Appearance
《建筑边坡工程技术规范[附条文说明]》GB 50330-2013
🗓️ 住房和城乡建设部 实施时间:2014-06-01
前言
中华人民共和国国家标准
建筑边坡工程技术规范
Technical code for building slope engineering
GB 50330-2013
主编部门:重庆市城乡建设委员会
批准部门:中华人民共和国住房和城乡建设部
施行日期:2014年6月1日
中华人民共和国住房和城乡建设部公告
第195号
住房城乡建设部关于发布国家标准《建筑边坡工程技术规范》的公告
现批准《建筑边坡工程技术规范》为国家标准,编号为GB 50330-2013,自2014年6月1日起实施。其中,第3.1.3、3.3.6、18.4.1、19.1.1条为强制性条文,必须严格执行。原《建筑边坡工程技术规范》GB 50330-2002同时废止。
本规范由我部标准定额研究所组织中国建筑工业出版社出版发行。
中华人民共和国住房和城乡建设部
2013年11月1日
前 言
根据原建设部《关于印发<2007年工程建设标准规范制订、修订计划(第一批)>的通知》(建标[2007]125号)的要求,规范编制组经广泛调查研究,认真总结实践经验,参考有关国内标准和国际标准,并在广泛征求意见的基础上,修订了《建筑边坡工程技术规范》GB 50330-2002。
本规范主要技术内容是:1.总则;2.术语和符号;3.基本规定;4.边坡工程勘察;5.边坡稳定性评价;6.边坡支护结构上的侧向岩土压力;7.坡顶有重要建(构)筑物的边坡工程;8.锚杆(索);9.锚杆(索)挡墙;10.岩石锚喷支护;11.重力式挡墙;12.悬臂式挡墙和扶壁式挡墙;13.桩板式挡墙;14.坡率法;15.坡面防护与绿化;16.边坡工程排水;17.工程滑坡防治;18.边坡工程施工;19.边坡工程监测、质量检验及验收。
本规范修订的主要技术内容是:
1.明确临时性边坡(包括岩质基坑边坡)的有关参数,(如破裂角、等效内摩擦角等)取值,给出临时性边坡的侧向压力计算;
2.将锚杆有关计算(锚杆截面、锚固体与地层的锚固长度和杆体与锚固体的锚固长度计算)由原规范的概率极限状态计算方法转换成安全系数法;
3.调整边坡稳定性分析评价方法:圆弧形滑动面稳定性计算时推荐采用毕肖普法,折线形滑动面稳定性计算时推荐采用传递系数隐式解法;
4.增加分阶坡形的侧压力计算方法,给出了抗震时边坡支护结构侧压力的计算内容;
5.对永久性边坡的岩石锚喷支护进行了局部修改完善,补充了临时性边坡及坡面防护的锚喷支护的有关内容;
6.增加扶壁式挡墙形式,补充有关技术内容;
7.新增“桩板式挡墙”一章,给出了桩板式挡墙的设计原则、计算、构造及施工等有关技术内容;
8.新增“坡面防护与绿化”一章,规定了坡面防护与绿化的设计原则、计算、构造及施工等有关技术内容;
9.将原规范第3.5节“排水措施”扩充成“边坡工程排水”一章,规定了边坡工程坡面防水、地下排水及防渗的设计和施工方法;
10.将原规范第3.6节“坡顶有重要建(构)筑物的边坡工程设计”与第14章“边坡变形控制”合并,形成本规范的第7章“坡顶有重要建(构)筑物的边坡工程”,规定了坡顶有重要建(构)筑物边坡工程设计原则、方法、岩土侧压力的修订方法,抗震设计及安全施工的具体要求;
11.修改工程滑坡的防治,删除危岩和崩塌防治内容;
12.对边坡工程监测、质量检验及验收进行局部修改完善,并给出了边坡工程监测的预警值。
本规范中以黑体字标志的条文为强制性条文,必须严格执行。
本规范由住房和城乡建设部负责管理和对强制性条文的解释,由重庆市设计院负责具体技术内容的解释。执行过程中如有意见或建议,请寄送重庆市设计院(地址:重庆市渝中区人和街31号,邮政编码:400015)。
本规范主编单位: 重庆市设计院
中国建筑技术集团有限公司
本规范参编单位: 中国人民解放军后勤工程学院
中冶建筑研究总院有限公司
重庆市建筑科学研究院
重庆交通大学
中铁二院重庆勘察设计研究院有限责任公司
中国科学院地质与地球物理研究所
建设综合勘察研究设计院有限公司
大连理工大学
中国建筑西南勘察设计研究院有限公司
北京市勘察设计研究院有限公司
重庆市建设工程勘察质量监督站
重庆大学
重庆一建建设集团有限公司
本规范主要起草人员: 郑生庆 郑颖人 黄强 陈希昌 汤启明 刘兴远 陆新 胡建林 凌天清 黄家愉 周显毅 何平 康景文 贾金青 李正川 沈小克 伍法权 周载阳 杨素春 李耀刚 张季茂 王华 姚刚 周忠明 张智浩 张培文
本规范主要审查人员: 滕延京 钱志雄 张旷成 杨斌 罗济章 薛尚铃 王德华 钟阳 戴一鸣 常大美
1 总则
1 总 则
1.0.1 为在建筑边坡工程的勘察、设计、施工及质量控制中贯彻执行国家技术经济政策,做到技术先进、安全可靠、经济合理、确保质量和保护环境,制定本规范。
条文说明
1.0.1 山区建筑边坡支护技术,涉及工程地质、水文地质、岩土力学、支护结构、锚固技术、施工及监测等多门学科,边坡支护理论及技术发展也较快。但因勘察、设计、施工不当,已建的边坡工程中时有垮塌事故和浪费现象,造成国家和人民生命财产严重损失,同时遗留了一些安全度、耐久性及抗震性能低的边坡支护结构物。制定本规范的主要目的是使建筑边坡工程技术标准化,符合技术先进、经济合理、安全适用、确保质量、保护环境的要求,以保障建筑边坡工程建设健康发展。
1.0.2 本规范适用于岩质边坡高度为30m以下(含30m)、土质边坡高度为15m以下(含15m)的建筑边坡工程以及岩石基坑边坡工程。
超过上述限定高度的边坡工程或地质和环境条件复杂的边坡工程除应符合本规范的规定外,尚应进行专项设计,采取有效、可靠的加强措施。
条文说明
1.0.2 本规范适用于建(构)筑物或市政工程开挖和填方形成的人工边坡,工程滑坡,岩石基坑边坡,以及破坏后危及建(构)筑物安全的自然斜坡的支护设计。 软土边坡有关抗隆起、抗渗流、边坡稳定、锚固技术、地下水处理、结构选型等较特殊的问题以及其他特殊岩土的边坡,应按现行相关专业规范执行。对于开矿、采石等形成的边坡,不适用于本规范,应按相关专业规范执行。
1.0.3 软土、湿陷性黄土、冻土、膨胀土和其他特殊性岩土以及侵蚀性环境的建筑边坡工程,尚应符合国家现行相应专业标准的规定。
条文说明
1.0.3 本条中岩质建筑边坡应用高度限值确定为30m、土质建筑边坡确定为15m,主要考虑超过以上高度的超高边坡支护设计,应参考本规范的原则作专项设计,根据工程情况采取有效的加强措施。
1.0.4 建筑边坡工程应综合考虑工程地质、水文地质、边坡高度、环境条件、各种作用、邻近的建(构)筑物、地下市政设施、施工条件和工期等因素,因地制宜,精心设计,精心施工。
条文说明
1.0.4 边坡工程的设计和施工除考虑条文中所述工程地质、周边环境等因素外,强调借鉴地区经验因地制宜是非常必要的。结合本规范给出的边坡支护形式、施工工艺及岩土参数,各地区可根据岩土的特性、地质情况等作具体补充。
1.0.5 建筑边坡工程除应符合本规范外,尚应符合国家现行有关标准的规定。
条文说明
1.0.5 边坡支护是一门综合性和边缘性强的工程技术,本规范难以全面反映地质勘察、地基及基础、钢筋混凝土结构及抗震设计等技术。因此,本条规定除遵守本规范外,尚应符合国家现行有关标准的规定。
2 术语和符号
2.1 术语
2 术语和符号
2.1 术 语
2.1.1 建筑边坡 building slope
在建筑场地及其周边,由于建筑工程和市政工程开挖或填筑施工所形成的人工边坡和对建(构)筑物安全或稳定有不利影响的自然斜坡。本规范中简称边坡。
2.1.2 边坡支护 slope retaining
为保证边坡稳定及其环境的安全,对边坡采取的结构性支挡、加固与防护行为。
2.1.3 边坡环境 slope environment
边坡影响范围内或影响边坡安全的岩土体、水系、建(构)筑物、道路及管网等的统称。
2.1.4 永久性边坡 longterm slope
设计使用年限超过2年的边坡。
2.1.5 临时性边坡 temporary slope
设计使用年限不超过2年的边坡。
2.1.6 锚杆(索) anchor(anchorage)
将拉力传至稳定岩土层的构件(或系统)。当采用钢绞线或高强钢丝束并施加一定的预拉应力时,称为锚索。
2.1.7 锚杆挡墙 retaining wall with anchors
由锚杆(索)、立柱和面板组成的支护结构。
2.1.8 锚喷支护 anchor-shotcrete retaining
由锚杆和喷射混凝土面板组成的支护结构。
2.1.9 重力式挡墙 gravity retaining wall
依靠自身重力使边坡保持稳定的支护结构。
2.1.10 扶壁式挡墙 counterfort retaining wall
由立板、底板、扶壁和墙后填土组成的支护结构。
2.1.11 桩板式挡墙 pile-sheet retaining
由抗滑桩和桩间挡板等构件组成的支护结构。
2.1.12 坡率法 slope ratio method
通过调整、控制边坡坡率维持边坡整体稳定和采取构造措施保证边坡及坡面稳定的边坡治理方法。
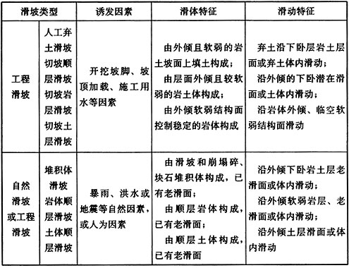
2.1.13 工程滑坡 engineering-triggered landslide
因建筑和市政建设等工程行为而诱发的滑坡。
2.1.14 软弱结构面 weak structural plane
断层破碎带、软弱夹层、含泥或岩屑等结合程度很差、抗剪强度极低的结构面。
2.1.15 外倾结构面 out-dip structural plane
倾向坡外的结构面。
2.1.16 边坡塌滑区 landslip zone of slope
计算边坡最大侧压力时潜在滑动面和控制边坡稳定的外倾结构面以外的区域。
2.1.17 岩体等效内摩擦角 equivalent angle of internal friction
包括边坡岩体黏聚力、重度和边坡高度等因素影响的综合内摩擦角。
2.1.18 动态设计法 method of information design
根据信息法施工和施工勘察反馈的资料,对地质结论、设计参数及设计方案进行再验证,确认原设计条件有较大变化,及时补充、修改原设计的设计方法。
2.1.19 信息法施工 construction of information
根据施工现场的地质情况和监测数据,对地质结论、设计参数进行验证,对施工安全性进行判断并及时修正施工方案的施工方法。
2.1.20 逆作法 topdown construction method
在建筑边坡工程施工中自上而下分阶开挖及支护的施工方法。
2.1.21 土层锚杆 anchored bar in soil
锚固于稳定土层中的锚杆。
2.1.22 岩石锚杆 anchored bar in rock
锚固于稳定岩层内的锚杆。
2.1.23 系统锚杆 system of anchor bars
为保证边坡整体稳定,在坡体上按一定方式设置的锚杆群。
2.1.24 坡顶重要建(构)筑物 important construction on top of slope
位于边坡坡顶上的破坏后果很严重、严重的建(构)筑物。
2.1.25 荷载分散型锚杆 load-dispersive anchorage
在锚杆孔内,由多个独立的单元锚杆所组成的复合锚固体系。每个单元锚杆由独立的自由段和锚固段构成,能使锚杆所承担的荷载分散于各单元锚杆的锚固段上。一般可分为压力分散型锚杆和拉力分散型锚杆。
2.1.26 地基系数 coefficient of subgrade reaction
弹性半空间地基上某点所受的法向压力与相应位移的比值,又称温克尔系数。
2.2 符号
2.2 符 号
2.2.1 作用和作用效应
e a ——修正前侧向土压力;
e′ a ——修正后侧向土压力;
e p ——挡墙前侧向被动土压力;
E a ——相应于荷载标准组合的主动岩土压力合力;
E′ a ——修正主动岩土压力合力;
E′ ah ——侧向岩土压力合力水平分力修正值;
E 0 ——静止土压力;
E p ——挡墙前侧向被动土压力合力;
G——四边形滑裂体自重;挡墙每延米自重;滑体单位宽度自重;
H tk ——锚杆水平拉力标准值;
K a ——主动岩、土压力系数;
K 0 ——静止土压力系数;
K p ——被动岩、土压力系数;
q——地表均布荷载标准值;
q L ——局部均布荷载标准值;
α w ——边坡综合水平地震系数。
2.2.2 材料性能和抗力性能
c——岩土体的黏聚力;滑移面的黏聚力;
c′——有效应力的岩土体的黏聚力;
c s ——边坡外倾软弱结构面的黏聚力;
φ——岩土体的内摩擦角;
φ′——有效应力的岩土体的内摩擦角;
φ s ——边坡外倾软弱结构面内摩擦角;
γ——岩土体的重度;
γ′——岩土体的浮重度;
γ sat ——岩土体的饱和重度;
γ w ——水的重度;
D r ——土体的相对密实度;
ω L ——土体的液限;
I L ——土的液性指数;
μ——挡墙底与地基岩土体的摩擦系数;
ρ——地震角。
2.2.3 几何参数
a——上阶边坡的宽度;坡脚到坡顶重要建筑物基础外边缘的水平距离;
A——锚杆杆体截面面积;滑动面面积;
A c ——锚固体截面面积;
A s ——锚杆钢筋或预应力钢绞线截面面积;
B——肋柱宽度;
B p ——桩身计算宽度;
H——边坡高度;挡墙高度;
L——边坡坡顶塌滑区外缘至坡底边缘的水平投影距离;
l a ——锚杆锚固体与地层间的锚固段长度或锚筋与砂浆间的锚固长度;
α——锚杆倾角;支挡结构墙背与水平面的夹角;
α′——边坡面与水平面的夹角;
α 0 ——挡墙底面倾角;
β——填土表面与水平面的夹角;地表斜坡面与水平面的夹角;
δ——墙背与岩土的摩擦角;
δ r ——稳定且无软弱层的岩石坡面与填土间的内摩擦角;
θ——边坡的破裂角;缓倾的外倾软弱结构面的倾角;假定岩土体滑动面与水平面的夹角;稳定岩石坡面或假定边坡岩土体滑动面与水平面的夹角;滑面倾角。
2.2.4 计算系数
F s ——边坡稳定性系数;挡墙抗滑移稳定系数;
F t ——挡墙抗倾覆稳定系数;
F st ——边坡稳定安全系数;
K——安全系数;
K b ——锚杆杆体抗拉安全系数,或锚杆钢筋抗拉安全系数;
β 1 ——岩质边坡主动岩石压力修正系数;
β 2 ——锚杆挡墙侧向岩土压力修正系数;
γ 0 ——支护结构重要性系数;
γ k ——滑坡稳定安全系数。
3 基本规定
3.1 一般规定
3 基本规定
3.1 一般规定
3.1.1 建筑边坡工程设计时应取得下列资料:
1 工程用地红线图、建筑平面布置总图、相邻建筑物的平、立、剖面和基础图等;
2 场地和边坡勘察资料;
3 边坡环境资料;
4 施工条件、施工技术、设备性能和施工经验等资料;
5 有条件时宜取得类似边坡工程的经验。
3.1.2 一级边坡工程应采用动态设计法。二级边坡工程宜采用动态设计法。
条文说明
3.1.2 动态设计法是本规范边坡支护设计的基本原则。采用动态设计时,应提出对施工方案的特殊要求和监测要求,应掌握施工现场的地质状况、施工情况和变形、应力监测的反馈信息,并根据实际地质状况和监测信息对原设计作校核、修改和补充。当地质勘察参数难以准确确定、设计理论和方法带有经验性和类比性时,根据施工中反馈的信息和监控资料完善设计,是一种客观求实、准确安全的设计方法,可以达到以下效果:
1 避免勘察结论失误。山区地质情况复杂、多变,受多种因素制约,地质勘察资料准确性的保证率较低,勘察主要结论失误造成边坡工程失败的现象不乏其例。因此规定地质情况复杂的一级边坡在施工开挖中补充施工勘察工作,收集地质资料,查对核实原地质勘察结论。这样可有效避免勘察结论失误而造成工程事故。在有专门审查制度的地区,场地和边坡勘察报告应含有审查合格书。
2 设计者掌握施工开挖反映的真实地质特征、边坡变形量、应力测定值等,对原设计作校核和补充、完善设计,确保工程安全,设计合理。
3 边坡变形和应力监测资料是加快施工速度或排危应急抢险,确保工程安全施工的重要依据。
4 有利于积累工程经验,总结和发展边坡工程支护技术。 设计应提出对施工方案的特殊要求和监测要求,掌握施工现场的地质状况、施工情况和变形、应力监测的反馈信息,根据实际地质状况和监测信息对原设计作校核、修改和补充。
3.1.3 建筑边坡工程的设计使用年限不应低于被保护的建(构)筑物设计使用年限。 (自2022年1月1日起废止该条,详见新规 《建筑与市政地基基础通用规范》 GB 55003-2021)
条文说明
3.1.3 边坡的使用年限指边坡工程的支护结构能发挥正常支护功能的年限,边坡工程设计年限临时边坡为2年,永久边坡按50年设计,当受边坡支护结构保护的建筑物(坡顶塌滑区、坡下塌方区)为临时或永久性时,支护结构的设计使用年限应不低于上述值。因此,本条为强制性条文,应严格执行。
3.1.4 建筑边坡支护结构形式应考虑场地地质和环境条件、边坡高度、边坡侧压力的大小和特点、对边坡变形控制的难易程度以及边坡工程安全等级等因素,可按表3.1.4选定。
表3.1.4 边坡支护结构常用形式


条文说明
3.1.4 综合考虑场地地质条件、边坡变形控制的难易程度、边坡重要性及安全等级、施工可行性及经济性、选择合理的支护设计方案是设计成功的关键。为便于确定设计方案,本条介绍了工程中常用的边坡支护形式,其中,锚拉式桩板式挡墙、板肋式或格构式锚杆挡墙、排桩式锚杆挡墙属于有利于对边坡变形进行控制的支护形式,其余支护形式均不利于边坡变形控制。
3.1.5 规模大、破坏后果很严重、难以处理的滑坡、危岩、泥石流及断层破碎带地区,不应修筑建筑边坡。
条文说明
3.1.5 建筑边坡场地有无不良地质现象是建筑物及建筑边坡选址首先必须考虑的重大问题。显然在滑坡、危岩及泥石流规模大、破坏后果严重、难以处理的地段规划建筑场地是难以满足安全可靠、经济合理的原则的,何况自然灾害的发生也往往不以人们的意志为转移。因此在规模大、难以处理的、破坏后果很严重的滑坡、危岩、泥石流及断层破碎带地区不应修建建筑边坡。
3.1.6 山区工程建设时应根据地质、地形条件及工程要求,因地制宜设置边坡,避免形成深挖高填的边坡工程。对稳定性较差且边坡高度较大的边坡工程宜采用放坡或分阶放坡方式进行治理。
条文说明
3.1.6 稳定性较差的高大边坡,采用后仰放坡或分阶放坡方案,有利于减小侧压力,提高施工期的安全和降低施工难度。分阶放坡时水平台阶应有足够宽度,否则应考虑上阶边坡对下阶边坡的荷载影响。
3.1.7 当边坡坡体内洞室密集而对边坡产生不利影响时,应根据洞室大小和深度等因素进行稳定性分析,采取相应的加强措施。
条文说明
3.1.7 当边坡坡体内及支护结构基础下洞室(人防洞室或天然溶洞)密集时,可能造成边坡工程施工期塌方或支护结构变形过大,已有不少工程教训,设计时应引起充分重视。
3.1.8 存在临空外倾结构面的岩土质边坡,支护结构基础必须置于外倾结构面以下稳定地层内。
3.1.9 边坡工程平面布置、竖向及立面设计应考虑对周边环境的影响,做到美化环境,体现生态保护要求。
3.1.10 当施工期边坡变形较大且大于规范、设计允许值时,应采取包括边坡施工期临时加固措施的支护方案。
3.1.11 对已出现明显变形、发生安全事故及使用条件发生改变的边坡工程,其鉴定和加固应按现行国家标准《建筑边坡工程鉴定与加固技术规范》GB 50843的有关规定执行。
条文说明
3.1.11 在边坡工程的使用期,当边坡出现明显变形,发生安全事故及使用条件改变时,例如开挖坡脚、坡顶超载、需加高坡体高度时,都必须进行鉴定和加固设计,并按现行国家标准《建筑边坡工程鉴定与加固技术规范》GB 50843的规定执行。
3.1.12 下列边坡工程的设计及施工应进行专门论证:
1 高度超过本规范适用范围的边坡工程;
2 地质和环境条件复杂、稳定性极差的一级边坡工程;
3 边坡塌滑区有重要建(构)筑物、稳定性较差的边坡工程;
4 采用新结构、新技术的一、二级边坡工程。
条文说明
3.1.12 本条所指“稳定性极差、较差”的边坡工程是指按本规范有关规定处理后安全度控制都非常困难、困难的边坡。本条所指的“新结构、新技术”是指尚未被规范和有关文件认可的新结构、新技术。对工程中出现超过规范应用范围的重大技术难题,新结构、新技术的合理推广应用以及严重事故的正确处理,采用专门技术论证的方式可达到技术先进、确保质量、安全经济的良好效果。重庆、广州和上海等地区在主管部门领导下,采用专家技术论证方式在解决重大边坡工程技术难题和减少工程事故方面已取得良好效果。因此本规范推荐专门论证做法。
3.1.13 建筑边坡工程的混凝土结构耐久性设计应符合现行国家标准《混凝土结构设计规范》GB 50010的规定。
3.2 边坡工程安全等级
3.2 边坡工程安全等级
3.2.1 边坡工程应根据其损坏后可能造成的破坏后果(危及人的生命、造成经济损失、产生不良社会影响)的严重性、边坡类型和边坡高度等因素,按表3.2.1确定边坡工程安全等级。
表3.2.1 边坡工程安全等级

注:1 一个边坡工程的各段,可根据实际情况采用不同的安全等级;
2 对危害性极严重、环境和地质条件复杂的边坡工程,其安全等级应根据工程情况适当提高;
3 很严重:造成重大人员伤亡或财产损失;严重:可能造成人员伤亡或财产损失;不严重:可能造成财产损失。
条文说明
3.2.1 边坡工程安全等级是支护工程设计、施工中根据不同的地质环境条件及工程具体情况加以区别对待的重要标准。本条提出边坡安全等级分类的原则,除根据现行国家标准《建筑结构可靠度设计统一标准》GB 50068按破坏后果严重性分为很严重、严重、不严重外,尚考虑了边坡稳定性因素(岩土类别和坡高)。从边坡工程事故原因分析看,高度大、稳定性差的边坡(土质软弱、滑坡区、外倾软弱结构面发育的边坡等)发生事故的概率较高,破坏后果也较严重,因此本条将稳定性很差的、坡高较大的边坡均划入一级边坡。 表3.2.1中对高度15m以上的Ⅲ、Ⅳ类岩质边坡取消了破坏后果不严重分级,主要是这类边坡岩石整体性相对差,边坡较高时若因支护结构安全度不够可能会造成较大范围的边坡垮塌,对周边环境的破坏大,而相同高度的Ⅰ、Ⅱ类岩质边坡整体性好,即使支护结构安全度不够也不会出现大范围的边坡垮塌。对10m以上的土质边坡,取消破坏后果不严重,也是基于边坡较高,一旦破坏,影响的范围较大。 对危害性极严重、环境和地质条件复杂的边坡工程,当安全等级已为一级时,主要通过组织专家进行专项论证的方式来保证边坡支护方案的安全性和合理性。
3.2.2 破坏后果很严重、严重的下列边坡工程,其安全等级应定为一级:
1 由外倾软弱结构面控制的边坡工程;
2 工程滑坡地段的边坡工程;
3 边坡塌滑区有重要建(构)筑物的边坡工程。
条文说明
3.2.2 由外倾软弱结构面控制边坡稳定的边坡工程和工程滑坡地段的边坡工程,其边坡稳定性很差,发生边坡塌滑事故的概率高,且破坏后果常很严重,边坡塌滑区内有重要建(构)筑物的边坡工程,破坏后直接危及到重要建(构)筑物安全,后果极其严重,因此对上述边坡工程安全等级定为一级。
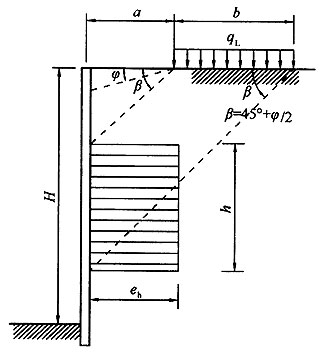
3.2.3 边坡塌滑区范围可按下式估算:

式中:L——边坡坡顶塌滑区外缘至坡底边缘的水平投影距离(m);
H——边坡高度(m);
θ——坡顶无荷载时边坡的破裂角(°);对直立土质边坡可取45°+φ/2,φ为土体的内摩擦角;对斜面土质边坡,可取(β+φ)/2,β为坡面与水平面的夹角,φ为土体的内摩擦角;对直立岩质边坡可按本规范第6.3.3条确定;对倾斜坡面岩质边坡可按本规范第6.3.4条确定。
条文说明
3.2.3 无外倾结构面的岩土边坡,塌滑区及附近有荷载,特别是重大建筑物荷载作用时,将会因荷载作用加大边坡塌滑区的范围,设计时应作对应的考虑和处理。并按本规范第7章的相关规定执行,工程滑坡及有外倾软弱结构面的岩土质边坡塌滑区应按滑坡面及软弱结构面的范围确定。
3.3 设计原则
3.3 设计原则
3.3.1 边坡工程设计应符合下列规定:
1 支护结构达到最大承载能力、锚固系统失效、发生不适于继续承载的变形或坡体失稳应满足承载能力极限状态的设计要求;
2 支护结构和边坡达到支护结构或邻近建(构)筑物的正常使用所规定的变形限值或达到耐久性的某项规定限值应满足正常使用极限状态的设计要求。
条文说明
3.3.1 本条说明边坡工程设计的两类极限状态的相关内容。
1 承载能力极限状态
锚杆设计时原规范采用承载力概率极限状态分项系数的设计方法。本次修订改为综合安全系数代替荷载分项系数及锚杆工作条件系数,以锚杆极限承载力为抗力的基本参数。这种调整一方面实现了与现行国家标准《建筑地基基础设计规范》GB 50007和《锚杆喷射混凝土支护技术规范》GB 50086的规定一致,便于使用;另一方面岩土性状的不确定性对锚杆承载力可靠性的影响,使锚杆承载力概率极限状态设计尚属不完全的可靠性分析设计,进行调整是合理的。
2 正常使用极限状态
为保证支护结构的耐久性和防腐性达到正常使用极限状态的要求,支护结构的钢筋混凝土构件的构造和抗裂应按现行国家标准《混凝土结构设计规范》GB 50010有关规定执行。锚杆是承受高应力的受拉构件,其锚固砂浆的裂缝开展较大,计算一般难以满足规范要求,设计中应采取严格的防腐构造措施,保证锚杆的耐久性。
3.3.2 边坡工程设计所采用作用效应组合与相应的抗力限值应符合下列规定:
1 按地基承载力确定支护结构或构件的基础底面积及埋深或按单桩承载力确定桩数时,传至基础或桩上的作用效应应采用荷载效应标准组合;相应的抗力应采用地基承载力特征值或单桩承载力特征值;
2 计算边坡与支护结构的稳定性时,应采用荷载效应基本组合,但其分项系数均为1.0;
3 计算锚杆面积、锚杆杆体与砂浆的锚固长度、锚杆锚固体与岩土层的锚固长度时,传至锚杆的作用效应应采用荷载效应标准组合;
4 在确定支护结构截面、基础高度、计算基础或支护结构内力、确定配筋和验算材料强度时,应采用荷载效应基本组合,并应满足下式的要求:
γ 0 S≤R (3.3.2)
式中:S——基本组合的效应设计值;
R——结构构件抗力的设计值;
γ 0 ——支护结构重要性系数,对安全等级为一级的边坡不应低于1.1,二、三级边坡不应低于1.0。
5 计算支护结构变形、锚杆变形及地基沉降时,应采用荷载效应的准永久组合,不计入风荷载和地震作用,相应的限值应为支护结构、锚杆或地基的变形允许值;
6 支护结构抗裂计算时,应采用荷载效应标准组合,并考虑长期作用影响;
7 抗震设计时地震作用效应和荷载效应的组合应按国家现行有关标准执行。
条文说明
3.3.2 本次修订对边坡工程计算或验算的内容采用的不同荷载效应组合与相应的抗力进行了规定。
1 确定支护结构或构件的基础底面积及埋深或桩基数量时,应采用正常使用极限状态,相应的作用效应为标准组合;
2 确定锚杆面积、锚杆杆体与砂浆的锚固长度时,由于本次规范修订采用了安全系数法,均采用荷载效应标准组合;
3 计算支护结构或构件内力及配筋时,应采用混凝土结构相应的设计方法;荷载相应采用基本组合,抗力采用包含抗力分项系数的设计值;
4 边坡变形验算时,仅考虑荷载的长期组合,不考虑偶然荷载的作用;支护结构抗裂计算与钢筋混凝土结构裂缝计算一致,采用荷载相应标准组合和荷载准永久组合。
3.3.3 地震区边坡工程应按下列原则考虑地震作用的影响:
1 边坡工程抗震设防烈度应根据中国地震动参数区划图确定的本地区地震基本烈度,且不应低于边坡塌滑区内建筑物的设防烈度;
2 抗震设防的边坡工程,其地震作用计算应按国家现行有关标准执行;抗震设防烈度为6度的地区,边坡工程支护结构可不进行地震作用计算,但应采取抗震构造措施,抗震设防烈度6度以上的地区,边坡工程支护结构应进行地震作用计算,临时性边坡可不作抗震计算;
3 支护结构和锚杆外锚头等,应按抗震设防烈度要求采取相应的抗震构造措施。
条文说明
3.3.3 建筑边坡抗震设防的必要性成为工程界的统一认识。城市中建筑边坡一旦破坏将直接危及到相邻的建筑,后果极为严重,因此抗震设防的建筑边坡与建筑物的基础同样重要。本条提出在边坡设计中应考虑抗震构造要求,其构造应满足现行国家标准《建筑抗震设计规范》GB 50011中对梁的相应要求,当立柱竖向附加荷载较大时,尚应满足对柱的相应要求。 对坡顶有重要建(构)筑物的边坡工程,边坡的抗震加强措施主要通过增大地震作用来进行加强处理,具体内容本规范第7章有专门介绍。
3.3.4 抗震设防区,支护结构或构件承载能力应采用地震作用效应和荷载效应基本组合进行验算。
3.3.5 边坡工程设计应包括支护结构的选型、平面及立面布置、计算、构造和排水,并对施工、监测及质量验收等提出要求。
3.3.6 边坡支护结构设计时应进行下列计算和验算:
1 支护结构及其基础的抗压、抗弯、抗剪、局部抗压承载力的计算;支护结构基础的地基承载力计算;
2 锚杆锚固体的抗拔承载力及锚杆杆体抗拉承载力的计算;
3 支护结构稳定性验算。 (自2022年1月1日起废止该条,详见新规 《建筑与市政地基基础通用规范》 GB 55003-2021)
条文说明
3.3.6 本条第1~3款所列内容是支护结构承载力计算和稳定性计算的基本要求,是边坡工程满足承载能力极限状态的具体内容,是支护结构安全的重要保证;因此,本条定为强制性条文,设计时上述内容应认真计算,满足规范要求以确保工程安全。
3.3.7 边坡支护结构设计时尚应进行下列计算和验算:
1 地下水发育边坡的地下水控制计算;
2 对变形有较高要求的边坡工程还应结合当地经验进行变形验算。
条文说明
3.3.7 本条对存在地下水的不利作用以及变形验算作出规定:
1 当坡顶荷载较大(如建筑荷载等)、土质较软、地下水发育时,边坡尚应进行地下水控制、坡底隆起、稳定性及渗流稳定性验算,方法可按国家现行有关规范执行。
2 影响边坡及支护结构变形的因素复杂,工程条件繁多,目前尚无实用的理论计算方法可用于工程实践。本规范第8.2.6条关于锚杆的变形计算,也只是近似的简化计算。在工程设计中,为保证下列类型的一级边坡满足正常使用极限状态条件,主要依据地区经验、工程类比及信息法施工等控制性措施解决。对边坡变形有较高要求的边坡工程,主要有以下几类:
1)边坡塌滑区附近有建(构)筑物的边坡工程;
2)坡顶建(构)筑物主体结构对地基变形敏感,不允许地基有较大变形的边坡工程;
3)预估变形值较大、设计需要控制变形的高大土质边坡工程。
4 边坡工程勘察
4.1 一般规定
4 边坡工程勘察
4.1 一般规定
4.1.1 下列建筑边坡工程应进行专门性边坡工程地质勘察:
1 超过本规范适用范围的边坡工程;
2 地质条件和环境条件复杂、有明显变形迹象的一级边坡工程;
3 边坡邻近有重要建(构)筑物的边坡工程。
条文说明
4.1.1 本条为新增条文。专门性边坡工程岩土勘察报告应包括以下主要内容:
1 勘察目的、任务要求和执行的主要技术标准;
2 边坡安全等级和勘察等级;
3 边坡概况(含边坡要素、边坡组成、边坡类型、边坡性质等);
4 勘察方法、工作量布置和质量评述;
5 自然地理概况;
6 地质环境;
7 边坡岩体类别划分和可能的破坏模式;
8 岩土体物理力学性质;
9 地震效应和地下水腐蚀性评价;
10 边坡稳定性评价(定性、定量评价一计算模式、计算工况、计算参数取值依据、稳定状态判定等)及支护建议;
11 结论与建议。
4.1.2 除本规范第4.1.1条规定外的其他边坡工程可与建筑工程地质勘察一并进行,但应满足边坡勘察的工作深度和要求,勘察报告应有边坡稳定性评价的内容。大型和地质环境复杂的边坡工程宜分阶段勘察;当地质环境复杂、施工过程中发现地质环境与原勘察资料不符且可能影响边坡治理效果或因设计、施工原因变更边坡支护方案时尚应进行施工勘察。
条文说明
4.1.2 本条在原规范第4.1.1条的基础上作了局部修改,并将原强制性条文的部分改为一般性条文。
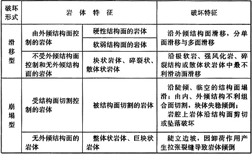
4.1.3 岩质边坡的破坏形式应按表4.1.3划分。
表4.1.3 岩质边坡的破坏形式分类

