Appearance
《山地建筑结构设计标准》 [附条文说明] JGJ/T472-2020
🗓️ 实施时间: 2020-11-01
总 则
1 总 则
1.0.1 为在山地建筑结构设计中贯彻执行国家的技术经济政策,做到安全适用、技术先进、经济合理、保证质量,制定本标准。
1.0.2 本标准适用于抗震设防烈度为6度至8度抗震设计的山地建筑结构。
条文说明
1.0.2 考虑到山地建筑结构具有不可避免的不规则性,以及与坡地或边坡的复杂相互作用,抗震设防烈度9度区不推荐使用,若无法避免时应进行专门研究论证。
1.0.3 山地建筑的结构设计,除应符合本标准外,尚应符合国家现行有关标准的规定。
术语和符号
2.1 术 语
2.1 术 语
条文说明
术语“吊脚结构”如图1所示,“掉层结构”如图2和图3所示。

2.1.1 山地建筑结构 structure on a slope
建于坡地上,底部抗侧力构件的约束部位不在同一水平面上且不能简化为同一水平面时的结构。按接地类型可分为吊脚结构、掉层结构等形式。
2.1.2 接地类型 embedding type
指山地建筑结构嵌固端与地面或边坡的连接形式。
2.1.3 掉层结构 structure supported by foundations with different elevations
在同一结构单元内有两个及以上不在同一水平面的嵌固端,且上接地端以下利用坡地高差设置楼层的结构体系。
2.1.4 吊脚结构 stilted building structure
顺着坡地采用长短不同的竖向构件形成的具有不等高约束的结构体系。
2.1.5 上接地端 upper embedding end
掉层结构中位于高处的嵌固端。
2.1.6 下接地端 lower embedding end
掉层结构中位于低处的嵌固端。
2.1.7 上接地层 upper embedding story
掉层结构上接地端所约束及连接的结构整体楼层或吊脚结构底部第一使用楼层。
2.1.8 掉层 floors under the upper embedding end
具有两个及以上嵌固端的结构单元中位于上接地端以下的所有楼层。
2.1.9 横坡向 perpendicular to the slope direction
垂直于山地斜坡坡向的方向。
2.1.10 顺坡向 along the slope direction
与山地斜坡坡向一致的方向。
2.1.11 上接地端楼盖 floor at the bottom of upper embedding story
掉层结构中连接掉层部分与上接地竖向构件的楼盖。
2.1.12 上接地层楼盖 floor at the top of upper embedding story
掉层结构中上接地端以上第一层的楼盖。
2.2 符 号
2.2 符 号
2.2.1 几何参数
d——钢筋直径。
2.2.2 系数
K——抗倾覆安全系数;
αW——边坡综合水平地震系数;
γ0——结构重要性系数;
λ——楼层剪力系数。
2.2.3 作用和作用效应
G——重力荷载代表值;
GE——地震时结构的总重力荷载代表值;
Qc、Qci——滑体、第i计算条块或单元单位宽度地震作用;
M——弯矩;
Mov、MR——倾覆力矩、抗倾覆力矩;
V——剪力;
VEKi——第i层对应于水平地震作用标准值的楼层剪力;
Vek0一一所有接地构件对应于水平地震作用标准值的基底剪力之和;
W、Wi——滑体、第i计算条块或单元单位宽度自重(含坡顶建筑物作用)。
2.2.4 其他
ft——混凝土抗拉强度设计值;
fy——钢筋抗拉强度设计值;
n——结构总层数。
基本规定
3.1 一般规定
3.1 一般规定
3.1.1 山地建筑结构采用的材料应符合现行国家标准《混凝土结构设计规范》GB 50010和《砌体结构设计规范》GB 50003的相关规定。
3.1.2 山地建筑结构设计时应充分考虑水文地质条件、建设场地稳定性、建筑接地形式、地震动力效应等因素对结构安全性的影响。
条文说明
3.1.2 与平地普通结构相比,山地建筑结构显著的特点是其安全性受边坡的影响,一般情况下,同一建筑场地,地形通常存在较大的高差,岩土工程特性可能存在差异,不良地质现象较为普遍,地表水和地下水的影响显著,结构与基础相互影响明显,不同的建筑接地(坡)形式其影响程度不同,地基设计时应考虑这些不利因素,重点考虑边坡自身的稳定性及动力稳定性,查明影响边坡稳定性和结构安全性的各种工程地质和水文情况,进行详细的评价,并采取针对性的设计措施确保边坡和结构的安全。
因此,山地建筑结构设计时应重点考虑以下因素:
1 建设场地内在自然条件下应无危岩崩塌、滑坡、泥石流、地面塌陷等不良地质现象;有无断层、破碎带;场地周边有无稳定安全系数不满足要求的边坡;
2 施工过程中,因挖方、填方、堆载和卸载等对坡地稳定性的影响;
3 建筑地基的不均匀性;
4 岩溶、土洞的发育程度;
5 工程建设诱发危岩崩塌、滑坡、泥石流、岩溶塌陷、滚石、落石等不良地质现象的可能性;
6 地表及地下水(含洪水)对建筑地基、建设场地和结构的影响;
7 建筑的接地(坡)形式;
8 场地和边坡的地震动力效应的影响。
3.1.3 对建筑物有潜在威胁或直接危害的滑坡、泥石流、危岩崩塌、滚石、落石以及岩溶、土洞强烈发育地段,不应选作建设场地。
条文说明
3.1.3 山地建筑结构地基的工程地质条件复杂多变。国内已经有多起滑坡、泥石流、危岩崩塌、滚石、落石等引起的房屋倒塌事故,地基设计应重视潜在的地质灾害对建筑安全的影响,应避免诱发地质灾害和不必要的大挖大填,保证建筑物的安全和节约建设投资。
3.1.4 山地建筑结构设计应保证基础嵌固条件的有效性,用作结构嵌固的边坡应达到罕遇地震作用下不破坏的性能要求。应采取措施保证场地及边坡的稳定性。
条文说明
3.1.4 山地建筑结构计算时往往假定各接地端为嵌固,因此,需采取措施确保基础嵌固条件的有效性。设计时,基础宜置于稳定的岩土层中,避开滑塌区域。对边坡应进行稳定性评价和边坡支护设计,边坡必须达到稳定且严格控制变形,支护设计时需考虑罕遇地震作用下边坡动土压力对支挡结构的影响,要求达到罕遇地震作用下边坡结构不破坏的性能要求。
3.1.5 山地建筑的场地类别划分应按现行国家标准《建筑抗震设计规范》GB 50011的原则执行,并应符合下列规定:
1 无地下室时,覆盖层厚度应按室外地坪的较高及较低地面分别确定,取不利场地类别;
2 有地下室时,当地下室结构与周边岩土相连时,覆盖层厚度应按室外地坪的较高及较低地面分别确定,取不利场地类别;当地下室结构与周边岩土脱开时,覆盖层厚度应按开挖地下室后的标高较高及较低的嵌固端地面分别计算,取不利场地类别。
条文说明
3.1.5 山地建筑场地的地形起伏较大,且不可避免地存在深挖高填。同一建筑场地不同位置场地条件相差较大。分析表明,这种局部场地效应对结构的地震响应有较大的影响。本条在现行国家标准《建筑抗震设计规范》GB 50011场地类别划分的基础上,给出了按局部场地条件确定场地类别的方法。偏安全考虑,可取较不利的场地类别。如图4所示。

3.1.6 山地建筑结构设计,应结合场地开挖形成的支挡结构与主体结构的实际关系和治理后的岩土边坡稳定性监测结果采用动态设计法。
条文说明
3.1.6 山地建筑结构常形成边坡,由于提供给设计的勘察结果常与实际地质水文条件不相符,故应根据边坡的检测结果对山地建筑结构及边坡进行动态设计,当实际情况与原设计不相符,或边坡发生非正常变形时,应对设计做校核、修改和补充。动态设计法相关设计内容和原则应按现行国家标准《建筑边坡工程技术规范》GB 50330执行。
3.1.7 山地建筑应结合山地地形、岩土边坡条件和建筑功能等因素布置。应充分利用地形、地貌,平面和场地竖向高程设计应考虑山地斜坡的走向和坡角,依山就势,采用合理的山地建筑结构形式,不应对原地貌进行大开挖和深填方。
条文说明
3.1.7 山地建筑设计时应尽量减少对环境的影响,可因地制宜采用掉层结构、吊脚结构等形式。山地建筑修建于坡地上,建筑布置应充分考虑山地的地形地貌特点和道路规划情况,如建筑位于坡顶道路旁,坡下空间利用价值不高,可采用不开挖坡地的结构布置方案,如吊脚结构;若建筑位于坡底道路旁,坡下空间利用价值高,可适当开挖形成具有不同嵌固面的掉层结构,可根据岩土边坡高度及稳定性情况确定分阶数量。由于山地建筑结构不规则程度大,建筑布置方案阶段应与结构专业加强配合,重视结构布置和边坡支护的合理性。
3.1.8 山地建筑结构体系应根据建筑抗震设防类别、抗震设防烈度、建筑高度、结构材料、接地类型、地基条件和施工工艺等因素,综合技术经济比较确定,宜采用混凝土结构、型钢混凝土组合结构或钢管混凝土结构,也可采用多层砌体结构、底部框架-抗震墙砌体结构。
条文说明
3.1.8 钢筋混凝土结构可采用框架、剪力墙、框架-剪力墙、筒体和板柱-剪力墙结构体系;组合结构可采用钢框架或型钢混凝土框架与钢筋混凝土筒体组成的结构体系。
3.1.9 山地建筑结构布置应符合现行国家标准《建筑抗震设计规范》GB 50011、《高层建筑混凝土结构技术规程》JGJ 3和《砌体结构设计规范》GB 50003的相关规定。掉层结构两相邻接地端之间的高度差、吊脚结构最低和最高接地端之间的高度差应符合表3.1.9的规定。

