛钢时的冲击荷载、矫直机矫直时的动荷载、矫直机工作时候产生的倾翻力矩。 矫直机对基础产生的尖峰负载为事故荷载,电机发生堵转,其对基础产生的力矩为额定力矩的2.5倍,荷载方向应为正反两个方向。 以上电机力矩过载倍数可依据实际电机选型参数进行调整。
7.2.5 开卷机及卷取机的振动荷载,宜按下列规定确定:
1 开卷机及卷取机稳定开卷和卷取时设备的振动荷载,宜按下式计算:

式中:F v ——设备的振动荷载(N);
m——卷筒、带卷等旋转部件的总质量(kg);
e——卷筒、带卷等旋转部件的当量偏心距(m);
w——卷筒的工作角速度(rad/s)。
2 卷取机产生张力阶段以及卷取结束失去张力阶段使主传动系统产生的扭转振动荷载,宜取主传动系统额定输出力矩的2.5倍,荷载作用方向可取单向;
3 电机的峰值振动荷载,可取事故荷载;对基础产生的力矩宜取电机额定力矩的2.5倍,荷载作用方向可取单向;
4 减速机工作时对基础产生的力矩,宜取输入力矩减去输出力矩,荷载作用方向可取单向;减速机的尖峰负载宜取事故荷载;
5 机架对基础产生的振动荷载峰值,宜取事故荷载;对基础产生的力矩宜取主传动系统额定输出力矩的2.5倍,荷载作用方向可取单向。
条文说明
7.2.5开卷机及卷取机稳定卷取/开卷时的设备振动荷载的方向,可沿卷筒回转中心的360°全周方向。按其最不利作用,机器的扰力主要考虑作用在卷筒回转中心的铅垂平面和水平面内。
8 矿山机械
8.1 破碎机
8 矿山机械
8.1 破碎机
8.1.1 本节适用于颚式、旋回式、圆锥式、锤式、反击式和辊式破碎机以及传动方式与其类似机器振动荷载的计算。
8.1.2 颚式破碎机的振动荷载(图8.1.2),宜按下列规定计算:

图8.1.2 颚式破碎机振动荷载计算简图
O-偏心轴;1-固定颚板;2-动颚板;3-连杆;4、5-推力板;O 1 -活动颚板轴;O 2 -接点

式中:F vx ——水平振动荷载(N);
F vz ——竖向振动荷载(N);
m a ——偏心轴偏心部分质量(kg);
m b ——连杆质量(kg);
m c ——动颚(包括齿板)的质量(kg);
m d ——平衡块的质量(kg);
e——偏心轴的偏心距(m);
e 1 ——平衡块质心至破碎机主轴中心线的距离(m);
w——偏心轴转动角速度(rad/s);
n——偏心轴转速(r/min)。
3 振动荷载作用点应取位于偏心主轴中心线上。
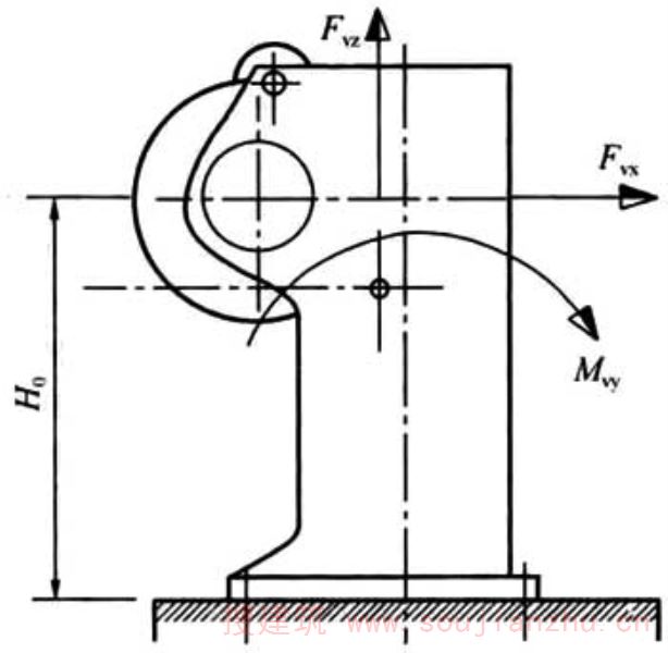
8.1.3 圆锥破碎机的振动荷载(图8.1.3-1),宜按下列规定计算:

图8.1.3-1 圆锥破碎机振动荷载计算简图
O 3 -不动点;O 4 -m 1 质心;O 5 -m 2 质心;
1-活动锥;2-平衡重;3-偏心轴套;4-主轴;5-基础顶面
1 圆锥破碎机的振动荷载,宜按下式计算:

式中:m 1 ——锥体部分(主轴和活动锥)的总质量(kg);
m 2 ——平衡块的质量(kg);
e 1 ——破碎机中心线至锥体部分质心的距离(m);
e 2 ——破碎机中心线至平衡块质心的距离(m);
w——主轴回转角速度(rad/s)。
2 振动荷载的作用点高度,宜按下列公式计算:

式中:H——水平振动荷载F vx 作用点至基础面的距离(m);
H 0 ——不动点至基础面的距离(m);
H 3 ——水平振动荷载F vx 作用点至不动点的距离(m);
F vx1 ——锥体部分产生的水平振动荷载(N);
F vx2 ——平衡块产生的水平振动荷载(N);
H 1 ——振动荷载F vx1 作用点至不动点的距离(m);
H 2 ——振动荷载F vx2 作用点至不动点的距离(m)。

图8.1.3-2 振动荷载作用点位置示意图
O 6 -不动点;1-基础面;O 7 -不动点;2-基础面
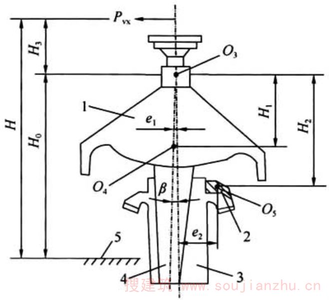
8.1.4 旋回破碎机的振动荷载(图8.1.4),宜按下列公式计算:

图8.1.4 旋回破碎机振动荷载计算简图
O 8 -固定点;O 9 -m 1 的质心;O 10 -m 2 的质心

式中:m 1 ——锥体部分(主轴和活动锥)的总质量(kg);
m 2 ——齿轮偏心轴套的总质量(kg);
e 1 ——破碎机中心线至锥体部分质心的距离(m);
e 2 ——破碎机中心线至齿轮偏心轴套质心的距离(m);
w——主轴转动角速度(rad/s);
L——主轴长度之半(m);
β——主轴转动偏角(°)。
8.1.5 锤式和反击式破碎机的振动荷载,宜按下列规定计算:
1 单转子型锤式和反击式破碎机的振动荷载,宜按下式计算:

式中:F v ——作用在转子旋转中心处的振动荷载(N);
m——转子回转部件的质量(kg);
w——转子的角速度(rad/s);
e——当量偏心距(m),一般情况下,可取1.0×10 -3 m~3.0×10 -3 m,当破碎煤等较软物料时取小值,破碎石灰石等较硬物料时取大值。
2 双转子型锤式和反击式破碎机的振动荷载,宜按下式计算:

式中:F v ——破碎机的振动荷载(N);
F v1 ——作用在转子一旋转中心处的振动荷载(N);
F v2 ——作用在转子二旋转中心处的振动荷载(N);F v1 和F v2 值,宜按公式(8.1.5-1)计算。
条文说明
8.1.5锤式和反击式破碎机的振动荷载计算,主要考虑在使用过程中由于转子不均匀磨损而造成质量偏心产生的振动荷载。 当量偏心距e的取值与被破碎物料的硬度有关,根据实践经验,破碎煤等软质物料时取小值,破碎石灰石等较硬物料时取大值。
8.1.6 辊式破碎机的振动荷载,可忽略不计。
8.1.7 当计算破碎机振动荷载数据不完整时,宜按本标准附录C的规定确定。
条文说明
8.1.7由于破碎机产品尚未完全定型,不同厂家、不同行业所设计制造的产品参数差异较大。因此,各参数应由设备制造厂提供,振动荷载值宜按正文中的相关公式计算。当计算破碎机振动荷载数据不完整时,可采用本标准附录C所列数据。
8.2 振动筛
8.2 振动筛
8.2.1 振动筛的振动荷载,宜按下列规定计算:
1 计算振动位移时,应采用振动荷载标准值,由设备制造厂提供。
2 计算结构动内力时,振动荷载宜按下式计算:

式中:F v ——设备的振动荷载计算值(N);
F k ——设备的振动荷载标准值(N);
K d ——设备动力超载系数。
3 设备动力超载系数K d ,宜按下列规定取值:
1)激发周期荷载的振动筛构造不均匀时,宜取1.3;
2)激发周期荷载的振动筛构造均匀时,宜取4.0;
3)当有实际经验时,允许采用实测的动力超载系数。
条文说明
8.2.1振动荷载标准值应为符合设备使用技术要求的正常状态下设备所引起的惯性力的参数,以设备制造厂设备试验中的相应特性平均值作为标准扰力,由设备制造厂家提供。动力超载系数Kd是考虑到设备实际参数对其标准值偏离的可能性,如工作状态的改变、轴承间隙加大、零件磨损、有杂物等。公称均衡的机器会出现对平均值偏差很大的参数,特别是旋转质量的偏心率。
8.2.2 对于竖向设置单层或双层减振弹簧的振动筛(图8.2.2),作用在支撑结构上的振动荷载标准值,宜按下列公式计算:

式中:F vk ——支撑结构上的标准振动荷载(N);
u——振动筛稳态工作时,筛箱的振幅(m);
u b ——振动筛下部刚架在稳态工作时的振幅(m);
K——筛箱下部弹簧的总刚度(N/m);
K b ——刚架下部弹簧的竖向或水平总刚度(N/m)。

图8.2.2 振动筛振动荷载计算简图
1-筛箱;2-激振力;A-振动筛稳态工作时筛箱的振幅;
A b -振动筛下部刚架在稳态工作时的振幅;K-筛箱下部弹簧的总刚度;K b -刚架下部弹簧的垂直或水平总刚度
条文说明
8.2.2本条计算时的相关动力参数,应由设备制造厂提供。
8.2.3 当振动筛坐落于结构楼层上,且梁第一频率密集区内最低自振频率计算值大于设备的振动频率,当采用静力法计算时,振动筛竖向等效静力荷载,宜按下式计算:

式中:F vz ——振动筛竖向等效静力荷载(N);
G n ——设备重力荷载(N);
G L ——物料重量(N);
γ——动力系数,宜按表8.2.3采用。
表8.2.3 动力系数γ

条文说明
8.2.3本条规定了结构构件频率条件,在启动和停车时避开共振和接近共振的区域,在动力荷载作用下不会产生共振。在设计实践中,曾经发生过多例由于动力系数取值偏小,或设备制造厂提供数据不明确而未乘以动力系数的事故,造成振动筛所在楼层梁振动剧烈。人的主观感受较强,对楼层结构重新进行加固设计时,动力系数取到适宜的数值,加固完成后,振动消除。另外,设备正常运行一段时间后,减振弹簧由于疲劳作用逐渐失去效能,应及时更换新的,以使设备正常工作时产生的等效静力荷载符合结构设计时所取参数的要求。动力系数取值参见现行行业标准《化工、石化建(构)筑物荷载设计规定》HG/T20674的有关规定。 梁的自振频率,应按下列公式计算: 
式中:i——频率密集区的顺序,i=1,2,…; fil——梁第i频率密集区内最低自振频率(Hz); fih——梁第i频率密集区内最高自振频率(Hz); m——梁上单位长度的均布质量(kg/m); l0——梁的计算跨度(m),取梁支座中心间的长度; mu——梁上单位长度的均布质量(kg/m); mj——梁上的集中质量(kg); j——集中质量数1~n; n——集中质量总个数; kj——集中质量换算系数; φil、φih——对于钢筋混凝土结构第i频率密集区的自振频率系数,对于两端铰支的单跨和等跨连续梁,其第一、第二频率密集区的自振频率系数宜按表1确定。 表1 自振频率系数
第一频率密集区的集中质量换算系数kj宜按表2确定。 表2 集中质量换算系数kj
注:αj为集中质量离左边支座距离x与梁的跨度l0之比,对于中间跨内集中质量的x值,仍为集中质量离本跨左边支座的距离。
8.2.4 振动筛附有小型传动设备时的竖向等效静力荷载,宜按下式计算:

式中:F vz ——小型传动设备的竖向等效静力荷载(N);
G n ——设备重力荷载(N);
γ——动力系数,宜按表8.2.4采用。
表8.2.4 动力系数γ

8.3 磨机
8.3 磨 机
8.3.1 作用在磨机两端中心线处的水平等效静力荷载,宜按下式计算:

式中:F vx ——磨机两端中心线处的水平等效静力荷载(N);
m——磨机内碾磨体及物料的总质量(kg);
g——重力加速度(m/s 2 )。
8.3.2 球磨机、棒磨机、管磨机、自磨机、半自磨机等一个支点的竖向等效静力荷载和瞬时等效静力荷载,宜按下列规定计算:
1 竖向等效静力荷载,宜按下式计算:

式中:F vz ——球磨机、棒磨机、管磨机等一个支点的竖向等效静力荷载(N);
N 01 ——磨体支点的最大反力(N);
N 02 ——磨机支撑装置的重力(N)。
2 瞬时等效静力荷载,宜按下式计算:

式中:F v ——球磨机、棒磨机、管磨机等的瞬时等效静力荷载,可取顶磨基础的竖向负荷,只在检修等短时间内出现的静态荷载(N);
L K ——磨机的跨距(m);
L 1 ——顶磨基础中心至远离侧主轴承中心的水平距离(m)。
条文说明
8.3.2磨机基础当采用墙式或大块式基础,可不进行动力计算。 以往在设计磨机基础时采用动力系数法,而近代随着技术的进步,很多国家已采用三项负荷法设计磨机基础,三项负荷即为:竖向荷载、水平荷载、瞬时荷载。竖向荷载由设备厂家提供,经过圆整后直接标在磨机总图的相应位置上,进行动力计算时不需要再乘动荷系数。瞬时荷载只是在检修时短时间内产生的负荷,如顶磨时的负荷。
8.3.3 磨机附属电机的振动荷载,宜按本标准4.3节电动机的振动荷载的规定进行计算。
8.4 离心脱水机
8.4 离心脱水机
8.4.1 离心脱水机宜考虑动力超载系数。当有试验数据时,允许采用实测的动力超载系数。
条文说明
8.4.1本节适用于矿山用过滤式离心脱水机和沉降式离心脱水机的等效荷载的计算。
8.4.2 离心脱水机的振动荷载,宜按本标准4.4节离心机的振动荷载的规定进行计算。
条文说明
8.4.2过滤式及沉降式离心脱水机的等效静力荷载的计算,应按照本标准4.4节离心机的振动荷载的规定执行。离心脱水机进行振动荷载计算时,旋转部件总质量及旋转部件工作时的偏心距由设备制造厂提供。
8.4.3 化工、石化用离心脱水机的竖向等效静力荷载,宜按下式计算:

式中:F v ——脱水机的竖向等效静力荷载(N);
G——设备及物料总重力荷载(N);
γ——动力系数,宜按表8.4.3采用。
表8.4.3 动力系数γ

条文说明
8.4.3本条文中离心脱水机等效静力荷载计算时,各设备的旋转部件总质量及旋转部件工作时的偏心距由设备制造厂提供。
8.4.4 金属及非金属矿山脱水筒型真空过滤机、盘式真空过滤机、带式真空过滤机、板框压滤机、自动压滤机、磁力脱水槽的振动荷载可忽略不计。
条文说明
8.4.4本条中涉及的筒型真空过滤机、盘式真空过滤机、带式真空过滤机、板框压滤机、自动压滤机、磁力脱水槽基础设计结构分析时,宜按静力进行结构计算。
9 轻纺机械
9.1 纸机和复卷机
9 轻纺机械
9.1 纸机和复卷机
9.1.1 本节规定适用于纸机的成型部、压榨部、烘干部、施胶机、压光机、涂布机、卷纸机等各组成分部和复卷机的振动荷载计算。
条文说明
9.1.1纸机由成型部、压榨部、烘干部、施胶机、压光机、涂布机、卷纸机等多个分部组成,这些分部和复卷机中都有多个随纸机或复卷机车速(纸页运动的线速度)在线旋转的部件,这些旋转部件所产生的振动荷载及其响应的叠加,宜按本节规定执行。
9.1.2 纸机各组成分部和复卷机的振动荷载,可取各类辊、缸和纸卷在线旋转时其质量偏心引起的离心力,作用于旋转部件的轴承中心。单个旋转部件所产生的振动荷载,宜按下式计算:

式中:F v ——旋转部件作用在纸机或复卷机一侧支架上的振动荷载(N);
m——旋转部件的质量(kg);
e——旋转部件的质量偏心距(m),宜由设备制造厂提供,部分旋转部件的质量偏心距亦宜按本标准第9.1.5条的规定采用;
w k ——对应于纸机或复卷机设计车速时,该旋转部件的角速度(rad/s);
w n ——对应于纸机或复卷机计算车速时,该旋转部件的角速度(rad/s)。
条文说明
9.1.2各旋转部件所产生的振动荷载均由纸机或复卷机的两侧机架分担,因此计算式中取旋转部件质量m的一半。 由于需要从0到最大设计车速(通常按照100m/min步长),逐级计算、分析各级车速下系统的振动响应情况,考虑到有的制造厂直接提供设计车速下各转动部件的不平衡力mew2k,所以给出了任意车速运行下的振动荷载计算公式,并且采用了按设计车速换算的形式。
9.1.3 竖向和沿纸页运行水平向的振动响应计算时,单个旋转部件的振动荷载,宜按下列公式计算:

式中:F vz ——所计算旋转部件作用在纸机或复卷机一侧支架上的竖向振动荷载(N);
F vx ——所计算旋转部件作用在纸机或复卷机一侧支架上沿纸页运行方向的水平向振动荷载(N);
w——对应于纸机或复卷机计算车速时该旋转部件的振动圆频率(rad/s),可取等于该旋转部件相应时刻的角速度;

——所计算旋转部件的初始相位角(rad)。
条文说明
9.1.3纸机每个组成分部和复卷机中,各旋转部件在启动时其质量偏心的方向是随机的,因此初始相位角也是不确定的,在对其引起的振动响应进行叠加时,需要以适当组合的方式考虑初始相位角的影响。
9.1.4 纸机每个组成分部和复卷机,应按计算车速分别计算单个旋转部件的振动荷载,再对其振动响应进行叠加。
计算某级车速下由纸卷产生的振动荷载时,尚应计入因纸卷直径持续改变而导致的旋转质量和角速度的改变的影响。
条文说明
9.1.4纸机和复卷机中的多个旋转部件会因其直径不同而转速不同,但各分部作为独立的分析单元,应在同一车速下确定各旋转部件的角速度、计算相应的振动荷载、叠加其振动响应。 卷纸机和复卷机上均有随设备在线运行的纸卷,其直径是在一定范围内不断改变的,也就是说对应于某一车速纸卷质量和角速度一直在改变,计算振动荷载时应考虑这一影响。通常可在每一级计算车速下,按适当步长计算纸卷不同直径所对应的角速度和相应的振动荷载,再与同级车速下的其他振动荷载进行响应叠加。
9.1.5 部分旋转部件的质量偏心距,宜按表9.1.5采用。
表9.1.5 旋转部件的质量偏心距

条文说明
9.1.5旋转部件的质量偏心距应由设备制造厂根据加工制作精度和相应的动平衡等级确定,条文给出的部分旋转部件偏心距是按照欧洲的设备制造厂在其产品满足欧洲相关标准的情况下确定的,未给出偏心距的旋转部件,相应参数应由设备制造厂直接提供。
9.2 磨浆机
9.2 磨浆机
9.2.1 磨浆机振动荷载可取电机、主动齿轮、从动齿轮、磨浆部等在线旋转时因其质量偏心产生的离心力,作用于各旋转部件的质心位置。
条文说明
9.2.1磨浆机包括电机、齿轮箱和磨浆部,固定在钢筋混凝土制作的隔振惯性块上,惯性块下设置隔振垫,通过振动分析确定惯性块的尺寸、质量、动力特性以及隔振垫的布置和相关参数时,磨浆机各旋转部件的振动荷载宜按本节规定计算。
9.2.2 各旋转部件的振动荷载,宜按下列公式计算:

式中:F v ——所计算的旋转部件的振动荷载(N);
m——所计算的旋转部件的质量(kg);
e——所计算的旋转部件的质量偏心距(m);
G——所计算的旋转部件的动平衡精度等级(m/s);
w n ——对应于磨浆机计算转速时该旋转部件的角速度(rad/s),计算范围宜取1.1倍磨浆机最大设计转速;
w k ——对应于磨浆机最大设计转速时该旋转部件的角速度(rad/s)。
条文说明
9.2.2由于需要从0倍~1.1倍最大设计转速计算、分析各级转速运行下系统的振动响应情况,考虑到有的制造厂直接提供最大设计转速下各转动部件的不平衡力mew2k,因此给出了磨浆机以任意转速运行下的振动荷载计算公式,并且采用了按设计转速换算的形式。 按照相关机械设备的制造标准,对于磨浆机的电机、齿轮、磨浆部等转动部件,其动平衡精度等级G一般采用2.5mm/s。
9.2.3 计算竖向和水平向振动响应时,各旋转部件的振动荷载,宜按下列公式计算:

式中:F vz ——旋转部件的竖向振动荷载(N);
F vx ——旋转部件的水平向振动荷载(N);
w——对应于计算转速时该旋转部件的圆频率(rad/s),可取等于该旋转部件相应时刻的角速度;

——所计算旋转部件的初始相位角(rad)。
9.2.4 磨浆机因意外断电停机和磨片脱落所产生的振动荷载,应由设备制造厂提供。
9.3 纺织机械
9.3 纺织机械
9.3.1 织机的振动荷载,宜按表9.3.1采用。
表9.3.1 织机的振动荷载

条文说明
9.3.1确定表9.3.1中所列织机的振动荷载时,有梭织机是以实测值为主要依据,剑杆织机是以产品说明书提供的数据为主要依据,同时考虑到织物的厚薄、经纬密度及织物品种的区别,并按国外有关实测资料及实际工程设计经验,综合归纳得出的。表列数值有的大于实测值,以适应其通用性。
9.3.2 织机的设计车速与表9.3.1中的车速不一致时,振动荷载宜按下式计算:

式中:F v ——织机设计车速下的振动荷载(N);
F v0 ——织机的振动荷载(N),宜按表9.3.1采用;
n 0 ——织机的车速(r/min),宜按表9.3.1采用;
n——织机的设计车速(r/min),当n<n 0 时,可取n=n 0 。
条文说明
9.3.2表9.3.1所列车速是表中所列织机型号的常用车速,如织机的设计车速不同于表列车速,则设计车速下的振动荷载应按公式(9.3.2)进行换算。但当工艺条件所提供的设计车速低于表列车速时,为了适应日后工艺变化的需要,其振动荷载值还是应按表9.3.1所列数值取用。公式(9.3.2)是国内外普遍采用的换算公式,通过实测同一型号织机在不同车速下的振动荷载值,其比值关系与该公式的计算结果是基本一致的。
9.3.3 织机振动荷载的作用点位置,应取织机车脚的几何中心。
条文说明
9.3.3织机的振动荷载实际上是作用在织机的四个车脚上,就单台织机而言,实际工程设计中,可将织机四个车脚在三个方向上的振动荷载等效为三个方向上的合力,作用在织机四个车脚的几何中心处。表9.3.1所列振动荷载就是织机在纬纱方向、经纱方向和竖向这三个方向上各车脚振动荷载的等效合力。工程设计时如有需要,也可将表9.3.1所列竖向振动荷载分配到织机的各车脚上,分配原则是: 1织机前面(布辊侧)二个车脚的竖向振动荷载分量值均为表列数值的一半; 2织机后面(织轴侧)二个车脚的竖向振动荷载分量值均为表列数值的一半; 3织机前二车脚竖向振动荷载分量的作用方向与织机后二车脚竖向振动荷载分量的作用方向正好相反。
10 金属切削机床
10.1 一般规定
10 金属切削机床
10.1 一般规定
10.1.1 确定金属切削机床的振动荷载时,机床制造厂应提供下列资料:
1 机床型号、转速、规格和外形尺寸;
2 机床质量、质心位置;
3 机床运转部件的质量及其分布位置;
4 机床的传动方式、运动方向和有关尺寸。
条文说明
10.1.1金属切削机床的振动荷载一般宜由机床制造厂提供,本条提出的4项要求是应由机床制造厂提供的基础资料。
10.1.2 金属切削机床的振动荷载作用点,宜取机床底面几何中心。
条文说明
10.1.2金属切削机床振动荷载作用点,一般情况下取机床底面的几何中心。
10.2 振动荷载
10.2 振动荷载
10.2.1 车床的振动荷载,宜按表10.2.1采用。
表10.2.1 车床振动荷载

注:当加工材料强度低、切削量小、切削速度缓慢时,表中取小值,否则取大值。
条文说明
10.2.1车床包括仪表车床、自动车床、立式车床、仿形车床、卧式车床、马鞍车床及数控车床等几种类型。 机床运转时对支承结构所产生的振动荷载是支撑结构动力计算的基础数据,它的大小一般由该机床的设计部门或生产厂家根据工艺参数及机构原理等资料作理论计算后提供。但是,对大量可直接安装在地坪或多层厂房楼盖上的中小型机床,特别是那些5t以下的精密加工金属切削机床,运转时产生的振动荷载,一般生产厂商均不提供。表10.2.1中的数值是根据车床振动实测资料,经统计分析并考虑切削加工时的冲击影响后确定的。当加工材料强度低、切削量小、切削速度缓慢时,取表中小值,否则取大值。
10.2.2 铣床的振动荷载,宜按表10.2.2采用。
表10.2.2 铣床振动荷载

注:当加工材料强度低、切削量小、切削速度缓慢时,表中取小值,否则取大值。
条文说明
10.2.2铣床包括滑枕铣床、龙门铣床、平面铣床、仿形铣床、圆工作台铣床、升降台铣床、回转头铣床、悬臂铣床、摇臂铣床、床身铣床、数控铣床等。表10.2.2中的数值是根据铣床振动实测资料,经统计分析并考虑切削加工时的冲击影响后确定的。当加工材料强度低、切削量小、切削速度缓慢时,取表中小值,否则取大值。
10.2.3 钻床的振动荷载,根据钻床的完好程度、钻件的厚度、钻进速度的快慢等因素,宜取0.10kN~0.20kN。
条文说明
10.2.3钻床包括深孔钻床、摇臂钻床、台式钻床、立式钻床、卧式钻床、铣钻床、多轴钻床、数控钻床等几种类型。钻床的振动荷载值0.10kN~0.20kN是根据钻床振动实测资料经统计分析后确定的。当加工材料强度低、切削量小、切削速度缓慢时,取小值,否则取大值。
10.2.4 刨床的振动荷载,宜按表10.2.4采用。
表10.2.4 刨床振动荷载