条文说明
4.1.3 本条为原规范第3.1.2条。本次在崩塌破坏模式中增加了常见的坡顶破坏模式。
4.1.4 岩质边坡工程勘察应根据岩体主要结构面与坡向的关系、结构面的倾角大小、结合程度、岩体完整程度等因素对边坡岩体类型进行划分,并应符合表4.1.4的规定。
表4.1.4 岩质边坡的岩体分类


注:1 结构面指原生结构面和构造结构面,不包括风化裂隙;
2 外倾结构面系指倾向与坡向的夹角小于30°的结构面;
3 不包括全风化基岩;全风化基岩可视为土体;
4 Ⅰ类岩体为软岩,应降为Ⅱ类岩体;Ⅰ类岩体为较软岩且边坡高度大于15m时,可降为Ⅱ类;
5 当地下水发育时,Ⅱ、Ⅲ类岩体可根据具体情况降低一档;
6 强风化岩应划为Ⅳ类;完整的极软岩可划为Ⅲ类或Ⅳ类;
7 当边坡岩体较完整、结构面结合差或很差、外倾结构面或外倾不同结构面的组合线倾角27°~75°,结构面贯通性差时,可划为Ⅲ类;
8 当有贯通性较好的外倾结构面时应验算沿该结构面破坏的稳定性。
条文说明
4.1.4 表4.1.4在原规范表A-1的基础上作了以下调整:
1 表中结构面倾角由35°改为27°;本次修改中既考虑了垂直边坡又考虑了倾斜边坡,缓倾结构面在斜边坡中容易发生破坏,因而将结构面倾角降低为27°;
2 不完整(散体、碎裂)改为破碎或极破碎;
3 调整了表注:1)明确表中结构面系指构造结构面,不包括风化裂隙;2)不包括全风化基岩;3)完整的极软岩可划为Ⅲ类或Ⅳ类。
边坡岩体分类是非常重要的。本规范从岩体力学观点出发,强调结构面对边坡稳定的控制作用,按岩体边坡的稳定性进行分类。 本次修订补充了受外倾结构面控制的岩质边坡的岩体分类。
4.1.5 当无外倾结构面及外倾不同结构面组合时,完整、较完整的坚硬岩、较硬岩宜划为Ⅰ类,较破碎的坚硬岩、较硬岩宜划为Ⅱ类;完整、较完整的较软岩、软岩宜划为Ⅱ类,较破碎的较软岩、软岩可划为Ⅲ类。
条文说明
4.1.5 本条为新增条文,对原规范第4.1.4条中未能包含的岩体类型予以补充。
4.1.6 确定岩质边坡的岩体类型时,由坚硬程度不同的岩石互层组成且每层厚度小于或等于5m的岩质边坡宜视为由相对软弱岩石组成的边坡。当边坡岩体由两层以上单层厚度大于5m的岩体组成时,可分段确定边坡岩体类型。
4.1.7 已有变形迹象的边坡宜在勘察期间进行变形监测。
条文说明
4.1.7 本条对原规范第4.1.4条的调整。强调对已有变形迹象的边坡应在勘察过程中进行变形监测。
4.1.8 边坡工程勘察等级应根据边坡工程安全等级和地质环境复杂程度按表4.1.8划分。
表4.1.8 边坡工程勘察等级

4.1.9 边坡地质环境复杂程度可按下列标准判别:
1 地质环境复杂:组成边坡的岩土体种类多,强度变化大,均匀性差,土质边坡潜在滑面多,岩质边坡受外倾结构面或外倾不同结构面组合控制,水文地质条件复杂;
2 地质环境中等复杂:介于地质环境复杂与地质环境简单之间;
3 地质环境简单:组成边坡的岩土体种类少,强度变化小,均匀性好,土质边坡潜在滑面少,岩质边坡受外倾结构面或外倾不同结构面组合控制,水文地质条件简单。
条文说明
4.1.8、4.1.9 划分工程勘察等级的目的是突出重点,区别对待,指导勘察工作的布置,以利管理。边坡工程勘察的工作量布置与勘察等级关系密切,而原规范无边坡工程勘察等级的内容。故本次新增此内容。
4.1.10 工程滑坡应根据工程特点按现行国家有关标准执行。
4.2 边坡工程勘察要求
4.2 边坡工程勘察要求
4.2.1 边坡工程勘察前除应收集边坡及邻近边坡的工程地质资料外,尚应取得下列资料:
1 附有坐标和地形的拟建边坡支挡结构的总平面布置图;
2 边坡高度、坡底高程和边坡平面尺寸;
3 拟建场地的整平高程和挖方、填方情况;
4 拟建支挡结构的性质、结构特点及拟采取的基础形式、尺寸和埋置深度;
5 边坡滑塌区及影响范围内的建(构)筑物的相关资料;
6 边坡工程区域的相关气象资料;
7 场地区域最大降雨强度和二十年一遇及五十年一遇最大降水量;河、湖历史最高水位和二十年一遇及五十年一遇的水位资料;可能影响边坡水文地质条件的工业和市政管线、江河等水源因素,以及相关水库水位调度方案资料;
8 对边坡工程产生影响的汇水面积、排水坡度、长度和植被等情况;
9 边坡周围山洪、冲沟和河流冲淤等情况。
4.2.2 边坡工程勘察应包括下列内容:
1 场地地形和场地所在地貌单元;
2 岩土时代、成因、类型、性状、覆盖层厚度、基岩面的形态和坡度、岩石风化和完整程度;
3 岩、土体的物理力学性能;
4 主要结构面特别是软弱结构面的类型、产状、发育程度、延伸程度、结合程度、充填状况、充水状况、组合关系、力学属性和与临空面的关系;
5 地下水水位、水量、类型、主要含水层分布情况、补给及动态变化情况;
6 岩土的透水性和地下水的出露情况;
7 不良地质现象的范围和性质;
8 地下水、土对支挡结构材料的腐蚀性;
9 坡顶邻近(含基坑周边)建(构)筑物的荷载、结构、基础形式和埋深,地下设施的分布和埋深。
条文说明
4.2.1、4.2.2 本条是对边坡工程的具体要求,也是基本要求。 本次修订在原规范第4.2.1条中去掉原有的第5、6款(因已包含在第4.2.2条应查明的内容中),新增第6、7、8款有关气象、水文的内容(原规范第4.3.1条的部分内容)。 在原规范的第4.2.2条中新增“地下水、土对支护结构材料的腐蚀性”一款。
4.2.3 边坡工程勘察应先进行工程地质测绘和调查。工程地质测绘和调查工作应查明边坡的形态、坡角、结构面产状和性质等,工程地质测绘和调查范围应包括可能对边坡稳定有影响及受边坡影响的所有地段。
条文说明
4.2.3 地质测绘和调查是工程勘察的重要基础工作之一。一般应在可行性研究或初勘阶段进行。本条对测绘内容和范围进行了规定。在边坡工程调查与勘察中应加强对沟底及山前堆积物的勘察。
4.2.4 边坡工程勘探应采用钻探(直孔、斜孔)、坑(井)探、槽探和物探等方法。对于复杂、重要的边坡工程可辅以洞探。位于岩溶发育的边坡除采用上述方法外,尚应采用物探。
条文说明
4.2.4 本条是对边坡勘察中勘探工作的具体要求。本次修订增加了岩溶发育的边坡尚应采用物探方法的要求。
4.2.5 边坡工程勘探范围应包括坡面区域和坡面外围一定的区域。对无外倾结构面控制的岩质边坡的勘探范围:到坡顶的水平距离一般不应小于边坡高度;外倾结构面控制的岩质边坡的勘探范围应根据组成边坡的岩土性质及可能破坏模式确定。对于可能按土体内部圆弧形破坏的土质边坡不应小于1.5倍坡高。对可能沿岩土界面滑动的土质边坡,后部应大于可能的后缘边界,前缘应大于可能的剪出口位置。勘察范围尚应包括可能对建(构)筑物有潜在安全影响的区域。
条文说明
4.2.5 本条为原规范第4.1.2条的调整、补充。本次对岩质边坡区分了有、无外倾结构面控制的岩质边坡,增加了考虑潜在滑动面的勘探范围要求。 本次增加的涉水边坡的勘察范围主要指河、湖岸的边坡;对于海岸涉水边坡,应根据有关行业标准或地方经验确定。
4.2.6 勘探线应以垂直边坡走向或平行主滑方向布置为主,在拟设置支挡结构的位置应布置平行和垂直的勘探线。成图比例尺应大于或等于1:500,剖面的纵横比例应相同。
条文说明
4.2.6 边坡的破坏主要是重力作用下的一种地质现象,其破坏方式主要是沿垂直边坡方向的滑移失稳,故勘察线应沿垂直边坡布置。沿可能支挡位置布置剖面是设计的需要。本次增加了对成图比例尺的规定。规定纵、横剖面的比例尺应相同。
4.2.7 勘探点分为一般性勘探点和控制性勘探点。控制性勘探点宜占勘探点总数的1/5~1/3,地质环境条件简单、大型的边坡工程取1/5,地质环境条件复杂、小型的边坡工程取1/3,并应满足统计分析的要求。
条文说明
4.2.7 本条对控制性勘探点的数量进行了规定。
4.2.8 详细勘察的勘探线、点间距可按表4.2.8或地区经验确定。每一单独边坡段勘探线不应少于2条,每条勘探线不应少于2个勘探点。
表4.2.8 详细勘察的勘探线、点间距

注:初步勘察的勘探线、点间距可适当放宽。
4.2.9 边坡工程勘探点深度应进入最下层潜在滑面2.0m~5.0m,控制性钻孔取大值,一般性钻孔取小值;支挡位置的控制性勘探孔深度应根据可能选择的支护结构形式确定。对于重力式挡墙、扶壁式挡墙和锚杆挡墙可进入持力层不小于2.0m;对于悬臂桩进入嵌固段的深度土质时不宜小于悬臂长度的1.0倍,岩质时不小于0.7倍。
4.2.10 对主要岩土层和软弱层应采样进行室内物理力学性能试验,其试验项目应包括物性、强度及变形指标,试样的含水状态应包括天然状态和饱和状态。用于稳定性计算时土的抗剪强度指标宜采用直接剪切试验获取,用于确定地基承载力时土的峰值抗剪强度指标宜采用三轴试验获取。主要岩土层采集试样数量:土层不少于6组,对于现场大剪试验,每组不应少于3个试件;岩样抗压强度不应少于9个试件。岩石抗剪强度不少于3组。需要时应采集岩样进行变形指标试验,有条件时应进行结构面的抗剪强度试验。
条文说明
4.2.10 本次主要修订内容:1)明确规定岩石抗剪强度(试验)的试样数量不少于3组;并在2)明确有条件时应进行结构面的抗剪强度试验。 本规范采用概率理论对测试数据进行处理,根据概率理论,最小数据量n由tp/√n=Δr/δ确定。式中tp为t分布的系数值,与置信水平PS自由度(n-1)有关。一般土体的性质指标变异多为变异性很低~低,要较之岩体(变异性多为低~中等)为低。故土体6个测试数据(测试单值)基本能满足置信概率PS=0.95时的精度要求,而岩体则需9个测试数据(测试单值)才能达到置信概率PS=0.95时的精度要求。由于岩石三轴剪试验费用较高等原因,所以工作中可以根据地区经验确定岩体的c、φ值并应用测试成果作校核。 抗剪强度指标c、φ是一对负相关的指标,不应直接用符合正态分布单指标统计方法进行数理统计。应用单指标τ进行数理统计后,再按作图法或用最小二乘法计算出c、φ,但这样做较为麻烦。经将146组抗剪强度试验值用先统计τ,再计算c、φ和直接统计c、φ进行比较后,发现φ相差甚微,c相差5%以内。故当变异系数小于或等于0.20时,也可以直接统计c、φ。 当试验数据量不足时,一般可采用平均值乘以0.85~0.95的折减系数作为标准值。1)当3<n≤6且极差小于平均值的30%,宜取平均值乘以0.85~0.95的折减系数作为标准值(其数值不应小于最小值);2)当n=3或3<n≤6且极差大于平均值的30%,可取平均值乘以0.85~0.95的折减系数作为标准值(其数值不应大于最小值)。折减系数根据岩土均匀性确定。均匀时取较大值,不均匀时取较小值。 在专门性边坡工程地质勘察时,对有特殊要求的岩体边坡宜作岩体蠕变试验。 岩石(体)作为一种材料,具有在静载作用下随时间推移出现强度降低的“蠕变效应”(或称“流变效应”)。岩石(体)流变试验在我国(特别是建筑边坡)进行得不是很多。根据研究资料表明,长期强度一般为平均标准强度的80%左右。对于一些有特殊要求的岩质边坡,从安全、经济的角度出发,进行“岩体流变”试验是必要的。
4.2.11 建筑边坡工程勘察应提供水文地质参数。对于土质边坡及较破碎、破碎和极破碎的岩质边坡宜在不影响边坡安全条件下,通过抽水、压水或渗水试验确定水文地质参数。
条文说明
4.2.11 必要的水文地质参数是边坡稳定性评价、预测及排水系统设计所必需的,为获取水文地质参数而进行的现场试验必须在确保边坡稳定的前提下进行。 本次修订仅在“不影响边坡条件下”之前增加了附加条件;将“在不影响边坡安全条件下,可进行……”改为“宜在不影响边坡安全条件下,通过……”。 同时明确了影响边坡安全的岩土条件为土质边坡、较破碎、破碎和极破碎的岩质边坡。土质边坡、较破碎、破碎和极破碎的岩质边坡有可能在进行水文测试过程中导致边坡失稳,故应慎重。
4.2.12 建筑边坡工程勘察除应进行地下水力学作用和地下水物理、化学作用的评价以外,还应论证孔隙水压力变化规律和对边坡应力状态的影响,并应考虑雨季和暴雨过程的影响。
条文说明
4.2.12 本条要求在边坡工程勘察中,对边坡岩土体或可能的支护结构由于地下水产生的侵蚀、矿物成分改变等物理、化学影响及影响程度进行调查研究与评价。
4.2.13 对于地质条件复杂的边坡工程,初步勘察时宜选择部分钻孔埋设地下水和变形监测设备进行监测。
条文说明
4.2.13 地下水的长期观测和深部位移观测是十分重要的。地下水的长期观测可以为地下水的动态变化提供依据;深部位移观测则是滑坡预测的重要手段之一。
4.2.14 除各类监测孔外,边坡工程勘察工作中的探井、探坑和探槽等在野外工作完成后应及时封填密实。
条文说明
4.2.14 本条是对边坡岩土体和环境保护的基本要求。
4.2.15 对大型待填的填土边坡宜进行料源勘察,针对可能的取料地点,查明用于边坡填筑的岩土工程性质,为边坡填筑的设计和施工提供依据。
4.3 边坡力学参数取值
4.3 边坡力学参数取值
4.3.1 岩体结构面抗剪强度指标的试验应符合现行国家标准《工程岩体试验方法标准》GB/T 50266的有关规定。当无条件进行试验时,结构面的抗剪强度指标标准值在初步设计时可按表4.3.1并结合类似工程经验确定。
表4.3.1 结构面抗剪强度指标标准值

注:1 除第1项和第5项外,结构面两壁岩性为极软岩、软岩时取较低值;
2 取值时应考虑结构面的贯通程度;
3 结构面浸水时取较低值;
4 临时性边坡可取高值;
5 已考虑结构面的时间效应;
6 未考虑结构面参数在施工期和运行期受其他因素影响发生的变化,当判定为不利因素时,可进行适当折减。
条文说明
4.3.1 条文中增加了“并结合类似工程经验”一句话。在表注中作了调整:1)取消“无经验时取表中的低值”;2)将“岩体结构面贯通性差取表中高值”改为“取值时应考虑结构面的贯通程度”;3)新增注6。 现场剪切试验是确定结构面抗剪强度的一种有效手段,但是,由于受现场试验条件限制、试验费用较高、试验时间较长等影响,在勘察时难以普遍采用。而且,试验点的抗剪强度与整个结构面的抗剪强度可能会存在较大的偏差,这种“以点代面”可能与实际不符。此外,结构面的抗剪强度还将受施工期和运行期各种因素的影响。故本次修订未对现场剪切试验作明确规定,但是当试验条件具备时,一级边坡宜进行现场剪切试验。 准确确定结构面的抗剪强度指标是十分困难的,需要综合试验成果、地区经验,并考虑施工期和运行期各种影响因素,才能合理取值。表4.3.1所提供的结构面的抗剪强度指标经验值,经多年使用,情况反映良好,本次修订除附注外未作修改。 本次修订时增加的表注2“取值时应考虑结构面的贯通程度”是基于构造裂隙面一般延伸长度均有限,当边坡高度较大时,往往在边坡高度范围内裂隙并未完全贯通,有“岩桥”存在。此时边坡整体稳定性不仅受裂隙面的强度控制,更要受到岩体强度的控制。故判定裂隙的贯通程度是边坡勘察工作的重点之一。当采用斜孔、平洞等手段确能判定裂隙延长贯通深度小于边坡高度1/2时,裂隙面的抗剪强度的取值要提高(可在本档上限值的基础上适当提高)。 本次修订收集了结构面试验资料范围涉及铁路、水利、公路、城市建筑等领域岩体结构面试验成果共计30余组;并根据需要补充完成了结构面现场试验及室内中型试验共21组作为修订的依据。结构面性状包括层面和裂隙。主要考虑因素包括结构面的结合程度、裂隙宽度、充填物性状、起伏粗糙度、岩壁软硬及水的影响等。通过分析整理,对原《建筑边坡工程技术规范》GB 50330-2002进行完善和补充。需要说明的是,本次收集的结构面试验成果均为抗剪断峰值强度,经折减后成为设计值。具体说明如下:
1)结构面仍然分为五类,对边坡工程实用而言,应该重点研究Ⅱ、Ⅲ、Ⅳ类岩石边坡结构面的性质。
2)原有分类方法主要考虑了结构面张开度、充填性质、岩壁粗糙起伏程度,总体说来还比较笼统。本次提出的分类方法更为具体,分别考虑了结构面结合状况、起伏粗糙度、结构面张开度、充填状况、岩壁状况等5个因素。将结构面类型细分为更多的亚类,力求与实际结构面强度的确定相对应。
3)根据使用意见和研究成果,对各类结构面的表述与指标也作了一些修改,使其更为完善准确,但并无原则性的变动。
4.3.2 岩体结构面的结合程度可按表4.3.2确定。
表4.3.2 结构面的结合程度


注:1 起伏度:当R A ≤1%,平直;当1%<R A ≤2%时,略有起伏;当2%<R A 时,起伏;其中R A =A/L,A为连续结构面起伏幅度(cm),L为连续结构面取样长度(cm),测量范围L一般为1.0m~3.0m;
2 粗糙度:很光滑,感觉非常细腻如镜面;光滑,感觉比较细腻,无颗粒感觉;较粗糙,可以感觉到一定的颗粒状;粗糙,明显感觉到颗粒状。
条文说明
4.3.2 补充修改了结构面结合程度判据,更便于操作。
4.3.3 当无试验资料和缺少当地经验时,天然状态或饱和状态岩体内摩擦角标准值可根据天然状态或饱和状态岩块的内摩擦角标准值结合边坡岩体完整程度按表4.3.3中系数折减确定。
表4.3.3 边坡岩体内摩擦角的折减系数

注:1 全风化层可按成分相同的土层考虑;
2 强风化基岩可根据地方经验适当折减。
条文说明
4.3.3 岩体因受结构面的影响,其抗剪强度是低于岩块的。研究表明,较之岩块,岩体的内摩擦角降低不大,而黏聚力却削弱很多。本规范根据大量现场试验资料,给出了边坡岩体内摩擦角的折减系数。
4.3.4 边坡岩体等效内摩擦角宜按当地经验确定。当缺乏当地经验时,可按表4.3.4取值。
表4.3.4 边坡岩体等效内摩擦角标准值

注:1 适用于高度不大于30m的边坡;当高度大于30m时,应作专门研究;
2 边坡高度较大时宜取较小值;高度较小时宜取较大值;当边坡岩体变化较大时,应按同等高度段分别取值;
3 已考虑时间效应;对于Ⅱ、Ⅲ、Ⅳ类岩质临时边坡可取上限值,Ⅰ类岩质临时边坡可根据岩体强度及完整程度取大于72°的数值;
4 适用于完整、较完整的岩体;破碎、较破碎的岩体可根据地方经验适当折减。
条文说明
4.3.4 本条的表4.3.4是根据大量边坡工程总结出的经验值。本次修订将各类岩体边坡类型的等效内摩擦角均提高了2°。
4.3.5 边坡稳定性计算应根据不同的工况选择相应的抗剪强度指标。土质边坡按水土合算原则计算时,地下水位以下宜采用土的饱和自重固结不排水抗剪强度指标;按水土分算原则计算时,地下水位以下宜采用土的有效抗剪强度指标。
4.3.6 填土边坡的力学参数宜根据试验并结合当地经验确定。试验方法应根据工程要求、填料的性质和施工质量等确定,试验条件应尽可能接近实际状况。
条文说明
4.3.6 本条是对填土力学参数取值和试验方法的规定。
4.3.7 土质边坡抗剪强度试验方法的选择应符合下列规定:
1 根据坡体内的含水状态选择天然或饱和状态的抗剪强度试验方法;
2 用于土质边坡,在计算土压力和抗倾覆计算时,对黏土、粉质黏土宜选择直剪固结快剪或三轴固结不排水剪,对粉土、砂土和碎石土宜选择有效应力强度指标;
3 用于土质边坡计算整体稳定、局部稳定和抗滑稳定性时,对一般的黏性土、砂土和碎石土,按第2款相同的试验方法,但对饱和软黏性土,宜选择直剪快剪、三轴不固结不排水试验或十字板剪切试验。
5 边坡稳定性评价
5.1 一般规定
5 边坡稳定性评价
5.1 一般规定
5.1.1 下列建筑边坡应进行稳定性评价:
1 选作建筑场地的自然斜坡;
2 由于开挖或填筑形成、需要进行稳定性验算的边坡;
3 施工期出现新的不利因素的边坡;
4 运行期条件发生变化的边坡。
条文说明
5.1.1 施工期出现新的不利因素的边坡,指在建筑和边坡加固措施尚未完成的施工阶段可能出现显著变形、破坏及其他显著影响边坡稳定性因素的边坡。对于这些边坡,应对施工期出现新的不利因素作用下的边坡稳定性作出评价。 运行期条件发生变化的边坡,指在边坡运行期由于新建工程等而改变坡形(如加高、开挖坡脚等)、水文地质条件、荷载及安全等级的边坡。
5.1.2 边坡稳定性评价应在查明工程地质、水文地质条件的基础上,根据边坡岩土工程条件,采用定性分析和定量分析相结合的方法进行。
条文说明
5.1.2 定性分析和定量分析相结合的方法,指在边坡稳定性评价中,应以边坡地质结构、变形破坏模式、变形破坏与稳定性状态的地质判断为基础,根据边坡地质结构和破坏类型选取恰当的方法进行定量计算分析,并综合考虑定性判断和定量分析结果作出边坡稳定性评价。
5.1.3 对土质较软、地面荷载较大、高度较大的边坡,其坡脚地面抗隆起、抗管涌和抗渗流等稳定性评价应按国家现行有关标准执行。
5.2 边坡稳定性分析
5.2 边坡稳定性分析
5.2.1 边坡稳定性分析之前,应根据岩土工程地质条件对边坡的可能破坏方式及相应破坏方向、破坏范围、影响范围等作出判断。判断边坡的可能破坏方式时应同时考虑到受岩土体强度控制的破坏和受结构面控制的破坏。
条文说明
5.2.1 根据边坡工程地质条件、可能的破坏模式以及已经出现的变形破坏迹象对边坡的稳定性状态作出定性判断,并对其稳定性趋势作出估计,是边坡稳定性分析的基础。 稳定性分析包括滑动失稳和倾倒失稳。滑动失稳可按本章方法进行;倾倒失稳尚不能用传统极限分析方法判定,可采用数值极限分析方法。 受岩土体强度控制的破坏,指地质结构面不能构成破坏滑动面,边坡破坏主要受边坡应力场和岩土体强度相对关系控制。
5.2.2 边坡抗滑移稳定性计算可采用刚体极限平衡法。对结构复杂的岩质边坡,可结合采用极射赤平投影法和实体比例投影法;当边坡破坏机制复杂时,可采用数值极限分析法。
条文说明
5.2.2 对边坡规模较小、结构面组合关系较复杂的块体滑动破坏,采用赤平极射投影法及实体比例投影法较为方便。 对于破坏机制复杂的边坡,难以采用传统的方法计算,目前国外和国内水利水电部门已广泛采用数值极限分析方法进行计算。数值极限分析方法与传统极限分析方法求解原理相同,只是求解方法不同,两种方法得到的计算结果是一致的,对复杂边坡传统极限分析方法无法求解,需要作许多人为假设,影响计算精度,而数值极限分析方法适用性广,不另作假设就可直接求得。
5.2.3 计算沿结构面滑动的稳定性时,应根据结构面形态采用平面或折线形滑面。计算土质边坡、极软岩边坡、破碎或极破碎岩质边坡的稳定性时,可采用圆弧形滑面。
条文说明
5.2.3 对于均质土体边坡,一般宜采用圆弧滑动面条分法进行边坡稳定性计算。岩质边坡在发育3组以上结构面,且不存在优势外倾结构面组的条件下,可以认为岩体为各向同性介质,在斜坡规模相对较大时,其破坏通常按近似圆弧滑面发生,宜采用圆弧滑动面条分法计算。 通过边坡地质结构分析,存在平面滑动可能性的边坡,可采用平面滑动稳定性计算方法计算。对建筑边坡来说,坡体后缘存在竖向贯通裂缝的情况较少,是否考虑裂隙水压力应视具体情况确定。 对于规模较大,地质结构较复杂,或者可能沿基岩与覆盖层界面滑动的情形,宜采用折线滑动面计算方法进行边坡稳定性计算。
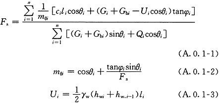
5.2.4 采用刚体极限平衡法计算边坡抗滑稳定性时,可根据滑面形态按本规范附录A选择具体计算方法。
条文说明
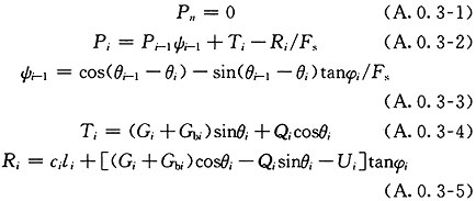
5.2.4 对于圆弧形滑动面,本规范建议采用简化毕肖普法进行计算,通过多种方法的比较,证明该方法有很高的准确性,已得到国内外的公认。以往广泛应用的瑞典法,虽然求解简单,但计算误差较大,过于安全而造成浪费,所以瑞典法不再列入规范。 对于折线形滑动面,本规范建议采用传递系数隐式解法。传递系数法有隐式解与显式解两种形式。显式解的出现是由于当时计算机不普及,对传递系数作了一个简化的假设,将传递系数中的安全系数值假设为1,从而使计算简化,但增加了计算误差。同时对安全系数作了新的定义,在这一定义中当荷载增大时只考虑下滑力的增大,不考虑抗滑力的提高,这也不符合力学规律。因而隐式解优于显式解,当前计算机已经很普及,应当回归到原来的传递系数法。 无论隐式解与显式解法,传递系数法都存在一个缺陷,即对折线形滑面有严格的要求,如果两滑面间的夹角(即转折点处的两倾角的差值)过大,就会出现不可忽视的误差。因而当转折点处的两倾角的差值超过10°时,需要对滑面进行处理,以消除尖角效应。一般可采用对突变的倾角作圆弧连接,然后在弧上插点,来减少倾角的变化值,使其小于10°,处理后,误差可以达到工程要求。 对于折线形滑动面,国际上通常采用摩根斯坦-普赖斯法进行计算。摩根斯坦-普赖斯法是一种严格的条分法,计算精度很高,也是国外和国内水利水电部门等推荐采用的方法。由于国内许多工程界习惯采用传递系数法,通过比较,尽管传递系数法是一种非严格的条分法,如果采用隐式解法且两滑面间的夹角不大,该法也有很高的精度,而且计算简单,国内广为应用,我国工程师比较熟悉,所以本规范建议采用传递系数隐式解法。在实际工程中,也可采用国际上通用的摩根斯坦-普赖斯法进行计算。 附录A主要是用来计算边坡的稳定性系数,对于折线形滑面的滑坡推力可采用附录A中的传递系数法,计算时,应将公式(A.0.3-2)和公式(A.0.3-3)中的稳定系数Fi替换为安全系数Fst,以此计算的Pn,即为滑坡的推力。
5.2.5 边坡稳定性计算时,对基本烈度为7度及7度以上地区的永久性边坡应进行地震工况下边坡稳定性校核。
5.2.6 塌滑区内无重要建(构)筑物的边坡采用刚体极限平衡法和静力数值计算法计算稳定性时,滑体、条块或单元的地震作用可简化为一个作用于滑体、条块或单元重心处、指向坡外(滑动方向)的水平静力,其值应按下列公式计算:
Q e =α w G (5.2.6-1)
Q ei =α w G i (5.2.6-2)
式中:Q e 、Q ei ——滑体、第i计算条块或单元单位宽度地震力(kN/m);
G、G i ——滑体、第i计算条块或单元单位宽度自重[含坡顶建(构)筑物作用] (kN/m);
α w ——边坡综合水平地震系数,由所在地区地震基本烈度按表5.2.6确定。
表5.2.6 水平地震系数

条文说明
5.2.6 本条表5.2.6中的水平地震系数的取值是采用新的现行国家标准《建筑抗震鉴定标准》GB 50023中的值换算得到的。
5.2.7 当边坡可能存在多个滑动面时,对各个可能的滑动面均应进行稳定性计算。
5.3 边坡稳定性评价标准
5.3 边坡稳定性评价标准
5.3.1 除校核工况外,边坡稳定性状态分为稳定、基本稳定、欠稳定和不稳定四种状态,可根据边坡稳定性系数按表5.3.1确定。
条文说明
5.3.1 为了边坡的维修工作的方便,提出了边坡稳定状态分类的评价标准。
表5.3.1 边坡稳定性状态划分

注:F st ——边坡稳定安全系数。
5.3.2 边坡稳定安全系数F st 应按表5.3.2确定,当边坡稳定性系数小于边坡稳定安全系数时应对边坡进行处理。
条文说明
5.3.2 由于建筑边坡规模较小,一般工况中采用的安全系数又较高,所以不再考虑土体的雨季饱和工况。对于受雨水或地下水影响大的边坡工程,可结合当地做法,按饱和工况计算,即按饱和重度与饱和状态时的抗剪强度参数。 规范中边坡安全系数是按通常情况确定的,特殊情况(如坡顶存在安全等级为一级的建构筑物,存在油库等破坏后有严重后果的建筑边坡)下安全系数可适当提高。
表5.3.2 边坡稳定安全系数F st