条文说明
3.1.9 由于山地建筑结构高度越大,不规则性越显著,且边坡稳定性更难控制,边坡治理难度更大,因此需区分不同岩土条件、不同设防烈度,对其高度进行规定。当实际情况无法避免时,应进行详细的可行性技术论证。需要注意的是当下接地端有全嵌固地下室时,应尽量选择地下室顶面作为嵌固端,嵌固端的要求按照现行国家标准《建筑抗震设计规范》GB?50011的要求执行,此时,掉层高度为全嵌固地下室顶面到上接地端的距离。
3.1.10 山地建筑结构不宜兼作支挡结构。当主体结构兼作支挡结构时,应考虑主体结构与岩土体的共同作用及其地震效应。
条文说明
3.1.10 当山地建筑主体结构兼作支挡结构时,结构、支挡结构和岩土体间会产生静力和动力相互作用,应采取适当的方法充分考虑其不利影响,需将岩土静力或动力地震作用施加到支挡结构与主体结构组成的结构体系上,岩土体对其产生的静力作用和动力地震作用应区分岩质和土质分别按照现行国家标准《建筑边坡工程技术规范》GB 50330中坡顶有重要建筑物基础时的情况确定,考虑罕遇地震作用的动土压力可参考国外Seed等人研究和我国现行行业标准《公路工程抗震规范》JTG B02,近似采用拟静力法按下式计算:

式中:KE、Ka——分别为有地震作用时、无地震作用时作用在支挡结构背面上的主动土压力;
k——水平地震系数,6度、7度、8度时取0.125、0.22(0.31)、0.4(0.51),括号中数值分别应用于7度0.15g和8度0.30g。
结构外墙兼做支挡结构时,还应考虑建筑结构在地震作用下向边坡移动时产生的土压力,可取被动土压力、罕遇地震作用下结构传给支挡结构的弹性地震作用与静止土压力之和两者的较小值,地震作用下结构传给支挡结构的地震作用可按本标准图5.2.2(c)所示计算模型进行计算。
3.1.11 山地建筑结构均应进行地震作用计算和抗震验算。
条文说明
3.1.11 由于山地建筑结构受力的复杂性,要求抗震设防6度区也需进行地震作用计算。
3.1.12 下列结构构件的结构重要性系数γ0宜不小于1.1:
1 高层建筑影响范围内的边坡支挡结构;
2 掉层结构上接地层的竖向构件;
3 吊脚结构吊脚部分的竖向构件。
条文说明
3.1.12 对山地建筑结构中比较特殊和重要的边坡支挡结构、掉层结构的上接地竖向构件、拉梁和吊脚结构的吊脚部分结构,在地震中期望其具有良好的抗震性能,设计时可提高其结构重要性系数或采用抗震性能设计提高其性能水准。
高层建筑结构影响范围可按高层建筑结构基底应力扩散角确定。
设计时可参照现行行业标准《高层建筑混凝土结构技术规程》JGJ 3的关键构件对其进行抗震性能化设计。由于边坡支挡结构对于山地建筑结构整体抗震性能的重要性,可采用较高的B级性能目标对应的性能水准。掉层结构的拉梁板可协调传递上接地端上下左右的地震力,类似于转换层楼盖的传力,吊脚结构的吊脚部分构件由于长短不一,极易造成严重破坏,因此需提高其抗震性能,宜按C级抗震性能目标对应的性能水准进行设计。掉层结构的上接地竖向构件刚度相较掉层部分对应非接地竖向构件的刚度大较多,地震中容易产生破坏,虽然难以控制其在地震中不发生破坏,但应限制其破坏程度,故可采用C级抗震性能目标对应的性能水准进行设计。
3.2 结构接地类型和计算高度
3.2 结构接地类型和计算高度
3.2.1 山地建筑可结合山地地形及水文地质情况,采用掉层、吊脚等结构形式,并应采用合理的结构接地类型。Ⅳ类场地、7度、8度Ⅲ类建筑场地不宜采用山地建筑结构形式。
条文说明
3.2.1 山地建筑结构主要有如图5所示的掉层、吊脚、附崖和连崖等几种形式,其中最为常见的为掉层结构和吊脚结构。

掉层结构接地类型主要分为脱开式和连接式两类,如图6所示。脱开式即边坡与结构脱开,边坡单独设置支挡结构,上、下接地端嵌固,按照区分上接地端与掉层部分是否设置拉梁又分为无拉梁和有拉梁脱开式;其中无拉梁脱开式,当上接地部分较少时(如小于15%),上接地竖向构件可根据分析采用滑动支座或隔震支座形成上接地滑动脱开式。连接式即边坡与结构不脱开,结构兼做支挡结构,上、下接地端嵌固,按照区分支挡结构是否设置锚又分为无锚杆连接式和有锚杆连接式,边坡支挡结构采用锚杆挡墙时,使主体结构与边坡紧紧相连,结构可受到边坡引起的拉、压力。实际工程中,应根据实际情况和现场地形、地质情况等综合确定合适的接地类型。

吊脚结构接地类型分为架空式和半架空式,架空式即结构底部全处于架空范围,竖向构件长度各不相同;半架空式即部分竖向构件架空,部分起于上接地端。
实际工程中还有少量掉层和吊脚结构相组合的情况。
对于附崖结构目前研究不够,可参考掉层结构设计理念,做专门研究;对于连崖结构,连崖结构与边坡之间可采用滑动支座连接,否则应考虑连崖体对主体结构的约束影响。
对不利的类Ⅲ、Ⅳ类场地,应限制采用山地建筑结构形式,有利于保证结构安全。
3.2.2 山地建筑结构计算高度和宽度应符合下列规定:
1 掉层结构计算房屋高度时,当大多数竖向抗侧力构件嵌固于上接地端时宜以上接地端起算,否则宜以下接地端起算;
2 吊脚结构计算房屋高度时,当大多数竖向构件仍嵌固于上接地端时,宜以上接地端起算,否则宜以较低接地端起算;
3 房屋宽度宜按上接地端以上部分房屋宽度计算。
条文说明
3.2.2 结构高度界定对判断结构为多层或高层、结构最大适用高度和抗震等级的确定等影响较大,本条主要对山地建筑结构高度的计算原则作出规定。计算房屋高度时,当大多数竖向抗侧力构件都嵌固于上接地端时(上接地部分结构抗侧刚度不小于本层结构总抗侧刚度的80%,为方便计算,侧向刚度比可近似取上接地层的非接地构件假定为嵌固时计算所得的接地构件剪力之和与层剪力之和的比值,如图7所示),在边坡稳定及变形得到有效控制的前提下,结构受力特性将主要取决于上接地端以上部分,结构高度可从上接地端起算。其余情况下,偏保守取下接地嵌固端或较低接地端起算。