注:当加工材料强度低、切削量小、切削速度缓慢时,表中取小值,否则取大值。
条文说明
10.2.4刨床包括龙门刨床和牛头刨床两种类型。近年来,由于刨床能耗高,已逐渐被铣床所取代。但考虑到原有设备仍在使用,仍将有关内容列出。表10.2.4中数值是根据刨床振动实测资料,经统计分析并考虑切削加工时的冲击影响后确定的。当加工材料强度低、切削量小、切削速度缓慢时,取表中小值,否则取大值。
10.2.5 磨床的振动荷载,宜按表10.2.5采用。
表10.2.5 磨床振动荷载

注:当加工材料强度低、切削量小、切削速度缓慢时,表中取小值,否则取大值。
条文说明
10.2.5磨床包括外圆磨床、内圆磨床、平面磨床、端面磨床、工具磨床、刀具刃磨床、研磨机、抛光机、曲轴磨床、花键轴磨床、轧辊磨床、导轨磨床、轴承加工磨床及数控磨床等几种类型。表10.2.5中的数值是根据磨床振动实测资料,经统计分析并考虑切削加工时的冲击影响后确定的。当加工材料强度低、切削量小、切削速度缓慢时,取表中小值,否则取大值。 实测表明,磨床的振动荷载主要是由砂轮引起的,这是由于砂轮在加工过程中不均匀的磨损,造成质量偏心距的不断增加所致。
10.2.6 加工中心的振动荷载,应按相同加工功能的同类机床取值;多种加工功能振动荷载不相同时,宜取较大值。
条文说明
10.2.6加工中心包括立式加工中心、卧式加工中心、龙门式加工中心、车销加工中心等几种类型。加工中心的振动荷载宜按相同加工功能的同类机床取值。多种加工功能振动荷载不同时,取大值。
11 振动台
11.1 液压振动台
11 振动台
11.1 液压振动台
11.1.1 本节所指液压振动台的频率范围应为0Hz~1000Hz。
条文说明
11.1.1本节适用于单个激振器额定激振力不大于1000kN的液压振动台。液压振动试验台主要适用于航天、航空、兵器、电子、船舶、汽车和建筑等领域,是振动环境试验的专用力学环境试验设备。液压振动试验台规格可按现行国家标准《液压振动台》GB/T21116执行。
11.1.2 液压振动台单个激振器作用于基础上的振动荷载,宜按表11.1.2确定。
表11.1.2 液压振动台的振动荷载(kN)

注:当振动台上试件在试验频段内具有共振特性时,上表中数值应乘以荷载放大系数,荷载放大系数可取1.10~1.30,试件共振频率低时宜取大值,共振频率高时宜取小值;车辆振动试验轮胎耦合时,可取1.25。
条文说明
11.1.2液压振动台的主要动态参数包括振动台的激振力、额定负载、振动位移、振动速度、振动加速度等。受油缸行程的限制,振动位移主要控制振动信号的低频段(通常为5Hz以下),受液压油流量的限制,振动速度控制振动信号的中频段(通常为5Hz~20Hz),在激振力条件的限制下,振动加速度控制信号的高频段(通常为20Hz以上)。 一般振动台单个作动器的技术指标包括激振力、振动位移、振动速度和振动加速度等。三个参数控制线如图6所示。 液压振动台作动器的荷载分区可定为三段(图7)。 

图6液压振动台三参数控制线
图7加速度曲线 对于液压振动台单个激振器作用于基础上的振动荷载按表11.1.2确定,当激振频率在0.0Hz~1.0Hz之间时,考虑0Hz激振力为0kN,再根据1.0Hz的振动荷载数据利用线性插值方法计算。 当被测试件是一个弹性系统时,需要考虑试验对象的振动特 
图8负载变化的加速度特性
图9归一化加速度曲线 性,可能出现的共振现象,振动荷载应根据被测试件的动力特性乘以动力放大系数。例如,当道路模拟试验机为轮胎耦合时,振动作用需乘以1.25的放大系数。 根据上述分析,本标准提出的液压振动台振动荷载考虑了振动荷载的包络特性,具有80%的保证概率。对于特殊的液压振动台需要根据设备资料要求进行专项设计。 液压振动试验台单个作动器的荷载动力系数宜按表3选择。 表3液压振动台荷载动力系数
注:括号内数值为用于振动台隔振基础设计的动力系数。
11.2 电动振动台
11.2 电动振动台
11.2.1 本节所指电动振动台的额定正弦激振力应不大于200kN,频率范围应为5Hz~5000Hz。
条文说明
11.2.1电动振动台激振力的适用范围通常要比液压振动台小,绝大多数电动振动台的额定正弦激振力不超过200kN,其激振频率一般都在5Hz~5000Hz的范围内,适合于中高频激振的试验台装置。
11.2.2 电动振动台作用于基础上的振动荷载,根据设备的隔振装置设置情况,宜按表11.2.2-1和表11.2.2-2采用。
表11.2.2-1 电动振动台未带隔振装置的振动荷载(kN)

表11.2.2-2 电动振动台带隔振装置的振动荷载(kN)


条文说明
11.2.2电动振动台技术规格可按现行国家标准《电动振动台》GB/T13310执行。电动振动台的振动荷载与振动台的特性密切相关。与液压振动台类似,电动振动台的关键技术参数依然是激振力和运动物理量。主要特性也是振动位移、振动速度和加速度。只是在频率范围和振动幅值方面有所不同。 电动振动台的振动荷载可分为三个区间(图10)。 
图10 电动振动台加速度特性曲线 通常电动振动试验台制造厂提供技术参数是按照空载条件测试的结果,振动台带试件工作后,其特性曲线会略有不同,而且不同质量的时间,特性曲线也不同。经验表明,按照空载特性设计是偏于安全的,也是出于简化分析的考虑。 为了考虑电动振动试验台最不利的状况,按照振动台上中断限要求,极端情况下,可以是激振力上限乘以2,即: 
为了与其他结构荷载标准协调,作为结构设计等效静力设计的荷载条件,其振动荷载的动力系数,宜按表4选择。 表4电动振动台动力系数表
注:括号内数值为用于振动台隔振基础设计的动力系数。
11.3 机械振动台
11.3 机械振动台
11.3.1 本节所指偏心式和离心式机械振动台的额定激振力应不大于10kN,其频率范围应为1Hz~50Hz。
条文说明
11.3.1机械振动台的类型包括偏心式、离心式、凸轮式,以及偏心-弹簧式等。由于机械振动台类型较多,其特性参数也不一样。本标准以较为典型的偏心式和离心式机械振动台为基础,提出相应的振动荷载。按现行国家标准《机械振动台技术条件》GB/T13309,机械振动台的振动频率一般在1Hz~50Hz范围内,其激振力通常不大于10kN。本节适用于额定激振力不大于10kN的偏心式和离心式机械振动台,频率范围在1Hz~50Hz之内。
11.3.2 机械振动台的振动荷载,宜按下式计算:

式中:F v ——机械振动台振动荷载(N);
F v100 ——当运动部件和被试试件质量为100kg时,机械振动台的振动荷载(N),宜按表11.3.2采用;
m t ——偏心式振动台运动部件和被试试件质量或离心式振动台旋转部分质量(kg)。
表11.3.2 机械振动台的振动荷载(N)