注:1 地震工况时,安全系数仅适用于塌滑区内无重要建(构)筑物的边坡;
2 对地质条件很复杂或破坏后果极严重的边坡工程,其稳定安全系数应适当提高。
6 边坡支护结构上的侧向岩土压力
6.1 一般规定
6 边坡支护结构上的侧向岩土压力
6.1 一般规定
6.1.1 侧向岩土压力分为静止岩土压力、主动岩土压力和被动岩土压力。当支护结构变形不满足主动岩土压力产生条件时,或当边坡上方有重要建筑物时,应对侧向岩土压力进行修正。
6.1.2 侧向岩土压力可采用库仑土压力或朗金土压力公式求解。侧向总岩土压力可采用总岩土压力公式直接计算或按岩土压力公式求和计算,侧向岩土压力和分布应根据支护类型确定。
条文说明
6.1.1、6.1.2 当前,国内外对土压力的计算一般采用著名的库仑公式与朗金公式,但上述公式基于极限平衡理论,要求支护结构发生一定的侧向变形。若挡墙的侧向变形条件不符合主动极限平衡状态条件时则需对侧向岩土压力进行修正,其修正系数可依据经验确定。 土质边坡的土压力计算应考虑如下因素:
1 土的物理力学性质(重力密度、抗剪强度、墙与土之间的摩擦系数等);
2 土的应力历史和应力路径;
3 支护结构相对土体位移的方向、大小;
4 地面坡度、地面超载和邻近基础荷载;
5 地震荷载;
6 地下水位及其变化;
7 温差、沉降、固结的影响;
8 支护结构类型及刚度;
9 边坡与基坑的施工方法和顺序。
岩质边坡的岩石压力计算应考虑如下因素:
1 岩体的物理力学性质(重力密度、岩石的抗剪强度和结构面的抗剪强度);
2 边坡岩体类别(包括岩体结构类型、岩石强度、岩体完整性、地表水浸蚀和地下水状况、岩体结构面产状、倾向、结构面的结合程度等);
3 岩体内单个软弱结构面的数量、产状、布置形式及抗剪强度;
4 支护结构相对岩体位移的方向与大小;
5 地面坡度、地面超载和邻近基础荷载;
6 地震荷载;
7 支护结构类型及刚度;
8 岩石边坡与基坑的施工方法与顺序。
6.1.3 在各种岩土侧压力计算时,可用解析公式求解。对于复杂情况也可采用数值极限分析法进行计算。
条文说明
6.1.3 侧向岩土压力的计算公式主要是采用著名的库仑公式与朗金公式,但对复杂情况的侧压力计算,近年来数值计算技术发展较快,计算机及相关的软件也较多。目前国际上和我国水利水电部门广泛采用数值极限分析方法,如有限元强度折减法和超载法,其计算结果与传统极限分析法相同,对于传统极限分析法无法求解的复杂问题十分适用,因此对于复杂情况下岩土侧压力计算可采用数值极限分析法。如岩土组合边坡的稳定性分析采用有限元强度折减法可以方便地求出稳定安全系数与滑动面。
6.2 侧向土压力
6.2 侧向土压力
6.2.1 静止土压力可按下式计算:

式中:e 0i ——计算点处的静止土压力 (kN/m 2 );
γ j ——计算点以上第j层土的重度 (kN/m 3 );
h j ——计算点以上第j层土的厚度(m);
q——坡顶附加均布荷载 (kN/m 2 );
K 0i ——计算点处的静止土压力系数。
6.2.2 静止土压力系数宜由试验确定。当无试验条件时,对砂土可取0.34~0.45,对黏性土可取0.5~0.7。
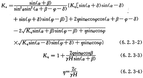
6.2.3 根据平面滑裂面假定(图6.2.3),主动土压力合力可按下列公式计算:


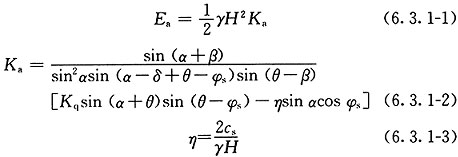
式中:E a ——相应于荷载标准组合的主动土压力合力(kN/m);
K a ——主动土压力系数;
H——挡土墙高度(m);
γ——土体重度(kN/m 3 );
c——土的黏聚力(kPa);
φ——土的内摩擦角(°);
q——地表均布荷载标准值(kN/m 2 );
δ——土对挡土墙墙背的摩擦角(°),可按表6.2.3取值;
β——填土表面与水平面的夹角(°);
α——支挡结构墙背与水平面的夹角(°)。
表6.2.3 土对挡土墙墙背的摩擦角δ


图6.2.3 土压力计算
6.2.4 当墙背直立光滑、土体表面水平时,主动土压力可按下式计算:

式中:e ai ——计算点处的主动土压力(kN/m 2 );当e ai <0时取e ai =0;
K ai ——计算点处的主动土压力系数,取K ai =tan 2 (45°-φ i /2);
c i ——计算点处土的黏聚力(kPa);
φ i ——计算点处土的内摩擦角(°)。
6.2.5 当墙背直立光滑、土体表面水平时,被动土压力可按下式计算:

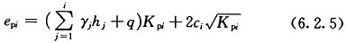
式中:e pi ——计算点处的被动土压力(kN/m 2 );
K pi ——计算点处的被动土压力系数,取K pi =tan 2 (45°+φ i /2)。
条文说明
6.2.1~6.2.5 按经典土压力理论计算静止土压力、主动与被动土压力。本条规定主动土压力可用库仑公式与朗金公式,被动土压力采用朗金公式。一般认为,库仑公式计算主动土压力比较接近实际,但计算被动土压力误差较大;朗金公式计算主动土压力偏于保守,但算被动土压力反而偏小。建议实际应用中,用库仑公式计算主动土压力,用朗金公式计算被动土压力。 静止土压力系数可以用K0试验测试,测定K0的仪器有静止侧压力系数测定仪或三轴仪,在现行行业标准《土工试验规程》SL 237,静止侧压力系数试验(SL237-028-1999)中规定了具体试验的要求。但由于该项试验方法还未列入国家标准《土工试验方法标准》GB/T +50123中,所以实际工程中,多数采用经验公式或经验参数,这二者得到的数值差不多,原规范推荐采用经验参数,本次修订时仍然采用经验参数。一般说来,在实际工程应用时,对正常固结的黏性土或砂土,颗粒越粗或土越密实,K0取本规范推荐的低值,反之取高值。但对超固结土,有时存在土的水平应力大于竖直应力,会出现K0大于1的情况,使用时应注意超固结土的情况。
6.2.6 边坡坡体中有地下水但未形成渗流时,作用于支护结构上的侧压力可按下列规定计算:
1 对砂土和粉土应按水土分算原则计算;
2 对黏性土宜根据工程经验按水土分算或水土合算原则计算;
3 按水土分算原则计算时,作用在支护结构上的侧压力等于土压力和静止水压力之和,地下水位以下的土压力采用浮重度(γ′)和有效应力抗剪强度指标(c′、φ′)计算;
4 按水土合算原则计算时,地下水位以下的土压力采用饱和重度(γ sat )和总应力抗剪强度指标(c、φ)计算。
6.2.7 边坡坡体中有地下水形成渗流时,作用于支护结构上的侧压力,除按本规范第6.2.6条计算外,尚应按国家现行有关标准的规定计算渗透力。
条文说明
6.2.6、6.2.7 采用水土分算还是水土合算,是当前有争议的问题。一般认为,对砂土与粉土采用水土分算,黏性土采用水土合算。水土分算时采用有效应力抗剪强度;水土合算时采用总应力抗剪强度。对正常固结土,一般以室内自重固结下不排水指标求主动土压力;以不固结不排水指标求被动土压力。
6.2.8 当挡墙后土体破裂面以内有较陡的稳定岩石坡面时,应视为有限范围填土情况计算主动土压力(图6.2.8)。有限范围填土时,主动土压力合力可按下列公式计算:

图6.2.8 有限范围填土时土压力计算

式中:θ——稳定岩石坡面的倾角(°);
δ r ——稳定且无软弱层的岩石坡面与填土间的内摩擦角(°),宜根据试验确定。当无试验资料时,可取δ r =(0.40~0.70)φ。φ为填土的内摩擦角。
条文说明
6.2.8 本条主动土压力是按挡墙后有较陡的稳定岩石边坡情况下导出的。 本次规范修订时,对于稳定且无软弱层岩石坡面与填土间的摩擦角δr的取值及其影响,以及对于稳定岩石角度θ的影响,课题组进行了专门的研究,研究结论认为,稳定岩石与土之间的摩擦角δr对主动土压力计算值影响很大。随稳定岩石坡面与土之间的摩擦角δr的增加,主动土压力值会明显减小。当δr=φ时,应用公式(6.2.8)计算得到的值比公式(6.2.3)得到的值略小,它们间的结果相近;当δr=0.5φ时,应用公式(6.2.8)计算得到的值比公式(6.2.3)得到的值大1.541倍~2.549倍,同时随c值的增大而增加。另外随稳定岩石角度θ的增加,主动土压力的值会有所减小,但影响值明显比稳定岩石与土之间的摩擦角δr影响小。稳定岩石坡面与填土间的摩擦角取值宜根据试验确定。当无试验资料时,可按本条中提出的建议值δr=(0.40~0.70)φ。一般说来对黏性土与粉土取低值,对砂性土与碎石土取高值。
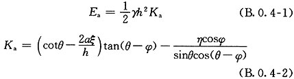
6.2.9 当坡顶作用有线性分布荷载、均布荷载和坡顶填土表面不规则时或岩土边坡为二阶竖直时,在支护结构上产生的侧压力可按本规范附录B简化计算。
条文说明
6.2.9 本条提出的一些特殊情况下的土压力计算公式,是依据土压力理论结合经验而确定的半经验公式。 本条在原规范的基础上,增加了边坡为二阶时,岩土边坡土压力的计算公式。二阶的直立岩土质边坡是常见的边坡,根据平面滑裂面导出了在二阶的边坡上总岩土压力计算式与滑裂面的倾角。二阶直立岩石边坡上总岩石压力计算式与滑裂面的倾角计算的计算公式与二阶直立土质边坡的计算基本相同,但如岩体中存在外倾结构面时,滑裂面的倾角取外倾结构面的倾角。对于单阶边坡,此式可退化到朗肯公式。
6.2.10 当边坡的坡面为倾斜、坡顶水平、无超载时(图6.2.10),土压力的合力可按下列公式计算,边坡破坏时的平面破裂角可按公式(6.2.10-3)计算:

式中:E a ——水平土压力合力(kN/m);
K a ——水平土压力系数;
h——边坡的垂直高度(m);
γ——支护结构后的土体重度,地下水位以下用有效重度(kN/m 3 );
α′——边坡坡面与水平面的夹角(°);
c——土的黏聚力(kPa);
φ——土的内摩擦角(°);
θ——土体的临界滑动面与水平面的夹角(°)。

图6.2.10 边坡的坡面为倾斜时计算简图
条文说明
6.2.10 当土质边坡的坡面为倾斜时,根据平面滑裂面,得到了土压力计算公式与滑裂面的计算公式(6.2.10)。 本条规定的关于边坡坡面为倾斜时的土压力计算公式,可以确定边坡破坏时平面破裂角。用公式(6.2.10)计算主动土压力值与公式(6.2.3)的值一致,但对一般的斜边坡公式(6.2.10)比公式(6.2.3)更为简洁,当α=90°或倾斜边坡坡高为临界高度时,θ=(α+φ)/2。
6.2.11 考虑地震作用时,作用于支护结构上的地震主动土压力可按本规范公式(6.2.3-1)计算,主动土压力系数应按下式计算:

式中:ρ——地震角,可按表6.2.11取值。
表6.2.11 地震角ρ

条文说明
6.2.11 在地震作用下,考虑地震作用时的土压力计算,应考虑地震角的影响,地震角的大小与地震设计烈度有关,并采用库仑理论公式计算。本规范中的关于地震情况下的土压力计算公式,是参照国内建筑、铁路、公路、交通等行业的抗震规范提出的,计算时,土的重度除以地震角的余弦,墙背填土的内摩擦角和墙背摩擦角分别减去地震角和增加地震角。地震角的取值是采用现行国家标准《建筑抗震鉴定标准》GB 50023中的值。
6.3 侧向岩石压力
6.3 侧向岩石压力
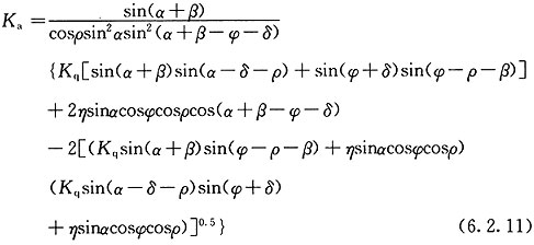
6.3.1 对沿外倾结构面滑动的边坡,主动岩石压力合力可按下列公式计算:

式中:θ——边坡外倾结构面倾角(°);
c s ——边坡外倾结构面黏聚力(kPa);
φ s ——边坡外倾结构面内摩擦角(°);
K q ——系数,可按公式6.2.3-3)计算;
δ——岩石与挡墙背的摩擦角(°),取(0.33~0.50)φ。
当有多组外倾结构面时,应计算每组结构面的主动岩石压力并取其大值。
条文说明
6.3.1 岩体与土体不同,滑裂角为外倾结构面倾角,因而由此推出的岩石压力公式与库仑公式不同,当滑裂角θ=45°+φ/2时公式(6.3.1)即为库仑公式。当岩体无明显结构面时或为破碎、散体岩体时θ角取45°+φ/2。
6.3.2 对沿缓倾的外倾软弱结构面滑动的边坡(图6.3.2),主动岩石压力合力可按下式计算:

式中:G——四边形滑裂体自重(kN/m);
L——滑裂面长度(m);
θ——缓倾的外倾软弱结构面的倾角(°);
c s ——外倾软弱结构面的黏聚力(kPa);
φ s ——外倾软弱结构面内摩擦角(°)。

图6.3.2 岩质边坡四边形滑裂时侧向压力计算
条文说明
6.3.2 有些岩体中存在外倾的软弱结构面,即使结构面倾角很小,仍可能产生四面楔体滑落,对滑落体的大小按当地实际情况确定。滑落体的稳定分析采用力多边形法验算。
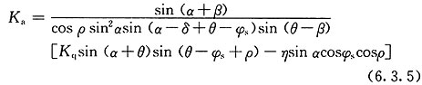
6.3.3 岩质边坡的侧向岩石压力计算和破裂角应符合下列规定:
1 对无外倾结构面的岩质边坡,应以岩体等效内摩擦角按侧向土压力方法计算侧向岩石压力;对坡顶无建筑荷载的永久性边坡和坡顶有建筑荷载时的临时性边坡和基坑边坡,破裂角按45°+φ/2确定,Ⅰ类岩体边坡可取75°左右;坡顶无建筑荷载的临时性边坡和基坑边坡的破裂角,Ⅰ类岩体边坡取82°;Ⅱ类岩体边坡取72°;Ⅲ类岩体边坡取62°;Ⅳ类岩体边坡取45°+φ/2°;
2 当有外倾硬性结构面时,应分别以外倾硬性结构面的抗剪强度参数按本规范第6.3.1条的方法和以岩体等效内摩擦角按侧向土压力方法分别计算,取两种结果的较大值;破裂角取本条第1款和外倾结构面倾角两者中的较小值;
3 当边坡沿外倾软弱结构面破坏时,侧向岩石压力应按本规范第6.3.1条和第6.3.2条计算,破裂角取该外倾结构面的倾角,同时应按本条第1款进行验算。
条文说明
6.3.3 本条给出滑移型永久性边坡且坡顶无建筑荷载时岩质边坡侧向岩石压力计算方法,以及破裂角设计取值原则。本条中的无建筑荷载主要是指无重要建筑物或荷载较大的建筑物。本条规定侧压力可按理论公式和按取等效内摩擦角的经验公式计算,两者中取大值作为设计依据。一般情况下,由于规定的等效内摩擦角取得很大,经验公式算出的结果都会小于理论公式计算的结果(除Ⅵ类岩体边坡外)。当岩质和结构面结合程度高时,导致按理论计算公式计算得到的推力为零或极小,以致不需要支护或支护量极少。为保证工程安全,实际工程中这种情况下仍然需要一定的支护。经验公式不会算出推力为零或极小的情况,起到了保证最少支护量的作用。经验公式计算考虑以下因素:①建筑岩石边坡在使用期内,受不利因素与时间效应的影响,岩石及结构面强度可能软化降低;②考虑偶然地震荷载作用的不利影响;③考虑地质参数取值可能存在变异性的不利影响,本条的计算方法力图达到边坡支护的可靠度,满足现行标准的要求。 对临时岩质边坡侧向岩石压力计算和破裂角的取值作出一定的修正,其依据是临时边坡设计中可以不考虑时间效应和地震效应等不利因素的影响,因此岩压力的计算可以适当放松,按经验公式计算时等效内摩擦角可取规范中的高值;另外,对于破裂角的取值也可提高。但坡顶有建(构)筑物荷载的临时边坡应考虑坡顶建(构)筑物荷载对边坡塌滑区范围的扩大影响,同时应满足永久性边坡的相关规定。
6.3.4 当岩质边坡的坡面为倾斜、坡顶水平、无超载时,岩石压力的合力可按本规范公式(6.2.10-1)计算。当岩体存在外倾结构面时,θ可取外倾结构面的倾角,抗剪强度指标取外倾结构面的抗剪强度指标;当存在多个外倾结构面时,应分别计算,取其中的最大值为设计值。
条文说明
6.3.4 当岩石边坡的坡面为倾斜时,根据平面滑裂面假定,得到了岩石压力计算公式与滑裂面的计算公式[同公式(6.2.10)],如果岩体中存在外倾结构面时,滑裂面的倾角取外倾结构面的倾角。
6.3.5 考虑地震作用时,作用于支护结构上的地震主动岩石压力应按本规范第6.3.1条公式(6.3.1-1)计算,其主动岩石压力系数应按下式计算:

式中:ρ——地震角,可按本规范表6.2.11取值。
条文说明
6.3.5 在地震作用下,考虑地震作用时的岩石侧压力计算,应考虑地震角的影响,地震角的大小与地震设计烈度有关。根据现行国家标准《铁路工程抗震设计规范》GB 50111-2006(2009年版)条文说明中第6.1.6条,工程震害调查表明,位于岩石地基上的挡土墙震害比在土基上的挡土墙稍轻微,因而岩石地基上的地震角取值与本规范第6.2.11条相同,并采用库仑理论公式计算。
7 坡顶有重要建(构)筑物的边坡工程
7.1 一般规定
7 坡顶有重要建(构)筑物的边坡工程
7.1 一般规定
7.1.1 本章适用于抗震设防烈度为7度及7度以下地区、建(构)筑物位于岩土质边坡塌滑区、土质边坡1倍边坡高度和岩质边坡0.5倍边坡高度范围的边坡工程。
条文说明
7.1.1 本条确定了本章的适用范围及坡顶有建(构)筑物时边坡工程的分类。可分为坡顶有既有建(构)筑物的边坡工程、边坡与坡顶建(构)筑物同步施工的边坡工程及坡顶新建建(构)筑物的既有边坡工程。对7度以上地区,可参照本章相关规定并结合地区特点加强处理。
7.1.2 对坡顶有重要建(构)筑物的下列边坡应优先采用排桩式锚杆挡墙、锚拉式桩板挡墙或抗滑桩板式挡墙等主动受力、变形较小、对边坡稳定性和建筑物地基基础扰动小的支护结构:
1 建(构)筑物基础置于塌滑区内的边坡;
2 存在外倾软弱结构面或坡体软弱、开挖后稳定性较差的边坡;
3 建(构)筑物及管线等对变形控制有较高要求的边坡;
4 采用其他支护方案在施工期可能降低边坡稳定性的边坡。
条文说明
7.1.2 当坡顶邻近有重要建筑物时,支护结构方案选择时应优先选择排桩式锚杆挡墙、锚拉式桩板式挡墙或抗滑桩,其具有受力可靠、边坡变形小、施工期对边坡稳定性和建筑地基基础扰动小的优点,对土质边坡或有外倾结构面的岩质边坡宜采用预应力锚杆,更有利于控制边坡变形,确保坡顶建(构)筑物安全。除按本章优选支护方案外,还应充分考虑下列因素:
1 边坡开挖对坡顶邻近建筑物的安全和正常使用的不利影响程度;
2 坡顶邻近建筑物基础形式及距坡顶邻近建筑物的距离;
3 坡顶邻近建(构)筑物及管线等对边坡变形的接受程度;
4 施工开挖期边坡的稳定状况及施工安全和可行性。
7.1.3 对坡顶邻近建(构)筑物、道路及管线等可能引发较大变形或危害的边坡工程应加强监测并采取设计和施工措施。当出现可能产生较大危害的变形时,应按现行国家标准《建筑边坡工程鉴定与加固技术规范》GB 50843的有关规定执行。
7.2 设计计算
7.2 设计计算
7.2.1 坡顶有重要建(构)筑物的边坡工程设计应符合下列规定:
1 应调查建(构)筑物的结构形式、基础平面布置、基础荷载、基础类型、埋置深度、建(构)筑物的开裂及场地变形以及地下管线等现状情况;
2 应根据基础方案、构造做法和基础到边坡的距离等因素,考虑建筑物基础与边坡支护结构的相互影响;
3 应考虑建筑物基础传递的垂直荷载、水平荷载和弯矩等对边坡支护结构强度和变形的影响,并应对边坡稳定性进行验算;
4 应考虑边坡变形对地基承载力和基础变形的不利影响,并应对建筑物基础和地基稳定性进行验算;
5 边坡支护结构距建(构)筑物基础外边缘的最小安全距离应满足坡顶建筑(构)物抗倾覆、基础嵌固和传递水平荷载等要求,其值应根据设防烈度、边坡的稳定性、边坡岩土构成、边坡高度和建筑高度等因素并结合地区工程经验综合确定;不满足时应根据工程和现场条件采取有效加固措施;
6 对于有外倾结构面的岩质边坡以及土质边坡,边坡开挖后不应使建(构)筑物的基础置于有临空且有外倾软弱结构面的岩体上和稳定性极差的土质边坡塌滑区。
7.2.2 边坡与坡顶建(构)筑物同步设计的边坡工程及坡顶新建建(构)筑物的既有边坡工程应符合下列规定:
1 应避免坡顶重要建(构)筑物产生的垂直荷载直接作用在边坡潜在塌滑体上;应采取桩基础、加深基础、增设地下室或降低边坡高度等措施,将建(构)筑物的荷载直接传至边坡潜在破裂面以下足够深度的稳定岩土层内;
2 新建建(构)筑物的基础设计、边坡支护结构距建(构)筑物基础外边缘的距离应满足本规范第7.2.1条的相关规定;
3 应考虑建(构)筑物基础施工过程引起地下水变化对边坡稳定性的影响;
4 位于抗震设防区,边坡支护结构抗震设计应符合现行国家标准《建筑抗震设计规范》GB 50011的有关规定;坡顶的建(构)筑物的抗震设计应按抗震不利地段考虑,地震效应放大系数应符合现行国家标准《建筑抗震设计规范》GB 50011的有关规定;
5 新建建(构)筑物的部分荷载作用于原有边坡支护结构而使其安全度和耐久性不满足要求时,应按现行国家标准《建筑边坡工程鉴定与加固技术规范》GB 50843的要求进行加固处理。
条文说明
7.2.1、7.2.2 当坡顶建筑物基础位于边坡塌滑区,建筑物基础传来的垂直荷载、水平荷载及弯矩部分作用于支护结构时,边坡支护结构强度、整体稳定和变形验算均应根据工程具体情况,考虑建筑物传来的荷载对边坡支护结构的作用。其中建筑水平荷载对边坡支护结构作用的定性及定量近似估算,可根据基础方案、构造做法、荷载大小、基础到边坡的距离、边坡岩土体性状等因素确定。建筑物传来的水平荷载由基础抗侧力、地基摩擦力及基础与边坡间坡体岩土抗力承担,当水平作用力大于上述抗力之和时由支护结构承担不平衡的水平力。 坡顶建筑物基础与边坡支护结构的相互作用主要考虑建筑荷载传给支护结构,对边坡稳定影响,因边坡临空状使建筑物地基侧向约束减小后地基承载力相应降低及新施工的建筑基础和施工开挖期对边坡原有水系产生的不利影响。 在已有建筑物的相邻处开挖边坡,目前已有不少成功的工程实例,但危及建筑物安全的事故也时有发生。建筑物的基础与支护结构之间距离越近,事故发生的可能性越大,危害性越大。本条规定的目的是尽可能保证建筑物基础与支护结构间较合理的安全距离,减少边坡工程事故发生的可能性。确因工程需要时,应采取相应措施确保勘察、设计和施工的可靠性。不应出现因新开挖边坡使原稳定的建筑基础置于稳定性极差的临空状外倾软弱结构面的岩体和稳定性极差的土质边坡塌滑区外边缘,造成高风险的边坡工程。
7.2.3 无外倾结构面的岩土质边坡坡顶有重要建(构)筑物时,可按表7.2.3确定支护结构上的侧向岩土压力。
表7.2.3 侧向岩土压力取值

注:1 E a ——主动岩土压力合力,E′ a ——修正主动岩土压力合力,E 0 ——静止土压力合力;
2 β 1 ——主动岩石压力修正系数;
3 a——坡脚线到坡顶重要建(构)筑物基础外边缘的水平距离;
4 对多层建筑物,当基础浅埋时H取边坡高度;当基础埋深较大时,若基础周边与岩土间设置摩擦小的软性材料隔离层,能使基础垂直荷载传至边坡破裂面以下足够深度的稳定岩土层内且其水平荷载对边坡不造成较大影响,则H可从隔离层下端算至坡底;否则,H仍取边坡高度;
5 对高层建筑物应设置钢筋混凝土地下室,并在地下室侧墙临边坡一侧设置摩擦小的软性材料隔离层,使建筑物基础的水平荷载不传给支护结构,并应将建筑物垂直荷载传至边坡破裂面以下足够深度的稳定岩土层内时,H可从地下室底标高算至坡底;否则,H仍取边坡高度。
条文说明
7.2.3 当坡肩有建筑物、挡墙的变形量较大时,将危及建筑物的安全及正常使用。为使边坡的变形量控制在允许范围内,根据建筑物基础与边坡外边缘的关系和岩土外倾结构面条件采用第7.2.3条、第7.2.4条和第7.2.5条确定的岩土侧压力设计值。其目的是使边坡受力稳定的同时,确保边坡只发生较小变形,这样有利于保证坡顶建筑物的安全及正常使用。 对高层建筑,其传至边坡的水平荷载较大,按第7.2.1条的条文分析可知,支护结构可能承担高层建筑物基础传来的不平衡的水平力,设计时应充分重视,应设置钢筋混凝土地下室,并加大地下室埋深,借用钢筋混凝土地下室的刚体及其底板与地基间的摩阻力平衡高层建筑物传来的部分水平力,同时高层建筑钢筋混凝土地下室基础可采用桩基础(桩周边加设隔离层)将基础垂直荷载传至边坡破裂面以下足够深度的稳定岩土层内,此时,H值可从地下室底标高算至坡底,否则,H仍取边坡高度。除设置钢筋混凝土地下室外,还应加强支护结构的抗侧力以平衡高层建筑物可能传来的水平力。
7.2.4 岩质边坡主动岩石压力修正系数β 1 ,可根据边坡岩体类别按表7.2.4确定。
条文说明
7.2.4 本条主动岩石压力修正系数β1的确定考虑以下因素:
1 有利于控制坡顶有重要建(构)筑物的边坡变形,保证坡顶建(构)筑物的功能和安全;
2 岩石边坡开挖后侧向变形受支护结构或预应力锚杆约束,边坡侧压力相应增大,本规范按岩石主动土压力乘以修正系数β1来反映土压力增大现象;
3 β1值的定量确定目前无工程实测资料和相关标准可以借鉴,从理论分析看,坚硬的块石类土静止土压力约为主动土压力1.80倍左右,以此类比,岩体结构面结合较差,岩体完整程度为较破碎的Ⅳ类岩体,本规范主动土压力系数β1定为1.45~1.55,考虑Ⅰ~Ⅲ类岩石的结构完整性,则分别采用1.30~1.45。
表7.2.4 主动岩石压力修正系数β 1

注:1 当裂隙发育时取大值,裂隙不发育时取小值;
2 坡顶有重要既有建(构)筑物对边坡变形控制要求较高时取大值;
3 对临时性边坡及基坑边坡取小值。
7.2.5 坡顶有重要建(构)筑物的有外倾结构面的岩土质边坡侧压力修正应符合下列规定:
1 对有外倾结构面的土质边坡,其侧压力修正值应按本规范第7.2.4条计算后乘以1.30的增大系数,应按本规范第7.2.3条分别计算并取两个计算结果的最大值;
2 对有外倾结构面的岩质边坡,其侧压力修正值应按本规范第6.3.1条和本规范第6.3.2条计算并乘以1.15的增大系数,应按本规范第7.2.3条分别计算并取两个计算结果的最大值。
7.2.6 采用锚杆挡墙的岩土质边坡侧压力设计值应按本章规定计算的岩土侧压力修正值和本规范第9.2.2条计算的岩土侧压力修正值两者中的大值确定。
7.2.7 对支护结构变形控制有较高要求时,可按本规范第7.2.3~7.2.5条确定边坡侧压力修正值。
7.2.8 当岩质边坡塌滑区或土质边坡1倍坡高范围内有建(构)筑物基础传递较大荷载时,除应验算边坡工程的整体稳定性外,还应加长锚杆,使锚固段锚入岩质边坡塌滑区外,土质边坡的与地面线间成45°外不应少于5m~8m,并应采用长短相间的设置方法。
7.2.9 在已建挡墙坡脚新建建(构)筑时,其基础及地下室等宜与边坡有一定的距离,避免对边坡稳定造成不利影响,否则应采取措施处理。
7.2.10 位于边坡坡顶的挡墙及建(构)筑物基础应按国家现行有关规范的规定进行局部稳定性验算。
7.3 构造设计
7.3 构造设计
7.3.1 支护结构的混凝土强度等级不应低于C30。
7.3.2 在已有边坡坡顶新建重要建(构)筑物时,穿越边坡滑塌体及软弱结构面高度范围的新建重要建(构)筑物基础周边与岩土间应设有摩擦小的软性材料隔离层,使基础垂直荷载传递至边坡破裂面及软弱结构面以下足够深度的稳定岩土层内。
7.3.3 穿越边坡滑塌体及软弱结构面的桩基础经隔离处理后,应按国家现行相关标准的规定加强基础结构配筋及基础节点构造,桩身最小配筋率不宜小于0.60%。
7.3.4 边坡支护结构及其锚杆的设置应注意避免与坡顶建筑结构及其基础相碰。
7.3.5 设计时应明确提出避免对周边环境和坡顶建(构)筑物、道路及管线等造成伤害的技术要求和措施。当边坡开挖需要降水时,应考虑降水、排水对坡顶建筑物、道路、管线及边坡可能产生的不利影响,并有避免造成结构性损坏的措施。
7.3.6 坡顶邻近有重要建(构)筑物时,应根据其重要性、对变形的适应能力和岩土性状等因素,按当地经验确定边坡支护结构的变形允许值,并应采取措施避免边坡支护结构过大变形和地下水的变化、施工因素的干扰等造成坡顶建(构)筑物结构开裂及其基础沉降超过允许值。
条文说明
7.3.6 当坡顶附近有重要建(构)筑物时除应保证边坡整体稳定性外,还应控制边坡工程变形对坡顶建(构)筑物的危害。边坡的变形值大小与边坡高度、坡顶建(构)筑物荷载的大小、地质条件、水文条件、支护结构类型、施工开挖方案等因素相关,变形计算复杂且不够成熟,有关规范均未提出较成熟的计算方法,工程实践中只能根据地区经验,采用工程类比的方法,从设计、施工、变形监测等方面采取措施控制边坡变形。 同样,支护结构变形允许值涉及因素较多,难以用理论分析和数值计算确定,工程设计中可根据边坡条件按地区经验确定。?
7.4 施工
7.4 施 工
7.4.1 边坡工程施工应采用信息法,施工过程中应对边坡工程及坡顶建(构)筑物进行实时监测,及时了解和分析监测信息,对可能出现的险情应制定防范措施和应急预案。施工中发现与勘察、设计不符或者出现异常情况时,应停止施工作业,并及时向建设、勘察、施工、监理、监测等单位反馈,研究解决措施。
条文说明
7.4.1 施工时应加强监测和信息反馈,并作好有关工程应急预案。
7.4.2 施工前应根据现场实际情况作好地表截排水措施。应采用逆作法施工的边坡,应在上层边坡支护完成后方可进行下一层的开挖。边坡开挖后应及时支挡,避免长时间暴露。
7.4.3 稳定性较差的边坡开挖方案应按不利工况进行边坡稳定和变形验算,当开挖的边坡稳定性不满足要求时,应采取措施增强施工期边坡稳定性。
条文说明
7.4.3 稳定性较差的岩土边坡(较软弱的土边坡,有外倾软弱结构面的岩石边坡,潜在滑坡等)开挖时,不利组合荷载下的不利工况时边坡的稳定和变形控制应满足有关规定要求,避免出现施工事故,必要时应采取施工措施增强施工期的稳定性。
7.4.4 当水钻成孔可能诱发边坡和周边环境变形过大等不良影响时,应采用无水成孔法。
8 锚杆(索)
8.1 一般规定
8 锚杆(索)
8.1 一般规定
8.1.1 当边坡工程采用锚固方案或包含有锚固措施时,应充分考虑锚杆的特性、锚杆与被锚固结构体系的稳定性、经济性以及施工可行性。
条文说明
8.1.2 锚杆是能将张拉力传递到稳定的或适宜的岩土体中的一种受拉杆件(体系),一般由锚头、杆体自由段和杆体锚固段组成。当采用钢绞线或钢丝束作杆体材料时,可称为锚索(图1)。根据锚固段灌浆体受力的不同,主要分为拉力型、压力型、荷载分散型(拉力分散型与压力分散型)等(图2)。拉力型锚杆锚固段灌浆体受拉,浆体易开裂,防腐性能差,但易于施工;压力型锚杆锚固段灌浆体受压,浆体不易开裂,防腐性能好,承载力高,可用于永久性工程。锚杆挡墙是由锚杆和钢筋混凝土肋柱及挡板组成的支挡结构物,它依靠锚固于稳定岩土层内锚杆的抗拔力平衡挡板处的土压力。近年来,锚杆技术发展迅速,在边坡支护、危岩锚定、滑坡整治、洞室加固及高层建筑基础锚固等工程中广泛应用,具有实用、安全、经济的特点。
8.1.2 锚杆(索)主要分为拉力型、压力型、荷载拉力分散型和荷载压力分散型,适用于边坡工程和岩质基坑工程。
8.1.3 锚杆设计使用年限应与所服务的边坡工程设计使用年限相同,其防腐等级应达到相应的要求。
8.1.4 锚杆的锚固段不应设置在未经处理的下列岩土层中:
1 有机质土,淤泥质土;
2 液限ω L 大于50%的土层;
3 松散的砂土或碎石土。
8.1.5 下列情况宜采用预应力锚杆:
1 边坡变形控制要求严格时;
2 边坡在施工期稳定性很差时;
3 高度较大的土质边坡采用锚杆支护时;
4 高度较大且存在外倾软弱结构面的岩质边坡采用锚杆支护时;
5 滑坡整治采用锚杆支护时。
条文说明
8.1.5 当坡顶边缘附近有重要建(构)筑物时,一般不允许支护结构发生较大变形,此时采用预应力锚杆能有效控制支护结构及边坡的变形量,有利于建(构)筑物的安全。 对施工期稳定性较差的边坡,采用预应力锚杆减少变形同时增加边坡滑裂面上的正应力及阻滑力,有利于边坡的稳定。