3.3 结构布置原则
3.3 结构布置原则
3.3.1 在一个独立的结构单元内建筑平面、立面和剖面形状宜规则,抗侧力构件布置宜均匀、对称,其竖向刚度宜均匀。
3.3.2 结构平面布置应减小扭转影响。应避免较多数量的长短柱共用和细腰形平面。
条文说明
3.3.2 山地建筑结构由于先天存在一定的不规则性,扭转效应较明显,因此设计时应尽可能合理布置结构,减小扭转的不利影响。对于掉层结构,当多数抗侧力构件位于上接地端时,宜设上接地端楼盖;当多数抗侧力构件位于下接地端时,可不设置掉层与上接地端的连接楼盖,上接地竖向构件底部可采用滑动支座;其他情况时,可采用调整构件截面及增减剪力墙布置等措施。对于吊脚结构,吊脚部分竖向构件刚度分布宜尽可能均匀。
3.3.3 山地高层结构同一结构单元不应采用同时具有2种类型及以上的复杂结构形式。
条文说明
3.3.3 山地建筑结构不规则性明显,受力复杂,故将其作为一种复杂结构形式,除此之外,不应采用同时具有其他2种类型及以上的复杂结构形式。其他复杂结构形式按现行行业标准《高层建筑混凝土结构技术规程》JGJ 3界定。
3.3.4 山地建筑结构设置转换层时应符合下列规定:
1 转换层位置高度应按本标准第3.2.2条规定的结构高度起算点计算;
2 转换层上下结构抗侧刚度宜按现行行业标准《高层建筑混凝土结构技术规程》JGJ 3等效抗侧刚度比控制。
条文说明
3.3.4 山地建筑结构设置转换层时,需界定是否高位转换,判断转换层上下结构抗侧刚度比是否合适。界定高位转换时,可依据本标准第3.2.2条山地建筑结构高度起算点的规定原则,从起算点开始计入转换层下的楼层。计算转换层上下等效抗侧刚度比时,计算转换层及下部结构的计算高度时应考虑掉层或吊脚部分的影响,上接地层及以下部分的高度可按竖向构件抗侧刚度加权平均计算得到,为便于计算,当掉层部分占比较多,上接地部分采用滑动或隔震支座时,转换层及下部结构的高度可取下接地端到转换楼盖的高度。
3.3.5 山地高层建筑结构竖向体型突变部位不宜位于掉层结构上接地层及相邻上一层。
条文说明
3.3.5 多塔楼结构、体形收进及悬挑不规则结构等,均属于竖向不规则,应避免与掉层结构刚度突变部位重合。
3.4 结构规则性
3.4 结构规则性
3.4.1 判定结构规则性时,山地建筑结构应属于一种竖向不规则类型。
条文说明
3.4.1 山地建筑结构不等高接地约束导致结构产生平面和竖向不规则,其不规则性是天生具有的,对上接地端以上楼层与其下的掉层或吊脚部分进行竖向不规则判断时,由于上接地端的约束导致受力同普通平地结构差别很大,难以采用现行标准的控制指标(如抗侧刚度比和抗剪承载力比等),因此,本标准采取的思路是,将不等高约束作为一种不规则类型,即山地建筑结构本身作为一种不规则类型,同时为掉层结构和吊脚结构的山地建筑只作为一项不规则。通过本标准第3.4.2条和第3.4.3条分别对山地建筑结构掉层部分和吊脚部分相对上接地层的抗侧刚度和受剪承载力进行规定,控制掉层和吊脚部分不形成抗震薄弱部位,规则性判定时将不再判断掉层结构上接地端以下一层与上接地层相比的抗侧刚度和承载力比,掉层部分和上接地以上楼层仍按国家现行标准《建筑抗震设计规范》GB 50011、《高层建筑混凝土结构技术规程》JGJ 3进行规则性判断,但需注意的是,扭转不规则判定可按照本标准第3.4.4条执行。
3.4.2 山地建筑结构抗侧刚度应符合下列规定:
1 对吊脚结构,吊脚部分抗侧刚度分布宜均匀,且不宜小于上层相应结构部分的抗侧刚度;
2 对掉层结构,上接地端以上楼层应按现行国家标准《建筑抗震设计规范》GB 50011和《高层建筑混凝土结构技术规程》JGJ 3的规定验算层抗侧刚度比,掉层及上接地层掉层范围内结构抗侧刚度不宜小于上一层相应结构部分的抗侧刚度。
条文说明
3.4.2 木条对山地建筑结构的两种主要结构类型即吊脚结构和掉层结构的抗侧刚度进行了规定,其他类型可参照执行。对吊脚结构,吊脚部分竖向构件长短不一,刚度差别较大,应尽可能采取措施减小刚度不均匀程度,避免较大的扭转效应;同时要求吊脚部分与上层对应部分的抗侧刚度比不小于1,避免吊脚部分形成薄弱层。对掉层结构,以上接地面为界,分别控制上、下两部分结构的抗侧刚度比。为便于计算,相对应部分的侧向刚度比可采用等效剪切刚度比,按现行行业标准《高层建筑混凝土结构技术规程》JGJ 3的相关规定计算。
3.4.3 吊脚结构的吊脚部分层间受剪承载力不宜小于其上层相应部位竖向构件的受剪承载力之和的1.1倍;掉层结构的掉层层间受剪承载力不宜小于其上层相应部位竖向构件的受剪承载力之和的1.1倍。
条文说明
3.4.3 为了避免掉层和吊脚部分形成抗剪承载力薄弱层,相比普通结构,提高了吊脚和掉层部分结构相比上接地层对应部分的受剪承载力比限值。
3.4.4 掉层、吊脚结构的扭转位移比限值应符合现行国家标准《建筑抗震设计规范》GB 50011的规定,高层混凝土结构时尚应符合现行行业标准《高层建筑混凝土结构技术规程》JGJ 3的规定。上接地层可仅以楼层水平位移计算位移比。结构第1振型不应为扭转振型。
条文说明
3.4.4 掉层结构由于上接地端嵌固作用,致使上接地竖向构件相比掉层部分竖向构件层间位移角明显偏大,若采用层间位移计算出的扭转位移比数值很大,但此时楼层层间扭转角并不一定很大,因此可用楼层水平位移表达此时的扭转程度,但应对上接地竖向构件进行抗扭验算和加强延性措施。此外,已有研究表明扭转耦连周期比用于控制结构扭转效应并不恰当,建议取消周期比控制,因此,本标准不按国家现行标准《建筑抗震设计规范》GB 50011、《高层建筑混凝土结构技术规程》JGJ 3的规定控制山地建筑结构的扭转周期比,但一般情况下,应避免结构第1振型为扭转振型,宜避免结构的前2阶振型为扭转振型,当第2阶振型为扭转振型时应采取措施加强结构抗扭能力。
荷载与作用
4.1 风荷载
4.1 风荷载
4.1.1 山地建筑结构的风荷载标准值应按现行国家标准《建筑结构荷载规范》GB 50009的相关规定计算;对山地风场效应明显的区域,可采用实测数据作为计算风荷载标准值的依据。
条文说明
4.1.1 本条规定了风荷载标准值的取值依据,可根据现行国家标准《建筑结构荷载规范》GB 50009或实测资料确定结构的风荷载标准值。采用实测数据时,为了更准确地评估建筑物所在场地的风特性及其对结构的影响,应该在规划初期即设立风速观测站以获得必要的风速资料。一般而言,观测时段一年以上时方可获得比较有规律的风速资料或最大风速值,并可作统计分析。
4.1.2 风荷载的计算和考虑地形条件的风压高度变化系数的修正应按现行国家标准《建筑结构荷载规范》GB 50009的有关规定执行。
条文说明
4.1.2 本条规定了风荷载计算的一般原则和方法。在风荷载作用下,山地建筑结构迎风面、背风面的室外地面标高和受荷面积不同,故迎风面和背风面所受风荷载需分别计算,不能利用叠加风载体形系数进行简化计算。
通过对风压高度变化系数进行修正来体现山地地形条件的影响,计算风压高度变化修正系数时:坡地起点一般取山脚位置;山脚是指山的主体边缘,也是山体海拔最低处,是山与其他陆地或者水域进行相互过渡的位置,可根据建设项目周围1km场地范围内的地形地貌综合确定坡地起算点;对于邻江、邻河的山地建筑结构,坡地起点可取江、河常水位高度。
计算顺坡方向风荷载时[图8(a)],山地建筑结构迎风面、背风面的风载体形系数μS、风压高度变化系数μZ的起算点取相应受荷面的室外地面,侧面风载体形系数μS、风压高度变化系数μZ的起算点取迎风面、背风面中较低的室外地面;计算横坡方向风荷载时[图8(b)],山地建筑结构迎风面、背风面的风载体形系数μS、风压高度变化系数μZ的起算点均取迎风面和背风面较低位置处室外地面,侧面风载体形系数μS、风压高度变化系数μZ的起算点取相应受荷面的室外地面。风压高度变化修正系数的起算点取风压高度变化系数的μZ起算点。
风振系数βZ的起算点取结构高度起算点处室外地面;对于掉层结构,当风振系数βZ的起算点位于上嵌固端的室外地面时,掉层部分对应的βZ可取值为1。

4.2 地震作用
4.2 地震作用
4.2.1 地震作用计算应符合现行国家标准《建筑抗震设计规范》GB 50011的规定,高层混凝土结构时尚应符合现行行业标准《高层建筑混凝土结构技术规程》JGJ 3的规定。
4.2.2 当需要在条状突出的山嘴、高耸孤立的山丘、非岩石和强风化岩石的陡坡、河岸和边坡边缘等不利地段建造丙类及丙类以上建筑时,除保证其在地震作用下的稳定性外,尚应估计不利地段对设计地震动参数可能产生的放大作用,地震影响系数最大值应乘以增大系数,其值可根据不利地段的具体情况在1.1~1.6范围内采用。
条文说明
4.2.2 本条规定了考虑局部地形条件时地震作用修正(增大)系数的确定方法,补充了斜坡段地震作用修正(增大)系数的计算方法。
平台段水平地震作用增大系数的确定应符合现行国家标准《建筑抗震设计规范》GB 50011中的相关规定;对于斜坡段(如图9所示)设计水平地震动放大系数λ,岩石边坡时利用算例分析得到如表1所示的λ取值,土质边坡时规律类似。为便于应用,斜坡段设计水平地震动放大系数λ,可根据平台段水平地震作用增大系数和坡底放大系数1.0线性插值确定。

4.3 岩土压力
4.3 岩土压力
4.3.1 岩土压力计算除应符合现行国家标准《建筑抗震设计规范》GB 50011、《建筑地基基础设计规范》GB 50007和《建筑边坡工程技术规范》GB 50330的相关规定外,尚应符合本节有关规定。
4.3.2 支挡结构应同时考虑岩土压力和水压力的作用。作用于支挡结构的土压力和水压力,对砂性土应按水土分算计算;对黏性土可按水土合算计算,也可按地区经验确定。
条文说明
4.3.2 支挡结构设计时应考虑静水压力和渗流压力的影响。对于正常设计施工的边坡支挡结构,一般设置了排水和滤水设施,地震作用下动水压力不明显,可不考虑其影响。
4.3.3 边坡支挡结构的岩土压力可按现行国家标准《建筑边坡工程技术规范》GB 50330中坡顶有重要建筑物的情况确定。
条文说明
4.3.3 土(岩)压力的确定是山地建筑进行边坡及支挡结构设计的重要内容,应严格控制支挡结构的变形;岩土压力的取值可按现行国家标准《建筑边坡工程技术规范》GB 50330中坡顶有重要建筑物的情况确定,考虑地震影响的主动土压力可近似按本标准第3.1.10条的条文说明规定采用拟静力法计算。地下室兼做支挡结构时需考虑不同方向地震作用下的岩土压力。地下室外墙兼做支挡结构时岩土压力按本标准第3.1.10条的条文说明规定确定。
4.3.4 对于岩质边坡,当桩基础埋深穿越岩层破裂面且基础周边与岩石间设有软性弹性材料隔离层或进行了空位构造处理时,可不考虑桩基础的竖向荷载对边坡支挡结构的影响,嵌固端以上桩身应按框架柱进行设计。
条文说明
4.3.4 对于完整程度较好的岩质边坡,当桩基础埋深穿越岩层破裂面且基础周边与岩石间设有软性弹性材料隔离层或进行了空位构造处理时,基础所受竖向荷载不传给支挡结构(或传递比例很小),此时可忽略其对边坡支挡结构的影响。
对于竖向荷载作用于土质边坡或破碎和极破碎岩质边坡的情况时,基础传力机制比较复杂,荷载传递比例不易确定,出于安全考虑,应计入基础所受荷载对边坡支挡结构的影响。
嵌固端以上桩身按框架柱进行设计,抗震等级不应低于相邻上部抗侧力构件。
结构计算分析
5.1 一般规定
5.1 一般规定
5.1.1 山地建筑结构的计算分析应符合下列规定:
1 应根据接地部位的实际约束条件,采用合适的分析软件建立合理的、与真实受力相符的分析模型,对内力分析结果应分析判断其合理性;
2 应计入双向水平地震作用下的扭转影响。
条文说明
5.1.1 山地建筑结构分析计算时可对结构进行力学上的简化处理,并能反映结构的受力性能。吊脚结构的吊脚部分,应纳入整体结构计算模型。由于山地掉层结构的质量和刚度分布不均匀,因此应考虑其双向水平地震作用下的扭转效应。
5.1.2 山地建筑结构的抗震计算,应采用下列方法:
1 宜采用考虑扭转耦联振动影响的振型分解反应谱法;对于掉层结构,计算振型数应使各振型参与质量之和不小于总质量的95%;
2 高层建筑结构应采用时程分析法进行多遇地震下的补充计算。
条文说明
5.1.2 考虑到山地建筑结构的不规则性,在采用振型分解反应谱法时,将振型参与质量之和占总质量的比例由90%提高到95%。对多遇地震时程分析法补充计算的结构范围规定较现行国家标准《建筑抗震设计规范》GB 50011更严格,即所有高层建筑结构均应进行多遇地震作用下的时程分析补充计算。
5.1.3 高层建筑结构和8度多层建筑结构应采用不少于两个不同力学模型的结构分析软件进行整体计算,其余建筑结构宜采用不少于两个不同力学模型的结构分析软件进行整体计算。
5.1.4 建筑结构在罕遇地震作用下薄弱层的弹塑性变形验算,应符合下列规定:
1 下列结构应进行弹塑性变形验算:
1)高度大于100m的结构;
2)(7~8)度时楼层屈服强度系数小于0.5的钢筋混凝土框架结构和框排架结构;
3)特殊设防类建筑;
)采用隔震和消能减震设计的结构。
2 下列结构宜进行弹塑性变形验算:
1)7度Ⅲ类、Ⅳ类场地和8度时乙类建筑中的钢筋混凝土结构;
2)高层建筑结构;
3)板柱-剪力墙结构和底部框架-抗震墙砌体房屋;
4)不规则的地下建筑结构及地下空间综合体。
条文说明
5.1.4 考虑到山地建筑结构的不规则性,对罕遇地震下薄弱层的弹塑性变形验算的结构高度范围由150m降低为100m;对结构高度为100m以内的山地高层建筑结构也提高了要求,即规定宜进行弹塑性变形验算。
5.1.5 建筑结构在罕遇地震作用下薄弱层或薄弱部位弹塑性变形计算,可采用静力弹塑性分析方法或弹塑性时程分析法等。当结构高度较高时,宜采用弹塑性时程分析法。
条文说明
5.1.5 结构高度较高,是指山地建筑结构在6度、7度和8度时高度分别超过100m、80m和60m的情形。
采用静力弹塑性(如Pushover)分析方法时应考虑不同分布形式的加载模式和不同的加载方向(包括顺坡与横坡方向、正向与反向两个方向)。
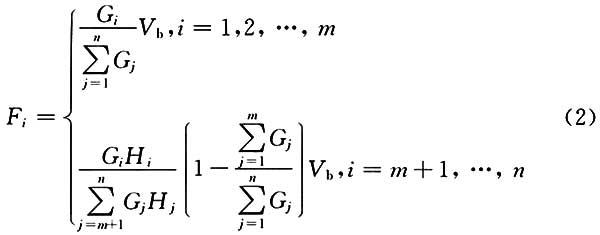
水平加载模式对掉层结构尤其是掉层部分的抗震性能的评估影响较大。根据不同加载模式对掉层结构罕遇地震下采用静力弹塑性与动力时程分析方法计算结果的对比分析,建议采用倒三角加载模式、模态加载模式、指数加载模式以及分层加载模式综合评价掉层结构的性能,其中,分层加载模式(如图10所示)按下式计算:

式中:Fi——第i层处施加的侧向水平力;
Gi、Gj——分别表示第i层、第j层的重力荷载代表值;
Hi、Hj——分别表示第i层、第j层楼面距房屋高度起算点的高度;
Vb——上接地端和下接地端的基底总剪力;
n——结构楼层总数(包括上部结构和掉层楼层);
m一一房屋高度起算点以下楼层总数。

5.1.6 对受力复杂的结构构件,宜按应力分析的结果校核配筋设计。
条文说明
5.1.6 对受力复杂的结构构件,如上接地层楼盖、接地楼盖以及节点等,除结构整体分析外,尚应按有限元等方法进行局部应力分析,并可根据需要,按应力分析结果进行截面设计校核。
5.1.7 高层建筑结构应进行罕遇地震下的抗倾覆验算,应区分不同水平作用方向,按下式进行验算:

式中:Mov——倾覆力矩;
MR——抗倾覆力矩;
K——抗倾覆安全系数,抗震设防烈度为6度、7度和8度分别取2.0、1.5和1.1。
条文说明
5.1.7 山地高层建筑在罕遇地震作用下的抗倾覆安全系数,可根据国内相关文献给出的不同烈度区结构超强系数近似确定。文献表明按我国标准设计的结构,设防烈度越高,超强系数越小,6度~8度框架剪力墙结构和剪力墙结构的超强系数介于5.0~2.0,6度~8度框架结构超强系数介于4.0~1.6,据此,对于8度结构,按罕遇地震弹性计算出的弹性地震作用可乘以折减系数2.0(超强系数)/5.6(罕遇地震与频遇地震地震影响系数之比)=1/2.8,抗倾覆安全系数约为3.0/2.8=1.07(3.0为基础底部要求不出现零应力时的抗倾覆安全系数),约取为1.1;同理,6度区抗倾覆安全系数可约为3.0×(4.0~5.0)/7.0=1.7~2.1,便于应用可取为2.0; 7度区取中间值1.5。山地建筑结构进行倾覆验算时,不同水平作用方向下的倾覆点、倾覆弯矩以及抗倾覆能力均不相同。图11为掉层结构顺坡向在正负两个方向作用下倾覆荷载示意图,假设结构的倾覆点都在基础地面最外侧,正向荷载作用下的倾覆点为A点,负向荷载作用下倾覆点为B点。倾覆弯矩Mov按下式计算:

式中:MAov、MBov——分别为结构相对于A点、B点的整体倾覆弯矩;
Pi——结构第i层水平地震作用,取罕遇地震下结构楼层的弹性水平地震作用;
Hi——水平侧向力到倾覆点的垂直距离;负向水平作用下,倾覆点以下取负值;
Ea——连接式掉层结构掉层部分楼层承受的土压力,脱开式掉层结构不予考虑;在计算土压力时,要考虑上部结构传到基础底面的竖向分布荷载;
h——土压力合力点到倾覆点的垂直距离;
hd——掉层部分的高度;
Vb0、Vt0——分别为结构下、上接地端基底水平剪力。
采用振型分解反应谱法计算结构倾覆力矩时,可首先计算每个振型下的倾覆力矩,然后采用SRSS或CQC组合方法计算结构总倾覆力矩。也可用振型分解反应谱法SRSS或CQC组合后的楼层水平力计算倾覆弯矩。
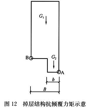
抗倾覆力矩MR,根据不同方向和接地方式等具体情况进行计算。如图12所示,上部结构楼层提供的总重力荷载代表值为G1,掉层部分楼层提供的总的重力荷载代表值为G2,当倾覆点为下接地端外侧(图12中A点)时:

当倾覆点为上接地端外侧(图12中B点)时:

式中:MAR、MBR——分别为结构相对于A点、B点的整体抗倾覆弯矩;
G1、G2——分别为上部结构、掉层部分楼层提供重力荷载代表值;
b——掉层部分宽度;
B——结构总宽度。
当验算不满足要求,设置抗拔桩或锚杆时,还应计入抗拔力提供的抗倾覆力矩。

5.1.8 楼盖应采用考虑楼板面内弹性变形的计算模型进行补充内力分析。吊脚结构首层楼盖、掉层结构上接地端楼盖和上接地层楼盖的框架梁应补充按偏拉(压)构件设计,取包络值。
条文说明
5.1.8 吊脚结构和掉层结构由于受力复杂,应考虑楼板平面内的弹性变形进行内力计算,扭转位移比计算时可采用刚性楼板。
由于上接地端约束的影响,导致吊脚结构首层楼盖、掉层结构上接地端楼盖和上接地层楼盖等部位的框架梁存在拉力,对这些框架梁设计时应按偏拉构件设计,其轴向拉力可取弹性楼板时计算值的1.1倍。
5.1.9 结构重力二阶效应计算时,房屋高度应按本标准第3.2.2条规定的山地建筑结构高度起算点计算。
条文说明
5.1.9 本条明确了重力二阶效应计算时房屋高度的取值。
5.1.10 掉层结构中掉层部分的抗侧力构件以及上接地层抗侧力构件、吊脚结构中吊脚部分的抗侧力构件,地震剪力宜进行放大。掉层结构和吊脚结构的上接地层非接地抗侧力构件可按其下端假定为固端的模型计算结果进行调整;上接地层以下的掉层和吊脚部分地震剪力取值不应低于调整后上接地层对应非接地构件的剪力。
条文说明
5.1.10 山地建筑结构由于上接地端假定为固端,实际上地基和基础是有限刚度的,因此,按上接地端固端假定计算出的掉层或吊脚部位对应的抗侧力构件内力按刚度分配后偏小,因此需对这些部位的抗侧力构件的计算地震剪力进行调整放大。设计时对于掉层结构和部分吊脚结构的上接地层非接地抗侧力构件可按其下端假定为固端的模型计算结果进行调整,如图13所示。

5.2 计算模型及参数
5.2 计算模型及参数
5.2.1 建筑结构计算模型除应符合现行国家标准《混凝土结构设计规范》GB 50010、《建筑抗震设计规范》GB 50011和《高层建筑混凝土结构技术规程》JGJ 3中相关规定外,尚应符合本节有关规定。
5.2.2 建筑应根据接地方式选择合理的计算模型(图5.2.2)。