条文说明
11.3.2振动荷载,按下列原则确定: 1偏心式机械振动台是以轴偏心或者偏心杆转动来驱动振动台运动。工作原理如图11所示。 偏心式机械振动台的动态技术指标说明: 
图11 偏心式振动台 偏心距r=O1O r为驱动装置的偏心距; d=r为振动位移,是一个常量; mr为运动部分质量,一般运动部分质量不超过500kg; f为振动台激振频率; w为圆频率,取w=2πf; amax为振动台对应频率的最大加速度,取amax=rw2。 
2离心式振动台(图12) 离心式机械振动台的主要动态参数包括: e为偏心质量的偏心距; me为偏心质量,偏心质量不超过100kg; f为振动台激振频率; w为圆频率,取w=2πf; aemax为振动台对应频率的最大加速度,取aemax=ew2。 
图12 离心式振动台
离心式机械振动台振动加速度与偏心式振动台具有相似特性,振动加速度亦为圆频率的平方关系。 根据牛顿第二定律,激振力为: 
12 人行振动
12.1 公共场所人群密集楼盖
12 人行振动
12.1 公共场所人群密集楼盖
12.1.1 对于行走和有节奏运动激励为主的公共场所楼盖,可仅计入竖向振动荷载。
条文说明
12.1.1本节适用于公共场所楼盖的人行和有节奏运动产生振动荷载的计算。Basesfordesignofstructures-serviceabilityofbuildingsandwalkwaysagainstvibrationsISO10137:2007给出人自由行走时的竖向人行振动荷载1阶频率为1.2Hz~2.4Hz,当楼盖水平自振频率大于竖向人行振动荷载频率的1/2时,不考虑水平人行振动荷载。对于行走和有节奏运动激励为主的楼盖,美国AISC/CISCSteelDesignGuideSeries11-FloorVibrationsDueToHumanActivity(1997)和ATCDesignGuide1-MinimizingFloorVibration(1999)也只考虑竖向振动荷载的作用。
12.1.2 人群自由行走的竖向振动荷载,宜按下式计算:

式中:F v (t)——人群自由行走的竖向振动荷载(N);
α i ——第i阶振动荷载频率的动力因子,宜按表12.1.2取值;
Q——单人的重量(N),可取600;
f——振动荷载频率(Hz),宜按表12.1.2取值;

i ——第i阶振动荷载频率的初始相位角,宜按表12.1.2取值;
k——所考虑的振动荷载频率阶数;
t——时间(s);
n——人群的总人数。
表12.1.2 人群自由行走的竖向振动荷载频率、动力因子和相位角

注:对于人体舒适度,荷载频率阶数可只计及前3阶;对于振动敏感建筑,荷载频率阶数宜计入4、5阶的影响。
条文说明
12.1.2本条主要参考Basesfordesignofstructures-service-abilityofbuildingsandwalkwaysagainstvibrationsISO10137:2007。研究表明,人行振动荷载可以用傅立叶级数或多项式表示。美国AISC/CISCSteelDesignGuideSeries11-FloorVibrationsDueToHumanActivity(1997)和ATCDesignGuide1-MinimizingFloorVibration(1999)忽略静荷载的影响,给出了楼板发生竖向共振时的单人自由行走的振动荷载简化函数,我国现行行业标准《高层建筑混凝土结构技术规程》JGJ3-2010也参照美国ATCDesignGuide1(1999),给出了接近楼盖结构自振频率时楼盖结构竖向振动加速度近似计算公式。 ISO10137:1992给出了单人激励荷载的计算公式,提出要考虑有节奏运动的人群激励荷载放大作用,但并未给出有节奏运动的人群激励荷载公式。美国AISC/CISCSteelDesignGuideSeries11(1997)和ATCDesignGuide1(1999)给出了跳舞、有氧运动、演唱会、体育比赛等有节奏运动的人群激励作用下,楼板发生竖向共振时人群的激励均布荷载简化函数,但并未给出人群自由行走的激励荷载函数。EllisB.R.针对两个混凝土楼板在最多由32人组成的人群自由行走激励作用下的试验结果表明,随着人群总人数的增大,楼板的竖向振动加速度增大,但楼板的竖向振动加速度增大并非线性的(EllisB.R.Theinfluenceofcrowdsizeonfloorvibrationsinducedbywalking.TheStructur-alEngineer,2003,81(6),pp.20-27)。研究表明,n个人随机行走人群引起的竖向振动响应是单个人的 
相应地可以计算得到竖向人群激励荷载公式。 ISO10137:2007未给出人的重量取值,我国现行国家标准《地铁车辆通用技术条件》GB/T7928-2003规定人均体重按60kg计,《铁道车辆强度设计及试验鉴定规范》TB/T1335-1996规定每一旅客及其自带行李的重量之和取为80kg,本条结合实际情况,行人体重按60kg计,即600N。 ISO10137:2007指出人群的总人数取决于单位面积的人数和人群所占据的面积,但ISO10137:2007并未给出自由行走的单位面积人数取值,对于协调跳跃(如在无固定座位区域的跳舞、节律运动),ISO10137:2007规定一般情况下为0.8人/m2,最大值为6人/m2。应用中可根据实际情况确定人群的总人数。 人行振动荷载频率的取值有两种方法:(1)试算法,在1.25Hz~2.3Hz范围内按0.1Hz或更小的频率间隔计算楼盖振动加速度响应,取振动加速度响应最大值对应的人行振动荷载频率;(2)取人行振动荷载频率f=f1/n(n为整数),f1为楼盖一阶竖向自振频率。一般地,当楼盖的一阶竖向自振频率是荷载频率的整数倍时,楼盖发生共振,楼盖振动加速度响应最大。 ISO10137:2007给出了相位角的一个保守取值方法,即取低于共振的谐振相位π/2。 12.1.3ISO10137:2007规定对于无固定座位的协调跳跃,第1、2、3阶振动荷载频率的动力因子可近似取1.7、1.0、0.4。 ISO10137:2007指出人群运动的协调效应取决于运动的复杂程度,越复杂的运动,协调性越低。ISO10137:2007举例给出了三种典型的协调运动场景: 健身房:人群中所有人都训练有素,能够熟练地开展协调性运动——高协调性; 观看体育赛事的人群:人群中仅有一些人训练有素,但大部分人能够熟练地开展协调性运动——中协调性; 观看流行音乐会的人群:人群中仅有一些人训练有素,且大部分人不能熟练地开展协调性运动——低协调性。
12.1.3 人群有节奏运动的竖向振动荷载,宜按下式计算:

式中:F v (t)——人群有节奏运动的竖向振动荷载(N);
α i ——第i阶振动荷载频率的动力因子,宜按表12.1.3取值;
f——振动荷载频率(Hz),宜按表12.1.3取值;

i ——第i阶振动荷载频率的相位角,宜按表12.1.3取值;
C(n)——人群有节奏运动的协调系数,应按本标准第12.1.4条的规定确定。
表12.1.3 人群有节奏运动的竖向振动荷载频率、动力因子和相位角