图1 永久性拉力型锚索结构图
1—锚具;2—垫座;3—涂塑钢绞线;4—光滑套管;5—隔离架;6—无包裹钢绞线;7—钻孔壁;8—注浆管;9—保护罩;10—自由段区;11—锚固段区

图2 压力分散型锚杆简图
(a)拉力型锚杆;(b)压力型锚杆;(c)拉力分散型锚杆;(d)压力分散型锚杆;1—锚头;2—支护结构;3—杆体;4—保护套管;5—锚杆钻孔;6—锚固段灌浆体;7—自由段区;8—锚固段区;9—承载板(体)
8.1.6 下列情况的锚杆(索)应进行基本试验,并应符合本规范附录C的规定:
1 采用新工艺、新材料或新技术的锚杆(索);
2 无锚固工程经验的岩土层内的锚杆(索);
3 一级边坡工程的锚杆(索)。
8.1.7 锚杆(索)的形式应根据锚固段岩土层的工程特性、锚杆(索)承载力大小、锚杆(索)材料和长度以及施工工艺等因素综合考虑,可按本规范附录D选择。
8.2 设计计算
8.2 设计计算
条文说明
本节将锚杆(索)设计部分涉及的杆体(钢筋、钢绞线、预应力钢丝)截面积、锚固体与地层的锚固长度,杆体与锚固体(水泥浆、水泥砂浆等)的锚固长度计算由原规范中的概率极限状态设计方法转换成传统意义的安全系数法计算,以便与国家现行岩土工程类多数标准修改稿的思路保持一致。对应的地层(岩石与土体)与锚固体之间粘结强度特征值由地层与锚固体间粘结强度极限标准值替代。原规范中的临时性锚杆、永久性锚杆的荷载分项系数、杆体抗拉工作条件系数、锚固体与地层间粘结工作条件系数、杆体与锚固体粘结强度工作条件系数在锚杆杆体抗拉安全系数和岩土锚杆锚固体抗拔安全系数中综合考虑。 此外,对不同边坡工程安全等级所对应的临时性锚杆、永久性锚杆的锚杆杆体抗拉安全系数和锚杆锚固体抗拔安全系数按不同的边坡工程安全等级逐一作出了规定。
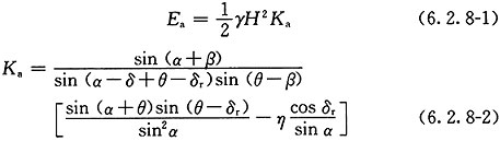
8.2.1 锚杆(索)轴向拉力标准值应按下式计算:

式中:N ak ——相应于作用的标准组合时锚杆所受轴向拉力(kN);
H tk ——锚杆水平拉力标准值(kN);
α——锚杆倾角(°)。
条文说明
8.2.1 用于边坡支护的锚杆轴向拉力Nak是荷载分项系数1.0的荷载效应基本组合时,锚杆挡墙计算求得的锚杆拉力组合值,可按本规范第6章的静力平衡法或等值梁法(附录F)计算的锚杆挡墙支点力求得。 用于滑坡和边坡抗滑稳定支护的锚杆轴向拉力为荷载分项系数1.0时,用满足滑坡和边坡安全稳定系数(表5.3.2)时的滑坡推力和边坡推力对锚杆挡墙计算求得。
8.2.2 锚杆(索)钢筋截面面积应满足下列公式的要求:
普通钢筋锚杆:

预应力锚索锚杆:

式中:A s ——锚杆钢筋或预应力锚索截面面积(m 2 );
? y ,? py ——普通钢筋或预应力钢绞线抗拉强度设计值(kPa);
K b ——锚杆杆体抗拉安全系数,应按表8.2.2取值。
表8.2.2 锚杆杆体抗拉安全系数

8.2.3 锚杆(索)锚固体与岩土层间的长度应满足下式的要求:

式中:K——锚杆锚固体抗拔安全系数,按表8.2.3-1取值;
l a ——锚杆锚固段长度(m),尚应满足本规范第8.4.1条的规定;
? rbk ——岩土层与锚固体极限粘结强度标准值(kPa),应通过试验确定;当无试验资料时可按表8.2.3-2和表8.2.3-3取值;
D——锚杆锚固段钻孔直径(mm)。
表8.2.3-1 岩土锚杆锚固体抗拔安全系数

表8.2.3-2 岩石与锚固体极限粘结强度标准值

注:1 适用于注浆强度等级为M30;
2 仅适用于初步设计,施工时应通过试验检验;
3 岩体结构面发育时,取表中下限值;
4 岩石类别根据天然单轴抗压强度? r 划分:? r <5MPa为极软岩,5MPa≤? r <15MPa为软岩,15MPa≤? r <30MPa为较软岩,30MPa≤? r <60MPa为较硬岩,? r ≥60MPa为坚硬岩。
表8.2.3-3 土体与锚固体极限粘结强度标准值

注:1 适用于注浆强度等级为M30;
2 仅适用于初步设计,施工时应通过试验检验。
8.2.4 锚杆(索)杆体与锚固砂浆间的锚固长度应满足下式的要求:

式中:l a ——锚筋与砂浆间的锚固长度(m);
d——锚筋直径(m);
n——杆体(钢筋、钢绞线)根数(根);
? b ——钢筋与锚固砂浆间的粘结强度设计值(kPa),应由试验确定,当缺乏试验资料时可按表8.2.4取值。
表8.2.4 钢筋、钢绞线与砂浆之间的粘结强度设计值? b

注:1 当采用二根钢筋点焊成束的做法时,粘结强度应乘0.85折减系数;
2 当采用三根钢筋点焊成束的做法时,粘结强度应乘0.7折减系数;
3 成束钢筋的根数不应超过三根,钢筋截面总面积不应超过锚孔面积的20%。当锚固段钢筋和注浆材料采用特殊设计,并经试验验证锚固效果良好时,可适当增加锚筋用量。
条文说明
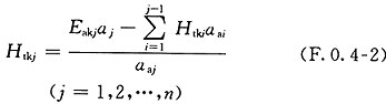
8.2.2~8.2.4 锚杆设计宜先按式(8.2.2)计算所用锚杆钢筋的截面积,选择每根锚杆实配的钢筋根数、直径和锚孔直径,再用选定的锚孔直径按式(8.2.3)确定锚固体长度la[此时,锚杆(索)承载力极限值N=As
y(As
py)或πD
rbkila的较小值]。然后再用选定的锚杆钢筋面积按式(8.2.3)和式(8.2.4)确定锚杆杆体的锚固长度la。 锚杆杆体与锚固体材料之间的锚固力一般高于锚固体与土层间的锚固力,因此土层锚杆锚固段长度计算结果一般均为式(8.2.3)控制。 ?极软岩和软质岩中的锚固破坏一般发生于锚固体与岩层间,硬质岩中的锚固端破坏可发生在锚杆杆体与锚固体材料之间,因此岩石锚杆锚固段长度应分别按式(8.2.3)和式(8.2.4)计算,取其中大值。 表8.2.3-2主要根据重庆及国内其他地方的工程经验,并结合国外有关标准而定的;表8.2.3-3数值主要参考现行国家标准《锚杆喷射混凝土支护技术规范》GB 50086及国外有关标准确定。锚杆极限承载力标准值由基本试验确定,对于二、三级边坡工程中的锚杆,其极限承载力标准值也可由地层与锚固体粘结强度标准值与其两者的接触表面积的乘积来估算。 锚杆设计顺序和内容可按图3进行。 
图3 锚杆设计顺序及内容
8.2.5 永久性锚杆抗震验算时,其安全系数应按0.8折减。
8.2.6 锚杆(索)的弹性变形和水平刚度系数应由锚杆抗拔试验确定。当无试验资料时,自由段无粘结的岩石锚杆水平刚度系数K h 及自由段无粘结的土层锚杆水平刚度系数K t 可按下列公式进行估算:

式中:K h ——自由段无粘结的岩石锚杆水平刚度系数(kN/m);
K t ——自由段无粘结的土层锚杆水平刚度系数(kN/m);
l f ——锚杆无粘结自由段长度(m);
l a ——锚杆锚固段长度,特指锚杆杆体与锚固体粘结的长度(m);
E s ——杆体弹性模量(kN/m 2 );
E m ——注浆体弹性模量(kN/m 2 );
E c ——锚固体组合弹性模量, 
A——杆体截面面积(m 2 );
A c ——锚固体截面面积(m 2 );
α——锚杆倾角(°)。
条文说明
8.2.6 自由段作无粘结处理的非预应力岩石锚杆受拉变形主要是非锚固段钢筋的弹性变形,岩石锚固段理论计算变形值或实测变形值均很小。根据重庆地区大量现场锚杆锚固段变形实测结果统计,砂岩和泥岩锚固性能较好,3
25四级精轧螺纹钢,用M30级砂浆锚入整体结构的中风化泥岩中2m时,在600kN荷载作用下锚固段钢筋弹性变形仅为1mm左右。因此非预应力无粘结岩石锚杆的伸长变形主要是自由段钢筋的弹性变形,其水平刚度可近似按式(8.2.6-1)估算。 自由段无粘结的土层锚杆主要考虑锚杆自由段和锚固段的弹性变形,其水平刚度系数可近似按式(8.2.6-2)估算。
8.2.7 预应力岩石锚杆和全粘结岩石锚杆可按刚性拉杆考虑。
条文说明
8.2.7 预应力岩石锚杆由于预应力的作用效应,锚固段变形极小。当锚杆承受的拉力小于预应力值时,整根预应力岩石锚杆受拉变形值都较小,可忽略不计。全粘结岩石锚杆的理论计算变形值和实测值也较小,可忽略不计,故可按刚性拉杆考虑。
8.3 原材料
8.3 原 材 料
8.3.1 锚杆(索)原材料性能应符合国家现行标准的有关规定,并应满足设计要求,方便施工,且材料之间不应产生不良影响。
8.3.2 锚杆(索)杆体可使用普通钢材、精轧螺纹钢、钢绞线包括无粘结钢绞线和高强钢丝,其材料尺寸和力学性能应符合本规范附录E的规定;不宜采用镀锌钢材。
条文说明
8.3.2 对非预应力全粘结型锚杆,当锚杆承载力标准值低于400kN时,采用Ⅱ、Ⅲ级钢筋能满足设计要求,其构造简单,施工方便。承载力设计值较大的预应力锚杆,宜采用钢绞线或高强钢丝,首先是因为其抗拉强度远高于Ⅱ、Ⅲ级钢筋,能满足设计值要求,同时可大幅度地降低钢材用量;二是预应力锚索需要的锚具、张拉机具等配件有成熟的配套产品,供货方便;三是其产生的弹性伸长总量远高于Ⅱ、Ⅲ级钢筋,当锚头松动,钢筋松弛等原因引起的预应力损失值也要小得多;四是钢绞线、钢丝运输、安装较粗钢筋方便,在狭窄的场地也可施工。高强精轧螺纹钢则适用于中级承载能力的预应力锚杆,有钢绞线和普通粗钢筋的类同优点,其防腐的耐久性和可靠性较高,锚杆处于水下,腐蚀性较强的地层中,且需预应力时宜优先采用。 镀锌钢材在酸性土质中易产生化学腐蚀,发生“氢脆”现象,故作此条规定。
8.3.3 灌浆材料性能应符合下列规定:
1 水泥宜使用普通硅酸盐水泥,需要时可采用抗硫酸盐水泥;
2 砂的含泥量按重量计不得大于3%,砂中云母、有机物、硫化物和硫酸盐等有害物质的含量按重量计不得大于1%;
3 水中不应含有影响水泥正常凝结和硬化的有害物质,不得使用污水;
4 外加剂的品种和掺量应由试验确定;
5 浆体配制的灰砂比宜为0.80~1.50,水灰比宜为0.38~0.50;
6 浆体材料28d的无侧限抗压强度,不应低于25MPa。
8.3.4 锚具应符合下列规定:
1 预应力筋用锚具、夹具和连接器的性能均应符合现行国家标准《预应力筋用锚具、夹具和连接器》GB/T 14370的规定;
2 预应力锚具的锚固效率应至少发挥预应力杆体极限抗拉力的95%以上,达到实测极限拉力时的总应变应小于2%;
3 锚具应具有补偿张拉和松弛的功能,需要时可采用可以调节拉力的锚头;
4 锚具罩应采用钢材或塑料材料制作加工,需完全罩住锚杆头和预应力筋的尾端,与支承面的接缝应为水密性接缝。
条文说明
8.3.4 锚具的构造应使每束预应力钢绞线可采用夹片方式锁定,张拉时可整根锚杆操作。锚具由锚头、夹片和承压板等组成,为满足设计使用目的,锚头应具有多次补偿张拉的功能,锚具型号及性能参数详见国家现行有关标准。
8.3.5 套管材料和波纹管应符合下列规定:
1 具有足够的强度,保证其在加工和安装过程中不损坏;
2 具有抗水性和化学稳定性;
3 与水泥浆、水泥砂浆或防腐油脂接触无不良反应。
8.3.6 防腐材料应符合下列规定:
1 在锚杆设计使用年限内,保持其防腐性能和耐久性;
2 在规定的工作温度内或张拉过程中不得开裂、变脆或成为流体;
3 应具有化学稳定性和防水性,不得与相邻材料发生不良反应;不得对锚杆自由段的变形产生限制和不良影响。
8.3.7 导向帽、隔离架应由钢、塑料或其他对杆体无害的材料组成,不得使用木质隔离架。
8.4 构造设计
8.4 构造设计
8.4.1 锚杆总长度应为锚固段、自由段和外锚头的长度之和,并应符合下列规定:
1 锚杆自由段长度应为外锚头到潜在滑裂面的长度;预应力锚杆自由段长度应不小于5.0m,且应超过潜在滑裂面1.5m;
2 锚杆锚固段长度应按本规范公式(8.2.3)和公式(8.2.4)进行计算,并取其中大值。同时,土层锚杆的锚固段长度不应小于4.0m,并不宜大于10.0m;岩石锚杆的锚固段长度不应小于3.0m,且不宜大于45D和6.5m,预应力锚索不宜大于55D和8.0m;
3 位于软质岩中的预应力锚索,可根据地区经验确定最大锚固长度;
4 当计算锚固段长度超过构造要求长度时,应采取改善锚固段岩土体质量、压力灌浆、扩大锚固段直径、采用荷载分散型锚杆等,提高锚杆承载能力。
条文说明
8.4.1 本条规定锚固段设计长度取值的上限值和下限值,是为保证锚固效果安全、可靠,使计算结果与锚固段锚固体和地层间的应力状况基本一致。 日本有关锚固工法介绍的锚固段锚固体与地层间锚固应力分布如图4所示。由于灌浆体与岩土体和杆体的弹性特征值不一致,当杆体受拉后粘结应力并非沿纵向均匀分布,而是出现如图中Ⅰ所示应力集中现象。当锚固段过长时,随着应力不断增加从靠近边坡面处锚固端开始,灌浆体与地层界面的粘结逐渐软化或脱开,此时可发生裂缝沿界面向深部发展现象,如图中Ⅱ所示。随着锚固效应弱化,锚杆抗拔力并不与锚固长度增加成正比,如图中Ⅲ所示。由此可见,计算采用过长的增大锚固长度,并不能提高锚固力,公式(8.2.3)应用必须限制计算长度的上限值,国外有关标准规定计算长度不超过10m。实际工程中,考虑到锚杆耐久性和对岩土体加固效应等因素,锚杆实际锚固长度可适当加长。

图4 拉力型锚杆锚固应力分布图
Ⅰ—锚杆工作阶段应力分布图;Ⅱ—锚杆应力超过工作阶段,变形增大时应力分布图;Ⅲ—锚固段处于破坏阶段时应力分布图 反之,锚固段长度设计过短时,由于实际施工期锚固区地层局部强度可能降低,或岩体中存在不利组合结构面时,锚固段被拔出的危险性增大,为确保锚固安全度的可靠性,国内外有关标准均规定锚固段构造长度不得小于3.0m~4.0m。 大量的工程试验证实,在硬质岩和软质岩中,中、小级承载力锚杆在工作阶段锚固段应力传递深度约为1.5m~3.0m(12倍~20倍钻孔直径),三峡工程锚固于花岗岩中3000kN级锚索工作阶段应力传递深度实测值约为4.0m(约25倍孔径)。 综合以上原因,本规范根据大量锚杆试验结果及锚固段设计安全度及构造需要,提出锚固段的设计计算长度应满足本条要求。 当计算锚固段长度超过限值时,可采取锚固段压力灌浆(二次劈裂灌浆)方法加固锚固段周围土体、提高土体与锚固体粘结摩阻力,以获得更高单位长度锚固段抗拔承载力。一般情况下,采取压力灌浆方法可提高锚固力1.2倍~1.5倍。此外,还可采用改变锚固体形式的方法即荷载分散型锚杆。荷载分散型锚杆是在同一个锚杆孔内安装几个单元锚杆,每个单元锚杆均有各自的锚杆杆体、自由段和锚固段。承受集中拉力荷载时,各个不同的单元锚杆锚固段分别承担较小的拉力荷载,使锚杆锚固段上粘结应力大大减小且相应于整根锚杆分布均匀,能最大限度地调用整个加固范围内土层强度。可根据具体锚杆孔直径大小与承载力要求设置单元锚杆个数,使锚杆承载力可随锚固段长度的增加正比例提高,满足使用要求。此外,压力分散型锚杆还可增加防腐能力,减小预应力损失,特别适用于相对软弱又对变形及承载力要求较高的岩土体。锚固应力分布见图5。

图5 荷载分散型锚杆锚固应力分布图
1—单元锚杆;2—粘摩阻力
8.4.2 锚杆的钻孔直径应符合下列规定:
1 钻孔内的锚杆钢筋面积不超过钻孔面积的20%;
2 钻孔内的锚杆钢筋保护层厚度,对永久性锚杆不应小于25mm,对临时性锚杆不应小于15mm。
8.4.3 锚杆的倾角宜采用10°~35°,并应避免对相邻构筑物产生不利影响。
条文说明
8.4.3 锚杆轴线与水平面的夹角小于10°后,锚杆外端灌浆饱满度难以保证,因此建议夹角一般不小于10°。由于锚杆水平抗拉力等于拉杆强度与锚杆倾角余弦值的乘积,锚杆倾角过大时锚杆有效水平拉力下降过多,同时将对锚肋作用较大的垂直分力,该垂直分力在锚肋基础设计时不能忽略,同时对施工期锚杆挡墙的竖向稳定不利,因此锚杆倾角宜为10°~35°。
8.4.4 锚杆隔离架应沿锚杆轴线方向每隔1m~3m设置一个,对土层应取小值,对岩层可取大值。
8.4.5 预应力锚杆传力结构应符合下列规定:
1 预应力锚杆传力结构应有足够的强度、刚度、韧性和耐久性;
2 强风化或软弱破碎岩质边坡和土质边坡宜采用框架格构型钢筋混凝土传力结构;
3 对Ⅰ、Ⅱ类及完整性好的Ⅲ类岩质边坡,宜采用墩座或地梁型钢筋混凝土传力结构;
4 传力结构与坡面的结合部位应做好防排水设计及防腐措施;
5 承压板及过渡管宜由钢板和钢管制成,过渡管钢管壁厚不宜小于5mm。
8.4.6 当锚固段岩体破碎、渗(失)水量大时,应对岩体作灌浆加固处理。
条文说明
8.4.6 在锚固段岩体破碎,渗水严重时,水泥固结灌浆可达到密封裂隙,封阻渗水,保证和提高锚固性能效果。
8.4.7 永久性锚杆的防腐蚀处理应符合下列规定:
1 非预应力锚杆的自由段位于岩土层中时,可采用除锈、刷沥青船底漆和沥青玻纤布缠裹二层进行防腐蚀处理;
2 对采用钢绞线、精轧螺纹钢制作的预应力锚杆(索),其自由段可按本条第1款进行防腐蚀处理后装入套管中;自由段套管两端100mm~200mm长度范围内用黄油充填,外绕扎工程胶布固定;
3 对位于无腐蚀性岩土层内的锚固段,水泥浆或水泥砂浆保护层厚度应不小于25mm;对位于腐蚀性岩土层内的锚固段,应采取特殊防腐蚀处理,且水泥浆或水泥砂浆保护层厚度不应小于50mm;
4 经过防腐蚀处理后,非预应力锚杆的自由段外端应埋入钢筋混凝土构件内50mm以上;对预应力锚杆,其锚头的锚具经除锈、涂防腐漆三度后应采用钢筋网罩、现浇混凝土封闭,且混凝土强度等级不应低于C30,厚度不应小于100mm,混凝土保护层厚度不应小于50mm。
8.4.8 临时性锚杆的防腐蚀可采取下列处理措施:
1 非预应力锚杆的自由段,可采用除锈后刷沥青防锈漆处理;
2 预应力锚杆的自由段,可采用除锈后刷沥青防锈漆或加套管处理;
3 外锚头可采用外涂防腐材料或外包混凝土处理。
条文说明
8.4.7、8.4.8 锚杆防腐处理的可靠性及耐久性是影响锚杆使用寿命的重要因素之一,“应力腐蚀”和“化学腐蚀”双重作用将使杆体锈蚀速度加快,锚杆使用寿命大大降低,防腐处理应保证锚杆各段均不出现杆体材料局部腐蚀现象。 锚杆的防腐保护等级与措施应根据锚杆的设计使用年限及所处地层有无腐蚀性确定。腐蚀环境中的永久性锚杆应采用Ⅰ级防腐保护构造;非腐蚀环境中的永久性锚杆及腐蚀环境中的临时性锚杆应采用Ⅱ级防护,非腐蚀环境中的临时性锚杆可采用Ⅲ级简单防腐保护构造。具体防腐做法及要求可参见现行国家标准《锚杆喷射混凝土支护技术规范》GB 50086相关要求。
8.5 施工
8.5 施 工
8.5.1 锚杆施工前应做好下列准备工作:
1 应掌握锚杆施工区建(构)筑物基础、地下管线等情况;
2 应判断锚杆施工对邻近建筑物和地下管线的不良影响,并制定相应预防措施;
3 编制符合锚杆设计要求的施工组织设计;并应检验锚杆的制作工艺和张拉锁定方法与设备;确定锚杆注浆工艺并标定张拉设备;
4 应检查原材料的品种、质量和规格型号,以及相应的检验报告。
8.5.2 锚孔施工应符合下列规定:
1 锚孔定位偏差不宜大于20.0mm;
2 锚孔偏斜度不应大于2%;
3 钻孔深度超过锚杆设计长度不应小于0.5m。
8.5.3 钻孔机械应考虑钻孔通过的岩土类型、成孔条件、锚固类型、锚杆长度、施工现场环境、地形条件、经济性和施工速度等因素进行选择。在不稳定地层中或地层受扰动导致水土流失会危及邻近建筑物或公用设施的稳定时,应采用套管护壁钻孔或干钻。
8.5.4 锚杆的灌浆应符合下列规定:
1 灌浆前应清孔,排放孔内积水;
2 注浆管宜与锚杆同时放入孔内;向水平孔或下倾孔内注浆时,注浆管出浆口应插入距孔底100mm~300mm处,浆液自下而上连续灌注;向上倾斜的钻孔内注浆时,应在孔口设置密封装置;
3 孔口溢出浆液或排气管停止排气并满足注浆要求时,可停止注浆;
4 根据工程条件和设计要求确定灌浆方法和压力,确保钻孔灌浆饱满和浆体密实;
5 浆体强度检验用试块的数量每30根锚杆不应少于一组,每组试块不应少于6个。
8.5.5 预应力锚杆锚头承压板及其安装应符合下列规定:
1 承压板应安装平整、牢固,承压面应与锚孔轴线垂直;
2 承压板底部的混凝土应填充密实,并满足局部抗压强度要求。
8.5.6 预应力锚杆的张拉与锁定应符合下列规定:
1 锚杆张拉宜在锚固体强度大于20MPa并达到设计强度的80%后进行;
2 锚杆张拉顺序应避免相近锚杆相互影响;
3 锚杆张拉控制应力不宜超过0.65倍钢筋或钢绞线的强度标准值;
4 锚杆进行正式张拉之前,应取0.10倍~0.20倍锚杆轴向拉力值,对锚杆预张拉1次~2次,使其各部位的接触紧密和杆体完全平直;
5 宜进行锚杆设计预应力值1.05倍~1.10倍的超张拉,预应力保留值应满足设计要求;对地层及被锚固结构位移控制要求较高的工程,预应力锚杆的锁定值宜为锚杆轴向拉力特征值;对容许地层及被锚固结构产生一定变形的工程,预应力锚杆的锁定值宜为锚杆设计预应力值的0.75倍~0.90倍。
9 锚杆(索)挡墙
9.1 一般规定
9 锚杆(索)挡墙
9.1 一般规定
9.1.1 锚杆挡墙可分为下列形式:
1 根据挡墙的结构形式可分为板肋式锚杆挡墙、格构式锚杆挡墙和排桩式锚杆挡墙;
2 根据锚杆的类型可分为非预应力锚杆挡墙和预应力锚杆(索)挡墙。
条文说明
9.1.1 本条列举锚杆挡墙的常用形式,此外还有竖肋和板为预制构件的装配肋板式锚杆挡墙,下部为挖方、上部为填方的组合锚杆挡墙。 根据地形、地质特征和边坡荷载等情况,各类锚杆挡墙的方案特点和其适用性如下:
1 钢筋混凝土装配式锚杆挡土墙适用于填方地段。
2 现浇钢筋混凝土板肋式锚杆挡土墙适用于挖方地段,当土方开挖后边坡稳定性较差时应采用“逆作法”施工。
3 排桩式锚杆挡土墙:适用于边坡稳定性很差、坡肩有建(构)筑物等附加荷载地段的边坡。当采用现浇钢筋混凝土板肋式锚杆挡土墙,还不能确保施工期的坡体稳定时宜采用本方案。排桩可采用人工挖孔桩、钻孔桩或型钢。排桩施工完后用“逆作法”施工锚杆及钢筋混凝土挡板或拱板。
4 钢筋混凝土格架式锚杆挡土墙:墙面垂直型适用于稳定性、整体性较好的Ⅰ、Ⅱ类岩石边坡,在坡面上现浇网格状的钢筋混凝土格架梁,竖向肋和水平梁的结点上加设锚杆,岩面可加钢筋网并喷射混凝土作支挡或封面处理;墙面后仰型可用于各类岩石边坡和稳定性较好的土质边坡,格架内墙面根据稳定性可作封面、支挡或绿化处理。
5 钢筋混凝土预应力锚杆挡土墙:当挡土墙的变形需要严格控制时,宜采用预应力锚杆。锚杆的预应力也可增大滑面或破裂面上的静摩擦力并产生抗力,更有利于坡体稳定。
9.1.2 下列边坡宜采用排桩式锚杆挡墙支护:
1 位于滑坡区或切坡后可能引发滑坡的边坡;
2 切坡后可能沿外倾软弱结构面滑动、破坏后果严重的边坡;
3 高度较大、稳定性较差的土质边坡;
4 边坡塌滑区内有重要建筑物基础的Ⅳ类岩质边坡和土质边坡。
条文说明
9.1.2 工程经验证明,稳定性差的边坡支护,采用排桩式预应力锚杆挡墙且逆作施工是安全可靠的,设计方案有利于边坡的稳定及控制边坡水平及垂直变形。故本条提出了几种稳定性差、危害性大的边坡支护宜采用上述方案。此外,采用增设锚杆、对锚杆和边坡施加预应力或跳槽开挖等措施,也可增加边坡的稳定性。设计应结合工程地质环境、重要性及施工条件等因素综合确定支护方案。
9.1.3 在施工期稳定性较好的边坡,可采用板肋式或格构式锚杆挡墙。
9.1.4 填方锚杆挡墙在设计和施工时应采取有效措施防止新填方土体沉降造成的锚杆附加拉应力过大。高度较大的新填方边坡不宜采用锚杆挡墙方案。
条文说明
9.1.4 填方锚杆挡土墙垮塌事故经验证实,控制好填方的质量及采取有效措施减小新填土沉降压缩、固结变形对锚杆拉力增加和对挡墙的附加推力增加是高填方锚杆挡墙成败关键。因此本条规定新填方锚杆挡墙应作特殊设计,采取有效措施控制填方对锚杆拉力增加过大的不利情况发生。当新填方边坡高度较大且无成熟的工程经验时,不宜采用锚杆挡墙方案。
9.2 设计计算
9.2 设计计算
9.2.1 锚杆挡墙设计应包括下列内容:
1 侧向岩土压力计算;
2 挡墙结构内力计算;
3 立柱嵌入深度计算;
4 锚杆计算和混凝土结构局部承压强度以及抗裂性计算;
5 挡板、立柱(肋柱或排桩)及其基础设计;
6 边坡变形控制设计;
7 整体稳定性分析;
8 施工方案建议和监测要求。
9.2.2 坡顶无建(构)筑物且不需对边坡变形进行控制的锚杆挡墙,其侧向岩土压力合力可按下式计算:
E′ ah =E ah β 2 (9.2.2)
式中:E′ ah ——相应于作用的标准组合时,每延米侧向岩土压力合力水平分力修正值(kN);
E ah ——相应于作用的标准组合时,每延米侧向主动岩土压力合力水平分力(kN);
β 2 ——锚杆挡墙侧向岩土压力修正系数,应根据岩土类别和锚杆类型按表9.2.2确定。
表9.2.2 锚杆挡墙侧向岩土压力修正系数β 2

注:当锚杆变形计算值较小时取大值,较大时取小值。
条文说明
9.2.2 挡墙侧向压力大小与岩土力学性质、墙高、支护结构形式及位移方向和大小等因素有关。根据挡墙位移的方向及大小,其侧向压力可分为主动土压力、静止土压力和被动土压力。由于锚杆挡墙构造特殊,侧向压力的影响因素更为复杂,例如:锚杆变形量大小、锚杆是否加预应力、锚杆挡土墙的施工方案等都直接影响挡墙的变形,使土压力发生变化;同时,挡土板、锚杆和地基间存在复杂的相互作用关系,因此目前理论上还未有准确的计算方法如实反映各种因素对锚杆挡墙的侧向压力的影响。从理论分析和实测资料看,土质边坡锚杆挡墙的土压力大于主动土压力,采用预应力锚杆挡墙时土压力增加更大,本规范采用土压力增大系数β来反映锚杆挡墙侧向压力的增大。岩质边坡变形小,应力释放较快,锚杆对岩体约束后侧向压力增大不明显,故对非预应力锚杆挡墙不考虑侧压力增大,预应力锚杆考虑1.1的增大值。
9.2.3 确定岩土自重产生的锚杆挡墙侧压力分布,应考虑锚杆层数、挡墙位移大小、支护结构刚度和施工方法等因素,可简化为三角形、梯形或当地经验图形。
9.2.4 填方锚杆挡墙和单排锚杆的土层锚杆挡墙的侧压力,可近似按库仑理论取为三角形分布。
9.2.5 对岩质边坡以及坚硬、硬塑状黏性土和密实、中密砂土类边坡,当采用逆作法施工的、柔性结构的多层锚杆挡墙时,侧压力分布可近似按图9.2.5确定,图中e′ ah 按下列公式计算:

图9.2.5 锚杆挡墙侧压力分布图
(括号内数值适用于土质边坡)
对岩质边坡:

对土质边坡:

式中:e′ ah ——相应于作用的标准组合时侧向岩土压力水平分力修正值(kN/m 2 );
H——挡墙高度(m)。
条文说明
9.2.3~9.2.5 从理论分析和实测结果看,影响锚杆挡墙侧向压力分布图形的因素复杂,主要为填方或挖方、挡墙位移大小与方向、锚杆层数及弹性大小、是否采用逆作施工方法、墙后岩土类别和硬软等情况。不同条件时分布图形可能是三角形、梯形或矩形,仅用侧向压力随深度成线性增加的三角形应力图已不能反映许多锚杆挡墙侧向压力的实际情况。本规范第9.2.5条对满足特定条件时的应力分布图形作了梯形分布规定,与国内外工程实测资料和相关标准一致。主要原因为逆作施工法的锚杆对边坡变形约束作用、支撑作用及岩石和硬土的竖向拱效应明显,使边坡侧向压力向锚固点传递,造成矩形应力分布图形与有支撑时基坑土压力呈矩形、梯形分布图形不同。反之,上述条件以外的非硬土边坡宜采用库仑三角形应力分布图形或地区经验图形。
9.2.6 对板肋式和排桩式锚杆挡墙,立柱荷载取立柱受荷范围内的最不利荷载效应标准组合值。
9.2.7 岩质边坡以及坚硬、硬塑状黏性土和密实、中密砂土类边坡的锚杆挡墙,立柱可按下列规定计算:
1 立柱可按支承于刚性锚杆上的连续梁计算内力;当锚杆变形较大时立柱宜按支承于弹性锚杆上的连续梁计算内力;
2 根据立柱下端的嵌岩程度,可按铰接端或固定端考虑;当立柱位于强风化岩层以及坚硬、硬塑状黏性土和密实、中密砂土内时,其嵌入深度可按等值梁法计算。
9.2.8 除坚硬、硬塑状黏性土和密实、中密砂土类外的土质边坡锚杆挡墙,结构内力宜按弹性支点法计算。当锚固点水平变形较小时,结构内力可按静力平衡法或等值梁法计算,计算方法可按本规范附录F执行。
条文说明
9.2.7、9.2.8 锚杆挡墙与墙后岩土体是相互作用、相互影响的一个整体,其结构内力除与支护结构的刚度有关外,还与岩土体的变形有关,因此要准确计算是较为困难的。根据目前的研究成果,可按连续介质理论采用有限元、边界元及弹性支点法等方法进行较精确的计算。但在实际工程中,也有采用等值梁法或静力平衡法等进行近似计算。 在平面分析模型中弹性支点法根据连续梁理论,考虑支护结构与其后岩土体的变形协调,其计算结果较为合理,因此规范推荐此方法。等值梁法或静力平衡法假定上部锚杆施工后开挖下部边坡时上部分的锚杆内力保持不变,并且在锚杆处为不动点,不能反映挡墙实际受力特点。因锚杆受力后将产生变形,支护结构刚度也较小,属柔性结构。但在锚固点变形较小时其计算结果能满足工程需要,且其计算较为简单。因此对岩质边坡及较坚硬的土质边坡,也可作为近似方法。对较软弱土的边坡,宜采用弹性支点法或其他较精确的方法。
9.2.9 根据挡板与立柱连接构造的不同,挡板可简化为支撑在立柱上的水平连续板、简支板或双铰拱板;设计荷载可取板所处位置的岩土压力值。岩质边坡锚杆挡墙或坚硬、硬塑状黏性土和密实、中密砂土等且排水良好的挖方土质边坡锚杆挡墙,可根据当地的工程经验考虑两立柱间岩土形成的卸荷拱效应。
条文说明
9.2.9 挡板为支承于竖肋上的连续板或简支板、拱构件,其设计荷载按板的位置及标高处的岩土压力值确定,这是常规的能保证安全的设计方法。大量工程实测值证实,挡土板的实际应力值存在小于设计值的情况,其主要原因是挡土板后的岩土存在拱效应,岩土压力部分荷载通过“拱作用”直接传至肋柱上,从而减少作用在挡土板上荷载。影响“拱效应”的因素复杂,主要与岩土密实性、排水情况、挡板的刚度、施工方法和力学参数等因素有关。目前理论研究还不能作出定量的计算,一些地区主要是采取工程类比的经验方法,相同的地质条件、相同的板跨,采用定量的设计用料。本条按以上原则对于存在“拱效应”较强的岩石和土质密实且排水可靠的挖方挡墙,可考虑两肋间岩土“卸荷拱”的作用。设计者应根据地区工程经验考虑荷载减小效应。完整的硬质岩荷载减小效应明显,反之极软岩及密实性较高的土荷载减小效果稍差;对于软弱土和填方边坡,无可靠地区经验时不宜考虑“卸荷拱”作用。
9.2.10 当锚固点变形较小时,钢筋混凝土格构式锚杆挡墙可简化为支撑在锚固点上的井字梁进行内力计算;当锚固点变形较大时,应考虑变形对格构式挡墙内力的影响。
9.2.11 由支护结构、锚杆和地层组成的锚杆挡墙体系的整体稳定性验算可采用圆弧滑动法或折线滑动法,并应符合本规范第5章的相关规定。
条文说明
9.2.11 锚杆挡墙的整体稳定性验算包括内部稳定和外部稳定两方面的验算。 内部稳定是指锚杆锚固段与支护结构基础假想支点之间滑动面的稳定验算,可结合本规范第5章的有关规定,并参考国家现行相关规范关于土钉墙稳定计算方法进行验算。 外部稳定是指支护结构、锚杆和包括锚固段岩土体在内的岩土体的整体稳定,可结合本规范第5章的有关规定,采用圆弧法验算边坡的整体稳定。
9.3 构造设计
9.3 构造设计
9.3.1 锚杆挡墙支护结构立柱的间距宜采用2.0m~6.0m。
9.3.2 锚杆挡墙支护中锚杆的布置应符合下列规定:
1 锚杆上下排垂直间距、水平间距均不宜小于2.0m;
2 当锚杆间距小于上述规定或锚固段岩土层稳定性较差时,锚杆宜采用长短相间的方式布置;
3 第一排锚杆锚固体上覆土层的厚度不宜小于4.0m,上覆岩层的厚度不宜小于2.0m;
4 第一锚点位置可设于坡顶下1.5m~2.0m处;
5 锚杆的倾角宜采用10°~35°;
6 锚杆布置应尽量与边坡走向垂直,并应与结构面呈较大倾角相交;
7 立柱位于土层时宜在立柱底部附近设置锚杆。
条文说明
9.3.2 锚杆轴线与水平面的夹角小于10°后,锚杆外端灌浆饱满度难以保证,因此建议夹角一般不小于10°。由于锚杆水平抗拉力等于拉杆强度与锚杆倾角余弦值的乘积,锚杆倾角过大时锚杆有效水平拉力下降过多,同时将对锚肋作用较大的垂直分力,该垂直分力在锚肋基础设计时不能忽略,同时对施工期锚杆挡墙的竖向稳定不利,因此锚杆倾角宜为10°~35°。 提出锚杆间距控制主要考虑到当锚杆间距过密时,由于“群锚效应”锚杆承载力将降低,锚固段应力影响区段土体被拉坏可能性增大。 由于锚杆每米直接费用中钻孔费约占一半左右,因此在设计中应适当减少钻孔量,采用承载力低而密的锚杆是不经济的,应选用承载力较高的锚杆,同时也可避免发生“群锚效应”不利影响。
9.3.3 立柱、挡板和格构梁的混凝土强度等级不应小于C25。
9.3.4 立柱的截面尺寸除应满足强度、刚度和抗裂要求外,还应满足挡板的支座宽度、锚杆钻孔和锚固等要求。肋柱截面宽度不宜小于300mm,截面高度不宜小于400mm;钻孔桩直径不宜小于500mm,人工挖孔桩直径不宜小于800mm。
9.3.5 立柱基础应置于稳定的地层内,可采用独立基础、条形基础或桩基础等形式。
9.3.6 对永久性边坡,现浇挡板和拱板厚度不宜小于200mm。
条文说明
9.3.6 本条提出现浇挡板的厚度不宜小于200mm的建议要求,主要考虑现场立模和浇混凝土的条件较差,为保证混凝土质量的施工要求。为确保挡土板混凝土浇筑密实度,一般情况下,不宜采用喷射混凝土施工。
9.3.7 锚杆挡墙立柱宜对称配筋;当第一锚点以上悬臂部分内力较大或柱顶设单锚时,可根据立柱的内力包络图采用不对称配筋做法。
9.3.8 格构梁截面尺寸应按强度、刚度和抗裂要求计算确定,且格构梁截面宽度和截面高度均不宜小于300mm。
9.3.9 锚杆挡墙现浇混凝土构件的伸缩缝间距不宜大于20m~25m。
条文说明
9.3.9 在岩壁上一次浇筑混凝土板的长度不宜过大,以避免当混凝土收缩时岩石的“约束”作用产生拉应力,导致挡土板开裂,此时宜减短浇筑长度。
9.3.10 锚杆挡墙立柱的顶部宜设置钢筋混凝土构造连梁。
9.3.11 当锚杆挡墙的锚固区内有建(构)筑物基础传递较大荷载时,除应验算挡墙的整体稳定性外,还应适当加长锚杆,并采用长短相间的设置方法。
9.4 施工
9.4 施 工
9.4.1 排桩式锚杆挡墙和在施工期边坡可能失稳的板肋式锚杆挡墙,应采用逆作法进行施工。
条文说明
9.4.1 稳定性一般的高边坡,当采用大爆破、大开挖或开挖后不及时支护或存在外倾结构面时,均有可能发生边坡失稳和局部岩体塌方,此时应采用自上而下、分层开挖和锚固的逆作施工法。
9.4.2 对施工期处于不利工况的锚杆挡墙,应按临时性支护结构进行验算。
10 岩石锚喷支护
10.1 一般规定
10 岩石锚喷支护
10.1 一般规定
10.1.1 岩石锚喷支护应符合下列规定:
1 对永久性岩质边坡(基坑边坡)进行整体稳定性支护时,Ⅰ类岩质边坡可采用混凝土锚喷支护;Ⅱ类岩质边坡宜采用钢筋混凝土锚喷支护;Ⅲ类岩质边坡应采用钢筋混凝土锚喷支护,且边坡高度不宜大于15m;
2 对临时性岩质边坡(基坑边坡)进行整体稳定性支护时,Ⅰ、Ⅱ类岩质边坡可采用混凝土锚喷支护;Ⅲ类岩质边坡宜采用钢筋混凝土锚喷支护,且边坡高度不应大于25m;
3 对边坡局部不稳定岩石块体,可采用锚喷支护进行局部加固;
4 符合本规范第14.2.2条的岩质边坡,可采用锚喷支护进行坡面防护,且构造要求应符合本规范第10.3.3条要求。
条文说明
10.1.1 本次修订新增第2款、第3款和第4款,锚喷支护应用范围确定为Ⅰ、Ⅱ、Ⅲ类岩石永久边坡,Ⅰ、Ⅱ、Ⅲ类岩石临时边坡,以及Ⅰ~Ⅲ类岩石边坡整体稳定前提下的坡面防护,共三种类型,同时明确了永久性边坡、临时性边坡相应的适用高度。锚喷支护具有性能可靠、施工方便、工期短等优势,但喷层外表不佳且易污染;采用现浇钢筋混凝土板能改善美观,因而表面处理也可采用喷射混凝土和现浇混凝土面板。
10.1.2 膨胀性岩质边坡和具有严重腐蚀性的边坡不应采用锚喷支护。有深层外倾滑动面或坡体渗水明显的岩质边坡不宜采用锚喷支护。
10.1.3 岩质边坡整体稳定用系统锚杆支护后,对局部不稳定块体尚应采用锚杆加强支护。
条文说明
10.1.3 锚喷支护中锚杆有系统锚杆与局部锚杆两种类型。系统锚杆用以维持边坡整体稳定,采用本规范相关的直线滑裂面的极限平衡法计算。局部锚杆用以维持不稳定块体的稳定,采用赤平投影法或块体平衡法计算。
10.2 设计计算
10.2 设计计算
10.2.1 采用锚喷支护的岩质边坡整体稳定性计算应符合下列规定:
1 岩石侧压力分布可按本规范第9.2.5条的规定确定;
2 锚杆轴向拉力可按下式计算:
N ak =e′ ah s xj s yj /cosα (10.2.1)
式中:N ak ——锚杆所受轴向拉力(kN);
s xj 、s yj ——锚杆的水平、垂直间距(m);
e′ ah ——相应于作用的标准组合时侧向岩石压力水平分力修正值(kN/m);
α——锚杆倾角(°)。
10.2.2 锚喷支护边坡时,锚杆计算应符合本规范第8.2.2~8.2.4条的规定。
10.2.3 岩石锚杆总长度应符合本规范第8.4.1条的相关规定。
条文说明
10.2.1~10.2.3 锚喷支护边坡的整体稳定性计算,边坡侧压力及分布图形,锚杆总长度以及锚杆计算均按本规范第6章和第7章相关规定执行。本条说明锚喷支护的锚杆轴向拉力标准值的计算方法,但顶层锚杆应按本规范第9.2.5条应力分布图形中的顶部梯形分布图进行计算。
10.2.4 采用局部锚杆加固不稳定岩石块体时,锚杆承载力应符合下式的规定:
K b (G t -?G n -cA)≤∑N akti +?∑N akni (10.2.4)
式中:A——滑动面面积(m 2 );
c——滑移面的黏聚力(kPa);
?——滑动面上的摩擦系数;
G t 、G n ——分别为不稳定块体自重在平行和垂直于滑面方向的分力(kN);
N akti 、N akni ——单根锚杆轴向拉力在抗滑方向和垂直于滑动面方向上的分力(kN);
K b ——锚杆钢筋抗拉安全系数,按本规范第8.2.2条规定取值。
条文说明
10.2.4 本条说明用局部锚杆加固不稳定块体的具体计算方法。
10.3 构造设计
10.3 构造设计
10.3.1 系统锚杆的设置宜符合下列规定:
1 锚杆布置宜采用行列式排列或菱形排列;
2 锚杆间距宜为1.25m~3.00m,且不应大于锚杆长度的一半;对Ⅰ、Ⅱ类岩体边坡最大间距不应大于3.00m,对Ⅲ、Ⅳ类岩体边坡最大间距不应大于2.00m;
3 锚杆安设倾角宜为10°~20°;
4 应采用全粘结锚杆。
条文说明
10.3.1、10.3.2 岩石边坡在稳定性较好时,锚喷支护中的锚杆多采用全长粘结性锚杆,主要是由于全长粘结性锚杆具有性能可靠、使用年限长,便于岩石边坡施工的优点,一般长度不宜过长。对于提高岩石边坡整体稳定性的锚喷支护,一般在坡面上采用按一定规律布设的系统锚杆来提高整体稳定,系统锚杆在坡面上多采用已被工程实践证明了加固效果优于其他布设方式的行列式或菱形排列,且锚杆间的最大间距,以确保两根锚杆间的岩体稳定。锚杆最大间距显然与岩坡分类有关,岩坡分类等级越低,最大间距应当越小。对于系统锚杆未能加固的局部不稳定区或不稳定块体,可采用随机布设的、数量较少的随机锚杆进行加固,以确保岩石边坡局部区域及不稳定块体的稳定性。
10.3.2 锚喷支护用于岩质边坡整体支护时,其面板应符合下列规定:
1 对永久性边坡,Ⅰ类岩质边坡喷射混凝土面板厚度不应小于50mm,Ⅱ类岩质边坡喷射混凝土面板厚度不应小于100mm,Ⅲ类岩体边坡钢筋网喷射混凝土面板厚度不应小于150mm;对临时性边坡,Ⅰ类岩质边坡喷射混凝土面板厚度不应小于50mm,Ⅱ类岩质边坡喷射混凝土面板厚度不应小于80mm,Ⅲ类岩体边坡钢筋网喷射混凝土面板厚度不应小于100mm;
2 钢筋直径宜为6mm~12mm,钢筋间距宜为100mm~250mm,单层钢筋网喷射混凝土面板厚度不应小于80mm,双层钢筋网喷射混凝土面板厚度不应小于150mm;钢筋保护层厚度不应小于25mm;
3 锚杆钢筋与面板的连接应有可靠的连接构造措施。
10.3.3 岩质边坡坡面防护宜符合下列规定:
1 锚杆布置宜采用行列式排列,也可采用菱形排列;
2 应采用全粘结锚杆,锚杆长度为3m~6m,锚杆倾角宜为15°~25°,钢筋直径可采用16mm~22mm;钻孔直径为40mm~70mm;
3 Ⅰ、Ⅱ类岩质边坡可采用混凝土锚喷防护,Ⅲ类岩质边坡宜采用钢筋混凝土锚喷防护,Ⅳ类岩质边坡应采用钢筋混凝土锚喷防护;
4 混凝土喷层厚度可采用50mm~80mm,Ⅰ、Ⅱ类岩质边坡可取小值,Ⅲ、Ⅳ类岩质边坡宜取大值;
5 可采用单层钢筋网,钢筋直径为6mm~10mm,间距150mm~200mm。
条文说明
10.3.3 本条为新增条文,采用坡面防护构造处理的岩质边坡应符合本规范第13.2.2条的规定,此时边坡的整体稳定已采用坡率法保证,本条的做法仅起到坡面防护和坡体浅层加固的作用。本条各款中具体参数的选择可按Ⅰ、Ⅱ类边坡或高度较低的边坡取小值,Ⅲ、Ⅳ类边坡或高度较高的边坡取大值的原则执行,对临时性边坡取较小值。
10.3.4 喷射混凝土强度等级,对永久性边坡不应低于C25,对防水要求较高的不应低于C30;对临时性边坡不应低于C20。喷射混凝土1d龄期的抗压强度设计值不应小于5MPa。
条文说明
10.3.4 喷射混凝土应重视早期强度,通常规定1d龄期的抗压强度不应低于5.0MPa。
10.3.5 喷射混凝土的物理力学参数可按表10.3.5采用。
表10.3.5 喷射混凝土物理力学参数

10.3.6 喷射混凝土与岩面的粘结力,对整体状和块状岩体不应低于0.80MPa,对碎裂状岩体不应低于0.40MPa。喷射混凝土与岩面粘结力试验应符合现行国家标准《锚杆喷射混凝土支护技术规范》GB 50086的规定。
条文说明
10.3.6 边坡的岩面条件通常要比地下工程中的岩面条件差,因而喷射混凝土与岩面的粘结力略低于地下工程中喷射混凝土与岩面的粘结力。现行国家标准《锚杆喷射混凝土支护技术规范》GB 50086规定,Ⅰ、Ⅱ类围岩喷射混凝土与岩面粘结力不低于0.8MPa;Ⅲ类围岩不低于0.5MPa。本条规定整体状与块体岩体不应低于0.8MPa;碎裂状岩体不应低于0.4MPa。
10.3.7 面板宜沿边坡纵向每隔20m~25m的长度分段设置竖向伸缩缝。
10.3.8 坡体泄水孔及截水、排水沟等的设置应符合本规范的相关规定。
10.4 施工
10.4 施 工
10.4.1 边坡坡面处理宜尽量平缓、顺直,且应锤击密实,凹处填筑应稳定。
10.4.2 应清除坡面松散层及不稳定的块体。
10.4.3 Ⅲ类岩体边坡应采用逆作法施工,Ⅱ类岩体边坡可部分采用逆作法施工。
条文说明
10.4.3 锚喷支护应尽量采用部分逆作法施工,这样既能确保工程开挖中的安全,又便于施工。但应注意,对未支护开挖段岩体的高度与宽度应依据岩体的破碎、风化程度作严格控制,以免施工中出现事故。
11 重力式挡墙
11.1 一般规定
11 重力式挡墙
11.1 一般规定
11.1.1 根据墙背倾斜情况,重力式挡墙可分为俯斜式挡墙、仰斜式挡墙、直立式挡墙和衡重式挡墙等类型。
11.1.2 采用重力式挡墙时,土质边坡高度不宜大于10m,岩质边坡高度不宜大于12m。
条文说明
11.1.2 重力式挡墙基础底面大、体积大。如高度过大,则既不利于土地的开发利用,也往往是不经济的。当土质边坡高度大于10m、岩质边坡高度大于12m时,上述状况已明显存在,故本条对挡墙高度作了限制。 本次修订结合实际工程经验,对挡墙适用高度进行了适当放松。
11.1.3 对变形有严格要求或开挖土石方可能危及边坡稳定的边坡不宜采用重力式挡墙,开挖土石方危及相邻建筑物安全的边坡不应采用重力式挡墙。
条文说明
11.1.3 一般情况下,重力式挡墙位移较大,难以满足对变形的严格要求。 挖方挡墙施工难以采用逆作法,开挖面形成后边坡稳定性相对较低,有时可能危及边坡稳定及相邻建筑物安全。因此本条对重力式挡墙适用范围作了限制。
11.1.4 重力式挡墙类型应根据使用要求、地形、地质和施工条件等综合考虑确定,对岩质边坡和挖方形成的土质边坡宜优先采用仰斜式挡墙,高度较大的土质边坡宜采用衡重式或仰斜式挡墙。
条文说明
11.1.4 重力式挡墙形式的选择对挡墙的安全与经济影响较大。在同等条件下,挡墙中主动土压力以仰斜最小,直立居中,俯斜最大,因此仰斜式挡墙较为合理。但不同的墙型往往使挡墙条件(如挡墙高度、填土质量)不同。故重力式挡墙形式应综合考虑多种因素而确定。 挖方边坡采用仰斜式挡墙时,墙背可与边坡坡面紧贴,不存在填方施工不便、质量受影响的问题,仰斜当是首选墙型。 挡墙高度较大时,土压力较大,降低土压力已成为突出问题,故宜采用衡重式或仰斜式。
11.2 设计计算
11.2 设计计算
11.2.1 土质边坡采用重力式挡墙高度不小于5m时,主动土压力宜按本规范第6.2节计算的主动土压力值乘以增大系数确定。挡墙高度5m~8m时增大系数宜取1.1,挡墙高度大于8m时增大系数宜取1.2。
条文说明
11.2.1 对于高大挡土墙,通常不允许出现达到极限状态的位移值,因此土压力计算时考虑增大系数,同时也与现行国家标准《建筑地基基础设计规范》GB 50007一致。
11.2.2 重力式挡墙设计应进行抗滑移和抗倾覆稳定性验算。当挡墙地基软弱、有软弱结构面或位于边坡坡顶时,还应按本规范第5章有关规定进行地基稳定性验算。
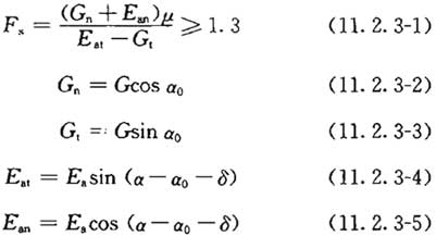
11.2.3 重力式挡墙的抗滑移稳定性应按下列公式验算(图11.2.3):

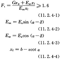
图11.2.3 挡墙抗滑移稳定性验算

式中:E a ——每延米主动岩土压力合力(kN/m);
F s ——挡墙抗滑移稳定系数;
G——挡墙每延米自重(kN/m);
α——墙背与墙底水平投影的夹角(°);
α 0 ——挡墙底面倾角(°);
δ——墙背与岩土的摩擦角(°),可按本规范的表6.2.3选用;
μ——挡墙底与地基岩土体的摩擦系数,宜由试验确定,也可按表11.2.3选用。
表11.2.3 岩土与挡墙底面摩擦系数μ

11.2.4 重力式挡墙的抗倾覆稳定性应按下列公式进行验算(图11.2.4):

图11.2.4 挡墙抗倾覆稳定性验算

z f =z-btanα 0 (11.2.4-5)
式中:F t ——挡墙抗倾覆稳定系数;
b——挡墙底面水平投影宽度(m);
χ 0 ——挡墙中心到墙趾的水平距离(m);
z——岩土压力作用点到墙踵的竖直距离(m)。
11.2.5 地震工况时,重力式挡墙的抗滑移稳定系数不应小于1.10,抗倾覆稳定性不应小于1.30。
条文说明
11.2.3~11.2.5 抗滑移稳定性及抗倾覆稳定性验算是重力式挡墙设计中十分重要的一环,式(11.2.3-1)及式(11.2.4-1)应得到满足。当抗滑移稳定性不满足要求时,可采取增大挡墙断面尺寸、墙底做成逆坡、换土做砂石垫层等措施使抗滑移稳定性满足要求。当抗倾覆稳定性不满足要求时,可采取增大挡墙断面尺寸、增长墙趾或改变墙背做法(如在直立墙背上做卸荷台)等措施使抗倾覆稳定性满足要求。 地震工况时,土压力按本规范第6章有关规定进行计算。
11.2.6 重力式挡墙的地基承载力和结构强度计算,应符合国家现行有关标准的规定。
条文说明
11.2.6 土质地基有软弱层或岩质地基有软弱结构面时,存在着挡墙地基整体失稳破坏的可能性,故需进行地基稳定性验算。
11.3 构造设计
11.3 构造设计
11.3.1 重力式挡墙材料可使用浆砌块石、条石、毛石混凝土或素混凝土。块石、条石的强度等级不应低于MU30,砂浆强度等级不应低于M5.0;混凝土强度等级不应低于C15。
条文说明
11.3.1 条石、块石及素混凝土是重力式挡墙的常用材料,也有采用砖及其他材料的。
11.3.2 重力式挡墙基底可做成逆坡。对土质地基,基底逆坡坡度不宜大于1:10;对岩质地基,基底逆坡坡度不宜大于1:5。
条文说明
11.3.2 挡墙基底做成逆坡对增加挡墙的稳定性有利,但基底逆坡坡度过大,将导致墙踵陷入地基中,也会使保持挡墙墙身的整体性变得困难。为避免这一情况,本条对基底逆坡坡度作了限制。
11.3.3 挡墙地基表面纵坡大于5%时,应将基底设计为台阶式,其最下一级台阶底宽不宜小于1.00m。
11.3.4 块石或条石挡墙的墙顶宽度不宜小于400mm,毛石混凝土、素混凝土挡墙的墙顶宽度不宜小于200mm。
11.3.5 重力式挡墙的基础埋置深度,应根据地基稳定性、地基承载力、冻结深度、水流冲刷情况以及岩石风化程度等因素确定。在土质地基中,基础最小埋置深度不宜小于0.50m,在岩质地基中,基础最小埋置深度不宜小于0.30m。基础埋置深度应从坡脚排水沟底算起。受水流冲刷时,埋深应从预计冲刷底面算起。
11.3.6 位于稳定斜坡地面的重力式挡墙,其墙趾最小埋入深度和距斜坡面的最小水平距离应符合表11.3.6的规定。
表11.3.6 斜坡地面墙趾最小埋入深度和距斜坡地面的最小水平距离(m)

注:硬质岩指单轴抗压强度大于30MPa的岩石,软质岩指单轴抗压强度小于15MPa的岩石。
条文说明
11.3.6 本次补充了稳定斜坡地面基础埋置条件。其中距斜坡地面水平距离的上、下限值的采用,可根据地基的地质情况,斜坡坡度等综合确定。如较完整的硬质岩,节理不发育、微风化的、坡度较缓的可取上限值0.6m;节理发育的、坡度较陡时可取下限值1.5m;对岩石单轴抗压强度在15MPa~30MPa的岩石,可根据具体环境情况取中间值。
11.3.7 重力式挡墙的伸缩缝间距,对条石、块石挡墙宜为20m~25m,对混凝土挡墙宜为10m~15m。在挡墙高度突变处及与其他建(构)筑物连接处应设置伸缩缝,在地基岩土性状变化处应设置沉降缝。沉降缝、伸缩缝的缝宽宜为20mm~30mm,缝中应填塞沥青麻筋或其他有弹性的防水材料,填塞深度不应小于150mm。
11.3.8 挡墙后面的填土,应优先选择抗剪强度高和透水性较强的填料。当采用黏性土作填料时,宜掺入适量的砂砾或碎石。不应采用淤泥质土、耕植土、膨胀性黏土等软弱有害的岩土体作为填料。
11.3.9 挡墙的防渗与泄水布置应根据地形、地质、环境、水体来源及填料等因素分析确定。
11.3.10 挡墙后填土地表应设置排水良好的地表排水系统。
11.4 施工
11.4 施 工
11.4.1 浆砌块石、条石挡墙的施工所用砂浆宜采用机械拌合。块石、条石表面应清洗干净,砂浆填塞应饱满,严禁干砌。
11.4.2 块石、条石挡墙所用石材的上下面应尽可能平整,块石厚度不应小于200mm。挡墙应分层错缝砌筑,墙体砌筑时不应有垂直通缝;且外露面应用M7.5砂浆勾缝。
11.4.3 墙后填土应分层夯实,选料及其密实度均应满足设计要求,填料回填应在砌体或混凝土强度达到设计强度的75%以上后进行。
11.4.4 当填方挡墙墙后地面的横坡坡度大于1:6时,应进行地面粗糙处理后再填土。
条文说明
11.4.4 本条规定是为了避免填方沿原地面滑动。填方基底处理办法有铲除草皮和耕植土、开挖台阶等。
11.4.5 重力式挡墙在施工前应预先设置好排水系统,保持边坡和基坑坡面干燥。基坑开挖后,基坑内不应积水,并应及时进行基础施工。
11.4.6 重力式抗滑挡墙应分段、跳槽施工。
12 悬臂式挡墙和扶壁式挡墙
12.1 一般规定
12 悬臂式挡墙和扶壁式挡墙
12.1 一般规定
12.1.1 悬臂式挡墙和扶壁式挡墙适用于地基承载力较低的填方边坡工程。
12.1.2 悬臂式挡墙和扶壁式挡墙适用高度对悬臂式挡墙不宜超过6m,对扶壁式挡墙不宜超过10m。
条文说明
12.1.1、12.1.2 本条对适用范围作调整。根据现行相关规范及行业的要求,限制悬臂式挡墙和扶壁式挡墙在不良地质地段和地震时的应用。 扶壁式挡墙由立板、底板及扶壁(立板的肋)三部分组成,底板分为墙趾板和墙踵板。扶壁式挡墙适用于石料缺乏、地基承载力较低的填方边坡工程。一般采用现浇钢筋混凝土结构。扶壁式挡墙回填不应采用特殊类土(如淤泥、软土、黄土、膨胀土、盐渍土、有机质土等),主要考虑这些土物理力学性质不稳定、变异大,因此限制使用。扶壁式挡墙高度不宜超过10m的规定是考虑地基承载力、结构受力特点及经济等因素定的,一般高度为6m~10m的填方边坡采用扶壁式挡墙较为经济合理。
12.1.3 悬臂式挡墙和扶壁式挡墙结构应采用现浇钢筋混凝土结构。
12.1.4 悬臂式挡墙和扶壁式挡墙的基础应置于稳定的岩土层内,其埋置深度应符合本规范第11.3.5条和第11.3.6条的规定。
条文说明
12.1.4 扶壁式挡墙基础应置于稳定的地层内,这是挡墙稳定的前提。本条规定的挡墙基础埋置深度是参考国内外有关规范而定的,这是为满足地基承载力、稳定和变形条件的构造要求。在实际工程中应根据工程地质条件和挡墙结构受力情况,采用合适的埋置深度,但不应小于本条规定的最小值。在受冲刷或受冻胀影响的边坡工程,还应考虑这些因素的不利影响,挡墙基础应在其影响之下的一定深度。
12.2 设计计算
12.2 设计计算
条文说明
扶壁式挡墙的设计内容主要包括边坡侧向土压力计算、地基承载力验算、结构内力及配筋、裂缝宽度验算及稳定性计算。在计算时应根据计算内容分别采用相应的荷载组合及分项系数。扶壁式挡墙外荷载一般包括墙后土体自重及坡顶地面活载。当受水或地震影响或坡顶附近有建筑物时,应考虑其产生的附加侧向土压力作用。
12.2.1 计算挡墙整体稳定性和立板内力时,可不考虑挡墙前底板以上土的影响;在计算墙趾板内力时,应计算底板以上填土的自重。
条文说明
12.2.1 扶壁式挡墙基础埋深较小,墙趾处回填土往往难以保证夯填密实,因此在计算挡墙整体稳定及立板内力时,可忽略墙前底板以上土的有利影响,但在计算墙趾板内力时则应考虑墙趾板以上土体的重量。
12.2.2 计算挡墙实际墙背和墙踵板的土压力时,可不计填料与板间的摩擦力。
条文说明
12.2.2 计算挡墙实际墙背和墙踵板的土压力时,可不计填料与板间的摩擦力。
12.2.3 悬臂式挡墙和扶壁式挡墙的侧向主动土压力宜按第二破裂面法进行计算。当不能形成第二破裂面时,可用墙踵下缘与墙顶内缘的连线或通过墙踵的竖向面作为假想墙背计算,取其中不利状态的侧向压力作为设计控制值。
条文说明
12.2.3 根据国内外模型试验及现场测试的资料,按库仑理论采用第二破裂面法计算侧向土压力较符合工程实际。但目前美国及日本等均采用通过墙踵的竖向面为假想墙背计算侧向压力。因此本条规定当不能形成第二破裂面时,可用墙踵下缘与墙顶内缘的连线作为假想墙及通过墙踵的竖向面为假想墙背计算侧向压力。同时侧向土压力计算应符合本规范第6章的有关规定。
12.2.4 计算立板内力时,侧向压力分布可按图12.2.4或根据当地经验图形确定。
条文说明
12.2.4 影响扶壁式挡墙的侧向压力分布的因素很多,主要包括墙后填土、支护结构刚度、地下水、挡墙变形及施工方法等,可简化为三角形、梯形或矩形。应根据工程具体情况,并结合当地经验确定符合实际的分布图形,这样结构内力计算才合理。
12.2.5 悬臂式挡墙的立板、墙趾板和墙踵板等结构构件可取单位宽度按悬挑构件进行计算。