条文说明
5.2.2 当支挡结构与掉层主体结构完全脱开时,计算模型可按图5.2.2(a)采用;当支挡结构与主体结构不脱开时,计算模型可按图5.2.2(b)或图5.2.2(c)采用;吊脚结构计算模型参见图5.2.2(d)。支挡结构与掉层主体结构完全脱开的示意图见本标准第3.2.1条条文说明中图6(a),支挡结构与主体结构不脱开的示意图见本标准第3.2.1条条文说明中图6(b)。
当边坡为稳定基岩时,通过采用连接式接地方式可以适当降低上接地框架柱和梁的内力。当结构向岩土体移动时,连接弹簧可偏保守取刚性链杆,结构背离岩土体移动时,无锚杆模型时受拉弹簧刚度可取0,有锚杆模型时受拉弹簧刚度可取锚杆刚度,连接式接地时还需考虑土(岩)压力对结构的影响。
5.2.3 在进行构件分析和设计时,宜考虑上接地竖向构件自身的扭转效应。
条文说明
5.2.3 山地建筑结构计算分析结果表明,上接地竖向构件在地震作用下自身的扭转较为明显,因此在结构构件验算时,宜考虑其影响。
地基与基础
6.1 一般规定
6.1 一般规定
6.1.1 山地建筑结构的地基基础设计,除应符合国家现行标准《建筑地基基础设计规范》GB 50007和《建筑桩基技术规范》JGJ 94外,尚应符合本章的规定。
6.1.2 应充分保护利用天然排水系统和山地植被。当须改变排水系统时,应在易于导流或拦截的部位将水引出场外。在受山洪影响的地段,应采取相应的排洪措施。
条文说明
6.1.2 山地环境通常较脆弱,地表水是改造山地环境的主要因素。山地建筑结构施工时应避免对天然排水系统的破坏,否则在排水系统再造过程中,易造成洪灾、泥石流等灾害。
6.1.3 山地建筑结构的地基应进行地基承载力、地基变形和边坡地基稳定性验算。受地下水和洪水影响时,尚应进行地下室抗浮验算。
条文说明
6.1.3 地基和边坡的稳定是山地建筑结构设计的前提条件,因此应进行地基和边坡的稳定性分析,分析时应考虑上部结构荷载的影响和地震作用的影响。为了防止地基或边坡变形引起山地建筑结构的破坏,应严格控制地基或边坡的变形。对有地下水和洪水影响的建筑场地,应进行山地建筑的抗浮验算。
6.1.4 边坡上的山地建筑结构基础,多层建筑时宜嵌入临空外倾滑动面以下,高层建筑时应嵌入临空外倾滑动面以下。位于岩质边坡时,尚宜在基础与外倾滑动面以上岩体间设隔离层。
条文说明
6.1.4 为了减小边坡与结构的相互影响,规定了基础嵌入临空外倾滑动面以下的要求。临空外倾滑动面,对土质边坡是指边坡可能发生滑动的破坏面;对岩土质边坡和岩质边坡是指倾角大于11°(坡率20%)的岩土界面和岩层面。对于以下情况,原则上可以不考虑基础嵌入临空外倾滑动面之下:1)倾角远小于外倾滑动面等效内摩擦角的结构面;2)倾角为11°~20°,但考虑建筑加载等不利因素,经计算后符合边坡稳定性要求。
有多组临空外倾滑动面时,需嵌入最下面的滑动面以下。
若无条件隔离时,应考虑滑体下滑力对基础的影响。
6.1.5 山地建筑结构基础的埋置深度应满足地基承载力、变形和稳定性的要求。高层建筑宜设置地下室。
条文说明
6.1.5 考虑山地建筑结构不等高接地特点,山地建筑结构基础的埋置深度,参考相关标准可取为:天然地基或复合地基取建筑物最大高度(下接地室外地面至结构主要屋面)的1/15,桩基础取建筑物最大高度的1/18。当受地形影响,山地建筑基础的埋深难以达到规定的埋置深度时,应进行抗滑移和抗倾覆稳定性验算,必要时可采用抗拔桩、抗拉锚杆等增加抗倾覆能力。基础埋置深度起算点可取基础较低端以下1m处。
抗倾覆验算按本标准第5.1.7条执行,抗滑移稳定性验算可按下式进行:

式中:Qh——作用在基础上的滑动力,地震作用取弹性罕遇地震作用;
QK——作用在基础上的抗滑力,可按上部结构重力乘以与地基之间的摩阻力系数计算。
6.1.6 山地建筑结构上接地与下接地之间的边坡宜采用独立的支挡结构。当设防烈度为7度及以下、土质边坡高度小于5m或岩质边坡高度小于8m,且主体结构能适应相应的岩土侧压力作用时,可利用主体结构或地下室侧墙兼做支挡结构。
条文说明
6.1.6 当土质边坡高度大于5m、岩质边坡高度大于8m时,边坡的侧向土压力较大,在有地震作用效应参与组合时,对主体结构的受力和变形的影响较大。考虑到支挡结构与主体结构相连会导致主体结构的传力不明确,故宜设独立的支挡结构。当岩土侧压力较小、采用主体结构及地下室兼做支挡结构时,主体结构、基础应考虑边坡岩土侧压力和水压力的作用;主体结构应考虑地下室侧墙引起的结构刚度偏心,并采取相应的措施;地下室外墙应进行防水抗渗设计。
6.2 地基承载力验算
6.2 地基承载力验算
6.2.1 边坡上的山地建筑结构,除应按现行国家标准《建筑地基基础设计规范》GB 50007的要求进行地基承载力验算外,尚应进行边坡地基承载力验算。
6.2.2 对位于土质边坡、破碎或极破碎岩质边坡和有外倾结构面的岩质边坡上的基础,边坡地基承载力特征值应根据坡上建筑物基础反算的基础底面极限压力除以地基承载力安全系数的方式估算。对位于无外倾结构面、岩体完整、较完整或较破碎且稳定的岩质边坡上的基础,边坡地基承载力特征值可根据地基承载力特征值进行折减估算。
条文说明
6.2.1、6.2.2 边坡上的建筑,因地基一侧存在临空面,边坡地基的地基承载力有可能降低。参考重庆市建筑地基基础设计规范编制组的研究成果及工程经验,基础工程设计时不仅应进行边坡稳定性验算,还应进行边坡地基承载力验算。
考虑到基础离坡面较远时地基承载力受边坡影响较小,为简化分析,可不进行此类边坡地基承载力的验算。对位于坡角β小于45°且坡高小于8m的稳定土质边坡或破碎、极破碎岩质边坡上[图14(a)],其垂直于坡顶边缘线方向的基础底面边长b小于或等于3m,基础底面外缘到坡面的水平距离a,对于条形基础不小于该边长的3.5倍,对于矩形或圆形基础不小于该边长的2.5倍且不小于2.5m时,可仅按平地地基进行承载力验算。对位于无外倾结构面、岩体完整、较完整或较破碎且稳定的岩质边坡上[图14(b)],可仅按边坡地基进行承载力验算。

对土质边坡,本标准给出的验算条件与现行国家标准《建筑地基基础设计规范》GB 50007给出的需进行边坡稳定性的验算条件一致。
边坡地基承载力特征值的确定方法参见重庆市现行地方标准《建筑地基基础设计规范》DBJ 50-047。
6.3 边坡勘察及稳定性验算
6.3 边坡勘察及稳定性验算
6.3.1 山地建筑结构的边坡工程应进行初步勘察和详细勘察,当场地条件复杂、设计施工方案发生较大变更、施工中出现地基边坡变形或失稳、岩溶区采用集中力较大的嵌岩端承桩时,应进行施工勘察。作为拟建物地基的边坡工程勘察除满足本节规定外,尚应符合现行国家标准《岩土工程勘察规范》GB 50021中对于地基及边坡勘察的相关规定。
条文说明
6.3.1 边坡作为山地建筑结构的嵌固端,必须保证足够的稳定性和较小的变形。因此,必须进行地质勘察确定准确的参数。本标准第6.3.1~6.3.9条参考重庆市现行地方标准《工程地质勘察规范》DBJ 50/T-043对山地建筑的勘察要求进行了规定。一般情况下,边坡工程应进行初步勘察和详细勘察,遇下列情况之一时,应进行施工勘察:
1 因拟建场地地质条件复杂、地层及岩性变化大,原有勘察资料不能完全准确反映地质情况时;
2 因设计方案、施工方案发生较大的变更或采用新技术、新工艺、新方法、新材料,原勘察文件不能满足要求时;
3 施工中出现地基、边坡及洞室变形或失稳,需进行处理时;
4 岩溶地区的嵌岩端承桩、集中荷载较大的地基。
边坡工程勘察前应取得下列资料:
1 附有坐标和地形的边坡工程范围及其周边环境的平面布置图;
2 拟建场地的整平高程、坡底高程、边坡高度和边坡平面尺寸;
3 拟建场地的挖方、填方情况;
4 拟采用的支挡结构的性质、结构特点及基础形式等;
5 边坡滑塌区及影响范围内的建(构)筑物的相关资料;
6 边坡工程区域的相关气象资料;
7 场地区域最大降雨强度和20年一遇及50年一遇最大降水量;河、湖历史最高水位和20年一遇及50年一遇的水位资料;可能影响边坡水文地质条件的工业和市政管线、江河等水源因素,以及相关水库水位调度方案资料;
8 边坡周围山洪、冲沟和河流冲淤等情况;对边坡工程产生影响的汇水面积、排水坡度、长度和植被等情况。
边坡工程勘察应查明下列内容:
1 场地地形和场地所在地貌单元;
2 岩土时代、成因、类型、性状、覆盖层厚度、基岩面的形态和坡度、岩石风化程度和岩体完整程度;
3 岩、土体的物理力学性能;
4 主要结构面(特别是软弱结构面)的类型、产状、发育程度、延伸长度、贯通程度、结合程度、充填状况、充水状况、组合关系、力学属性和与临空面的关系;
5 地下水水位、水量、类型、主要含水层分布情况、补给及动态变化情况;
6 岩土的渗透性和地下水的出露情况;
7 不良地质现象的范围和性质,边坡变形迹象和机理;
8 地下水、土对支挡结构材料的腐蚀性;
9 坡顶邻近(含基坑周边)建(构)筑物的荷载、结构、基础形式和埋深,地下设施的分布、埋深、支护现状等。
边坡工程勘察宜在收集已有地质资料的基础上,先进行工程地质测绘和调查。工程地质测绘和调查工作应查明边坡的形态、坡角、结构面产状和性质以及卸荷带特征等,工程地质测绘和调查范围应包括可能对边坡稳定有影响及受边坡影响的所有地段。边坡工程勘探应采用钻探(直孔、斜孔)、坑(井)探、槽探和物探等方法。对于复杂、重要的边坡工程可辅以洞探。
6.3.2 边坡工程勘探平面范围应包括坡面区域和坡面外区域,坡面外区域的勘探范围应符合下列规定:
1 岩质边坡的勘探范围不应小于边坡高度,受外倾结构面控制的岩质边坡的勘探范围尚不应小于外倾结构面影响范围;
2 对于可能按土体内部圆弧形破坏的土质边坡勘探范围不应小于1.5倍坡高度;对可能沿岩土界面滑动的土质边坡,后部应大于可能的后缘边界,前缘应大于可能的剪出口位置;
3 土质基坑的勘探范围不应小于基坑深度的2倍;
4 岩土混合边坡的勘探范围应根据岩、土质边坡破坏模式和影响范围按不利原则确定;
5 勘察范围尚应包括可能对建筑物有潜在安全影响的区域。
条文说明
6.3.2 该条分别就岩质边坡、土质边坡、岩土混合边坡以及土质基坑等边坡类型的勘探平面控制范围做了具体的要求。
岩土混合边坡需要根据岩、土质边坡破坏模式和影响范围,选择范围最大者作为边坡工程勘探平面范围。
确定边坡工程勘察范围时还应考虑可能对建(构)筑物有潜在安全影响的区域。
6.3.3 勘探线应以垂直边坡走向或平行主滑方向布置为主,在拟设置支挡结构的位置应布置平行和垂直支挡结构轴线的勘探线。详细勘察的勘探线、点间距应符合表6.3.3的规定。每一单独边坡段勘探线不应少于2条,每条勘探线不应少于2个勘探点。