12.1.4 人群有节奏运动的协调系数C(n),宜按下列规定取值:
1 对于演唱会、体育比赛和有固定座位的有节奏运动人群,协调系数宜取1.0;
2 对于协调跳跃无固定座位的有节奏运动人群,当总人数小于等于5人时,协调系数宜取1.0;当总人数不小于50人时,协调系数宜根据协调性按表12.1.4采用;当总人数为5~50人时,协调系数宜按线性插入取值。
表12.1.4 协调跳跃的运动人群协调系数C(n)

12.2 人行天桥
12.2 人行天桥
12.2.1 人行天桥的人行振动荷载,宜按下列规定确定:
1 人行天桥的人行振动荷载应包括竖向人行振动荷载、纵桥向人行振动荷载和横桥向人行振动荷载;
2 人行振动荷载应采用均布荷载,并宜按下式计算:

式中:F v (t)——单位面积的人行振动荷载(N/m 2 );
F b ——人行天桥上单个行人行走时产生的振动荷载(N),宜按表12.2.1-1取值;
表12.2.1-1 单人行走时产生的振动荷载

f——人行荷载频率(Hz);
γ′——等效人群密度(1/m 2 );
ψ——荷载折减系数,宜按表12.2.1-2采用。
表12.2.1-2 荷载折减系数

3 等效人群密度,宜按下列公式计算:

式中:A——荷载面积(m 2 );
N——人行总人数,可取人群密度与加载面积的乘积;
ζ——结构类型的阻尼比影响系数,应按表12.2.1-3取值。
表12.2.1-3 结构类型的阻尼比影响系数

条文说明
12.2.1本节适用于人行天桥舒适度计算时,人行振动荷载的确定。 关于人行天桥的人行振动荷载,作以下说明: 1本条参考了欧盟煤钢研究基金RFS2-CT-2007-00033的报告,英国规范BS5400-2:2006Steel,concreteandcompositebridges-Part2specificationforloads给出了人行天桥单人竖向激励荷载计算公式,将竖向激励荷载简化为以一定速度移动的简谐力,但并未给出纵桥向和横桥向的激励荷载计算公式及人群的激励荷载计算公式。ISO10137:2007用傅立叶级数给出了人行激励荷载的计算公式,该公式通过动荷载系数综合考虑步频、人群密度和人的运动(包括行走、跳跃、上下楼梯等)的影响。英国标准NAtoBSEN1992-2:2003(2008)给出了人行天桥单人和人群的竖向激励荷载计算公式,并未给出纵桥向和横桥向的激励荷载计算公式。与欧盟煤钢研究基金RFS2-CT-2007-00033的报告类似,英国标准NAtoBSEN1992-2:2003(2008)给出的计算公式将荷载简化为正弦函数,综合考虑人群密度、桥梁竖向自振频率、阻尼比等的影响。 2《DesignofFootbridges-Guideline》中指出人群密度较小时行人考虑为自由行走。密集人群情况下,行人行走阻塞,人群向前移动速度减缓而同步增加。超过行人密度上限值1.5人/m2时,行人行走是不可能的,因此动力作用明显减小。当人群密度增大时,行人之间的相关性增加,但是动力荷载趋向减小。 3结合工程应用,安全起见对《DesignofFootbridges-Guideline》中2.25Hz~3.4Hz频率范围竖向、纵桥向人行荷载折减系数统一调整为0.25。
13 轨道交通
13 轨道交通
13.0.1 轨道交通振动荷载确定,应采用建筑物基底输入现场实测振动波形方法;无条件测试时,竖向振动荷载宜按本标准第13.0.2条计算。现场测试,宜符合下列规定:
1 现场测试宜采用建筑物基底输入现场实测振动波形的方法,测试方向应包括竖向和水平两个方向;
2 测点应布置于基底四角及中部的柱底位置,测点数不应少于5个,各测点应同步测量;测量应在列车通过时段进行,测量不应少于20趟列车;
3 现场测试传感器频响曲线、灵敏度、量程等应满足振动影响评价的要求,测试时受到周围局部人为振动影响的激励时间不得超过总测量时间的5%;
4 现场测试应在交通较为繁忙时段进行,输入的振动波形应选取振动物理量均方根值对应的列车测试数据。
条文说明
13.0.1轨道交通运输引起的工业建筑振动有别于其他工业振动,轨道交通产生振动,通过结构(路基、高架桥墩或基础、隧道衬砌)传递到周围的地层,再经过地层向四周传播,使地面建筑物产生振动。轨道交通引起振动的因素复杂,从振动传递的角度看,车辆、轨道、路基、隧道、桥梁、地质条件等每一个系统内参数的变化都会对振动产生影响。轨道交通振动荷载可采用建筑物基底输入现场实测振动波形。在轨道交通规划期间或未建成时,宜按照本标准计算其竖向振动荷载。 建筑物基底振动受地基土和建筑物局部构造影响。为避免测点布置过少引起的测量误差,故要求测点数不少于5个。振动物理量的选取取决于工业建筑振动影响评价的目的。
13.0.2 轨道交通列车的竖向振动荷载,宜按下列规定计算:
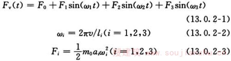
1 轨道交通列车的竖向振动荷载由作用在两侧钢轨上的移动荷载列组成,荷载排列与列车轮对排列相同。
2 作用在单根钢轨上的列车竖向振动荷载,宜按下列公式计算:

式中:F v (t)——作用在单根钢轨上的列车竖向振动荷载(N);
F 0 ——单边静轮重(N),宜按表13.0.2取值;
F i ——对应某一频率的振动荷载幅值(N);
w i ——振动圆频率(rad/s);
v——列车通过时的实际最高速度(m/s);
m 0 ——列车簧下质量(kg),宜按表13.0.2取值;
l i ——轨道几何高低不平顺的波长(m),宜按表13.0.2取值;
a i ——轨道几何高低不平顺的矢高(m),宜按表13.0.2取值。
表13.0.2 计算参数

条文说明
13.0.2由于轨道交通的水平向振动荷载复杂,影响因素较多,故本标准中仅给出了列车竖向振动荷载的计算公式。列车竖向振动荷载可以用激振力函数来模拟,包括静荷载和由一系列正弦函数叠加而成的动荷载。标准中假设用以高、中、低频反映轨道不平顺、附加动载、轨面波磨效应带来的轨道动态高低不平顺的激振力来模拟轮轨之间的相互作用力,即作用在单根钢轨上的列车竖向力。 列车竖向振动荷载计算参数根据实际运营车辆和轨道状态参数确定。 日本针对车速200km/h以上新干线的轨道不平顺维修管理值标准为:舒适度标准7mm/10m。英国对于车速200km/h的轨道几何不平顺管理值标准见表5。 我国铁路轨道动态不平顺(峰值管理)各项偏差等级划分为四级:Ⅰ级为保养标准,Ⅱ级为舒适度标准,Ⅲ级为临时补修标准,Ⅳ级为限速标准,我国铁路各级容许偏差管理值标准见表6~表8;城市轨道交通采用某城市地铁轨道动态质量容许偏差管理值见表9。对舒适度标准对应的高低不平顺进行适当调整,得出我国普速列车、普速货车、重载列车、高速动车组、地铁列车的对应于波长10m、2m、0.5m的轨道几何高低不平顺值。 表5轨道几何不平顺管理值
表6普通铁路轨道动态质量容许偏差管理值
表7高速铁路无砟轨道动态质量容许偏差管理值
表8高速铁路有砟轨道动态质量容许偏差管理值
表9某城市地铁轨道动态质量容许偏差管理值
14 施工机械
14 施工机械
14.0.1 筒式柴油打桩机的振动荷载,宜按表14.0.1的规定确定。
表14.0.1 筒式柴油打桩机振动荷载