图12.2.4 扶壁式挡墙侧向压力分布图
M 中 —板跨中弯矩;H—墙面板的高度;e hk —墙面板底端内填料引起的法向土压力;l—扶壁之间的净距
条文说明
12.2.5 增加悬臂式挡墙结构的计算模型的规定。
12.2.6 对扶壁式挡墙,根据其受力特点可按下列简化模型进行内力计算:
1 立板和墙踵板可根据边界约束条件按三边固定、一边自由的板或以扶壁为支点的连续板进行计算;
2 墙趾底板可简化为固定在立板上的悬臂板进行计算;
3 扶壁可简化为T形悬臂梁进行计算,其中立板为梁的翼缘,扶壁为梁的腹板。
条文说明
12.2.6 扶壁式挡墙是较复杂的空间受力结构体系,要精确计算是比较困难复杂的。根据扶壁式挡墙的受力特点,可将空间受力问题简化为平面问题近似计算。这种方法能反映构件的受力情况,同时也是偏于安全的。立板和墙踵板可简化为靠近底板部分为三边固定,一边自由的板及上部以扶壁为支承的连续板;墙趾底板可简化为固端在立板上的悬臂板进行计算;扶壁可简化为悬臂的T形梁,立板为梁的翼,扶壁为梁的腹板。
12.2.7 悬臂式挡墙和扶壁式挡墙的结构构件截面设计应按现行国家标准《混凝土结构设计规范》GB 50010的有关规定执行。
条文说明
12.2.7 本条明确悬臂式挡墙和扶壁式挡墙结构构件截面设计要求。
12.2.8 挡墙结构应进行混凝土裂缝宽度的验算。迎土面的裂缝宽度不应大于0.2mm,背土面的裂缝宽度不应大于0.3mm,并应符合现行国家标准《混凝土结构设计规范》GB 50010的有关规定。
条文说明
12.2.8 扶壁式挡墙为钢筋混凝土结构,其受力较大时可能开裂,钢筋净保护层厚度减小,受水浸蚀影响较大。为保证扶壁式挡墙的耐久性,本条规定了扶壁式挡墙裂缝宽度计算的要求。
12.2.9 悬臂式挡墙和扶壁式挡墙的抗滑、抗倾稳定性验算应按本规范的第10.2节的有关规定执行。当存在深部潜在滑面时,应按本规范的第5章的有关规定进行有关潜在滑面整体稳定性验算。
条文说明
12.2.9 增加悬臂式挡墙和扶壁式挡墙的抗滑、抗倾稳定性验算的规定。
12.2.10 悬臂式挡墙和扶壁式挡墙的地基承载力和变形验算按国家现行有关规范执行。
条文说明
12.2.10 增加有关地基承载力及变形验算的规定。
12.3 构造设计
12.3 构造设计
12.3.1 悬臂式挡墙和扶壁式挡墙的混凝土强度等级应根据结构承载力和所处环境类别确定,且不应低于C25。立板和扶壁的混凝土保护层厚度不应小于35mm,底板的保护层厚度不应小于40mm。受力钢筋直径不应小于12mm,间距不宜大于250mm。
条文说明
12.3.1 根据现行国家标准《混凝土结构设计规范》GB 50010规定了扶壁式挡墙的混凝土强度等级、钢筋直径和间距及混凝土保护层厚度的要求。
12.3.2 悬臂式挡墙截面尺寸应根据强度和变形计算确定,立板顶宽和底板厚度不应小于200mm。当挡墙高度大于4m时,宜加根部翼。
条文说明
12.3.2 本条明确悬臂式挡墙的截面形式及构造要求。
12.3.3 扶壁式挡墙尺寸应根据强度和变形计算确定,并应符合下列规定:
1 两扶壁之间的距离宜取挡墙高度的1/3~1/2;
2 扶壁的厚度宜取扶壁间距的1/8~1/6,且不宜小于300mm;
3 立板顶端和底板的厚度不应小于200mm;
4 立板在扶壁处的外伸长度,宜根据外伸悬臂固端弯矩与中间跨固端弯矩相等的原则确定,可取两扶壁净距的0.35倍左右。
条文说明
12.3.3 扶壁式挡墙的尺寸应根据强度及刚度等要求计算确定,同时还应当满足锚固、连接等构造要求。本条根据工程实践经验总结得来。
12.3.4 悬臂式挡墙和扶壁式挡墙结构构件应根据其受力特点进行配筋设计,其配筋率、钢筋的连接和锚固等应符合现行国家标准《混凝土结构设计规范》GB 50010的有关规定。
条文说明
12.3.4 扶壁式挡墙配筋应根据其受力特点进行设计。立板和墙踵板按板配筋,墙趾板按悬臂板配筋,扶壁按倒T形悬臂深梁进行配筋;立板与扶壁、底板与扶壁之间根据传力要求计算设计连接钢筋。宜根据立板、墙踵板及扶壁的内力大小分段分级配筋,同时立板、底板及扶壁的配筋率、钢筋的搭接和锚固等应符合现行国家标准《混凝土结构设计规范》GB 50010的有关规定。
12.3.5 当挡墙受滑动稳定控制时,应采取提高抗滑能力的构造措施。宜在墙底下设防滑键,其高度应保证键前土体不被挤出。防滑键厚度应根据抗剪强度计算确定,且不应小于300mm。
条文说明
12.3.5 在挡墙底部增设防滑键是提高挡墙抗滑稳定的一种有效措施。当挡墙稳定受滑动控制时,宜在墙底下设防滑键。防滑键应具有足够的抗剪强度,并保证键前土体足够抗力不被挤出。
12.3.6 悬臂式挡墙和扶壁式挡墙位于纵向坡度大于5%的斜坡时,基底宜做成台阶形。
12.3.7 对软弱地基或填方地基,当地基承载力不满足设计要求时,应进行地基处理或采用桩基础方案。
条文说明
12.3.6、12.3.7 挡墙基础是保证挡墙安全正常工作的十分重要的部分。实际工程中许多挡墙破坏都是地基基础设计不当引起的。因此设计时必须充分掌握工程地质及水文地质条件,在安全、可靠、经济的前提下合理选择基础形式,采取恰当的地基处理措施。当挡墙纵向坡度较大时,为减少开挖及挡墙高度,节省造价,在保证地基承载力的前提下可设计成台阶形。当地基为软土层时,可采用换土层法或采用桩基础等地基处理措施。不应将基础置于未经处理的地层上。
12.3.8 悬臂式挡墙和扶壁式挡墙的泄水孔设置及构造要求等应按本规范相关规定执行。
条文说明
12.3.8 本条补充悬臂式挡墙和扶壁式挡墙的泄水孔设置及构造要求。
12.3.9 悬臂式挡墙和扶壁式挡墙纵向伸缩缝间距宜采用10m~15m。宜在不同结构单元处和地层性状变化处设置沉降缝;且沉降缝与伸缩缝宜合并设置。其他要求应符合本规范的第11.3.7条的规定。
条文说明
12.3.9 本次修订将伸缩缝间距减小,并扩大到悬臂式挡墙。 钢筋混凝土结构扶壁式挡墙因温度变化引起材料变形,增加结构的附加内力,当长度过长时可能使结构开裂。本条参照现行有关标准规定了伸缩缝的构造要求。 扶壁式挡墙对地基不均匀变形敏感,在不同结构单元及地层岩土性状变化时,将产生不均匀变形。为适应这种变化,宜采用沉降缝分成独立的结构单元。有条件时伸缩缝与沉降缝宜合并设置。
12.3.10 悬臂式挡墙和扶壁式挡墙的墙后填料质量和回填质量应符合本规范第11.3.8条的要求。
条文说明
12.3.10 墙后填土直接影响侧向土压力,因此宜选用重度小、内摩擦角大的填料,不得采用物理力学性质不稳定、变异大的填料(如黏性土、淤泥、耕土、膨胀土、盐渍土及有机质土等特殊土)。同时,要求填料透水性强,易排水,这样可显著减小墙后侧向土压力。
12.4 施工
12.4 施 工
12.4.1 施工时应做好排水系统,避免水软化地基的不利影响,基坑开挖后应及时封闭。
条文说明
12.4.1 本条规定在施工时应做好地下水、地表水及施工用水的排放工作,避免水软化地基,降低地基承载力。基坑开挖后应及时进行封闭和基础施工。
12.4.2 施工时应清除填土中的草和树皮、树根等杂物。在墙身混凝土强度达到设计强度的70%后方可填土,填土应分层夯实。
12.4.3 扶壁间回填宜对称实施,施工时应控制填土对扶壁式挡墙的不利影响。
条文说明
12.4.2、12.4.3 挡墙后填料应严格按设计要求就地选取,并应清除填土中的草、树皮树根等杂物。在结构达到设计强度的70%后进行回填。填土应分层压实,其压实度应满足设计要求。扶壁间的填土应对称进行,减小因不对称回填对挡墙的不利影响。挡墙泄水孔的反滤层应当在填筑过程中及时施工。
12.4.4 当挡墙墙后表面的横坡坡度大于1:6时,应在进行表面粗糙处理后再填土。
13 桩板式挡墙
13.1 一般规定
13 桩板式挡墙
13.1 一般规定
13.1.1 桩板式挡墙适用于开挖土石方可能危及相邻建筑物或环境安全的边坡、填方边坡支挡以及工程滑坡治理。
条文说明
13.1.1 采用桩板式挡墙作为边坡支护结构时,可有效地控制边坡变形,因而是高大填方边坡、坡顶附近有建筑物挖方边坡的较好支挡形式。 桩板式挡墙的桩基施工工艺和桩间是否设置挡板及挡板做法的选择应综合考虑场地条件和施工可行性等多种因素后确定。
13.1.2 桩板式挡墙按其结构形式分为悬臂式桩板挡墙、锚拉式桩板挡墙。挡板可以采用现浇板或预制板。桩板式挡墙形式的选择应根据工程特点、使用要求、地形、地质和施工条件等综合考虑确定。
13.1.3 悬臂式桩板挡墙高度不宜超过12m,锚拉式桩板挡墙高度不宜大于25m。桩间距不宜小于2倍桩径或桩截面短边尺寸。
条文说明
13.1.3 悬臂式桩板挡墙高度过大,支挡结构承担的岩土压力及产生的桩顶位移均会出现较大幅度增长,不利于控制边坡安全,且悬臂桩断面过大。因此,从安全性和经济性的角度出发,控制桩板式挡墙的高度,一般不宜超过10m。
13.1.4 桩间距、桩长和截面尺寸应根据岩土侧压力大小和锚固段地基承载力等因素确定,达到安全可靠、经济合理。
13.1.5 锚拉式桩板挡墙可采用单点锚固或多点锚固的结构形式,当其高度较大、边坡推力较大时宜采用预应力锚杆。
条文说明
13.1.5 桩板式挡墙桩顶位移过大时,在桩上加设预应力锚杆(索)或非预应力锚杆可起到控制挡墙变形、降低桩身内力的作用。边坡现状稳定性较差时,采用预应力锚拉式桩板挡墙可起到边坡预加固作用,提高了边坡施工期的安全度。
13.1.6 填方锚拉式桩板挡墙应符合本规范第9.1.4条的规定。
13.1.7 桩板式挡墙用于滑坡治理时应符合本规范第17章的相关规定。
13.1.8 锚拉式桩板挡墙的锚杆(索)的设计和施工应符合本规范第8章的相关规定。
13.2 设计计算
13.2 设计计算
13.2.1 桩板式挡墙的岩土侧向压力可按库仑主动土压力计算,并根据对支护结构变形的不同限制要求,按本规范第6章的相关规定确定岩土侧向压力。锚拉式桩板挡墙的岩土侧压力可按本规范第9.2.2条确定。
13.2.2 对有潜在滑动面的边坡及工程滑坡,应取滑动剩余下滑力与主动岩土压力两者中的较大值进行桩板式挡墙设计。
13.2.3 作用在桩上的荷载宽度可按左右两相邻桩桩中心之间距离的各一半之和计算。作用在挡板上的荷载宽度可取板的计算板跨度。
13.2.4 桩板式挡墙用于滑坡支挡时,滑动面以上桩前滑体抗力可由桩前剩余抗滑力或被动土压力确定,设计时选较小值。当桩前滑体可能滑动时,不应计其抗力。
13.2.5 桩板式挡墙桩身内力计算时,临空段或边坡滑动面以上部分桩身内力,应根据岩土侧压力或滑坡推力计算。嵌入段或滑动面以下部分桩身内力,宜根据埋入段地面或滑动面处弯矩和剪力,采用地基系数法计算。根据岩土条件可选用“k法”或“m法”。地基系数k和m值宜根据试验资料、地方经验和工程类比综合确定,初步设计阶段可按本规范附录G取值。
条文说明
13.2.5 在无试验值及地区经验值等数据依据时,可以通过现场踏勘调查,根据地层种类参考表1估算滑坡体和滑床的物理力学指标及地基系数,对于抢险项目和项目前期投资估算具有实用价值。 

13.2.6 桩板式挡墙的桩嵌入岩土层部分的内力采用地基系数法计算时,桩的计算宽度可按下列规定取值:
圆形桩:d≤1m时,B p =0.9(1.5d+0.5);
d>1m时,B p =0.9(d+1);
矩形桩:b≤1m时,B p =1.5b+0.5;
b>1m时,B p =b+1;
式中:B p ——桩身计算宽度(m);
b——桩宽(m);
d——桩径(m)。
13.2.7 桩底支承应结合岩土层情况和桩基埋入深度可按自由端或铰支端考虑。
条文说明
13.2.7 当锚固段为松散介质、较完整同种岩层或虽然是不同的岩层但岩层刚度相差不大时,桩端支承可视为自由端。 当锚固段上部为土层,桩底嵌入一定深度的较完整基岩时,桩端可采用自由端或铰支端计算。当采用自由端时,各层的地基系数必须根据具体情况选用;当采用铰支端计算时,应把计算“铰支点”选在嵌入段基岩的顶面,并根据嵌入段的地层反力计算嵌入段的深度。 当桩嵌岩段桩底附近围岩的侧向k相比桩底基岩的k0较大时,桩端支承可视为铰支端。
13.2.8 桩嵌入岩土层的深度应根据地基的横向承载力特征值确定,并应符合下列规定:
条文说明
13.2.8 地基系数法通过假定埋入地面以下桩与岩土体的协调变形,确定桩埋入段截面、配筋及长度。本条给出了桩埋入段地基横向承载力的计算公式,便于桩基截面和埋深的设计调整。
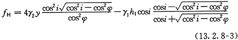
1 嵌入岩层时,桩的最大横向压应力σ max 应小于或等于地基的横向承载力特征值? H 。桩为矩形截面时,地基的横向承载力特征值可按下式计算:
? H =K H η? rk (13.2.8-1)
式中:? H ——地基的横向承载力特征值(kPa);
K H ——在水平方向的换算系数,根据岩层构造可取0.50~1.00;
η——折减系数,根据岩层的裂缝、风化及软化程度可取0.30~0.45;
? rk ——岩石天然单轴极限抗压强度标准值(kPa)。
2 嵌入土层或风化层土、砂砾状岩层时,滑动面以下或桩嵌入稳定岩土层内深度为h 2 /3和h 2 (滑动面以下或嵌入稳定岩土层内桩长)处的横向压应力不应大于地基横向承载力特征值。悬臂抗滑桩(图13.2.8)地基横向承载力特征值可按下列公式计算:
1)当设桩处沿滑动方向地面坡度小于8°时,地基y点的横向承载力特征值可按下式计算:

式中:? H ——地基的横向承载力特征值(kPa);
γ 1 ——滑动面以上土体的重度(kN/m 3 );
γ 2 ——滑动面以下土体的重度(kN/m 3 );
φ 0 ——滑动面以下土体的等效内摩擦角(°);
h 1 ——设桩处滑动面至地面的距离(m);
y——滑动面至计算点的距离(m)。

图13.2.8 悬臂抗滑桩土质地基横向承载力特征值计算简图
1—桩顶地面;2—滑面;3—抗滑桩;4—滑动方向;5—被动土压力分布图;6—主动土压力分布图
2)当设桩处沿滑动方向地面坡度i≥8°且i≤φ 0 时,地基y点的横向承载力特征值可按下式计算:

式中:φ——滑动面以下土体的内摩擦角(°)。
13.2.9 桩基嵌固段顶端地面处的水平位移不宜大于10mm。当地基强度或位移不能满足要求时,应通过调整桩的埋深、截面尺寸或间距等措施进行处理。
条文说明
13.2.9 地基系数k和m是根据地面处桩位移值为6mm~10mm时得出来的,试验资料证明,桩的变形和地基抗力不成线性关系,而是非线性的,变形愈大,地基系数愈小,所以当地面处桩的水平位移超过10mm时,常规地基系数便不能采用,必须进行折减,折减以后地基系数变小,得出桩的变形更大,形成恶性循环,故通常采用增加桩截面或加大埋深来防止地面处桩水平位移过大。
13.2.10 桩板式挡墙的桩身按受弯构件设计,当无特殊要求时,可不作裂缝宽度验算。
条文说明
13.2.10 悬臂式桩板挡墙桩身内力最大部位一般位于锚固段,桩身裂缝对桩的承载力影响小,通常情况下不必进行桩身裂缝宽度验算。当支护结构所处环境为二b类环境及更差环境、坡顶边坡滑塌区有重要建筑时,应验算桩身裂缝宽度。
13.2.11 锚拉式桩板挡墙计算时可考虑将桩、锚固段岩土体及锚索(杆)视为一整体,锚索(杆)视为弹性支座,桩简化为受横向变形约束的弹性地基梁,根据位移变形协调原理,按“k法”或“m法”计算锚杆(索)拉力及桩各段内力和位移。
13.2.12 锚拉桩采用锚固段为岩石的预应力锚杆(索)或全粘结岩石锚杆时,锚杆(索)可按刚性杆考虑,将桩简化为单跨简支梁或多跨连续梁,计算桩各段内力和位移。
13.3 构造设计
13.3 构造设计
13.3.1 桩的混凝土强度等级不应低于C25,用于滑坡支挡时桩身混凝土强度等级不应低于C30。挡板的混凝土强度等级不应低于C25,灌注锚杆(索)孔的水泥砂浆强度等级不应低于M30。
13.3.2 桩受力主筋混凝土保护层不应小于50mm,挡板受力主筋混凝土保护层挡土一侧不应小于25mm,临空一侧不应小于20mm。
13.3.3 桩内不宜采用斜筋抗剪。剪力较大时可采用调整混凝土强度等级、箍筋直径和间距和桩身截面尺寸等措施,以满足斜截面抗剪强度要求。
13.3.4 桩的箍筋宜采用封闭式,肢数不宜多于4肢,箍筋直径不应小于8mm。
条文说明
13.3.3、13.3.4 主要考虑到用于抗滑的桩桩身截面较大,多采用人工挖孔,为方便施工,不宜设置过多的箍筋肢数。
13.3.5 桩的两侧和受压边应配置纵向构造钢筋,两侧纵向钢筋直径不宜小于12mm,间距不宜大于400mm;受压边钢筋直径不宜小于14mm,间距不宜大于200mm。
条文说明
13.3.5 为使钢筋骨架有足够的刚度和便于人工作业,对纵向分布钢筋的最小直径作了一定限制,同时结合桩基受力特点,对纵向分布钢筋间距作了适当放松。
13.3.6 锚拉式桩板挡墙锚孔距桩顶距离不宜小于1500mm,锚固点附近桩身箍筋应适当加密,锚杆(索)构造应按本规范第8.4节有关规定设计。
13.3.7 悬臂式桩板挡墙桩长在岩质地基中嵌固深度不宜小于桩总长的1/4,土质地基中不宜小于1/3。
13.3.8 桩板式挡墙应根据其受力特点进行配筋设计,其配筋率、钢筋搭接和锚固应符合现行国家标准《混凝土结构设计规范》GB 50010的有关规定。
13.3.9 桩板式挡墙纵向伸缩缝间距不宜大于25m。伸缩缝构造应符合本规范第10.3.7条的规定。
13.3.10 桩板式挡墙墙后填料质量和回填质量应符合本规范第11.3.8条的规定。
13.4 施工
13.4 施 工
13.4.1 挖方区悬臂式桩板挡墙应先施工桩,再施工挡板;挖方区锚拉式桩板挡墙应先施工桩,再采用逆作法施工锚杆(索)及挡板。
13.4.2 桩身混凝土应连续灌注,不得形成水平施工缝。当需加快施工进度时,宜采用速凝、早强混凝土。
13.4.3 桩纵筋的接头不得设在土石分界处和滑动面处。
条文说明
13.4.3 土石分界处及滑动面处往往属于受力最大部位,本条规定桩纵筋接头避开有利于保证桩身承载力的发挥。
13.4.4 墙后填土必须分层夯实,选料及其密实度均应满足设计要求。
13.4.5 桩和挡板设计未考虑大型碾压机的荷载时,桩板后至少2m内不得使用大型碾压机械填筑。
13.4.6 工程滑坡治理施工尚应符合本规范第17.3节的规定。
14 坡率法
14.1 一般规定
14 坡 率 法
14.1 一般规定
14.1.1 当工程场地有放坡条件,且无不良地质作用时宜优先采用坡率法。
条文说明
14.1.1 本规范的坡率法是指控制边坡高度和坡度、无需对边坡整体进行支护而自身稳定的一种人工放坡设计方法。坡率法是一种比较经济、施工方便的边坡治理方法,对有条件的且地质条件不复杂的场地宜优先用坡率法。
14.1.2 有下列情况之一的边坡不应单独采用坡率法,应与其他边坡支护方法联合使用:
1 放坡开挖对相邻建(构)筑物有不利影响的边坡;
2 地下水发育的边坡;
3 软弱土层等稳定性差的边坡;
4 坡体内有外倾软弱结构面或深层滑动面的边坡;
5 单独采用坡率法不能有效改善整体稳定性的边坡;
6 地质条件复杂的一级边坡。
条文说明
14.1.2 本条规定对地质条件复杂,破坏后果很严重的边坡工程治理不应单独使用坡率法,单独采用坡率法时可靠性低,因此应与其他边坡支护方法联合使用,可采用坡率法(或边坡上段采用坡率法)提高边坡稳定性,降低边坡下滑力后再采用锚杆挡墙等支护结构,控制边坡的稳定,确保达到安全可靠的效果。
14.1.3 填方边坡采用坡率法时可与加筋材料联合应用。
条文说明
14.1.3 对于填方边坡可在填料中增加加筋材料提高边坡的稳定性或加大放坡的坡度以保证边坡的稳定性。
14.1.4 采用坡率法时应进行边坡环境整治、坡面绿化和排水处理。
14.1.5 高度较大的边坡应分级开挖放坡。分级放坡时应验算边坡整体的和各级的稳定性。
14.2 设计计算
14.2 设计计算
14.2.1 土质边坡的坡率允许值应根据工程经验,按工程类比的原则并结合已有稳定边坡的坡率值分析确定。当无经验且土质均匀良好、地下水贫乏、无不良地质作用和地质环境条件简单时,边坡坡率允许值可按表14.2.1确定。
表14.2.1 土质边坡坡率允许值

注:1 碎石土的充填物为坚硬或硬塑状态的黏性土;
2 对于砂土或充填物为砂土的碎石土,其边坡坡率允许值应按砂土或碎石土的自然休止角确定。
14.2.2 在边坡保持整体稳定的条件下,岩质边坡开挖的坡率允许值应根据工程经验,按工程类比的原则结合已有稳定边坡的坡率值分析确定。对无外倾软弱结构面的边坡,放坡坡率可按表14.2.2确定。
表14.2.2 岩质边坡坡率允许值