条文说明
6.3.3 边坡工程勘察可根据各段边坡实际情况采用不同的勘察等级。工程勘察等级划分应符合表2的规定。

建设场地地质环境复杂程度分类应符合表3的规定。


6.3.4 边坡工程勘探点深度应进入最下层潜在滑面不小于5m,支挡位置的控制性勘探孔深度应根据可能选择的支挡结构形式确定。对于重力式挡墙、扶壁式挡墙应进入持力层不小于5m;对于锚杆挡墙应进入持力层不小于2m;对于悬臂桩进入嵌固段的深度土质时不宜小于悬臂长度的1.5倍,岩质时不小于1.0倍。
6.3.5 勘察等级为甲级的边坡工程,边坡岩体应进行声波测试,测试孔数量不应少于3个;勘察等级为乙级及以下的边坡工程,边坡岩体宜进行声波测试,测试孔数量不宜少于3个。
6.3.6 边坡工程勘察应提供水文地质参数。对于土质边坡及较破碎、破碎和极破碎的岩质边坡宜在不影响边坡安全条件下,通过抽水、压水或渗水试验确定水文地质参数。
6.3.7 边坡工程勘察除应进行地下水力学作用和地下水物理、化学作用的评价以外,尚应分析孔隙水压力变化规律和对边坡应力状态的影响,并应考虑雨季和暴雨过程的影响。
6.3.8 对于地质条件复杂的边坡工程,初步勘察时宜选择部分钻孔埋设地下水和变形监测设备进行监测。
6.3.9 对大型待填的填土边坡宜进行料源勘察,针对可能的取料地点,查明用于边坡填筑的岩土工程性质,为边坡填筑的设计和施工提供依据。
6.3.10 应根据现行国家标准《建筑边坡工程技术规范》GB 50330进行建筑物荷载作用下的边坡稳定性验算。
条文说明
6.3.10 边坡稳定性验算在现行国家标准《建筑边坡工程技术规范》GB 50330中已有明确规定。当边坡有支挡结构时,边坡稳定性验算应将支挡结构有效抗力计入。边坡稳定性不满足要求时应调整基础平面位置和埋深或对边坡进行处理。
6.3.11 山地建筑地基边坡的安全等级宜为一级。
条文说明
6.3.11 建筑地基范围内的边坡和作为基础嵌固端的边坡发生破坏时,对建筑结构将造成严重的影响,因此将其安全等级定为一级。
6.3.12 下列建筑地基边坡应进行罕遇地震作用参与组合下的边坡稳定性验算:
1 特殊设防和重点设防类建筑;
2 岩质边坡高度超过8m、土质边坡高度超过5m;
3 顺层边坡;
4 设防烈度为7度和8度时。
6.3.13 建筑地基边坡罕遇地震作用下稳定性验算,滑体、条块或单元的地震作用可简化为作用于滑体、条块或单元重心处、指向坡外(滑动方向)的水平静力,其值按下列公式计算:

式中:QC、QCi——滑体、第i计算条块或单元单位宽度地震作用(kN/m);
W、Wi——滑体、第i计算条块或单元单位宽度自重(含坡顶建筑物作用)(kN/m);
αw——边坡综合水平地震系数,由抗震设防烈度按表6.3.13确定。

条文说明
6.3.13 考虑到建筑地基范围内的边坡和作为基础嵌固端的边坡破坏后果,将地震作用下边坡稳定性校核拓宽到6度抗震设防区。罕遇地震作用下边坡综合水平地震系数参考现行国家标准《建筑边坡工程技术规范》GB 50330规定的多遇地震作用下的规定值计算得到。
6.4 基础
6.4 基础
6.4.1 山地建筑结构基础设计除应符合本节的规定,尚应按现行国家标准《建筑地基基础设计规范》GB 50007的有关规定执行。
6.4.2 同一结构单元的基础不宜设置在性质截然不同的地基上。同一结构单元不宜部分采用天然地基部分采用桩基。当部分采用天然地基部分采用桩基时,应考虑可能的沉降差异和水平荷载对桩基的不利影响,在基础、上部结构的相关部位采取相应措施。
条文说明
6.4.2 当地基的岩土特性存在较大的差异时,即使上部结构荷载相同,其变形也存在差异,基础会出现不均匀沉降,对上部结构会造成不利影响。因此同一结构单元的基础不宜设置在性质截然不同的地基上。对地基持力层均为岩石地基时,根据工程实践,只要沉降控制措施得当,可以同一结构单元部分采用天然地基部分采用桩基。应采取增强桩基的水平变形能力、桩顶设刚度较大的连梁、增大楼板刚度等处理措施考虑水平荷载对桩基的不利影响。
6.4.3 穿越软弱黏性土、未经处理的新近填土或严重不均匀土的桩,其桩身纵向钢筋应通长设置。桩顶以下5倍桩径范围和土岩交界面上下1倍桩径范围内箍筋应加密。
条文说明
6.4.3 已有研究表明,软弱土、填土等对桩端约束较小,桩顶以下一定范围弯矩、剪力较为明显,应加强配筋,桩顶以下3.0倍桩径范围内箍筋应加密;地震作用下的桩基在软、硬土层交界面处容易发生剪切或弯曲破坏.其上下1.0倍桩径范围内箍筋应加密。
6.4.4 位于斜坡或邻近坡顶的桩基础应考虑桩与坡地的相互影响,并应符合以下规定:
1 不宜采用挤土桩;
2 桩端应设置在边坡或斜坡潜在破裂面以下足够深度的稳定岩土层内。
条文说明
6.4.4 环境支挡结构宜与建筑的基础分开设置。当结构主体兼做支挡结构时,应考虑基础与上部结构的变形协调,在斜坡或坡顶上建造的高层和重要的建筑物宜采用桩基础、适当降低坡高、减缓坡角等措施。桩基嵌入潜在破裂面以下的深度根据桩基承载力计算确定,且不小于1倍桩径。
钢筋混凝土房屋
7.1 一般规定
7.1 一般规定
7.1.1 钢筋混凝土房屋的最大适用高度应符合表7.1.1的规定。

条文说明
7.1.1 表7.1.1参照现行行业标准《高层建筑混凝土结构技术规程》JGJ 3、《混凝土异形柱结构设计规程》JGJ 149,考虑山地建筑各种结构类型特点,结合抗震设防烈度、边坡类型综合确定。当高层建筑建于山地平整场地,不具有山地建筑结构不等高约束特点时,其最大适用高度不执行本条规定。对于7度、8度地区建于土质边坡的房屋,最大适用高度可采取表中数值降低15%左右。
7.1.2 吊脚结构首层楼盖、掉层结构接地端楼盖及未设置接地端楼盖时的上接地层楼盖不应采用楼层错层,开洞面积不应超过25%,有效楼板宽度不应小于该层楼板典型宽度的50%。
条文说明
7.1.2 吊脚结构的首层楼盖具有协调吊脚柱(墙)与接地柱(墙)之间变形,有效分配和协调竖向构件间水平力的作用,掉层结构上接地端楼板或上接地层楼盖具有相同作用。当楼层错层时,由于楼板不在同一平面内,削弱了楼板平面内刚度,减小了对竖向构件间的变形、内力的协调能力,从概念设计角度,这些部位刚度突变且受力复杂,不应采用楼板错层。参考现行行业标准《高层建筑混凝土结构技术规程》JGJ 3关于转换层、嵌固层关于楼板开洞面积的限制,从严要求开洞面积不应超过25%。相关楼盖标注示意参见本标准第2.1节条文说明图1~图3。
7.1.3 剪力墙结构不应全部采用短肢剪力墙。在规定水平地震作用下,短肢剪力墙所承担的底部倾覆力矩不应大于结构底部总地震倾覆力矩的40%。
条文说明
7.1.3 短肢剪力墙抗震性能较普通剪力墙差,在应用于山地建筑结构时,其抗震性能有待进一步系统研究。从偏安全角度,对山地剪力墙结构明确不应全部采用短肢剪力墙,且短肢剪力墙承担的底部倾覆力矩限值比现行行业标准《高层建筑混凝土结构技术规程》JGJ 3规定适当偏严。
7.1.4 吊脚结构首层及以下的外侧剪力墙、掉层结构上接地层及以下的外侧剪力墙,宜设端柱或翼墙。
条文说明
7.1.4 一字形剪力墙延性及平面外稳定性均较差,当一字形剪力墙处于受扭转效应影响明显的结构外侧时,对结构弹塑性抗震性能削弱较多。所以,对吊脚首层及掉层结构上接地层及以下的外侧剪力墙不宜布置成一字形,宜设端柱或翼墙。
7.1.5 吊脚结构的吊脚柱不宜采用异形柱。
条文说明
7.1.5 吊脚结构扭转效应较为显著,对吊脚柱限制采用异形柱有利于保证结构抗震性能。
7.1.6 抗震验算时,楼层和基底总剪力应符合下列规定:
1 水平地震作用时,结构任一楼层的水平地震剪力应符合下式要求:

式中:VEki——第i层对应于水平地震作用标准值的楼层剪力;
λ——剪力系数,按现行国家标准《建筑抗震设计规范》GB?50011取值;
n——结构总层数;
Gj——第j层的重力荷载代表值。验算掉层结构掉层部分的楼层剪力时,Gj只考虑掉层部分竖向对应部位的重力荷载代表值。
2 吊脚、掉层结构所有接地部位基底剪力之和应符合下式要求:

式中:Vek0——所有接地构件对应于水平地震作用标准值的基底剪力之和;
GE——结构的总重力荷载代表值。
条文说明
7.1.6 楼层最小地震剪力按双控原则处理:1)逐层验算各楼层最小剪力,并满足现行相关标准要求。其中,掉层部分因部分重力荷载效应已由上接地端传入基础,故掉层部分最小楼层剪力系数计算时,仅计入掉层竖向对应部位的重力荷载代表值(图15)。2)针对吊脚、掉层结构,要求验算所有接地部位的基底剪力之和。当掉层结构设置连梁、锚杆,根据计算确有依据时,可扣除连梁及锚杆传递的剪力。