14.0.2 振动沉拔桩锤的振动荷载,宜按表14.0.2-1和表14.0.2-2的规定确定。
表14.0.2-1 DZ系列振动沉拔桩锤的振动荷载

表14.0.2-2 EP系列液压偏心力矩可调振动沉拔桩锤的振动荷载

14.0.3 导杆式柴油打桩机的振动荷载,宜按表14.0.3的规定确定。
表14.0.3 导杆式柴油打桩机的振动荷载

条文说明
14.0.1~14.0.3本章的施工机械主要指桩工机械。桩工机械包括自落打桩锤、汽动锤、柴油打桩机、振动沉拔桩锤、压桩机、强夯机等。桩工机械的施工对象是各类桩和复杂多变的地质水文条件。桩工机械的用途是以冲击、振动、静压、钻孔、高压喷射等不同作用方式把各种桩打入、沉入或构筑在地下一定设计深度的持力地层。 柴油打桩机工作时产生的冲击荷载是一种短时强荷载,形成一个单脉冲,荷载持续时间较短。工程中常用的柴油打桩机所产生的冲击荷载可近似按下列公式计算:
式中:Fv——冲击荷载(N); T——冲击能量(J); m——冲击部分质量(kg); △t——荷载作用时间(s); t1——荷载加载作用时间(s); t2——荷载持续作用时间(s)。 荷载作用时间与桩的材料和土壤形式有关,如无给定值时,荷载加载时间可取0.01s,荷载持续作用时间可取0.02s。
14.0.4 蒸汽动力打桩锤的振动荷载,宜按表14.0.4的规定确定。
表14.0.4 蒸汽动力打桩锤的振动荷载

附录A往复式机器折算质量计算方法
附录A 往复式机器折算质量计算方法
A.0.1 往复式机器曲柄—连杆—活塞机构各部分的运动质量(图A.0.1-1、图A.0.1-2),宜按下列公式计算:

图A.0.1-1 曲柄计算简图
1-曲柄销m 1 ;2-曲柄臂(或端曲柄臂)m 2 ;3-中间曲柄臂m′ 2 ;4-平衡质量m 4 ;5-主轴

图A.0.1-2 连杆质量分配图
1-曲柄;2-连杆

式中:m a ——旋转不平衡质量,可取曲柄—连杆—活塞机构各部分换算到曲柄销的质量(kg);
m b ——往复运动质量,可取曲柄—连杆—活塞机构各部分换算到十字头的质量(kg);
m 1 ——曲柄销的质量(kg);
m 2 ——单个曲柄臂(或端曲柄臂)的质量(kg);
m′ 2 ——单个中间曲柄臂的质量(kg);
m 3 ——单个连杆的质量(kg);
m 4 ——单个平衡质量(kg);
m c ——往复运动部件(包括十字头、活塞杆、活塞)的质量(kg);
r o ——曲柄半径(m);
r 2 ——主轴至单个曲柄臂(或端曲柄臂)重心的距离(m);
r′ 2 ——主轴至单个中间曲柄臂重心的距离(m);
r 4 ——主轴至单个平衡质量重心的距离(m);
l o ——连杆长度(m);
l c ——连杆重心至曲柄销的距离(m),l c /l o 可取0.3;
k——同一曲柄上所连接的连杆个数;
a——两个平衡质量重心的轴向间距(m);
b——同一曲柄上所连接多个连杆的轴向间距(m);
c——成对设置的两个曲柄中心的轴向间距(m);
d——两个端曲柄臂重心的轴向间距(m);
d′——两个单中间曲柄臂重心的轴向间距(m)。
附录B常用往复式机器的振动荷载
附录B 常用往复式机器的振动荷载
B.0.1 常用往复式机器的振动荷载,宜按表B.0.1进行计算。
表B.0.1 常用往复式机器的振动荷载计算公式












B.0.2 常用往复式发动机的振动荷载。宜按表B.0.2进行计算。
表B.0.2 常用往复式发动机振动荷载计算公式



注:1 m a 及m b 应分别按附录A式(A.0.1-1)~式(A.0.1-3)计算;
2 往复式发动机的振动荷载,按表B.0.2计算后,宜乘以增大系数,增大系数宜取1.10~1.35,扰力或扰力矩平衡较好时取小值,否则取大值;
3 立式6缸和V型12缸及其以上机型的惯性力均已平衡,各项扰力和扰力矩均为0,未列入表中。
附录C破碎机的振动荷载
附录C 破碎机的振动荷载
C.0.1 颚式破碎机的振动荷载,宜按表C.0.1确定。
表C.0.1 颚式破碎机动力参数及振动荷载

C.0.2 圆锥破碎机的振动荷载,宜按表C.0.2确定。
表C.0.2 圆锥破碎机动力参数及振动荷载

C.0.3 旋回破碎机的振动荷载,宜按表C.0.3确定。
表C.0.3 旋回破碎机振动荷载值


C.0.4 锤式破碎机的振动荷载,宜按表C.0.4确定。
表C.0.4 锤式破碎机振动荷载

注:表中振动荷载值所采用的偏心距e 0 为2mm。
C.0.5 反击式破碎机的振动荷载,宜按表C.0.5确定。
表C.0.5 反击式破碎机振动荷载

注:表中振动荷载值所采用的偏心距e 0 为2mm。
本标准用词说明
本标准用词说明
1 为便于在执行本标准条文时区别对待,对要求严格程度不同的用词说明如下:
1)表示很严格,非这样做不可的用词:
正面词采用“必须”;反面词采用“严禁”;
2)表示严格,在正常情况下均应这样做的用词:
正面词采用“应”;反面词采用“不应”或“不得”;
3)表示允许稍有选择,在条件许可时首先这样做的用词:
正面词采用“宜”;反面词采用“不宜”;
4)表示有选择,在一定条件下可以这样做的用词,采用“可”。
2 条文中指明应按其他有关标准执行的写法为:“应符合……的规定”或“应按……执行”。
引用标准名录
引用标准名录
1 《建筑结构荷载规范》GB 50009
2 《动力机器基础设计规范》GB 50040
3 《建筑结构可靠度设计统一标准》GB 50068
4 《机械振动 恒态(刚性)转子平衡品质要求 第1部分:规范与平衡允差的检验》GB/T 9239.1/ISO