注:1 H——边坡高度;
2 Ⅳ类强风化包括各类风化程度的极软岩;
3 全风化岩体可按土质边坡坡率取值。
14.2.3 下列边坡的坡率允许值应通过稳定性计算分析确定:
1 有外倾软弱结构面的岩质边坡;
2 土质较软的边坡;
3 坡顶边缘附近有较大荷载的边坡;
4 边坡高度超过本规范表14.2.1和表14.2.2范围的边坡。
14.2.4 填土边坡的坡率允许值应根据边坡稳定性计算结果并结合地区经验确定。
14.2.5 土质边坡稳定性计算应考虑边坡影响范围内的建(构)筑物和边坡支护处理对地下水运动等水文地质条件的影响,以及由此而引起的对边坡稳定性的影响。
14.2.6 边坡稳定性评价应符合本规范第5章的有关规定。
条文说明
14.2.1~14.2.6 采用坡率法的边坡,原则上都应进行稳定性计算和评价,但对于工程地质及水文地质条件简单的土质边坡和整体无外倾结构面的岩质边坡,在有成熟的地区经验时,可参照地区经验或表14.2.1或表14.2.2确定放坡坡率。对于填土边坡由于所用土料及密实度要求可能有很大差别,不能一概而论,应根据实际情况按本规范第5章的有关规定通过稳定性计算确定边坡坡率;无经验时可按现行国家标准《建筑地基基础设计规范》GB 50007的有关规定确定填土边坡的坡率允许值。
14.3 构造设计
14.3 构造设计
14.3.1 边坡整体高度可按同一坡率进行放坡,也可根据边坡岩土的变化情况按不同的坡率放坡。
14.3.2 位于斜坡上的人工压实填土边坡应验算填土沿斜坡滑动的稳定性。分层填筑前应将斜坡的坡面修成若干台阶,使压实填土与斜坡面紧密接触。
14.3.3 边坡排水系统的设置应符合下列规定:
1 边坡坡顶、坡面、坡脚和水平台阶应设排水沟,并作好坡脚防护;在坡顶外围应设截水沟;
2 当边坡表层有积水湿地、地下水渗出或地下水露头时,应根据实际情况设置外倾排水孔、排水肓沟和排水钻孔。
14.3.4 对局部不稳定块体应清除,或采用锚杆和其他有效加固措施。
14.3.5 永久性边坡宜采用锚喷、浆砌片石或格构等构造措施护面。在条件许可时,宜尽量采用格构或其他有利于生态环境保护和美化的护面措施。临时性边坡可采用水泥砂浆护面。
条文说明
14.3.1~14.3.5 在坡高范围内,不同的岩土层,可采用不同的坡率放坡。边坡坡率设计应注意边坡环境的防护整治,边坡水系应因势利导保持畅通。考虑到边坡的永久性,坡面应采取保护措施,防止土体流失、岩层风化及环境恶化造成边坡稳定性降低。
14.4 施工
14.4 施 工
14.4.1 挖方边坡施工开挖应自上而下有序进行,并应保持两侧边坡的稳定,保证弃土、弃渣的堆填不应导致边坡附加变形或破坏现象发生。
14.4.2 填土边坡施工应自下而上分层进行,每一层填土施工完成后应进行相应技术指标的检测,质量检验合格后方可进行下一层填土施工。
14.4.3 边坡工程在雨期施工时应做好水的排导和防护工作。
15 坡面防护与绿化
15.1 一般规定
15 坡面防护与绿化
15.1 一般规定
15.1.1 边坡整体稳定但其坡面岩土体易风化、剥落或有浅层崩塌、滑落及掉块等时,应进行坡面防护。
条文说明
15.1.1 边坡整体稳定但其岩土体易风化、剥落或有浅层崩塌、滑落及掉块等影响边坡坡面的耐久性或正常使用,或可能威胁到人身和财产安全及边坡环境保护要求时,应进行坡面防护。
15.1.2 边坡坡面防护工程应在稳定边坡上设置。对欠稳定的或存在不良地质因素的边坡,应先进行边坡治理后进行坡面防护与绿化。
条文说明
15.1.2 边坡防护工程只能在稳定边坡上设置。对于边坡稳定性不足和存在不良地质因素的坡段,应先采用治理措施保证边坡整体安全性,再采取坡面防护措施,坡面防护措施应能保持自身稳定。 当边坡支护结构与坡面防护措施联合使用时,可统一进行计算。
15.1.3 边坡坡面防护应根据工程区域气候、水文、地形、地质条件、材料来源及使用条件采取工程防护和植物防护相结合的综合处理措施,并应考虑下列因素经技术经济比较确定:
1 坡面风化作用;
2 雨水冲刷;
3 植物生长效果、环境效应;
4 冻胀、干裂作用;
5 坡面防渗、防淘刷等需要;
6 其他需要考虑的因素。
条文说明
15.1.3 坡面防护工程一般分为工程防护和植物防护两大类。工程防护存在的主要问题是与周围环境不协调、景观效果差,在城市建筑边坡坡面防护中应尽量使景观设计和环境保护相结合,注意与周围自然环境和当地人文环境的融合,并结合边坡碎落台、平台上种植攀藤植物,如爬墙虎,或者采用客土喷播等岩面植生(植物防护与绿化)措施,以减少对周围环境的不利影响。
15.1.4 临时防护措施应与永久防护措施相结合。
15.1.5 地下水和地表水较为丰富的边坡,应将边坡防护结合排水措施进行综合设计。
条文说明
15.1.5 对于位于地下水和地面水较为丰富地段的边坡,其坡面防护效果的好坏直接与水的处理密切相关,应进行边坡坡面防护与排水措施的综合设计。
15.2 工程防护
15.2 工程防护
15.2.1 砌体护坡应符合下列规定:
1 砌体护坡可采用浆砌条石、块石、片石、卵石或混凝土预制块等作为砌筑材料,适用于坡度缓于1:1的易风化的岩石和土质挖方边坡;
2 石料强度等级不应低于MU30,浆砌块石、片石、卵石护坡的厚度不宜小于250mm;
3 预制块的混凝土强度等级不应低于C20;厚度不小于150mm;
4 铺砌层下应设置碎石或砂砾垫层,厚度不宜小于100mm;
5 砌筑砂浆强度等级不应低于M5.0,在严寒地区和地震地区或水下部分的砌筑砂浆强度等级不应低于M7.5;
6 砌体护坡应设置伸缩缝和泄水孔;
7 砌体护坡伸缩缝间距宜为20m~25m、缝宽20mm~30mm;在地基性状和护坡高度变化处应设沉降缝,沉降缝与伸缩缝宜合并设置;缝中应填塞沥青麻筋或其他有弹性的防水材料,填塞深度不应小于150mm;在拐角处应采取适当的加强构造措施。
条文说明
15.2.1 工程防护包括喷护、锚杆挂网喷浆、浆砌片石护坡、格构梁和护面墙等不同结构形式的工程防护。砌体防护用于边坡坡面防护时,应注意与边坡渗沟或仰斜排(泄)水孔等配合使用,防止边坡产生变形破坏。浆砌片石护坡高度较大时,应设置防滑耳墙,保证护坡砌体稳定。
15.2.2 护面墙防护设计应符合下列规定:
1 护面墙可采用浆砌条石、块石或混凝土预制块等作为砌筑材料,也可现浇素混凝土;适用于防护易风化或风化严重的软质岩石或较破碎岩石挖方边坡,以及坡面易受侵蚀的土质边坡;
2 窗孔式护面墙防护的边坡坡率应缓于1:0.75;拱式护面墙适用于边坡下部岩层较完整而上部需防护的边坡,边坡坡率应缓于1:0.50;
3 单级护面墙的高度不宜超过10m;其墙背坡坡率与边坡坡率一致,顶宽不应小于500mm,底宽不应小于1000mm,并应设置伸缩缝和泄水孔;
4 伸缩缝的间距宜为20m~25m,但对素混凝土护面墙应为10m~15m;
5 护面墙基础应设置在稳定的地基上,基础埋置深度应根据地质条件确定;冰冻地区应埋置在冰冻深度以下不小于250mm;护面墙前趾应低于排水沟铺砌的底面。
条文说明
15.2.2 护面墙主要是一种浆砌片石覆盖层,适用于防护易风化或风化严重的软质岩石或较破碎岩石挖方边坡,以及坡面易受侵蚀的土质边坡。护面墙除自重外,不承受其他荷重,亦不承受墙背土压力。护面墙高度一般不超过10m,可以分级,中间设平台,墙背可设耳墙,纵向每隔10m宜设一条伸缩缝,墙身应预留泄水孔,基础要求稳固,顶部应封闭。墙基软弱地段,可用拱形结构跨过。坡面开挖后形成的凹陷,应以砌石填塞平整,称之为支补墙。
15.2.3 对边坡坡度不大于60°、中风化的易风化岩质边坡可采用喷射砂浆进行坡面防护。喷射砂浆防护厚度不宜小于50mm,砂浆强度等级不应低于M20;喷护坡面应设置泄水孔和伸缩缝,泄水孔纵、横间距宜为2.5m,伸缩缝间距宜为10m~15m。
15.2.4 喷射混凝土防护工程应符合本规范第10章的规定。
条文说明
15.2.3、15.2.4 对坡面较陡或易风化的坡面,可以在喷浆或喷射混凝土前先铺设加筋材料,加筋材料可以用铁丝网或土工格栅,由短锚杆固定在边坡坡面上,此时常称为“挂网喷浆防护”或“挂网喷射混凝土防护”。
15.3 植物防护与绿化
15.3 植物防护与绿化
15.3.1 植物防护与绿化工程设计应符合下列规定:
1 植草宜选用易成活、生长快、根系发达、叶茎矮或有匍匐茎的多年生当地草种;草种的配合、播种量等应根据植物的生长特点、防护地点及施工方法确定;
2 铺草皮适用于需要快速绿化的边坡,且坡率缓于1:1.00的土质边坡和严重风化的软质岩石边坡;草皮应选择根系发达、茎矮叶茂耐旱草种,不宜采用喜水草种,严禁采用生长在泥沼地的草皮;
3 植树宜用于坡率缓于1:1.50的边坡;树种应选用能迅速生长且根深枝密的低矮灌木类;
4 湿法喷播绿化适用于土质边坡、土夹石边坡、严重风化岩石的坡率缓于1:0.50的挖方和填方边坡防护;
5 客土喷播与绿化适用于风化岩石、土壤较少的软质岩石、养分较少的土壤、硬质土壤,植物立地条件差的高大陡坡面和受侵蚀显著的坡面;当坡率陡于1:1.00时,宜设置挂网或混凝土格构。
条文说明
15.3.1 植物防护形式较多,其中三维植被网以热塑树脂为原料,采用科学配方,经挤出、拉伸、焊接、收缩等工序而制成。其结构分为上下两层,下层为一个经双面拉伸的高模量基础层,强度足以防止植被网变形,上层由具有一定弹性的、规则的、凹凸不平的网包组成。由于网包的作用,能降低雨滴的冲蚀能量,并通过网包阻挡坡面雨水,同时网包能很好地固定充填物(土、营养土、草籽)不被雨水冲走,为植被生长创造良好条件。另外,三维网固定在坡面上,直接对坡面起固筋作用。当植物生长茂盛后,根系与三维网盘错、连接、纠缠在一起,坡面和土相接,形成一个坚固的绿色复合保护整体,起到复合护坡的作用。 ?湿法喷播是一种以水为载体的机械化植被建植技术。它采用专门的设备(喷播机)施工。种子在较短时间内萌芽、生长成株、覆盖坡面,达到迅速绿化,稳固边坡之目的。 客土喷播是将客土(提供植物生育的基盘材料)、纤维(基盘辅助材料)、侵蚀防止剂、缓效肥料和种子按一定比例,加入专用设备中充分混合后,喷射到坡面,使植物获得必要的生长基础,达到快速绿化的目的。
15.3.2 骨架植物防护工程中的骨架可采用浆砌片石或混凝土作骨架,且应符合下列规定:
1 骨架植物防护适用于边坡坡率缓于1:0.75土质和全风化的岩石边坡防护与绿化,当坡面受雨水冲刷严重或潮湿时,坡度应缓于1:1.00;
2 应根据边坡坡率、土质和当地情况确定骨架形式,并与周围景观相协调;骨架内应采用植物或其他辅助防护措施;
3 当降雨量较大且集中的地区,骨架宜做成截水槽型;截水槽断面尺寸由降雨强度计算确定。
15.3.3 混凝土空心块植物防护适用于坡度缓于1:0.75的土质边坡和全风化、强风化的岩石挖方边坡;并根据需要设置浆砌片石或混凝土骨架。空心预制块的混凝土强度等级不应低于C20,厚度不应小于150mm。空心预制块内应填充种植土,喷播植草。
条文说明
15.3.2、15.3.3 浆砌片石(混凝土块)骨架植草防护适用于土质和强风化的岩石边坡,防止边坡受雨水侵蚀,避免土质坡面上产生沟槽。其形式多样,主要有拱形骨架、菱形(方格)骨架、人字形骨架、多边形混凝土空心块等。浆砌片石(混凝土块)骨架植草防护既稳定边坡,又能节省材料、造价较低、施工方便、造型美观,能与周围环境自然融合,值得广泛推广应用。
15.3.4 锚杆钢筋混凝土格构植物防护与绿化适用于土质边坡和坡体中无不良结构面、风化破碎的岩石挖方边坡。钢筋混凝土格构的混凝土强度等级不应低于C25,格构几何尺寸应根据边坡高度和地层情况等确定,格构内宜植草。在多雨地区,格构上应设置截水槽,截水槽断面尺寸由降雨强度计算确定。
条文说明
15.3.4??锚杆混凝土框架植草防护是近年来在总结了锚杆挂网喷浆(混凝土)防护的经验教训后发展起来的,它既保留了锚杆对风化破碎岩石边坡主动支护作用,防止岩石边坡经开挖卸荷和爆破松动而产生的局部楔形破坏,又吸收了浆砌片石(混凝土块)骨架植草防护的造型美观、便于绿化的优点。锚杆混凝土框架植草防护形式有多种组合:锚杆混凝土框架+喷播植草、锚杆混凝土框架+挂三维土工网+喷播植草、锚杆混凝土框架+土工格栅+喷播植草、锚杆混凝土框架+混凝土空心块+喷播植草等。 坡面绿化与植物防护是一个统一体,是在两个不同视野上的不同体现。 坡面绿化与植物防护的唯一区别在于:前者注重美化边坡与景观作用,后者注重植物根系的固土作用,因而在植物种类的选择上有所区别。在建筑边坡中,经常是两者同时兼顾。因此,边坡绿化既可美化环境、涵养水源、防止水土流失和坡面滑动、净化空气,也可以对坡面起到防护作用。对于石质挖方边坡而言,边坡绿化的环保意义和对山地城市景观的改善尤其突出。
15.4 施工
15.4 施 工
条文说明
本部分内容主要参考了国家现行行业标准《公路路基施工技术规范》JTG F10、《铁路路基设计规范》TB 10001和《铁路混凝土与砌体工程施工规范》TB 10210等规范,并根据建筑边坡与公路和铁路边坡的不同之处进行了相应的调整。
15.4.1 坡面防护施工应符合下列规定:
1 根据开挖坡面地质水文情况逐段核实边坡防护措施有效性,且应符合信息法施工要求;
2 挖方边坡防护工程应采用逆作法施工,开挖一级防护一级,并应及时进行养护;
3 施工前应对边坡进行修整,清除边坡上的危石及不密实的松土;
4 坡面防护层应与坡面密贴结合,不得留有空隙;
5 在多雨地区或地下水发育地段,边坡防护工程施工应采取有效截、排水措施。
15.4.2 喷浆或喷射混凝土防护施工应符合下列规定:
1 喷护前应采取措施对泉水、渗水进行处治,并按设计要求设置泄水孔,排、防积水;
2 施工作业前应进行试喷,选择合适的水灰比和喷射压力;喷射顺序应自下而上进行;
3 砂浆或混凝土初凝后,应立即开始养护,喷浆养护期不应少于5d,喷射混凝土养护期不应少于7d;
4 应及时对喷浆或混凝土层顶部进行封闭处理。
15.4.3 砌体护坡工程施工应符合下列规定:
1 砌体护坡施工前应将坡面整平;在铺设混凝土预制块前,对局部坑洞处应预先采用混凝土或浆砌片石填补平整;
2 浆砌块石、片石、卵石护坡应采取坐浆法施工,预制块应错缝砌筑;护坡面应平顺,并与相邻坡面顺接;
3 砂浆初凝后,应立即进行养护;砂浆终凝前,砌块应覆盖。
15.4.4 护面墙施工应符合下列规定:
1 护面墙施工前,应清除边坡风化层至新鲜岩面;对风化迅速的岩层,清挖到新鲜岩面后应立即修筑护面墙;
2 护面墙背应与坡面密贴,边坡局部凹陷处,应挖成台阶后用混凝土填充或浆砌片石嵌补;
3 坡顶护面墙与坡面之间应按设计要求做好防渗处理。
15.4.5 植被防护施工应符合下列规定:
1 种草施工,草籽应撒布均匀,同时做好保护措施;
2 灌木、树木应在适宜季节栽植;
3 客土喷播施工所喷播植草混合料中植生土、土壤稳定剂、水泥、肥料、混合草籽和水等的配合比应根据边坡坡率、地质情况和当地气候条件确定,混合草籽用量每1000m 2 不宜少于25kg;在气温低于12℃时不宜喷播作业;
4 铺、种植被后,应适时进行洒水、施肥等养护管理,植物成活率应达到90%以上;养护用水不应含油、酸、碱、盐等有碍草木生长的成分。
16 边坡工程排水
16.1 一般规定
16 边坡工程排水
16.1 一般规定
16.1.1 边坡工程排水应包括排除坡面水、地下水和减少坡面水下渗等措施。坡面排水、地下排水与减少坡面雨水下渗措施宜统一考虑,并形成相辅相成的排水、防渗体系。
16.1.2 坡面排水应根据汇水面积、降雨强度、历时和径流方向等进行整体规划和布置。边坡影响区内、外的坡面和地表排水系统宜分开布置,自成体系。
16.1.3 地下排水措施宜根据边坡水文地质和工程地质条件选择,当其在地下水位以上时应采取措施防止渗漏。
16.1.4 边坡工程的临时性排水设施,应满足坡面水尤其是季节性暴雨、地下水和施工用水等的排放要求,有条件时应结合边坡工程的永久性排水措施进行。
16.1.5 边坡排水应满足使用功能要求、排水结构安全可靠、便于施工、检查和养护维修。
条文说明
16.1.1~16.1.5 边坡坡面、地表的排水和地下排水与防渗措施宜统一考虑,使之形成相辅相成的排水、防渗体系。为了确保实践中排水措施的有效性,坡面排水设施需采取措施防止渗漏。 边坡排水中的部分内容(如渗沟、跌水、急流槽等),在建筑室内外排水专业设计中不会涉及,都是交由边坡工程师自己来设计,但在以往的边坡工程设计中没有得到足够重视,因此,在此次规范修订中予以补充。
16.2 坡面排水
16.2 坡面排水
16.2.1 建筑边坡坡面排水设施应包括截水沟、排水沟、跌水与急流槽等,应结合地形和天然水系进行布设,并作好进出水口的位置选择。应采取措施防止截排水沟出现堵塞、溢流、渗漏、淤积、冲刷和冻结等现象。
条文说明
16.2.1 坡面、地表的排水设施应结合地形和天然水系进行布设,并作好进出口的位置选择和处理,防止出现堵塞、溢流、渗漏、淤积、冲刷等现象。地表排水沟(管)排放的水流不得直接排入饮用水水源、养殖池等水源。
16.2.2 各类坡面排水设施设置的位置、数量和断面尺寸应根据地形条件、降雨强度、历时、分区汇水面积、坡面径流量和坡体内渗出的水量等因素计算分析确定。各类坡面排水沟顶应高出沟内设计水面200mm以上。
条文说明
16.2.2 排水设施的几何尺寸应根据集水面积、降雨强度、历时、分区汇水面积、坡面径流量、坡体内渗出的水量等因素进行计算确定,并作好整体规划和布置。关于坡面排水设施几何尺寸确定,本规范未作详细规定,可参考现行国家标准《室外排水设计规范》GB 50014等有关规定进行设计计算。
16.2.3 截、排水沟设计应符合下列规定:
1 坡顶截水沟宜结合地形进行布设,且距挖方边坡坡口或潜在塌滑区后缘不应小于5m;填方边坡上侧的截水沟距填方坡脚的距离不宜小于2m;在多雨地区可设一道或多道截水沟;
2 需将截水沟、边坡附近低洼处汇集的水引向边坡范围以外时,应设置排水沟;
3 截、排水沟的底宽和顶宽不宜小于500mm,可采用梯形断面或矩形断面,其沟底纵坡不宜小于0.3%;
4 截、排水沟需进行防渗处理;砌筑砂浆强度等级不应低于M7.5,块石、片石强度等级不应低于MU30,现浇混凝土或预制混凝土强度等级不应低于C20;
5 当截、排水沟出水口处的坡面坡度大于10%、水头高差大于1.0m时,可设置跌水和急流槽将水流引出坡体或引入排水系统。
条文说明
16.2.3 截水沟根据具体情况可设一道或数道。设置截水沟的作用是拦截来自边坡或山坡上方的地面水、保护边坡不受冲刷。截水沟的横断面尺寸需经流量计算确定(详见《公路排水设计规范》JTG/T D33)。为防止边坡的破坏,截水沟设置的位置和道数是十分重要的,应经过详细水文、地质、地形等调查后确定截水沟的位置。截水沟应采取有效的防渗措施,出水口应引伸到边坡范围以外,出口处设置消能设施,确保边坡的稳定性。 跌水和急流槽主要用于陡坡地段的坡面排水或者用在截、排水沟出水口处的坡面坡度大于10%、水头高差大于1m的地段,达到水流的消能和减缓流速的目的。跌水和急流槽的设计可参考现行行业标准《公路排水设计规范》JTG/T D33的有关规定执行。
16.3 地下排水
16.3 地下排水
16.3.1 在设计地下排水设施前应查明场地水文地质条件,获取设计、施工所需的水文地质参数。
条文说明
16.3.1 设计前应收集既有的工程地下排水设施、边坡地质和水文地质等有关资料,应查明水文地质参数,作出地下水对边坡影响的评价,为地下排水设计提供可靠的依据。
16.3.2 边坡地下排水设施包括渗流沟、仰斜式排水孔等。地下排水设施的类型、位置及尺寸应根据工程地质和水文地质条件确定,并与坡面排水设施相协调。
条文说明
16.3.2 仰斜式排水孔是排泄挖方边坡上地下水的有效措施,当坡面上有集中地下水时,采用仰斜式排水孔排泄,且成群布置,能取得较好的效果。当坡面上无集中地下水,但土质潮湿、含水量高,如高液限土、红黏土、膨胀土边坡,设置渗沟能有效排泄坡体中地下水,提高土体强度,增强边坡稳定性。在滑坡治理工程中也经常采用支撑渗沟与抗滑支挡结构联合治理滑坡。
16.3.3 渗流沟设计应符合下列规定:
1 对于地下水埋藏浅或无固定含水层的土质边坡宜采用渗流沟排除坡体内的地下水;
2 边坡渗流沟应垂直嵌入边坡坡体,其基底宜设置在含水层以下较坚实的土层上;寒冷地区的渗流沟出口,应采取防冻措施;其平面形状宜采用条带形布置;对范围较大的潮湿坡体,可采用增设支沟,按分岔形布置或拱形布置;
3 渗流沟侧壁及顶部应设置反滤层,底部应设置封闭层;渗流沟迎水侧可采用砂砾石、无砂混凝土、渗水土工织物作反滤层。
条文说明
16.3.3 渗沟根据使用部位、结构形式,可将渗沟分为填石渗沟、管式渗沟、边坡渗沟、无砂混凝土渗沟。
填石渗沟也称为盲沟,一般适用于地下水流量不大、渗沟不长的地段。填石渗沟较易淤塞。管式渗沟一般适用于地下水流量较大、引水较长的地段。条件允许时,应优先采用管式渗沟。随着我国建筑材料工业的发展,渗沟透水管和反滤层材料也有多种新材料可供选择。 边坡渗沟则主要用于疏干潮湿的土质边坡坡体和引排边坡上局部出露的上层滞水或泉水,坡面采用干砌片石覆盖,以确保边坡干燥、稳定。 用于渗沟的反滤土工布及防渗土工布(又称复合土工膜),设计时应根据水文地质条件、使用部位等可按现行国家标准GB/T 17638~GB/T 17642选用。防渗土工布也可采用喷涂热沥青的土工布。 无砂混凝土既可作为反滤层,也可作为渗沟,是近几年在交通行业地下排水设施中应用的新型排水设施,用无砂混凝土作为透水的井壁和沟壁以替代施工较复杂的反滤层和渗水孔设备,并可承受适当的荷载,具有透水性和过滤性好、施工简便、省料等优点,值得推广应用。预制无砂混凝土板块作为反滤层,用在卵砾石、粗中砂含水层中效果良好;如用于细颗粒土地层,应在无砂混凝土板块外侧铺设土工织物作反滤层,用以防止细颗粒土堵塞无砂混凝土块的孔隙。 一般情况下,渗沟每隔30m或在平面转弯、纵坡变坡点等处,宜设置检查、疏通井。检查井直径不宜小于1m,井内应设检查梯,井口应设井盖,当深度大于20m时,应增设护栏等安全设备。 填石渗沟最小纵坡不宜小于1.00%;无砂混凝土渗沟、管式渗沟最小纵坡不宜小于0.50%。渗沟出口段宜加大纵坡,出口处宜设置栅板或端墙,出水口应高出坡面排水沟槽常水位200mm以上。
16.3.4 仰斜式排水孔和泄水孔设计应符合下列规定:
1 用于引排边坡内地下水的仰斜式排水孔的仰角不宜小于6°,长度应伸至地下水富集部位或潜在滑动面,并宜根据边坡渗水情况成群分布;
2 仰斜式排水孔和泄水孔排出的水宜引入排水沟予以排除,其最下一排的出水口应高于地面或排水沟设计水位顶面,且不应小于200mm;
3 仰斜式泄水孔其边长或直径不宜小于100mm、外倾坡度不宜小于5%、间距宜为2m~3m,并宜按梅花形布置;在地下水较多或有大股水流处,应加密设置;
4 在泄水孔进水侧应设置反滤层或反滤包;反滤层厚度不应小于500mm,反滤包尺寸不应小于500mm×500mm×500mm,反滤层和反滤包的顶部和底部应设厚度不小于300mm的黏土隔水层。
条文说明
16.3.4 仰斜式排水孔是采用小直径的排水管在边坡体内排除深层地下水的一种有效方法,它可以快速疏干地下水,提高岩土体抗剪强度,防止边坡失稳,并减少对岩(土)体的开挖,加快工程进度和降低造价,因而在国内外边坡工程中得到广泛的应用。近年来在广东、福建、四川等省取得了良好的应用效果,最长排水孔已达50m。 仰斜式排水孔钻孔直径一般为75mm~150mm,仰角不应小于6°,长度应伸至地下水富集或潜在滑动面。孔内透水管直径一般为50mm~100mm。透水管应外包1层~2层渗水土工布,防止泥土将渗水孔堵塞,管体四周宜用透水土工布作反滤层。
16.4 施工
16.4 施 工
条文说明
本节内容主要参考了现行行业标准《公路路基施工技术规范》JTG F10、《公路排水设计规范》JTG/T D33和《铁路混凝土与砌体工程施工规范》TB 10210等的有关规定,并根据建筑边坡与公路及铁路边坡的不同之处进行了相应的补充完善、修改和删减。
16.4.1 边坡排水设施施工前,宜先完成临时排水设施;施工期间,应对临时排水设施进行经常维护,保证排水畅通。
16.4.2 截水沟和排水沟施工应符合下列规定:
1 截水沟和排水沟采用浆砌块石、片石时,砂浆应饱满,沟底表面粗糙;
2 截水沟和排水沟的水沟线形要平顺,转弯处宜为弧线形。
16.4.3 渗流沟施工应符合下列规定:
1 边坡上的渗流沟宜从下向上分段间隔开挖,开挖作业面应根据土质选用合理的支撑形式,并应随挖随支撑、及时回填,不可暴露太久;
2 渗流沟渗水材料顶面不应低于坡面原地下水位;在冰冻地区,渗流沟埋置深度不应小于当地最小冻结深度;
3 在渗流沟的迎水面反滤层应采用颗粒大小均匀的碎、砾石分层填筑;土工布反滤层采用缝合法施工时,土工布的搭接宽度应大于100mm;铺设时应紧贴保护层,不宜拉得过紧;
4 渗流沟底部的封闭层宜采用浆砌片石或干砌片石水泥砂浆勾缝,寒冷地区应设保温层,并加大出水口附近纵坡;保温层可采用炉渣、砂砾、碎石或草皮等。
16.4.4 排水孔施工应符合下列规定:
1 仰斜式排水孔成孔直径宜为75mm~150mm,仰角不应小于6°;孔深应延伸至富水区;
2 仰斜式排水管直径宜为50mm~100mm,渗水孔宜采用梅花形排列,渗水段裹1层~2层无纺土工布,防止渗水孔堵塞;
3 边坡防护工程上的泄水孔可采取预埋PVC管等方式施工,管径不宜小于50mm,外倾坡度不宜小于0.5%。
17 工程滑坡防治
17.1 一般规定
17 工程滑坡防治
17.1 一般规定
17.1.1 工程滑坡类型可按表17.1.1进行划分。
表17.1.1 工程滑坡类型

条文说明
17.1.1 本规范根据滑坡的诱发因素、滑体及滑动特征将滑坡分为工程滑坡和自然滑坡(含工程古滑坡)两大类,以此作为滑坡设计及计算的分类依据。对工程滑坡,规范推荐采用与边坡工程类同的设计计算方法及有关参数和安全度;对自然滑坡,则采用本章规定的与传统方法基本一致的方法。 滑坡根据运动方式、成因、稳定程度及规模等因素,还可分为推力式滑坡、牵引式滑坡、活滑坡、死滑坡和大中小型等滑坡。
17.1.2 在滑坡区或潜在滑坡区进行工程建设和滑坡整治时应以防为主,防治结合,先治坡,后建房。应根据滑坡特性采取治坡与治水相结合的措施,合理有效地综合整治滑坡。
条文说明
17.1.2 对于潜在滑坡,其滑动面尚未全面贯通,岩土力学性能要优于滑坡产生后滑动面贯通的情况,因此事先对滑坡采取较简易的预防措施所费人力、物力要比滑坡产生后再设法整治的费用少得多,且可避免滑坡危害,这就是“以防为主,防治结合”的原则。 从某种意义上讲,无水不滑坡。因此治水是改善滑体土的物理力学性质的重要途径,是滑坡治本思想的体现,滑坡的防治一定要采取“坡水两治”的办法才能从根本上解决问题。
17.1.3 当滑坡体上有重要建(构)筑物时,滑坡防治在确保滑体整体稳定的同时,应选择有利于减小坡体变形的方案,避免危及建(构)筑物安全和保证其正常使用功能。
条文说明
17.1.3 当滑坡体上有建(构)筑物,滑坡治理除必需保证滑体的承载能力极限状态功能外,还应避免因支护结构的变形或滑坡体的再压缩变形等造成危及重要建(构)筑物正常使用功能状况发生,并应从设计方案上采取相应处理措施。
17.1.4 滑坡防治方案除应满足滑坡整治稳定性要求外,尚应考虑支护结构与相邻建(构)筑物基础关系,并满足建筑功能要求。在滑坡区尤其是在主滑段进行工程建设时,建筑物基础宜采用桩基础或桩锚基础等方案,将荷载直接传至稳定岩土层中,并应符合本规范第7章的有关规定。
17.1.5 工程滑坡的发育阶段可按表17.1.5划分。
表17.1.5 滑坡发育阶段


注:F st ——滑坡稳定性安全系数。
条文说明
17.1.5 本节将滑坡从发生到消亡分成五个阶段,各阶段滑带土的剪应力逐渐变化,抗剪强度从峰值逐渐变化到残余值,滑坡变形特征逐渐加剧,其稳定系数发生变化。通过现场调查,分析滑坡变形特征,可以明确滑坡所处阶段,对于滑带土抗剪强度的取值、滑坡治理安全系数的取值、滑坡治理措施的选取,都有重要的意义。对于无主滑段、牵引段和抗滑段之分的滑坡,比如滑面为直线型的滑坡,一般发育迅速,其各阶段转化快,难以划分发育阶段,应根据各类滑坡的特性和变形状况区别对待。
17.1.6 滑坡治理尚应符合本规范第3章的有关规定。
17.2 工程滑坡防治
17.2 工程滑坡防治
17.2.1 工程滑坡治理应考虑滑坡类型成因、滑坡形态、工程地质和水文地质条件、滑坡稳定性、工程重要性、坡上建(构)筑物和施工影响等因素,分析滑坡的有利和不利因素、发展趋势及危害性,并应采取下列工程措施进行综合治理:
1 排水:根据工程地质、水文地质、暴雨、洪水和防治方案等条件,采取有效的地表排水和地下排水措施;可采用在滑坡后缘外设置环形截水沟、滑坡体上设分级排水沟、裂隙封填以及坡面封闭等措施,排放地表水,防止暴雨和洪水对滑体和滑面的浸蚀软化;需要时可采用设置地下横、纵向排水盲沟、廊道和仰斜式孔等措施,疏排滑体及滑带水;
2 支挡:滑坡整治时应根据滑坡稳定性、滑坡推力和岩土性状等因素,按本规范表3.1.4选用支挡结构类型;
3 减载:刷方减载应在滑坡的主滑段实施;
4 反压:反压填方应设置在滑坡前缘抗滑段区域,可采用土石回填或加筋土反压以提高滑坡的稳定性;同时应加强反压区地下水引排;
5 对滑带注浆条件和注浆效果较好的滑坡,可采用注浆法改善滑坡带的力学特性;注浆法宜与其他抗滑措施联合使用;严禁因注浆堵塞地下水排泄通道;
6 植被绿化,并应符合本规范第15章的相关规定。
条文说明
17.2.1 产生滑坡涉及的因素很多,应针对性地选择一种或多种有效措施,制定合理的方案。本条提出的一些治理措施是经过工程检验、得到广大工程技术人员认可的成功经验的总结。
1 排水:滑坡有“无水不滑”的特点,根据滑坡的地形、工程地质、水文地质、暴雨、洪水和防治方案等条件,采取有效的地表排水和地下排水措施,是滑坡治理的首选有力措施之一;
2 支挡:支挡结构是治理滑坡的常用措施,设计时结合滑坡的特性,按表3.1.4优化选择;
3 减载:刷方减载应在滑坡的主滑段实施,并应采取措施防止地面水浸入坡体内。严禁在滑坡的抗滑段减载和减载诱发次生地质灾害;
4 反压:当反压土体抗剪强度低或反压土体厚度受控制时,可以采用加筋土反压提高反压效果;应加强反压区地下水引排,严禁因反压堵塞地下水排泄通道,严禁在工程地质条件不明确或稳定性差的区域回填反压,应确保反压区地基的稳定性;
5 改良滑带:对滑带注浆条件和注浆效果较好的滑坡,可采用注浆法改善滑坡带的力学特性,注浆法宜与其他抗滑措施联合使用,改良范围应以因改良滑带后可能出现的新的滑移面最小稳定系数满足安全要求为准。严禁因注浆堵塞地下水排泄通道。
17.2.2 滑坡治理设计及计算应符合下列规定:
1 滑坡计算应考虑滑坡自重、滑坡体上建(构)筑物等的附加荷载、地下水及洪水的静水压力和动水压力以及地震作用等的影响,取荷载效应的最不利组合值作为滑坡的设计控制值;
2 滑坡稳定系数应与滑坡所处的滑动特征、发育阶段相适应,并应符合本规范第17.1.5条的规定;
3 滑坡稳定性分析计算剖面不宜少于3条,其中应有一条是主轴(主滑方向)剖面,剖面间距不宜大于30m;
4 当滑体具有多层滑面时,应分别计算各滑动面的滑坡推力,取滑坡推力作用效应(对支护结构产生的弯矩或剪力)最大值作为设计值;
5 滑坡滑面(带)的强度指标应考虑岩土性质、滑坡的变形特征及含水条件等因素,根据试验值、反算值和地区经验值等综合分析确定;
6 作用在抗滑支挡结构上的滑坡推力分布,可根据滑体性质和高度等因素确定为三角形、矩形或梯形;
7 滑坡支挡设置应保证滑体不从支挡结构顶部越过、桩间挤出和产生新的深层滑动。
条文说明
17.2.2 滑坡支挡设计是一种结构设计,应遵循的规定很多,本条仅对作用于支挡结构上的外力计算作了一些规定。 滑坡推力分布图形受滑体岩土性状、滑坡类型、支护结构刚度等因素影响较大,规范难以给出各类滑坡的分布图形。从工程实测统计分析来看有以下特点,当滑体为较完整的块石、碎石类土时呈三角形分布,当滑体为黏土时呈矩形分布,当为介于两者间的滑体时呈梯形分布。设计者应根据工程情况和地区经验等因素,确定较合理的分布图形。
17.2.3 工程滑坡稳定性分析及剩余下滑力计算应按本规范第5章有关规定执行。工程滑坡稳定安全系数应按本规范表5.3.2确定。
条文说明
17.2.3 本条说明见第5章相关规定。
17.3 施工
17.3 施 工
17.3.1 工程滑坡治理应采用信息法施工。
条文说明
17.3.1 滑坡是一种复杂的地质现象,由于种种原因人们对它的认识有局限性、时效性。因此根据施工现场的反馈信息采用动态设计和信息法施工是非常必要的;条文中提出的几点要求,也是工程经验教训的总结。
17.3.2 工程滑坡治理各单项工程的施工程序应有利于施工期滑坡的稳定和治理。
17.3.3 滑坡区地段的工程切坡应自上而下、分段跳槽方式施工,严禁通长大断面开挖。开挖弃渣不得随意堆放在滑坡的推力段,以免诱发坡体滑动或引起新的滑坡。
17.3.4 工程滑坡治理开挖不宜在雨期实施,应控制施工用水,做好施工排水措施。
17.3.5 工程滑坡治理不宜采用普通爆破法施工。
17.3.6 工程滑坡的抗滑桩应从滑坡两端向主轴方向分段间隔施工,开挖中应核实滑动面位置和性状,当与原勘察设计不符时应及时向相关部门反馈信息。
18 边坡工程施工
18.1 一般规定
18 边坡工程施工
18.1 一般规定
18.1.1 边坡工程应根据安全等级、边坡环境、工程地质和水文地质、支护结构类型和变形控制要求等条件编制施工方案,采取合理、可行、有效的措施保证施工安全。
条文说明
18.1.1 地质环境条件复杂、稳定性差的边坡工程,其安全施工是建筑边坡工程成功的重要环节,也是边坡工程事故的多发阶段。施工方案应结合边坡的具体工程条件及设计基本原则,采取合理可行、行之有效的综合措施,在确保工程施工安全、质量可靠的前提下加快施工进度。
18.1.2 对土石方开挖后不稳定或欠稳定的边坡,应根据边坡的地质特征和可能发生的破坏方式等情况,采取自上而下、分段跳槽、及时支护的逆作法或部分逆作法施工。未经设计许可严禁大开挖、爆破作业。
条文说明
18.1.2 对土石方开挖后不稳定的边坡无序大开挖、大爆破造成事故的工程实例太多。采用“自上而下、分阶施工、跳槽开挖、及时支护”的逆作法或半逆作法施工是边坡施工成功经验的总结,应根据边坡的稳定条件选择安全的开挖施工方案。
18.1.3 不应在边坡潜在塌滑区超量堆载。
18.1.4 边坡工程的临时性排水措施应满足地下水、暴雨和施工用水等的排放要求,有条件时宜结合边坡工程的永久性排水措施进行。
18.1.5 边坡工程开挖后应及时按设计实施支护结构施工或采取封闭措施。
18.1.6 一级边坡工程施工应采用信息法施工。
18.1.7 边坡工程施工应进行水土流失、噪声及粉尘控制等的环境保护。
18.1.8 边坡工程施工除应符合本章规定外,尚应符合本规范其他有关章节及现行国家标准《土方与爆破工程施工及验收规范》GB 50201的有关规定。
18.2 施工组织设计
18.2 施工组织设计
18.2.1 边坡工程的施工组织设计应包括下列基本内容:
1 工程概况
边坡环境及邻近建(构)筑物基础概况、场区地形、工程地质与水文地质特点、施工条件、边坡支护结构特点、必要的图件及技术难点。
2 施工组织管理
组织机构图及职责分工,规章制度及落实合同工期。
3 施工准备
熟悉设计图、技术准备、施工所需的设备、材料进场、劳动力等计划。
4 施工部署
平面布置,边坡施工的分段分阶、施工程序。
5 施工方案
土石方及支护结构施工方案、附属构筑物施工方案、试验与监测。
6 施工进度计划
采用流水作业原理编制施工进度、网络计划及保证措施。
7 质量保证体系及措施
8 安全管理及文明施工
条文说明
18.2.1 边坡工程施工组织设计是贯彻实施设计意图、执行规范、规程,确保工程进度、工期、工程质量,指导施工活动的主要技术文件,施工单位应认真编制,严格审查,实行多方会审制度。
18.2.2 采用信息法施工的边坡工程组织设计应反映信息法施工的特殊要求。
18.3 信息法施工
18.3 信息法施工
18.3.1 信息法施工的准备工作应包括下列内容:
1 熟悉地质及环境资料,重点了解影响边坡稳定性的地质特征和边坡破坏模式;
2 了解边坡支护结构的特点和技术难点,掌握设计意图及对施工的特殊要求;
3 了解坡顶需保护的重要建(构)筑物基础、结构和管线情况及其要求,必要时采取预加固措施;
4 收集同类边坡工程的施工经验;
5 参与制定和实施边坡支护结构、邻近建(构)筑物和管线的监测方案;
6 制定应急预案。
18.3.2 信息法施工应符合下列规定:
1 按设计要求实施监测,掌握边坡工程监测情况;
2 编录施工现场揭示的地质状态与原地质资料对比变化图,为施工勘察提供资料;
3 根据施工方案,对可能出现的开挖不利工况进行边坡及支护结构强度、变形和稳定验算;
4 建立信息反馈制度,当开挖后的实际地质情况与原勘察资料变化较大,支护结构变形较大,监测值达到报警值等不利于边坡稳定的情况发生时,应及时向设计、监理、业主通报,并根据设计处理措施调整施工方案;
5 施工中出现险情时应按本规范第18.5节要求进行处理。
条文说明
18.3.1、18.3.2 信息法施工是将动态设计、施工、监测及信息反馈融为一体的现代化施工法。信息法施工是动态设计法的延伸,也是动态设计法的需要,是一种客观、求实的施工工作方法。地质情况复杂、稳定性差的边坡工程,施工期的稳定安全控制更为重要和困难。建立监测网和信息反馈可达到控制施工安全,完善设计,是边坡工程经验总结和发展起来的先进施工方法,应当给予大力推广。 信息法施工的基本原则应贯穿于施工组织设计和现场施工的全过程,使监控网、信息反馈系统与动态设计和施工活动有机结合在一起,不断将现场水文地质变化情况反馈到设计和施工单位,以调整设计与施工参数,指导设计与施工。 信息法施工可根据其特殊情况或设计要求,将监控网的监测范围延伸至相邻建(构)筑物或周边环境,及时反馈信息,以便对边坡工程的整体或局部稳定作出准确判断,必要时采取应急措施,保障施工质量和顺利施工。
18.4 爆破施工
18.4 爆破施工
18.4.1 岩石边坡开挖爆破施工应采取避免边坡及邻近建(构)筑物震害的工程措施。 (自2022年1月1日起废止该条,详见新规 《建筑与市政地基基础通用规范》 GB 55003-2021)
条文说明
18.4.1 边坡工程施工中常因爆破施工控制不当对边坡及邻近建(构)筑物产生震害,因此本条作为强制性条文必须严格执行,规定爆破施工时应采取严密的爆破施工方案及控制爆破等有效措施,爆破方案应经设计、监理和相关单位审查后执行,并应采取避免产生震害的工程措施。
18.4.2 当地质条件复杂、边坡稳定性差、爆破对坡顶建(构)筑物震害较严重时,不应采用爆破开挖方案。
18.4.3 边坡爆破施工应符合下列规定:
1 在爆破危险区应采取安全保护措施;
2 爆破前应对爆破影响区建(构)筑物的原有状况进行查勘记录,并布设好监测点;
3 爆破施工应符合本规范第18.2节要求;当边坡开挖采用逆作法时,爆破应配合放阶施工;当爆破危害较大时,应采取控制爆破措施;
4 支护结构坡面爆破宜采用光面爆破法;爆破坡面宜预留部分岩层采用人工挖掘修整;
5 爆破施工技术尚应符合国家现行有关标准的规定。
条文说明
18.4.3 周边建筑物密集或建(构)筑物对爆破震动敏感时,爆破前应对周边建(构)筑物原有变形、损伤、裂缝及安全状况等情况采用拍照、录像等方法作好详细勘查记录,有条件时应请有鉴定资质的单位作好事前鉴定,避免不必要的工程或法律纠纷,并设置相应的震动监测点和变形观测点加强震动和建(构)筑物变形的监测。
18.4.4 爆破影响区有建筑物时,爆破产生的地面质点震动速度应按表18.4.4确定。
表18.4.4 爆破安全允许震动速度