7.1.7 结构起算高度在下接地端时,框架-核心筒和筒中筒结构的主要筒体部分应延伸至下接地端。
条文说明
7.1.7 筒体结构适用于高度较高的高层建筑,筒体作为主要抗侧力构件,应贯通建筑物全高。对于结构起算高度位于上接地端的筒体结构,结构的大多数竖向抗侧力构件嵌固于上接地端时(接地部分结构抗侧刚度不小于本层结构总抗侧刚度的80%),主要筒体可以嵌固于上接地端。
7.1.8 山地建筑结构剪力墙底部加强区的范围,应符合下列规定:
1 部分框支剪力墙结构的剪力墙底部加强区范围,宜取至框支层以上两层,且不宜小于从上接地端起算的房屋高度的1/10,并向下延伸至各接地端;
2 其他剪力墙结构,房屋高度大于24m时,宜取从上接地端起算的底部两层和墙体高度的1/10二者中较大值;房屋高度不大于24m时,底部加强区可取从上接地端起算的底部一层。上述剪力墙底部加强区均应向下延伸至各接地端。
条文说明
7.1.8 山地建筑结构竖向构件的不等高约束特点决定了剪力墙底部加强区范围的确定较为复杂,根据现有分析,上接地端处剪力墙底部是受力较大且破坏发展较为突出的部位。从偏安全角度考虑,各类结构中剪力墙底部加强区均从上接地端起算并向下延伸至各接地端。相关示意见图16。

7.1.9 山地建筑钢筋混凝土房屋应根据设防类别、烈度、结构类型和房屋高度,除应按现行国家标准《建筑抗震设计规范》GB 50011的规定确定抗震等级,并应符合相应的计算和构造措施要求外,尚应符合下列规定:
1 确定抗震等级的房屋高度应按本标准第3.2.2条确定;
2 多层吊脚结构、掉层结构的抗震等级同普通钢筋混凝土房屋结构;高层吊脚结构首层及以下部位,高层掉层结构各接地端的上下层抗震等级应提高一级。特一级时不再提高。
条文说明
7.1.9 本标准遵循现行国家标准《建筑抗震设计规范》GB 50011确定抗震等级的基本原则,多层山地建筑结构确定房屋高度时已偏严控制,其抗震等级确定同普通钢筋混凝土房屋;高层山地建筑结构对接地部位楼层提高一级抗震等级,以适当提高薄弱部位的抗震性能。特一级时,可采取两个不同力学模型的软件进行对比分析,并采取对关键构件进行性能化设计等措施,以保证结构性能。
7.1.10 吊脚结构、掉层结构采用框架-剪力墙、板柱-剪力墙结构,在规定水平力作用下,吊脚结构首层、掉层结构上接地层框架承担的地震倾覆力矩与结构上接地层总地震倾覆力矩的比例不大于50%时,应按本标准第7.1.9条相应规定分别确定框架和剪力墙抗震等级。当大于50%时,应按框架结构确定抗震等级,且剪力墙结构的抗震等级应与框架的抗震等级相同。掉层部位的抗震等级不低于上接地端以上对应结构的抗震等级。
条文说明
7.1.10 框架承担的地震倾覆力矩计算原则同现行国家标准《建筑抗震设计规范》GB 50011中相关规定。

式中:Mc——在规定水平力作用下框架部分分配的地震倾覆力矩;
n——上部结构层数;
m——第i层的框架柱根数;
Vij——第i层第j根框架柱的计算地震剪力;
hi——第i层层高。
因山地建筑结构有上、下两个接地端,且倾覆力矩的计算与地震作用的方向有关,为简化计算,仅要求按图17验算给定部位的倾覆力矩比例,并根据计算结果确定结构类型及抗震等级。“规定水平力作用”除参考现行国家标准《建筑抗震设计规范》GB 50011中相关规定外,应排除局部振型影响,以参与系数最大的主振型为依据。

7.2 构造要求
7.2 构造要求
7.2.1 山地建筑结构框架柱箍筋配置应符合下列规定:
1 吊脚结构吊脚柱及上接地层柱、掉层结构各接地层柱箍筋加密区的箍筋最大间距和最小直径,应按表7.2.1采用;

2 吊脚结构吊脚柱及上接地层柱、掉层结构各接地层柱,箍筋应全柱段加密,体积箍筋率宜提高10%。
条文说明
7.2.1 山地建筑结构的框架柱在各接地层部位均为抗震性能控制的关键部位,为保障其抗震性能,对箍筋最大间距进行了适当加密,并对各接地层柱均要求全长加密,体积箍筋率可适当加大10%。
7.2.2 吊脚结构首层及掉层结构上接地层框架梁纵向钢筋配置应符合下列规定:
1 沿梁全长顶面和底面应至少各配置两根纵向通长钢筋,钢筋直径不应小于14mm,且顶面和底面的通长筋最小配筋百分率取0.25和55ft/fy中的较大值;
2 上接地层楼盖与竖向构件相连的梁,除应满足本条第一款要求外,通长钢筋尚不应小于梁两端顶面和底面纵向配筋中较大截面面积的1/4。沿梁腹板高度应配置间距不大于200mm,直径不小于14mm的腰筋。
条文说明
7.2.2 在现行国家标准《建筑抗震设计规范》GB 50011的基础上,将山地建筑结构关键部位原三、四级通长纵筋不少于212的规定提高到和一、二级相同,即不少于214;梁腰筋按转换梁要求,增加了间距和最小直径要求。
7.2.3 吊脚结构首层楼盖应采用现浇梁板体系。多层吊脚结构首层楼盖楼板厚度不宜小于120mm,高层吊脚结构不宜小于150mm,楼板配筋应采用双层双向通长布置,单层单向配筋率不应小于0.25%。
条文说明
7.2.3 吊脚竖向构件通过楼盖与接地构件基础进行连接,适当加强楼盖结构的板厚和配筋构造要求,有利于水平力传递。
7.2.4 掉层结构上接地端宜设置与掉层部分连接的现浇梁板式接地楼盖。当设置接地端楼盖时,多层掉层结构接地端楼盖的楼板原度不宜小于120mm,高层掉层结构接地端楼盖楼板厚度不宜小于150mm。当未设置接地端楼盖时,上接地层楼盖的楼板厚度不应小于150mm。以上部位配筋均应采用双层双向通长布置,单层单向配筋率不应小于0.25%。
条文说明
7.2.4 研究表明,掉层结构竖向构件通过接地楼盖与上接地端竖向构件基础进行连接,有利于加强上接地端的嵌固作用和提高结构整体抗扭能力。当设置接地端楼盖时,对接地楼盖分多层和高层分别限制最小楼板厚度;当未设置接地楼盖时,对上接地层楼盖进行了最小楼板厚度限制。以上部位的配筋采取双层双向通长设置,并提高配筋率,以保证水平力的有效分配和传递。
7.2.5 山地建筑吊脚结构上接地层及以下的剪力墙和掉层结构上接地层及以下的剪力墙厚度不应小于200mm。
砌体房屋和底部框架-抗震墙砌体房屋
8.1 一般规定
8.1 一般规定
8.1.1 砌体房屋和底部框架-抗震墙砌体房屋的层数和高度应符合下列规定:
1 房屋的层数和总高度不应超过表8.1.1的规定。