注:Hz——赫兹,频率符号。
18.4.5 对稳定性较差的边坡或爆破影响范围内坡顶有重要建筑物的边坡,爆破震动效应应通过爆破震动效应监测或试爆试验确定。
18.5 施工险情应急处理
18.5 施工险情应急处理
18.5.1 当边坡变形过大,变形速率过快,周边环境出现沉降开裂等险情时,应暂停施工,并根据险情状况采用下列应急处理措施:
1 坡底被动区临时压重;
2 坡顶主动区卸土减载,并应严格控制卸载程序;
3 做好临时排水、封面处理;
4 临时加固支护结构;
5 加强险情区段监测;
6 立即向勘察、设计等单位反馈信息,及时按施工现状开展勘察及设计资料复审工作。
18.5.2 边坡施工出现险情时,施工单位应做好边坡支护结构及边坡环境异常情况收集、整理、汇编等工作。
18.5.3 边坡施工出现险情后,施工单位应会同相关单位查清险情原因,并应按边坡排危抢险方案的原则制定施工抢险方案。
18.5.4 施工单位应根据施工抢险方案及时开展边坡工程抢险工作。
19 边坡工程监测、质量检验及验收
19.1 监测
19 边坡工程监测、质量检验及验收
19.1 监 测
19.1.1 边坡塌滑区有重要建(构)筑物的一级边坡工程施工时必须对坡顶水平位移、垂直位移、地表裂缝和坡顶建(构)筑物变形进行监测。 (自2022年1月1日起废止该条,详见新规 《建筑与市政地基基础通用规范》 GB 55003-2021)
条文说明
19.1.1 坡顶有重要建(构)筑物的一级边坡工程风险较高,破坏后果严重,因此规定坡顶有重要建(构)筑物的一级边坡工程施工时应进行监测,并明确了必须监测的项目,其他监测项目应根据建筑边坡工程施工的技术特点、难点和边坡环境,由设计单位确定。监测工作可为评估边坡工程安全状态、预防灾害的发生、避免产生不良社会影响以及为动态设计和信息法施工提供实测数据,故本条作为强制性条文应严格执行。
19.1.2 边坡工程应由设计提出监测项目和要求,由业主委托有资质的监测单位编制监测方案,监测方案应包括监测项目、监测目的、监测方法、测点布置、监测项目报警值和信息反馈制度等内容,经设计、监理和业主等共同认可后实施。
条文说明
19.1.2 该条给出了边坡工程监测工作的组织和实施方法。为确保边坡工程监测工作顺利、有效和可靠地进行,应编制边坡工程监测方案,本条给出了边坡工程监测方案编制的基本要求。
19.1.3 边坡工程可根据安全等级、地质环境、边坡类型、支护结构类型和变形控制要求,按表19.1.3选择监测项目。
表19.1.3 边坡工程监测项目表

注:1 在边坡塌滑区内有重要建(构)筑物,破坏后果严重时,应加强对支护结构的应力监测;
2 H——边坡高度(m)。
条文说明
19.1.3 边坡工程监测项目的确定可根据其地质环境、安全等级、边坡类型、支护结构类型和变形控制等条件,经综合分析后确定,当无相关地区经验时可按表19.1.3确定监测项目。
19.1.4 边坡工程监测应符合下列规定:
1 坡顶位移观测,应在每一典型边坡段的支护结构顶部设置不少于3个监测点的观测网,观测位移量、移动速度和移动方向;
2 锚杆拉力和预应力损失监测,应选择有代表性的锚杆(索),测定锚杆(索)应力和预应力损失;
3 非预应力锚杆的应力监测根数不宜少于锚杆总数3%,预应力锚索的应力监测根数不宜少于锚索总数的5%,且均不应少于3根;
4 监测工作可根据设计要求、边坡稳定性、周边环境和施工进程等因素进行动态调整;
5 边坡工程施工初期,监测宜每天一次,且应根据地质环境复杂程度、周边建(构)筑物、管线对边坡变形敏感程度、气候条件和监测数据调整监测时间及频率;当出现险情时应加强监测;
6 一级永久性边坡工程竣工后的监测时间不宜少于2年。
条文说明
19.1.4 为做好边坡工程监测工作,本条给出了边坡工程监测工作的最低要求。
19.1.5 地表位移监测可采用GPS法和大地测量法,可辅以电子水准仪进行水准测量。在通视条件较差的环境下,采用GPS监测为主;在通视条件较好的情况下采用大地测量法。边坡变形监测与测量精度应符合现行国家标准《工程测量规范》GB 50026的有关规定。
条文说明
19.1.5 本条给出了地表位移监测的方法和监测精度的基本要求;无论采用何种检测手段,确保监测数据的有效性和可靠性是选择监测方法的前提条件。
19.1.6 应采取有效措施监测地表裂缝、位错等变化。监测精度对于岩质边坡分辨率不应低于0.50mm、对于土质边坡分辨率不应低于1.00mm。
条文说明
19.1.6 本条明确规定应采取有效措施监测地表裂缝、位错的出现和变化,同时监测设备应满足监测精度要求。
19.1.7 边坡工程施工过程中及监测期间遇到下列情况时应及时报警,并采取相应的应急措施:
1 有软弱外倾结构面的岩土边坡支护结构坡顶有水平位移迹象或支护结构受力裂缝有发展;无外倾结构面的岩质边坡或支护结构构件的最大裂缝宽度达到国家现行相关标准的允许值;土质边坡支护结构坡顶的最大水平位移已大于边坡开挖深度的1/500或20mm,以及其水平位移速度已连续3d大于2mm/d;
2 土质边坡坡顶邻近建筑物的累计沉降、不均匀沉降或整体倾斜已大于现行国家标准《建筑地基基础设计规范》GB 50007规定允许值的80%,或建筑物的整体倾斜度变化速度已连续3d每天大于0.00008;
3 坡顶邻近建筑物出现新裂缝、原有裂缝有新发展;
4 支护结构中有重要构件出现应力骤增、压屈、断裂、松弛或破坏的迹象;
5 边坡底部或周围岩土体已出现可能导致边坡剪切破坏的迹象或其他可能影响安全的征兆;
6 根据当地工程经验判断已出现其他必须报警的情况。
条文说明
19.1.7 边坡工程及支护结构变形值的大小与边坡高度、地质条件、水文条件、支护类型、坡顶荷载等多种因素有关,变形计算复杂且不成熟,国家现行有关标准均未提出较成熟的计算理论。因此,目前较准确地提出边坡工程变形预警值也是困难的,特别是对岩体或岩土体边坡工程变形控制标准更难提出统一的判定标准,工程实践中只能根据地区经验,采取工程类比的方法确定。本条给出了边坡工程施工过程中及监测期间应报警和采取相应的应急措施的几种情况,报警值的确定考虑了边坡类型、安全等级及被保护对象对变形的敏感程度等因素,变形控制比单纯的地基不均匀沉降要严。
19.1.8 对地质条件特别复杂的、采用新技术治理的一级边坡工程,应建立边坡工程长期监测系统。边坡工程监测系统包括监测基准网和监测点建设、监测设备仪器安装和保护、数据采集与传输、数据处理与分析、预测预报或总结等。
条文说明
19.1.8 对地质条件特别复杂的、采用新技术治理的一级边坡工程,由于缺少相关的实践经验和试验验证,为确保边坡工程安全和发展边坡工程监测理论及技术应建立有效的、可靠的监测系统获取该类边坡工程长期监测数据。
19.1.9 边坡工程监测报告应包括下列主要内容:
1 边坡工程概况;
2 监测依据;
3 监测项目和要求;
4 监测仪器的型号、规格和标定资料;
5 测点布置图、监测指标时程曲线图;
6 监测数据整理、分析和监测结果评述。
条文说明
19.1.9 本条给出了边坡工程监测报告应涵盖的基本内容。
19.2 质量检验
19.2 质量检验
19.2.1 边坡支护结构的原材料质量检验应包括下列内容:
1 材料出厂合格证检查;
2 材料现场抽检;
3 锚杆浆体和混凝土的配合比试验,强度等级检验。
条文说明
19.2.1 本条给出了边坡支护结构的原材料质量检验的基本内容。
19.2.2 锚杆的质量验收应按本规范附录C的规定执行。软土层锚杆质量验收应按国家现行有关标准执行。
条文说明
19.2.2 本条给出了锚杆质量的检验方法。
19.2.3 灌注桩检验可采取低应变动测法、预埋管声波透射法或其他有效方法,并应符合下列规定:
1 对低应变检测结果有怀疑的灌注桩,应采用钻芯法进行补充检测;钻芯法应进行单孔或跨孔声波检测,混凝土质量与强度评定按国家现行有关标准执行;
2 对一级边坡桩,当长边尺寸不小于2.0m或桩长超过15.0m时,应采用声波透射法检验桩身完整性;当对桩身质量有怀疑时,可采用钻芯法进行复检。
条文说明
19.2.3 为确保灌注桩桩身质量符合规定的质量要求,应进行相应的检测工作,应根据工程实际情况采取有效、可靠的检验方法,真实反映灌注桩桩身质量;特别强调在特定条件下应采用声波透射法检验桩身完整性,对灌注桩桩身质量存在疑问时,可采用钻芯法进行复检。
19.2.4 钢筋位置、间距、数量和保护层厚度可采用钢筋探测仪复检,当对钢筋规格有怀疑时可直接凿开检查。
19.2.5 喷射混凝土护壁厚度和强度的检验应符合下列规定:
1 可用凿孔法或钻孔法检测面板护壁厚度,每100m 2 抽检一组;芯样直径为100mm时,每组不应少于3个点;
2 厚度平均值应大于设计厚度,最小值不应小于设计厚度的80%;
3 混凝土抗压强度的检测和评定应符合现行国家标准《建筑结构检测技术标准》GB/T 50344的有关规定。
19.2.6 边坡工程质量检测报告应包括下列内容:
1 工程概况;
2 检测主要依据;
3 检测方法与仪器设备型号;
4 检测点分布图;
5 检测数据分析;
6 检测结论。
条文说明
19.2.4~19.2.6 给出了混凝土支护结构现场复检、喷射混凝土护壁厚度和强度的检验方法;从对已有边坡工程检测报告的调查发现,检测报告形式繁多,表达内容、方式各不相同,报告水平参差不齐现象十分严重,为此统一规定了边坡工程检测报告的基本要求。
19.3 验收
19.3 验 收
19.3.1 边坡工程验收应取得下列资料:
1 施工记录、隐蔽工程检查验收记录和竣工图;
2 边坡工程与周围建(构)筑物位置关系图;
3 原材料出厂合格证、场地材料复检报告或委托试验报告;
4 混凝土强度试验报告、砂浆试块抗压强度试验报告;
5 锚杆抗拔试验等现场实体检测报告;
6 边坡和周围建(构)筑物监测报告;
7 勘察报告、设计施工图和设计变更通知、重大问题处理文件及技术洽商记录;
8 各分项、分部工程验收记录。
条文说明
19.3.1 本条规定了边坡工程验收前应获取的基本资料。
19.3.2 边坡工程验收应按现行国家标准《建筑工程施工质量验收统一标准》GB 50300的有关规定执行。
条文说明
19.3.2 边坡工程属构筑物,工程验收应符合现行国家标准《建筑工程施工质量验收统一标准》GB 50300的有关规定。
附录A不同滑面形态的边坡稳定性计算方法
附录A 不同滑面形态的边坡稳定性计算方法
A.0.1 圆弧形滑面的边坡稳定性系数可按下列公式计算(图A.0.1):

式中:F s ——边坡稳定性系数;
c i ——第i计算条块滑面黏聚力(kPa);
φ i ——第i计算条块滑面内摩擦角(°);
l i ——第i计算条块滑面长度(m);
θ i ——第i计算条块滑面倾角(°),滑面倾向与滑动方向相同时取正值,滑面倾向与滑动方向相反时取负值;
U i ——第i计算条块滑面单位宽度总水压力(kN/m);
G i ——第i计算条块单位宽度自重(kN/m);
G bi ——第i计算条块单位宽度竖向附加荷载(kN/m);方向指向下方时取正值,指向上方时取负值;
Q i ——第i计算条块单位宽度水平荷载(kN/m);方向指向坡外时取正值,指向坡内时取负值;
h wi ,h w,i-1 ——第i及第i-1计算条块滑面前端水头高度(m);
γ w ——水重度,取10kN/m 3 ;
i——计算条块号,从后方起编;
n——条块数量。

图A.0.1 圆弧形滑面边坡计算示意
A.0.2 平面滑动面的边坡稳定性系数可按下列公式计算(图A.0.2):

图A.0.2 平面滑动面边坡计算简图

式中:T——滑体单位宽度重力及其他外力引起的下滑力(kN/m);
R——滑体单位宽度重力及其他外力引起的抗滑力(kN/m);
c——滑面的黏聚力(kPa);
φ——滑面的内摩擦角(°);
L——滑面长度(m);
G——滑体单位宽度自重(kN/m);
G b ——滑体单位宽度竖向附加荷载(kN/m);方向指向下方时取正值,指向上方时取负值;
θ——滑面倾角(°);
U——滑面单位宽度总水压力(kN/m);
V——后缘陡倾裂隙面上的单位宽度总水压力(kN/m);
Q——滑体单位宽度水平荷载(kN/m);方向指向坡外时取正值,指向坡内时取负值;
h w ——后缘陡倾裂隙充水高度(m),根据裂隙情况及汇水条件确定。
A.0.3 折线形滑动面的边坡可采用传递系数法隐式解,边坡稳定性系数可按下列公式计算(图A.0.3):

式中:P n ——第n条块单位宽度剩余下滑力(kN/m);
P i ——第i计算条块与第i+1计算条块单位宽度剩余下滑力(kN/m);当P i <0(i<n)时取P i =0;
T i ——第i计算条块单位宽度重力及其他外力引起的下滑力(kN/m);
R i ——第i计算条块单位宽度重力及其他外力引起的抗滑力(kN/m)。
ψ i-1 ——第i-1计算条块对第i计算条块的传递系数;其他符号同前。

图A.0.3 折线形滑面边坡传递系数法计算简图
注:在用折线形滑面计算滑坡推力时,应将公式(A.0.3-2)和公式(A.0.3-3)中的稳定系数F i 替换为安全系数F st ,以此计算的P n ,即为滑坡的推力。
附录B几种特殊情况下的侧向压力计算
附录B 几种特殊情况下的侧向压力计算
B.0.1 距支护结构顶端作用有线分布荷载时(图B.0.1),附加侧向压力分布可简化为等腰三角形,最大附加侧向土压力可按下式计算:

式中:e h,max ——最大附加侧向压力(kN/m 2 );
h——附加侧向压力分布范围(m),h=a(tanβ-tanφ),β=45°+φ/2;
Q L ——线分布荷载标准值(kN/m);
K a ——主动土压力系数,K=tan 2 (45°-φ/2)。

图B.0.1 线荷载产生的附加侧向压力分布图
B.0.2 距支护结构顶端作用有宽度的均布荷载时,附加侧向压力分布可简化为有限范围内矩形(图B.0.2),附加侧向土压力可按下式计算:
e h =K a ·q L (B.0.2)
式中:e h ——附加侧向土压力(kN/m 2 );
K a ——主动土压力系数;
q L ——局部均布荷载标准值(kN/m 2 )。

图B.0.2 局部荷载产生的附加侧向压力分布图
B.0.3 当坡顶地面非水平时,支护结构上的主动土压力可按下列规定进行计算:
1 坡顶地表局部为水平时(图B.0.3-1),支护结构上的主动土压力可按下列公式计算:

式中:β——边坡坡顶地表斜坡面与水平面的夹角(°);
c——土体的黏聚力(kPa)
φ——土体的内摩擦角(°);
γ——土体的重度(kN/m 3 );
K a ——主动土压力系数;
e a 、e′ a ——侧向土压力(kN/m 2 );
z——计算点的深度(m);
h——地表水平面与地表斜坡和支护结构相交点的距离(m)。

图B.0.3-1 地面局部为水平时支护结构上主动土压力的近似计算
2 坡顶地表局部为斜面时(图B.0.3-2),计算支护结构上的侧向土压力时可将斜面延长到c点,则BAdfB为主动土压力的近似分布图形;

图B.0.3-2 地面局部为斜面时支护结构上主动土压力的近似计算
3 坡顶地表中部为斜面时(图B.0.3-3),支护结构上主动土压力可按本条第1款和第2款的方法叠加计算。

图B.0.3-3 地面中部为斜面时支护结构上主动土压力的近似计算
B.0.4 当边坡为二阶且竖直、坡顶水平且无超载时(图B.0.4),岩土压力的合力和边坡破坏时的平面破裂角应符合下列规定:
1 岩土压力的合力应按下列公式计算:

式中:E a ——水平岩土压力合力(kN/m);
K a ——水平岩土压力系数;
γ——支挡结构后的岩土体重度,地下水位以下用有效重度(kN/m 3 );
h——边坡的垂直高度(m);
a——上阶边坡的宽度(m);
ξ——上阶边坡的高度与总的边坡高度的比值;
φ——岩土体或外倾结构面的内摩擦角(°);
θ——岩土体的临界滑动面与水平面的夹角(°)。当岩体存在外倾结构面时,θ可取外倾结构面的倾角,取外倾结构面的抗剪强度指标;当存在多个外倾结构面时,应分别计算,取其中的最大值为设计值;当岩体中不存在外倾结构面时,θ可按式(B.0.4-3)计算。
2 边坡破坏时的平面破裂角应按下列公式计算:

式中:γ——支挡结构后的岩土体重度,地下水位以下用有效重度(kN/m 3 );
h——边坡的垂直高度(m);
a——上阶边坡的宽度(m);
ξ——上阶边坡的高度与总的边坡高度的比值;
c——岩土体或外倾结构面的黏聚力(kPa);
φ——岩土体或外倾结构面的内摩擦角(°)。

图B.0.4 二阶竖直边坡的计算简图
附录C锚杆试验
C.1一般规定
附录C 锚杆试验
C.1 一般规定
C.1.1 锚杆试验包括锚杆的基本试验、验收试验。锚杆蠕变试验应符合国家现行有关标准的规定。
C.1.2 锚杆试验的千斤顶和油泵以及测力计、应变计和位移计等计量仪表应在试验前进行计量检定合格,且精度应经过确认,并在试验期间应保持不变。
C.1.3 锚杆试验的反力装置在计划的最大试验荷载下应具有足够的强度和刚度。
C.1.4 锚杆锚固体强度达到设计强度90%后方可进行试验。
C.1.5 锚杆试验记录表可按表C.1.5制定。
表C.1.5 锚杆试验记录表

C.2基本试验
C.2 基本试验
C.2.1 锚杆基本试验的地质条件、锚杆材料和施工工艺等应与工程锚杆一致。
C.2.2 基本试验时最大的试验荷载不应超过杆体标准值的0.85倍,普通钢筋不应超过其屈服值0.90倍。
C.2.3 基本试验主要目的是确定锚固体与岩土层间粘结强度极限标准值、锚杆设计参数和施工工艺。试验锚杆的锚固长度和锚杆根数应符合下列规定:
1 当进行确定锚固体与岩土层间粘结强度极限标准值、验证杆体与砂浆间粘结强度极限标准值的试验时,为使锚固体与地层间首先破坏,当锚固段长度取设计锚固长度时应增加锚杆钢筋用量,或采用设计锚杆时应减短锚固长度,试验锚杆的锚固长度对硬质岩取设计锚固长度的0.40倍,对软质岩取设计锚固长度的0.60倍;
2 当进行确定锚固段变形参数和应力分布的试验时,锚固段长度应取设计锚固长度;
3 每种试验锚杆数量均不应少于3根。
C.2.4 锚杆基本试验应采用循环加、卸荷法,并应符合下列规定:
1 每级荷载施加或卸除完毕后,应立即测读变形量;
2 在每级加荷等级观测时间内,测读位移不应少于3次,每级荷载稳定标准为3次百分表读数的累计变位量不超过0.10mm;稳定后即可加下一级荷载;
3 在每级卸荷时间内,应测读锚头位移2次,荷载全部卸除后,再测读2次~3次;
4 加、卸荷等级、测读间隔时间宜按表C.2.4确定。
表C.2.4 锚杆基本试验循环加、卸荷等级与位移观测间隔时间

C.2.5 锚杆试验中出现下列情况之一时可视为破坏,应终止加载:
1 锚头位移不收敛,锚固体从岩土层中拔出或锚杆从锚固体中拔出;
2 锚头总位移量超过设计允许值;
3 土层锚杆试验中后一级荷载产生的锚头位移增量,超过上一级荷载位移增量的2倍。
C.2.6 试验完成后,应根据试验数据绘制:荷载-位移(Q-s)曲线、荷载-弹性位移(Q-s e )曲线、荷载-塑性位移(Q-s p )曲线。
C.2.7 拉力型锚杆弹性变形在最大试验荷载作用下,所测得的弹性位移量应超过该荷载下杆体自由段理论弹性伸长值的80%,且小于杆体自由段长度与1/2锚固段之和的理论弹性伸长值。
C.2.8 锚杆极限承载力标准值取破坏荷载前一级的荷载值;在最大试验荷载作用下未达到本规范附录C第C.2.5条规定的破坏标准时,锚杆极限承载力取最大荷载值为标准值。
C.2.9 当锚杆试验数量为3根,各根极限承载力值的最大差值小于30%时,取最小值作为锚杆的极限承载力标准值;若最大差值超过30%,应增加试验数量,按95%的保证概率计算锚杆极限承载力标准值。
C.2.10 基本试验的钻孔,应钻取芯样进行岩石力学性能试验。
C.3验收试验
C.3 验收试验
C.3.1 锚杆验收试验的目的是检验施工质量是否达到设计要求。
C.3.2 验收试验锚杆的数量取每种类型锚杆总数的5%,自由段位于Ⅰ、Ⅱ、Ⅲ类岩石内时取总数的1.5%,且均不得少于5根。
C.3.3 验收试验的锚杆应随机抽样。质监、监理、业主或设计单位对质量有疑问的锚杆也应抽样作验收试验。
C.3.4 验收试验荷载对永久性锚杆为锚杆轴向拉力N ak 的1.50倍;对临时性锚杆为1.20倍。
C.3.5 前三级荷载可按试验荷载值的20%施加,以后每级按10%施加;达到检验荷载后观测10min,在10min持荷时间内锚杆的位移量应小于1.00mm。当不能满足时持荷至60min时,锚杆位移量应小于2.00mm。卸荷到试验荷载的0.10倍并测出锚头位移。加载时的测读时间可按本规范附录C表C.2.4确定。
C.3.6 锚杆试验完成后应绘制锚杆荷载-位移(Q-s)曲线图。
C.3.7 符合下列条件时,试验的锚杆应评定为合格:
1 加载到试验荷载计划最大值后变形稳定;
2 符合本规范附录C第C.2.8条规定。
C.3.8 当验收锚杆不合格时,应按锚杆总数的30%重新抽检;重新抽检有锚杆不合格时应全数进行检验。
C.3.9 锚杆总变形量应满足设计允许值,且应与地区经验基本一致。
附录D锚杆选型
附录D 锚杆选型
表D 锚杆选型

附录E锚杆材料
附录E 锚杆材料
E.0.1 锚杆材料可根据锚固工程性质、锚固部位和工程规模等因素,选择高强度、低松弛的普通钢筋、预应力螺纹钢筋、预应力钢丝或钢绞线。
E.0.2 锚杆材料的物理力学性能应符合下列规定:
1 采用高强预应力钢丝时,其力学性能必须符合现行国家标准《预应力混凝土用钢丝》GB/T 5223的规定;
2 采用预应力钢绞线时,其力学性能必须符合现行国家标准《预应力混凝土用钢绞线》GB/T 5224的规定,其抗拉强度应符合表E.0.2-1的规定;
3 采用预应力螺纹钢筋时,其抗拉强度应符合表E.0.2-2的规定;
4 采用无粘结钢绞线时,其主要技术参数应符合表E.0.2-3的规定;
5 采用普通螺纹钢筋时,其抗拉强度应符合表E.0.2-4的规定。
表E.0.2-1 钢绞线抗拉强度设计值、标准值(N/mm 2 )

表E.0.2-2 预应力螺纹钢筋抗拉强度设计值、标准值(N/mm 2 )

表E.0.2-3 无粘结钢绞线主要技术参数

表E.0.2-4 普通螺纹钢筋抗拉强度设计值、标准值(N/mm 2 )

附录F土质边坡的静力平衡法和等值梁法
附录F 土质边坡的静力平衡法和等值梁法
F.0.1 对板肋式及桩锚式挡墙,当立柱(肋柱和桩)嵌入深度较小或坡脚土体较软弱时,可视立柱下端为自由端,按静力平衡法计算。当立柱嵌入深度较大或为岩层或坡脚土体较坚硬时,可视立柱下端为固定端,按等值梁法计算。
F.0.2 采用静力平衡法或等值梁计算立柱内力和锚杆水平分力时,应符合下列假定:
1 采用从上到下的逆作法施工;
2 假定上部锚杆施工后开挖下部边坡时,上部分的锚杆内力保持不变;
3 立柱在锚杆处为不动点。
F.0.3 采用静力平衡法(图F.0.3)计算时应符合下列规定:
1 锚杆水平分力可按下式计算:

式中:H tki 、H tkj ——相应于作用的标准组合时,第i、j层锚杆水平分力(kN);
E akj ——相应于作用的标准组合时,挡墙后侧向主动土压力合力(kN);
E pkj ——相应于作用的标准组合时,坡脚地面以下挡墙前侧向被动土压力合力(kN);
n——沿边坡高度范围内设置的锚杆总层数。
2 最小嵌入深度D min 可按下式计算确定:

式中:E ak ——相应于作用的标准组合时,挡墙后侧向主动土压力合力(kN);
E pk ——相应于作用的标准组合时,挡墙前侧向被动土压力合力(kN);
a a1 ——H tk1 作用点到H tkn 的距离(m);
a ai ——H tki 作用点到H tkn 的距离(m);
a n ——E ak 作用点到H tkn 的距离(m);
b——E pk 作用点到H tkn 的距离(m)。
3 立柱设计嵌入深度h r 可按下式计算:
h r =ξh r1 (F.0.3-3)
式中:ξ——立柱嵌入深度增大系数,对一、二、三级边坡分别为1.50、1.40、1.30;
h r ——立柱设计嵌入深度(m);
h r1 ——挡墙最低一排锚杆设置后,开挖高度为边坡高度时立柱的最小嵌入深度(m)。
4 立柱的内力可根据锚固力和作用于支护结构上侧压力按常规方法计算。

图F.0.3 静力平衡法计算简图
F.0.4 采用等值梁法(图F.0.4)计算时应符合下列规定:
1 坡脚地面以下立柱反弯点到坡脚地面的距离Y n 可按下式计算:
e ak -e pk =0 (F.0.4-1)
式中:e ak ——相应于作用的标准组合时,挡墙后侧向主动土压力(kN/m 2 );
e pk ——相应于作用的标准组合时,挡墙前侧向被动土压力(kN/m 2 )。

图F.0.4 等值梁法计算简图
2 第j层锚杆的水平分力可按下式计算:

式中:a ai ——H tki 作用点到反弯点的距离(m);
a aj ——H tkj 作用点到反弯点的距离(m);
a j ——E akj 作用点到反弯点的距离(m)。
3 立柱的最小嵌入深度h r 可按下列公式计算确定:

式中:b——桩前作用于立柱的被动土压力合力E pk 作用点到立柱底的距离(m)。
4 立柱设计嵌入深度可按本规范附录F的公式(F.0.3-3)计算。
5 立柱的内力可根据锚固力和作用于支护结构上的侧压力按常规方法计算。
F.0.5 计算挡墙后侧向压力时,在坡脚地面以上部分计算宽度应取立柱间的水平距离,在坡脚地面以下部分计算宽度对肋柱取1.5b+0.50(其中b为肋柱宽度),对桩取0.90(1.5d+0.50)(其中d为桩直径)。
F.0.6 挡墙前坡脚地面以下被动侧向压力,应考虑墙前岩土层稳定性、地面是否无限等情况,按当地工程经验折减使用。
附录G岩土层地基系数
附录G 岩土层地基系数
G.0.1 较完整岩层和土层的地基系数可按表G.0.1-1和G.0.1-2取值。
表G.0.1-1 较完整岩层的地基系数

注:k=(0.6~0.8)k 0 。
表G.0.1-2 土质地基系数

注:1 I L ——土的液性指数;
2 对于土质地基系数m和m 0 ,相应于桩顶位移6mm~10mm;
3 有可靠资料和经验时,可不受本表的限制。
本规范用词说明
本规范用词说明
1 为便于在执行本规范条文时区别对待,对要求严格程度不同的用词说明如下:
1)表示很严格,非这样做不可的用词:
正面词采用“必须”,反面词采用“严禁”;
2)表示严格,在正常情况下均应这样做的用词:
正面词采用“应”,反面词采用“不应”或“不得”;
3)表示允许稍有选择,在条件许可时首先应这样做的用词:
正面词采用“宜”,反面词采用“不宜”;
4)表示有选择,在一定条件下可以这样做的用词,采用“可”。
2 条文中指明应按其他有关标准执行的写法为:“应符合……的规定”或“应按……执行”。
引用标准名录
引用标准名录
1 《建筑地基基础设计规范》GB 50007
2 《混凝土结构设计规范》GB 50010
3 《建筑抗震设计规范》GB 50011
4 《工程测量规范》GB 50026
5 《锚杆喷射混凝土支护技术规范》GB 50086
6 《土方与爆破工程施工及验收规范》GB 50201
7 《工程岩体试验方法标准》GB/T 50266
8 《建筑工程施工质量验收统一标准》GB 50300
9 《建筑结构检测技术标准》GB/T 50344
10 《建筑边坡工程鉴定与加固技术规范》GB 50843
11 《预应力混凝土用钢丝》GB/T 5223
12 《预应力混凝土用钢绞线》GB/T 5224
13 《预应力筋用锚具、夹具和连接器》GB/T 14370
自2022年1月1日起废止的条文