2 室内外高差大于0.6m时,房屋总高度应允许比表8.1.1中的数据适当增加,但增加量应少于1.0m。
3 房屋高度及层数的起算点按本标准第3.2.2条确定,吊脚结构的吊脚部分作为一层结构层计入总层数中。
4 重点设防类的砌体房屋仍按本地区设防烈度查表,其层数应减少一层且总高度应降低3m,且不应采用底部框架-抗震墙砌体房屋。
5 横墙较少的砌体房屋,总高度应比表8.1.1的规定降低3m,层数相应减少一层;各层横墙很少的砌体房屋,还应再减少一层。
6 采用蒸压灰砂砖和蒸压粉煤灰砖时,当砌体的抗剪强度达到普通黏土砖砌体的取值时,房屋层数和总高度的要求同普通砖房屋;其余情况,层数应比普通砖房减少一层,总高度应减少3m。
条文说明
8.1.1 山地砌体结构及底部框架-抗震墙结构的约束条件复杂,与边坡间存在相互作用,在地震时可能发生相较于普通平原地区房屋不利的震害,而房屋高度与层数是影响震害的重要因素之一,2008年汶川地震的震害也反映了上述特点,所以此条从严控制总高度及层数。表8.1.1中山地砌体房屋和底部框架-抗震墙砌体房屋的层数较现行抗震标准降低2层,高度相应减少。掉层部分的总高及吊脚的最大高度差应符合本标准表3.1.9的要求。
由于震害较重且研究不够充分,带有吊脚和掉层的底部框架-抗震墙砌体房屋只允许在6度、7度区采用,在8度区不应采用。
房屋高度及层数的起算按本标准第3.2.2条确定。对于掉层结构,当房屋高度的起算点在下接地端时,掉层部分也应计入总高度和总层数中。当房屋高度的起算点在上接地端时,上接地端以上的房屋高度和层数需符合表8.1.1的要求。因掉层高度需符合本标准表3.1.9条的要求,加上掉层高以及可能的掉层层数后的总高及总层数,仍能基本满足现行国家标准《建筑抗震设计规范》GB 50011关于砌体房屋和底部框架-抗震墙砌体房屋的要求。
横墙较少是指同一楼层内开间大于4.2m的房间占该层总面积的40%以上,横墙很少是指开间不大于4.2m的房间占该层总面积不到20%且开间大于4.8m的房间占该层总面积的50%以上。
8.1.2 山地砌体房屋的建筑布置和结构体系,除应符合现行国家标准《建筑抗震设计规范》GB 50011的规定外,尚应符合下列规定:
1 砌体房屋的吊脚部分宜根据吊脚最大高度差选择采用砌体直接依坡修建或采用框架-抗震墙吊脚层;当采用框架-抗震墙吊脚层时,应将吊脚层视作一个结构层,整体结构按底部框架-抗震墙砌体房屋设计;
2 砌体房屋中的掉层部分宜采用约束砌体,掉层部分的侧向刚度应不小于上接地层中相应部位的侧向刚度。
条文说明
8.1.2 砌体结构在坡地修建时,为适应坡形,可能存在吊脚及掉层两种情况,本条给出了吊脚部分及掉层部分的结构布置建议,如图18所示。
若坡地的坡度不大,可采用砌体墙逐阶放坡形成吊脚部分[图18(a)]。吊脚最大高度差应符合本标准表3.1.9的要求,以减少砌体墙的侧向无约束长度。当吊脚的最大高度差较大时,宜设钢筋混凝土框架-抗震墙吊脚层,此时整体房屋应按框架-抗震墙砌体房屋进行设计[图19(a)],且吊脚层视作一个结构层,计入房屋的总高度、总层数中,房屋整体设计应符合本标准第8.1.3条的要求。6度且上部砌体总层数不超过四层时,也允许采用嵌砌于框架之间的约束普通砖砌体或小砌块砌体的砌体抗震墙作为抗震墙,应计入砌体墙对框架的附加轴力和附加剪力并进行底层的抗震验算,且同一方向不应同时采用钢筋混凝土抗震墙和约束砌体抗震墙;7度应采用钢筋混凝土抗震墙或配筋小砌块砌体抗震墙。
当砌体房屋根据地形设置掉层时,掉层部分宜采用约束砌体[图18(b)]或框架-抗震墙。当掉层部分采用约束砌体时,掉层部分与上接地层相应部分的侧向刚度宜接近。当采用框架-抗震墙时,整体房屋应按框架-抗震墙砌体房屋进行设计[图19(c)],并应符合本标准第8.1.3条的要求。
8.1.3 山地底部框架-抗震墙砌体房屋的布置除应符合现行国家标准《建筑抗震设计规范》GB 50011的规定外,尚应符合下列规定:
1 当设有吊脚时,吊脚部分应作为一层框架-抗震墙结构层,上接地层抗侧力构件应延伸至基础,且宜增设抗震墙以减小扭转不规则;
2 当设有掉层时,掉层部分的抗侧刚度不应小于上部相应部位的抗侧刚度。
条文说明
8.1.3 本条给出山地底部框架-抗震墙砌体房屋(如图19所示)的结构布置要求。
对于吊脚房屋,要求上部所有抗震墙应从基础生根,且在吊脚部分适当增设抗震墙,减小吊脚部分的不规则。应合理设置掉层部分的侧向刚度,过渡层与下一层侧向刚度的比值,应符合现行国家标准《建筑抗震设计规范》GB 50011的要求。
图19(a)为房屋使用空间均为砌体层,当吊脚最大高度差大于3m,采用钢筋混凝土框架-抗震墙形成吊脚层的情况。此时上接地层与吊脚层的刚度比应符合6度、7度区不大于2.5,且不小于1.0的要求。
图19(b)为房屋底层为框架-抗震墙层,且带有钢筋混凝土框架-抗震墙吊脚层的情况。过渡层与上接地层(框架-抗震墙层)的刚度比应符合6度、7度区不大于2.5,且不小于1.0的要求,上接地层与吊脚层的侧向刚度宜接近。

图19(c)为房屋上接地层及以上均为砌体,采用钢筋混凝土框架-抗震墙形成掉层部分的情况,掉层部分的总高应满足本标准表3.1.9的要求(即6度区掉层可设置2层,7度区可设置1层)。过渡层中相应于掉层部分的侧向刚度与掉层第一层的侧向刚度比,应符合6度、7度区不大于2.5,且不小于1.0的要求,且掉层部分中两层之间的侧向刚度宜接近。
图19(d)为房屋上接地层及掉层部分采用钢筋混凝土框架-抗震墙的情况,掉层部分的总高应满足本标准表3.1.9的要求。过渡层与上接地层侧向刚度的比值,6度、7度时不应大于2.5,且不应小于1.0,过渡层中相应于掉层部分的侧向刚度与掉层部分的侧向刚度宜接近。
8.1.4 上接地层楼盖、上接地端楼盖、掉层部分楼盖及错层楼、屋盖应采用现浇钢筋混凝土或装配整体式楼、屋盖,且板厚不小于120mm。其他楼层楼、屋盖宜采用现浇钢筋混凝土或装配整体式楼、屋盖。
条文说明
8.1.4 为加强房屋整体刚度,避免不规则对结构受力的不利影响,上接地层楼盖、上接地端楼盖、掉层部分楼盖及错层楼、屋盖宜设置钢筋混凝土楼盖,并适当加大楼板厚度,加强楼板刚度。
8.1.5 山地底部框架-抗震墙砌体房屋的钢筋混凝土结构部分,除应符合本章规定外,尚应符合本标准第7章的有关规定;底部混凝土框架的抗震等级,6度、7度应分别按二级、一级采用,混凝土墙体的抗震等级,6度、7度均应按二级采用。
条文说明
8.1.5 汶川地震中,大量底部框架-抗震墙砌体结构的底层遭遇了较严重的破坏。此条提高了6度、7度区底部框架-抗震墙结构底部混凝土框架以及抗震墙的抗震等级,提高了其抗震措施以实现延性破坏。
8.1.6 地震作用效应应按下列规定调整:
1 掉层部分及吊脚部分的地震作用效应应乘以不小于2的增大系数;
2 上接地层及以上设框架-抗震墙时,楼层地震剪力设计值应乘以1.5~2.0的增大系数,过渡层与相邻下层侧向刚度比较大时应取大值;
3 底部框架-抗震墙层的纵向和横向地震剪力设计值应全部由该方向的抗震墙承担,并按各墙体的侧向刚度比例分配。
条文说明
8.1.6 汶川地震中,底部框架-抗震墙砌体结构的底层破坏多集中于底层框架柱的两端,底部框架-抗震墙层的破坏较上部砌体层更为严重,有的底层甚至倒塌。因此应提高底部框架-抗震墙层以及吊脚部分、掉层部分抗侧力构件的抗震承载力,适当提高其强度。
由于掉层部分或吊脚部分与上部主体结构的质心、刚心均不重合,有可能在地震中产生较大的扭转效应,因此对其地震作用效应乘以不小于2的增大系数,以提高掉层部分或吊脚部分抗侧力构件的抗震承载力。
8.2 构造要求
8.2 构造要求
8.2.1 山地砌体房屋应按现行国家标准《建筑抗震设计规范》GB 50011的规定设置钢筋混凝土构造柱或芯柱,吊脚部分、掉层部分及上接地层,应按房屋增加2层后的层数设置钢筋混凝土构造柱或芯柱,且构造柱或芯柱的间距不应大于4m。
条文说明
8.2.1 构造柱主要用于加强砌体结构房屋的整体性,本条要求适当加强吊脚部分、掉层部分、上接地层的构造柱设置要求。
8.2.2 山地砌体房屋现浇混凝土圈梁的设置应符合现行国家标准《建筑抗震设计规范》GB 50011的相关规定,并应符合下列规定:
1 每层外墙应设置圈梁;
2 在软弱黏性土、液化土、新近填土或严重不均匀土地基上设置的基础圈梁,截面高度不应小于240mm,沿梁全长顶面和底面至少应各配置两根通长的纵向钢筋,钢筋直径不应小于16mm,箍筋最小直径不宜小于8mm,间距不宜大于200mm;
3 掉层部分及上接地层的楼层圈梁,截面高度不应小于180mm,沿梁全长顶面和底面至少应各配置两根通长的纵向钢筋,钢筋直径不应小于14mm。
条文说明
8.2.2 本条对不良地基条件下的基础圈梁、掉层部分和上接地层楼盖的圈梁截面高度以及配筋进行了加强。
8.2.3 山地底部框架-抗震墙砌体房屋的框架柱应符合下列规定:
1 柱的截面不应小于400mm×400mm,圆柱直径不应小于?450mm;
2 柱的轴压比,6度时不宜大于0.8,7度时不宜大于0.7;
3 抗震等级为一级、二级、三级时,柱的纵向钢筋最小总配筋率分别不应小于1.2%、1.0%和1.0%,同时每一侧配筋率不应小于0.3%;
4 柱的箍筋直径,6度、7度时不应小于10mm,并应全高加密箍筋,间距不大于100mm;
5 柱的最上端和最下端组合的弯矩设计值应乘以增大系数,一级、二级的增大系数应分别按1.50、1.25采用。
条文说明
8.2.3 山地底部框架-抗震墙砌体房屋的底层框架柱,常常是整个结构中最薄弱的构件,在罕遇地震中常常最先破坏,其延性需求较高。此条规定将所有框架柱视为框支柱,并适当提高其最小总配筋率要求,并从严控制轴压比限值。
8.2.4 山地底部框架-抗震墙砌体房屋的其他抗震构造措施,应符合本标准第7章的有关规定。
8.2.5 同一结构单元宜采用同一类型的基础。
条文说明
8.2.5 由于地形特点,山地砌体结构房屋的基础底面常常不在同一标高,因此宜进行放坡并适当提高基础刚度,以避免发生不均匀沉降。对多层砌体房屋采用条形基础时应增设基础圈梁,并按1:2的台阶逐阶放坡。
本标准用词说明
本标准用词说明
1 为便于在执行本标准条文时区别对待,对要求严格程度不同的用词说明如下:
1)表示很严格,非这样做不可的:
正面用词采用“必须”;反面词采用“严禁”。
2)表示严格,在正常情况下均应这样做的:
正面词采用“应”;反面词采用“不应”或“不得”。
3)表示允许稍有选择,在条件许可时首先应这样做的:
正面词采用“宜”;反面词采用“不宜”。
4)表示有选择,在一定条件下可以这样做的,采用“可”。
2 条文中指明应按其他有关标准执行的写法为“应符合……的规定”或“应按……执行”。
引用标准名录
引用标准名录
1 《砌体结构设计规范》GB 50003
2 《建筑地基基础设计规范》GB 50007
3 《建筑结构荷载规范》GB 50009
4 《混凝土结构设计规范》GB 50010
5 《建筑抗震设计规范》GB 50011
6 《岩土工程勘察规范》GB 50021
7 《建筑边坡工程技术规范》GB 50330
8 《高层建筑混凝土结构技术规程》JGJ 3
9 《建筑桩基技术规范》JGJ 94
